Скачать СТО 1.1.1.01.003.1074-2015 Ремонтная документация. Технологическая документация на ремонт оборудования атомных станций. Правила построения, изложения, оформления, согласования, утверждения и регистрацииДата актуализации: 01.01.2021 СТО 1.1.1.01.003.1074-2015
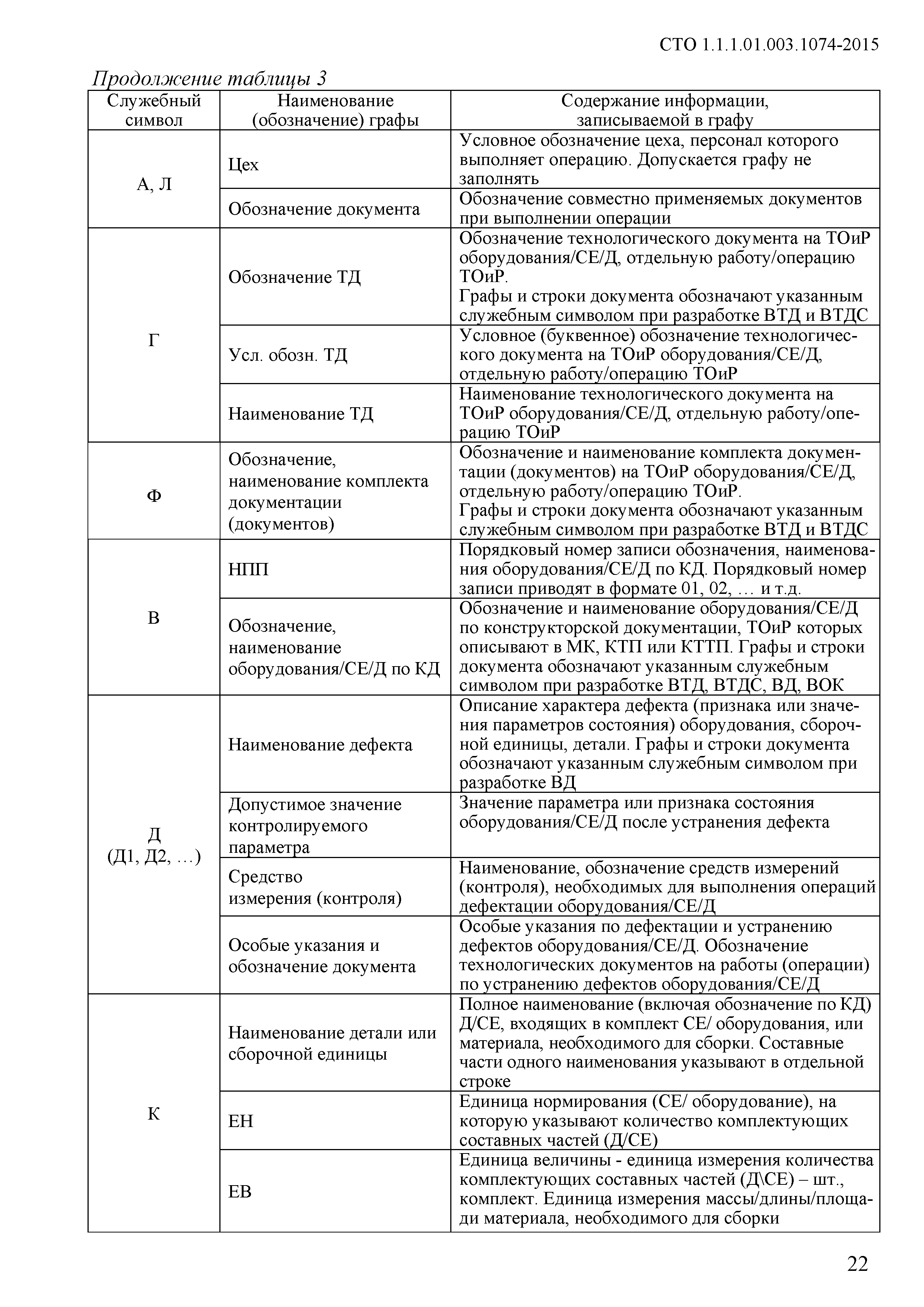
Ремонтная документация. Технологическая документация на ремонт оборудования атомных станций. Правила построения, изложения, оформления, согласования, утверждения и регистрации| Обозначение: | СТО 1.1.1.01.003.1074-2015 | | Обозначение англ: | STO 1.1.1.01.003.1074-2015 | | Статус: | действует | | Название рус.: | Ремонтная документация. Технологическая документация на ремонт оборудования атомных станций. Правила построения, изложения, оформления, согласования, утверждения и регистрации | | Дата добавления в базу: | 01.02.2020 | | Дата актуализации: | 01.01.2021 | | Дата введения: | 17.10.2016 | | Область применения: | Стандарт организации устанавливает правила построения, изложения, оформления, согласования, утверждения и регистрации технологической документадии на техническое обслуживание и ремонт тепломеханического и электротехнического оборудования, оборудования механической, электрической или электронной частей систем технологического контроля. регулирования, защиты и управления, а также трубопроводов (далее оборудование) классов безопасности 1 - 4 по НП-001, эксплуатируемых на атомных станциях. | | Оглавление: | 1 Область применения 2 Нормативные ссылки 3 Термины и определения 4 Сокращения 5 Основные положения 6 Виды, назначение и состав технологической документации 7 Правила оформления и изложения технологической документации 7.1 Общие требования 7.2 Требования к содержанию и оформлению технологических документов 7.2.1 Требования к содержанию и оформлению титульного листа комплекта документации (документов) и технологической инструкции 7.2.2 Требования к содержанию и оформлению ведомости технологических документов и сводной ведомости технологических документов 7.2.3 Требования к содержанию и оформлению карты технической информации 7.2.4 Требования к содержанию и оформлению карты схемы технологического процесса 7.2.5 Требования к содержанию и оформлению маршрутной карты, карты технологического процесса и карты типового технологического процесса 7.2.6 Требования к содержанию и оформлению ведомости дефектов 7.2.7 Требования к содержанию и оформлению ведомости операций контроля 7.2.8 Требования к содержанию и оформлению ведомости средств оснащения, сводной ведомости средств оснащения, ведомости материалов, сводной ведомости материалов и комплектовочной карты 7.2.9 Требования к содержанию и оформлению карты эскизов, карты строповки и карты измерений 7.2.10 Требования к содержанию и оформлению технологической инструкции 8 Исполнительные документы технического обслуживания и ремонта оборудования 9 Порядок согласования, утверждения, регистрации, пересмотра и внесения изменений в технологическую документацию Приложение А (рекомендуемое) Примеры оформления технологических документов | | Разработан: | АО ВНИИАЭС
| | Утверждён: | 19.08.2016 АО Концерн Росэнергоатом (9/1029-П)
| | Список изменений: | | | Заменяет собой: | | | Нормативные ссылки: |   ГОСТ 2.105-95 «Единая система конструкторской документации. Общие требования к текстовым документам»  ГОСТ 2.301-68 «Единая система конструкторской документации. Форматы»  ГОСТ 2.602-95 «Единая система конструкторской документации. Ремонтные документы»  ГОСТ 2.603-68 «Единая система конструкторской документации. Внесение изменений в эксплуатационную и ремонтную документацию»  ГОСТ 3.1129-93 «Единая система технологической документации. Общие правила записи технологической информации в технологических документах на технологические процессы и операции»  ГОСТ 3.1130-93 «Единая система технологической документации. Общие требования к формам и бланкам документов»  ПНАЭ Г-7-010-89 «Оборудование и трубопроводы атомных энергетических установок. Сварные соединения и наплавки. Правила контроля»  НП 045-03 «Правила устройства и безопасной эксплуатации трубопроводов пара и горячей воды для объектов использования атомной энергии»  НП 044-03 «Правила устройства и безопасной эксплуатации сосудов, работающих под давлением, для объектов использования атомной энергии»  ГОСТ 2.104-2006 «Единая система конструкторской документации. Основные надписи»  НП 068-05 «Трубопроводная арматура для атомных станций. Общие технические требования»  ГОСТ 3.1116-2011 «Единая система технологической документации. Нормоконтроль»  ГОСТ 3.1001-2011 «Единая система технологической документации. Общие положения»  ГОСТ 3.1102-2011 «Единая система технологической документации. Стадии разработки и виды документов. Общие положения»  ГОСТ 3.1103-2011 «Единая система технологической документации. Основные надписи. Общие положения»  ГОСТ 3.1105-2011 «Единая система технологической документации. Формы и правила оформления документов общего назначения»  ГОСТ 2.501-2013 «Единая система конструкторской документации. Правила учета и хранения»  ГОСТ 2.503-2013 «Единая система конструкторской документации. Правила внесения изменений»  НП 089-15 «Федеральные нормы и правила в области использования атомной энергии "Правила устройства и безопасной эксплуатации оборудования и трубопроводов атомных энергетических установок"»  НП 001-15 «Федеральные нормы и правила в области использования атомной энергии "Общие положения обеспечения безопасности атомных станций"»  НП 084-15 «Федеральные нормы и правила в области использования атомной энергии "Правила контроля основного металла, сварных соединений и наплавленных поверхностей при эксплуатации оборудования, трубопроводов и других элементов атомных станций"»  НП 010-16 «Федеральные нормы и правила в области использования атомной энергии "Правила устройства и эксплуатации локализующих систем безопасности атомных станций"»  ПНАЭ Г-7-030-91 «Унифицированные методики контроля основных материалов (полуфабрикатов), сварных соединений и наплавки оборудования и трубопроводов атомных энергетических установок. Ультразвуковой контроль. Часть II. Контроль сварных соединений и наплавки»  СП 2.6.1.28-2000 «Правила радиационной безопасности при эксплуатации атомных станций» РД ЭО 0017-2004 «Техническое обслуживание и ремонт систем оборудования АС. Технологическая документация на ремонт. Виды и комплектность, требования к построению, содержанию и оформлению»  ГОСТ 8.417-2002 «Государственная система обеспечения единства измерений. Единицы величин»  ГОСТ 3.1702-79 «Единая система технологической документации. Правила записи операций и переходов. Обработка резанием»  ГОСТ 3.1704-81 «Единая система технологической документации. Правила записи операций и переходов. Пайка и лужение»  ГОСТ 3.1705-81 «Единая система технологической документации. Правила записи операций и переходов. Сварка»  РД ЭО 1.1.2.01.0931-2013 «Основные положения о входном контроле продукции на АЭС»  РД ЭО 0198-2000 «Техническое обслуживание и ремонт систем и оборудования АС. Сборка фланцевых соединений. Общие технические требования»  РБ 090-14 «Руководство по безопасности при использовании атомной энергии "Унифицированные методики контроля основных материалов (полуфабрикатов), сварных соединений и наплавки оборудования и трубопроводов атомных энергетических установок. Капиллярный контроль"»  РБ 089-14 «Руководство по безопасности при использовании атомной энергии "Унифицированные методики контроля основных материалов (полуфабрикатов), сварных соединений и наплавки оборудования и трубопроводов атомных энергетических установок. Визуальный и измерительный контроль"» ГОСТ Р 8.565-2014 «Государственная система обеспечения единства измерений. Метрологическое обеспечение атомных станций. Основные положения» РД ЭО 1.1.2.25.0937-2013 «Контроль неразрушающий. Единые требования к форме и содержанию технологических карт» СТО 1.1.1.01.001.0890-2013 «Трубопроводная арматура для атомных электростанций. Технические требования эксплуатирующей организации» РД ЭО 1.1.2.12.0085-2014 «Периодичность и нормативная продолжительность ремонта энергоблоков атомных станций» СТО 1.1.1.01.0678-2015 «Основные правила обеспечения эксплуатации атомных станций» ПР 1.3.3.99.0010-2010 «Порядок аттестации контролеров, выполняющих контроль металла действующих и строящихся АЭС»  СТО 1.1.1.01.0069-2017 «Правила организации технического обслуживания и ремонта систем и оборудования атомных станций»  НП 071-18 «Федеральные нормы и правила в области использования атомной энергии "Правила оценки соответствия продукции, для которой устанавливаются требования, связанные с обеспечением безопасности в области использования атомной энергии, а также процессов ее проектирования (включая изыскания), производства, строительства, монтажа, наладки, эксплуатации, хранения, перевозки, реализации, утилизации и захоронения"»  НП 045-18 «Федеральные нормы и правила в области использования атомной энергии "Правила устройства и безопасной эксплуатации трубопроводов пара и горячей воды для объектов использования атомной энергии"»  НП 044-18 «Федеральные нормы и правила в области использования атомной энергии "Правила устройства и безопасной эксплуатации сосудов, работающих под избыточным давлением, для объектов использования атомной энергии"»  НП 043-18 «Федеральные нормы и правила в области использования атомной энергии "Правила устройства и безопасной эксплуатации грузоподъемных машин и механизмов, применяемых на объектах использования атомной энергии"» СТО 1.1.1.01.003.0667-2016 «Классификация технической документации АО "Концерн Росэнергоатом"» РД ЭО 1.1.2.01.1071-2015 «Метрологическое обеспечение атомных станций. Организация и проведение метрологической экспертизы документации»  ГОСТ 3.1703-79 «Единая система технологической документации. Правила записи операций и переходов. Слесарные, слесарно-сборочные работы»  РД 34.03.204 «Правила безопасности при работе с инструментом и приспособлениями»  ПНАЭ Г-7-009-89 «Оборудование и трубопроводы атомных энергетических установок. Сварка и наплавка. Основные положения»  ПНАЭ Г-7-003-87 «Правила аттестации сварщиков оборудования и трубопроводов атомных энергетических установок»  СНиП 23-05-95* «Естественное и искусственное освещение»  ПБ 03-440-02 «Правила аттестации персонала в области неразрушающего контроля»
|
                                                                                                                                                                
Текстовое изменение № 1 от 14.10.2017
    
Текстовое изменение № 2 от 18.12.2017
   
Текстовое изменение № 3 от 17.07.2019
                                               
|