Скачать ГОСТ 31610.0-2019 Взрывоопасные среды. Часть 0. Оборудование. Общие требованияДата актуализации: 01.01.2021
|
| Обозначение: | ГОСТ 31610.0-2019 |
| Обозначение англ: | GOST 31610.0-2019 |
| Статус: | взамен |
| Название рус.: | Взрывоопасные среды. Часть 0. Оборудование. Общие требования |
| Название англ.: | Explosive atmospheres. Part 0. Equipment. General requirements |
| Дата добавления в базу: | 01.01.2021 |
| Дата актуализации: | 01.01.2021 |
| Дата введения: | 01.06.2020 |
| Область применения: | Стандарт устанавливает общие требования по конструированию, испытанию и маркировке Ex-оборудования и Ex-компонентов, предназначенных для использования во взрывоопасных газовых и пылевых средах. Стандарт и другие стандарты, дополняющие настоящий стандарт, устанавливают дополнительные требования к испытанию Ex-оборудования, работающего в диапазоне, отличающемся от стандартного температурного диапазона. Межгосударственные стандарты серии ГОСТ 31610 (МЭК 60079) не устанавливают требования по защите от других источников воспламенения, непосредственно не связанных с риском взрыва, таких как адиабатическое сжатие, ударные волны, экзотермическая химическая реакция, самовоспламенение пыли, открытое пламя и горячие газы/жидкости. Требования стандарта дополняются или заменяются требованиями стандартов и технических требований, за исключением положений 1.2 настоящего стандарта: ГОСТ IEC 60079-1, ГОСТ IEC 60079-2, ГОСТ 31610.5, ГОСТ 31610.6, ГОСТ 31610.7, ГОСТ 31610.11, ГОСТ 31610.13, ГОСТ 31610.15, ГОСТ 31610.18, ГОСТ IEC 60079-25, ГОСТ 31610.26, ГОСТ 31610.28, ГОСТ IEC 60079-29-1, ГОСТ 31610.30-1, ГОСТ IEC 60079-31, ГОСТ 31610.33, ГОСТ 31610.35-1, ГОСТ 31610.39, ГОСТ 31610.40, ГОСТ 32407, ГОСТ ISO/DIS 80079-37, [1]. Стандарт, а также дополнительные стандарты, упомянутые выше, не распространяются на электрические медицинские изделия, взрывотехнические приборы, приборы для проверки электродетонаторов и взрывные цепи. Требования раздела 29 настоящего стандарта имеют приоритет по отношению к требованиям ГОСТ 32407 и ГОСТ ISO/DIS 80079-37 в части указания номера стандарта в маркировке. Примеры маркировки в соответствии с ГОСТ 32407 и ГОСТ ISO/DIS 80079-37 приведены в разделе 29 настоящего стандарта. |
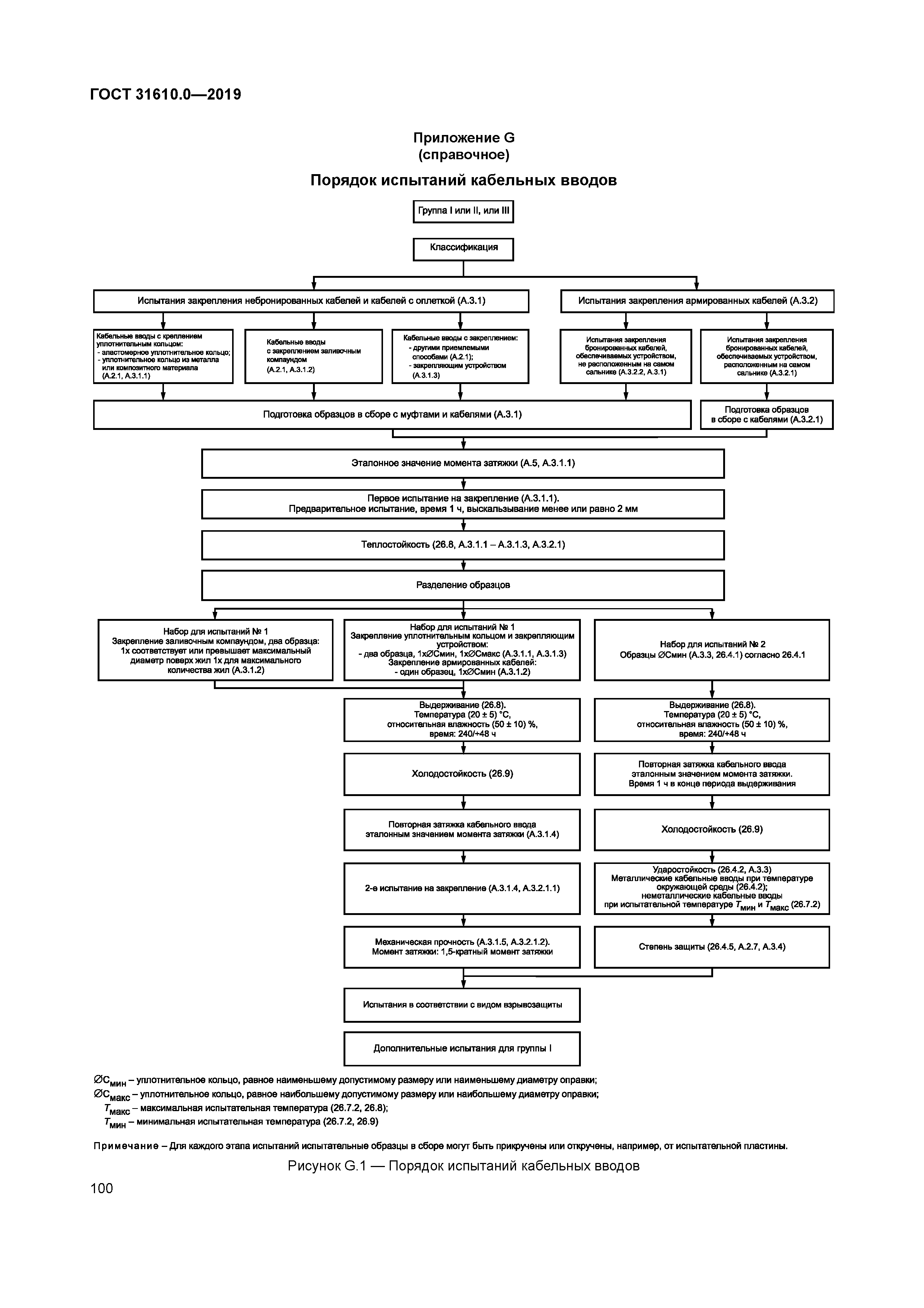
| Оглавление: | 1 Область применения 2 Нормативные ссылки 3 Термины и определения 4 Классификация оборудования по группам 4.1 Общие положения 4.2 Группа I 4.3 Группа II 4.4 Группа III 4.5 Оборудование для применения в конкретной взрывоопасной газовой среде 5 Температуры 5.1 Влияние окружающей среды 5.2 Эксплуатационная температура 5.3 Максимальная температура поверхности 6 Требования ко всему оборудованию 6.1 Общие положения 6.2 Механическая прочность оборудования 6.3 Время открытия оболочки 6.4 Блуждающие токи в оболочках (например, крупных электрических машин) 6.5 Крепление прокладки 6.6 Оборудование, создающее электромагнитные и ультразвуковые излучения 7 Неметаллические оболочки и неметаллические части оболочек 7.1 Общие требования 7.2 Теплостойкость 7.3 Светостойкость к воздействию УФ-света 7.4 Заряды статического электричества на внешних неметаллических материалах 7.5 Прикрепленные внешние проводящие части 8 Металлические оболочки и металлические части оболочек 8.1 Состав материала 8.2 Группа I 8.3 Группа II 8.4 Группа III 8.5 Медные сплавы 9 Крепежные детали 9.1 Общие требования 9.2 Специальные крепежные детали 9.3 Отверстия для специальных крепежных деталей 9.4 Установочные винты с шестигранным углублением под ключ 10 Блокировки 11 Проходные изоляторы 12 Зарезервировано 13 Ex-компоненты 13.1 Общие требования 13.2 Монтаж 13.3 Монтаж внутри оборудования 13.4 Монтаж снаружи оборудования 13.5 Сертификат Ex-компонента 14 Соединительные устройства 14.1 Общие требования 14.2 Вид взрывозащиты 14.3 Пути утечки и электрические зазоры 15 Соединительные устройства для заземляющих проводников или проводников, обеспечивающих уравнивающее соединение 15.1 Оборудование, требующее заземления или уравнивающего соединения 15.2 Оборудование, не требующее заземления 15.3 Размер поперечного сечения защитного заземляющего проводника 15.4 Размер поперечного сечения эквипотенциального уравнивающего проводника 15.5 Защита от коррозии 15.6 Безопасность электрических соединений 15.7 Внутренняя шина заземления 16 Вводы в оболочки 16.1 Общие требования 16.2 Идентификация вводов 16.3 Кабельные вводы 16.4 Заглушки 16.5 Резьбовые переходники 16.6 Температура в месте разделки жил и ввода 16.7 Электростатические заряды на оболочках кабеля 17 Дополнительные требования к электрическим машинам 17.1 Общие требования 17.2 Вентиляция 17.3 Подшипники 18 Дополнительные требования к коммутационным аппаратам 18.1 Горючий диэлектрик 18.2 Разъединители 18.3 Группа I. Обеспечение запирания 18.4 Двери и крышки 19 Зарезервировано 20 Дополнительные требования к внешним вилкам, штепсельным розеткам и соединителям для выполнения присоединений на месте эксплуатации 20.1 Общие требования 20.2 Взрывоопасные газовые среды 20.3 Взрывоопасные пылевые среды 20.4 Вилки под напряжением 21 Дополнительные требования к осветительным приборам 21.1 Общие требования 21.2 Крышки осветительных приборов с уровнем взрывозащиты оборудования Mb, Gb или Db 21.3 Крышки осветительных приборов с уровнем взрывозащиты оборудования Gc, Mc или Dc 21.4 Натриевые лампы 22 Дополнительные требования к головным и ручным светильникам 22.1 Головные светильники группы I 22.2 Головные и ручные светильники групп II и III 23 Оборудование, содержащее элементы и батареи 23.1 Общие требования 23.2 Соединение элементов для образования батарей 23.3 Типы элементов 23.4 Элементы в батарее 23.5 Номинальные характеристики батарей 23.6 Взаимозаменяемость 23.7 Зарядка первичных батарей 23.8 Утечка 23.9 Подключение 23.10 Расположение 23.11 Замена элементов или батарей 23.12 Заменяемый портативный батарейный источник питания 24 Документация 25 Соответствие прототипа или образца документации 26 Типовые испытания 26.1 Общие требования 26.2 Условия испытаний 26.3 Испытания во взрывоопасных испытательных смесях 26.4 Испытания оболочек 26.5 Тепловые испытания 26.6 Испытание проходных изоляторов крутящим моментом 26.7 Неметаллические оболочки или неметаллические части оболочек 26.8 Теплостойкость 26.9 Холодостойкость 26.10 Светостойкость к УФ-свету 26.11 Стойкость оборудования группы I к воздействию химических агентов 26.12 Проверка целостности заземления 26.13 Испытание по определению электрического поверхностного сопротивления частей оболочек из неметаллических материалов 26.14 Измерение емкости 26.15 Проверка номинальных характеристик вентиляторов 26.16 Альтернативные испытания эластомерных уплотнительных колец 26.17 Испытания переносимого заряда 27 Контрольные испытания 28 Ответственность изготовителя 28.1 Соответствие документации 28.2 Сертификат 28.3 Ответственность за маркировку 29 Маркировка 29.1 Применяемость 29.2 Расположение маркировки 29.3 Общие требования 29.4 Ех-маркировка для взрывоопасных газовых сред 29.5 Ех-маркировка взрывоопасных пылевых сред 29.6 Комбинации видов взрывозащиты (или уровней защиты) 29.7 Использование нескольких видов взрывозащиты 29.8 Оборудование Ga, в котором используется два независимых вида взрывозащиты (или уровня защиты), соответствующих уровню взрывозащиты оборудования Gb 29.9 Разделительная перегородка 29.10 Ех-компоненты 29.11 Малогабаритные Ex-оборудование и Ex-компоненты 29.12 Особо малогабаритные Ex-оборудование и Ex-компоненты 29.13 Предупредительные надписи 29.14 Элементы и батареи 29.15 Электрические машины с питанием через преобразователь 29.16 Примеры маркировки 30 Руководства по эксплуатации 30.1 Общие требования 30.2 Элементы и батареи 30.3 Электрические машины 30.4 Вентиляторы 30.5 Кабельные вводы Приложение A (обязательное) Дополнительные требования к кабельным вводам Приложение B (обязательное) Требования к Ex-компонентам Приложение C (справочное) Пример установки для испытаний на ударостойкость Приложение D (справочное) Вращающиеся электрические машины, подключенные к преобразователям Приложение E (справочное) Тепловые испытания вращающихся электрических машин Приложение F (справочное) Схема испытаний неметаллических оболочек или неметаллических частей оболочек Приложение G (справочное) Порядок испытаний кабельных вводов Приложение H (справочное) Напряжение на концах вала, вызывающее искрение в подшипнике двигателя или на шейке. Расчет энергии разряда Приложение ДА (справочное) Сведения о соответствии ссылочных межгосударственных стандартов международным стандартам, использованным в качестве ссылочных в примененном международном стандарте Библиография |
| Разработан: | АННО Ех-стандарт |
| Утверждён: | 28.11.2019 Межгосударственный Совет по стандартизации, метрологии и сертификации (Inter-Governmental Council on Standardization, Metrology, and Certification 124-П) 29.11.2019 Федеральное агентство по техническому регулированию и метрологии (1284-ст) |
| Издан: | Стандартинформ (2020 г. ) |
| Заменяет собой: | |
| Нормативные ссылки: |
|
































































































































