Главная // Актуальные документы // ПереченьСПРАВКА
Источник публикации
М., 2020
Примечание к документу
Название документа
"Р 4.2.3676-20. 4.2. Биологические и микробиологические факторы. Методы лабораторных исследований и испытаний дезинфекционных средств для оценки их эффективности и безопасности. Руководство"
(утв. Роспотребнадзором 18.12.2020)
"Р 4.2.3676-20. 4.2. Биологические и микробиологические факторы. Методы лабораторных исследований и испытаний дезинфекционных средств для оценки их эффективности и безопасности. Руководство"
(утв. Роспотребнадзором 18.12.2020)
Руководитель Федеральной службы
по надзору в сфере защиты прав
потребителей и благополучия человека,
Главный государственный санитарный врач
Российской Федерации
А.Ю.ПОПОВА
18 декабря 2020 года
4.2. БИОЛОГИЧЕСКИЕ И МИКРОБИОЛОГИЧЕСКИЕ ФАКТОРЫ
МЕТОДЫ ЛАБОРАТОРНЫХ ИССЛЕДОВАНИЙ И ИСПЫТАНИЙ ДЕЗИНФЕКЦИОННЫХ
СРЕДСТВ ДЛЯ ОЦЕНКИ ИХ ЭФФЕКТИВНОСТИ И БЕЗОПАСНОСТИ
РУКОВОДСТВО
Р 4.2.3676-20
1. Разработано ФБУН "Научно-исследовательский институт дезинфектологии" Роспотребнадзора (Т.В. Гололобова, Л.Г. Пантелеева, Л.С. Федорова, С.А. Рославцева, А.Ю. Скопин, М.В. Бидевкина, О.Ю. Еремина, Н.И. Шашина, Е.И. Баканова, Т.Б. Захарова, А.Л. Караев, Н.Н. Левчук, А.В. Лиманцев, Ю.В. Лопатина, В.В. Олифер, Г.П. Панкратова, С.В. Рябов, Т.Н. Шестопалова, А.С. Белова, Т.В. Воронцова, О.М. Германт, Т.Н. Потапова, А.А. Серов, А.И. Виноградова, А.В. Ильякова, К.С. Кривонос, Е.А. Матвеева, Д.Ю. Мохирев, Н.К. Ахмед); ФБУН "Федеральный научный центр гигиены им. Ф.Ф. Эрисмана" Роспотребнадзора (Г.М. Трухина); ФГБУ "Центр стратегического планирования и управления медико-биологическими рисками здоровью" ФМБА (Ю.А. Рахманин, З.И. Жолдакова, Р.А. Мамонов); ФГБОУ ДПО "Российская медицинская академия непрерывного профессионального образования" Минздрава России (Н.В. Шестопалов).
2. Утверждено Руководителем Федеральной службы по надзору в сфере защиты прав потребителей и благополучия человека, Главным государственным санитарным врачом Российской Федерации А.Ю. Поповой "18" декабря 2020 г.
| | ИС МЕГАНОРМ: примечание. В официальном тексте документа, видимо, допущена опечатка: гл. 9 в Р 4.2.2643-10 отсутствует. | |
3.
Р 4.2.3676-20 введено взамен глав 1 - 3, 5 - 9, приложения 1 руководства Р 4.2.2643-10 "Методы лабораторных исследований и испытаний дезинфекционных средств для оценки их эффективности и безопасности", утвержденного Руководителем Федеральной службы по надзору в сфере защиты прав потребителей и благополучия человека, Главным государственным санитарным врачом Российской Федерации 01.06.2010.
1.1. Настоящее руководство (далее - руководство) включает единые методы лабораторных исследований и испытаний средств, технологий, устройств, оборудования, материалов, предназначенных для дезинфекции, предстерилизационной обработки, стерилизации, дезинсекции, дератизации (далее - дезинфекционных средств).
В руководстве приведены методы оценки антимикробной, в т.ч. вирулицидной, инсектицидной, акарицидной, репеллентной и родентицидной активности, эффективности и безопасности дезинфекционных средств.
1.2. Руководство предназначено для юридических лиц, испытательных лабораторных центров и испытательных лабораторий, других организаций и специалистов, осуществляющих исследования и испытания дезинфекционных средств в процессе их разработки, производства, применения, при проведении испытаний, исследований и экспертизы с целью государственной регистрации, подтверждения соответствия готовой продукции, а также в рамках производственного контроля и федерального государственного санитарно-эпидемиологического надзора.
2.1. Оценка активности и эффективности дезинфекционных средств проводится с целью установления наличия у них антимикробного, инсектицидного, акарицидного, родентицидного, репеллентного действия, а также эффективных режимов (концентрация, норма расхода, время экспозиции), методов и способов применения, при которых достигается соответствующее действие.
2.2. Оценка безопасности дезинфекционных средств проводится с целью установления оптимальных условий использования дезинфекционных средств, при которых исследуемое средство, его компоненты, либо возникающие при его применении эффекты не оказывают вредного влияния на человека, обрабатываемые объекты и окружающую среду.
2.3. Оценку эффективности и безопасности дезинфекционных средств проводят после химико-аналитических исследований, подтвердивших соответствие состава образца заявленному в рецептуре.
2.4. При оценке эффективности и безопасности дезинфицирующих средств, имеющих одинаковое, в сравнении с изученными ранее средствами, количество одинаковых действующих веществ, могут быть использованы только наиболее устойчивые микроорганизмы, наиболее значимые показатели безопасности и объекты обеззараживания.
2.5. Приведенные в руководстве наименования средств измерений, вспомогательных устройств, материалов, реактивов и питательных сред не исключают возможности применения средств измерений, оборудования, реактивов, питательных сред и диагностических препаратов с аналогичными или усовершенствованными свойствами (характеристиками).
2.6. Руководство носит рекомендательный характер.
III. Микробиологические методы исследований и критерии
оценки эффективности дезинфицирующих и стерилизующих средств
3.1. Общие сведения о микробиологических испытаниях
дезинфицирующих средств
3.1.1. Химические дезинфицирующие средства представляют собой индивидуальные химические соединения (вещества) или композиционные составы, включающие одно или несколько действующих веществ (далее - ДВ), обладающих антимикробным (бактерицидным, фунгицидным, вирулицидным, спороцидным) действием. В их состав могут входить вспомогательные компоненты, усиливающие эффективность ДВ, а также стабилизаторы, ингибиторы коррозии, моющие вещества, красители, отдушки.
3.1.2. Микробиологические исследования включают изучение антимикробной активности ДВ и изучение эффективности дезинфицирующих средств. Объем микробиологических исследований определяется особенностями объектов, в отношении которых предполагается применение дезинфицирующих средств. Микробиологические исследования проводятся после химико-аналитических исследований, подтверждающих соответствие средства его рецептуре, спецификации или техническим условиям.
3.1.3. Исследования дезинфицирующих средств включают 3 этапа:
1) определение in vitro спектра антимикробной активности и влияния на нее различных факторов: pH, органических веществ, температуры. При исследовании субстанций, предназначенных для производства дезинфицирующих средств, определяют только спектр антимикробной активности;
2) исследование эффективности при обеззараживания искусственно контаминированных тест-микроорганизмами объектов в лабораторных условиях с целью разработки режимов применения дезинфицирующих средств с учетом условий их дальнейшего применения в практике для обеззараживания белья, поверхностей, санитарно-технического оборудования, посуды, предметов ухода за больными, игрушек, выделений и др. в зависимости от вида микроорганизма, концентрации ДВ, времени воздействия, нормы расхода, характера объекта, наличия на нем органического загрязнения и его специфики, температуры, способа и кратности обработки;
3) испытания дезинфицирующих средств в практических условиях для подтверждения эффективности разработанных режимов применения проводятся в следующих случаях:
- исследования средства, содержащего новое или ранее не изученное ДВ;
- нового способа применения, значительного снижения концентрации и времени воздействия по сравнению с ранее разрешенными режимами и пр.
3.1.4. Тест-объекты для исследования эффективности дезинфицирующих средств. При изучении эффективности дезинфицирующих средств с целью разработки режимов дезинфекции поверхностей в помещениях, оборудования, приборов, аппаратов, транспорта и др. используют разнообразные виды поверхностей (гладкие, шероховатые, пористые, впитывающие, не впитывающие и др.) размером 10 x 10 см или 5 x 5 см, изготовленные из разных материалов. Набор тест-объектов для проведения исследований, испытаний определяется назначением средства и, при необходимости, техническим заданием на проведение работ.
3.1.4.1. Рекомендации к тест-поверхностям. Поверхности должны быть стойкими к воздействию моющих и дезинфицирующих средств, не обладать антимикробными свойствами и соответствовать национальным и межгосударственным стандартам (далее - стандарты):
- деревянные поверхности, подготовленные из доски 25 x 100 x 3000 мм, соответствующие
ГОСТ 2695 пиломатериалы лиственных пород, неокрашенные;
- деревянные поверхности, подготовленные из доски 25 x 100 x 3000 мм, соответствующие
ГОСТ 2695 пиломатериалы лиственных пород, с различными лакокрасочными покрытиями (алкидные краски, масляные краски, вододисперсные краски, нитроэмали, лаки на основе нитроцеллюлозы, воды, акрила, полиуретана) в соответствии с
ГОСТ 24404;
- поверхности из древесины и древесных материалов, покрытые настенными обоями, соответствующими
ГОСТ 6810;
- поверхности из линолеума с гладкой или тисненой поверхностью различных видов: линолеум резиновый многослойный
ГОСТ 16914, линолеум поливинилхлоридный на тканой и нетканой подоснове
ГОСТ 7251, линолеум поливинилхлоридный на тепло-, звукоизолирующей подоснове
ГОСТ 18108;
- поверхности из легированных нержавеющих сталей и коррозионностойких сплавов, соответствующих
ГОСТ 5632;
- поверхности из металлов с различными лакокрасочными покрытиями (алкидные краски, масляные краски, эмали, различные грунтовочные покрытия) в соответствии с
ГОСТ 23852;
- поверхности из различных полимерных материалов: полиолефины (полиэтилен, полипропилен), поливинилхлорид, поликарбонат, полиметилметакрилат, фторопласт в соответствии с
ГОСТ Р 50962;
- поверхности из листового стекла (оконное гладкое, матовое, с рифленой поверхностью) в соответствии с
ГОСТ 111;
| | ИС МЕГАНОРМ: примечание. В официальном тексте документа, видимо, допущены опечатки: стандарты имеют номера ГОСТ Р 57019-2016, ГОСТ Р 56626-2015, а не ГОСТ 57019, ГОСТ 56626 соответственно. | |
- поверхности из искусственной кожи различного назначения: искусственная кожа обивочная в соответствии с
ГОСТ 57019, искусственная кожа галантерейная в соответствии с
ГОСТ 56626;
| | ИС МЕГАНОРМ: примечание. В официальном тексте документа, видимо, допущена опечатка: стандарт имеет номер ГОСТ Р 57141-2016, а не ГОСТ 57141. | |
- поверхности из керамической плитки различных видов: кафель глазурованный в соответствии с
ГОСТ 6141, плитка керамическая метлахская в соответствии с
ГОСТ 6787, керамогранитная плитка в соответствии с
ГОСТ 57141.
3.1.4.2. При исследовании эффективности дезинфицирующих средств с целью разработки режимов дезинфекции столовой посуды, столовых приборов, лабораторной посуды используют следующие тест-объекты:
- посуда лабораторная - пробирки, пипетки, предметные стекла по
ГОСТ 1770;
- посуда для сбора выделений - подкладные судна, мочеприемники, горшки, плевательницы и др. или тест-объекты, их имитирующие.
3.1.4.3. При исследовании эффективности дезинфицирующих средств с целью разработки режимов дезинфекции белья используют ткани из натуральных, синтетических и смесовых волокон, соответствующие стандартам:
- смесовые ткани: хлопок с содержанием синтетических волокон от 20 до 50%, хлопок с содержанием синтетических волокон от 50 до 80% по
ГОСТ 11209;
- синтетические ткани: ткань полиамидная текстильная по
ГОСТ 32085.
3.1.4.4. При исследовании эффективности дезинфицирующих средств с целью разработки режимов обеззараживания медицинских изделий, предметов ухода за больными, воды, овощей, фруктов и др. используются натуральные изделия или тест-объекты, указанные в соответствующих разделах.
3.1.4.5. Подготовка тест-объектов для исследования эффективности дезинфицирующих средств при обеззараживании поверхностей в помещениях, оборудования, приборов. Тест-поверхности выбирают перед экспериментом в количестве, достаточном для проведения исследований (не менее пяти видов поверхностей). Тест-поверхности, устойчивые к воздействию температуры и пара, подвергают механической очистке - моют водой с мылом, щеткой и высушивают. Затем упаковывают в стерилизационные упаковочные материалы, разрешенные к применению в установленном порядке, с указанием даты упаковки, вида и количества тест-объектов, стерилизуют паровым методом при плюс 132 °C (2,0 кгс/см2) 20 мин. Тест-поверхности, не устойчивые к воздействию температуры и пара (поверхности, оклеенные обоями, окрашенные клеевой краской и др.) перед экспериментом протирают несколько раз стерильной марлевой салфеткой, увлажненной 6% перекисью водорода.
3.1.4.6. Подготовка тест-объектов для исследования эффективности средств при обеззараживании столовой посуды, столовых приборов, лабораторной посуды. Тест-объекты подвергают механической очистке - моют водой с мылом и щеткой, высушивают. Затем упаковывают в стерилизационные упаковочные материалы, разрешенные к применению в установленном порядке, с указанием даты упаковки, вида и количества тест-объектов, стерилизуют паровым методом при плюс 132 °C (2,0 кгс/см2) 20 мин.
3.1.4.7. Подготовка тест-объектов для исследования эффективности средств при обеззараживании белья. Эффективность средств при обеззараживании белья определяют с помощью тест-объектов, представляющих собой кусочки ткани из бязи (или др. материала) размером 2 x 2 см. Перед приготовлением тест-объектов отрез ткани погружают на 24 ч в холодную воду для удаления аплитуры, крахмала. Затем его тщательно стирают с мылом, кипятят, сушат и гладят утюгом. После этого разрезают ножницами на тест-объекты размером 2 x 2 см и раскладывают в чашки Петри, последние упаковывают в стерилизационные упаковочные материалы, разрешенные к применению в установленном порядке, с указанием даты упаковки, вида и количества тест-объектов и стерилизуют паровым методом при плюс 132 °C (2,0 кГс/см2) 20 мин.
3.1.4.8. Медицинские изделия, предметы ухода за больными, овощи, фрукты и др. объекты, используемые для оценки дезинфицирующей активности (натуральные изделия или тест-объекты), подготавливают к проведению эксперимента, как указано выше для термоустойчивых и термонеустойчивых материалов. Простерилизованные тест-объекты хранят в стерилизационных упаковочных материалах, в специально отведенном шкафу в "чистой зоне" лаборатории в соответствии инструкцией по применению упаковочных материалов. По истечении срока хранения тест-объекты подлежат повторной стерилизации. Упаковочные материалы с простерилизованными тест-объектами вскрывают в боксированном помещении (в ламинарном боксе) с соблюдением асептических условий непосредственно перед постановкой эксперимента.
3.1.4.9. После эксперимента использованные тест-объекты, кроме тканей, с целью обеззараживания погружают в емкость с раствором перекиси водорода определенной концентрации на время экспозиции в соответствии с устойчивостью конкретного вида микроорганизма:
бактерии в вегетативной форме (кроме микобактерий) | - в 3%-й раствор на 30 мин; |
вирусы | - в 6%-й раствор на 60 мин; |
грибы | - в 6%-й раствор на 90 мин; |
бактерии в споровой форме | - в 6%-й раствор на 120 мин; |
микобактерии | - в 6%-й раствор на 240 мин. |
После дезинфекции тест-объекты моют под проточной водой, сушат и хранят в шкафах в помещениях лаборатории.
Тест-объекты из ткани после эксперимента обеззараживают в паровом стерилизаторе по режиму: плюс 132 °C (2,0 кГс/см2) 20 мин, затем утилизируют.
3.1.5. Приготовление растворов дезинфицирующих средств и субстанций для исследования их эффективности. Растворы дезинфицирующих средств и их субстанций готовят непосредственно перед проведением исследований (кроме тех случаев, когда изучают стабильность рабочих растворов в процессе хранения) в помещении, оборудованном приточно-вытяжной принудительной вентиляцией.
3.1.5.1. При исследовании средств, производимых в форме гранул, порошков, таблеток и др., растворы дезинфицирующих средств используют только после полного растворения ДВ дезинфицирующего средства (если не указано на возможность выпадения осадка).
3.1.5.2. Для оценки антимикробного действия субстанций и средств в лабораторных условиях и исследования эффективности дезинфицирующих средств, предназначенных для обеззараживания различных объектов, растворы дезинфицирующих средств готовят на дехлорированной водопроводной питьевой воде. Для этого необходимое количество сухого средства или жидкого концентрата вносят в стерильную пробирку (колбу) и добавляют расчетное количество воды, тщательно размешивают и закрывают резиновой пробкой. Отмечают в рабочем журнале время полного растворения и внешний вид приготовленного рабочего раствора.
3.1.5.3. Температура растворов дезинфицирующих средств должна быть в пределах плюс (20 +/- 2) °C (если по условиям эксперимента не рекомендована другая температура), независимо от температуры окружающей среды. Для поддержания требуемой температуры используют водяную баню.
3.1.5.4. При испытаниях дезинфицирующих средств в практических условиях рабочие растворы готовят на нестерильной водопроводной питьевой воде комнатной температуры плюс (20 +/- 2) °C или, в соответствии с рекомендациями инструкции по испытанию, - на нестерильной водопроводной питьевой воде умеренно повышенной температуры плюс 45 - 50 °C. Навеску средства или отмеренное количество жидкого концентрата вносят в соответствующую емкость, добавляют воду, размешивают и закрывают крышкой. Работу с раствором начинают после полного растворения ДВ. Рабочие растворы средств из таблеток готовят путем добавления в отмеренный объем воды определенного числа таблеток.
3.1.5.5. Рабочие растворы дезинфицирующих средств субстанций и средств готовят с соблюдением мер предосторожности. Если ДВ относится к летучим веществам и представляет опасность при ингаляционном воздействии, растворы готовят в вытяжном шкафу или в отдельном помещении, оборудованном приточно-вытяжной вентиляцией, в средствах индивидуальной защиты: респираторе по типу "РУ-60М" или "РПГ-67", влагонепроницаемых перчатках, защитных очках.
3.1.5.6. Исследуемые средства (перед, во время и после исследований) следует хранить в соответствии с техническими условиями или спецификацией, инструкцией по применению, этикеткой. При отсутствии такой информации средства следует хранить при температуре от плюс (5 - 30) °C.
3.1.6. Методы нейтрализации ДВ при исследовании эффективности дезинфицирующих средств. При исследованиях микробоцидного действия дезинфицирующих средств необходимо исключить микробостатическое действие ДВ. Для этого по истечении времени экспозиции необходимо прекратить воздействие ДВ на тест-культуру микроорганизма. Это достигается путем использования следующих методов:
- применением химического нейтрализатора;
- посевом в большой объем питательной среды;
- ежедневным пересевом на новые питательные среды.
3.1.6.1. Для нейтрализации ДВ используют нейтрализатор. Нейтрализатор - вещество (или несколько веществ), которое устраняет (нейтрализует) действие химического средства на микробную клетку, но при этом не вызывает гибель тест-микроорганизма, не задерживает его рост и размножение.
3.1.6.2. Тест-объекты после воздействия химического агента промывают в нейтрализаторе или добавляют его непосредственно в питательную среду (если установлено, что вносимая концентрация нейтрализатора не вызывает гибели и не задерживает роста тест-микроорганизмов).
3.1.6.3. В качестве нейтрализаторов ДВ из различных химических групп применяют следующие:
- для галоидактивных (хлор-, бром-, йодактивные) и кислородактивных (перекись водорода, ее комплексы с солями, надуксусная кислота, озон) - 0,1 - 1,0%-е растворы тиосульфата натрия;
- для четвертичных аммониевых солей (алкилдиметилбензиламмоний хлорид, дидецилдиметиламмоний хлорид и др.), производных гуанидина (полигексаметиленгуанидин гидрохлорид, хлоргексидин биглюконат и др.) - 0,1 - 1,0%-е растворы лаурилсульфата натрия (сульфонол) или растворы лаурилсульфата натрия с 10% обезжиренного молока, или универсальный нейтрализатор (см. ниже);
- для альдегидов (глутаровый альдегид, глиоксаль, формальдегид, ортофталевый альдегид) - 1,0%-й раствор пиросульфита (метабисульфита) натрия или универсальный нейтрализатор, содержащий Твин 80 (3%), сапонин (0,3 - 3%), гистидин (0,1%), цистеин (0,1%), лецитин (0,1%);
- для кислот - щелочи в эквивалентном количестве;
- для щелочей - кислоты в эквивалентном количестве;
- для спиртов - разведение в воде до недействующей концентрации;
- для композиционных средств - универсальный нейтрализатор. Если в состав композиции входят окислители, в нейтрализатор дополнительно вводят 0,1 - 1,0% тиосульфата натрия.
3.1.6.4. Метод контроля полноты нейтрализации ДВ с использованием культуры бактерий. В целях сокращения времени на подбор оптимального нейтрализатора, а также объективного подтверждения того, что ДВ, входящие в состав субстанции или дезинфицирующего средства, полностью нейтрализованы, используют культуру бактерий, чувствительную к исследуемому ДВ, например, тест-штамм
E. coli или
S. aureus. Перед исследованием антимикробной активности каждого дезинфицирующего средства необходимо проведение контроля эффективности нейтрализации остаточного действия этого средства на микробную клетку, а также бактерицидного и бактериостатического действия используемой концентрации нейтрализатора. Для контроля эффективности нейтрализатора и полноты нейтрализации ДС используют суспензионный метод, предусматривающий проведение исследования, основные операции которого и их назначение приведены на
схеме 3.1 и в
табл. 3.1.
Схема 3.1
Проведение эксперимента по контролю эффективности
нейтрализации действия дезинфицирующего средства
Таблица 3.1
Назначение операций эксперимента по оценке эффективности
нейтрализации остаточного действия дезинфицирующего средства
N | Назначение операции исследования | Процедура выполнения операции исследования | Ожидаемый результат |
1 | 2 | 3 | 4 |
1 | Контроль губительного действия дезинфицирующего средства | к 9 см3 суспензии тест-культуры (103 КОЕ/см3) на дистиллированной воде + 1 см3 раствора дезинфицирующего средства | Рост микроорганизмов должен отсутствовать |
2 | Контроль полноты нейтрализации ДС | к 9 см3 суспензии тест-культуры (103 КОЕ/см3) на нейтрализаторе + 1 см3 раствора дезинфицирующего средства | Примерно одинаковое количество колоний в посевах проб (по 0,1 см3) на плотной питательной среде |
3 | Контроль отсутствия антимикробного эффекта у нейтрализатора | к 9 см3 суспензии тест-культуры (103 КОЕ/см3) на нейтрализаторе + 1 см3 раствора нейтрализатора |
4 | Референс-контроль количества бактерий (E. coli) | к 9 см3 суспензии тест-культуры (103 КОЕ/см3) на ДВ + 1 см3 дистиллированной воды |
Примечание: спустя 5 мин после постановки опыта из каждой из четырех проб производят посев смеси по 0,1 см3 как минимум на 3 пробирки со скошенной питательной средой, которые инкубируют в термостате при 37 °C, по истечении 2 - 3 суток учитывают результаты исследований |
3.2. Методы исследования и оценки бактерицидной активности
дезинфицирующих средств и субстанций
3.2.1. Тест-микроорганизмы для изучения бактерицидной активности дезинфицирующих средств и их субстанций. При изучении бактерицидной активности дезинфицирующих средств и дезинфицирующих субстанций используют следующие тест-микроорганизмы:
- Staphylococcus aureus (шт. 906) или (шт. ATCC N 6538-P), Listeria monocytogenes (шт. 766) - для оценки бактерицидной активности в отношении грамположительных бактерий;
- Escherichia coli (шт. 1257) или (шт. ATCC 10536), Pseudomonas aeruginosa (шт. ATCC 27853 (F-51) или (шт. ATCC 15442), Salmonella typhimurium (шт. ATCC 13311) - для оценки бактерицидной активности в отношении грамотрицательных бактерий.
3.2.1.1. Возможно использование других штаммов тест-микроорганизмов, соответствующих указанным по устойчивости к эталонным дезинфицирующим средствам.
3.2.1.2. При экспертной оценке и испытаниях в целях оценки соответствия зарегистрированных дезинфицирующих средств набор тест-микроорганизмов может быть ограничен наиболее устойчивыми представителями каждой группы.
3.2.1.3. При необходимости перечень тест-микроорганизмов при проведении испытаний может быть шире стандартного, о чем имеются указания в соответствующих разделах по изучению эффективности ДС при обеззараживании отдельных объектов.
3.2.1.4. Тест-микроорганизмы культивируют на следующих питательных средах: E. coli, S. typhimurium, P. aeruginosa и S. aureus - на казеиновом бульоне, мясо-пептонном бульоне, агаре Эндо, казеиновом агаре, мясо-пептонном агаре (далее - МПА) и др. при температуре плюс (37 +/- 1) °C течение 18 - 24 ч.
3.2.1.5. Эталонные штаммы указанных выше тест-микроорганизмов хранят при температуре плюс (4 +/- 2) °C в ампулах (после лиофильной сушки), в замороженном виде - в среде с криопротектором в криопробирках при температуре минус 70 °C или на плотных питательных средах (посев уколом) под слоем стерильного вазелинового масла (толщина слоя 1,5 - 3 мм), рабочие культуры - на скошенном агаре или в бульоне.
3.2.1.6. При наличии низкотемпературной морозильной камеры до минус 70 °C из образца эталонного штамма тест-микроорганизма, получаемого из государственных или национальных коллекций, готовят субкультуры в бульоне с криопротектором в необходимом для работы количестве (50 - 100 и более криопробирок), которые затем хранят в коллекции лаборатории в условиях глубокой заморозки при температуре минус 70 °C и используют для приготовления рабочих культур контрольных штаммов. При отсутствии низкотемпературной морозильной камеры криопробирки хранятся при минус 20 °C не более 5 лет.
3.2.1.7. При отсутствии низкотемпературных морозильных камер на минус 70 °C и минус 20 °C из эталонного штамма тест-микроорганизма готовят субкультуры в полужидком агаре в необходимом для работы количестве. Приготовленные субкультуры хранят при температуре плюс (2 - 8) °C под слоем стерильного вазелинового масла (толщина слоя 1,5 - 3 мм) не более 6 месяцев.
3.2.1.8. В целях сохранения таксономически важных признаков и устойчивости культуры к эталонным дезинфицирующим средствам число пассажей тестового микроорганизма на питательных средах с момента его восстановления до момента его целевого использования должно быть, по возможности, минимальным - не более двух.
3.2.1.9. Тест-микроорганизмы должны иметь типичные биохимические, морфологические, тинкториальные, культуральные и ферментативные свойства, присущие данному виду, и обладать стандартной устойчивостью к эталонным дезинфицирующим средствам: растворам хлорамина, перекиси водорода, Катамина АБ - алкилдиметилбензиламмония хлорида (далее - АДБАХ), глутарового альдегида
(табл. 3.2).
Таблица 3.2
Устойчивость микроорганизмов
к эталонным дезинфицирующим средствам
Эталонные дезинфицирующие средства | Концентрация раствора по ДВ, % | Время гибели тест-микроорганизмов, мин, не менее |
E. coli, шт. ATCC 10536 | S. aureus, шт. ATCC N 6538-P | P. aeruginosa шт. ATCC 27853 | S. typhimurium шт. ATCC 13311 |
Хлорамин | 0,020* | 5 | - | 10 | 5 |
0,200* | - | 15 | - | - |
АДБАХ | 0,025 | 20 | 10 | 10 | 20 |
Глутаровый альдегид | 0,030 | 10 | - | 10 | 10 |
0,060 | - | 10 | - | - |
Перекись водорода | 2,000 | 10 | - | 10 | 10 |
3,000 | - | 25 | - | - |
Примечание: * - концентрация раствора указана по препарату; "-" - устойчивость микроорганизмов к данным концентрациям дезинфицирующих средств не оценивалась.
3.2.1.10. Устойчивость тест-микроорганизмов к эталонным дезинфицирующим средствам определяют методом батистовых тест-объектов
(п. 3.2.3.2). Проверку устойчивости тест-микроорганизмов проводят не реже 1 раза в месяц. При снижении резистентности культур делают их пересевы на обогащенные питательные среды до восстановления устойчивости.
3.2.2. Методы приготовления суспензии тест-микроорганизмов. Определение биологической концентрации тест-микроорганизмов в бактериальной суспензии.
3.2.2.1. Культуры бактерий, выращенные на питательных средах, подвергают контролю качества. В частности, непосредственно перед использованием тест-культур для исследовательских целей необходимо убедиться в том, что среди тест-микроорганизмов, выросших на питательной среде, нет посторонней микрофлоры. Для оценки роста тест-микроорганизмов визуально просматривают каждую пробирку и учитывают характер и массивность роста, изменение цвета питательной среды. Проводят микроскопию мазка с выросшими тест-микроорганизмами, окрашенными по Граму.
3.2.2.2. Рабочую суспензию тест-микроорганизмов готовят из культуры данного тест-штамма, выращенного на плотной питательной среде (МПА или казеиновый агар) при температуре плюс (37 +/- 1) °C в течение 18 - 24 ч. Для приготовления бактериальной взвеси культуру смывают с агара стерильной питьевой водой. Полученную взвесь тест-микроорганизмов фильтруют через ватно-марлевый фильтр и разводят стерильной питьевой водой до концентрации 2·109 клеток в 1 см3, соответствующей 20 единицам мутности отраслевого стандартного образца ОСО 42-28-84 (20 МЕ) или 6 единицам МакФарланда, что определяется с помощью денситометра.
3.2.2.3. В связи с тем, что суспензия может содержать наряду с живыми и мертвые микроорганизмы, необходимо определять биологическую концентрацию фактического количества живых клеток в приготовленной суспензии, чтобы при необходимости внести коррективы и обеспечить требуемые уровни контаминации тест-объектов жизнеспособными микроорганизмами.
3.2.2.4. Биологическую концентрацию тест-микроорганизмов определяют методом последовательных десятикратных разведений суспензии тест-микроорганизма в стерильной питьевой воде с последующим высевом суспензии в чашки Петри с плотной питательной средой (казеиновый агар, агар Эндо, МПА). После определенного времени инкубации при соответствующей температуре проводят подсчет выросших колоний (колониеобразующих единиц, далее КОЕ) и определяют количество жизнеспособных бактерий в 1 см3 суспензии. Установлено, что суспензия, содержащая необходимое количество живых микроорганизмов, при контаминации ею батистовых тест-объектов обеспечивает требуемые (порядка 1·105 - 1·106 КОЕ/см2) уровни их обсеменения живыми клетками тест-микроорганизма.
3.2.3. Методы исследований и оценки результатов изучения бактерицидной активности дезинфицирующих средств и их субстанций in vitro. Целью исследований является определение уровня и спектра антимикробной активности дезинфицирующих средств и их субстанций в отношении грамотрицательных и грамположительных бактерий. Бактерицидную активность средств и их субстанций изучают суспензионным методом или методом батистовых тест-объектов.
3.2.3.1. Суспензионный метод. Перед постановкой эксперимента приготавливают растворы дезинфицирующих средств в различных концентрациях ДВ на стерильной водопроводной воде. Далее эти растворы по 4,5 см
3 разливают в стерильные пробирки, в которые затем добавляют 0,5 см
3 взвеси тест-микроорганизма и тщательно перемешивают. Через определенные интервалы времени (5 мин) по 0,5 см
3 взвеси "тест-микроорганизм + ДВ" добавляют к 4,5 см
3 соответствующего нейтрализатора, снова тщательно перемешивают и оставляют на 5 мин. Затем по 0,5 см
3 вносят в пробирку с 4,5 см
3 стерильной питьевой воды, после чего из этой пробы по 0,1 см
3 вносят в пробирки с 5 см
3 мясопептонного бульона и на поверхность плотной питательной среды. В контрольных опытах вместо растворов испытываемых средств используют стерильную водопроводную воду, а посевы делают в среду без нейтрализации или с нейтрализацией.
Температура инкубирования посевов в термостате составляет плюс (37 +/- 1) °C, срок учета результатов опыта - 24 - 48 ч. Для подтверждения биоцидного действия ДВ из пробирок, в которых отсутствовал рост тест-культуры, ежедневно делают пересев по 0,5 см3 в 4,5 см3 новой порции питательной среды. Результаты опыта оценивают по наличию или отсутствию роста микроорганизмов в жидкой и на плотной питательной средах. Сравнение проводят с контролем, которым является посев тест-микроорганизмов в питательную среду без добавления дезинфицирующего средства или субстанции.
Эффективной считают концентрацию средства, при которой трижды повторенный опыт при определенном времени воздействия дает отрицательный результат (отсутствие роста микроорганизмов) при наличии типичного роста тест-культуры в контроле.
3.2.3.2. Метод батистовых тест-объектов. Подготовка батистовых тест-объектов. Перед приготовлением батистовых тест-объектов кусок батиста погружают на 24 ч в холодную воду для удаления аплитуры, крахмала. Затем его тщательно стирают с мылом, кипятят, сушат и гладят утюгом. С помощью иглы в приготовленном куске ткани выдергивают нитки в продольном направлении на расстоянии 11 мм друг от друга, а в поперечном - на расстоянии 6 мм. По этим линиям батист разрезают ножницами на тест-объекты и по 50 штук раскладывают в чашки Петри, последние заворачивают в бумагу и стерилизуют паровым методом при плюс 132 °C (2,0 кгс/см
2).
Контаминация батистовых тест-объектов тест-микроорганизмами. Приготовление суспензии тест-микроорганизмов (
E. coli,
S. aureus,
P. aeruginosa,
S. typhimurium) проводят в соответствии с
п. 3.2.2. Для контаминации стерильные батистовые тест-объекты в чашке Петри заливают суспензией тест-микроорганизма из расчета 0,5 см
3 на 1 тест-объект, равномерно смачивая все тест-объекты. Чашку Петри закрывают крышкой и оставляют на 20 мин. Затем в асептических условиях батистовые тест-объекты, пропитанные суспензией тест-микроорганизмов, переносят на поверхность стерильной фильтровальной бумаги (2 - 4 слоя на дне чашки Петри), прикрывают их сверху стерильной фильтровальной бумагой и закрывают чашку Петри крышкой. Через 10 мин после удаления избытка жидкости тест-объекты переносят на поверхность сухой стерильной фильтровальной бумаги в чашке Петри и сверху прикрывают стерильным листом фильтровальной бумаги, подсушивают в термостате при плюс (37 +/- 1) °C в течение 20 мин с приоткрытой крышкой. Контаминированные батистовые тест-объекты хранят в чашках Петри в холодильнике при температуре плюс (4 +/- 2) °C. Срок хранения тест-объектов, контаминированных
E. coli,
S. typhimurium,
P. aeruginosa, - 1 сутки,
S. aureus - 4 суток.
Постановка опыта. При постановке опытов в стерильную пробирку пипеткой наливают требуемый объем приготовленного дезинфицирующего раствора (из расчета 0,5 см3 на каждый тест-объект) и, не касаясь краев колбы, опускают в него с помощью стерильного пинцета все тест-объекты, используемые в эксперименте (по 2 на каждую экспозицию). Легким покачиванием колбы достигают смачивания тест-объектов исследуемым раствором. Колбу помещают в водяную баню с температурой плюс (18 - 20) °C и поддерживают данную температуру в течение всего эксперимента. При постоянной температуре в помещении плюс (18 - 20) °C эксперименты можно проводить без использования водяной бани. Отсчет времени воздействия эталонного раствора начинают с момента смачивания всех тест-объектов раствором. Через определенные интервалы времени (5 мин) стерильным пинцетом или платиновой петлей извлекают по 2 тест-объекта из раствора и погружают в пробирки с 5 см3 стерильного раствора соответствующего нейтрализатора. Через 5 мин тест-объекты переносят в пробирку со стерильной питьевой водой, а еще через 5 мин каждый из двух тест-объектов по отдельности переносят в пробирки с жидкой питательной средой, необходимой для культивирования изучаемого тест-микроорганизма. Контролем являются 2 тест-объекта, погруженные на весь период эксперимента в раствор нейтрализатора, и 2 тест-объекта, погруженные на этот же срок в питьевую воду, которые по окончании эксперимента переносят в питательную среду. Посевы инкубируют в термостате при температуре плюс (37 +/- 1) °C. Результаты оценивают качественно по отсутствию/наличию роста тест-микроорганизма в жидкой питательной среде.
Критерием активности средств и субстанций является 100%-я гибель тест-микроорганизмов (отсутствие роста в опытных пробах S. aureus, E. coli, S. typhimurium, P. aeruginosa) при времени экспозиции (дезинфекционной выдержки) не более 30 мин.
3.2.4. Методы исследования факторов, влияющих на бактерицидную активность дезинфицирующих средств и их субстанций.
3.2.4.1. Исследования включают определение спектра бактерицидного действия дезинфицирующих средств в отношении грамотрицательных и грамположительных бактерий, а при проведении углубленного изучения дополнительно - влияния различных факторов (pH, температура, органические вещества) на антимикробную активность растворов средства. Такая необходимость возникает при изучении средств, созданных на основе нового, ранее не изученного ДВ.
3.2.4.2. Исследование спектра антимикробной активности и влияние на активность различных факторов проводят методом батистовых тест-объектов
(п. 3.2.3.2.), контаминированных тест-микроорганизмами.
3.2.4.3. Исследование зависимости активности средств от присутствия органических веществ проводят при добавлении к суспензии микроорганизмов 20% инактивированной лошадиной сыворотки или сыворотки крупного рогатого скота (далее - СКРС) при контаминации батистовых тест-объектов. Для инактивации сыворотки ее трижды прогревают на водяной бане при температуре плюс 56 °C в течение 30 мин.
3.2.4.4. Исследование бактерицидной активности средств в присутствии органических веществ проводят с теми концентрациями, которые оказались эффективными при обеззараживании тест-объектов, контаминированных тест-микроорганизмами без добавления сыворотки. Если активность препарата не снижается в присутствии 20% сыворотки, ее концентрацию в суспензии тест-микроорганизма увеличивают до 40%. При отсутствии снижения активности средства и при добавлении 40% сыворотки (т.е. белка) считают, что в присутствии белка активность средства не снижается.
3.2.4.5. Влияние температуры на активность исследуемого средства изучают при обеззараживании контаминированных батистовых тест-объектов растворами средств при различных температурах растворов от минус 30 °C до плюс 50 °C. Для этого колбу с исследуемым раствором средства помещают в водяную баню или холодильную камеру и устанавливают необходимую температуру. Температуру раствора доводят до желаемого уровня и опускают в него контаминированные тест-микроорганизмами батистовые тест-объекты. Далее порядок проведения опыта такой же, как при постановке метода батистовых тест-объектов
(п. 3.2.3.2). Температуру поддерживают в течение заданной экспозиции. Если эффективная концентрация остается одинаковой при температуре растворов плюс (18 - 20) °C и других значениях, то считают, что температура не влияет на активность средства и, соответственно, если эффективная концентрация увеличивается или уменьшается, то считают, что с повышением или понижением температуры эффективность средства снижается или повышается.
3.2.4.6. Исследование влияния pH среды на активность исследуемого средства изучают при обеззараживании контаминированных тест-микроорганизмами батистовых тест-объектов в растворах средства, имеющих различные значения pH (5,6 - 6,0; 7,0; 8,5 - 9,0). Готовят ряд разведений исследуемого средства, искусственно подкисляя или подщелачивая растворы. Для подкисления используют децинормальный раствор соляной или другой кислоты, а для подщелачивания - децинормальный раствор щелочи. Порядок проведения опыта такой же, как при оценке спектра антимикробного действия субстанций
(п. 3.2.3.1.).
3.2.4.7. Влияние факторов среды на активность средств учитывается при разработке оптимальных режимов и применении средств в практических условиях.
3.2.5. Метод исследования бактерицидной эффективности средств, предназначенных для обеззараживания белья.
3.2.5.1. Эффективность обеззараживания белья определяют с помощью тест-объектов, представляющих собой кусочки материала размером 2 x 2 см из различных тканей
(п. 3.1.4.3). В качестве тест-микроорганизмов используют
S. aureus и
E. coli.
3.2.5.2. При разработке режима обеззараживания загрязненного белья к суспензии микроорганизмов перед контаминацией тест-объектов добавляют 40% инактивированной сыворотки (6 см3 2-миллиардной взвеси тест-культуры смешивают с 4 см3 инактивированной сыворотки) или 40% фекальной эмульсии (6 см3 2-миллиардной взвеси тест-культуры смешивают с 4 см3 фекальной эмульсии). Для приготовления фекальной эмульсии 8 г фекалий растирают в ступке с 20 см3 воды. Контаминированные тест-объекты подсушивают в термостате при плюс (37 +/- 1) °C в течение 20 - 25 мин или 1,5 - 2 ч при комнатной температуре до полного высыхания.
3.2.5.3. Стерильные тест-объекты пропитывают 2-миллиардной взвесью тест-микроорганизмов из расчета 20 см3 на 10 тест-объектов и подсушивают в термостате. Далее контаминированные тест-объекты помещают в стерильные бязевые мешочки размером 5 x 8 см по 2 теста в каждый.
3.2.5.4. При разработке режимов обеззараживания белья, не загрязненного выделениями, белье погружают в емкость с дезинфицирующим раствором из расчета 4 дм3 раствора на 1 кг сухого белья. При разработке режимов обеззараживания белья, загрязненного выделениями, его погружают в емкость с дезинфицирующим раствором из расчета 5 дм3 раствора на 1 кг сухого белья. Белье погружают в раствор последовательно, одну вещь за другой, следя за тем, чтобы между вещами не образовывалось воздушных полостей, препятствующих процессу дезинфекции. Мешочки с контаминированными тест-объектами распределяют между слоями белья (сверху, в середине, внизу). Через заданное время воздействия средства (например, 15, 30, 60 мин) извлекают по 1 мешочку с каждого уровня, стерильным пинцетом вынимают тест-объекты, переносят их в раствор нейтрализатора на 5 мин, затем промывают 5 мин в стерильной питьевой воде и после помещают в жидкие питательные среды. В контрольных опытах вместо дезинфицирующего раствора используют стерильную питьевую воду.
3.2.5.5. Критерий эффективности - 100%-я гибель тест-микроорганизма. Время обеззараживания (мин) белья без видимых загрязнений, контаминированного S. aureus, E. coli, - не более 120 мин. Время обеззараживания (мин) белья, загрязненного выделениями и контаминированного S. aureus, E. coli, - не более 240 мин.
3.2.6. Метод исследования бактерицидной эффективности средств, предназначенных для обеззараживания поверхностей в помещениях, мебели, аппаратов, приборов, санитарно-технического оборудования, транспортных средств и др. объектов.
3.2.6.1. При изучении эффективности дезинфицирующих средств с целью разработки режимов дезинфекции поверхностей в помещении, оборудования, приборов, аппаратов и др. используют разнообразные виды поверхностей
(п. 3.1.4.1.). Набор тест-поверхностей для исследований определяется назначением средства. Исследования проводят в зависимости от вида поверхностей, их положения (горизонтальное, вертикальное), способа и кратности обработки.
3.2.6.2. В качестве тест-микроорганизмов используют S. aureus, E. coli, а при необходимости - дополнительно S. typhimurium, P. aeruginosa или бактерии других видов.
3.2.6.3. Тест-поверхности, подготовленные к эксперименту как указано выше, располагают горизонтально, на них пипеткой наносят взвесь тест-микроорганизмов из расчета 0,5 см3 2-миллиардной микробной взвеси на площадь в 100 см2 и равномерно распределяют ее по поверхности стеклянным шпателем. Поверхности подсушивают (до полного высыхания) при температуре плюс (18 - 20) °C и относительной влажности воздуха 50 - 60%, затем обрабатывают раствором.
3.2.6.4. При изучении эффективности обеззараживания поверхности из линолеума, плитки метлахской, искусственной или натуральной кожи, стекла располагают горизонтально, а поверхности из дерева, окрашенного масляной, силикатной, водоэмульсионной или клеевой красками, поверхности, оклеенные обоями, поверхности из пластика, кафельную и фаянсовую плитки располагают вертикально.
3.2.6.5. Для имитации загрязнения поверхностей используют белковое или фекальное загрязнение: 40% инактивированной сыворотки, 40% фекальной эмульсии (при разработке режимов обеззараживания санитарно-технического оборудования).
3.2.6.6. Обработку поверхностей проводят способами протирания или орошения (крупнокапельное или аэрозольное). Для определения нормы расхода при однократной обработке дезинфицирующий раствор наносят с помощью пипетки на поверхность размером 10 x 10 см при применении способа протирания в количестве 1,0, 1,5 или 2,0 см3, а при крупнокапельном орошении наносят с помощью дозатора 1,5 - 3,0 см3. При аэрозольном методе обработки изучают эффективность обеззараживания при норме расхода 1 - 100 см3/м2 (в зависимости от вида аэрозольного генератора и применяемой аэрозольной насадки). Многократное протирание или орошение проводят с интервалом между обработками 5 - 15 - 30 мин. Контрольные поверхности обрабатывают стерильной водопроводной водой так же и из того же расчета, что и опытные.
3.2.6.7. Время обеззараживания поверхностей определяют в интервале от 5 до 120 мин. Выбор экспозиции зависит от назначения и рекомендуемых условий применения дезинфицирующего средства.
3.2.6.8. Исследования проводят при температуре плюс (18 - 20) °C. При необходимости оценивают эффективность обеззараживания поверхностей при повышенной до плюс 50 °C или пониженной до минус 30 °C температуре (исследования проводят в термо- или холодильной камере).
3.2.6.9. Контроль эффективности обеззараживания тест-поверхностей проводят следующим образом: марлевой салфеткой (размером 5 x 5 см), смоченной в растворе соответствующего для данного дезинфицирующего средства нейтрализатора, тщательно протирают тест-поверхность. Затем салфетку погружают в 10 см3 этого же нейтрализатора, находящегося в пробирках с бусами. Время отмыва марлевой салфетки составляет 10 мин при постоянном встряхивании. Отмывную жидкость засевают (на 2 - 3 чашки по 0,1 - 0,2 см3 в каждую) на плотные дифференциально-диагностические питательные среды.
3.2.6.10. Допускается проводить исследования с использованием тест-поверхностей размером 5 x 5 см из тех же материалов, что и тест-поверхности размером 10 x 10 см. Этот метод можно использовать при оценке чувствительности к дезинфицирующим средствам микроорганизмов, выделенных с объектов окружающей среды. Тест-поверхности помещают на дно стерильной чашки Петри и пипеткой наносят на них по 0,1 см3 2-миллиардной микробной взвеси (площадь поверхности 25 см2), равномерно распределяют ее по поверхности стерильным шпателем, не допуская стекания суспензии за пределы тест-объекта, затем подсушивают, приоткрыв чашку Петри (до полного высыхания) при температуре плюс (18 - 22) °C и относительной влажности 40 - 60%, после чего обрабатывают раствором средства так же, как указано выше. После окончания экспозиции чашки с тест-объектами заливают 10 см3 раствора нейтрализатора, соответствующего данному средству, и делают несколько круговых движений чашкой для лучшего смачивания тест-объекта. Через несколько мин стерильным пинцетом переворачивают тест-объект и повторяют круговые движения. После контакта нейтрализатора с тест-объектом в течение 10 мин снова делают несколько круговых движений чашкой, затем стерильным пинцетом удаляют тест-объект из чашки и сбрасывают его в емкость с дезинфицирующим раствором с целью дальнейшего обеззараживания и утилизации. Если тест-объект обрабатывали способом погружения в дезинфицирующий раствор, то по завершении экспозиции его переносят в чашку Петри с 10 см3 раствора нейтрализатора на 10 мин, после чего извлекают и сбрасывают в емкость с дезраствором для обеззараживания. Нейтрализатор из чашки Петри засевают (на 2 - 3 чашки по 0,1 - 0,2 см3 в каждую) на плотные дифференциально-диагностические питательные среды либо заливают чашку с нейтрализатором, растопленным и остуженным до плюс 45 °C агаром.
3.2.6.11. Посевы помещают для выращивания в термостате при температуре плюс (37 +/- 1) °C. Учет результатов проводят в течение 1 - 2 суток путем подсчета количества выросших колоний, затем рассчитывают плотность контаминации 100 см2 поверхности и % обеззараживания, принимая количество колоний, снятых с контрольных поверхностей, за 100%.
3.2.6.12. Критерий эффективности обеззараживания поверхностей - не менее 99,99% гибели тест-микроорганизмов; время обеззараживания (мин) при контаминации S. aureus, E. coli, S. typhimurium, P. aeruginosa - не более 120 мин.
3.2.7. Метод исследования эффективности моюще-дезинфицирующих средств на основе сапрофитных спорообразующих бактерий рода Bacillus (пробиотики), при обработке поверхностей.
3.2.7.1. В качестве тест-микроорганизмов используют бактерии: Escherichia coli, Pseudomonas aeruginosa, Staphylococcus aureus.
3.2.7.2. При приготовлении рабочих растворов моюще-дезинфицирующего средства на основе сапрофитных спорообразующих бактерий рода Bacillus используют теплую воду температурой плюс (40 - 50) °C.
3.2.7.3. Исследования эффективности моюще-дезинфицирующих средств на основе сапрофитных спорообразующих бактерий рода Bacillus (пробиотики), предназначенных для обработки поверхностей, выполняют в 2 этапа:
1 этап. Тест-поверхности располагают горизонтально и на них стерильной пипеткой наносят взвесь тест-микроорганизма из расчета 0,5 см
3 микробной взвеси, содержащей 2 x 10
9 КОЕ/см
3, на площадь в 100 см
2 и равномерно распределяют ее по поверхности стерильным стеклянным шпателем. Поверхности подсушивают (до полного высыхания) при температуре окружающей среды плюс 18 - 20 °C и относительной влажности воздуха 50 - 60%, затем обрабатывают рабочим раствором. Контрольные поверхности, контаминированные тест-микроорганизмом, после подсушивания обрабатывают стерильной водопроводной водой. Через определенные промежутки времени (1 ч; 2 ч; 4 ч; 24 ч) с поверхностей берут смывы, осуществляют посевы на плотные питательные среды и определяют для опытных поверхностей общее микробное число, обсемененность тест-микроорганизмом, а для контрольных поверхностей - обсемененность тест-микроорганизмом. Критерий эффективности - снижение обсемененности поверхностей тест-микроорганизмом не менее чем на 90% по отношению контролю.
2 этап. Тест-поверхности ежедневно, в течение 14 - 30 дней, контаминируют тест-микроорганизмом и обрабатывают раствором средства. В первый день на тест-поверхности пипеткой наносят суспензию тест-микроорганизма из расчета 0,5 см
3 взвеси, содержащей 2 x 10
9 КОЕ/см
3. С последующего дня ежедневно на поверхности наносят суспензию тест-микроорганизма из расчета 0,5 см
3 взвеси, содержащей 10
6 КОЕ/см
3, на площадь в 100 см
2, подсушивают до полного высыхания и затем опытные поверхности обрабатывают раствором средства. По истечении времени воздействия, выбранного на
1 этапе, на одной поверхности определяют общее микробное число и обсемененность тест-микроорганизмом и спорами. Остальные поверхности оставляют для последующих экспериментальных дней. Контрольные поверхности аналогично опытным ежедневно заражают тест-микроорганизмом и обрабатывают водой с последующим определением количества тест-микроорганизмов.
3.2.7.4. Контроль эффективности обеззараживания тест-поверхностей проводят следующим образом: марлевой салфеткой (размером 5 x 5 см), смоченной в растворе универсального нейтрализатора, тщательно протирают тест-поверхность, затем салфетку погружают в 10 см3 этого же нейтрализатора, находящегося в пробирке с бусами. Время отмыва марлевой салфетки составляет 10 мин при постоянном встряхивании. Отмывную жидкость засевают (на 2 - 3 чашки по 0,1 - 0,2 см3 в каждую) на плотные дифференциально-диагностические питательные среды.
3.2.7.5. В зависимости от вида тест-микроорганизма посевы выращивают в термостате при температуре плюс (37 +/- 1) °C. Учет результатов осуществляют через 2 суток путем подсчета количества выросших колоний, затем рассчитывают плотность контаминации 100 см2 поверхности и процент снижения уровня обсемененности тест-микроорганизмом, принимая количество колоний, снятых с контрольных поверхностей, за 100%.
3.2.7.6. Критерий эффективности моющего пробиотического средства - снижение обсемененности тест-микроорганизмом не менее чем на 99,99% через 5 - 7 дней от начала обработки поверхностей.
3.2.8. Метод исследования бактерицидной эффективности средств, предназначенных для обеззараживания посуды.
3.2.8.1. При изучении эффективности дезинфицирующих средств с целью разработки режимов обеззараживания столовой посуды, столовых приборов, лабораторной посуды, посуды из-под выделений используют тест-объекты, указанные в
п. 3.1.4.2.
3.2.8.2. В качестве тест-микроорганизмов при контаминации столовой посуды используют S. aureus, E. coli.
3.2.8.3. Для разработки режимов обеззараживания посуды без остатков пищи перед контаминацией микроорганизмами посуду и столовые приборы подвергают механической очистке - моют водой с мылом и щеткой. Посуду располагают горизонтально, на нее пипеткой наносят взвесь тест-микроорганизмов из расчета 0,5 см3 2-миллиардной взвеси на площадь в 100 см2 и равномерно распределяют ее по поверхности посуды стеклянным шпателем. Столовые приборы для контаминации погружают в бактериальную суспензию на 1 - 2 мин, оставляя незаряженными их ручки. Посуду подсушивают (до полного высыхания) при комнатной температуре плюс (18 - 20) °C и относительной влажности воздуха 50 - 60%, затем обрабатывают дезинфицирующим раствором.
3.2.8.4. При разработке режимов обеззараживания посуды с остатками пищи до ее контаминации для имитации загрязнения столовой и кухонной посуды при разработке режимов обеззараживания используют суспензию тест-микроорганизма, смешанную с овсяной, манной или др. кашей, сваренной на молоке со сливочным маслом (к 10 г каши добавляют 1 см3 2-миллиардной микробной взвеси); чайной посуды - кисель (к 10 г киселя добавляют 1 см3 2-миллиардной микробной взвеси).
3.2.8.5. Для разработки режимов обеззараживания лабораторной посуды к суспензии микроорганизма добавляют 1 см3 40% инактивированной лошадиной сыворотки или СКРС.
3.2.8.6. При разработке режимов обеззараживания посуды из-под выделений используют 40% фекальную эмульсию или мокроту, контаминированные тест-микроорганизмами (на 10 см3 - 1 см3 2 x 109 млрд взвеси).
3.2.8.7. Обработку столовой, чайной, лабораторной посуды и столовых приборов проводят способом погружения в дезинфицирующий раствор. Растворы готовят на питьевой водопроводной воде. Температура испытуемого раствора составляет плюс 18 - 20 °C. При необходимости изучают эффективность растворов, имеющих температуру плюс 50 °C. Дезинфицирующий раствор должен полностью и с избытком покрыть всю посуду и приборы (из расчета не менее 2 дм3 на 1 комплект).
3.2.8.8. Контролем служит аналогично контаминированная посуда, которую погружают в такой же объем стерильной питьевой воды.
3.2.8.9. Через определенные интервалы времени (например, 15, 30, 60 мин и т.д.) извлекают из дезинфицирующего раствора по одному предмету (например, тарелка, стакан, предметное стекло, нож и т.д.) и стерильной марлевой салфеткой (размером 5 x 5 см), смоченной в растворе нейтрализатора, соответствующего данному средству, тщательно протирают контаминированную тест-микроорганизмом часть каждого предмета, погружают салфетку в 10 см3 этого же нейтрализатора, находящегося в пробирках с бусами. Время отмыва марлевой салфетки - 10 мин при постоянном встряхивании. После отмыва марлевую салфетку погружают в соответствующую жидкую питательную среду. Отмывную жидкость засевают на 2 - 3 чашки по 0,2 - 0,5 см3 в каждую на плотные питательные среды. Посевы помещают в термостат при температуре плюс (37 +/- 1) °C и учитывают через 2 суток.
3.2.8.10. Время обеззараживания посуды определяют в интервале от 15 до 120 мин в зависимости от вида тест-микроорганизма и наличия загрязнения.
3.2.8.11. Критерий эффективности обеззараживания - не менее 100%. Время обеззараживания столовой посуды без остатков пищи, контаминированной S. aureus, E. coli, - не более 60 мин. Время обеззараживания посуды с остатками пищи, контаминированной S. aureus, E. coli, S. typhimurium, - не более 120 мин. Время обеззараживания лабораторной посуды, контаминированной S. aureus, E. coli, - не более 120 мин. Время обеззараживания посуды из-под выделений, контаминированной E. coli, S. typhimurium, - не более 120 мин.
3.2.9. Метод исследования бактерицидной эффективности средств, предназначенных для обеззараживания предметов ухода за больными, игрушек.
3.2.9.1. В качестве тест-объектов используют предметы ухода за больными (подкладные клеенки, резиновые грелки, судна, термометры, пластмассовые наконечники для клизм и др.), игрушки (пластмассовые, металлические, деревянные, резиновые), за исключением мягких, или тест-объекты, их имитирующие. В качестве тест-культур используют S. aureus и E. coli.
3.2.9.2. Перед контаминацией тест-микроорганизмами тест-объекты подвергают механической очистке - моют водой с мылом и щеткой. Для имитации загрязнения используется 40% инактивированной лошадиной сыворотки или СКРС. Для этого перед контаминацией объектов к суспензии тест-микроорганизмов добавляют необходимое количество сыворотки.
3.2.9.3. После подсушивания контаминированные тест-объекты располагают горизонтально и на них пипеткой наносят взвесь тест-микроорганизмов из расчета 0,5 см3 2-миллиардной микробной взвеси на площадь в 100 см2. Суспензию равномерно распределяют по поверхности тест-объектов стеклянным шпателем, подсушивают (до полного высыхания) при комнатной температуре плюс 18 - 20 °C и относительной влажности воздуха 50 - 60%, затем обрабатывают дезинфицирующим раствором.
3.2.9.4. Обработку предметов ухода за больными и игрушек проводят способами протирания, погружения, а крупных игрушек - способом орошения (крупнокапельное). Норму расхода раствора дезинфицирующего средства при обеззараживании способами протирания или орошения определяют в зависимости от способа обработки аналогично опытам по обеззараживанию поверхностей
(п. 3.2.6.). Двукратное протирание или орошение проводят через 5 - 15 мин после первого. При обработке предметов ухода за больными и мелких игрушек способом погружения в дезинфицирующий раствор он должен полностью и с избытком покрывать все объекты. При погружении мелких игрушек необходимо препятствовать их всплытию.
3.2.9.5. Время обеззараживания объектов определяют в интервале от 15 до 120 мин в зависимости от вида тест-микроорганизма и наличия органического загрязнения.
3.2.9.6. Контрольные тест-объекты обрабатывают стерильной питьевой водопроводной водой из того же расчета, что и опытные.
3.2.9.7. Контроль эффективности обеззараживания контаминированных тест-объектов проводят следующим образом: марлевой салфеткой (размером 5 x 5 см), смоченной в растворе нейтрализатора, соответствующего для данного средства, тщательно протирают тест-объект и погружают салфетку в 10 см3 этого же нейтрализатора, находящегося в пробирках с бусами. Время отмыва марлевой салфетки составляет 10 мин при постоянном встряхивании. Отмывную жидкость засевают на 2 - 3 чашки по 0,2 - 0,5 см3 в каждую на плотные питательные среды. Посевы помещают в термостат при температуре плюс (37 +/- 1) °C и учитывают результаты через 2 суток.
3.2.9.8. Критерий эффективности обеззараживания - не менее 100%. Время обеззараживания объектов, контаминированных S. aureus, - не более 60 мин.
3.2.10. Метод исследования бактерицидной эффективности средств, предназначенных для обеззараживания выделений.
3.2.10.1. Дезинфицирующие средства, предназначенные для обеззараживания выделений, должны обладать способностью гомогенизировать органический субстрат (фекалии, мокрота). Препараты, не обладающие этим свойством, для обеззараживания выделений не пригодны. Изучение активности средств при обработке выделений проводят с учетом их консистенции и соотношения с дезинфицирующим раствором или сухим препаратом.
3.2.10.2. В качестве тест-микроорганизмов при разработке режимов обеззараживания выделений используют S. aureus, E. coli, S. typhimurium.
3.2.10.3. Определение эффективности средств при обработке мочи проводят следующим образом: берут несколько пробирок, наливают в них по 9 см3 мочи, прибавляют по 1 см3 взвеси тест-микроорганизма, содержащей 1 x 109 КОЕ/см3. Неразведенное средство или его растворы добавляют к моче в различных соотношениях (равном, двойном и т.д.). По истечении времени воздействия (15, 30, 60, 90, 120 мин) пипеткой берут 1 см3 опытной смеси и переносят в пробирку с нейтрализатором объемом 9 см3, а затем из нее 1 см3 смеси - в пробирку с 5 см3 бульона. После тщательного перемешивания 1 см3 переносят во вторую пробирку с бульоном, а затем делают посевы по 0,1 см3 на плотные питательные среды как из первой, так и из второй пробирок. Чашки Петри с посевами ставят в термостат. Контролем служат аналогично поставленные опыты с добавлением к моче не дезинфицирующего раствора, а стерильной водопроводной (питьевой) воды. Эффективным считают средство, обеспечивающее 100% гибель тест-микроорганизмов в 6 - 8 опытах с совпадающими результатами.
3.2.10.4. Определение эффективности средств при обработке фекалий: 20 г фекалий растирают в ступке и добавляют 80 см3 стерильной питьевой воды. Полученную эмульсию фильтруют через двойной слой марли, разливают в пробирки по 9 см3 и добавляют по 1 см3 взвеси тест-микроорганизмов, содержащей 1 x 109 КОЕ/см3. Приготовленную эмульсию фекалий заливают равным или двойным количеством дезинфицирующего раствора или вносят различное количество сухого препарата. После контакта со средством производят высевы так же, как и при обеззараживании мочи. Результаты учитывают через двое суток. При положительных результатах проводят опыты с большим количеством оформленных фекалий (200 - 250 г). Для этого помещают их в сосуд и заливают дезинфицирующим раствором в равном или двойном количестве по отношению к весу фекалий или засыпают сухим препаратом. Затем небольшую часть фекальных масс стеклянной палочкой перемешивают с жидкостью, а остальную массу оставляют в виде небольших комочков. Через определенные промежутки времени (30, 60, 90 и 120 мин) проводят раздельные высевы жидкой части и комочков. Жидкую часть фекальных масс набирают пипеткой и производят посев так же, как мочи. Плотные части фекалий забирают петлей и опускают в 5 см3 питательной среды, растерев их о стенку пробирки, и тщательно перемешивают с бульоном. Затем из этой пробирки переносят 1 см3 смеси во вторую пробирку, также содержащую 5 см3 бульона. Как из первой, так и из второй пробирок делают посев по 0,1 см3 на чашки Петри с плотной питательной средой. Контролем служат аналогично поставленные опыты с добавлением к фекальной эмульсии стерильной воды вместо средства. Об эффективности исследуемого средства судят на основании 6 - 8 опытов с совпадающими результатами. Эффективным считают средство, обеспечивающее 100% гибель тест-микроорганизмов в обеззараживаемом материале.
3.2.10.5. При определении эффективности средств при обработке фекально-мочевой взвеси с целью снижения микробной обсемененности (консервации) в качестве тест-микроорганизма используют культуру E. coli. Фекально-мочевую взвесь готовят из расчета: 1 часть фекалий и 4 части мочи. В пробирки разливают по 4,5 см3 фекально-мочевой взвеси и добавляют в каждую пробирку по 0,5 см3 взвеси тест-культуры, содержащей 1 x 109 КОЕ/см3. Неразведенное средство или его растворы добавляют к фекально-мочевой взвеси в различных соотношениях. По истечении времени воздействия из каждой пробы отбирают по 0,5 см3 жидкости и переносят в пробирки с 4,5 см3 казеинового бульона. Это обеспечивает нейтрализацию средства. После ряда серийных разведений из каждой пробирки производят высев на чашки Петри с питательным агаром (МПА, Эндо). Результаты эксперимента учитывают через 48 ч инкубации при температуре плюс (37 +/- 1) °C. В контрольных пробах вместо средства применяют стерильную питьевую воду. Эффективным считают средство, обеспечивающее снижение микробной обсемененности фекально-мочевой взвеси не менее чем на 99,9% и не более чем через 120 мин. Критерий эффективности обеззараживания выделений - 100% гибель тест-микроорганизмов. Время обеззараживания выделений, контаминированных тест-микроорганизмами (S. aureus, E. coli, S. typhimurium), - не более 6 ч.
3.2.11. Метод исследования бактерицидной эффективности средств, предназначенных для обеззараживания воздуха.
3.2.11.1. Химические средства применяют для обеззараживания воздуха в помещениях в виде аэрозолей или паров растворов средств, а также газов.
3.2.11.2. При исследовании эффективности обеззараживания воздуха химическими средствами в качестве тест-микроорганизмов используют S. aureus. Работы, связанные с высоким риском образования аэрозоля (центрифугирование, гомогенизация, измельчение, интенсивное встряхивание, обработка ультразвуком, вскрытие объектов с зараженным материалом), работы с большими объемами и высокими концентрациями патогенных биологических агентов (далее - ПБА) и др. проводят с соблюдением мер безопасности в соответствии с действующими нормативными документами, регламентирующими требования безопасности при работе с аэрозолями микроорганизмов, относящихся к ПБА I - IV групп патогенности <1>.
--------------------------------
<1>
СП 1.3.3118-13 "Безопасность работы с микроорганизмами I - II групп патогенности (опасности)";
СП 1.3.2322-08 "Безопасность работы с микроорганизмами III - IV групп патогенности (опасности) и возбудителями паразитарных болезней".
3.2.11.3. Исследования проводят в специально оборудованных испытательных помещениях (камерах, боксах), предназначенных для работы с аэрозолями микроорганизмов. Предварительно внутреннюю поверхность помещения или камеры моют раствором моющего средства, остатки которого затем смывают водопроводной водой и включают бактерицидный УФ-облучатель на время, рассчитанное для заданной бактерицидной эффективности 99,9% в зависимости от объема помещения. В углу камеры располагают продезинфицированный вентилятор (при необходимости - несколько вентиляторов), назначение которого - замедление скорости седиментации микроорганизмов. Перед началом работы исследователь надевает средства защиты: халат, резиновые перчатки и маску (респиратор), включает вентилятор(ы).
3.2.11.4. Затем в опытном помещении (камере) распыляют суспензию тест-микроорганизма в количестве, достаточном для создания в воздухе камеры концентрации микроорганизмов 2,0 x 105 клеток/м3. Аэрозоль создают с помощью распыливающей аппаратуры, которая обеспечивает образование в воздухе не менее 80% частиц с дисперсностью (10 +/- 5) мкм. При использовании оборудования, в составе которого имеются сосуды под давлением, к работе допускаются лица, имеющие соответствующее разрешение на работу с ними и прошедшие инструктаж.
3.2.11.5. При определении эффективности средств, предназначенных для обеззараживания воздуха, используют аспирационный метод. Этот метод основан на аспирировании воздуха через жидкость. При использовании аспирационного метода для оценки эффективности средств, предназначенных для обеззараживания воздуха, необходимо следующее оборудование:
- устройство для отбора проб воздуха с производительностью 2 - 20 м3/мин;
- стерильные склянки по типу Дрекселя с 20 - 50 см3 стерильной водопроводной воды или физиологического раствора из расчета 2 шт. на 1 пробу. Предварительно в стерильную воду вносят соответствующий нейтрализатор;
- стерильные резиновые шланги диаметром 5 - 10 мм, соединяющие склянки по типу Дрекселя (последовательно одну за другой) и далее устройство для отбора проб воздуха, а также предназначенные для отбора проб воздуха в центре камеры.
3.2.11.6. Для ориентировочной оценки обсемененности воздуха допустимо использовать специальные импакторы, разрешенные к применению в установленном порядке.
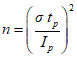
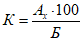
3.2.11.7. Подготовка камеры к эксперименту осуществляется как указано выше. Для исследования отбирается 50 дм3 воздуха (объем пробы). После отбора проб жидкость из 2 склянок по типу Дрекселя смешивают для формирования средней пробы, которую по 1 - 10 см3 вносят в стерильную чашку Петри, затем заливают предварительно растопленным и остуженным до плюс 45 °C питательным агаром, пригодным для культивирования S. aureus. Посевы помещают в термостат и инкубируют при температуре плюс (37 +/- 1) °C в течение 48 ч. После инкубации подсчитывают количество выросших колоний и рассчитывают обсемененность 1 м3 воздуха. Пример:

, где
X - КОЕ/м3;
10 - количество колоний, выросших на чашке Петри;
1 - количество посеянного материала, см3;
30 - объем стерильной питьевой воды, см3;
1000 = 1 м3 воздуха камеры, дм3;
50 - объем пробы воздуха, дм3.
Порядок отбора проб воздуха:
- контроль обсемененности воздуха до начала распыления суспензии тест-микроорганизма;
- контроль обсемененности воздуха после распыления суспензии тест-микроорганизма;
- контроль эффективности обеззараживания воздуха - отбор пробы через определенные промежутки времени в зависимости от предполагаемой эффективности средств.
3.2.11.8. Эффективность обеззараживания воздуха определяется путем сравнения степени контаминации воздуха после обработки раствором средства со степенью контаминации воздуха в контроле.
3.2.11.9. Критерии эффективности обеззараживания воздуха, необходимые для помещений различного назначения, устанавливаются требованиями нормативных документов с учетом класса чистоты помещений.
3.2.12. Исследование эффективности бактерицидных ультрафиолетовых облучателей или иных устройств, предназначенных для обеззараживания воздуха, на основе воздействия других физических факторов.
3.2.12.1. Эффективность обеззараживания помещения оценивается по степени снижения микробной обсемененности воздуха под воздействием бактерицидного ультрафиолетового облучения (или иного физического фактора) на основе оценки уровня микробной обсемененности до и после воздействия.
3.2.12.2. При исследовании эффективности обеззараживания воздуха в качестве тест-микроорганизмов используют S. aureus. Работы, связанные с высоким риском образования аэрозоля (центрифугирование, гомогенизация, измельчение, интенсивное встряхивание, обработка ультразвуком, вскрытие объектов с зараженным материалом), работы с большими объемами и высокими концентрациями ПБА и др. проводят с соблюдением мер безопасности в соответствии с действующими нормативными документами, регламентирующими требования безопасности при работе с аэрозолями микроорганизмов, относящихся к ПБА I - IV группы патогенности <2>.
--------------------------------
<2>
СП 1.3.3118-13 "Безопасность работы с микроорганизмами I - II групп патогенности (опасности)";
СП 1.3.2322-08 "Безопасность работы с микроорганизмами III - IV групп патогенности (опасности) и возбудителями паразитарных болезней".
3.2.12.3. Исследования проводят в специально оборудованных испытательных помещениях (камерах, боксах), предназначенных для работы с аэрозолями микроорганизмов. Предварительно внутреннюю поверхность помещения или камеры моют раствором моющего средства, остатки которого затем смывают водопроводной водой и включают бактерицидный УФ-облучатель на время, рассчитанное для заданной бактерицидной эффективности 99,9% в зависимости от объема помещения. В углу камеры располагают продезинфицированный вентилятор (при необходимости - несколько вентиляторов), назначение которого - замедление скорости седиментации микроорганизмов. Перед началом работы исследователь надевает средства защиты: халат, резиновые перчатки и маску, включает вентилятор(ы).
3.2.12.4. Затем в опытном помещении (камере) распыляют суспензию тест-микроорганизма в количестве, достаточном для создания в воздухе камеры концентрации микроорганизмов 2,0 x 105 клеток/м3. Аэрозоль создают с помощью распыливающей аппаратуры, которая обеспечивает образование в воздухе не менее 80% частиц с дисперсностью (10 +/- 5) мкм. При использовании оборудования, содержащего сосуды под давлением, к работе допускаются лица, имеющие соответствующее разрешение на работу с ними и прошедшие инструктаж.
3.2.12.5. При определении эффективности средств и технологий, предназначенных для обеззараживания воздуха, используют аспирационный метод, который основан на аспирировании воздуха через жидкость. При использовании аспирационного метода необходимо следующее оборудование:
- устройство для отбора проб воздуха с производительностью 2 - 20 м3/мин;
- стерильные склянки по типу Дрекселя с 20 - 50 см3 стерильной водопроводной воды или физиологического раствора из расчета 2 шт. на 1 пробу. Предварительно в стерильную воду вносят соответствующий нейтрализатор;
- стерильные резиновые шланги диаметром 5 - 10 мм, соединяющие склянки по типу Дрекселя (последовательно одну за другой) и далее устройство для отбора проб воздуха, а также предназначенные для отбора проб воздуха в центре камеры.
3.2.12.6. Для ориентировочной оценки обсемененности воздуха допустимо использовать специальные импакторы, разрешенные к применению в установленном порядке.
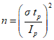
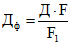
3.2.12.7. Подготовка камеры к эксперименту осуществляется как указано выше. Для исследования отбирается 50 дм3 воздуха (объем пробы). После отбора проб жидкость из 2 склянок по типу Дрекселя смешивают для формирования средней пробы, которую по 1 - 10 см3 вносят в стерильную чашку Петри; затем заливают предварительно растопленным и остуженным до плюс (45) °C питательным агаром, пригодным для культивирования S. aureus. Посевы помещают в термостат и инкубируют при температуре плюс (37 +/- 1) °C в течение 48 ч. После инкубации подсчитывают количество выросших колоний и рассчитывают обсемененность 1 м3 воздуха. Пример:

, где
X - КОЕ/м3;
10 - количество колоний, выросших на чашке Петри;
1 - количество посеянного материала, см3;
30 - объем стерильной питьевой воды, см3;
1000 = 1 м3 воздуха камеры, м3;
50 - объем пробы воздуха, м3.
Порядок отбора проб воздуха:
- контроль обсемененности воздуха до начала распыления суспензии тест-микроорганизма;
- контроль обсемененности воздуха после распыления суспензии тест-микроорганизма;
- контроль эффективности обеззараживания воздуха - отбор пробы через определенные промежутки времени в зависимости от предполагаемой эффективности изучаемого средства.
3.2.12.8. Эффективность обеззараживания воздуха определяется путем сравнения степени контаминации воздуха после обработки со степенью контаминации воздуха в контроле.
3.2.12.9. Критерии эффективности обеззараживания воздуха в соответствии с классом чистоты помещений определяется требованиями нормативных документов <3>.
--------------------------------
<3>
СанПиН 2.1.3.2630-10 "Санитарно-эпидемиологические требования к организациям, осуществляющим медицинскую деятельность".
3.3. Методы исследования и оценки туберкулоцидной активности
дезинфицирующих средств
3.3.1. Тест-микроорганизмы для изучения туберкулоцидной активности дезинфицирующих средств и их субстанций.
3.3.1.1. Исследование и оценку туберкулоцидной и микобактерицидной (в отношении непатогенных микобактерий) активности средств проводят, используя в качестве тест-микроорганизмов:
- агаровую культуру Mycobacterium terrae (DSM 43227) для оценки эффективности ДС и разработки режимов их применения при обеззараживании объектов в отношении возбудителя туберкулеза и микобактериозов;
- агаровую культуру Mycobacterium B5 - для оценки эффективности и разработки туберкулоцидных режимов камерного обеззараживания различных объектов;
- агаровую культуру Mycobacterium tuberculosis - для подтверждения эффективности разработанных режимов применения ДС в отношении возбудителя туберкулеза и микобактериозов в практических условиях.
3.3.1.2. Тест-микроорганизмы должны иметь типичные морфологические, культуральные, биохимические, тинкториальные и ферментативные свойства, присущие данному штамму, и обладать стандартной устойчивостью к эталонным дезинфицирующим средствам и температуре. Показатели устойчивости, которым должна соответствовать культура
Mycobacterium terrae, приведены в
табл. 3.3. Культура
Mycobacterium B5 и
Mycobacterium terrae должны быть устойчивы к температуре 60 °C в течение 60 мин.
Таблица 3.3
Устойчивость Mycobacterium terrae
к эталонным дезинфицирующим средствам
Эталонные дезинфицирующие средства | Концентрация раствора, % | Время гибели Mycobacterium terrae, мин |
Хлорамин Б (содержание активного хлора 28,0%) | 5,0* | 120 |
Глутаровый альдегид | 0,5 | 60 |
Перекись водорода | 4,0 | 60 |
Примечание: * - концентрация раствора хлорамина указана по препарату, остальных средств - по ДВ.
3.3.1.3. Получение и хранение исходной рабочей культуры тест-микобактерий. Для получения культуры штамма тест-микобактерий ампулу с лиофилизированной музейной культурой этого штамма вскрывают в асептических условиях следующим образом: ватным тампоном, смоченным 70% этиловым спиртом, обрабатывают поверхность ампулы, затем нагревают ее запаянный конец в пламени горелки до образования на ампуле трещины. К накаленному концу ампулы прикладывают ватную пробку, смоченную стерильной водой. После этого легким ударом металлического инструмента (скальпель, пинцет) по трещине откалывают конец ампулы. Стерильной пастеровской пипеткой в ампулу вливают 1,0 см3 стерильной дистиллированной воды и оставляют в течение 30 мин при комнатной температуре для растворения лиофилизата и получения суспензии. Суспензию, приготовленную из музейной тест-культуры, рассевают по 0,1 см3 в пробирки со скошенной питательной средой (Левенштейна - Йенсена или "Новой"). Посевы инкубируют в термостате при температуре плюс (37 +/- 1) °C в течение 14 - 21 суток. С выросшей на питательных средах культурой M. terrae далее поступают следующим образом:
- полученную биомассу снимают платиновой лопаточкой или стеклянной палочкой с поверхности питательной среды (Левенштейна - Йенсена или "Новой") со всех пробирок;
- помещают в пробирку с 10 см3 бульона Миддлбрука 7H9 с 10% ADC ростовой добавкой и гомогенизируют;
- доводят объем полученной суспензии до 100 см3 бульоном Миддлбрука 7H9 и по 0,5 см3 суспензии вносят в криопробирки;
- подписывают на каждой пробирке наименование штамма и дату;
- замораживают при минус 70 °C и оставляют в морозильной камере для длительного хранения. Это самый эффективный способ длительного (десятилетиями) хранения культур с обеспечением сохранения биологических свойств тест-микроорганизмов, в т.ч. Mycobacterium terrae. При отсутствии такой возможности суспензию в микропробирках замораживают в бытовом холодильнике при минус 20 °C. Срок хранения культуры в таких условиях - не более 5 лет. Полученная и хранящаяся таким образом культура тест-микобактерий используется для получения агаровой культуры тест-микобактерий (первый пассаж) и приготовления из нее рабочей суспензии тест-микобактерий, используемой для проведения испытаний дезинфицирующих средств.
3.3.2. Методы приготовления суспензии тест-микроорганизмов. Определение биологической концентрации тест-микроорганизмов в бактериальной суспензии.
3.3.2.1. Для получения первого пассажа культуры тест-штамма микобактерий, используемой при оценке эффективности дезинфицирующих средств, необходимое для исследования количество хранящихся при температуре минус 70 °C или минус 20 °C микропробирок (2 штуки на 1 исследование) с данным штаммом микобактерий размораживают при комнатной температуре, переносят по 0,1 см3 содержимого в пробирки со скошенной питательной средой (Левенштейна - Йенсена или "Новой") и инкубируют в термостате при плюс (37 +/- 1) °C в течение 10 - 21 суток. Выросшую на плотной питательной среде в пробирках культуру используют для приготовления рабочей суспензии тест-микобактерий.
3.3.2.2. Одна или несколько пробирок могут быть использованы для получения второго пассажа культуры тест-микобактерий этого штамма. Для этого культуру первого пассажа в пробирке снимают стеклянной палочкой с плотной питательной среды, помещают в толстостенную стеклянную пробирку и тщательно растирают, постепенно добавляя по каплям стерильную дистиллированную воду. Полученную суспензию рассевают на плотную питательную среду тем же способом, который использовался для получения первого пассажа.
3.3.2.3. Культуры тест-микобактерий подвергают контролю их качества. В частности, непосредственно перед использованием культур для исследовательских целей необходимо убедиться в том, что выросшая на питательной среде культура не загрязнена посторонней микрофлорой. Для оценки роста тест-микобактерий визуально просматривают каждую пробирку и учитывают характер и массивность роста, изменение цвета питательной среды. Проводят микроскопию мазка выросших культур методом окраски по Цилю - Нильсену (M. terrae представляют собой короткие прямые палочки малиново-красного цвета, располагающиеся в мазке параллельно друг другу, наподобие частокола. Размер клеток составляет 0,2 - 0,6 мкм x 1 - 10 мкм.
3.3.2.4. Рабочую суспензию тест-микобактерий готовят из тест-штамма первого и/или второго пассажей, выросших на плотной питательной среде. Дальнейшее субкультивирование недопустимо! Для приготовления рабочей суспензии культуру микобактерий снимают стеклянной палочкой с плотной питательной среды и помещают в толстостенную стеклянную пробирку. Микробную биомассу тщательно гомогенизируют, постепенно добавляя по каплям стерильную питьевую воду. Густую исходную бактериальную суспензию оставляют на 15 мин для осаждения негомогенизированных конгломератов и частиц. Полученную надосадочную жидкость отбирают пастеровской пипеткой, переносят в стерильную пробирку и, добавляя стерильную дистиллированную воду, доводят до концентрации 1 x 109 клеток в 1 см3, соответствующей по мутности 10 единицам мутности отраслевого стандартного образца ОСО 42-28-84 (10 МЕ) или 3 единицам МакФарланда, что определяется с помощью денситометра. Суспензия, содержащая такое количество живых микробов, при контаминации ею батистовых тест-объектов, тест-поверхностей и др. обеспечивает требуемые (порядка 1 x 105 - 1 x 106 КОЕ/см3) уровни их обсеменения живыми клетками тест-микроба.
3.3.2.5. В связи с тем, что микобактерии могут отмирать в результате хранения или по иным причинам, а мертвые микроорганизмы, присутствующие в суспензии, будут, как и живые, давать помутнение суспензии, необходимо осуществлять бактериологический контроль фактического количества живых клеток в приготовленной суспензии, чтобы, при необходимости, внести коррективы и обеспечить требуемые уровни контаминации тест-объектов жизнеспособными микобактериями.
3.3.2.6. Определение биологической концентрации тест-микроорганизма в рабочей суспензии. Из приготовленной суспензии делают, как показано на
схеме 3.2, разведения с 10-кратным шагом до 10
3 микробных клеток в 1 см
3 (посев 0,1 см
3 суспензии из этого разведения на плотную питательную среду позволяет произвести достаточно точный подсчет выросших на среде колоний микобактерий, количество которых будет находиться в пределах 100 единиц).
Схема 3.2
Проведение эксперимента по контролю количества живых
микобактерий в рабочей суспензии тест-микобактерий,
используемой для оценки туберкулоцидной активности
дезинфицирующего средства
3.3.2.7. Проведение эксперимента по контролю количества живых микобактерий в рабочей суспензии тест-микобактерий, используемой для оценки туберкулоцидной активности дезинфицирующих средств.
Первое разведение соответствует 108 КОЕ/см3, а шестое - 103 КОЕ/см3. Из этого разведения производят посев по 0,1 см3 на 5 пробирок со средой Левенштейна - Йенсена или "Новой", инкубируют в термостате при плюс (37 +/- 1) °C в течение 10 - 21 суток. Подсчитывают количество выросших колоний на среде в пробирке, рассчитывают среднее значение из 5 пробирок и делают пересчет количества жизнеспособных клеток в исходной суспензии, учитывая коэффициент разведения. Количество жизнеспособных клеток в рабочей суспензии должно быть 109 КОЕ/см3. Посев суспензии в пробирки со скошенной плотной питательной средой позволяет существенно экономить расход среды и избежать пересыхания и растрескивания среды, наблюдаемого при использовании чашек Петри с плотной питательной средой.
3.3.2.8. Расчет количества жизнеспособных бактериальных клеток в приготовленной исходной суспензии осуществляют по следующей
формуле 3.1:
X - количество жизнеспособных бактериальных клеток в 1 см3 приготовленной суспензии;
A - среднее количество КОЕ, выросших на 5 чашках Петри;
107 - коэффициент пересчета, учитывающий степень разведения суспензии (106) и объем, использованный для посева (0,1 см3).
Например: получен рост микобактерий в 1-й пробе 70 КОЕ, во 2-й - 130 КОЕ, в 3-й - 99 КОЕ, в 4-й - 115 КОЕ, в 5-й - 97 КОЕ, тогда среднее количество КОЕ, выросших на 5 пробирках, будет равно:
A = (70 + 130 + 99 + 115 + 97) : 5 = 102
X = 102·107 = 109 микробных клеток в 1 см3, что соответствует оптическому стандарту мутности 10 МЕ или 3 единицам МакФарланда, определяемых с помощью денситометра.
3.3.3. Определение устойчивости тест-микобактерий к воздействию температуры и эталонным дезинфицирующим средствам.
3.3.3.1. В стерильный стеклянный стакан объемом 100 см
3 наливают 50 см
3 стерильной дистиллированной воды и помещают в водяную баню. Рядом с ним в водяной бане помещают стеклянный стакан объемом 100 см
3 с 50 см
3 дистиллированной воды и с помещенным в нее термометром, позволяющим измерять температуру до плюс 100 °C. Включают водяную баню, доводят температуру воды в стакане до плюс 60 °C и поддерживают эту температуру на протяжении всего эксперимента. В стерильные пробирки разливают по 5 см
3 стерильной дистиллированной воды комнатной температуры (количество пробирок соответствует количеству отбираемых в опыте проб). Исходя из количества проб, готовят пробирки со скошенной плотной питательной средой Левенштейна - Йенсена или "Новой". Готовят и контаминируют тест-микроорганизмом батистовые тест-объекты
(п. 3.2.3.2). Если в опытах используют ранее приготовленные и хранящиеся в холодильнике контаминированные микобактериями тест-объекты, то их заранее извлекают из холодильника, чтобы они приобрели комнатную температуру плюс 18 - 20 °C. Отсчитывают в чашке Петри необходимое для опыта количество батистовых тест-объектов (по 2 на каждую экспозицию), контаминированных тест-микобактериями, захватывают тест-объекты стерильным пинцетом все сразу и опускают их в стакан со стерильной дистиллированной водой, нагретой в водяной бане до плюс 60 °C. Легким покачиванием емкости добиваются полного смачивания тест-объектов. В момент смачивания всех тест-объектов отмечают время. Через каждые 15 мин стерильным пинцетом извлекают по 2 тест-объекта и опускают их в пробирку с 5 см
3 стерильной дистиллированной воды при температуре плюс (20 +/- 2) °C для нейтрализации действия температурного фактора. Через 5 мин каждый тест-объект помещают в пробирку на поверхность скошенной плотной питательной среды. Для контроля два контаминированных тест-микобактерией тест-объекта погружают в стерильную дистиллированную воду при температуре плюс (20 +/- 2) °C на максимальный срок экспозиции, затем их (как и опытные тест-объекты) помещают на поверхность скошенной в пробирке плотной питательной среды. Посевы - опытные и контрольные - ставят в термостат при температуре плюс (37 +/- 1) °C, наличие роста тест-культур проверяют через 10 - 14 суток. Опыт повторяют не менее 3 раз. Тест-микобактерии должны быть устойчивы к нагреванию при температуре плюс 60 °C в течение не менее 1 ч.
3.3.3.2. Определение устойчивости тест-микобактерий к эталонным дезинфицирующим средствам. В качестве эталонных средств используют хлорамин Б, глутаровый альдегид и перекись водорода медицинскую. В опытах используют средство, содержащее 26,0 - 28,0% активного хлора, растворяя который в дистиллированной воде в соотношении 1 : 20, готовят рабочий раствор (5,0% по препарату). Глутаровый альдегид разводят дистиллированной водой до концентрации рабочего раствора 0,5% (по глутаровому альдегиду). Раствор перекиси водорода готовят в концентрации 4,0% (по перекиси водорода). Предварительно готовят и разливают в пробирки по 5 см
3 стерильный раствор нейтрализатора; стерильную питьевую воду; пробирки со скошенной плотной питательной средой Левенштейна - Йенсена или "Новая". Готовят и контаминируют тест-микобактериями батистовые тест-объекты
(п. 3.3.4.2). Тест-микобактерии должны быть устойчивы к 5,0% раствору монохлорамина не менее 2 ч; к 0,5% раствору глутарового альдегида - не менее 60 мин; к 4,0% раствору перекиси водорода - не менее 60 мин.
3.3.4. Методы исследований и оценки результатов изучения туберкулоцидной активности дезинфицирующих средств и их субстанций in vitro.
3.3.4.1. Суспензионный метод оценки туберкулоцидной активности средств и их субстанций используют для получения первичной информации о концентрационных и временных параметрах (отсутствие жизнеспособных микобактерий) туберкулоцидного действия средств. Методология выполнения эксперимента по оценке туберкулоцидной активности дезинфицирующих средств (ДС) суспензионным методом приведена на
схеме 3.3.
Схема 3.3
Проведение эксперимента по оценке туберкулоцидной активности
дезинфицирующего средства
Как видно из
схемы 3.3, для проведения опыта по оценке туберкулоцидной активности дезинфицирующего средства суспензионным методом необходимо приготовить:
- рабочую суспензию штамма тест-микобактерий с концентрацией не менее 1 x 109 КОЕ/см3 (это обеспечивает возможность создания в смеси дезинфектанта с суспензией (обоснованной и применяемой для этого метода оценки средств) концентрации микроорганизмов порядка 1 x 108 КОЕ/см3;
- пробирки со стерильной дистиллированной водой для проведения контроля реальной биологической концентрации (далее - БК) тест-микроорганизма в суспензии, используемой в опыте;
- пробирки или флакон с раствором средства в испытываемой концентрации в количестве, необходимом для обеспечения отбора всех проб;
- необходимое количество пробирок (в зависимости от количества проб, отбираемых для определения времени, обеспечивающего полную гибель тест-микроба), содержащих по 9 см
3 нейтрализатора, проверенного предварительно на эффективность нейтрализации остаточного действия испытываемого средства
(п. 3.1);
- пробирки со скошенной стерильной плотной питательной средой в количестве, необходимом для посева пробы контроля исходной суспензии и проб контроля эффективности действия средства на тест-микроорганизм.
Методика проведения самого опыта включает, как видно из
схемы 3.3, последовательное выполнение следующих операций:
- тщательное перемешивание хранимой в пробирке или во флаконе рабочей суспензии тест-микроорганизма путем встряхивания ее в течение 2 - 3 мин;
- помещение испытываемого рабочего раствора средства в водяную баню с заданной температурой. Если задачей эксперимента не предусмотрено изучения влияния воздействия температуры на эффективность средства, то оценка эффективности раствора испытываемого средства осуществляется при температуре плюс 18 - 20 °C;
- проведение контроля реальной на момент проведения опыта БК тест-микроорганизма в суспензии;
- внесение в испытываемый дезинфицирующий раствор рабочей суспензии тест-микроорганизма с обеспечением соотношения средства и суспензии тест-микроорганизма 9 : 1;
- перемешивание смеси и отсчет по секундомеру времени начала воздействия средства на тест-микроорганизм;
- по окончании каждой заданной экспозиции проведение отбора пробы в количестве 3 см3, которую по 1 см3 вносят в 3 пробирки, содержащих по 9 см3 стерильного раствора нейтрализатора остаточного действия дезинфекционного средства на тест-микроорганизм;
- перемешивание пробы путем встряхивания вручную в течение 1 - 2 мин (или в течение 5 мин на шейкере) и посев из них стерильно на поверхность плотной питательной среды в чашках Петри или в пробирках (по 0,1 см3 на каждую чашку или пробирку, но не менее чем на три из каждой пробы).
- инкубирование посевов при температуре плюс (37 +/- 1) °C в течение 14 - 21 суток и учет результатов.
Эффективной экспозицией для рабочего раствора испытанной концентрации считается вторая экспозиция из показавших отсутствие жизнеспособных клеток в посевах соответствующих им проб. Количество и интервал (шаг) экспозиций, при которых осуществляется отбор проб на эффективность средства, выбирают на основе данных о составе и эффективности входящих в средство ДВ. Средство, растворы которого обеспечивают при комнатной температуре в течение 60 мин полную гибель микобактерий, рассматривают как перспективное туберкулоцидное средство для дальнейшего изучения: оценки факторов, влияющих на туберкулоцидную активность средства, отработки режимов эффективного применения и др.
3.3.4.2. Метод батистовых тест-объектов. Как суспензионный метод оценки туберкулоцидной активности дезинфицирующих средств и их субстанций, так и метод батистовых тест-объектов используют для получения информации о концентрационных и временных параметрах эффективного туберкулоцидного действия средства. В принципиальном плане методология выполнения эксперимента по оценке (тестированию) туберкулоцидной эффективности средств методом батистовых тест-объектов приведена на
схеме 3.4. Как видно из
схемы 3.4, методика эксперимента предусматривает проведение контаминации микобактериями батистовых тест-объектов, контроля исходного уровня обсеменения тест-объектов, обработки (замачивания) тест-объектов в испытываемом дезинфицирующем растворе, нейтрализации средства после заданной экспозиции воздействия, инкубирование нейтрализованных тест-объектов на плотной питательной среде.
Схема 3.4
Выполнение эксперимента по оценке туберкулоцидной активности
дезинфицирующего средства методом батистовых тест-объектов

Постановка эксперимента. В стеклянную емкость объемом 50 - 100 см3 пипеткой наливают требуемый объем раствора дезинфицирующего средства из расчета 0,5 см3 на каждый тест-объект и помещают в водяную баню с температурой плюс 20 °C на весь период опыта. Отсчитывают в чашке Петри необходимое для опыта количество бязевых (батистовых) тест-объектов (по 2 на каждую экспозицию), контаминированных тест-микобактериями, захватывают стерильным пинцетом одновременно все тест-объекты и опускают их в емкость с раствором дезинфицирующего средства; легким покачиванием емкости добиваются полного смачивания тест-объектов. В момент смачивания всех тест-объектов отмечают время. Количество и интервал (шаг) экспозиций, при которых осуществляется отбор проб на эффективность средства, выбирают на основе данных о составе и эффективности входящих в средство ДВ. Через определенные интервалы времени стерильным пинцетом извлекают по 2 тест-объекта из раствора средства и опускают их в пробирку с 5 см3 1,0%-го стерильного раствора тиосульфата натрия для нейтрализации остаточного действия средства. Пробирку с нейтрализатором и тестами не подвергают встряхиванию. Через 5 - 10 мин тест-объекты переносят в пробирку с 5 см3 стерильной питьевой воды. Еще через 10 - 15 мин каждый тест-объект помещают на поверхность скошенной в пробирке плотной питательной среды. Для контроля два контаминированных тест-микобактериями тест-объекта погружают в стерильную дистиллированную воду (вместо раствора средства) на максимальный срок экспозиции, затем (как и опытные тест-объекты) их переносят в раствор нейтрализатора (тиосульфат натрия) и помещают на поверхность скошенной в пробирке плотной питательной среды. Посевы опытные и контрольные ставят в термостат при температуре плюс (37 +/- 1) °C, наличие роста тест-культур проверяют через 14 - 21 сутки. Опыт повторяют не менее 3 раз.
Средство, растворы которого обеспечивают при температуре плюс (20 +/- 2) °C в течение 60 мин полную гибель тест-микроорганизма, может рассматриваться как перспективное туберкулоцидное средство для дальнейшего изучения: оценки факторов, влияющих на туберкулоцидную активность средства, отработки режимов эффективного применения и др.
3.3.5. Методы исследования факторов, влияющих на туберкулоцидную активность дезинфицирующих средств и их субстанций.
3.3.5.1. Для определения условий применения и направлений дальнейших исследований необходимо изучить зависимость туберкулоцидного действия средства от температуры раствора средства, величины pH и присутствия белковых загрязнений. Исследования проводят методом батистовых тест-объектов
(п. 3.3.4.2). На основании полученных данных определяют целесообразность и направления дальнейших исследований препарата для применения в качестве дезинфицирующего средства.
3.3.5.2. Определение влияния температуры на туберкулоцидную активность средств и их субстанций проводят с целью выявления возможности использования подогретых растворов средств для сокращения времени обеззараживания объектов в отношении микобактерий туберкулеза, а также для оценки эффективности туберкулоцидных свойств при пониженных температурах окружающей среды, обеззараживаемого объекта и самого раствора средства:
- исследование влияния положительных температур раствора средства на его туберкулоцидную активность проводят с использованием водяной бани, в которой нагревают емкость с дезинфицирующим раствором до плюс (18 +/- 1) °C, плюс (37 +/- 1) °C, плюс (55 +/- 1) °C, после чего погружают в него контаминированные тест-объекты и поддерживают эти температуры в процессе всего опыта;
- исследование влияния пониженной температуры на активность средства проводят с использованием криостата или солевых низкозамерзающих растворов, в которых охлаждают емкость с дезинфицирующим раствором до плюс (10 +/- 1) °C, плюс (5 +/- 1) °C, минус (2 +/- 1) °C. Температуры поддерживают в процессе всего опыта. После достижения указанной температуры в раствор средства погружают батистовые тест-объекты, контаминированные культурой тест-микроорганизма, из расчета 2 тест-объекта на каждую экспозицию.
Для изучения влияния температуры рабочие растворы испытуемых средств готовят в день опыта, разливают в стеклянные колбы (пробирки) из расчета по 0,5 см3 на каждый тест-объект. Через определенные промежутки времени из каждой колбы извлекают по 2 тест-объекта и помещают их при температуре плюс (20 +/- 1) °C в пробирки с соответствующим нейтрализатором на 5 мин, затем переносят во вторую пробирку со стерильной водой на 5 мин и только после этого каждый тест-объект переносят в пробирку со скошенной плотной питательной средой (Левенштейна - Йенсена или "Новой") и помещают его на поверхность среды. Посевы инкубируют в течение 14 - 21 суток при плюс (37 +/- 1) °C. Контролем служат по 2 тест-объекта при каждой исследованной температуре, не подвергавшиеся действию испытуемого средства, но погруженные в пробирки со стерильной питьевой водой на срок, равный действию испытуемого средства.
3.3.5.3. Определение влияния величины pH на туберкулоцидную активность средств и их субстанций начинают с приготовления рабочих растворов средств, имеющих различную величину pH (5,6 - 6,0; 7,0; 8,5 - 9,0). Для подкисления раствора используют децинормальный раствор соляной или др. кислоты, а для подщелачивания - децинормальный раствор щелочи. В подготовленные растворы погружают контаминированные микобактериями батистовые тест-объекты. Исследование зависимости туберкулоцидной активности средств и их субстанций от величины pH проводят по методике, описанной выше, только при нейтрализации действия ДВ одновременно понижают или повышают и величину pH, добавляя соответственно кислоту или щелочь.
3.3.5.4. Определение влияния белковых загрязнений на туберкулоцидную активность средств проводят с целью выявления возможности влияния (или установления его отсутствия) белковых загрязнений на обеззараживаемом объекте на туберкулоцидную активность средств. Исследование проводят методом батистовых тест-объектов
(п. 3.3.4.2), только для контаминации тест-объектов используют суспензию тест-микобактерий, содержащую 20% инактивированной СКРС или дефибринированной крови, которые добавляют в суспензию при ее приготовлении. Инактивацию нормальной СКРС проводят дробным трехкратным прогреванием на водяной бане при температуре плюс (56 +/- 1) °C в течение 30 мин. Если активность препарата не снижается в присутствии 20% белка, концентрацию инактивированной СКРС или дефибринированной крови в суспензии тест-микроорганизма увеличивают до 40%. Отсутствие снижения туберкулоцидной активности средства при добавлении 40% сыворотки позволяет считать средство не реагирующим на присутствие белковых загрязнений.
3.3.6. Метод исследования туберкулоцидной эффективности средств, предназначенных для обеззараживания поверхностей в помещениях, мебели, аппаратов, приборов, санитарно-технического оборудования, транспортных средств и других объектов.
3.3.6.1. В исследованиях используют тест-поверхности (10 x 10 см), указанные в
п. 3.1.4.1.
3.3.6.2. Затем готовят суспензию тест-микобактерий, содержащую 2,0 x 109 КОЕ/см3. При разработке режимов обеззараживания раковин, ванн и др. загрязненных объектов для имитации органического загрязнения к суспензии добавляют 40% лошадиной сыворотки, инактивированной трехкратным прогреванием при плюс 56 °C в течение 30 мин (к 6 см3 двухмиллиардной суспензии прибавляют 4 см3 сыворотки).
3.3.6.3. Подготовленные тест-поверхности располагают горизонтально и на них с помощью одноканального механического дозатора или пипетки наносят 0,5 см3 суспензии тест-микроорганизма. Суспензию равномерно распределяют по тест-поверхности (100 см2) стерильным стеклянным шпателем. Если суспензия тест-микроорганизма не распределяется равномерно, а собирается в каплю, растирание шпателем по тест-поверхности осуществляют неоднократно (3 - 5 раз). Контаминированные тест-поверхности подсушивают при комнатной температуре до полного высыхания (30 - 120 мин). При обеззараживании тест-поверхности из дерева (окрашенные клеевой и др. красками, оклеенные обоями), из стекла, кафеля и др. располагают вертикально; поверхности из линолеума, метлахской плитки и др. покрытий для пола располагают горизонтально.
3.3.6.4. Тест-поверхности обеззараживают способами орошения, протирания (однократного или двукратного) дезинфицирующим раствором. В зависимости от вида обрабатываемой поверхности и наличия загрязнений на ней норма расхода средства на одну обработку способом протирания составляет 100 - 150 см3 на 1 м2 (1 - 1,5 см3 на 100 см2); способом орошения - 150 см3 на 1 м2 (1,5 см3 на 100 см2) при обработке мелкокапельным распылителем и 300 см3 на 1 м2 (3 см3 на 100 см2) - при обработке крупнокапельным распылителем или гидропультом. При необходимости обработку способом протирания или орошения повторяют через 5 - 15 мин.
3.3.6.5. Для контроля эффективности обеззараживания через определенные промежутки времени (15 - 30 - 60 и т.д. до 120 мин) с тест-поверхностей делают смывы путем тщательного протирания поверхностей стерильной марлевой салфеткой (5 см2), увлажненной нейтрализатором. После протирания на тест-поверхности не должно оставаться излишней влаги. Салфетки погружают на 5 мин в пробирки (емкости) с соответствующим нейтрализатором (10 см3), а затем в стерильную питьевую воду с бусами и встряхивают на шейкере в течение 10 мин. Полученную смывную жидкость вносят по 0,1 см3 в 3 - 5 пробирок со скошенной плотной питательной средой (Левенштейна - Йенсена или "Новой"), тщательно распределяя ее по всей поверхности. Посевы инкубируют в термостате при температуре плюс (37 +/- 1) °C в течение 14 - 21 суток.
3.3.6.6. В контрольных опытах для обработки аналогично контаминированных тест-поверхностей вместо раствора средства используют стерильную питьевую воду из того же расчета, что и опытные. Жидкость, в которую помещают стерильную марлевую салфетку после взятия смыва с контрольных поверхностей, перед посевом разводят в 100 раз и вносят по 0,1 см3 на скошенную поверхность плотной питательной среды (Левенштейна - Йенсена или "Новой") в 3 - 5 пробирок. Посевы инкубируют в термостате при температуре плюс (37 +/- 1) °C. Учитывают результаты через 14 - 21 суток. Оценку результатов проводят по посеву того разведения, в котором число колоний на чашке Петри или в пробирке составляет от 30 до 300 КОЕ.
3.3.6.7. После выдерживания посевов в термостате подсчитывают число колоний на чашках или пробирках с плотной питательной средой, рассчитывают остаточную плотность контаминации на 100 см2 тест-поверхности и рассчитывают эффективность обеззараживания, принимая количество тест-микроорганизмов, снятых с контрольных тест-объектов (тест-поверхностей), за 100%.
Например: на 100 см2 контрольной тест-поверхности по результатам бактериологического контроля обнаружено 148 000 микробных клеток, а на аналогичного вида опытной тест-поверхности - 20 микробных клеток.

, где
x - эффективность обеззараживания опытной тест-поверхности.
x = 20·100 : 148000 = 2 : 148 = 0,013%.
Эффективность обеззараживания опытной тест-поверхности составляет 100 - 0,013 = 99,987%.
3.3.6.8. Критерий эффективности средств при обеззараживании тест-поверхностей из различных материалов, контаминированных тест-микроорганизмом, - не менее 99,99%.
3.3.7. Метод исследования туберкулоцидной эффективности средств, предназначенных для обеззараживания предметов ухода за больными и игрушек (кроме мягких) из различных материалов.
3.3.7.1. В исследованиях используют тест-объекты (площадь поверхности 100 см2) и предметы ухода за больными из различных материалов: резин на основе натурального и силиконового каучука (медицинская клеенка, грелка, груша); стекла (поильник, плевательница, градусник); пластмасс (грелка, лоток, наконечник для клизм); металлов (таз, стакан для термометра); игрушки (кроме мягких) из резин и пластмасс. Тест-объекты, предметы ухода за больными и игрушки из различных материалов тщательно моют водой с мылом и щеткой. Тест-объекты стерилизуют паровым или воздушным методом.
3.3.7.2. Готовят суспензию тест-микобактерий, содержащую 2,0·109 микробных клеток в 1 см3. К суспензии добавляют 40% лошадиной сыворотки, инактивированной трехкратным прогреванием при 56 °C в течение 30 мин (к 6 см3 двухмиллиардной суспензии прибавляют 4 см3 сыворотки). С помощью одноканального механического дозатора или пипетки на поверхность тест-объекта наносят 0,5 см3 суспензии тест-микроорганизма. Суспензию равномерно распределяют по поверхности площадью 100 см2 стерильным стеклянным шпателем. Каналы и полости предметов ухода за больными, игрушек заполняют с помощью шприца. Мелкие игрушки полностью погружают в суспензию. Контаминированные тест-объекты, предметы ухода за больными и игрушки подсушивают при комнатной температуре до полного высыхания (30 - 120 мин).
3.3.7.3. Растворы средств готовят на водопроводной воде температуры плюс (20 +/- 2) °C. Обеззараживание осуществляют способом погружения, протирания, орошения. После подсушивания контаминированные тест-объекты, предметы ухода за больными, игрушки, в т.ч. имеющие каналы и полости, погружают в раствор испытуемого дезинфицирующего средства или протирают салфеткой, смоченной им. Мелкие игрушки полностью погружают в емкость с раствором средства, препятствуя их всплытию; крупные игрушки обеззараживают способом орошения. Норма расхода средства: способом протирания - из расчета 100 - 150 см3 на 1 м2 при однократной обработке и 200 - 300 см3 на 1 м2 при двукратной обработке; способом орошения - 150 см3 на 1 м2 при обработке мелкокапельным распылителем и 300 см3 на 1 м2 - при обработке крупнокапельным распылителем или гидропультом. При необходимости обработку способом протирания или орошения повторяют через 5 - 15 мин.
3.3.7.4. Для контроля эффективности обеззараживания через определенные промежутки времени после обработки (30 - 60 - 120 мин) тест-объекты, предметы ухода за больными и игрушки извлекают из раствора, делают смывы стерильной марлевой салфеткой (5 см2), увлажненной нейтрализатором. Салфетки погружают в стерильный раствор нейтрализатора на 5 мин, затем переносят в пробирки (емкости) с бусами и стерильной питьевой водой (10 см3) и встряхивают на шейкере в течение 10 мин. Каналы и полости промывают нейтрализатором (10 см3), который собирают в стерильные пробирки (емкости) и оставляют на 5 мин для нейтрализации.
3.3.7.5. Полученную смывную жидкость, в т.ч. из каналов, вносят по 0,1 см3 на скошенную поверхность плотной питательной среды (Левенштейна - Йенсена или "Новой") в 3 - 5 пробирок. В контрольных опытах вместо раствора средства используют стерильную питьевую воду. Посевы инкубируют в термостате при температуре плюс (37 +/- 1) °C. Результаты учитывают через 10 - 21 сутки инкубирования.
3.3.7.6. Эффективность средств при обеззараживании тест-объектов, предметов ухода за больными и игрушек из различных материалов (кроме мягких), контаминированных тест-микроорганизмом, должна быть не менее 100%.
3.3.8. Метод исследования туберкулоцидной эффективности средств, предназначенных для обеззараживания посуды столовой, лабораторной и из-под выделений.
3.3.8.1. Для определения туберкулоцидной активности средств, предназначенных для обеззараживания посуды, используют в качестве тест-объектов набор посуды различного назначения, подготовленной к эксперименту согласно
п. 3.1.4.2.
3.3.8.2. На посуду (площадь в 100 см2) пипеткой наносят суспензию тест-микроорганизма из расчета 0,5 см3 суспензии, содержащей 2 x 109 КОЕ в 1 см3. Суспензию тест-микроорганизма равномерно распределяют по поверхности посуды стеклянным шпателем. Столовые приборы для контаминации погружают в бактериальную суспензию на 1 - 2 мин, оставляя незараженными их ручки. Контаминированную посуду подсушивают (до полного высыхания) при комнатной температуре (30 - 120 мин) и относительной влажности воздуха 50 - 60%.
3.3.8.3. Для разработки режимов обеззараживания посуды с остатками пищи при контаминации используют суспензию тест-микроорганизма, смешанную с овсяной, манной или др. кашей, сваренной на молоке со сливочным маслом (к 10 г каши добавляют 1 см3 двухмиллиардной микробной взвеси). Для имитации загрязнения чайной посуды используют кисель (к 10 г киселя добавляют 1 см3 двухмиллиардной микробной взвеси), лабораторной посуды - 40%-ю инактивированную сыворотку, посуды из-под выделений - 20%-ю эмульсию фекалий, предварительно растертую в ступке.
3.3.8.4. Обработку столовой, чайной, лабораторной посуды, столовых приборов проводят способом погружения в дезинфицирующий раствор. Растворы готовят на питьевой воде. Температура испытуемого раствора - плюс 18 - 20 °C. При необходимости изучают эффективность растворов средств при температуре плюс 50 °C. Дезинфицирующий раствор должен полностью заполнять и с избытком покрыть всю посуду и приборы (из расчета не менее 2 дм3 на 1 комплект).
3.3.8.5. Время обеззараживания посуды - от 15 до 240 мин, в зависимости от вида средства и наличия загрязнения.
3.3.8.6. Через определенные интервалы времени (например, 15, 30, 60 мин и т.д.) извлекают по одному предмету разных наименований (например, тарелка, стакан, предметное стекло, нож и т.д.) из дезинфицирующего раствора и стерильной марлевой салфеткой (5 см2), смоченной в растворе нейтрализатора, соответствующего данному средству, тщательно протирают контаминированную бактериями часть каждого предмета и погружают в 10 см3 этого же нейтрализатора на 5 мин, затем салфетку переносят в пробирку со стерильной питьевой водой и бусами. Время отмыва марлевой салфетки - 10 мин при постоянном встряхивании на шейкере. После отмыва смывную жидкость по 0,1 см3 высевают в 3 - 5 пробирок со скошенной поверхностью плотной питательной среды (Левенштейна - Йенсена или "Новой") по 0,1 см3 в каждую. Посевы помещают в термостат при температуре плюс (37 +/- 1) °C. Предварительный учет результатов проводят через 10 - 14 суток, окончательный - через 21 сутки. Контролем служит аналогично контаминированная посуда, которая погружается не в дезинфицирующий раствор, а в такой же объем стерильной питьевой воды.
3.3.8.7. Критерий эффективности обеззараживания посуды: гибель тест-микроорганизма не менее 100%.
3.3.9. Метод исследования туберкулоцидной эффективности средств, предназначенных для обеззараживания белья, одежды, спецодежды и др. изделий из ткани.
3.3.9.1. Исследования средства проводят в целях оценки эффективности его для обеззараживания белья и др. изделий из тканей, чистых или загрязненных кровью, или выделениями (фекалии, моча, мокрота). Оценку эффективности средств для обеззараживания белья, одежды, спецодежды и др. объектов из ткани осуществляют с помощью стерильных тест-объектов из материалов, указанных и подготовленных к эксперименту как указано в
п. 3.1.4.3.
3.3.9.2. Стерильные тест-объекты контаминируют суспензией тест-микроорганизмов, содержащей 2 x 109 КОЕ/см3, из расчета 20 см3 на 10 тест-объектов и подсушивают в течение 30 мин. Затем тест-объекты закладывают в бязевые мешочки размером 5 x 8 см (по 2 шт. в каждый), которые закрывают в виде конверта.
3.3.9.3. Раствор испытываемого средства на водопроводной воде комнатной температуры или подогретой до плюс (50 +/- 1) °C готовят из расчета 5 дм3 на 1 кг белья. Салфетки из ткани, имитирующие белье, поштучно погружают в емкость с раствором испытываемого средства так, чтобы между слоями ткани не образовывалось воздушных прослоек, препятствующих процессу обеззараживания. Одновременно между слоями белья распределяют (сверху, в середине и внизу) мешочки с контаминированными тест-объектами. Через заданное время мешочки извлекают одновременно из трех слоев. Тест-объекты вынимают из мешочка стерильным пинцетом, помещают на 5 мин в емкость с раствором соответствующего нейтрализатора, затем переносят в стерильную питьевую воду и высевают на питательный агар. Посевы инкубируют при плюс (37 +/- 1) °C. Предварительный учет результатов проводят через 10 - 14 суток, а окончательный - через 21 сутки. В контрольных опытах белье погружают в стерильную питьевую воду. Мешочки с тестами закладывают так же, как и в опыте. После получения 100% гибели тест-микроорганизма в опытах по обеззараживанию белья без белковых загрязнений, переходят к опытам по обеззараживанию белья, загрязненного выделениями.
3.3.9.4. Для определения эффективности средств при обеззараживании белья, одежды, спецодежды и др. объектов из ткани, загрязненных кровью, выделениями (фекалии, мокрота, моча и др.), в лабораторных условиях используют бязевые тест-объекты, которые контаминируют суспензией тест-микобактерий с добавлением 40% инактивированной сыворотки (6 см3 суспензии, содержащей 2 x 109 КОЕ/см3 тест-микроорганизма смешивают с 4 см3 инактивированной сыворотки) или 40% фекальной эмульсии (6 см3 суспензии тест-микроорганизма смешивают с 4 см3 40% фекальной эмульсии), исходя из расчета 30 см3 суспензии на 10 тест-объектов. Для приготовления фекальной эмульсии 8 г фекалий растирают в ступке с 20 см3 воды. Количество суспензии тест-микроорганизма, содержащей сыворотку или фекалии, готовят из расчета 30 см3 на 10 тест-объектов. Контаминированные тест-объекты подсушивают в термостате при температуре плюс (37 +/- 1) °C в течение 20 - 25 мин или 1,5 - 2 ч при комнатной температуре до полного высыхания. Методика проведения эксперимента аналогична опытам с чистым бельем.
3.3.9.5. Критерием эффективности средства при обеззараживании белья, одежды, спецодежды и др. объектов из тканей является 100% гибель тест-микроорганизмов на тест-объектах. При изучении эффективности обеззараживания изделий из синтетических тканей (капрон, ацетат, лавсан и др.) используют тест-объекты из этих тканей размером 5 x 5 см, т.к. микроорганизмы не проникают в структуру этих тканей и смываемость их в 2 раза больше, чем с бязевых тест-объектов.
3.3.10. Метод исследования туберкулоцидной эффективности камерного метода обеззараживания.
3.3.10.1. Дезинфекционные камеры используют для обеззараживания одежды, обуви, постельных принадлежностей, мягких игрушек и др.
3.3.10.2. В качестве тест-микроорганизма используют Mycobacterium B5, которые по устойчивости к температуре аналогичны M. terrae, но позволяют получить более быстрый результат. Для исследований используют суспензию микроорганизмов, содержащую 2 x 109 КОЕ в 1 см3, которой контаминируют тест-объекты из батиста, бязи и др. материалов, соответствующих обеззараживаемым объектам. Тест-объекты закладывают в стерильные конверты из хлопчатобумажной ткани (по 2 тест-объекта в конверт). Пронумерованные тест-объекты помещают в хлопчатобумажные мешочки с максимальными термометрами и размещают в толще объектов в контрольные точки на трех уровнях внутри дезинфекционной камеры. После обеззараживания мешочки извлекают из камеры и записывают показания максимальных термометров. Тест-объекты помещают в пробирки с 5 см3 картофельно-глицеринового бульона.
3.3.10.3. Инкубирование посевов с тест-объектами проводят при температуре плюс (37 +/- 1) °C в течение 5 - 7 суток. Отсутствие помутнения питательной среды указывает на гибель микобактерий в тест-объектах. При наличии роста проводят сравнение выделенной культуры с тест-микобактерией.
3.3.10.4. В качестве контроля используют тест-объекты, которые не помещали в камеру, и питательную среду, которую применяли для культивирования тест-микроорганизма после обработки. Контрольные тест-объекты и среду проверяют аналогично тест-объектам, которые обрабатывали в камере. Для установления эффективности обработки проводят не менее трех экспериментов на каждое время обработки.
3.3.10.5. Эффективность обеззараживания вещей в дезинфекционных камерах должна быть равна 100% гибели Mycobacterium B5 на использованных тест-объектах.
3.3.11. Метод исследования туберкулоцидной эффективности средств, предназначенных для обеззараживания выделений (моча, фекалии, мокрота) и крови.
3.3.11.1. Обеззараживание мочи. Мочу разливают в колбы или пробирки по 8 см3, добавляют по 1 см3 суспензии M. terrae, содержащей 2·109 КОЕ/см3, и по 1 см3 инактивированной лошадиной сыворотки. Растворы испытываемого средства готовят в концентрациях, обеспечивающих туберкулоцидный эффект при испытании его на батистовых тест-объектах с белковой защитой. Испытуемые растворы средства добавляют к моче в равном или двойном объеме. Отмечают время контакта и через интервалы 15, 30, 60 мин смесь в количестве 1 см3 пипеткой переносят в пробирки с 5 см3 соответствующего нейтрализатора. После тщательного смешивания 1 см3 жидкости из первой пробирки переносят во вторую пробирку с 5 см3 нейтрализатора и затем засевают по 0,1 см3 в пробирки на скошенную поверхность питательной среды, как из первой, так и из второй пробирки. Посевы инкубируют в термостате при температуре плюс (37 +/- 1) °C. Контролем служат аналогично поставленные опыты только с добавлением к моче не дезинфицирующего раствора, а воды. Ориентировочный учет результатов проводят через 10 - 14 суток, окончательный - 21 сутки. Результаты опытов учитывают по отношению к контролю, который принимают за 100%. Окончательное заключение об эффективности средств делают на основании не менее трех опытов с совпадающими результатами. Эффективным считают средство и режим его применения, обеспечивающие 100% гибель тест-микроорганизмов.
3.3.11.2. Обеззараживание фекалий. При разработке режимов обеззараживания фекалий учитывают соотношение средства и обеззараживаемой массы фекалий, время обработки, температуру, консистенцию обеззараживаемых выделений, степень гомогенизации в процессе обеззараживания. Исследования проводят в два этапа. На первом этапе в качестве тест-объекта используют 20% эмульсию фекалий, на втором - оформленные фекалии. Для приготовления 20% эмульсии 20 г фекалий растирают в ступке и добавляют 80 см3 воды; полученную эмульсию фильтруют через двойной слой марли, стерилизуют в автоклаве, разливают пипеткой в пробирки по 9 см3 и добавляют по 1 см3 суспензии M. terrae, содержащей 2·109 КОЕ/см3. Опыты начинают ставить с концентрации, вызывающей гибель тест-микроорганизма в моче с белком через 30 мин. Приготовленную эмульсию фекалий заливают равным или двойным объемом дезинфицирующего раствора и дальше производят высевы так же, как и при обеззараживании мочи. Результаты учитывают через 21 сутки. При положительных результатах проводят опыты с большим количеством оформленных фекалий (200 - 250 г). Для этого помещают их в сосуд, заливают дезинфицирующим раствором или засыпают сухими ДС в равном или двойном количестве по отношению к весу фекалий, определяют, происходит ли гомогенизация фекалий. Затем небольшую часть фекальных масс размешивают стеклянной палочкой с жидкостью, а остальную массу оставляют в виде небольших комочков. Через определенные промежутки времени (например, 30, 60 мин) проводят посев. Посев жидкой части фекалий производят так же, как в опытах с мочой. Плотные же части (комочки) забирают бактериологической петлей и помещают в 5 см3 соответствующего нейтрализатора, растерев их о стенки пробирки, и тщательно перемешивают. Затем стерильной пипеткой переносят из этой пробирки 1 см3 смеси во вторую пробирку, тоже содержащую нейтрализатор. Как из первой, так и из второй пробирки производят посев по 0,1 см3 на скошенную поверхность питательной среды в пробирках (не менее чем в три пробирки). Предварительный результат учитывают через 10 - 14 суток, а окончательный - через 21 сутки. Контролем служат аналогично поставленные опыты с добавлением вместо дезинфицирующего раствора воды. Результаты опытов учитывают по отношению к контролю, который принимают за 100%. Судят об эффективности исследуемого средства на основании не менее трех опытов с совпадающими результатами. Эффективным считают средство и режим его применения, обеспечивающий 100% гибель тест-микроорганизма в обеззараживаемом материале.
3.3.11.3. Обеззараживание крови и мокроты. В качестве тест-объектов при оценке туберкулоцидной эффективности средств, предназначенных для обеззараживания крови, используют кровь, а мокроты - куриный белок. Для контаминации тест-объектов тест-микроорганизмом к 9 см3 40% крови или 50% куриного белка добавляют по 1 см3 суспензии тест-микроорганизма, содержащей 2·109 КОЕ/см3, перемешивают и разливают по 1 см3 в стерильные флаконы. Затем во флаконы засыпают или наливают исследуемое средство в объемных (5%, 10% и т.д.) соотношениях к исследуемому материалу. Через определенные промежутки времени (1 ч, 2 ч и т.д.) с помощью стерильной бактериологической петли производят отбор пробы смеси и переносят ее в 5 см3 нейтрализатора для нейтрализации остаточного действия средства на тест-микроорганизм. По истечении 5 мин из этой пробирки с помощью пипетки производят высев по 0,2 см3 исследуемой пробы на скошенную поверхность питательной среды в пробирках. Пробирки с посевами инкубируют при температуре плюс (37 +/- 1) °C. Предварительный результат роста тест-микроорганизмов на чашках учитывают через 10 - 14 суток, а окончательный - через 21 сутки. Эффективным считают средство, обеспечивающее 100% гибель тест-микроорганизма в обеззараживаемом материале.
3.3.12. Метод исследования туберкулоцидной эффективности средств, предназначенных для обеззараживания медицинских отходов.
3.3.12.1. При изучении туберкулоцидной активности средств с целью разработки режимов обеззараживания медицинских отходов используют тест-объекты из резин, пластмасс, текстильных материалов, стекла, металлов. Для приготовления тест-объектов стерильные одноразовые медицинские изделия (бинты, ватные тампоны, фрагменты систем для переливания крови и лекарственных препаратов, катетеры, шпатели, шприцы, иглы, перчатки, одноразовое белье, салфетки, пипетки, трубки и пр.) измельчают и погружают в суспензию тест-микроорганизма, содержащую 2·109 КОЕ/см3 с добавлением 80% инактивированной лошадиной сыворотки или СКРС. После достаточного пропитывания объекты извлекают в сухую стерильную емкость и подсушивают в термостате при температуре плюс (37 +/- 1) °C в течение 20 мин или при комнатной температуре плюс 18 - 20 °C и относительной влажности воздуха 50 - 60% в течение 60 мин.
3.3.12.2. Контаминированные тест-объекты погружают в емкость с испытуемым дезинфицирующим раствором так, чтобы он полностью закрывал их. Контроль эффективности обеззараживания объектов проводят через каждые 15 - 30 мин в течение времени до 360 мин. Для этого тесты из различных материалов (по два каждого наименования) извлекают из дезинфицирующего раствора, промывают в растворе соответствующего нейтрализатора, из полученных смывов производят посев по 0,1 см3 на поверхность плотной питательной среды. Контрольные тест-объекты погружают в стерильную водопроводную воду на срок максимальной экспозиции, а затем высевают на скошенную поверхность питательной среды. Пробирки с посевами помещают в термостат при температуре плюс (37 +/- 1) °C. Окончательный учет результатов проводят на 21 сутки.
3.3.12.3. Критерий эффективности обеззараживания медицинских отходов - 100% гибель M. terrae на тест-объектах, обработанных средством.
3.3.13. Метод исследования туберкулоцидной эффективности средств, предназначенных для обеззараживания воздуха.
3.3.13.1. Химические средства применяют для обеззараживания воздуха в помещениях в виде аэрозолей или паров растворов средств, а также газов.
3.3.13.2. При исследовании эффективности обеззараживания воздуха химическими средствами в качестве тест-микроорганизмов используют M. terrae. Работы, связанные с высоким риском образования аэрозоля (центрифугирование, гомогенизация, измельчение, интенсивное встряхивание, обработка ультразвуком, вскрытие объектов с зараженным материалом), работы с большими объемами и высокими концентрациями ПБА и др. проводят с соблюдением мер безопасности в соответствии с действующими нормативными документами, регламентирующими требования безопасности при работе с аэрозолями микроорганизмов, относящихся к ПБА I - IV группы патогенности <4>.
--------------------------------
<4>
СП 1.3.3118-13 "Безопасность работы с микроорганизмами I - II групп патогенности (опасности)";
СП 1.3.2322-08 "Безопасность работы с микроорганизмами III - IV групп патогенности (опасности) и возбудителями паразитарных болезней".
3.3.13.3. Исследования проводят в специально оборудованных испытательных помещениях (камерах, боксах), предназначенных для работы с аэрозолями микроорганизмов. Предварительно внутренние поверхности в помещениях или камеры моют раствором моющего средства, остатки которого затем смывают водопроводной водой, и включают бактерицидный УФ-облучатель на время, рассчитанное для заданной бактерицидной эффективности 99,9% в зависимости от объема помещения. В углу камеры располагают продезинфицированный вентилятор (при необходимости - несколько вентиляторов), назначение которого - замедление скорости седиментации микроорганизмов. Перед началом работы исследователь надевает средства защиты: халат, резиновые перчатки и маску, включает вентилятор(ы).
3.3.13.4. Затем в опытном помещении (камере) распыляют суспензию тест-микроорганизма в количестве, достаточном для создания в воздухе камеры концентрации микроорганизмов 2,0·105 клеток/м3. Аэрозоль создают с помощью распыливающей аппаратуры, которая обеспечивает образование в воздухе не менее 80% частиц с дисперсностью (10 +/- 5) мкм. При использовании оборудования, содержащего сосуды под давлением, к работе допускаются лица, имеющие соответствующее разрешение на работу с ними и прошедшие инструктаж.
3.3.13.5. При определении эффективности средств, предназначенных для обеззараживания воздуха, используют аспирационный метод. Этот метод основан на аспирировании воздуха через жидкость. При использовании аспирационного метода для оценки эффективности средств, предназначенных для обеззараживания воздуха, необходимо следующее оборудование:
- устройство для отбора проб воздуха с производительностью 2 - 20 м3/мин;
- стерильные склянки по типу Дрекселя с 20 - 50 см3 стерильной водопроводной воды или физиологического раствора из расчета 2 шт. на 1 пробу. Предварительно в стерильную воду вносят соответствующий нейтрализатор;
- стерильные резиновые шланги диаметром 5 - 10 мм, соединяющие склянки по типу Дрекселя (последовательно одну за другой) и далее устройство для отбора проб воздуха, а также предназначенные для отбора проб воздуха в центре камеры.
3.3.13.6. Для ориентировочной оценки обсемененности воздуха допустимо использовать специальные импакторы, разрешенные к применению в установленном порядке.
3.3.13.7. Подготовка камеры к эксперименту осуществляется как указано выше. Для исследования отбирается 50 дм3 воздуха (объем пробы):
- контроль обсемененности воздуха до начала распыления суспензии тест-микроорганизмов;
- контроль обсемененности воздуха после распыления суспензии тест-микроорганизма;
- контроль эффективности обеззараживания воздуха - отбор пробы через определенные промежутки времени в зависимости от предполагаемой эффективности средства.
3.3.13.8. После отбора проб жидкость из 2 склянок по типу Дрекселя смешивают для формирования средней пробы, которую по 1 см3 вносят в пробирки со скошенной питательной средой. Посевы помещают в термостат. Предварительный учет результатов проводят через 10 - 14 суток, окончательный - через 21 сутки.
3.3.13.9. Критерий эффективности обеззараживания воздуха - 100%.
3.3.14. Метод исследования туберкулоцидной эффективности бактерицидных ультрафиолетовых облучателей или другого оборудования, предназначенных для обеззараживания воздуха.
3.3.14.1. Эффективность обеззараживания помещения оценивается по степени снижения микробной обсемененности воздуха под воздействием бактерицидного ультрафиолетового облучения (или иного физического фактора) на основе оценки уровня микробной обсемененности до и после воздействия.
3.3.14.2. При исследовании эффективности обеззараживания воздуха в качестве тест-микроорганизмов используют M. terrae. Работы, связанные с высоким риском образования аэрозоля (центрифугирование, гомогенизация, измельчение, интенсивное встряхивание, обработка ультразвуком, вскрытие объектов с зараженным материалом), работы с большими объемами и высокими концентрациями ПБА и др. проводят с соблюдением мер безопасности в соответствии с действующими нормативными документами, регламентирующими требования безопасности при работе с аэрозолями микроорганизмов, относящихся к ПБА I - IV групп патогенности <5>.
--------------------------------
<5>
СП 1.3.3118-13 "Безопасность работы с микроорганизмами I - II групп патогенности (опасности)";
СП 1.3.2322-08 "Безопасность работы с микроорганизмами III - IV групп патогенности (опасности) и возбудителями паразитарных болезней".
3.3.14.3. Исследования проводят в специально оборудованных испытательных помещениях (камерах, боксах), предназначенных для работы с аэрозолями микроорганизмов. Предварительно внутреннюю поверхность помещения или камеры моют раствором моющего средства, остатки которого затем смывают водопроводной водой и включают бактерицидный УФ-облучатель на время, рассчитанное для заданной бактерицидной эффективности 99,9% в зависимости от объема помещения. В углу камеры располагают продезинфицированный вентилятор (при необходимости - несколько вентиляторов), назначение которого - замедление скорости седиментации микроорганизмов. Перед началом работы исследователь надевает средства защиты: халат, резиновые перчатки и маску, включает вентилятор(ы).
3.3.14.4. Затем в опытном помещении (камере) распыляют суспензию тест-микроорганизма в количестве, достаточном для создания в воздухе камеры концентрации микроорганизмов 2,0·104 клеток/м3. Аэрозоль создают с помощью распыливающей аппаратуры, которая обеспечивает образование в воздухе не менее 80% частиц с дисперсностью (10 +/- 5) мкм. При использовании оборудования, содержащего сосуды под давлением, к работе допускаются лица, имеющие соответствующее разрешение на работу с ними и прошедшие инструктаж.
3.3.14.5. При определении эффективности средств и технологий, предназначенных для обеззараживания воздуха, используют аспирационный метод (основан на аспирировании воздуха через жидкость). При использовании аспирационного метода необходимо следующее оборудование:
- устройство для отбора проб воздуха с производительностью 2 - 20 м3/мин;
- стерильные склянки по типу Дрекселя с 20 - 50 см3 стерильной водопроводной воды или физиологического раствора из расчета 2 шт. на 1 пробу. Предварительно в стерильную воду вносят соответствующий нейтрализатор;
- стерильные резиновые шланги диаметром 5 - 10 мм, соединяющие склянки по типу Дрекселя (последовательно одну за другой) и далее устройство для отбора проб воздуха, а также предназначенные для отбора проб воздуха в центре камеры.
3.3.14.6. Для ориентировочной оценки обсемененности воздуха допустимо использовать специальные импакторы, разрешенные к применению в установленном порядке.
3.3.14.7. Подготовка камеры к эксперименту осуществляется как указано выше. Для исследования отбирается 50 дм3 воздуха (объем пробы):
- контроль обсемененности воздуха до начала распыления суспензии тест-микроорганизмов;
- контроль обсемененности воздуха после распыления суспензии тест-микроорганизма;
- контроль эффективности обеззараживания воздуха - отбор пробы через определенные промежутки времени в зависимости от предполагаемой эффективности изучаемого средства.
3.3.14.8. Эффективность обеззараживания воздуха определяется путем сравнения степени контаминации воздуха после обработки со степенью контаминации воздуха в контроле.
3.3.14.9. После отбора проб жидкость из 2 склянок по типу Дрекселя смешивают для формирования средней пробы, которую по 1 см3 вносят в пробирки со скошенной питательной средой. Посевы помещают в термостат. Предварительный учет результатов проводят через 10 - 14 суток, окончательный - через 21 сутки.
3.3.14.10. Критерий эффективности обеззараживания воздуха - 100%.
3.4. Методы изучения и оценки фунгицидной активности
дезинфицирующих средств
3.4.1. Тест-микроорганизмы для исследования фунгицидной активности средств и их субстанций.
3.4.1.1. При изучении фунгицидной активности средств и их субстанций в качестве тест-микроорганизмов используют:
- Candida albicans (шт. ВКПМ Y 3108 (ATCC 10231) - для оценки фунгицидной активности в отношении возбудителей кандидозов;
- Trichophyton mentagrophytes (штамм ATCC 9533) - для оценки фунгицидной активности в отношении возбудителей дерматофитий;
- Aspergillus brasiliensis (штамм ATCC 16404) - для оценки фунгицидной активности в отношении плесневых грибов.
При сертификационных испытаниях и экспертной оценке ранее зарегистрированных средств набор тест-микроорганизмов может быть ограничен наиболее устойчивыми представителями каждой группы.
3.4.1.2. Условия культивирования тест-грибов. Тест-микроорганизмы культивируют на следующих питательных средах:
C. albicans - на бульоне Сабуро, агаре Сабуро при температуре плюс (27 +/- 1) °C в течение 2 - 10 суток;
T. mentagrophytes - на бульоне Сабуро, агаре Сабуро при температуре плюс (27 +/- 1) °C в течение 28 суток;
A. brasiliensis - на бульоне Сабуро, агаре Сабуро при температуре плюс (37 +/- 1) °C в течение 2 суток, а затем выдерживают 3 - 5 суток при температуре плюс (20 +/- 2) °C в темном месте.
3.4.1.3. Эталонные культуры указанных выше микроорганизмов хранят при температуре плюс (4 + 2) °C в ампулах (после лиофильной сушки), в замороженном виде - в среде с криопротектором при температуре минус 70 °C или на плотных питательных средах (посев уколом) под слоем стерильного вазелинового масла (толщина слоя 1,5 - 3 мм), а рабочие культуры - на скошенном агаре или в бульоне. При наличии низкотемпературной морозильной камеры до минус 70 °C из референтного образца готовят субкультуры референтного образца в бульоне с криопротектором в необходимом для работы количестве, которые затем хранят в коллекции лаборатории в условиях глубокой заморозки при температуре минус 70 °C и используют для приготовления рабочих культур контрольных штаммов. При отсутствии низкотемпературной морозильной камеры из референтного образца, получаемого из государственных или национальных коллекций, готовят субкультуры референтного образца в полужидком агаре в необходимом для работы количестве. Приготовленные субкультуры хранят при температуре плюс (2 - 8) °C под слоем стерильного вазелинового масла не более 6 месяцев.
3.4.1.4. В целях сохранения таксономически важных признаков и устойчивости культуры количество пассажей тестового микроорганизма на питательных средах с момента его восстановления до момента его целевого использования должно быть по возможности минимальным, не более трех.
3.4.1.5. Тест-микроорганизмы должны иметь типичные биохимические, морфологические, тинкториальные, культуральные и ферментативные свойства, присущие данному виду, и обладать стандартной устойчивостью к эталонным средствам: растворам хлорамина Б, перекиси водорода, Катамина АБ - АДБАХ, глутарового альдегида
(табл. 3.4).
Таблица 3.4
Устойчивость тест-микроорганизмов
к эталонным дезинфицирующим средствам
Дезинфицирующее средство | Концентрация раствора по ДВ, % | Время гибели тест-грибов, мин, не менее |
C. albicans | T. mentagrophytes | A. brasiliensis |
Хлорамин | 0,26 | 35 | 50 | - |
АДБАХ | 0,50 | 5 | 25 | - |
Глутаровый альдегид | 1,00 | 15 | - | - |
2,00 | - | 30 | - |
2,50 | | - | 60 |
Перекись водорода | 4,00 | - | 50 | - |
6,00 | > 60 | - | 60 |
Примечание: (-) - устойчивость тест-микроорганизма к воздействию данной концентрации средства не оценивалась.
3.4.2. Методы приготовления суспензии тест-микроорганизмов. Определение биологической концентрации тест-грибов в суспензии.
3.4.2.1. Культуры тест-грибов подвергают контролю их качества. В частности, непосредственно перед использованием культур для исследовательских целей необходимо убедиться в том, что тест-микроорганизмы, выросшие на питательной среде, не загрязнены посторонней микрофлорой. Для оценки роста культур тест-грибов визуально просматривают каждую пробирку и учитывают характер и массивность роста, изменение цвета питательной среды.
3.4.2.2. Рабочие суспензии тест-грибов готовят из культуры данного тест-микроорганизма, выращенного на питательной среде:
- культуру T. mentagrophytes, выращенную на бульоне Сабуро при температуре плюс (27 +/- 1) °C в течение 28 суток, извлекают петлей из пробирки, помещают в фарфоровую ступку и растирают с небольшим количеством стерильного физиологического раствора до гомогенной взвеси с минимальным размером частиц. Полученную суспензию фильтруют через стерильный ватно-марлевый фильтр и доводят с помощью физиологического раствора до концентрации 2·109 клеток в 1 см3, соответствующей по мутности 20 единицам мутности отраслевого стандартного образца ОСО 42-28-84 (20 МЕ) или 6 единицам МакФарланда, что определяется с помощью денситометра.
- культуру C. albicans выращивают на агаре Сабуро в течение 2 суток при температуре плюс (27 +/- 1) °C в течение 48 ч. Затем ее смывают с питательной среды небольшим количеством стерильного физиологического раствора и тщательно перемешивают. Полученную суспензию фильтруют и разводят так же, как и культуру T. mentagrophytes.
- культуру A. brasiliensis, выращенную на бульоне Сабуро в течение 2 суток и выдержанную в течение 3 - 5 суток в темном месте, извлекают петлей из пробирки, помещают в фарфоровую ступку и растирают с небольшим количеством стерильного физиологического раствора до гомогенной суспензии с минимальным размером частиц. Полученную взвесь фильтруют и разводят так же, как и культуру T. mentagrophytes.
3.4.2.3. В связи с тем, что суспензия может содержать наряду с живыми мертвые микроорганизмы, необходимо определять БК тест-грибов. Для этого проводят десятикратные разведения суспензии тест-гриба в стерильной дистиллированной воде с последующим высевом суспензии в чашки Петри с плотной питательной средой (агар Сабуро). После определенного времени инкубации при соответствующей температуре подсчитывают количество выросших колоний в КОЕ и определяют количество жизнеспособных клеток в 1 см3 суспензии, которое должно быть не менее 108.
3.4.2.4. Устойчивость тест-грибов к растворам эталонных средств определяют методом батистовых тест-объектов
(п. 3.2.3.2). Проверку устойчивости проводят не реже 1 раза в 6 месяцев. При снижении устойчивости культур делают их пересевы на обогащенные питательные среды до восстановления устойчивости.
3.4.3. Методы исследований и оценки фунгицидной активности средств и их субстанций in vitro.
3.4.3.1. Суспензионный метод. Постановку эксперимента осуществляют как указано в
п. 3.2.3.1. Температура инкубирования посевов в термостате и сроки учета результатов опыта зависят от вида микроорганизма
(п. 3.4.1.2). Для подтверждения снятия биоцидного действия ДВ из пробирок, в которых отсутствовал рост тест-грибов, ежедневно делают пересев по 0,5 см
3 в 4,5 см
3 новой питательной среды. Результаты опыта оценивают по наличию или отсутствию роста грибов в жидкой и на плотной питательной среде. Сравнение проводят с контролем опыта, которым является посев тест-грибов в питательную среду без добавления ДВ. Эффективной считают концентрацию средства, при которой трижды повторенный опыт при определенном времени воздействия дает отрицательный результат (отсутствие роста грибов) при наличии типичного роста тест-гриба в контроле.
3.4.3.2. Метод батистовых тест-объектов. Приготовление суспензии грибов проводят в соответствии с
п. 3.4.2. Подготовку батистовых тест-объектов, их контаминацию и постановку эксперимента осуществляют, как указано в
п. 3.2.3.2. Хранят контаминированные тест-объекты в чашках Петри в холодильнике при температуре плюс (4 +/- 2) °C. Срок хранения тест-объектов, контаминированных
C. albicans, - 4 суток; тест-объектов, контаминированных
T. mentagrophytes и
A. brasiliensis, - 30 суток.
3.4.4. Исследование факторов, влияющих на фунгицидную активность средств и их субстанций. Исследования включают:
- определение спектра фунгицидного действия средств, а при проведении углубленного изучения - дополнительное определение влияния различных факторов (pH, температура, органические вещества) на фунгицидную активность растворов средств.
- изучение спектра фунгицидной активности и влияния на активность различных факторов с помощью метода батистовых тест-объектов, контаминированных тест-культурами
C. albicans,
T. mentagrophytes,
A. brasiliensis (п. 3.2.3.2).
- изучение зависимости активности средств от pH и присутствия органических веществ, а также изучение влияния температуры на активность исследуемого средства (соответствии с
п. 3.2.4).
3.4.4.1. Критерии оценки фунгицидной активности средств. Фунгицидная активность средств, изученная методами in vitro, должна составлять 100% гибели тест-грибов (отсутствие роста в опытных пробах) при времени действия (мин) дезинфицирующего раствора в минимальной концентрации ДВ в отношении:
- грибов C. albicans, T. mentagrophytes - не более 60 мин;
- A. brasiliensis - не более 120 мин.
3.4.4.2. Влияние факторов среды на активность средства учитывается при разработке оптимальных режимов его применения в практических условиях.
3.4.5. Метод исследования фунгицидной эффективности средств, предназначенных для обеззараживания предметов ухода за больными, игрушек.
3.4.5.1. При изучении эффективности средств используют тест-объекты, имитирующие предметы ухода за больными, или непосредственно предметы ухода (подкладные клеенки, резиновые грелки, судна, объекты из стекла и пластмасс - термометры, пластмассовые наконечники для клизм и др.), а также игрушки, кроме мягких (пластмассовые, металлические, деревянные, резиновые). Перед контаминацией тест-грибами тест-объекты подвергают механической очистке - моют водой с мылом и щеткой.
3.4.5.2. В качестве тест-микроорганизмов используют C. albicans и T. mentagrophytes. Для имитации загрязнения используют 40%-й раствор инактивированной лошадиной сыворотки или СКРС. Для этого перед контаминацией объектов к суспензии тест-грибов добавляют необходимое количество сыворотки.
3.4.5.3. Подготовленные тест-объекты располагают горизонтально и на них пипеткой наносят суспензию тест-грибов из расчета 0,5 см3 двухмиллиардной взвеси на 100 см2 площади тест-объекта. Суспензию равномерно распределяют по поверхности тест-объектов стеклянным шпателем, подсушивают (до полного высыхания) при комнатной температуре плюс 18 - 20 °C и относительной влажности воздуха 50 - 60%, затем обрабатывают дезинфицирующим раствором. Контрольные тест-объекты обрабатывают стерильной питьевой водой из того же расчета, что и опытные.
3.4.5.4. Обработку предметов ухода за больными и игрушек проводят способами протирания, погружения или орошения (капельного) - для крупных игрушек. Норму расхода дезинфицирующего раствора при обеззараживании способами протирания или орошения определяют в зависимости от способа обработки аналогично опытам по обеззараживанию поверхностей
(п. 3.2.6). Двукратное протирание или орошение проводят через 5 - 15 мин после первого. При обработке способом погружения в дезинфицирующий раствор предметов ухода за больными и мелких игрушек последний должен полностью и с избытком покрывать все объекты. При погружении мелких игрушек необходимо препятствовать их всплыванию.
3.4.5.5. Время обеззараживания объектов определяют в интервале от 15 до 120 мин в зависимости от вида тест-гриба и наличия органического загрязнения.
3.4.5.6. Контроль эффективности обеззараживания тест-объектов проводят следующим образом: марлевой салфеткой размером 5 x 5 см, смоченной в растворе нейтрализатора, соответствующего данному ДС, тщательно протирают тест-объект и погружают ее в 10 см3 этого же нейтрализатора, находящегося в пробирках с бусами. Время отмыва марлевой салфетки - 10 мин при постоянном встряхивании. Отмывную жидкость засевают на 2 - 3 чашки Петри по 0,2 - 0,5 см3 в каждую на плотные питательные среды. Посевы помещают в термостат при температурах плюс (27 +/- 1) °C или плюс (37 +/- 1) °C и учитывают результаты через 2 - 28 суток в зависимости от вида тест-микроорганизма.
3.4.5.7. Критерий эффективности средства при обеззараживании предметов ухода за больными и игрушек - не менее 100% гибели тест-грибов. Время обеззараживания объектов, контаминированных C. albicans, T. mentagrophytes, - не более 120 мин.
3.4.6. Метод исследования фунгицидной эффективности средств, предназначенных для обеззараживания белья.
3.4.6.1. Эффективность обеззараживания белья средством определяют с помощью тест-объектов, указанных в
п. 3.1.4.3. В качестве тест-культур используют грибы
C. albicans и
T. mentagrophytes. Технология постановки эксперимента представлена в
п. 3.2.5.
3.4.6.2. Критерий эффективности средств при обеззараживании белья - 100% гибель тест-грибов. Время обеззараживания белья без видимых загрязнений, контаминированного C. albicans, T. mentagrophytes, - не более 240 мин. Время обеззараживания белья, загрязненного выделениями и контаминированного C. albicans, T. mentagrophytes, - не более 240 мин.
3.4.7. Исследование фунгицидной эффективности средств, предназначенных для обеззараживания поверхностей в помещениях, мебели, аппаратов, приборов, санитарно-технического оборудования, транспортных средств и др. объектов.
3.4.7.1. В эксперименте используют тест-поверхности, указанные в
п. 3.1.4.1.
3.4.7.2. В качестве тест-культур используют C. albicans, T. mentagrophytes; A. brasiliensis используют для разработки режимов обеззараживания поверхностей с целью профилактики и борьбы с плесенью.
3.4.7.3. Постановка эксперимента изложена в
п. 3.2.6.
3.4.7.4. Критерий эффективности обеззараживания поверхностей - гибель не менее 99,99% тест-грибов при времени обеззараживания при контаминации C. albicans, T. mentagrophytes - не более 240 мин, A. brasiliensis - не более 360 мин.
3.4.8. Исследование фунгицидной эффективности средств, предназначенных для обеззараживания посуды.
3.4.8.1. В зависимости от назначения средства исследования проводят при обеззараживании различной посуды в соответствии с
п. 3.1.4.2.
3.4.8.2. В качестве тест-микроорганизмов при контаминации столовой посуды используют C. albicans, лабораторной - C. albicans, T. mentagrophytes.
3.4.8.3. Критерий эффективности обеззараживания посуды - гибель не менее 100% тест-грибов. Время обеззараживания столовой посуды без остатков пищи, контаминированной C. albicans, - не более 60 мин. Время обеззараживания посуды с остатками пищи, контаминированной C. albicans, - не более 120 мин. Время обеззараживания лабораторной посуды, контаминированной C. albicans, T. mentagrophytes, - не более 120 мин. Время обеззараживания посуды из-под выделений, контаминированной C. albicans, - не более 120 мин.
3.4.9. Исследование фунгицидной эффективности средств, предназначенных для обеззараживания выделений.
3.4.9.1. Средства, предназначенные для обеззараживания выделений, должны обладать способностью гомогенизировать органический субстрат (фекалии, мокрота). Не обладающие этим свойством средства для обеззараживания выделений непригодны. Изучение активности дезинфицирующих средств при обработке выделений проводят с учетом консистенции выделений их соотношения с дезинфицирующим раствором или сухим препаратом.
3.4.9.2. В качестве тест-микроорганизмов при разработке режимов обеззараживания выделений используют C. albicans.
3.4.9.3. Определение эффективности обеззараживания мочи проводят следующим образом: берут несколько пробирок, наливают в них по 9 см3 мочи, прибавляют по 1 см3 суспензии C. albicans, содержащей 1·109 мк/см3. Неразведенное ДС или его растворы добавляют к моче в различных соотношениях (равном, двойном и т.д.). По истечении времени воздействия (15, 30, 60, 90, 120 мин) пипеткой берут 1 см3 опытной смеси и переносят в пробирку с нейтрализатором объемом 9 см3, а затем из нее 1 см3 смеси в пробирку с 5 см3 бульона. После тщательного перемешивания 1 см3 переносят во вторую пробирку с бульоном, а затем делают посевы по 0,1 см3 на плотные питательные среды как из первой, так и из второй пробирок. Чашки Петри с посевами ставят в термостат. Контролем служат аналогично поставленные опыты с добавлением к моче не дезинфицирующего раствора, а стерильной питьевой воды. Эффективным считают средство, обеспечивающее 100% гибель C. albicans в 6 - 8 опытах с совпадающими результатами при времени контакта не более 6 ч.
3.4.9.4. Определение эффективности обеззараживания фекалий: 20 г фекалий растирают в ступке и добавляют 80 см3 стерильной воды. Полученную эмульсию фильтруют через двойной слой марли, разливают в пробирки по 9 см3 и добавляют по 1 см3 суспензии культуры C. albicans, содержащей 1·109 мк/см3. Приготовленную эмульсию фекалий заливают равным или двойным количеством дезинфицирующего раствора или вносят различное количество сухого препарата. После контакта со средством производят высевы так же, как и при обеззараживании мочи. Результаты учитывают через двое суток. При положительных результатах проводят опыты с большим количеством оформленных фекалий (200 - 250 г). Для этого помещают их в сосуд и заливают дезинфицирующим раствором в равном или двойном количестве по отношению к весу фекалий или засыпают сухим препаратом. Затем небольшую часть фекальных масс стеклянной палочкой перемешивают с жидкостью, а остальную массу оставляют в виде небольших комочков. Через определенные промежутки времени (30, 60, 90, 120 мин и т.д. до 6 ч) проводят раздельные высевы жидкой части и комочков. Жидкую часть фекальных масс набирают пипеткой и производят посев так же, как посев мочи. Плотные части фекалий забирают петлей и опускают в 5 см3 питательной среды, растерев их о край пробирки и тщательно перемешав с бульоном; затем переносят из этой пробирки 1 см3 смеси во вторую пробирку, также содержащую 5 см3 бульона. Как из первой, так и из второй пробирки производят посев по 0,1 см3 на чашки Петри с плотной питательной средой. Контролем служат аналогично поставленные опыты с добавлением к фекальной эмульсии стерильной воды вместо средства. Об эффективности исследуемого средства судят на основании 6 - 8 опытов с совпадающими результатами. Эффективным считают средство, обеспечивающее 100% гибель C. albicans в обеззараживаемом материале.
3.4.9.5. Критерий эффективности обеззараживания выделений - 100% гибель тест-гриба при времени обеззараживания не более 6 ч.
3.5. Методы изучения и оценки вирулицидной активности
дезинфицирующих средств
3.5.1. Для оценки вирулицидной активности следует использовать несколько тест-вирусов с различной устойчивостью, что позволяет оценить активность дезинфицирующих средств в отношении широкого спектра вирусов.
3.5.2. Результаты исследований вирулицидной активности средств зависят также от вида используемого вируссодержащего материала, метода индикации вируса, метода определения вирулицидных свойств средств, состава испытываемого средства (ДВ и др. компоненты). Непременным условием при исследованиях вирулицидной активности средств является использование нейтрализатора.
3.5.3. Основные условия, которые следует соблюдать при исследованиях вирулицидной активности средств и субстанций:
- поддерживать температуру растворов исследуемых средств в течение всего эксперимента в пределах плюс (20 +/- 2) °C (если по условиям эксперимента не рекомендована другая температура), независимо от температуры окружающей среды;
- использовать рабочие растворы средств, производимых в форме гранул, порошков, таблеток и др., только после полного их растворения;
- кратность постановки экспериментов должна быть не менее трех (при условии получения одинаковых результатов);
- при отсутствии цитопатического эффекта пробы подвергают необходимой обработке с целью проведения второго, а при необходимости и третьего слепого пассажа для определения полноты ингибирования тест-вируса;
- эксперименты должны сопровождаться всеми необходимыми контролями, в т.ч. контролем культуры клеток, контролем полноты нейтрализации дезинфектанта, жизнеспособности тест-вируса, контаминации тест-объекта тест-вирусом;
- использовать нейтрализатор, подобранный к конкретному средству (или дезинфицирующей субстанции, далее в этом разделе - средству);
- при исследованиях средств следует строго соблюдать рекомендуемые меры индивидуальной защиты (использовать перчатки, очки, респираторы и др.).
3.5.4. Тест-вирусы. При исследованиях вирулицидной активности средств необходимо использовать как РНК-, так и ДНК-содержащие тест-вирусы (
Приложение 1 к настоящему руководству). При этом следует учитывать наличие лабораторной модели, безопасность для лиц, работающих с вирусом. Необходимым для всех средств является испытание на двух тест-вирусах:
- вирусе полиомиелита 1 типа (вакцинном штамме Sabin (LSc-2ab) (далее - полиовирус);
- аденовирусе 5 типа (далее - аденовирус).
Средство, показавшее способность инактивировать полио- и аденовирус, включают в группу средств с вирулицидной активностью. Средства с вирулицидной активностью могут быть использованы для дезинфекции при любой вирусной (включая особо опасные) инфекции, имеющей значение в инфекционной патологии человека. В отдельных случаях для оценки вирулицидной активности могут использоваться другие вирусы.
3.5.5. Модельные системы. Модельными системами для исследования дезинфицирующих средств и субстанций
in vitro являются культуры клеток, чувствительные к тест-вирусу.
3.5.6. Критерии оценки вирулицидной активности дезинфицирующих средств и субстанций. Вирулицидное средство (субстанция) должно подавлять инфекционность тест-вирусов - полиовируса и аденовируса - на исследуемых объектах не менее чем на 4 log
10 ТЦИД
50, т.е. степень инактивации должна быть не менее 99,99%. Критерием вирулицидной активности средств (субстанций) для других тест-вирусов (включая вирусы - возбудители особо опасных инфекций) является отсутствие инфекционности, определяемое современными методами индикации.
3.5.7. Степень инактивации тест-вируса определяют в чувствительных модельных системах по подавлению инфекционной, цитопатической или бляшкообразующей активности вируса в культуре клеток. Для получения более точных результатов тест-вирус следует использовать с максимальным титром.
3.5.8. Показателем вирулицидной активности средств (субстанций) является скорость инактивации, которая представляет собой соотношение концентрации тест-вируса, выраженное в десятичных логарифмах, до и после воздействия средства за определенный промежуток времени (экспозиция). Степень снижения вирусной инфекционности вычисляется в десятичных логарифмах по разнице титров вируса до и после обработки средством.
3.5.9. Применение нейтрализатора средства.
3.5.9.1. Для нейтрализации средства используют вещество-нейтрализатор (или комплекс из нескольких веществ), останавливающее действие средства. Нейтрализатор либо добавляют непосредственно в питательную среду, либо промывают им тест-объекты после воздействия средства (субстанции, исследуемого вещества) для того, чтобы остановить его действие на тест-вирус через заданное время (экспозицию). Для нейтрализации средства в виде монопрепарата на основе окислителей (хлор-, йод-, кислородсодержащие средства) применяют 0,1 - 1,0%-е растворы тиосульфата натрия;
- для галоидактивных (хлор-, бром- и йодактивные) и кислородактивных (перекись водорода, ее комплексы с солями, надуксусная кислота, озон) - 0,1 - 1,0%-е растворы тиосульфата натрия;
- для четвертичных аммониевых солей (алкилдиметилбензиламмоний хлорид, дидецилдиметиламмоний хлорид и др.), производных гуанидина (полигексаметиленгуанидин гидрохлорид, хлоргексидин биглюконат и др.) - 0,1 - 1,0%-е растворы лаурилсульфата натрия (сульфонол) или растворы лаурилсульфата натрия с 10% обезжиренного молока или комплексный нейтрализатор (см. ниже);
- для альдегидов (глутаровый альдегид, глиоксаль, формальдегид, ортофталевый альдегид) - 1,0%-й раствор пиросульфита (метабисульфита) натрия или комплексный нейтрализатор (см. ниже);
- для кислот - щелочи в эквивалентном количестве;
- для щелочей - кислоты в эквивалентном количестве;
- для спиртов - разведение в воде до недействующей концентрации;
- для композиционных средств - "комплексный" нейтрализатор, например, содержащий Твин 80 (3%), сапонин (0,3 - 3%), гистидин (0,1%), цистеин (0,1%). Если в состав средства входят окислители, необходимо в нейтрализатор дополнительно включить тиосульфат натрия. Следует иметь в виду, что комплексный нейтрализатор обладает выраженным цитотоксическим действием на клеточные культуры.
3.5.9.2. Если не удается подобрать какой-либо из перечисленных нейтрализаторов, что проявляется в неспецифической дегенерации культуры клеток, то используют 60 - 80%-ю СКРС (без консерванта), инактивированной при 56 °C в течение 30 мин. СКРС нейтрализует большой перечень ДВ и наиболее близка по нейтрализующему эффекту к комплексному нейтрализатору.
3.5.9.3. При невозможности нейтрализовать токсическое действие средства на культуру клеток следует применять дополнительные методы удаления средства - диализ смеси "вирус + дезинфектант", например, с использованием сефадекса по типу "LH-20", "G-75"; осаждения вируса методом высокоскоростного центрифугирования или фильтрацией через мембранные фильтры.
3.5.10. Контроль эффективности средств в отношении вирусов проводится макрометодом (качественный) и микрометодом (количественный):
3.5.10.1. Макрометод. Методика определения инфекционного вируса после воздействия средства (субстанции) состоит в следующем: исследуемый материал по 0,2 см3 каждой пробы (смесь вируса, средства и нейтрализатора) вносят в 2 пробирки с выращенным монослоем чувствительных к исследуемому вирусу клеток. Через 60 мин удаляют смесь, заменяют ее поддерживающей (не содержащей эмбриональной сыворотки) культуральной средой. Культуру клеток инкубируют в термостате при температуре, необходимой для репродукции вируса в течение срока наблюдения. Репродукцию вируса в клетках оценивают методом световой микроскопии. О вирулицидной активности средства судят по наличию или отсутствию цитопатогенного действия (далее - ЦПД), вызываемого вирусом. При отсутствии специфических изменений в культуре клеток вирус считают инактивированным. Все эксперименты сопровождаются контролями культуры клеток, вируса, полноты нейтрализации.
3.5.10.2. Микрометод. Для работы с вирусами используют чувствительные линии клеток по типу "Vero", "HeLa", "Hep-2". Для проведения теста делают посев клеток на 96-луночные плоскодонные планшеты для клеточных культур и помещают их в CO2-инкубатор при температуре плюс (36 +/- 1) °C на 2 - 3 суток. После образования клеточного монослоя планшеты используют для титрования вирусов. В планшетах с монослоем клеток производят замену питательной среды на поддерживающую (не содержащую эмбриональной сыворотки или содержащую 2% вместо 5% сыворотки) в объеме 180 мкл/лунку. По 20 мкл материала (смесь вируса, средства и нейтрализатора) каждой пробы вносят в 3 лунки и проводят титрование с 10-кратными разведением (последовательно из каждого ряда от A до G переносят по 20 мкл, из ряда G удаляют по 20 мкл из каждой из трех лунок; клетки ряда H используют в качестве контроля неинфицированных клеток). Планшеты помещают в CO2-инкубатор при температуре плюс 36 °C на 4 - 6 суток. Инфицированные клеточные культуры выдерживаются в инкубаторе до развития специфического цитопатического поражения 100% клеток. Репродукцию вируса в клетках оценивают методом световой микроскопии. По степени ингибирования инфекционного титра вируса, измеряемого в lg ТЦИД50 (50% тканевая цитопатическая инфекционная доза), делают выводы о вирулицидных свойствах тестируемого вещества. Степень ингибирования репродукции вируса должна быть не менее 4,0 lg.
3.5.11. Основные этапы и методы исследования вирулицидной активности дезинфицирующих средств:
1) первый этап исследований - определение наличия вирулицидной активности. Проводится in vitro суспензионным методом или методом батистовых тест-объектов.
2) второй этап исследований - изучение вирулицидной эффективности средств при обработке различных тест-объектов, контаминированных тест-вирусом.
3.5.11.1. В качестве тест-объектов используют различные медицинские изделия, предметы ухода за больными, игрушки, белье, спецодежду и др. изделия из текстильных материалов, посуду, в т.ч. лабораторную; различные виды поверхностей, санитарно-техническое оборудование и др.; кровь; выделения (моча, фекалии, мокрота).
3.5.11.2. Объем исследований и перечень объектов обеззараживания зависит от назначения средств, их состава, токсикологической характеристики, формы выпуска средства и др. Проводятся также исследования вирулицидной активности кожных антисептиков, антимикробных тканей и лакокрасочных материалов.
3.5.12. Суспензионный метод.
3.5.12.1. К вирусной суспензии (далее - ВС), в качестве которой может быть использована культуральная жидкость после удаления клеточных остатков, добавляют испытуемое средство в объеме 1 : 9 (1 объем вируса и 9 объемов средства) в различных концентрациях. Суспензионный тест проводят в двух вариантах: без белковой нагрузки и с белковой нагрузкой. В последнем случае к ВС добавляется инактивированная СКРС из расчета 40% ее концентрации в смеси "вирус + дезинфектант". Полученную смесь (как с сывороткой, так и без нее) выдерживают при комнатной температуре плюс (20 +/- 2) °C в течение 15 - 30 - 60 мин, нейтрализуют (в соотношении 1 : 1, т.е. 1 объем смеси и 1 объем нейтрализатора), встряхивая в течение 5 - 10 мин, и используют для определения тест-вируса в чувствительной культуре клеток.
3.5.12.2. Методика определения инфекционного вируса после воздействия средства: исследуемый материал (смесь вируса, средства и нейтрализатора) вносят в лунки планшета (пробирки) с выращенным монослоем клеток или в суспензию клеток (в случае применения суспензионной культуры клеток), через 30 - 60 мин удаляют смесь, заменяют ее культуральной средой. Культуру клеток инкубируют в термостате при температуре, необходимой для репродукции вируса, в течение срока наблюдения. О вирулицидной активности средства судят по наличию или отсутствию ЦПД, вызываемого вирусом, или по другим проявлениям, указывающим на репродукцию вируса. Все эксперименты сопровождаются тремя контролями: культуры клеток, вируса, полноты нейтрализации. Эффективным считают средство, обеспечивающее инактивацию вируса при времени воздействия не более 60 мин.
3.5.13. Метод батистовых тест-объектов.
3.5.13.1. Исследования вирулицидной активности средства этим методом проводят на тест-вирусах, фиксированных на батистовых тест-объектах. При использовании данного метода происходит некоторая потеря (1 - 2 log10 ТЦИД50/см3) вирусных частиц во время погружения контаминированных тест-объектов в раствор средства, затем в нейтрализатор и при последующем отмывании от остатков средства. Однако этот метод более приемлем для изучения средств, продукты нейтрализации которых токсичны для культуры клеток и вызывают в них неспецифические дегенеративные изменения. ВС контаминируют батистовые тест-объекты (далее - тесты).
3.5.13.2. В качестве тестов используют кусочки батиста размером 1 x 0,5 см, предварительно выстиранного (т.е. освобожденного от крахмала) и проглаженного. Тесты помещают в стерильную чашку Петри и заливают ВС из расчета 0,05 - 0,1 см3 жидкости на один тест (без сыворотки или с добавлением 40% СКРС). Тесты подсушивают при комнатной температуре не менее 60 мин. Контаминированные ВС тесты используют в опытах. Тесты не следует заготавливать впрок, их контаминируют ВС ex tempore.
3.5.13.3. При исследовании вирулицидной активности готовят 3 - 5 концентраций раствора средства на стерильной дехлорированной водопроводной воде из расчета 1,0 см3 раствора на каждый тест.
3.5.13.4. Постановка эксперимента. В исследуемые растворы погружают контаминированные ВС тесты по 5 штук на каждую экспозицию. Момент смачивания тестов раствором средства является началом опыта, и с этого момента отсчитывают экспозицию. Через 5 - 15 - 30 - 45 - 60 мин стерильным охлажденным пинцетом или петлей извлекают по 5 тестов, помещают их в пробирку с бусами (из стекла, пластика) с 5 см3 стерильного раствора нейтрализатора, встряхивают в шуттель-аппарате в течение 10 мин. По истечении каждой экспозиции смывной жидкостью заражают культуру клеток. Культуру клеток, отмытую от ростовой среды, оставляют на контакт на 30 - 60 мин для адсорбции вируса. Затем клетки промывают раствором по типу Хенкса и заливают поддерживающей средой с сывороткой. Клетки инкубируют в термостате при оптимальной для конкретного вируса температуре.
3.5.13.5. Критерий вирулицидной активности средства - снижение количества вируса не менее чем на 4 log10 при времени экспозиции (дезинфекционной выдержки) не более чем 60 мин.
3.5.13.6. Контроль культуры клеток. Для контроля культуры клеток лунки (пробирки) с культурой клеток оставляют незараженными и наблюдают в течение максимального срока опыта. При работе с культурой клеток в контрольных пробирках так же, как и в опытных, при необходимости меняют поддерживающую среду в зависимости от степени изменения pH.
3.5.13.7. Контроль вируса. С этой целью 5 штук тестов, контаминированных вирусом, помещают в пробирку с 5 см3 раствора по типу Хенкса, выдерживают максимальную экспозицию, используемую в эксперименте; переносят в пробирки с 5 см3 нейтрализатора и бусами, встряхивают в шуттель-аппарате в течение 10 мин и заражают культуру клеток соответствующей дозой (0,2 см3 или менее) жидкости, отмытой с тестов. Для выяснения количества жизнеспособного вируса проводят титрование.
3.5.13.8. Неспецифический цитопатический эффект может возникнуть при неполной нейтрализации средства или цитотоксическом эффекте смеси "дезинфектант + нейтрализатор". Исключить неспецифический цитотоксический эффект в некоторых случаях удается способом дополнительного отмыва монослоя раствором по типу Хенкса после этапа контакта в течение 60 мин клеток с внесенной пробой с нейтрализатором для адсорбции вируса на поверхности клеток. После отмыва от нейтрализатора добавляют поддерживающую среду. Избежать неполной нейтрализации можно путем предварительной тщательной отработки условий нейтрализации.
3.5.13.9. Контроль контаминации вирусом тестов. С этой целью 5 штук тестов, контаминированных вирусом, помещают в пробирку с бусами и с 5 см3 физиологического раствора, встряхивают в шуттель-аппарате в течение 10 мин и соответствующей дозой (0,2 см3 или менее, как в опыте) ВС жидкости заражают культуру клеток (или др. биологический объект). Для определения степени контаминации тестов вирусом проводят титрование.
3.5.13.10. Контроль полноты нейтрализации средства. С этой целью 5 штук тестов (без вируса) помещают на максимальную экспозицию, используемую в эксперименте, в 5 см3 раствора максимальной концентрации средства. После этого тесты переносят на 5 мин в 5 см3 раствора нейтрализатора, встряхивают с бусами в течение 10 мин и вносят (по 0,2 см3 или менее) в культуру клеток.
3.5.13.11. Эффективным считают средство (субстанцию), обеспечивающее инактивацию вируса при времени воздействия не более 60 мин.
3.5.14. Исследования вирулицидной активности средств, предназначенных для дезинфекции при особо опасных вирусных инфекциях, завершаются первым этапом, если возбудитель по устойчивости к конкретному средству не превышает тест-вирусы - полиовирус и аденовирус. После получения данных о наличии у средства вирулицидной активности исследования продолжаются на втором этапе, состоящем в изучении эффективности при обеззараживании различных объектов.
3.5.15. Методы исследования вирулицидной активности средств, предназначенных для обеззараживания предметов ухода за больными и игрушек.
3.5.15.1. Определение вирулицидной активности средств при обеззараживании предметов ухода за больными. Предметы ухода за больными можно разделить на 2 группы в зависимости от возможного загрязнения биосубстратами и степени контаминации вирусами:
- наконечники к клизмам соприкасаются при их использовании со слизистой оболочкой прямой кишки, поэтому рекомендации при их обработке и критерии эффективности средств такие же, как и для медицинских изделий. Органическая нагрузка в экспериментах должна составлять 40% сыворотки, а способ обеззараживания - погружение в раствор средства.
- подкладные клеенки могут быть загрязнены любыми выделениями, поэтому органическая нагрузка должна быть такая же, как и в экспериментах с медицинскими изделиями, - 40%, а способ обеззараживания - погружение в раствор, однократное протирание, или, при недостаточной эффективности, - двукратное.
- пузыри для льда и грелки соприкасаются только с кожей, они, как правило, не загрязнены выделениями, однако могут быть контаминированы вирусами. При разработке режимов их обеззараживания органическая нагрузка на тест-объектах не обязательна, а способ обработки - однократное или двукратное протирание.
3.5.15.2. В качестве тест-объектов, имитирующих предметы ухода за больными, используют тест-поверхности размером 10 x 10 см2, изготовленные из резиновых грелок, пузырей для льда, медицинской клеенки, а также наконечники к клизмам и др., из разных материалов. Их контаминируют смесью ВС с 40% инактивированной сыворотки. Наконечники к клизмам контаминируют вирусом по такой же методике, что и медицинские изделия, имеющие каналы, затем подсушивают до полного высыхания при температуре плюс (20 +/- 2) °C.
3.5.15.3. Подготовленные тест-объекты протирают однократно или двукратно с интервалом 15 мин салфеткой, смоченной раствором средства. Тест-объекты из медицинской клеенки погружают в дезинфицирующий раствор. Мелкие предметы (наконечники к клизмам и др.) погружают в раствор средства, заполняя им полости и каналы, избегая образования пузырьков воздуха.
3.5.15.4. Через 30, 60, 90, 120 мин смывы берут марлевыми салфетками размером 5 x 5 см, смоченными в нейтрализаторе. Предметы ухода, имеющие каналы, промывают нейтрализатором (не более 5 см3), который собирают в стерильные пробирки и оставляют на 10 мин для нейтрализации. Марлевые салфетки погружают в широкогорлые пробирки с бусами (с 5 см3 нейтрализатора, приготовленного на поддерживающей среде), которые отмывают от вируса в шуттель-аппарате в течение 10 мин. Далее полученную смывную жидкость вносят в пробирки или лунки планшета с культурой клеток или вводят в организм лабораторных животных - млекопитающих или птиц (уток). Оптимальное время обеззараживания предметов ухода за больными - не более 120 мин.
3.5.15.5. Определение вирулицидной активности средств при обеззараживании игрушек. При обеззараживании игрушек (мелких и средних) определение вирулицидной активности средств проводят после обработки их способами протирания, погружения в раствор средства или орошения (для крупных игрушек).
3.5.15.6. С этой целью игрушки (без отверстий) контаминируют ВС из расчета 0,5 см3 на 100 см2, но так, чтобы вся их поверхность была ею покрыта. Мелкие игрушки погружают полностью в ВС. Затем их подсушивают при температуре 18 - 20 °C до полного высыхания.
3.5.15.7. Поверхность игрушек протирают салфеткой, смоченной раствором средства (в контроле - стерильной водой), мелкие игрушки погружают в раствор средства, препятствуя их всплытию; крупные игрушки орошают раствором средства. Норма расхода раствора средства способом протирания 100 - 150 см3/м2 при однократной обработке, способом орошения - 150 см3/м2 при обработке мелкокапельным распылителем и 300 см3/м2 - при обработке крупнокапельным распылителем или гидропультом. При необходимости обработку способом протирания или орошения повторяют через 5 - 15 мин.
3.5.15.8. Через определенные интервалы времени (от 15 до 120 мин) с помощью марлевой салфетки (размером 5 x 5 см), смоченной нейтрализатором, приготовленном на поддерживающей среде или физрастворе, с игрушек берут смывы. Салфетки погружают в пробирки со стеклянными бусами и нейтрализатором. Далее полученную смывную жидкость вносят в пробирки или лунки планшета с культурой клеток или вводят в организм лабораторных животных - млекопитающих или птиц (уток). Оптимальное время обеззараживания - не более 120 мин.
3.5.16. Метод исследования вирулицидной активности средств, предназначенных для обеззараживания белья, спецодежды и др. изделий из тканей.
3.5.16.1. При определении вирулицидной активности средств для обеззараживании белья учитывают соотношение раствора средства и белья: 4 м3 раствора на 1 кг сухого белья; температуру раствора, степень и характер загрязнения белья.
3.5.16.2. Исследование эффективности средств при обеззараживании белья без видимых загрязнений. Исследования проводят с помощью батистовых тестов. Контаминированные вирусом тесты подсушивают при комнатной температуре, затем их закладывают (по 5 штук в каждый) в бязевые стерильные мешочки размером 5 x 8 см с пришитой к углу каждого из них прочной ниткой длиной около 0,5 м. Мешочки закрывают в виде конверта.
3.5.16.3. Белье (старые бязевые халаты, полотенца и др.) погружают в емкость с раствором средства, последовательно замачивая одну вещь за другой, следя за тем, чтобы между вещами не образовывалось воздушных прослоек, препятствующих процессу дезинфекции. Одновременно между слоями белья распределяют (сверху, в середине и внизу) мешочки с контаминированными вирусом тестами.
3.5.16.4. Через определенные промежутки времени (15 - 30 - 60 и более минут) мешочки с тестами извлекают одновременно из трех слоев. Тесты вынимают из мешочка стерильным пинцетом, погружают в широкогорлые пробирки с нейтрализатором и бусами, далее действуют по
п. 3.5.3.
3.5.16.5. Исследование вирулицидной активности средств при обеззараживании белья, загрязненного кровью, фекалиями. С целью изучения эффективности средства при обеззараживании белья, загрязненного
кровью (имитация в виде 40% сыворотки), медицинских отходов из тканей, марли, ваты (одноразовое хирургическое белье и акушерские комплекты, перевязочный материал, марлевые салфетки, ватные тампоны и др.) к 6 см
3 вируссодержащей жидкости прибавляют 4 см
3 инактивированной СКРС, смешивают и заливают тесты, подсушивают их и используют в опыте
(п. 3.5.3).
3.5.16.6. Оптимальное время обеззараживания белья - не более 120 мин, медицинских отходов - не более 240 мин.
3.5.16.7. Для имитации загрязнения белья и медицинских отходов из тканей и др. фекалиями в экспериментах с тест-вирусом используют фекальную эмульсию. Фекальную эмульсию готовят следующим образом: к 6 см3 10% ВС добавляют 4 см3 40% эмульсии фекалий. Для этого 8 г простерилизованных фекалий (1,5 атм. в течение 30 мин) растирают в ступке с 20 см3 стерильной воды. В качестве органической нагрузки можно использовать также 80% инактивированной СКРС из расчета: 8 см3 сыворотки и 2 см3 ВС, тщательно перемешивают и этой смесью заливают тесты. Избыток жидкости через 15 мин удаляют с помощью пипетки, тесты подсушивают при комнатной температуре. Далее эксперимент проводят так же, как для незагрязненного белья. Оптимальное время обеззараживания белья и медицинских отходов, загрязненных фекалиями, - не более 240 мин.
3.5.17. Метод исследования вирулицидной активности средств, предназначенных для обеззараживания посуды, в т.ч. лабораторной.
3.5.17.1. При изучении вирулицидной активности средств при обеззараживании посуды используют тест-объекты и технологию постановки эксперимента в соответствии с
п. 3.1.4.2.
3.5.17.2. Посуду незагрязненную контаминируют ВС, которую наносят пипеткой из расчета 0,5 см3 на 100 см2 и равномерно распределяют по поверхности стерильным стеклянным шпателем. Вилки, ложки и ножи погружают в ВС на 10 - 15 мин (за исключением ручек), каналы пипеток контаминируют вирусом.
3.5.17.3. Через определенные интервалы времени (15, 30, 60, 90, 120 мин) посуду извлекают из раствора средства. Для оценки эффективности обеззараживания стерильными марлевыми салфетками размером 5 x 5 см (вначале увлажненной нейтрализатором, затем сухой) тщательно протирают контаминированные вирусом части каждого предмета. Салфетки помещают в стерильную широкую пробирку с бусами и с 5 см3 стерильного нейтрализатора. Оптимальное время обеззараживания - не более 60 мин.
3.5.17.4. Для исследования эффективности средств при обеззараживании посуды с остатками пищи, загрязненной лабораторной посуды многократного использования и однократного применения (перед утилизацией) к ВС добавляют 80% инактивированной СКРС из расчета: 20% ВС и 80% сыворотки, смесь наносят равномерно на посуду, подсушивают. Далее действуют по
п. 3.5.3.
3.5.17.5. Оптимальное время обеззараживания - не более 120 мин для посуды многократного использования и не более 240 мин - для посуды однократного применения (перед утилизацией).
3.5.18. Метод исследования вирулицидной активности средств, предназначенных для обеззараживания поверхностей.
3.5.18.1. Вирулицидную активность средств при обеззараживании тест-поверхностей изучают двумя способами: способом протирания (одно- или двукратного) или способом орошения.
3.5.18.2. В экспериментах используют тест-поверхности размером 10 x 10 см и технологию постановки эксперимента, указанные в
п. 3.2.6. Набор тест-поверхностей (далее - поверхностей) определяется назначением средства.
3.5.18.3. На подготовленные незагрязненные поверхности пипеткой наносят ВС из расчета: 0,5 см3 с добавлением 5% инактивированной СКРС на площадь в 100 см2, равномерно распределяют по поверхности стеклянным шпателем. Для имитации органического загрязнения используют 40% инактивированной сыворотки при разработке режимов обеззараживания раковин, ванн; при разработке режимов обеззараживания унитазов - 80%. Возможно также использование вируссодержащей фекальной эмульсии, которую наносят на поверхности из кафеля или фаянса в экспериментах с вирусами, выделяющимися из организма с фекалиями.
3.5.18.4. В контроле контаминированные ВС поверхности протирают или орошают стерильной или прокипяченной водопроводной водой при той же норме расхода воды, что и средства в опыте. Для определения плотности контаминации проводят титрование смывов с поверхностей.
3.5.18.5. Контроль эффективности обеззараживания осуществляют через 15 - 30 - 60 мин. Отбор проб проводят способом протирания орошенных раствором средства поверхностей слегка увлажненной нейтрализатором в физиологическом растворе или растворе по типу Хенкса с антибиотиками стерильной марлевой салфеткой (размером 5 x 5 см), а затем сухой. Салфетки помещают в широкогорлые пробирки с бусами с 5 см3 нейтрализатора.
3.5.18.6. Время обеззараживания поверхностей - не более 60 мин.
3.5.19. Метод исследования вирулицидной активности средств, предназначенных для обеззараживания выделений (моча, фекалии, мокрота) и крови.
3.5.19.1. При определении вирулицидной активности средств для обеззараживания мочи подбирают концентрацию средства и время обработки. Растворы средства добавляют к продезинфицированной способом кипячения моче в равном или двойном объеме. Через 15, 30, 60 мин указанную смесь в количестве 1 см3 переносят в пробирки с 5 см3 нейтрализатора, перемешивают, оставляют на 10 мин для нейтрализации, затем заражают культуру клеток. Культуру клеток, отмытую от ростовой среды, оставляют на контакт на 30 - 60 мин для адсорбции вируса. Затем клетки промывают раствором по типу Хенкса и заливают поддерживающей средой с сывороткой. Клетки инкубируют в термостате при оптимальной для конкретного вируса температуре. В контроле к моче добавляют не дезинфицирующий раствор, а стерильную воду. Результаты опытов учитывают в сравнении с контролем. Количество вируса в моче в контроле определяют титрованием. Оптимальное время обеззараживания - не более 120 мин.
3.5.19.2. При разработке режимов обеззараживания фекалий учитывают соотношение средства и обеззараживаемой массы фекалий, время обработки, консистенцию обеззараживаемых выделений, степень гомогенизации в процессе обеззараживания. С этой целью 20 г простерилизованных фекалий растирают в ступке с добавлением 80 см3 стерильной воды до получения гомогенной эмульсии. Эмульсию разливают по 9 см3 в пробирки и добавляют по 1 см3 вируссодержащей жидкости. Приготовленную эмульсию фекалий заливают равным или двойным количеством раствора средства и в дальнейшем берут пробы так же, как и при обеззараживании мочи. Взятые пробы центрифугируют при 2500 - 3000 об./мин в течение 20 мин, после чего надосадочной жидкостью заражают культуру клеток, внося ее в пробирки/лунки с клетками. В контроле вместо раствора средства используют стерильную воду. Результаты учитывают в сравнении с контролем. Оптимальное время обеззараживания - не более 240 мин.
3.5.19.3. При разработке режимов обеззараживания крови (без сгустков) используют цитратную (или дефибринированную) кровь, контаминированную тест-вирусом (соотношение объема крови и ВС 1 : 1). Можно также использовать эритроцитарную массу (бараньи эритроциты), которая готовится путем добавления к 3 см3 отмытой эритроцитарной массы 97 см3 3,0%-го раствора альбумина на фосфатном буфере. Аликвоты этой смеси контаминируют тест-вирусом. Подбирают оптимальное соотношение средства и обеззараживаемой крови, концентрацию средства, время обработки, затем нейтрализуют (1 : 1, т.е. 1 объем смеси крови и ДС и 1 объем нейтрализатора), выдерживают 5 - 10 мин (перемешивая или встряхивая) и используют для определения инфекционности тест-вируса. Для обеззараживания крови со сгустками эффективным является только термический метод обработки (в паровом стерилизаторе). Оптимальное время обеззараживания - не более 240 мин.
3.5.19.4. При разработке режимов обеззараживания мокроты используют мокроту волонтеров, подбирают оптимальное соотношение средства и обеззараживаемой мокроты, время обработки, концентрацию средства, нейтрализатор. Оптимальное время обеззараживания - не более 240 мин.
3.5.20. Метод исследования вирулицидной активности аэрозолей средств, предназначенных для обеззараживания воздуха в помещениях.
| | ИС МЕГАНОРМ: примечание. Нумерация пунктов дана в соответствии с официальным текстом документа. | |
3.5.21.1. Для определения вирулицидной активности аэрозолей средств при обеззараживании воздуха в помещениях (инфекционные очаги, медицинские организации и др.) применяют аспирационный метод.
3.5.21.2. В качестве тест-вирусов используют полиовирус и/или аденовирус. ВС распыляют в камере в количестве, достаточном для получения в воздухе камеры концентрации вируса 1 x 105 ТЦИД50/м3. Аэрозоль создают с помощью распыливающей аппаратуры, которая обеспечивает образование в воздухе не менее 80% частиц с дисперсностью (20 +/- 5) мкм, затем включают вентилятор для предотвращения оседания аэрозоля средства.
3.5.21.3. В склянки по типу Дрекселя вместо 50 см3 стерильной водопроводной воды наливают 5 см3 раствора по типу Хенкса или поддерживающей питательной среды с нейтрализатором и антибиотиками.
3.5.21.4. Для контроля исходной контаминации воздуха вирусом перед началом эксперимента через склянки по типу Дрекселя, соединенные последовательно одна с другой, а также в процессе эксперимента пропускают по 50 дм3 воздуха (объем пробы для исследования). После отбора проб через каждые 5, 10 или 15 мин, в зависимости от предполагаемой эффективности средства и с учетом чувствительности вируса к ДВ, жидкость из двух склянок по типу Дрекселя соединяют, перемешивают и по 2 см3 вносят в пробирки/лунки с культурой клеток. Клетки оставляют на 1 ч для контакта, затем внесенную жидкость сливают. После этого во все пробирки вносят поддерживающую среду по 2 см3 и помещают в термостат.
3.5.21.5. При определении эффективности аэрозоля средства исследования проводят при трех показателях относительной влажности воздуха: 20 - 25%, 50 - 55% и 80 - 85% и температуре воздуха плюс (20 +/- 2) °C. Во время эксперимента в камере должен постоянно работать вентилятор для перемешивания компонентов исследуемой системы - вируса, воздуха, аэрозоля средства.
3.5.21.6. Об инактивации вируса судят по утрате им инфекционной активности.
3.5.21.7. Вирулицидная активность средства в форме аэрозоля зависит от концентрации вируса в воздухе, расхода смеси аэрозоля на единицу объема, концентрации раствора средства в аэрозольной смеси, экспозиции, относительной влажности воздуха и температуры в камере.
3.5.21.8. В контроле используют аэрозольные смеси, содержащие вместо раствора средства стерильную воду, которую распыляют в камере в тех же количествах, при этом размер аэрозольных частиц должен быть одинаковым с размером частиц аэрозоля средства.
3.5.22. Исследование вирулицидной активности средств, предназначенных для обеззараживания медицинских отходов. Методики определения вирулицидной активности средств при обеззараживании медицинских отходов разного происхождения приведены в соответствующих разделах: для медицинских изделий однократного применения
(п. 3.13.5); отходов из тканей (медицинская защитная одежда и белье, перевязочный материал, марлевые салфетки, ватные тампоны и др.)
(п. 3.5.8); посуды, в т.ч. лабораторной однократного использования
(п. 3.5.9); крови и др.
(п. 3.5.11).
3.5.23. Метод исследования вирулицидной активности кожных антисептиков.
3.5.23.1. Для исследования вирулицидной активности кожных антисептиков используют суспензионный метод
(п. 3.5.5) или метод батистовых тест-объектов
(п. 3.5.6), при этом предпочтение отдается суспензионному методу. С этой целью используют полиовирус и/или аденовирус. Время экспозиции (дезинфекционной выдержки) не должно превышать 5 мин.
3.5.23.2. Критерий эффективности - снижение титра вируса не менее чем на 4 log10.
3.6. Методы исследования и оценки спороцидной активности
дезинфицирующих средств и стерилизующих средств
3.6.1. Дезинфицирующие средства, обладающие спороцидной активностью, необходимы для обеззараживания различных объектов при сибирской язве, газовой гангрене, столбняке, дезинфекции высокого уровня (далее - ДВУ) эндоскопов; стерилизующие средства - для стерилизации медицинских изделий, включая эндоскопы, и для ДВУ эндоскопов. Данное руководство регламентирует методологию и технологию изучения и оценки спороцидной активности субстанций для производства дезинфицирующих и стерилизующих средств, спороцидной активности и эффективности химических и физических дезинфицирующих средств для обеззараживания различных объектов, а также стерилизующих средств для стерилизации медицинских изделий (далее - изделий), обсемененных наиболее устойчивыми микроорганизмами в споровой форме, с учетом максимально возможного уровня контаминации ими объектов.
3.6.1.1. Исследования спороцидной активности субстанций, дезинфицирующих, стерилизующих средств и эффективности режимов их применения включают:
- выбор и подготовку тест-микроорганизмов в споровой форме для изучения спороцидной активности и их субстанций;
- обеспечение стандартности условий проведения исследований спороцидной активности дезинфицирующих, стерилизующих средств и их субстанций;
- методы исследований и оценку результатов спороцидной активности дезинфицирующих, стерилизующих средств и их субстанций in vitro (суспензионный метод, метод батистовых тест-объектов) и спектра спороцидной активности;
- методы исследований и оценку спороцидной эффективности дезинфицирующих средств при разработке режимов обеззараживания объектов внешней среды, контаминированных тест-микроорганизмами в споровой форме;
- методы исследований спороцидной эффективности стерилизующих средств при разработке режимов стерилизации изделий, включая эндоскопы;
- методы исследований спороцидной активности стерилизующих средств, предназначенных для ДВУ эндоскопов.
3.6.1.2. Для применения спороцидных дезинфицирующих средств в очагах искусственного происхождения (биотерроризм) разработанные режимы (дезинфектологические технологии) должны корректироваться в специальных лабораториях, изучающих возможные споровые биологические рецептуры и связанные с этим специфические особенности дезинфекции в очагах заражения.
3.6.1.3. Организации, проводящие исследования спороцидной активности и эффективности химических дезинфицирующих и стерилизующих средств и их субстанций, в отчетной документации, представляемой для регистрации и сертификации средств, должны представлять конкретные результаты оценки стандартности использованных в исследованиях спор тест-микроорганизмов, а также эффективности нейтрализации ДВ использованным нейтрализатором.
3.6.2. Тест-микроорганизмы для исследования и оценки спороцидной активности дезинфицирующих, стерилизующих средств и их субстанций.
3.6.2.1. При исследовании спороцидной активности дезинфицирующих средств и их субстанций в качестве тест-микроорганизмов используют:
- Bacillus cereus, штамм ATCC 10876;
- Bacillus subtilis, штамм ATCC 6633;
- сибиреязвенная живая сухая вакцина СТИ-1 для людей;
- Bacillus anthracis, штамм 81/1 (pX01+, pX02+) или штамм 27 (pX01+, pX02+).
При исследовании спороцидной активности стерилизующих средств и их субстанций в качестве тест-микроорганизмов используют:
- Bacillus cereus, штамм ATCC 10876;
- Bacillus subtilis, штамм ATCC 6633;
- Bacillus licheniformis, штамм G BKM B-1711D;
- Geobacillus stearothermophilus, штамм BKM B-718.
Тест-микроорганизмы выбирают в зависимости от ДВ и назначения спороцидного дезинфицирующего, стерилизующего средства и субстанции.
3.6.2.2. Эталонные штаммы микроорганизмов хранят в лиофилизированном состоянии в ампулах при температуре плюс (4 +/- 2) °C, в замороженном виде в среде с криопротектором при температуре минус 70 °C или на плотных питательных средах (посев уколом) под слоем стерильного вазелинового масла (толщина слоя 1,5 - 3 мм), а рабочие культуры - на скошенном агаре или в бульоне, при температуре плюс (4 +/- 2) °C.
При наличии низкотемпературной морозильной камеры до минус 70 °C из референтного образца, получаемого из государственных или национальных коллекций, готовят субкультуры референтного образца в бульоне с криопротектором в необходимом для работы количестве (50 - 100 и более криопробирок), которые затем хранят в коллекции лаборатории в условиях глубокой заморозки при температуре минус 70 °C и используют для приготовления рабочих культур контрольных штаммов.
При отсутствии низкотемпературной морозильной камеры, из референтного образца готовят субкультуры референтного образца в полужидком агаре в необходимом для работы количестве. Приготовленные субкультуры хранят при температуре плюс 2 - 8 °C под слоем стерильного вазелинового масла не более 6 месяцев.
3.6.2.3. В целях сохранения таксономически важных признаков и устойчивости культуры количество пассажей тестового микроорганизма на питательных средах с момента его восстановления до момента его целевого использования должно быть, по возможности, минимальным, - не более двух.
3.6.2.4. Тест-микроорганизмы должны иметь типичные морфологические, культуральные, биохимические свойства, присущие данному виду, и обладать стандартной устойчивостью к эталонным дезинфицирующим и стерилизующим средствам: хлорамину 10%, перекиси водорода 6%, глутаровому альдегиду 2,5% (pH 7,2), сухому горячему воздуху при температуре плюс (160 +/- 3) °C, водяному текучему пару при температуре плюс 100 °C, водяному насыщенному пару под избыточным давлением при температуре плюс (121 +/- 1) °C.
Показатели устойчивости тест-микроорганизмов к вышеперечисленным средствам приведены в
табл. 3.5.
Таблица 3.5
Устойчивость спор тест-микроорганизмов к эталонным
дезинфицирующим и стерилизующим средствам
Тест-культура | Время гибели тест-микроорганизмов, не менее (мин), при действии |
Название и штамм | количество спор в тест-объекте | хлорамина 10% | перекиси водорода 6% | глутарового альдегида 2,5% | сухого горячего воздуха (160 +/- 3) °C | водяного текучего пара 100 °C | водяного насыщенного пара под избыточным давлением (121 +/- 1) °C |
Тест-микроорганизмы для изучения и оценки дезинфицирующих средств и их субстанций |
Bacillus cereus, штамм ATCC 10876 | (1 - 5)·106 | 360 | 60 | 60 | - | 6 - 7 | - |
Bacillus subtilis, штамм ATCC 6633 | (1 - 5)·106 | 360 | 60 | 180 | | 6 - 7 | - |
Сибиреязвенная живая сухая вакцина СТИ-1 для людей | (1 - 5)·106 | 360 | 60 | 60 | - | 6 - 7 | - |
Bacillus anthracis, штамм 81/1 или 27 | (1 - 5)·106 | 360 | 60 | 60 | - | 6 - 7 | - |
Тест-микроорганизмы для изучения и оценки стерилизующих средств и их субстанций |
Bacillus cereus, штамм ATCC 10876 | (1 - 5)·106 | 360 | 60 | 60 | - | 6 - 7 | - |
Bacillus subtilis, штамм ATCC 6633 | (1 - 5)·106 | 360 | 60 | 180 | - | 6 - 7 | - |
Bacillus licheniformis G BKM B-1711D | (1 - 5)·106 | - | - | - | 30 | - | - |
Geobacillus stearothermophilus, штамм BKM B-718 | (1 - 5)·106 | - | - | - | - | - | 15 |
Тест-микроорганизмы, не обладающие указанной устойчивостью, подлежат замене.
Спороцидную активность дезинфицирующих и стерилизующих средств и их субстанций определяют, используя тест-микроорганизмы в споровой форме.
3.6.3. Методика приготовления суспензии спор тест-микроорганизмов.
3.6.3.1. Для получения тест-микроорганизмов в споровой форме их выращивают на питательных средах
(табл. 3.6). Процесс приготовления суспензии спор тест-микроорганизма, используемого при исследовании и оценке спороцидной активности дезинфицирующих средств и их субстанций, включает три последовательных этапа:
- получение бульонной культуры из музейной лиофилизированной или агаровой культуры тест-микроорганизма;
- приготовление суспензии спор тест-микроорганизма и ее оценка.
Таблица 3.6
Питательные среды для выращивания тест-микроорганизмов
в споровой форме
N п/п | Тест-культуры | Питательные среды |
1 | Bacillus cereus, штамм ATCC 10876 | Пшеничный агар |
2 | Bacillus subtilis, штамм ATCC 6633 |
3 | Bacillus anthracis, штамм. 81/1, 27 | Пшеничный агар или агар Хоттингера с аминным азотом 120 мг, % |
4 | Bacillus licheniformis, G BKM B-1711D | Пшеничный агар или картофельно-пептонный агар |
5 | Geobacillus stearothermophilus, штамм BKM B-718 |
3.6.3.2. При использовании лиофилизированной споровой культуры
B. cereus и
B. subtilis ампулы с этими тест-микроорганизмами вскрывают в асептических условиях следующим образом: тампоном ваты, смоченным этиловым спиртом, обрабатывают поверхность ампулы, затем нагревают ее запаянный конец над пламенем. К накаленному концу ампулы прикладывают ватную пробку, смоченную стерильной водой, чтобы на ампуле образовалась трещина. Металлическим инструментом (скальпель, пинцет) откалывают по трещине конец ампулы. После этого стерильной пастеровской пипеткой в ампулу вливают 0,2 см
3 стерильной питьевой воды, накрывают стерильной марлевой салфеткой и оставляют на 30 мин при комнатной температуре. Для получения суспензии спор содержимое ампулы перемешивают с помощью стерильной бактериологической петли. Полученную таким образом в ампуле суспензию спор тест-микроорганизма отсасывают стерильной пастеровской пипеткой и переносят по 1 - 2 капли в две пробирки с 5 см
3 питательного бульона (бульон Хоттингера, СПБ, МПБ), содержащего 0,5% глюкозы.
3.6.3.3. При работе с возбудителем сибирской язвы для приготовления суспензии спор ампулы с высушенными культурами вскрывают в боксе биологической безопасности. При этом оттянутый конец ампулы нагревают над пламенем газовой горелки; затем влажным концом стерильного ватного тампона прикасаются к нагретой части, в результате чего появляются трещины. Конец ампулы накрывают трехслойной марлевой салфеткой, смоченной дезинфицирующим раствором и хорошо отжатой, и обламывают пинцетом. После вскрытия ампула остается накрытой той же салфеткой в течение одной - двух минут. Затем салфетку осторожно снимают и вместе с остатками стекла погружают в дезинфицирующий раствор. Вскрытую ампулу накрывают стерильным марлевым тампоном на 1 - 2 мин. Затем в ампулу вносят 0,2 см3 стерильной питьевой воды для приготовления суспензии спор, которую далее высевают в жидкие питательные среды, как указано выше.
3.6.3.4. Посевы G. stearothermophilus инкубируют при температуре плюс (55 +/- 1) °C, а B. cereus, B. subtilis, B. anthracis и B. licheniformis - при температуре плюс (37 +/- 1) °C в течение 24 - 48 ч. Бульонные культуры тест-микроорганизмов бактериологической петлей или пастеровской пипеткой (по 1 - 2 капли) пересевают в пробирки на скошенную питательную среду (сухой питательный агар, далее - СПА, МПА). Посевы инкубируют в течение 24 - 48 ч, как указано выше.
3.6.3.5. Для получения спор культур
B. licheniformis,
G. stearothermophilus в пробирки с посевом необходимого для проведения исследования тест-микроорганизма добавляют 5 см
3 стерильной дистиллированной воды и смывают культуру, выросшую на плотной питательной среде. Полученную взвесь переносят во флаконы или емкости объемом до 250/500 см
3, содержащие соответственно 100/200 см
3 соответствующей для данного тест-микроорганизма скошенной плотной (агаровой) питательной среды
(табл. 3.6). На поверхность питательной среды в каждый флакон (матрац), в зависимости от их вместимости (250/500 см
3), вносят суспензию, смытую с 1 - 2 пробирок с посевами. Взвесь покачиванием флакона (матраца) равномерно распределяют по поверхности среды, закрывают ватно-марлевыми пробками и бумажными колпачками и инкубируют при температуре плюс (55 +/- 1) °C (для
G. stearothermophilus) или плюс (37 +/- 1) °C (для
B. licheniformis) в течение 10 - 12 суток в наклонном положении (под углом 45°) агаром вверх. Для создания достаточной влажности в термостате, работающем при температуре плюс (55 +/- 1) °C, помещают открытые емкости с водой (до 2 дм
3 на термостат вместимостью 80 дм
3). Тест-микроорганизмы
B. cereus,
B. subtilis и
B. anthracis для получения споровой формы засевают на скошенный пшеничный агар или агар Хоттингера с аминным азотом 120 мг % и выращивают при температуре плюс (37 +/- 1) °C двое суток в термостате, а затем еще 7 - 12 суток при температуре плюс (20 +/- 1) °C в темном месте. На 7-е и 9-е сутки культуры проверяют на интенсивность спорообразования. Для этого выборочно с 2 - 3 флаконов (матрацев) культуру забирают петлей с верхнего, среднего и нижнего участков агара; все три пробы растирают вместе на одном предметном стекле, распределяя тонким слоем. Мазок фиксируют над пламенем горелки, окрашивают по Граму или генцианвиолетом (по Синеву). Окрашенные препараты промывают питьевой водой, подсушивают и микроскопируют с иммерсионной системой - споры имеют вид неокрашенных пустот, находящихся внутри клеток. Исследуют 10 полей зрения, подсчитывают количество спор, выражая в процентах. Достаточным количеством считают не менее 90% спор в поле зрения от общего числа клеток.
3.6.3.6. При работе с B. anthracis для фиксации мазков используют 90%-й этиловый спирт или смесь Никифорова (равное количество спирта и эфира), время фиксации 30 мин. Затем мазок окрашивают при нагревании 1 - 2 мин карболовым фуксином Циля, промывают водой и обесцвечивают, погружая в 2%-й раствор азотной кислоты в спирте или в 1%-й раствор серной кислоты, так, чтобы на препарате не было видно следов красителя.
3.6.3.7. После завершения спорообразования тест-микроорганизмы осторожно при помощи шпателя (из проволоки) или стерильных стеклянных бус смывают с поверхности агара 5 - 10 см3 стерильной дистиллированной воды (в зависимости от вместимости флакона) и сливают в емкости (пробирки, флаконы), которые закрывают стерильными резиновыми пробками.
3.6.3.8. Для оценки качества полученной споровой суспензии тест-микроорганизма и принятия решения о возможности использования ее по назначению из флакона (после тщательного перемешивания путем встряхивания) стерильно отбирают в пробирку 10 см
3 суспензии и определяют соответствие по БК спор тест-микроорганизма в суспензии и их устойчивости к эталонным физическим и химическим дезинфицирующим и стерилизующим средствам, представленным в
табл. 3.5.
3.6.3.9. В случае загрязнения исходного штамма тест-микроорганизма посторонней микрофлорой выделяют его чистую культуру принятыми методами (прогревания, промывания, центрифугирования и др.). Выделенную культуру тест-микроорганизма идентифицируют и проверяют на устойчивость к эталонным дезинфицирующим и стерилизующим средствам.
3.6.4. Определение биологической концентрации тест-микроорганизма в споровой суспензии.
3.6.4.1. Определение выполняют методом последовательных десятикратных разведений суспензии тест-микроорганизма в стерильной дистиллированной воде с последующим высевом суспензии в чашки Петри с плотной питательной средой (агар Хоттингера, СПА, МПА). После определенного времени инкубации при соответствующей температуре проводят подсчет выросших КОЕ и определяют количество жизнеспособных спор в 1 см3 суспензии БК.
3.6.4.2. При выполнении испытания соблюдают следующие условия:
- используют дозаторы переменного объема не менее 2-го класса точности;
- в процессе выполнения опыта соблюдают асептические условия;
- контролируют температуру термостата и срок инкубации посевов.
3.6.4.3. До проведения испытания выполняют следующие подготовительные операции:
- расплавляют на кипящей водной бане плотную питательную среду (агар) и охлаждают ее до температуры плюс (45 +/- 5) °C;
- охлажденную питательную среду разливают по (25 +/- 5) см3 в стерильные чашки Петри в пламени спиртовки (газовой горелки) и оставляют чашки на горизонтальной поверхности до застывания агара;
- при необходимости подсушивают чашки с плотной питательной средой в термостате крышками вниз;
- разливают в стерильные пробирки с ватно-марлевыми пробками по 4,5 см3 стерильной дистиллированной воды.
3.6.4.4. В работе используют только кондиционные партии питательных сред, для чего предварительно проверяют их качество путем высева эталонной культуры соответствующего штамма. Для кондиционной среды число выросших тест-микроорганизмов от их общего количества должно составлять не менее 50%.
3.6.4.5. При определении БК тест-микроорганизма в исходной суспензии спор агаровой культуры последнюю разводят стерильной дистиллированной водой до концентрации 1·109 клеток в 1 см3, соответствующей по мутности 10 единицам мутности отраслевого стандартного образца ОСО 42-28-84 (10 МЕ) или 3 единицам МакФарланда, что определяется с помощью денситометра. Затем стерильной пипеткой отбирают 0,5 см3 суспензии спор и переносят в пробирку, содержащую 4,5 см3 стерильной дистиллированной воды. Полученное разведение (10-1) тщательно встряхивают. Аналогично, меняя пипетку, делают все последующие разведения до необходимого (106), теоретически соответствующего концентрации 1·103 спор в 1 см3. Из двух последовательных десятикратных разведений исходной суспензии производят высев по 0,1 см3 на поверхность трех чашек Петри с агаром (агар Хоттингера, СПА, МПА). Чашки Петри инкубируют при температуре плюс (55 +/- 1) °C или плюс (37 +/- 1) °C в зависимости от вида культуры в течение 24 - 48 ч, после чего определяют число КОЕ. Количество жизнеспособных спор в исходной суспензии определяют как среднее арифметическое число КОЕ с учетом разведения исходной суспензии и объема пробы для посева.
3.6.4.6. Пример расчетов. Предположим, что при посеве на три чашки Петри с агаром суспензии в разведении 1 : 100 000 подсчитано 140, 110 и 134 КОЕ. Аналогичные высевы из разведений 1 : 1 000 000 привели к образованию 12, 14 и 16 КОЕ. Вычисляем общее число КОЕ, найденных во всех трех чашках Петри соответствующих разведений:
1 : 100 000 140 + 110 + 134 = 384
1 : 1 000 000 12 + 14 + 16 = 42
Среднее число КОЕ на чашках составит для разведения:
1 : 100 000 384 : 3 = 128
1 : 1 000 000 42 : 3 = 14
Из расчета посевной дозы (0,1 см3 на каждую чашку) вычисляем число жизнеспособных спор в 1 см3 исходной суспензии с учетом разведений, далее находим среднее арифметическое числа КОЕ:
128·10·105 = 12,8·107
14·10·106 = 14,0·107
Таким образом, число жизнеспособных спор в исходной суспензии составит: (12,8 + 14,0)·107 : 2 = 13,4·107 = 1,32·108 спор/см3.
Или при посеве из одного последнего разведения по 0,1 см
3 на 5 чашек Петри расчет концентрации жизнеспособных микроорганизмов в 1 см
3 суспензии препарата осуществляют по
формуле 3.3:
| | ИС МЕГАНОРМ: примечание. Нумерация формул дана в соответствии с официальным текстом документа. | |
БК - концентрация жизнеспособных спор тест-микроорганизма, КОЕ см3;
x - суммарное количество колоний, выросших на пяти чашках, КОЕ;
p - разведения;
2 - коэффициент, приводящий измерение объема посеянной суспензии к 1 см3.
Например: общее количество колоний на 5 чашках Петри составило 540 КОЕ, тогда количество жизнеспособных спор в исходной суспензии равно: БК = 540·2·106 = 1080·106 = 1,08·109 спор/см3.
3.6.4.7. Герметично закрытые стерильной пробкой флаконы (пробирки) с исходной суспензией спор хранят в холодильнике при температуре плюс (6 +/- 2) °C до 6 месяцев, если споры тест-микроорганизма соответствуют вышеуказанным критериям
(табл. 3.5). Для снижения негативного влияния на суспензию спор перепада температуры, неизбежного при извлечении флакона из холодильника для отбора части суспензии, необходимой для проведения исследования дезинфицирующих, стерилизующих средств и их субстанций, суспензию спор тест-микроорганизма из флакона целесообразно расфасовывать в пробирки и использовать их по мере необходимости.
3.6.4.8. Чистоту культуры тест-микроорганизма на всех этапах культивирования контролируют путем посева на чашки Петри с агаром Хоттингера, СПА, МПА. Сибиреязвенную живую сухую вакцину (далее - вакцину СТИ-1) при изучении спороцидной активности и эффективности используют в виде суспензии, содержащей 108 - 109 спор/см3, приготовленной разбавлением содержимого одной ампулы в 10 см3 стерильной питьевой воды.
3.6.5. Устойчивость к действию текучего пара спор B. cereus, B. subtilis, B. anthracis, сибиреязвенной вакцины СТИ-1 определяют в аппарате Ойль-Мюллера, используя батистовые тест-объекты, контаминированные вышеуказанными тест-микроорганизмами, с последующим посевом тест-объектов в жидкую питательную среду.
3.6.5.1. Аппарат Ойль-Мюллера может быть заменен устройством, доступным для изготовления практически в любой лаборатории, где необходимо провести такое исследование. Для этого берется стеклянная колба объемом 1 - 2 дм3 с широким удлиненным горлом. Корковую пробку под него срезают на 1/3 по длине для обеспечения выхода пара. Это отверстие используется и для проведения измерения термометром температуры пара в месте размещения батистовых тест-объектов. Через трубку пропускают проволоку, имеющую на конце припаянную (или укрепленную другим способом) перпендикулярно к ней металлическую сеточку диаметром 3,0 - 3,5 см из нержавеющей стали, предназначенную для размещения батистовых тест-объектов, контаминированных спорами тест-микроорганизма.
3.6.5.2. Проволоку в пробке устанавливают так, чтобы сеточка находилась в месте перехода конуса колбы в горло. Это обеспечивает прохождение через сеточку практически всего объема пара, образуемого кипящей в колбе водой. Уровень воды должен находиться от сеточки на расстоянии 5 - 6 см.
3.6.5.3. В процессе испытаний контролируют следующие показатели:
- температуру текучего пара;
- исходную и остаточную контаминацию тест-микроорганизмами батистовых тест-объектов;
- время действия пара на контаминированные тест-объекты в аппарате Ойль-Мюллера (колбе).
3.6.5.4. Исследования проводят следующим образом: в колбу наливают дистиллированную воду и нагревают ее до кипения. При достижении температуры плюс 100 °C на термометре, находящемся под воздействием текучего пара, на предварительно простерилизованную автоклавированием вместе с пробкой или обожженную в пламени сеточку помещают 2 батистовых тест-объекта (1,0 x 0,5 см), контаминированных спорами тест-микроорганизма (методику подготовки тест-объектов см. в
п. 3.2.3.2). Тест-объекты размещают так, чтобы исключался контакт их со стенкой горла колбы при введении сеточки в колбу. Держась за пробку, сеточку с тест-объектами вносят в зону действия текучего пара и включают секундомер. По истечении 2 мин воздействия пара, держась за пробку, сеточку с тест-объектами извлекают из колбы, а тест-объекты сразу помещают (засевают) в две пробирки со стерильным питательным бульоном. Обжигают сеточку и кладут на нее 2 новых тест-объекта. Аналогично вышеописанному вносят их в зону действия пара на 2 мин, затем также извлекают и помещают в пробирки со стерильным питательным бульоном. Так операцию повторяют, увеличивая экспозицию на 1 мин до 10 мин. Посевы инкубируют при температуре плюс (37 +/- 1) °C в течение 7 суток. Предварительный учет результатов проводят через 48 ч инкубирования, окончательный - на 7 сутки. Из пробирок с проросшим бульоном делают посев петлей на плотную среду для идентификации выросших тест-микроорганизмов.
3.6.5.5. При использовании аппарата Ойль-Мюллера необходимо не допускать случайного прикосновения к горлышку колбы сначала до обеззараживания тест-объектов, затем - после обеззараживания. Этих погрешностей, искажающих результаты опыта, можно избежать при использовании аппарата Ойль-Мюллера в модификации Л.А. Блиновой. В емкости для текучего пара имеется четыре отверстия. Первое отверстие размещается вверху и предназначено для термометра, второе справа в торце - для внесения зараженных тест-объектов, третье - на лицевой стороне - для изъятия обеззараженных тест-объектов и четвертое - слева в торце для выхода пара. При пользовании таким аппаратом тест-объекты накалывают на иглу, закрепленную в пробке, которую вставляют во второе отверстие. Третье отверстие во время экспозиции закрыто стерильной пробкой. По окончании экспозиции его открывают и через него извлекают обожженным пинцетом снятые с иглы тест-объекты, которые сразу засевают в бульон.
3.6.5.6. Применяемый в аппарате термометр должен иметь шкалу с делениями на десятые доли градуса. Определение устойчивости спор бацилл к текучему пару проводят при атмосферном давлении, близком к 760 мм рт. ст. Учет этого фактора важен, поскольку он может существенно влиять на результаты оценки. Так, при атмосферном давлении 745 мм рт. ст. температура текучего пара составляет 99,4 °C и резистентность при этой температуре B. cereus равна 6 - 7 мин, а при давлении 765 мм рт. ст. температура пара - плюс 100,8 °C и резистентность не превышает 3 - 4 мин.
3.6.5.7. Споры тест-микроорганизмов должны иметь устойчивость к текучему пару температуры плюс 100 °C не менее 7 - 9 мин.
3.6.6. Устойчивость тест-микроорганизма G. stearothermophilius к водяному насыщенному пару под избыточным давлением. В качестве тест-носителя применяют флаконы из нейтрального стекла, контаминированные суспензией спор тест-микроорганизма G. stearothermophilius.
3.6.6.1. Предварительно флаконы тщательно моют и стерилизуют паровым или воздушным методом. Из исходной суспензии спор готовят рабочую суспензию для контаминации тест-носителей. Стерильные тест-носители контаминируют из расчета (1 - 5)·106 тест-микроорганизма G. stearothermophilius, что достигается внесением в каждый носитель с помощью дозатора переменного объема 0,02 см3 суспензии спор с содержанием от 5·107 до 2,5·108 спор/см3.
3.6.6.2. Контаминированные тест-носители высушивают в термостате при температуре плюс (37 +/- 1) °C в течение 24 ч и закладывают в бумажные пакеты, разрешенные к применению в Российской Федерации в качестве стерилизационных упаковочных материалов.
3.6.6.3. Устойчивость спор тест-микроорганизма G. stearothermophilus к водяному насыщенному пару под избыточным давлением определяют в паровом стерилизаторе объемом 75 дм3 с гравитационным способом предварительного удаления воздуха из стерилизационной камеры. Упакованные тест-носители помещают в стерилизационной коробке в незагруженную камеру парового стерилизатора. После набора давления в водопаровой камере (1,1 +/- 0,1) кгс/см2 проводят вытеснение воздуха паром из камеры парового стерилизатора (продувка парового стерилизатора) в течение 10 мин (при открытом спускном кране и давлении в стерилизационной камере от 0,1 до 0,2 кгс/см2). После продувки доводят давление пара в стерилизационной камере до 1,1 +/- 0,1 кгс/см2 плюс (121 +/- 1) °C и через 5 мин (время выживания спор тест-микроорганизма) с момента установления давления спускают пар. Для уменьшения времени воздействия пара до и после периода испытуемого воздействия (время воздействия при температуре плюс (121 +/- 1) °C подъем давления проводят максимум в течение 8 мин, спуск - в течение 3 мин.
3.6.6.4. Контроль температуры осуществляют максимальными термометрами, предназначенными для контроля температурного параметра работы стерилизатора. Аналогичное исследование проводят с 15-минутным временем воздействия (время гибели спор тест-микроорганизма). При каждом из указанных периодов воздействия экспонируют не менее 10 тест-носителей.
3.6.6.5. По окончании времени выдержки тест-носители вынимают из стерилизатора. Во флаконы вносят 1 см3 питательной среды (бульон Хоттингера, МПБ, СПБ, цветная питательная среда с индикатором бромкрезоловым пурпуровым), закрывают стерильными резиновыми пробками по типу "N7,5" и инкубируют при температуре плюс (55 +/- 1) °C в течение 7 суток при использовании питательного бульона (бульон Хоттингера, СПБ, МПБ) или в течение 48 ч при использовании цветной питательной среды с индикатором бромкрезоловым пурпуровым.
3.6.6.6. Учет результатов проводят путем визуального осмотра. Отсутствие помутнения/изменения цвета питательной среды с индикатором указывает на гибель спор. При наличии роста микроорганизмов проводят сравнение последних с тест-микроорганизмом. В качестве контроля используют тест-носители, которые не подвергали действию стерилизующего средства. Посевы контрольных тест-носителей и питательную среду, а также инкубирование посевов осуществляют аналогично опытным тест-носителям, которые подвергали действию стерилизующего средства. Время гибели спор G. stearothermophilus при действии водяного насыщенного пара под избыточным давлением (1,1 +/- 0,1) кгс/см2, температуре плюс (121 +/- 1) °C должно быть не менее 15 мин.
3.6.7. Устойчивость спор B. licheniformis к сухому горячему воздуху определяют в воздушном стерилизаторе объемом 80 дм3 с принудительной циркуляцией и скоростью движения воздуха более 1 м/с, которые обеспечивают допустимые предельные отклонения от номинального значения температуры.
3.6.7.1. В качестве тест-носителя применяют флаконы из нейтрального стекла, контаминированные спорами тест-микроорганизма B. Licheniformis. Предварительно флаконы тщательно моют и стерилизуют паровым или воздушным методом. Из исходной суспензии спор готовят рабочую суспензию для контаминации тест-носителей из расчета (1 - 5) x 106 спор в носителе.
3.6.7.2. Стерильные тест-носители контаминируют рабочей суспензией спор тест-микроорганизма B. licheniformis, что достигается внесением в каждый тест-носитель с помощью дозатора с переменным объемом 0,02 см3 суспензии спор в дистиллированной воде с содержанием от 5,0·107 до 2,5·108 спор/см3. Контаминированные тест-носители высушивают в термостате при температуре плюс (37 +/- 1) °C в течение 24 ч и закладывают в бумажные или полимерные пакеты, разрешенные к применению в качестве стерилизационных упаковочных материалов в Российской Федерации.
3.6.7.3. Упакованные тест-носители помещают на полку воздушного стерилизатора, предварительно прогретого до плюс (140) °C. Стерилизатор закрывают и после достижения температуры плюс (160 +/- 3) °C начинают отсчет времени выдержки. Через 4 мин (время выживания спор тест-микроорганизма) аппарат отключают.
3.6.7.4. Контроль температуры осуществляют по наружному термометру. Аналогичное исследование проводят с 30-минутным временем испытуемого воздействия (время гибели спор тест-микроорганизма). При каждом из указанных периодов испытуемого воздействия экспонируют не менее 10 тест-носителей. По окончании времени выдержки тест-носители вынимают из стерилизатора. Во флаконы вносят 1 см3 питательной среды (бульон Хоттингера, МПБ, СПБ, цветная питательная среда с индикатором бромтимоловым синим), закрывают стерильными резиновыми пробками по типу "N7,5" и инкубируют при температуре плюс (37 +/- 1) °C в течение 7 суток при использовании питательного бульона (бульон Хоттингера, СПБ, МПБ) или в течение 48 ч при использовании цветной питательной среды с индикатором бромтимоловым синим.
3.6.7.5. Учет результатов опытов и контроля проводят аналогично определению устойчивости спор к водяному насыщенному пару под давлением. Время гибели спор тест-микроорганизма B. licheniformis при действии сухого горячего воздуха при температуре плюс (160 +/- 3) °C должно быть не менее 30 мин.
3.6.8. Определение устойчивости спор к хлорамину. В опытах используют препарат, содержащий 26 - 28% активного хлора, растворяя который в воде готовят 10%-й (по препарату) рабочий раствор. Готовят и разливают в пробирки по 5 см3 стерильный раствор нейтрализатора (2%-й раствор тиосульфата натрия), стерильную питьевую воду, питательный бульон (МПБ).
3.6.8.1. Готовят и контаминируют тест-микроорганизмом батистовые тест-объекты
(п. 3.2.3.2). Если в опытах используют ранее приготовленные и хранящиеся в холодильнике контаминированные спорами тест-микроорганизма тест-объекты, то их заранее извлекают из холодильника, чтобы они приобрели комнатную температуру плюс (18 - 20) °C.
3.6.8.2. При проведении экспериментов в стеклянную емкость объемом 50 - 100 см3 пипеткой наливают требуемый объем 10%-го раствора хлорамина из расчета по 0,5 см3 на каждый тест-объект и помещают в водяную баню с температурой плюс 20 °C на весь период опыта. Отсчитывают в чашке Петри необходимое для опыта количество контаминированных спорами тест-микроорганизмов батистовых тест-объектов (по 2 на каждую экспозицию), захватывают их стерильным пинцетом все сразу и опускают в емкость с раствором хлорамина; легким покачиванием емкости добиваются полного их смачивания. В момент смачивания всех тест-объектов отмечают время. Через каждый час стерильной петлей извлекают по 2 тест-объекта из раствора хлорамина и опускают их в пробирку с 5 см3 2%-го стерильного раствора тиосульфата натрия для нейтрализации остаточного действия хлорамина. Через 5 - 10 мин тест-объекты переносят во вторую пробирку с 5 см3 стерильной питьевой воды, а через 10 - 15 мин каждый тест-объект помещают в 5 см3 питательного бульона.
3.6.8.3. Для контроля два контаминированных спорами тест-микроорганизма тест-объекта погружают в стерильную воду (вместо раствора хлорамина) на максимальный срок экспозиции, затем (как и опытные тест-объекты) их переносят последовательно в раствор нейтрализатора (тиосульфат натрия), стерильную питьевую воду и сеют в жидкий питательный бульон в пробирках. Полноту нейтрализации активного хлора контролируют путем погружения неконтаминированных тест-объектов в 10%-й раствор хлорамина на максимальную экспозицию, затем в раствор тиосульфата натрия, промывают в воде и помещают в бульон, куда вносят 0,1 см3 суспензии, содержащей 20 - 30 жизнеспособных спор тест-микроорганизма. Рост культуры в бульоне свидетельствует об эффективной нейтрализации действия хлорамина. Посевы опытные и контрольные ставят в термостат при температуре плюс (37 +/- 1) °C; наличие роста тест-микроорганизма проверяют через 48 ч. Из пробирок с ростом делают посев петлей на плотную питательную среду для идентификации тест-микроорганизмов.
3.6.8.4. Окончательный учет результатов проводят через 7 суток. Опыт повторяют не менее 3 раз. Споры тест-микроорганизмов B. cereus (штамм ATCC 10876), B. subtilis (штамм ATCC 6633), B. anthracis (штамм 81/1 и 27), вакцины СТИ-1 должны быть устойчивы к 10%-му раствору хлорамина не менее 360 мин.
3.6.9. Определение устойчивости спор к перекиси водорода. В опытах используют средство, содержащее не менее 30% перекиси водорода, из которого путем разведения стерильной питьевой водой готовят раствор для исследований, содержащий 6% перекиси водорода. Для нейтрализации перекиси водорода используют стерильный 2,5%-й раствор тиосульфата натрия.
3.6.9.1. Подготовку и определение устойчивости спор тест-микроорганизмов к 6%-му раствору перекиси водорода проводят по такой же методике, как и к хлорамину, только в качестве нейтрализатора используют 2,5%-й раствор тиосульфата натрия. Учитывая, что споры тест-микроорганизмов должны быть устойчивы к воздействию 6%-го раствора перекиси водорода в течение не менее 60 мин, испытание осуществляют в течение 90 мин с отбором проб (по 2 теста) через каждые 15 мин (обычно берут по 2 тест-объекта на 6 экспозиций).
3.6.9.2. Аналогично, как и при определении устойчивости спор к хлорамину, проводят посевы, учет результатов и контроль. Споры тест-микроорганизмов: B. cereus (штамм ATCC 10876), B. subtilis (штамм ATCC 6633), B. anthracis (штамм 81/1 и 27), живой сибиреязвенной вакцины СТИ-1 должны быть устойчивы к 6%-му раствору перекиси водорода не менее 60 мин.
3.6.10. Определение устойчивости спор B. subtilis (штамм ATCC 6633) к 2,5%-му раствору глутарового альдегида. В экспериментах используют средство, содержащее не менее 20% глутарового альдегида. Раствор для исследований, содержащий 2,5% глутарового альдегида, готовят путем разведения исходного раствора стерильной питьевой водой с последующим доведением pH приготовленного раствора до значений 7,5.
3.6.10.1. Подготовку и определение устойчивости спор B. subtilis (штамм ATCC 6633) к 2,5%-му раствору глутарового альдегида проводят по такой же методике, как и к хлорамину, используя батистовые тест-объекты, контаминированные этим тест-микроорганизмом, только в качестве нейтрализатора используют или стерильный 1% раствор бисульфита натрия или стерильный универсальный нейтрализатор, содержащий Твин 80 (3%), сапонин (0,1%), гистидин (0,1%), цистеин (0,1%). Учитывая, что споры некоторых тест-микроорганизмов должны быть устойчивы к воздействию 2,5%-го раствора глутарового альдегида не менее чем в течение 3 ч, испытание осуществляют в течение 6 ч с отбором проб (по 2 тест-объекта) через каждые 30 мин.
3.6.10.2. Посевы, учет результатов и постановку контроля осуществляют аналогично определению устойчивости спор к хлорамину. Споры тест-микроорганизма B. subtilis (штамм ATCC 6633) должны быть устойчивы к 2,5%-му раствору глутарового альдегида не менее 3 ч.
3.6.11. Химико-аналитический контроль дезинфицирующих, стерилизующих средств и их субстанций. До проведения исследования спороцидной активности средств и их субстанций необходимо проанализировать представленные производителем утвержденные рецептуры средств и технические условия на отечественные или спецификацию на зарубежные средства, провести химико-аналитические исследования по определению концентрации ДВ и определить соответствие ее и др. показателей, регламентированных вышеуказанными документами. При этом используют химико-аналитические методы контроля и применяют условия хранения средства и меры безопасности при работе с ним, предложенные производителем средства.
3.6.11.1. Выбор, приготовление и контроль эффективности нейтрализаторов с целью исключения остаточного спороцидного или споростатического действия дезинфицирующих, стерилизующих средств и их субстанций на тест-микроорганизмы.
3.6.11.2. Для дезинфекции и стерилизации применяют средства, обладающие спороцидным действием, т.е. убивающие споры, а не только задерживающие их рост. Поэтому при определении спороцидного действия необходимо разграничить спороцидное действие средства от споростатического.
3.6.11.3. На основании накопленного опыта для нейтрализации антимикробного действия ДВ из различных химических групп (в зависимости от концентрации ДВ в растворе) применяют следующие нейтрализаторы:
- для средств из группы окислителей (хлор-, йод-, перекисьсодержащие средства; средства, содержащие надуксусную кислоту, озон) - 0,5 - 2,5%-е растворы тиосульфата натрия;
- для альдегид- и фенолсодержащих средств - универсальный нейтрализатор, содержащий 3% полисорбита 80% (твин 80), 3% сапонина, 0,1% гистидина и 0,1% цистеина; или 3% полисорбита 80%, 2% гистидина, 0,3% лецитина, 3% сапонина;
- для композиционных средств - универсальный нейтрализатор, например, содержащий 3% полисорбита 80%, 3% сапонина, 0,1% гистидина и 0,1% цистеина или 3% полисорбита 80%, 3% сапонина, 0,3% лецитина и 0,15% цистеина, 0,15% тиосульфата натрия или др. нейтрализаторы, рекомендуемые производителями.
3.6.11.4. Контроль полноты нейтрализации остаточного действия испытываемого средства. Существующие рекомендации по применению нейтрализаторов рассчитаны для различных монодействующих веществ. Однако многие современные средства содержат несколько ДВ и др. вспомогательные вещества, которые могут обладать споростатическим действием. Поэтому существующие (рекомендуемые) нейтрализаторы могут не обеспечивать эффективной нейтрализации остаточного действия таких средств. В этой связи результаты оценки эффективности средств могут быть необъективными. Поэтому каждый эксперимент при проведении испытаний даже известного средства должен предварительно сопровождаться экспериментальным контролем эффективности нейтрализации остаточного действия средства на тест-микроорганизм. Для контроля эффективности нейтрализатора и полноты нейтрализации остаточного действия средств используют суспензионный метод, обеспечивающий наиболее жесткие условия действия нейтрализатора при проведении испытаний средств. Последовательность и методология выполнения основных операций при проведении такого эксперимента и их назначение приведены на
схеме 3.1 и в
табл. 3.7.
Таблица 3.7
Оценка эффективности нейтрализации остаточного действия
дезинфицирующих и стерилизующих средств
N | Назначение операции исследования | Процедура выполнения операции исследования | Ожидаемый результат |
1 | Контроль губительного действия средства | к 9 см3 суспензии спор (103 спор/см3) на дистиллированной воде + 1 см3 раствора средства (перемешать встряхиванием пробирки) | Рост тест-микроорганизмов должен отсутствовать |
2 | Контроль полноты нейтрализации средств | к 9 см3 суспензии спор (103 спор/см3) с нейтрализатором + 1 см3 раствора средства (сразу интенсивно перемешать встряхиванием пробирки) | Примерно одинаковое (или в пределах ошибки в 25%) КОЕ в посевах проб (по 0,1 см3) на плотной питательной среде |
3 | Контроль отсутствия антимикробного действия у нейтрализатора | к 9 см3 суспензии спор (103 спор/см3) с нейтрализатором + 1 см3 раствора нейтрализатора (перемешать встряхиванием пробирки) |
4 | Референс-контроль количества спор тест-микроорганизма | к 9 см3 суспензии спор (103 спор/см3) на дистиллированной воде + 1 см3 дистиллированной воды (перемешать встряхиванием пробирки) | Наличие роста тест-микроорганизма |
Примечание: спустя 5 мин после постановки опыта, из каждой из четырех проб производят посев смеси по 0,1 см3, как минимум, на 3 чашки Петри с питательной средой, которые инкубируют в термостате при плюс (37 +/- 1) °C и через 2 - 4 суток учитывают результаты исследований |
3.6.12. Обеспечение техники безопасности при исследовании спороцидной активности дезинфицирующих, стерилизующих средств и их субстанций. Споры тест-микроорганизмов обладают высокой устойчивостью, поэтому их гибель обеспечивают, в большинстве случаев, высокие концентрации средств и их субстанций, приготовленных как по препарату, так и по ДВ. Поэтому при хранении, взвешивании, приготовлении рабочих растворов, их химико-аналитических исследованиях и при проведении экспериментов необходимо применять меры защиты, предусмотренные в технических условиях на отечественные средства или спецификации - на зарубежные, с учетом класса их опасности.
3.6.12.1. Все тест-микроорганизмы, кроме патогенных штаммов возбудителя сибирской язвы, относятся к III и IV группам патогенности (опасности), поэтому микробиологические исследования с ними следует проводить в асептических условиях при соблюдении правил техники безопасности, предусмотренных требованиями нормативных документов <6>.
--------------------------------
<6>
СП 1.3.2322-08 "Безопасность работы с микроорганизмами III - IV групп патогенности (опасности) и возбудителями паразитарных болезней".
3.6.12.2. Лабораторные исследования с использованием патогенных штаммов возбудителя сибирской язвы должны проводить специалисты, прошедшие подготовку по особо опасным инфекциям, в лабораториях, имеющих лицензию на работу с микроорганизмами I - II групп патогенности (опасности), при соблюдении правил техники безопасности <7>.
--------------------------------
<7>
СП 1.3.3118-13 "Безопасность работы с микроорганизмами I - II групп патогенности (опасности)".
3.6.13. Методы исследований и оценки результатов спороцидной активности дезинфицирующих, стерилизующих средств и их субстанций in vitro.
3.6.13.1. Суспензионный метод оценки спороцидной активности средств и их субстанций используют для получения первичной информации о концентрации и времени эффективного (отсутствие жизнеспособных спор) спороцидного действия средства. Методология выполнения эксперимента по оценке спороцидной активности средств суспензионным методом приведена на
схеме 3.3. Постановка эксперимента изложена в
п. 3.2.3.1. Инкубирование чашек Петри с посевами проб осуществляется при температуре плюс (37 +/- 1) °C или плюс (55 +/- 1) °C в зависимости от тест-микроорганизма в течение 2 - 7 суток. Эффективной экспозицией для рабочего раствора испытанной концентрации считается вторая экспозиция из показавших отсутствие жизнеспособных спор в посевах соответствующих им проб. Количество и интервал (шаг) экспозиций, при которых осуществляют отбор проб для оценки эффективности средств, выбирают на основе учета данных о составе и эффективности входящих в средство ДВ. Средство, растворы которого обеспечивают при комнатной температуре в течение 60 мин полную гибель спор одного из рекомендуемых споровых тест-микроорганизмов, рассматривают как перспективное спороцидное средство для дальнейшего изучения: определения спектра спороцидного действия, факторов, влияющих на спороцидную активность средства, и др.
3.6.13.2. Метод батистовых тест-объектов используют для получения информации о концентрации и времени эффективной спороцидной активности средств. В принципиальном плане методология выполнения эксперимента по оценке спороцидной активности средств методом батистовых тест-объектов приведена на
схеме 3.5, постановка эксперимента изложена в
п. 3.2.3.2.
Схема 3.5
Алгоритм проведения эксперимента по определению спороцидной
активности дезинфицирующих и стерилизующих средств методом
батистовых тест-объектов
С целью контроля микробной контаминации тест-объектов определяют БК спор на них. Для этого контаминированные спорами батистовые тесты погружают в пробирки с 10 см
3 стерильной питьевой воды и встряхивают в течение 10 - 15 мин на шейкере для отмывания спор с тест-объекта. Затем делают 3 последовательных 10-кратных разведения, чтобы получить суспензию с концентрацией порядка 1·10
3 спор/см
3, из которой производят посев по 0,1 см
3 на 5 чашек с плотной питательной средой. Посевы инкубируют в термостате при температуре плюс (37 +/- 1) °C или плюс (55 +/- 1) °C в течение 2 - 4 суток и подсчитывают общее количество выросших на чашках КОЕ. Используя формулу определения БК, приведенную в
п. 3.2.2, рассчитывают количество жизнеспособных спор тест-микроорганизма на тест-объекте.
3.6.14. Определение наличия жизнеспособных спор на тест-объекте.
3.6.14.1. Если предусматривается только установление наличия на данную экспозицию оставшихся на тест-объекте жизнеспособных спор тест-микроорганизма, то проба не подвергается встряхиванию, а тесты стерильным пинцетом извлекают из нейтрализатора и помещают в пробирку со стерильным питательным бульоном.
3.6.14.2. Если предусматривается количественное определение оставшихся на тест-объекте жизнеспособных спор тест-микроорганизма, то на стерильную плотную питательную среду в чашках Петри засевают по 0,1 см3 стерильной пипеткой из нейтрализованной пробы (или из ее соответствующего разведения), полученной после интенсивного встряхивания тест-объектов вручную или в течение 5 - 10 мин на шейкере:
- инкубирование посевов в чашках Петри или пробирках проводят при температуре плюс (37 +/- 1) °C или плюс (55 +/- 1) °C в зависимости от вида тест-микроорганизма в течение 2 - 4 суток;
- учет и анализ результатов эксперимента (испытания).
3.6.14.3. Эффективной экспозицией для рабочего раствора испытанной концентрации считается вторая экспозиция из показавших отсутствие жизнеспособных спор в посевах соответствующих им проб. Количество и интервал (шаг) экспозиций, при которых осуществляется отбор проб на эффективность средств, выбирают на основе данных о составе и эффективности входящих в средство ДВ. Средство, растворы которого обеспечивают при комнатной температуре в течение 60 мин полную гибель спор одного из рекомендуемых споровых тест-микроорганизмов, может рассматриваться как перспективное спороцидное средство для дальнейшего изучения.
3.6.15. Методы изучения факторов, влияющих на спороцидную активность дезинфицирующих, стерилизующих средств и их субстанций. Для определения сферы применения и направлений дальнейших исследований необходимо изучить спектр спороцидной активности дезинфицирующих, стерилизующих средств и их субстанций (далее - средств) и зависимости ее от температуры, величины pH и присутствия белковых загрязнений. Исследования проводят методом батистовых тест-объектов
(п. 3.6.13.2).
3.6.15.1. Определение спектра спороцидного действия средств проводят с использованием споровых тест-микроорганизмов, рекомендуемых для изучения и оценки спороцидной активности (
п. 3.6.2.1,
табл. 3.5). На основании полученных данных определяют целесообразность дальнейших исследований средств.
3.6.15.2. Исследование влияния температуры на спороцидную активность средств проводят с целью выявления возможности использования подогретых растворов средств для сокращения времени обеззараживания объектов в отношении спор тест-микроорганизмов, а также для оценки эффективности спороцидного действия при пониженных температурах окружающей среды, обеззараживаемого объекта и самого раствора средства. Для изучения влияния температуры рабочие растворы испытуемых средств готовят в день опыта, наливают в стеклянные колбы (пробирки) из расчета по 0,5 см3 на каждый тест-объект. Исследование влияния положительных температур раствора средства на его спороцидную активность проводят с использованием водяной бани, в которой нагревают емкость с дезинфицирующим раствором до плюс (18 +/- 1) °C, плюс (37 +/- 1) °C, плюс (55 +/- 1) °C, после чего погружают в него контаминированные тест-объекты и поддерживают эти температуры в процессе всего опыта. Опыты по оценке влияния пониженной температуры на активность средств проводят с использованием криостата или солевых низкозамерзающих растворов, в которых охлаждают емкость с дезинфицирующим раствором до плюс (10 +/- 1) °C, плюс (5 +/- 1) °C, минус (20 +/- 1) °C и поддержания их в процессе опыта. После достижения указанной температуры в раствор средства погружают батистовые тест-объекты, контаминированные тест-микроорганизмом из расчета 2 тест-объекта на каждую экспозицию. Через определенные промежутки времени из каждой колбы извлекают по 2 тест-объекта и помещают их в пробирки с соответствующим нейтрализатором на 5 мин, затем во вторую пробирку со стерильной водопроводной водой на 5 мин и только после этого каждый тест-объект переносят в пробирку, заполненную 5 см3 бульона Хоттингера (pH 7,2). Посевы инкубируют в течение 48 - 72 ч при температуре плюс (37 +/- 1) °C. Контролем служат по 2 тест-объекта при каждой исследованной температуре, не подвергавшиеся действию испытуемого средства, но погруженные в пробирки со стерильной питьевой водой на срок, равный действию испытуемого средства.
3.6.15.3. Исследование влияния величины pH на спороцидную активность средств начинают с приготовления рабочих растворов средства, имеющих различную величину pH (5,6 - 6,0; 7,0; 8,5 - 9,0). Для подкисления раствора используют децинормальный раствор соляной или др. кислоты, а для подщелачивания - децинормальный раствор щелочи. В подготовленные растворы погружают контаминированные спорами батистовые тест-объекты. Исследование зависимости спороцидной активности средств от величины pH проводят по методике, описанной выше, только при нейтрализации действия ДВ одновременно понижают и величину pH, добавляя соответственно кислоту или щелочь.
3.6.15.4. Исследование влияния белковых загрязнений на спороцидную активность средств проводят с целью выявления возможности влияния (или установления его отсутствия) белковых загрязнений на обеззараживаемом объекте на спороцидную активность средств. Исследование проводят методом батистовых тест-объектов
(п. 3.6.3.2), только для контаминации тест-объектов используют суспензию спор тест-микроорганизма, содержащую 20% инактивированной СКРС или дефибринированной крови, которые добавляют в суспензию при ее приготовлении. Инактивацию нормальной СКРС проводят дробным трехкратным прогреванием на водяной бане при температуре плюс (60 +/- 1) °C в течение 30 мин. Если активность препарата не снижается в присутствии 20% белка, концентрацию инактивированной СКРС или дефибринированной крови в суспензии тест-микроорганизма увеличивают до 40%. Отсутствие снижения спороцидной активности средства при добавлении 40% сыворотки позволяет считать средство не реагирующим на присутствие белковых загрязнений.
3.6.16. Методы исследований спороцидной эффективности дезинфицирующих средств, предназначенных для обеззараживания объектов внешней среды, контаминированных тест-микроорганизмами в споровой форме.
3.6.16.1. Длительная выживаемость спор возбудителей сибирской язвы в внешней среде обосновывает необходимость обеззараживания большого перечня объектов, которые могут быть контаминированы возбудителем сибирской язвы при уходе за больными животными, захоронении их трупов, транспортировании, реализации, переработке и уничтожении продуктов и сырья, полученных от больных животных, в очаге на дому при выявлении лиц, больных сибирской язвой, в медицинских организациях при оказании медицинской помощи больным сибирской язвой, в специализированных бактериологических лабораториях, работающих с этими возбудителями, на предприятиях по производству биопрепаратов на их основе, а также при биотеррористическом использовании возбудителя сибирской язвы.
3.6.16.2. Учитывая вышесказанное, перечень тест-объектов, моделирующих объекты, подлежащие дезинфекции, включает: поверхности помещений, мебели, аппаратов, приборов, санитарно-технического оборудования, транспортных средств и др.; медицинские изделия, в т.ч. эндоскопы; предметы ухода за больными, игрушки; посуду столовую, лабораторную и из-под выделений; белье, одежду, спецодежду и др. объекты из тканей; изделия из резины, в т.ч. перчатки, сапоги, фартуки и др.; обувь; руки в резиновых перчатках; остатки пищи; выделения: фекалии, мочу, кровь, мокроту; воду; воздух; медицинские отходы.
3.6.17. Метод исследования спороцидной эффективности дезинфицирующих средств, предназначенных для обеззараживания поверхностей в помещениях, мебели, аппаратов, приборов, санитарно-технического оборудования, транспортных средств и др. объектов.
3.6.17.1. В исследованиях используют тест-поверхности (10 x 10 см) из различных материалов
(п. 3.1.4.1).
3.6.17.2. Тест-поверхности из различных материалов (за исключением поверхностей, окрашенных клеевой краской или оклеенных обоями) тщательно моют водой с мылом и щеткой, стерилизуют в паровом стерилизаторе. Тест-поверхности, окрашенные клеевой краской или оклеенные обоями, протирают несколько раз стерильной марлевой салфеткой, увлажненной стерильной питьевой водой. Готовят споровую суспензию тест-микроорганизма (B. cereus, вакцина СТИ-1 для людей, B. anthracis), содержащую 2,0·109 спор/см3, добавляют 40% лошадиной сыворотки, инактивированной трехкратным прогреванием при температуре плюс (56) °C в течение 30 мин (к 6 см3 суспензии, содержащей 2,0·109 спор/см3, прибавляют 4 см3 сыворотки).
3.6.17.3. Подготовленные тест-поверхности располагают горизонтально и на них с помощью одноканального механического дозатора или пипетки наносят 0,5 см3 суспензии спор тест-микроорганизма. Суспензию равномерно распределяют по всей тест-поверхности (100 см2) стерильным стеклянным шпателем. Если суспензия тест-микроорганизма не распределяется равномерно, а собирается в каплю, растирание шпателем по тест-поверхности осуществляют неоднократно (3 - 5 раз). Контаминированные тест-поверхности подсушивают при комнатной температуре до полного высыхания (30 - 120 мин). Обеззараживание тест-поверхностей осуществляют способами протирания или орошения дезинфицирующим раствором (при работе с B. anthracis применяют только орошение в боксе биологической защиты при предварительном подсушивании не более 20 мин).
3.6.17.4. При проведении экспериментов тест-поверхности, окрашенные клеевой и др. красками, или оклеенные обоями, располагают вертикально и обеззараживают путем орошения дезинфицирующим раствором. Остальные тест-поверхности обеззараживают как в горизонтальном, так и в вертикальном положениях путем орошения, однократного или двукратного протирания, или мытья дезинфицирующим раствором.
3.6.17.5. В зависимости от вида обрабатываемой поверхности и наличия загрязнений на ней норма расхода средства способом протирания равна 100 - 150 см3/м2 (1 - 1,5 см3 на 100 см2); способом орошения - 150 см3/м2 (1,5 см3 на 100 см2) при обработке мелкокапельным распылителем или его аналогами, и 300 - 500 см3/м2 (3 - 5 см3 на 100 см2) при обработке крупнокапельным распылителем или гидропультом. При необходимости обработку способом протирания или орошения повторяют через 15 - 30 мин.
3.6.17.6. Для контроля эффективности обеззараживания через определенные промежутки времени (15 - 30 - 60 мин) с тест-поверхностей делают смывы путем тщательного протирания тест-поверхности сначала в одном, а затем перпендикулярном ему направлении стерильной марлевой салфеткой (размером 5 x 5 см), увлажненной нейтрализатором. После протирания на тест-поверхности не должно оставаться излишней влаги. Салфетки погружают на 5 мин в пробирки (емкости) с соответствующим для испытуемого средства нейтрализатором (10 см3), а затем в стерильную питьевую воду с бусами и встряхивают в шейкере в течение 10 мин. Полученную смывную жидкость вносят по 0,1 см3 на поверхность питательного агара двух чашек Петри, тщательно распределяя по всей поверхности. Посевы инкубируют в термостате при температуре плюс (37 +/- 1) °C в течение 48 - 72 ч.
3.6.17.7. В контрольных опытах для обработки аналогично контаминированных тест-поверхностей вместо раствора средства используют стерильную питьевую воду из того же расчета, что и опытные. Жидкость, в которую помещают стерильную марлевую салфетку после взятия смыва с контрольных поверхностей, перед посевом разводят в 100 раз и вносят по 0,1 см3 на поверхность питательного агара двух чашек Петри. Посевы инкубируют в термостате при температуре плюс (37 +/- 1) °C. Учитывают результаты через 48 ч (предварительные), а окончательные - через 21 сутки.
3.6.17.8. Оценку результатов контрольных опытов проводят по посеву того разведения, в котором число КОЕ на поверхности питательного агара в чашке Петри составляет от 30 до 300.
3.6.17.9. Допускается проводить исследования с использованием тест-поверхностей размером 5 x 5 см из тех же материалов, что и тест-поверхности 10 x 10 см. Тест-поверхности помещают на дно стерильной чашки Петри. Пипеткой наносят на них 0,1 см3 двухмиллиардной микробной взвеси (площадь поверхности 25 см2), равномерно распределяют ее по поверхности стерильным шпателем, не допуская стекания суспензии за пределы тест-объекта, затем подсушивают, приоткрыв чашку Петри (до полного высыхания) при температуре плюс 18 - 22 °C и относительной влажности 40 - 60%, после чего обрабатывают раствором средства так же, как указано выше. После окончания экспозиции чашки с тест-объектами заливают 10 см3 раствора нейтрализатора, соответствующего данному средству, и делают несколько круговых движений чашкой для лучшего смачивания тест-объекта. Через несколько мин стерильным пинцетом переворачивают тест-объект и повторяют круговые движения. После контакта нейтрализатора с тест-объектом в течение 10 мин снова делают несколько круговых движений чашкой, затем стерильным пинцетом удаляют тест-объект из чашки и сбрасывают его в емкость с дезинфицирующим раствором с целью дальнейшего обеззараживания. Нейтрализатор из чашки Петри сеют (на 2 - 3 чашки по 0,1 - 0,2 см3 в каждую) на плотные дифференциально-диагностические питательные среды, либо заливают чашку с нейтрализатором растопленным и остуженным до температуры плюс 45 °C агаром.
3.6.17.10. После выдерживания посевов в термостате подсчитывают число КОЕ на чашках с агаром, рассчитывают плотность контаминации на 100 см2 и высчитывают эффективность обеззараживания, принимая количество тест-микроорганизмов, снятых с контрольных тест-объектов, за 100%. Например: на посевах со 100 см2 контрольной тест-поверхности обнаружено 148 000 КОЕ, а с аналогичного вида опытной тест-поверхности - 20 КОЕ.
Расчет эффективности обеззараживания опытной тест-поверхности (x):
x = 20 100 : 148 000 = 2 : 148 = 0,013%
Эффективность обеззараживания опытной тест-поверхности (x) составляет: 100 - 0,013 = 99,987%.
3.6.17.11. Критерий эффективности средства при обеззараживании тест-поверхностей, контаминированных тест-микроорганизмом в споровой форме, равен 100%. При необходимости отработанные в лабораторных условиях режимы обеззараживания подлежат апробации на натурных объектах.
3.6.18. Метод исследования спороцидной эффективности дезинфицирующих средств, предназначенных для обеззараживания предметов ухода за больными и игрушек (кроме мягких) из различных материалов.
3.6.18.1. В исследованиях используют тест-объекты (100 см2) и предметы ухода за больными из различных материалов: резин на основе натурального и силиконового каучука (медицинская клеенка, грелка, груша); стекла (поильник, плевательница, градусник); пластмасс (грелка, лоток, наконечник для клизм); металлов (таз, стакан для термометра); игрушки (кроме мягких) из резин и пластмасс.
3.6.18.2. Тест-объекты, предметы ухода за больными и игрушки из различных материалов тщательно моют водой с мылом и щеткой. Тест-объекты стерилизуют паровым или воздушным методом.
3.6.18.3. Готовят суспензию тест-микроорганизма, содержащую 2,0·109 спор/см3, к которой добавляют 40% инактивированной лошадиной сыворотки. С помощью одноканального механического дозатора или пипетки на поверхность тест-объекта, предмета ухода за больными, игрушки наносят 0,5 см3 суспензии спор тест-микроорганизма. Равномерно ее распределяют по поверхности (100 см2) стерильным стеклянным шпателем. Каналы и полости предмета ухода за больными, игрушек заполняют споровой суспензией с помощью шприца; мелкие игрушки полностью погружают в суспензию. Контаминированные тест-объекты, предметы ухода за больными и игрушки подсушивают при комнатной температуре до полного высыхания (60 - 120 мин).
3.6.18.4. Растворы средства готовят на питьевой воде при комнатной температуре. Обеззараживание осуществляют способом погружения, протирания, орошения. После подсушивания контаминированные тест-объекты, предметы ухода за больными, игрушки, в т.ч. имеющие каналы и полости, погружают в раствор испытуемого средства или протирают салфеткой, смоченной им. Мелкие игрушки полностью погружают в емкость с раствором средства, препятствуя их всплытию; крупные игрушки дезинфицируют способом орошения. Норма расхода средства способом протирания берется из расчета 100 - 150 см3/м2 при однократной обработке и 200 - 300 см3/м2 - при двукратной; способом орошения - 150 см3/м2 при обработке мелкокапельным распылителем и 300 см3/м2 - при обработке крупнокапельным распылителем или гидропультом. При необходимости обработку способом протирания или орошения повторяют через 5 - 15 мин.
3.6.18.5. Для контроля эффективности обеззараживания через определенные промежутки времени после дезинфекции (30 - 60 - 120 мин) тест-объекты, предметы ухода за больными и игрушки извлекают из раствора, делают смывы стерильной марлевой салфеткой (размером 5 x 5 см), увлажненной нейтрализатором. Салфетки погружают в стерильный раствор нейтрализатора на 5 мин, затем переносят в пробирки (емкости) с бусами и стерильной питьевой водой (10 см3) и встряхивают на шейкере в течение 10 мин. Каналы и полости промывают нейтрализатором (10 см3), который собирают в стерильные пробирки (емкости) и оставляют на 10 мин для нейтрализации.
3.6.18.6. Полученную смывную жидкость и смывную жидкость из каналов вносят по 0,1 см3 на поверхность питательного агара двух чашек Петри и равномерно распределяют стерильным шпателем по поверхности среды. В контрольных опытах вместо раствора средства используют стерильную питьевую воду. Посевы инкубируют в термостате при температуре плюс (37 +/- 1) °C. Предварительные результаты учитывают через 48 ч, а окончательные - через 21 сутки.
3.6.18.7. Критерием эффективности средств при обеззараживании тест-объектов, предметов ухода за больными и игрушек из различных материалов (кроме мягких), контаминированных тест-микроорганизмом в споровой форме, является 100% гибель тест-микроорганизмов.
3.6.19. Метод исследования спороцидной эффективности дезинфицирующих средств, предназначенных для обеззараживания посуды столовой, лабораторной и из-под выделений.
3.6.19.1. Для определения спороцидной эффективности средств, предназначенных для обеззараживания посуды, в качестве тест-объектов используют набор посуды, указанной в
п. 3.1.4.2. Перед экспериментом посуду и столовые приборы моют водой с мылом и щеткой, затем высушивают.
3.6.19.2. В качестве тест-микроорганизмов для контаминации посуды используют наиболее устойчивый к данному средству вид спор.
На посуду (площадь 100 см2) пипеткой наносят 0,5 см3 споровой суспензии тест-микроорганизмов, содержащую 2·109 спор/см3. Культуру равномерно распределяют по поверхности посуды стеклянным шпателем. Столовые приборы погружают в споровую суспензию на 1 - 2 мин, оставляя неконтаминированными их ручки. Контаминированную посуду подсушивают (до полного высыхания) при комнатной температуре (60 - 120 мин) и относительной влажности воздуха 50 - 60% (при работе с B. anthracis подсушивают посуду не более 20 мин).
3.6.19.3. Для разработки режимов обеззараживания посуды с остатками пищи при контаминации используют суспензию тест-микроорганизмов, смешанную с овсяной, манной или др. кашей, сваренной на молоке со сливочным маслом (к 10 г каши добавляют 1 см3 двухмиллиардной взвеси спор). Для имитации загрязнения чайной посуды используют кисель (к 10 г киселя добавляют 1 см3 двухмиллиардной взвеси спор); лабораторной посуды - 40% инактивированной сыворотки; посуды из-под выделений - 20%-ю эмульсию фекалий, предварительно растертых в ступке.
3.6.19.4. Обработку столовой, чайной, лабораторной посуды, столовых приборов проводят способом погружения в дезинфицирующий раствор. Растворы готовят на питьевой воде. Температура испытуемого раствора - плюс 18 - 20 °C. При необходимости изучают эффективность растворов ДС при температуре плюс (50 +/- 1) °C.
3.6.19.5. Дезинфицирующий раствор должен полностью заполнять и с избытком покрыть всю посуду и приборы (из расчета не менее 2 дм3 на 1 комплект). Время обеззараживания посуды - от 15 до 240 мин, в зависимости от вида тест-микроорганизма и наличия загрязнения.
3.6.19.6. Через определенные интервалы времени (например, 15, 30, 60 мин и т.д.) извлекают по одному предмету разных наименований (например, тарелка, стакан, предметное стекло, нож и т.д.) из дезинфицирующего раствора и стерильной марлевой салфеткой (размером 5 x 5 см), смоченной в растворе нейтрализатора, соответствующего данному ДС, тщательно протирают контаминированную часть каждого контаминированного объекта и погружают салфетку в 10 см3 этого же нейтрализатора на 5 мин, затем ее переносят в пробирку со стерильной питьевой водой и бусами. Время отмыва марлевой салфетки - 10 мин при постоянном встряхивании. После отмыва марлевую салфетку погружают в питательный бульон. Смывную жидкость по 0,1 см3 вносят на поверхность питательного агара в 2 - 3 чашки Петри (по 0,1 см3 в каждую) и распределяют стерильным шпателем по всей поверхности среды. Посевы помещают в термостат при температуре плюс (37 +/- 1) °C. Учет результатов проводят через 48 ч в течение 21 суток.
3.6.19.7. Контролем служит аналогично контаминированная посуда, которую погружают не в дезинфицирующий раствор, а в такой же объем стерильной питьевой воды.
3.6.19.8. Критерием эффективности обеззараживания контаминированной посуды является гибель спор тест-микроорганизмов на посуде не менее 100%.
3.6.20. Метод исследования спороцидной эффективности дезинфицирующих средств, предназначенных для обеззараживания белья, одежды, спецодежды и др. объектов из ткани.
3.6.20.1. Исследования со средством проводят в целях оценки эффективности его для обеззараживания белья и др. объектов из ткани - как чистых, так и загрязненных кровью или выделениями
(п. 3.1.4.3.).
3.6.20.2. Оценку эффективности средства для обеззараживания белья, одежды, спецодежды и др. объектов из ткани осуществляют с помощью стерильных тест-объектов, представляющих собой кусочки бязи размером 2 x 2 см. Бязь предварительно готовят и обеззараживают так же, как батист. Контаминируют стерильные тест-объекты суспензией тест-микроорганизмов, содержащей 2·109 спор/см3, из расчета 20 см3 на 10 тест-объектов. Через 30 мин тест-объекты закладывают в бязевые мешочки размером 5 x 8 см (по 2 штамма в каждый), которые закрывают в виде конверта.
3.6.20.3. Раствор испытываемого средства на водопроводной воде комнатной температуры или подогретой до плюс (50 +/- 1) °C готовят из расчета 5 дм3 на 1 кг белья. Тканевые салфетки, имитирующую белье, поштучно погружают в емкость с раствором испытываемого средства так, чтобы между слоями ткани не образовывалось воздушных прослоек, препятствующих процессу дезинфекции. Одновременно между слоями белья распределяют (сверху, в середине и внизу) мешочки с контаминированными тест-объектами. Через заданное время мешочки извлекают одновременно из трех слоев. Тест-объекты вынимают из мешочка стерильным пинцетом, помещают на 5 мин в емкость с раствором соответствующего нейтрализатора, затем переносят в стерильную питьевую воду и высевают в бульон Хоттингера (pH 7,2). Посевы инкубируют при температуре плюс (37 +/- 1) °C в течение 48 ч. Предварительный учет результатов проводят через 48 ч, а окончательный - через 21 сутки. В контрольных опытах белье погружают в стерильную питьевую воду. Мешочки с тестами закладывают так же, как и в опыте. При получении 100% гибели тест-микроорганизма в опытах по обеззараживанию белья без белковых загрязнений переходят к опытам по обеззараживанию белья, загрязненного выделениями.
3.6.20.4. Для определения эффективности средства при обеззараживании белья, одежды, спецодежды и др. объектов из ткани, загрязненных кровью, выделениями (фекалии, мокрота, моча и др.), в лабораторных условиях используют бязевые тест-объекты, которые контаминируют (из расчета 30 см3 суспензии на 10 тест-объектов) тестовой суспензией спор тест-микроорганизма с добавлением 40% инактивированной сыворотки (6 см3 суспензии, содержащей 2·109 спор тест-микроорганизма, смешивают с 4 см3 инактивированной сыворотки) или 40% фекальной эмульсии (6 см3 суспензии спор тест-микроорганизма смешивают с 4 см3 40% фекальной эмульсии). Для приготовления фекальной эмульсии 8 г фекалий растирают в ступке с 20 см3 воды. Количество суспензии спор тест-микроорганизма, содержащей сыворотку или фекалии, готовят из расчета 30 см3 на 10 тест-объектов. Контаминированные тест-объекты подсушивают в термостате при температуре плюс (37 +/- 1) °C в течение 20 - 25 мин или 1,5 - 2 ч при комнатной температуре до полного высыхания. Методика проведения эксперимента аналогична опытам с чистым бельем.
3.6.20.5. Критерием эффективности средства при обеззараживании белья, одежды, спецодежды и др. объектов из тканей является 100% гибель спор тест-микроорганизмов на тест-объектах.
3.6.20.6. При изучении эффективности обеззараживания изделий из синтетических тканей (капрон, ацетат, периацетат, лавсан и др.) используют тест-объекты из этих тканей размером 5 x 5 см, т.к. микроорганизмы не проникают в структуру этих тканей и смываемость их в 2 раза больше, чем с батистовых тест-объектов.
3.6.21. Метод исследования спороцидной эффективности камерного метода обеззараживания.
3.6.21.1. Для обеззараживания одежды, обуви, постельных принадлежностей, мягких игрушек и др. используют дезинфекционные камеры.
3.6.21.2. В качестве тест-микроорганизма используют B. cereus в виде суспензии, содержащей 2·109 спор/см3, которой контаминируют тест-объекты из батиста, бязи и др. материалов, соответствующих обеззараживаемым объектам. Контаминированные тест-объекты закладывают в стерильные конверты из хлопчатобумажной ткани (по 2 тест-объекта в конверт). Пронумерованные тест-объекты помещают в хлопчатобумажные мешочки с максимальными термометрами и размещают в толще объектов в контрольные точки камеры на трех уровнях.
3.6.21.3. После дезинфекции мешочки извлекают из камеры и записывают показания максимальных термометров, а тест-объекты помещают в пробирки с 5 см3 питательного бульона.
3.6.21.4. Инкубирование посевов с тест-объектами проводят при температуре плюс (37 +/- 1) °C в течение 21 суток при использовании питательного бульона (бульон Хоттингера, СПБ, МПБ). Предварительный учет результатов проводят через 24 - 72 ч, окончательный - через 21 сутки. Для установления эффективности обработки проводят не менее трех экспериментов на каждое время обработки. При наличии роста микроорганизмов проводят сравнение выросшей культуры с тест-микроорганизмом.
3.6.21.5. В качестве контроля используют контаминированные тест-объекты, которые не помещали в камеру. Контрольные посевы выращивают с использованием тех же питательных сред, что и для опытных тест-образцов. Контрольные посевы и среду контролируют аналогично тест-объектам, которые обрабатывали в камере. Для установления эффективности обработки проводят не менее трех экспериментов на каждое время обработки.
3.6.21.6. Контролем эффективности режима обеззараживания вещей в испытуемых дезинфекционных камерах является 100% гибель спор тест-микроорганизмов.
3.6.22. Исследование спороцидной эффективности дезинфицирующих средств, предназначенных для обеззараживания воды.
3.6.22.1. Методы распространяются на изучение спороцидной эффективности химических средств при обеззараживании питьевой и природной воды, содержащей или подозрительной на содержание возбудителя сибирской язвы.
3.6.22.2. При определении спороцидной эффективности средств в качестве тест-объектов используют водопроводную (дехлорированную), колодезную, речную и др. воду. Водопроводную воду дехлорируют нагреванием до температуры плюс 50 - 60 °C с последующим выдерживанием в течение одних суток при комнатной температуре. Определяют физико-химические свойства питьевой дехлорированной воды и образцов природных вод. Кроме того, в последних определяют микробиологические показатели (общее микробное число и общее количество колиформных бактерий).
3.6.22.3. В качестве тест-микроорганизмов для контаминации исследуемых проб воды используют споровую культуру B. cereus (штамм ATCC 10876) или вакцину СТИ-1 для людей. Вирулентную культуру возбудителя сибирской язвы в этих целях использовать не разрешается из-за сложности соблюдения противоэпидемических мер.
3.6.22.4. Контаминацию изучаемых образцов воды проводят путем внесения споровой культуры B. cereus (штамм ATCC 10876) в виде суспензии, содержащей 108 спор/см3, а вакцину СТИ-1 - в виде суспензии, приготовленной разведением содержимого одной ампулы вакцины в 10 см3 стерильного физиологического раствора или стерильной водопроводной воды до содержания 108 - 109 спор/см3.
3.6.22.5. При постановке экспериментов исходную воду наливают в емкости с нижним тубусом объемом 5 - 10 дм3 и вносят в воду вышеуказанные тест-микроорганизмы из расчета 105 - 106 спор/дм3. После тщательного перемешивания определяют концентрацию исходной контаминации воды. Для этого из емкостей отбирают 1 - 3 пробы воды объемом 3 - 5 см3. Из каждой пробы делают по 3 - 4 последовательных десятикратных разведения стерильным физиологическим раствором или стерильной питьевой водой, в которых затем определяют количество тест-микроорганизма в 1 см3 пробы воды методом мембранной фильтрации.
3.6.22.6. Метод основан на концентрировании микроорганизмов из определенного объема анализируемой воды путем фильтрования через мембранные фильтры, выращивании посевов при температуре плюс (37 +/- 1) °C на плотной питательной среде и подсчете количества тест-микроорганизмов в единице объема воды.
3.6.22.7. Используют мембранные фильтры для микробиологических целей с диаметром пор не более 0,45 мкм и размером диска 35 или 47 мм или другие фильтрующие мембраны с аналогичной способностью фильтрации, имеющие сертификат качества. Мембранные фильтры готовят к анализу в соответствии с указаниями производителя.
3.6.22.8. Фильтрование воды проводят с помощью прибора для мембранной фильтрации. Стакан (воронку) и столик прибора перед анализом воды завертывают в бумагу и стерилизуют в паровом или воздушном стерилизаторе. На нижнюю часть прибора (столик) кладут фламбированным пинцетом стерильный мембранный фильтр, прижимают его верхней частью прибора (стаканом, воронкой), закрепляют устройством, предусмотренным конструкцией прибора. При соблюдении правил стерильности наливают необходимый объем исследуемой воды и создают вакуум в приемном сосуде.
3.6.22.9. Фильтруют вначале меньшие, а затем большие количества воды через один фильтровальный прибор, каждый раз сменяя мембранный фильтр. После окончания фильтрования определенного количества воды стакан (воронку) снимают и фильтр осторожно приподнимают за край фламбированным пинцетом при сохранении вакуума для удаления излишней влаги на нижней стороне фильтра, а затем переносят его, не переворачивая, на поверхность казеинового или мясопептонного агара в чашках Петри таким образом, чтобы между средой и фильтром не было пузырьков воздуха. Под каждым фильтром на обратной стороне дна чашки Петри делают надпись с указанием объема профильтрованной воды, даты посева и номера пробы. Посевы инкубируют при температуре плюс (37 +/- 1) °C в течение 24 - 48 ч.
3.6.22.10. По окончании инкубации учитывают количество колоний тест-микроорганизма, выросших на фильтрах, и определяют их концентрацию в 1 дм
3 воды по
формуле 3.4:

, где (3.4)
C - количество спор, содержавшихся в 1 дм3 воды;
k - кратность разведения;
v - посеянный объем воды в см3;
N - среднее арифметическое числа колоний, выросших на мембранных фильтрах при посеве одинаковых разведений.
Результат анализа при определении числа спор в исходной воде выражается числом КОЕ в 1 дм3 воды.
3.6.22.11. Для определения эффективности обеззараживания спороцидным средством в емкость с водой, контаминированной спорами тест-микроорганизмов, вносят средство в изучаемых концентрациях, воду тщательно перемешивают. Через заданные промежутки времени при соблюдении условий стерильности отбирают пробы воды объемом 1 дм3 в стерильные флаконы с внесенным в них стерильным нейтрализатором, подобранным в концентрации, обеспечивающей нейтрализацию действующего агента изучаемого средства.
3.6.22.12. В обеззараженной воде определяют число не погибших спор B. cereus или вакцины СТИ-1 для людей методом мембранной фильтрации. Пробы обеззараженной воды с нейтрализатором должны быть исследованы не позднее чем через 1 ч после их отбора.
3.6.22.13. На начальных этапах изучения эффективности обеззараживания воды анализируют не менее двух проб, отличающихся по объему в 10 раз и выбранных так, чтобы на одном фильтре выросло не более 300 колоний. На одну чашку Петри можно поместить 3 - 4 фильтра с условием, чтобы они не соприкасались друг с другом. При анализе обеззараженной воды на конечных этапах обеззараживания необходимо исследовать объем не менее 1 дм3, профильтровывая это количество не менее чем через 3 - 4 мембранных фильтра.
3.6.22.14. Посевы инкубируют, как указано выше. Учитывают общее количество выросших колоний на фильтрах после фильтрования 1 дм3 воды. Результат анализа выражают числом спор в 1 дм3 обеззараженной воды.
3.6.22.15. Статистическая обработка результатов микробиологических анализов по оценке эффективности средств обеззараживания воды имеет целью исключить случайные ошибки, оценить отклонения результатов анализа от действительной величины и дать искомые результаты с заданной вероятностью. В процессе статистической обработки результатов экспериментальных исследований рекомендуется использовать при определении уровня контаминации исходной воды тест-микроорганизмами и на промежуточных этапах обработки среднюю арифметическую

, а при оценке эффективности обеззараживания на завершающем этапе - медианное значение (Me).
Количество проб
n, необходимое для действительной оценки результатов микробиологических исследований, определяют по
формуле 3.5:

, где (3.5)

- квадратичное отклонение;
Ip - максимально допустимое отклонение от средней, оцениваемое с вероятностью p = 0,99;
tp - коэффициент, зависящий от числа опытов (не менее 10), по которым определяется величина

.
Если

определяется по данным 16 опытов, то
t0,99 = 2,7. Число проб для оценки содержания микроорганизмов в обеззараженной воде должно быть не менее 16. Оценку результатов микробиологических анализов проводят для заданной вероятности 0,99, соответственно, для того же значения определяют и доверительный интервал средней арифметической и медианы. Доверительный интервал средней арифметической определяют по данным величины квадратичного отклонения

и средней ошибки

.
Величину квадратичного отклонения вычисляют по
формуле 3.6:

, где (3.6)

- сумма квадратов отклонений измерений от средней арифметической;
n - число отдельных измерений.

(3.7)
Вероятности 0,99 отвечает доверительный интервал I, вычисляемый по формуле:

.
Тогда доверительное значение количества микроорганизмов в пробе с вероятностью 0,99 находится в интервале

. Доверительный интервал медианы для требуемого уровня вероятности 0,99 определяют в зависимости от числа проведенных опытов по
таблице, в которой указаны номера опытов, результаты которых учитывают в качестве граничных значений доверительного интервала медианы. Для пользования таблицей необходимо, чтобы результаты опытов были расположены и пронумерованы в порядке возрастания величин.
Таблица 3.8
Граничные значения доверительного интервала медианы
Число опытов | Нижняя граница | Верхняя граница |
7 | - | - |
8 | 1 | 8 |
9 | 1 | 9 |
10 | 1 | 10 |
11 | 1 | 11 |
12 | 2 | 11 |
13 | 2 | 12 |
14 | 2 | 13 |
15 | 3 | 13 |
16 | 3 | 14 |
17 | 3 | 15 |
18 | 4 | 15 |
19 | 4 | 16 |
20 | 4 | 17 |
21 | 5 | 17 |
22 | 5 | 18 |
23 | 5 | 19 |
24 | 6 | 19 |
25 | 6 | 20 |
26 | 7 | 20 |
27 | 7 | 21 |
28 | 7 | 22 |
29 | 8 | 22 |
30 | 8 | 23 |
31 | 8 | 24 |
32 | 9 | 24 |
33 | 9 | 25 |
34 | 10 | 25 |
35 | 10 | 26 |
36 | 10 | 27 |
37 | 11 | 27 |
38 | 11 | 28 |
39 | 12 | 28 |
40 | 12 | 29 |
41 | 12 | 30 |
42 | 13 | 30 |
43 | 13 | 31 |
44 | 14 | 31 |
45 | 14 | 32 |
46 | 14 | 33 |
47 | 15 | 33 |
48 | 15 | 34 |
49 | 16 | 34 |
50 | 16 | 35 |
3.6.22.16. Критерием оценки эффективности средства при обеззараживании воды является отсутствие тест-микроорганизмов в 1 дм3 воды.
3.6.23. Метод исследования спороцидной эффективности средств, предназначенных для обеззараживания выделений (моча, фекалии, мокрота), крови.
3.6.23.1. Обеззараживание мочи. В качестве тест-объекта используют мочу, которую разливают в колбы или пробирки по 8 см3, добавляют по 1 см3 споровой суспензии, содержащей 2·109 спор/см3 тест-микроорганизма, и инактивированной лошадиной сыворотки. Растворы испытываемого средства готовят в концентрациях, обеспечивающих спороцидную активность при испытании его на батистовых тест-объектах с белковой нагрузкой. Испытуемые концентрации растворов средства добавляют к моче в равном или двойном объеме. Отмечают время контакта и через интервалы 15, 30, 60 мин пипеткой берут указанную смесь в количестве 1 см3 и переносят в пробирки с 5 см3 питательной среды (бульон Хоттингера, pH 7,2) и соответствующего нейтрализатора. После тщательного смешивания 1 см3 жидкости из первой пробирки с бульоном переносят во вторую пробирку с бульоном (5 см3) и затем засевают по 0,1 см3 на агар Хоттингера (pH 7,2) в чашках Петри - как из первой, так и из второй пробирки. Чашки Петри инкубируют в термостате при температуре плюс (37 +/- 1) °C. Контролем служат аналогично поставленные опыты, но с добавлением к моче не дезинфицирующего раствора, а воды. Ориентировочный учет результатов проводят через 1 сутки, предварительный - через 5 - 7 суток, окончательный - через 21 сутки. Результаты опытов учитывают по отношению к контролю, который принимают за 100%. Окончательное заключение об эффективности средства делают на основании не менее трех опытов с совпадающими результатами. Эффективным считают средство и режим его применения, обеспечивающие 100% гибель спор тест-микроорганизмов.
3.6.23.2. Обеззараживание фекалий. При разработке режимов обеззараживания фекалий учитывают соотношение дезинфицирующего средства к обеззараживаемой массе, время обработки, температуру, консистенцию обеззараживаемых выделений, степень гомогенизации в процессе обеззараживания. Исследования проводят в два этапа. На первом этапе в качестве тест-объекта используют 20%-ю эмульсию фекалий, на втором - оформленные фекалии. Для приготовления 20%-й эмульсии 20 г фекалий растирают в ступке и добавляют 80 см3 воды; полученную эмульсию фильтруют через двойной слой марли, стерилизуют в автоклаве, разливают пипеткой в пробирки по 9 см3 и добавляют по 1 см3 суспензии тест-микроорганизма, содержащей 2·109 спор/см3. Опыты начинают с концентрации, вызывающей гибель тест-микроорганизма в моче с белком через 30 мин. Приготовленную эмульсию фекалий заливают равным или двойным объемом дезинфицирующего раствора, через 30, 60, 120 мин отбирают пробы и производят высевы так же, как и при обеззараживании мочи. Результаты учитывают через 48 ч. При положительных результатах проводят опыты с большим количеством оформленных фекалий (200 - 250 г). Для этого помещают их в сосуд, заливают дезинфицирующим раствором или засыпают сухими дезинфектантами в равном или двойном количестве по отношению к весу фекалий, определяют визуально, происходит ли гомогенизация фекалий. Затем небольшую часть каловых масс размешивают стеклянной палочкой с жидкостью, а остальную массу оставляют в виде небольших комочков. Через определенные промежутки времени (например, 30, 60 мин) проводят посев. Посев жидкой части фекалий высевают так же, как и мочу. Плотные же части (комочки) забирают бактериологической петлей и помещают в 5 см3 питательной среды с соответствующим нейтрализатором, растерев их о края пробирки и тщательно перемешав. Затем стерильной пипеткой переносят из этой пробирки 1 см3 смеси во вторую пробирку, также содержащую бульон Хоттингера (pH 7,2). Как из первой, так и из второй пробирки производят посев на агар Хоттингера в чашках Петри (не менее чем в три чашки по 0,1 см3). Окончательный результат учитывают через семь суток, а предварительный - через 24 ч. Контролем служат аналогично поставленные опыты с добавлением воды вместо дезинфицирующего раствора. Результаты опытов учитывают по отношению к контролю, который принимают за 100%. Судят об эффективности исследуемого вещества на основании не менее трех опытов с совпадающими результатами. Эффективным считают средство и режим его применения, обеспечивающие 100% гибель спор тест-микроорганизмов в обеззараживаемом материале.
3.6.23.3. Обеззараживание крови и мокроты. В качестве тест-объектов при оценке спороцидной эффективности средств, предназначенных для обеззараживания крови, используют кровь, а мокроты - куриный белок. В качестве тест-микроорганизма используют споры B. cereus (штамм 96). Для контаминации тест-объектов тест-микроорганизмом к 9 см3 40% крови или 50% куриного белка добавляют по 1 см3 суспензии тест-микроорганизма, содержащей 2·109 спор/см3, перемешивают и разливают по 1 см3 в стерильные флаконы. Затем во флаконы засыпают или наливают исследуемое средство в объемных (5%, 10% и т.д.) соотношениях к объему исследуемого материала. Через определенные промежутки времени (1 ч, 3 ч и т.д.) с помощью стерильной бактериологической петли производят отбор пробы смеси и переносят ее в 5 см3 селективной жидкой питательной среды с соответствующим (заранее проверенным по эффективности нейтрализации ДС) нейтрализатором для нейтрализации остаточного действия ДС на споры тест-микроорганизма. По истечении 5 мин экспозиции из этой пробирки с помощью пипетки производят высев по 0,2 см3 исследуемой пробы на агар Хоттингера (pH 7,2) в чашках Петри. Пробирки и чашки с посевами инкубируют при температуре плюс (37 +/- 1) °C. Окончательный результат роста тест-микроорганизмов на чашках учитывают на 3 - 7 сутки, предварительный - через 24 ч, а в пробирках соответственно через 21 сутки и 24 - 48 ч. Эффективным считают средство, обеспечивающее 100% гибель спор тест-микроорганизма в обеззараживаемом материале.
3.6.24. Метод исследования спороцидной эффективности средств, предназначенных для обеззараживания медицинских отходов.
3.6.24.1. При изучении спороцидной активности средств с целью разработки режимов обеззараживания медицинских отходов используют тест-объекты из резин, пластмасс, текстильных материалов, стекла, металлов. Для приготовления тест-объектов стерильные одноразовые медицинские изделия (бинты, ватные тампоны, фрагменты систем для переливания крови и лекарственных препаратов, катетеры, шпатели, шприцы, иглы, перчатки, одноразовое белье, салфетки, пипетки, трубки и пр.) измельчают и погружают в суспензию, содержащую 2·109 спор/см3 B. cereus с 40% инактивированной лошадиной сывороткой или СКРС. После достаточного пропитывания тест-объекты извлекают в сухую стерильную емкость и подсушивают в термостате в течение 20 мин или при комнатной температуре плюс 18 - 20 °C и относительной влажности воздуха 50 - 60% в течение 1 ч.
3.6.24.2. Контаминированные тест-объекты погружают в емкость с испытуемым дезинфицирующим раствором так, чтобы он полностью закрывал их. Контроль эффективности обеззараживания тест-объектов проводят через каждые 15 - 30 мин в течение времени от 30 до 360 мин. Для этого тест-объекты из различных материалов (по два каждого наименования) извлекают из дезинфицирующего раствора, промывают в растворе соответствующего нейтрализатора и помещают в пробирки с жидкой питательной средой. Контрольные тест-объекты погружают на срок максимальной экспозиции в стерильную водопроводную воду, а затем в жидкую питательную среду. Пробирки с посевами помещают в термостат при температуре плюс (37 +/- 1) °C. Учет результатов проводят в течение 21 суток.
3.6.24.3. Критерий эффективности обеззараживания медицинских отходов - 100% гибель спор тест-микроорганизма на тест-объектах, обработанных средством.
3.6.25. Методы исследования и оценки спороцидной активности дезинфицирующих средств при использовании в качестве тест-микроорганизмов вирулентных штаммов B. anthracis.
3.6.25.1. При использовании в качестве тест-микроорганизмов спор непатогенных штаммов (B. cereus, B. subtilis, сибиреязвенная живая сухая вакцина СТИ-1 и др.) спороцидную активность средств определяют только культуральным методом, а при использовании вирулентных тест-микроорганизмов B. anthracis - одновременно культуральным и биологическим. При культуральном методе результаты исследований оценивают по росту тест-микроорганизмов на питательных средах до и после действия средства, а при биологическом - по гибели белых мышей от возбудителя сибирской язвы.
3.6.25.2. Трудность соблюдения противоэпидемических мероприятий при использовании вирулентных штаммов B. anthracis не позволяет использовать его для определения эффективности обеззараживания многих объектов (воды, воздуха, камерного метода обеззараживания вещей и др.), поэтому для изучения спороцидной активности и эффективности средств при обеззараживании всех объектов, являющихся факторами передачи возбудителя сибирской язвы, рекомендуется использовать непатогенные тест-микроорганизмы.
3.6.25.3. После установления спороцидной активности средства культуральным методом, применяя вышеуказанные непатогенные тест-микроорганизмы, целесообразно проводить исследования культуральным и биологическим методами, используя B. anthracis, т.к. биологический метод позволяет отличить спороцидное действие средства от споростатического, даже при отсутствии полной нейтрализации ДВ средства химическими нейтрализаторами.
3.6.25.4. Спороцидная эффективность средства с использованием спор вирулентных штаммов B. anthracis может быть изучена на следующих контаминированных тест-объектах: поверхности в помещениях, мебели, аппаратов, приборов, санитарно-технического оборудования, транспортных средств; медицинских изделий; предметов ухода за больными; посуды, включая столовую, лабораторную и из-под выделений; белья, спецодежды и др. объектов из тканей; изделий из резины, в т.ч. перчаток, сапог, фартуков и др.; выделений (фекалий, мочи), медицинских отходов. Исследования проводят при соблюдении правил безопасности, предусмотренных требованиями нормативных документов, в специализированных лабораториях, имеющих разрешения на работу с вирулентными штаммами возбудителя сибирской язвы, соответствующее оборудование и подготовленный персонал <8>.
--------------------------------
<8>
СП 1.3.3118-13 "Безопасность работы с микроорганизмами I - II групп патогенности (опасности)".
3.6.25.5. Методика исследования спороцидной активности средств при работе с
B. anthracis. В качестве тест-микроорганизмов используют вирулентные штаммы
B. anthracis (штамм. 81/1 и 27, имеющие плазмиды pX01
+ и pX02
+), единичные клетки которых при внутрибрюшинном введении вызывают гибель биопробных животных. Характеристика штаммов, устойчивость, питательные среды для культивирования приведены в
табл. 3.5 и
3.6.
3.6.25.6. Методы получения суспензии спор вирулентных штаммов
B. anthracis, обеспечение стандартных условий проведения исследований спороцидной активности средств и их субстанций, исследования спороцидной активности и эффективности при разработке режимов применения средств для обеззараживания объектов внешней среды, контаминированных тест-микроорганизмами в споровой форме, изложены в
п. 3.6.15.
3.6.25.7. При контроле спороцидного действия средства на споры вирулентных штаммов B. anthracis ДВ необходимо сразу после окончания экспозиции нейтрализовать соответствующим нейтрализатором с последующим высевом на плотные и/или жидкие питательные среды (как изложено в предыдущих разделах).
3.6.25.8. Одновременно часть пробы исследуют при постановке биопробы, используя белых мышей весом 10 - 12 г в количестве 6 штук на постановку одной биопробы. Подготовленную и использованную пробу вводят внутрибрюшинно белым мышам в объеме 0,2 см3 каждой. Параллельно проводят контрольные заражения животных раствором нейтрализатора (контроль отсутствия губительного действия нейтрализатора на белых мышей) и суспензией интактных (не подвергшихся воздействию средства) спор вирулентных штаммов B. anthracis в заражающих дозах (контроль вирулентного действия использованной суспензии спор возбудителя). Животных в контрольных группах должно быть не менее 3.
3.6.25.9. Наблюдения за животными проводят в течение 48 - 96 ч; павших и выживших мышей вскрывают, делают посев из органов животных на агар Хоттингера (pH 7,0) для выделения возбудителя сибирской язвы.
3.6.25.10. Посевы подготовленных проб из органов животных инкубируют при температуре плюс (37 +/- 1) °C в течение 48 - 96 ч. Идентифицируют и подсчитывают выросшие колонии B. anthracis.
3.6.25.11. Эффективным считается средство, после воздействия которого в установленных режимах не обнаружены жизнеспособные клетки вирулентных тест-микроорганизмов B. anthracis при исследовании культуральным методом и нет павших животных в опытной группе, а в контрольных пробах получен высев из органов животных патогенного тест-микроорганизма (B. anthracis).
3.7. Исследование эффективности дезинфицирующих средств,
предназначенных для обеззараживания питьевой воды, воды
плавательных бассейнов и сточных вод
3.7.1. Методы распространяются на исследования химических средств для обеззараживания питьевой воды централизованного водоснабжения, индивидуальных и групповых запасов питьевой воды, воды плавательных бассейнов, сточных вод. Обеззараженная питьевая вода должна соответствовать требованиям к качеству воды централизованных и нецентрализованных систем хозяйственно-питьевого водоснабжения; вода плавательных бассейнов - требованиям к качеству воды плавательных бассейнов; сточная вода - действующим требованиям к качеству воды сточной воды <9>.
--------------------------------
<9>
СанПиН 2.1.4.1074-01 "Питьевая вода. Гигиенические требования к качеству воды централизованных систем питьевого водоснабжения. Контроль качества. Гигиенические требования к обеспечению безопасности систем горячего водоснабжения";
СанПиН 2.1.2.1188-03 "Плавательные бассейны. Гигиенические требования к устройству, эксплуатации и качеству воды. Контроль качества";
СанПиН 2.1.5.980-00 "Гигиенические требования к охране поверхностных вод".
3.7.1.1. Средства для обеззараживания питьевой воды должны обеспечивать гибель в воде тест-микроорганизмов при их исходной концентрации:
- бактерий, не образующих споры, 105 - 106 КОЕ/дм3;
- вирусов 105 - 106 УЕ/дм3;
| | ИС МЕГАНОРМ: примечание. В официальном тексте документа, видимо, допущена опечатка: п. 3.6.3.10 отсутствует. | |
- бактерий в споровой форме не менее 105 - 106 спор/дм3 (при необходимости - в зависимости от назначения средства, п. 3.6.3.10.).
3.7.1.2. Средства для обеззараживания воды плавательных бассейнов должны обеспечивать гибель в воде тест-микроорганизмов при исходной концентрации при разработке режимов для постоянного обеззараживания воды в присутствии посетителей:
- бактерий, не образующих споры, 102 - 103 КОЕ/дм3;
- вирусов 102 - 103 УЕ/дм3.
При разработке режимов для обеззараживания воды во время продолжительного перерыва в работе бассейна (более 2 ч):
- бактерий, не образующих споры, 105 - 106 КОЕ/дм3;
- вирусов 105 - 106 УЕ/дм3.
3.7.1.3. Средства для обеззараживания сточной воды должны обеспечивать гибель в воде тест-микроорганизмов при их исходной концентрации:
- бактерий, не образующих споры, 108 - 109 КОЕ/дм3;
- вирусов 107 - 108 УЕ/дм3;
- микобактерий туберкулеза не менее 10
5 - 10
6 спор/дм
3 (при необходимости - в зависимости от назначения средства, см.
п. 3.3.).
3.7.2. Тест-микроорганизмы.
3.7.2.1. В качестве тест-микроорганизмов при изучении средств обеззараживания питьевой воды используют культуры:
- Escherichia coli (штамм ATCC M17-02);
- Salmonella typhimurium (штамм ATCC 13311);
- РНК-содержащий колифаг MS2.
3.7.2.2. В качестве тест-микроорганизмов при изучении средств обеззараживания воды плавательных бассейнов используют культуры:
- Escherichia coli (штамм ATCC M17-02),
- Staphylococcus aureus (штамм ATCC 6538-P);
- РНК-содержащий колифаг MS2.
3.7.2.3. В качестве тест-микроорганизмов при изучении средств обеззараживания сточной воды используют культуры:
- Escherichia coli (штамм ATCC M17-02);
- Salmonella typhimurium (штамм ATCC 13311);
- Enterococcus faecalis (штамм ATCC 29212);
- Mycobacterium terrae (штамм DSM 43227);
- РНК-содержащий колифаг MS2.
3.7.2.4. При исследовании дезинфицирующих средств, рекомендуемых для обеззараживания воды впервые, спектр исследуемых микроорганизмов может быть дополнительно расширен, например, за счет E. faecalis, C. albicans, Legionella pneumophila, Poliovirus и др.
3.7.3. Методика постановки экспериментов.
3.7.3.1. В качестве исходной воды используют водопроводную, сточную или природную воду (колодезную, речную), показатели качества которой соответствуют назначению испытываемого дезинфицирующего средства. Водопроводную воду перед использованием дехлорируют нагреванием при температуре 50 - 60 °C с последующим выдерживанием в течение одних суток. В образцах природной и сточной воды определяют общее микробное число и общие колиформные бактерии.
3.7.3.2. Исходную воду наливают в емкости с нижним тубусом объемом 5 - 10 дм3 и контаминируют культурами тест-микроорганизмов.
3.7.3.3. После внесения расчетной дозы микроорганизмов воду тщательно перемешивают и отбирают пробы для определения концентрации исходного заражения воды микроорганизмами.
3.7.3.4. Концентрацию исходного заражения воды бактериями определяют следующим образом. Из емкости отбирают 1 - 3 пробы воды (в зависимости от объема емкости) по 3 - 5 см3. Из каждой пробы делают по 3 - 4 последовательных десятикратных разведения в стерильном физиологическом растворе или стерильной водопроводной воде, в которых затем определяют число бактерий в 1 см3 пробы воды методом мембранной фильтрации.
3.7.3.5. Сущность метода заключается в концентрировании микроорганизмов из определенного объема анализируемой воды путем фильтрования через мембранные фильтры, выращивании посевов в оптимальных для данного микроорганизма условиях и в подсчете количества бактерий в единице объема воды. Используют мембранные фильтры для микробиологических целей с диаметром пор не более 0,45 мкм и размером диска 35 или 47 мм или другие фильтрующие мембраны с аналогичной способностью фильтрации, имеющие сертификат качества. Мембранные фильтры готовят к анализу в соответствии с указаниями производителя.
3.7.3.6. Фильтрование воды проводят под вакуумом с помощью прибора для мембранной фильтрации с диаметром фильтрующей поверхности 35 или 47 мм с устройством для создания разрежения (0,5 - 1,0) атм. Воронку и столик прибора перед анализом воды стерилизуют в паровом или воздушном стерилизаторе. На нижнюю часть прибора (столик) кладут фламбированным пинцетом стерильный мембранный фильтр, прижимают его верхней частью прибора (стаканом, воронкой), закрепляют устройством, предусмотренным конструкцией прибора, наливают при соблюдении правил стерильности необходимый объем воды и создают вакуум в приемном сосуде. Фильтруют сначала меньшие, затем большие объемы воды через один фильтровальный прибор, сменяя каждый раз фильтры. После окончания фильтрования стакан (воронку) снимают, фильтр осторожно приподнимают за край фламбированным пинцетом при сохранении вакуума для удаления излишней влаги на нижней стороне фильтра, а затем переносят его, не переворачивая, на плотную питательную среду в чашку Петри так, чтобы между средой и фильтром не было пузырьков воздуха.
3.7.3.7. Для посева бактерий
E. coli используют питательный агар Эндо;
S. aureus,
S. typhimurium,
E. faecalis - казеиновый агар, ГРМ или МПА. Под каждым фильтром на обратной стороне дна чашки Петри делают надпись с указанием объема профильтрованной воды, даты посева и номера пробы. Посевы с
E. coli,
S. aureus,
S. typhimurium,
E. faecalis инкубируют при температуре плюс (37 +/- 2) °C в течение 24 - 48 ч. По окончании инкубации учитывают количество выросших на фильтрах колоний и определяют концентрацию тест-микроорганизмов в 1 дм
3 воды по
формуле 3.8:

, где (3.8)
C - количество тест-микроорганизмов, содержащихся в 1 дм3 воды;
K - кратность разведения;
V - посеянный объем в см3;
N - среднее арифметическое числа колоний, выросших на мембранных фильтрах при высевах одинаковых разведений.
Результат анализа при определении числа бактерий выражают числом КОЕ в 1 дм3 воды.
3.7.3.8. Концентрацию исходного заражения воды колифагом MS2 определяют следующим образом. При исходной концентрации колифага на уровне 105 - 106 БОЕ/дм3 из емкости отбирают пробу воды объемом 5 - 10 см3. Готовят 3 - 4 последовательных десятикратных разведения в стерильном физиологическом растворе или стерильной водопроводной воде. По 1 см3 из каждого разведения вносят в чашки Петри и заливают смесью питательного агара и взвеси культуры E. coli K12 F+ StrR из расчета 1 см3 взвеси на 100 см3 агара. Посевы инкубируют при температуре плюс (37 +/- 1) °C. Через 18 - 24 ч инкубации подсчитывают количество бляшек на чашках. Учету подлежат чашки, на которых отмечается рост 30 - 100 негативных колоний фага. Подсчитывают число негативных колоний на 2 - 3 чашках с наиболее характерным и четким ростом. По этим данным определяют среднее число колоний, которое умножают на величину наибольшего разведения. При исходной концентрации колифага на уровне 102 - 103 БОЕ/дм3 из емкости отбирают пробу воды объемом 150 - 200 см3. Готовят десятикратное разведение в стерильном физиологическом растворе или стерильной водопроводной воде. Колифаг определяют в 1 см3 из десятикратного разведения, а также в 1, 10 и 100 см3 исходной зараженной воды.
3.7.3.9. Посев 10 см3 исходной воды осуществляют следующим образом. 10 см3 исходной воды вносят в питательный агар двойной концентрации, расплавленный и остуженный до 45 - 49 °C, добавляют смыв E. coli K12 F+ StrR из расчета 2 см3 смыва (или 4 см3 4-часовой бульонной культуры) на каждые 100 см3 агара, перемешивают. Чашки с посевами оставляют при комнатной температуре до застывания. Чашки с застывшим агаром помещают дном вверх в термостат и инкубируют при температуре плюс (37 +/- 1) °C в течение 18 +/- 2 ч.
3.7.3.10. Посев 100 см3 исходной воды осуществляют следующим образом. В питательный агар двойной концентрации, расплавленный и остуженный до 45 - 49 °C, добавляют смыв E. coli K12 F+ StrR из расчета 2 см3 смыва (или 4 см3 4-часовой бульонной культуры) на каждые 100 см3 агара, перемешивают. Исследуемые 100 см3 воды разливают по 20 см3 в большие пробирки, нагревают до 35 - 40 °C и немедленно (не более чем через 5 мин по достижении требуемой температуры) разливают в 5 чашек Петри и сразу же вносят в каждую чашку по 20 см3 смеси агара с культурой E. coli K12 F+ StrR, осторожно перемешивают.
3.7.3.11. Для контроля культуры E. coli K12 F+ StrR в одну чашку Петри вносят 20 см3 стерильной водопроводной воды, предварительно прогретой до плюс 35 - 44 °C, заливают 20 см3 приготовленного агар с E. coli K12 F+ StrR и осторожно перемешивают.
3.7.3.12. Чашки с посевами оставляют при комнатной температуре до застывания. Затем чашки с застывшим агаром помещают дном вверх в термостат и инкубируют при температуре плюс (37 +/- 1) °C в течение 18 +/- 2 ч. Учет результатов проводят путем подсчета и суммирования бляшек, выросших на 5 чашках Петри. Результаты выражают в бляшкообразующих единицах (БОЕ) на 100 см3 пробы воды. В контрольной чашке бляшки должны отсутствовать. По результатам определения числа частиц колифага в 1, 10 и 100 см3 исходной воды рассчитывают исходное заражение воды колифагом и выражают его в БОЕ/дм3.
3.7.3.13. Для обеззараживания воды в емкость с зараженной водой вносят в необходимых концентрациях средство и тщательно перемешивают. Через заданные промежутки времени при соблюдении условий стерильности отбирают пробы воды объемом 1 дм3 в стерильные флаконы с внесенным в них нейтрализатором, подобранным в соответствии с рецептурой дезинфицирующего средства, и определяют микробиологические показатели обеззараженной воды. Пробы воды должны быть исследованы не позднее чем через 1 ч после их отбора. При условии хранения проб в холодильнике при температуре плюс 1 - 5 °C допускается проводить анализ не позже чем через 6 ч после отбора проб.
3.7.3.14. Число бактерий культур S. aureus, E. coli, S. typhimurium, E. faecalis в обеззараженной воде определяют методом мембранной фильтрации.
3.7.3.15. На начальных этапах обеззараживания воды анализируют не менее двух проб воды, отличающихся по объему в 10 раз и выбранных таким образом, чтобы на одном из фильтров выросло не более 300 колоний. На одну чашку можно поместить 3 - 4 фильтра с условием, чтобы фильтры не касались друг друга. При анализе воды на конечных этапах обеззараживания исследуют объем не менее 1 дм3, профильтровывая это количество не менее чем через 3 - 4 фильтра.
3.7.3.16. Посевы инкубируют, после чего учитывают количество выросших колоний на фильтрах, результат анализа выражают числом бактерий в 1 дм3 воды.
3.7.3.17. Определение числа частиц колифага MS2 в обработанной воде в пробах объемом 1 дм
3 проводят методом обогащения. Для этого пробу обеззараженной воды объемом 1 дм
3 разливают в стерильные флаконы по 500, 200, 100, 50 и 20 см
3, добавляют 10% десятикратного питательного бульона для колифагов и суспензию суточной культуры
E. coli K12 F
+ Str
R. После инкубирования при температуре плюс (37 +/- 1) °C в течение 18 - 24 ч жидкость разливают в пробирки, встряхивают с хлороформом для устранения бактериальной флоры и определяют число частиц колифага MS2. Для этого по 1 см
3 из каждой пробирки вносят в чашки Петри и заливают смесью питательного агара и взвеси культуры
E. coli K12 F
+ Str
R из расчета 1 см
3 взвеси на 100 см
3 агара. Посевы инкубируют при температуре плюс (37 +/- 1) °C. Через 18 - 24 ч инкубации подсчитывают число бляшек на чашках. В зависимости от того, в каком из объемов выявлен рост колифага, вычисляют наиболее вероятное число фаговых частиц в 1 дм
3 воды, пользуясь
табл. 3.9.
Таблица 3.9
Расчет числа фаговых частиц при определении титра фага
в 1 дм3 воды методом обогащения
Присутствие фага после инкубации в пробах воды объемом, см3 | Число БОЕ в 1 дм3 воды |
500 | 200 | 100 | 50 | 20 |
- | - | - | - | - | 0 |
+ | - | - | - | - | 2 |
+ | + | - | - | - | 5 |
+ | + | + | - | - | 10 |
+ | + | + | + | - | 20 |
+ | + | + | + | + | >= 50 |
3.7.3.18. При необходимости проведения анализа для определения качества питьевой воды, воды плавательных бассейнов или сточных вод исследования выполняют в соответствии с действующими методическими рекомендациями.
3.7.4. Статистическая обработка и оценка результатов микробиологических исследований.
3.7.4.1. Статистическая обработка результатов микробиологических анализов по оценке эффективности способов и средств обеззараживания воды имеет целью исключить случайные ошибки, оценить отклонение результатов анализов от действительной величины и дать искомые результаты с заданной вероятностью. Случайные ошибки бактериологических анализов, как правило, распределены по нормальному закону, поэтому в процессе статистической обработки результатов экспериментальных исследований рекомендуется использовать при определении концентрации заражения исходной воды и на промежуточных этапах обработки среднюю арифметическую (x), а при оценке эффективности обеззараживания воды на завершающем этапе - медианное значение (Me).
Количество проб
n, необходимых для действительной оценки результатов микробиологических исследований, определяют по
формуле 3.9:

, где (3.9)

- квадратичное отклонение;
Ip - максимальное допустимое отклонение от средней, оцениваемое с вероятностью p = 0,99;
tp - коэффициент, зависящий от числа опытов (не менее 10), по которым определялась величина

.
Если

определяется по данным 16 опытов, то
t0,99 = 2,7.
3.7.4.2. Число проб для оценки содержания микроорганизмов в обеззараженной воде должно быть не менее 16.
3.7.4.3. Оценку результатов бактериологических анализов проводят для заданной вероятности 0,99, соответственно для того же значения определяют доверительный интервал средней арифметической и медианы.
Доверительный интервал средней арифметической определяют по данным величины квадратичного отклонения

и средней ошибки

.
Величину квадратичного отклонения вычисляют по
формуле 3.10:

, где (3.10)

- сумма квадратов отклонений результатов отдельных измерений от средней арифметической;
n - число отдельных измерений.

(3.11)
Вероятности 0,99 отвечает доверительный интервал
I, вычисляемый по
формуле 3.12:

(3.12)
3.7.4.4. Доверительный интервал медианы (медианного значения) для требуемого уровня вероятности 0,99 определяют в зависимости от числа проведенных опытов по
табл. 3.10, в которой указаны номера опытов, результаты которых учитывают в качестве граничных значений доверительного результата медианы.
Таблица 3.10
Граничные значения доверительного интервала медианы
Число опытов | Нижняя граница | Верхняя граница |
7 | - | - |
8 | 1 | 8 |
9 | 1 | 9 |
10 | 1 | 10 |
11 | 1 | 11 |
12 | 2 | 11 |
13 | 2 | 12 |
14 | 2 | 13 |
15 | 3 | 13 |
16 | 3 | 14 |
17 | 3 | 15 |
18 | 4 | 15 |
19 | 4 | 16 |
20 | 4 | 17 |
21 | 5 | 17 |
22 | 5 | 18 |
23 | 5 | 19 |
24 | 6 | 19 |
25 | 6 | 20 |
26 | 7 | 20 |
27 | 7 | 21 |
28 | 7 | 22 |
29 | 8 | 22 |
30 | 8 | 23 |
31 | 8 | 24 |
32 | 9 | 24 |
33 | 9 | 25 |
34 | 10 | 25 |
35 | 10 | 26 |
36 | 10 | 27 |
37 | 11 | 27 |
38 | 11 | 28 |
39 | 12 | 28 |
40 | 12 | 29 |
41 | 12 | 30 |
42 | 13 | 30 |
43 | 13 | 31 |
44 | 14 | 31 |
45 | 14 | 32 |
46 | 14 | 33 |
47 | 15 | 33 |
48 | 15 | 34 |
49 | 16 | 34 |
50 | 16 | 35 |
Для пользования
табл. 3.10 необходимо, чтобы результаты опытов были расположены и пронумерованы в порядке возрастания их величин.
3.7.4.5. Показателем эффективности средств, предназначенных для обеззараживания воды, является 100% снижение обсемененности воды, контаминированной тест-микроорганизмами, т.е. отсутствие тест-микроорганизмов в 1 дм3 обеззараженной воды.
3.8. Методы исследования активности антимикробных материалов
(тканей, лакокрасочных покрытий)
Исследование активности антимикробных материалов проводят комплексно с использованием методов "агаровых пластин", "капельного заражения" и суспензионного метода.
3.8.1. Исследование активности антимикробных тканей проводят на всех этапах разработки антимикробной ткани - от лабораторного до серийного выпуска продукции. При оценке антимикробной активности тканей контролем служат образцы тканей тех же артикулов, не содержащие антимикробных веществ. Для определения антимикробной активности тканей в зависимости от целевого назначения используют следующие тест-микроорганизмы: S. aureus, E. coli, M. terrae, T. mentagrophytes. В зависимости от предполагаемой области применения антимикробных покрытий перечень тест-микроорганизмов может быть расширен (C. albicans, A. brasiliensis, Poliovirus и Adenovirus).
3.8.1.1. Метод "агаровых пластин" дает качественную оценку антимикробной активности исследуемых образцов, т.к. он позволяет определить наличие или отсутствие антимикробного эффекта. Методически он может быть выполнен двумя способами.
Способ N 1. Растопленный на водяной бане и охлажденный до плюс 45 °C питательный агар (100 см3) смешивают с 1 см3 взвеси тест-микроорганизма, содержащей 108 КОЕ/см3, и разливают в чашки Петри по 20 см3. На поверхность застывшего агара накладывают тест-образцы испытываемой ткани размером 2 x 2 см. Чашки помещают в термостат при плюс 28 °C или плюс (37 +/- 1) °C в зависимости от вида тест-микроорганизма. Учет результатов антимикробной активности в отношении S. aureus и E. coli проводят через 24 - 48 ч, в отношении M. terrae - через 14 - 21 суток, в отношении T. mentagrophytes - через 21 - 28 суток, определяя величину зон задержки роста микроорганизмов путем измерения расстояния от края тест-образца до границы роста микроорганизмов вокруг теста.
Способ N 2. К 16-часовой бульонной культуре E. coli или S. aureus добавляют 0,9% раствор поваренной соли в соотношении 1 : 2. В стерильные чашки Петри наливают 12 см3 питательного агара; после застывания на его поверхности равномерно распределяют шпателем 0,1 см3 приготовленной взвеси тест-культур; затем сверху помещают тест-образцы ткани размером 2 x 2. Выращивание тест-культур и учет результатов проводят как в первом способе.
Критерии лабораторной оценки эффективности антимикробных тканей. Антимикробные ткани, исследованные методом "агаровых пластин", считают эффективными, если под тест-образцом отсутствует рост тест-микроорганизма и зона задержки роста тест-микроорганизмов составляет от 0 до 1 мм.
3.8.1.2. Метод "капельного заражения". Определение антимикробной активности текстильных материалов с использованием капельного заражения образцов позволяет провести количественную оценку антимикробной активности исследуемой ткани. На тест-образец размером 2 x 2 см наносят пипеткой 0,1 см3 суспензии 18-часовой культуры тест-микроорганизма E. coli или S. aureus. В указанном объеме суспензии должно содержаться 104 КОЕ. После экспозиции в течение 10, 20, 30, 40, 50 и 60 мин тест-образцы отмывают в течение 5 мин в пробирках с бусами и 10 см3 стерильной водопроводной воды или нейтрализатора и засевают в чашки Петри в толщу МПА по 0,5 и 1,0 см3. Учет результатов проводят через 24 - 48 ч. Сравнивают количество выросших микроорганизмов в посевах смывной жидкости с антимикробных и контрольных образцов, высчитывают процент гибели тест-микроорганизмов. Снижение числа тест-микроорганизмов при капельном способе заражения антимикробных тканей должно достигать не менее 90%.
3.8.1.3. Суспензионный метод. Позволяет определить зависимость антимикробной активности от микробной нагрузки. В пробирки с 1 см3 МПБ, содержащие 10-кратно уменьшающееся количество клеток (109, 108, 107, 106, 104, 103 мк/см3) тест-культур, помещают тест-образец размером 1 см2. Учет результатов производят после 24 ч инкубации при плюс (37 +/- 1) °C, констатируя отсутствие роста в пробирках с максимальным числом внесенных клеток тест-культур. При определении эффективности антимикробных тканей суспензионным методом не должно быть роста микроорганизмов в пробирках с образцами опытных тканей, микробная нагрузка которых не ниже 105 мк/см3, при наличии роста во всех разведениях с контрольными образцами. Антимикробная активность тканей не должна снижаться при многократных (не менее 10) стирках более чем на 15%.
3.8.1.4. Исследование вирулицидной активности антимикробных тканей, лакокрасочных материалов. При определении вирулицидной активности антимикробных тканей выбор тест-вируса и тест-объекта зависит от назначения и сферы применения, например, марлевые повязки для защиты верхних дыхательных путей профессионального контингента (медицинские работники, продавцы в супермаркетах и др.) или изготовление спецодежды и пр. С этой целью на тест-объекты (по два на каждое разведение) из исследуемой ткани размером 2 x 2 см капельно наносят по 0,05 см3 ВС. Через 30 с, 1, 3, 5, 10, 15, 30, 60 мин тест-объекты переносят в широкогорлые пробирки с бусами и с 5 см3 нейтрализатора, отмывают в шуттель-аппарате в течение 10 мин. Смывной жидкостью заражают культуру клеток. Культуру клеток, отмытую от ростовой среды, оставляют на контакт на 30 - 60 мин для адсорбции вируса. Затем клетки промывают раствором по типу Хенкса и заливают поддерживающей средой с сывороткой. Клетки инкубируют в термостате при оптимальной для конкретного вируса температуре. В контроле используют тест-объекты из ткани того же артикула, но не содержащей противовирусных веществ. Критерии вирулицидной активности - снижение титра вируса не менее чем на 4 log10.
3.8.2. Исследование антимикробной активности лакокрасочных покрытий проводят с использованием метода капельного нанесения тест-микроорганизмов. В качестве тест-микроорганизмов используют E. coli и S. aureus. В зависимости от предполагаемой области применения антимикробных покрытий перечень тест-микроорганизмов может быть расширен (M. terrae, C. albicans, A. brasiliensis, Poliovirus и Adenovirus).
3.8.2.1. На тест-поверхность размером 10 x 10 см2, окрашенную антимикробной краской или покрытую антимикробным лаком, стерильной пипеткой наносят 0,5 см3 суспензии тест-микроорганизма, содержащей 2·108 КОЕ/см3. После необходимой экспозиции (дезинфекционной выдержки) в течение определенного промежутка времени в период от 30 мин до 24 ч с поверхности берут смыв стерильной марлевой салфеткой, смоченной стерильным раствором нейтрализатора. Салфетки помещают в пробирки с бусами, содержащие 10 см3 нейтрализатора, и в течение 5 - 10 мин встряхивают. Затем проводят посевы смывной жидкости на плотные питательные среды. Посевы выдерживают в термостате при температуре и времени, оптимальным для роста использованного тест-микроорганизма. В качестве контроля используют поверхности, окрашенные краской или покрытые лаком, не содержащими антимикробных веществ. Активность лакокрасочных материалов оценивают путем расчета процента снижения микробной обсемененности опытного образца по сравнению с контрольным.
Критерий антимикробной активности лакокрасочных покрытий - снижение обсемененности тест-микроорганизмами не менее чем на 90% от исходного количества через 24 ч.
3.8.2.2. Изучение пролонгированного действия лакокрасочных и др. материалов проводят на тест-поверхностях с дополнительной искусственной контаминацией тест-микроорганизмами. На тест-поверхности регулярно 1 раз в неделю в течение 3 - 6 месяцев наносят по 0,5 см3 суспензии тест-микроорганизмов, содержащей 106 КОЕ/см3. В течение этого периода тест-поверхности хранятся при температуре плюс 18 - 20 °C и относительной влажности воздуха 50 - 60%. Эффективность обеззараживания оценивают 1 - 2 раза в месяц. Критерий антимикробной активности лакокрасочных покрытий (пролонгированное действие) - снижение обсемененности тест-микроорганизмами не менее чем на 90% в течение не менее 6 месяцев.
3.8.2.3. Исследование вирулицидной активности лакокрасочных материалов. При определении вирулицидной активности лакокрасочных материалов (антимикробные лаки, краски) ВС в дозе 10
5 ТЦИД
50/см
3 наносят в количестве 0,5 см
3 на исследуемую тест-поверхность (размер 10 x 10 см
2). После необходимой экспозиции (от 30 мин до 24 ч) с поверхности берут смыв стерильной марлевой салфеткой, смоченной нейтрализатором. Салфетки погружают в широкогорлые пробирки с 5 см
3 нейтрализатора и бусами, отмывают в течение 10 мин в шуттель-аппарате. В качестве контроля используют тест-поверхности, окрашенные краской или покрытые лаком, не содержащими вирулицидных веществ. Определение пролонгированного вирулицидного действия лакокрасочных материалов проводят на тест-поверхностях без дополнительной и с дополнительной искусственной контаминацией испытуемым тест-вирусом. Критерии вирулицидной активности лакокрасочного покрытия - снижение количества вируса не менее чем на 4 log
10 через 24 ч после нанесения его на поверхность; наблюдение может продолжаться в течение 6 месяцев и более. Статистическая обработка результатов по оценке вирулицидной активности приведена в
Приложении 2 к настоящему руководству.
3.9. Исследование эффективности дезинфицирующих средств,
предназначенных для обеззараживания технологического
оборудования, производственного инвентаря и тары
в пищевой промышленности
3.9.1. При исследовании эффективности средств, предназначенных для обеззараживания объектов в пищевой промышленности, учитывают:
- отрасль пищевой промышленности (молочная, мясная, птицеперерабатывающая, пиво-безалкогольная, рыбная, хлебная и др.);
- назначение средства (обеззараживание поверхностей производственных помещений, технологического оборудования, производственного инвентаря, воздуха, уборочного материала и др.);
- химическую природу дезинфицирующего средства;
- технологию обработки объекта и др.
3.9.2. Исследование эффективности средств, предназначенных для обеззараживания технологического оборудования и производственного инвентаря на предприятиях пищевой промышленности, проводят с использованием тест-поверхностей из пластика и неокрашенного металла размером 5 x 5 см или натурального инвентаря (ножи, мусаты, секачи и пр.) способом погружения в раствор средства. Перед контаминацией тест-микроорганизмами объекты подвергают механической очистке (моют водой с мылом и щеткой), затем высушивают.
3.9.3. Для контаминации объектов в качестве тест-микроорганизмов используют S. aureus, E. coli, C. albicans, A. brasiliensis, B. cereus в споровой и вегетативной форме, а при необходимости дополнительно применяют др. виды микроорганизмов, специфические для конкретного вида промышленности.
3.9.4. Для имитации загрязнения объектов в зависимости от отрасли пищевой промышленности используют в качестве нагрузки 0,3% бычьего альбумина, 5% инактивированной сыворотки (лошадиной или крупного рогатого скота), 1% молока, 0,1% дрожжей, 1% сахарозы и пр.
3.9.5. Тест-объекты помещают на дно стерильной чашки Петри. Пипеткой наносят на них 0,1 см3 108 микробной взвеси (площадь поверхности 25 см2), равномерно распределяют ее по поверхности стерильным шпателем, не допуская стекания суспензии за пределы тест-объекта, затем подсушивают, приоткрыв чашку Петри (до полного высыхания) при температуре плюс 18 - 22 °C и относительной влажности 40 - 60%. Дезинфекцию объекта проводят, заливая испытуемым раствором средства определенной температуры: комнатной (18 - 20) °C, повышенной (45 - 60) °C или пониженной (5 °C), полностью покрывая раствором тест-объект. Температура раствора поддерживается в течение всей экспозиции. После окончания экспозиции тест-объект переносят в чашку с 10 см3 раствора нейтрализатора, соответствующего данному средству, и делают несколько круговых движений чашкой для лучшего смачивания тест-объекта. Через несколько мин стерильным пинцетом переворачивают тест-объект и повторяют круговые движения. После контакта нейтрализатора с тест-объектом в течение 10 мин снова делают несколько круговых движений чашкой, затем стерильным пинцетом удаляют тест-объект из чашки и сбрасывают его в емкость с дезинфицирующим раствором с целью дальнейшего обеззараживания. Нейтрализатор сеют на 2 - 3 чашки Петри по 0,1 - 0,2 см3 в каждую на плотные дифференциально-диагностические питательные среды, либо заливают чашку с нейтрализатором растопленным и остуженным до 45 °C агаром.
3.9.6. Посевы выращивают в термостате при температуре и длительности, рекомендованных для культивирования определенных видов микроорганизмов. Учет результатов проводят путем подсчета количества выросших колоний, затем рассчитывают плотность контаминации 100 см2 поверхности и процент обеззараживания, принимая количество колоний, снятых с контрольных поверхностей, за 100%.
3.9.7. Критерий эффективности обеззараживания технологического оборудования и производственного инвентаря - гибель 100% микроорганизмов.
3.10. Исследование бактерицидной эффективности
дезинфицирующих средств, предназначенных для обеззараживания
скорлупы яиц, фруктов и овощей
3.10.1. Для исследования бактерицидной эффективности дезинфицирующих средств, при обеззараживании скорлупы яиц, фруктов и овощей в качестве тест-объектов используют куриные яйца, фрукты и овощи (яблоки, огурцы, помидоры и др.); в качестве тест-культур - S. aureus, S. typhimurium, E. coli.
3.10.2. Тест-объекты (куриные яйца, фрукты, овощи) перед контаминацией тест-микроорганизмами подвергают механической очистке (моют водой с мылом) и высушивают. Для имитации загрязнения используют 5%-ю инактивированную лошадиную сыворотку или СКРС. Для этого перед контаминацией объектов к суспензии тест-микроорганизмов добавляют необходимое количество сыворотки.
3.10.3. Тест-объекты располагают в чашках Петри и на них пипеткой точечно наносят взвесь тест-микроорганизмов из расчета 0,5 см3 108 микробной взвеси на скорлупу 1 яйца. Тест-объекты подсушивают (до полного высыхания) при комнатной температуре плюс (18 - 20) °C и относительной влажности воздуха 50 - 60%, затем обрабатывают дезинфицирующим раствором.
3.10.4. Обработку скорлупы яиц проводят способами погружения и орошения. Норму расхода дезинфицирующего раствора при обеззараживании способом орошения определяют аналогично опытам по обеззараживанию поверхностей
(п. 3.2.4.2).
3.10.5. При обработке способом погружения в дезинфицирующий раствор яиц, а также овощей и фруктов раствор должен полностью и с избытком покрывать все объекты. При погружении тест-объектов необходимо препятствовать их всплытию. Обработку тест-объектов проводят погружением в растворы средств, имеющие комнатную (от плюс 18 °C до плюс 22 °C) или повышенную (до плюс 40 °C) температуру, которую поддерживают в течение экспозиции, используя водяную баню.
3.10.6. Время обеззараживания скорлупы яиц определяют в интервале от 1 до 30 мин, овощей и фруктов - в интервале от 1 до 120 мин.
3.10.7. Контрольные тест-объекты обрабатывают стерильной водопроводной водой из того же расчета, что и опытные. Контроль эффективности обеззараживания контаминированных тест-объектов проводят по завершении экспозиции. Для этого марлевой салфеткой (размером 5 x 5 см), смоченной в растворе нейтрализатора, соответствующего данному ДС, тщательно протирают тест-объект, после чего салфетку погружают в 10 см3 этого же нейтрализатора, находящегося в пробирках с бусами. Время отмыва марлевой салфетки составляет 10 мин при постоянном встряхивании. Отмывную жидкость сеют на 2 - 3 чашки Петри по 0,2 - 0,5 см3 в каждую на плотные питательные среды.
3.10.8. Посевы помещают в термостат при температуре плюс (37 +/- 1) °C и учитывают результаты через 2 суток.
3.10.9. Критерий эффективности обеззараживания - гибель 100% микроорганизмов. Время обеззараживания скорлупы яиц - не более 30 мин; овощей и фруктов - не более 120 мин.
3.11. Исследование бактерицидной эффективности
дезинфицирующих средств, предназначенных
для обеззараживания тушек птиц
3.11.1. Для исследования бактерицидной активности ДС при обеззараживании тушек птиц в качестве тест-объектов используют части куриных тушек или цыплят-корнишонов, в качестве тест-культур микроорганизмов используют S. aureus, E. coli, S. typhimurium, L. monocytogenes.
3.11.2. Исследование эффективности средств, предназначенных для обеззараживания тушек птиц на предприятиях пищевой промышленности, проводят способом орошения или погружения тест-объектов в раствор средства. Перед контаминацией тест-микроорганизмами объекты подвергают механической очистке - моют водой и обрабатывают спиртом. После этого тест-объекты высушивают и разделывают на необходимое количество участков по 5 x 5 см. Для удобства тест-объекты необходимо разместить на стерильной подложке из пластика и закрепить стерильными стальными иглами.
3.11.3. Подготовленные тест-объекты располагают в чашках Петри и пипеткой точечно наносят на их поверхность взвесь тест-микроорганизмов из расчета 0,2 см3 взвеси, содержащей 2·109 тест-микроорганизмов/см3 для S. aureus, E. coli, а при контаминировании S. typhimurium, L. monocytogenes - 2·106 тест-микроорганизмов/см3. Тест-объекты подсушивают при температуре плюс 18 - 20 °C и относительной влажности воздуха 50 - 60%, затем обрабатывают дезинфицирующим раствором. Параллельно контрольные контаминированные тест-объекты погружают в воду.
3.11.4. Обеззараживание тушек дезинфицирующим средством проводят способом погружения. Тест-объекты погружают в дезинфицирующий раствор, который должен с избытком покрывать контаминированные объекты. Время обеззараживания - не более 30 мин.
3.11.5. Контроль эффективности обеззараживания тест-объектов проводят следующим образом: марлевой салфеткой (размером 5 x 5 см), смоченной в растворе соответствующего для данного дезинфицирующего средства нейтрализатора, тщательно протирают тест-поверхность, затем ее погружают в 10 см3 этого же нейтрализатора, находящегося в пробирках с бусами. Время отмыва марлевой салфетки составляет 10 мин при постоянном встряхивании. Отмывную жидкость сеют (на 2 - 3 чашки по 0,1 - 0,2 см3 в каждую) на плотные дифференциально-диагностические питательные среды. Посевы выращивают в термостате при температуре плюс (37 +/- 1) °C в течение 24 - 48 ч.
3.11.6. Учет результатов проводят через 24 - 48 ч путем подсчета выросших колоний на чашках Петри. Сравнение проводят с контролем опыта, которым являются смывы с тест-объектов, не обработанных средством.
3.11.7. Критерий эффективности обеззараживания - гибель S. typhimurium, L. monocytogenes - 100%; снижение общего микробного обсеменения - не менее 99,9% (не более 100 КОЕ с площади тест-объекта 25 см2). Время обеззараживания тушек птиц, контаминированных тест-микроорганизмами, - не более 30 мин.
3.12. Методы исследования эффективности кожных антисептиков
3.12.1. По назначению кожные антисептики подразделяются на 3 класса:
класс А - для обработки кожи инъекционного и операционного полей пациентов;
класс Б - для обработки рук хирургов и других медицинских работников, участвующих в выполнении оперативных и иных вмешательств;
класс В - для гигиенической обработки кожных покровов (для гигиенической обработки рук и для санитарной обработки кожных покровов).
3.12.2. Кожные антисептики должны:
- обладать широким спектром антимикробного действия за короткое время (не более 2 мин - для E. coli, S. aureus, P. aeruginosa, C. albicans, T. mentagrophytes, не более 5 мин - для M. terrae, вируса полиомиелита, аденовируса);
- вызывать гибель транзиторной микрофлоры и снижать количество резидентной микрофлоры;
- обеспечивать обеззараживание кожных покровов за короткое время, в зависимости от назначения;
- обладать в ряде случаев пролонгированным антимикробным остаточным действием не менее 3 ч;
- быть безопасными при многократном использовании.
3.12.3. Целью изучения кожных антисептиков является разработка эффективных режимов обеззараживания кожных покровов в зависимости от концентрации ДВ, времени воздействия, а также способа и кратности обработки.
3.12.4. До изучения эффективности антисептиков при обработке кожных покровов определяют спектр их антимикробного действия суспензионным методом или методом батистовых тест-объектов в отношении следующих тест-микроорганизмов: для оценки бактерицидной активности - E. coli (шт. ATCC 10536), S. aureus (шт. ATCC 6538-P), P. aeruginosa (шт. ATCC 27853 (F-51) или шт. ATCC 15442); туберкулоцидной активности - Mycobacterium terrae (шт. DSM 43227); фунгицидной активности - Candida albicans (шт. ВКПМ Y 3108 (ATCC 10231), Trichophyton mentagrophytes (штамм ATCC 9533); вирулицидной активности - вирус полиомиелита 1 типа (вакцинный штамм LSc-2ab), Аденовирус, тип 5, штамм Аденоид 75 (ATCC VR-5).
3.12.5. Методы изучения эффективности кожных антисептиков для гигиенической обработки рук включают определение эффективности кожного антисептика в отношении естественной микрофлоры кожи рук и при искусственной контаминации их тест-микроорганизмом.
3.12.5.1. Изучение эффективности кожных антисептиков в отношении естественной микрофлоры кожи рук. С контрольной руки до обработки кожным антисептиком делают смыв стерильной марлевой салфеткой (размером 5 x 5 см), смоченной стерильной питьевой водой. Затем обе руки обрабатывают кожным антисептиком, после чего с опытной руки делают смыв стерильной марлевой салфеткой (размером 5 x 5 см), смоченной стерильным раствором нейтрализатора. Марлевые салфетки помещают в отдельные стерильные широкогорлые пробирки со стеклянными бусами и 10 см3 стерильного раствора нейтрализатора и встряхивают в течение 10 мин. Затем смывную жидкость вносят по 0,5 см3 в чашку Петри и заливают питательным агаром. Посевы инкубируют в термостате при температуре плюс (37 +/- 1) °C в течение 48 ч, после чего считают выросшие колонии.
Критерий эффективности антисептика, предназначенного для гигиенической обработки рук - снижение количества естественной микрофлоры не менее чем на 95%. Время обеззараживания - не более 2 мин.
3.12.5.2. Изучение эффективности кожных антисептиков в отношении искусственно контаминированной тест-микроорганизмом кожи рук. Для искусственной контаминации кожи рук добровольцев используют суспензию 18 - 20-часовой культуры E. coli, выращенной в термостате при температуре плюс 37 °C. На ладони наносят 1 см3 суспензии, содержащей 107 КОЕ/см3, и равномерно распределяют ее по коже кистей рук. После подсыхания микробной взвеси в течение 2 - 3 мин с контрольной руки делают смыв стерильной марлевой салфеткой (размером 5 x 5 см), смоченной стерильной питьевой водой. После смыва руку осушают стерильным ватным тампоном для удаления остатков жидкости. Затем обе руки обрабатывают кожным антисептиком, после чего с опытной руки так же делают смыв, как с контрольной. Марлевые салфетки помещают в отдельные стерильные широкогорлые пробирки со стеклянными бусами и 10 см3 стерильного раствора нейтрализатора и встряхивают в течение 10 мин. Затем смывную жидкость вносят по 0,2 см3 на среду Эндо. Посевы инкубируют в термостате при температуре плюс (37 +/- 1) °C в течение 24 ч, после чего считают выросшие колонии.
Критерий эффективности антисептика, предназначенного для гигиенической обработки рук - снижение обсемененности кожи тест-микроорганизмом E. coli не менее чем на 99,99%. Время обеззараживания - не более 2 мин.
3.12.6. При изучении эффективности кожных антисептиков для обработки рук хирургов обработку рук проводят в два этапа:
1 этап обработки рук. Проводится с целью удаления загрязнений и снижения количества общей микрофлоры. При этом руки добровольцев, включая запястья и предплечья, обрабатывают следующим способом: перед нанесением антисептика кисти рук и предплечий (до локтевого сгиба) моют теплой проточной водой и туалетным (но не с антимикробными добавками) мылом в течение двух мин; после смывают мыло водой с каждой руки и предплечья (поочередно), при этом кисти рук должны быть выше положения локтей; затем кисти рук и предплечья высушивают стерильной марлевой салфеткой.
До обработки кожным антисептиком с одной руки, контрольной, делают смыв стерильной марлевой салфеткой (размером 5 x 5 см), смоченной стерильной питьевой водой.
2 этап обработки рук. На сухие кисти обеих рук наносят необходимое количество изучаемого антисептика и равномерно распределяют его по тыльной и ладонной поверхности кожи обеих рук, постепенно переходя на предплечья. При этом втирают антисептик путем последовательных движений рук вверх-вниз (не доходя до локтевого сгиба). При обработке кожным антисептиком необходимо поддерживать руки во влажном состоянии в течение подбираемого времени обеззараживания для конкретного кожного антисептика и следить за тем, чтобы кисти рук были выше положения локтей. Последнюю порцию антисептика втирают до его высыхания.
По истечении времени обработки марлевой салфеткой (размером 5 x 5 см), смоченной стерильным раствором нейтрализатора, делают смыв с опытной руки и его посев на питательную среду, как указано выше.
Критерий эффективности антисептика, предназначенного для обработки рук хирургов - снижение количества естественной микрофлоры кожи на 100%. Время обеззараживания - не более 5 мин.
3.12.7. Определение пролонгированного антимикробного действия антисептика, после обработки рук добровольцев по методике, обработки рук хирургов проводят на естественной микрофлоре коже рук добровольцев.
3.12.7.1. После предварительного мытья кистей рук и предплечий добровольцев (до локтевого сгиба) теплой проточной водой и туалетным (без антимикробных добавок) мылом в течение 2 мин, с каждой руки и предплечья поочередно смывают мыло водой. При этом кисти рук должны быть выше положения локтей. Затем кисти рук и предплечья высушивают стерильной марлевой салфеткой. На руки наносят испытуемое средство и проводят им обработку в соответствии с методикой обработки рук хирургов. Добровольцы затем надевают на руки стерильные хирургические перчатки и выполняют в них обычную работу на протяжении 3 ч. Через 3 ч добровольцы снимают перчатки, не выворачивая их.
3.12.7.2. В каждую перчатку наливают по 10 см3 стерильного раствора нейтрализатора или физиологического раствора, омывая внутренние поверхности перчаток этим раствором в течение 5 мин. После этого делают посев смывной жидкости в количестве 0,5 см3 на чашки Петри и заливают растопленным и остуженным до плюс 40 - 45 °C питательным агаром.
3.12.7.3. Учет результатов проводят через 48 ч инкубирования посевов в термостате при температуре плюс (37 +/- 1) °C, определяя наличие или отсутствие роста микроорганизмов.
3.12.7.4. О наличии остаточного действия у изучаемого средства судят по количеству стерильных проб (отсутствие роста микроорганизмов), которое должно составлять более 50% от числа проб, отобранных у добровольцев, обработавших руки средством.
3.12.8. Изучение эффективности кожных антисептиков для обработки кожи инъекционного поля, операционного поля и локтевых сгибов доноров проводят в отношении естественной микрофлоры кожи и при искусственном обсеменении кожи тест-микроорганизмом - Escherichia coli (шт. ATCC 10536). До обработки кожным антисептиком с кожи внутренней поверхности предплечья контрольной руки делают смыв стерильной марлевой салфеткой (размером 5 x 5 см), смоченной стерильной питьевой водой.
3.12.8.1. При оценке эффективности антисептика для обработки кожи операционного поля и локтевых сгибов доноров в отношении естественной микрофлоры участок кожи внутренней поверхности предплечья опытной руки размером 5 x 13 см последовательно протирают в одном направлении двумя раздельными стерильными марлевыми тампонами, смоченными антисептиком, для обработки инъекционного поля - одним. Через определенное время стерильной марлевой салфеткой (размером 5 x 5 см), смоченной стерильным раствором нейтрализатора, с обработанного участка кожи предплечья делают смыв. Марлевые салфетки помещают в отдельные стерильные широкогорлые пробирки со стеклянными бусами и 10 см3 стерильного раствора нейтрализатора и встряхивают в течение 10 мин. Затем смывную жидкость вносят по 0,5 см3 в чашку Петри и заливают питательным агаром. Посевы инкубируют в термостате при температуре плюс (37 +/- 1) °C в течение 48 ч, после чего считают выросшие колонии.
Критерий эффективности антисептика, предназначенного для обработки кожи операционного поля и локтевых сгибов доноров - снижение количества естественной микрофлоры на 100%. Время обеззараживания - не более 2 мин.
Критерий эффективности антисептика, предназначенного для обработки кожи инъекционного поля - снижение количества естественной микрофлоры не менее чем на 95%. Время обеззараживания - не более 1 мин.
3.12.8.2. Для оценки эффективности антисептика при искусственной контаминации на контрольный и опытный участки кожи внутренней поверхности предплечья размером 5 x 13 см наносят 0,2 см3 суспензии 18 - 20-часовой культуры E. coli, выращенной в термостате при температуре плюс 37 °C, содержащей 105 КОЕ/см3. Затем, после ее подсыхания, с контрольного участка делают смыв стерильной марлевой салфеткой размером 5 x 5 см, смоченной стерильной питьевой водой, опытный участок обрабатывают кожным антисептиком в соответствии с изучаемым режимом, после чего стерильной марлевой салфеткой (размером 5 x 5 см), смоченной стерильным раствором нейтрализатора, делают смыв с кожи опытного участка. Салфетки со смывами встряхивают в течение 10 мин. в стерильной пробирке со стеклянными бусами и 10 см3 нейтрализатора. Затем смывную жидкость вносят по 0,2 см3 на среду Эндо. Посевы инкубируют в термостате при температуре плюс (37 +/- 1) °C в течение 24 ч, после чего считают выросшие колонии.
Критерий эффективности антисептика, предназначенного для обработки кожи операционного поля и локтевых сгибов доноров - отсутствие роста тест-культуры в смывах с контаминированной кожи предплечья рук добровольцев. Время обеззараживания - не более 2 мин.
Критерий эффективности антисептика, предназначенного для обработки кожи инъекционного поля - снижение обсемененности кожи тест-микроорганизмом E. coli не менее чем на 99,99%. Время обеззараживания - не более 1 мин.
3.12.9. Оценка эффективности кожных антисептиков для санитарной обработки кожных покровов проводится на коже предплечий рук добровольцев при искусственной контаминации культурой тест-микроорганизма - E. coli (шт. ATCC 10536). На внутреннюю поверхность кожи опытного и контрольного участков предплечий наносят по 1,0 см3 суспензии 18 - 20-часовой культуры E. coli, выращенной в термостате при температуре плюс 37 °C, содержащей 2 x 105 КОЕ/см3. После подсыхания тест-культуры (2 - 3 мин) с кожи контрольного участка берут смыв стерильной марлевой салфеткой размером 5 x 5 см, смоченной стерильной питьевой водой. Затем опытный участок предплечья обрабатывают кожным антисептиком и через определенное время делают смыв стерильной марлевой салфеткой (размером 5 x 5 см), смоченной стерильным раствором нейтрализатора. Салфетки со смывами встряхивают в течение 10 мин в стерильной пробирке со стеклянными бусами и 10 см3 нейтрализатора. Затем смывную жидкость вносят по 0,2 см3 на среду Эндо. Посевы инкубируют в термостате при температуре плюс (37 +/- 1) °C в течение 24 ч, после чего считают выросшие колонии.
Критерий эффективности антисептика, предназначенного для санитарной обработки кожных покровов - снижение обсемененности кожи не менее чем на 99,99%. Время обеззараживания - не более 2 мин.
3.13. Исследование эффективности дезинфицирующих средств,
предназначенных для обеззараживания медицинских изделий
3.13.1. При выборе средств для исследований с указанной целью следует учитывать:
- назначение и кратность применения медицинских изделий (многократного или однократного применения);
- наличие у средства негативных свойств, например, корродирующего или фиксирующего действия и других, ограничивающих возможности его использования или требующих индивидуального методического подхода при исследовании;
- материал (материалы), из которого изготовлены медицинские изделия;
- функциональные особенности изделия и условия его эксплуатации, обуславливающие особенности методики проведения эксперимента и последующих рекомендаций по технологии их обеззараживания.
3.13.2. В качестве тест-изделий используют медицинские изделия или их фрагменты из различных материалов (металлов, резин, стекла, пластмасс и др.), разнообразные по устройству (с замковыми частями и без них) и характеру поверхности (гладкие и шероховатые), соответствующие одному или нескольким стандартам из
Приложения 4 к настоящему руководству.
3.13.3. Исследование бактерицидной эффективности дезинфицирующих средств, предназначенных для обеззараживания медицинских изделий из различных материалов (кроме эндоскопов).
3.13.3.1. При ручной обработке способом погружения в качестве тест-изделий используют стерильные инструменты и медицинские изделия (катетеры, микропипетки, пластмассовые шпатели и др.) из различных материалов (металлов, резин, стекла, пластмасс) или имитирующие их тест-объекты. Перечень инструментов, взятых в эксперимент, должен включать не менее трех инструментов, имеющих замковые части (щипцы, ножницы, корнцанги) и не менее двух, не имеющих замковых частей (пинцеты, шпатели), а также стоматологические, в т.ч. вращающиеся, инструменты (не менее 4) - зеркало, бор, бурав корневой, диск шлифовальный. В качестве тест-изделий из резин, стекла, пластмасс используют фрагменты изделий (катетеров, микропипеток, шпателей и пр.).
3.13.3.2. При ручной обработке способом протирания в качестве тест-изделий используют стерильные изделия или имитирующие их тест-объекты из металлов, резин, пластмасс и стекла для тех медицинских изделий и техники, которые не соприкасаются непосредственно с пациентом или конструкционные особенности которых не позволяют применить способ погружения (глюкометры, стоматологические наконечники, переходники от турбинного шланга к наконечникам, микромотор к механическим наконечникам, наконечник к скелеру для снятия зубных отложений, световоды светоотверждающих ламп).
3.13.3.3. При обработке механизированным способом (в установках без ультразвука) в качестве тест-изделий используют стерильные инструменты и медицинские изделия (катетеры, микропипетки, пластмассовые шпатели и др.) из различных материалов (металлов, резин, стекла, пластмасс) или имитирующие их тест-объекты. Перечень инструментов, взятых в эксперимент, должен включать не менее трех инструментов, имеющих замковые части (щипцы, ножницы, корнцанги) и не менее двух, не имеющих замковых частей (пинцеты, шпатели), а также стоматологические, в т.ч. вращающиеся, инструменты (не менее 4) - зеркало, бор, бурав корневой, диск шлифовальный. В качестве тест-изделий из резин, стекла, пластмасс используют фрагменты изделий (катетеров, микропипеток, шпателей и пр.).
3.13.3.4. При обработке механизированным способом (в установках с ультразвуком), используют тест-изделия из металлов, в т.ч. имеющие замковые части (ножницы хирургические, зажимы кровоостанавливающие, корнцанги, стоматологические щипцы).
3.13.3.5. Особенности проведения исследований бактерицидной эффективности дезинфицирующих средств, предназначенных для обеззараживания медицинских изделий из различных материалов (кроме эндоскопов) механизированным способом. Экспериментальные исследования по оценке бактерицидной эффективности средств, предназначенных для обеззараживания медицинских изделий механизированным способом проводят в установках, зарегистрированных в установленном порядке и разрешенных к применению в медицинских организациях для этих целей. Одним из самых значимых условий постановки экспериментов по оценке обеззараживания медицинских изделий в установках, например, ультразвуковых, моюще-дезинфицирующих машинах, является создание условий эксперимента, максимально приближенных к условиям практического применения (в соответствии с техническим паспортом и инструкцией по эксплуатации). Принципиальными являются следующие характеристики: скорость движения (циркуляции) дезинфицирующего раствора; температура раствора, количество (объем) раствора, диаметр канала (каналов), по которым циркулирует раствор и др. Повышенная температура растворов средств и принудительная циркуляция повышают их активность, в несколько раз сокращая время обеззараживания медицинских изделий.
3.13.3.6. Тест-микроорганизмы: S. aureus, P. aeruginosa.
3.13.3.7. Контаминация:
- при ручной обработке способом погружения и механизированном способе обработки на поверхность тест-изделия (у замковых медицинских изделий - в область замка, а при наличии каналов и полостей - также в канал изделия) с помощью пипетки наносят по 0,1 см3 1-миллиардной суспензии тест-микроорганизма, содержащей 40% инактивированной лошадиной сыворотки. При испытании средств, обладающих фиксирующими свойствами, когда перед дезинфекцией требуется предварительный отмыв изделий от видимых загрязнений, количество добавляемой сыворотки уменьшают до 5%. Тест-изделия подсушивают до полного высыхания. Мелкие тест-изделия погружают в указанную взвесь тест-микроорганизма на 15 мин, затем их извлекают и подсушивают (до полного высыхания);
- при ручной обработке способом протирания на поверхность тест-изделия с помощью пипетки наносят по 0,1 см3 1-миллиардной суспензии тест-микроорганизма, содержащей 5% инактивированной лошадиной сыворотки.
3.13.3.8. Приготовление рабочих растворов: растворы готовят на водопроводной питьевой воде.
- при ручной обработке способом погружения после подсушивания контаминированные изделия полностью погружают в раствор испытываемого средства, заполняя им все каналы и полости изделий, избегая образования воздушных пробок. Инструменты, имеющие замковые части, погружают раскрытыми, предварительно сделав ими в растворе средства несколько рабочих движений для лучшего проникновения раствора в труднодоступные участки изделий в области замка. Толщина слоя раствора средства над изделиями должна быть не менее 1 см;
- при ручной обработке способом протирания поверхности тест-изделий тщательно протирают (однократно или многократно - для достижения критерия эффективности обеззараживания) марлевой салфеткой (размером 5 x 5 см), смоченной в растворе исследуемого средства;
- при механизированном способе обработки после подсушивания контаминированные изделия размещают в установке, в соответствии с руководством по эксплуатации данной установки, раскладывая их раскрытыми, обеспечивая свободный доступ рабочего раствора средства.
3.13.3.9. По окончании обработки (вне зависимости от способа обработки) извлекают тест-изделия и стерильной марлевой салфеткой (размером 5 x 5 см), пропитанной стерильным раствором нейтрализатора, с поверхности изделия делают смывы, затем салфетку помещают в пробирку с 10 см3 того же нейтрализатора и встряхивают с бусами в течение 5 - 10 мин. Канал изделия промывают раствором нейтрализатора. Мелкие изделия погружают в раствор нейтрализатора на 5 мин, а затем переносят в пробирки с жидкой питательной средой.
3.13.3.10. Для контроля эффективности обеззараживания смывную жидкость с поверхности изделия и из канала засевают на соответствующие питательные среды. Посевы выдерживают в термостате при температуре и времени, оптимальном для роста использованного тест-микроорганизма.
Параллельно контаминированные контрольные тест-изделия погружают в стерильную водопроводную питьевую воду.
Кратность постановки эксперимента должна быть достаточной для получения статистически достоверных результатов.
3.13.3.11. Эффективным считают режим (концентрация - время воздействия - температура), обеспечивающий гибель тест-микроорганизма на всех изделиях. При наличии положительных проб эксперимент повторяют, увеличивая концентрацию или время воздействия. Критерий эффективности обеззараживания - гибель 100% тест-микроорганизмов. Время обеззараживания медицинских изделий, контаминированных S. aureus и P. aeruginosa должно быть не более 60 мин.
3.13.3.12. Изучение эффективности средства и его рабочих растворов в зависимости от сроков хранения, а также (при необходимости) изучение эффективности рабочих растворов при многократном их использовании осуществляют аналогично указанному выше, применяя растворы средства после различных сроков хранения и при различной кратности использования для дезинфекции.
3.13.4. Исследование бактерицидной эффективности средств, предназначенных для обеззараживания эндоскопов.
| | ИС МЕГАНОРМ: примечание. Здесь и далее в официальном тексте документа, видимо, допущена опечатка: стандарт имеет номер ГОСТ Р ИСО 15883-4-2012, а не ГОСТ 15883. | |
3.13.4.1. В качестве тест-объектов используют фрагменты эндоскопа или эндоскоп (гибкий - гастроскоп, жесткий - цистоскоп). Допускается использование изделий-имитаторов эндоскопов в соответствии с ГОСТ 15883. В качестве тест-микроорганизма используют
S. aureus и
P. aeruginosa. По 0,1 см
3 суспензии, содержащей 1·10
9 КОЕ/см
3 тест-микроорганизмов и 5% инактивированной сыворотки, наносят с помощью пипетки на наружную поверхность и в канал эндоскопа, подсушивают в течение 20 мин. Затем контаминированное изделие погружают в раствор ДС, заполняя полости и каналы эндоскопа. Через определенное время (от 15 до 60 мин) изделие извлекают из раствора и делают смыв с наружной поверхности марлевой салфеткой (размером 5 x 5 см), смоченной в растворе нейтрализатора; салфетку помещают в пробирку с 10 см
3 того же стерильного раствора нейтрализатора на 5 мин, а затем переносят ее в пробирку со стерильной питьевой воды, и встряхивают с бусами в течение 5 - 10 мин. Канал изделия промывают раствором нейтрализатора и смывную жидкость засевают на питательную среду. Проводят также контроль микробной обсемененности использованных для отмыва раствора нейтрализатора и питьевой воды. Кратность постановки эксперимента должна быть достаточной для получения статистически достоверных результатов.
3.13.4.2. Эффективным считают режим (концентрация - время - температура), обеспечивающий гибель тест-микроорганизма на всех тест-изделиях и отсутствие тест-микроорганизмов в растворе нейтрализатора. При наличии положительных проб эксперимент повторяют, увеличивая время воздействия, но не более чем до 60 мин. Положительной считается проба, показывающая характерный рост тест-микроорганизма или обнаружение тест-микроорганизма в растворе применявшегося нейтрализатора.
3.13.4.3. Режим обеззараживания, разработанный на имитаторах канала эндоскопа, проверяют при обеззараживании эндоскопа, контаминированного тест-микроорганизмом. При необходимости эффективность разработанного режима проверяют в практических условиях. Критерием эффективности средства (режим применения средства) при обеззараживании эндоскопов является 100% гибель тест-микроорганизма.
3.13.5. Исследование бактерицидной эффективности средств, предназначенных для обеззараживания стоматологических оттисков.
3.13.5.1. Дезинфицирующие средства, предназначенное для обеззараживания стоматологических оттисков, должно иметь широкий спектр антимикробной активности, не вызывать изменений свойств и размеров оттисков, иметь короткое время экспозиции (дезинфекционной выдержки) (не более 30 мин).
3.13.5.2. При разработке режимов обеззараживания стоматологических оттисков в качестве тест-микроорганизмов используют S. aureus, P. aeruginosa, в качестве тест-объектов - оттиски из альгинатных, силиконовых или др. материалов. Для изготовления оттисков слепочную массу, полученную в соответствии с рекомендациями изготовителя, помещают в пластмассовую или металлическую ложку и делают оттиск с пластмассовых зубных протезов с моделированной десной. На оттиски наносят по 0,1 см3 1-миллиардной суспензии тест-микроорганизма (с добавлением 40% инактивированной сыворотки), подсушивают их в течение 2 - 3 мин, затем полностью погружают в раствор ДС. При установленном фиксирующем действии средства оттиски перед погружением в дезинфицирующий раствор промывают проточной питьевой водой. Параллельно для контроля контаминированные оттиски погружают в воду. Через определенное время (5 - 30 мин) оттиски извлекают из раствора и марлевой салфеткой, пропитанной нейтрализатором, делают смывы. Салфетки помещают в стерильные пробирки с бусами, содержащие 10 см3 нейтрализатора, и встряхивают в течение 10 мин. Затем делают посев смывной жидкости на питательные среды для контроля эффективности обеззараживания. Критерий эффективности обеззараживания оттисков - гибель 100% тест-микроорганизмов.
3.13.6. Исследование туберкулоцидной эффективности средств, предназначенных для обеззараживания медицинских изделий (кроме эндоскопов).
3.13.6.2. Тест-микроорганизмы: M. terrae.
3.13.6.3. Контаминация:
- при ручной обработке способом погружения и механизированном способе обработки на рабочую поверхность тест-изделия (у замковых изделий - также в область замка, а при наличии каналов и полостей - также в канал изделия) наносят 0,1 см3 суспензии, содержащей 1·109 КОЕ/см3 тест-микроорганизма, содержащей 40% инактивированной лошадиной сыворотки. При испытании средств, обладающих фиксирующими свойствами, когда перед дезинфекцией требуется предварительный отмыв изделий от видимых загрязнений, количество добавляемой сыворотки уменьшают до 5%. Мелкие тест-изделия для контаминации погружают в эту суспензию на 15 мин. Контаминированные тест-изделия подсушивают до полного высыхания;
- при ручной обработке способом протирания на поверхность тест-изделия с помощью пипетки наносят по 0,1 см3 1-миллиардной суспензии тест-микроорганизма, содержащей 5% инактивированной лошадиной сыворотки.
3.13.6.4. Приготовление рабочих растворов: растворы готовят на водопроводной питьевой воде комнатной температуры или подогретой до плюс (50 +/- 1) °C.
При ручной обработке способом погружения после подсушивания контаминированные изделия погружают в раствор испытываемого средства, заполняя им все каналы и полости изделий, избегая образования воздушных пробок. Инструменты, имеющие замковые части, погружают раскрытыми, предварительно сделав ими в растворе средства несколько рабочих движений для лучшего проникновения раствора в труднодоступные участки изделия в области замка. Толщина слоя раствора средства над изделиями должна быть не менее 1 см.
При ручной обработке способом протирания поверхности тест-изделий тщательно протирают (однократно или многократно - для достижения критерия эффективности обеззараживания) марлевой салфеткой (размером 5 x 5 см), смоченной в растворе исследуемого средства.
При механизированном способе обработки после подсушивания контаминированные изделия размещают в установке, в соответствии с руководством по эксплуатации данной установки, раскладывая их раскрытыми, обеспечивая свободный доступ рабочего раствора средства.
3.13.6.5. По окончании обработки (вне зависимости от способа обработки) извлекают тест-изделия и стерильной марлевой салфеткой (размером 5 x 5 см), пропитанной стерильным раствором нейтрализатора, с поверхности изделия делают смывы, затем салфетку помещают в пробирку с 10 см3 того же нейтрализатора и встряхивают с бусами в течение 5 - 10 мин. Канал изделия промывают раствором нейтрализатора. Мелкие изделия погружают в раствор нейтрализатора на 5 мин, а затем переносят в пробирки с плотной питательной средой.
3.13.6.6. Для контроля эффективности обеззараживания делают посев смывной жидкости по 0,1 см3 на поверхность агаровой питательной среды, а салфетку помещают в пробирку с питательной средой. Канал изделия промывают нейтрализатором, и смывную жидкость засевают по 0,1 см3 на скошенную плотную питательную среду в 3 - 5 пробирках. Посевы выдерживают в термостате при температуре плюс (37 +/- 1) °C в течение 21 суток. Учет предварительных результатов проводят через 10 - 14 суток и окончательных - через 21 сутки.
Параллельно контаминированные контрольные изделия погружают в стерильную водопроводную питьевую воду.
Кратность постановки эксперимента должна быть достаточной для получения статистически достоверных результатов.
3.13.6.7. Эффективным считают режим (концентрация - время воздействия - температура), обеспечивающий 100% гибель тест-микроорганизмов на всех изделиях. При наличии положительных проб эксперимент повторяют, увеличивая концентрацию или время воздействия.
3.13.7. Исследование туберкулоцидной эффективности средств, предназначенных для обеззараживания эндоскопов, включая ДВУ.
3.13.7.2. Тест-микроорганизм
M. terrae, далее
п. 3.13.4.1.
3.13.7.3. Исследование эффективности средств при ДВУ эндоскопов. Данная методика предназначена для разработки режимов ДВУ эндоскопов, используемых при проведении "нестерильных" диагностических и лечебных манипуляций. Для исследования выбирают средство, обладающее спороцидным действием, и его испытания проводят при тех же условиях (концентрация, температура), которые обеспечивают гибель спор бацилл, определяя необходимое время экспозиции (дезинфекционной выдержки) для достижения гибели наиболее устойчивого к изучаемому средству микроорганизма. Наиболее часто самым устойчивым к воздействию растворов ДС микроорганизмом является M. terrae. При определении эффективности средств для ДВУ эндоскопов в качестве тест-объектов используют фрагменты канала гибкого эндоскопа или его имитаторы в виде трубок из пластика длиной 2 см, диаметром 2 мм. Стерильные тест-объекты искусственно контаминируют, нанося с помощью дозатора/микропипетки в центральную часть канала и на поверхность каждой трубки суспензию тест-микроорганизма из расчета: 106 микробных клеток тест-микобактерий на каждое изделие. Для имитации органического загрязнения к суспензии микроорганизмов перед контаминацией объекта добавляют 2% инактивированной лошадиной сыворотки. Контаминированные тест-объекты подсушивают при комнатной температуре плюс 18 - 22 °C в течение 20 мин.
3.13.7.4. Раствор средства готовят на водопроводной питьевой воде. Обработку исследуемым раствором осуществляют способом погружения в него тест-изделия. Через определенные интервалы времени, зависящие от химического состава средства, в интервале от 5 до 60 мин, тест-изделия извлекают из рабочего раствора средства, помещают на 5 - 10 мин в раствор соответствующего нейтрализатора. Смывную жидкость по 0,1 см3 засевают на соответствующие питательные среды для проверки эффективности обеззараживания.
3.13.7.5. Посевы выдерживают в термостате при температуре и времени, оптимальных для роста использованного тест-микроорганизма - для тест-микобактерий - плюс (37 +/- 1) °C на 21 сутки, после чего проводят учет результатов эксперимента.
3.13.7.6. В качестве контроля используют тест-объекты, контаминированные как указано выше и помещенные в стерильную водопроводную питьевую воду на время экспозиции (дезинфекционной выдержки). Кратность постановки эксперимента должна быть достаточной для получения статистически достоверных результатов.
3.13.7.7. Эффективным считают режим (концентрация - время - температура), обеспечивающий гибель тест-микроорганизма на всех тест-изделиях. Положительной считается проба с характерным ростом микроорганизма на плотной питательной среде, или обнаружение микроорганизмов в растворе применявшегося нейтрализатора. При наличии положительных проб эксперимент повторяют, увеличивая время воздействия, но не более чем до 60 мин.
3.13.7.8. При необходимости эффективность разработанного режима проверяется в практических условиях.
3.13.7.9. Критерий эффективности обеззараживания при ДВУ эндоскопов - гибель 100% тест-микроорганизмов. Время обеззараживания - не более 60 мин.
3.13.7.10. Исследование эффективности средств для ДВУ эндоскопов механизированным способом проводят в установках, зарегистрированных в установленном порядке и разрешенных к применению в медицинских организациях для этих целей. Для определения эффективности средств для ДВУ в качестве тест-объектов используют эндоскопы в количестве, соответствующему количеству одновременно обрабатываемых эндоскопов согласно руководству по эксплуатации конкретной установки. В день постановки эксперимента стерильные тест-объект(ы) искусственно контаминируют, нанося с помощью дозатора/микропипетки в инструментальный канал, на поверхность рукоятки, рабочей части, гнезд клапанов канала подачи воды/воздуха и аспирационного канала суспензию тест-микроорганизма из расчета: 106 микробных клеток тест-микобактерий на каждое точку. Для имитации органического загрязнения к суспензии микроорганизмов перед контаминацией объекта добавляют 2% инактивированной лошадиной сыворотки. Контаминированные тест-объект(ы) подсушивают при комнатной температуре плюс 18 - 22 °C в течение 20 мин.
3.13.7.11. Приготавливают рабочий раствор средства на водопроводной питьевой воде и заполняют контейнер установки приготовленным раствором. Эндоскоп(ы) помещают в ванну установки, подключают адаптеры к каналам эндоскопа, в соответствии с инструкцией к данной установке и устанавливают режим, подлежащий изучению. После завершения обработки эндоскоп(ы) отключают, воду из каналов удаляют продувкой или аспирацией воздуха через вспомогательные приспособления при помощи шприца или помпы.
3.13.7.12. С поверхностей эндоскопа берут смывы стерильной марлевой салфеткой, смоченной раствором соответствующего нейтрализатора. Точки отбора проб соответствуют точкам заражения. Салфетки помещают в пробирки с нейтрализатором и стеклянными бусами и встряхивают в течение 10 мин. Салфетки, промывную - из каналов и смывную - с салфеток жидкости по 0,1 см3 засевают на соответствующие питательные среды для проверки эффективности обеззараживания.
3.13.7.13. Посевы выдерживают в термостате при температуре и времени, оптимальных для роста использованного тест-микроорганизма - для тест-микобактерий - плюс (37 +/- 1) °C на 21 сутки, после чего проводят учет результатов эксперимента. В качестве контроля используют тест-объекты, контаминированные как указано выше и помещенные в стерильную водопроводную питьевую воду на время экспозиции (дезинфекционной выдержки). Кратность постановки эксперимента должна быть достаточной для получения статистически достоверных результатов.
3.13.7.14. Эффективным считают режим (концентрация - время - температура), обеспечивающий гибель тест-микроорганизма на всех точках отбора проб. Положительной считается проба с характерным ростом микроорганизма на плотной питательной среде, или обнаружение микроорганизмов в растворе применявшегося нейтрализатора. При наличии положительных проб эксперимент повторяют, увеличивая время воздействия, но не более чем до 60 мин. Критерий эффективности - гибель 100% тест-микроорганизмов. Время обеззараживания - не более 60 мин.
3.13.8. Исследование фунгицидной эффективности средств, предназначенных для обеззараживания медицинских изделий (кроме эндоскопов).
3.13.8.2. Тест-микроорганизмы: C. albicans; для медицинских изделий, используемых для манипуляций у больных с микозами - T. mentagrophytes.
3.13.8.3. Контаминация:
- при ручной обработке способом погружения и механизированном способе обработки на поверхность тест-изделия (у замковых изделий - в область замка, а при наличии каналов и полостей - также в канал изделия) с помощью пипетки наносят по 0,1 см3 1-миллиардной суспензии того или иного вида тест-микроорганизмов, содержащей 40% инактивированной лошадиной сыворотки. При испытании средств, обладающих фиксирующими свойствами, когда перед дезинфекцией требуется предварительный отмыв изделий от видимых загрязнений, количество добавляемой сыворотки уменьшают до 5%. Тест-изделия подсушивают до полного высыхания. Мелкие тест-изделия погружают в указанную суспензию грибов на 15 мин, затем их извлекают и подсушивают до полного высыхания;
- при ручной обработке способом протирания на поверхность тест-изделия с помощью пипетки наносят по 0,1 см3 1-миллиардной суспензии тест-микроорганизма, содержащей 5% инактивированной лошадиной сыворотки.
3.13.8.4. Приготовление рабочих растворов: растворы готовят на водопроводной питьевой воде.
При ручной обработке способом погружения после подсушивания контаминированные изделия полностью погружают в раствор испытываемого средства, заполняя им все каналы и полости изделий, избегая образования воздушных пробок. Инструменты, имеющие замковые части, погружают раскрытыми, предварительно сделав ими в растворе средства несколько рабочих движений для лучшего проникновения раствора в труднодоступные участки изделий в области замка. Толщина слоя раствора средства над изделиями должна быть не менее 1 см;
При ручной обработке способом протирания поверхности тест-изделий тщательно протирают (однократно или многократно - для достижения критерия эффективности обеззараживания) марлевой салфеткой (размером 5 x 5 см), смоченной в растворе исследуемого средства;
При механизированном способе обработки после подсушивания контаминированные изделия размещают в установке, в соответствии с руководством по эксплуатации данной установки, раскладывая их раскрытыми, обеспечивая свободный доступ рабочего раствора средства.
3.13.8.5. Через определенное время (от 5 до 120 мин, вне зависимости от способа обработки) изделия извлекают из раствора и стерильной марлевой салфеткой (размером 5 x 5 см), пропитанной нейтрализатором, с поверхности изделия делают смывы, затем салфетку помещают в пробирку с 10 см3 того же нейтрализатора и встряхивают с бусами в течение 5 - 10 мин. Канал изделия промывают раствором нейтрализатора. Мелкие изделия погружают в раствор нейтрализатора на 5 мин, а затем переносят в пробирки с жидкой питательной средой.
3.13.8.6. Для контроля эффективности обеззараживания смывную жидкость с поверхности изделия и из канала засевают на соответствующие питательные среды. Посевы выдерживают в термостате при температуре и времени, оптимальных для роста использованного тест-микроорганизма.
Параллельно для контроля изделия погружают в стерильную водопроводную питьевую воду.
Кратность постановки эксперимента должна быть достаточной для получения статистически достоверных результатов.
3.13.8.7. Эффективным считают режим (концентрация - время воздействия - температура), обеспечивающий гибель тест-грибов на всех изделиях. При наличии положительных проб эксперимент повторяют, увеличивая концентрацию или время воздействия.
3.13.8.8. Критерий эффективности обеззараживания - 100% гибель C. albicans, T. mentagrophytes. Время обеззараживания изделий, контаминированных C. albicans, T. Mentagrophytes, должно быть не более 120 мин.
3.13.9. Исследование фунгицидной эффективности средств, предназначенных для обеззараживания эндоскопов, включая ДВУ.
3.13.9.1. Для определения эффективности средств при обеззараживании эндоскопов в качестве тест-объектов используют стерильные фрагменты эндоскопа или эндоскоп (гибкий - гастроскоп, жесткий - цистоскоп). Допускается использование изделий-имитаторов эндоскопов в соответствии с ГОСТ 15883. В качестве тест-гриба - C. albicans.
3.13.9.2. На наружную поверхность тест-объекта наносят по 0,1 см3 1-миллиардной суспензии C. albicans, содержащей 5% сыворотки; через канал эндоскопа с помощью пипетки пропускают не менее 5 см3 такой же суспензии. После этого эндоскоп подсушивают в течение 20 мин. Затем контаминированное изделие погружают в раствор средства, заполняя полости и каналы эндоскопа. Через определенные интервалы времени в течение 5 - 60 мин изделие извлекают из раствора и делают смыв с наружной поверхности марлевой салфеткой, смоченной в растворе нейтрализатора. Канал изделия промывают нейтрализатором. Смывную жидкость засевают на соответствующие питательные среды.
3.13.9.3. Критерий эффективности обеззараживания эндоскопов - 100% гибель C. albicans не более чем через 60 мин.
3.13.9.4. Определение эффективности средств при ДВУ эндоскопов. Данная методика предназначена для разработки режимов ДВУ эндоскопов при проведении "нестерильных" диагностических и лечебных манипуляций. Средство, предназначенное для ДВУ эндоскопов, должно обеспечивать гибель на эндоскопах C. albicans. Для исследования выбирают средство, эффективное для стерилизации эндоскопов, и испытания его проводят при тех же условиях (концентрация, температура), что и при стерилизации эндоскопов, определяя необходимое время экспозиции (дезинфекционной выдержки) для достижения гибели тест-микроорганизма. При определении эффективности средств для ДВУ эндоскопов в качестве тест-объектов используют фрагменты канала гибкого эндоскопа или его имитаторы в виде трубок из пластика длиной 2 см, диаметром 2 мм.
3.13.9.5. Стерильные тест-объекты искусственно контаминируют, нанося с помощью дозатора/микропипетки в центральную часть канала и на поверхность каждой трубки суспензию C. albicans из расчета 106 клеток на каждое изделие. Для имитации органического загрязнения к суспензии микроорганизмов перед контаминацией объекта добавляют 2% инактивированной лошадиной сыворотки. Контаминированные тест-объекты подсушивают при комнатной температуре плюс (18 - 22) °C в течение 20 мин.
3.13.9.6. Раствор средства готовят на водопроводной питьевой воде. Обработку исследуемым средством осуществляют способом погружения в испытуемый раствор средства. Через определенные интервалы времени, зависящие от химического состава средства, в интервале от 5 до 60 мин, тест-изделия извлекают из раствора средства и погружают на 5 - 10 мин в раствор соответствующего нейтрализатора. Затем тест-изделия помещают в пробирки с питательной средой для проверки эффективности обеззараживания: для C. albicans - бульон Сабуро. Посевы выдерживают в термостате при температуре и времени, оптимальных для роста использованного тест-микроорганизма: для C. albicans - плюс (27 +/- 1) °C 7 суток, после чего проводят учет результатов эксперимента.
В качестве контроля используют тест-объекты, контаминированные как указано выше и помещенные в стерильную водопроводную питьевую воду на время экспозиции (дезинфекционной выдержки).
Кратность постановки эксперимента должна быть достаточной для получения статистически достоверных результатов.
3.13.9.7. Эффективным считают режим (концентрация - время - температура), обеспечивающий гибель тест-микроорганизма на всех тест-изделиях. Положительной считается проба с характерным ростом микроорганизма, дающая изменение питательной среды (помутнение, осадок, хлопья и т.д.) или положительный результат (характерный рост микроорганизма) при пересеве на плотную питательную среду, или обнаружение микроорганизмов в растворе применявшегося нейтрализатора. При наличии положительных проб эксперимент повторяют, увеличивая время воздействия, но не более чем до 60 мин.
3.13.9.8. При необходимости эффективность разработанного режима проверяется в практических условиях.
3.13.9.9. Критерий эффективности обеззараживания - 100% гибель C. albicans. Время обеззараживания - не более 60 мин.
3.13.9.10. Исследование эффективности средств для ДВУ эндоскопов механизированным способом проводят в установках, зарегистрированных в установленном порядке и разрешенных к применению в медицинских организациях для этих целей.
3.13.9.11. Для определения эффективности средств для ДВУ в качестве тест-объектов используют эндоскопы в количестве, соответствующему количеству одновременно обрабатываемых эндоскопов согласно руководству по эксплуатации конкретной установки.
3.13.9.12. В день постановки эксперимента стерильные тест-объект(ы) искусственно контаминируют, нанося с помощью дозатора/микропипетки в инструментальный канал, на поверхность рукоятки, рабочей части, гнезд клапанов канала подачи воды/воздуха и аспирационного канала суспензию тест-микроорганизма из расчета: 106 микробных клеток на каждую точку. Для имитации органического загрязнения к суспензии микроорганизмов перед контаминацией объекта добавляют 2% инактивированной лошадиной сыворотки. Контаминированные тест-объект(ы) подсушивают при комнатной температуре плюс 18 - 22 °C в течение 20 мин.
3.13.9.13. Приготавливают рабочий раствор средства на водопроводной питьевой воде и заполняют контейнер установки приготовленным раствором. Эндоскоп(ы) помещают в ванну установки, подключают адаптеры к каналам эндоскопа, в соответствии с инструкцией к данной установке, и устанавливают режим, подлежащий изучению. После завершения обработки эндоскоп(ы) отключают, воду из каналов удаляют продувкой или аспирацией воздуха через вспомогательные приспособления при помощи шприца или помпы.
3.13.9.14. С поверхностей эндоскопа берут смывы стерильной марлевой салфеткой, смоченной раствором соответствующего нейтрализатора. Точки отбора проб соответствуют точкам заражения. Салфетки помещают в пробирки с нейтрализатором и стеклянными бусами и встряхивают в течение 10 мин. Салфетки, промывную - из каналов и смывную - с салфеток жидкости по 0,1 см3 засевают на соответствующие питательные среды для проверки эффективности обеззараживания. Посевы выдерживают в термостате при температуре и времени, оптимальных для роста использованного тест-микроорганизма: для C. albicans - плюс (27 +/- 1) °C 7 суток, после чего проводят учет результатов эксперимента.
В качестве контроля используют тест-объекты, контаминированные как указано выше и помещенные в стерильную водопроводную питьевую воду на время экспозиции (дезинфекционной выдержки).
Кратность постановки эксперимента должна быть достаточной для получения статистически достоверных результатов.
3.13.9.15. Эффективным считают режим (концентрация - время - температура), обеспечивающий гибель тест-микроорганизма на всех точках отбора проб. Положительной считается проба с характерным ростом микроорганизма или обнаружение микроорганизмов в растворе применявшегося нейтрализатора. При наличии положительных проб эксперимент повторяют, увеличивая время воздействия, но не более чем до 60 мин.
3.13.9.16. Критерий эффективности - 100% гибель тест-микроорганизмов. Время обеззараживания - не более 60 мин.
3.13.10. Исследование фунгицидной эффективности средств, предназначенных для обеззараживания стоматологических оттисков.
3.13.10.1. При разработке режимов обеззараживания стоматологических оттисков в качестве тест-микроорганизма используют C. albicans.
3.13.10.2. В качестве тест-объектов используют оттиски из альгинатных, силиконовых или др. материалов. Для изготовления оттисков слепочную массу, полученную в соответствии с рекомендациями изготовителя, помещают в пластмассовую или металлическую ложку и делают оттиск с пластмассовых зубных протезов с моделированной десной.
3.13.10.3. На оттиски наносят по 0,1 см3 1 мрлд суспензии C. albicans (с добавлением 40% инактивированной сыворотки), подсушивают их в течение 2 - 3 мин, затем полностью погружают в раствор средства. При установленном фиксирующем действии средства оттиски перед погружением в его раствор промывают проточной питьевой водой. Параллельно для контроля контаминированные оттиски погружают в стерильную питьевую воду. Через определенное время (5 - 30 мин) оттиски извлекают из раствора и марлевой салфеткой, пропитанной нейтрализатором, делают смывы. Салфетки помещают в стерильные пробирки с бусами, содержащие 10 см3 нейтрализатора, и встряхивают в течение 10 мин. Затем делают посев смывной жидкости на питательные среды для контроля эффективности обеззараживания.
3.13.10.4. Критерий эффективности обеззараживания - гибель 100% C. albicans при времени обеззараживания не более 60 мин.
3.13.11. Исследование вирулицидной активности средств, предназначенных для обеззараживания медицинских изделий (кроме эндоскопов) из различных материалов.
3.13.11.1. Тест-объекты и тест-изделия:
- при ручной обработке способом погружения в качестве тест-изделий используют стерильные инструменты и др. изделия (в т.ч. однократного применения): имеющие замковые части (щипцы, ножницы, корнцанг), не имеющие, замковых частей (пинцеты, шпатели); стоматологические, в т.ч. вращающиеся, инструменты (боры, буравы корневые, зеркала, диски шлифовальные) из различных материалов (металлов, резин, стекла, пластмасс) или имитирующие их тест-объекты;
- при ручной обработке способом протирания в качестве тест-изделий используют стерильные изделия или имитирующие их тест-объекты из металлов, резин, пластмасс и стекла для тех медицинских изделий и техники, которые не соприкасаются непосредственно с пациентом или конструкционные особенности которых не позволяют применить способ погружения (стоматологические наконечники, переходники от турбинного шланга к наконечникам, микромотор к механическим наконечникам, наконечник к скелеру для снятия зубных отложений, световоды светоотверждающих ламп);
- при обработке механизированным способом (в установках без ультразвука) в качестве тест-изделий используют стерильные инструменты и медицинские изделия (катетеры, микропипетки, пластмассовые шпатели и др.) из различных материалов (металлов, резин, стекла, пластмасс) или имитирующие их тест-объекты. Перечень инструментов, взятых в эксперимент, должен включать не менее трех инструментов, имеющих замковые части (щипцы, ножницы, корнцанги) и не менее двух, не имеющих замковых частей (пинцеты, шпатели), а также стоматологические, в т.ч. вращающиеся, инструменты (не менее 4) - зеркало, бор, бурав корневой, диск шлифовальный. В качестве тест-изделий из резин, стекла, пластмасс используют фрагменты изделий (катетеров, микропипеток, шпателей и пр.);
- при обработке механизированным способом (в установках с ультразвуком) используют тест-изделия из металлов, в т.ч. имеющие замковые части (ножницы хирургические, зажимы кровоостанавливающие, корнцанги, стоматологические щипцы).
3.13.11.2. Особенности проведения исследований вирулицидной эффективности дезинфицирующих средств, предназначенных для обеззараживания медицинских изделий из различных материалов (кроме эндоскопов) механизированным способом. Экспериментальные исследования по оценке вирулицидной эффективности средств, предназначенных для обеззараживания медицинских изделий механизированным способом проводят в установках, зарегистрированных в установленном порядке и разрешенных к применению в медицинских организациях для этих целей. Одним из самых значимых условий постановки экспериментов по оценке обеззараживания медицинских изделий в установках, например, ультразвуковых, моюще-дезинфицирующих машинах, является создание условий эксперимента, максимально приближенных к условиям практического применения (в соответствии с техническим паспортом и инструкцией по эксплуатации). Принципиальными являются следующие характеристики: скорость движения (циркуляции) дезинфицирующего раствора; температура раствора, количество (объем) раствора, диаметр канала (каналов), по которым циркулирует раствор и др. Повышенная температура растворов средств и принудительная циркуляция повышают их активность, в несколько раз сокращая время обеззараживания медицинских изделий.
3.13.11.3. Контаминация изделий тест-вирусом:
- простерилизованные или продезинфицированные (способом кипячения) тест-изделия (вне зависимости от способа обработки) контаминируют ВС с добавлением 40% инактивированной (без консерванта) СКРС в качестве органической нагрузки (например, к 6 см3 ВС добавляют 4 см3 неразведенной сыворотки), перемешивают. Если средство обладает фиксирующими свойствами, то сыворотку добавляют в количестве 5%;
- приготовленной смесью контаминируют изделия, полностью погружая в нее мелкие, а на крупные наносят пипеткой, следя за равномерным смачиванием всей поверхности. Каналы изделий заполняют с помощью шприца или др. приспособления, избегая образования пузырьков воздуха;
- разъемные изделия погружают в смесь и, опуская в нее, делают несколько рабочих движений. Инструменты, имеющие замковые части, погружают раскрытыми, предварительно сделав ими несколько рабочих движений для лучшего проникновения вируса в труднодоступные участки изделия в области замка. Избыток смеси удаляют любым способом (промокают с помощью стерильной фильтровальной бумаги, марлевой салфетки), но не протирают! изделия. Тест-изделия подсушивают при температуре плюс (20 +/- 2) °C в течение 60 - 90 мин.
3.13.11.4. Приготовление рабочих растворов: растворы готовят на водопроводной питьевой воде.
При ручной обработке способом погружения контаминированные вирусом изделия погружают в раствор дезинфицирующего средства на время экспозиции (дезинфекционной выдержки) (5, 10, 15, 20, 30, 45, 60, 90, 120 мин) или, при необходимости, на более длительное время, например, 240 мин - для изделий однократного применения перед утилизацией.
При ручной обработке способом протирания поверхности тест-изделий тщательно протирают (однократно или многократно - для достижения критерия эффективности обеззараживания) марлевой салфеткой (размером 5 x 5 см), смоченной в растворе исследуемого средства;
При механизированном способе обработки контаминированные изделия размещают в установке, в соответствии с руководством по эксплуатации данной установки, раскладывая их раскрытыми, обеспечивая свободный доступ рабочего раствора средства.
3.13.11.5. По истечении времени экспозиции (дезинфекционной выдержки) (вне зависимости от способа обработки) изделия извлекают из раствора дезинфицирующего средства. Каналы промывают нейтрализатором, с поверхностей берут смывы салфетками (размером 5 x 5 см), смоченными нейтрализатором. Салфетки, мелкие изделия погружают в пробирки с бусами и с нейтрализатором (объем - 5 см3), которые помещают в шуттель-аппарат на 10 мин. Полученную смывную жидкость вносят в пробирки или лунки планшета с культурой клеток. Оптимальное время обеззараживания - не более 60 мин, для изделий однократного применения - не более 240 мин.
3.13.11.6. При обеззараживании профессиональных глюкометров применяют способ протирания предварительно очищенных поверхностей последовательно тремя разными хорошо отжатыми от раствора средства салфетками. Время экспозиции - от 1 до 3 мин.
3.13.12. Исследование вирулицидной активности средств, предназначенных для обеззараживания эндоскопов, включая ДВУ.
3.13.12.1. В качестве исследуемых объектов используют гибкий (гастроскоп), жесткий (цистоскоп) эндоскопы или фрагменты гибкого эндоскопа (гастроскопа) - его каналов и наружной поверхности.
3.13.12.2. С помощью пипетки ВС контаминируют поверхность и каналы эндоскопа (или его фрагменты), затем их погружают в раствор средства, заполняя им каналы изделия. Для имитации минимального органического загрязнения к ВС перед контаминацией тест-изделия добавляют 5% инактивированной сыворотки. Через 5 - 60 мин тест-изделие извлекают из раствора и берут смыв с его поверхности стерильной марлевой салфеткой, смоченной нейтрализатором. Канал изделия промывают раствором нейтрализатора и оставляют на 10 мин. Салфетки помещают в пробирки с нейтрализатором и стеклянными бусами, отмывают в шуттель-аппарате в течение 10 мин. Промывную - из каналов и смывную - с салфеток жидкости вносят в культуру клеток, отмытую от ростовой среды, оставляют на контакт на 30 - 60 мин для адсорбции вируса и добавляют поддерживающую среду. При необходимости для снятия цитотоксического действия средства клетки промывают раствором по типу Хенкса и заливают поддерживающей средой с сывороткой. Клетки инкубируют в термостате при необходимой для конкретного вируса температуре.
3.13.12.3. При разработке режима ДВУ в качестве органической нагрузки используют 5% инактивированной СКРС. Средство используют в концентрации, обеспечивающей стерилизацию, и определяют время инактивации вируса. Оптимальное время обеззараживания - не более 60 мин.
3.13.12.4. Исследование эффективности средств для ДВУ эндоскопов механизированным способом проводят в установках, зарегистрированных в установленном порядке и разрешенных к применению в медицинских организациях для этих целей.
3.13.12.5. Для определения эффективности средств для ДВУ в качестве тест-объектов используют эндоскопы в количестве, соответствующему количеству одновременно обрабатываемых эндоскопов согласно руководству по эксплуатации конкретной установки.
3.13.12.6. В день постановки эксперимента стерильные тест-объект(ы) искусственно контаминируют, нанося с помощью пипетки ВС в инструментальный канал, на поверхность рукоятки, рабочей части, гнезд клапанов канала подачи воды/воздуха и аспирационного канала. В качестве органической нагрузки используют 5% инактивированной СКРС.
3.13.12.7. Приготавливают рабочий раствор средства на водопроводной питьевой воде и заполняют контейнер установки приготовленным раствором. Эндоскоп(ы) помещают в ванну установки, подключают адаптеры к каналам эндоскопа, в соответствии с инструкцией к данной установке, и устанавливают режим, подлежащий изучению. После завершения обработки эндоскоп(ы) отключают, воду из каналов удаляют продувкой или аспирацией воздуха через вспомогательные приспособления при помощи шприца или помпы.
3.13.12.8. С поверхностей эндоскопа берут смывы стерильной марлевой салфеткой, смоченной раствором соответствующего нейтрализатора. Точки отбора проб соответствуют точкам заражения. Салфетки помещают в пробирки с нейтрализатором и стеклянными бусами, отмывают в шуттель-аппарате в течение 10 мин. Промывную - из каналов и смывную - с салфеток жидкости вносят в культуру клеток, отмытую от ростовой среды, оставляют на контакт на 30 - 60 мин для адсорбции вируса и добавляют поддерживающую среду. При необходимости для снятия цитотоксического действия средства клетки промывают раствором по типу Хенкса и заливают поддерживающей средой с сывороткой. Клетки инкубируют в термостате при необходимой для конкретного вируса температуре.
3.13.12.9. Кратность постановки эксперимента должна быть достаточной для получения статистически достоверных результатов. Оптимальное время обеззараживания - не более 60 мин.
3.13.13. Исследование вирулицидной активности средств, предназначенных для обеззараживания стоматологических оттисков.
3.13.13.1. В качестве тест-объектов используют оттиски из альгинатных, силиконовых или др. материалов. Для изготовления оттисков слепочную массу, полученную в соответствии с рекомендациями изготовителя, помещают в пластмассовую или металлическую ложку и делают оттиск с пластмассовых зубных протезов с моделированной десной.
3.13.13.2. На оттиски наносят ВС, подсушивают в течение 2 - 3 мин, промывают стерильной водой и погружают полностью в раствор средства. Контрольные контаминированные ВС оттиски погружают в стерильную питьевую воду (вместо раствора средства) на максимальное время, взятое в эксперименте. Через 5 - 30 мин оттиски извлекают из раствора средства (контрольные - из воды) и делают смывы марлевой салфеткой, смоченной в 5 см3 нейтрализатора, приготовленного на поддерживающей среде. Салфетки помещают в пробирки с нейтрализатором и стеклянными бусами, отмывают в шуттель-аппарате в течение 10 мин. Смывной жидкостью заражают культуру клеток (или др. биологический объект). Культуру клеток, отмытую от ростовой среды, оставляют на контакт на 30 - 60 мин для адсорбции вируса. Затем клетки промывают раствором по типу Хенкса и заливают поддерживающей средой с сывороткой. Клетки инкубируют в термостате при оптимальной для конкретного вируса температуре.
3.13.13.3. Оптимальное время обеззараживания - не более 30 мин.
3.13.14. Исследование спороцидной эффективности дезинфицирующих средств, предназначенных для обеззараживания медицинских изделий из различных материалов (кроме эндоскопов).
3.13.14.2. Тест-микроорганизмы: B. cereus или B. subtilis, в зависимости от ДВ средства.
3.13.14.3. Контаминация:
- при ручной обработке способом погружения и механизированном способе обработки на рабочую поверхность тест-изделия (у замковых изделий - также в область замка, а при наличии каналов и полостей - также в канал изделия) наносят 0,1 см3 суспензии, содержащей 1·109 спор/см3 тест-микроорганизма и 40% инактивированной лошадиной сыворотки. При испытании средств, обладающих фиксирующими свойствами, когда перед дезинфекцией требуется предварительный отмыв изделий от видимых загрязнений, количество добавляемой сыворотки уменьшают до 5%. Мелкие тест-изделия для контаминации погружают в эту суспензию на 15 мин. Контаминированные тест-изделия подсушивают до полного высыхания;
- при ручной обработке способом протирания на поверхность тест-изделия с помощью пипетки наносят по 0,1 см3 1-миллиардной суспензии тест-микроорганизма, содержащей 5% инактивированной лошадиной сыворотки.
3.13.14.4. Приготовление рабочих растворов: растворы готовят на водопроводной питьевой воде комнатной температуры или подогретой до плюс (50 +/- 1) °C.
При ручной обработке способом погружения после подсушивания контаминированные изделия погружают в раствор испытываемого средства, заполняя им все каналы и полости изделий, избегая образования воздушных пробок. Инструменты, имеющие замковые части, погружают раскрытыми, предварительно сделав ими в растворе средства несколько рабочих движений для лучшего проникновения раствора в труднодоступные участки изделия в области замка. Толщина слоя раствора средства над изделиями должна быть не менее 1 см.
При ручной обработке способом протирания поверхности тест-изделий тщательно протирают (однократно или многократно - для достижения критерия эффективности обеззараживания) марлевой салфеткой (размером 5 x 5 см), смоченной в растворе исследуемого средства.
При механизированном способе обработки после подсушивания контаминированные изделия размещают в установке, в соответствии с руководством по эксплуатации данной установки, раскладывая их раскрытыми, обеспечивая свободный доступ рабочего раствора средства.
3.13.14.5. По окончании обработки (вне зависимости от способа обработки) извлекают тест-изделия и стерильной марлевой салфеткой (размером 5 x 5 см), пропитанной нейтрализатором, с поверхности изделия делают смывы, затем салфетку помещают в пробирку с 10 см3 того же нейтрализатора на 5 мин, затем переносят ее в пробирку со стерильной водопроводной питьевой водой и встряхивают с бусами в течение 5 - 10 мин.
3.13.14.6. Для контроля эффективности обеззараживания делают посев смывной жидкости по 0,1 см3 на поверхность соответствующей для тест-микроорганизма плотной питательной среды, а салфетку помещают в бульон. Канал изделия промывают нейтрализатором и смывную жидкость засевают по 0,1 см3 в жидкую питательную среду. Посевы выдерживают в термостате при температуре плюс (37 +/- 1) °C в течение 21 суток. Учет предварительных результатов проводят через 48 ч и окончательных - через 21 сутки.
Параллельно контаминированные изделия погружают в стерильную водопроводную питьевую воду.
Кратность постановки эксперимента должна быть достаточной для получения статистически достоверных результатов.
3.13.14.7. Эффективным считают режим (концентрация - время воздействия - температура), обеспечивающий 100% гибель спор тест-микроорганизмов на всех изделиях. При наличии положительных проб эксперимент повторяют, увеличивая концентрацию или время воздействия.
3.13.15. Исследование спороцидной эффективности дезинфицирующих средств, предназначенных для обеззараживания эндоскопов.
3.13.15.1. В качестве тест-объектов используют фрагменты эндоскопа или эндоскоп (гибкий - гастроскоп, жесткий - цистоскоп). По 0,1 см3 суспензии, содержащей 1·109 спор тест-микроорганизмов и 5% инактивированной сыворотки наносят с помощью пипетки на наружную поверхность и в канал эндоскопа, подсушивают в течение 20 мин. Затем контаминированное изделие погружают в раствор средства, заполняя им полости и каналы эндоскопа. Через определенное время (от 15 до 60 мин) изделие извлекают из раствора и делают смыв с наружной поверхности марлевой салфеткой (размером 5 x 5 см), смоченной в растворе нейтрализатора; салфетку помещают в пробирку с 10 см3 того же стерильного раствора нейтрализатора на 5 мин, а затем переносят ее в пробирку со стерильной питьевой водой и встряхивают с бусами в течение 5 - 10 мин. Канал изделия промывают раствором нейтрализатора и смывную жидкость засевают на питательный агар. Проводят также контроль микробной обсемененности использованных для отмыва проб раствора нейтрализатора и питьевой воды. Кратность постановки эксперимента должна быть достаточной для получения статистически достоверных результатов.
3.13.15.2. Эффективным считают режим (концентрация - время - температура), обеспечивающий гибель тест-микроорганизма на всех тест-изделиях и отсутствие тест-микроорганизмов в растворе нейтрализатора. При наличии положительных проб эксперимент повторяют, увеличивая время воздействия, но не более чем до 60 мин. Положительной считается проба, показывающая характерный рост тест-микроорганизма на питательных средах; изменение жидкой питательной среды (помутнение, осадок, хлопья и т.д.) и характерный рост при посеве и пересеве на плотную питательную среду, или обнаружение тест-микроорганизма в растворе применявшегося нейтрализатора.
3.13.15.3. Режим дезинфекции, разработанный на имитаторах канала эндоскопа, проверяют при обеззараживании эндоскопа, контаминированного тест-микроорганизмом. При необходимости эффективность разработанного режима проверяют в практических условиях.
3.13.15.4. Критерием эффективности средства (режим применения средства) при обеззараживании эндоскопов является 100% гибель спор тест-микроорганизма.
3.13.16. Методы исследования эффективности работы стерилизационных аппаратов и режимов стерилизации, а также спороцидной эффективности стерилизующих средств, предназначенных для стерилизации медицинских изделий, включая эндоскопы.
3.13.16.1. Для повышения надежности стерилизации медицинских изделий разного назначения из металлов, полимеров, резин и др. материалов с использованием стерилизационного оборудования на основе разных принципов воздействия, а также в связи с изысканием новых и совершенствованием существующих методов, средств и режимов стерилизации, выбор наиболее приемлемого для конкретных условий стерилизационного оборудования или химических стерилизующих средств осуществляется на основе изучения эффективности различных технологий стерилизации. Создание устройств/оборудования нового типа, сочетающего действие физического и химического агентов, требует изучения и разработки оптимальных режимов для эффективной стерилизации с подбором (адекватных методу) медицинских изделий, с разработкой индикаторных систем для этого оборудования для правильного применения новой технологии в медицинских организациях.
3.13.16.2. Для новых химических средств стерилизации в виде растворов на основе известных или новых ДВ или их комбинаций и технологий применения, необходим подбор оптимальных параметров режимов стерилизации, включающий концентрацию раствора, время воздействия и температуру для конкретного вида медицинских изделий. При испытаниях стерилизационного оборудования (отечественных и зарубежных производителей) разного принципа действия: паровых, воздушных, инфракрасных, плазменных, этиленоксидных, гласперленовых стерилизаторов также проводят оценку эффективности режимов стерилизации.
3.13.16.3. Методы стерилизации, используемые в медицинских организациях, подразделяются на несколько типов и определяются конструкцией и материалом, из которого изготовлены медицинские изделия, подвергаемые стерилизации:
Тип/метод | Стерилизующий агент/средство |
Паровой | Водяной насыщенный пар под избыточным давлением |
Воздушный | Сухой горячий воздух |
Инфракрасный | Инфракрасное излучение |
Гласперленовый | Среда нагретых стеклянных шариков |
Газовый | Окись этилена или ее смесь с другими компонентами Формальдегид |
Химический | Пары перекиси водорода в специально предназначенных для этого, в т.ч. плазменных стерилизаторах Растворы химических средств (альдегид-содержащие, кислородактивные, хлорсодержащие соединения) |
Комбинированный | Сочетание различных агентов |
3.13.16.4. Рекомендации к стерилизующим агентам/средствам:
- высокая антимикробная активность в отношении патогенных и условно-патогенных видов микроорганизмов: бактерий, грибов, вирусов, в т.ч. в отношении устойчивых к определенному агенту споровых форм микроорганизмов;
- хорошая проникающая способность агента, в т.ч. через стерилизационные упаковочные материалы и равномерное распределение средства внутри стерилизационной камеры;
- обеспечение эффективных параметров режимов стерилизации, регламентированным значениям в загруженной камере аппарата;
- безопасность для персонала, пациентов, окружающей среды;
- совместимость с материалами обрабатываемых изделий;
- обеспечение эффективной работы стерилизационного аппарата, контролируемого средствами физического, химического и бактериологического контроля (изменение цвета химических индикаторов и гибель спор тест-культуры в биологических индикаторах);
- обеспечение эффективных параметров режимов стерилизации медицинских изделий растворами химических средств (концентрация раствора, время и температура воздействия) с возможностью химического контроля стерилизующего средства;
- растворы химических средств стерилизации должны быть стабильными при хранении, не иметь резкого неприятного запаха, хорошо растворимыми в воде, не вызывать повреждения обрабатываемых медицинских изделий, быть безопасными для человека и простыми для применения.
3.13.16.5. В случаях изучения стерилизационной аппаратуры нового принципа действия или исследования химического средства, содержащего новое ДВ, нового способа применения или значительного снижения концентрации и времени воздействия по сравнению с ранее разрешенными режимами, проводится подтверждение эффективности разработанных режимов стерилизации медицинских изделий химическими средствами или с применением стерилизационного оборудования в практических условиях, т.е. в реальных условиях применения.
3.13.17. Исследование спороцидной эффективности водяного насыщенного пара под избыточным давлением, предназначенного для стерилизации медицинских изделий. Метод предназначен для исследования эффективности стерилизации медицинских изделий (далее - изделий) водяным насыщенным паром под избыточным давлением, в т.ч. при испытаниях новых паровых стерилизаторов. Исследование проводят в паровых стерилизаторах при загруженной стерилизационной камере (с соблюдением норм загрузки).
3.13.17.1. Для контроля эффективности стерилизации изделий водяным насыщенным паром под избыточным давлением в качестве модельной загрузки стерилизационной камеры используют тест-объекты и тест-изделия, контаминированные суспензией спор тест-микроорганизма Geobacillus stearothermophilus (штамм BKM B-718), химические и биологические индикаторы, разрешенные к применению в установленном порядке для парового метода стерилизации в Российской Федерации, а также максимальные термометры, предназначенные для контроля температурного параметра работы паровых стерилизаторов.
3.13.17.2. В качестве тест-объектов применяют тест-изделия и тест-образцы (0,5 x 1,0 см) из резин, латекса, бязи, перевязочных материалов и др., которые раскладывают в чашки Петри и стерилизуют паровым или воздушным методом.
3.13.17.3. Из исходной суспензии спор G. stearothermophilus готовят суспензию, содержащую от 5,0 x 107 до 2,5 x 108 спор в 1 см3 для контаминации тест-объектов. Стерильные тест-объекты/тест-изделия контаминируют этой суспензией из расчета (1,0 - 5,0) x 106 спор на объект путем нанесения на каждый тест-объект/тест-изделие с помощью дозатора переменного объема 0,02 см3 подготовленной суспензии. Контаминированные тест-объекты/тест-изделия высушивают в термостате при температуре плюс (37 +/- 1) °C в течение 60 мин и закладывают в упаковку, разрешенную к применению в качестве стерилизационных упаковочных материалов для парового метода стерилизации в Российской Федерации.
3.13.17.4. В качестве тест-изделий используют изделия из коррозионностойких металлов (хирургические, стоматологические, гинекологические инструменты - корнцанги, зажимы, щипцы, пинцеты), стекла (пробирки, микропипетки), резин (катетеры, зонды, трубки), пластмасс (наконечники, лотки), которые предварительно стерилизую паровым методом, а затем контаминируют исходной суспензией спор тест-микроорганизма G. stearothermophilus (плотность контаминации 106 спор на тест-изделие) и упаковывают в бумажные пакеты или листовые материалы, или бязь - при размещении изделий в коробках стерилизационных; в комбинированные пакеты - при размещении изделий в корзинах загрузочных.
3.13.17.5. Упаковки с контаминированными тест-объектами/тест-изделиями, а также химическими и биологическими индикаторами нумеруют и размещают вместе с максимальными термометрами, предназначенными для контроля температурного параметра работы стерилизатора, в контрольных точках стерилизационной камеры вне коробок стерилизационных/корзин загрузочных у двери и задней стенки и в коробки стерилизационные/корзины загрузочные между изделиями. Тест-объекты и тест-изделия размещают между изделиями, применяемыми в качестве имитаторов загрузки. Плотность загрузки коробок стерилизационных изделиями из резин и текстиля должна соответствовать действующим нормам. Указанные изделия, а также изделия из металлов и стекла в коробках стерилизационных и корзинах загрузочных, распределяют равномерно; пакеты заполняют изделиями не более чем на 3/4 объема.
3.13.17.6. Стерилизатор включают и после его выхода на режим (достижение номинального значения давления/температуры стерилизации) начинают отсчет времени выдержки. По окончании времени выдержки тест-объекты и тест-изделия извлекают из стерилизатора.
Тест-объекты из резин, латекса, бязи, перевязочный материал с помощью пинцета, который обжигают над пламенем горелки, помещают в бактериологические пробирки с 5 см3 питательного бульона (бульон Хоттингера, МПБ, СПБ).
3.13.17.7. Для контроля стерильности крупных тест-изделий, подвергнутых обработке в стерилизаторе, с помощью марлевых салфеток (размер 5 x 5 см), предварительно увлажненных стерильным физиологическим раствором (0,9% раствор натрия хлорида), производят отбор проб с изделий методом смыва, а затем осуществляют посев салфеток в питательный бульон. У изделий, имеющих каналы, через последние пропускают физиологический раствор, после чего его засевают в питательный бульон. Инкубирование посевов проводят при температуре плюс (55 +/- 1) °C в течение 7 суток при использовании питательного бульона (бульон Хоттингера, СПБ, МПБ). При наличии роста микроорганизмов производят сравнение выделенной культуры с тест-микроорганизмом.
В качестве средств контроля используют тест-объекты и тест-изделия, которые не подвергают обработке в стерилизаторе. Посевы контрольных тест-объектов и тест-изделий или смывов с них осуществляют в питательную среду. Инкубирование посевов осуществляют аналогично тест-объектам/тест-изделиям, которые подвергали обработке в стерилизаторе.
3.13.17.8. Аналогичную методику исследования применяют и при отработке эффективных режимов стерилизации изделий во вновь разрабатываемых паровых стерилизаторах. Для этого эксперименты проводят при различном времени выдержки при размещении в различных точках стерилизационной камеры тест-объектов/тест-изделий, химических и биологических индикаторов и максимальных термометров. Для установления эффективности обработки проводят не менее трех экспериментов на каждый режим/каждое время обработки.
3.13.17.9. Критерий эффективности воздействия водяного насыщенного пара под избыточным давлением для стерилизации изделий является гибель 100% спор G. stearothermophilus на тест-объектах и тест-изделиях (из различных материалов), обработанных в исследуемом аппарате.
3.13.18. Исследование спороцидной эффективности сухого горячего воздуха, предназначенного для стерилизации медицинских изделий. Метод предназначен для исследования эффективности стерилизации изделий сухим горячим воздухом, в т.ч. при испытаниях новых воздушных стерилизаторов. Исследования проводят в воздушных стерилизаторах при загруженной стерилизационной камере (с соблюдением норм загрузки).
3.13.18.1. Для контроля эффективности стерилизации изделий сухим горячим воздухом при модельной загрузке стерилизационной камеры в качестве тест-изделий используют бактериологические пробирки - для стерилизаторов объемом стерилизационной камеры до 20 дм3 включительно; чашки биологические Петри с крышками - для стерилизаторов объемом стерилизационной камеры 40 дм3 и более. Предварительно их стерилизуют паровым или воздушным методом и контаминируют суспензией спор тест-микроорганизма Bacillus licheniformis (штамм G BKM B-1711D). Кроме этого, используют химические биологические индикаторы, разрешенные к применению в установленном порядке при воздушном методе стерилизации в Российской Федерации, а также максимальные термометры, предназначенные для контроля температурного параметра работы воздушных стерилизаторов.
3.13.18.2. Из исходной суспензии спор B. licheniformis готовят суспензию, содержащую от 5,0 x 107 до 2,5 x 108 спор в 1 см3 для контаминации тест-изделий из расчета (1,0 - 5,0) x 106 спор в/на тест-изделие, что достигается нанесением в/на каждое тест-изделие с помощью дозатора переменного объема 0,02 см3 подготовленной суспензии.
3.13.18.3. Контаминированные тест-изделия высушивают в термостате при температуре плюс (37 +/- 1) °C в течение 24 ч, затем их и имитаторы загрузки (пробирки и чашки Петри) помещают в упаковку, разрешенную к применению в качестве стерилизационных упаковочных материалов для воздушного метода стерилизации. Упаковки с тест-изделиями, а также химические и биологические индикаторы нумеруют и вместе с максимальными термометрами, предназначенными для контроля температурного параметра работы стерилизатора, размещают на загрузочные полки в места размещения датчиков температуры (не менее 5 точек). Имитаторы загрузки равномерно размещают на загрузочных полках стерилизатора (количество имитаторов загрузки, в т.ч. тест-изделий в зависимости от объема стерилизационной камеры составляет: 20 дм3 - 40 пробирок; 40 дм3 - 40 чашек Петри; 80 дм3 - 80 чашек Петри; 160 дм3 - 160 чашек Петри; 320 дм3 - 320 чашек Петри; 640 дм3 - 640 чашек Петри.
3.13.18.4. Стерилизатор включают и после достижения номинального значения температуры стерилизации начинают отсчет времени стерилизационной выдержки. По окончании времени стерилизационной выдержки тест-изделия и биологические индикаторы вынимают из стерилизатора. Пробирки заливают питательным бульоном (бульон Хоттингера, МПБ, СПБ); чашки Петри - питательным агаром (агар Хоттингера, МПА, СПА). Инкубирование тест-изделий проводят при температуре плюс (37 +/- 1) °C в течение 7 суток при использовании питательного бульона (бульон Хоттингера, МПБ, СПБ). Учет результатов проводят путем визуального осмотра. Отсутствие помутнения питательного бульона, роста микроорганизмов на чашке Петри указывает на гибель спор в/на тест-изделиях. При наличии роста микроорганизмов проводят сравнение выделенной культуры с тест-микроорганизмом.
3.13.18.5. В качестве средств контроля используют тест-изделия, которые не подвергают обработке в стерилизаторе. Посевы контрольных тест-изделий или смывов с них в питательную среду, а также инкубирование посевов осуществляют аналогично тест-изделиям, которые подвергали обработке в стерилизаторе.
3.13.18.6. Критерием эффективности сухого горячего воздуха для стерилизации изделий является 100% гибель спор термоустойчивого микроорганизма B. licheniformis в/на обработанных в исследуемом аппарате тест-объектах и тест-изделиях из различных материалов.
3.13.18.7. Аналогичную методику исследования применяют при отработке эффективных режимов стерилизации изделий в стерилизаторах разных марок, в т.ч. во вновь разрабатываемых стерилизаторах. Это относится к термическим методам стерилизации, таким как инфракрасный метод (с применением ИК-излучения) и гласперленовый метод (с применением среды нагретых стеклянных шариков). Для этого эксперименты проводят при различных времени выдержки и размещении в стерилизационной камере тест-объектов и тест-изделий из соответствующих материалов, с применением датчиков температуры в различных точках стерилизационной камеры и соответствующих, предусмотренных для этой цели, индикаторов контроля эффективности стерилизации. Для установления эффективности обработки проводят не менее трех экспериментов на каждое время обработки.
3.13.18.8. Критерием эффективности для стерилизации медицинских изделий является 100% гибель спор термоустойчивого микроорганизма B. licheniformis в/на обработанных в исследуемом аппарате тест-объектах и тест-изделиях из различных материалов.
3.13.19. Изучение спороцидной эффективности газового метода стерилизации с использованием в качестве стерилизующего агента окиси этилена или ее смеси с др. компонентами, а также формальдегида, предназначенных для стерилизации изделий. Метод предназначен для исследования спороцидной эффективности газового метода стерилизации с использованием в качестве стерилизующего агента окиси этилена или ее смеси с др. компонентами, а также формальдегида в этиленоксидном или формальдегидном стерилизаторах, предназначенных для стерилизации изделий, а также для оценки эффективности их работы, в т.ч. при испытаниях новых стерилизаторов подобного типа.
3.13.19.1. Исследования проводят в стерилизаторах при загруженной стерилизационной камере (с соблюдением норм загрузки). Эффективность стерилизации изучают в зависимости от типа стерилизатора, вида загрузки и ее размещения в стерилизационной камере, упаковки изделий, подлежащих стерилизации и др. факторов, специфичных для конкретного метода стерилизации. Эти методы также используются при испытаниях новых стерилизаторов, основанных на применении перечисленных химических стерилизующих агентов/средств.
3.13.19.2. Для контроля и оценки эффективности режимов стерилизации МИ с использованием в качестве стерилизующего агента окиси этилена или ее смеси с др. компонентами, а также формальдегида и в качестве модельной загрузки стерилизационной камеры используют тест-объекты и тест-изделия, контаминированные суспензией спор тест-микроорганизма, соответствующего изучаемым методам стерилизации (Bacillus subtilis, штамм ATCC 6633), а также химические и биологические индикаторы, содержащие споры тест-культур для газового метода, разрешенные к применению в Российской Федерации в установленном порядке при газовом методе стерилизации.
3.13.19.3. В качестве тест-объектов и медицинских тест-изделий многократного применения используют тест-образцы, нарезанные из материалов (металл, стекло, резины, полимерные материалы), которые раскладывают в чашки Петри и предварительно стерилизуют.
3.13.19.4. В качестве тест-изделий используют инструменты с замковыми частями, не выдерживающие термической стерилизации паровым и воздушным методами (эндоскопические инструменты; изделия, сочетающие в своей конструкции металл и стекло (шприцы), изделия, сочетающие металл и полимерные материалы (биполярные ножницы с электрическим кабелем), изделия из термолабильных и полимерных материалов, чувствительных к нагреванию и влажности, включая изделия, имеющие каналы, в т.ч. гибкие и жесткие эндоскопы и инструменты к ним, трубки и прокладки из силиконовой резины.
3.13.19.5. Для оценки эффективности работы перечисленных стерилизаторов используют средства химического (индикаторы 1 или 4 - 5 классов) и, при необходимости, физического (максимальные термометры, датчики температуры) контроля; при бактериологическом контроле используют биотесты, содержащие споры тест-культуры Bacillus subtilis, штамм ATCC 6633. Из исходной суспензии спор Bacillus subtilis готовят суспензию, содержащую от 5,0·107 до 2,5·108 спор в 1 см3 для контаминации тест-объектов и тест-изделий. Стерильные тест-объекты/тест-изделия контаминируют этой суспензией из расчета (1,0 - 5,0)·106 спор на объект путем нанесения на каждый тест-объект/тест-изделие с помощью дозатора переменного объема 0,02 см3 подготовленной суспензии. Контаминированные тест-объекты/тест-изделия высушивают в термостате при температуре плюс (37 +/- 1) °C в течение 24 ч и закладывают в бумажные и комбинированные (полимерная пленка + бумага) пакеты, разрешенные к применению Российской Федерации в качестве стерилизационных упаковочных материалов для газового метода стерилизации в для последующего размещения изделий в корзины загрузочные или на полки стерилизатора.
3.13.19.6. Упаковки с контаминированными тест-объектами/тест-изделиями, а также биологическими и химическими индикаторами нумеруют и размещают между изделиями, используемыми в качестве имитаторов загрузки вместе с максимальными термометрами/датчиками температур в контрольные точки стерилизационной камеры вне стерилизационных загрузочных корзин (у двери и задней стенки аппарата) и в корзины загрузочные между изделиями. Указанные изделия в загрузочных корзинах распределяют равномерно; пакеты заполняют изделиями не более чем на 3/4 объема. Стерилизатор включают и после его выхода на режим (достижение номинального значения давления/температуры стерилизации) начинают отсчет времени выдержки. По окончании времени выдержки тест-объекты и тест-изделия вынимают из стерилизатора.
3.13.19.7. Тест-объекты (металл, стекло, резина, полимерные материалы) пинцетом, который обжигают над пламенем горелки, помещают в бактериологические пробирки с 5 см3 питательного бульона (бульон Хоттингера, МПБ, СПБ). Для контроля стерильности крупных тест-изделий, подвергнутых обработке в стерилизаторе, с помощью марлевых салфеток (размером 5 x 5 см), предварительно увлажненных стерильным физиологическим раствором (0,9%-й раствор натрия хлорида), производят отбор проб с изделий методом смыва, а затем осуществляют посев салфеток в питательный бульон. У изделий, имеющих каналы, через последние пропускают физиологический раствор, после чего его засевают в питательный бульон. Инкубирование посевов проводят при температуре плюс (37 +/- 1) °C в течение 14 суток при использовании питательного бульона (бульон Хоттингера, СПБ, МПБ). При наличии роста микроорганизмов производят сравнение выделенной культуры с тест-микроорганизмом.
3.13.19.8. В качестве средств контроля используют тест-объекты и тест-изделия, которые не подвергают обработке в стерилизаторе. Посевы контрольных тест-объектов и тест-изделий или смывов с них осуществляют в питательную среду. Инкубирование посевов осуществляют аналогично тест-объектам/тест-изделиям, которые подвергали обработке в стерилизаторе.
3.13.19.9. Аналогичную методику исследования применяют и при отработке эффективных режимов стерилизации изделий во вновь разрабатываемых этиленоксидных стерилизаторах. Для этого эксперименты проводят при различном времени выдержки при размещении в различных точках стерилизационной камеры тест-объектов/тест-изделий и максимальных термометров/термодатчиков. Для установления эффективности обработки проводят не менее трех экспериментов на каждый режим/каждое время обработки.
3.13.19.10. Критерием эффективности для газового метода стерилизации с использованием в качестве стерилизующего агента окиси этилена или ее смеси с др. компонентами, а также формальдегида для стерилизации МИ является 100% гибель спор Bacillus subtilis, штамм ATCC 6633 (для газового метода с применением окиси этилена и формальдегида) на тест-объектах и тест-изделиях (из различных материалов), обработанных в исследуемом аппарате.
3.13.19.11. Параллельно проводят химико-аналитические исследования образцов изучаемых средств в химико-аналитической лаборатории и оценку общетоксического действия окиси этилена или ее компонентов или рабочих растворов формальдегида (изучаемых химических средств).
Все эксперименты ставят не менее чем в 3 повторностях. Полученные результаты подвергают статистической обработке по методу Стьюдента - Фишера при степени достоверности p <= 0,05.
3.13.20. Исследование спороцидной эффективности химического метода стерилизации медицинских изделий с использованием в качестве стерилизующего агента паров перекиси водорода в специально предназначенных для этого стерилизаторах, в т.ч. плазменных стерилизаторах. Метод предназначен для исследования спороцидной эффективности химического метода стерилизации МИ с использованием в качестве стерилизующего средства паров перекиси водорода в специально предназначенных для этого стерилизаторах, в т.ч. плазменных стерилизаторах, а также оценки эффективности их работы, в т.ч. при испытаниях новых стерилизаторов подобного типа.
3.13.20.1. Исследование проводят в стерилизаторах при загруженной стерилизационной камере (с соблюдением норм загрузки). Для качественного проведения плазменной стерилизации необходимо соблюдение норм загрузки и правильное размещение стерилизуемых изделий в камере на полках с учетом характера упаковки изделий.
3.13.20.2. Эффективность стерилизации изучают в зависимости от типа стерилизатора, вида загрузки и ее размещения в стерилизационной камере, упаковки изделий, подлежащих стерилизации, и других факторов, специфичных для конкретного метода стерилизации. Эти методы также используются при испытаниях новых стерилизаторов, основанных на использовании перечисленных химических стерилизующих агентов/средств.
3.13.20.3. Для контроля и оценки эффективности режимов стерилизации МИ с использованием в качестве стерилизующего агента раствора перекиси водорода, размещенного в кассетах или флаконах, в качестве модельной загрузки стерилизационной камеры используют тест-объекты и тест изделия, контаминированные суспензией спор тест-микроорганизма, соответствующего изучаемым методам стерилизации - Bacillus cereus (штамм ATCC 10876), а также химические и биологические индикаторы, содержащие споры тест-культур для плазменного метода, разрешенные к применению в Российской Федерации в установленном порядке при плазменном методе стерилизации.
3.13.20.4. В качестве тест-объектов используют тест-образцы, нарезанные из материалов (металл, стекло, резины, полимерные материалы), которые раскладывают в чашки Петри и предварительно стерилизуют.
3.13.20.5. В качестве тест-изделий используют инструменты с замковыми частями, не выдерживающие термическую стерилизацию паровым и воздушным методами (эндоскопические инструменты; изделия, сочетающие в своей конструкции металл и стекло (шприцы); изделия, сочетающие в своей конструкции металл и полимерные материалы (биполярные ножницы с электрическим кабелем); изделия из термолабильных и полимерных материалов, чувствительных к нагреванию и влажности, включая изделия, имеющие каналы, в т.ч. гибкие и жесткие эндоскопы и инструменты к ним, трубки и прокладки из силиконовой резины.
3.13.20.6. Из исходной суспензии спор Bacillus cereus готовят суспензию, содержащую от 5,0·107 до 2,5·108 спор в 1 см3 для контаминации тест-объектов и тест-изделий. Стерильные тест-объекты/тест-изделия контаминируют этой суспензией из расчета (1,0 - 5,0)·106 спор на 1 объект путем нанесения на каждый тест-объект/тест-изделие с помощью дозатора переменного объема 0,02 см3 подготовленной суспензии. Контаминированные тест-объекты/тест-изделия высушивают в термостате при температуре плюс (37 +/- 1) °C в течение 24 ч и закладывают в упаковочный материал, разрешенный к применению в Российской Федерации в качестве стерилизационных упаковочных материалов для плазменного метода стерилизации.
3.13.20.7. Упаковки с контаминированными тест-объектами/тест-изделиями, а также биологическими и химическими индикаторами нумеруют и размещают между изделиями, используемыми в качестве имитаторов загрузки вместе с максимальными термометрами/датчиками температур в контрольные точки стерилизационной камеры вне стерилизационных загрузочных корзин (у двери и задней стенки аппарата) и в корзины загрузочные между изделиями. Указанные изделия в загрузочных корзинах распределяют равномерно; пакеты заполняют изделиями не более чем на 3/4 объема. Стерилизатор включают и после его выхода на режим (достижение номинального значения давления/температуры стерилизации) начинают отсчет времени выдержки. По окончании времени выдержки тест-объекты и тест-изделия вынимают из стерилизатора.
3.13.20.8. Тест-объекты (металл, стекло, резина, полимерные материалы) пинцетом, который обжигают над пламенем горелки, помещают в бактериологические пробирки с 5 см3 питательного бульона (бульон Хоттингера, МПБ, СПБ). Для контроля стерильности крупных тест-изделий, подвергнутых обработке в стерилизаторе, с помощью марлевых салфеток (размер 5 x 5 см), предварительно увлажненных стерильным 1%-м раствором тиосульфата натрия, производят отбор проб с изделий методом смыва, а затем осуществляют посев салфеток в питательный бульон. У изделий, имеющих каналы, через последние пропускают физиологический раствор, после чего его засевают в питательный бульон. Инкубирование посевов проводят при температуре плюс (37 +/- 1) °C в течение 14 суток при использовании питательного бульона (бульон Хоттингера, СПБ, МПБ). При наличии роста микроорганизмов производят сравнение выделенной культуры с тест-микроорганизмом.
3.13.20.9. В качестве средств контроля используют тест-объекты и тест-изделия, которые не подвергают обработке в стерилизаторе. Посевы контрольных тест-объектов и тест-изделий или смывов с них осуществляют в питательную среду. Инкубирование посевов осуществляют аналогично тест-объектам/тест-изделиям, которые подвергали обработке в стерилизаторе.
3.13.20.10. Аналогичную методику исследования применяют и при отработке эффективных режимов стерилизации изделий во вновь разрабатываемых плазменных стерилизаторах. Для этого эксперименты проводят при различном времени выдержки при размещении в различных точках стерилизационной камеры тест-объектов/тест-изделий и максимальных термометров/термодатчиков. Для установления эффективности обработки проводят не менее трех экспериментов на каждый режим/каждое время обработки.
3.13.20.11. Критерий эффективности для плазменного метода стерилизации с использованием в качестве стерилизующего агента раствора перекиси водорода для стерилизации изделий является 100% гибель спор на тест-объектах и тест-изделиях (из различных материалов), обработанных в исследуемом аппарате.
3.13.20.12. Параллельно проводят химико-аналитические исследования образцов изучаемых средств в химико-аналитической лаборатории для подтверждения соответствия и оценку общетоксического действия раствора перекиси водорода (изучаемого средства).
3.13.21. Исследования спороцидной эффективности растворов химических стерилизующих средств, предназначенных для стерилизации медицинских изделий.
3.13.21.1. При исследовании и оценке спороцидной эффективности растворов стерилизующих средств (на основе ДВ, в т.ч. ранее не изученных), предназначенных для стерилизации изделий, используют B. cereus (штамм ATCC 10876) или B. subtilis (штамм ATCC 6633) с определенной устойчивостью.
3.13.21.2. В качестве тест-носителей используют простерилизованные тест-образцы из различных материалов (пластмасс, резин на основе натурального и силиконового каучука, стекла, металлов), имитирующие медицинские изделия, а также сами изделия (катетеры, боры и зеркала стоматологические, зажимы, эндоскопы). Для контаминации тест-носителей используют споры тест-микроорганизма, обладающего наибольшей устойчивостью к раствору данного химического агента.
3.13.21.3. При испытании раствора средства на основе ранее не изучавшегося для этой цели ДВ подбирают устойчивый спорообразующий микроорганизм, споры которого могут быть использованы в качестве тест-микроорганизма.
3.13.21.4. С целью контаминации тест-изделий на них капельным способом наносят суспензию спор тест-микроорганизма (из расчета 106 спор на 1 тест-изделие). Тест-микроорганизмы должны быть нанесены на наиболее сложные по конструкции и труднодоступные участки тест-изделий: в каналы, рабочие и замковые части. После этого тест-изделия подсушивают в течение 60 мин при температуре плюс (37 +/- 1) °C.
3.13.21.5. При проведении экспериментов изделия погружают в рабочие растворы таким образом, чтобы раствор полностью покрыл изделия (толщина слоя раствора над поверхностью изделий должна быть не менее 1 см) и заполнил все полости и каналы без воздушных пробок. Инструментами, имеющими замковые части, необходимо сделать несколько рабочих движений для лучшего проникновения раствора средства в области замка. При исследованиях используют растворы, имеющие комнатную температуру - плюс 18 - 20 °C. При испытании растворов альдегидсодержащих средств температура раствора должна составлять плюс 20 - 22 °C. В случае необходимости (для повышения активности растворов) готовят рабочие растворы умеренно повышенной температуры плюс (50 +/- 1) °C. Одновременно не менее чем по два тест-объекта помещают в воду, а также в раствор нейтрализатора на время, соответствующее максимальному исследуемому времени выдержки в изучаемом растворе средства.
3.13.21.6. Изучение эффективности средства и его рабочих растворов в зависимости от сроков хранения, а также (при необходимости) изучение эффективности рабочих растворов при многократном их использовании осуществляют аналогично указанному выше, применяя растворы средства с различными сроками хранения и кратностью использования для стерилизации.
3.13.21.7. При работе с тест-объектами и изделиями небольшого размера (боры) через определенные интервалы времени (в зависимости от состава средства) изделия извлекают из раствора исследуемого средства и последовательно осуществляют отмыв в растворе нейтрализатора и стерилизованной питьевой воде (по 5 мин) с последующим прямым посевом на жидкие питательные среды с 0,5% глюкозы. При работе с крупными изделиями для контроля стерильности подвергнутых обработке средством изделий осуществляют посев марлевых салфеток (размер 5 x 5 см), с помощью которых производят отбор проб с изделий методом смыва. Салфетки предварительно увлажняют раствором соответствующего нейтрализатора. При отмыве изделий, имеющих каналы, через последние пропускают раствор нейтрализатора. Если нейтрализатор для изучаемого средства не известен, целесообразно использовать универсальный нейтрализатор, проверенный на эффективность. Посевы выдерживают в термостате при температуре плюс (37 +/- 1) °C в течение 21 суток.
3.13.21.8. Критерием эффективности является 100% гибель спор тест-микроорганизма на всех тест-изделиях. При этом время действия раствора должно составлять не более 16 ч при температуре плюс 18 - 20 °C и не более 3 ч при умеренно повышенной температуре плюс (50 +/- 1) °C.
3.13.22. Исследование и оценка спороцидной эффективности стерилизующих средств, предназначенных для ДВУ эндоскопов. Средства, предназначенные для ДВУ эндоскопов, должны обеспечивать гибель на эндоскопах споровых форм микроорганизмов.
3.13.22.1. При изучении в качестве тест-объектов используют простерилизованные фрагменты канала гибкого эндоскопа в виде пластмассовых трубок длиной 20 мм и внутренним диаметром 2 мм. Перед проведением эксперимента тест-объекты подвергают очистке одним из средств, разрешенных для предстерилизационной очистки эндоскопов, а затем стерилизуют физическим (паровым) или химическим методом, рекомендованным для стерилизации гибких эндоскопов.
3.13.22.2. Простерилизованные тест-объекты искусственно контаминируют, нанося с помощью дозатора/микропипетки в центральную часть канала и на поверхности каждой трубки суспензию спор тест-микроорганизма из расчета 106 спор на каждый тест-объект. Контаминированные тест-объекты подсушивают при температуре плюс (37 +/- 1) °C в течение 120 мин.
3.13.22.3. Обработку исследуемым средством осуществляют способом погружения в исследуемый раствор, имеющий температуру плюс 18 - 20 °C (для альдегидсодержащих средств - плюс 20 - 22 °C). При проведении экспериментов тест-изделия погружают в рабочие растворы таким образом, чтобы раствор полностью покрыл изделия (толщина слоя раствора над поверхностью изделий должна быть не менее 1 см) и заполнил все полости и каналы без воздушных пробок. Через определенные интервалы времени, зависящие от химического состава средства (от 5 до 30 мин), тест-изделия извлекают из раствора и помещают на 5 мин в раствор соответствующего нейтрализатора, проверенного на эффективность. После этого тест-изделия переносят в пробирки с жидкой питательной средой (СПБ) с 0,5% глюкозы. Посевы выдерживают в термостате при температуре плюс (37 +/- 1) °C в течение 21 суток. Предварительный учет результатов осуществляют через 48 - 72 ч, а окончательный - на 21-е сутки. В качестве контроля используют тест-объекты, контаминированные как указано выше и помещенные в нейтрализатор и в водопроводную воду на время максимальной стерилизационной выдержки.
3.13.22.4. Эффективным считают режим (концентрация - время - температура), обеспечивающий 100% гибель спор тест-микроорганизма на всех тест-объектах при отсутствии его в нейтрализаторе. При наличии положительных проб эксперимент повторяют, увеличивая время воздействия, но не более чем до 16 часов. Режим стерилизации, разработанный на имитаторах канала эндоскопа, проверяют при обработке эндоскопа, контаминированного тест-микроорганизмом.
3.13.22.5. Критерием эффективности является достижение 100% гибели спор тест-микроорганизма на всех тест-изделиях. При этом время действия раствора должно составлять не более 16 ч при температуре плюс 18 - 20 °C и не более 3 ч при умеренно повышенной температуре плюс (50 +/- 1) °C.
3.13.23. Исследование эффективности применения специальных установок, предназначенных для стерилизации эндоскопов механизированным способом проводят с использованием средств, предназначенных для стерилизации гибких эндоскопов механизированным способом в установках и зарегистрированных в установленном порядке.
3.13.23.1. Стерильные эндоскопы искусственно контаминируют, нанося с помощью дозатора/микропипетки в инструментальный канал 3 - 5 см3 суспензии спор тест-микроорганизма, а на поверхность рабочей части эндоскопа, на клапаны подачи воды/воздуха и аспирации, на поверхность блока регулировки изгиба дистальной части эндоскопа - по 0,1 см3 суспензии тест-микроорганизма, содержащей 1·106 спор бацилл, на каждую точку. Контаминированные эндоскопы подсушивают при температуре плюс 18 - 22 °C в течение 120 мин.
3.13.23.2. Перед проведением стерилизации механизированным способом в специальной установке проводят визуальный осмотр эндоскопа и проверку на герметичность с помощью течеискателя в соответствии с инструкцией по эксплуатации. Негерметичный эндоскоп не подлежит дальнейшей обработке и использованию.
3.13.23.3. Раствор стерилизующего средства готовят на водопроводной питьевой воде в эмалированных (без повреждения эмали) или пластмассовых емкостях. Полученный раствор заливают в емкость для стерилизующего средства.
3.13.23.4. Эндоскоп помещают в ванну установки, подключают адаптеры к каналам эндоскопа в соответствии с инструкцией к исследуемой установке и устанавливают режим в соответствии с инструкцией к используемому средству. Необходимо убедиться, что установка обеспечивает подачу стерильной воды для окончательного ополаскивания эндоскопов. Обработка в автоматизированных установках определенных моделей эндоскопов проводится при наличии адаптеров для подключения основных каналов к оборудованию. При отсутствии в установке адаптера для подключения дополнительного канала (для подачи воды, для подачи CO2, проводника элеватора) этот канал должен обрабатываться вручную до начала цикла в установке. По окончании цикла обработки проводят сушку каналов и затем эндоскоп извлекают из установки. Через внутренние каналы эндоскопа пропускают 10 см3 стерильного раствора нейтрализатора в пробирку, стерильными марлевыми салфетками (размером 5 x 5 см), смоченными раствором соответствующего нейтрализатора, берут смывы с эндоскопа и помещают в 10 см3 стерильного раствора нейтрализатора, находящегося в широкогорлых пробирках с бусами. Точки отбора проб соответствуют точкам контаминации эндоскопа. Перемешивают в течение 5 - 10 мин, затем проводят фильтрование с помощью прибора для мембранной фильтрации под вакуумом с диаметром фильтрующей поверхности 35 или 47 мм с устройством для создания разрежения 0,5 - 1,0 атм. Воронку и столик прибора перед анализом стерилизуют в паровом или воздушном стерилизаторе. На нижнюю часть прибора (столик) кладут стерильным или фламбированным пинцетом стерильный мембранный фильтр; прижимают его верхней частью прибора (стаканом, воронкой); закрепляют устройством, предусмотренным конструкцией прибора, наливают при соблюдении правил стерильности все содержимое пробирки и создают вакуум в приемном сосуде. Фильтруют поочередно смывы, взятые с каждой точки контаминации, через разные воронки и фильтры. После окончания фильтрования стакан (воронку) снимают, фильтр осторожно приподнимают за край стерильным или фламбированным пинцетом при сохранении вакуума для удаления излишней влаги на нижней стороне фильтра, а затем переносят его, не переворачивая, на плотную питательную среду так, чтобы между средой и фильтром не было пузырьков воздуха.
3.13.23.5. Посевы выдерживают в термостате при температуре и времени, оптимальных для роста использованного тест-микроорганизма, после чего проводят учет результатов эксперимента. В качестве контроля используют контаминированный эндоскоп. Процесс обработки эндоскопа проводится аналогично вышеописанной процедуре с использованием стерильной водопроводной питьевой воды вместо дезинфицирующего средства.
3.13.23.6. Критерий эффективности обеззараживания - 100% гибель спор тест-микроорганизма. Время обеззараживания - не более 16 ч при температуре плюс 18 - 20 °C и не более 3 ч при умеренно повышенной температуре плюс (50 +/- 1) °C.
3.13.24. Исследование эффективности применения специальных установок, предназначенных для ДВУ эндоскопов механизированным способом, проводят с использованием средств, предназначенных для ДВУ гибких эндоскопов механизированным способом, в установках, зарегистрированных в установленном порядке.
3.13.24.1. Для исследования выбирают средства, обладающее спороцидным действием, и испытания проводят при тех же условиях (концентрация, температура), которые обеспечивают гибель спор бацилл, определяя необходимое время экспозиции (дезинфекционной выдержки) для достижения гибели наиболее устойчивого к используемому средству микроорганизма.
3.13.24.2. Стерильные эндоскопы искусственно контаминируют, нанося с помощью дозатора/микропипетки в инструментальный канал 3 - 5 см3 суспензии тест-микроорганизма, на поверхность рабочей части эндоскопа, на клапаны подачи воды/воздуха и аспирации, на поверхность блока регулировки изгиба дистальной части эндоскопа - по 0,1 см3 суспензии тест-микроорганизма, содержащей 1·106 микробных клеток на каждую точку. Для имитации органического загрязнения к суспензии микроорганизмов перед контаминацией объекта добавляют 2% инактивированной лошадиной сыворотки. Контаминированные эндоскопы подсушивают при комнатной температуре плюс 18 - 22 °C в течение 20 мин.
3.13.24.3. Перед проведением ДВУ механизированным способом в специальной установке проводят визуальный осмотр эндоскопа и проверку на герметичность с помощью течеискателя в соответствии с инструкцией по эксплуатации. Негерметичный эндоскоп не подлежит дальнейшей обработке и использованию.
3.13.24.4. Раствор дезинфицирующего средства готовят на водопроводной питьевой воде в эмалированных (без повреждения эмали) или пластмассовых емкостях. Полученный раствор заливают в емкость для дезинфицирующего средства.
3.13.24.5. Эндоскоп помещают в ванну установки, подключают адаптеры к каналам эндоскопа в соответствии с инструкцией к исследуемой установке и устанавливают режим в соответствии с инструкцией к используемому средству. Обработка в автоматизированных установках определенных моделей эндоскопов проводится при наличии адаптеров для подключения основных каналов к оборудованию. При отсутствии в установке адаптера для подключения дополнительного канала (для подачи воды, подачи CO2, проводника элеватора) этот канал должен обрабатываться вручную до начала цикла в установке. По окончании цикла обработки проводят сушку каналов и затем эндоскоп извлекают из установки. Через внутренние каналы эндоскопа пропускают 10 см3 нейтрализатора в пробирку, стерильными марлевыми салфетками (размером 5 x 5 см), смоченными раствором соответствующего нейтрализатора, берут смывы с эндоскопа и помещают в 10 см3 нейтрализатора, находящегося в широкогорлых пробирках с бусами. Точки отбора проб соответствуют точкам контаминации эндоскопа. Перемешивают в течение 5 - 10 мин, затем проводят фильтрование с помощью прибора для мембранной фильтрации под вакуумом с диаметром фильтрующей поверхности 35 или 47 мм и устройством для создания разрежения 0,5 - 1,0 атм. Воронку и столик прибора перед анализом стерилизуют в паровом или воздушном стерилизаторе. На нижнюю часть прибора (столик) кладут стерильным или фламбированным пинцетом стерильный мембранный фильтр; прижимают его верхней частью прибора (стаканом, воронкой); закрепляют устройством, предусмотренным конструкцией прибора, наливают при соблюдении правил стерильности все содержимое пробирки и создают вакуум в приемном сосуде. Фильтруют поочередно смывы с каждой точки через разные воронки и фильтры. После окончания фильтрования стакан (воронку) снимают, фильтр осторожно приподнимают за край стерильным или фламбированным пинцетом при сохранении вакуума для удаления излишней влаги на нижней стороне фильтра, а затем переносят его, не переворачивая, на плотную питательную среду так, чтобы между средой и фильтром не было пузырьков воздуха.
3.13.24.6. Посевы выдерживают в термостате при температуре и времени, оптимальных для роста использованного тест-микроорганизма, после чего проводят учет результатов эксперимента. В качестве контроля используют контаминированный эндоскоп. Процесс обработки эндоскопа проводится аналогично вышеописанной процедуре с использованием стерильной водопроводной питьевой воды вместо дезинфицирующего средства.
3.13.24.7. Критерий эффективности обеззараживания - 100% гибель тест-микроорганизма. Время обеззараживания - не более 60 мин.
3.14. Определение микробопроницаемости стерилизационных
упаковочных материалов, предназначенных для упаковки
медицинских изделий перед стерилизацией. Исследование
эффективности стерилизации медицинских изделий
в упаковочных материалах
3.14.1. Для профилактики инфекций, связанных с оказанием медицинской помощи (ИСМП), в медицинских организациях особая роль отводится обеспечению не только стерилизации медицинских изделий многократного применения, но и сохранению их стерильности до момента использования по назначению. Одним из наиболее известных способов (наряду с традиционным применением стерилизационных коробок) для размещения изделий/материалов при подготовке их к стерилизации и хранения изделий после стерилизации является применение стерилизационных упаковочных материалов однократного применения (далее - упаковки). Они выдерживают стерилизацию одним или несколькими методами (паровой, воздушный, газовый, химический) и служат для предупреждения вторичной контаминации микроорганизмами при хранении простерилизованных материалов до их использования.
3.14.2. Условия, предъявляемые к упаковочным материалам однократного применения:
- проницаемость для соответствующих стерилизующих агентов, что позволяет стерилизовать упакованные изделия;
- непроницаемость для микроорганизмов при условии соблюдения правил использования, условий и сроков хранения упаковок;
- сохранение целостности (в т.ч. герметичности швов) и внешнего вида (кроме изменения цвета индикатора) после стерилизации соответствующим методом.
3.14.3. До проведения экспериментальных исследований по оценке микробонепроницаемости упаковок соответствующих типов предварительно визуально проверяют внешний вид представленных упаковок, а также нанесенной на поверхности пакетов маркировки (в т.ч. наличие индикаторов).
3.14.4. При изучении эффективности стерилизации медицинских изделий в исследуемых упаковочных материалах проводят контроль стерильности изделий, простерилизованных соответствующим методом (паровым/воздушным/газовым/химическим), с использованием тест-изделий и тест-объектов, предварительно контаминированных тест-микроорганизмами, используя суспензии тест-микроорганизмов G. stearothermophilus, B. cereus, B. subtilis, B. licheniformis в споровой форме, соответствующих исследуемому методу стерилизации.
3.14.5. Для контаминации тест-объектов/тест-изделий на них капельным способом наносят суспензию спор тест-микроорганизма (из расчета 106 спор на 1 тест-изделие). Тест-микроорганизмы должны быть нанесены на наиболее сложные по конструкции и труднодоступные участки тест-изделий: в каналы, рабочие и замковые части. После этого тест-изделия подсушивают в течение 60 мин при температуре плюс (37 +/- 1) °C. Подготовленные изделия помещают в исследуемые упаковочные материалы, соответствующие методу стерилизации.
3.14.6. Проводят обработку упаковок с контаминированными тест-объектами/тест-изделиями соответствующим методом стерилизации (паровым/воздушным/газовым/химическим) в разрешенных к применению в установленном порядке стерилизаторах, размещая упаковки, заполненные изделиями, в корзинах стерилизационных загрузочных или стерилизационных коробках (между пакетами с изделиями, используемыми в качестве имитаторов загрузки).
3.14.7. Контроль соблюдения параметров режимов работы стерилизаторов при использовании упаковок, заполненных изделиями, проводят с использованием максимальных термометров, химических и биологических индикаторов, соответствующих методу стерилизации.
3.14.8. После завершения цикла стерилизации (паровым/воздушным/газовым/плазменным) методами регистрируют показания максимальных термометров, сопоставляя их показания между собой, а также с номинальными значениями температур стерилизации; визуально оценивают изменение цвета химических индикаторов и состояние упаковок с изделиями; помещают биологические индикаторы в инкубатор с соответствующим типу индикатора температурным параметром для последующей оценки соблюдения параметров режима работы стерилизатора.
3.14.9. После стерилизационной обработки упаковок с изделиями проводят контроль стерильности тест-объектов путем прямого посева изделий целиком в пробирки с питательной средой с 0,5% глюкозы. При проверке стерильности более крупных изделий проводят отбор проб методом смывов с различных участков поверхности изделий с соблюдением асептических условий с последующим посевом марлевых салфеток в питательный бульон. Инкубирование посевов проводят при температуре плюс (37 +/- 1) °C в течение 14 суток при использовании физических методов стерилизации (паровой, воздушный), 21 суток - при использовании газового и химического методов стерилизации. Об эффективности стерилизации судят по отсутствию роста тест-культуры при наличии роста в контрольных пробирках.
3.14.10. После стерилизационной обработки соответствующими методами визуально оценивают состояние пакетов (отсутствие разрывов по боковым швам, в местах фиксации клапана и запаивания), а также внешнее состояние маркировки на пакетах и изменение цвета химических индикаторов на них.
3.14.11. Испытание упаковок (пакетов) на микробопроницаемость осуществляют после проведения циклов стерилизации (паровым/воздушным/газовым/химическим) методами.
3.14.11.1. Для этих целей в пакеты после проведенной стерилизации, соблюдая асептические условия, помещают стерильные чашки Петри (без крышек) с питательным агаром, после чего заклеивают открытые стороны упаковок. Подготовленные пакеты помещают в аэрозольную камеру объемом 1 м3.
3.14.11.2. В аэрозольной камере распыляют суспензию суточной культуры Staphylococcus aureus в количестве, достаточном для создания в воздухе камеры концентрации микроорганизмов 2,0·105 клеток/м3.
3.14.11.3. Аэрозоль создают с помощью распыливающей аппаратуры, которая обеспечивает образование в воздухе не менее 80% частиц с дисперсностью (10 +/- 5) мкм. Для замедления оседания бактериального аэрозоля с момента начала распыления и до окончания времени выдержки осуществляют перемешивание воздуха в камере с помощью вентилятора. Время выдержки в аэрозольной камере пакетов с размещенными в них чашками Петри, а также чашек Петри без упаковки (контрольные) составляет 1 ч.
3.14.11.4. Оценку обсемененности воздуха проводят аспирационным методом. После эксперимента упаковки, соблюдая асептические условия, переносят в бокс с ламинарным потоком воздуха, чашки Петри с питательным агаром извлекают из упаковок и закрывают стерильными крышками. Затем чашки помещают в термостат и инкубируют посевы при температуре плюс (37 +/- 1) °C в течение 48 ч.
3.14.11.5. Учет результатов осуществляют по истечении срока инкубации путем подсчета числа колоний тест-микроорганизмов, выросших на чашках с питательным агаром (размещенных в испытуемых образцах упаковочного материала) и на контрольных чашках.
3.14.12. Образцы испытуемого упаковочного материала считают непроницаемыми для микроорганизмов при отсутствии роста тест-культуры на питательной среде в чашках Петри, размещенных внутри испытуемых образцов упаковочного материала.
3.15. Методы исследований и критерии оценки эффективности
средств для предстерилизационной очистки медицинских изделий
3.15.1. Химические средства, рекомендуемые для предстерилизационной очистки медицинских изделий, должны отвечать следующим критериям:
- обладать высокой моющей способностью, т.е. за короткое время при температуре не выше плюс 50 °C обеспечивать удаление органических (белковых, в т.ч. кровяных; жировых и др.) и неорганических загрязнений, включая остатки лекарственных препаратов;
- не оказывать фиксирующего действия на загрязнения при контакте с ними; средства для совмещения предстерилизационной очистки и дезинфекции изделий не должны приводить к фиксирующему эффекту в рекомендуемых для такой обработки режимах;
- хорошо растворяться в воде;
- не приводить к обильному пенообразованию;
- не приводить к повреждению обрабатываемых изделий;
- иметь срок годности не менее 1 года (средства, относящиеся к электрохимически активированным растворам (анолиты, католиты), вырабатываемым установками, должны иметь срок годности не менее 3 суток).
3.15.2. При изучении эффективности химических средств для предстерилизационной очистки медицинских изделий необходимо иметь характеристику средства с указанием физико-химических свойств и условий хранения.
3.15.3. Средства, предназначенные для предстерилизационной очистки медицинских изделий, а также ДВ для производства этих средств до начала исследований моющих свойств подлежат проверке на фиксирующее действие в следующих случаях:
- если в состав средства входят спиртовые и/или альдегидные компоненты, и/или амины, и/или полимерные производные гуанидина, и/или ЧАС, и/или надкислоты или их производные;
- если на исследования представлено новое ДВ или в состав средства входит новый компонент, относительно которого нет данных о фиксирующем действии.
3.15.4. Исследования порошкообразных средств, их рабочих растворов проводят только при их полном растворении в питьевой воде (если разработчиком специально не оговорена возможность присутствия остатков нерастворенных компонентов, которые не должны/не могут оказывать отрицательных воздействий на моющие свойства средства).
3.15.5. Для оценки эффективности ДВ (субстанций), предназначенных для производства средств предстерилизационной очистки, а также самих средств предстерилизационной очистки в лабораторных условиях, в качестве тест-загрязнения применяют донорскую кровь.
3.15.6. Методы определения фиксирующих свойств средств, в т.ч. ДВ, субстанций, предназначенных для предстерилизационной очистки медицинских изделий.
3.15.6.1. Для определения фиксирующего действия используют тест-изделия из следующих материалов:
- металлов (скальпель хирургический остроконечный или брюшистый, стоматологический диск алмазный);
- резин из натурального и синтетического каучука (фрагменты дренажных трубок длиной 10 мм);
- стекла (предметное стекло или крышка чашки Петри).
3.15.6.2. В день постановки эксперимента на поверхность каждого тест-изделия (обязательно на поверхность канала фрагмента дренажной трубки) с помощью пипетки (объем 1 - 2 см3) наносят по две капли (диаметр не менее 3 мм) консервированной донорской крови и подсушивают до полного высыхания (в зависимости от влажности воздуха в помещении). Готовят рабочие растворы средства или ДВ с различными, подлежащими изучению концентрациями. При необходимости испытывают растворы с начальной повышенной, но не выше плюс 50 °C температурой; конкретную температуру подбирают применительно к конкретному средству. Эксперименты проводят при температуре воздуха в помещении и температуре растворов средства плюс (20 +/- 2) °C. Тест-изделия, загрязненные кровью, после подсушивания погружают (избегая соприкосновения с краями емкости) в приготовленный рабочий раствор на различное время (максимальное время воздействия раствора не должно превышать 20 мин).
3.15.6.3. По истечении времени выдержки каждое тест-изделие ополаскивают под струей проточной (120 дм3/ч) питьевой воды в течение 30 с, не допуская прямого попадания струи воды на места, первоначально загрязненные кровью. Объем воды измеряют с помощью мерного сосуда и секундомера. С помощью водопроводного крана регулируют поток воды таким образом, чтобы за 30 с в мерный сосуд поступал 1 дм3 воды.
3.15.6.4. При работе со средствами, предназначенными одновременно для дезинфекции медицинских изделий, с целью оценки фиксирующих свойств используют рабочие растворы тех концентраций и при том же времени воздействия, которые оказались эффективными при оценке антимикробных свойств. Все манипуляции проводят аналогично указанному выше.
3.15.6.5. О наличии фиксирующих свойств у ДВ судят, визуально оценивая наличие остатков крови на поверхности тест-изделия в местах нанесения крови после его выдержки в рабочем растворе средства и ополаскивания под проточной питьевой водой.
3.15.6.6. Критерии фиксирующего действия:
- группа А - отсутствие визуально наблюдаемого ореола на поверхности тест-изделия в местах первоначального нанесения капель крови свидетельствует о том, что раствор не оказывает фиксирующего действия (условное обозначение "-");
- группа Б - наличие визуально наблюдаемого ореола на поверхности тест-изделия в местах первоначального нанесения капель крови свидетельствует о том, что раствор оказывает слабое фиксирующее действие (условное обозначение "+");
- группа В - наличие визуально наблюдаемых следов крови на поверхности тест-изделия в местах первоначального нанесения капель крови свидетельствует о том, что раствор оказывает умеренное фиксирующее действие (условное обозначение "++");
- группа Г - наличие визуально наблюдаемых явно выраженных остатков крови на поверхности тест-изделия в местах первоначального нанесения капель крови свидетельствует о том, что раствор оказывает сильное фиксирующее действие (условное обозначение "+++").
3.15.6.7. Исходя из критериев по фиксирующему действию, дезинфицирующие средства:
- если дезинфицирующие средства относятся к
группе А, то их целесообразно использовать для предстерилизационной очистки, в т.ч. совмещенной с дезинфекцией, медицинских изделий (с подсушенными загрязнениями);
- если дезинфицирующие средства относятся к
группе Б, то их можно использовать для предстерилизационной очистки, в т.ч. совмещенной с дезинфекцией, медицинских изделий, не допуская подсушивания загрязнений;
- если дезинфицирующие средства относятся к
группе В, то их можно использовать для предстерилизационной очистки, в т.ч. совмещенной с дезинфекцией, медицинских изделий (не допуская подсушивания загрязнений) с предварительным удалением видимых загрязнений с поверхностей и из каналов изделий;
- дезинфицирующие средства, относящиеся к
группе Г, нецелесообразно использовать для предстерилизационной очистки, в т.ч. совмещенной с дезинфекцией медицинских изделий.
3.15.7. Исследование эффективности моющих свойств средств для предстерилизационной очистки при ручном способе обработки медицинских изделий.
3.15.7.1. Для определения эффективности (моющих свойств) средств используют тест-изделия (в количестве не менее 10, относящихся к конкретной группе) из различных материалов: металлов (хирургические инструменты - пинцеты, скальпели, ножницы, зажимы; стоматологические инструменты - боры твердосплавные и алмазные, зеркала цельнометаллические и с амальгамой, щипцы, гладилки), стекла, пластмасс, резин на основе натурального и силиконового каучука (фрагменты трубок длиной 10 мм и внутренним диаметром 2 - 7 мм). При необходимости определения эффективности средств для предстерилизационной очистки медицинских изделий иной конструкции (эндоскопы, инструменты к ним и др.) используют изделия, относящиеся к конкретной группе (эндоскопы и инструменты к ним в количестве не менее 3). Конкретные группы однородных изделий: изделия, имеющие замковые части; изделия, имеющие каналы; изделия, не имеющие замковых частей или каналов (кроме стоматологических инструментов, имеющих алмазные рабочие части); вращающиеся стоматологические инструменты, имеющие алмазные рабочие части.
3.15.7.2. Новые тест-изделия предварительно очищают от масел, механических загрязнений, моют и стерилизуют паровым методом. Тест-изделия из металлов и стекла могут быть простерилизованы воздушным методом.
3.15.7.3. В качестве тест-загрязнения применяют донорскую кровь. Эксперименты проводят при температуре воздуха в помещении плюс (20 +/- 2) °C. В день постановки эксперимента тест-изделия загрязняют донорской кровью с помощью пипетки (объем 1 - 2 см3):
- на поверхность рабочей части тест-изделия из металлов наносят одну каплю и в замковую часть две капли крови (диаметр каждой капли не менее 3 мм) и делают несколько рабочих движений для проникновения крови в труднодоступные участки замковой части инструмента;
- во внутреннюю часть тест-изделий из резин, пластмасс и стекла наносят две капли крови, которые должны быть распределены по всей внутренней поверхности тест-изделия.
Загрязненные тест-изделия подсушивают до полного высыхания (в зависимости от температуры и влажности воздуха в помещении).
3.15.7.4. Для определения эффективности средств для предстерилизационной очистки эндоскопов донорской кровью заполняют все каналы, по одной капле наносят на гнезда клапанов, на поверхность рабочей части и поверхность рукоятки наносят по 1 - 2 капли крови (диаметр не менее 3 мм) с помощью пипетки (объем 1 - 2 см3). Загрязненные эндоскопы не подсушивают.
3.15.7.5. Готовят рабочие растворы средства с различными, подлежащими изучению концентрациями. Температура рабочего раствора должна быть в пределах плюс 18 - 22 °C. При необходимости испытывают растворы с начальной повышенной, но не выше плюс 50 °C температурой.
3.15.7.6. Тест-изделия, загрязненные кровью, ополаскивают под проточной питьевой водой в течение 30 с (при изучении средства, предназначенного для совмещения процесса очистки и дезинфекции, ополаскивание тест-изделий не проводят) и погружают в приготовленный рабочий раствор на различное время (максимальное время воздействия раствора не должно превышать 20 мин), каждый раз по окончании которого осуществляют механическую очистку каждого тест-изделия с помощью различных приспособлений (щетки, ерши, марлевые салфетки, ватные тампоны, шприцы - в зависимости от конструкционных особенностей изделий) в той же порции раствора, в которой проводили замачивание, а затем ополаскивают под проточной питьевой водой в течение 1 мин.
3.15.7.7. При работе со средствами, предназначенными одновременно для дезинфекции медицинских изделий, для оценки моющих свойств используют рабочие растворы в тех режимах (концентрация, температура, время воздействия), которые оказались эффективными при оценке антимикробных свойств. Все манипуляции проводят аналогично указанному выше, за исключением этапа промывания под проточной питьевой водой.
3.15.7.8. При определении эффективности средств, предназначенных для предстерилизационной очистки, помимо изучения зависимости моющего действия от концентрации ДВ и времени воздействия раствора, при необходимости исследуют зависимость эффективности от температуры и pH раствора.
3.15.7.9. Оценку моющих свойств средства проводят путем постановки азопирамовой пробы, оценивая наличие или отсутствие крови на тест-изделиях (после их выдержки и механической очистки в рабочем растворе и ополаскивания под проточной питьевой водой).
3.15.8. Методика постановки азопирамовой пробы. Определение скрытой крови с помощью комплекта реактива N 1 (амидопирин в порошке, медицинский), реактива N 2 (солянокислый анилин, чистый для анализа) "Азопирам" или готовый комплект, который содержит амидопирина раствор в изопропиловом спирте, стабилизатор - 90 см
3; анилина солянокислый раствор в изопропиловом спирте, стабилизатор - 10 см
3.
| | ИС МЕГАНОРМ: примечание. В официальном тексте документа, видимо, допущена опечатка: стандарт имеет номер ГОСТ Р 55878-2013, а не ГОСТ 55878. | |
3.15.8.1. Приготовление спиртового раствора реактива "Азопирам": 10 г реактива N 1 и 0,15 г реактива N 2 смешивают в сухой мерной колбе (150 см
3), добавляют 50 см
3 95%-го этилового спирта
(ГОСТ 55878), тщательно перемешивают до полного растворения и доводят объем 95%-м этиловым спиртом до 100 см
3.
Примечание. Спиртовой раствор "Азопирам" следует хранить в закрытой стеклянной колбе с притертой пробкой в холодильнике при температуре 4 - 8 °C не более 2 месяцев или в темном месте при комнатной температуре (не выше плюс 25 °C) не более 1 месяца. Небольшое пожелтение спиртового раствора "Азопирам" в процессе хранения не снижает его рабочих качеств.
3.15.8.2. Приготовление рабочего раствора реактива "Азопирам": для приготовления рабочего состава требуется во флакон с раствором амидопирина (90 см3) перенести солянокислый анилин (10 см3) и тщательно перемешать.
3.15.8.3. Непосредственно перед проверкой качества предстерилизационной очистки изделий готовят рабочий раствор, смешивая равные объемные количества раствора реактива "Азопирам" и 3%-го раствора перекиси водорода. Пригодность рабочего раствора реактива "Азопирам" проверяется в случае необходимости: 2 - 3 капли этого раствора наносят на кровяное пятно. Если не позже чем через 1 мин появляется фиолетовое окрашивание, переходящее затем в сиреневый цвет, реактив пригоден к применению; если окрашивание в течение 1 мин не появляется, реактивом пользоваться нельзя.
3.15.8.4. Исследование качества предстерилизационной очистки изделий. Рабочим раствором реактива "Азопирам" обрабатывают исследуемые изделия: протирают тампонами, смоченными рабочим раствором, или наносят несколько капель рабочего раствора на рабочие части исследуемых изделий с помощью пипетки.
У изделий, имеющих замковые части, обрабатывают помимо рабочих частей и замковые части.
В шприцы наливают 3 - 4 капли рабочего раствора реактива и несколько раз продвигают поршнем для того, чтобы смочить рабочим раствором внутреннюю поверхность шприца, особенно места соединения стекла с металлом, где чаще всего остается кровь, рабочий раствор в шприце оставляют на 0,5 - 1,0 мин, после чего его вытесняют на марлевую салфетку.
При проверке качества очистки игл рабочий раствор набирают в чистый, не имеющий следов коррозии шприц, и, последовательно меняя иглы, пропускают рабочий раствор через них, выдавливая 3 - 4 капли на марлевую салфетку.
Качество очистки катетеров или др. полых изделий оценивают путем введения рабочего раствора внутрь изделий с помощью чистого шприца или пипетки. Рабочий раствор оставляют внутри изделия в течение 0,5 - 1,0 мин, после чего его сливают на марлевую салфетку. Количество рабочего раствора, вносимого внутрь изделия, зависит от величины изделия.
3.15.9. При проведении исследований по оценке эффективности средства в лабораторных условиях контролю подвергают каждое тест-изделие. При проведении оценки эффективности предстерилизационной очистки в практических условиях контролю подвергают 1% от одновременно обработанных изделий одного наименования, но не менее 3 - 5 ед.
3.15.10. Индикация загрязнений:
- в присутствии следов крови немедленно или не позднее чем через 1 мин после контакта реактива с загрязненным участком появляется окрашивание, вначале фиолетовое, затем быстро, в течение нескольких секунд переходящее в розово-сиреневое или буроватое;
- окрашивание, наступившее позже, чем через 1 мин после обработки исследуемых изделий, не учитывается;
- рабочий раствор реактива "Азопирам" выявляет наличие гемоглобина, пероксидаз растительного происхождения (растительных остатков), окислителей (хлорамина, хлорной извести, стирального порошка с отбеливателем, хромовой смеси для обработки посуды и др.), а также ржавчины (окислов и солей железа) и кислот;
- буроватое окрашивание наблюдается при наличии на исследуемых предметах ржавчины и хлорсодержащих окислителей. В остальных случаях окрашивание розово-сиреневое.
3.15.11. Особенности реакции:
- исследуемые изделия должны иметь комнатную температуру (желательно не выше плюс 25 °C). Нельзя подвергать проверке горячие изделия, а также держать рабочий раствор на ярком свету или при повышенной температуре (вблизи нагревательных приборов и др.);
- рабочий раствор реактива "Азопирам" должен быть использован в течение 1 - 2 ч. При более длительном стоянии может появиться спонтанное розовое окрашивание. При температуре выше плюс 25 °C рабочий раствор реактива розовеет быстрее, поэтому его рекомендуют использовать в течение 30 - 40 мин;
- после проверки, независимо от ее результатов, следует удалить остатки рабочего раствора реактива "Азопирам" с исследованных изделий, обмыв их водой или протерев тампоном, смоченным водой или спиртом.
- при получении "положительной азопирамовой пробы" (наличие скрытой крови на изделиях) следует повторить предстерилизационную очистку этих изделий.
3.15.12. Меры предосторожности:
- реактив N 1 и реактив N 2 и их растворы должны храниться в плотно закрывающихся емкостях отдельно от пищевых продуктов, лекарственных препаратов, дезинфицирующих средств, крепких кислот и щелочей;
- приготовление спиртового и рабочего растворов реактива "Азопирам" проводится на лабораторном столе в хорошо вентилируемом помещении, желательно в вытяжном шкафу, следует избегать пыления реактивов. При приготовлении 3% перекиси водорода из пергидроля следует пользоваться резиновыми перчатками;
- при попадании на кожу реактивов N 1 и N 2, спиртового и рабочего растворов реактива "Азопирам", 3%-го раствора перекиси водорода или пергидроля их следует удалить чистой ватой или марлей (тканевой салфеткой) и место контакта обмыть водой. При попадании реактивов на слизистые место контакта следует обильно промыть большим количеством холодной воды;
- рассыпанные или пролитые реактивы удаляют, а место, где они находились, промывают или протирают тампонами, смоченными водой или спиртом;
- спиртовой и рабочий растворы реактива "Азопирам" относятся к горючим растворам, т.к. в их состав входит спирт. Поэтому нельзя допускать их контакта с открытым огнем и раскаленными поверхностями нагревательных приборов. При приготовлении и использовании реактива "Азопирам" следует руководствоваться правилами техники безопасности, изложенными в руководствах по охране труда работников здравоохранения.
3.15.13. Исследование эффективности средств для предстерилизационной очистки медицинских изделий (кроме эндоскопов) механизированным способом проводят в установках, зарегистрированных в установленном порядке и разрешенных к применению в медицинских организациях для очистки медицинских изделий.
3.15.13.1. Для определения эффективности (моющих свойств) средств, предназначенных для предстерилизационной очистки механизированным способом, используют тест-изделия (в количестве не менее 10, относящихся к конкретной группе) из различных материалов: металлов (хирургические инструменты - пинцеты, скальпели, ножницы, зажимы; стоматологические инструменты - боры твердосплавные и алмазные, зеркала цельнометаллические и с амальгамой, щипцы, гладилки), стекла, пластмасс, резин на основе натурального и силиконового каучука (фрагменты трубок длиной 10 мм и внутренним диаметром 2 - 7 мм).
3.15.13.2. Для определения эффективности (моющих свойств) средств, предназначенных для предстерилизационной очистки механизированным способом с помощью ультразвука, используют тест-изделия из металлов, в т.ч. имеющие замковые части (ножницы хирургические, зажимы кровоостанавливающие, корнцанги, стоматологические щипцы).
3.15.13.3. В качестве тест-загрязнения применяют донорскую кровь. Эксперименты проводят при температуре воздуха в помещении плюс (20 +/- 2) °C.
3.15.13.4. В день постановки эксперимента тест-изделия загрязняют донорской кровью с помощью пипетки (объем 1 - 2 см3): на поверхность рабочей части тест-изделия наносят одну каплю и в замковую часть две капли крови (диаметр каждой капли не менее 3 мм) и делают несколько рабочих движений для проникновения крови в труднодоступные участки замковой части инструмента. Загрязненные тест-изделия подсушивают до полного высыхания (в зависимости от температуры и влажности воздуха в помещении).
3.15.13.5. Тест-изделия, загрязненные кровью, ополаскивают под проточной питьевой водой в течение 30 с (при изучении средства, предназначенного для совмещения процесса очистки и дезинфекции, ополаскивание тест-изделий не проводят) и размещают их в загрузочной корзине установки, в соответствии с руководством по эксплуатации данной установки, раскладывая их раскрытыми, обеспечивая свободный доступ рабочего раствора средства. Тест-изделия размещают не более чем в 3 слоя, при этом каждый последующий слой располагают со сдвигом по отношению к тест-изделиям предыдущего слоя. Загрузочную корзину с тест-изделиями погружают в рабочую ванну установки с приготовленным рабочим раствором изучаемого средства и подвергают воздействию различное время (максимальное время ультразвукового воздействия не должно превышать 15 мин; для стоматологических щипцов - 20 мин). По окончании обработки извлекают загрузочную корзину, вынимают тест-изделия и помещают их в пластмассовую емкость для ополаскивания проточной питьевой водой 1 мин.
3.15.13.6. Качество очистки изделий от кровяных загрязнений после обработки раствором средства механизированным способом оценивают с помощью азопирамовой пробы в соответствии с методикой, изложенной в
п. 3.15.8.
3.15.14. Исследование эффективности средств для предстерилизационной (окончательной) очистки эндоскопов механизированным способом проводят в установках, зарегистрированных в установленном порядке и разрешенных к применению в медицинских организациях для очистки эндоскопов.
3.15.14.1. Для определения эффективности средств для предстерилизационной (окончательной) очистки (моющих свойств) используют эндоскопы и инструменты к ним в количестве не менее трех.
3.15.14.2. В качестве тест-загрязнения применяют донорскую кровь. Эксперименты проводят при температуре воздуха в помещении плюс (20 +/- 2) °C.
3.15.14.3. В день постановки эксперимента донорской кровью заполняют все каналы эндоскопа, по одной капле наносят на гнезда клапанов, на поверхность рабочей части и поверхность рукоятки наносят по 1 - 2 капли крови (диаметр не менее 3 мм) с помощью пипетки (объем 1 - 2 см3). Загрязненные эндоскопы не подсушивают.
3.15.14.4. Далее проводят предварительную обработку тест-изделий:
- очистку внешних поверхностей с помощью салфеток, смоченных моющим средством, зарегистрированным в установленном порядке и разрешенным к применению для этих целей;
- визуальный осмотр эндоскопа и проверка на герметичность с помощью течеискателя в соответствии с инструкцией по эксплуатации. Негерметичный эндоскоп не подлежит дальнейшей обработке и использованию;
- очистку ручным способом проводят путем заполнения всех каналов через ирригатор, адаптеры и промывочные трубки средством, зарегистрированным в установленном порядке и разрешенным к применению для этих целей. С помощью щеток проводят механическую очистку каналов и гнезд клапанов в растворе средства. Затем проводят ополаскивание внешних поверхностей и каналов эндоскопа питьевой водой с использованием тех же приспособлений, что для очистки.
3.15.14.5. Приготавливают рабочий раствор средства и заполняют контейнер установки приготовленным раствором. Эндоскоп помещают в ванну установки, подключают адаптеры к каналам эндоскопа, в соответствии с инструкцией к данной установке и устанавливают режим, подлежащий изучению. После завершения обработки эндоскоп отключают, внешнюю поверхность эндоскопа высушивают чистыми салфетками, воду из каналов удаляют продувкой или аспирацией воздуха через вспомогательные приспособления при помощи шприца или помпы и проводят оценку моющих свойств путем постановки азопирамовой пробы (точки отбора проб соответствуют точкам загрязнения донорской кровью):
- марлевыми салфетками, смоченными рабочим раствором реактива "Азопирам" протирают поверхность вводимой части эндоскопа, блок управления, гнезда клапанов;
- через биопсийный канал пропускают 3 - 5 см3 рабочего раствора реактива "Азопирам" на марлевую салфетку;
- не позднее, чем через 1 мин визуально оценивают появление (или не появление) окрашивания марлевых салфеток. Появление окрашивания свидетельствует о наличии скрытой крови на обработанном эндоскопе.
3.15.14.6. Критерий эффективности - 100% (отсутствие следов крови на всех точках отбора проб).
3.15.14.7. После использования раствора реактива "Азопирам" биопсийный канал ополаскивают 20 - 30 см3 водопроводной питьевой воды и продувают воздухом, а наружную поверхность протирают последовательно салфеткой, смоченной водопроводной водой, и сухой салфеткой.
3.15.15. Исследование эффективности применения специальных установок, предназначенных для проведения этапа предстерилизационной (окончательной) очистки эндоскопов механизированным способом проводят с использованием средств, предназначенных для проведения предстерилизационной (окончательной) очистки гибких эндоскопов механизированным способом в установках, зарегистрированных в установленном порядке.
3.15.15.1. В день постановки эксперимента эндоскоп загрязняют донорской кровью с помощью пипетки:
- на поверхность вводимой части эндоскопа наносят одну-две капли (диаметром 3 мм) крови;
- на гнезда клапанов наносят по одной капле крови (диаметром 3 мм);
- на блок управления наносят две капли крови (диаметром 3 мм);
- через инструментальный (биопсийный) канал пропускают 3 - 5 см3 крови.
Загрязненный эндоскоп не подсушивают.
3.15.15.2. Перед проведением предстерилизационной/окончательной очистки механизированным способом в специальной установке проводят предварительную очистку, а затем очистку с использованием щеток:
- предварительную очистку внешних поверхностей вводимой трубки, промывку каналов осуществляют моющим средством, зарегистрированным в установленном порядке и разрешенным к применению для этих целей;
- проводят визуальный осмотр эндоскопа и проверку на герметичность с помощью течеискателя в соответствии с инструкцией по эксплуатации. Негерметичный эндоскоп не подлежит дальнейшей обработке и использованию;
- с помощью щеток проводят механическую очистку поверхности, каналов и гнезд клапанов в растворе используемого средства либо средства, предназначенного для этих целей и зарегистрированного в установленном порядке. Затем проводят ополаскивание внешних поверхностей и каналов эндоскопа питьевой водой с использованием тех же приспособлений, что и для очистки.
3.15.15.3. Готовят рабочий раствор моющего/моюще-дезинфицирующего средства, зарегистрированного для этих целей в установленном порядке с учетом рекомендаций производителя эндоскопа. Заполняют контейнер установки приготовленным раствором средства. Эндоскоп помещают в ванну установки, подключают адаптеры к каналам эндоскопа в соответствии с инструкцией к исследуемой установке и устанавливают режим в соответствии с инструкцией к данному средству.
3.15.15.4. После завершения обработки эндоскоп отключают, внешнюю поверхность эндоскопа высушивают чистыми салфетками, воду из каналов удаляют продувкой или аспирацией воздуха через вспомогательные приспособления при помощи шприца или помпы и проводят оценку моющих свойств путем постановки азопирамовой пробы (точки отбора проб соответствуют точкам загрязнения донорской кровью):
- марлевыми салфетками, смоченными рабочим раствором реактива "Азопирам" протирают поверхность вводимой части эндоскопа, блок управления, гнезда клапанов;
- через биопсийный канал пропускают 3 - 5 см3 рабочего раствора реактива "Азопирам" на марлевую салфетку;
- не позднее чем через 1 мин визуально оценивают появление (или не появление) окрашивания марлевых салфеток. Появление окрашивания свидетельствует о наличии скрытой крови на обработанном эндоскопе.
3.15.15.5. Критерий эффективности - 100% (отсутствие следов крови на всех точках отбора проб).
3.15.15.6. После использования раствора реактива "Азопирам" биопсийный канал ополаскивают 20 - 30 см3 водопроводной питьевой воды и продувают воздухом, а наружную поверхность протирают последовательно салфеткой, смоченной водопроводной водой, и сухой салфеткой.
3.16. Методы исследования эффективности дезинфицирующих
средств и кожных антисептиков в практических условиях
3.16.1. Исследование эффективности дезинфицирующих средств в практических условиях является заключительным этапом исследования, по результатам которого даются рекомендации для его промышленного производства и применения в практике медицинской дезинфекции. Практические испытания проводятся в тех случаях, когда дезинфицирующее средство содержит новое ДВ и требуется подтверждение эффективности разработанных режимов.
3.16.2. Целью практических испытаний является уточнение целевого назначения, условий применения, оценка эффективности и безопасности разработанных режимов обеззараживания, надежности рекомендованных мер предосторожности, влияния на фактуру и функциональные свойства обрабатываемых объектов, выявления преимуществ и недостатков по сравнению с используемыми аналогами.
3.16.3. Испытания проводят в медицинских организациях и/или инфекционных очагах в соответствии с Программой и Методическими указаниями по испытанию средства, которые составляются на основании результатов ранее проведенных исследований в лабораторных условиях по физико-химическим свойствам, антимикробной и дезинфицирующей активности, а также токсичности.
3.16.4. Испытания проводят на практически здоровых людях не моложе 18 лет (не менее 10 человек) со здоровой кожей рук без порезов или потертостей, с короткими и чистыми ногтями. Не менее чем за 2 недели до начала исследования испытуемые должны прекратить использование веществ с противомикробными свойствами. Общее состояние испытуемых на момент испытания должно быть удовлетворительным при отсутствии предрасположенности к заболеваниям кожи.
3.16.5. В Программе должны быть указаны сроки (длительность), место проведения и цель испытаний, перечень объектов обработки, контроль параметров, объем (количество смывов).
3.16.6. Методические указания по проведению испытаний должны содержать конкретные сведения о назначении средства, его характеристику (описание, физико-химические и антимикробные свойства, токсичность), способы приготовления рабочих растворов, условия и режимы применения, правила по технике безопасности и оказанию первой помощи при отравлениях.
3.16.7. Испытания средств в практических условиях проводят сотрудники медицинских организаций или государственного учреждения дезинфекционного профиля, или Центров гигиены и эпидемиологии Роспотребнадзора, или государственных унитарных предприятий, или дезинфекционных станций. Текущую дезинфекцию проводят в одном или двух многопрофильных медицинских организациях, а заключительную - не менее чем в 10 инфекционных очагах.
3.16.8. Перед проведением испытаний проводят входной химический контроль на соответствие опытной партии средства Техническим условиям и инструктаж медицинского персонала, проводящего испытания.
3.16.9. Исследование эффективности дезинфицирующих средств при обеззараживании различных объектов (поверхности, белье, посуда и др.). Оценку эффективности средств проводят на основании обнаружения санитарно-показательных и патогенных микроорганизмов в смывах, взятых с объектов до и после проведения обеззараживания.
3.16.9.1. При испытании средств в очагах бактериальных инфекций, контроль эффективности осуществляют по обнаружению E. coli - при кишечных инфекциях; S. aureus - при инфекциях дыхательных путей; S. aureus и M. tuberculosis при туберкулезе (M. tuberculosis определяют только в очагах с обильным бацилловыделением у пациентов или при оценке эффективности обеззараживания мокроты). При вирусных и грибковых инфекциях контроль качества дезинфекции проводят на основании обнаружения санитарно-показательных микроорганизмов - E. coli и S. aureus.
3.16.9.2. В медицинских организациях об эффективности дезинфицирующего средства судят по обнаружению санитарно-показательной микрофлоры (E. coli и S. aureus), а также возбудителей внутрибольничных инфекций (P. aeruginosa, P. vulgaris, C. albicans, A. niger и др.) в зависимости от профиля стационара и наличия ИСМП.
3.16.9.3. Для оценки эффективности средства в практических условиях берут не менее 50 смывов (по 25 до и после дезинфекции). Пробы после дезинфекции отбирают сразу после окончания экспозиции и доставляют для анализа в лабораторию не позднее 2 ч с момента их отбора. Пробы отбирают с объектов, имеющих эпидемиологическое значение, возможность повторной контаминации которых исключается спецификой их использования.
3.16.9.4. При ограниченных практических испытаниях, проводимых с участием исследователей средства, из-за сложности выделения и культивирования некоторых возбудителей допускается использование тест-объектов, искусственно контаминированных микроорганизмами в лаборатории (например, при обеззараживании белья при грибковых заболеваниях используют тесты, контаминированные T. mentagrophytes).
3.16.9.5. Учет эффективности обеззараживания проводят качественным и количественным методами:
- при качественном методе оценки эффективности пробы, взятые с объектов до и после дезинфекции, засевают на дифференциально-диагностические среды и проводят учет по наличию специфического роста микроорганизмов, определяя процент обнаружения микроорганизмов до и после дезинфекции;
- при количественном методе оценки эффективности отобранные пробы засевают на твердые питательные среды, подсчитывают число КОЕ и определяют не только процент положительных проб, но и плотность контаминации единицы поверхности.
3.16.9.6. После обеззараживания поверхностей в помещениях, мебели, санитарно-технического оборудования, посуды, игрушек пробы отбирают путем протирания поверхностей перечисленных объектов площадью 100 см2 увлажненными в растворе нейтрализатора стерильными марлевыми салфетками (размером 5 x 5 см) или ватными тампонами.
3.16.9.7. При контроле эффективности обеззараживания мелких предметов смыв берут со всей поверхности (или полностью объект погружают в питательную среду), а объектов большой площади - с 2 - 3 участков, общей площадью 100 см2.
3.16.9.8. Для подтверждения эффективности разработанных в лабораторных условиях режимов в отношении возбудителей туберкулеза и микобактериозов предварительно оценивают обсемененность объектов окружающей среды, имеющих эпидемиологическое значение при туберкулезе, до проведения дезинфекции (фон) и сравнивают ее с обсемененностью этих объектов после обработки рабочим раствором средства.
3.16.9.9. Эффективным считают средство, после обработки которым в соответствии с режимом, указанным в инструкции, на объектах не обнаруживают возбудителей туберкулеза, микобактериозов и S. aureus.
3.16.9.10. По завершении испытаний оформляется акт испытаний, в котором отражаются указанные выше параметры и другие отмеченные свойства.
3.16.9.11. Критерий эффективности при проведении заключительной дезинфекции - высев микроорганизмов не более 0,5%, при текущей дезинфекции на дому - не более 3%, при текущей дезинфекции в медицинских организациях - высев непатогенной микрофлоры не более 2% отобранных смывов.
3.16.10. Исследование эффективности дезинфицирующих средств при обеззараживании медицинских изделий. Медицинские изделия после использования у пациента делят на 2 группы. С изделий 1-й группы берут смыв для определения микробного фона при испытаниях. Медицинские изделия (включая эндоскопы) из 2-й группы обеззараживают в соответствии с режимами и при условиях, рекомендованных в инструкциях по испытанию конкретного средства.
3.16.10.1. Контроль качества дезинфекции медицинских изделий осуществляют методом смывов. Взятие смывов производят стерильными марлевыми салфетками (размером 5 x 5 см).
3.16.10.2. Контролю подлежит 1% одновременно обработанных изделий одного наименования, но не менее 3 - 5 единиц.
3.16.10.3. Перед взятием смывов с объектов в стерильные широкогорлые пробирки со стеклянными бусами стерильной пипеткой разливают по 10 см3 стерильного нейтрализатора, соответствующего применяемому дезинфицирующему средству. Увлажненной стерильной салфеткой протирают поверхность изделия, после чего салфетку помещают в пробирку с раствором нейтрализатора и 5 мин встряхивают.
3.16.10.4. У изделий, имеющих каналы, рабочий конец изделия опускают в пробирку со стерильным нейтрализатором и с помощью стерильного шприца или пипетки 1 - 2 раза промывают канал этим раствором. После этого из смывной жидкости производят высев на дифференциально-диагностические среды.
3.16.10.5. Контроль обеззараживания эндоскопов осуществляют методом взятия смывов с участков эндоскопа, труднодоступных для очистки и дезинфекции, например, дистальный конец эндоскопа, а также путем микробиологического контроля смывной жидкости, в первую очередь, из инструментального канала эндоскопа, а также др. каналов, полостей и поверхностей.
3.16.10.6. О качестве дезинфекции после ее проведения судят по отсутствию на медицинских изделиях золотистого стафилококка, синегнойной палочки и бактерий группы кишечной палочки.
3.16.10.7. Для обнаружения микроорганизмов в смывной жидкости ее пропускают через мембранный фильтр и затем его помещают на поверхность плотной дифференциально-диагностической среды. При отсутствии фильтрующего устройства смывную жидкость по 0,1 см3 засевают на поверхность желточно-солевого, кровяного агара и среды Эндо. Посевы выдерживают в термостате при плюс (37 +/- 1) °C в течение 48 ч.
3.16.10.8. При наличии роста микроорганизмов на питательной среде их идентификацию проводят в соответствии с действующими методическими документами.
3.16.11. Исследование эффективности изделий из антимикробных тканей проводят в медицинских организациях и на промышленных предприятиях, где условия труда могут способствовать развитию заболеваний кожных покровов микробной этиологии, или на которых требуется обеспечение незначительного количества микроорганизмов в воздухе и на поверхностях. Набор изделий из антимикробной ткани, подлежащих испытанию, определяют конкретно для каждого учреждения (организации). Обычно в медицинской организации - это нательное и постельное белье, на предприятиях - спецодежда персонала. Во всех организациях, наряду с изделиями из испытываемой антимикробной ткани (опытная группа), исследуется группа аналогичных изделий из обычной ткани (контрольная группа), желательно того же артикула, что и опытная группа.
3.16.11.1. Микробную обсемененность изделий из антимикробных тканей изучают методом отпечатков. Предметные стекла, разрезанные пополам, раскладывают стерильным пинцетом в стерильные чашки Петри (три половинки предметного стекла). Питательную среду (в зависимости от тест-микроорганизма - казеиновый или мясопептонный агар, агар Сабуро, картофельно-глицериновый агар) растапливают на водяной бане и при помощи пипетки, соблюдая правила асептики, наливают на поверхность каждого стекла до его полного покрытия (1,5 - 2,0 см3). Чашки с предметными стеклами (пластинками) после застывания среды можно сохранять до 3 суток в холодильнике.
3.16.11.2. Взятие посевов-отпечатков проводят следующим образом: приоткрыв чашку с пластинками, берут пальцами пластинку за края, не касаясь питательной среды. Извлекают пластинку из чашки и плотно прикладывают питательной средой к испытываемой поверхности на 2 - 3 с. После соприкосновения с поверхностью пластинки с питательной средой отпечатком кверху помещает в чашку Петри. Чашку закрывают крышкой и ставят в термостат при плюс (37 +/- 1) °C на 48 ч, после чего производят подсчет выросших колоний. В посеве-отпечатке сохраняется естественное расположение микробных клеток.
3.16.11.3. При определении обсемененности белья пробы отбирают методом отпечатков с внутренней поверхности нательного белья в области спины (верхний край лопатки), средней линии живота между пупком и грудиной, груди (область грудных желез, над грудными сосками). Пробы отбирают симметрично с левой и правой стороны. С наружной поверхности нательного белья пробы берут в подмышечной области и в области плечевого шва. Со спецодежды персонала предприятий отбор проб осуществляют аналогичным образом.
3.16.11.4. С наволочек, полотенец отбирают пробы в трех точках. С пододеяльников, простыней, мягкого инвентаря (шторы, ширмы, мешки для белья) отбирают по 3 - 5 проб по углам и в середине.
3.16.11.5. Антимикробная активность тканей не должна снижаться при многократных (не менее 30) стирках более чем на 15%.
3.16.11.6. Критерий эффективности - отсутствие роста микроорганизмов в отобранных пробах.
3.16.12. Исследование антимикробной активности лакокрасочных покрытий в практических условиях является заключительным этапом исследования, по результатам которого даются рекомендации для применения в практике медицинской дезинфекции.
3.16.12.1. В соответствии с назначением поверхности в помещении окрашивают краской или покрывают лаком с антимикробными свойствами. Оценку антимикробной активности лакокрасочных покрытий проводят на основании обнаружения санитарно-показательных и патогенных микроорганизмов в смывах, взятых с поверхностей, окрашенных испытуемой краской или покрытых испытуемым лаком. В качестве контроля используют поверхности, окрашенные краской или покрытые лаком, не содержащими биодобавок.
3.16.12.2. Оценку антимикробной активности лакокрасочных материалов проводят количественным методом: отобранные пробы засевают на твердые питательные среды, подсчитывают число КОЕ и определяют процент снижения микробной обсемененности по сравнению с контролем.
3.16.12.3. Антимикробное покрытие считают эффективным при обеспечении снижения обсемененности по сравнению с контрольными поверхностями через 24 ч не менее чем на 90% и длительности антимикробного действия не менее 6 мес.
3.16.13. Оценку эффективности обеззараживающего действия антисептиков для гигиенической обработки рук осуществляют методом смывов.
3.16.13.1. Для оценки эффективности антисептиков в практических условиях берут не менее 100 смывов (по 50 до и после обработки рук антисептиком). Смывы после обработки отбирают сразу после окончания необходимой экспозиции и доставляют для анализа в лабораторию не позднее 2 ч с момента их отбора.
3.16.13.2. С одной руки (контрольной) до обработки рук антисептиком берут смыв стерильной марлевой салфеткой (размером 5 x 5 см), смоченной в стерильной питьевой воде. Затем руки обрабатывают антисептиком и по истечении времени обработки с другой руки (опытной) берут смыв стерильной марлевой салфеткой (размером 5 x 5 см), смоченной в стерильной питьевой воде. Марлевые салфетки после взятия смывов помещают в пробирки с 1% раствором пептонной воды. Пробирки инкубируют в термостате при плюс (37 +/- 1) °C в течение 18 - 20 ч, после чего из них делают посевы на соответствующие питательные среды для выявления энтеробактерий и синегнойной палочки. Для выявления золотистого стафилококка делают посев на желточно-солевой агар.
3.16.13.3. Показатель эффективности обеззараживающего действия антисептика - отсутствие роста золотистого стафилококка, энтеробактерий и синегнойной палочки в отобранных смывах.
3.16.14. Исследование эффективности обеззараживающего действия кожных антисептиков, предназначенных для обработки рук хирургов осуществляют методом смыва.
3.16.14.1. Для оценки эффективности обработки рук хирургов кожными антисептиками в практических условиях берут не менее 100 смывов (по 50 смывов до и после обработки рук антисептиком). Смывы берут стерильной марлевой салфеткой сразу после окончания времени, необходимого для обработки рук хирургов кожным антисептиком.
3.16.14.2. До обработки рук антисептиком с одной руки (контрольной) берут смыв стерильной марлевой салфеткой (размером 5 x 5 см), смоченной стерильной питьевой водой. После этого проводят обработку рук в режиме, рекомендованном для конкретного кожного антисептика. После окончания обработки рук хирургов, стерильной марлевой салфеткой, увлажненной стерильным раствором нейтрализатора, берут смыв с кожи рук, тщательно протирая ладони и околоногтевые участки обеих рук. Салфетки помещают в пробирки с жидкой питательной средой. Посевы помещают в термостат и выдерживают при температуре плюс (37 +/- 1) °C в течение 48 ч, после чего производят учет результатов.
3.16.14.3. Критерий эффективности обработки рук кожным антисептиком - снижение общей микробной обсемененности кожи рук на 100% (отсутствие роста микроорганизмов на жидкой питательной среде).
3.16.15. Исследование эффективности обеззараживающего действия кожных антисептиков, предназначенных для обработки кожи операционного поля (локтевых сгибов доноров) осуществляют методом смыва.
3.16.15.1. Для оценки эффективности обработки кожи операционного поля кожными антисептиками в практических условиях берут не менее 100 смывов (по 50 смывов до и после обработки рук антисептиком). Смывы берут стерильной марлевой салфеткой сразу после окончания времени, необходимого для обработки кожи операционного поля кожным антисептиком.
3.16.15.2. До обработки кожи операционного поля антисептиком берут смыв стерильной марлевой салфеткой (размером 5 x 5 см), смоченной стерильной питьевой водой. После этого проводят обработку кожи операционного поля в режиме применения, рекомендованном для конкретного кожного антисептика. После окончания обработки кожи операционного поля, стерильной марлевой салфеткой, увлажненной стерильным раствором нейтрализатора, берут смыв с обработанной кожи. Салфетки помещают в пробирки с жидкой питательной средой. Посевы помещают в термостат и выдерживают при температуре плюс (37 +/- 1) °C в течение 48 ч, после чего производят учет результатов.
3.16.15.3. Критерий эффективности обработки операционного поля (локтевых сгибов доноров) кожным антисептиком - снижение общей микробной обсемененности кожи на 100% (отсутствие роста микроорганизмов на жидкой питательной среде).
IV. Энтомологические и акарологические методы исследований
и критерии оценки эффективности дезинсекционных средств
4.1. Организация экспериментов
4.1.1. Тест-членистоногих, используемых в экспериментах, либо содержат в лаборатории-инсектарии постоянно (стандартные чувствительные лабораторные расы различных видов), либо отлавливают в естественных условиях обитания (природные популяции). В зависимости от вида членистоногого и количества единовременно доступных особей из природной популяции эксперименты проводят или непосредственно на собранном материале, или закладывают культуру для получения в лаборатории необходимого объема материала в следующих поколениях (например, для изучения чувствительности природных популяций к инсектицидам различных классов). Используют как целевые виды (группы схожих по систематике и биологии видов), так и модельные виды. Понятие модельного вида подразумевает возможность достоверного переноса результатов экспериментов на целевые виды. При организации инсектария основное внимание уделяют созданию оптимальных условий культивирования в зависимости от биологических особенностей конкретного вида, обеспечивают соблюдение рациона, поение, своевременную закладку маточных репродуктивных колоний и утилизацию отработанного биоматериала с периодичностью, необходимой для нормального осуществления развития в течение жизненного цикла и получения одновозрастного стандартного биоматериала для последующих экспериментов.
4.1.1.1. Членистоногие, культивируемые в лабораторных условиях:
1) Надкласс Насекомые Insecta, класс Открыточелюстные Ectognatha:
- отряд таракановые (Blattodea): рыжий Blattella germanica (L.) (Ectobiidae), американский Periplaneta americana L., черный Blatta orientalis L. (Blattidae) тараканы. В экспериментах используют самок до выдвижения оотеки, самцов в возрасте 3 - 21 дней и личинок разных возрастов. При изучении кишечного действия инсектицидов в опытах используют голодных тараканов, которым за 12 ч до опыта дают только воду, но не дают пищи.
- отряд прямокрылые (Orthoptera): сверчок домовый Acheta domesticus (L.). (Gryllidae). Используют в качестве модельного объекта для переноса данных по эффективности инсектицидных средств для борьбы с уховертками, щетинохвостками, пауками, мокрицами и др.
- отряд полужесткокрылые (Heteroptera): постельные клопы Cimex lectularius L. или Cimex hemipterus (F.) (Cimicidae). В экспериментах используют одновозрастных самцов и самок, накормленных на белых мышах за 7 - 10 суток до опыта, 3 - 5-дневные яйца.
- отряд вши и пухоеды (Phthiraptera): платяная вошь Pediculus humanus humanus L. (Pediculidae). В эксперименте используют сытых самок, самцов, личинок 3-го возраста, яйца любых возрастов.
- отряд перепончатокрылые (Hymenoptera): рыжий домовый муравей Monomorium pharaonis (L.) (Formicidae). В эксперименте используют рабочих особей, самок и расплод.
- отряд блохи (Siphonaptera): крысиная блоха Xenopsylla cheopis (Roth.) (Pulicidae). Используют непитавшихся имаго блох в течение 1 - 3 недель после выхода из коконов, личинок 2-го и последнего возрастов.
- отряд двукрылые (Diptera):

настоящие мухи (Muscidae): комнатная муха
Musca domestica L. В экспериментах используют самок и самцов 3 - 6-дневного возраста, питавшихся молоком и сахаром, свежеотложенные яйца, личинок разных возрастов и куколок. При изучении кишечного действия инсектицидов в опытах используют голодных мух, которым за 16 - 18 ч до опыта дают только воду, но не дают пищи.

комары (Culicidae): желтолихорадочный комар
Aedes aegypti (L.) - международный стандартный объект, или азиатский тигровый комар
Aedes albopictus (Skuse), или подвальный комар
Culex pipiens molestus Forsk. В экспериментах по определению инсектицидной активности используют комаров в возрасте 5 - 20 дней на углеводном питании, личинок 2, 3-го и начала 4-го возрастов и куколок. При изучении репеллентов используют голодных самок комаров 8 - 10-дневного возраста, получавших углеводное питание.
- отряд жесткокрылые (Coleoptera): кожеед Attagenus smirnovi Zhant. (Dermestidae). В экспериментах используют имаго и личинок одного размера (близких по массе).
- отряд чешуекрылые (Lepidoptera):

настоящие моли (Tineidae): платяная моль
Tineola bisselliella (Humm). В экспериментах используют гусениц в возрасте 28 - 30 дней и бабочек.

огневки (Pyralidae): южная амбарная огневка
Plodia interpunctella (Hb.), или мельничная огневка
Ephestia kuehniella (Zell.), или сухофруктовая огневка
Cadra cautella (Wlk.) и др.
2) Класс паукообразные (Arachnida):
- надотряд паразитиформные клещи (Parasitiformes):

гамазовые клещи: крысиный клещ
Ornithonyssus bacoti (Hirst) (Mesostigmata, Gamasina, Macronyssidae). В экспериментах используют взрослых клещей.
- надотряд акариформные клещи (Acariformes):

клещи домашней пыли:
Dermatophagoides pteronyssinus (Trouessart) и
D. farinae (Huges) (Oribatida, Astigmatina, Pyroglyphidae). В экспериментах используют клещей без разделения по полу, стадии развития и возрасту.

чесоточные клещи: ушной кроличий клещ
Psoroptes cuniculi (Hering) (Oribatida, Astigmatina, Psoroptidae). В эксперименте используют самок клещей в качестве модельного объекта для оценки средств против чесоточного зудня человека.
4.1.1.2. Членистоногих из природных популяций используют как самостоятельные целевые объекты или для дополнения/уточнения результатов экспериментов, проведенных на лабораторных культурах. Эксперименты проводят или непосредственно в натурных условиях, или на особях, собранных в местах естественного обитания и доставленных в лабораторию, или вводят членистоногих из природной популяции в лабораторную культуру для получения необходимого количества биоматериала. Для решения ряда экспериментальных задач используют различные виды синантропных членистоногих, собранных в естественной среде обитания:
- вши платяная Pediculus humanus humanus L. и головная Pediculus humanus capitis De Geer, имаго, личинки и яйца;
- муравьи (рыжий домовый муравей Monomorium pharaonis (L.), черный садовый муравей Lasius niger L., муравей Myrmica rubra L., муравьи рода Formica), рабочие особи;
- кровососущие комары (p.p. Aedes, Culex, Culiseta, Anopheles и др.), имаго и личинки;
- двукрылые семейств мошки (Simuliidae), мокрецы (Ceratopogonidae), слепни (Tabanidae), комары-звонцы (Chironomidae) и др.
- ушной кроличий клещ Psoroptes cuniculi (Hering), самки;
- иксодовые клещи (Ixodidae) родов Ixodes (таежный I. persulcatus P. Sch. и лесной I. ricinus L.), Dermacentor, Hyalomma и др., самки (дополнительно опыты можно проводить на самцах). В экспериментах используют активных не травмированных клещей, собранных в природных биотопах в период максимальной активности клещей не более чем за 1 сутки до проведения опытов и сохраняемых в пробирках дифференцированной влажности или во влажных бинтах при температуре (12 +/- 2) °C.
4.1.1.3. Меры предосторожности при работе с членистоногими. Персонал должен соблюдать требования Санитарных
правил и внутренних инструкций по технике безопасности при работе с членистоногими, в т.ч. и отнесенными к III - IV группам патогенности
<10>. Работы с клещами домашней пыли, крысиным клещом и вшами человека осуществляют в специально оборудованных лабораторных помещениях. Остальные виды членистоногих, культивируемых в лабораторных условиях, доставляют из инсектария в помещения лаборатории в соответствующей посуде (стаканы, пробирки в штативах), помещенной в полимерный контейнер для доставки проб биологического материала. Рабочий стол должен быть освобожден от лишних предметов и иметь светлую поверхность для уменьшения вероятности потери членистоногих. Членистоногих, оставшихся в живых после проведения эксперимента, уничтожают (заливают кипятком или замораживают), затем утилизируют. При необходимости членистоногих сохраняют для дальнейших исследований (фиксируют). При работе в природных биотопах, расположенных в очагах трансмиссивных инфекций, персонал должен соблюдать необходимые меры предосторожности в отношении членистоногих. Необходимо проведение соответствующих прививок и наличие средств экстренной профилактики. Работу с членистоногими осуществляют в резиновых перчатках и халатах, медицинских масках; эксгаустеры должны быть снабжены грушами. Натурные испытания в отношении кровососущих членистоногих проводят специалисты, одетые в необработанную одежду из непрокусываемой насекомыми ткани, лица испытателей (кроме специально оговоренных случаев) должны быть защищены сетками на передней части капюшонов. Запрещено выполнять испытания в отношении комаров в природных очагах трансмиссивных инфекций, возбудителей которых переносят комары.
--------------------------------
<10>
СП 1.3.2322-08 "Безопасность работы с микроорганизмами III - IV групп патогенности и возбудителями паразитарных болезней".
4.1.2. Оборудование, приборы, материалы, используемые при проведении экспериментов. При проведении экспериментов используют оборудование и приборы, поверенные в установленном порядке, с действующим свидетельством о поверке. В группу средств измерения входят: весы лабораторные соответствующего целям эксперимента класса точности и диапазона измерений для определения массы навески средства (субстанции); секундомеры механические для определения продолжительности экспозиции, скорости отравления насекомых; гигрометры психрометрические ВИТ-2 для измерения температуры и влажности в помещении при проведении испытаний. В качестве испытательного оборудования используют термостаты электрические суховоздушные для содержания членистоногих с необходимыми оптимальными для конкретного вида параметрами; камеры и каркасы камер объемом 0,05; 0,35; 0,5; 1,0 и 2,0 м3; каркасы садков размером (10 x 10 x 10), (30 x 30 x 30) и (50 x 50 x 50) см; полигоны из полимерных материалов с площадью поверхности дна не менее 0,2 м2 (размером (60 x 40 x 15) см) и др. для содержания или экспонирования членистоногих. В категорию вспомогательного оборудования входят шкафы сушильные, холодильники, микроскопы, шкафы вытяжные и шкафы для хранения реактивов, приборы для создания оптимального микроклимата в лабораторном помещении (обогреватели, кондиционеры, осушители воздуха). Расходные материалы включают в себя экспериментальные емкости разного объема из различных материалов (предпочтение следует отдавать одноразовой посуде): чашки Петри, полимерные, стеклянные стаканы и др. емкости, экспозиметры, пробирки химические и биологические и др.; вазелин неароматизированный, вату, марлю, а также бязь, фатин, капрон для изготовления чехлов на каркасы садков, рукава полиэтиленовые шириной 1,5 м (40 мкм) и 2,0 м (200 мкм) для одноразовых чехлов на каркасы камер объемом 0,5 и 1,0 м3. В качестве тест-поверхностей используют стекло, фанеру трехслойную из лиственных пород, фильтровальную бумагу или фильтры обеззоленные "синяя лента", ткани (хлопчатобумажная белая бязь, трикотаж бельевой, сукно неаппретированное), картон переплетный неотбеленный. Для манипуляций с членистоногими применяют пинцеты мягкие, глазные и энтомологические, тонкие кисточки, препаровальные иглы, ситечки-сачки, эксгаустеры разных конструкций. При работе с членистоногими и инсектицидами используют спецодежду и при необходимости средства индивидуальной защиты.
4.1.3. Условия проведения экспериментов. Эксперименты проводят при соблюдении гигротермического режима и условий освещенности, соответствующих физиологическому оптимуму подопытных членистоногих. В условиях лаборатории основные виды экспериментальных работ проводят при естественной относительной влажности в помещении (50 - 90%), рассеянном дневном или электрическом освещении. Температуру при постановке большинства опытов соблюдают в интервале (24 +/- 2) °C, что оптимально для большинства членистоногих. Результаты ряда экспериментов напрямую зависят от активности насекомых, что требует соблюдения соответствующих условий. Так, эксперименты с имаго комнатных мух, блох, кровососущих комаров проводят при температуре (26 +/- 1) °C. Для активности комнатных мух важно соблюдать условия достаточной освещенности (естественной или искусственной). Испытания репеллентов в отношении желтолихорадочных комаров в лабораторных условиях проводят с 9 до 14 ч при температуре воздуха (25 +/- 2) °C. В натурных условиях в отношении летающих кровососущих насекомых (комаров, мошек, мокрецов, слепней и др.) - испытания проводят в период их максимальной суточной активности (для комаров и мокрецов в вечерние часы, для мошек и слепней - в дневные). Численность нападающих летающих кровососущих насекомых в природных биотопах определяют по методу А.В. Гуцевича "на себе" (учетная единица - количество посадок насекомых на обнаженное предплечье испытателя за 20 мин). Для испытаний обычно необходима высокая (80 - 120 посадок за 20 мин) или средняя (50 - 70 посадок за 20 мин) численность насекомых. При такой интенсивности нападения кровососов следует учитывать посадки насекомых за 5 мин, а затем пересчитывать полученные данные на 20 мин. Опыты с длительными учетами (более 1 суток) состояния насекомых проводят при оптимальных для каждого вида и стадии развития условиях, обеспечивая насекомых водой и соответствующим кормом. Во всех экспериментах с мухами им дают поилки с водой. Крысиных и иксодовых клещей для наблюдения за их состоянием после экспозиции помещают в пробирки дифференцированной влажности. Изготавливают пробирки следующим образом. Химическую пробирку на 1/4 наполняют дистиллированной водой, затем до уровня воды в пробирку помещают плотный ватный тампон, поверх которого насыпают слой мелкого прокаленного песка (около 0,5 см). Сверху на песок кладут несколько кружочков фильтровальной бумаги по размеру диаметра пробирки для препятствования просыпанию песка при манипуляциях. В верхнюю половину пробирки вставляют согнутую посредине полоску фильтровальной бумаги так, чтобы она не смачивалась. Закрывают пробирку тугим гладким ватным тампоном или ватной пробкой и устанавливают вертикально или наклонно. Пробирки содержат при температуре (24 +/- 2) °C. Вшей, клещей домашней пыли, ушных кроличьих клещей после экспозиции помещают в пробирки, которые складывают в эксикатор с насыщенным раствором поваренной соли (относительная влажность 80%). Эксикаторы содержат в термостатах при температуре 27 °C. Блох содержат в пробирках с добавлением тонкого слоя речного песка на штативах в термостатах при температуре 27 °C относительной влажности 80%. Обработанные инсектицидами и репеллентами тест-поверхности для изучения длительности их остаточного действия хранят открыто в проветриваемом помещении при комнатной температуре и естественной влажности, избегая попадания прямых солнечных лучей. Тест-поверхности из стекла и фанеры хранят вертикально в специальных держателях, тканевые и бумажные тесты подвешивают в развернутом состоянии, не складывая. Тест-поверхности, обработанные сыпучими средствами (дусты, мелки, кристаллические порошки и др.), хранят в горизонтальном положении.
4.1.4. Принципы приготовления рабочих растворов для проведения экспериментов. Концентрации рабочих растворов подбирают в зависимости от вида членистоногого и целей экспериментов. При расчетах концентраций и доз следят за соблюдением размерности единиц измерения (%, г/л, мг/л, мг/мл и т.д.). Навеску субстанции или средства взвешивают на аналитических весах соответствующего класса точности. Для приготовления раствора первого разведения с заданной концентрацией используют диагональную модель "конверта Пирсона" (правило креста)
(формула 4.1). Смешиваемые растворы измеряют в объемных или массовых частях в зависимости от того, в объемных или массовых процентах выражена концентрация растворов. Пропорцию для смешивания концентрат: растворитель определяют как
Mк :
Mр:

где: (4.1)

- исходная концентрация ДВ в средстве, концентрате, техническом продукте и т.д., используемом для приготовления раствора;

- концентрация ДВ в растворе, которую необходимо получить;
Mк - необходимо частей (массовых или объемных) исходного концентрата (средства, технического продукта и т.д.);
Mр - необходимо частей (массовых или объемных) растворителя (воды, ацетона, спирта и т.д.).
Например, из концентрата, содержащего 25,0% ДВ, необходимо приготовить 1,0% рабочий раствор. Заполняя конверт Пирсона, определяют

;

.
Mк :
Mр = 1 : 24. Итого на 1 часть концентрата следует добавить 24 части растворителя. Для нахождения средних смертельных концентраций (доз) из раствора первого разведения готовят не менее 4 - 5 последовательно снижающихся концентраций с шагом 2 - 10 в зависимости от вида членистоногого и химического класса инсектицида. Например, для приготовления серии разведений с шагом 10 (10-кратных) к 1 см
3 раствора первого разведения добавляют 9 см
3 растворителя и в результате получают второе разведение; к 1 см
3 второго разведения добавляют 9 см
3 растворителя и получают третье разведение и т.д.
4.1.5. Расчеты показателей активности субстанций и препаративных форм. Для всех показателей активности проводят статистическую обработку данных, полученных по повторностям для каждого опыта, вычисляя среднюю арифметическую величину, стандартную ошибку средней, среднеквадратичное отклонение, половину доверительного интервала и другие в зависимости от целей исследования. Используют стандартные программные пакеты статистической обработки данных и другие общепринятые методы.
4.1.5.1. Инсектоакарицидную активность (
Y) оценивают по доле (в процентах) гибели членистоногих в опытных вариантах по сравнению с контрольным по
формуле 4.2:

, где (4.2)
Aо и Aк - исходное количество особей в опыте и в контроле;
Bо и Bк - количество погибших особей в опыте и в контроле.
4.1.5.2. В случае гибели в контроле от 5% до 20% особей, результат рассчитывают по
формуле Аббота 4.3. Если гибель особей в контроле превышает 20%, то опыт не учитывают и проводят заново. Для получения более надежных оценок инсектицида исследование следует повторить с более жизнеспособной культурой членистоногих или изменить условия опыта в сторону большей их комфортности для объекта как в контроле, так и в опыте.

, где (4.3)
A - гибель насекомых в опыте;
B - гибель насекомых в контроле.
4.1.5.3. Если по каким-то причинам постановка контроля невозможна, об инсектицидной активности судят только по числу (численности) особей до и после применения вещества, применяя упрощенную
формулу 4.4:

, где (4.4)
Aо - исходное количество особей в опыте;
Bо - количество погибших особей в опыте.
4.1.5.4. Для определения величин СД50 (95, 99), СК50 (95, 99) используют графический метод с применением пробит-логарифмической бумаги. На оси абсцисс откладывают дозы ДВ (г/м2, мкг/г массы насекомого, мг/особь) или концентрации (%) в последовательных разведениях. На оси ординат - доли гибели насекомых (%) при этих дозах (концентрациях), установленные в опыте. Между полученными точками проводят линию регрессии. Для определения СД50 (СК50) проводят горизонтальную линию на уровне 50% до пересечения с линией графика. Опущенный из точки пересечения перпендикуляр на ось абсцисс покажет по шкале на этой оси искомое значение. Проводя горизонтальную прямую на других уровнях и опуская перпендикуляр, можно определить соответствующие другие значения СД (СК), например, для определения СД95 горизонтальную прямую до пересечения с линией графика проводят на уровне 95% и т.д.
4.1.5.5. Для определения массы одного членистоногого взвешивают не менее 10 анестезированных особей (обычно от 10 до 100 особей) в 3 - 5-кратной повторности, затем вычисляют среднее значение в мг.
4.1.5.6. Среднюю смертельную дозу ДВ на особь (СД
50, мкг/особь) при использовании топикального метода нанесения проводят по
формуле 4.5:
A - концентрация СК50, %;
Y - нанесенный объем, мкл.
4.1.5.7. Среднюю смертельную дозу ДВ на единицу массы тела членистоногого (СД
50, мкг/г) рассчитывают по
формуле 4.6:

, где (4.6)
A - концентрация СК50, %;
Y - нанесенный объем, мкл;
B - масса членистоногого, мг.
4.1.5.8. Коэффициент отпугивающего/защитного действия репеллентов (далее - КОД/КЗД, %), КЗД (%) инсектоакарицидных средств, содержащих инсектициды тканей и защитной одежды для различных групп членистоногих рассчитывают по
формуле 4.7:

(4.7)
4.1.5.9. КОД для клещей (муравьев) рассчитывают
формуле 4.7, где:
A - количество клещей (муравьев) в опыте;
B - количество клещей (муравьев), прошедших обработанную репеллентом зону.
4.1.5.10. КОД для блох (бабочек моли) рассчитывают
формуле 4.7, где:
A - количество блох (бабочек моли и отложенных на субстрат яиц) на контрольном тесте;
B - количество блох (бабочек моли и отложенных на субстрат яиц) на опытном тесте.
4.1.5.11. КОД (КЗД) для комаров (гнуса) и КЗД одежды для гнуса (КЗД
гнуса) рассчитывают по
формуле 4.7, где:
A - число укусов комаров (гнуса) в контроле за период испытаний;
B - число укусов комаров (гнуса) в опыте за период испытаний.
4.1.5.12. КЗД одежды для иксодовых клещей (КЗД
клещи) рассчитывают
формуле 4.7, где:
A - количество клещей, прицепившихся и собранных с обычной одежды контрольного испытателя за период испытаний;
B - количество клещей, прицепившихся и собранных с защитной одежды испытателя за период испытаний и тестового времени.
4.1.5.13. КЗД одежды для блох (КЗД
блохи) рассчитывают
формуле 4.7, где:
A - количество блох, обнаруженных на обычной одежде контрольного испытателя в течение 10 мин;
B - количество блох, находящихся на защитной одежде испытателя более 10 мин.
4.1.5.14. При испытании веществ или средств в натурных условиях, когда об их эффективности (
Y) судят по уменьшению численности объекта на опытном и контрольном участках, расчет проводят по
формуле 4.8:

, где (4.8)
Aо - количество объектов на опытном участке до обработки;
Bо - количество объектов на контрольном участке до времени обработки;
At - количество объектов через t суток (ч) на опытном участке после обработки;
Bt - количество объектов через t суток (ч) на контрольном участке после времени обработки.
4.1.5.15. Индекс скорости присасывания (далее - ИСП) для иксодовых клещей рассчитывают по
формуле 4.9:

, где (4.9)
Vk - средняя скорость присасывания клещей в контроле, мин;
Vо - средняя скорость присасывания клещей в опыте, мин.
4.1.5.16. При испытании инсектицидной активности средств в аэрозольной упаковке сначала рассчитывают концентрацию (
C, мг/м
3) инсектицида в воздухе по
формуле 4.10. Затем рассчитывают показатели
C15 (мг/м
3) - концентрация, которая вызывает поражение 99% мух или комаров в течение условно принятого времени - 15 мин
(формула 4.11) и
Q15 (мг/м
3) - количество смеси, выпущенное из баллона, вызывающее поражение 99% насекомых за 15 мин
(формула 4.12):

, где (4.10)
Q - количество смеси, выпущенной из аэрозольного баллона в камеру, определяемое по разности веса упаковки до и после опыта, г;
Z - количество ДВ инсектицида (по сумме всех ДВ) в составе наполнителя аэрозольного баллона, пересчитанное в мг/г;
V - объем камеры, м3.

(4.11)

, где (4.12)
C - концентрация инсектицида в воздухе, рассчитанная по
формуле 4.10, мг/м
3;
T - время, за которое в опыте наступает поражение 99% насекомых, мин.
4.1.5.17. Время поражения 50% особей насекомых (КТ
50, мин) рассчитывают по
формуле 4.13:

, где (4.13)
КТ1 - время поражения 1% насекомых из числа взятых в опыт;
КТ99 - время поражения 99% насекомых из числа взятых в опыт.
4.1.5.18. Индекс питания тараканов отравленными приманками (ИП) рассчитывают по
формуле 4.14:

, где (4.14)
A - поглощение отравленной приманки, мг;
B - поглощение альтернативного корма, мг.
4.1.5.19. Продолжительность действия антимольного средства на тканях оценивают, состаривая их путем хранения в термостате при 40 °C, и рассчитывают по
формулам 4.15,
4.16 и
4.17:
С - срок годности;
Сэ - экспериментальный срок годности;
K - коэффициент соответствия.

, где (4.17)
A - температурный коэффициент скорости химической реакции, принятый за 2;
Tэ - повышенная температура, равная 40 °C;
Tхр - температура хранения, равная 20 °C.
4.1.5.20. Коэффициент аттрактивного действия (КАД) рассчитывают по
формуле 4.18:

, где (4.18)
О - количество насекомых в опытном варианте;
К - количество насекомых в контрольном варианте.
4.2. Методы изучения инсектицидной, акарицидной
и репеллентной активности ДВ (субстанций)
4.2.1. Методы изучения инсектоакарицидной активности ДВ (субстанций) при контактном воздействии на организм членистоногих. При проведении экспериментов используют серии растворов ДВ инсектицидов не менее чем из пяти логарифмически снижающихся концентраций с шагом 2 - 10, которые должны вызывать гибель членистоногих в интервале 16 - 84%. Если перед началом исследований неизвестен диапазон концентраций, вызывающих такую гибель, то целесообразно поставить ориентировочный опыт с интервалом разведений концентраций в 10 раз. Полученные результаты обрабатывают с помощью пробит-анализа, строя кривую регрессии "концентрация-гибель" или "доза-гибель". По кривой регрессии рассчитывают показатели СК50, СК95, СК99 (%); ЛД50, ЛД95, ЛД99 (мкг/г или мкг/особь).
4.2.1.1. Метод топикального нанесения инсектоакарицидов на членистоногих. Растворы инсектоакарицидов (спиртовые или ацетоновые) определенного объема с помощью микродозатора наносят на среднеспинку мух, среднегрудь клопов и тараканов или на спинной щиток иксодовых клещей. В качестве микродозатора используют микрошприцы, специальные аппликаторы или петли из некорродирующей проволоки. Петлю изготавливают из некорродирующей проволоки (платина, родий, держатель спирали в электролампе) путем наматывания на иглу одного завитка. Форма петли должна быть круглой. Затем в месте соединения петли и стержня делают изгиб под прямым углом, и стержень петли прикрепляют к держателю (микробиологический держатель, цанговый карандаш и др.). Петлю калибруют путем перенесения 0,5 см
3 спирта из стаканчика объемом 1 см
3 на фильтровальную бумагу с подсчетом количества перенесенных капель. Опыт повторяют не менее трех раз. Размер капли должен быть сопоставим с размером членистоногого, но не должен его превышать. Рекомендованы следующие размеры капель: для мух и тараканов - 1 мкл; для постельных клопов - 0,5 мкл; для иксодовых клещей - 0,3 мкл. В опыте используют не менее 5 - 7 концентраций инсектицида, при этом начинают эксперимент с нанесения наименьшей концентрации. Параллельно ставят 2 контрольных варианта, в первом на членистоногих наносят растворитель без инсектоакарицида, во втором членистоногих оставляют без обработки. Все опыты ставят в 3 повторностях, в каждой по 10 - 20 особей. Членистоногих после нанесения инсектоакарицида (растворителя) и его высыхания помещают в чистые сосуды: клопов - в пробирки с фильтровальной бумагой, сложенной "гармошкой"; иксодовых клещей - в пробирки дифференцированной влажности; мух и тараканов - в стаканы, которые накрывают крышками с отверстиями. Мухам всегда дают воду, при длительных учетах мухам и тараканам дают пищу. Учет результатов опытов для комнатных мух проводят через 24 ч; для клопов, тараканов, клещей - ежедневно в течение 1 - 5 суток в зависимости от химической принадлежности инсектоакарицида. К живым относят особей, способных к направленному передвижению, а особей неподвижных или с резкими нарушениями координации - к мертвым.
4.2.1.2. Метод опрыскивания насекомых и тест-поверхностей с помощью опрыскивателей различного типа (пульверизаторы, беспропеллентные упаковки, опрыскиватели малого объема). Членистоногих и тест-поверхности помещают на фильтровальную бумагу и опрыскивают рабочими растворами, подбирая необходимый объем жидкости в зависимости от объекта и тест-поверхности. При необходимости членистоногих предварительно анестезируют. После высыхания жидкости членистоногих переносят в чистые пластиковые или стеклянные стаканы.
4.2.1.3. Метод опрыскивания насекомых и тест-поверхностей с помощью опрыскивателя с вращающимся столиком (опрыскиватель Поттера). Опрыскиватель состоит из следующих основных частей: распылитель жидкости, вращающийся столик для размещения биологических объектов, колпак, воздуходувка с мотором для подачи сжатого воздуха. Собственно распылитель изготавливают из латуни, нержавеющей стали или бронзы. Распылитель вставляют в отверстие колпака, воздушный шланг, идущий от воздуходувки, соединяют с распылителем. Колпак обычно делают из стекла или нержавеющей стали с окошком для наблюдения за ходом опрыскивания, высота его 40 - 45 см. Столик опрыскивателя делают вращающимся со скоростью 30 - 40 об./мин для обеспечения равномерного покрытия поверхности каплями инсектицида. Столик снабжают тарелкой с отверстием посередине и бортиками. На столик опрыскивателя помещают чашки с анестезированными насекомыми (или раскладывают их на круг фильтровальной бумаги), ставят колпак. Устанавливают на колпак распылитель, в патрубок распылителя заливают отмеренное количество рабочего раствора определенной концентрации инсектицида (например, 2,5 см3), включают мотор столика и воздуходувку. Жидкость вытекает через центральную трубку и разбивается конической струей воздуха, проходящей через щели между центральной трубкой и наконечником. Мелкие капли оседают на столик, стенки колпака и опрыскиваемые предметы. Растворы могут быть водными, спиртово-водными или приготовленными на 60% ацетоне, поскольку растворы на чистом спирте или ацетоне быстро испаряются. Количество жидкости, заливаемой в опрыскиватель, подбирают экспериментально путем сравнения результатов, полученных методом опрыскивания, с результатами, полученными методом топикального нанесения инсектицида.
4.2.1.4. Методы принудительного контакта членистоногих с поверхностями, обработанными инсектоакарицидами. В общих случаях используют невпитывающую поверхность (стекло) при норме расхода рабочей жидкости 50 см
3/м
2 и впитывающую поверхность (фанера) при норме расхода 100 см
3/м
2. Для решения частных задач используют другие тест-поверхности и нормы расхода рабочих жидкостей инсектицидов.
Рыжие тараканы и постельные клопы. Для принудительного контакта с обработанными поверхностями используют экспозиметры высотой 8 - 10 см и диаметром 8 - 9 см. Время контакта в экспозиметрах 15 - 60 мин и более в зависимости от целей эксперимента. Экспозиметры для экспериментов с тараканами смазывают вазелином с нижней внутренней стороны. Насекомых после контакта с обработанными поверхностями переносят в чистые пластиковые или стеклянные стаканы и регистрируют их состояние (без внешних признаков паралича, парализованные, мертвые) в течение 24 - 48 ч.
Рыжие тараканы. Для изучения контактного действия инсектицидов, не обладающих выраженным контактным действием на поверхностях при короткой экспозиции (неоникотиноиды, хлорфенапир и др.) опыты проводят в полигонах размером (60 x 40 x 15) см. На тест-поверхность из фильтровальной бумаги размером (100 x 100) см равномерно наносят при помощи опрыскивателя типа Росинка 100 см3 рабочего водного раствора инсектицида в рекомендованной концентрации (норма расхода 100 см3/м2). Обработку проводят в камере или в вытяжном шкафу, при горизонтальном расположении листа, бумагу высушивают в течение 1 - 2 ч, затем вырезают фрагмент необходимого размера (30 x 50) см. Лист бумаги располагают в центре поперек полигона на дне таким образом, чтобы с обоих торцов длинной стороны полигона оставалось по 10 см необработанной поверхности, края листа загибают на стенки полигона. Лист приклеивают клейкой лентой по периметру. На верхнюю часть внутренней поверхности стенок полигона наносят полоску вазелина шириною 2 - 5 см, препятствующую выползанию насекомых. По боковым сторонам вазелин наносят на полоски клейкой ленты, закрепляющей обработанную бумагу на стенках. Суть метода состоит в том, что насекомые не имеют возможности попасть из одной "чистой" части полигона в другую, минуя обработанную бумагу. На необработанных участках полигона с одной стороны располагают поилку с водой, с другой - убежище и пищу (сухой корм для собак или комбикорм для лабораторных грызунов). В контейнер помещают по 20 самок и 20 самцов рыжих тараканов. Параллельно готовят контрольный вариант: в необработанный полигон помещают поилку, аналогичную пищу и убежище, подсаживают 20 самок и 20 самцов рыжих тараканов. Повторность опытов трехкратная. Учет гибели ведут ежедневно, а при отсутствии выраженного действия - с интервалом 3 - 5 сут. в течение 28 суток.
Рыжие тараканы. Принудительный контакт самцов рыжих тараканов с ДВ инсектицидов осуществляют в биологических пробирках. Пробирки обрабатывают ацетоновыми растворами ДВ инсектицидов в логарифмически снижающихся концентрациях (не менее 5 концентраций) из расчета 1 см3/м2, высушивают в потоке теплого воздуха при непрерывном вращении в горизонтальном положении. Время контакта тараканов составляет 60 мин, далее насекомых переносят в чистые пластиковые стаканы. Поражение тараканов учитывают ежеминутно в течение 1 ч, далее каждый час после экспозиции до 6 ч, через 24 и 48 ч, подсчитывают число погибших насекомых. Повторность опыта 3 - 5-кратная по 10 особей в каждом варианте.
Комнатные мухи. Принудительный контакт комнатных мух с ДВ инсектицидов осуществляют в биологических пробирках. Пробирки обрабатывают ацетоновыми растворами ДВ инсектицидов в логарифмически снижающихся концентрациях (не менее 5 концентраций) из расчета 1 см3/дм2, высушивают в потоке теплого воздуха при непрерывном вращении в горизонтальном положении. Время контакта мух составляет 5, 15, 30, или 60 мин, после чего их высаживают в пластиковые контейнеры объемом около 250 см3 (пластиковые бутылки со срезанным и затянутым марлей дном). Насекомым дают ватные тампоны, смоченные водой. Поражение мух учитывают ежеминутно в течение 1 ч, далее каждый час после экспозиции до 6 ч, через 24 и 48 ч, подсчитывают число погибших насекомых. Повторность опыта 3 - 5-кратная по 10 особей в каждом варианте.
Блохи. Определение токсичности ДВ инсектицидов проводят на непитавшихся крысиных блохах 1 - 3-недельного возраста без разделения по полу, методом групповой подсадки на импрегнированную инсектицидом фильтровальную бумагу. Приготовление импрегнированной бумаги ведут непосредственно перед проведением опытов путем пропитки стандартных обеззоленных фильтров (синяя лента) ацетоновыми растворами инсектицидов в логарифмически снижающихся концентрациях. Расход жидкости составляет 1 см3/100 см2. После высыхания бумагу либо используют целиком, либо разрезают ножницами на прямоугольники размером (5 x 1) см. Импрегнированную бумагу используют в течение 3 суток, но не ранее, чем через 1 ч после высыхания растворителя. Применяют два метода, в первом случае блохи контактируют с импрегнированной бумагой в пробирках, во втором - в экспозиметрах:
1) Блох помещают в пробирки по 20 особей, затем опускают в них кусочки импрегнированной бумаги. Через 1 ч бумагу аккуратно извлекают, в пробирки с блохами насыпают тонкий слой чистого песка для убежища блох, пробирки помещают на штативе в термостат при температуре 27 °C и относительной влажности 80%. Из контрольных вариантов так же, как из опытных, бумагу извлекают через 1 ч. Учет смертности проводят через 24 ч после окончания экспозиции. Лежащих блох, неспособных самостоятельно перевернуться, относят к погибшим и определяют показатели СК50, (СК95, 99). С каждой концентрацией инсектицида проводят 3 опыта не менее чем в 3 повторностях, используя не менее 20 насекомых на одну повторность. Для каждого опыта ставят три контрольных варианта (1 - необработанная бумага, 2 - обработанная ацетоном бумага, 3 - блохи в пробирках без бумаги);
2) Импрегнированную бумагу готовят описанным выше способом, высушивают, но фильтры не разрезают и целиком вкладывают в чашку Петри. Блох по 20 - 30 особей рассаживают в стеклянные емкости достаточной высоты (10 - 15 см) с гладким ровным горлом (банки, стаканы), накрывают чашкой Петри с вложенной в нее обработанной бумагой и переворачивают вверх дном, придерживая чашку. Блохи оказываются на фильтре. После необходимой экспозиции (например, 1 ч) емкости переворачивают обратно, постукиванием стряхивают блох в емкость, из которой через воронку блох ссыпают в чистые пробирки, находящиеся в штативе. В пробирки насыпают тонкий слой чистого песка для убежища блох, помещают в термостат. Учеты смертности проводят аналогично. При изучении пиретроидов учитывают время наступления нокдаун эффекта у 99% блох (КТ99, мин), у остальных групп инсектицидов учитывают только смертность (%) через 24 ч.
Кровососущие комары. Контактирование имаго комаров проводят в пластмассовых экспозиметрах-конусах из прозрачного гладкого пластика, рекомендованных ВОЗ. Внутренний диаметр конуса у основания 85 мм, высота 55 мм. В отверстие в центре конуса запускают самок комаров с помощью стандартного аспиратора с загнутым концом (диаметр 10 мм). Комары остаются в экспозиметре (т.е. принудительно контактируют с обработанной поверхностью) в течение 30 мин. После этого комаров переносят в чистые садки для дальнейших учетов гибели.
Иксодовые клещи. Фильтровальную бумагу в виде круга диаметром 10 см размещают горизонтально на невпитывающей поверхности, с помощью пипетки равномерно наносят на нее 0,78 см3 раствора изучаемого вещества в ацетоне серии не менее 5 концентраций. В контрольном варианте на бумагу наносят тем же способом растворитель. После испарения растворителя круги помещают на дно чашек Петри так, чтобы края круга поднимались на стенки чашки. Продолжительность контакта клещей с бумагой 1 мин и более в зависимости от целей эксперимента. Клещей, выползающих за пределы круга, возвращают на бумагу. Поскольку клещи достаточно подвижны, одновременно в чашку Петри помещают не более 2 - 3 клещей. В опыте с каждой концентрацией вещества используют по 30 клещей. Опыты с самками и самцами клещей ставят и учитывают раздельно. Сразу после контакта клещей переносят в пробирки дифференцированной влажности (по 10 особей в пробирке). Все работы с контрольными клещами должны быть проведены на отдельном столе с использованием незагрязненных инструментов (ножниц, пинцетов, кисточек и т.п.). Учет гибели иксодовых клещей проводят через 24 ч после опыта. К живым относят особей, способных к передвижению, а неподвижных, почти неподвижных и клещей с резкими нарушениями координации относят к категории мертвых.
Кровососущие гамазовые клещи (крысиный клещ). Фильтровальную бумагу размером (10 x 10) см размещают горизонтально на невпитывающей поверхности, равномерно наносят на нее с помощью пипетки 1 см3 раствора изучаемого вещества в ацетоне, готовя серию листов, обработанных растворами не менее 5 логарифмически снижающихся концентраций. После испарения ацетона края бумаги обрабатывают репеллентом (20%-й диметилфталат или акреп), чтобы предотвратить расползание клещей. На обработанную бумагу подсаживают на 5 мин не менее 10 особей половозрелых клещей без разделения по полу. Сразу после окончания экспозиции клещей кисточкой переносят в чистые стеклянные пробирки дифференцированной влажности. Опыты проводят в 3 - 5 повторностях. Через 24 ч учитывают погибших клещей.
4.2.1.5. Метод свободного контакта насекомых с поверхностями, обработанными инсектицидами, позволяет более полно оценить инсектицидное средство с учетом степени его потенциальных отпугивающих свойств.
Тараканы. Опыты проводят в специальных полигонах размером (60 x 40 x 15) см верхние края бортов которых смазаны вазелином. В центре полигона помещают пластинку (стекло, фанера) размером (10 x 10) см, верхняя сторона которой обработана инсектицидом. В каждый полигон помещают 30 тараканов при соотношении самок, самцов и личинок II - IV возраста - 1 : 1 : 1. В полигоне расставляют сосуды с водой и кормом (белый хлеб), альтернативные укрытия. Опыты ставят не менее чем в 3 повторностях. Учет погибших насекомых проводят каждые 24 ч в течение 3 - 5 суток или более в зависимости от целей эксперимента и изучаемого средства.
Муравьи. Опыты проводят в полигонах размером (60 x 40 x 15) см, края бортов которых смазаны слоем жидкого блеска для губ шириной не менее 1 см. В центре полигона помещают пластину (стекло, фанера) размером (10 x 10) см, верхняя сторона которой обработана инсектицидом. В каждый полигон помещают убежище для муравьев (гнездовую пробирку, заполненную на 1/3 водой и укупоренную ватным тампоном вровень с поверхностью воды), корм (мед на подложке). Затем в каждый полигон запускают 50 - 100 рабочих особей муравьев, 4 самки и расплод. Опыты ставят не менее чем в 3 повторностях. Учет погибших насекомых проводят в течение 4 недель.
4.2.1.6. Метод изучения раздражимости комаров под действием инсектицидов. Фильтровальную бумагу обрабатывают из опрыскивателя с мелкодисперсной головкой рабочей жидкостью инсектицида различных концентраций. Исследования проводят через 1 - 2 суток после обработки. Аппарат для определения раздражимости представляет собой светонепроницаемую камеру из легкого дерева размером (135 x 135 x 90) мм. Свет проникает в нее сквозь круглое отверстие в задней стенке диаметром 90 мм, по бокам которого имеются пазы для матового стекла, пропитанной инсектицидом бумаги (или контрольной) и конического экспозиметра диаметром 85 мм, высотой 55 мм. Опыты проводят в темной комнате с единственной электрической лампочкой, помещаемой перед задней стенкой прибора на расстоянии, зависящем от мощности лампы: 40 Вт - 41 см, 60 Вт - 55 см, 100 Вт - 92 см. Комаров в садке перед опытом содержат в той же комнате при том же освещении (т.е. расстоянии от лампы) в течение 0,5 - 1,0 ч. Каждого комара (сытых самок) сначала сажают в контрольный экспозиметр (та же бумага, но без инсектицида), где выдерживают 3 мин, а затем в течение 10 мин подсчитывают число взлетов. Комаров, взлетевших в контроле 2 и более раз, выбраковывают как спонтанно раздражимых. Причиной спонтанной раздражимости могут быть травмы комаров при пересадке или неблагоприятные условия (при массовой раздражимости). Спокойных комаров (не было взлетов или 1 случайный взлет без ползания по бумаге) по одному пересаживают в опытный экспозиметр с бумагой, обработанной инсектицидом, и после 3 мин начинают подсчет взлетов, продолжающийся 10 мин. Отмечают также "хождение" комара по бумаге, что тоже говорит о раздражимости. В опыте должно быть использовано не менее 50 особей. По окончании опыта подсчитывают распределение особей по степени раздражимости.
4.2.2. Методы изучения овицидной активности ДВ применяют для изучения влияния ДВ на эмбриогенез комнатных мух, постельных клопов, блох.
4.2.2.1. Метод изучения действия инсектицидов на яйца мух. Свежеотложенные яйца мух по 5 - 10 мг заворачивают в батистовую салфетку и погружают на 5 мин в спиртовые или водные растворы инсектицида логарифмически снижающихся 5 - 6 концентраций в 5 - 7-кратной повторности, затем вынимают и тщательно прополаскивают в теплой проточной воде. Параллельно с опытом используют 2 варианта контроля - в первом яйца погружают в растворитель, во втором - оставляют необработанными. После экспозиции яйца мух переносят в чашки Конвея, в которых круговые емкости заполнены водой для поддержания 100%-й влажности, накрывают крышками и инкубируют в течение 2 суток при температуре (25 +/- 1) °C. Через 48 ч подсчитывают количество отродившихся личинок в сравнении с контролем.
4.2.2.2. Метод изучения действия инсектицидов на яйца клопов. Для получения яиц клопов используют фильтровальную бумагу размером (7 x 20) см, сложенную пополам и склеенную по краям. В стеклянный стакан емкостью 0,5 дм3 отсаживают не менее 30 сытых самок клопов, помещают подготовленную фильтровальную бумагу, сложенную гармошкой. Выдерживают 3 - 4 суток, после чего бумагу извлекают, срезают край в местах склейки и разворачивают. Таким образом, отложенные яйца оказываются на одной стороне листа. Листы фильтровальной бумаги с яйцекладками опрыскивают рабочей жидкостью инсектицида из расчета 100 см3/м2 (1 см3/дм2). Испытывают не менее чем 5 концентраций в 3 повторностях каждая. В контроле бумагу с яйцекладками обрабатывают водой или растворителем. После обработки бумагу с яйцекладками переносят в стеклянные стаканы. Учет результатов проводят через 5 - 7 суток. Активность определяют по соотношению числа личинок, вылупившихся из обработанных и контрольных яйцекладок.
4.2.2.3. Метод изучения действия инсектицидов на яйца блох. На дно сосуда (кастрюли) кладут листы черной бумаги, так чтобы она полностью покрывала дно сосуда, и помещают туда белую мышь в фиксирующем сетчатом садке на чашке Петри с вложенной внутрь фильтровальной бумагой для впитывания выделений зверька. На мышь выпускают 100 - 200 блох без разделения по полу. Листы бумаги меняют ежедневно. Из листа нарезают участки с достаточным количеством отложенных яиц и обрабатывают их раствором инсектицида (5 логарифмически снижающихся концентраций) из расчета 1 см3/дм2. Опыты ставят в 3 повторностях. В контрольном варианте лист бумаги с яйцами обрабатывают растворителем. Яйцекладки инкубируют в термостате при температуре 27 °C и относительной влажности 80%. Учет результатов проводят через 4 - 6 суток. Активность определяют по соотношению числа личинок, выплодившихся на обработанном и контрольном листах.
4.2.3. Методы изучения фумигационной активности применяют для изучения активности летучих инсектицидов и регуляторов развития насекомых.
4.2.3.1. Метод изучения фумигационной активности летучих инсектицидов. Опыты проводят в стеклянных сосудах емкостью 10 дм3. Фильтровальную бумагу (размером 10 x 10 см) пропитывают 1 см3 ацетоновых или спиртовых растворов инсектицидов, просушивают при комнатной температуре в течение 1 ч и помещают ее на дно сосуда. Используют несколько логарифмически снижающихся концентраций с шагом 2 - 5. В садок (размером 10 x 10 x 10 см) из металлической сетки или фатина помещают рыжих тараканов (10 самцов) или комнатных мух (50 особей без разделения по полу), или других насекомых, в садок с мухами помещают поилку. Поперек горловины 10-литрового сосуда клейкой лентой приклеивают прочный шпагат, к которому при помощи другого отрезка шпагата и канцелярского зажима подвешивают садок с насекомыми на расстоянии 10 см от дна. Сосуды закрывают бязевыми салфетками. Опыты ставят для каждого вида насекомых отдельно. Повторность опытов трехкратная. Фиксируют время наступления паралича насекомых с интервалом 5 - 15 мин в течение 1 ч и далее каждые 30 - 60 мин в течение 6 - 7 ч. После поражения 95% насекомых в опыте бумагу извлекают из сосуда, оставляя садок с насекомыми внутри, сосуд закрывают бязевой салфеткой и через 24 ч учитывают долю оставшихся пораженными особей. Оценку фумигационной активности инсектицидов проводят: а) по показателям КТ50 и КТ95 - времени (в мин или ч), за которое 50% (95%) насекомых в эксперименте впадают в состояние нокдауна; б) по показателю, характеризующему обратимость состояния паралича - доле оставшихся пораженными насекомых при учете через 24 ч.
4.2.3.2. Изучение фумигационной активности регулятора развития насекомых (далее - РРН) проводят в специальной установке - системе из сообщающихся между собой с помощью переходника размером (15 x 15 x 30) мм, бокса из прозрачного оргстекла размером (200 x 200 x 200) мм и лабиринта с крышкой размером (200 x 200 x 40) мм. Такая конструкция позволяет создать длину пробега насекомых в одном лабиринте, равную двум метрам, сохраняя компактность установки, и проводить наблюдения за влиянием РРН (гидропрена) на уровне модельной группы тараканов в условиях, максимально приближенных к естественным, в течение продолжительного периода жизни насекомых. Лабиринты выполняют функцию убежища (имитация щелей и трещин), и поэтому они должны быть затемнены черной светонепроницаемой бумагой. В опытном варианте в боксы устанавливают испарители с РРН, кормушки и поилки с водой. В контрольном варианте в боксах создают те же условия, но без РРН. Эксперименты ставят в 3 повторностях. В каждой повторности используют по 60 тараканов (10 самок, 10 самцов и 40 личинок) с учетом естественного соотношения особей в популяции рыжих тараканов 1 : 1 : 4. Учеты погибших тараканов, а также наблюдения за появлением меланизированных особей и тараканов с морфологическими отклонениями проводят еженедельно в течение 10 недель. Кроме того, отслеживают появление оотек у самок и процесс отрождения из них личинок первого возраста в течение всего срока наблюдения, оценивают образование новых имаго и рост популяции.
4.2.4. Методы изучения активности ДВ при кишечном воздействии на насекомых. Исследования проводят преимущественно на комнатных мухах и рыжих тараканах, применяя групповое или дозированное кормление.
4.2.4.1. Метод группового кормления мух сухими сахарными приманками. В опытах используют голодных комнатных мух 3 - 6-дневного возраста без разделения по полу. За 16 - 18 ч до начала эксперимента у мух отнимают корм, оставляя в садках только воду. Приготавливают ацетоновые растворы ДВ инсектицида, которыми обрабатывают сахарный песок из расчета 1 часть ацетонового раствора на 2 части сахарного песка. Сахарный песок по 2 г помещают на часовые стекла или стеклянные чашки Петри, затем наливают пипеткой 1 см
3 ацетонового раствора инсектицида и оставляют в вытяжном шкафу до полного испарения растворителя. Для получения необходимой дозы инсектицида в сахаре готовят исходный ацетоновый раствор инсектицида, учитывая, что при нанесении 1 см
3 1%-го раствора ДВ (т.е. 10 мг инсектицида в 1 см
3 ацетона) на 2 г сахара, доза инсектицида в приманке составляет 5 мг/г сахара. В качестве емкостей для содержания мух можно использовать либо марлевые садки с ребром 10 - 30 см, либо прозрачные пластиковые емкости (бутылки) объемом 2 м
3. В последнем случае у бутылок срезают дно и закрывают его марлевыми салфетками. Салфетки закрепляют канцелярскими резинками. Бутылку кладут горизонтально, в горлышко помещают ватный тампон, смоченный водой, в середину бутылки помещают сахарную приманку на подложке (маленькие чашки Петри диаметром 40 мм и т.п.). Для вычленения кишечного действия инсектицида опыты следует проводить в двух вариантах: первый - открытая приманка в чашке Петри, и второй - приманка в мелкоячеистой сетке, для предотвращения контакта лапок мух с отравленным сахаром. В этой модификации метода группового кормления удобно использовать быстрорастворимый рафинад, который пропитывают ацетоновыми растворами ДВ инсектицидов, учитывая массу каждого кубика. Кубики помещают в чашки Петри диаметром 4 см и вкладывают в сетчатый конверт из фатина (мелкоячеистая сетка), который плотно натягивают и закрепляют. Данные, полученные в результате экспериментов с открытыми и засетченными кубиками, сравнивают по показателям СК
50 и СК
95. В контрольном варианте используют сахарный песок, обработанный ацетоном без инсектицида в том же объеме, что и в опытном варианте. Проводят 3 опыта не менее чем в 3 повторностях, используя не менее 120 насекомых на одну концентрацию (40 мух на одну повторность), в контрольном варианте используют не менее 40 насекомых. Для облегчения набора и подсчета насекомых в опыт мух предварительно анестезируют или охлаждают в холодильнике. Учет гибели насекомых проводят через 24 и 48 ч. Определяют концентрации, которые обеспечивают 50, 95 или 99% гибели мух.
4.2.4.2. Метод группового кормления тараканов. Опыты проводят в полигонах размером (60 x 40 x 15) см. По периметру борта смазывают вазелином для предотвращения ухода насекомых. В полигон помещают укрытие из картона, поилку с водой, приманку и при необходимости - альтернативный корм. В качестве основы для приготовления приманки используют сухой корм для собак или экструдированный комбикорм для лабораторных животных (грызунов). В этом случае гранулы корма размалывают в кофемолке, помещают полученный порошок в стеклянные бюксы по 2 г, добавляют сырой желток куриного яйца по 1 г, ацетоновые растворы инсектицидов в логарифмически снижающихся концентрациях по 0,5 см
3. Полученную массу тщательно перемешивают и выкладывают по 1 г на маленькие чашки Петри диаметром 4 см. Массу каждой приманки записывают и чашки ставят сушить при комнатной температуре до полного высыхания (приобретения постоянной массы) (около 7 суток). Альтернативный корм готовят аналогично контрольному варианту, добавляя вместо инсектицида такой же объем растворителя (ацетон). В каждый полигон помещают не менее 20 самок (без оотек) или 20 самцов рыжих тараканов, предварительно голодавших не менее 2 суток. Учет пораженных и погибших насекомых, а также поедаемость приманок (путем взвешивания их на аналитических весах) определяют ежедневно в течение 7 - 15 суток. Для выявления аверсии (индекса питания) в вариантах с альтернативным кормом проводят расчет величины индекса питания (ИП) по
формуле 4.14.
4.2.4.3. Метод дозированного кормления насекомых. Метод предусматривает кормление насекомых из микропипетки с оттянутым концом водными растворами (эмульсиями), приготовленными на 10% сахарном сиропе. Метод позволяет точно регулировать количество раствора, выпиваемого насекомыми, путем прерывания кормления в нужный момент. При постоянном объеме раствора (для комнатных мух - 0,01 см
3, рыжих тараканов - 0,05 см
3) дозу инсектицида варьируют путем изменения концентрации ДВ. Перед кормлением мух выдерживают без питания 16 - 18 ч, тараканов - 2 суток. В контрольных опытах насекомых кормят сахарным сиропом или растворителем. Опыты ставят в 3 повторностях для каждой концентрации, в каждой повторности используют не менее 10 насекомых. За процессом отмирания комнатных мух наблюдают в течение 1 суток, тараканов - в течение 3 - 5 суток. Критерием оценки активности инсектицида служит величина СД
50(99), выраженная в мкг на особь или в мкг на 1 г массы насекомого (
формулы 4.5,
4.6).
4.2.5. Методы изучения системного и контактного действия инсектоакарицидов на теплокровном животном. В опытах используют непитавшихся имаго крысиных блох 1 - 3-недельного возраста и взрослых голодных крысиных клещей без разделения по полу. В качестве прокормителей используют белых лабораторных мышей средней массой 30 г.
4.2.5.1. Метод изучения системного действия инсектоакарицида на эктопаразитов грызунов (блох и кровососущих гамазовых клещей) при его принудительном пероральном однократном введении белым мышам. Оценку системного действия ДВ инсектицидов проводят в интервале доз 1 - 30 мг/кг при принудительном введении инсектоакарицида белым мышам перорально. Определяют диапазон действующих доз в течение 1 - 7 суток. Белым лабораторным мышам средней массой 30 г, голодавшим в течение 2 - 3 ч, однократно перорально вводят по 0,5 см3 водных эмульсий инсектицида в дозе 1, 10 и 30 мг/кг (0,03; 0,3 и 0,9 мг/особь соответственно). Через 1, 2, 3 и 7 суток после введения инсектицида на этих мышей подсаживают голодных членистоногих. При этом эксперименты с блохами проводят отдельно от опытов с клещами. Для предотвращения счесывания и поедания мышами эктопаразитов животных помещают в фиксирующие садки размером (3 x 3 x 8) см из металлической сетки с ячейками (1 x 1) см, которые ставят на чашки Петри с вложенными бумажными фильтрами и помещают их в большие пластмассовые емкости с высокими стенками для сохранения всех клещей и блох, покинувших прокормителя после питания. Для предотвращения разбегания клещей в опыте стенки емкостей смазывают вазелином по верхнему краю. Каждый опыт сопровождают контрольными вариантами.
Блохи. На мышей подсаживают по 30 имаго блох на 120 мин. Затем блох собирают из пластиковой емкости, а также счесывают оставшихся насекомых с животных одноразовым пластмассовым частым гребнем. Учитывают долю напитавшихся блох. Собранных блох помещают в пробирки с небольшим количеством прокаленного песка и убирают в термостат (температура 27 °C, относительная влажность воздуха 80%). Учет смертности напитавшихся блох проводят через 24 ч.
Гамазовые кровососущие клещи. На мышей подсаживают по 30 - 40 взрослых голодных крысиных клещей. В течение 4 - 5 ч собирают напитавшихся клещей и отсаживают их в пробирки дифференцированной влажности. Учет погибших клещей проводят через 24 ч.
4.2.5.2. Метод изучения контактного действия инсектицидов на крысиных блох при испытании на белых мышах. Исследования проводят на непитавшихся имаго блох 1 - 3-недельного возраста без разделения по полу. Рекомендуемые схемы проведения опытов для изучения ДВ из различных химических групп: а) для фосфорорганических соединений (далее - ФОС) определение продолжительности действия следует проводить через 2, 24, 48, 72 и 168 ч после нанесения на животное; б) для инсектицидов, обладающих выраженным остаточным действием (пиретроидов, фенилпиразолов, неоникотиноидов) блох следует подсаживать еженедельно вплоть до снижения показателей инсектицидного действия ниже 50%. Белых лабораторных мышей средней массой 30 г помещают в фиксирующие садки размером (3 x 3 x 8) см из металлической сетки с ячейками (1 x 1) см и обрабатывают 0,1 см3 инсектицида, равномерно нанося капли сверху по обеим сторонам позвоночника животного. Необходимые концентрации инсектицида получают последовательным разведением ДВ эфиром пропиленгликоля. В опытах используют дозы 1 - 100 мг ДВ инсектицида на кг массы животного (0,03 - 3,00 мг ДВ на мышь соответственно). Садки ставят в чашки Петри с вложенными бумажными фильтрами и помещают в большие пластмассовые емкости с высокими стенками. Через 2 ч после нанесения инсектицида на мышей подсаживают имаго блох (не менее 30 насекомых в повторности). В течение 120 мин учитывают "отпугивающее" действие (уход блох с тела животного) с интервалом 15 - 30 мин. Уход блох с животного может быть вызван разным причинами: 1) окончание питания (в контрольном варианте в течение 120 мин до 20% насекомых обычно покидают животное); 2) отпугивающее действие инсектицида; 3) паралич насекомых, за счет чего блохи падают с животного. Не имея возможности разграничить причины, по которым блохи покидают прокормителя, термин "отпугивающее" действие приводится в кавычках. Затем блох собирают из пластиковой емкости, а также счесывают оставшихся насекомых с животных одноразовым частым пластмассовым гребнем. Учитывают долю напитавшихся блох; блох, покинувших прокормителя; блох, оставшихся на теле животного. Собранных блох помещают в пробирки с небольшим количеством прокаленного песка и убирают в термостат (температура 27 °C, относительная влажность воздуха 80%). Гибель насекомых учитывают через 24 ч. Остаточное действие испытываемых инсектицидов определяют тем же методом, используя обработанных ранее мышей, каждую из которых содержат в отдельной клетке. Блох подсаживают через 1, 3, 7 суток и далее еженедельно до прекращения действия средства (срок наблюдения 30 - 35 суток). Опыты проводят в 2 - 3-кратной повторности, используя в каждой не менее 30 насекомых. Каждый опыт сопровождают двумя контрольными вариантами: подсадка блох на обработанное растворителем и необработанное животное. Для сравнения результатов используют показатели продолжительности "отпугивающего" (ОТ50 и ОТ95 - время, в течение которого обработанное животное покидают 50% и 95% блох соответственно) и инсектицидного действия (СТ50 и СТ95 - время, в течение которого погибают соответственно 50% и 95% блох в эксперименте), выраженные в сутках.
4.2.6. Метод изучения нокдаун-эффекта у насекомых под действием инсектицидов. На необездвиженных тараканов или 3 - 6-дневных имаго комнатных мух наносят по 1 мкл ацетоновых растворов инсектицидов. В опыте применяют 3 - 5 концентраций инсектицидов, различающихся в 2 - 10 раз. Повторность опыта 3 - 5-кратная, на каждую повторность используют 10 насекомых. Учет времени наступления состояния нокдауна ведут индивидуально, рассаживая насекомых по одной особи в чистую пробирку, которую закрывают ватной пробкой и помещают вертикально на штатив. При работе с тараканами время наступления состояния нокдауна определяют отдельно для самцов и самок. Показателем наступления состояния нокдауна у насекомых служит неспособность их ползти вверх по поверхности стекла, переворачивание на спину и нарушение координации движения. Отмечают время в минутах от нанесения инсектицида до проявления первых признаков отравления (гиперактивность, нарушение координации движений) и наступления состояния нокдауна или глубокого паралича. Учитывают динамику отравления обработанных насекомых в течение 24 - 96 ч в зависимости от вида, определяя время нокдауна КТ
50 (КТ
99) - среднее по повторностям для 50% (99%). Для характеристики состояния нокдауна (обратимый, необратимый) строят график. Построение графика ведут в полулогарифмических координатах: на оси абсцисс откладывают время наступления нокдауна (логарифмическая шкала), на оси ординат - долю пораженных насекомых (%). В том случае, если состояние нокдауна обратимо, доля пораженных насекомых уменьшается во времени. Если состояние нокдауна необратимо, все насекомые погибают. Также для рыжих тараканов и комнатных мух используют метод принудительного контакта насекомых с обработанной поверхностью в биологических пробирках по методу, описанному в
п. 4.2.1.4.
4.2.7. Методы изучения акарицидной активности ДВ в отношении иксодовых клещей используют для отбора акарицидов, которые могут быть использованы в средствах индивидуальной защиты.
4.2.7.1. Метод определения скорости наступления состояния нокдауна и высоты подъема клещей по ткани. Метод позволяет отобрать акарициды, активность которых проявляется в первые 15 мин воздействия. Такие данные необходимы для решения вопроса о перспективности вещества как активной субстанции в средствах индивидуальной защиты людей от нападения иксодовых клещей. Из бязи изготавливают тесты в виде лент размером (70 x 10) см. Карандашом на каждом тесте делают отметки: 5 см от нижнего края теста (место подсадки клеща), 10 см от нижнего края (отметка 0 - начало обработанной части теста) и далее через каждые 10 см до отметки 60 см. Тесты размещают горизонтально на невпитывающей поверхности. На опытный тест из пипетки равномерно на участок между отметками 0 и 10 (площадь обрабатываемого участка 100 см
2), наносят 1 см
3 1%-го раствора изучаемого вещества в ацетоне или этиловом спирте. Контрольный тест обрабатывают аналогично, используя растворитель. Опыты проводят в день обработки. Тесты закрепляют под углом 70° к горизонту: используют специальное приспособление для закрепления теста или нижний конец теста закрепляют пластырем на столе, а верхний - на стене, примыкающей к столу. Клещей по одному помещают на 5 см ниже нулевой отметки и наблюдают за их передвижением вверх по ткани, дополнительно стимулируя их пальцем наблюдателя, который держат на расстоянии 0,5 см от хоботка (гнатосомы). На контрольном тесте самки таежного клеща должны за 2 мин проходить путь не менее 25 - 30 см. На опытном тесте регистрируют время от момента пересечения клещом нижней черты обработанного участка до отпадения клеща с теста, что соответствует времени наступления состояния нокдауна (КТ, мин). Одновременно регистрируют максимальную высоту подъема клеща по тесту (МВ, см). При необходимости попутно выполняют рисунки, отражающие перемещение клещей по тестам. Отпавших клещей помещают в 70%-й раствор этилового спирта с целью их консервации или продолжают дальнейшее наблюдение за ними в пробирках дифференцированной влажности. Опыт проводят не менее чем с 30 самками. Рассчитывают среднее значение времени наступления состояния нокдауна КТ
ср в минутах, среднее значение максимальной высоты МВ
ср в сантиметрах и статистическую ошибку.
4.2.7.2. Метод определения скорости присасывания клещей позволяет оценить изменение агрессивности иксодовых клещей в отношении теплокровного животного, обусловленное воздействием акарицида, т.к. некоторые акарициды ускоряют присасывание клещей. На тщательно выстриженную спину лабораторного кролика коллодием или другим не токсичным для кожи клеем приклеивают рядом 4 стеклянных цилиндра (диаметр 3 см, высота 4 см). Один цилиндр контрольный, три - опытные. Сначала в контрольный цилиндр запускают 5 самок, ползавших до этого в течение 2 мин на необработанном (контрольном) тесте. Верхнее отверстие цилиндра затягивают мельничным газом, закрепляя его резиновым кольцом. Время от запуска до присасывания каждой самки к кролику регистрируют с помощью секундомера. В каждый из опытных цилиндров запускают по 5 самок сразу после их контакта с обработанной поверхностью теста. Время контакта должно равняться 1/2 КТ
ср, который определяют по
п. 4.2.7.1. Контроль и опыт повторяют трижды. Рассчитывают среднее значение времени присасывания самок в контроле, опыте и отношение этих показателей - ИСП по
формуле 4.9.
4.2.8. Методы изучения репеллентной активности веществ в отношении кровососущих насекомых и клещей. Изучение веществ, обладающих репеллентной активностью в отношении членистоногих, проводят в два этапа. На первом этапе определяют уровень репеллентной активности 5-, 10- и 20%-х растворов вещества в этиловом спирте в отношении стандартных лабораторных культур комаров и блох. На втором этапе изучают спектр репеллентного действия отобранных веществ в разных концентрациях в отношении природных популяций различных видов насекомых и клещей. Исследования проводят в сравнении с эталоном - репеллентом N,N-диэтилтолуамидом (далее - ДЭТА) в аналогичных концентрациях. В отношении насекомых репеллентную активность новых веществ изучают в ольфактометрах, которые позволяют одновременно испытывать несколько веществ в сравнении с эталоном и контролем. После заключения о безопасности нанесения веществ на кожу человека их изучают аналогично методу определения репеллентной активности средств при нанесении на кожу
(п. 4.7.1.1).
4.2.8.1. Метод определения репеллентной активности веществ в отношении лабораторной культуры комаров в ольфактометре. Метод основан на реакции бегства комаров при возбуждении и их стремлении лететь к свету. Изучают дистантное репеллентное действие веществ на комаров. Для опытов используют ольфактометр, основная часть которого состоит из цилиндрической камеры высотой 12 см и диаметром 30 см. Камера имеет по окружности 24 отверстия, в которые впаяны трубки диаметром 2,5 см длиной 6 - 8 см для боковых отводков Т-образных стеклянных приемников (высота приемников 11 см, диаметр 2,5 см), в которые через трубки вылетают насекомые. Один конец приемников закрыт мельничным газом, другой - пробкой. Внутри камеры имеется подвижная цилиндрическая шторка высотой 6 см, плотно прилегающая к стенкам ольфактометра. При движении шторки вверх-вниз одновременно закрываются или открываются трубки с боковыми отводками приемников, где находятся тесты, позволяя или препятствуя комарам, находящимся в камере, вылетать в приемники через боковые отверстия и реагировать на пары репеллентов. На полоски фильтровальной бумаги или бязи размером (2 x 6) см наносят 0,12 см
3 5 - 20%-х растворов испытываемых соединений или 0,5%-х растворов синтетических и натуральных душистых веществ. Каждую концентрацию испытывают в 3 повторностях. Контрольные тесты пропитывают 0,12 см
3 растворителя, эталонные - 0,12 см
3 раствора ДЭТА в этиловом спирте тех же концентраций, что испытываемые вещества. После полного высыхания (не менее 1 ч) тесты сворачивают кольцом, помещают внутрь боковых отводов приемников и, чередуя один контрольный с несколькими обработанными, вставляют их в трубки ольфактометра. Ольфактометр помещают в специально оборудованный бокс с источником постоянного света - лампой накаливания в 150 Вт (или др. с аналогичной светоотдачей). 500 комаров без разделения по полу помещают в камеру ольфактометра, открывают, опуская шторку, боковые отверстия, включают электромотор и лампу, расположенную над камерой. Камера вращается со скоростью 10 оборотов в минуту вокруг оси для выравнивания освещения. Экспозиция 15 мин. За это время основная часть насекомых покидает камеру и распределяется по приемникам. Для подсчета насекомых, находящихся в приемниках, шторку закрывают, приемники извлекают из барабана и затыкают боковые отводки ватными тампонами. Приемники помещают в морозильную камеру, после гибели насекомых проводят их подсчет в каждом приемнике. КОД рассчитывают по
формуле 4.7. Для определения длительности репеллентного действия (далее - ДРД) обработанные полоски тестируют каждые 3 - 5 суток вплоть до утраты ими репеллентных свойств, когда КОД становится ниже 70%. При изучении быстро испаряющихся веществ (душистые вещества и др.) опыты следует проводить ежедневно.
4.2.8.2. Методы определения репеллентной активности веществ в отношении блох основаны на способности блох запрыгивать и подниматься вверх по полоскам бумаги или ткани, оставаясь на них длительное время. Исследования выполняют на непитавшихся имаго крысиных блох возрастом 1 - 2 недели после отрождения из коконов. Используют два метода:
1. Определение репеллентной активности веществ в ольфактометре.
На полоски фильтровальной бумаги или бязи размером (1,5 x 14,5) см наносят 0,2 см
3 5 - 20%-х растворов испытываемых веществ или 0,5 - 1,0%-х растворов синтетических и натуральных душистых веществ. Каждую концентрацию испытывают в 3 повторностях. Контрольные тесты пропитывают 0,2 см
3 растворителя, эталонные - 0,2 см
3 раствора ДЭТА в этиловом спирте тех же концентраций, что испытываемые вещества. Опыты начинают через 1 сутки после обработки тестов. Ольфактометр представляет собой цилиндрическую камеру с внутренним цилиндром. На оси под верхней крышкой расположен вращающийся диск. На диске по окружности имеются 24 отверстия, куда вставляют стеклянные трубки с развернутым верхним краем, внутренним диаметром не менее 15 мм. Высота внешнего цилиндра 15 см, диаметр - 25 см, внутреннего цилиндра - 15 см и 17 см соответственно. Трубки висят между стенками наружного и внутреннего цилиндров, не касаясь дна. На дно камеры между внешним и внутренним цилиндрами помещают 500 блох. Обработанные и контрольные тесты вставляют в трубки, закрывают сверху ватными пробками и помещают в ольфактометр, чередуя 1 контрольный с несколькими обработанными, включают электромотор. Диск с трубками вращается со скоростью 10 оборотов в минуту вокруг оси для равномерного распределения насекомых. Экспозиция - 20 мин. Насекомые покидают камеру прибора и распределяются по тестовым полоскам в трубках. По окончании экспозиции мотор выключают, трубки быстро извлекают из прибора, помещают в пробирки, расположенные в штативе. Штатив помещают в морозильную камеру, после гибели блох их подсчитывают. КОД рассчитывают по
формуле 4.7. Для определения ДРД обработанные полоски испытывают каждые 3 - 5 суток вплоть до утраты ими репеллентных свойств, когда КОД становится ниже 70%. При изучении быстро испаряющихся веществ (душистые вещества и др.) опыты следует проводить ежедневно.
2. Определение репеллентной активности веществ в стеклянных цилиндрах.
Из бязи изготавливают тесты в виде полосок размером (50,0 x 1,5) см. На полоски карандашом наносят отметки длины теста 15 и 20 см от нижнего края. На расстоянии 15 см от нижнего края теста полоску длиной 5 см обрабатывают испытываемым спиртовым раствором репеллента в изучаемой концентрации и норме расхода или прикрепляют репеллентный материал размером (1 x 5) см. Используют стеклянные мерные цилиндры емкостью 1 дм3 (высота 70 см, диаметр 8 см). Поперек горловины цилиндра приклеивают полоску узкой клейкой ленты, к которой при помощи канцелярской скрепки прикрепляют полоску тканевого теста так, чтобы нижний край теста касался кромкой дна. Цилиндр ставят в центр таза с высокими бортами (не менее 20 см) для предотвращения рассеивания блох. Тест извлекают из цилиндра, не открепляя его, вносят внутрь цилиндра через воронку 30 блох, опускают тест внутрь и включают секундомер. В первую очередь проводят оценку активности блох, используя контрольный тест - чистую необработанную полоску бязи. Блохи запрыгивают на контрольный тест, передвигаются по нему вверх и достигают верхнего края тканевого теста. Показатель достаточной активности блох: через 5 мин на контрольном тесте находится более 90% блох, помещенных в цилиндр, не менее 3 особей достигли верхнего края теста. После проверки активности тест-полоску открепляют и сбрасывают вниз цилиндра, блох вместе с тестом высыпают в высокий кувшин и утилизируют (помещают в морозильную камеру). Оценку репеллентной активности начинают после подтверждения активности блох в контроле. В цилиндр помещают опытный тест и новую группу блох из 30 особей, соблюдая описанную выше очередность манипуляций. Включают секундомер и наблюдают за поведением блох. Блохи должны запрыгивать на полоску ткани, подниматься вверх и отпадать с нее на дно цилиндра при достижении репеллентного отрезка. Ежеминутно в течение 15 мин после начала опыта регистрируют количество блох, находящихся на трех участках теста: нижний (часть полоски ткани ниже обработанного участка), тестовый (обработанный участок 5 см) и верхний (остальная часть полоски выше обработанного участка), а также достижение блохами верхнего края тканевой полоски. Каждый опыт проводят не менее чем в 3 повторностях. О наличии репеллентного действия судят по количеству блох, находящихся на обработанном участке, по количеству блох, преодолевших его и поднявшихся до верхнего края теста, и по времени, затраченном на указанные виды активности в сравнении с таковыми в контрольном варианте. Для установления ДРД опыты повторяют с необходимой периодичностью.
4.2.8.3. Метод определения репеллентной активности веществ в отношении иксодовых клещей при нанесении на ткани основан на отрицательном геотаксисе (стремлении ползти вверх), свойственном иксодовым клещам. В опытах используют тесты из бязи, которые представляют собой ленты размером (10 x 70) см, на которых карандашом делают отметки: на расстоянии 5 см от нижнего края теста (место подсадки клеща), на 10 см от края (отметка 0), отмечают карандашом участок (участки), подлежащий (подлежащие) обработке репеллентом. Тесты размещают горизонтально на невпитывающей поверхности. На опытный тест из пипетки равномерно на определенные участки ленты наносят растворы изучаемого вещества в этиловом спирте. Эталонный тест обрабатывают аналогично опытному, используя растворы ДЭТА. Контрольный тест обрабатывают растворителем. Через 15 мин после обработки тесты развешивают вертикально для просушки. Опыты начинают после полного высыхания тестов (через 1 - 2 ч после обработки). Тесты закрепляют под углом 70° к горизонту: используют специальное приспособление для закрепления теста или нижний конец теста закрепляют пластырем на столе, а верхний - на стене, примыкающей к столу. Каждый опыт проводят не менее чем с 30 самками. Клещей по одному помещают на 5 см ниже нулевой отметки и наблюдают за их передвижением вверх по ткани, дополнительно стимулируя их пальцем наблюдателя, который держат на расстоянии 0,5 см от хоботка (гнатосомы). После испытаний клещей помещают в 70%-й раствор этилового спирта с целью их консервации или продолжают дальнейшее наблюдение за ними в пробирках дифференцированной влажности. Результаты опытов сопоставляют с результатами испытаний эталонного теста. Возможно два варианта опытов: по отсекающей концентрации и по градиенту концентраций:
1. Отсекающая концентрация. Это наиболее простой вариант проведения исследований, удобный при необходимости испытать много веществ за короткий отрезок времени. На тесте на расстоянии 10 см от нижнего края (отметка 0) отмечают карандашом зону между отметками 0 и 10 (площадь 100 см2). На опытный тест из пипетки равномерно на отмеченный участок ленты наносят 1 см3 20%-го раствора изучаемого вещества в этиловом спирте. Регистрируют число клещей, проползших обработанную зону, отмечают поведение клещей при ее пересечении.
2. Градиент концентраций. Обрабатывают зоны теста шириной 5 см (площадь 50 см2) 1 см3 5-, 10-, 20-, 40%-х растворов репеллента в этиловом спирте. Первая обработанная зона начинается от отметки 0. Обработанные зоны чередуют с контрольными (необработанными) полосами шириной по 10 см. При испытаниях регистрируют число клещей, проползших каждую обработанную зону. Отмечают поведение клещей при пересечении обработанных полос. Определяют наименьшую концентрацию, при которой обработанную зону пересекают не более 10% клещей от числа взятых в опыт (КОД не менее 90%).
КОД в обоих вариантах рассчитывают по
формуле 4.7. Острое репеллентное действие характеризует КОД, установленный в первые сутки после обработки тестов. Для определения ДРД испытания повторяют ежедневно до тех пор, пока КОД сохраняется не менее 90%.
4.2.8.4. Метод определения репеллентной активности веществ в отношении природных популяций кровососущих двукрылых в ольфактометре. В опытах используют природные популяции кровососущих двукрылых, доминирующих в данной климатической зоне. Насекомых для опытов собирают в ловушки или сачками. Чтобы насекомых меньше травмировать при сборах, сачки снабжают приемником - трубкой, вставленной в узкий конец сачка. В ольфактометр помещают 500 мошек или мокрецов, 100 комаров или 50 - 100 слепней. Конструкция ольфактометра, принцип его работы и организация экспериментов аналогичны описанным в
п. 4.2.8.1, но размеры ольфактометра зависят от того, в отношении каких видов насекомых проводят исследования. Для опытов в отношении комаров и слепней используют ольфактометр, состоящий из 12-канальной камеры емкостью 1 дм
3 и Т-образных приемников диаметром 2,5 - 3,0 см и отводком длиной 8 - 10 см. Для опытов в отношении мошек и мокрецов используют ольфактометр с камерой объемом 0,5 дм
3 и приемниками диаметром 1,5 см и отводком длиной 8 см. КОД рассчитывают по
формуле 4.7. Соединения, у которых установлен широкий спектр отпугивающего действия при КОД не менее 90%, отбирают для проведения дальнейших исследований.
4.2.8.5. Метод определения репеллентной активности веществ в отношении природных популяций кровососущих двукрылых при нанесении на ткани. Полоски марли размером (20 x 50) см пропитывают 2 см
3 (из расчета 20 г на 1 м
2 ткани) 10 - 20%-х спиртовых растворов репеллентов. В качестве эталона используют раствор ДЭТА в этиловом спирте аналогичной концентрации. Испытания начинают через 1 сутки после обработки тестов. Испытания проводят в местах массового нападения кровососущих насекомых. До начала исследований и в период проведения опытов проводят учеты численности насекомых и их сбор (сачком или эксгаустером) для определения доминирующих видов, отмечают погодные условия. Интенсивность нападения кровососов на человека определяют через каждый час. Репеллентную активность определяют в часы максимальной активности доминирующих видов при высокой численности насекомых. Испытания проводят не менее трех человек (один испытывает опытный образец, второй - эталон, третий - контроль). Испытатели с опытным и эталонным тестами располагают с подветренной стороны от контрольного на расстоянии не менее 5 м от него и друг от друга в условиях равномерного освещения. Полоски ткани размещают на обнаженном предплечье (голени) и подсчитывают число кровососов, садящихся на них в течение 15 мин (три раза по 5 мин). КОД рассчитывают по
формуле 4.7. Острое репеллентное действие характеризует КОД, установленный через сутки после обработки тестов. Для определения ДРД испытания повторяют один раз в 3 - 5 - 7 суток в течение 1 - 3 месяцев до тех пор, пока КОД сохраняется не менее 70%.
4.2.9. Методы изучения активности аттрактантов (феромонов). Основные группы аттрактантов (феромонов) - половые, агрегационные, следовые, тревоги, яйцекладки. Половые феромоны обеспечивают процесс встречи полов и спаривания. Выделяемые самками вещества служат для привлечения самцов. Феромоны могут выделять и самцы для привлечения и полового возбуждения самок. Агрегационные феромоны обуславливают существование группировок насекомых в определенном месте. Так, например, очень активен агрегационный феромон у таракановых. Основное количество этого феромона обнаружено в экскрементах тараканов. В составе препаративных форм, применяемых в практике медицинской дезинсекции, используют половые или агрегационные феромоны для привлечения особей к инсектицидной приманке или клейкой поверхности.
4.2.9.1. Метод оценки активности аттрактантов (феромонов) для рыжих тараканов. Используют полигоны из полимерных материалов размером 60 x 40 x 15 см, на верхнюю часть внутренней поверхности которого нанесена полоска вазелина шириною 2 см, препятствующая выползанию насекомых. В каждый полигон помещают по 20 самок, 20 самцов и 80 личинок II - IV возрастов, поилку, корм и убежище. Далее помещают аттрактант (феромон) на клейкую поверхность в центре полигона. Повторность опыта трехкратная. Параллельно ставят контрольный вариант: в полигон помещают клейкую поверхность аналогичной площади без феромона. Учеты проводят через 24 ч, рассчитывают коэффициент аттрактивного действия (КАД, %) по
формуле 4.18.
4.2.9.2. Метод оценки активности аттрактантов (феромонов) для комнатных мух. Готовят два одинаковых садка размером 30 x 30 x 30 см, в которые помещают по 50 имаго комнатных мух. В опытный садок помещают лист бумаги размером 5 x 5 см с нанесенным на него энтомологическим клеем и тестируемым средством. В контрольный садок помещают аналогичный лист бумаги только с клеем. Наблюдения ведут в течение 3 мин, подсчитывают количество прилипших мух в опытном и контрольном вариантах. Рассчитывают КАД по
формуле 4.18. Оценку активности пищевых инсектицидных приманок в композиции с феромоном цис-трикозеном осуществляют по модифицированному методу. В первый садок помещают приманку с феромоном, во второй садок - эту же приманку без феромона. Наблюдения ведут в течение нескольких часов, проводя учеты через 15 мин, 30 мин, 1, 2, 3, 6 и 24 ч. Рассчитывают КАД и смертность в процентах.
4.3. Методы оценки эффективности инсектицидных средств
для борьбы с синантропными членистоногими
4.3.1. Методы оценки эффективности инсектицидных средств борьбы с нелетающими синантропными насекомыми. Эксперименты проводят на рыжих тараканах (модельный объект для нелетающих насекомых), постельных клопах, крысиных блохах, комнатных мухах, рабочих особях муравьев разных видов и др. членистоногих. В случае если средство предназначено для уничтожения определенного вида членистоногого, испытания проводят именно на нем.
4.3.1.1. Метод оценки эффективности клейких (липких) ловушек для борьбы с нелетающими насекомыми. Опыты проводят на рыжих тараканах. В экспериментах используют полигоны размером 60 x 40 x 15 см, на верхнюю часть внутренней поверхности которых нанесена полоска вазелина шириною 2 см, препятствующая выползанию насекомых. В полигон помещают 20 самок и 20 самцов. Снимают бумагу и освобождают липкую поверхность ловушки. Вскрывают пакетик с прилагаемой пищевой приманкой и помещают ее в центре ловушки (если приманка не находится в ловушке под защитной бумагой). При испытаниях клея готовят липкие листы (ловушки) согласно рекомендациям производителя. Ловушку помещают в центре полигона, в полигоне располагают поилку с водой и альтернативное укрытие. Учеты эффективности проводят через 1 - 5 ч, далее через 1, 2, 7 и 14 суток и более (при необходимости). Повторность опыта трехкратная. Параллельно ставят контрольный вариант: в полигон помещают корм на подложке (комбикорм для лабораторных грызунов, сухой собачий корм), поилку с водой и укрытие. Оценку эффективности липких листов для блох проводят в емкостях 50 x 30 x 20 см, в которые насыпают песок слоем 0,5 см, выпускают 100 имаго блох и накрывают крышкой. Через 1 ч в емкость помещают липкий лист. Учет эффективности проводят через 2 суток. Показатели эффективности. Уловистость рыжих тараканов на 7-е сутки - не менее 90%, блох на 2 сутки - не менее 90%.
4.3.1.2. Метод оценки эффективности средств на основе кристаллических порошков природного происхождения. Оценку проводят на постельных клопах, крысиных блохах и рыжих тараканах.
Постельные клопы. Используют метод принудительного контакта с обработанной тест-поверхностью. На тест-поверхность из фанеры размером 10 x 10 см наносят 100 - 200 мг средства (соответствует норме расхода 10 - 20 г/м2) и равномерно его распределяют. Имаго клопов по 20 особей без разделения по полу подсаживают на обработанные поверхности в экспозиметрах. В контрольном варианте насекомых подсаживают на необработанную фанеру. После экспозиции насекомых переносят в чистые пробирки со вложенной внутрь фильтровальной бумагой. Повторность опытов трехкратная. Учеты проводят через 30, 60 мин и далее с интервалом в 1 ч в течение 6 ч, через 24 и 48 ч.
Крысиные блохи. В химические пробирки помещают имаго блох по 30 особей без разделения по полу и добавляют испытываемое средство в количестве 10 мг на одну пробирку, что соответствует дозе 10 г/м2. В контрольном варианте в пробирку добавляют чистый речной песок в количестве 1 г. Повторность опытов трехкратная. Пробирки с блохами помещают в штатив и убирают в термостат при температуре 27 °C и относительной влажности 80%. Учеты проводят через 15, 30, 60 мин и далее с интервалом в 1 ч в течение 6 ч и через 24 ч.
Рыжие тараканы. Используют полигоны размером 60 x 40 x 15 см, на верхнюю часть внутренней поверхности которых нанесена полоска вазелина шириною 2 см, препятствующая выползанию насекомых. В один угол контейнера помещают убежище из картона, в противоположный угол - пищу (сухой корм для собак или комбикорм для лабораторных грызунов) и поилку со смоченным в воде ватным тампоном. Тараканов (20 самцов, 20 самок и 20 личинок) выпускают в полигон и выдерживают в течение 24 ч для привыкания насекомых к новому месту обитания. Опыт ставят в двух вариантах: в первом - поилку с водой оставляют на все время проведения эксперимента, а во втором - поилку убирают перед внесением средства в полигон. В экспериментальных полигонах на дно наносят навески средства из расчета 100, 200 или 500 мг/дм2 поверхности дна полигона (что соответствует норме расхода 10, 20 или 50 г/м2) и равномерно распределяют по поверхности дна. В контрольном варианте дно полигона не обрабатывают. Повторность опытов трехкратная. Учет смертности тараканов проводят через 24, 48 ч и далее ежедневно до 7 суток.
Показатели эффективности. Гибель постельных клопов и блох через 24 ч - не менее 50%; гибель рыжих тараканов: а) при наличии поилки с водой на 5 сутки - не менее 50%, б) при отсутствии поилки с водой на 2 сутки - не менее 80%.
4.3.1.3. Метод оценки эффективности инсектицидных пищевых приманок для борьбы с тараканами и муравьями.
Рыжие тараканы. Используют полигоны размером 60 x 40 x 15 см, на верхнюю часть внутренней поверхности которых нанесена полоска вазелина шириною 2 см, препятствующая выползанию насекомых. В контейнер помещают 20 самок и 20 самцов рыжих тараканов; там же располагают пищевую приманку либо готовую к применению, либо массой 0,5 - 3,0 г на подложке, поилку с водой и убежище. Параллельно ставят контрольный вариант: в полигон помещают пищу (сухой корм для собак или комбикорм для лабораторных грызунов), поилку и убежище. Повторность опытов трехкратная. Учет гибели ведут ежедневно. Для изучения остаточного действия проводят подсадку новой экспериментальной группы насекомых через 7, 14, 21, 28 и более суток.
Муравьи. Оценку эффективности проводят на колониях рыжего домового муравья. Опыты проводят методом группового кормления. Для этого используют емкости объемом 1 - 2 дм3 с вертикальными гладкими стенками, на верхний край которых по периметру наносят полоску жидкого блеска для губ во избежание выползания насекомых. В каждую емкость помещают по 100 рабочих особей муравьев, 4 самки и расплод, а также гнездовую пробирку (химическая пробирка, заполненная на 1/3 водой и укупоренная ватным тампоном вровень с поверхностью воды) и корм (густой мед на подложке). Дополнительно, в целях недопущения расселения муравьев, емкости по несколько штук помещают в пластиковые контейнеры большего размера, края которых также в верхней части внутренней поверхности тщательно смазывают жидким блеском для губ. Емкости выдерживают 2 - 3 дня для привыкания насекомых к новому месту жительства. Одновременно готовят 2 варианта опыта: в одном варианте корм заменяют на инсектицидную приманку, в другом - приманку помещают вместе с альтернативным кормом. В качестве контрольного варианта используют "голодный" контроль (без источника пищи) и контроль с кормом (мед). Опыты проводят в трех повторностях. Учет гибели проводят еженедельно в течение 4 недель, подсчитывая количество погибших рабочих особей нарастающим итогом, погибших самок и визуально оценивая количество расплода. По окончании опытов делают вывод о жизнеспособности колонии.
Показатели эффективности. Острое действие: а) ДВ - фенилпиразолы (фипронил), ФОС, карбаматы, пиретроиды и др. вызывают гибель рыжих тараканов на 2 сутки - не менее 70%; б) ДВ - авермектины, неоникотиноиды, борная кислота (бура), гидраметилнон, сульфторамиды и др. вызывают гибель рыжих тараканов на 5 сутки - не менее 70%. Острое действие: гибель колонии рыжего домового муравья через 4 недели - 100%.
4.3.1.4. Методы оценки эффективности инсектицидных дустов, карандашей, мелков, брусков и др. Эксперименты проводят на рыжих тараканах (модельный объект для нелетающих насекомых), постельных клопах, крысиных блохах, рабочих особях муравьев разных видов и др. членистоногих. В случае если средство предназначено для уничтожения определенного вида членистоногого, испытания проводят именно на нем. Используют тест-поверхности из фанеры или фильтровальной бумаги (фильтры "синяя лента"), рассчитывая норму расхода исходя из их конкретной площади согласно рекомендациям производителя. Средство равномерно распределяют по поверхности. При испытании мелков, брусков и т.п. норму расхода определяют по разности масс пластины или мелка (бруска) до и после обработки.
1) Метод принудительного контакта. Тараканов (10 самцов и 10 самок) и клопов (10 - 20 взрослых особей) подсаживают в экспозиметрах диаметром 8 см на обработанную фанеру на 15 мин, рабочих особей муравьев - на 5 мин. После экспозиции насекомых переносят в чистую посуду. Учет гибели ведут через 24 - 48 ч. Крысиных блох рассаживают по 30 особей в стеклянные емкости необходимой высоты (более 15 см) с гладким ровным горлом (банки, стаканы), накрывают чашкой Петри с вложенной в нее обработанной бумагой и переворачивают вверх дном, придерживая чашку. Блохи оказываются на фильтре. Экспозиция 5 мин. По окончании экспозиции экспериментальные чашки помещают в емкость с высокими бортами, снимают стакан и собирают блох в чистые пробирки пинцетом, в пробирки добавляют немного чистого песка. Пробирки помещают на штативе в термостат при температуре 27 °C и относительной влажности 80%. Учет гибели проводят через 24 ч. Для предотвращения расползания крысиных клещей в эксперименте края тест-поверхностей обрабатывают репеллентами (20%-ми растворами диметилфталата или акрепа) или в течение экспозиции клещам не дают покидать тест-поверхности, возвращая их назад при помощи тонкой кисточки. Используют по 30 взрослых клещей на повторность, экспозиция 5 мин. После контакта с тест-поверхностью клещей переносят в чистые пробирки дифференцированной влажности. Учет гибели проводят через 24 ч. При определении острого действия подсадку членистоногих проводят сразу после нанесения средства на поверхность. При определении остаточного действия членистоногих подсаживают через 1, 3 и более суток после обработки поверхности до окончания инсектицидного действия. Все опыты ставят в 3 повторностях. Показатели эффективности. Острое действие: гибель рыжих тараканов (постельных клопов, блох, муравьев, крысиных клещей) через 24 ч - 100%.
2) Метод кратковременного контакта. Используют для более детального изучения активности инсектицидных карандашей, мелков, брусков для тараканов. Из оберточной (крафт) бумаги вырезают круг диаметром 30 см. На круге размечают 6 концентрических окружностей: радиус первой 2 см, радиус каждой последующей увеличивают на 2 см. Инсектицидным средством равномерно обрабатывают 3 концентрических полосы, чередуя их с необработанными полосами и оставляя необработанным центральный круг диаметром 4 см. При этом суммарная площадь обработанных полос составляет 264 см2, что следует учитывать при расчете нормы расхода. Норму расхода определяют по разности масс бруска (мелка) до и после обработки. Бумажный круг помещают в емкость соответствующего размера, края которой смазаны вазелином, в центральную необработанную часть из пробирки выпускают по 10 имаго рыжих тараканов (отдельно самцы и самки). Тараканы разбегаются и прячутся под бумажный круг. При этом время контакта насекомых с обработанной поверхностью составляет 3 - 5 с. Затем круг аккуратно вынимают и собирают тараканов в чистые стаканы. Учет гибели ведут через 24 ч. Опыты ставят в 3 - 5-кратной повторности. При определении остаточного действия бумажные круги с нанесенным средством хранят в горизонтальном положении 3 и более суток в зависимости от продолжительности остаточного действия.
4.3.1.5. Методы оценки эффективности средств, применяемых способом опрыскивания, для борьбы с нелетающими членистоногими и обработки мест посадки мух (средства в аэрозольных или беспропеллентных упаковках, концентрированные средства). Эксперименты проводят в камерах объемом 1 м
3, снабженных вентиляционной системой. Дно камеры выстилают фильтровальной бумагой. Опыты проводят в 3 - 5 повторностях. Одновременно в камере проводят обработку емкостей с насекомыми (острое действие) и тест-поверхностей для последующих подсадок членистоногих. Используют стекло, фанеру, фильтровальную бумагу и др. размером (10 x 10) или (10 x 20) см. Образец концентрированного средства (концентраты эмульсий, микрокапсулированные, микро- и макроэмульсии, суспоэмульсии, смачивающиеся и растворимые порошки, формы флоу, таблетки, водные растворы и др.) интенсивно взбалтывают и берут навеску для приготовления рабочих жидкостей необходимых концентраций путем разбавления водой
(формула 4.1). Емкости с насекомыми и тест-поверхности располагают в камере в 3 - 5 точках и опрыскивают аэрозолем из аэрозольной пропеллентной или беспропеллентной упаковки или рабочей жидкостью из опрыскивателя с высоты 20 см, направляя струю под углом 45° ко дну камеры. Норма расхода средства составляет для АУ 10 - 20 г/м
2, для БАУ и рабочих жидкостей концентрированных средств - 50 - 100 г/м
2. Расход определяют путем взвешивания упаковки до и после распыления. Обработку поверхностей в случае БАУ и рабочих жидкостей концентрированных средств можно проводить, нанося дозированное количество жидкости мерной пипеткой из расчета на тест размером 10 x 10 см: 0,5 см
3 для невпитывающей поверхности (стекло) и 1 см
3 для впитывающей (фанера, фильтровальная бумага). Тест-поверхности высушивают в горизонтальном положении. Эксперименты проводят на рыжих тараканах (модельный объект для нелетающих насекомых), постельных клопах, крысиных блохах, комнатных мухах, рабочих особях муравьев разных видов и др. членистоногих. В случае если средство предназначено для уничтожения определенного вида членистоногого, испытания проводят именно на нем.
Определение острого действия. Рыжих тараканов (при необходимости черных или американских тараканов, домовых сверчков) по 20 особей (10 самок и 10 самцов) помещают в 0,5-литровые емкости, смазанные по верхнему краю вазелином. Проводят опрыскивание поверхности дна камеры. Насекомых удаляют из камеры через 10 мин после обработки, учитывают их состояние и переносят в чистую посуду. Далее проводят учеты через 30 мин, 3 - 6 ч и через 24 - 72 ч в зависимости от химической структуры ДВ, отмечая процент насекомых без внешних признаков паралича, парализованных и погибших, а также обратимость или нарастание признаков поражения. Для оценки острого действия на постельных клопов, имаго блох, рабочих особей муравьев, крысиных клещей используют слегка влажную (во избежание замокания членистоногих в каплях средства) фильтровальную бумагу сразу после обработки. Постельных клопов помещают в экспозиметрах на 15 мин, рабочих особей муравьев - на 5 мин, после чего пересаживают в чистые пробирки. Блох по 30 особей рассаживают в стеклянные емкости необходимой высоты (более 15 см) с гладким ровным горлом (банки, стаканы), накрывают чашкой Петри с вложенной в нее обработанной фильтровальной бумагой и переворачивают вверх дном, придерживая чашку. Блохи оказываются на фильтре. Экспозиция 5 мин, после чего емкости переворачивают обратно, не снимая чашки Петри, постукиванием стряхивают блох с фильтра в емкость и через воронку ссыпают их в чистые пробирки с тонким слоем чистого речного песка для убежища блох. Пробирки на штативе помещают в термостат при температуре 27 °C и относительной влажности 80%. Учет смертности проводят через 24 ч. Оценку эффективности в отношении личинок и коконов блох проводят, обрабатывая в камерах экспериментальные емкости (чашки Петри) с личинками блох 4 возраста и свежесформированными коконами (не старше 3 - 5 дней) по 30 - 50 особей на повторность, присыпанными слоем (0,5 см) чистого песка. Для личинок добавляют альбумин в качестве корма. Учитывают количество выплодившихся имаго в опыте в сравнении с контрольным вариантом. Острое акарицидное действие в отношении крысиного клеща определяют при контактировании клещей со свежеобработанной фанерой, как только она слегка подсохнет. Для предотвращения расползания клещей в эксперименте края тест-поверхностей обрабатывают репеллентами (20%-ми растворами диметилфталата или акрепа) или в течение экспозиции клещам не дают покидать тест-поверхности, возвращая их назад при помощи тонкой кисточки. Используют по 30 клещей на повторность, время контакта 5 мин. После контакта с тест-поверхностью клещей переносят в чистые пробирки дифференцированной влажности. Учет пораженных особей проводят через 24 ч.
Определение эффективности средства при обработке мест посадки мух. Проводят методом свободного контакта с тест-поверхностью для выявления возможного отпугивающего действия. В садки размером (30 x 30 x 30) см вертикально подвешивают обработанную тест-поверхность размером (10 x 10) см и выпускают 100 имаго мух без разделения по полу. В садок помещают поилку с водой и кусочек сахара-рафинада. Учеты гибели проводят через 1 - 6, 24 и 48 ч. В случае недостаточной эффективности рабочей жидкости концентрированного средства в описанном эксперименте проводят дополнительные исследования, повышая привлекательность обработанной поверхности с помощью фагостимуляции. Готовят 50%-й сахарный сироп, растворяя 100 г сахара в 100 см3 горячей воды, охлаждают. Затем готовят промежуточные растворы средства, в которых концентрация ДВ превышает рекомендованную в 10 раз. Разведение до рекомендованных концентраций ДВ проводят сахарным сиропом, смешивая 1 см3 промежуточного раствора средства и 9 см3 50% сахарного сиропа. На тест-поверхности размером (10 x 10) см наносят 1 см3 полученной сахарной приманки (соответствует норме расхода 100 см3/м2), высушивают. Оценку эффективности проводят в садках описанным выше способом. Учеты гибели проводят через 1 - 6, 24 и 48 ч.
Определение остаточного действия отложений средства. Подсадку рыжих тараканов, постельных клопов, домовых сверчков проводят на 15 мин в экспозиметрах диаметром 8 см, крысиных клещей, блох, муравьев подсаживают на 5 мин, мух методом свободного контакта с обработанной поверхностью в садках. После экспозиции членистоногих переносят в чистые сосуды как описано выше и регистрируют их состояние в течение 24 - 72 ч в зависимости от химической структуры ДВ. Остаточное действие отложений средства определяют через 1, 2, 3 суток и далее при наличии длительного остаточного действия через каждые 7 суток в течение 28 и более суток. Остаточное действие считают законченным, когда смертность насекомых составляет менее 50%.
Показатели эффективности. Острое действие: гибель рыжих тараканов (постельных клопов, блох, муравьев, крысиных клещей) через 24 ч - 100%; гибель комнатных мух при свободном контакте с обработанными местами посадки через 48 ч - не менее 90%.
4.3.1.6. Метод оценки эффективности средств в аэрозольной упаковке без запирающего клапана, аквафумигаторов, термовозгонных, пиротехнических шашек и др. аналогичных средств. Эксперименты проводят только в помещениях близкого к рекомендованному производителем средства объема (35 - 150 м3), т.к. эти средства рассчитаны на одномоментное применение единицы изделия целиком. Норму расхода рассчитывают согласно рекомендациям производителя. Оценку эффективности проводят на рыжих тараканах, крысиных блохах, постельных клопах, комнатных мухах, комарах (имаго и личинки) и др. членистоногих. На пол помещения на разном расстоянии от испытываемого средства в 5 точках размещают емкости объемом 200 - 500 см3, в которых помещено по 20 имаго тараканов (10 самок и 10 самцов), по 10 особей клопов, высокие сосуды с блохами по 30 особей (с тонким слоем чистого речного песка на дне), емкости с личинками комаров 3 возраста (20 особей в 100 см3 воды на одну повторность) и др.; садки из фатина с комнатными мухами 3 - 6-дневного возраста или комарами по 100 особей подвешивают на разной высоте от пола. Средство активируют (пиротехническое средство поджигают, поместив на подложку из негорючих материалов), помещение закрывают, выдерживают в течение 2 - 24 ч. Для определения необходимой экспозиции используют несколько комплектов емкостей с насекомыми каждого вида. Через 2, 4, 6, 24 ч от начала эксперимента из помещения последовательно удаляют по одному комплекту экспериментальных емкостей с полным набором испытываемых видов, подсчитывают количество пораженных членистоногих, затем переносят их в чистую посуду. При входе в обработанное помещение используют халат и средства индивидуальной защиты глаз и органов дыхания. Наблюдения за состоянием насекомых проводят в течение 1 - 3 суток, фиксируя смертность и обратимость поражения. Дополнительно наблюдают за сброшенными самками рыжих тараканов оотеками, отмечая выплод из них личинок. Показатели эффективности. Острое действие в лабораторном помещении 35 - 150 м3 через 2 ч после активации средства: для борьбы с летающими насекомыми поражение комнатных мух (комаров) при размещении в садках из фатина - 100%; для борьбы с нелетающими насекомыми поражение рыжих тараканов 100%, гибель блох - 100%. Гибель рыжих тараканов при 6 - 24-часовой экспозиции в задымленном помещении при учете через 1 - 3 суток - не менее 90%.
4.3.2. Методы оценки эффективности инсектицидных средств борьбы с летающими синантропными насекомыми. Оценку эффективности проводят на модельных и целевых объектах - комнатных мухах, кровососущих комарах, бабочках моли, огневки.
4.3.2.1. Метод оценки эффективности клейких (липких) ловушек для борьбы с летающими насекомыми (мухи, моль, огневки). Оценку проводят на модельном объекте - комнатной мухе, или на целевых насекомых - платяной моли, огневках. Используют камеры объемом 1 м3 или садки размером (30 x 30 x 30) см, представляющие собой каркасы с натянутыми на них чехлами из марли, фатина или мельничного газа. Натурные испытания проводят в помещениях, заселенных целевыми насекомыми. С ловушек снимают защитный бумажный слой, липкие листы разъединяют, липкие ленты аккуратно извлекают из гильзы на всю длину. При испытаниях клея готовят липкие листы (ловушки) согласно рекомендациям производителя. Ловушки помещают по одной в камеру или в садок, подвешивая в верхней части. В садок выпускают имаго насекомых в количестве 100 особей, в камеру - 300 особей, ставят поилку, для мух кладут сахар-рафинад. Повторность опыта трехкратная. Количество прилипших особей подсчитывают в динамике: через 3 - 5 ч, 1 и 2 суток и далее в зависимости от необходимости. Показатели эффективности. Уловистость в камере объемом 1 м3 на 2 сутки, комнатные мухи - не менее 95%; уловистость в садке на 2 сутки, бабочки огневок и платяной моли не менее 70%; В натурных условиях (заселенном помещении) наличие прилипших бабочек, есть/отсутствуют - прилипшие бабочки есть (факультативно).
4.3.2.2. Метод оценки эффективности пищевых инсектицидных приманок для борьбы с мухами. Оценку проводят на комнатных мухах. Используют садки размером 30 x 30 x 30 см, представляющие собой каркасы с натянутыми на них чехлами из марли, фатина, мельничного газа или камеры объемом 0,5 - 1,0 м3. В центре садка размещают подложку (емкость) с навеской приманки и поилку с водой. При испытании пастообразной сахарной приманки готовят ее необходимое количество согласно рекомендациям, наносят на стеклянную, фанерную или др. поверхность размером 10 x 10 см и дают ей подсохнуть в горизонтальном положении во избежание стекания, затем подвешивают в садке или камере. В садок выпускают 100 мух, в камеру - 300. Параллельно ставят контрольный вариант: в садки помещают поилку, кусочек сахара-рафинада и выпускают 100 мух. Учитывают гибель мух через 1, 2, 4, 24 ч, а далее в зависимости от цели эксперимента. Показатели эффективности. Острое действие: а) ДВ - ФОС (кроме хлорофоса), пиретроиды, неоникотиноиды вызывают гибель комнатных мух через 24 ч - не менее 90%; б) ДВ - хлорофос вызывает гибель комнатных мух через 24 ч - не менее 80%.
4.3.2.3. Метод оценки эффективности средств в аэрозольной упаковке с пропеллентом для борьбы с летающими насекомыми. Оценку эффективности средств в аэрозольной упаковке проводят на модельном объекте - комнатных мухах или на кровососущих комарах, бабочках моли. В камеру объемом 2 м
3 выпускают 300 насекомых. Струю аэрозоля из баллона направляют в камеру, расход смеси не должен превышать 1 г/м
3. При помощи секундомера определяют время (T) поражения 1% насекомых (первые три мухи) и 99% насекомых (предпоследние три мухи). Определяют концентрацию (C) инсектицида в воздухе по
формуле 4.10. Эффект определяют по импульсу концентрации (C x T), где T - время поражения 99% насекомых в минутах. Критерием оценки эффективности аэрозолей служит условно принятая величина концентрации инсектицида в воздухе C
15 (формула 4.11), которая вызывает поражение 99% мух или комаров в течение условно принятого времени - 15 мин и Q
15 - количество смеси, выпущенное из баллона, вызывающее поражение 99% насекомых за 15 мин
(формула 4.12), а также величина КТ
50 - время поражения 50% особей. Величину КТ
50 вычисляют по
формуле 4.13. Опыты проводят в 3 - 5 повторностях. Показатели эффективности. Острое действие на комнатных мух: C
15 - не более 15 мг/м
3, Q
15 - не более 1000 мг/м
3, КТ
50 - не более 10 мин.
4.3.2.4. Метод оценки эффективности средств в виде пластин, таблеток, жидкостей для электрофумигаторов для борьбы с комарами. Оценку активности проводят на имаго кровососущих комаров в возрасте 14 - 20 дней на углеводном питании. Предварительно проводят подготовку средства в зависимости от формы. Используют нагревательные устройства (электрофумигаторы) только рекомендованного для конкретного средства типа. Инсектицидную пластину, таблетку помещают на нагревательную поверхность электрофумигатора, включают в электрическую сеть и выдерживают его работающим в течение 15 мин в вытяжном шкафу. Флакон с инсектицидной жидкостью вставляют в электрофумигатор согласно инструкции, включают в электрическую сеть и выдерживают его работающим 60 мин в вытяжном шкафу. После прогрева электрофумигатор со средством сразу же переносят в камеру с комарами. В чистую камеру объемом 0,5 или 1 м
3 запускают (100 +/- 5) комаров без разделения по полу. Вносят подготовленное средство, включают его в электрическую сеть, немедленно включают секундомер. Регистрируют время нокдауна первого комара (1%) и время нокдауна предпоследнего комара (99%) в камере. По
формуле 4.13 рассчитывают время наступления нокдауна у 50% особей (КТ
50). Опыт повторяют три раза. Рассчитывают среднее значение КТ
50 и статистическую ошибку. Для определения резерва средства (максимального времени использования) используют пластины, таблетки, предварительно выдержанные в работающем электрофумигаторе в течение 1, 2, 3, 4, 5 и более часов в вытяжном шкафу. По приведенному выше методу определяют КТ
50 для комаров. За резерв принимают максимальное время нагрева в часах, при котором КТ
50 для комаров составляет не более 7 мин. Для определения резерва жидкости во флаконе (максимального времени использования жидкости во флаконе) определяют количество испарившейся жидкости после непрерывной работы электрофумигатора в течение не менее 8 ч. Этот процесс должен быть повторен не менее 3 - 5 раз. Каждый раз флакон взвешивают до и после эксплуатации, фиксируют время работы, изменение массы флакона. На основании этих данных рассчитывают количество вышедшего в воздух содержимого флакона (мг/ч) и резерв флакона в часах путем деления массы нетто флакона в мг на количество вышедшего в воздух содержимого в мг/ч. Показатели эффективности. Для комаров в камере объемом 0,5 м
3 а) пластины, жидкости: КТ
50 - не более 5 мин; б) таблетки: КТ
50 - не более 7 мин. Для комаров в камере объемом 1,0 м
3 а) пластины, жидкости: КТ
50 - не более 7 мин; б) таблетки: КТ
50 - не более 10 мин.
4.3.2.5. Метод оценки эффективности средств в виде пластин и жидкостей для электрофумигаторов для борьбы с мухами. Оценку проводят в помещениях объемом не менее 25 м
3 (площадь 10 м
2) на 3 - 6-дневных имаго комнатных мух. Мух по 100 особей в садках из мелкоячеистой сетки (фатин) помещают на высоте 0,5 - 2,0 м в трех - пяти точках помещения. Предварительно в другом помещении электрофумигатор включают в электрическую сеть и выдерживают его работающим в течение 15 мин (с пластинами) или 1 ч (с жидкостями) в вытяжном шкафу. После прогрева электрофумигатор сразу же переносят в помещение с мухами, включают в электрическую сеть и немедленно включают секундомер. Регистрируют время наступления нокдауна - паралич первой мухи (1%) и время нокдауна предпоследней мухи (99%). По
формуле 4.13 определяют время наступления нокдауна у 50% особей (КТ
50). Опыт повторяют три раза. Рассчитывают среднее значение КТ
50. После экспозиции с работающим фумигатором в течение 2 ч садки выносят в чистое помещение и оставляют на 24 ч для учета смертности насекомых. Показатели эффективности. В лабораторном помещении 25 м
3 при размещении в садках из фатина КТ
50 для комнатных мух время составляет не более 60 мин.
4.3.2.6. Метод оценки эффективности средств фумигационного типа действия в виде спиралей, стержней, свечей, средств с фен-системой на батарейках и др. для борьбы с комарами. Оценку активности средств в виде спиралей проводят на имаго кровососущих комаров. В чистую камеру объемом 0,5 или 1,0 м
3 запускают (100 +/- 5) комаров. Спираль или стержень размещают на подставке, поджигают и через 30 с устойчивого горения пламя задувают. Фен-системы выдерживают включенными в течение 15 мин. Все подготовительные работы проводят в вытяжном шкафу. Подготовленное средство (дымящую спираль на подставке, фен-систему и др.) помещают в камеру и немедленно включают секундомер. Инсектицидные свечи поджигают, вносят в камеру, выдерживают горящими не более 10 мин, после чего тушат. С помощью секундомера регистрируют время наступления нокдауна - паралич первого комара (1%) в камере и время нокдауна предпоследнего комара (99%). По
формуле 4.13 определяют время наступления нокдауна у 50% особей (КТ
50). Опыт повторяют три раза. Рассчитывают среднее значение КТ
50. Для определения резерва средства (максимального времени использования) сжигают средство полностью на открытом воздухе или в вытяжном лабораторном шкафу, определяют время полного сгорания в часах. Показатели эффективности. КТ
50 для комаров: в камере объемом 0,5 м
3 - не более 5 мин; в камере объемом 1,0 м
3 - не более 7 мин.
4.3.2.7. Метод оценки эффективности средств фумигационного типа действия в виде пластин для фонаря со свечой, инсектицидных пиротехнических бумаг и др. для борьбы с комарами. Подобные средства испытывают в помещении большого объема - не менее 25 м
3, соблюдая рекомендованную производителем норму расхода. Комаров по 100 особей в садках из мелкоячеистой сетки (фатин) помещают на высоте 0,5 - 2,0 м в трех - пяти точках помещения, активируют (поджигают) средство. С помощью секундомера регистрируют время наступления нокдауна - паралич первого насекомого (1%) и время нокдауна предпоследнего насекомого (99%). Опыт проводят в трехкратной повторности. Рассчитывают значение КТ
50 по
формуле 4.13, учитывают смертность насекомых через 24 ч. При необходимости определения остаточного действия после работы средства помещение проветривают и через 1 - 3 ч или более вносят новые чистые садки с комарами, наблюдают за их состоянием, регистрируя поражение и смертность аналогичным образом. Показатели эффективности. В помещении объемом 25 м
3 (площадь 10 м
2) при размещении в садках из фатина КТ
50 для комаров - не более 30 мин.
4.3.2.8. Метод оценки эффективности средств фумигационного типа действия в виде материалов или устройств на основе метофлутрина для борьбы с комарами и другими мелкими летающими насекомыми в помещениях. Оценку эффективности проводят на модельном объекте - комнатной мухе. В среднюю часть стеклянного сосуда объемом 10 дм3 помещают активированное инсектицидное средство, на дно ставят поилку для насекомых. Сразу же в сосуд выпускают 100 - 150 комнатных мух (имаго 3 - 6-дневного возраста без разделения по полу), закрывают его бязью, включают секундомер. Фиксируют время наступления паралича насекомых с интервалом 15 мин в течение 1 ч и далее каждые 30 мин в течение 6 ч. Через 6 ч средство извлекают, снова закрывают сосуд бязевой салфеткой и через 24 ч учитывают долю погибших особей. Оценку фумигационной активности средств проводят по показателям КТ50 и КТ95 - времени (в минутах или часах), за которое 50% (95%) насекомых в эксперименте находятся в состоянии нокдауна, и показателю, характеризующему обратимость состояния паралича, - доли погибших особей при учете через 24 ч. Повторность опытов трехкратная. Показатели эффективности. Время нокдауна 95% комнатных мух в объеме 10 дм3 - не более 6 ч; гибель комнатных мух при учете через 24 ч - не менее 80%.
4.3.2.9. Метод оценки эффективности концентрированных средств, применяемых способом опрыскивания, и средств в аэрозольной или беспропеллентной упаковке для обработки мест дневок комаров в природе (растительности). В невысокой лабораторной посуде диаметром 15 - 20 см проращивают пшеницу или другой злак до достижения побегами длины 15 см, после чего растения опрыскивают изучаемым средством в рекомендованной норме расхода, высушивают в течение 1 ч и помещают "газон" в камеру 0,5 м3 с 100 имаго комаров. В контрольную камеру помещают необработанную траву. Учеты пораженных насекомых проводят с интервалом 15 - 30 мин до полной гибели насекомых. Показатели эффективности. Гибель комаров при учете через 3 ч - 100%.
4.3.2.10. Метод оценки фитотоксичности средств для обработки растительности. При необходимости оценки фитотоксичности средства за внешним видом обработанного газона наблюдают в течение 1 - 2 недель. Признаки фитотоксичности: хлорозы (пожелтение), некрозы (побурение, омертвение тканей), деформации (морфологические изменения и отклонения от нормального строения). Более детальное изучение фитотоксичности проводят методом нанесения капель рабочих жидкостей изучаемого средства на нативные неотделенные листья растения. Используют растения с неопушенными листьями, например, гортензию. Гортензия очень чувствительна к действию химических веществ, ее можно круглогодично содержать в условиях лаборатории в вегетирующем состоянии. Не следует допускать цветения гортензии. Используют готовое к применению средство или из концентрированного средства готовят серию испытываемых водных растворов пяти концентраций, из которых средняя концентрация соответствует рекомендованной рабочей концентрации, остальные в 2, 4 или 6 раз выше и ниже ее. На поверхность листа растения наносят капли изучаемых растворов и учитывают повреждения листовых пластинок. Наносимые капли должны быть одинакового размера, что достигается использованием стеклянных палочек с оттянутыми в форме шариков концами. На одну половину листа наносят капли растворов, повышая концентрации от черешка к верхушке листа, на другую половину - в обратном порядке (по 2 - 4 капли каждой концентрации на лист). В центре капель тонкой иглой делают прокол кутикулы листа. Перед постановкой опыта на бумажную этикетку наносят схему расположения капель и прикрепляют ее к опытному листу. Опыт проводят не менее чем в 5-кратной повторности (суммарно 15 - 20 капель каждой концентрации). Растения с нанесенными каплями помещают под лампу дневного света или на солнечное окно. Учеты появления ожогов проводят на 3 и 7 день, подсчитывая с помощью палетки площади появившихся ожогов (некрозов), для чего на лист накладывают учетную сетку (прозрачную палетку) и записывают каждое измерение, затем подсчитывают среднее для каждой концентрации отдельно. В качестве контрольного варианта используют чистую воду, нанося ее на листья аналогичным образом.
4.4. Методы оценки эффективности целевых
инсектицидных средств
4.4.1. Методы оценки эффективности инсектицидных средств борьбы с преимагинальными стадиями насекомых (ларвицидов). К группе ларвицидов условно отнесены инсектициды, используемые для борьбы с членистоногими на преимагинальных стадиях развития. Как правило это насекомые с полным превращением, личинки которых обитают в отличных от имаго условиях.
4.4.1.1. Метод оценки эффективности средств борьбы с личинками комаров. Оценку проводят на личинках II - IV возраста кровососущих комаров. В сосуды емкостью 200 см
3 наливают по 99 см
3 водопроводной воды, отстоянной в течение 24 ч. В каждый сосуд помещают по 20 личинок одновозрастных II, III или начала IV возраста. Через 2 ч погибших или ослабленных личинок удаляют и заменяют на жизнеспособных. Готовят серию из 5 - 7 маточных водных растворов с шагом концентрации 2 - 10. В сосуды с личинками добавляют 1 см
3 раствора инсектицида приготовленных маточных концентраций, при этом в емкости создается рабочая концентрация ДВ в 100 раз меньшая, чем в маточном растворе. Каждую концентрацию испытывают в 3 повторностях. Биологическим контролем служат личинки, находящиеся в воде без добавления инсектицида. Подсчет погибших личинок проводят через 24 и 48 ч. Если более 10% личинок в контроле и/или опыте окуклились, опыт не учитывают и повторяют. Графическим методом определяют величины СК
50 (95, 99), %
(п. 4.1.5). Размерность величин СК
50 (95, 99), выраженную в процентах, переводят в мг/л по формуле (СК
50 (95, 99), %)·10000 = СК
50 (95, 99), мг/л. Для применения инсектицидного средства в практических условиях проводят расчет минимальной рабочей концентрации (МРК), исходя из значения найденной в эксперименте величины СК
99 (%). Расчет проводят по формуле МРК = (СК
99·2·1000)%, при норме расхода 100 см
3/м
2 площади водоема при глубине 10 см. Показатели эффективности: а) микробиологические: СК
50 (мг/л) - не более норматива ТУ; б) инсектициды разных классов: гибель личинок комаров при воздействии рабочей концентрации ДВ через 24 ч - 100%.
4.4.1.2. Методы оценки эффективности средств для обработки мест выплода мух. Готовят субстрат для развития личинок комнатной мухи: 400 г предварительно прокаленных в сушильном шкафу отрубей, 100 г древесной стружки (крупных опилок) смешивают с 800 см
3 теплой воды с растворенными в ней 15 г хлебопекарных дрожжей. Затем отдельно готовят рабочие жидкости инсектицидного средства в изучаемой (рекомендованной к практическому применению) концентрации, отбирают 40 см
3 рабочей жидкости, смешивают с 160 см
3 воды и добавляют в ту же порцию субстрата, тщательно перемешивают. Приготовленный данным способом субстрат имеет объем около 4 дм
3 при массе 1,5 кг, что моделирует места выплода мух площадью 0,04 м
2 при глубине 0,01 м; указанная пропись позволяет провести обработку экспериментального субстрата в стандартной норме расхода рабочей жидкости 1 дм
3 на квадратный метр. Обработанный субстрат раскладывают в одноразовые пластиковые стаканы емкостью 0,5 дм
3 по 200 г, получая 5 - 7 повторностей. В каждую емкость подсаживают по 100 личинок мух III возраста, емкости накрывают бязевой салфеткой. Параллельно ставят контрольный вариант, помещая личинок мух на необработанный субстрат, приготовленный в указанных выше пропорциях (4 части отрубей, 1 часть опилок и 10 частей воды с дрожжами) без добавления инсектицида. Емкости с субстратом и личинками содержат при 25 °C, поддерживая необходимую влажность субстрата. Наблюдение проводят до вылета имаго в контрольном варианте, учитывая, что в опытном варианте сроки развития могут несколько увеличиться по сравнению с контрольным. Эффективность средства определяют по процентному соотношению числа выплодившихся имаго в контроле и опыте
(формула 4.2). При необходимости проводят оценку эффективности инсектицидного средства в отношении куколок мух. По 20 куколок комнатных мух помещают на дно стеклянных сосудов и засыпают слоем сухого песка высотой 5 - 7 см, затем с помощью распылителя обрабатывают песок рабочими жидкостями средства из расчета 1 дм
3 раствора на 1 м
2. Каждый опыт ставят в 3 повторностях. Сосуды с куколками обвязывают марлевыми салфетками либо ставят открытыми в садок. Подсчет выплодившихся мух проводят через 5 - 7 суток после обработки. Одновременно ставят контроль - сосуды с куколками, обработанными растворителем (водой). Эффективность препарата определяют по процентному соотношению числа мух, выплодившихся в контроле и опыте
(формула 4.2). Показатели эффективности. Отсутствие вылета имаго комнатных мух через 14 суток - 100%.
4.4.2. Методы оценки эффективности средств борьбы с осами. Оценку проводят в лабораторных условиях на модельных объектах и в натурных условиях непосредственно на осах различных видов.
4.4.2.1. Метод оценки эффективности инсектицидных средств в аэрозольной упаковке для борьбы с осами при распылении в воздух помещения. Оценку проводят на модельном объекте - комнатной мухе. В камеру объемом 2 м
3 выпускают 300 имаго мух без разделения по полу. Опыты проводят в 3 - 5 повторностях. Струю аэрозоля направляют в камеру, при этом расход средства не должен превышать 1 г/м
3. Расход средства контролируют взвешиванием аэрозольной упаковки до и после выпуска содержимого. При помощи секундомера определяют в минутах время (T) поражения 99% насекомых и рассчитывают по
формулам 4.10,
4.11,
4.12,
4.13 величины C
15 (величина концентрации инсектицида в воздухе, которая вызывает поражение 99% насекомых за 15 мин), Q
15 (количество содержимого аэрозольной упаковки, выпущенное из баллона, вызывающее поражение 99% насекомых за 15 мин), КТ
50.
4.4.2.2. Методы оценки эффективности инсектицидных средств, применяемых способом опрыскивания, для борьбы с осами в гнездах. Оценку эффективности проводят на впитывающих поверхностях в лабораторных условиях, используя в качестве модельного объекта самцов рыжих тараканов. В летний период оценку эффективности средств в специальной аэрозольной упаковке или жидких средств, применяемых при распылении опрыскивателем с длинной штангой, проводят в натурных условиях непосредственно на осах в гнездах.
Оценка эффективности в лабораторных условиях. Фильтровальную бумагу опрыскивают средством с расстояния 20 см под углом 45° при норме расхода 20 - 40 г/м2 для средств в аэрозольной упаковке или при норме расхода 100 - 150 г/м2 для других рабочих жидкостей. После высыхания тест-поверхности на них подсаживают на 15 мин самцов рыжих тараканов, используя экспозиметры диаметром 8 см. Затем насекомых переносят в сухие чистые пластиковые стаканы, которые закрывают пластиковыми крышками с отверстиями для аэрации. Учеты гибели ведут через 24 и 48 ч.
Оценка эффективности в натурных условиях. Обработки осиных гнезд в натурных условиях проводят в прохладные дни ранним утром (перед восходом солнца) или в сумерки (после захода солнца), когда активность ос наименьшая, почти все рабочие особи ос находятся в гнезде, агрессивность снижена. Обработку проводят в защитной одежде, хорошо закрывающей голову и шею, кисти рук (плащ или куртка из водоотталкивающей ткани с капюшоном, плотные перчатки). Не следует использовать карманный фонарик или др. источник света, нельзя пользоваться парфюмерными средствами. Эксперимент проводят два испытателя. В случае открытого расположения гнезда один из испытателей обрабатывает его с расстояния не менее 1,5 м в норме расхода 40 г/м2 для средств в специальной аэрозольной упаковке или в норме расхода 100 - 150 см3/м2 для жидких средств. Затем второй испытатель быстро надевает на гнездо герметичный прозрачный полиэтиленовый мешок и плотно завязывает его при помощи липкой ленты. Учет эффективности проводят через 12 и 24 ч по наличию живых или погибших ос в мешке, не снимая гнезда с места прикрепления. В случае закрытого расположения гнезда в полости стен, крыши и т.д. обрабатывают поверхности вокруг летков. Учеты проводят через 7 - 10 суток, оценивая количество особей, влетающих в гнездо и покидающих его.
4.4.2.3. Методы оценки эффективности инсектицидных приманок, ловушек механического отлова для борьбы с осами. В лабораторных условиях при оценке инсектицидных приманок и ловушек для борьбы с осами используют модельный объект - имаго комнатных мух. При необходимости исследования специфических средств для ос эксперименты дополнительно проводят в натурных условиях. Оценку проводят в садках размером 30 x 30 x 30 см, в которых размещают подложку (емкость) с навеской приманки, помещают поилку с водой. В садок выпускают 100 мух. Параллельно ставят контрольный вариант: в садки помещают поилку, кусочек сахара-рафинада и выпускают 100 мух. Учитывают гибель мух через 24 и 48 ч. Ловушки механического отлова испытывают на комнатных мухах в камере объемом 1 м3. Ловушки помещают по одной в камеру, подвешивая в верхней части. В камеру выпускают насекомых в количестве 300 особей, помещают поилку и кусочек сахара-рафинада. Повторность опыта трехкратная. Учитывают количество отловленных ловушкой мух через 24 и 48 ч. Натурные испытания проводят в местах, посещаемых осами. Несколько ловушек с приманкой размещают в помещении или снаружи строения, учитывают попавших в ловушку особей через 2, 5 и 7 суток. Показатели эффективности: а) инсектицидные средства в аэрозольных упаковках для распыления в воздух, модельный объект комнатные мухи: C15 - не более 15 мг/м3, Q15 - не более 1000 мг/м3, КТ50 - не более 10 мин; б) инсектицидные средства различных форм для обработки гнезд - гибель рыжих тараканов (модельный объект) при подсадке на впитывающую поверхность при учете через 24 ч - не менее 80%; в) инсектицидные пищевые приманки - гибель комнатных мух через 24 ч - не менее 80%; г) ловушки для механического отлова - уловистость через 2 суток, комнатные мухи - не менее 90%, осы в натурных условиях - вылов есть.
4.4.3. Методы оценки эффективности средств борьбы с насекомыми-кератофагами. Оценку эффективности проводят на имаго и гусеницах платяной моли и имаго и личинках кожееда Смирнова.
4.4.3.1. Метод оценки эффективности неспецифических средств контактного типа действия. К неспецифическим средствам борьбы с бабочками моли относят средства в аэрозольной упаковке для борьбы с летающими насекомыми. Для опытов используют 1 - 2-дневных бабочек моли. Опыты проводят в камерах объемом 2 м
3 или используют модификацию метода, при которой испытания проводят в условно-замкнутых объемах 1 м
3, в которые запускают по 50 бабочек моли и распыляют средство из расчета 1 г/м
3. Учет гибели проводят через 15 мин и через 24 ч, учитывая количество живых, мертвых и парализованных бабочек. Модельные опыты проводят на комнатных мухах по
п. 4.3.2.3. К неспецифическим средствам борьбы с личинками кожеедов относятся средства контактного типа действия, предназначенные для уничтожения комплекса нелетающих насекомых. Оценку эффективности указанных средств проводят в отношении личинок кожееда старших возрастов методом опрыскивания или принудительного контакта (экспозиция 15 мин) с обработанной средством поверхностью по
п. 4.3.1.5. Показатели эффективности. Острое действие на комнатных мух: C
15 - не более 15 мг/м
3, Q
15 - не более 1000 мг/м
3, КТ
50 - не более 10 мин. Гибель личинок кожеедов через 24 ч - 100%.
4.4.3.2. Метод оценки эффективности специфических средств контактного типа действия. Используют 28 - 30-дневных гусениц моли или личинок кожееда старших возрастов. Оценку проводят методом постоянного контакта насекомых в течение 72 ч с поверхностью сукна (не аппретированное сукно артикул 3907) размером 10 x 10 см, обработанного средством в норме расхода 10 - 20 г/см
2 (до легкого увлажнения). В качестве контроля используют аналогичные образцы, обработанные только основным растворителем, присутствующим в средстве. Обработанные образцы высушивают в течение 24 ч при комнатной температуре, помещают на них по 10 гусениц моли или личинок кожееда и накрывают их крышкой от чашки Петри. Опыты проводят в 3 повторностях. Учет гибели личинок проводят через 24, 48, 72 ч. Аналогично оценивают продолжительность действия средства, подсаживая насекомых ежемесячно (или при необходимости через более короткие промежутки времени) на эти же обработанные образцы сукна. Для сокращения времени эксперимента при оценке длительности защитного действия используют метод ускоренного старения (
формулы 4.15,
4.16 и
4.17), обработанные образцы хранят в закрытых бумажных конвертах в термостате при повышенной температуре 40 °C. Показатели эффективности. Гибель гусениц моли и/или личинок кожееда через 72 ч - 100%.
4.4.3.3. Метод оценки эффективности специфических средств фумигационного типа действия. Оценку острого действия средств в отношении гусениц моли проводят в условно замкнутых объемах 100 дм3 (0,1 м3). В объемах размещают средство, соблюдая норму расхода. Насекомых вносят в объемы следующим образом: по 20 бабочек моли в садках размером 10 x 10 см, по 30 гусениц или по 100 яиц на пищевом субстрате - сукне размером 3 x 3 см, вложенном в чайное ситечко типа "щипцы" из металлической сетки диаметром 7 см (для дополнительной фиксации створок используют зажимы для бумаги, закрепляя их на ободке ситечка). Опыты проводят в 3 повторностях. Учет гибели бабочек моли в зависимости от применяемого ДВ проводят через 24 - 72 ч, яиц через 10 суток. Гибель гусениц оценивают ежедневно в течение 3 суток. При оценке продолжительности действия средства сукно хранят в объемах с размещенным средством, через определенные промежутки времени подсаживая на него новых насекомых, как указано выше. Показатели эффективности. Гибель бабочек моли в объеме до 100 дм3 через 48 ч - 100%.
4.4.3.4. Метод оценки молезащитного (антифидантного) действия. Молезащитное (антифидантное) действие средства оценивают при отсутствии гибели или при невысоком уровне смертности через 14 суток при постоянном нахождении гусениц моли и личинок кожееда на обработанном пищевом субстрате. Обработанные и высушенные образцы сукна размером 4 x 4 см взвешивают с точностью до четвертого знака, помещают на них по 10 - 30 гусениц моли 28 - 30-дневного возраста или по 30 личинок кожееда, затем образцы ткани вместе с насекомыми переносят в стеклянные стаканчики диаметром 3,5 см и высотой 6 см, которые сверху закрывают бязью. Продолжительность опыта составляет 14 суток, после чего визуально проводят определение количества погрызов, оценивают повреждение ткани в баллах и взвешивают ткань с точностью до четвертого знака, определяя количество ткани, съеденной гусеницами моли. При оценке антифидантного действия в отношении личинок кожееда с поверхности субстрата и со дна стаканчика кисточкой собирают все экскременты и также взвешивают с точностью до четвертого знака.
4.4.3.5. Метод оценки эффективности средств фумигационного типа действия на модельном объекте - комнатной мухе. Инсектицидное средство фумигационного типа действия помещают в среднюю часть стеклянных сосудов объемом 10 л. В сосуды помещают поилки для насекомых (небольшой пластмассовый контейнер с влажной ватой). 100 - 150 особей комнатных мух (имаго 3 - 6-дневного возраста без разделения по полу) выпускают в сосуды, закрывают их бязью и фиксируют время наступления паралича с интервалом 15 мин в течение 1 ч и далее каждые 30 мин в течение 6 ч. Через 6 ч средство извлекают из сосуда, снова закрывают бязевой салфеткой, через 24 ч учитывают долю погибших особей. Оценку фумигационной активности средств проводят по показателям КТ50 и КТ95 - времени (в минутах или часах), за которое 50% (95%) насекомых в эксперименте находятся в состоянии нокдауна, и показателю, характеризующему обратимость состояния паралича - доли погибших особей при учете через 24 ч. Повторность опытов трехкратная. Показатели эффективности. Время нокдауна 95% комнатных мух в объеме 10 дм3 - не более 6 ч; гибель комнатных мух при учете через 24 ч - не менее 80%.
4.4.3.6. Метод оценки эффективности средств репеллентного типа действия. Оценку репеллентного действия проводят в ольфактометре, который представляет собой контейнер из полимерных материалов размером 40 x 40 x 25 см (объем 0,04 м
3), разделенный перегородками на три отсека - общий и два экспериментальных (контрольный и опытный). В опытный отсек помещают в качестве пищевого субстрата сукно артикула 3907 и средство, исходя из нормы расхода, составляющей 1/25 от нормы, необходимой для внесения в емкость объемом 1 м
3. В контрольный отсек помещают только сукно. В общий отсек ольфактометра запускают по 50 бабочек моли (1 - 2-дневного возраста) и через 24 ч проводят оценку репеллентного действия, критерием которого является отношение количества бабочек моли и количества отложенных на субстрат яиц в опытном и контрольном отсеках. Опыты проводят в 3 повторностях. КОД рассчитывают по
формуле 4.7. Для определения продолжительности действия средства бабочек запускают в ольфактометр через фиксированные промежутки времени, не заменяя в них средство и сукно. Показатели эффективности. КОД для бабочек моли - не менее 75%.
4.4.4. Методы оценки эффективности средств для обработки поверхностей в помещениях, одежды, белья и т.д. с целью уничтожения чесоточных клещей. Оценку эффективности скабицидных средств проводят на модельном объекте - ушном кроличьем клеще. Опыты проводят в трех повторностях. После экспозиции клещей пересаживают в чистые пробирки с вложенной фильтровальной бумагой, закрывают бязевыми салфетками и содержат в термостатах при температуре 27 °C в стеклянных плотно закрытых эксикаторах с относительной влажностью воздуха 80%. В качестве контроля используют необработанных клещей, помещенных в пробирки аналогичным образом.
Метод погружения. Самок ушного кроличьего клеща по 10 особей помещают на кружок фильтровальной бумаги, свернутый углом в виде "фунтика", погружают в исследуемую рабочую жидкость на 1 мин. Затем клещей переносят в чистую пробирку и регистрируют их состояние через 24 ч.
Метод подсадки на обработанную поверхность. Образцы поверхностей - фильтровальную бумагу или бязь размером 10 x 10 см помещают в камеры не менее 5 штук каждой и обрабатывают готовым средством или рабочими жидкостями, приготовленными из концентратов. Поверхности слегка подсушивают в горизонтальном положении. Самок ушного кроличьего клеща по 10 особей подсаживают на обработанную средством впитывающую (фильтровальная бумага, бязь) поверхность на 15 мин. Учет гибели проводят через 24 ч. Остаточное действие отложений средства определяют после обработки на 1, 3, 5, 7 сутки и более методом контакта клещей с обработанными поверхностями в течение 15 мин в экспозиметрах. Затем самок ушного кроличьего клеща переносят в чистые пробирки и регистрируют их состояние через 24 ч.
Показатели эффективности. Острое действие: гибель самок ушного кроличьего клеща через 24 ч - 100%.
4.4.5. Методы оценки эффективности средств для борьбы с клещами домашней пыли. Клещей домашней пыли после экспозиции содержат в термостатах при температуре 27 °C в стеклянных плотно закрытых эксикаторах с относительной влажностью воздуха 80%.
Определение острого и остаточного акарицидного действия. Образцы поверхностей (бязь, при необходимости - фрагменты коврового покрытия, обивочной ткани) размером 10 x 10 см равномерно обрабатывают средством (готовым к применению или рабочими жидкостями) в рекомендованной норме расхода. Для оценки острого действия тесты слегка подсушивают во избежание замокания клещей в каплях средства. В центр теста помещают клещей в количестве 30 особей на одну повторность, добавляют культуральную питательную среду, тест сворачивают и скрепляют скрепками таким образом, чтобы предотвратить расползание клещей, после чего его помещают в стеклянную емкость и убирают в эксикатор. Каждый опыт ставят не менее чем в 3 повторностях и сопровождают контролем. Учет пораженных клещей проводят через 24 или 48 ч. При оценке длительности остаточного действия средства аналогичным образом проводят подсадку клещей на обработанные поверхности через 1 и 3 сутки после обработки. Учеты гибели клещей проводят через 24 и 48 ч. Показатели эффективности. Острое действие: гибель клещей домашней пыли через 24 - 48 ч - 100%.
Оценка эффективности средств для уничтожения клещей при стирке белья. Готовят рабочий раствор средства согласно рекомендациям производителя, погружают в него клещей в количестве 30 особей на одну повторность и выдерживают согласно рекомендованной экспозиции. Затем клещей переносят в чистую воду для удаления остатков средства, потом на фильтровальную бумагу, помещенную в небольшие стеклянные емкости, добавляют пищевой субстрат. Края каждой емкости предварительно обклеивают клейкой лентой во избежание расползания клещей. Учет пораженных особей проводят через 10, 30 мин, 1 ч; погибших клещей учитывают через 24 ч.
Показатели эффективности. Гибель клещей домашней пыли через 24 ч - 100%.
4.4.6. Метод оценки эффективности инсекто-родентицидных средств борьбы с эктопаразитами грызунов (блохами и кровососущими гамазовыми клещами) при испытании на белых мышах. В опытах используют не питавшихся имаго блох 1 - 3-недельного возраста и взрослых голодных крысиных клещей без разделения по полу. В качестве прокормителя используют белых лабораторных мышей массой 30 - 40 г, которым в течение всего эксперимента в качества корма дают только испытываемую приманку. Для исключения преждевременной гибели подопытных мышей от действия родентицида в опытах желательно использовать вариант приманки, содержащий только инсектоакарицид. Голодных блох и клещей подсаживают через 1, 2, 3 суток и более (при необходимости) на мышей, постоянно питающихся приманкой. При этом в экспериментах используют две группы мышей: одна для экспериментов с блохами, другая - с клещами. Для предотвращения счесывания и поедания мышами эктопаразитов животных на время экспозиции помещают в фиксирующие садки размером 3 x 3 x 8 см из металлической сетки с ячейками размером 1 x 1 см, которые ставят на чашки Петри с вложенными бумажными фильтрами. Далее эти чашки Петри помещают в большие пластмассовые емкости с высокими стенками, которые позволяют сохранить всех клещей и блох, покинувших прокормителя после питания. При проведении опытов с клещами для предотвращения их разбегания стенки емкостей смазывают вазелином по верхнему краю. Каждый опыт сопровождают контрольными вариантами.
Блохи. На мышей подсаживают по 30 имаго блох на 120 мин. Затем блох собирают из пластиковой емкости, а также счесывают оставшихся насекомых с животных пластмассовым частым гребнем. Учитывают долю напитавшихся блох. Собранных блох помещают в пробирки с небольшим количеством прокаленного песка и убирают в термостат (температура 27 °C, относительная влажность воздуха 80%). Учет смертности напитавшихся блох проводят через 24 ч.
Гамазовые клещи. На мышей подсаживают по 30 - 40 взрослых голодных крысиных клещей. В течение 4 - 5 ч собирают напитавшихся клещей и отсаживают их в пробирки дифференцированной влажности. Учет смертности клещей проводят через 24 ч.
Оценку поедаемости приманок мышами проводят путем ежедневного взвешивания корма на электронных лабораторных весах с точностью взвешивания 0,005 г. Поедаемость корма выражают в граммах на одну особь в сутки. Рассчитывают дозу поглощенного мышью ДВ (мг/кг массы животного в сутки), исходя из содержания его в корме и установленной поедаемости приманки.
Показатели эффективности. Гибель блох и крысиных клещей при кормлении на мышах на 3 сутки при учете через 24 ч - не менее 80%; поедаемость грызунами отравленной приманки - не менее 80%.
4.5. Методы оценки эффективности педикулицидных средств
4.5.1. В опытах используют имаго и личинок III возраста платяных вшей лабораторной культуры или из природных популяций, собранных с одежды зараженных вшами людей, обратившихся в санпропускник. При необходимости проведения экспериментов на головных вшах используют насекомых, собранных с людей. В случае использования лабораторной культуры в опытах используют сытых вшей. При использовании вшей из природных популяций опыты должны быть поставлены в день сбора насекомых. Вшей собирают в стеклянные энтомологические пробирки (высотой не менее 50 мм, диаметром не менее 10 мм) по 20 - 30 особей в каждую. Вшей, собранных с одного человека, рассматривают как одну микропопуляцию и пробирки с ними маркируют одним порядковым номером. Во время доставки пробирки везут вертикально, чтобы не допустить расползания вшей. В холодное время года насекомых в лабораторию доставляют в сумке-холодильнике с помещенными внутрь емкостями с горячей водой. При изучении эффективности инсектицидов используют методы погружения насекомых и яиц или контактирования их с обработанными поверхностями. Опыт проводят не менее трех раз, в каждом опыте не менее трех повторностей. Подопытных вшей в течение эксперимента содержат в термостате при температуре 27 °C и относительной влажности 80% (плотно закрытый эксикатор с насыщенным раствором поваренной соли). В качестве контроля используют насекомых и яйца, подвергшихся воздействию растворителя, а также насекомых и яйца, не подвергшихся воздействию средства и растворителя (биоконтроль). Для стандартизации биологического материала каждая микропопуляция вшей должна быть охарактеризована с точки зрения их чувствительности к пиретроидам (перметрину) и ФОС (малатиону) в диагностических концентрациях (далее - ДК). При небольшом количестве собранных насекомых допустимо использовать в экспериментах смесь вшей из разных микропопуляций с обязательным определением чувствительности насекомых из смешанных микропопуляций к перметрину и малатиону.
4.5.2. Метод определения доли устойчивых к инсектицидам особей вшей. Для опытов используют стандартные фильтры диаметром 11 см или вырезают круг диаметром 11 см из фильтровальной бумаги. На фильтр пипеткой равномерно наносят ацетоновый раствор инсектицида в норме расхода 1 см3/дм2 (0,95 см3 на стандартный фильтр диаметром 11 см) в ДК (перметрин 0,206%, малатион 2,02% в пересчете на 100% ДВ), затем его высушивают в подвешенном состоянии до полного испарения растворителя. После этого фильтр вкладывают внутрь крышки от чашки Петри (диаметр 10 см), чтобы он плотно прилегал к дну, высыпают на него вшей. Чтобы насекомые не расползлись, их накрывают оставшейся половиной чашки Петри, маркируя ее порядковым номером пробирки со вшами и временем начала эксперимента. Через 6 ч чашку переворачивают и слегка постукивают ею по столу. Вшей, которые не могут держаться на поверхности бумаги, считают парализованными (в состоянии нокдауна). Доля оставшихся на бумаге активных особей от общего числа насекомых, помещенных в чашку Петри изначально, отражает долю вшей, устойчивых к инсектициду, которым была обработана фильтровальная бумага. Опыты по определению устойчивости вшей к перметрину и малатиону проводят параллельно с изучением педикулицидной активности средств.
4.5.3. Метод оценки эффективности педикулицидов при погружении вшей в жидкие формы. Приготавливают рабочие жидкости (водные эмульсии, суспензии, мыла и др.) или же используют готовые для применения формы (шампуни, лосьоны и др.). Насекомых (личинок III возраста как наиболее устойчивых к инсектицидам, имаго) по 20 особей помещают в бязевые салфетки размером 5 x 5 см, которые закрепляют скрепками (для предупреждения расползания вшей), и погружают в рабочие жидкости средства на разные сроки (10 мин и более), чтобы определить необходимую экспозицию. При оценке средств, предназначенных для борьбы с головным педикулезом, пряди волос с находящимися на них головными вшами (или полиамидные волокна с платяными вшами) погружают в рабочие растворы или готовые к применению жидкие средства. Продолжительность контакта в соответствии с рекомендациями производителя. При необходимости экспозицию увеличивают до достижения необходимой эффективности (100% гибель вшей при учете через 20 - 24 ч). После контакта с педикулицидом подопытных вшей отмывают водой с шампунем, затем тщательно прополаскивают водой. Подсушивают их на фильтровальной бумаге, помещают в пенициллиновые флаконы с кусочками бязи размером 1 x 1 см и убирают в термостат. Учеты пораженных вшей проводят через 15, 30, 60, 120 мин после окончания экспозиции. Учеты погибших в опыте платяных вшей проводят через 20 - 24 ч, головных - через 16 - 18 ч. Для изучения овицидного действия средств фрагменты ткани с отложенными на них яйцами вшей обрабатывают педикулицидом в зависимости от препаративной формы (погружение на рекомендованное время или опрыскивание до полного смачивания). После окончания рекомендованной экспозиции кусочки ткани с гнидами отмывают водой с шампунем или с мылом и тщательно прополаскивают водой. Подсушивают их на фильтровальной бумаге, помещают в пластиковые стаканы и убирают в термостат. Учеты гибели яиц (овицидное действие) проводят еженедельно в течение 21 суток. При работе с яйцами платяных вшей, собранными с одежды, овицидное действие определяют качественно в сравнении с контрольным вариантом, указывая: + выплод единичных личинок, ++ личинок много, +++ выплод сопоставим с контрольным вариантом. При отсутствии выплода в контрольном варианте опыт повторяют.
4.5.4. Метод оценки эффективности педикулицидных средств в аэрозольных или беспропеллентных упаковках. Ткани с подсаженными на них насекомыми (имаго и личинки III возраста), а также отложенными яйцами опрыскивают до полного увлажнения струей аэрозоля, направляя ее с высоты 10 - 20 см под углом 45°. После опрыскивания тканей через интервал времени, рекомендованный производителем средства, подопытных насекомых отмывают, пересаживают в чистую посуду и содержат в термостате. Учеты пораженных вшей проводят через 15, 30, 60, 120 мин после окончания экспозиции. Учеты погибших в опыте платяных вшей проводят через 20 - 24 ч, головных - через 16 - 18 ч.
4.5.5. Методы оценки эффективности импрегнированных тканей с целью профилактики платяного педикулеза. Импрегнирование образцов тканей. Готовят образцы размером 10 x 10 см из влагоемкой ткани - хлопчатобумажного трикотажа и не влагоемкой - хлопчатобумажной бязи. Количество образцов каждого типа ткани определяется числом концентраций инсектицида в эксперименте (не менее 3 концентраций в трех повторностях на двух видах тканей). Образцы ткани погружают в свежеприготовленные рабочие жидкости изучаемых концентраций. Жидкость с образцами тщательно перемешивают руками в резиновых перчатках, периодически сжимая ткань для лучшей пропитки. Объем рабочей жидкости зависит от числа образцов и вида ткани и составляет в среднем 300 - 500 см3. После полного пропитывания образцов (5 мин) их извлекают из рабочих жидкостей, отжимают и просушивают. После полного высыхания ткани часть обработанных образцов (по 3 образца для каждой концентрации инсектицида) используют для определения острого и остаточного (при хранении) инсектицидного действия. При определении периода хранения импрегнированного белья образцы сохраняют в плотных полиэтиленовых пакетах.
Оценка скорости поражения вшей при контакте с импрегнированной тканью. На просушенные образцы ткани помещают экспозиметры и подсаживают не менее 10 вшей (имаго и личинок III возраста) в каждый. Признаки отравления насекомых регистрируют каждые 15 - 30 мин. При поражении (обездвиживании) всех особей в эксперименте контакт прекращают и вшей переносят в пенициллиновые флаконы с вложенной бязью размером 1 x 1 см, убирают их в термостат. Все эксперименты сопровождают контрольными вариантами, в которых вшей подсаживают на необработанные образцы ткани. Учеты гибели проводят через 20 - 24 ч. Если при контакте с обработанными тканями в течение 180 мин остаются активные (способные к передвижению) особи, то средство в данной концентрации считают неэффективным и эксперимент прекращают. Если при контакте в течение 180 мин с обработанными тканями все насекомые потеряли двигательную активность, но при учете через 24 ч остались живые вши (даже одна особь), средство в данной концентрации считают неэффективным.
Оценка острого инсектицидного действия импрегнированной ткани. В экспозиметры помещают вшей по 20 - 30 особей в каждый. Экспозиция составляет 60 мин. Далее вшей переносят в пенициллиновые флаконы с вложенной бязью размером 1 x 1 см, сохраняют в термостате. Учет гибели платяных вшей проводят через 24 ч. Все эксперименты сопровождают контрольными вариантами, в которых вшей подсаживают на необработанные образцы ткани. Если после контакта в течение 60 мин с обработанными тканями при учете через 24 ч остались живые вши (даже одна особь), средство в данной концентрации считают неэффективным.
Оценка длительности остаточного действия импрегнированной ткани. Длительность определяют при хранении и, при необходимости, при ношении импрегнированной ткани. При хранении проводят подсадку вшей на импрегнированные образцы каждые 7 - 10 суток в течение месяца. Образцы бязи и трикотажа, обработанные инсектицидом в выбранной концентрации, подшивают к белью и одежде испытателей в количестве, которое определяется длительностью эксперимента. Через 3, 5 и/или 7 суток с одежды испытателей спарывают по 3 образца бязи и трикотажа в выбранной концентрации инсектицида и контроль. На них подсаживают насекомых и оценивают динамику отравления и острое действие. После изучения эффективности образца (подсадки вшей) его изымают из эксперимента, не подшивая опять к одежде. Последний опыт проводят в сроки, соответствующие максимальному периоду непрерывного ношения одежды из импрегнированной ткани, разрешенному специалистами-токсикологами для каждого конкретного средства.
Показатели эффективности: а) для всех препаративных форм педикулицидов: гибель имаго и личинок III возраста платяных вшей при указанной в НД экспозиции через 24 ч - 100%; б) средства для импрегнации белья с целью предупреждения заражения людей платяным педикулезом: острое действие: гибель имаго и личинок III возраста платяных вшей при экспозиции 60 мин на импрегнированной ткани (учет через 24 ч) - 100%; время прекращения двигательной активности 100% имаго и личинок вшей при контакте с импрегнированной инсектицидом тканью - не более 180 мин.
4.6. Методы оценки эффективности средств на основе
регуляторов развития насекомых (РРН)
4.6.1. В инсектицидных средствах используют аналоги ювенильного гормона (далее - АЮГ) и ингибиторы синтеза хитина (далее - ИСХ). Воздействие АЮГ проявляется в период метаморфоза при процессах окукливания и формирования имаго, вызывая нарушения морфогенеза от появления неполноценных особей с признаками личиночной стадии развития до полного отсутствия образования имаго. Последствия воздействия АЮГ на стадию личинки перед метаморфозом могут проявляться и позже, оказывая деструктивное влияние на процессы оогенеза у имаго, эмбриогенеза в отложенных яйцах, вплоть до проявления нарушений развития у личинок I возраста. При воздействии ИСХ наблюдают различные нарушения процессов линьки на протяжении всего цикла развития. В связи с особенностями действия РРН на организм насекомого (пик воздействия на определенном этапе физиологического состояния, отсроченность проявления патологий и т.п.) оценка эффективности средств на их основе трудоемка, длительна и требует строгого соблюдения условий эксперимента. Как правило, РРН либо вносят в среду обитания преимагинальных стадий развития синантропных насекомых, либо вводят в состав пищевой приманки. При оценке активности РРН обязательным условием является использование в экспериментах строго выровненного по возрасту биологического материала для всех видов насекомых: при оценке эффективности АЮГ используют личинок начала последнего возраста, ИСХ - личинок I - II возраста. Следует выдерживать оптимальную для развития целевого вида температуру.
4.6.2. Метод оценки эффективности средств на основе РРН для борьбы с личинками комаров. В опытах используют личинок кровососущих комаров - желтолихорадочного, азиатского тигрового или подвального. В сосуды емкостью 200 см
3 наливают по 99 см
3 водопроводной воды, отстоянной в течение 24 ч. В каждый сосуд помещают по 30 личинок комаров соответствующего возраста. Через 2 ч погибших или ослабленных личинок удаляют и заменяют на жизнеспособных. Готовят серию из 5 - 7 маточных водных растворов средства на основе РНН с шагом концентрации 2 - 10. В сосуды с личинками добавляют 1 см
3 раствора инсектицида приготовленных маточных концентраций, при этом в емкости создается рабочая концентрация ДВ в 100 раз меньшая, чем в маточном растворе. Каждую концентрацию испытывают в 3 повторностях. Биологическим контролем служат личинки, находящиеся в воде без добавления инсектицида. Емкости с личинками накрывают марлевыми салфетками, закрепляют их канцелярскими резинками и выдерживают при температуре 25 - 27 °C; личинок подкармливают сухим кормом для аквариумных рыб по мере необходимости. Наблюдение за развитием проводят до окукливания и вылета имаго в контрольных емкостях, учитывая, что в опытном варианте сроки развития могут несколько увеличиться по сравнению с контрольным. Расчет эффективности проводят с учетом контрольного варианта по
формуле 4.2. Графическим методом определяют величины СК
50 (95, 99), %
(п. 4.1.5). Размерность величин СК
50(95,99), выраженную в процентах, переводят в мг/л по формуле СК
50 (95, 99), %) x 10000 = СК
50 (95, 99), мг/л. Для применения инсектицидного средства на основе РРН в практических условиях проводят расчет минимальной рабочей концентрации (МРК), исходя из значения найденной в эксперименте величины СК
99, %. Расчет проводят по формуле МРК = (СК
99 x 2 x 1000)% при норме расхода 100 см
3/м
2 площади водоема при глубине 10 см. Показатели эффективности. Для АЮГ и ИСХ вылет нормально сформированных имаго комаров - не более 10%.
4.6.3. Метод оценки эффективности средств на основе РРН для борьбы с личинками мух. В опытах используют личинок комнатных мух. Готовят субстрат для развития личинок: 400 г предварительно прокаленных в сушильном шкафу отрубей, 100 г древесной стружки (крупных опилок) смешивают с 800 см
3 теплой воды с растворенными в ней 15 г хлебопекарных дрожжей. Затем отдельно готовят рабочие жидкости средства на основе РРН в изучаемой (рекомендованной к практическому применению) концентрации, отбирают 40 см
3 рабочей жидкости, смешивают с 160 см
3 воды и добавляют в ту же порцию субстрата, тщательно перемешивают. Приготовленный данным способом субстрат имеет объем около 4 дм
3 при массе 1,5 кг, что моделирует места выплода мух площадью 0,04 м
2 при глубине 0,01 м; указанная пропись позволяет провести обработку экспериментального субстрата в стандартной норме расхода рабочей жидкости - 1 дм
3 на квадратный метр. Обработанный субстрат раскладывают в одноразовые пластиковые стаканы емкостью 0,5 дм
3 по 200 г, получая 5 - 7 повторностей. В каждую емкость подсаживают по 100 личинок мух соответствующего возраста, емкости накрывают бязевой салфеткой. Параллельно ставят контрольный вариант, помещая личинок мух на необработанный субстрат, приготовленный в указанных выше пропорциях (4 части отрубей, 1 часть опилок и 10 частей воды с дрожжами) без добавления инсектицида. Емкости с субстратом и личинками содержат при 25 °C, поддерживая необходимую влажность. Наблюдение проводят до вылета имаго в контрольном варианте, учитывая, что в опытном варианте сроки развития могут несколько увеличиться по сравнению с контрольным. Эффективность средства определяют по процентному соотношению числа выплодившихся имаго в контроле и опыте
(формула 4.2). Показатели эффективности. Для АЮГ и ИСХ вылет нормально сформированных имаго комнатных мух - не более 10%.
4.6.4. Метод оценки эффективности средств на основе РРН для борьбы с личинками блох. Готовят субстрат для развития личинок: промытый речной песок прокаливают в течение 2 ч, дают остыть, добавляют сухой стандартный альбумин и пивные дрожжи. Готовят необходимый раствор РРН и вносят его в субстрат, исходя из рекомендованной нормы расхода. После высыхания субстрата его насыпают тонким слоем (2 - 5 мм) в чашки Петри, подсаживают по 30 личинок блох соответствующего возраста. Опыт ставят в трех повторностях. Параллельно ставят контрольный вариант, помещая личинок блох на субстрат, обработанный растворителем. Емкости с субстратом и личинками помещают в высокие сосуды (банки, кастрюли) и содержат в термостате при 27 °C и относительной влажности 80%. Наблюдение за состоянием личинок проводят до окукливания и/или выхода имаго в контрольном варианте, учитывая, что в опытном варианте сроки развития могут несколько увеличиться по сравнению с контрольным. Расчет эффективности проводят с учетом контрольного варианта по
формуле 4.2. Для оценки длительности остаточного действия готовят 4 или более порций обработанного субстрата, который хранят при комнатных условиях. Личинок блох подсаживают последовательно в емкости с субстратом через 1, 3, 7 и более суток после его обработки. Об окончании действия ИСХ и АЮГ свидетельствует формирование коконов и выход из них имаго без видимых морфологических изменений, сопоставимый с контрольным вариантом. Показатели эффективности. Для АЮГ и ИСХ выход нормально сформированных имаго блох - не более 10%.
4.6.5. Метод оценки эффективности пищевых приманок на основе РРН для борьбы с тараканами и муравьями. Опыты проводят на рыжем таракане по
п. 4.3.1.3. Пищевую приманку с РРН (готовую к применению или приготовленную в лаборатории в соответствии с рекомендацией производителя) помещают на подложке в пластиковые контейнеры размером 60 x 40 x 15 см, верхние края которых смазывают вазелином во избежание расползания насекомых. В контейнеры помещают по 100 личинок рыжих тараканов соответствующего возраста, ставят поилки с водой. Емкости с насекомыми выдерживают при температуре 25 - 27 °C. Опыты ставят в трех повторностях, сопровождая биологическим контролем. Наблюдения ведут не менее 14 суток, при необходимости до 28 и более суток, учитывая количество как погибших, так и живых личинок с морфологическими изменениями (деформированных, меланизированных и т.п.). Расчет эффективности проводят с учетом контрольного варианта по
формуле 4.2. Оценку эффективности специфических приманок с РРН в отношении колоний муравьев проводят по
п. 4.3.1.3. Наблюдения за нарушением нормальной жизнедеятельности колонии, выражающимся в сокращении количества рабочих особей, гибели самок и расплода, проводят до 10 недель. Показатели эффективности. Для АЮГ и ИСХ: суммарное количество личинок с морфологическими нарушениями и погибших рыжих тараканов при учете через 14 суток - не менее 50%; гибель колонии муравьев через 10 недель - 100%.
4.6.6. Метод оценки эффективности фумигирующих средств на основе РРН (гидропрена) для борьбы с тараканами. Оценку эффективности фумигирующих устройств на основе АЮГ гидропрена проводят в полигонах размером 60 x 40 x 15 см, верхние края которых смазывают вазелином во избежание расползания насекомых. В контейнеры помещают 100 личинок рыжих тараканов предпоследнего и последнего возраста, ставят поилки с водой, кормушки с белым хлебом и комбикормом для лабораторных грызунов, убежище из листа картона. После адаптации насекомых в контейнер помещают активированное средство, накрывают крышкой и выдерживают при температуре 25 - 27 °C. Опыты ставят в трех повторностях, сопровождая биологическим контролем. Наблюдения проводят еженедельно в течение 4 недель и более до образования имаго из всех личинок в контроле, учитывая задержку сроков развития в опыте. При учетах эффективности отмечают количество погибших личинок, живых личинок с морфологическими изменениями (деформированных, меланизированных и т.п.), отсутствие образования имаго. Расчет эффективности проводят с учетом контрольного варианта по
формуле 4.2. Показатели эффективности. АЮГ (гидропрен) при фумигационном воздействии для рыжих тараканов через 14 суток: формирование имаго без видимых морфологических нарушений - не более 50%.
4.7. Методы оценки эффективности репеллентных средств
и изделий для защиты от кровососущих членистоногих
4.7.1. Методы оценки эффективности репеллентных средств и изделий в отношении летающих кровососущих насекомых. Репеллентные средства применяют при нанесении на кожу (кремы, гели, лосьоны, эмульсии, салфетки, карандаши, аэрозольные и беспропеллентные упаковки), на одежду и наголовные сетки (концентраты эмульсий, аэрозольные и беспропеллентные упаковки). Кроме того, используют содержащие репелленты изделия (браслеты, наклейки и т.п., наголовные сетки), а также репеллентные средства и изделия для снижения количества комаров, нападающих на людей на открытом воздухе и в помещениях. Испытания эффективности репеллентных средств проводят как в лабораторных, так и в натурных условиях. Для приведения в соответствие результатов лабораторных и натурных испытаний, средства разбиты на категории эффективности, для каждой из которых определены концентрации эталонных растворов ДЭТА в этиловом спирте. Эталоном высшей категории эффективности репеллентных средств является 30%-й раствор ДЭТА; эталоном первой категории - 20%-й раствор ДЭТА; эталоном второй категории - 10%-й раствор ДЭТА; эталоном третьей категории - 5%-й раствор ДЭТА; эталоном четвертой категории - 3%-й раствор ДЭТА. Длительность защитного действия от насекомых в тексте этикетки (для быта) указывают в соответствии с категориями эффективности: для репеллентных средств высшей категории - более 4 ч при нанесении на кожу и более 20 суток при нанесении на одежду; 1 категории - до 4 ч и до 20 суток; 2 категории - до 3 ч и до 10 суток; 3 категории - до 2 ч и до 5 суток соответственно; 4 категории до 2 ч при нанесении на кожу при низкой численности комаров. Спектр репеллентного действия средств на основе ДЭТА в тексте этикетки (для быта) указывают в соответствии с категориями эффективности: для репеллентных средств высшей категории - комары, мокрецы, москиты, мошки, слепни, блохи, таежные и лесные клещи (переносчики возбудителей клещевого энцефалита и боррелиозов); 1 категории - комары, мокрецы, москиты, мошки, слепни, блохи; 2 и 3 категорий - комары, мокрецы, москиты; 4 категории - комары, мокрецы, москиты при их низкой численности. Спектр репеллентного действия средств на основе других ДВ определяют на основании изучения их эффективности в натурных условиях или на основании литературных данных. Поскольку репеллентные средства не защищают полностью от иксодовых клещей - переносчиков возбудителей опасных заболеваний, в текстах этикеток (для быта) средств, рекомендованных для этих целей, указывают: "Средство не обеспечивает полную защиту от клещей. Будьте внимательны!".
В лабораторных испытаниях используют желтолихорадочных комаров. В сетчатый садок размером 30 x 30 x 30 см выпускают 50 +/- 5 самок. Такие условия опыта соответствуют высокой численности комаров. Испытания начинают через 30 мин после запуска комаров в садок. Чтобы подтвердить активность комаров, в садок до начала опытов помещают оголенное предплечье испытателя, защитив кисть руки резиновой перчаткой. Проводят учет посадок и укусов комаров в течение 30 с. Активность комаров признают удовлетворительной, если за этот период зарегистрировано не менее 10 посадок и 3 укусов. Испытания в натурных условиях проводят, как правило, при средней или высокой численности насекомых. Перед опытами испытатели проводят учет интенсивности нападения насекомых по методу А.В. Гуцевича "на себе"
(п. 4.1.3).
4.7.1.1. Методы оценки эффективности репеллентных средств в отношении летающих кровососущих насекомых при нанесении на кожу. К испытаниям допускаются только средства, имеющие подтверждение безопасности их нанесения на кожу людей. Изучаемое средство наносят на всю поверхность обнаженного предплечья (голени) испытателя в норме расхода 0,1 см
3 (г) на 100 см
2 кожи. При испытаниях средств в аэрозольной упаковке с пропеллентом его сначала выпускают из баллона в пробирку, а после выхода пропеллента наносят на кожу. Предплечье второй руки (голень второй ноги) обрабатывают в той же норме расхода эталоном предполагаемой категории эффективности.
Оценка эффективности репеллентных средств в отношении комаров при нанесении на кожу в лабораторных условиях. Изучаемое средство и эталон наносят на обнаженные предплечья, опыты начинают через 15 мин после нанесения. При испытаниях обе руки помещают в садок с комарами на 3 мин и регистрируют число посадок и укусов комаров. Сразу после нанесения КОД, как правило, равен 100%. Для определения ДРД опыт повторяют через каждые 30 мин до тех пор, пока не будет зарегистрировано 3 или более укусов за 3 мин испытания. В каждом садке повторное испытание можно проводить не ранее, чем через 1 ч после предыдущего. Каждое средство испытывают не менее чем три испытателя не менее чем в трех повторностях (всего 9 повторностей). Изученные средства относят к определенной категории эффективности репеллентных средств, ориентируясь на показатель ДРД. Если предполагается, что репеллентное средство соответствует 4 категории эффективности, то его испытания проводят при определенных изменениях в условиях опыта, приводящих к снижению агрессивности комаров: в садок размером 50 x 50 x 50 см выпускают 20 +/- 2 самок; все остальные условия опыта остаются прежними.
Оценка эффективности репеллентных средств в отношении летающих кровососущих насекомых при нанесении на кожу в натурных условиях. Изучаемое средство и эталон наносят на обнаженные предплечья или голени. Регистрируют КОД через 15 мин после нанесения средства. Критерием окончания защитного действия служит регистрация 3 укусов насекомых в предплечье или голень одного испытателя за 3 мин. Контрольный испытатель учитывает и отлавливает кровососущих насекомых, производит все записи, отмечает погодные условия и пр. Испытание каждого средства проводят не менее 10 раз при различных условиях (разные биотопы, погодные условия, время суток). На основании полученных данных высчитывают КОД и ДРД в отношении различных групп кровососущих насекомых (комары, мошки, мокрецы, слепни). В качестве дополнительных возможно проведение испытаний при разной физической нагрузке испытателей.
Показатели эффективности. Острое действие: КОД - 100%. ДРД (в часах) для комаров в соответствии с категориями эффективности: высшая категория - 4 и более, 1 категория - 3 и более до 4, 2 категория - 2 и более до 3, 3 категория - 1 и более до 2, 4 категория - не менее 1 при низкой численности комаров.
4.7.1.2. Методы оценки эффективности репеллентных средств в отношении комаров при нанесении на ткань. Для подготовки тестов на стене в хорошо проветриваемом помещении закрепляют бязь размером 70 x 90 см. Изучаемым средством равномерно обрабатывают эту ткань в норме расхода, рекомендованной для его применения (как правило, 20 г/м2 поверхности). После полного высыхания обработанной ткани (1 ч) ее разрезают на 3 опытных теста размером 70 x 30 см. Каждый опыт проводят на трех тестах разные испытатели (повторности). Тестами покрывают всю поверхность кисти и предплечья каждого испытателя. Для закрепления ткани используют канцелярские резиновые кольца. Ткань теста должна без натяжения прилегать к предплечью, на кисти руки допустимо натяжение ткани. Испытания начинают в день обработки тестов и повторяют для установления длительности защитного действия.
Оценка эффективности репеллентных средств при нанесении на ткань в лабораторных условиях. При испытаниях руку с обработанным тестом помещают в садок с комарами аналогично описанному в
п. 4.7.1.1 методу. Окончанием репеллентного действия считаются сутки, когда регистрируют 3 или более укусов комаров через ткань за 10 мин испытания. Возможно исследование эффективности репеллентных средств для нанесения на одежду в отношении комаров в ольфактометре аналогично методу определения репеллентной активности веществ
(п. 4.2.8.1). В качестве эталона используют раствор ДЭТА в этиловом спирте в концентрации, соответствующей эталону предполагаемой категории эффективности.
Оценка эффективности репеллентных средств при нанесении на ткань в натурных условиях. Оценку эффективности средств проводят 3 испытателя, лица которых защищены сетками на передней части капюшонов (у каждого испытателя обнажены только предплечья, кисти рук). Сначала регистрируют количество укусов комаров через ткань контрольных тестов за 10 мин. После опыта с контрольными тестами аналогично проводят эксперименты с опытными тестами, регистрируя количество укусов комаров через ткань за 10 мин. Рассчитывают КОД после нанесения средства по
формуле 4.7. Для установления ДРД опыты повторяют до его окончания - сутки, когда регистрируют 3 или более укусов комаров через ткань за 10 мин испытания.
Показатели эффективности. Острое действие: КОД - 100%. ДРД (в сутках) для комаров в соответствии с категориями эффективности: высшая категория - 20 и более, 1 категория - 10 и более до 20, 2 категория - 5 и более до 10, 3 категория - 3 и более до 5.
4.7.1.3. Метод оценки эффективности репеллентных средств при нанесении на наголовные сетки в отношении летающих кровососущих насекомых в натурных условиях. В опытах используют одинаковые наголовные сетки специальной конструкции, при которой лицо остается открытым, а лоб, боковые и затылочная часть головы, боковые и задняя часть шеи прикрыты сеткой, спускающейся на плечи и спину (сетки Жуковой). Сетки помещают по одной в полиэтиленовые пакеты; изучаемое средство равномерно наносят на каждую сетку в одинаковой норме расхода 50 - 100 см
3/сетку (необходимый объем пропиточного состава зависит от впитывающей способности материала сетки); сетки оставляют в пакетах для пропитывания на 30 мин, после чего их извлекают и развешивают для высушивания (не менее 1 - 2 ч). Высушенные сетки помещают по одной в полиэтиленовые пакеты или упаковку изготовителя, где они находятся до начала испытаний. Сетки переносят в природные биотопы в индивидуальной упаковке, проветривают в течение 15 мин перед испытанием. Каждый опыт проводят на трех сетках разные испытатели (повторности). Опыты проводят при средней численности комаров. В опытах участвуют 3 испытателя. На голову каждого испытателя надет головной убор, на него - наголовная сетка (лицо должно быть открыто, лоб, боковые и затылочная часть головы, боковые и задняя часть шеи должны быть закрыты сеткой, спускающейся на плечи и спину). Испытатели сидят на расстоянии не менее 1 м друг от друга, каждый испытатель наблюдает в течение 10 мин за насекомыми, подлетающими к его лицу, используя зеркало. В первые сутки испытаний укусов насекомых в голову и шею быть не должно (КОД = 100%). Для установления длительности защитного действия (ДЗД) опыты повторяют до окончания репеллентного действия - суток, когда регистрируют 3 или более укусов насекомых в голову и шею под сеткой за 10 мин.
4.7.1.4. Метод оценки эффективности (защитных свойств) наголовных сеток в отношении летающих кровососущих насекомых в натурных условиях. Наголовные сетки могут быть пропитанными репеллентами (готовыми к применению), необработанными (например, для оценки их конструкции) или в виде комплекта с приложенным средством для обработки. Обработанные сетки испытывают без предварительной подготовки. Обработку сеток прилагаемым средством проводят рекомендованным способом и развешивают для высушивания (не менее 1 - 2 ч). Необработанные сетки (если к ним не прилагается средство) обрабатывают 20% раствором ДЭТА в этиловом спирте в одинаковой норме расхода (необходимый объем пропиточного состава зависит от размера и впитывающей способности материала сетки, обычно 50 - 100 см
3/сетку), сетки оставляют в пакетах для пропитывания на 30 мин, после чего их извлекают и развешивают для высушивания (не менее 1 - 2 ч). Высушенные сетки помещают по одной в полиэтиленовые пакеты или упаковку изготовителя, где они находятся до начала испытаний. Сетки переносят в природные биотопы в индивидуальной упаковке, проветривают в течение 15 мин перед испытанием. Каждый опыт проводят на трех сетках разные испытатели (повторности). Испытания проводят аналогично методу, описанному в
п. 4.7.1.3.
Средняя норма эксплуатации наголовных сеток признается равной 8 ч в сутки, одни сутки непрерывного проветривания приравниваются к трем суткам эксплуатации. Длительность отпугивающего действия указывают при описании свойств сетки в эксплуатационной документации. Показатель эффективности. КОД в первые сутки - 100%.
4.7.1.5. Методы оценки эффективности (защитных свойств) содержащих репелленты изделий (браслетов, наклеек, капель и т.п.) для защиты от комаров. Если изделие (например, наклейка) предназначено для наклеивания или прикрепления на одежду, образец для испытаний приклеивают или прикрепляют на полоску из бязи шире, чем образец, не менее чем на 1 см. Средства в виде капель для нанесения на предметы одежды наносят в рекомендованной или изучаемых нормах расхода в середину полоски из бязи шириной 5 см. Для испытаний браслет надевают на запястье, полоску из бязи с прикрепленным изделием или нанесенным средством в виде капель - на предплечье около локтя. Между опытами наклейки от ткани не отклеивают. Для изделий, показавших защитное действие менее 90%, в тексте этикетки (для быта) указывают назначение "для снижения количества укусов комаров"; для изделий, показавших защитное действие равное или более 90%, - "для защиты от укусов комаров".
Оценка эффективности содержащих репелленты изделий в лабораторных условиях. Самок комаров помещают в сетчатый садок размером 50 x 50 x 50 см. Опыты проводят при имитации различной численности комаров: низкой, средней (если доказана эффективность при низкой численности) и высокой (если доказана эффективность при средней численности). Т.к. плотность комаров в садке определяет их агрессивность, количество комаров в садках различается: 10 +/- 2 особей в садке соответствует низкой численности комаров (низкая агрессивность насекомых); 20 +/- 2 особей - средней численности комаров (средняя агрессивность); 50 +/- 3 особей - высокой численности комаров (высокая агрессивность). Перед началом испытаний в садок помещают предплечье (кисть руки защищают резиновой перчаткой) и проводят контрольный учет: в течение 1 мин учитывают количество укусов комаров за предплечье. Активность комаров считают достаточной, если за контрольный учет зарегистрировано не менее 3 укусов при имитации низкой численности, не менее 5 укусов при имитации средней численности и не менее 10 укусов при имитации высокой численности комаров. Опыты начинают через 15 мин после извлечения изделия из упаковки. При проведении опытов испытатель помещает предплечье с изделием в садок и проводит 3-минутные учеты количества укусов комаров за предплечье и кисть. Каждый опыт проводят в 9 повторностях (3 испытателя по 3 повторности). КЗД рассчитывают по
формуле 4.7. Для установления длительности защитного действия проводят повторные испытания до снижения КЗД ниже нормативного. Длительность защитного действия указывают при описании свойств средства в эксплуатационной документации.
Оценка эффективности содержащих репелленты изделий в натурных условиях. Опыты проводят при различной численности комаров: низкой, средней (если доказана эффективность при низкой численности) и высокой (если доказана эффективность при средней численности). Оценку эффективности средства проводят 3 испытателя, лица которых защищены сетками на передней части капюшонов (у каждого испытателя обнажены только предплечья, кисти рук). Испытания проводят аналогично методу, описанному выше.
Показатель эффективности. КЗД для комаров - не менее 30%.
4.7.1.6. Метод оценки эффективности репеллентных средств и изделий для снижения количества комаров, нападающих на людей на открытом воздухе и в помещениях. Средства и изделия (аэрозольные и беспропеллентные упаковки, репеллентные свечи, стержни и т.п.), предназначенные для снижения количества комаров, нападающих на людей, уменьшают количество влетающих в помещение комаров и увеличивают их вылет из помещения. Средства и изделия испытывают в лабораторных условиях. Для испытаний используют камеру с отверстием в боковой стенке с трубчатым переходником, через который с ней можно соединить садок с комарами.
Опыты на влет. Контрольный опыт. Чистую камеру через переходник соединяют с садком с 50 особями комаров и в течение 10 мин регистрируют количество комаров, перелетевших из садка в камеру. Тестовый опыт. В камеру помещают на 10 мин работающее средство (его приводят в действие согласно рекомендациям изготовителя) или распыляют необходимое и рассчитанное его количество. Через 10 мин после того, как средство убрали из камеры или после распыления, с ней через переходник соединяют садок с 50 особями комаров и в течение 10 мин регистрируют количество комаров, перелетевших из садка в камеру.
Опыты на вылет. Контрольный опыт. В чистую камеру выпускают 25 особей комаров. Через 10 мин с камерой через переходник соединяют пустой садок и в течение 10 мин регистрируют количество комаров, перелетевших из камеры в садок. Тестовый опыт. В камеру выпускают 25 особей комаров. После этого в нее помещают на 10 мин работающее средство или распыляют необходимое и рассчитанное его количество. Через 10 мин того, как средство убрали из камеры или после распыления, с ней через специальный переходник соединяют пустой садок и в течение 10 мин регистрируют количество комаров, перелетевших из камеры в садок.
Каждый опыт проводят в 3 повторностях. О наличии репеллентного эффекта в опытах на влет судят по соотношению количества комаров, влетевших в обработанную (опыт) и необработанную камеру (контроль), в опытах на вылет - по соотношению количества комаров, вылетевших в пустой садок из обработанной (опыт) и необработанной (контроль) камеры. Показатель эффективности. Репеллентный эффект признают достаточным при уменьшении влета и увеличении вылета комаров в 2 и более раз.
4.7.2. Методы оценки эффективности репеллентных средств и изделий в отношении блох в лабораторных условиях. Используют два метода:
Определение эффективности репеллентных средств в ольфактометре. На полоски фильтровальной бумаги или бязи размером 1,5 x 14,5 см наносят 0,2 см
3 испытываемых средств. При испытаниях средств в аэрозольной упаковке с пропеллентом его сначала выпускают из баллона в пробирку, на тесты наносят после выхода пропеллента. Каждое средство испытывают в трех повторностях. В качестве эталона используют раствор ДЭТА в этиловом спирте в концентрации, соответствующей эталону предполагаемой категории эффективности. Контрольные полоски пропитывают 0,2 см
3 растворителя. Опыты начинают через 1 сутки после обработки. Испытания проводят аналогично методу, описанному в
п. 4.2.8.2.
Определение эффективности репеллентных средств и изделий в стеклянных цилиндрах. Из бязи изготавливают тесты в виде полосок размером 50 x 1 см. На полоски карандашом наносят отметки длины теста 15 и 20 см от нижнего края. На расстоянии 15 см от нижнего края тест обрабатывают испытываемым средством (прикрепляют изучаемый образец размером 5 x 1 см). Испытания проводят аналогично методу, описанному в
п. 4.2.8.2.
4.7.3. Методы оценки эффективности репеллентных средств в отношении муравьев. Оценку репеллентной активности проводят на муравьях рода Formica в натурных условиях в период их активности (весна - осень). Каждое средство испытывают не менее 3 испытателей не менее чем в 3 повторностях (всего 9 повторностей).
4.7.3.1. Метод оценки эффективности репеллентных средств в отношении муравьев при нанесении на кожу. Изучаемое средство наносят на обнаженную голень испытателя. Испытатели должны избежать попадания муравьев под одежду: надеть носки с плотной резинкой закатать брюки так, чтобы они плотно прилегали к ноге выше колена. Испытания начинают сразу после нанесения средства. Ногу в обуви ставят на то место около муравейника, где наблюдается скопление насекомых. Муравьи заходят на обувь, после чего поднимаются вверх на носок к обработанной голени и ползут по ней вверх. Регистрируют число муравьев, проползших участок, обработанный средством (от носка до колена). Рассчитывают КОД по
формуле 4.7. С целью определения ДРД опыт повторяют через каждые 30 мин до тех пор, пока КОД сохраняется не менее 70%. Показатель эффективности. КОД для муравьев - не менее 95%.
4.7.3.2. Метод оценки эффективности репеллентных средств в отношении муравьев при нанесении на одежду. Из бязи изготавливают "тестовые штанины" площадью 0,5 м
2 и обрабатывают их средством из расчета 20 г/м
2. Испытания начинают после полного высыхания ткани (примерно через 1 ч). Обработанную "тестовую штанину" надевают на ногу испытателя, заправляя в носок, чтобы избежать попадания муравьев под одежду. Ногу в обуви ставят на то место около муравейника, где наблюдается скопление насекомых. Муравьи заходят на обувь, после чего поднимаются вверх на носок к обработанной "тестовой штанине" и ползут по ней вверх. Регистрируют число муравьев, проползших участок, обработанный репеллентным средством, длиной 50 см. Рассчитывают КОД по
формуле 4.7. С целью определения ДРД опыт повторяют до тех пор, пока КОД сохраняется не менее 70%. Показатель эффективности. КОД для муравьев - не менее 95%.
4.7.4. Методы оценки эффективности репеллентных средств в отношении иксодовых клещей. Оценку репеллентной активности в отношении иксодовых клещей проводят в лабораторных и натурных условиях. На основании лабораторных опытов делают предварительные выводы для последующей оценки эффективности средств в натурных условиях.
4.7.4.1. Метод оценки эффективности репеллентных средств в отношении иксодовых клещей при нанесении на ткань в лабораторных условиях. Из бязи изготавливают тесты в виде лент размером 70 x 10 см. Карандашом на каждом тесте делают отметки: на 5 см от нижнего края теста (место подсадки клеща), на 10 см от нижнего края (отметка 0 - начало обработанной части теста) и далее через каждые 10 см до отметки 60 см. Тест закрепляют на впитывающей поверхности (ткань, фильтровальная бумага и т.п.), прикрыв полиэтиленом нижние 10 см. Затем эту поверхность с тестом закрепляют вертикально и обрабатывают аэрозолем в норме расхода, рекомендованной для его применения (как правило, 20 г/м
2 поверхности). После обработки тест открепляют и просушивают не менее 1 ч. Опыты начинают в день обработки. Тесты закрепляют под углом 70° к горизонту: используют специальное приспособление для закрепления теста или нижний конец теста закрепляют пластырем на столе, а верхний - на стене, примыкающей к столу. Опыт проводят не менее чем с 30 самками. Клещей по одному помещают на 5 см ниже нулевой отметки и наблюдают за их передвижением вверх по ткани, дополнительно стимулируя их пальцем наблюдателя, который держат на расстоянии 0,5 см от хоботка (гнатосомы). Регистрируют число клещей, проползших участок, обработанный репеллентным средством, длиной 50 см. На контрольном тесте, как правило, все клещи проползают отмеченную зону. После испытаний клещей помещают в 70% раствор этилового спирта с целью их консервации или в пробирки дифференцированной влажности для дальнейшего наблюдения за ними. Рассчитывают КОД по
формуле 4.7. Для определения ДРД испытания повторяют ежедневно до тех пор, пока КОД сохраняется равным или выше 95%. Показатели эффективности. КОД для иксодовых клещей - не менее 95%. ДРД для иксодовых клещей - не менее 3 суток.
4.7.4.2. Метод оценки эффективности репеллентных средств в отношении иксодовых клещей при нанесении на ткань в натурных условиях. Испытания средств проводят с использованием "тестовых штанин" имитирующих предметы одежды (площадь каждой около 0,5 м
2). Обработку средством проводят способом (замачивание в эмульсии, распыление эмульсии, распыление из аэрозольной или беспропеллентной упаковки) и в нормах расхода, рекомендованных для его применения. Испытатели в надетых на брюки "тестовых штанинах" ходят по лесу в биотопах с высокой численностью клещей и наблюдают за самками, которые прицепляются к "тестовым штанинам" в районе щиколотки. Каждый опыт проводят не менее чем с 30 самками. Регистрируют число клещей, прицепляющихся "тестовым штанинам" с растений, и число клещей, проползших по "тестовым штанинам" выше 50 см. Рассчитывают КОД по
формуле 4.7. Для определения ДРД испытания повторяют ежедневно до тех пор, пока КОД сохраняется равным или выше 95%. Показатели эффективности. КОД для иксодовых клещей - не менее 95%. ДРД для иксодовых клещей - не менее 3 суток.
4.7.5. Метод оценки эффективности репеллентных средств от кровососущих гамазовых клещей. Оценку эффективности репеллентных средств в отношении голодных самок крысиного клеща проводят по методу, разработанному для иксодовых клещей
(п. 4.7.4.1), оценивают отрицательную локомоторную реакцию клеща на границе обработанного участка. Опыт проводят не менее чем в 3 повторностях, используя не менее 30 клещей в каждой. КОД рассчитывают по
формуле 4.7. Для определения ДРД испытания повторяют до тех пор, пока КОД сохраняется равным или выше 70%. Показатель эффективности. КОД для крысиных клещей - не менее 95%.
4.8. Методы оценки эффективности инсектоакарицидных средств
индивидуальной защиты людей от нападения иксодовых
клещей, блох и других членистоногих, защитных свойств
тканей, содержащих инсектоакарициды
4.8.1. Инсектоакарицидные (акарицидные) средства для обработки одежды, снаряжения представлены концентратами эмульсии, аэрозольными и беспропеллентными упаковками, а также специальными брусками (карандашами, мелками и т.п.). Содержащие инсектоакарициды ткани используют для пошива специальной одежды для защиты от кровососущих насекомых и клещей. Клещи рода Ixodes являются основными переносчиками возбудителей природно-очаговых трансмиссивных инфекций на территории России, поэтому исследования должны быть проведены на наиболее устойчивом к воздействию акарицидов виде клещей этого рода - таежных клещах. Выводы, сделанные на основе испытаний в отношении таежных клещей, допустимо распространять на лесных клещей и указывать в тексте этикетки (для быта) назначение: для защиты от иксодовых клещей - переносчиков возбудителей клещевого энцефалита и боррелиозов. Указание на клещей других родов (Dermacentor, Haemaphysalis, Hyalomma) - переносчиков других инфекций (крымская геморрагическая лихорадка, риккетсиозы и т.д.) - возможно только после испытаний на видах иксодовых клещей, являющихся основными переносчиками этих инфекций. В тексте этикетки (для быта) на инсектоакарицидные средства индивидуальной защиты людей от нападения иксодовых клещей указывают: "Нарушение правил поведения и способа применения средства может привести к присасыванию клещей. Будьте внимательны!". На основании лабораторных опытов можно делать только предварительные выводы, для окончательных выводов необходимо оценить эффективность средств и тканей в натурных условиях или провести практические испытания.
4.8.2. Метод оценки эффективности инсектоакарицидных средств для обработки одежды в отношении иксодовых клещей в лабораторных условиях. Из бязи изготавливают один контрольный и 3 опытных теста в виде лент размером (70 x 10) см. Карандашом на каждом тесте делают отметки: на 5 см выше нижнего края теста (место подсадки клеща), на 10 см выше нижнего края (отметка 0 - начало обработанной части теста) и далее через каждые 10 см до отметки 60 см. Опытные тесты закрепляют на впитывающей поверхности (ткань, фильтровальная бумага и т.п.), прикрыв полиэтиленом нижние 10 см тестов. Затем эту поверхность с тестами закрепляют вертикально и обрабатывают испытываемым средством в соответствии с рекомендуемой нормой расхода (как правило, 20 г/м
2 поверхности). После обработки тесты открепляют и просушивают. Для испытаний акарицидных брусков средством наносят полосы в соответствии с рекомендациями по применению на расстоянии 10 см от нижнего края теста (над отметкой 0). Испытания начинают через 1 сутки после подготовки тестов. Оценку эффективности (защитного действия) проводят в лаборатории на самках таежного клеща. Тесты закрепляют под углом 70° к горизонту: используют специальное приспособление для закрепления теста или нижний конец теста закрепляют пластырем на столе, а верхний - на стене, примыкающей к столу. Клещей по одному помещают на 5 см ниже нулевой отметки и наблюдают за их передвижением вверх по ткани, дополнительно стимулируя их пальцем наблюдателя, который держат на расстоянии 0,5 см от хоботка (гнатосомы). Регистрируют время от момента пересечения клещом нижней черты обработанного участка до отпадения клеща с теста, что соответствует времени наступления состояния нокдауна (КТ, мин). Одновременно регистрируют максимальную высоту подъема клеща по тесту (МВ, см). Отпавших клещей помещают в 70%-й раствор этилового спирта с целью их фиксации или в пробирку дифференцированной влажности для проверки обратимости нокдауна. Нокдаун признают обратимым, если клещи способны удерживаться и ползти вверх по ткани через 15, 30, 60 мин или 24 ч после регистрации нокдауна. Опыт повторяют не менее чем с 10 самками на каждом из трех опытных тестов. Рассчитывают среднее значение времени наступления состояния нокдауна (КТ
ср), среднюю максимальную высоту подъема каждого клеща по тесту (МВ
ср). Определение индекса скорости присасывания (ИСП) проводят по
п. 4.2.7.2. Для установления длительности защитного действия проводят повторные испытания до снижения показателей КТ
ср и МВ
ср ниже нормативного. Длительность защитного действия и указания на обратимость нокдауна клещей приводят в эксплуатационной документации. Показатели эффективности. Для иксодовых клещей: КТ
ср - не более 5 мин, МВ
ср - не более 50 см, ИСП - не более 1,1.
4.8.3. Метод оценки защитных свойств тканей, содержащих инсектоакарициды, в отношении иксодовых клещей в лабораторных условиях. Из бязи изготавливают контрольный тест в виде ленты размером (70 x 10) см. Для подготовки опытных тестов из изучаемой ткани площадью 2 м
2 вырезают из разных мест 3 теста в виде лент размером (70 x 10) см. На нижние 10 см опытных тестов наклеивают чистую бязь. Рекомендуется использовать клей (клеящий карандаш), запах которого после высыхания не вызывает отпугивания клещей. Карандашом на каждом тесте делают отметки: на 5 см от нижнего края теста (место подсадки клеща), на 10 см от нижнего края (отметка 0 - начало испытываемой ткани) и далее через каждые 10 см до отметки 60 см. Оценку защитных свойств ткани проводят аналогично методу изучения эффективности средств, предназначенных для защиты людей от нападения иксодовых клещей
(п. 4.8.2). Показатели эффективности. Для иксодовых клещей: КТ
ср - не более 5 мин; МВ
ср - не более 50 см; ИСП - не более 1,1.
4.8.4. Метод оценки эффективности инсектоакарицидных средств для обработки одежды в отношении иксодовых клещей в натурных условиях. Испытания проводят на изготовленных из бязи "тестовых штанинах" (площадь каждой около 0,5 м2), имитирующих предметы одежды. Изучаемым средством их обрабатывают в норме расхода, рекомендованной для его применения. Испытания начинают через 1 сутки после обработки "тестовых штанин". При изучении эффективности испытатели в надетых на брюки "тестовых штанинах" ходят по лесу в биотопах с высокой численностью клещей и наблюдают за самками, которые прицепляются к "тестовым штанинам" в районе щиколотки. Регистрируют время наступления состояния нокдауна и отпадения клещей с "тестовой штанины" (КТ, мин), максимальную высоту их подъема по ткани (МВ, см), отсчитывая от уровня щиколотки. Каждый опыт проводят на трех "тестовых штанинах" не менее чем с 30 самками. Рассчитывают среднее значение времени наступления состояния нокдауна (КТср), среднюю максимальную высоту подъема каждого клеща по тесту (МВср). Для установления длительности защитного действия опыты повторяют до снижения показателей КТср и МВср ниже нормативных. Длительность защитного действия указывают при описании свойств средства в эксплуатационной документации. Показатели эффективности. Для иксодовых клещей: КТср - не более 5 мин, МВср - не более 50 см.
4.8.5. Метод оценки эффективности инсектоакарицидных средств для обработки одежды в отношении блох. Исследования выполняют в лабораторных условиях на голодных крысиных блохах. Из бязи изготавливают контрольный тест в виде полоски размером (50,0 x 1,5) см.
Контрольный тест не должен соприкасаться с опытными тестами или руками, загрязненными инсектоакарицидами! Для изготовления опытных тестов ткань размером (60 x 10) см закрепляют на впитывающей поверхности (ткань, фильтровальная бумага и т.п.). Поверхность с тестом закрепляют вертикально и обрабатывают испытываемым средством в соответствии с рекомендуемой нормой расхода (как правило, 20 г/м
2). После полного высыхания обработанной ткани (1 ч) из разных ее участков вырезают 3 опытных теста в виде полосок размером (50,0 x 1,5) см. На полоски карандашом наносят отметки длины теста (5, 10, 15, 20 см и т.д.). Испытания начинают через 1 сутки после подготовки тестов. Оценку активности блох лабораторной культуры проводят непосредственно перед оценкой эффективности средства, используя контрольный тест. К центру внутренней поверхности стеклянной крышки от чашки Петри (диаметр около 9 см) приклеивают крючок из проволоки или канцелярской скрепки, к которому подвешивают контрольный тест. В стеклянный цилиндр высотой 70 см и диаметром 8 см помещают 30 блох. Цилиндр ставят в центр таза с высокими бортами (не менее 20 см) для дополнительной страховки от рассеивания блох, поскольку из него блохи выбраться не могут. Закрывают цилиндр крышкой, помещая контрольный тест в центр цилиндра так, чтобы нижний край теста на 1 см не достигал дна. Блохи впрыгивают на контрольный тест, передвигаются по нему вверх и достигают крышки. Показателем достаточной активности блох является нахождение через 5 мин на контрольном тесте и крышке более 90% блох, помещенных в цилиндр. После проверки активности блох собирают эксгаустером и уничтожают (кипятком, в морозильной камере и т.п.). Для оценки эффективности средства в цилиндр помещают новую группу блох из 30 особей, затем - опытный тест, включают секундомер и наблюдают за поведением блох. Блохи должны запрыгивать на опытный тест и отпадать с него на дно цилиндра в результате наступления состояния нокдауна, выражающегося для блох в невозможности подпрыгивать и ползти вверх. Регистрируют количество блох, находящихся на тесте через 5 мин после начала опыта (КБ5) и высоту подъема 3 блох, поднявшихся по тесту выше др. особей (МВ). После окончания каждого опыта блох собирают эксгаустером и через воронку помещают в стеклянные пробирки для учета состояния насекомых (подвижность, смертность) через 15 мин, 1 и 24 ч после начала опыта. По этим результатам судят об обратимости нокдауна. Затем этих блох уничтожают. Каждый опыт проводят на 3 тестах и трех группах блох (повторности). Для установления длительности инсектицидного действия опыты повторяют до снижения показателей КБ5
ср и МВ
ср ниже нормативных. Обратимость нокдауна и длительность инсектицидного действия средства указывают при описании свойств средства в эксплуатационной документации. Показатели эффективности. Для блох: КБ5
ср - не более 3 особей; МВ
ср - не более 20 см.
4.8.6. Метод оценки защитных свойств тканей, содержащих инсектоакарициды, в отношении блох. Из бязи изготавливают контрольный тест в виде полоски размером (50,0 x 1,5) см.
Контрольный тест не должен соприкасаться с опытными тестами или руками, загрязненными инсектоакарицидами! Из изучаемой ткани, содержащей инсектоакарициды, площадью 1 м
2 вырезают из разных мест 3 опытных теста в виде полосок размером (50,0 x 1,5) см. На тесты карандашом наносят отметки длины теста (5, 10, 15, 20 см и т.д.). Оценку активности блох и защитных свойств ткани проводят аналогично методу изучения эффективности средств, предназначенных для защиты людей от нападения блох
(п. 4.8.5). Показатели эффективности. КБ5
ср - не более 3 особей; МВ
ср - не более 20 см.
4.8.7. Метод оценки эффективности инсектоакарицидных средств в отношении комаров. Исследования проводят только в натурных условиях, где есть неограниченное количество комаров, нападающих на человека для кровососания. Для опытов необходима высокая численность нападающих комаров. Из бязи изготавливают 3 контрольных теста размером (70 x 30) см.
Контрольные тесты не должны соприкасаться с опытными тестами или руками, загрязненными инсектоакарицидами! Для подготовки опытных тестов на стене в хорошо проветриваемом помещении закрепляют чистую бязь размером (70 x 90) см. Изучаемым средством в виде аэрозоля равномерно обрабатывают ткань в норме расхода, рекомендованной для его применения (как правило, 20 г/м
2 поверхности). После полного высыхания обработанной ткани (1 ч) ее разрезают на 3 опытных теста размером (70 x 30) см. Испытания начинают через 1 сутки после обработки тестов. Тестами покрывают всю поверхность кисти и предплечья 3 испытателей. Для закрепления ткани используют канцелярские резиновые кольца. Ткань теста должна без натяжения прилегать к предплечью, на кисти руки допустимо натяжение ткани. Сначала регистрируют количество укусов комаров через ткань контрольных тестов за 10 мин. После опыта с контрольными тестами аналогично проводят эксперименты с опытными тестами, регистрируя количество укусов комаров через ткань за 10 мин. Каждый опыт проводят на 3 тестах разные испытатели (повторности). КЗД рассчитывают по
формуле 4.7. Для установления длительности защитного действия испытания повторяют до снижения показателя КЗД ниже нормативного. Длительность защитного действия на ткани указывают при описании свойств средства в эксплуатационной документации. Показатель эффективности. КЗД - не менее 95%.
4.8.8. Метод оценки эффективности (защитных свойств) тканей, содержащих инсектоакарициды, в отношении комаров. Исследования проводят только в натурных условиях, где есть неограниченное количество комаров, нападающих на человека для кровососания. Для опытов необходима высокая численность нападающих комаров. Из бязи изготавливают 3 контрольных теста размером (70 x 30) см.
Контрольные тесты не должны соприкасаться с опытными тестами или руками, загрязненными инсектоакарицидами! Из изучаемой ткани площадью 2 м
2 вырезают из разных мест 3 опытных теста такого же размера, что и контрольные тесты. Оценку активности насекомых и защитных свойств ткани проводят аналогично методу оценки эффективности инсектоакарицидных средств в отношении комаров, мошек и др. летающих кровососущих насекомых, описанному в
п. 4.8.7. Показатель эффективности. КЗД - не менее 95%.
4.9. Метод оценки эффективности инсектоакарицидных средств
для обработки природных биотопов с целью уничтожения
иксодовых клещей
4.9.1. Оценку эффективности средств для борьбы с иксодовыми клещами в природных биотопах проводят только в натурных условиях на экспериментальных площадках в природных биотопах. Изучение акарицидной активности средств проводят на территории, где отмечена высокая численность клещей (не менее 20 особей на 1 км маршрута при стандартном учете численности клещей флагом), в период подъема или пика численности. Для таежных клещей этот период приходится на середину апреля - первую половину июня. В период падения численности клещей испытания акарицидов не проводят.
4.9.2. Для испытаний на выбранной территории размечают квадратные площадки размером (10 x 10) м, площадью 0,01 га: 3 площадки контрольные и по 3 площадки на каждую испытываемую норму расхода средства. Контрольные площадки располагают так, чтобы исключить попадание на них акарицидов (занос ветром во время обработок, стоком воды при дождях). По периметру каждой опытной площадки намечают нейтральную полосу шириной 1 м. Вместе с нейтральной полосой размер каждой площадки составляет (12 x 12) м, площадь около 0,0144 га. С целью увеличения количества клещей на площадке в центр каждой из них подсаживают не менее 30 клещей (15 самок и 15 самцов), собранных на флаг на территории, не подвергавшейся обработке акарицидами.
4.9.3. Опыт начинают на следующие сутки после разметки площадок и подсадки клещей. Обработку опытных площадок, включая нейтральную полосу, проводят рабочими растворами испытываемого средства в предполагаемых концентрациях или рекомендованных в проекте инструкции по применению. Площадки обрабатывают из любых опрыскивателей, обеспечивающих мелкокапельное распыление. Обработку проводят так, чтобы обеспечить равномерное покрытие средством всей площадки с нейтральной полосой из расчета 100 дм3 рабочей жидкости на 1 га.
4.9.4. Учеты клещей проводят одновременно на контрольных и опытных площадках (без нейтральной полосы) перед обработкой, через 3, 10, 20 и 30 суток после обработки. Учеты проводят в утренние часы после схода росы. Если погода пасмурная, без заметного повышения полуденных температур, учеты можно проводить и днем. Для учета на опытных площадках и в контроле используют разные флаги, которые должны быть соответственно маркированы.
4.9.5. На каждой контрольной площадке при первом учете должно быть зарегистрировано не менее 10 клещей. Отсутствие на ней клещей или их меньшее количество свидетельствует о плохом качестве выполнения опытов и должен быть рассмотрен вопрос о повторении опыта на другой территории.
4.9.6. На каждой площадке учет проводят челночным ходом так, чтобы суммарная длина маршрута составляла не менее 0,1 км, желательно - 0,2 км (10 - 20 параллельных или 5 - 10 перпендикулярных ходов на площадке). Пойманных клещей возвращают в центр площадки.
4.9.7. Для подтверждения длительности акарицидного действия подстилки на каждую площадку за 3 суток до учетов, на 10, 20 и 30 сутки дополнительно подсаживают по 30 клещей (15 самок и 15 самцов), собранных на флаг на территории, не подвергавшейся обработке акарицидами.
4.9.8. Расчет эффективности средства в каждой норме расхода проводят по
формуле 4.8 для каждого срока обследования. Показатели эффективности. Эффективность на 3 сутки - не менее 95%, длительность остаточного действия при сохранении эффективности не менее 95% - не менее 30 суток.
4.10. Методы оценки защитных свойств специальной одежды
для защиты от кровососущих насекомых и клещей
4.10.1. Одежда данного типа должна быть эффективной (защищать от различных групп членистоногих) и безопасной для человека. Испытания проводят в соответствии с методическими
рекомендациями <11>. Оценку защитных свойств одежды по отношению к различным членистоногим проводят по указанным в этих документах показателям. В соответствии с результатами испытаний в отношении различных групп членистоногих определяют сферу применения защитной одежды. Характеристику защитных свойств одежды (длительность, спектр, полноту защитного действия от разных групп членистоногих) указывают при описании ее свойств в эксплуатационной документации. В испытаниях участвуют не менее 4 человек: двое испытателей одеты в испытываемую защитную одежду, двое контрольных испытателей - в обычную (незащитную) одежду из хлопчатобумажной или смесовой ткани, по которой иксодовые клещи и блохи передвигаются без затруднений и которую прокусывают комары.
--------------------------------
<11>
МР 3.5.0026-11 "Методические рекомендации по оценке эффективности и безопасности специальной одежды для защиты людей от членистоногих, вредящих здоровью человека";
ГОСТ Р 12.4.296.
4.10.2. Метод оценки защитных свойств одежды в отношении иксодовых клещей. Испытания одежды по отношению к иксодовым клещам проводят в период активности клещей в природных очагах клещевых инфекций, где численность клещей составляет более 50 половозрелых особей/флаго-км. Все испытатели должны быть одеты так, чтобы клещи не могли проникнуть под одежду.
4.10.2.1. Испытатели и контрольные испытатели передвигаются (примерно 150 - 200 м за 2 мин) в местах с высокой численностью клещей и каждые 2 мин останавливаются и проводят само- и взаимоосмотры. Клещей, прицепившихся к одежде контрольных испытателей, учитывают (показатель A) и снимают с одежды как потенциально опасных. Клещей, прицепившихся к защитной одежде испытателей, не снимают с одежды, но наблюдают за ними. Наблюдения за клещами на защитной одежде помогают проводить контрольные испытатели.
4.10.2.2. Если клещи подползают к месту возможного проникновения к телу под одежду (ворот рубашки или край капюшона) их снимают и учитывают как проникших под одежду, т.е. как потенциально опасных (показатель B). Если в начале испытания (наблюдения за первыми 10 клещами) таких клещей 3 или более, то испытания прекращают и испытываемую одежду признают неэффективной.
4.10.2.3. В конце испытания все испытатели выходят из леса на участок, лишенный растительности (дорога и т.д.), и тщательно проводят само- и взаимоосмотры на наличие клещей. Особенно тщательно осматривают поверхности под воротником, под капюшоном, под мышками и в складках одежды.
4.10.2.4. Клещей, найденных на контрольных испытателях, учитывают, их количество суммируют с количеством клещей, снятых с одежды ранее (показатель A).
4.10.2.5. За клещами, найденными на испытателях в защитной одежде, наблюдают в течение тестового времени (период, за который прицепившиеся к одежде клещи могут достичь мест возможного их проникновения под одежду). Клещей учитывают как показатель B, если они продолжают двигаться по защитной одежде более тестового времени, которое составляет 10 мин для клещей родов Ixodes, Dermacentor, Rhipicephalus, Haemaphysalis и 5 мин для клещей рода Hyalomma. Испытания проводят не менее 2 ч в день. Одно испытание может продолжаться несколько дней.
4.10.2.6. Испытание считают законченным, когда суммарное количество клещей (самок и самцов), прицепившихся к одежде контрольных испытателей, будет не менее 100 особей. Всех собранных и учтенных клещей помещают в емкость с 70%-м раствором этанола.
4.10.2.7. Коэффициент защитного действия от клещей (далее - КЗД
клещи) рассчитывают по
формуле 4.7. Длительность защитного действия одежды (далее - ДЗД
клещи) равна числу месяцев, в течение которых КЗД
клещи сохраняется на уровне 98% и более. В промежутках между испытаниями одежда должна находиться в расправленном виде в проветриваемом помещении.
4.10.2.8. Если защитные свойства одежды сохраняются весь период сезонной активности клещей, то ее испытания могут быть продолжены на следующий сезон; вне сезона активности клещей одежду хранят в соответствии с рекомендациями по ее использованию.
4.10.2.9. Спектр защитного действия (далее - СЗДклещи) от клещей оценивают в баллах:
1 балл - одежда защищает только от клещей рода Ixodes;
2 балла - одежда защищает от клещей родов Ixodes, Dermacentor, Rhipicephalus, Haemaphysalis;
3 балла - одежда защищает от клещей родов Ixodes, Dermacentor, Rhipicephalus, Haemaphysalis, Hyalomma.
Показатель эффективности. КЗДклещи - не менее 98%.
4.10.3. Метод оценки защитных свойств одежды в отношении летающих кровососущих насекомых (гнуса). Испытания одежды по отношению к летающим кровососущим насекомым (комарам, мошкам, мокрецам, слепням и др.) проводят в местах с высокой или средней численностью гнуса в период его массового нападения.
4.10.3.1. Испытания проводят в период максимальной суточной активности насекомых не менее 2 ч в день по отношению к максимальному количеству групп нападающих насекомых.
4.10.3.2. Коэффициент защитного действия для каждой фаунистической группы насекомых, формирующей комплекс гнуса (КЗД
гнуса), рассчитывают по
формуле 4.7. Оценку проводят отдельно для закрытых одеждой частей тела и для открытых частей тела (как правило, кисти рук и голова). Длительность защитного действия одежды (ДЗД
гнуса) равна числу месяцев, в течение которых КЗД
гнуса для каждой группы насекомых сохраняется на уровне 90% и более.
4.10.3.3. Полноту защитного действия (ПЗДгнуса) тела человека от укусов насекомых оценивают в баллах:
1 балл - одежда защищает только часть туловища человека;
2 балла - одежда защищает целиком туловище, руки и ноги человека, укусам подвергаются голова и кисти рук;
3 балла - одежда защищает целиком туловище, руки, ноги и голову человека, укусам подвергаются только кисти рук;
4 балла - одежда защищает человека целиком.
4.10.3.4. Спектр защитного действия (СЗДгнуса) от укусов насекомых оценивают в баллах:
1 балл - одежда защищает только от комаров;
2 балла - одежда защищает от комаров, мокрецов и мошек;
3 балла - одежда защищает от комаров, мокрецов, мошек, слепней и других насекомых.
Показатель эффективности. КЗДгнуса - не менее 90%.
4.10.4. Методы оценки защитных свойств одежды в отношении блох. Испытания в отношении блох проводят в лабораторных условиях, в местах их массового нападения: на городских объектах (например, подвальные помещения) или на территориях, находящихся за границами природного очага, но в природных биотопах, схожих по ландшафту и биоценотическим особенностям с природными очагами чумы.
4.10.4.1. Метод оценки защитных свойств одежды в отношении блох в лабораторных условиях. Испытатель и контрольный испытатель опускают руки в длинных рукавах (кисти рук защищают резиновыми перчатками) в две разные (опыт и контроль) высокие банки объемом 10 дм3 с узким горлом, в каждой из которых находятся по 10 голодных блох. Наблюдения проводят в течение 10 мин. После подъема блох по рукаву до горловины банки их снимают мягким пинцетом и возвращают в банку. Всего проводят не менее 10 опытов в день, чтобы общее число блох, прицепившихся к обычной одежде (показатель A), было не менее 100.
4.10.4.2. Метод оценки защитных свойств одежды в отношении блох в натурных условиях на городских объектах. Испытатели и контрольные испытатели передвигаются в местах с высокой численностью блох (подвальное помещение) и каждые 5 мин останавливаются для само- и взаимоосмотров. Блох, обнаруженных на обычной одежде, учитывают как показатель A и сразу снимают пинцетом с одежды. После регистрации блох, прицепившихся к защитной одежде, за ними наблюдают в течение 10 мин и тех насекомых, что продолжают двигаться дольше, учитывают как показатель B. Эксперимент проводят, пока число блох, напавших на контрольных испытателей, будет не менее 100 особей. Всех собранных и учтенных блох помещают в емкость с 70%-м раствором этанола.
4.10.4.3. Метод оценки защитных свойств одежды в отношении блох в натурных условиях в природных биотопах. Испытания проводят в весенне-летний период на участках, заселенных норовыми млекопитающими, с высокой численностью блох во входах нор (индекс обилия не менее 0,5). При более низком индексе обилия блох во входах возможна раскопка норы до обнаружения гнезда прокормителя блох - места сосредоточения основной массы норовых эктопаразитов. Каждый испытатель садится у входа норы (или раскопанного гнезда), упираясь в него коленями. Учитывают число напавших насекомых и время их нахождения на одежде. Эксперимент проводят до тех пор, пока число блох, напавших на контрольных испытателей, будет не менее 50 особей. Коэффициент защитного действия (КЗД
блохи) рассчитывают по
формуле 4.7. Блох, проникших под защитную одежду, быть не должно. В случае обнаружения блох на теле человека или укусов блох защитная одежда признается неэффективной. Длительность защитного действия одежды (ДЗД
блохи) равна числу месяцев, в течение которых КЗД
блохи составляет не менее 98%. Показатель эффективности. КЗД
блохи - не менее 98%.
4.11. Методы оценки прокусываемости (устойчивости
к прокусыванию) тканей кровососущими комарами
4.11.1. Метод оценки прокусываемости тканей комарами в лабораторных условиях. В сетчатый садок размером 30 x 30 x 30 см выпускают 50 +/- 5 самок комаров. Такие условия соответствуют высокой численности комаров. Испытания начинают через 30 мин после запуска комаров. Перед началом испытаний в садок помещают предплечье (кисть руки защищают резиновой перчаткой) и проводят контрольный учет: в течение 1 мин учитывают количество укусов комаров за предплечье. Активность комаров считают достаточной, если за это время зарегистрировано не менее 10 укусов. Тестами из испытываемой ткани размером (70 x 30) см покрывают всю поверхность предплечья каждого испытателя, кисти рук защищают резиновыми перчатками. Ткань теста должна без натяжения прилегать к предплечью. Для закрепления ткани используют канцелярские резиновые кольца. Регистрируют количество укусов комаров через ткань тестов за 10 мин. Каждый опыт проводят в 9 повторностях (3 испытателя по 3 повторности).
4.11.2. Метод оценки прокусываемости тканей комарами в натурных условиях. Перед опытами 3 испытателя проводят учет интенсивности нападения комаров по методу А.В. Гуцевича "на себе". Для опытов необходима высокая или средняя численность нападающих комаров. Изучение прокусываемости тканей в натурных условиях проводят аналогично методу, описанному в
п. 4.11.1.
4.11.3. Показатель эффективности. Ткань считают не прокусываемой комарами, если при испытаниях в 9 повторностях зарегистрировано не более 3 укусов комаров через ткань.
4.12. Методы оценки биологической повреждаемости материалов
и изделий насекомыми
4.12.1. Влияние насекомых на промышленное сырье, материалы и изделия может существенно изменить их потребительские свойства, снизить качество, а в ряде случаев привести к полному их разрушению или нарушению их работы вплоть до выхода из строя. Для оценки биоповреждаемости синантропными тараканами изделий и материалов используют полигоны (широкогорлые стеклянные емкости 10 дм3 или другие соответствующего испытываемому изделию размера), внутри которых размещают образцы. Для обеспечения жизнедеятельности тараканов в полигон помещают полнорационные корма (сухой корм для собак или комбикорм для лабораторных грызунов) и поилку с водой.
4.12.2. Метод оценки защиты изделий от проникновения насекомых внутрь корпусов. В полигон помещают рыжих тараканов инсектарного разведения, используя не менее 300 особей на 1 полигон (100 самцов, 100 самок (из них 50 - с оотеками), 100 личинок IV - V возраста). Перед помещением изделия в полигон каждый образец взвешивают и оценивают работоспособность (например, для пожарных извещателей - отсутствие самопроизвольного срабатывания при отсутствии дыма). Повторность опыта трехкратная. Испытания проводят в течение 1 месяца, проводя учеты с интервалом в 7 суток. Фиксируют проникновение тараканов внутрь изделия и степень его заселенности, места локализации насекомых внутри корпуса, работоспособность изделия. При проведении обследований образцов изделий соблюдают строгую очередность операций для минимизации влияния экспериментатора на чистоту эксперимента: взвешивание изделия (образец аккуратно извлекают из полигона и помещают в полиэтиленовый пакет во избежание разбегания тараканов), проверка работоспособности согласно инструкции на изделие, обследование внутреннего объема корпуса и отдельных узлов изделия (корпус изделия вскрывают и помещают в эмалированный таз с обмазанными вазелином краями, проникновение и локализацию тараканов внутри корпуса определяют визуально путем подсчета количества тараканов, видимых экспериментатором во время осмотров внутреннего объема, фиксируют наличие экскрементов и др. продуктов жизнедеятельности). После проведения всех этапов обследования корпус изделия закрывают и возвращают его обратно в полигон, куда высыпают и разбежавшихся во время осмотра тараканов.
4.12.3. Метод оценки биоповреждаемости материалов и сырья. Оценку проводят с использованием синантропных тараканов трех видов (рыжий, черный, американский). Полигоны (широкогорлые стеклянные емкости 10 л) подготавливают аналогичным способом. В каждой повторности используют по 100 рыжих, 50 американских или черных тараканов (взрослые особи в соотношении полов 1 : 1, личинки старших возрастов), помещая тараканов каждого вида в отдельные полигоны. В полигоны помещают образцы материалов размером не менее 2 - 3 фрагментов размером (10 x 10) см, располагая их с небольшим зазором относительно друг друга. Предварительно образцы маркируют и взвешивают. Повторность опыта трехкратная. Учеты проводят в течение 1 месяца с интервалом в 7 суток. Оценивают визуально использование образцов тараканами в качестве источника питания и воздействие насекомых на материал, не связанное с процессом питания, но приводящее к разрушению (степень и динамика заселенности тараканами наружных (лицевых и оборотных) и торцевых сторон и промежутков между образцами, наличие мест закладки оотек, погрызы и выщипы, наличие иных следов жизнедеятельности на поверхности образцов). По окончании срока наблюдения проводят оценку степени механического разрушения образцов при воздействии тараканов путем сбора и взвешивания кусочков материала, скопившегося на дне экспериментальных сосудов (в абсолютном выражении и в мг/особь), или путем оценки потери массы образцов относительно начальной.
При исследовании повреждения материалов муравьями разных видов подготавливают образцы материалов (полиуретан или минеральную вату или др. материал разрезают на куски (5 x 5 x 5) см, при испытании тканей - нарезают ткань и обшивают ею кубики из поролона или др. материала (5 x 5 x 5) см). Опыт проводят в трех повторностях. Пластиковые контейнеры объемом 1 дм3 (малый) смазывают блеском для губ по верхнему краю для предотвращения ухода насекомых и помещают в них по 100 рабочих особей, 10 самок и расплод, поилку с водой (стеклянная химическая пробирка с водой, укупоренная ватным тампоном вровень с горлом) и пищу (мед). По 2 - 4 малых контейнера с муравьями помещают в большие контейнеры объемом 8 - 10 л, смазанные блеском для губ аналогичным образом по верхнему краю для предотвращения ухода насекомых края контейнеров (2 линия защиты от ухода насекомых). Учеты проводят еженедельно в течение 1 месяца. Оценивают заселенность каждой из поверхностей образцов. Визуально оценивают использование образцов в качестве пищи и воздействие, не связанное с процессом питания, но приводящее к разрушению (ходы, погрызы, выщипы), заселенность муравьями наружных и торцевых сторон и промежутков между образцами. По окончании срока наблюдения образцы очищают твердой кисточкой от продуктов жизнедеятельности муравьев, взвешивают на электронных аналитических весах с точностью взвешивания до 1 мг, сравнивают с первоначальной массой и производят вычисление убыли массы образца. Оценивают степень механического разрушения образцов.
При исследовании повреждения материалов гусеницами моли и личинками кожееда (ГОСТ 9.055) подготавливают исследуемые образцы тканей (нарезают ткань на куски (10 x 10) см и вырезают кружки диаметром 9 см). Взвешивают каждый кружок ткани, помещают его в чашку Петри. Прикрепляют экспозиметр с помощью банковской резинки к чашке Петри, прижав образец к дну чашки. Гусениц моли или личинок кожееда (по 20 - 50 особей) подсаживают в экспозиметр на испытуемый материал, чашки Петри с образцами материалов и насекомыми содержат в термостате. Опыт проводят в трех повторностях. Учеты проводят через 14 суток. Образцы жесткой кисточкой очищают от продуктов жизнедеятельности насекомых и отдельных нитей, волокон; взвешивают на электронных аналитических весах с точностью взвешивания до 1 мг. Вычисление убыли массы образца проводят при сравнении с первоначальной массой. Оценивают степень механического разрушения образцов. Визуальную оценку повреждения проб производят в баллах (0 - повреждения не обнаружены; 1 - незначительные повреждения поверхности ткани, малозаметное повреждение ворса; 2 - выгрызы с краев, борозды на поверхности, заметное уничтожение ворса; 3 - сквозные отверстия). Испытуемый образец считают устойчивым к повреждению молью, если средняя потеря массы проб (10 гусениц в течение 14 сут.) не более: для камвольных тканей - 4 мг; для суконных тканей - 7 мг; а визуальная оценка повреждения проб соответствует баллам 0 или 1.
4.13. Метод оценки потенциального воздействия
на членистоногих различными установками/приборами
4.13.1. Оценивают влияние разных факторов (УФ-излучение, высокие температуры, ультразвук, воздействие модифицированной атмосферы - повышенное содержание в атмосфере азота, сниженное содержание кислорода, влияние озона и пр.), вырабатываемых установками/приборами, на жизнеспособность членистоногих различных видов. В экспериментах используют рыжих тараканов, постельных клопов, блох, мух, комаров, вшей, крысиных клещей, клещей домашней пыли, выбирая объект в зависимости от назначения прибора и целей исследования.
4.13.2. Эксперименты проводят в отдельном лабораторном помещении, соответствующем безопасной эксплуатации установки/прибора. Установку/прибор выводят на рабочий режим согласно инструкции по применению. В зависимости от функционального назначения установки/прибора членистоногих размещают в пределах зоны воздействия разными способами, наиболее приближенными к моделированию натурных условий. Мелких членистоногих размещают в емкостях открыто или упаковывают в бязевые мешочки размером (5 x 5) см, мух и комаров - в садках размером (10 x 10 x 10) см, затянутых сеткой, рыжих тараканов в открытых емкостях (банках) или в садках размером (10 x 10 x 10) см, затянутых сеткой. Клещей домашней пыли помещают вместе с пищевым субстратом (обезжиренная ацетоном человеческая щетина с добавлением сухих дрожжей) в открытой посуде (чашки Петри) или в пакетах из фильтровальной бумаги и в бязевых мешочках. Количество особей на одну повторность - от 10 до 30 в зависимости от вида членистоногого. Повторность опыта трехкратная. Контролем служат размещенные аналогичным образом членистоногие, не подвергавшиеся воздействию установки/прибора.
4.13.3. После окончания экспозиции членистоногих вынимают из зоны воздействия установки/прибора и помещают в условия, необходимые для нормальной жизнедеятельности конкретного вида. Тараканов, клопов, мух и комаров оставляют в лабораторном помещении при комнатной температуре, клещей домашней пыли, вшей, блох помещают в термостат температуре 27 °C и относительной влажности воздуха 80%.
4.13.4. Учеты поражения и гибели членистоногих проводят сразу по окончании экспозиции, а затем через 1 - 6, 24 - 48 ч и более. Подбор эффективного режима проводят в серии опытов, варьируя экспозицию, расстояние от источника воздействия и т.п.
4.14. Метод оценки изделий/приборов/установок
для механического отлова летающих насекомых
4.14.1. Оценивают эффективность отлова насекомых различными изделиями/приборами/установками, в т.ч. с применением высокого напряжения, УФ-излучения, выделения аттрактанта, собирающих токов воздуха и т.д. Опыты проводят в обеспечивающем безопасную эксплуатацию лабораторном помещении: для изделий, предназначенных для использования в помещениях, - согласно рекомендациям производителя (объемом не менее 25 м3), для изделий, предназначенных для применения на открытом воздухе, - в помещении большого объема (150 - 200 м3).
4.14.2. Эксперимент проводят на комнатных мухах и кровососущих комарах. Изделие/прибор/установку выводят на рабочий режим согласно инструкции по применению, в помещение выпускают 1000 особей мух или комаров без разделения по полу, помещение закрывают.
4.14.3. Учеты эффективности отлова проводят через 3 - 6 и 24 ч в зависимости от назначения прибора, оценивая количество отловленных особей в емкости для сбора.
4.14.4. При невозможности учета отловленных насекомых в связи с конструкцией прибора визуально оценивают количество оставшихся в помещении особей, численность кровососущих комаров оценивают методом А.В. Гуцевича "на себе" до начала эксперимента и после экспозиции.
4.15. Оценка эффективности инсектицидных, акарицидных
и репеллентных средств при проведении испытаний
в практических условиях
4.15.1. Испытания дезинфекционных средств в практических условиях проводят специалисты организаций, занимающихся дезинфекционной деятельностью, на объектах различного профиля, включая природные станции, с использованием имеющегося в распоряжении служб оборудования.
4.15.2. Практические испытания проводят на заселенных целевыми членистоногими объектах различного назначения (помещения и природные станции) в разных регионах, отличающихся климатическими, географическими условиями, видовым составом и сезонной динамикой численности членистоногих и др. При проведении этих испытаний определяют эффективность средства в отношении доминирующих видов членистоногих в зависимости от климатических условий региона и уровня чувствительности природных популяций членистоногих к инсектицидам, определяют длительность остаточного действия средства при использовании его в разных климатических зонах, пригодность для обработки серийной стандартной аппаратурой, возможность рекомендовать его для использования населением.
4.15.3. Практические испытания проводят в соответствии с разработанными программой проведения практических испытаний и инструкцией по их проведению, разработанными для каждого испытываемого средства специалистами (энтомологами, биологами, паразитологами, врачами, гигиенистами). В инструкцию включают общие сведения о средстве (состав полностью, класс опасности, для каких целей предназначено); способ применения; рабочие концентрации и нормы расхода средства в отношении каждой группы членистоногих, для которых средство предназначено; методики учетов эффективности обработок; меры предосторожности при работе со средством и меры первой помощи при случайном отравлении. К инструкции прилагают формы необходимой документации (акты, анкеты, опросные листы и др.), которые заполняют специалисты практических организаций, непосредственно проводивших испытания средства. В анкетах указывают наличие целевой эффективности средства, отмечают наличие или отсутствие побочных явлений у людей, проводивших обработки, пользовавшихся средством или находившихся в обработанных объектах и др. в зависимости от целей испытаний.
4.16. Методы определения резистентности членистоногих
к инсектоакарицидам
4.16.1. Оценка резистентности членистоногих к инсектицидам основана на сравнении показателей токсичности ДВ для членистоногих природных популяций с аналогичными показателями для чувствительной расы. Природной популяцией считают совокупность особей членистоногих, обитающих в естественных условиях на конкретных объектах или территориях. Результаты, полученные в экспериментах на выборке особей из этой совокупности, могут быть распространены на данную популяцию. За чувствительную расу принимают стандартную лабораторную культуру членистоногих либо (при отсутствии лабораторной культуры) членистоногих, собранных на объектах, не подвергавшихся прессу инсектицидных обработок.
4.16.2. Способы сбора и культивирования членистоногих из природных популяций. В зависимости от вида членистоногого и количества единовременно доступных особей из природной популяции эксперименты проводят или непосредственно на собранном материале, или закладывают культуру для получения в лаборатории необходимого объема материала в следующих поколениях. Членистоногие, собранные на объектах, должны быть размещены в помещении, отдельном от помещения для культивирования чувствительной расы членистоногих этого же вида. В экспериментах используют членистоногих по
п. 4.1.1. Идентификацию видовой принадлежности проводят специалисты-энтомологи с помощью соответствующих систематической группе определителей. При работе с природными и лабораторными членистоногими соблюдают необходимые меры предосторожности
(п. 4.1.1.3).
Рыжие тараканы. Отлов насекомых на объектах проводят с помощью ловушек-накопителей (предпочтительны стеклянные емкости 0,5 дм3), в которых отловленные тараканы остаются живыми. Перед расстановкой ловушек их края с внутренней стороны смазывают тонким слоем вазелина, на дно помещают приманку (хлеб с подсолнечным маслом или пивом). Ловушки расставляют в местах обитания тараканов на 48 - 72 ч. Всех отловленных на одном объекте насекомых помещают в емкости для культивирования с укрытиями из картона в виде гармошек, кормом и водой. Емкости маркируют и выдерживают до появления достаточного количества самок, после чего закладывают поколение F1 (20 - 30 самок с оотеками на емкость 10 дм3). Каждое следующее поколение закладывают аналогичным образом по мере созревания самок предыдущей генерации. Для проведения опытов отбирают самцов рыжих тараканов в возрасте 5 - 15 дней после имагинальной линьки или самок до выдвижения оотеки.
Личинки кровососущих комаров. Личинок комаров собирают в природных биотопах или в подвалах домов, отлавливая их стандартным водным сачком диаметром 20 см, маленьким сачком для лабораторных работ или кюветой согласно методическим указаниям <12>.
--------------------------------
<12>
МУ 3.5.2.705-98 "Борьба с комарами, выплаживающимися в подвальных помещениях";
МУ 3.2.974-00 "Малярийные комары и борьба с ними на территории Российской Федерации".
Комнатные мухи. Имаго комнатных мух отлавливают в помещениях или около мест яйцекладки, используя сачок или ловушки-мухоловки, в которых насекомые остаются живыми. Личинок (куколки) комнатных мух собирают в местах их развития. Мух из одной точки помещают в один марлевый садок и далее вводят в культуру стандартным методом.
Вши. Вшей собирают с одежды зараженных вшами людей, обратившихся в санпропускник, согласно
п. 4.5. В лабораторных условиях вшей из природных популяций не культивируют.
Постельные клопы. Насекомых (взрослые особи и личинки) собирают в местах обитания, осматривая кровати, диваны, обратную сторону околокроватных ковров, места отхождения обоев и пр. Вводят в культуру стандартным методом при питании на лабораторных мышах.
Иксодовые клещи. Самок клещей отлавливают на флаг в природном биотопе не ранее чем за сутки до проведения опыта. Собранных клещей хранят во влажных бинтах при температуре плюс (10 +/- 2) °C.
| | ИС МЕГАНОРМ: примечание. В официальном тексте документа, видимо, допущена опечатка: имеется в виду формула 4.3, а не 3. | |
4.16.3. Приготовление растворов инсектицидов проводят по
п. 4.1.4. При проведении опытов используют контроль качества биоматериала, внося в результаты поправки по формуле Аббота (
формула 3 при гибели в контроле от 5% до 20% особей; при гибели в контроле более 20% особей опыт не учитывают). Расчет среднесмертельных концентраций и доз проводят по
п. 4.1.5. (графический метод с применением пробит-логарифмической бумаги,
формулы 4.5,
4.6). За ДК (%) принимают удвоенную величину СК
95 (99), %, чувствительной расы. Справочные величины СК
50, СК
95, СК
99 для инсектицидов из различных химических групп, полученные на стандартных чувствительных инсектарных расах S-НИИД членистоногих различных видов, и рассчитанные на их основе ДК приведены ниже в
разделах 4.16.4 -
4.16.10 и в
таблицах 4.1 -
4.15.
4.16.4. Критерии оценки уровня чувствительности членистоногих к инсектоакарицидам. Оценка чувствительности членистоногих при использовании диагностической (дискриминирующей) концентрации (ДК). Экспресс-оценка чувствительности членистоногих, предложенная ВОЗ, основана на применении метода топикального нанесения ДК и может быть выполнена на ограниченном количестве отловленных в природных условиях особях членистоногих (30 однородных особей). Популяцию считают чувствительной, если в эксперименте погибло 100% особей. При отсутствии 100% гибели при воздействии ДК популяцию характеризуют долей устойчивых особей (доля оставшихся в живых особей в процентах).
Оценка уровня чувствительности членистоногих при использовании показателя резистентности. Для более полной оценки уровня чувствительности членистоногих необходимо большое количество однородного биоматериала (не менее 100 однородных особей). Оценку проводят методом топикального нанесения инсектицидов при последующем сравнении величин СК
50 (СК
95, СК
99) для чувствительной расы и для конкретной природной популяции. Определяют показатель резистентности (далее - ПР) по
формуле 4.19:

(4.19)
В зависимости от величины ПР у природной популяции фиксируют:
ПР 1 - 2 - чувствительность;
ПР 3 - 10 - толерантность;
ПР 11 - 30 - среднюю резистентность;
ПР 31 - 100 - высокую резистентность;
ПР более 100 экстремально высокую резистентность.
Критерий наличия резистентности рыжих тараканов при использовании метода контакта с обработанной инсектицидом стеклянной поверхностью: увеличение показателя КТ99 (время проявления состояния нокдауна у 99% особей) в 1,5 и более раз по сравнению с чувствительной расой.
Критерий наличия резистентности рыжих тараканов при скармливании отравленных приманок: замедление времени проявления симптомов отравления в 1,5 и более раз по сравнению с чувствительной расой.
4.16.5. Методы определения уровня чувствительности к инсектицидам рыжих тараканов.
Метод топикального нанесения применяют на анестезированных насекомых по
п. 4.2.1.1. Определяют величины СК
50, СК
95 и ДК, %.
Метод контакта тараканов с обработанной инсектицидами стеклянной поверхностью. Данный метод непригоден для установления уровня резистентности к ДВ инсектицидов, обладающих низкой контактной активностью, например, гидраметилнону, сульфторамидам, неоникотиноидам, пирролам. Опыты проводят в стеклянных биологических пробирках по
п. 4.2.1.4. Учитывают время наступления нокдауна (пиретроиды) или состояния паралича (ФОС и др.) для каждого насекомого в опыте. Определяют величины КТ
50 и КТ
99 и диагностическое время, мин.
Метод определения кишечного воздействия. Данным методом определяют уровень чувствительности имаго рыжих тараканов к ДВ, обладающим выраженным кишечным действием и не имеющим репеллентного действия в отношении этих насекомых. Метод непригоден для пиретроидов. Опыты проводят по
п. 4.2.4.2. Определяют величины ЛТ
50 и ЛТ
95 (сутки) - время, за которое обеспечивается поражение 50% (95%) насекомых.
Таблица 4.1
Величины СК50 и СК95 инсектицидов для самцов рыжих тараканов
лабораторной чувствительной расы S-НИИД и ДК (метод
топикального нанесения, учет через 24 ч)
Соединение | СК50, % | СК95, % | ДК, % |
1 | 2 | 3 | 4 |
Хлорорганические соединения |
ДДТ | 2,00 | 6,60 | 13,20 |
Метоксихлор | 4,66 | 8,00 | 16,00 |
Фосфорорганические соединения |
ДДВФ | 0,018 | 0,054 | 0,108 |
Диазинон | 0,020 | 0,033 | 0,066 |
Малатион | 0,080 | 0,500 | 1,000 |
Фенитротион | 0,017 | 0,030 | 0,060 |
Хлорофос | 1,400 | 2,600 | 5,200 |
Хлорпирифос | 0,020 | 0,040 | 0,080 |
Фентион | 0,032 | 0,045 | 0,090 |
Производные карбаминовой кислоты |
Метомил | 0,032 | 0,100 | 0,200 |
Пропоксур | 0,029 | 0,062 | 0,124 |
Бендиокарб | 0,018 | 0,045 | 0,090 |
Карбарил | 0,220 | 0,650 | 1,300 |
Пиретроиды, не содержащие CN-группу |
Бифентрин | 0,0015 | 0,004 | 0,008 |
d-Фенотрин | 0,020 | 0,200 | 0,400 |
Имипротрин | 0,032 | 0,064 | 0,128 |
Перметрин | 0,012 | 0,042 | 0,084 |
Праллетрин | 0,012 | 0,030 | 0,060 |
Тетраметрин | 0,230 | 0,350 | 0,700 |
d-Тетраметрин | 0,090 | 0,200 | 0,400 |
Пиретроиды, содержащие CN-группу |
Альфациперметрин | 0,00030 | 0,0012 | 0,0024 |
Циперметрин | 0,00120 | 0,0070 | 0,0140 |
Дельтаметрин | 0,00085 | 0,0022 | 0,0044 |
Цифенотрин | 0,00540 | 0,0150 | 0,0300 |
Флуметрин | 0,00580 | 0,0150 | 0,0300 |
Фенвалерат | 0,00360 | 0,0060 | 0,0120 |
Аминогидразоны |
Гидраметилнон* | 0,30 | 1,50 | 3,00 |
Фенилпиразолы* |
Фипронил* | 0,00015 | 0,0004 | 0,0008 |
Пирипрол* | 0,00016 | 0,0004 | 0,0008 |
Неоникотиноиды* |
Имидаклоприд* | 0,0110 | 0,0450 | 0,0900 |
Тиаметоксам* | 0,0023 | 0,0052 | 0,0104 |
Ацетамиприд* | 0,0250 | 0,0500 | 0,1000 |
Клотианидин* | 0,0023 | 0,0100 | 0,0200 |
Авермектины** |
Аверсектин C* | 0,0007 | 0,0020 | 0,004 |
Абамектин* | 0,0010 | 0,0046 | 0,009 |
Гемисукцинат авермектина B1 | 0,0035 | 0,0094 | 0,020 |
Ивермектин | 0,0026 | 0,0190 | 0,040 |
Пирролы** |
Хлорфенапир | 0,010 | 0,037 | 0,074 |
Оксадиазины** |
Индоксакарб | 0,0022 | 0,005 | 0,010 |
Изоксазолины** |
Флураланер | 0,0001 | 0,0006 | 0,0012 |
Примечание: * - учет через 48 ч; ** - учет через 72 ч.
Таблица 4.2
Уровень чувствительности самцов рыжих тараканов лабораторной
чувствительной расы S-НИИД к инсектицидам при контакте
с обработанной в дозе 20 мкг/см2 стеклянной поверхностью
Соединение | КТ50, мин | КТ99, мин | Диагностическое время, мин, (КТ99 x 1,5) |
Циперметрин | 4,02 +/- 0,97 | 6,81 +/- 2,28 | 10,2 |
Хлорпирифос | 31,08 +/- 3,30 | 38,60 +/- 3,27 | 57,9 |
Фипронил | 150,65 +/- 4,04 | 190,68 +/- 5,61 | 286,0 |
Таблица 4.3
Уровень чувствительности самцов рыжих тараканов лабораторной
чувствительной расы S-НИИД к инсектицидам при кишечном
воздействии
Соединение | Концентрация ДВ, % | Время поражения тараканов |
ЛТ50, сутки | ЛТ95, сутки |
Гидраметилнон | 2,00 | 3,03 | 6,16 |
Имидаклоприд | 2,15 | 1,53 | 3,20 |
Пропоксур | 2,00 | 2,80 | 9,66 |
Хлорпирифос | 0,20 | 0,75 | 1,05 |
Фипронил | 0,05 | 0,53 | 1,40 |
4.16.6. Методы определения уровня чувствительности к инсектицидам вшей.
Метод определения доли устойчивых к инсектицидам особей вшей. Используют ДК, предложенные Всемирной организацией здравоохранения (далее - ВОЗ), по
п. 4.5.1. Определяют долю устойчивых особей в микропопуляции.
Определение скорости поражения вшей при контакте с обработанной поверхностью. Опыты проводят по
п. 4.5.4 (используют фильтровальную бумагу или бязь). Определяют КТ
50, КТ
99 и диагностическое время, равное (КТ
99 x 2), мин. Об устойчивости вшей к инсектицидам судят по замедлению их реакции на инсектицид (возрастанию показателей КТ
50 и КТ
99, мин).
Метод полимеразной цепной реакции в режиме реального времени. Исследования проводят на вшах (головных и платяных), собранных с зараженных людей. Насекомых фиксируют в 96%-м этиловом спирте или замораживают при минус 70 °C. В одной географической точке желательно исследовать не менее 30 - 50 особей каждого подвида вшей. У вшей выявлены три точечные мутации - M815I (ATG/ATT), T917I (ACA/ATA) и L920F (CTT/TTT), приводящие к трем заменам аминокислотных остатков во втором домене

потенциал-зависимого натриевого канала. Для выявления резистентных к пиретроидам особей в популяциях вшей наиболее часто используют метод ПЦР в режиме реального времени для выявления мутаций, в первую очередь T917I. Подробное описание подготовки проб и проведения ПЦР в режиме реального времени приведены в
Приложении 7 к настоящему руководству.
Таблица 4.4
ДК инсектицидов для вшей (по данным ВОЗ)
Соединение | ДК, % |
Перметрин | 0,206 |
d-Фенотрин | 1,107 |
Малатион | 2,020 |
Таблица 4.5
Диагностическое время для чувствительной расы платяных вшей
при контакте с обработанной фильтровальной бумагой (бязью)
Соединение | Концентрация, % | КТ50, мин | КТ99, мин | Диагностическое время (КТ99 x 2), мин |
Перметрин | 0,206 | 24,8 | 47,3 | 95 |
d-Фенотрин | 1,107 | 63,9 | 109,3 | 218 |
Малатион | 2,02 | 31,7 | 51,0 | 102 |
Фентион | 0,15 | 45,5 | 80,3 | 160 |
4.16.7. Метод определения уровня чувствительности к инсектицидам постельных клопов.
Метод топикального нанесения. Опыты проводят по
п. 4.2.1.1. Определяют величины СК
50 и СК
95, % и диагностические концентрации инсектицидов.
Метод полимеразной цепной реакции. Для исследования используют постельных клопов
Cimex lectularius, собранных с разных объектов. Насекомых фиксируют в 96%-м этиловом спирте или замораживают при минус 28 °C. Методом полимеразной цепной реакции определяют наличие у клопов мутаций L419V и I925L, отвечающих за резистентность к пиретроидам. Подробное описание подготовки проб и проведения ПЦР приведены в
Приложении 8 к настоящему руководству.
Таблица 4.6
Величины СК50 и СК95 инсектицидов для постельных клопов
лабораторной чувствительной расы S-НИИД и ДК (метод
топикального нанесения, учет через 24 ч)
Соединение | СК50, % | СК95, % | ДК, % |
1 | 2 | 3 | 4 |
Фосфорорганические соединения |
Диазинон | 0,00026 | 0,0045 | 0,009 |
Малатион | 0,00037 | 0,0030 | 0,006 |
Хлорпирифос | 0,00019 | 0,0067 | 0,014 |
Хлорофос | 0,00900 | 0,7000 | 1,400 |
Фентион | 0,000007 | 0,00002 | 0,00004 |
Производные карбаминовой кислоты |
Пропоксур | 0,058 | 0,120 | 0,24 |
Бендиокарб | 0,016 | 0,116 | 0,23 |
Пиретроиды |
Тетраметрин | 0,0230 | 0,320 | 0,640 |
d-Тетраметрин | 0,0190 | 0,200 | 0,400 |
Имипротрин | 0,0019 | 0,014 | 0,028 |
Перметрин | 0,0056 | 0,015 | 0,030 |
Бифентрин | 0,000003 | 0,00004 | 0,00008 |
Циперметрин | 0,000003 | 0,00004 | 0,00008 |
Дельтаметрин | 0,000004 | 0,00004 | 0,00008 |
Альфациперметрин | 0,00000003 | 0,0000006 | 0,0000012 |
Лямбда-цигалотрин | 0,0000072 | 0,0000240 | 0,000048 |
Эсфенвалерат | 0,0000012 | 0,0001000 | 0,000200 |
Неоникотиноиды |
Имидаклоприд | 0,0002 | 0,0007 | 0,0012 |
Ацетамиприд | 0,0003 | 0,0024 | 0,0048 |
Тиаметоксам | 0,0002 | 0,0006 | 0,0012 |
Клотианидин | 0,00001 | 0,0006 | 0,0012 |
4.16.8. Метод определения уровня чувствительности к инсектицидам крысиных блох. Метод не рекомендуется для установления уровня чувствительности блох к неоникотиноидам, пирролам и др., величина СК50 которых для блох составляет более 1% ДВ.
Метод групповой подсадки на вертикально расположенную фильтровальную бумагу. Опыты проводят по
п. 4.2.1.4. Определяют величины СК
50 и СК
95, % и ДК инсектицидов.
Метод групповой подсадки на горизонтально расположенную фильтровальную бумагу. Опыты проводят по
п. 4.2.1.4. Определяют величины СК
50 и СК
95, % и диагностические концентрации инсектицидов.
Для соединений группы пиретроидов проводят аналогичные опыты, определяя показатели нокдаун-эффекта КТ99 (мин).
Таблица 4.7
Величины СК50 и СК95 инсектицидов для крысиных блох
лабораторной чувствительной расы S-НИИД и ДК (метод
групповой подсадки на вертикально расположенную
импрегнированную фильтровальную бумагу,
экспозиция 1 ч, учет через 24 ч)
Соединение | СК50, % | СК95, % | ДК, % |
Хлорорганические соединения |
ДДТ | 0,016 | 0,030 | 0,060 |
Фосфорорганические соединения |
Азаметифос | 0,100 | 0,165 | 0,330 |
Малатион | 0,018 | 0,030 | 0,060 |
Хлорофос | 0,076 | 0,160 | 0,320 |
Хлорпирифос | 0,010 | 0,023 | 0,046 |
Фентион | 0,003 | 0,007 | 0,014 |
Фенитротион | 0,002 | 0,005 | 0,010 |
Диазинон | 0,003 | 0,008 | 0,016 |
Производные карбаминовой кислоты |
Метомил | 0,0020 | 0,010 | 0,020 |
Пропоксур | 0,0043 | 0,011 | 0,022 |
Пиретроиды |
Пиретроиды, не содержащие CN-группу |
Эсбиотрин | 0,020 | 0,048 | 0,096 |
Эмпентрин | 0,006 | 0,016 | 0,032 |
Фенотрин | 0,030 | 0,056 | 0,112 |
Тетраметрин | 1,035 | 1,500 | 3,000 |
Перметрин | 0,005 | 0,040 | 0,080 |
Имипротрин | 0,480 | 2,300 | 4,600 |
Пиретроиды, содержащие CN-группу |
Дельтаметрин | 0,00030 | 0,0021 | 0,0042 |
Альфациперметрин | 0,00064 | 0,0025 | 0,0050 |
Циперметрин | 0,00120 | 0,0087 | 0,0170 |
Цифенотрин | 0,00250 | 0,0100 | 0,0200 |
Фенилпиразолы |
Фипронил | 0,014 | 0,030 | 0,060 |
Таблица 4.8
Величины СК50, СК95 и СК99 (мкг ДВ/см2) инсектицидов
для крысиных блох лабораторной чувствительной расы S-НИИД
и ДК (мкг ДВ/см2) (метод групповой подсадки на горизонтально
расположенную импрегнированную фильтровальную бумагу,
экспозиция 1 ч, учет через 48 ч)
Соединение | СК50 | СК95 | СК99 | ДК (СК99 x 2) |
d-фенотрин | 0,60 | 2,70 | 5,00 | 10,0 |
Перметрин | 0,80 | 3,00 | 5,50 | 11,0 |
Циперметрин | 0,50 | 2,50 | 5,00 | 10,0 |
| 0,17 | 0,45 | 0,70 | 1,4 |
Дельтаметрин | 0,05 | 0,25 | 0,50 | 1,0 |
Лямбда цигалотрин | 0,06 | 0,30 | 0,50 | 1,0 |
Цифенотрин | 0,06 | 0,25 | 0,50 | 1,0 |
Фентион | 0,80 | 2,50 | 4,50 | 9,0 |
Хлорпирифос | 0,30 | 1,20 | 2,50 | 5,0 |
Малатион | 1,60 | 4,50 | 6,50 | 13,0 |
Пропоксур | 0,40 | 2,20 | 4,50 | 9,0 |
Бендиокарб | 0,30 | 1,50 | 2,50 | 5,0 |
Карбарил | 10,0 | 35,0 | 60,0 | 120,0 |
Фипронил* | 0,70 | 1,50 | 1,80 | 3,6 |
Примечание: * - для фенилпиразолов учет через 72 ч.
Таблица 4.9
Показатели нокдаун-эффекта КТ99 (мин) для крысиной блохи
лабораторной чувствительной расы S-НИИД на фильтровальной
бумаге, импрегнированной пиретроидами
Соединение | Плотность нанесения, мкг ДВ/см2 |
100 | 10 | 1 | 0,1 | 0,01 |
Перметрин | 10,07 +/- 1,31 | 13,88 +/- 2,08 | 32,08 +/- 9,63 | 56,18 +/- 5,90 | > 60 |
d-фенотрин | 12,52 +/- 1,50 | 17,57 +/- 2,60 | 27,82 +/- 6,70 | 42,65 +/- 10,41 | > 60 |
Тетраметрин | 8,25 +/- 0,25 | 9,55 +/- 0,35 | 12,15 +/- 0,15 | 15,75 +/- 0,25 | 21,15 +/- 1,15 |
Цифенотрин | 9,85 +/- 0,40 | 12,60 +/- 1,20 | 20,65 +/- 0,85 | 36,05 +/- 0,55 | 40,85 +/- 1,45 |
Лямбда цигалотрин | - | 12,71 +/- 0,26 | 14,87 +/- 0,54 | 16,60 +/- 0,12 | 23,55 +/- 0,87 |
Дельтаметрин | - | 14,75 +/- 2,65 | 26,25 +/- 6,25 | 36,25 +/- 7,05 | 51,20 +/- 1,00 |
Циперметрин | 13,08 +/- 3,16 | 19,57 +/- 3,69 | 23,38 +/- 3,31 | 33,18 +/- 10,51 | > 60 |
| - | 8,90 +/- 1,45 | 18,95 +/- 2,38 | 32,33 +/- 4,03 | 55,50 +/- 6,69 |
4.16.9. Методы определения уровня чувствительности к инсектицидам комнатных мух.
Метод топикального нанесения по
п. 4.2.1.1 используют для установления уровня чувствительности комнатных мух к инсектицидам, обладающим выраженным контактным действием. Метод не применим для работы с соединениями, не обладающими контактным действием для данного вида насекомых, величина СК
95 которых превышает 1% ДВ (например, имидаклоприд, карбарил и др.). Определяют величины СК
50 и СК
95, % и ДК инсектицидов.
Метод определения кишечного воздействия. Опыты проводят по
п. 4.2.4.1. Определяют величины СК
50 и СК
95, мг/г сахара и ДК инсектицидов.
Таблица 4.10
Величины СК50 и СК95 инсектицидов для имаго комнатных мух
чувствительной расы Cooper и ДК (топикальное нанесение,
учет через 24 ч)
Соединение | СК50, % | СК95, % | ДК, % |
1 | 2 | 3 | 4 |
Хлорорганические соединения |
ДДТ | 0,320 | 0,890 | 1,78 |
Фосфорорганические соединения |
Азаметифос | 0,025 | 0,080 | 0,160 |
ДДВФ | 0,0008 | 0,0014 | 0,0028 |
Диазинон | 0,007 | 0,022 | 0,044 |
Малатион | 1,000 | 4,500 | 9,000 |
Фенитротион | 0,030 | 0,135 | 0,270 |
Хлорофос | 0,180 | 1,500 | 3,000 |
Хлорпирифос | 0,015 | 0,040 | 0,080 |
Фентион | 0,013 | 0,040 | 0,080 |
Производные карбаминовой кислоты |
Метомил | 0,015 | 0,040 | 0,080 |
Пропоксур | 0,055 | 0,140 | 0,280 |
Бендиокарб | 0,070 | 0,300 | 0,600 |
Пиретроиды |
d-Аллетрин | 0,020 | 0,074 | 0,148 |
Эсбиотрин | 0,004 | 0,011 | 0,022 |
Праллетрин | 0,006 | 0,032 | 0,064 |
Эмпентрин | 0,0080 | 0,022 | 0,044 |
Хлорэмпентрин | 0,0016 | 0,005 | 0,010 |
Метофлутрин | 0,0020 | 0,010 | 0,020 |
Трансфлутрин | 0,0007 | 0,002 | 0,004 |
Флуметрин | 0,0003 | 0,004 | 0,008 |
Тетраметрин | 0,012 | 0,550 | 1,100 |
d-Тетраметрин | 0,007 | 0,070 | 0,140 |
d-Фенотрин | 0,007 | 0,035 | 0,070 |
Перметрин | 0,0012 | 0,0045 | 0,009 |
Имипротрин | 0,047 | 0,105 | 0,210 |
Альфациперметрин | 0,000098 | 0,0006 | 0,0012 |
Циперметрин | 0,0006 | 0,0012 | 0,0024 |
Дельтаметрин | 0,000074 | 0,00035 | 0,0007 |
Цифенотрин | 0,0019 | 0,0070 | 0,0140 |
Цифлутрин | 0,0000125 | 0,00024 | 0,00048 |
Фенвалерат | 0,0130 | 0,115 | 0,230 |
Эсфенвалерат | 0,0033 | 0,011 | 0,022 |
Фенилпиразолы |
Фипронил | 0,00025 | 0,00082 | 0,00164 |
Пирипрол | 0,00013 | 0,00040 | 0,00080 |
Аминогидразоны |
Гидраметилнон** | 0,018 | 0,045 | 0,090 |
Неоникотиноиды |
Тиаметоксам* | 0,018 | 0,110 | 0,220 |
Ацетамиприд* | 0,110 | 1,180 | 2,360 |
Авермектины |
Абамектин | 0,0010 | 0,0036 | 0,0072 |
Аверсектин C | 0,00008 | 0,0017 | 0,0034 |
Гемисукцинат авермектина B1 | 0,0002 | 0,0009 | 0,0018 |
Ивермектин | 0,00019 | 0,0010 | 0,0020 |
Спиносины |
Спиносад | 0,005 | 0,025 | 0,05 |
Пирролы |
Хлорфенапир* | 0,0025 | 0,0050 | 0,01 |
Оксадиазины |
Индоксакарб** | 0,0030 | 0,0060 | 0,012 |
Изоксазолины** |
Флураланер | 0,0001 | 0,0005 | 0,0010 |
Примечание: * - учет через 48 ч; ** - учет через 72 - 96 ч.
Таблица 4.11
Величины СК50, СК95 инсектицидов для имаго комнатных мух
чувствительной расы Cooper и ДК (метод скармливания
отравленной приманки, учет через 48 ч)
Соединение | СК50, мг/г сахара | СК95, мг/г сахара | ДК, мг/г сахара |
Фосфорорганические соединения |
Хлорпирифос | 0,0092 | 0,048 | 0,096 |
Хлорофос | 0,200 | 0,800 | 1,600 |
Диазинон | 0,035 | 0,085 | 0,170 |
Фентион | 0,018 | 0,080 | 0,160 |
Фенитротион | 0,040 | 0,220 | 0,440 |
Азаметифос | 0,028 | 0,078 | 0,156 |
Производные карбаминовой кислоты |
Пропоксур | 0,230 | 2,600 | 5,200 |
Метомил | 0,032 | 0,140 | 0,280 |
Аминогидразоны |
Гидраметилнон** | 0,100 | 0,350 | 0,700 |
Фенилпиразолы |
Фипронил | 0,00033 | 0,0016 | 0,0032 |
Неоникотиноиды |
Имидаклоприд | 0,051 | 0,540 | 1,08 |
Тиаметоксам | 0,011 | 0,030 | 0,06 |
Ацетамиприд | 0,034 | 0,240 | 0,48 |
Авермектины |
Абамектин | 0,00024 | 0,0070 | 0,014 |
Авермектин C | 0,00026 | 0,0043 | 0,0086 |
Гемисукцианат авермектина B1 | 0,00028 | 0,00170 | 0,0034 |
Пирролы |
Хлорфенапир | 0,006 | 0,009 | 0,018 |
Оксадиазины |
Индоксакарб* | 0,013 | 0,060 | 0,120 |
Изоксазолины |
Флураланер | 0,00034 | 0,0015 | 0,003 |
Примечание: * - учет через 72 ч, ** - учет через 96 ч.
4.16.10. Методы определения уровня чувствительности к инсектицидам личинок кровососущих комаров. Опыты проводят по
п. 4.4.1.1 с использованием рекомендованных ВОЗ ДК ДВ инсектицидов
(табл. 4.12).
Таблица 4.12
ДК (мг/л) для личинок комаров (по данным ВОЗ)
Вид комаров | Соединение |
ДДТ | малатион | фенитротион | фентион | хлорпирифос | темефос |
Aedes aegypti | 0,012 | 0,125 | 0,020 | 0,025 | 0,002 | 0,012 |
Ae. caspius | 0,012 | 0,125 | - | 0,012 | - | - |
Culex pipiens | 0,004 | 0,050 | 0,025 | 0,0128 | 0,0020 | 0,002 |
Cx. tarsalis | 0,025 | - | - | - | - | - |
Anopheles hyrcanus | - | - | - | - | 0,025 | 0,025 |
An. sacharovi | 5,00 | - | - | 0,050 | 0,025 | 0,625 |
Таблица 4.13
Величины СК50, СК99 инсектицидов для личинок III - начала IV
возраста комаров Aedes aegypti и Ae. albopictus лабораторных
чувствительных рас и ДК (мг/л, учет через 24 ч)
Соединение | Aedes aegypti | Aedes albopictus |
СК50 | СК99 | ДК | СК50 | СК99 | ДК |
Фосфорорганические соединения |
Малатион | 0,016 | 0,060 | 0,120 | 0,015 | 0,060 | 0,120 |
Темефос | 0,003 | 0,010 | 0,020 | 0,003 | 0,008 | 0,016 |
Фентион | 0,004 | 0,013 | 0,026 | 0,005 | 0,015 | 0,030 |
Фенитротион | 0,004 | 0,015 | 0,030 | 0,004 | 0,016 | 0,032 |
Хлорофос | 0,020 | 0,200 | 0,400 | 0,030 | 0,220 | 0,440 |
Хлорпирифос | 0,00012 | 0,0006 | 0,0012 | 0,0002 | 0,0010 | 0,002 |
Пиретроиды |
Перметрин | 0,0011 | 0,0040 | 0,0080 | 0,0011 | 0,0040 | 0,0080 |
Циперметрин | 0,0005 | 0,0026 | 0,0052 | 0,0007 | 0,0030 | 0,0060 |
Альфациперметрин | 0,00025 | 0,0025 | 0,0050 | 0,00035 | 0,0017 | 0,0034 |
d-Цифенотрин | - | - | - | 0,0003 | 0,0008 | 0,0016 |
| 0,0012 | 0,0060 | 0,012 | 0,0005 | 0,0017 | 0,0034 |
Этофенпрокс | 0,0030 | 0,0075 | 0,015 | 0,0060 | 0,0130 | 0,026 |
Пирролы |
Хлорфенапир | 0,0020 | 0,0052 | 0,010 | 0,0030 | 0,0085 | 0,0170 |
Таблица 4.14
Величины СК50, СК95 микробиологических средств для личинок
III - начала IV возраста комаров рр. Aedes, Culex
и Anopheles лабораторных чувствительных рас и ДК
Ларвицид | Виды комаров | СК50, мг/л | СК95, мг/л | ДК, мг/л |
Бактицид | Ae. aegypti. | 0,024 | 0,045 | 0,090 |
Cx. p. molestus | 0,010 | 0,027 | 0,054 |
An. stephensi | 0,050 | 0,103 | 0,200 |
An. atroparvus | 0,130 | 0,600 | 1,800 |
Ларвиоль | Ae. aegypti | 0,0035 | 0,0067 | 0,0134 |
Cx. p. molestus | 0,0043 | 0,0084 | 0,0168 |
An. atroparvus | 0,0440 | 0,3000 | 0,6000 |
Антинат | Ae. aegypti | 0,0055 | 0,0080 | 0,0160 |
Cx. p. molestus | 0,0060 | 0,0130 | 0,0260 |
4.16.11. Метод определения уровня чувствительности к инсектоакарицидам иксодовых клещей. Опыты проводят методом топикального нанесения по
п. 4.2.1.1. Определяют величины СК
50 и СК
95, % и ДК инсектоакарицидов.
Таблица 4.15
Величины СК50, СК95 инсектоакарицидов и ДК для самок
таежного клеща I. Persulcatus
ДВ | СК50, % | СК95, % | ДК, % |
Циперметрин | 0,0015 | 0,0083 | 0,0170 |
Фентион | 0,000052 | 0,00086 | 0,0017 |
V. Методы исследований и критерии оценки эффективности
дератизационных средств
5.1. Условия, предъявляемые к дератизационным средствам
5.1.1. Дератизационные средства - это химические и физические средства умерщвления или отпугивания грызунов с целью снижения их численности. Химические средства включают в себя родентициды в различных формах выпуска, синергисты и роденторепелленты; физические - представляют собой механические устройства, умерщвляющие грызунов (давилки, капканы, клеевые ловушки), средства отлова однократного и многократного действия, ограничивающие передвижение грызунов (живоловки), а также отпугивающие электрические устройства (ультразвуковые излучатели, электрические барьеры).
5.1.2. По количественным и качественным характеристикам дератизационные средства существенно различаются. Основными показателями, которые используются для оценки действия дератизационных средств на грызунов, являются целевая эффективность и биологическая активность. Целевая эффективность представляет собой максимальную величину реакции грызунов определенного вида на воздействие дератизационных средств, которая может быть достигнута при их использовании. Важной и значимой характеристикой дератизационных средств является биологическая активность, которая определяет период продолжительности жизни грызуна от момента воздействия на него дератизационным средством до его гибели.
5.1.3. Дератизационные средства и рекомендуемые способы их применения должны удовлетворять следующим условиям:
- быть эффективными в отношении целевых видов грызунов;
- быть безопасными для человека и нецелевых видов животных;
- не обладать репеллентными свойствами (за исключением репеллентов);
- химические дератизационные средства должны иметь антидоты (
Приложение 9 к настоящему руководству);
- использование физических, в т.ч. механических, дератизационных средств требует соблюдения необходимых мер безопасности;
- средства дератизации должны внешне отличаться от пищевых продуктов, фуража, предметов домашнего обихода, лекарственных препаратов;
- родентицидные приманки для грызунов должны быть окрашены в яркий цвет во избежание несчастных случаев (отравление людей);
- в качестве пищевой основы приманок нельзя использовать недробленые семена подсолнуха и иные продукты, привлекательные для людей.
5.2. Условия оценки целевой эффективности и биологической
активности дератизационных средств
5.2.1. Оценку целевой эффективности и биологической активности дератизационных средств проводят в лаборатории и в естественных местах обитаниях грызунов (в натурных условиях).
5.2.2. В лабораторных условиях целевую эффективность и биологическую активность дератизационных средств оценивают на сытых или голодных грызунах при их одиночном или групповом содержании, а также в режимах принудительного или альтернативного эксперимента.
5.2.3. В естественных местах обитания грызунов уточняют режимы применения, сроки гибели и эффективность дератизационных средств.
5.3. Условия, предъявляемые к экспериментам по оценке
целевой эффективности и биологической активности
дератизационных средств
5.3.1. Эксперимент с использованием живых тест-объектов - потомков диких грызунов - является основным методом оценки целевой эффективности и биологической активности дератизационных средств. Качество эксперимента и его результаты зависят от вида экспериментальных животных, их физиологического состояния, условий их содержания и др. факторов. Поэтому организация воспроизводства и содержания экспериментальных животных является важнейшей задачей для исследования эффективности и активности дератизационных средств. В экспериментах используют только потомков диких грызунов целевых видов, выращенных в условиях вивария, - серых крыс (Rattus norvegicus), домовых мышей (Mus musculus), полевок обыкновенных (Microtus arvalis). Используют по возможности также те виды, которые являются главными объектами дератизационных мероприятий в населенных пунктах или природных очагах зоонозных инфекций. Диких грызунов для опытов не используют, т.к. они подвержены стрессам, могут содержать в организме антикоагулянт, могут быть заражены эктопаразитами, больны инфекционными болезнями или инвазиями, что окажет влияние на результаты экспериментов. Помимо этого, дикие грызуны плохо поедают предлагаемые корма и очень агрессивны.
5.3.2. При содержании и разведении целевых видов грызунов соблюдают все зоогигиенические и зоотехнические правила. В помещениях, где содержат грызунов, обеспечивают естественный световой режим, комнатную температуру 20 - 22 °C и стабильную относительную влажность воздуха 50 - 60%. В комнатах, где содержат животных, ежедневно проводят влажную уборку. Раз в неделю проводят дезинфекцию 2 - 5%-м раствором хлорамина или другими разрешенными для этих целей дезинфицирующими средствами. По показаниям осуществляют дезинсекцию против блох и гамазовых клещей. Борьбу с мухами ведут постоянно с помощью современных инсектицидных приманок. Кормят животных полноценным и разнообразным кормом. Основной рацион серых крыс составляет гранулированный животный корм. Используют также зерновую смесь и овощи. Домовых мышей кормят зерновыми смесями и гранулированным животным кормом. Подкармливают также зеленым кормом и корнеплодами. Полевок, адаптированных к условиям лабораторного содержания, кормят гранулированными растительными и животными кормами, но добавляют к рациону зеленые корма, корнеплоды, фрукты, зерно.
5.3.3. Лабораторное помещение для проведения эксперимента должно быть изолировано от других помещений вивария, иметь естественный световой режим, оптимальную температуру (20 - 22 °C) и стабильную относительную влажность воздуха (50 - 60%). Состав и качество корма остаются постоянными на протяжении опыта. При изучении эффективности отравленных приманок в качестве контроля используют альтернативный корм, не содержащий родентицидного средства. Во время эксперимента животным обеспечивают свободный доступ к воде и корму. Используют водопроводную воду без постороннего запаха и привкуса с pH 6.8 - 7.0. Конструкция автоматических поилок исключает загрязнение воды. Для определения уровня поедаемости корма используют два типа кормушек: подвесные и цилиндрические. Подвесные кормушки с кормом используют в металлических решетчатых клетках в соответствии с ГОСТ Р 9.804, подвешивая их на противоположные стенки клетки. Ежедневно их меняют местами для того, чтобы исключить привыкание грызунов к одному месту кормления. Цилиндрические кормушки используют в пластиковых клетках из полисульфона со съемным металлическим решетчатым верхом. Применение этих кормушек уменьшает загрязнение корма экскрементами и мочой грызунов, а также его растаскивание и повышает точность измерения (весовым методом) уровня поедаемости приманки. Кормушку фиксируют вертикально между решетчатым верхом и полом клетки. Грызуны достают корм через отверстие, выполненное в боковой поверхности цилиндра. Альтернативный корм и приманку раскладывают в разные кормушки. Для крыс альтернативного корма обычно дают не более 100 г, для мышей и полевок - не более 50 г. Полного съедания альтернативного корма не допускают. При съедании 2/3 его в кормушку добавляют новый корм, до первоначальной массы. Количество исследуемой приманки в кормушке зависит от ДВ. Приманку на антикоагулянтах I поколения кладут в кормушку по 100 г для крыс и по 50 г для мышей или полевок. Для оценки эффективности антикоагулянтов II поколения достаточно ежедневно давать на одного грызуна 15 - 25 г готовой приманки крысам, мышам или полевкам. В опыт отбирают здоровых грызунов, примерно одного возраста (2 - 6 месяцев) и массы тела (серые крысы 150 - 280 г; домовые мыши 20 - 30 г; серые полевки 18 - 28 г). Если не ставится задача специальных исследований, то в опытах не используют беременных или лактирующих самок. Грызунов, отобранных для опытов, не обрабатывают инсектицидами, антигельминтными препаратами, места их содержания не обрабатывают дезинфицирующими средствами. Перед началом эксперимента грызунов в течение 3 дней выдерживают для адаптации к новым условиям содержания и кормления.
5.3.4. Для экспериментов используют по 6 особей одного вида. При получении нечетких результатов опыты повторяют на 10 грызунах.
5.3.5. Действие отравленной приманки на грызунов определяют по четырем основным параметрам:
- срок исследования (сутки);
- поедаемость приманки (%);
- количество погибших (%);
- время гибели (сутки).
5.3.6. В качестве дополнительных параметров используют привлекательность приманки, изученную с помощью ольфактометра, а также количество поглощенного грызуном ДВ в миллиграммах и количество ДВ в пересчете на единицу массы тела (мг/кг). Вес грызуна и его изменение определяют в начале эксперимента и по его окончании.
5.3.7. Продолжительность экспериментов по оценке целевой эффективности и биологической активности средств дератизации соответствует следующим срокам исследования:
- не более 6 суток - для средств с ДВ острого характера действия;
- не более 14 суток - для средств с ДВ из группы антикоагулянтов I поколения;
- не более 10 суток - для средств с ДВ из группы антикоагулянтов II поколения;
- не более 14 суток - для средств с ДВ из группы витаминов D.
5.3.8. В целях государственной регистрации родентицидных средств показатели поедаемости приманок, их целевая эффективность и биологическая активность, сроки исследования должны соответствовать оценочным критериям эффективности дератизационных средств (
Приложение 9 к настоящему руководству).
5.3.9. Первичные результаты опытов фиксируют в рабочем журнале, а затем рассчитывают необходимые параметры. Выполнение процедуры и результаты испытаний оформляют в виде протокола.
5.4. Метод определения эффективности и биологической
активности субстанций и концентратов ДВ
5.4.1. На основе субстанции сначала готовят концентрат с нужным содержанием ДВ в форме масляного или иного раствора, эмульсии, суспензии или порошка с красителем, достаточным для индикации равномерности распределения ДВ в приманке. В качестве красителя используют вещества, не влияющие на поедаемость приманки грызунами. Концентрат изучают на приготовленной стандартной отравленной приманке, используемой в качестве модели, с известной концентрацией ДВ. Для стандартной отравленной приманки в качестве пищевой основы применяют крупы: пшеницу, перловую, овсяную. Стандартную приманку с необходимой концентрацией ДВ готовят путем смешивания зерновой основы с концентратом ДВ. Действие отравленной приманки на грызунов определяют по четырем основным параметрам
(п. 5.3.5).
5.4.2. Необходимое количество концентрата (
К) в приманке рассчитывают по
формуле 5.1:

, где (5.1)
К - количество концентрата (г);
П - количество приманки (г);
ДВ1 - содержание ДВ в концентрате (%);
ДВ2 - заданное содержание ДВ в приманке (%).
5.5. Методика постановки экспериментов
и оформление полученных результатов
5.5.1. На стеллаж устанавливают шесть клеток. В одну из кормушек помещают исследуемую приманку с родентицидом. В другую кормушку помещают альтернативный корм (без родентицида). Кормушки ежедневно меняют местами для того, чтобы исключить привыкание грызунов к одному месту кормления. Грызунов взвешивают, определяют пол и рассаживают по одному в каждую клетку. Поедаемость определяют по количеству корма, съеденного грызуном в течение одних суток. С этой целью ежедневно взвешивают остаток корма в кормушке и определяют разницу между первоначальным весом корма и весом остатка. В качестве дополнительных параметров определяют количество поглощенного грызуном ДВ в миллиграммах и количество ДВ в пересчете на единицу массы тела (мг/кг). Вес грызуна и его изменение определяют в начале опыта и по его окончании. Первичные результаты опытов фиксируют в графах
таблицы 5.1 с целью расчета необходимых параметров. Примеры расчетов и их оформление представлены в
таблицах 5.2 и
5.3.
5.5.2. Расчет поедаемости исследуемой приманки проводят по
формуле 5.2:

, где (5.2)
Gx - поедаемость приманки, %;
P - вес корма, съеденного в опыте и контроле;

- вес приманки, съеденной за время опыта.
5.5.3. Средний вес грызуна рассчитывают по
формуле 5.3:

, где (5.3)
Vср - средний вес грызуна;
x - порядковый номер грызуна;
Vx - вес грызуна в начале опыта;
5.5.4. Среднее арифметическое (
m) веса крыс в начале эксперимента (
mVx) и веса погибших крыс (
mvx) рассчитывают по следующим
формулам 5.4 и
5.5:

(5.4)
или

, где: (5.5)
n - количество крыс в опыте (объем выборки);

- сумма веса крыс, в начале эксперимента (
V1 +
V2 + ... +
Vn);

- сумма веса погибших крыс (
v1 +
v2 + ... +
vn);

, где (5.6)

- среднее квадратичное отклонение.
5.5.5. Определение относительной поедаемости исследуемой приманки Gx и альтернативного корма
Rx для крысы в %
(табл. 5.2) по
формуле 5.7:

, где (5.7)
Gx - поедаемость приманки (%);
Rx - поедаемость альтернативного корма (%);

- количество приманки, съеденной крысой в опыте (мг);

- количество альтернативного корма, съеденного крысой в опыте (мг);
P - общее количество корма (мг), съеденного крысой в опыте

.

, где (5.8)
Dвx - количество ДВ, поглощенного крысой в мг;
C - концентрация ДВ в приманке (%).
5.5.7. Определение количества
ДВ, поглощенного крысой в пересчете на килограмм веса
(табл. 5.3), по
формуле 5.9:

, где (5.9)
DBx - количество ДВ, поглощенного крысой в мг/кг;
Таблица 5.1
Первичное оформление результатов поедаемости приманки
(образец)
N п\п | Дата начала опыта | Вид | Пол | Вес (г) | Продолжительность эксперимента (сутки) |
0 | 1 | 2 | 3 | 4 | 5 | 6 | 7 | 8 | 9 | 10 | 11 | 12 | 13 | 14 |
1 | 3.03.05. | Крыса серая | самец | грызуна (г) | 265 | - | - | - | - | - | 245 | | | | | | | | |
остаток приманки в кормушке (г) | 100 | 85 | 75 | 70 | 65 | 60 | 60 | | | | | | | | |
съедено приманки (г) | 0 | 15 | 10 | 5 | 5 | 5 | 0 | | | | | | | | |
остаток альтернативного корма в кормушке (г) | 100 | 90 | 85 | 80 | 75 | 75 | 75 | | | | | | | | |
съедено альтернативного корма (г) | 0 | 10 | 5 | 5 | 5 | 0 | 0 | | | | | | | | |
2 | 3.03.05. | Домовая мышь | самка | грызуна (г) | 27 | - | - | - | - | 22 | | | | | | | | | |
остаток приманки в кормушке (г) | 50 | 43 | 37 | 32 | 29 | 29 | | | | | | | | | |
съедено приманки (г) | 0 | 7 | 6 | 5 | 3 | 0 | | | | | | | | | |
остаток альтернативного корма в кормушке (г) | 50 | 45 | 43 | 40 | 38 | 38 | | | | | | | | | |
съедено альтернативного корма (г) | 0 | 5 | 2 | 3 | 2 | 0 | | | | | | | | | |
Таблица 5.2
Динамика поедаемости исследуемой приманки
и альтернативного корма серыми крысами
N п\п | пол | Вес крысы (г) | Количество съеденного корма по дням (г) |
в начале опыта Vx | в день гибели vx | средний Vср | 1 | 2 | 3 | 4 | 5 | 6 |
О Px | К px | О Px | К px | О Px | К px | О Px | К px | О Px | К px | О Px | К px |
x |
1 | самец | 265 | 245 | 255 | 15 | 10 | 10 | 5 | 5 | 5 | 5 | 5 | 5 | 0 | | |
... | | .... | .... | .... | ... | ... | .... | ... | ... | ... | ... | ... | ... | ... | .... | ... |
n | самка | 200 | 196 | 198 | 15 | 15 | 15 | 5 | 10 | 5 | 5 | 0 | | | | |
Среднее (m) | mVx | mvx | | | | | | | | | | | | | |
Примечание: 
- гибель крысы; О - опыт (исследуемая приманка);
К - контроль (альтернативный корм);
Px - съедено корма в опыте (
x = 1,2...
n);
px - съедено корма в контроле;
n - количество крыс в эксперименте; остальные обозначения в тексте.
Таблица 5.3
Поедаемость приманки и количество ДВ в организме серых крыс
N п/п | Съедено корма в течение эксперимента | Количество ДВ, поглощенного крысой | Время гибели крыс (сутки) tx |
в граммах | в % | мг DBx | мг/кг Dвx |
x | Опыт | Контроль | Итого P | Опыт Gx | Контроль Rx |
1 | 40 | 25 | 65 | 62 | 38 | 2,0 | 7,8 | 6 |
. | . | . | . | . | . | . | . | . |
n | 45 | 25 | 70 | 64 | 36 | 2,3 | 11,6 | 5 |
ср. | | | | | | | | |
Примечание: концентрация ДВ в приманке 0,005%; обозначения в тексте.
5.6. Методы исследований эффективности
липких родентицидных покрытий
5.6.1. Липкое родентицидное покрытие содержит ДВ в заданной концентрации. Липкие родентицидные покрытия изучают на грызунах, содержащихся поодиночке в вольерах, где оборудованы две одинаковых дорожки или туннеля для их передвижения от гнездового домика к кормушке. После адаптации грызуна к условиям содержания на одну дорожку или туннель длиной 0.25 м по всей длине наносят липкое родентицидное покрытие слоем в 1 - 2 мм. Другая дорожка или туннель остаются чистыми. Регистрируют сроки и процент гибели грызунов в зависимости от контакта с покрытием. Отмечают возможные поведенческие реакции грызуна на липкое покрытие, например, привлекательность или наоборот наличие боязни (неофобия) и отталкивающее действие (репеллентность), количество проходов грызуна к корму по каждой дорожке за сутки. Наблюдения проводят визуально в период максимальной активности грызуна или при помощи автоматических датчиков, установленных перед кормушками.
5.6.2. Время гибели зависит от количества проходов грызуна по ядовитому липкому покрытию. Грызуну позволяют контактировать с липким родентицидным покрытием не более 14 суток. Если он в течение этого время не погиб, его отсаживают в клетку для определения времени гибели. Покрытие считается эффективным, если не менее 80% подопытных животных погибает в течение 14 суток. Если в течение первых двух дней животные используют только дорожки или туннель без покрытия, то имеет место реакция неофобии на покрытие. Если эта реакция сохраняется до конца экспозиции липкого родентицидного покрытия, то имеет место репеллентность. Возможна оценка эффективности липких родентицидных покрытий при отсутствии альтернативного пути перемещения в условиях принудительного пропускания грызуна по туннелю, обработанному липким родентицидным покрытием, что позволяет определить количество проходов, необходимых для его гибели.
5.6.3. Критериями эффективности липких родентицидных покрытий служат следующие параметры:
- гибель мышей и крыс (%) | - не менее 80; |
- экспозиция (сутки) | - не более 14. |
5.6.4. Для определения репеллентности липкого родентицидного покрытия в вольеры помещают две кормушки с одинаковым кормом. Одна кормушка закреплена на площадке, обработанной ядовитым покрытием, другая - на площадке без покрытия. По количеству съеденного корма в каждой кормушке определяют наличие у покрытия репеллентных свойств.
5.7. Метод исследования эффективности клейких масс
и готовых клеевых ловушек
5.7.1. Тип ловушек для грызунов не содержит в своей конструкции никаких механических устройств или электронных узлов (например, картонные площадки различной формы, покрытые специальным клейким составом). В середину ловушки в качестве приманки кладется кусочек хлеба, и грызун приклеивается к поверхности ловушки при попытке ее достать. Испытание проводят в вольерах при одиночном или групповом содержании грызунов.
5.7.2. Определение эффективности клейких масс осуществляют с помощью клеевых пластин, выполненных из материала, не впитывающего клей. При контакте грызуна с клеевой поверхностью пластины клеевая масса должна удерживать зверька. Для домовых мышей и полевок используют пластины размером (12 x 20) см. Для опытов с крысами применяют пластины размером (20 x 25) см. Клеевую массу на поверхность пластины наносят сплошным слоем не более 1 мм. Пластины с клеевой массой помещают перед кормушкой, либо используют приманку в центре ловушки.
5.7.3. Критерием эффективности клейкой массы или готовой клеевой ловушки является удерживание не менее 80% зверьков весом не менее 100 г.
5.8. Метод исследования эффективности механических устройств
летального действия типа давилок и капканов
5.8.1. Пружинные дуговые капканы (N 0 и N 1) и давилки по типу Геро относятся к механическим средствам отлова и умерщвления грызунов. Давилки по типу Геро представляют собой деревянные плашки или металлические пластины, к которым прикреплена на пружине стальная дужка. Срабатывание механизма заряженной давилки Геро и придавливание грызуна дужкой к деревянному или металлическому основанию происходит при сдергивании грызуном приманки с крючка или при надавливании на трапик, соединенный со сторожком ловушки. Срабатывание дугового капкана происходит под тяжестью грызуна при надавливании на диск устройства.
5.8.1.1. Оценку эффективности механических средств дератизации проводят в вольерах на группах грызунов тех видов, для которых они предназначены. В начале эксперимента незаряженные устройства помещают в вольеры для привыкания грызунов к ним. Затем устройства приводят в рабочее состояние и оценивают их эффективность по количеству срабатываний запорного или убивающего механизма при контакте с ним грызуна и количеству грызунов, попавших в устройство.
5.8.1.2. Критерием оценки механического устройства при контактах с ним грызунов является эффективное срабатывание его не менее чем в 80% случаев.
5.9. Метод исследования эффективности живоловок
5.9.1. Живоловки для крыс и мышей бывают целиком из металлической сетки, оцинкованного железа с отверстиями, из металлической сетки, закрепленной на деревянной доске. Одноразовые устройства имеют дверцу, которая захлопывается при сдергивании грызуном приманки с крючка или надавливании на трапик. Балансирующая одноразовая живоловка состоит из пластмассовой трубки квадратного сечения, изогнутой под определенным углом, и дверцы, захлопывающейся при нарушении баланса. Грызун входит внутрь ловушки по горизонтально расположенной части трубки и при переходе в другую ее половину нарушает баланс ловушки, отчего дверца приподнимается и захлопывается. Многоразовые живоловки (типа верш) изготовлены из металлической сетки. Грызуны попадают внутрь по сужающемуся проходу или через отверстие с трапиком. Трапик срабатывает под тяжестью грызуна, который попадает в вершу, а трапик под действием пружины принимает первоначальное положение и закрывает выход грызуну.
5.9.2. Оценку эффективности живоловок проводят по методике, используемой для испытания одноразовых механических устройств с учетом специфики многоразового попадания.
5.10. Метод оценки целевой эффективности
и биологической активности дератизационных
средств при групповом содержании грызунов
5.10.1. Оценку дератизационных средств в условиях группового содержания проводят на искусственно созданных группировках:
- серых крыс (Rattus norvegicus);
- домовых мышей (Mus musculus);
- полевок обыкновенных (Microtus arvalis).
5.10.2. Эксперименты на семье или искусственно созданной группировке грызунов позволяют имитировать их поведенческие реакции по отношению к дератизационным средствам, характерные для естественных условий, и более точно оценить эффективность испытываемых средств. Отношения животных в группировке определяют иную степень контакта грызунов с родентицидными средствами, связанную с их социальным поведением.
5.10.3. Эксперименты по оценке эффективности родентицидных средств на семейных или искусственно созданных группах грызунов осуществляют в вольерах, оборудованных одним или двумя домиками, поилкой и двумя кормушками, которые подвешивают на одной из боковых стенок вольера или укрепляют симметрично на противоположных стенках. Группировку формируют из 5 грызунов (трех самцов и двух самок, причем увеличение количества самок возможно, а самцов - не рекомендуется) и выдерживают их совместно в течение 3 суток для установления иерархической структуры в группировке (минимально необходимое время), а также для определения количества корма, съедаемого за сутки. После образования в группировке устойчивых взаимоотношений одну из кормушек заполняют отравленной приманкой, другую - альтернативным (контрольным) кормом. Вес его в кормушках должен превышать суточную норму, необходимую для питания группы, в 1,5 раза. По мере необходимости добавляют корм в кормушки. Для определения поедаемости ежедневно взвешивают остаток корма. Кормушки ежедневно меняют местами.
5.11. Методы оценки целевой эффективности и биологической
активности отпугивающих химических веществ
(роденторепеллентов)
5.11.1. Эксперименты проводят в условиях одиночного и группового содержания грызунов. Группы создают искусственно из серых крыс (Rattus norvegicus), домовых мышей (Mus musculus), полевок обыкновенных (Microtus arvalis). В опытах не используют беременных или лактирующих самок. Исследуемый роденторепеллент вводят в корм и по КОД оценивают его эффективность и активность. В качестве аттрактанта (привлекателя) используют зерно. Наличие или отсутствие у химического вещества свойств отпугивать грызунов, степень его репеллентной эффективности определяют при различных концентрациях роденторепеллента в корме.
5.11.2. В условиях одиночного содержания грызуна помещают в клетку. Дают одинаковое количество корма с репеллентом и без него. В течение 3 дней учитывают поедаемость корма с репеллентом и без него. Во время эксперимента животным обеспечивают свободный доступ к воде.
5.11.3. Расчет КОД испытываемого вещества проводят по
формуле 5.10:

(5.10)
КОД - коэффициент отпугивающего действия (%);
ТС - съедено корма с содержанием репеллента С (г);
Е - съедено корма без репеллента (г).
5.11.4. Эффективность роденторепеллента оценивают по следующим показателям КОД:
КОД = 100~90 - сильно отпугивающие вещества, обладающие роденторепеллентными свойствами;
КОД = 89~80 - вещества не отпугивают грызунов, но могут предохранять продукты и материалы от поедания (антифиданты) или порчи грызунами;
КОД = 79 и ниже - вещества обладают слабыми антифидантными свойствами.
5.12. Метод оценки эффективности и активности отпугивающих
химических веществ в кассетно-мембранном ольфактометре
5.12.1. Оценка эффективности и активности роденторепеллентов (отпугивающих химических веществ) определяется по коэффициенту повреждения грызуном мембранной диафрагмы, обработанной испытываемым средством. Для оценки эффективности и активности роденторепеллентов используется кассетно-мембранный ольфактометр. Он имеет вид прямоугольной камеры разделенной перегородкой на две секции. Перегородка имеет шесть отверстий, в которых закреплены полые цилиндрического вида кассеты с мембранной диафрагмой из тонкой пищевой пленки с небольшим отверстием для диффузии запаха. Кассеты закреплены таким образом, что передние их части выходят в секцию, где находится грызун. Основания кассет расположены в противоположной камере, в которую доступ грызуну закрыт перегородкой. Внутрь каждой кассеты помещают пищевую приманку, имеющую привлекающий грызуна запах. Через отверстие в пленке запах приманки проникает в секцию, где находится грызун. Достать приманку грызун может, если прорвет мембрану из пленки. Повреждения мембраны не происходит, если в эксперименте мембрана обработана средством, отпугивающим грызуна, что является подтверждением репеллентного действия средства.
5.12.2. Эффективность исследуемого роденторепеллента оценивают по коэффициенту повреждения преграды из пленки. Коэффициент повреждения преграды равен отношению числа неповрежденных мембранных диафрагм к общему числу мембран, используемых в эксперименте.
5.12.3. Если вещество обладает сильной отпугивающей активностью в отношении грызунов, то коэффициент повреждения преграды равен 1.
5.12.4. Если вещество не обладает отпугивающей активностью, то количество неповрежденных мембран равно нулю.
5.13. Метод оценки воздействия ультразвуковых
дератизационных устройств на крыс с помощью
графической регистрации их внешнего дыхания по Лиманцеву
5.13.1. Необходимость медико-биологической экспертизы ультразвуковых дератизационных устройств (далее - УДУ) и оценки роденторепеллентной эффективности источника ультразвуковых колебаний определяется избирательностью действия ультразвука на грызунов, возможностью привыкания их к определенным диапазонам частот, изменением скорости частоты модуляции в каждом конкретном случае.
5.13.2. Для биологического тестирования ультразвуковых дератизационных излучателей с целью оценки их эффективности и биологической активности используют их воздействие на процесс дыхания крыс. По виду дыхательной кривой, частоте дыхательных циклов оценивают действие ультразвукового излучателя на грызуна. Ультразвуковой сигнал меняет в определенном направлении частоту, глубину и ритм дыхания грызуна, ускоряя или тормозя его динамику. Выбор дыхательной системы для оценки эффективности и биологической активности ультразвуковых дератизационных излучателей обусловлен тем, что дыхание является единственной физиологической функцией организма, которая находится под одновременным управлением вегетативной и соматической нервных систем. Такая особенность дыхания делает его чрезвычайно чувствительным к направленному ультразвуковому излучению. Во время эксперимента грызун может произвольно реагировать на ультразвуковой сигнал, меняя при этом в определенном направлении частоту, глубину и ритм дыхательных движений, задерживая или учащая их. У серых крыс дыхание в спокойном состоянии ритмичное, вдох несколько длиннее выдоха, его частота в среднем составляет 120 - 130 дыхательных движений (циклов "вдох-выдох") в мин. При повышенной активности грызунов дыхание учащается (до 160 и больше дыхательных движений в минутах), становится более поверхностным. Ультразвуковое излучение изменяет нормальное дыхание крыс в сторону его урежения.
5.13.3. Минимальная величина ультразвука, способная вызвать едва заметное изменение интенсивности основных параметров дыхания - частоты, амплитуды и ритма дыхательных движений, принята за нижний порог чувствительности и использована в качестве критерия при оценке эффективности ультразвуковых дератизационных устройств.
5.13.4. Для оценки эффективности ультразвуковых устройств имеет значение определение зависимости между мощностью ультразвукового излучения и чувствительностью к нему крысы, что можно установить по изменению параметров ее дыхания. При этом любое отклонение основных дыхательных характеристик (частоты, ритма, амплитуды дыхательных движений и т.д.) от пороговых величин можно расценивать как нарушение дыхания под воздействием ультразвука. Методика графической регистрации внешнего дыхания на основании отклонений его от пороговых величин позволяет оценить силу ультразвукового воздействия на грызунов и сравнить по этому параметру эффективность разных ультразвуковых дератизационных излучателей между собой.
5.13.5. Дыхание регистрируют на комплексной установке для измерения внешнего дыхания, состоящей из компьютерного полиграфического усилителя датчиков дыхания, программного обеспечения, позволяющих анализировать дыхание, фиксаторов из акрилового пластика для грызунов с регулируемым внутренним размером, отверстиями для вентиляции и подключения датчиков. Принцип работы установки заключается в измерении сопротивления термодатчика, меняющегося под влиянием дыхания грызуна. Крысу для регистрации внешнего дыхания помещают в специальный фиксатор длиной 165 мм и диаметром 55 мм. Фиксация крысы сопровождается возбуждением грызуна и учащением частоты дыхания. В течение 5 - 10 мин после фиксации крыса успокаивается и восстанавливает нормальное дыхание. В отверстие фиксатора, расположенное в районе носа животного, устанавливают термодатчик, который соединяют с усилителем и системным блоком компьютера. Ультразвуковой сигнал подают вручную в периоды, когда восстанавливается устойчивая форма дыхания. Сигнал от датчика поступает через усилитель на компьютер и обрабатывается программой. Длительность ультразвукового воздействия составляет несколько секунд. Диагностику дыхания в норме и при ответе на ультразвуковое воздействие осуществляют по следующим индексам:
- продолжительность цикла дыхания (t);
- продолжительность времени вдоха (t1) и выдоха (t2);
- частота дыхания (V) - изменение количества дыхательных циклов вдох (V1) - выдох (V2) в единицу времени;
- глубина дыхания - изменение амплитуды дыхательных циклов в единицу времени;
- ритм дыхания - соотношение времени вдоха и выдоха (t1 < t2) или (t1 > t2);
- задержка дыхания - на вдохе или на выдохе, а также одновременно как на вдохе, так и на выдохе в единицу времени;
- смещение диапазона дыхания или базовой линии (вверх-вниз).
5.13.6. Внешнее дыхание обеспечивает вентиляцию легких благодаря изменению объема грудной клетки и последующему пассивному изменению объема легких. Чередование вдоха и выдоха составляет дыхательный цикл. Соотношение компонентов дыхательного цикла (длительность фаз, глубина и частота дыхания и др.) характеризует так называемый паттерн дыхания.
5.13.7. Визуализацию сигнала осуществляют на мониторе компьютера в процессе эксперимента. Порог чувствительности каждой крысы к ультразвуку определяют последовательным увеличением мощности ультразвука от величины, не ощущаемой грызуном, до величины, при которой начинает изменяться частота и амплитуда дыхания или его ритм. Интервал между двумя последовательными ультразвуковыми воздействиями на звуковой шкале составлял 1 дБ. Для определения порогов чувствительности используют шкалу с общим интервалом между крайними значениями в 21 дБ. Нижний порог чувствительности соответствует минимальной величине ультразвука, вызывающей изменение частоты, амплитуды или ритма дыхания грызуна. Верхний порог чувствительности соразмерен наибольшей величине ультразвука, при которой еще наблюдаются изменения частоты или ритма дыхания.
5.13.8. В качестве критерия чувствительности крыс к ультразвуку используют минимальный уровень ультразвукового воздействия, при котором появляются первые изменения дыхательной кривой. Минимальная интенсивность ультразвукового излучения, равная 4 дБ, определена как нижний порог чувствительности. Верхняя пороговая чувствительность грызунов равна 21 дБ. Используя изменение индексов дыхания в поле ультразвукового излучения, сравнивают по их значениям эффективность разных ультразвуковых дератизационных излучателей между собой.
5.14. Методы оценки действия УДУ с помощью
пластиковой двухкамерной установки РМ-01
5.14.1. Целевую эффективность и биологическую активность УДУ определяют путем прямого воздействия ультразвукового излучения на грызунов в установке РМ-01. Конструкция установки в максимальной степени отвечает поставленной цели. Она является инструментом, который позволяет провести наблюдение, измерение и количественно отразить результат действия ультразвукового дератизационного устройства на грызунов.
5.14.2. Установка представляет собой сквозной тоннель, состоящий из 10 секций. Торцы первой и последней секций имеют перегородки, которые закреплены на осях. Верхние концы осей выведены наружу и соединены с поворотными ручками. Поворачивая перегородку ручкой, закрывают или открывают торцы первой и последней секций. В закрытом положении перегородка препятствует выходу грызуна из установки наружу через крайние секции. Первая и последняя секции размещены в двух отдельных комнатах и через боковые отверстия связаны между собой П-образным рукавом, составленным из трубчатых секций, по которым грызун перемещается из крайней секции с УДУ в секцию без него или наоборот. Сечение тоннеля может иметь любую форму, например, круглую, прямоугольную и др. Первая из секций тоннеля предназначена для размещения УДУ. В зависимости от целей эксперимента грызун может быть помещен или в первую секцию, или в последнюю. Конструкция устройства ограничивает распространение ультразвука по секциям, что дает возможность грызуну, переместившись из первой секции с ультразвуком, найти секцию, куда ультразвук не доходит.
5.14.3. В установке можно осуществить исследования двумя разными методами, что дает возможность более точной оценки действия УДУ на поведение грызуна. Ошибку также исключают кратностью повторяемых экспериментов. Эксперимент каждый раз проводят на новом грызуне. Продолжительность одного эксперимента может составить несколько дней.
5.15. Метод прямого отпугивания грызунов ультразвуком
5.15.1. Исследования отпугивающего действия ультразвука на грызунов в установке проводят на животных, получавших корм и не получавших его перед экспериментом.
5.15.2. Оценку эффективности действия УДУ на грызуна проводят по следующей схеме: грызуна помещают в первую секцию установки, где размещено УДУ. Включают его и отмечают изменение основных признаков поведения грызуна при воздействии на него ультразвуковым излучением. Эксперимент проводят в рабочее время с 1000 до 1600 ч ежедневно. Если в течение 6 ч ультразвукового воздействия грызун продолжает оставаться в первой секции, эксперимент продолжают на следующий день и так до тех пор, пока грызун по трубчатой системе не покинет первую секцию с ультразвуком и не перейдет в секцию, где ультразвук отсутствует. В целом ультразвуковое воздействие на грызуна продолжается не более 24 ч (4 дня по 6 ч). На ночь грызуна каждый раз пересаживают из камеры в клетку с кормом и водой.
5.16. Метод оценки эффективности отпугивающего действия УДУ
по реакции грызуна на корм
5.16.1. В первую секцию устройства помещают включенный ультразвуковой генератор, пищевую приманку (10 - 30 г) и поилку с водой. Грызуна, голодающего в течение одних суток, помещают в последнюю секцию установки, в которую ультразвуковое излучение никогда не попадает. В период эксперимента регистрируют поведение грызуна и его перемещение из последней секции, где нет ультразвука, в первую, где есть ультразвук, корм и вода. Эффективность УДУ определяют по времени или скорости перемещения голодного грызуна из последней секции в первую, привлекая его кормом и водой, и размещают включенное УДУ. Эксперимент проводят в рабочее время с 10
00 до 16
00 ч ежедневно, но в целом не более 24 ч. Если за 6 ч в первый день эксперимента грызун из последней секции не перемещается в первую секцию, эксперимент для контроля продолжают на следующий день. Действие ультразвукового излучения УДУ на грызуна считают эффективным, если грызун не перемещается из последней секции в первую, несмотря на привлекающий его корм и воду. Результаты изменения поведения и местоположения грызуна в камере при действии на него ультразвуком регистрируют в соответствии с
таблицей 5.4.
Таблица 5.4
Основные признаки поведения грызуна и его местоположение
в камере при воздействии на него ультразвука
Поведение | Описание поведения | Пространственное расположение в установке. |
Двигательная активность | Передвижение по секциям установки, на четырех лапах, часто замирая, настораживаясь, принюхиваясь, прижимая уши | секция 1, 2, 3, 4, 5, 6, 7, 8, 9, 10 |
Умывание и чистка | Передними лапами быстро перебирают вибриссы, губы, шерсть на мордочке, чешутся задними лапами, мордочкой сбоку | секция 2 |
Реакция избегания (беспокойство) | Встают на четыре лапы, перемещаются в сторону ультразвукового устройства, залезают на него, отходят от него, замирают на четырех лапах | секция 1 или 2 |
Пассивная реакция замирания на месте | При включении ультразвукового устройства сидят на четырех лапах, как комочек, часто шевеля носом и поворачивая голову, прижимая уши | секция 2 |
Активная реакция убегания, ухода | Уходят в П-образный выходной рукав, медленно вытягивая шею, обнюхивая воздух | секция 3, 4, 5, 6 |
Реакция ориентации | Встают на задние лапы, на четыре лапы, шевелят носом, ушами, поворачивают голову | секция 1 и 2 |
5.16.2. При эксперименте, длящемся более 1 рабочего дня, грызуна не оставляют в установке до утра. На ночь грызуна пересаживают из камеры в клетку. Корм и воду ему не дают.
5.16.3. Для оценки целевой эффективности и биологической активности используют следующие показатели:
а) время избегания (ч) - период времени, от включения ультразвукового устройства, до перемещения грызуна на расстояние, где ультразвук его не тревожит;
б) удаленность (м) - расстояние, на котором держится грызун от ультразвукового устройства;
в) скорость избегания (м/ч) - отношение расстояния ко времени, в течение которого грызун достигает места, где он не подвергается ультразвуковому влиянию;
г) эффективность УЗ устройства - относительный показатель, который позволяет количественно оценить результат действия ультразвукового устройства на грызунов в %. Расчет эффективности отпугивающего действия (далее -
Эод) проводят по следующей
формуле 5.11:
Эод = 100 - (t·100/T), где (5.11)
t - "время избегания";
T - предельно допустимое время эксперимента, равное 24 ч;
д) реакция избегания (избегающее поведение) - защитная, оборонительная реакция грызуна, возникающая в ответ на сигнал раздражения и направленная на пассивное ("замирание") или активное уклонение ("убегание", "уход") от источников неприятного воздействия. Результаты заносят в рабочий журнал в виде
табл. 5.5.
Таблица 5.5
Вид грызуна | Физиологическое состояние | Время избегания (ч) | Удаленность (м) | Скорость избегания (м/ч) | Основные признаки поведения | Эффективность УЗ устройства (Эод) |
5.16.4. Пример расчета эффективности отпугивающего действия УДУ на грызунов при режиме работы "норма" представлен в
табл. 5.6.
Таблица 5.6
Расчет эффективности отпугивающего действия УДУ
Вид грызуна | Физиологическое состояние | T (ч) | T (ч) | время в днях | Основные признаки поведения | Эффективность УЗ устройства |
Серая крыса | сытая | 10 +/- 0,5 | 24 | 2 | При включении УДУ замирание, умывание, чистка и т.д. в 1-й день 6 ч, во второй 4 ч, всего 10 ч. Очень медленно (в течение 2 дней) уходят на безопасное от УЗ излучения расстояние (суммарно 10 ч) | 100 - (10 x 100/24) = 58% |
голодная | 2,5 +/- 1,0 | 24 | 1 | Быстро (в течение одного дня) перемещаются на безопасное от УЗ излучения расстояние (2,5 ч) | 100 - (2,5 x 100/24) = 90% |
Домовая мышь | сытая | 16 +/- 1,3 | 24 | 3 | Очень медленно (в течение 3 дней) уходят на безопасное от УЗ излучения расстояние (суммарно 16 ч) | 100 - (16 x 100/24) = 34% |
голодная | 2,8 +/- 0,8 | 24 | 1 | Быстро (в течение одного дня) перемещаются на безопасное от УЗ излучения расстояние (2,8 ч) | 100(2,8 x 100/24) = 88% |
5.16.5. Эффективность УДУ оценивают по следующим показателям Эод:
Эод = 100~90 | tизбегания <= 2,4 ч | - сильное отпугивающее действие на грызунов; |
Эод = 89~80 | tизбегания >= 2,6 или <= 4,8 ч | - среднее отпугивающее действие, может предохранять продукты и материалы от биоповреждения грызунами; |
Эод = 79 и ниже | tизбегания >= 5 ч | - не оказывает отпугивающего действия на грызунов. |
5.17. Условия проведения испытаний дератизационных средств
в естественной среде обитания грызунов
5.17.1. Биологическую активность и целевую эффективность дератизационных средств изучают на объектах, заселенных грызунами. Для экспериментов выбирают объекты с высокой или средней численностью.
5.17.2. Наличие и количество грызунов, а также их видовой состав первоначально определяют на основании опроса работников объекта и визуального его обследования по следам жизнедеятельности грызунов. Уточнение видового состава грызунов и степени заселенности объекта проводят с помощью контрольно-пылевых (следовых) площадок или пищевых приманок без токсиканта, т.е. методами, которые не изменяют состав и количество грызунов.
5.17.3. Продолжительность оценки целевой эффективности и биологической активности средств дератизации в естественных местообитаниях грызунов соответствует следующим срокам исследования:
- не более 10 суток для родентицидов острого действия, механических средств (ловушек, живоловок, клеевых устройств);
- не более 20 суток для ультразвуковых дератизационных устройств;
- не более 15 суток для электрических барьеров;
- не более 25 суток для антикоагулянтов II поколения;
- не более 35 суток для антикоагулянтов I поколения;
- не более 10 суток для витаминов группы D.
5.17.4. Эффективность действия отравленной приманки на грызунов определяют по следующим основным параметрам:
- поедаемость приманки (%);
- время появления трупов (сутки);
- динамика относительной численности грызунов (%);
- скорость освобождения объекта от грызунов (сутки).
5.17.5. На объекте отравленную приманку помещают в кормушки в количестве от 20 до 100 г (в зависимости от численности грызунов). На объекте менее 100 м2 расставляют не более пяти кормушек. Одновременно оборудуют не более 10 контрольно-пылевых (следовых) площадок. На объектах более 100 м2 кормушки расставляют из расчета 8 г приманки на 1 м2. При этом в одну кормушку помещают 50 г отравленной приманки.
5.17.6. Дополнительными параметрами, с помощью которых оценивают эффективность дератизационных средств в естественных местах обитания грызунов, являются: снижение их численности и динамика видового состава, а для механических или клеевых дератизационных средств - их уловистость.
5.17.7. Поедаемость определяют по количеству корма, съеденного зверьками на объекте в течение одних или двух суток. С этой целью взвешивают остаток корма в кормушках и определяют разницу между первоначальным весом корма и весом остатка. Частота контрольных взвешиваний зависит от численности грызунов на объекте. При высокой численности взвешивание корма следует проводить один раз в сутки. Кормушками могут служить пластиковые одноразовые тарелки, ящички размером (10 x 10) см, специальные стандартные контейнерные станции для приманки. Контроль численности грызунов до и после эксперимента проводят по одной и той же методике с соблюдением стандартных правил к расстановке средств учета и сроков их экспозиции (т.е. периоду от расстановки средств учета до окончания учетных работ). Скорость освобождения объекта соответствует количеству незаслеженных контрольно-пылевых (следовых) площадок в процентах за определенный период учета. Первичные результаты опытов заносят в рабочий журнал
(табл. 5.7).
Таблица 5.7
N п/площадки | N кормушки | Дата начала опыта | Вид | Наименование контрольного учета | Время контрольного учета (сутки) |
0 | 2 | 4 | 6 | 8 | 10 | 12 | 14 | 16 | ... |
- | 2 | 3.03.05 | - | остаток приманки в кормушке (г) | | | | | | | | | | |
съедено приманки (г) | | | | | | | | | | |
3 | - | 3.03.05 | Крыса серая | Кол-во пылевых площадок | | | | | | | | | | |
п/площадка со следами | | | | | | | | | | |
п/площадка без следов | | | | | | | | | | |
7 | - | 3.03.05 | Домовая мышь | Кол-во пылевых площадок | | | | | | | | | | |
п/площадка со следами | | | | | | | | | | |
п/площадка без следов | | | | | | | | | | |
5.17.8. На объекте, выбранном для проведения испытаний, не должны проводиться другие дератизационные мероприятия, а также не должно быть других средств дератизации. В процессе испытаний дератизационных средств оценивают также безопасность и удобство их применения в естественных местах обитания грызунов и определяют соответствие правилам охраны труда и техники безопасности. Эффективность действия УДУ в естественных условиях обитания грызунов оценивают методом контрольно-пылевых (следовых) площадок, методом ловушко-суток, а также методом определения количества корма, съеденного грызунами. Все эти методы позволяют определить динамику изменения количества грызунов на объекте. Поэтому их используют для оценки эффективности действия ультразвуковых устройств в естественных местах обитания грызунов. Уменьшение заслеженных контрольно-следовых площадок или количества съеденного корма, или отловленных ловушками типа Геро грызунов в период работы ультразвуковых устройств характеризует их как средства отпугивания. Эффективность оценивают соответственно критериям. Эффективность УДУ наиболее рационально оценивать методом контрольно-пылевых (следовых) площадок.
5.18. Методика контрольно-пылевых (следовых) площадок
5.18.1. Данная методика позволяет обнаружить грызунов, определить пути их передвижения на объекте, оценить его заселенность. Контрольно-пылевые (следовые) площадки размером (10 x 20) см покрытые слоем муки, талька или другим порошковидным материалом размещают в местах вероятного передвижения грызунов по объекту и, прежде всего, в углах, вдоль стен, перегородок, вблизи дверей и окон. Количество площадок на объекте зависит от его площади. На объектах менее 100 м
2 оборудуют не более 10 площадок. При этом площадки располагают вдоль плинтусов, в углах комнат под окном. На объектах площадью более 100 м
2 контрольно-пылевые (следовые) площадки оборудуют из расчета: одна площадка на 5 - 10 м
2. По следам, оставленным грызунами на контрольно-пылевых (следовых) площадках, вычисляют процент заслеженных площадок (К) по
формуле 5.12:

, где (5.12)
К - число заслеженных площадок в %;
Б - всего площадок на объекте (штук);
А - количество заслеженных площадок (штук).
5.18.2. При обнаружении на площадках следов крыс или мышей, чтобы определить относительное их количество, рассчитывают % заслеженных площадок для каждого вида.
5.19. Исследование биологической активности и целевой
эффективности дератизационных средств
в естественных местах обитания грызунов
5.19.1. Биологически активное средство должно вызывать гибель грызунов (отравленные приманки, липкие покрытия, механические и клеевые умерщвляющие устройства), либо ограничивать их передвижение (живоловки) или проникновение (репелленты и ультразвуковое излучение) на объект. Чем быстрее исчезают грызуны в помещениях объекта, тем эффективнее испытываемое средство и тем меньшее количество площадок заслежено грызунами. Эффективность дератизационного средства оценивают по скорости освобождения объекта от грызунов. Для этого до начала эксперимента учитывают количество заслеженных грызунами площадок. Затем на объекте размещают испытываемое дератизационное средство. Ежедневно проверяют контрольно-пылевые (следовые) площадки, отмечая в рабочем журнале количество заслеженных и незаслеженных площадок.
5.19.2. Эффективность дератизационного средства рассчитывают по
формуле 5.13:

, где (5.13)
Э - эффективность дератизационного средства (%);
К1 - число заслеженных площадок на объекте до начала эксперимента (%);
К2 - число заслеженных площадок в конце эксперимента (%).
5.19.3. К1 и К2 определяют по формуле процента заслеженных площадок в процентах (К). Поедаемость приманок определяют весовым методом. Разложенные по кормушкам приманки ежедневно взвешивают, определяя количество оставшегося корма. Вычитая из исходного веса приманки полученный при взвешивании вес оставшейся приманки, определяют количество корма, съеденного грызунами в каждой кормушке за сутки. Поедаемость корма рассчитывают в процентах.
VI. Методы исследования и критерии оценки токсичности
и опасности дезинфекционных средств
6.1. Условия проведения токсикологических исследований
дезинфекционных средств
6.1.1. Цель токсикологического изучения дезинфекционных средств - научное обоснование мер по обеспечению безопасности людей при осуществлении дезинфекционной деятельности, включая условия производства и реализации дезинфекционных средств, технологию проведения дезинфекционных мероприятий, использование средств индивидуальной и коллективной защиты и др.
6.1.2. При проведении токсикологических исследований необходимо решить следующие вопросы:
а) принципиальная возможность (или недопустимость по соображениям безопасности) применения данного средства в дезинфекционной практике;
б) возможные сферы безопасного применения средства (объекты обработки), контингенты контактирующего населения;
в) безопасные для людей режимы эффективного в целевом отношении применения средства (концентрации рабочих растворов, нормы расхода средства, экспозиции, средства защиты персонала, меры охраны окружающей среды и населения и т.п.).
6.1.3. Для оценки безопасности дезинфекционных средств и разработки гигиенических рекомендаций по их применению необходимы, прежде всего, следующие сведения:
- состав средства, структурная формула ДВ и его физико-химические свойства; молекулярная масса; плотность, летучесть, температура кипения или плавления, стойкость в естественных условиях, растворимость и др.;
- степень чистоты (при наличии примесей в сырье необходимо указать их состав и количественное содержание);
- характеристика вспомогательных компонентов, входящих в состав;
- назначение средства;
- нормы расхода и рабочие концентрации, способы и кратность обработки соответствующих объектов.
6.1.4. Исходными данными для токсикологического изучения дезинфекционных средств служат литературные материалы о токсичности и опасности входящих в их состав ДВ.
6.1.5. Токсикологическая характеристика ДВ включает сведения по следующим параметрам токсикометрии при потенциально опасных путях поступления в организм и по оценке общетоксических, специфических и отдаленных эффектов:
- острая токсичность при введении в желудок (DL50);
- острая токсичность при нанесении на кожу (DL50);
- острая ингаляционная токсичность (CL50, C20);
- подострая токсичность (кумулятивные свойства);
- хроническая токсичность;
- сенсибилизирующее действие;
- раздражающее действие на кожу и слизистые оболочки глаз;
- мутагенный эффект;
- действие на репродуктивную функцию;
- канцерогенность;
- метаболизм в организме млекопитающих.
6.1.6. Необходимы сведения о гигиеническом нормировании веществ:
- ПДК или ОБУВ в воздухе рабочей зоны, обеспечивающие безопасность работников на производстве ДВ или соответствующих дезинфекционных средств в России;
- ПДК или ОБУВ в атмосферном воздухе городских и сельских поселений для ДВ, производимых в России, обеспечивающие безопасность в окружающей среде.
6.1.7. Дезинфицирующие средства по своему назначению имеют широкую сферу применения: в медицинских и детских организациях, на предприятиях коммунально-бытового обслуживания, общественного питания и торговли, пищевой и перерабатывающей промышленности (пивобезалкогольной и винодельческой, мясомолочной, рыбо- и птицеперерабатывающей, хлебопекарной, кондитерской и др.), фармацевтической и биотехнологической промышленности по производству лекарственных средств и иммунобиологических препаратов, населением в быту, в очагах инфекционных болезней, учреждениях воинских (включая казармы), пенитенциарных, социального обеспечения (дома для инвалидов, престарелых и др.), для обеззараживания транспортных средств (общественного, железнодорожного, воздушного, водного, санитарного, для перевозки пищевых продуктов), воды в плавательных бассейнах, питьевой воды при централизованном и нецентрализованном водоснабжении.
6.1.8. Программа изучения токсичности и опасности дезинфицирующих средств зависит от конкретного назначения, состава, вида и свойств ДВ, режимов применения (нормы расхода, концентраций рабочих растворов, способов обработки), видов обрабатываемых объектов. Изучение проводят по схеме:
- 1-й этап - сбор информации о ДВ и вспомогательных компонентах в составе дезинфекционного средства, первичная оценка его токсичности и опасности с определением лимитирующих параметров токсичности при потенциально опасных путях поступления в организм (в желудок, на кожу, на слизистые оболочки, через органы дыхания);
- 2-й этап - экспериментальные исследования токсических свойств дезинфекционного средства в острых и подострых опытах при различных путях поступления в организм, исходя из назначения средства, характера обрабатываемых объектов и режимов применения;
- 3-й этап - оценка степени опасности дезинфекционного средств на основе моделирования условий его применения с проведением санитарно-химического анализа воздуха в затравочных камерах и обрабатываемых помещениях.
6.1.9. После проводят анализ и обобщение всех полученных материалов, составляют токсикологическую характеристику средства, разрабатывают необходимые меры предосторожности, определяют безопасные условия его применения и меры первой помощи, которые включают в соответствующие инструкции по применению.
6.1.10. При необходимости, помимо экспериментальных исследований, проводят практические испытания дезинфекционного средства, содержащего новое, ранее не применявшееся ДВ. Новые ДВ (субстанции) должны иметь полную токсикологическую характеристику. Для известных и длительно применяемых ДВ информацию по вышеуказанным параметрам собирают по данным литературы.
6.1.11. Для обеззараживания воды нельзя применять средства без установленных ПДК их компонентов и примесей. Исследование должно быть направлено на изучение эффективности и безопасности, с установлением оптимальных и минимальных эффективных концентраций и предельно допустимых концентраций в воде. При применении средств для обеззараживания (дезинфекции) воды в бассейнах и аквапарках допустимо использовать концентрации, рассчитанные исходя из комплексного действия на организм. Вывод о допустимости применения средства формируют на основании соотношения ПДК/эффективная концентрация в зависимости от вида вод (питьевые, сточные, расфасованные в емкости, вода в бассейнах, аквапарках и т.д.).
6.1.12. Обязательным этапом изучения всех дезинфицирующих средств является определение их химического состава с целью установления соответствия заявленному, а также выявление вредных примесей. В модельных и производственных испытаниях определяют продукты трансформации и их потенциальную опасность для человека.
6.1.13. Полный объем исследований применяют к новым средствам, ДВ или вещества которых ранее не использовали и не изучали. Для дезинфицирующих средств, являющихся смесями постоянного состава, исследования должны быть направлены на изучение комбинированного действия в острых и хронических опытах. Помимо токсикологических исследований, оценка безопасности средств обеззараживания воды включает изучение влияния на органолептические свойства воды с определением пороговых концентраций по органолептическим показателям: запаха, привкуса, окраски, мутности, пенообразования <13>.
--------------------------------
<13>
ГОСТ Р 57164;
МУ 2.1.5.720-98 "Обоснование гигиенических нормативов химических веществ в воде водных объектов хозяйственно-питьевого и культурно-бытового водопользования".
6.1.14. При изучении дезинфекционных средств разного назначения, наряду с изучением их токсичности на животных, проводят исследования на добровольцах. Цель исследований - подтверждение или уточнение данных по безопасности средств, выявление видовых и индивидуальных особенностей реакций человеческого организма на их действие, проверка рекомендованных мер предосторожности, что необходимо для средств, контактирующих с наружными покровами человека, наносимых на кожу, одежду, волосы.
6.1.15. Исследования дезинфекционных средств на добровольцах проводят в соответствии с
ГОСТ Р 57473 с участием врачей-специалистов соответствующего профиля или квалифицированных специалистов, имеющих врачебное образование.
6.1.16. Заключение о возможности применения средства может быть дано по результатам исследований уже зарегистрированных в нашей стране (или в других странах) аналогов и при подтверждении опыта их безопасного практического применения.
6.1.17. В состав дезинфекционного средства не должны входить ДВ, относящиеся к 1-му классу опасности при потенциально опасных путях поступления в организм, а также к 1-му и 2-му классу опасности - по отдаленным эффектам (мутагенный, эмбриотоксический, гонадотоксический и тератогенный, канцерогенный).
6.1.18. Классы опасности средств и входящих в их состав ДВ оценивают с использованием следующих стандартов:
ГОСТ 12.1.007;
ГОСТ 32419.
6.1.19. В настоящем Руководстве определение опасности ДВ и дезинфекционных средств при внутрижелудочном, накожном и ингаляционном путях поступления описано в соответствии с
ГОСТ 12.1.007 (табл. 6.1).
Таблица 6.1
Классификация веществ по степени воздействия на организм
Наименование показателя | Норма для класса опасности |
1 чрезвычайно опасные | 2 высокоопасные | 3 умеренно опасные | 4 малоопасные |
ПДК вредных веществ в воздухе рабочей зоны, мг/м3 | менее 0,1 | 0,1 - 1,0 | 1,1 - 10,0 | более 10,0 |
Средняя смертельная доза при введении в желудок, мг/кг | менее 15 | 15 - 150 | 151 - 5000 | более 5000 |
Средняя смертельная доза при нанесении на кожу, мг/кг | менее 100 | 100 - 500 | 501 - 2500 | более 2500 |
Средняя смертельная концентрация в воздухе, мг/м3 | менее 500 | 500 - 5000 | 5001 - 50000 | более 50000 |
6.1.20. Также можно использовать Классификацию опасности химический продукции, приведенную в
ГОСТ 32419. Она содержит 5 классов опасности химической продукции, имеющую острую токсичность по воздействию на организм
(табл. 6.2), вызывающую поражение(некроз)/раздражение кожи, серьезные повреждения/раздражения глаз, обладающую сенсибилизирующим, мутагенным, канцерогенным действием, воздействием на функцию воспроизводства и др.
Таблица 6.2
Классы опасности химической продукции, обладающей
острой токсичностью по воздействию на организм
Путь поступления в организм | Класс опасности |
1 | 2 | 3 | 4 | 5 |
DL50 при введении в желудок, мг/кг | <= 5 | > 5 <= 50 | > 50 <= 300 | > 300 <= 2000 | > 2000 <= 5000 |
DL50 при нанесении на кожу, мг/кг | <= 50 | > 50 <= 200 | > 200 <= 1000 | > 1000 <= 2000 | > 2000 <= 5000 |
CL50, пары, мг/м3 | <= 500 | > 500 <= 2000 | > 2000 <= 10000 | > 10000 <= 20000 | <= 20000 |
CL50, пыль и аэрозоль, мг/м3 | <= 50 | > 50 <= 500 | > 500 <= 1000 | > 1000 <= 5000 | <= 5000 |
| | ИС МЕГАНОРМ: примечание. Нумерация пунктов дана в соответствии с официальным текстом документа. | |
6.1.23. Установление лимитирующих критериев для дезинфекционных средств предполагает использование принятых методов определения основных параметров токсичности и опасности, а также выявления общетоксических, специфических и отдаленных эффектов.
6.1.24. Для проведения экспериментов используют основные виды половозрелых лабораторных животных - белых крыс, мышей, морских свинок и кроликов. При отборе животных для исследований используют метод случайной выборки. Животные должны быть одной линии, вида, возраста, пола, массы тела (мыши - 16 - 20 г; крысы - 180 - 350 г; морские свинки - 200 - 400 г; кролики - 2 - 3 кг). Максимальная разница в массе тела не может превышать 10%. Животные должны быть здоровыми, что обеспечивает предварительное наблюдение за ними в условиях карантина. В их пищевой рацион должны входить все необходимые компоненты для нормальной жизнедеятельности. При содержании в виварии они должны иметь свободный доступ к пище и воде.
6.1.25. В виварии необходимо контролировать содержание аммиака в воздухе (не более 0,2 мг/м3), температуру и влажность воздуха.
6.1.26. Изучение ингаляционного влияния дезинфекционного средства проводят в специальных затравочных камерах (0,5 - 1 - 2 м3), где создают статический режим воздействия средств в виде паров или аэрозоля. Экспозиция и уровни воздействия должны соответствовать условиям применения дезинфекционного средства.
6.1.27. Введение средства в желудочно-кишечный тракт проводят общепринятым способом с регламентированным количеством вводимого вещества в зависимости от вида животных.
6.1.28. Изучение влияния средства на кожу проводят на двух видах экспериментальных животных (кролики и морские свинки). Используют кроликов-альбиносов или породы "шиншилла", а также морских свинок светлой масти. Размер участка аппликации у кроликов (7 x 8) см, морских свинок - (5 x 5) см. Для опыта необходимы животные с чистой здоровой кожей. За 1 - 2 дня до эксперимента тщательно выстригают шерсть на симметричных участках спины (недопустимо применение депилятора!) по обе стороны от позвоночника с оставлением шерстного покрова между ними в 2 см. Один бок служит для аппликации изучаемого вещества, другой - для контроля. На время экспозиции животных фиксируют для предотвращения слизывания средства с кожи. Для кроликов применяют специальные станки или полужесткие "воротники". Морских свинок помещают в индивидуальные "домики". Исследуемое средство наносят на кожу из расчета 20 мг/см2 при экспозиции 4 ч. Общее время наблюдения после однократной аппликации средства - 2 недели.
6.1.29. В случае невозможности нанесения чистого вещества или при наличии выраженного раздражающего действия его применяют в разведенном виде. В качестве растворителя или разбавителя используют дистиллированную воду или модельную среду, имитирующую потовую жидкость. Средство наносят на поверхность кожи при температуре окружающей среды 18 - 24 °C. Для летучих веществ (их температура кипения до 160 °C) используют закрытый способ: компресс, наклейку капсул или часовых стекол и др. На контрольный участок кожи животного наносят чистый растворитель или разбавитель.
6.1.30. Выбор оцениваемых показателей интоксикации осуществляют с учетом данных литературы о механизме действия и токсикокинетике изучаемого средства, его ДВ. Необходимо использовать комплекс физиологических, биохимических и морфологических, а также токсикокинетических и других показателей, связанных с типом действия исследуемого вещества. Необходимо применение интегральных тестов, отражающих общее состояние организма (динамику массы и температуры тела, потребления пищи и воды, работоспособности, потребления кислорода, поведенческих реакций, иммунобиологической реактивности и др.). Если механизм действия исследуемого вещества известен заранее, целесообразно контролировать и специфические показатели на уровне систем, тканей и субклеточных структур. Поэтому при оценке токсичности и опасности средств и ДВ определяют динамику изменений массы тела, работоспособности, функционального состояния нервной, сердечно-сосудистой и дыхательной систем, функциональное состояние печени и почек, состав периферической крови.
6.1.31. В качестве дополнительных показателей целесообразно использовать данные исследований состояния эндокринной системы, иммунологической реактивности организма подопытных животных и др. После завершения экспериментов проводят морфологическое исследование животных с оценкой коэффициентов массы их внутренних органов.
6.1.32. Наряду с экспериментальным изучением токсичности дезинфекционных средств на животных проводят подтверждение их безопасности в реальных условиях применения.
6.1.33. Результаты всех токсикологических экспериментов подвергают статистической обработке принятыми методами (t-критерий Стьюдента, непараметрические критерии). Для признания выявленных изменений неблагоприятными принимают их выход за пределы

физиологических колебаний.
6.2. Методы изучения токсичности и опасности
дезинфицирующих средств
6.2.1. Перечень необходимых показателей токсичности и опасности:
1) Литературные данные по токсикологической характеристике ДВ, а также всех компонентов состава, включая вспомогательные: наполнители, стабилизаторы, антикоррозионные добавки, отдушки, красители и т.д.
2) Цель экспериментальных исследований - получение данных по следующим показателям:
- параметры острой токсичности средства (DL50) при введении в желудок, нанесении на кожу, внутрибрюшинном введении;
- острая ингаляционная опасность средства и его рабочих растворов в насыщающих концентрациях паров (C20);
- раздражающее действие на кожу средства и его рабочих растворов при однократном нанесении;
- раздражающее действие на глаза средства и его рабочих растворов при однократном нанесении;
- кумулятивный эффект средства (метод Лима);
- сенсибилизирующее действие средства (комплекс методов);
- ингаляционная опасность рабочих растворов дезинфицирующего средства в режимах применения - орошение, протирание. Определение порогов острого и подострого токсического действия при разных способах обработки поверхностей с расчетом зоны биоцидного действия;
- оценка безопасности остаточных количеств средства на обработанных объектах - медицинских изделиях из различных материалов, посуде, игрушках, обуви, тканях.
3) Исследование реальной опасности при моделировании условий применения (орошение, протирание, погружение) с учетом ингаляционного воздействия.
4) Комплексная токсикологическая характеристика дезинфицирующего средства, разработка мер предосторожности (требования техники безопасности) при работе, хранении, в аварийных ситуациях, первая доврачебная помощь при отравлении, условия транспортирования для включения в инструкцию по применению и в текст этикеток (тарной и бытовой).
6.2.2. Среднюю смертельную дозу (DL
50) дезинфицирующего средства при введении в желудок определяют на белых крысах или белых мышах. Выбирают 4 - 6 доз для получения кривой "доза - эффект". Начальная доза не должна вызывать гибель животных. Последующие дозы с постоянной кратностью повышают, пока вводимая доза не вызовет гибель всех животных. Средство вводят в желудок животным натощак (последний прием пищи за 2 ч до начала эксперимента) через зонд. Вводимый объем для мышей не должен превышать 0,5 - 1,0 см
3 в зависимости от массы животного; для крыс - 5 см
3. Кормление возобновляют через 3 ч после введения средства. У животных ежедневно в течение 14 дней регистрируют клиническую картину отравления и сроки гибели. При вскрытии погибших животных описывают макро-морфологические изменения в органах. При необходимости проводят их гистологическое исследование.
При оценке известных соединений или композиций допустимо определение DL50 методом одной точки (минимальная доза, вызывающая гибель животных при введении ряда доз с фиксированным интервалом, например, 1000, 2000, 3000, 4000 и 5000 мг/кг).
Расчет определяемого параметра проводят статистическими методами, принятыми для обработки экспериментальных исследований (например, методы Кербера или пробит-анализа). Класс опасности определяют по
ГОСТ 12.1.007 или
ГОСТ 32419 (
табл. 6.1 и
6.2).
6.2.3. Среднюю смертельную дозу (DL
50) изучаемого средства при нанесении на неповрежденные кожные покровы определяют на белых крысах или белых мышах однократным нанесением на кожу спины после предварительного (за 1 сутки до опыта) удаления волосяного покрова (без использования депиляторов). Средство наносят в 4 - 5 дозах (возможно в разведении в одинаковой концентрации). Площадь участка кожи на спине крыс 4x4 см, мышей - 2x2 см. Экспозиция - 4 ч. У животных регистрируют в течение 14 дней клинические проявления интоксикации и сроки гибели, при вскрытии описывают макроморфологические изменения внутренних органов. Расчет определяемого параметра проводят статистическими методами, принятыми для обработки данных экспериментальных исследований. Класс опасности определяют по классификации
ГОСТ 12.1.007 или
ГОСТ 32419 (
табл. 6.1 и
6.2).
6.2.4. Определение средней смертельной дозы (DL
50) при однократном введении в брюшную полость проводят для средств, применяемых для дезинфекции, стерилизации и предстерилизационной очистки медицинских изделий, контактирующих с внутренней средой организма. Исследования выполняют на мышах или крысах с использованием 4 - 6 доз с постоянной кратностью величин, определяя недействующую дозу и дозу со 100%-й гибелью животных. Максимальный объем введения изучаемого вещества для мышей составляет 0,5 см
3, крыс - 1 - 1,5 см
3. У животных регистрируют в течение 14 дней клинические проявления интоксикации и сроки гибели, при вскрытии описывают макроморфологические изменения во внутренних органах. Расчеты определяемого параметра проводят статистическими методами, принятыми для обработки экспериментальных исследований. Полученные результаты оценивают по классификации токсичности веществ при введении под кожу и в брюшную полость (по К.К. Сидорову)
(табл. 6.3).
Таблица 6.3
Классификация токсичности веществ при введении под кожу
и в брюшную полость животного (по К.К. Сидорову)
Класс токсичности | Степень токсичности | DL50 при введении (мг/кг): |
под кожу | в брюшную полость |
1 | Чрезвычайно токсично | <= 0,3 | <= 0,2 |
2 | Высоко токсично | 0,4 - 15 | 0,3 - 10,0 |
3 | Умеренно токсично | 16 - 150 | 11 - 100 |
4 | Мало токсично | 151 - 1500 | 101 - 1000 |
5 | Практически нетоксично | 1501 - 4500 | 1001 - 3000 |
6 | Относительно безвредно | > 4500 | > 3000 |
6.2.5. Определение острой ингаляционной опасности дезинфицирующих средств в насыщающих концентрациях их паров осуществляют в герметичных емкостях (эксикаторы, камеры), где создают условия свободного испарения средства в течение суток. Исследования проводят на белых мышах или крысах из расчета потребляемого объема воздуха на одно животное в час (2 дм
3 - на мышь и 5 - 7 дм
3 на крысу). Длительность экспозиции для мышей - 2 ч, крыс - 4 ч. В ходе эксперимента регистрируют клиническую картину отравления и гибель животных при наблюдении в течение 14 дней. После окончания воздействия животных обследуют по интегральным показателям. Опасность ингаляционного отравления дезинфицирующим средством характеризуется степенью проявления интоксикации. Ее оценивают по классификации химических веществ
(табл. 6.4).
Таблица 6.4
Классификация химических веществ по степени летучести (C20)
Класс опасности | Степень опасности и выраженность действия |
1 Чрезвычайно опасные | Насыщающая концентрация вызывает гибель |
2 Высокоопасные | Насыщающая концентрация вызывает отчетливые проявления интоксикации, гибель отсутствует |
3 Умеренно опасные | Насыщающая концентрация вызывает минимальные изменения интегральных показателей при обследовании животных |
4 Малоопасные | Насыщающая концентрация не оказывает токсического действия |
6.2.6. Изучение кумулятивных свойств дезинфицирующих средств проводят методом Лима в течение 24 +/- 4 дней при введении в желудок крыс или мышей. Начальная доза составляет 0,1 DL
50, ее вводят 4 дня, затем дозу каждый раз увеличивают в 1,5 раза до окончания опыта. В течение всего эксперимента регистрируют гибель животных. Среднюю летальную дозу при повторном воздействии (DL
50n) рассчитывают методами Кербера или пробит-анализа. Коэффициент кумуляции определяют по
формуле 6.1:

, где (6.1)
DL50 - средняя летальная доза при повторном воздействии.
Согласно классификации пестицидов различают 4 класса опасности:
- 1 класс | чрезвычайно опасные | (сверхкумуляция) | - | Ccum менее 1; |
- 2 класс | высокоопасные | (выраженная кумуляция) | - | Ccum от 1 до 3; |
- 3 класс | умеренно опасные | (умеренная кумуляция) | - | Ccum от 3,1 до 5; |
- 4 класс | малоопасные | (слабая кумуляция) | - | Ccum более 5. |
6.2.7. Исследования однократного раздражающего действия на кожу проводят на кроликах породы "шиншилла" или морских свинках светлой масти. Правый бок служит для аппликации изучаемого средства, левый - для контроля. Изучают раздражающее действие средства и его рабочих растворов. Время экспозиции - 4 ч, после опыта средство смывают водой. Состояние кожи оценивают визуально ежедневно в течение 14 дней. Отмечают функционально-морфологические нарушения состояния кожных покровов (эритема, отек, шелушение, сухость, трещины, изъязвления, некроз). Выраженность эритемы оценивают в баллах по классификации С.В. Суворова
(табл. 6.5).
Таблица 6.5
Оценка интенсивности раздражающего действия
химических веществ на кожу
Интенсивность эритемы (визуально) | Оценка эритемы по линейке С.В. Суворова, баллы |
Отсутствие эритемы | 0 |
Слабая (розовый тон) | 1 |
Умеренно выраженная (розово-красный тон) | 2 |
Выраженная (красный тон) | 3 |
Резко выраженная (ярко-красный тон) | 4 |
| |
Степень интенсивности отека | Толщина кожной складки, мм | Оценка отека, баллы |
кролики | морские свинки |
Отсутствие | 0 | 0 | 0 |
Слабая | до 0,5 | до 0,3 | 1 |
Умеренная | 0,6 - 1,0 | 0,4 - 0,6 | 2 |
Выраженная | 1,1 - 2,0 | 0,7 - 1,0 | 3 |
Резко выраженная | более 2,0 | более 1,0 | 4 |
6.2.7.1. Объективным методом оценки отека кожи служит измерение толщины кожной складки (в мм) при помощи инженерного микрометра, которая переводится в баллы
(табл. 6.5). Баллы по эритеме и отеку суммируют для каждого подопытного животного, после чего вычисляют средний суммарный балл для данной группы.
6.2.7.2. Выраженность раздражающего действия средства при однократной аппликации на кожу оценивают в соответствии с классификацией
(табл. 6.6).
Таблица 6.6
Классификация опасности по выраженности раздражающих свойств
дезинфицирующих средств на кожу
Выраженность раздражающего действия | Средний суммарный балл эритемы и величины отека | Классы опасности |
Резко выраженное | более 6 | 1 |
Выраженное | 4,1 - 6,0 | 2 |
Умеренное | 2,1 - 4,0 | 3 |
Слабое или отсутствие | 0 - 2,0 | 4 |
6.2.8. Раздражающее действие средства на глаза изучают на кроликах и морских свинках при однократном воздействии. Один глаз служит для нанесения средства, другой - контроль. Твердые средства вносят в конъюнктивальный мешок в виде порошка в количестве 50 мг, жидкие и рабочие растворы - по 1 - 2 капли. Изучение влияния аэрозольного состава на слизистую оболочку глаза проводят однократно. С расстояния 20 см глаз кролика орошают из аэрозольного баллона в течение 1 с. При этом необходимо исключить возможность вдыхания аэрозоля подопытным животным.
6.2.8.1. Отмечают выраженность гиперемии и отека конъюнктивы, инъекцию сосудов склер, состояние роговицы и радужной оболочки, количество и качество выделений из глаза, которые оценивают в баллах
(табл. 6.7).
Таблица 6.7
Оценка интенсивности раздражающего действия
средства на глаза
| Покраснение (века) и бульбарная конъюнктива (не затрагивающая роговицу и радужную оболочку) | Оценка, баллы |
Состояние сосудов нормальное | 0 |
Сосуды явно расширены больше нормы | 1 |
Разлитая гиперемия, отдельные сосуды трудноразличимы | 2 |
Диффузная ярко красного цвета гиперемия | 3 |
| Отек век |
Отека нет | 0 |
Слабый отек (включая мигательную перепонку) | 1 |
Явный отек и частичное выворачивание века | 2 |
Отек, веки наполовину закрылись | 3 |
Отек, веки закрыты более чем наполовину или полностью закрылись | 4 |
| Выделения |
Выделений нет | 0 |
Минимальное количество в углу глазной щели | 1 |
Количество выделений с увлажнением век и шерсти, прилегающей к векам | 2 |
Количество выделений с увлажнением век и шерсти и значительной площади вокруг глаз | 3 |
|
Роговица |
| Помутнение - степень плотности (участок наибольшей плотности) | баллы |
| Помутнения нет | 0 |
Рассеянное или диффузное, детали радужной оболочки хорошо видны | 1 |
Хорошо различимые полупрозрачные участки, детали радужной оболочки слегка замутнены. | 2 |
Участок с замутнением, детали радужной оболочки не видны, размер зрачка едва различим | 3 |
Непрозрачная, радужная оболочка не видна | 4 |
| Площадь поражения роговицы |
Одна четверть (или менее), но более нуля | 1 |
Более одной четверти, но менее половины | 2 |
Более половины, но менее трех четвертей | 3 |
Более трех четвертей, но менее всей площади | 4 |
|
6.2.8.2. Результаты обследования каждого животного суммируют и выносят заключение о степени и характере поражения глаз при воздействии на него изучаемого соединения или средства, указывают характер конъюнктивита (поверхностный, глубокий), наличие кератита. Класс по раздражающему действию дезинфицирующего средства оценивают по классификации выраженности раздражающих свойств на глаза
(табл. 6.8).
Таблица 6.8
Классификация опасности по выраженности раздражающих свойств
дезинфицирующих средств на глаза
Выраженность раздражающего действия | Средний суммарный балл: конъюнктива ( А + Б + В) + роговица ( А + Б) | Класс опасности |
Резко выраженное | более 11 | 1 |
Выраженное | 7 - 10 | 2 |
Умеренное | 4 - 6 | 3 |
Слабое | 1 - 3 | 4 |
Отсутствие | 0 | 5 |
6.2.8.3. Исследования раздражающего действия на кожу и на слизистую оболочку глаз можно проводить также согласно руководству <14>.
--------------------------------
<14> Р 1.2.3156-13 "Оценка токсичности и опасности химических веществ и их смесей для здоровья человека".
6.2.9. Оценку острой ингаляционной опасности рабочих растворов или готового к применению дезинфицирующего средства проводят в затравочных камерах, моделируя в статических условиях способы применения (орошение, протирание) с учетом режимов применения (нормы расхода, концентрации рабочих растворов, время экспозиции). Используют затравочные камеры различного объема (0,5; 1 и 2 м3) с вытяжной вентиляцией. При моделировании способа протирания или орошения в затравочной камере обрабатывают все боковые поверхности и пол в рекомендуемой рабочей концентрации, используя 1, 3 и 10 норм расхода. В острых опытах обработку проводят однократно. Время воздействия зависит от разработанного режима применения. В затравочных камерах контролируют температуру и влажность воздуха, определяют содержание летучих ДВ средства. Экспериментальных животных (белых крыс, белых мышей, морских свинок) обследуют сразу после окончания воздействия и через 24 ч по интегральным и лимитирующим показателям для дезинфицирующих средств. На основе проведенных исследований определяют порог острого действия (Limac) и рассчитывают зону острого биоцидного действия (Zac) по отношению порога острого действия к норме расхода (Limac/норма расхода).
По классификации ингаляционной опасности дезинфицирующих средств определяют класс опасности и оценивают сферу их безопасного применения
(табл. 6.9).
Таблица 6.9
Классификация степени ингаляционной опасности
дезинфицирующих средств по Zac
Класс опасности | | Рекомендуемые условия применения |
1 Высокоопасные | менее 1 | Использовать в экстремальных ситуациях, по эпидемиологическим показаниям в специальных защитных костюмах и противогазах |
2 Опасные | 1 - 3 | Использовать с СИЗ органов дыхания, глаз, кожи, в отсутствие больных и пациентов |
3 Умеренно опасные | 3,1 - 10 | Использовать без СИЗ, но в отсутствие пациентов и населения |
4 Малоопасные | более 10 | Использовать в присутствии пациентов и в быту (перспективно для текущей и профилактической дезинфекции) |
Порог подострого действия определяют по лимитирующему показателю и рассчитывают зону подострого биоцидного действия по отношению порога подострого действия к норме расхода (Lim
subac/норма расхода). Ингаляционную опасность при повторном воздействии средства (аэрозоли + пары или только пары) оценивают по зоне подострого биоцидного действия (
Zsubac)
(табл. 6.10).
Таблица 6.10
Классификация степени ингаляционной опасности
дезинфицирующих средств по Zsubac
Класс опасности | | Рекомендуемые условия применения |
Опасные | менее 10 | Использовать в практике с СИЗ органов дыхания, глаз, кожи, в отсутствие пациентов или населения |
Малоопасные | более 10 | Использовать в присутствии пациентов или в быту (для текущей и профилактической дезинфекции) |
| | ИС МЕГАНОРМ: примечание. Нумерация пунктов дана в соответствии с официальным текстом документа. | |
6.2.11. Изучение сенсибилизирующего действия проводят на морских свинках несколькими тестами: адъювантным Максимизационным (Guinea Pig Maximization Sensitization Test - GPMT) Магнуссона и Клигмана в соответствии с
ГОСТ 32375, методом Алексеевой-Петкевич или на белых мышах методом определения гиперчувствительности замедленного типа <15>.
--------------------------------
<15>
МУ 1.1.578-96 "Требования к постановке экспериментальных исследований по обоснованию предельно допустимых концентраций промышленных аллергенов в воздухе рабочей зоны".
6.2.11.1. Максимизационный тест на морских свинках (GPMT).
Опытная группа состоит из 10 животных, контрольная - из 5 животных. Опытной группе вводят 3 пары подкожных инъекций объемом 0,1 см
3 в межлопаточную и спинную области, очищенные от шерсти, дорсальной части спинно-грудного отдела по обе стороны позвоночного столба в соответствии с
рис. 6.1. Инъекции A и B вводят близко друг к другу в межлопаточную область, инъекцию C вводят в спинную область животного.
1 - голова; 2 - место введения внутрикожных инъекций
(A, B, C); 3 - позвоночный столб; 4 - хвост
Рис. 6.1. Схема расположения участков
для внутрикожных инъекций
Состав вводимого материала с инъекциями:
A - смесь ПАФ/дистиллированная вода 1 : 1 (по объему),
B - исследуемое средство,
C - исследуемое средство/ПАФ 1 : 1 (по объему).
Контрольной группе также вводят три пары подкожных инъекций объемом 0,1 см3 в межлопаточную и спинную области дорсальной части спинно-грудного отдела, очищенные от шерсти, по обе стороны позвоночного столба в те же места, что и опытной группе животных.
Состав вводимого материала с инъекциями:
A - смесь ПАФ/дистиллированная вода 1 : 1 (по объему),
B - дистиллированная вода,
C - смесь ПАФ/дистиллированная вода 1:1 (по объему).
Через 7 дней предварительно очищенные от шерсти участки кожи размером 2x4 см одного бока (тестовая область) животных опытной и контрольной групп обрабатывают 0,5 см3 50%-м лаурилсульфатом натрия в вазелине, чтобы вызвать местное раздражение кожи. На следующие сутки на ту же тестовую область опытной группы животных накладывают фильтровальную бумагу (размером 2x4 см), пропитанную исследуемым средством и окклюзионную повязку на 48 ч. На тестовую область контрольной группы животных накладывают фильтровальную бумагу (размером 2x4 см), пропитанную дистиллированной водой, и окклюзионную повязку на 48 ч.
Через 20 - 22 дня от начала эксперимента у животных опытной и контрольной групп с боков удаляют шерсть и накладывают на эту область фильтровальную бумагу (размером 2x4 см), пропитанную исследуемым средством, и окклюзионную повязку на 24 ч. Через 24 и 48 ч после удаления повязки регистрируют кожную реакцию по шкале Магнуссона - Клигмана:
0 - никаких видимых изменений;
1 - разрозненная или неоднородная эритема;
2 - умеренная и сплошная эритема;
3 - интенсивная эритема и отек.
При наличии сенсибилизации кожная реакция у подопытных животных равна 1 и выше, у контрольной группы менее 1. При получении сомнительной реакции проводят дополнительную провокационную пробу через 1 - 2 недели после первой провокации.
6.2.11.2. Метод комбинированной сенсибилизации морских свинок. Статистические группы состоят из 8 - 10 морских свинок. В кожу наружной поверхности уха опытной группы вводят 0,02 см
2 раствора, содержащего 200 мкг исследуемого средства, разведенного в подходящем растворителе (дистиллированная вода, физиологический раствор, спирт, диметилсульфоксид и др.). Контрольной группе животных в кожу наружной поверхности уха вводят растворитель в объеме 0,02 см
3.
Через 10 суток проводят первичное тестирование: на предварительно выстриженный участок бока животных из опытной и контрольной групп наносят исследуемое средство. У подопытных животных проверяют наличие или отсутствие эритемы, толщину кожной складки. Вторичное тестирование проводят после 7 дополнительных аппликаций на кожу предварительно подготовленного противоположного бока морских свинок из опытной и контрольной групп.
Через 1, 24 и 48 ч регистрируют реакцию. Выраженность эритемы оценивают визуально
(табл. 6.5). Величину отека кожи определяют, измеряя толщину кожной складки с помощью инженерного микрометра
(табл. 6.5). Баллы по эритеме и отеку суммируют для каждого подопытного животного и вычисляют средний суммарный балл для данной группы экспериментальных животных
(табл. 6.6).
После окончания эпикутанных аппликаций у животных проводят провокационную капельную кожную пробу, реакцию специфического лизиса лейкоцитов крови (РСЛЛ). Правомерно использование и других методов аллергодиагностики - как специфических, так и неспецифических.
6.2.11.3. Реакцию гиперчувствительности замедленного типа (далее - ГЗТ) проводят на мышах массой (20 +/- 0,5) г. В опытную и контрольную группу берут по 10 мышей, которых сенсибилизируют 10 мМ или 100 мкг изучаемого средства однократно внутрикожно в основание хвоста. Сенсибилизирующую дозу средства эмульгируют в 60 мкл смеси полного адъюванта Фрейнда (ПАФ) и раствора по типу Хенкса (pH 7,5), приготовленной в соотношении 1 : 1. Контрольным животным вводят 60 мкл данной смеси без добавления изучаемого средства.
Для выявления сенсибилизации через 5 суток в подушечку задней лапки мышей вводят такое же, как и при сенсибилизации, количество изучаемого средства (10 мМ или 100 мкг), растворенного в растворе по типу Хенкса. Через 24 ч измеряют инженерным микрометром толщину в мм обеих задних лапок. О величине отека судят по разнице в толщине обеих задних лапок (показатель ГЗТ).

, где (6.2)
ho - объем стопы в мм в опыте;
hk - объем стопы в мм в контроле.
Достоверным считают значения ИР более 5%.
Силу аллергенной активности оценивают по классификации для пестицидов и агрохимикатов <16>, приведенной в
табл. 6.11.
--------------------------------
<16>
СанПиН 1.2.2584-10 "Гигиенические требования к безопасности процессов испытаний, хранения, перевозки, реализации, применения, обезвреживания и утилизации пестицидов и агрохимикатов".
Таблица 6.11
Гигиеническая классификация по аллергенности пестицидов
КЛАССЫ ОПАСНОСТИ |
1 | 2 | 3 | 4 |
Чрезвычайно опасные | Опасные | Умеренно опасные | Малоопасные |
Достаточные доказательства аллергенности для человека в эпидемиологических и/или клинико-аллергологических исследованиях, подтвержденные специфическими аллерготестами, в сочетании или при отсутствии доказательств сенсибилизирующего действия на животных | Ограниченные доказательства аллергенности для человека в эпидемиологических и/или клинико-аллергологических исследованиях (при ограниченных возможностях специфического аллерготестирования) в сочетании с достаточными доказательствами сенсибилизирующего действия на животных | Достаточные доказательства сенсибилизирующего действия на животных | Отсутствие сенсибилизирующего эффекта в рамках стандартного протокола исследований |
Подкласс A | Подкласс B | Подкласс A | Подкласс B | |
Достаточные доказательства чрезвычайно сильного сенсибилизирующего действия на животных: развитие сенсибилизации при всех способах ее воспроизведения у 100% животных при высокой достоверности (p < 0,001 - 0,01) отличий среднегрупповых показателей специфических аллерготестов in vivo и in vitro | Достаточные доказательства сильного сенсибилизирующего действия на животных: развитие сенсибилизации при всех способах ее воспроизведения у 50% животных при достоверном (p < 0,01 - 0,05) отличии среднегрупповых показателей специфических аллерготестов in vivo и in vitro | Умеренный аллерген: развитие сенсибилизации при более чем у 30% животных при достоверном (p < 0,05) отличии среднегрупповых показателей специфических аллерготестов in vivo и in vitro | Слабый аллерген: развитие сенсибилизации у единичных (менее 30%) животных при отсутствии достоверного отличия среднегрупповых показателей специфических аллерготестов in vivo и in vitro |
6.2.12. Дезинфицирующие средства после обработки различных объектов, оставаясь на поверхностях, могут попадать в организм человека через желудочно-кишечный тракт, слизистые оболочки, кожные покровы, через кровь, оказывая вредное воздействие. Поэтому необходимо удаление остаточных количеств этих средств до безопасных уровней. Для оценки токсичности остаточных количеств дезинфицирующих средств исследуют смывы и вытяжки с медицинских изделий из различных материалов (металлы, стекло, резины натуральные и силиконовые, полимерные); кувезов для недоношенных детей; игрушек из резин и полимерных материалов; тканей разного состава; посуды столовой, кухонной, лабораторной; пищевых продуктов (скорлупа яиц, овощи, фрукты, зелень); технологического оборудования на предприятиях пищевой и перерабатывающей промышленности, общественного питания, обработанных дезинфицирующими средствами.
6.2.12.1. Моделирование условий дезинфекции медицинских изделий, игрушек, посуды, технологического оборудования предприятий пищевой и перерабатывающей промышленности проводят с помощью следующих тест-образцов:
- медицинских изделий из металлов и стекла (шприцы, стоматологические боры и др.);
- медицинских изделий из резин натуральных и силиконовых, полимеров (пластмасс) размером 2 - 3 см;
- из нержавеющих металлов размером 2 - 10 см;
- комплект посуды (тарелка, чашка).
Для моделирования условий дезинфекции пищевых продуктов используют образцы яиц, овощей (огурец, помидор), фруктов (яблоко, виноград) и свежей зелени (петрушка, укроп и др.), навеска пробы - 3 г.
Для моделирования условий обработки внутренних поверхностей кувезов используют идентичный материал, из которого они изготовлены (полимеры) площадью 10x10 см2.
6.2.12.2. Для проведения испытаний проводят обработку тест-образцов дезинфицирующими средствами в соответствии с рекомендованным режимом применения, изложенным в инструкции по применению средства. Комплект тест-образцов из различных материалов погружают (каждый комплект в отдельную емкость) в раствор дезинфицирующего средства при температуре, соответствующей режиму дезинфекции в условиях применения средства, приведенной в инструкции на него. Выдерживают в течение рекомендованного времени воздействия. Затем тест-образцы извлекают, дают стечь остаткам раствора и помещают в новую емкость для отработки режима отмыва:
- под проточной водой (струя воды за 5 с заполняет емкость на 500 см3);
- способом многократного погружения в воду в разные емкости;
- способом многократного протирания салфеткой, смоченной в чистой воде.
6.2.12.3. Для получения смывов и вытяжек в качестве модельной среды используют дистиллированную воду. Смывы делают с тест-образцов из металлов, стекла, пластмассы, игрушек (из полимерных материалов, резин натуральных и силиконовых), посуды столовой, кухонной и с образцов овощей, фруктов, зелени; вытяжки - с тест-образцов из резин натуральных и силиконовых, полимерных материалов. Под проточной водой тест-образцы отмывают в течение определенного времени (от 0,5 мин и более). Время, необходимое для отмыва изделий от дезинфицирующих средств, определяют экспериментальным путем, используя для этого короткие интервалы в 1 - 2 мин. Одновременно используют несколько тест-образцов одного вида. Через выбранные промежутки времени тест-образцы извлекают, погружают в контейнер для экстракции с дистиллированной водой и помещают в термостат при температуре 37 +/- 2 °C.
Условия приготовления смывов и вытяжек представлены в
табл. 6.12,
где: S - площадь поверхности (см2) тест-образца;
V - объем модельной среды (см3, дистиллированной воды);
N - количество изделий.
Таблица 6.12
Условия приготовления вытяжек
Вид текст-образца | S (см2) : V (см3) (поверхность/объем модельной среды) | N : V (количество изделий/объем модельной среды) | Длительность экстракции/смывов, час |
Резины натуральные | 2/1 (40 см2/20 см3) | - | 24 |
Резины силиконовые | 2/1 (40 см2/20 см3) | - | 24 |
Пластмасса (полимеры) | 2/1 (40 см2/20 см3) | - | 24 |
Металлы | - | 2 - 3/100 см3 | 2 |
Стекло | - | 2 - 3/100 см3 | 2 |
Посуда столовая | - | 2/500 см3 | 2 |
Яйца | - | 1/75 - 100 см3 | 2 |
Овощи (огурец, помидор) | - | 1/100 - 200 см3 | 2 |
Фрукты (яблоко, виноград) | - | 1/100 - 150 см3 | 2 |
Зелень (укроп, петрушка) (3 г) | - | 1/100 см3 | 2 |
Игрушки | 1/2 (см2/см3) | - | 3 |
Ткани разного состава | 10 x 10/250 (см2/см3) | - | 24 |
6.2.12.4. Для отмыва тест-образцов способом многократного погружения в воду готовят несколько комплектов тест-образцов и емкостей с 0,5 дм
3 воды. Первый комплект тест-образцов после обработки дезинфицирующими средствами извлекают, дают стечь раствору и помещают в контейнер для экстракции соответствующего объема с модельной средой, затем ставят в термостат согласно условиям, указанным в
табл. 6.12. Следующий комплект после однократного отмыва при погружении на определенное время (от 3 мин и более) также помещают в соответствующий контейнер с модельной средой и ставят в термостат. Время, необходимое для отмыва изделий от дезинфицирующих средств, определяют экспериментальным путем, используя для этого интервалы в 2 - 3 мин. Аналогично проводят исследования с остальными комплектами при двукратном или трехкратном погружении.
6.2.12.5. Для оценки безопасности остаточных количеств дезинфицирующих средств на обработанной поверхности (кувезов для недоношенных детей) используют тест-образцы из идентичного материала площадью 10x10 см2. После окончания дезинфекции поверхности протирают марлевой салфеткой площадью 15x15 см2, которую затем погружают в емкость с 25 см3 дистиллированной воды и ставят в термостат при температуре 37 °C (отрицательный контроль) на 24 ч. Для удаления остатков дезинфицирующих средств поверхность тест-образца протирают чистой тканевой салфеткой, смоченной водой. Затем повторяют смыв новой марлевой салфеткой, которую также погружают в контейнер для экстракции с 25 см3 дистиллированной воды и помещают в термостат при температуре 37 °C на 24 ч. Так повторяют несколько раз для установления безопасных остаточных количеств дезинфицирующих средств на поверхности кувеза.
6.2.12.6. На предприятиях пищевой и перерабатывающей промышленности оборудование состоит из различных металлов и полимерных материалов. Отмыв внутренних (закрытых) поверхностей технологического оборудования и емкостей, коммуникаций, съемных деталей оборудования, рабочих столов и транспортеров, производственного и уборочного инвентаря, тары проводят проточной водой с обязательным контролем остаточных количеств дезинфицирующих средств. Содержание ДВ в смыве не должно превышать значения ПДК/ОДУ в воде водных объектов хозяйственно-питьевого и культурно-бытового водопользования. Для оценки безопасности технологического оборудования на предприятиях пищевой и перерабатывающей промышленности при необходимости исследуют смывные воды после режима дезинфекции и рекомендованного времени отмыва. Смывные воды берут из трубопровода в количестве 0,3 дм
3 и последующий анализ проводят в лаборатории. Для взятия смывов с рабочих столов, транспортеров используют марлевую салфетку площадью 15x15 см
2 и протирают поверхность оборудования площадью 10x10 см
2. Салфетку погружают в контейнер для экстракции с дистиллированной водой в количестве 25 см
3, который помещают в термостат согласно условиям, указанным в
табл. 6.12. Контрольный контейнер для экстракции заполняют дистиллированной водой с чистой марлевой салфеткой.
6.2.12.7. Далее безопасность остаточных количеств дезинфицирующих средств оценивают методами in vitro (по выбору): по исследованию двигательной активности сперматозоидов под воздействием химических соединений, содержащихся в вытяжках из изучаемых образцов <17>, по оценке цитотоксического действия в культуре клеток <18>.
--------------------------------
<17>
МР 1.1.0121-18 "Оценка общетоксического действия парфюмерно-косметической продукции методом in vitro (на культуре подвижных клеток".
<18> МУ 15-6/21 "Методические указания по использованию культуры диплоидных клеток человека, рекомендуемых для токсиколого-гигиенических исследований".
6.2.13. Оценку реальной опасности дезинфицирующих средств проводят в условиях, моделирующих их практическое применение. В специально выделенном помещении поверхности, предназначенные для обработки, должны быть из разных материалов: масляная краска, стекло, кафельная плитка, линолеум, полимерный материал. Их обрабатывают рекомендуемым способом (протирание, распыление, орошение) с заданной нормой расхода и рекомендуемыми рабочими растворами. Распыливающая аппаратура должна иметь точные характеристики по дисперсности образуемых аэрозольных частиц. Помещение должно быть оборудовано приточно-вытяжной вентиляцией, потому что после обработки необходимо отработать режим проветривания в зависимости от времени воздействия. После окончания каждого эксперимента в помещении проводят влажную уборку.
В течение эксперимента ведут химический контроль воздуха на содержание ДВ дезинфицирующего средства. Интервалы между отбором проб устанавливают в каждом конкретном случае. Обязательно берут фоновую пробу, а затем в момент обработки, в конце воздействия и после проветривания с интервалом 15 - 30 - 60 мин. Далее - по необходимости, в зависимости от конкретного средства и степени его летучести. Критериями безопасности являются гигиенические нормативы содержания вещества в воздухе рабочей зоны для персонала, проводящего обработки, и в атмосферном воздухе городских и сельских поселений для пациентов медицинских организаций и населения. В этом эксперименте проверяют безопасность рекомендуемых мер предосторожности.
6.2.14. Критерии оценки токсичности и опасности дезинфицирующих средств на первом этапе исследований:
1) Дезинфицирующие средства, которые по параметрам острой токсичности относятся к 1 - 2 классам опасности по
ГОСТ 12.1.007 при введении в желудок и нанесении на кожу, к 1 - 2 классам токсичности по классификации К.К. Сидорова (при введении в брюшную полость), к 1 классу опасности по Классификации химических веществ по степени летучести (C
20) при ингаляции в насыщающих концентрациях паров, не используют для дальнейшего изучения.
2) Дезинфицирующие средства, обладающие выраженным аллергенным эффектом (1 класс - чрезвычайно опасные) также не используют для дальнейшего изучения.
3) Отбирают менее опасные дезинфицирующие средства, которые оценивают дифференцированно с учетом условий использования в разных областях и сферах применения, и проводят углубленное изучение с учетом рабочих растворов, способов обработки, условий и режимов применения.
6.2.15. Критерии оценки токсичности и опасности дезинфицирующих средств на втором этапе исследований:
1) Острое ингаляционное действие дезинфицирующего средства (пары или аэрозоли + пары) оценивают по зоне острого биоцидного действия
Zac, которую рассчитывают по отношению величины полученного порога острого действия к норме расхода. На этой основе устанавливают класс опасности по классификации степени ингаляционной опасности дезинфицирующих средств и определяют возможные условия применения
(табл. 6.9).
2) Ингаляционную опасность при многократном повторном воздействии дезинфицирующего средства (пары или аэрозоли + пары) оценивают по зоне подострого биоцидного действия:
- при Zsubac менее 10 - средство можно использовать со средствами защиты органов дыхания, глаз, кожи в отсутствие пациентов или населения;
- при Zsubac более 10 - можно рекомендовать для использования в присутствии пациентов и населением в быту (перспективно для текущей и профилактической дезинфекции).
Пороги подострого действия определяют по лимитирующему специфическому показателю: аллергенный эффект, раздражающее действие
(табл. 6.10).
3. Выраженность раздражающего действия дезинфицирующих средств и рабочих растворов на кожу и глаза оценивают по соответствующим классификациям (
табл. 6.6 и
6.7):
- дезинфицирующие средства, относящиеся к 1 - 2 классам опасности (резко выраженное и выраженное раздражающее действие) при аппликациях на кожу и глаза, могут использовать только специалисты дезинфекционной службы с защитой кожи рук и глаз;
- дезинфицирующие средства, относящиеся к 3 - 4 классам опасности (умеренное, слабое или отсутствие раздражающего действия), могут быть рекомендованы для использования специалистами и населением в быту;
- рабочие растворы дезинфицирующих средств 3 класса опасности при однократных аппликациях на кожу и глаза разрешены для использования только специалистами дезинфекционной службы;
- рабочие растворы дезинфицирующих средств 4 класса опасности при однократных аппликациях на кожу и глаза могут быть рекомендованы для использования специалистами и населением в быту.
4. Дезинфицирующие средства, относящиеся по аллергенной активности ко 2 классу опасности
(табл. 6.11) разрешены для использования в медицинских организациях только обученным персоналом с применением средств индивидуальной защиты в отсутствие пациентов, в очагах инфекционных болезней при заключительной дезинфекции и генеральных уборках - с последующей влажной уборкой и проветриванием помещений.
Дезинфицирующие средства, относящиеся по аллергенной активности к 3 классу опасности, для дезинфекции в медицинских организациях разрешаются с ограничениями: к работе с ними не допускают лиц с аллергическими заболеваниями и с повышенной чувствительностью к химическим веществам.
Дезинфицирующие средства, относящиеся по аллергенной активности к 4 классу опасности, могут использоваться без ограничений в медицинских, детских организациях, на объектах коммунального хозяйства и населением в быту.
5. Режимы отмыва медицинских изделий и других обрабатываемых объектов от дезинфицирующих средств соответствуют условиям безопасного использования, если вытяжки или смывы:
- по It укладываются в норму от 70 до 120%;
- не оказывают цитотоксического действия в ККЛ;
- если их гемолитическое действие не превышает 2%.
6.2.16. Критерии оценки токсичности и опасности дезинфицирующих средств на третьем этапе исследований:
1) Для оценки реальной опасности дезинфицирующих средств при моделировании условий их применения (орошение, аэрозолирование, протирание) с учетом ингаляционного воздействия рассчитывают фактор безопасности (
SF) по
формуле 6.3:

, где (6.3)
SF - фактор безопасности;
Kфак. - фактическая концентрация средства в воздухе рабочей зоны;
ПДКр.з. (ОБУВ) - гигиенический норматив в воздухе рабочей зоны.
В случае, когда SF > 1, реальная опасность средства высокая (как для персонала, проводящего обработки, так и для пациентов), и при работе с ним необходимо соблюдение условий безопасного применения и мер предосторожности с использованием средств индивидуальной защиты.
В случае, когда SF < 1, реальная опасность средства низкая и его можно рекомендовать для широкого применения при текущей и профилактической дезинфекции специалистами и населением в быту.
2) Ограничения использования дезинфицирующих средств:
- для обработки мягкой мебели и ковровых покрытий нельзя использовать ДВ, которые адсорбируются на мягких поверхностях, накапливаются при повторных обработках и не могут быть удалены при влажной уборке;
- для обеззараживания поверхностей в помещениях (за исключением предприятий фармацевтической промышленности), игрушек, посуды, изделий из ткани не допускается применять средства на основе альдегидов;
- на предприятиях общественного питания запрещено использовать средства на основе альдегидов и фенолов;
- средства на основе спиртов (с содержанием в средстве более 25%) не рекомендуется использовать на предприятиях общественного питания для обработки поверхностей в присутствии посетителей; следует ограниченно применять (не более 1/10 поверхности от общей площади помещения) для обработки малых поверхностей;
- в средствах, содержащих перекись водорода, уксусную и надуксусную кислоты (НУК), не допускается содержание НУК более 16% ввиду высокой ингаляционной опасности таких средств.
6.2.17. На заключительном третьем этапе проводят анализ и обобщение полученных данных, составляют протокол или научный отчет, разрабатывают разделы по безопасности в инструкцию по применению дезинфицирующего средства в медицинских организациях, на объектах коммунального хозяйства и др. с характеристикой его токсичности и опасности, рекомендациями необходимых мер предосторожности, средств индивидуальной защиты, а также мер первой помощи при отравлении. Указывают меры предосторожности при хранении средства.
6.2.18. Практические испытания необходимы при изучении дезинфицирующего средства, содержащего в своем составе новое, ранее не применявшееся ДВ.
Проводят санитарно-химический контроль воздуха в помещениях на содержание летучих ДВ средства для проверки безопасности рекомендованных мер предосторожности.
Все выявленные у добровольцев побочные явления вносят в Индивидуальную регистрационную карту испытуемого. С их помощью собирают информацию о побочных действиях дезинфицирующего средства в процессе его испытаний. Результаты оформляют в виде отчета о выполненных исследованиях.
При положительных результатах испытаний в практических условиях дезинфицирующие средства рекомендуют к государственной регистрации и применению в практике медицинской дезинфекции.
6.3. Оценка токсичности и опасности дезинфицирующих средств,
предназначенных для использования на предприятиях
пищевой и перерабатывающей промышленности
6.3.1. Перечень необходимых токсикологических показателей:
- данные литературы о токсичности и общей токсичности изучаемого средства, его метаболизму, отдаленным проявлениям, экологической безопасности;
- острая токсичность при введении в желудок (DL50);
- острая ингаляционная опасность средства и рабочих растворов в насыщающих концентрациях паров по степени летучести;
- раздражающее действие на кожу средства и его рабочих растворов (однократно);
- раздражающее действие на глаза средства и его рабочих растворов (однократно);
- сенсибилизирующие свойства методом определения ГЗТ;
- безопасность остаточных количеств дезинфицирующих средств на технологическом оборудовании, контактирующем с продуктами питания и сырьем.
- обоснование правил техники безопасности и средств индивидуальной защиты с учетом условий применения, меры доврачебной первой помощи при отравлении средством, условия хранения и транспортирования.
Исследования проводят по схеме изучения дезинфицирующих средств (
п.п. 6.2.2 -
6.2.12). Отрабатывают режим отмыва дезинфицирующего средства до безопасных остаточных количеств. Разрабатывают метод контроля ДВ средства в смывах с оборудования в соответствии с гигиеническим нормативом для питьевой воды.
6.3.2. Оценку безопасного применения проводят по критериям для дезинфицирующих средств (
п.п. 6.2.13 -
6.2.18).
6.3.3. Запрещается применение средств:
- относящихся к 1 классу опасности при потенциально опасных путях поступления в организм (через рот, кожные покровы, при вдыхании);
- с сенсибилизирующим эффектом;
- с ДВ из группы альдегидов и фенолов.
6.4. Оценка токсичности и опасности средств
для предстерилизационной очистки и стерилизации
медицинских изделий (включая эндоскопы)
6.4.1. Средства, предназначенные для предстерилизационной очистки медицинских изделий, изучают по общей схеме изучения дезинфицирующих средств, предназначенных для дезинфекции медицинских изделий (
п.п. 6.2.2 -
6.2.12).
6.4.2. Критерии отбора и оценки безопасного применения проводят по критериям для дезинфицирующих средств (
п.п. 6.2.13 -
6.2.18).
6.4.3. Изучение токсичности и опасности средств, предназначенных для стерилизации медицинских изделий, включая эндоскопы. Перечень необходимых показателей токсичности и опасности с учетом особенностей назначения и условий применения:
- острая токсичность при введении в желудок (DL50);
- острая токсичность при нанесении на кожу (DL50);
- острая токсичность при введении в брюшную полость (DL50);
- острая ингаляционная опасность средства и его рабочих растворов в насыщающих концентрациях паров;
- раздражающее действие на кожу средства и его рабочих растворов (однократно);
- раздражающее действие на глаза средства и его рабочих растворов (однократно);
- сенсибилизирующее действие методом определения ГЗТ;
- отработка режима отмыва медицинских изделий.
6.4.4. Критерии оценки токсичности, опасности и отбора стерилизующих средств для применения:
1) Не разрешены средства, обладающие специфическими отдаленными эффектами (мутагенным, эмбриотропным, гонадотоксическим, тератогенным, канцерогенным), 1 - 2 класса опасности.
2) Запрещены средства, обладающие аллергенным действием, 1 - 2 класса опасности.
3) Запрещены средства, относящиеся к 1 классу опасности при однократном введении в желудок.
6.4.5. Остальные показатели оценивают по критериям, указанным в
пп. 6.2.13 -
6.2.18.
6.4.6. На основе анализа полученных экспериментальных данных разрабатывают меры предосторожности и средства индивидуальной защиты при работе со стерилизующими средствами с учетом условий применения и хранения, меры по оказанию первой помощи при отравлении.
6.5. Методы изучения токсичности и опасности
кожных антисептиков
6.5.1. Схема оценки кожных антисептиков в основном совпадает со схемой изучения дезинфицирующих средств
(п. 6.2). Основное внимание уделяют оценке раздражающего, кожно-резорбтивного и сенсибилизирующего эффектов. Изучение проводят поэтапно.
На 1 этапе отбора до постановки экспериментов на животных необходимо собрать литературные сведения об изучаемом средстве и его основных компонентах: составе и физико-химические свойствах всех компонентов (растворимость в воде, жирах, величина pH), их токсикологическая характеристика, включая отдаленные эффекты.
На 2 этапе углубленных исследований антисептических средств основное внимание уделяют изучению лимитирующих эффектов в субхроническом эксперименте (1 месяц; для новых ДВ и ранее неизученных ДВ - 3 месяца): раздражающего и кожно-резорбтивного действия с учетом разработанных режимов и условий их применения. Для гарантии безопасности продолжительного применения средства в эксперименте необходимо оценить его в норме расхода и с 3 - 10-кратным ее превышением, (т.е. с определением зоны опасности), что достигается увеличением дозы, экспозиции и площади аппликации средства.
6.5.2. Исследования средства в условиях практического применения включают два подэтапа: ограниченные испытания на добровольцах и расширенные клинические испытания средства (в случае изучения нового ДВ). На этом этапе исследуют барьерно-защитные функции кожи, возможные аллергические реакции, проводят анкетный опрос лиц, применявших кожные антисептики на практике.
6.5.3. Перечень необходимых токсикологических показателей кожных антисептиков:
- острая токсичность при введении в желудок (DL50);
- острая токсичность при нанесении на кожу (DL50);
- острая ингаляционная опасность в насыщающих концентрациях паров (C20°);
- раздражающее действие на неповрежденную кожу;
- раздражающее действие на поврежденную кожу;
- раздражающее действие на слизистые оболочки глаз;
- кожно-резорбтивное действие;
- сенсибилизирующее действие;
- испытания средства в практических условиях.
На основе проведенных исследований разрабатывают рекомендации по мерам предосторожности при работе и хранении средства (для включения в текст этикетки, инструкцию по применению).
6.5.4. Одной из особенностей изучения кожных антисептиков, предназначенных для обработки операционных и инъекционных полей, является изучение их местного действия на "скарифицированную" (поврежденную) кожу лабораторного животного.
6.5.5. Определение средней смертельной дозы средства при однократном введении в желудок и нанесении на кожу (DL
50) проводят описанными выше методами (
п.п. 6.2.2 -
6.2.3.). Ингаляционную опасность средства по степени летучести определяют согласно
п. 6.2.4 и соответствующей классификации
(табл. 6.4).
6.5.6. Кожно-резорбтивное действие кожных антисептиков оценивают в подостром эксперименте в течение 20 - 30 дней в зависимости от назначения средства.
6.5.6.1. Исследования проводят на крысах путем открытых накожных аппликаций средства на кожу спины в норме расхода, а также в 3- и 10-кратно завышенных нормах расхода (или режимах применения). Площадь для нанесения средства составляет 2x2 см. Для новых ДВ длительность эксперимента - 1 - 3 месяца. Норму расхода средства устанавливают, исходя из рекомендуемого режима его применения, по результатам микробиологических исследований (т.е. по эффективности). Обычно для гигиенической обработки рук рекомендуют 3 см3 на одну обработку, а для рук хирургов, как правило, от 3 до 5 см3 средства при двукратной обработке. Условно принято, что гигиеническую обработку рук проводят 10 раз в день, при этом расходуют 30 см3 средства. Хирурги используют средство 2 - 3 раза в день, расходуя 18 - 30 см3. Исходя из этого, ведут пересчет нормы расхода средства на массу тела человека и животного.
В опытах на животных для гарантированной оценки безопасности применения рекомендуемых средств используют широкий набор общетоксических и специфических тестов (физиологических, биохимических, морфологических и др.) в зависимости от механизма действия ДВ или др. компонентов средства. Оценивают общее состояние животных, их поведение, аппетит, состояние волосяного и кожного покровов. Еженедельно фиксируют динамику массы тела. Раз в месяц исследуют функциональное состояние печени, почек, морфологический состав периферической крови, а также основных систем организма: нервной, сердечно-сосудистой. После окончания эксперимента для новых ДВ необходимо гистологическое исследование кожи и внутренних органов.
6.5.6.2. "Пробирочный метод". Животных (мыши или крысы) помещают в специальные "домики", хвосты опускают в пробирку с изучаемым средством на 2/3 длины. Экспозиция - 2 или 4 ч соответственно. Затем средство смывают. В подостром опыте каждый раз используют новую порцию средства. За время эксперимента регистрируют состояние кожных покровов в местах контакта со средством, видимые проявления интоксикации, гибель животных.
6.5.6.3. При оценке токсичности и опасности кожных антисептиков для детей разного возраста используют животных (чаще потомство крыс) с отбором по возрасту в соответствии с данными, приведенными в
табл. 6.13. Для изучения кожно-резорбтивного действия кожных антисептиков для детей с 1 года оптимальными являются крысята в возрасте 1,5 - 2 недели. Наиболее подходящим возрастом для изучения средств, предназначенных для детей с 3 лет, являются крысята-отъемыши 3 - 4-недельного возраста с массой тела 40 - 50 г. Использование животных старшего возраста (30- и 45-дневных) позволяет изучать средства, предназначенные для детей 4 - 7 лет.
Таблица 6.13
Соответствие постнатального развития белых крыс и человека
(по Махинько, Никитин, 1975)
Период жизни крыс | Возраст крыс, мес. | Возраст человека, лет/мес. |
Ранний молочный | 0 - 0,25 | 1 - 6 мес. |
Средний молочный | 0,25 - 0,5 | 6 - 12 мес. |
Поздний молочный | 0,5 - 1,0 | 1 - 3 года |
1,0 - 1,5 | 3 - 7 лет |
Предпубертатный | 1,5 - 2,0 | 8 - 11 лет |
Пубертатный | > 2,0 | 12 - 17 лет |
6.5.7. В настоящее время в кожных антисептиках используют хорошо изученные ДВ: этиловый, изопропиловый, пропиловый спирты, 2-феноксиэтанол, хлоргексидина биглюконат, алкилдиметилбензиламмония хлорид (бензалкония хлорид), дидецилдиметилбензиламмония хлорид. В этом случае, если кожный антисептик не содержит других мало изученных ДВ, кожно-резорбтивное действие таких средств, предназначенных для взрослых, не изучают. Допустимое содержание часто используемых ДВ приведено в
табл. 6.14.
Таблица 6.14
Диапазон содержания ДВ в кожных антисептиках
ДВ | Содержание в средствах, % |
Этиловый спирт | 65 - 70 |
Изопропиловый спирт | 65 - 70 |
Пропиловый спирт | 65 - 70 |
Алкилдиметилбензиламмония хлорид | 0,05 - 0,2 |
Дидецилдиметиламмония хлорид | 0,05 - 0,2 |
N,N-бис(3-аминопропил)додециламин | 0,05 - 0,1 |
2-Феноксиэтанол | 0,05 - 2,0 |
Хлоргексидина биглюконат | 0,05 - 1,0 |
6.5.8. Общие рекомендации по выявлению раздражающего действия даны в
п. 6.2.7. Длительность эксперимента на лабораторных животных устанавливают, исходя из рекомендуемых режимов применения конкретного кожного антисептика на практике. Для средств однократного и эпизодического применения (обеззараживание кожи операционного и инъекционного полей у пациентов, локтевых сгибов доноров) изучение на животных можно ограничить 2-недельным сроком. Средства для использования профессиональным контингентом (например, для гигиенической обработки и обеззараживания кожи рук хирургов и медицинского персонала) подлежат изучению в субхроническом (от 1 до 3 месяцев) эксперименте в зависимости от степени изученности ДВ. Изучение проводят как в рекомендуемых, так и аггравированных режимах с 10-кратным превышением нормы расхода - доз, концентраций, экспозиций, площадей.
Раздражающее действие кожных антисептиков оценивают визуально и количественно: определяют цвет, тургор, эластичность кожи, наличие шелушения, геморрагических корочек, трещин и т.п. Выраженность эритемы оценивают визуально по балльной шкале по классификации дезинфицирующих средств
(табл. 6.5). Величину отека кожи определяют, измеряя толщину кожной складки с помощью инженерного микрометра, и переводят в баллы
(табл. 6.5). Целесообразно также использовать лабораторные методы оценки состояния кожных покровов, определяя температуру, pH и др.
6.5.9. Для кожных антисептиков, предназначенных для обработки операционных и инъекционных полей, дополнительно изучают раздражающее действие средства на скарифицированную (поврежденную) кожу. Ее повреждают нанесением глубоких царапин иглой в виде сетки (#) до появления крови. На опытный участок кожи средство наносят ежедневно в течение 10 дней, на контрольный (также поврежденный) наносят эталонный антисептик - 70%-й этиловый спирт. Ведут наблюдение за процессом заживления нанесенных повреждений в течение 1 - 2 недель.
6.5.10. Раздражающее действие мыла с антибактериальным действием. Длительность экспериментальных исследований на лабораторных животных устанавливают с учетом рекомендуемых режимов его применения. Главное отличие мыла от кожных антисептиков - кратковременная экспозиция при использовании и более высокие концентрации ПАВ и ДВ. Поэтому изучение раздражающего действия мыла на кроликах или морских свинках проводят как для средств разового и эпизодического применения - в течение 10 дней, при экспозиции 0,5 - 1 ч с последующим смыванием.
6.5.11. Для выявления контактной сенсибилизации кожных покровов наиболее адекватным является комбинированный метод с первоначальной внутрикожной сенсибилизацией морских свинок
(п. 6.2.11.2). В случае отсутствия у средства раздражающего действия на слизистую оболочку глаз при однократном воздействии используют конъюнктивальные разрешающие пробы. Допустимо применение и других методов оценки сенсибилизирующего эффекта с учетом потенциально опасного (накожного) пути воздействия средства.
6.5.12. Определение и оценка безопасности кожных антисептиков методом in vitro (общетоксическое и раздражающее действие на кожу). Исследования проводят на специальном приборе (анализаторе изображений), в котором с помощью программного обеспечения оценивают двигательную активность подвижных клеток (сперматозоидов быка) под воздействием химических соединений, содержащихся в экстракциях из изучаемых образцов кожного антисептика, по сравнению с пробами, не содержащими токсичных веществ. Указанный метод не применяют для изучения кожных антисептиков, содержащих в составе перекись водорода, соединения хлора.
6.5.12.1. Для проведения испытаний готовят разведение испытуемого образца антисептика в дистиллированной воде в соотношении 1 : 700 и 1 : 200. Колбы с испытуемым раствором и контрольной дистиллированной водой помещают в термостат с температурой 37 °C на 1 ч. После окончания экспозиции растворы охлаждают до комнатной температуры. Затем в испытуемые растворы добавляют сухие реактивы - глюкозу (4 г) и цитрат натрия (1 г) на 100 см3. Далее испытания проводят в соответствии с руководством пользователя прибора (анализатора изображений).
6.5.12.2. Оценку результатов испытаний проводят сравнением полученного значения индекса токсичности для исследованного антисептика и допустимого интервала этого индекса:
- антисептик, у которого величина индекса токсичности, полученная при разведении средства 1 : 700, составляет менее 70% или более 120% (т.е. выходит за пределы нормы), будет обладать раздражающим действием на кожу, и поэтому дальнейшее исследование этого средства не проводят. Такой антисептик не может быть рекомендован для использования;
- если значение индекса токсичности при разведении 1 : 700 находится в диапазоне от 70% до 120% и при разведении 1 : 200 значение индекса токсичности менее 70% или более 120%, необходимо изучение раздражающего действия антисептика на коже кроликов. В этом случае антисептик изучают по общепринятой схеме;
- величина индекса токсичности в интервале от 70% до 120%, полученная при разведении антисептика 1 : 200, гарантирует, что данный антисептик не обладает раздражающим действием на кожу. Дальнейшее изучение токсичности и опасности антисептика выполняют по общепринятой схеме, при этом оценку раздражающего действия на кожу кроликов не проводят.
6.5.13. Испытания кожных антисептиков в практических условиях. Кожные антисептические средства, получившие положительную оценку безопасности в экспериментальных исследованиях на животных, подлежат изучению на добровольцах в специализированных аккредитованных организациях при соблюдении этических принципов проведения исследований.
6.5.13.1. До этапа клинических испытаний желательно проведение ограниченных испытаний на добровольцах (10 - 25 человек) с оценкой барьерно-защитных функций кожи. Испытания проводят в соответствии с
ГОСТ Р 57473.
6.5.13.2. На этом этапе проводят предварительные специальные исследования: определяют pH кожи, ее электросопротивляемость, количество липидов и другие физиологические показатели. Необходима проверка на добровольцах аллергенных свойств средства (кожные пробы, "лоскутная проба", пробы in vitro и др.). При возникновении у испытуемых каких-либо побочных явлений дальнейшие испытания прекращают.
6.5.13.3. Положительные результаты этого этапа позволяют перейти к широким практическим испытаниям на базе 2 - 3 клиник (с общим числом участников не менее 50 человек) под наблюдением врачей основных специальностей - терапевта, дерматолога, аллерголога и др. Результаты клинических испытаний оформляют в виде отчета. Подтверждением безопасности использования средства является отсутствие у 95% испытуемых проявлений побочного действия. Все выявленные у добровольцев побочные явления вносят в индивидуальную регистрационную карту испытуемого.
6.5.14. Критерии оценки токсичности, опасности и отбора кожных антисептиков.
1. Кожные антисептики, которые по параметрам острой токсичности относятся к 1 - 2 классам опасности по
ГОСТ 12.1.007 при введении в желудок, к 1 - 3 классам опасности по
ГОСТ 12.1.007 при нанесении на кожу, запрещены к использованию.
2. Кожные антисептики, обладающие раздражающим действием на кожу при повторном нанесении и сенсибилизирующим эффектом, также запрещены к использованию.
3. Ограничение сферы применения:
- кожные антисептики, обладающие кожно-резорбтивным действием в 3 нормах расхода, разрешают только для обработки инъекционных и операционных полей и локтевых сгибов доноров;
- кожные антисептики, обладающие кожно-резорбтивным действием в 10 нормах расхода, допускают для использования профессиональным контингентом (обработка рук медперсонала и хирургов);
- средства, не обладающие кожно-резорбтивным действием в 10 нормах расхода, разрешают для широкого применения: обработки рук хирургов, гигиенической обработки рук, кожи инъекционного и операционного полей, а также гигиенической обработки рук работников коммунальной сферы и населения.
6.5.15. В состав кожных антисептиков и дезинфицирующих средств для обеззараживания воды не рекомендуется включать полигексаметиленбигуанид гидрохлорид (CAS N 27083-27-8 и 32289-58-0) и полигексаметиленгуанидин гидрохлорид (CAS 57028-96-3). Полигексаметиленбигуанид гидрохлорид (CAS N 27083-27-8 и 32289-58-0) является веществом, оказывающим канцерогенное действие (класс 2); обладающим сенсибилизирующим действием при контакте с кожей (класс 1B), избирательной токсичностью на органы-мишени и/или системы при многократном ингаляционном воздействии (класс 1), острой и хронической токсичностью для водной среды (класс 1); относящимся к особо стойким токсичным веществам. Полигексаметиленгуанидин гидрохлорид (CAS 57028-96-3) обладает сенсибилизирующим действием при контакте с кожей (класс 1B), избирательной токсичностью на органы-мишени и/или системы при однократном воздействии (класс 1), острой токсичностью для водной среды (класс 1).
6.5.16. В составе кожных антисептиков для детей можно использовать ДВ с детальной и всесторонней характеристикой его токсичности: возрастной и видовой чувствительности, раздражающих, сенсибилизирующих и резорбтивных свойств при лимитирующем кожном пути поступления в организм.
Необходимы сведения о результатах длительного и положительного опыта применения кожных антисептиков на основе данного ДВ взрослым контингентом.
Кожные антисептики для детей должны иметь надежный коэффициент запаса (не менее 10) по отношению к величине их предельно допустимого уровня (ПДУ) на кожу.
Поэтому для новых ДВ кожных антисептиков, предназначенных для детей, необходимо обосновать ПДУ на кожу (4 класса опасности).
6.5.17. Для гигиенической обработки рук у детей следует использовать рецептуры на водной основе (с меньшим содержанием ДВ, использованием в качестве ДВ веществ природного происхождения, введением вспомогательных компонентов, обладающих фотозащитным, противоаллергическим, ранозаживляющим действиями).
6.5.18. Кожные антисептики на основе этилового и изопропилового спиртов (без добавления ЧАС) можно применять для гигиенической обработки рук у детей старше 12 лет. Для обработки инъекционного и операционного полей (эпизодическое применение) рекомендуются кожные антисептики на основе этилового и изопропилового спиртов для детей всех возрастов.
6.6. Методы изучения токсичности и опасности средств
для обеззараживания групповых и индивидуальных
запасов питьевой воды
6.6.1. Оценка безопасности средств обеззараживания индивидуальных и групповых запасов питьевой воды имеет свои особенности, поскольку применение средств подобного назначения рассчитано на ограниченный по времени особый период, чаще всего в зонах чрезвычайных ситуаций, когда для питья необходимо использовать воду из поверхностных источников водоснабжения. Для таких средств на первом месте стоит обеспечение эпидемиологической безопасности обработанной ими воды, а уже на втором - их химическая безопасность. Они рассчитаны на высокое микробное и органическое загрязнения природной воды и содержат заведомо высокие концентрации дезинфектантов. Поэтому сложившийся подход к изучению этих средств включает опыт лекарственной токсикологии.
6.6.2. Изучение токсичности средств для обеззараживания индивидуальных и групповых запасов питьевой воды проводят поэтапно:
I этап. Доклинические исследования средств на лабораторных животных в целях их отбора на применение:
- состав средств, их физико-химические свойства, вредные примеси;
- острая токсичность при различных путях введения;
- раздражающее действие на кожу и слизистые оболочки глаз;
- кумулятивный эффект;
- сенсибилизирующее действие.
II этап. Доклинические исследования обеззараженной средствами питьевой воды для регламентации продолжительности ее применения:
- химико-аналитические исследования обеззараженной воды;
- оценка токсичности дезинфицирующего средства в рекомендуемых эффективных концентрациях в подостром эксперименте на животных с определением Limsubac (мг/кг/день) при введении в желудок;
- расчет Zsubac.bioc.eff = Limsubac/суточная норма расхода средства для человека;
- изучение отдаленных эффектов (при необходимости);
- рекомендации по продолжительности использования человеком обеззараженной воды.
III этап. Клинические испытания на добровольцах обеззараженной питьевой воды в режиме применения для подтверждения безопасной продолжительности ее использования:
- оценка санитарно-эпидемиологической безопасности обеззараженной воды;
- оценка качества обеззараженной воды;
- клинико-лабораторные исследования;
- заключение о возможности применения средства для обеззараживания индивидуальных и групповых запасов питьевой воды.
6.6.3. Перечень определяемых и оцениваемых на первом этапе показателей:
- определение ДВ средств и их физико-химических свойств;
- острая токсичность при введении в желудок (DL50);
- острая токсичность при нанесении на кожу (DL50);
- ингаляционная опасность в насыщающих концентрациях паров по степени летучести (C20);
- кумулятивный эффект (Ccum);
- раздражающее действие на кожу повторно (10 аппликаций);
- раздражающее действие на слизистые оболочки глаз;
- сенсибилизирующие свойства;
- отдаленные эффекты (по показаниям): эмбриотропный, гонадотропный, мутагенный, канцерогенный.
6.6.4. На этом этапе проводят изучение острой токсичности средств, их кумулятивного эффекта, раздражающего действия на кожу и слизистые оболочки, сенсибилизирующих свойств и - по показаниям - отдаленных эффектов. Составляют также характеристику токсичности основных компонентов, входящих в состав средства.
В состав средства не должны входить субстанции, относящиеся к 1 классу опасности, с выраженными аллергенными свойствами, а также обладающие специфическими отдаленными эффектами (эмбриотропным, гонадотропным, мутагенным, канцерогенным).
6.6.5. Изучение токсичности обеззараженной питьевой воды на втором этапе доклинических исследований. В зависимости от местных природных и санитарных условий, а также эпидемической обстановки перечень контролируемых показателей качества воды может быть расширен.
В случае несоответствия обеззараженной воды Санитарным
правилам <19>, для решения вопроса о возможности ее применения для питьевых целей необходимо проведение подострого (до 3 месяцев) токсикологического эксперимента, моделирующего на животных натурные условия потребления природной воды, обеззараженной в эффективных бактерицидных режимах.
--------------------------------
<19>
СанПиН 2.1.4.1175-02 "Гигиенические требования к качеству воды нецентрализованного водоснабжения. Санитарная охрана источников".
6.6.5.1. Химико-аналитические исследования начинают с определения в обеззараженной воде содержания дезинфицирующих средств и возможных продуктов их трансформации. Так, при дезинфекции воды хлорсодержащими соединениями, необходимо проводить определение содержания свободного и связанного хлора и суммы галогеносодержащих соединений (далее - ГСС), особенно при обработке воды, в которой присутствуют органические соединения (в частности, гуминовые производные). Содержание и уровень в обеззараженной воде ГСС прогнозирует опасность развития отдаленных эффектов (мутагенного, канцерогенного), что делает необходимой оценку такой воды на указанные проявления действия. Для этого используют природную воду в соответствии с заданными по техническому заданию свойствами.
6.6.5.2. Основным видом исследований является оценка опасности средств в рекомендуемом режиме применения, т.е. исходя из их суточной нормы (N) расхода человеком. Эти исследования позволяют определить пороговый уровень при пероральном введении в дозах, соответствующих 1/2, 1, 3 нормам расхода и выше.
Основной целью исследований на этом этапе является выявление у животных начальных пороговых изменений (Limsubac) по лимитирующим эффектам. В эксперименте, во-первых, проводят ежедневный контроль суточного потребления животными воды (оценка ее потребительских вкусовых свойств), а также токсического влияния на желудочно-кишечный тракт (в т.ч. проявления дисбактериоза), печень, репродуктивную функцию. Необходим также контроль обратимости выявленных изменений в восстановительном периоде.
В подостром токсикологическом эксперименте на крысах моделируют условия потребления животными воды из природных водоемов, обеззараженной дезинфицирующим средством в эффективных бактерицидных режимах. Оценивают комбинированное воздействие на организм обеззараженной воды с учетом ее многокомпонентного состава, продуктов трансформации в воде и возможных примесей.
При сравнении токсичности средств на пороговых уровнях с их суточной нормой расхода определяют зону биоцидного эффекта (Zsubac.bioc.eff). По ее величине устанавливают класс опасности средств в эффективном режиме применения и определяют конкретные условия их применения.
6.6.5.3. Определение порога подострого действия у животных в подостром эксперименте проводят на белых крысах обоего пола. Подопытным животным спаивают обеззараженную воду из природных источников с ежедневной регистрацией ее суточного потребления, а контролю - водопроводную воду.
Для определения Limsubac используют комплекс лимитирующих показателей, отражающих, в первую очередь, органолептические свойства воды, а также проявления ее общетоксического и специфического действия на основные органы и системы организма (желудочно-кишечный тракт, микрофлору кишечника, состояние печени, почек и др. органов). При необходимости изучают репродуктивную функцию, влияние на развитие потомства первого поколения, мутагенный эффект.
Расчет зоны подострого биоцидного эффекта средства по
формуле 6.4:

, где (6.4)
Limsubac - пороговая доза при подостром введении средства в желудок.
6.6.6. Окончательная проверка безопасности для человека рекомендованных в эксперименте на животных режимов применения обеззараженной воды проходит на
3 этапе при испытаниях на добровольцах.
Клинические испытания необходимо проводить при проверке новых рецептур дезинфицирующих средств на основе новых ДВ.
Вначале дают санитарно-гигиеническую оценку обеззараженной воды, включающую определение ее физико-химических и органолептических свойств. Испытания обеззараженной воды на добровольцах проводят в соответствии с
ГОСТ Р 57473. При клинических испытаниях у добровольцев необходимо оценивать состояние желудочно-кишечного тракта и печени. Подтверждением безопасности использования обеззараженной воды является отсутствие у 95% испытуемых проявлений побочного действия. Все выявленные у добровольцев побочные явления вносят в индивидуальную регистрационную карту испытуемого.
По результатам проведенных исследований дают окончательное заключение о возможности и безопасных сроках применения человеком обеззараженной дезинфектантами питьевой воды.
6.6.7. Оценку органолептических свойств обеззараженной воды проводят по ее мутности, цвету, запаху и привкусу. На предварительном этапе эти показатели оценивают полуколичественно (в баллах). Полученные величины сопоставляют с их допустимыми нормативами в питьевой воде (не более 3 баллов). К оценке запаха и привкуса привлекают дегустаторов (не менее 5 - 7 человек). Характер запаха воды определяется при температуре 20 °C и 60 °C, а привкуса - при температуре 20 °C и 40 °C. Интенсивность запаха (и привкуса) оценивается по соответствующей 5-балльной шкале
(табл. 6.15).
Таблица 6.15
Шкала интенсивности запаха, привкуса
Характер проявления | Оценка интенсивности в баллах |
Не ощущается | 0 |
Не ощущается населением, но обнаруживается опытным дегустатором | 1 |
Замечается населением, если обратить на это его внимание | 2 |
Легко обнаруживается и вызывает неодобрительный отзыв | 3 |
Обращает на себя внимание и заставляет воздерживаться от питья | 4 |
Настолько сильный, что делает воду непригодной для употребления | 5 |
6.6.8. Оценка реальной опасности обеззараженной воды. При хлорировании обеззараженной воды ее опасность связана с присутствием в ней хлора. Для постоянного потребления питьевой воды концентрация остаточного хлора не должна быть выше 0,5 мг/л. Однако при кратковременном использовании воды эта концентрация может быть превышена: допускается непрерывное потребление обеззараженной воды в течение 7 - 10 суток при содержании в ней остаточного хлора до 10 мг/л.
6.6.9. Критерии безопасности применения обеззараженной питьевой воды.
1. Согласно
ГОСТ Р 56998 критерием оценки опасности средств является
Zsubac.bioc.eff. Данная величина характеризует степень опасности средства при обеззараживании воды. В зависимости от нее установлены следующие условия использования средства:
Zsubac bioc eff более 1 - рекомендуется для обеззараживания воды;
Zsubac bioc eff равная 1 - допустимо для обеззараживания воды по эпидемиологическим показаниям;
Zsubac bioc eff менее 1 - недопустимо для обеззараживания воды.
2. Показатели качества воды:
- органолептические свойства обеззараженной воды в режиме применения (запах, привкус) - не более 3 баллов;
- концентрация ДВ в обеззараженной воде не должна превышать ПДКВ;
- концентрация продуктов трансформации ДВ и продуктов трансформации, образующихся под влиянием ДВ, в воде не должна превышать их ПДКВ;
- концентрация в воде др. компонентов, входящих в состав средства, не должна превышать их ПДКВ.
3. Основанием для рекомендаций по длительности использования обеззараженной воды человеком является экспериментально установленное время (дни) появления пороговых изменений (Limsubac) у лабораторных животных при потреблении обработанной воды или время наступления снижения ее потребления:
- применение обеззараженной воды допустимо в течение месяца при установлении Limsubac через 90 и более дней;
- применение обеззараженной воды допустимо в течение 10 - 15 дней при установлении Limsubac в диапазоне от 30 до 60 дней;
- применение обеззараженной воды допустимо в течение 7 дней при установлении Limsubac в диапазоне от 15 до 20 дней;
- применение обеззараженной воды недопустимо при установлении Limsubac через 3 дня.
4. Расчет длительности использования обезвреженной воды можно также проводить по соотношению минимальной эффективной обеззараживающей концентрации (МЭОК) и ПДКв по ДВ (МЭОК/ПДКв):
<= 1 | - разрешается применение обеззараженной воды без ограничения продолжительности; |
> 1 - 5 | - разрешается применение обеззараженной воды в течение 30 дней; |
> 5 | - разрешается применение обеззараженной воды в течение 10 - 15 дней; |
> 10 | - применение обеззараженной воды недопустимо. |
6.6.10. Показания к проведению практических испытаний - использование в составах дезинфицирующих средств новых ДВ или др. компонентов.
6.7. Методы изучения токсичности и опасности средств
для обеззараживания воды плавательных бассейнов
6.7.1. Обработанная дезинфицирующими средствами вода плавательных бассейнов может оказывать на человека комплексное воздействие в связи с поступлением дезинфицирующего средства через органы дыхания, кожные покровы и желудочно-кишечный тракт при ее случайном заглатывании.
6.7.2. По своему составу и качеству обеззараженная вода плавательных бассейнов должна соответствовать
нормативам <20>. В качестве основных методов обеззараживания воды используют хлорирование, бромирование, озонирование, ультрафиолетовое облучение, а также их комбинации.
--------------------------------
<20>
СанПиН 2.1.2.1188-03 "Плавательные бассейны. Гигиенические требования к устройству, эксплуатации и качеству воды. Контроль качества".
6.7.3. Средства, предназначенные для обеззараживания воды плавательных бассейнов, по назначению, составу, физико-химическим свойствам, эффективности, гигиеническим характеристикам должны соответствовать параметрам, заявленным изготовителем. Дезинфицирующие средства в процессе применения не должны:
- оказывать вредного действия на здоровье человека при комплексном воздействии через кожу, заглатывании воды, вдыхании паров в эффективных обеззараживающих концентрациях;
- приводить к поступлению в воду и/или образованию химических веществ в опасных концентрациях;
- ухудшать органолептические свойства воды.
6.7.4. Дезинфицирующие средства, представляющие смеси постоянного состава, подлежат изучению как одно вещество. При отсутствии информации о каком-либо компоненте в отношении него проводят исследования в полном объеме.
6.7.5. Санитарно-эпидемиологическую оценку средства проводят с учетом процентного содержания входящих в него компонентов.
6.7.6. Исследования по санитарно-эпидемиологической оценке безопасности дезинфицирующих средств должны быть дифференцированы в зависимости от химического строения, степени изученности и широты применения и проводиться в определенной последовательности. Полный объем исследований для ранее неизученных дезинфицирующих средств с новыми ДВ включает:
1. Эколого-гигиенические исследования:
- аналитическое определение химического состава средства, наличия вредных примесей с обоснованием идентичности заявленным свойствам
(табл. 6.16), стабильность средства обеззараживания воды в течение заявленного срока хранения;
Таблица 6.16
Показатели для контроля за содержанием примесей
в рабочих растворах реагентов
ДВ | Контролируемые примеси |
Гипохлориты, хлор газообразный | Ртуть, соединения брома, тяжелые металлы и другие неорганические вещества |
Диоксид хлора | Ртуть, соединения брома, тяжелые металлы и другие неорганические вещества |
Ди- и трихлор изоциануровые кислоты | Ртуть, соединения брома, тяжелые металлы и другие неорганические вещества |
Четвертичные аммониевые соединения | Бензилхлорид |
Пероксиды | Ртуть, соединения брома, тяжелые металлы и другие неорганические вещества |
Полигексаметиленгуанидин | Гуанидина гидрохлорид |
Гексаметиленимин |
Гексаметилендиамин |
- исследование способности средства к межсредовому распределению (вода-воздух);
- изучение процессов трансформации средства в воде, оценка опасности продуктов трансформации, выбор индикаторного вещества;
- оценку влияния средства на органолептические свойства воды плавательных бассейнов и установление пороговой концентрации по органолептическому признаку вредности.
2. Токсикологические исследования:
- определение острой токсичности средства при введении в желудок и нанесении на кожу (DL50);
- изучение раздражающего, кожно-резорбтивного и сенсибилизирующего действия средства;
- установление пороговой дозы хронического действия средства при пероральном поступлении в организм лабораторных животных (ПД
энт) с оценкой влияния на органы и системы, репродуктивную функцию, а также с учетом иммунотоксического, мутагенного и канцерогенного действия (изучение специфических и отдаленных эффектов можно проводить в соответствии с Руководством
<21>);
- обоснование допустимой суточной дозы (ДСД) средства;
- определение сравнительной токсичности средства при пероральном, ингаляционном и транскутанном поступлении в организм и расчет коэффициентов относительной токсичности (орально-ингаляционного (Ко/и), орально-транскутанного (Ко/к));
- обоснование ПДК средства в воде плавательных бассейнов на основании ДСД с учетом реальных факторов экспозиции при пероральном, ингаляционном и транскутанном поступлении в организм.
--------------------------------
<21> Р.1.2.3156-13 "Оценка токсичности и опасности химических веществ и их смесей для здоровья человека".
3. Разработку метода измерения содержания ДВ и/или индикаторного вещества в воде с нижним пределом измерения <= 0,5 ПДК.
4. Сопоставление бактерицидных и безвредных концентраций средства и разработка рекомендаций к его применению для обеззараживания воды плавательных бассейнов.
5. Новые дезинфицирующие средства должны проходить испытания в реальных условиях применения в соответствии с разработанной в аккредитованных учреждениях программой.
6.7.7. Целью аналитических исследований является оценка опасности примесей (исходных и промежуточных продуктов синтеза, тяжелых металлов, стабилизаторов и т.д.) и определение соответствия средства по содержанию основных компонентов предъявленному паспорту, стандартам и/или техническим условиям. На основании результатов аналитических исследований рассчитывают концентрации выявленных примесей, которые могут поступать в воду при применении средства в дозе, соответствующей 3 МЭОК. Содержание примесей не должно превышать 0,5 ПДКВ для этих веществ.
6.7.8. Изучение процессов трансформации дезинфицирующего средства и его влияния на органолептические свойства воды плавательных бассейнов проводят в соответствии с методическими
указаниями <22>. По результатам экспериментов устанавливают пороговую концентрацию (ПК
орг) по органолептическому признаку вредности как самого средства, так и продуктов его трансформации.
--------------------------------
<22>
МУ 2.1.5.720-98 "Обоснование гигиенических нормативов химических веществ в воде водных объектов хозяйственно-питьевого и культурно-бытового водопользования".
6.7.9. По результатам токсикологических исследований определяют опасность средства по отдельным видам специфической и избирательной токсичности. Средства, способные вызывать аллергенный, мутагенный и канцерогенный эффекты, не допускают к применению для обеззараживания воды плавательных бассейнов. Для средств, вызывающих другие виды эффектов, устанавливают пороговые дозы по каждому из них и выбирают наименьшую.
6.7.10. Основным количественным критерием для обоснования ПДК средства в воде плавательных бассейнов является допустимая суточная доза (далее - ДСД). Ее рассчитывают по
формуле 6.5:

, где (6.5)
ДСД - допустимая суточная доза, мг/кг;
ПДэнт - пороговая доза при хроническом пероральном воздействии, мг/кг;
Кзап - коэффициента запаса.
S - интегральный показатель опасности.
Показатель "
S" зависит от величины средней смертельной дозы, пороговой дозы, установленной в хроническом эксперименте, зоны хронического действия. Его рассчитывают по
формуле 6.7:
S = 0,37 (0,5
Y1 +
Y2 + 1,25
Y3), где (6.7)
Y
1...3 - приведенное значение токсикометрического параметра, определяемое с использованием аналитических зависимостей
(табл. 6.17).
Таблица 6.17
Аналитические зависимости для расчета приведенных значений
токсикометрических параметров (Y)
Показатель токсикометрии | Вид аналитической зависимости для определения приведенного значения параметра, Yi |
Средняя смертельная доза, DL50, мг/кг | при DL50 < 15 | Y1 = | 1 |
при DL50 >= 15 | 1,3 - 0,26 lg DL50 |
Пороговая доза хронического действия, ПДхр, мг/кг | при ПДэнт < 0,0005 | Y2 = | 1 |
при 0,0005 <= ПДэнт <= 0,005 | |
при ПДэнт > 0,005 | 0,312 - 0,097 lg ПДэнт |
Зона биологического действия, Zbiol | при Zbiol > 105 | Y3 = | 1 |
при Zbiol <= 105 | 0,215 lg Zbiol - 0,075 |
6.7.11. При обосновании ПДК в воде плавательных бассейнов учитывают вероятность комплексного действия средства при пероральном, транскутанном или ингаляционном поступлении в организм. Для этого необходимо учитывать различия в токсичности средства при разных путях поступления. Основным количественным критерием сравнительной токсичности средства является коэффициент относительной токсичности. В зависимости от пути поступления различают:
- орально-ингаляционный коэффициент (К
о/и) показывает во сколько раз токсичность средства при поступлении в желудочно-кишечный тракт ниже (выше), чем при ингаляционном поступлении
(формула 6.8):

, где (6.8)
Ко/и - орально-ингаляционный коэффициент;
ПДор - пороговая доза при субхроническом введении в желудок, мг/кг;
ПДинг - пороговая доза при субхроническом ингаляционном воздействии, мг/кг.
- орально-транскутанный коэффициент (
Ко/к) показывает во сколько раз токсичность вещества при поступлении с водой ниже (выше), чем при поступлении через кожу
(формула 6.9):

, где (6.9)
Ко/к - орально-транскутанный коэффициент;
ПДор - пороговая доза при субхроническом введении в желудок, мг/кг;
ПДкож - пороговая доза при субхроническом транскутанном поступлении, мг/кг.
Коэффициенты рассчитывают по соотношению пороговых доз, обоснованных в не менее чем 30-суточных экспериментах. Ко/к допустимо рассчитывать по соотношению пороговых доз однократного действия.
Для сопоставимости пороговых уровней при ингаляционном и пероральном поступлении ингаляционные пороговые концентрации (ПК
инг., мг/м
3) пересчитывают в дозы (ПД
инг.) по
формуле Флюри 6.10:

, где (6.10)
t - время экспозиции, мин;
V - минутный объем дыхания, м3/мин (для белой мыши - 2,5 x 10-5 м3/мин, белой крысы - 7,3 x 10-5 м3/мин);
m - масса лабораторного животного, кг.
Обязательным условием является использование одинаковых критериев для обоснования пороговых доз и концентраций.
6.7.12. Обоснование ПДК средства проводят на основе ДСД с учетом реальных факторов экспозиции в плавательном бассейне:
- объем заглатываемой жидкости - 0,1 л/ч;
- продолжительность сеанса купания (с учетом пловцов-спортсменов) - 3 ч;
- средний вес тела человека (с учетом детей) - 45 кг;
- объем дыхания (с учетом повышенной физической нагрузки) - 3 м3/ч.
6.7.12.1. Если в эксперименте доказано, что средство не обладает кожно-резорбтивным действием и не способно к испарению из воды в воздух (константа закона Генри Н < 2 x 10
-7 атм·м
3/моль), ПДК в воде рассчитывают по
формуле 6.11:

, где (6.11)
ДСД - допустимая суточная доза, мг/кг;
M - средняя масса пловцов с учетом детей, кг;
V - объем заглатываемой жидкости, л/ч;
t - продолжительность сеанса купания, ч.
6.7.12.2. Учитывая вероятность комплексного поступления в организм пероральным, транскутанным и ингаляционным путями, ПДК
В средства рассчитывают по
формулам 6.12 и
6.13, исходя из величины ДСД, уменьшенной на кожную и/или ингаляционную составляющие:

, где (6.12)
ДД
энт = ДСД - ДД
кож - ДД
инг где (6.13)
ДДэнт. - допустимая доза, поступающая в организм при заглатывании воды плавательного бассейна, мг/кг;
ДДкож. - допустимая доза, поступающая в организм транскутанно при купании, мг/кг;
ДДинг. - допустимая доза, поступающая в организм при вдыхании средства, испаряющегося из воды, мг/кг.
6.7.12.3. Для средств, способных к кожно-резорбтивному действию, ДД
кож рассчитывают с учетом доли экспонированной в эксперименте поверхности тела животного (0,1), различий в соотношениях поверхности тела к массе у человека (
s/
mчел = 257 см
2/кг) и экспериментальных животных, на которых изучали транскутанную токсичность (
s/
mжив для белых крыс = 1517 см
2/кг, для морских свинок - 1200 см
2/кг), а также с учетом различий в энтеральной и транскутанной токсичности средства по
Ко/к относительной токсичности,
формула 6.14:

, где (6.14)
ДДкож - допустимая доза, поступающая в организм транскутанно при купании, мг/кг;
ДСД - допустимая суточная доза, мг/кг;
s/mчел - соотношение поверхности тела к массе у человека, см2/кг;
s/mжив - соотношение поверхности тела к массе у животных, см2/кг;
Ко/к - орально-транскутанный коэффициент.
6.7.12.4. Для экстраполяции данных о транскутанной токсичности средства, полученных на белых крысах,
формула 6.15 приобретает следующий вид:
ДД
кож = 0,017·ДСД·
Ко/к, мг/кг, где (6.15)
ДДкож - допустимая доза, поступающая в организм транскутанно при купании, мг/кг;
ДСД - допустимая суточная доза, мг/кг;
Ко/к - орально-транскутанный коэффициент.
6.7.12.5. Для средств, способных к межсредовому распределению "вода - воздух", ДД
инг рассчитывают с учетом ПДК средства в воздухе в зоне дыхания пловцов (ПДК в атмосферном воздухе) по
формуле 6.16:

, где (6.16)
ПДКвозд - ПДК в атмосферном воздухе (в воздухе в зоне дыхания пловцов), мг/м3;
Vдых - объем дыхания с учетом повышенной физической нагрузки, м3/ч;
t - продолжительность сеанса купания, ч;
M - средняя масса пловцов с учетом детей, кг.
6.7.12.6. Величину ПДК сопоставляют с пороговой концентрацией средства по органолептическому признаку вредности и наименьшую из них принимают в качестве итоговой ПДК с указанием соответствующего (органолептического или санитарно-токсикологического) лимитирующего признака вредности.
6.7.13. Санитарно-эпидемиологическую оценку результатов изучения эффективности и безопасности средств обеззараживания воды плавательных бассейнов осуществляют по следующим критериям:
- соотношение ПДК и минимальной эффективной обеззараживающей концентрации средства и продуктов его трансформации - (если соотношение ПДК/МЭОК < 1, средство не рекомендуется к применению для обеззараживания воды плавательных бассейнов);
- соотношение МНК местного раздражающего действия и минимальной эффективной обеззараживающей концентрации препарата (если МНКр.д./МЭОК <= 5, препарат не разрешается для обеззараживания воды плавательных бассейнов);
- специфическое действие (препараты, способные вызывать аллергенный и канцерогенный эффекты, а также мутагенный эффект, выявленный на млекопитающих или человеке, не допускаются к применению для обеззараживания воды плавательных бассейнов);
- содержание примесей в препарате (при применении препарата в дозе, соответствующей 3 МЭОК, расчетная концентрация примесей в воде не должна превышать 0,5 ПДК).
6.7.14. На основании результатов санитарно-эпидемиологической оценки разрабатывают рекомендации по применению нового средства для обеззараживания воды плавательных бассейнов, включающие:
- величину МЭОК;
- периодичность внесения препарата в воду;
- ПДК средств в воде плавательных бассейнов;
- название индикаторного вещества, по которому проводят аналитический контроль, величину его ПДК в воде;
- ПДК/ОБУВ индикаторного вещества в атмосферном воздухе населенных мест.
6.7.15. Дезинфицирующие средства, ранее не применявшиеся для обеззараживания воды, должны проходить испытания в реальных условиях применения в плавательном бассейне.
6.7.15.1. В задачу испытаний входит отработка режима использования средства с учетом применяющихся в плавательных бассейнах методов водоочистки, а также качества воды по солевому составу, уровню органического загрязнения; оценка бактерицидного эффекта рекомендованной на основе лабораторных исследований МЭОК; оценка продолжительности остаточного обеззараживающего действия средства; определение длительности сохранения МЭОК средства в воде; уточнение периодичности повторных внесений средства в воду.
6.7.15.2. До начала проведения производственных испытаний производят полный слив воды из бассейна и обработку стен чаши бассейна <23>.
--------------------------------
<23>
СанПиН 2.1.2.1188-03 "Плавательные бассейны. Гигиенические требования к устройству, эксплуатации и качеству воды. Контроль качества".
6.7.15.3. Отбор проб воды на анализ проводят не менее чем в 4 точках: около впускных форсунок очищенной воды и напротив отверстий донных сливов из поверхностного слоя толщиной 0,5 - 1,0 см и на глубине 25 - 30 см от поверхности зеркала воды. Пробы в первые сутки испытаний отбирают до внесения средства, после полного перемешивания воды, в конце работы бассейна; через 1, 2 и 3 суток после внесения в конце рабочего дня после максимальной нагрузки на бассейн (количество купающихся в течение 1 ч - не менее S/5, где S - площадь зеркала воды бассейна, м2). Последующая продолжительность исследований зависит от свойств средства (длительность сохранения эффективной концентрации).
6.7.15.4. Этот этап включает практические испытания обеззараженной воды плавательных бассейнов на добровольцах с проведением статистического анализа и клинико-лабораторных исследований. При этом проверяют рекомендованные на основании эксперимента безопасные режимы использования обеззараженной воды. Испытания проводят не менее чем в 2 - 3 бассейнах разного вида продолжительностью 0,5 - 1,0 месяца при участии не менее 25 - 50 человек разного возраста, пола, включая детей с 5 лет. Испытания на добровольцах проводят в соответствии с
ГОСТ Р 57473. В практических условиях у испытуемых необходимо оценивать состояние верхних дыхательных путей, желудочно-кишечного тракта, кожных покровов и слизистых. В состав врачей-специалистов должны входить: оториноларинголог, дерматолог, аллерголог и гастроэнтеролог. Все выявленные у добровольцев побочные явления вносят в индивидуальную регистрационную карту испытуемого.
После проведения испытаний уточняют рекомендации о сфере и условиях применения средства для обеззараживания воды плавательных бассейнов.
6.7.16. Изучение дезинфицирующих средств проводят поэтапно:
- на 1 этапе изучают токсичность и опасность самих дезинфицирующих средств;
- на 2 этапе в подостром токсикологическом эксперименте на животных проводят изучение обеззараженной воды с оценкой ее комплексного воздействия на организм;
- при необходимости проводят 3-й этап - практические испытания на добровольцах с проверкой рекомендуемых режимов обеззараживания воды в бассейнах разного типа по
п. 6.7.6.
6.7.16.1. Определяемые показатели на
1 этапе: острая токсичность при введении в желудок и нанесении на кожу (DL
50), ингаляционная опасность средства в насыщающих концентрациях паров, раздражающее действие на кожу и слизистую, сенсибилизирующая активность
(табл. 6.18).
6.7.16.2.
2-й этап начинают с проведения химико-аналитического определения содержания дезинфицирующих средств и возможных продуктов их трансформации в воде. Контроль остаточного содержания ДВ проводят химическими методами в соответствии с видом дезинфицирующего средства.
6.7.16.3. При хлорировании, бромировании или озонировании воды проводят определение остаточных количеств свободного хлора, брома или озона соответственно в сопоставлении с нормативами их допустимого содержания. При обеззараживании воды гипохлоритом натрия, получаемым электролизом поваренной соли, определяют концентрацию хлора и хлоридов. При использовании диоксида хлора - содержание хлоритов и хлоратов.
6.7.16.4. При контроле хлорирования воды в ней также определяют индикаторный компонент галогеносодержащих соединений - хлороформ, содержание которого сопоставляют с допустимым нормативом (не более 0,1 мг/л). Повышенное содержание в обеззараженной воде хлороформа создает опасность развития отдаленных эффектов - мутагенного и канцерогенного. Поэтому такую воду необходимо оценивать на мутагенную активность.
6.7.16.5. Определяют органолептические и физико-химические показатели обеззараженной воды - цветность, мутность, запах и привкус.
6.7.16.6. При соответствии регистрируемых показателей качества обеззараженной воды в процессе ее эксплуатации в ванне бассейна <24> ее можно использовать в плавательных бассейнах без ограничений.
--------------------------------
<24>
СанПиН 2.1.2.1188-03 "Плавательные бассейны. Гигиенические требования к устройству, эксплуатации и качеству воды. Контроль качества".
6.7.16.7. При обеззараживании воды бассейнов новыми дезинфицирующими средствами для решения вопроса о возможности их использования проводят подострый (1,0 - 1,5 месяца) токсикологический эксперимент, моделирующий на животных условия воздействия на них воды, обеззараженной средством в эффективных бактерицидных режимах.
6.7.16.8. В эксперименте используют крыс обоего пола, которые плавают в закрытом бассейне с обеззараженной водой по 15 мин в день. Вода в нем должна быть подогрета до 25 - 27 °C. Закрытый бассейн используют для создания в воздухе концентраций летучих компонентов дезинфицирующего средства.
В эксперименте оценивают комплексное влияние на организм животных обеззараженной дезинфицирующим средством воды в режиме применения - через кожные покровы, желудочно-кишечный тракт и при ингаляционном воздействии. Поскольку при плавании человек может заглатывать до 200 см3 воды (3 г/кг), животным предварительно вводят в желудок эквивалентное их весу количество обеззараженной воды.
6.7.16.9. Цель эксперимента - определение порогового уровня подострого токсического действия дезинфицирующего средства на животных (Limsubac). Для этого используют разные концентрации средства в воде. Их выбирают с ориентиром на реальную концентрацию рабочего раствора средства (норму расхода, N), обеспечивающую требуемый эффект обеззараживания воды.
6.7.16.10. Для установления Limsubac используют комплекс лимитирующих показателей, отражающих как органолептические свойства обработанной воды, так и проявления общетоксического и специфического действия средства на основные органы и системы организма (органы дыхания, желудочно-кишечный тракт, состояние кожных покровов и слизистых). Обследование животных проводят в динамике, через каждые 10 - 14 дней в зависимости от длительности эксперимента.
6.7.16.11. Согласно
ГОСТ Р 56996 в качестве критерия оценки степени опасности средств, предназначенных для обеззараживания воды плавательных бассейнов в режиме применения, рекомендована зона биоцидного действия
Zsubac.bioc.eff. Данный показатель определяют как соотношение пороговой концентрации средства в подостром эксперименте (Lim
subac) к его рабочей концентрации (норма расхода) и выражают величиной
Zsubac.bioc.eff.
6.7.16.12. Эта величина характеризует степень опасности средства при обеззараживании воды плавательных бассейнов. Чем больше величина Zsubac.bioc.eff, тем меньше опасность средства, и наоборот. В зависимости от нее дают рекомендации по условиям использования средств:
- при Zsubac.bioc.eff < 1 средства не разрешают применять для обеззараживания воды плавательных бассейнов;
- при Zsubac.bioc.eff, лежащей в интервале от 1 до 10, средства можно применять в бассейнах, в которых обеззараживанием воды занимается обученный персонал, при ограничении их использования населением. Такие средства не рекомендуют для обеззараживания воды плавательных бассейнов для детей, особенно младшего возраста;
- при Zsubac.bioc.eff > 10 средства рекомендуют без ограничения для обеззараживания воды всех видов плавательных бассейнов с использованием населением и обученным персоналом.
6.7.16.13. Средства с установленной в эксперименте величиной Z
subac.bioc.eff в интервале от 1 до 10 направляют на практические испытания. После проведения испытаний уточняют рекомендации о сфере и условиях применения средства для обеззараживания воды плавательных бассейнов,
табл. 6.18.
Таблица 6.18
Критерии безопасности средств для обеззараживания
воды плавательных бассейнов
Исследуемые показатели | Показатели | Разрешено применение |
величина показателя | класс опасности |
1 | 2 | 3 | 4 |
Средства для обеззараживания воды плавательных бассейнов и аквапарков (таблетки, порошки, жидкости, гранулы) |
Острая токсичность при введении в желудок, (DL50, мг/кг) | 151 - 5000 | 3 | Специалистам с применением влагонепроницаемых перчаток |
> 5000 | 4 | Специалистам и населению в быту |
Острая токсичность при нанесении на кожу, (DL50 мг/кг) | > 500 | 3 - 4 | Специалистам и населению в быту с применением влагонепроницаемых перчаток |
> 2500 | 4 | Специалистам и населению в быту |
Ингаляционная опасность средства в насыщающих концентрациях паров (C20) | C20 >= Limac | 2 - 3 | Специалистам с применением респираторов |
C20 < Limac | 4 | Специалистам и населению в быту |
Раздражающее действие на кожу рабочих растворов средства в максимальной концентрации (15 аппликаций), баллы | 2,1 - 4,0 | 3 | Специалистам с применением влагонепроницаемых перчаток |
0 - 2,0 | 4 | Специалистам и населению в быту |
Раздражающее действие на слизистые оболочки глаз рабочих растворов в максимальной концентрации (однократно), баллы | 4 - 6 | 3 | Специалистам с применением герметичных очков |
1 - 3 | 4 | Специалистам и населению с применением герметичных очков |
0 | 5 | Специалистам и населению в быту |
Сенсибилизирующее действие (кожное/респираторное) рабочих растворов в максимальной концентрации (по показаниям) | отсутствие эффекта | 4 | Специалистам и населению в быту |
Отдаленные эффекты: эмбриотоксический, мутагенный, канцерогенный, тератогенный (с учетом данных литературы, баз данных о ДВ и сопутствующих компонентах) | отсутствие эффекта | 4 | Разрешается производство и применение средства |
Вода плавательного бассейна или аквапарка, обработанная дезинфицирующим средством в режиме применения |
Определение порога подострого действия (28 дней) обеззараженной воды бассейнов при комплексном воздействии (внутрижелудочное, ингаляционное, кожно-резорбтивное) в зависимости от норм расхода (N), Limsubac | = 1 - 5 N | | Запрещено применение средства |
10 N | | Специалистам и взрослым населением в быту |
> 10 N | | Специалистам и населению в быту |
Концентрация ДВ в воде плавательного бассейна или аквапарка | | не классифицируется | Разрешается применение средства |
Концентрация продуктов трансформации ДВ в воде |
Концентрация продуктов трансформации, образующихся под влиянием ДВ в воде | <= ПДКв. | не классифицируется | Разрешается применение средства |
Концентрация вредных примесей средства обеззараживания в воде | <= 0,5ПДКв. |
Концентрация ДВ в воздухе в зоне дыхания пловцов | <= ПДКа.в. |
Органолептические свойства обеззараженной воды в режиме применения (запах, привкус, мутность, цветность) | <= допустимых значений |
Органолептические свойства обеззараженной воды в режиме применения (пенообразование) | отсутствие |
Санитарно-химические показатели безопасности воды (pH, перманганатная окисляемость) | <= допустимых значений |
6.8. Методы изучения токсичности и опасности средств для
обеззараживания воды централизованных и нецентрализованных
систем хозяйственно-питьевого водоснабжения, в т.ч.
в системах горячего водоснабжения, а также сточных вод
6.8.1. Токсикологическое исследование и оценку качества обеззараженной дезинфектантами воды централизованных и нецентрализованных систем хозяйственно-питьевого водоснабжения, в т.ч. в системах горячего водоснабжения, а также сточных вод проводят по схеме изучения дезинфицирующих средств для обеззараживания воды плавательных бассейнов
(раздел 6.7) по критериям, представленным в
табл. 6.19.
Таблица 6.19
Критерии безопасности средств для централизованных
и нецентрализованных систем хозяйственно-питьевого
водоснабжения, в т.ч. в системах горячего
водоснабжения, а также сточных вод
Исследуемые показатели | Показатели | Разрешено применение |
величина показателя | класс опасности |
1 | 2 | 3 | 4 |
Средства для обеззараживания воды централизованных систем хозяйственно-питьевого водоснабжения, в т.ч. в системах горячего водоснабжения, а также сточных вод |
Острая токсичность при введении в желудок, (DL50, мг/кг) | < 150 | 1 - 2 | С применением СИЗ |
> 150 | 3 - 4 | Специалистам с применением влагонепроницаемых перчаток |
> 5000 | 4 | Специалистам без СИЗ |
Острая токсичность при нанесении на кожу, (DL50 мг/кг) | > 500 | 3 - 4 | Специалистам с применением влагонепроницаемых перчаток |
> 2500 | 4 | Специалистам без СИЗ |
Ингаляционная опасность средства в насыщающих концентрациях паров (C20) | C20 >= Limac | 2 - 3 | Специалистам с применением респираторов, влагонепроницаемых перчаток |
C20 < Limac | 4 | Специалистам без СИЗ |
Раздражающее действие на кожу рабочих растворов средства в максимальной концентрации (15 аппликаций), баллы | 2,1 - 4,0 | 3 | Специалистам с применением влагонепроницаемых перчаток |
0 - 2,0 | 4 | Специалистам без СИЗ |
Раздражающее действие на слизистые оболочки глаз рабочих растворов в максимальной концентрации (однократно), баллы | 1 - 6 | 3 - 4 | Специалистам с применением герметичных очков, влагонепроницаемых перчаток |
0 | 5 | Специалистам без СИЗ |
Сенсибилизирующее действие рабочих растворов в максимальной концентрации | отсутствие эффекта | 4 | Разрешается производство и применение средства |
Отдаленные эффекты: эмбриотоксический, мутагенный, канцерогенный, тератогенный (с учетом данных литературы, баз данных о ДВ и сопутствующих компонентах) | отсутствие эффекта | 4 | Разрешается производство и применение средства |
Питьевая вода, в т.ч. в системах горячего водоснабжения у потребителя |
Концентрация ДВ в обеззараженной воде | <= ПДКв. | не классифицируется | Разрешается применение средства |
Концентрация продуктов трансформации ДВ и продуктов трансформации, образующихся под влиянием ДВ, в воде |
МЭОК/ПДК в воде | < 1 |
Концентрация вспомогательных веществ и вредных примесей средства обеззараживания в воде | <= 0,5ПДКв. |
Органолептические свойства обеззараженной воды в режиме применения (запах, привкус, мутность, цветность) | <= ПКорг |
Сточные воды в контрольных створах водопользования |
Концентрация ДВ в обеззараженной воде | <= ПДКв. | не классифицируется | Разрешается применение средства |
Концентрация продуктов трансформации ДВ и продуктов трансформации, образующихся под влиянием ДВ, в воде | <= ПДКв. |
Концентрация вспомогательных веществ и вредных примесей средства обеззараживания в воде | <= 0,5ПДКв. |
6.8.2. Дезинфицирующие средства, ранее не применявшиеся для обеззараживания воды, должны проходить производственные испытания в реальных условиях применения в соответствии с программой, разработанной в аккредитованных организациях.
6.9. Средства для обеззараживания воды в системах
технического водоснабжения предприятий
6.9.1. Токсикологическое изучение и оценку опасности средств для обеззараживания воды в системах технического водоснабжения предприятий проводят по общей схеме изучения дезинфицирующих средств, изложенной в
разделе 6.2, по критериям, представленным в
табл. 6.20. При сбросе этих вод в водные объекты должно быть обеспечено соблюдение ПДК их ДВ, компонентов, примесей и продуктов трансформации в воде.
Таблица 6.20
Критерии безопасности средств для обеззараживания воды
в системах технического водоснабжения предприятий
(таблетки, порошки, жидкости, гранулы)
Исследуемые показатели | Показатели | Разрешено применение |
величина показателя | классы опасности |
1 | 2 | 3 | 4 |
Острая токсичность при введении в желудок, (DL50, мг/кг) | > 150 | 3 - 4 | Специалистам с применением влагонепроницаемых перчаток |
> 5000 | 4 | Специалистам без СИЗ |
Острая токсичность при нанесении на кожу, (DL50 мг/кг) | > 500 | 3 - 4 | Специалистам с применением влагонепроницаемых перчаток |
> 2500 | 4 | Специалистам без СИЗ |
Ингаляционная опасность средства в насыщающих концентрациях паров (C20) | C20 >= Limac | 2 - 3 | Специалистам с применением респираторов, влагонепроницаемых перчаток |
C20 < Limac | 4 | Специалистам без СИЗ |
Раздражающее действие на кожу рабочих растворов средства в максимальной концентрации (15 аппликаций), баллы | 2,1 - 4,0 | 3 | Специалистам с применением влагонепроницаемых перчаток |
0 - 2,0 | 4 | Специалистам без СИЗ |
| | ИС МЕГАНОРМ: примечание. Значение в третьем столбце дано в соответствии с официальным текстом документа. | |
|
Раздражающее действие на слизистые оболочки глаз рабочих растворов в максимальной концентрации (однократно), баллы | 1 - 6 | 3 - | Специалистам с применением герметичных очков, влагонепроницаемых перчаток |
0 | 5 | Специалистам без СИЗ |
Сенсибилизирующее действие (кожное/респираторное) рабочих растворов в максимальной концентрации | отсутствие эффекта | 4 | Разрешается производство и применение средства |
Отдаленные эффекты: эмбриотоксический, мутагенный, канцерогенный, тератогенный (с учетом данных литературы, баз данных о ДВ и сопутствующих компонентах) | отсутствие эффекта | 4 | Разрешается производство и применение средства |
Концентрация ДВ в обеззараженной воде при сбросе в водные объекты | <= ПДКв. | | Разрешается применение средства |
Концентрация продуктов трансформации ДВ и продуктов трансформации, образующихся под влиянием ДВ, в воде при сбросе в водные объекты | <= ПДКв. | |
Концентрация вспомогательных веществ и вредных примесей средства обеззараживания в воде при сбросе в водные объекты | <= 0,5ПДКв. | |
6.10. Методы изучения токсичности и опасности
дезинсекционных средств
6.10.1. Использование дезинсекционных средств имеет свои особенности: их применяют в замкнутых, небольшого объема помещениях с ограниченным воздухообменом. При этом для достижения биоцидного эффекта в воздухе помещений возможно образование сложных паро-газо-аэрозольных комплексов инсектицидов, нередко превышающих их предельно допустимые уровни.
В этих условиях возможен контакт с препаратами лиц двух категорий: профессионального контингента в процессе дезинсекционных обработок, а после их проведения - практически всего населения разных возрастных групп и состояния здоровья.
6.10.2. Дезинсекционные средства состоят из ДВ и вспомогательных ингредиентов (растворителей, наполнителей, отдушек, пропеллентов и др.), которые могут представлять опасность для здоровья человека.
6.10.3. Средства для дезинсекции должны соответствовать условиям:
- не накапливаться в объектах внешней среды;
- не образовывать более стойкие продукты превращения;
- не вызывать острых и хронических отравлений у людей в рекомендуемой концентрации и норме расхода;
- не вызывать отдаленных проявлений у ныне живущих и последующих поколений людей;
- не оказывать влияния на полезную флору и фауну.
6.10.4. Токсиколого-гигиенические исследования вновь внедряемых дезинсекционных средств проходят по 3-этапной программе с учетом их назначения, условий и сферы применения.
6.10.4.1. Первый этап - сбор первичной информации, - включает анализ и обобщение данных литературы по токсичности ведущих и вспомогательных компонентов средства с регламентированием их содержания в рецептуре.
Необходимо прогнозирование токсичности и опасности средства согласно сведениям о токсичности ингредиентов композиции, их физико-химических свойствах, а также его энтомологической эффективности. В случае отсутствия токсикологических характеристик одного из компонентов (ДВ, растворитель, пропеллент) проводят его исследование по общепринятым в токсикологии методам с установлением основных параметров токсикометрии и оценкой опасности, гигиенических нормативов в объектах окружающей среды.
6.10.4.2. Второй этап - оценка токсичности и опасности средства в модельных опытах на лабораторных животных. Он подразделяется на подэтапы:
1 - отборочный. В него входит определение параметров острой токсичности и характера действия средства при потенциально опасных путях поступления в организм (ингаляционный, введение в желудок, нанесение на кожу). На основе полученных результатов проводят отбор дезинсекционных средств для дальнейшего углубленного изучения с учетом его назначения, способов и форм применения. Для этого разработаны критерии отбора, целью которых является внедрение в практику наименее токсичных и опасных средств.
2 - углубленная оценка - исследование токсичности и опасности средства в рекомендуемом режиме и норме применения. Основная цель - оценка степени реальной опасности дезинсекционных средств в рабочих концентрациях и норме расхода с учетом конкретных условий применения. Оценку проводят в модельных опытах на лабораторных животных согласно рекомендуемому режиму применения и с учетом возможных путей поступления в организм человека. В задачу указанных исследований входит:
- установление порогов вредного действия при ингаляционном воздействии средства с учетом интегральных и специфических показателей в условиях острого и подострого эксперимента с расчетом зоны острого и подострого биоцидного эффекта;
- изучение кожно-резорбтивного и раздражающего действия средства в нативном виде и в рабочих концентрациях на неповрежденные кожные покровы;
- исследование сенсибилизирующего действия;
- исследование мутагенных свойств (по показаниям).
На основе проведенных исследований составляют инструкцию (и/или этикетку) по применению средства для следующего этапа с проверкой надежности рекомендованного режима его безопасного применения.
6.10.4.3. Третий этап - оценка реальной опасности средства в рекомендуемом режиме применения в естественных условиях. Он включает определение фактора безопасности в реальных условиях применения и проведение практических испытаний (при необходимости). Оценку потенциальной и реальной опасности (риска) для здоровья людей, использующих ДС, проводят в соответствии с
п. 6.10.17.
Предлагаемый метод оценки реальной опасности моделирует два основных потенциально опасных пути поступления средств в организм - через органы дыхания и кожные покровы. Он позволяет оценить предполагаемую опасность как сумму определяемых факторов безопасности (SF), которые характеризуются отношением между наблюдаемыми фактическими уровнями воздействия средств в воздухе помещения и на кожу к их гигиеническим нормативам: ПДКв.р.з. и ОБУВв.р.з. (для специалистов); ПДКат.н.м. и ОБУВат.н.м. (для населения); ОДУ на кожу (для специалистов и населения).
6.10.4.4. Практические испытания в естественных условиях проводят согласно инструкции, разработанной для каждого конкретного дезинсекционного средства. На основе результатов испытаний проводят проверку надежности и безопасности рекомендованных режимов применения и средств индивидуальной защиты.
6.10.4.5. В 3 этап входит наблюдение за лицами, проводящими обработку помещений, путем анкетного опроса с регистрацией субъективных признаков возможного неблагоприятного воздействия средств. При составлении анкет учитывают назначение средства, его препаративную форму, способ применения, потенциально опасный путь поступления в организм, клинические симптомы проявления интоксикации, длительность контакта, наличие средств индивидуальной защиты при работе с дезинсекционным средством. По результатам проведенных исследований разрабатывают окончательный вариант мер предосторожности для специалистов, занимающихся дезинфекционной практикой, и населения.
6.10.5. Показатели для дезинфекционных средств в форме эмульгирующихся концентратов, смачивающихся порошков, микрокапсул, красок, растворов, таблеток:
- острая токсичность средства при введении в желудок (DL50);
- острая токсичность при нанесении на кожу (DL50);
- опасность по степени летучести средства (C20);
- раздражающее действие на кожу дезинсекционного средства при однократном воздействии;
- опасность по степени летучести его рабочих концентраций;
- раздражающее действие на кожу рабочих концентраций средства в подостром эксперименте;
- раздражающее действие средства на слизистые оболочки глаз при однократном воздействии;
- сенсибилизирующее действие;
- ингаляционная опасность рабочих концентраций средства в режиме применения (в момент обработки) при однократном воздействии. Определение порога острого ингаляционного действия с расчетом зоны острого биоцидного эффекта;
- ингаляционная опасность остаточных количеств средства после проведения дезинсекционных мероприятий в помещении. Определение порога подострого ингаляционного действия паров средства при круглосуточном воздействии с расчетом зоны подострого биоцидного эффекта;
- кожно-резорбтивное действие рабочих концентраций средства в подостром эксперименте;
- мутагенное действие (по показаниям);
- исследование опасности средства в натурных условиях. Определение фактора безопасности (SF);
- проведение практических испытаний (при необходимости).
6.10.6. Показатели для дезинсекционных средств в виде аэрозольных баллонов:
- ингаляционная опасность средства в виде аэрозолей и паров при однократном воздействии в рекомендуемом режиме применения. Определение порога однократного действия с расчетом зоны острого биоцидного эффекта;
- ингаляционная опасность остаточных количеств средства после проведения дезинсекции помещения. Определение порога подострого действия с расчетом зоны подострого биоцидного эффекта;
- острая токсичность средства при введении в желудок (DL50);
- раздражающее действие на кожу (однократно);
- раздражающее действие на слизистые оболочки глаз (однократно);
- кожно-резорбтивное действие (однократно);
- сенсибилизирующее действие;
- оценка реальной опасности средства в рекомендованных режимах применения.
6.10.7. Показатели для пиротехнических и фумигирующих дезинсекционных средств (шашки, спирали, таблетки):
- острая токсичность средства при введении в желудок (DL50);
- раздражающее действие на слизистые оболочки глаз (однократно);
- сенсибилизирующее действие;
- ингаляционная опасность средства при однократном воздействии (в момент обработки помещения). Определение порога острого действия с расчетом зоны острого биоцидного эффекта;
- определение порога подострого ингаляционного действия паров средства при круглосуточном воздействии с расчетом зоны подострого биоцидного эффекта;
- мутагенное действие (по показаниям);
- оценка реальной опасности средства в натурных условиях. Определение фактора безопасности;
- проведение практических испытаний (при необходимости).
6.10.8. Показатели для дустов, брикетов, приманок, карандашей, гелей, готовых к употреблению растворов, суспензий:
- острая токсичность средства при введении в желудок (DL50);
- острая токсичность при нанесении на кожу (DL50);
- опасность по степени летучести средства (C20);
- ингаляционная опасность средства в режиме применения при однократном воздействии. Определение порога острого действия с расчетом зоны острого биоцидного эффекта;
- ингаляционная опасность остаточных количеств средства после проведения дезинсекции, определение порога подострого действия с расчетом зоны подострого биоцидного эффекта;
- кожно-резорбтивное действие средства;
- раздражающее действие средства на кожу в подостром эксперименте;
- раздражающее действие на слизистые оболочки глаз (однократно);
- сенсибилизирующее действие;
- мутагенное действие (по показаниям);
- оценка реальной опасности средства в рекомендуемом режиме применения. Определение фактора безопасности;
- практические испытания (при необходимости).
6.10.9. Определение средней смертельной дозы средства при однократном введении в желудок
(п. 6.2.2). Оценку результатов проводят в соответствии с
ГОСТ 12.1.007.
6.10.10. Определение средней смертельной дозы средства при нанесении на неповрежденные кожные покровы
(п. 6.2.3). Оценку результатов проводят в соответствии с
ГОСТ 12.1.007.
6.10.11. Определение ингаляционной опасности средства по степени летучести
(п. 6.2.5). Оценку результатов проводят в соответствии с классификацией химических веществ по степени летучести
(табл. 6.4).
6.10.12. Определение и оценка раздражающего действия средства на кожу. Изучение раздражающего действия дезинсекционных средств в форме растворов, суспензий, эмульсий, порошков, эмульсий, аэрозольных баллонов проводят при однократном воздействии; их рабочих концентраций и готовых к применению форм - при многократном нанесении (10 аппликаций)
(п. 6.2.7).
6.10.12.1. При однократном воздействии время экспозиции составляет 2 ч, после опыта средство смывают водой. В качестве растворителей используют дистиллированную воду, модельную воду, имитирующую потовую жидкость, растительное или вазелиновое масло. Возможно использование ланолина или свиного жира, особенно при испытании порошкообразных форм.
6.10.12.2. Состояние кожи регистрируют визуально. Отмечают функционально-морфологические изменения кожных покровов (эритема, отек, шелушение, сухость, трещины, изъязвления, некроз). Выраженность раздражающего действия средства при однократной аппликации оценивают по классификации, приведенной в
таблице 6.6. При многократном воздействии дают альтернативный ответ.
6.10.13. Определение и оценку раздражающего действия на слизистые оболочки глаз проводят в соответствии с
п. 6.2.8.
6.10.14. Определение кожно-резорбтивного действия средства на кожные покровы. Кожно-резорбтивное действие различных форм средств оценивают в течение 21 суток "пробирочным методом"
(п. 6.5.6.2).
6.10.15. Определение и оценку сенсибилизирующих свойств дезинсекционных средств проводят в соответствии с
п. 6.2.11. Выраженность аллергенной активности оценивают по классификации для пестицидов.
6.10.16. Определение ингаляционной опасности средства в рекомендуемом режиме и способе применения. Оценку проводят в двух направлениях: оценивают его опасность в рабочих концентрациях и норме расхода в момент проведения дезинсекции и в условиях круглосуточного пребывания в обработанном средством помещении, исходя из сроков биоцидного действия.
6.10.16.1. Исследование ингаляционной опасности дезинсекционных средств предусматривает определение порога острого (Limac) и подострого (Limsubac) действия в рекомендуемом режиме и способе его применения.
6.10.16.2. При установлении порогов вредного действия при остром и подостром ингаляционном воздействии средства ориентируются на набор интегральных и специфических показателей, отражающих основной характер индикаторного компонента. Используют показатели, характеризующие, главным образом, состояние наиболее поражаемых органов и систем.
6.10.16.3. Уровни воздействия в указанных опытах выбирают в интервале от нормы расхода препарата, необходимого для получения биоцидного эффекта, до явного действующего с целью определения порога вредного действия (Limac; Limsubac).
6.10.16.4. Учитывая, что средства дезинсекции представляют многокомпонентные расшифрованные составы, гигиеническую регламентацию указанных средств в условиях их применения осуществляют по индикаторному компоненту, к которому, как правило, относится его ДВ.
6.10.16.5. При применении инсектицидов определение концентрации аэрозолей и паров средств проводят в затравочных камерах. Внесение определенных количеств (норм расхода) средства в затравочную камеру необходимо проводить с учетом высоты жилых помещений (2,5 - 3,0 м) и обрабатываемой площади (0,1 от общей поверхности). Пример: средство в норме расхода (N = 100 см3/м2) в виде рабочего раствора следует внести в количестве 20 см3 (100 см3·0,5 м3/2,5 м3) в камеру высотой 1 м и площадью 0,5 м2. Использование концентратов эмульсии при нанесении кистью (населением в быту) в комнате 10 м2 (25 м3) рекомендуется обрабатывать не более 3 м2 поверхности.
Расход инсектицидного средства на 1 м2 обрабатываемой поверхности определяют, исходя из среднего расхода препарата на 1 м2 площади помещения, который составляет для дустов 25 г, для жидких средств (растворы, эмульсии) - 50 - 100 см3, для средств в аэрозольной упаковке, предназначенных для уничтожения ползающих насекомых, - 3 г/м3 для летающих - 1 г/м3. При обработке помещений средствами в аэрозольной форме и дустами обрабатывается 0,1 от общей поверхности помещения.
6.10.16.6. При определении Limac эксперименты проводят при однократном внесении средства в камеру. Экспозиция при исследовании дустов, гелей, приманок, карандашей, эмульсий, растворов, микрокапсул, суспензий составляет 1 ч, для составов наполнителей аэрозольных баллонов 90 мин.
Опыты проводят не менее чем на двух видах лабораторных животных: белых крысах, мышах. Устанавливают Limac по специфическим и интегральным показателям, которые регистрируют сразу после воздействия и на следующие сутки. Контроль воздуха осуществляют по индикаторному компоненту. Отбор проб воздуха проводят сразу после внесения средства в камеру, через 30 мин и в конце опыта. Рассчитывают средневзвешенную концентрацию.
Полученные величины позволяют рассчитать зону острого биоцидного эффекта (Z
ac.bioc.eff). Оценку проводят в соответствии с классификацией степени ингаляционной опасности средств дезинсекции
(табл. 6.21).
6.10.16.7. Для оценки условий, имитирующих проживание людей в обработанном дезинсекционным средством помещении, проводят подострые эксперименты при круглосуточном воздействии с определением порога подострого действия (Zsubac.bioc.eff).
Длительность эксперимента с круглосуточным ингаляционным воздействием лимитируется временем инсектицидного действия средства и составляет:
- для средств эпизодического применения - 10 дней с ежедневным внесением вещества в камеру (растворы, эмульсии, суспензии, порошки, дусты, гели, карандаши, ленты, микрокапсулы, составы наполнителей аэрозольных баллонов, пиротехнические и фумигирующие средства) для уничтожения нелетающих насекомых);
- для антимольных средств - 35 дней с внесением их в камеру 1 раз в 5 дней. При этом вещество наносят на поверхность тканей (шерсть, хлопок, ворсовые ткани);
- для средств, предназначенных для уничтожения летающих насекомых (аэрозольные баллоны, приманки), длительность опыта составляет 30 суток.
Обследование экспериментальных животных проводят по специфическим и интегральным показателям на следующие сутки и сразу после окончания опыта. Выбор концентрации зависит от нормы расхода средства и ее превышения в диапазоне от 3 до 10 раз.
В процессе ингаляционных затравок в камере регистрируют температуру воздуха и относительную влажность. Отбор проб воздуха для всех форм препаратов в первые сутки проводят после внесения вещества в камеру, через 4 и 24 ч, затем ежедневно на протяжении опыта.
6.10.16.8. В качестве критерия степени опасности средства после проведения дезинсекции используют зону подострого биоцидного эффекта. Критерии оценки результатов по эксперименту отражены в классификации по степени ингаляционной опасности средств дезинсекции
(табл. 6.21).
6.10.17. Определение реальной опасности средства в рекомендуемом режиме применения. В соответствии с рассматриваемой моделью общий уровень вдыхания и кожного пути воздействия средства определяют по
формуле 6.17 совокупной токсичности:

где (6.17)
SF - фактор безопасности;
Iо.а. - фактическая концентрация в воздухе помещений;
Д - фактическое загрязнение кожных покровов;
ПДКв.р.з. (ОБУВ) - предельно допустимая концентрация вредного вещества в воздухе рабочей зоны или (ориентировочно безопасный уровень воздействия);
ПДКат.н.м. (ОБУВ) - предельно допустимая концентрация вредного вещества в атмосферном воздухе городских и сельских поселений или ориентировочно безопасный уровень воздействия;
ПДУн/к - предельно допустимый уровень загрязнения кожных покровов вредным веществом.
Фактическую кожную экспозицию (Д
ф) рассчитывают по
формуле 6.18:

(6.18)
F - дневная норма площади обработки для дезинсекционных средств: 2000 - 2050 м2 (для специалистов); 50 - 100 м2 (для населения);
F1 - фактическая площадь обработки.
При значении фактора безопасности: | SF < 1 - отсутствие риска; SF > 1 - наличие риска. |
Гигиенические исследования по применению дезинсекционных средств проводят при максимальных нормах расхода средства. Условия их проведения зависят от назначения средства, характеристики обрабатываемого объекта, вида и способа обработки, нормы расхода, площади обработки.
Отбор проб воздуха производят в рабочей зоне, смывы с кожи проводят при приготовлении определенных препаративных форм, рабочих растворов и их применении при обработке объектов.
6.10.18. Отбор проб воздуха в рабочей зоне проводят в соответствии с гигиеническими
нормативами <25>, а также по
ГОСТ 12.1.005 и методиками контроля по определению вредных веществ в воздухе рабочей зоны.
--------------------------------
<25>
ГН 2.2.5.3532-18 "Предельно допустимые концентрации (ПДК) вредных веществ в воздухе рабочей зоны".
6.10.18.1. При отсутствии описания методов определения ДВ средств в воздухе разрабатывают оригинальные методы, которые должны удовлетворять следующим условиям:
- степень поглощения из воздуха должна быть не менее 95%;
- погрешность в измерении объема отобранной пробы не должна превышать 10%;
- погрешность при определении количества средства в отобранной пробе должна быть не более 10%;
- максимальная суммарная погрешность не должна превышать 25%;
- предел обнаружения (мг/м3) для средств, используемых специалистами, должен обеспечить определение средства на уровне не выше 0,5 ПДК при продолжительности отбора пробы не более 30 мин;
- для средств, рекомендованных для применения населением, не выше 0,5 ПДКат.н.м. не более 30 мин.
6.10.18.2. Контроль содержания вредных веществ в воздухе включает выбор точек отбора проб, периодичность и продолжительность их отбора, приведение пробы в пригодное для анализа состояние, идентификацию и количественное определение.
6.10.18.3. Исследования проводят при моделировании реальных условий применения дезинсекционных средств разного назначения, учитывая, что средства представляют собой многокомпонентные расшифрованные композиции. Гигиеническое регламентирование указанных средств в условиях их применения осуществляют по индикаторному компоненту (или индикаторным компонентам), к которому, как правило, относится ДВ (или вещества) состава. В процессе отбора проб регистрируют температуру и влажность.
6.10.18.4. При гигиенических исследованиях эксперименты проводят в условиях, моделирующих жилые помещения: площадь - 10 - 25 м2, высота - 2,5 - 3,5 м. Обследование проводят при максимальных концентрациях и нормах расхода. Содержание в воздухе дезинсекционных средств контролируют в момент обработки, сразу после нее, после необходимой экспозиции и проветривания, а также через 24 ч после проветривания.
6.10.18.5. Перед проведением испытаний проводят контрольный отбор проб воздуха для определения "фона" по анализируемому веществу. Помещение можно использовать для проведения опыта, если фоновая концентрация анализируемого вещества будет меньше его ПДКат.н.м. в 10 и более раз.
Отбор проб воздуха проводят на высоте 1,5 м:
а) в помещении площадью 10 м2 в двух точках, равноотстоящих от углов, на расстоянии 0,8 - 1,2 м по диагонали пола;
б) в помещении 10 - 25 м2 - в трех точках, равноотстоящих от углов, на расстоянии 0,8 - 1,2 м по диагонали пола.
Отбор проб в течение всего опыта проводят в одних и тех же точках. Разовый отбор пробы воздуха проводят в течение стандартного времени, не превышающего 30 мин, со скоростью 0,5 - 5 л/мин.
6.10.18.6. Для получения достоверных результатов при контроле содержания вредных веществ в любой намеченной точке отбирают не менее 3 проб воздуха. После этого по результатам анализа вычисляют среднее арифметическое значение и доверительный интервал.
6.10.18.7. Выбор сорбентов зависит от агрегатного состояния веществ, поступающих в воздух и подлежащих определению. Пары и газы отбирают из воздуха через поглотительный прибор с соответствующим растворителем или водой (для пестицидов, растворимых в воде) либо трубку с твердым сорбентом; гидроаэрозоль или аэрозоль пестицидов, обладающих низкой летучестью, - протягиванием воздуха через патрон с аналитическим аэрозольным фильтром, "синяя лента" и т.д. При одновременном присутствии в воздухе паров и аэрозоля (гидроаэрозоля) пробы отбирают через последовательно соединенные патрон с фильтром и поглотитель (или трубку с сорбентом).
6.10.19. Остаточные количества средства на коже определяют способом смыва с участков поверхности тела, площадь которых должна быть четко фиксирована и составлять 100 см2.
6.10.19.1. При исследовании дезинсекционных средств смывы проводят в конце смены с открытых участков тела (лицо, шея, кисти рук). Фоновые смывы следует проводить с кистей рук до работы. Для смыва средства с кожи используют хлопчатобумажные салфетки (например, из бязи) белого цвета размером 5x5 см, прошедшие специальную обработку в зависимости от вида смывающей жидкости.
6.10.19.2. Смывающую жидкость подбирают с учетом данных о физико-химических свойствах вещества (растворимость в воде и органических средах, стабильность в растворах). В качестве растворителей используют холодную и нагретую воду или относительно безопасный для здоровья человека этиловый спирт. Растворитель в количестве 20 - 25 см3 наливают в стеклянную емкость с притертой пробкой. Пинцетом захватывают салфетку, смачивают растворителем, слегка отжимают и тщательно без усилий протирают контролируемые участки кожи. После смыва обработанный участок вытирают сухой салфеткой. Процедуру повторяют 2 раза. Использованные салфетки и смывы хранят в емкости с притертой пробкой. Для каждого участка, с которого берут смыв, используют по 2 влажные и по 2 сухие салфетки, по 2 емкости.
Предел измерения дезинсекционного средства в смывах с кожи в мг/дм2 устанавливают по уровню, достигнутому в условиях лабораторного определения, погрешность не более +/- 25%.
6.10.19.3. Допустимо применение методов суммарного определения соединений с близким определяемым минимумом, принадлежащих к одному классу веществ и содержащих одинаковые функциональные группы.
Результаты измерения содержания активного вещества в смывах с кожи представляют в виде Дср. +/- m, где:
Дср - средняя дермальная экспозиция в мг/см2 из числа n - смывов на разных участках тела;
m - ошибка средней арифметической величины;
n - количество смывов, подлежащих усреднению, и должно быть не менее 5.
Фактическую кожную экспозицию (Д
ф) рассчитывают по
формуле 6.19:

(6.19)
F - дневная норма площади обработки для дезинсекционных средств (2000 м2);
F1 - фактическая площадь обработки.
6.10.19.4. Оценку фактической экспозиционной дозы проводят путем сравнения с ориентировочно допустимым уровнем загрязнения кожных покровов пестицидами - ОДУэксп., мг/см2.
6.10.19.5. Опасность вещества при кожном поступлении определяют согласно
табл. 6.21.
Таблица 6.21
Классификация опасности вредных веществ при кожном пути
поступления
Наименование показателя | Класс опасности |
1 | 2 | 3 | 4 |
Предельно допустимый уровень загрязнения кожного покрова (ПДУзкп) вредным веществом, мг/см2 | Менее 0,00002 | 0,00002 - 0,0002 | 0,00021 - 0,002 | Более 0,002 |
Среднее смертельное время при поступлении вещества через кожу, мин | Менее 3 | 3 - 30 | 31 - 300 | Более 300 |
Средняя смертельная доза при нанесении вещества на кожу, мг/кг | Менее 50 | 50 - 500 | 51 - 5000 | Более 5000 |
Порог острого действия при нанесении вещества на кожу, мг/кг | Менее 5 | 5 - 50 | 51 - 500 | Более 500 |
Порог хронического действия при нанесении вещества на кожу, мг/кг | Менее 0,1 | 0,1 - 1,0 | 1,1 - 10 | Более 10 |
6.10.19.6. Практические испытания средства проводят в соответствии с
ГОСТ Р 57473 и разработанной к нему инструкцией по применению.
Учет возможных признаков воздействия средства на здоровье профессионального контингента и населения после дезинфекционных мероприятий проводят согласно разработанной программе испытаний. Отсутствие объективных и субъективных признаков воздействия средства на лиц, проводящих обработку помещений, свидетельствует об эффективности применяемых средств индивидуальной защиты или безопасности средств.
Результаты апробации средства в практических условиях оформляют в виде отчета и представляют в регламентирующие органы для решения вопроса о возможности внедрения средства в практику.
6.10.20. Критерии оценки токсичности и опасности средств дезинсекции на отборочном этапе:
- дезинсекционные средства, относящиеся к 1 классу опасности (чрезвычайно опасные) при введении в желудок, нанесении на кожу, по степени летучести, не рекомендуют для дальнейшего изучения;
- средства, относящиеся ко 2 классу высокоопасных по параметрам острой токсичности, планируют для дальнейшего изучения на 2 подэтапе только в случае использования их специалистами с применением средств индивидуальной защиты;
- средства 3 (умеренно опасные) и 4 (малоопасные) классов переходят на следующий углубленный этап исследований.
6.10.21. Основная цель исследований на этапе углубленного изучения средств дезинсекции оценка степени их опасности в рекомендуемых режимах, нормах и способах применения.
6.10.21.1. Основным критерием, отражающим специфическую опасность дезинсекционных средств, служат зоны острого (Z
ac.bioc.eff.) и подострого (Z
subac.bioc.eff.) эффектов, которые оценивают средство по степени избирательности его действия, характеризуя одновременно как инсектицидную активность, так и токсичность для теплокровных животных. Данный показатель выражают отношением токсичности дезинсекционных средств для млекопитающих в виде порогов острого и подострого действия к фактически определяемому уровню его содержания в воздухе в норме биоцидного эффекта для целевого вида в 2 режимах применения: разовом (в момент обработки) и повторном круглосуточном (при нахождении в обработанном помещении). При этом реальная опасность острых отравлений в момент проведения дезинсекционной обработки характеризуется отношением Lim
ac/N (1 режим). После проведения дезинсекции опасность развития отравления выражают отношением Lim
subac/N (2 режим). По этим параметрам предложена классификация степени ингаляционной опасности средств дезинсекции для условий их применения
(табл. 6.22).
Таблица 6.22
Классификация ингаляционной опасности средств дезинсекции
Наименование показателя | Класс опасности |
1 Чрезвычайно опасные | 2 Высокоопасные | 3 Умеренно опасные | 4 Малоопасные |
| < 10 | 10 - 30 | 31 - 100 | > 100 |
Заключение о возможности и сфере применения средства | Рекомендуется использовать в экстремальных ситуациях специалистам с применением противогазов и специальных костюмов | Рекомендуется использовать специалистами со средствами индивидуальной защиты органов дыхания, глаз, кожи, в отсутствие людей и животных | Рекомендуется для применения специалистами без средств защиты и населением в быту с регламентированными условиями применения (расход средства, влажная уборка, проветривание) | Рекомендуется для использования без ограничений специалистами и населением в быту |
| < 1 | 1 - 5 | 5,1 - 10 | > 10 |
Заключение о возможности присутствия людей в помещении после проведения дезинсекции | Не рекомендуется для применения в дезинсекции | Рекомендуется использовать специалистами для обработки подсобных помещений, складов, подвалов в отсутствии людей | Рекомендуется для применения специалистами и населением в быту для обработки жилых и производственных помещений с регламентированными условиями применения (уборка, проветривание, расход средства) | Рекомендуется без ограничения сферы применения |
6.10.21.2. Средства с зоной острого биоцидного эффекта менее 10 (1 класс опасности) рекомендуют для применения в экстремальных ситуациях в специальных костюмах и противогазах. Средства, относящиеся ко 2 классу опасности, использовать только специалистам с применением средств индивидуальной защиты органов дыхания, глаз, кожи, в отсутствие людей и животных. Средства 3 класса опасности - для использования специалистами и населением в быту с регламентированными условиями применения (расход препарата, режим проветривания, влажная уборка). Средства 4 класса разрешены для использования как специалистами, так и населением без ограничений.
6.10.21.3. Средства 1 класса опасности по зоне подострого биоцидного эффекта меньше 1 не рекомендуют для использования в дезинсекции. Средства 2 класса (Zsubac.bioc.eff. - 1 - 5) разрешают для обработки только подсобных помещений, подвалов и складов в отсутствие людей. Средства 3 класса (Zsubac.bioc.eff. - 5,1 - 10) - для применения специалистами для обработки производственных помещений любого назначения с регламентированными условиями применения (расход средства, влажная уборка, проветривание), а также населением в быту. Средства 4 класса (Zsubac.bioc.eff. > 10) без ограничений сферы применения (производственные, жилые помещения, медицинские, детские организации, предприятия общественного питания).
6.10.21.4. Способность дезинсекционных средств проникать через неповрежденные кожные покровы оценивают в субхроническом опыте. Полученные результаты дают альтернативный ответ о необходимости защиты кожных покровов (использования перчаток).
6.10.21.5. Выраженность раздражающего действия средства и его рабочих концентраций при однократном нанесении на кожу и слизистые оболочки глаз оценивают по соответствующим классификациям (
табл. 6.6 и
6.8). Средства, относящиеся к 1 классу опасности (резко выраженное действие) при контакте с кожей и со слизистыми оболочками глаз, не разрешают для использования в дезинсекции. Средства, относящиеся ко 2 классу опасности (выраженное), могут использовать только специалисты с защитой кожи и глаз. Средства 3 - 4 класса опасности (умеренное, слабое или отсутствие эффекта) могут применять как специалисты, так и население в быту.
При наличии раздражающего действия средства при многократном контакте с неповрежденными кожными покровами необходимо использовать средства защиты кожных покровов (перчатки).
6.10.21.6. Дезинсекционные средства, по аллергенной активности относящиеся к 1 классу опасности, запрещены для использования. Средства 2 - 3 классов (опасные, умеренно опасные) рекомендуют для использования специалистами со средствами индивидуальной защиты в производственных помещениях, за исключением детских и медицинских организаций, предприятий общественного питания. Средства 4 класса (малоопасные) могут использоваться без ограничений (в быту, медицинских, детских, производственных помещениях).
6.10.21.7. В
таблице 6.23 приведены основные критерии применения дезинфекционных средств в зависимости от препаративной формы и назначения.
Таблица 6.23
Критерии оценки безопасного применения
дезинсекционных средств
Назначение средства | Исследуемые показатели | Показатели | Разрешено применение |
величина показателя | класс опасности |
1 | 2 | 3 | 4 | 5 |
Аэрозольные баллоны | Зона острого биоцидного эффекта | менее 10 | 1 | Специалистам с использованием СИЗ (специальный костюм, противогазов экстремальных ситуациях |
10 - 30 | 2 | Специалистам с использованием СИЗ органов дыхания, кожи, глаз, в отсутствие людей |
31 - 100 | 3 | Специалистам и населению в быту с регламентированными условиями применения (проветривание, расход препарата, влажная уборка и т.д.) |
более 100 | 4 | Специалистам, населению в быту |
Зона подострого биоцидного эффекта | менее 1 | 1 | Запрещены для применения в дезинсекции |
1 - 5 | 2 | Специалистам с использованием СИЗ органов дыхания, кожи, глаз для обработки складов, подсобных помещений, подвалов |
5,1 - 10 | 3 | Специалистам и населению в быту для обработки производственных и жилых помещений с регламентированными условиями применения |
более 10 | 4 | Специалистам и населению в быту |
| Острая токсичность при введении в желудок, (DL50, мг/кг) | > 150 | 3 | Специалистам с использованием влагонепроницаемых перчаток |
> 5000 | 4 | Специалистам и населению в быту |
Раздражающее действие на кожу (однократно), баллы | 2,1 - 4,0 | 3 | Специалистам и населению в быту с использованием влагонепроницаемых перчаток |
0 - 2,0 | 4 | Специалистам и населению в быту |
Аэрозольные баллоны | Раздражающее действие на слизистые оболочки глаз (однократно) | до 10 | 2 - 3 | Специалистам с использованием влагонепроницаемых перчаток и защитных очков. |
0 - 3 | 4 - 5 | Специалистам и населению в быту |
Кожно-резорбтивное действие (однократно) | наличие эффекта | не классифицируется | Специалистам с использованием влагонепроницаемых перчаток |
отсутствие эффекта | Специалистам и населению в быту |
Сенсибилизирующее действие | умеренное и слабое | 2 - 3 | Специалистам с использованием СИЗ органов дыхания, кожи, глаз |
отсутствие эффекта | 4 | Специалистам и населению в быту |
Оценка реальной опасности - фактор безопасности | > 1 | не классифицируется | Специалистам |
< 1 | Населению в быту |
Пиротехнические и фумигирующие средства (шашки, таблетки, свечи и т.д.) | Зона острого биоцидного эффекта | менее 10 | 1 | Специалистам с использованием специальных костюмов, противогазов |
10 - 30 | 2 | Специалистам с использованием СИЗ органов дыхания, глаз, кожи, в отсутствие людей |
31 - 100 | 3 | Специалистам и населению в быту с регламентированными условиями применения |
более 100 | 4 | Специалистам и населению в быту |
Зона подострого биоцидного эффекта | менее 1 | 1 | Запрещены для применения в дезинсекции |
1 - 5 | 2 | Специалистам с использованием СИЗ органов дыхания, глаз, кожи, в отсутствие людей для обработки складов, подсобных помещений, подвалов |
5,1 - 10 | 3 | Специалистам и населению в быту для обработки производственных и жилых помещений с регламентированными условиями применения. |
| | более 10 | 4 | Специалистам и населению в быту |
Пиротехнические и фумигирующие средства (шашки, таблетки, свечи и т.д.) | Острая токсичность при введении в желудок, (DL50, мг/кг) | не менее 15 | 2 | Специалистам с использованием влагонепроницаемых перчаток |
не менее 151 | 3 - 4 | Специалистам и населению в быту |
Раздражающее действие на слизистые оболочки глаз (однократно) | до 10 | 2 - 3 | Специалистам со средствами защиты глаз |
0 - 3 | 4 - 5 | Специалистам и населению в быту |
Сенсибилизирующее действие | умеренное, слабое | 2 - 3 | Специалистам с использованием СИЗ органов дыхания, глаз, кожи |
отсутствие эффекта | 4 | Специалистам и населению в быту |
Оценка реальной опасности - фактор безопасности | > 1 | не классифицируется | Специалистам |
< 1 | Населению в быту |
Эмульгирующиеся концентраты, смачивающиеся порошки, микрокапсулированные концентраты, лаки, краски, растворы | а) средство: |
Острая токсичность при введении в желудок (DL50, мг/кг) | не менее 15 | 2 | Специалистам с использованием влагонепроницаемых перчаток |
не менее 151 | 3 - 4 | Специалистам и населению в быту |
Острая токсичность при нанесении на кожу (DL50, мг/кг) | не менее 100 - 500 | 2 | Специалистам с использованием влагонепроницаемых перчаток |
не менее 501 - 2500 | 3 | Специалистам и населению в быту с использованием влагонепроницаемых перчаток |
более 2500 | 4 | Специалистам и населению без ограничений |
Острая ингаляционная опасность в насыщающих концентрациях (C20) | C20 - клиника | 2 | Специалистам со средствами защиты органов дыхания. |
C20 >= Limac | 3 - 4 | Специалистам и населению в быту |
Раздражающее действие на кожу (однократное) | до 6 | 2 - 3 | Специалистам с использованием влагонепроницаемых перчаток |
0 - 2 | 4 | Специалистам и населению без ограничений |
Эмульгирующиеся концентраты, смачивающиеся порошки, микрокапсулированные концентраты, лаки, краски, растворы | Раздражающее действие на слизистые оболочки глаз (однократно) | до 10 | 2 - 3 | Специалистам со средствами защиты глаз |
0 - 3 | 4 - 5 | Специалистам и населению в быту |
Сенсибилизирующее действие | выраженное | 1 | Специалистам по эпидпоказаниям с защитой органов дыхания, глаз, кожи |
умеренное, слабое | 2 - 3 | Специалистам с защитой органов дыхания, глаз, кожи |
отсутствие эффекта | 4 | Специалистам и населению без ограничений |
б) рабочие эмульсии, суспензии, растворы: |
Кожно-резорбтивный эффект (0,5 мес) | наличие эффекта | не классифицируется | Специалистам с использованием влагонепроницаемых перчаток |
отсутствие эффекта | Специалистам и населению без ограничений |
Раздражающее действие на кожу (0,5 мес.) | наличие эффекта | не классифицируется | Специалистам и населению в быту с использованием влагонепроницаемых перчаток |
отсутствие эффекта | Специалистам и населению без ограничений |
| Зона острого биоцидного эффекта | менее 10 | 1 | Специалистам с использованием специальных костюмов, противогазов |
10 - 30 | 2 | Специалистам с защитой органов дыхания, глаз, кожи в отсутствие людей и животных |
31 - 100 | 3 | Специалистам и населению в быту с регламентированными условиями применения (уборка, проветривание) |
более 100 | 4 | Специалистам и населению без ограничений |
Зона подострого биоцидного эффекта | менее 1 | 1 | Запрещены для применения в дезинсекции |
1 - 5 | 2 | Специалистам с защитой органов дыхания, глаз, кожи для обработки складов, подсобных помещений, подвалов |
5,1 - 10 | 3 | Специалистам и населению в быту для обработки производственных и жилых помещений с регламентированными условиями применения |
более 10 | 4 | Специалистам и населению без ограничений |
Эмульгирующиеся концентраты и т.д. | Сенсибилизирующее действие | умеренное, слабое | 2 - 3 | Специалистам с защитой органов дыхания, глаз, кожи. |
отсутствие эффекта | 4 | Специалистам и населению без ограничений |
Оценка реальной опасности в рекомендованных режимах применения - фактор безопасности | > 1 | не классифицируется | Специалистам |
< 1 | Населению в быту |
Дусты, карандаши, брикеты, приманки, готовые к применению растворы, эмульсии, суспензии, таблетки, гели | Острая токсичность при введении в желудок (DL50, мг/кг) | не менее 15 | 2 | Специалистам |
не менее 151 | 3 - 4 | Специалистам и населению в быту |
Острая токсичность при нанесении на кожу, (DL50, мг/кг) | не менее 100 - 500 | 2 | Специалистам с использованием влагонепроницаемых перчаток |
не менее 501 - 2500 | 3 | Специалистам, населению в быту с использованием влагонепроницаемых перчаток |
более 2500 | 4 | Без ограничений |
Острая ингаляционная опасность в насыщающих концентрациях (C20) | C20 - клиника | 2 | Специалистам |
C20 <= Limac | 3 - 4 | Специалистам и населению в быту |
Зона острого биоцидного эффекта | менее 10 | 1 | Специалистам с использованием специальных костюмов, противогазов |
10 - 30 | 2 | Специалистам с защитой органов дыхания |
31 - 100 | 3 | Специалистам и населению в быту с регламентированными условиями применения |
более 100 | 4 | Специалистам и населению без ограничений |
Дусты, карандаши, брикеты, приманки, готовые к применению растворы, эмульсии, суспензии, таблетки, гели | Зона подострого биоцидного эффекта | менее 1 | 1 | Запрещены для применения в дезинсекции. |
1 - 5 | 2 | Специалистам с обработкой складов, подсобных помещений, подвалов |
5,1 - 10 | 3 | Специалистам и населению в быту для обработки производственных и жилых помещений с регламентированными условиями применения |
более 10 | 4 | Специалистам и населению без ограничений |
Кожно-резорбтивный эффект (0,5 мес) | наличие эффекта | не классифицируется | Специалистам с использованием влагонепроницаемых перчаток |
отсутствие эффекта | Специалистам и населению в быту |
Раздражающее действие на кожу (0,5 мес.) | наличие эффекта | не классифицируется | Специалистам с использованием влагонепроницаемых перчаток |
отсутствие эффекта | Специалистам и населению в быту |
Сенсибилизирующее действие | умеренное и слабое | 2 - 3 | Специалистам с защитой органов дыхания, глаз, кожи |
отсутствие эффекта | 4 | Специалистам и населению без ограничений |
Раздражающее действие на слизистые оболочки глаз (однократно) | до 10 | 2 - 3 | Специалистам с защитой глаз |
0 - 3 | 4 - 5 | Специалистам и населению в быту |
| Оценка реальной опасности в рекомендованных режимах применения - фактор безопасности | > 1 | не классифицируется | Специалистам |
< 1 | Населению в быту |
6.10.22. Реальную опасность дезинсекционных средств в рекомендуемом режиме и способе использования оценивают на 3 этапе при моделировании естественных условий с расчетом фактора безопасности. Полученные данные должны подтвердить результаты оценки средства в модельных опытах на животных. В случае, когда SF > 1, реальная опасность средства высока (как для специалистов - обученного персонала организаций, имеющих право заниматься дезинфекционной деятельностью, так и населения) и для его применения необходимо использовать комплекс средств индивидуальной защиты. В случае, когда SF < 1, реальная опасность средства низка и его можно рекомендовать для использования населением и специалистам без средств индивидуальной защиты. При необходимости полученные результаты исследований подтверждают материалами практических испытаний.
6.11. Методы изучения токсичности и опасности
педикулицидных средств
6.11.1. Педикулицидные средства выпускают в различных препаративных формах: шампуни, мыло, эмульсии, лосьоны, дусты, аэрозоли, импрегнированные ткани и т.д. Основное условие, которому должны отвечать все педикулицидные средства, - отсутствие вредного влияния при непосредственном (головной и лобковый педикулез) и опосредованном (платяной педикулез) контакте с кожными покровами человека, а также при возможном дополнительном их воздействии через органы дыхания.
6.11.2. Сроки токсикологического эксперимента зависят от продолжительности применения средств. Для средств с эпизодическим применением в течение 1 - 3 дней при головном и лобковом педикулезе (с учетом возможной повторной обработки) - 10 дней, для применения в течение 10 - 15 дней (при дезинсекции вещей, ношении импрегнированного белья) - 30 дней.
6.11.3. При токсикологической оценке педикулицидов, предназначенных для борьбы с головным педикулезом у детей, особое внимание уделяют изучению возрастной чувствительности неполовозрелых животных к средству.
6.11.4. Длительность и объем токсикологических исследований при борьбе с платяным педикулезом зависят от содержания средства в ткани по результатам санитарно-гигиенического анализа разных видов материалов (хлопчатобумажных, шерстяных, синтетических), что влияет на степень опасности педикулицида при контакте с кожей. При оценке импрегнированной ткани основной задачей эксперимента является изучение ее опасности при контакте с кожей в сочетании с гигиенической характеристикой тканей (воздухопроницаемость, гигроскопичность и др.).
6.11.5. Токсиколого-гигиеническое изучение проводят для всех вновь внедряемых педикулицидных средств и осуществляют по 3-этапной схеме.
I этап. Первичная оценка токсичности дезинсекционного средства и препаративных форм включает сбор сведений литературы о токсичности самого ДВ и всех компонентов средства, включая отдаленные эффекты: эмбриотоксический, тератогенный, мутагенный, бластомогенный. Необходимо иметь сведения о составе средства, его назначении и режиме применения.
Исследование нового ДВ, растворителя проводят по общепринятым в токсикологии методам с оценкой общей и специфической токсичности и установлением гигиенических нормативов в объектах окружающей среды.
Для средства определяют острую токсичность при введении в желудок разным возрастным группам животных и нанесении на кожу (DL50), опасность по степени летучести (C20), вычисляют кожно-оральный коэффициент (Кк/о). Необходимо изучить токсичность при потенциально опасном пути поступления в организм: раздражающее действие на кожу и глаза, сенсибилизирующее действие. Оценивают действие на волосы. По окончании исследований первого этапа проводят отбор перспективных средств для их последующего углубленного изучения.
На II этапе углубленных исследований продолжают изучение кожно-резорбтивного действия средства, изучают также возрастную чувствительность к педикулицидным средствам против головного и лобкового педикулеза (для безопасности переноса экспериментальных данных на детское население).
Опасность педикулицидов, предназначенных для борьбы с платяным педикулезом, оценивают комплексно: по резорбции через кожу и возможном поступлении их паров и аэрозоля через органы дыхания. Проведение токсикологического эксперимента со средствами, предназначенными для борьбы с платяным педикулезом, в основном, зависит от наличия остаточных количеств ДВ на различных видах тканей, которые обуславливают степень их опасности при контакте с кожей человека или при ингаляции. При отсутствии остаточных количеств ДВ педикулицида на образцах ткани после рекомендованного режима дезинсекции исследование кожно-резорбтивного действия не проводят, ограничиваются только физико-гигиенической характеристикой различных образцов тканей.
На заключительном, III этапе, проводят испытания средства в практических условиях. Практическим испытаниям подлежат средства с новыми или ранее неизученными ДВ. Для средств на основе хорошо известных компонентов этап испытаний заключается в их исследовании на ограниченной группе добровольцев. Испытания проводят в соответствии с
ГОСТ Р 57473.
6.11.6. Перечень показателей для оценки педикулицидных средств против головного и лобкового педикулеза:
- острая токсичность при введении в желудок (DL50 per os);
- острая токсичность при нанесении на кожу (DL50 cut);
- кожно-оральный коэффициент (Кк/о = DL50cut/DL50per os);
- острая ингаляционная опасность в насыщающих концентрациях паров (C20);
- ингаляционная опасность в режимах применения;
- раздражающее действие на кожу;
- раздражающее действие на глаза;
- кожно-резорбтивное действие;
- коэффициент возрастной чувствительности (КВЧ) по лимитирующим параметрам для половозрелых и неполовозрелых животных;
- сенсибилизирующее действие;
- эмбриотропное, тератогенное и мутагенное действия (по показаниям);
- испытания средства в практических условиях.
6.11.7. Определение средней смертельной дозы при введении в желудок и нанесении на кожу (DL
50), а также ингаляционной опасности в насыщающих концентрациях паров (C
20) рассмотрены в
пп. 6.10.9,
6.10.10 и
6.10.11.
6.11.8. Для препаративных форм, применяемых в виде аэрозолей, изучают токсичность при ингаляционном пути поступления педикулицида в организм с учетом режима применения: в норме расхода и 3 - 10-кратном ее превышении. Норму расхода устанавливают, исходя из рекомендуемого режима применения. Это позволяет определить широту зоны токсического действия, класс опасности и условия применения средства на практике. Длительность эксперимента - 10 - 14 дней для средств эпизодического применения при ежедневной экспозиции 4 ч. Животных обследуют в середине и по окончании эксперимента, регистрируя интегральные и специфические показатели интоксикации организма.
6.11.9. Раздражающее действие педикулицидов на кожу изучают при однократном и многократном нанесении на кожные покровы 2 видам животных. Общие рекомендации по проведению эксперимента даны в
п. 6.10.12.
6.11.9.1. Участок для аппликации должен составлять 3% поверхности кожи человека, что при переносе на кожу лабораторных животных составляет: для крыс - 6 см2 (2x3 см), для морских свинок - 9 см2 (3x3 см), для кроликов - 25 см2 (5x5 см). Правый бок служит для аппликации изучаемого средства, левый - для контроля. Сроки эксперимента зависят от продолжительности применения педикулицидных средств в практических условиях: для борьбы с головным и лобковым педикулезом (1 - 2 разовая обработка) - 2 недели (10 аппликаций). Однократная экспозиция средства составляет 30 - 60 мин с учетом нормы расхода. За норму расхода принимают 30 - 50 см3 (г) средства, наносимого на кожу головы. Однократное нанесение соответствует 1 норме расхода, трехкратное - 3 нормам, десятикратное - 10 нормам расхода. Целесообразно дробное нанесение средства с двумя перерывами по 4 дня по схеме: 3 аппликации, перерыв 4 дня, 3 аппликации, перерыв 4 дня и еще 4 аппликации.
6.11.9.2. В эксперименте на морских свинках или кроликах изучают также раздражающее действие средства на скарифицированную кожу, имитируя поврежденные расчесами кожные покровы. Для этого на предварительно выстриженные кожные участки иглой наносят царапины в виде решетки (#) до появления крови. Однократно наносят средство на один из поврежденных участков кожи, другой служит контролем. Ведут наблюдение за процессом полного заживления царапин в течение 1 - 2 недель.
6.11.9.3. Признаки раздражения кожи выявляют визуально, а также с помощью инструментов, фиксируя покраснение кожи, отек, сухость, шелушение и т.д. Выраженность эритемы оценивают визуально в баллах по классификации С.В. Суворова и отек - в баллах
(табл. 6.5).
6.11.9.4. Изучение местного действия средств проводят как на освобожденном от шерсти участке кожи, так и непосредственно на шерстном покрове с целью оценки его влияния на волосы. Для шерсти оценивают изменения цвета, блеска, ломкости, неравномерности роста, в т.ч. фиксируют участки облысения.
6.11.9.5. Раздражающий эффект в условиях повторного опыта оценивают по той же классификации выраженности раздражающих свойств
(табл. 6.5) и показателям с дополнительной регистрацией сухости, шелушения, трещин, участков уплотнения кожи и т.д.
6.11.10. Раздражающее действие на глаза изучают в эксперименте на кроликах при однократном воздействии (без промывания и с промыванием глаз водой). После внесения средства в конъюнктивальный мешок промывают глаз из шприца (или резиновой груши) теплой питьевой водой в течение 1 - 2 мин.
Регистрацию изменений слизистой оболочки глаза, склеры и роговицы проводят визуально сразу после воздействия, через 1 ч и ежедневно до исчезновения клинических признаков. Отмечают выраженность гиперемии и отека слизистой оболочки, инъекцию сосудов склерозной оболочки, состояние роговицы, количество и качество выделений из глаза (
табл. 6.7,
6.8).
6.11.11. Определение кожно-резорбтивного действия проводят на белых крысах. Для контроля берут отдельную группу животных. Участок аппликации должен составлять 3% поверхности кожи человека, что при переносе на лабораторных животных составляет для крыс 6 см2 (2x3 см). Изучаемое средство наносят на кожу в готовой форме или рекомендуемой для применения рабочей концентрации. Однократная экспозиция средства составляет 30 - 60 мин с учетом нормы расхода. За норму расхода принимают 30 - 50 см3 (г) средства, наносимого на кожу головы. Однократное нанесение соответствует 1 норме расхода, трехкратное - 3 нормам, десятикратное - 10 нормам расхода.
Кожно-резорбтивное действие оценивают при повторном воздействии в течение 3 недель на кожные покровы крыс с установлением по возможности порога подострого действия (Limsubac). Обследование подопытных животных проводят после 3 и 15 аппликации средства. Показатели биологического действия средства выбирают с учетом направленности действия ДВ и активно действующих ингредиентов.
6.11.12. Токсикологическое изучение педикулицидных средств, предназначенных для использования детским контингентом, проводят на молодых животных (обычно потомстве крыс). Эквиваленты возраста белых крыс и человека представлены в
табл. 6.13. Наиболее оптимальными для изучения являются крысята-отъемыши 3 - 4-недельного возраста с массой тела 40 - 50 г, соответствующие 2 - 3-летнему детскому возрасту. На неполовозрелых животных определяют острую токсичность при введении в желудок и нанесении на кожу, кожно-резорбтивное действие. Результаты этих исследований используют для определения коэффициентов возрастной чувствительности.
6.11.13. Оценку сенсибилизирующего действия педикулицидов проводят комбинированным методом, сочетающим внутрикожную сенсибилизацию организма с накожными аппликациями
(п. 6.2.11.2).
6.11.14. Перечень показателей и методы определения токсичности и опасности педикулицидных средств против платяного педикулеза:
- острая токсичность при введении в желудок (DL50 per os);
- острая токсичность при нанесении на кожу (DL50 cut);
- кожно-оральный коэффициент (Кк/о = DL50cut/DL50per os);
- острая ингаляционная опасность в насыщающих концентрациях паров (C20);
- ингаляционная опасность в режимах применения;
- раздражающее действие на кожу;
- раздражающее действие на глаза;
- кожно-резорбтивное действие;
- определение коэффициента возрастной чувствительности (КВЧ) по лимитирующим параметрам для животных разного возраста (половозрелого и молодого);
- сенсибилизирующее действие;
- оценка остаточных количеств средства на образцах тканей;
- санитарно-гигиеническая оценка материалов, обработанных или импрегнированных средством;
- эмбриотропное, тератогенное и мутагенное действия (по показаниям);
- испытания средства в практических условиях.
6.11.15. Перечень показателей токсичности педикулицидных средств против платяного педикулеза включает те же параметры и показатели, что и для головного и лобкового. Ниже приведены некоторые особенности изучения средств, предназначенных для борьбы с платяным педикулезом.
6.11.15.1. На первом этапе токсиколого-гигиенических исследований определяют ДВ в смывах с различных образцов тканей или путем экстракции. Целью аналитических исследований являются обнаружение остаточных количеств ДВ, изучение интенсивности и динамики миграции из различных образцов (видов) тканей. Исследования проводит специалист химик-аналитик.
6.11.15.2. Кожно-резорбтивное действие средства в остром опыте оценивают по кожно-оральному коэффициенту (Кк/о), представляющему соотношение средней смертельной дозы при воздействии на кожу и введении в желудок.
6.11.15.3. Изучение кожно-резорбтивного действия проводят в субхроническом эксперименте в норме расхода средства и с 10-кратным ее завышением в течение 1 месяца при ежедневной 4-часовой экспозиции.
6.11.16. Для средств, предназначенных для борьбы с платяным педикулезом (в т.ч. импрегнирования белья), необходимы санитарно-гигиенические исследования различных образцов тканей (хлопчатобумажных, шерстяных, синтетических).
6.11.16.1. К гигиеническим свойствам материи относят: воздухопроницаемость, электризуемость, гигроскопичность, испаряемость и др. Перечисленные показатели имеют большое значение для формирования микроклимата под одеждой и определения условий терморегуляции организма.
6.11.16.2. Экспертную оценку различных образцов обработанной ткани проводят в сопоставлении с контрольными образцами (визуальную, органолептическую по балльной системе). Регистрируют наличие стойкого специфического запаха, изменение окраски и нарушение прочности материалов. Изучение физико-химических свойств подвергнутых дезинсекции материалов проводят в соответствии с методическими
указаниями <26>.
--------------------------------
<26>
МУ 1353-76 "Методические указания по гигиенической оценке одежды и обуви из полимерных материалов".
6.11.16.3. Критериями гигиенической оценки материалов, обработанных педикулицидами, являются:
- стойкость специфического запаха, придаваемая ими тканям;
- изменение физико-гигиенических свойств тканей (воздухопроницаемость, испаряемость, гигроскопичность), которое приводит к нарушению нормальных физиологических реакций организма;
- отсутствие роста патогенной микрофлоры;
- отсутствие повреждающего действия на внешний вид ткани.
Санитарно-гигиенические показатели учитывают при обосновании безопасных условий применения педикулицидов.
6.11.17. Практические испытания педикулицидов проводят на заключительном этапе с целью оценки безопасности их применения. Испытаниям подлежат средства с ранее не изученными ДВ. Для средств на основе хорошо известных компонентов этап испытаний заключается в проверке его на ограниченной группе добровольцев. Исследования проводят в соответствии с
ГОСТ Р 57473.
6.11.17.1. До широких практических испытаний целесообразно проведение ограниченных испытаний на добровольцах (6 - 10 человек) с оценкой состояния кожных покровов: температуры кожи, pH, электросопротивляемости и других физиологических и гигиенических показателей. При необходимости на добровольцах проверяют аллергенные свойства изучаемого средства (кожные пробы, "лоскутная проба", пробы in vitro и др.).
6.11.17.2. Положительные результаты этого этапа позволяют перейти к широким испытаниям педикулицидов против головного и лобкового педикулеза, а также средств, предназначенных для дезинсекции вещей. Окончательную проверку проводят с участием не менее 30 человек согласно разработанной программе испытаний эффективности и безопасности средства как для профессионального контингента, так и для пациентов.
6.11.17.3. До начала исследований проводят общий медицинский осмотр и оценивают состояние здоровья добровольцев с учетом данных анамнеза о наличии кожных и аллергических заболеваний. Всех испытуемых инструктируют о режиме применения изучаемого препарата, возможных субъективных ощущениях и о необходимости немедленного обращения к медицинскому персоналу, участвующему в испытаниях, при появлении побочных реакций. Все выявленные у добровольцев побочные явления вносят в индивидуальную регистрационную карту испытуемого. В испытаниях обязательно участвует врач-дерматолог, который проводит регулярные осмотры испытуемых. В случае необходимости привлекают врачей других специальностей.
6.11.17.4. Наличие острых субъективных и объективных реакций на воздействие средства более чем у 5% испытуемых, а также изменения в физиологических и биохимических показателях у добровольцев в сравнении с контролем, с учетом противопоказаний, является основанием к пересмотру рекомендованных режимов применения средства или его рецептуры.
6.11.17.5. При положительных результатах практических испытаний средство рекомендуют для регистрации, промышленного выпуска и внедрения в практику медицинской дезинсекции. На основании проведенных исследований разрабатывают рекомендации по мерам предосторожности при работе и хранении средства, которые включают в тексты этикеток (бытовая и/или тарная) и инструкции по его применению.
6.11.18. На основании полученной в эксперименте токсикологической характеристики средства обосновывают величину Кзап и возможный допустимый уровень его на кожных покровах. Кзап выбирают с учетом острой токсичности, времени контакта педикулицида с кожей и продолжительности его применения, величин зон острого и субхронического действия, препаративной формы и др. Для большинства препаративных форм предложено устанавливать Кзап равным 3.
6.11.19. По результатам исследований 1 этапа проводят отбор средств для последующего углубленного изучения.
6.11.19.1. Не подлежат дальнейшему изучению средства, имеющие:
- DL
50 при введении в желудок менее 151 мг/кг (1 - 2 классы опасности по
ГОСТ 12.1.007);
- DL50 при нанесении на кожу менее 2500 мг/кг;
- раздражающее действие на кожу более 2 баллов;
- выраженное раздражающее действие на слизистые оболочки глаз более 6 баллов (2 класс опасности по классификации ДС);
- выраженное кожно-резорбтивное действие (Кк/о менее 3);
- сенсибилизирующий эффект;
- отрицательное влияние на волосяные покровы.
6.11.19.2. По раздражающему действию на кожу допустима слабая (розовый тон) эритема (1 балл по классификации ДС), наблюдаемая после 3 - 10 аппликаций. Средства для детей не должны обладать раздражающим действием.
Допускается слабое раздражающее действие средства на слизистые оболочки глаз (1 балл), проходящее в короткие сроки (через 1 - 2 ч).
6.11.19.3. Ингаляционную опасность средства и возможность применения его на практике определяют согласно классификации
(табл. 6.24).
Таблица 6.24
Классификация по степени опасности педикулицидных средств
Класс опасности | Характеристика ингаляционной токсичности при повторном воздействии | Заключение о возможности применения средства в практике |
1 Высокоопасные | Токсичны в рекомендуемой норме расхода | Не пригодны |
2 Умеренно опасные | Токсичны при 3-кратном завышении нормы расхода | Пригодны в отсутствии людей специалистами дезслужбы с защитой органов дыхания |
3 Малоопасные | Токсичны при воздействии 10-кратно завышенной нормы расхода | Пригодны для специалистов дезслужбы и населения в быту (с регламентированными условиями применения) |
4 Практически не опасные | Не токсичны при 10-кратном завышении нормы расхода | Пригодны для специалистов дезслужбы и населения в быту |
6.11.19.4. В состав педикулицидных средств не разрешено вводить инсектициды (ДВ), относящиеся согласно
ГОСТ 12.1.007 к 1 классу чрезвычайно опасных соединений, обладающих специфическими отдаленными эффектами (эмбриотропным, мутагенным и бластомогенным).
6.11.19.5. Количественная степень опасности педикулицидов распределена по 4 классам в зависимости от величины зоны биоцидного эффекта по кожно-резорбтивному эффекту (от 1 до 10) и от наличия и степени выраженности раздражающих и сенсибилизирующих свойств. Чем

зона биоцидного эффекта, тем опаснее средство, и наоборот.
6.11.19.6. Не рекомендованы к применению чрезвычайно опасные средства, повреждающие волосяной покров, проявляющие одновременно большое (2 - 3) количество эффектов (кожно-резорбтивный в ранние сроки, сильное раздражающее действие) как у средства, так и у его рабочих растворов, вызывающие сенсибилизирующий эффект.
6.11.19.7. К применению по эпидемиологическим показаниям с жесткой регламентацией режимов применения могут быть разрешены высокоопасные средства, проявляющие какой-либо один из лимитирующих эффектов. Средства 3 класса (умеренно опасные) при зоне биоцидного эффекта 3,1 - 10 с умеренным раздражающим действием при повторном нанесении можно применять обученным персоналом только для взрослого населения. Без ограничения сфер и контингента рекомендуют средства малоопасные (4 класса).
6.11.19.8. Сферу применения педикулицидных средств в аэрозольной форме регламентируют, прежде всего, с учетом реального ингаляционного пути воздействия на организм
(табл. 6.24). Средства, токсичные в норме расхода, непригодны для применения. Умеренно опасные средства 2 класса, токсичные при 3-кратно завышенной норме расхода, рекомендуют для применения специалистами организаций дезинфекционной службы с защитой органов дыхания. Средства 3 и 4 классов могут использовать как специалисты организаций дезинфекционной службы, так и население в быту.
6.11.20. Критерии отбора по ДВ. Запрещены средства, содержащие ДВ 1 класса опасности при введении в желудок (DL
50 < 15 мг/кг) и ингаляционном воздействии по степени летучести (C
20 - гибель), 1 - 2 классов при воздействии на кожу (DL
50 < 500 мг/кг), с резко выраженными раздражающими (суммарный балл отека и эритемы более 6 баллов, 1 класс опасности по классификации ДС;
табл. 6.5), кожно-резорбтивными (К
к/о < 1), а также аллергенными свойствами, оказывающие депиляторный и депигментационный эффекты на волосы и кожу.
6.11.21. Для импрегнации используют педикулицидные средства, отвечающие условиям безопасности. Их изучение включает токсикологическую характеристику ДВ, оценку токсичности средства и его рабочих растворов, используемых для импрегнации (пропитки) изделий, токсикологическую и органолептическую характеристику ткани (изделия), ограниченные испытания на добровольцах (при использовании новых ДВ, функциональных добавок, новых режимов импрегнации).
6.11.21.1. Запрещены средства:
- с величиной DL
50 при введении в желудок менее 150 мг/кг (1 и 2 классы опасности по
ГОСТ 12.1.007);
- с величиной DL
50 при нанесении на кожу менее 2500 мг/кг (1 - 3 классы опасности по
ГОСТ 12.1.007;
- относящиеся к 1 - 2 классам опасности по Классификации химических веществ по степени летучести;
- с коэффициентом кумуляции (Ccum) менее 3;
- обладающие сенсибилизирующим действием;
- вызывающие эритему или отек при однократном нанесении на кожу более 2 баллов.
6.11.21.2. Разрешены средства, оказывающие раздражающее действие на слизистые оболочки глаз.
6.11.22. Обработку тканей проводят рабочими растворами средства (импрегнирующие растворы), которые также подлежат оценке по степени токсичности и опасности.
6.11.22.1. DL
50 определяют на различных видах лабораторных животных (белые крысы, мыши). Запрещают средства с величиной DL
50 менее 5000 мг/кг (1 - 3 классы опасности по классификации
ГОСТ 12.1.007).
6.11.22.2. Раздражающее действие импрегнирующих растворов на кожу изучают при многократном (2 - 4 недели или 10 - 20 аппликаций) нанесении на кожные покровы кроликов. Участок аппликации составляет 56 см2 (7x8 см). Средство наносят в количестве 0,5 см3 без последующего смывания. Выраженность эритемы и отека оценивают в баллах по классификации С.В. Суворова. Запрещают импрегнирующие растворы, оказывающие раздражающее действие на кожу более 1 балла.
6.11.22.3. Раздражающее действие на слизистую оболочку глаз изучают на кроликах при однократном нанесении. Регистрацию изменений слизистой оболочки, склеры и роговицы проводят визуально сразу после воздействия, через 1 ч и далее ежедневно до исчезновения клинических признаков. Отмечают выраженность гиперемии и отека слизистой оболочки, инъекцию сосудов склер, состояние роговицы, количество и качество выделений из глаза и т.п.
6.11.22.4. Разрешают импрегнирующие растворы, обладающие раздражающим действием на глаза, но работы с ними следует проводить с использованием СИЗ (герметичные очки).
6.11.23. При применении импрегнированного белья происходит длительный контакт ДВ с поверхностью тела человека. Поэтому для обработки тканей необходимо использовать ДВ в количествах, не способных вызвать отравление.
6.11.23.1. С этой целью устанавливают минимально эффективные уровни (Limsubac) воздействия средства (по ДВ) на организм при контакте с кожными покровами (кожно-резорбтивное действие), которые в дальнейшем используют для обоснования безопасного режима применения импрегнированной одежды. Установление Limsubac средства (по ДВ) возможно 2 методами: при накожных аппликациях средства или импрегнированных ими тканей (метод попон).
6.11.23.2. Для определения Limsubac средства (по ДВ) используют не менее 3 доз. Их подбирают на основе данных о токсичности ДВ при нанесении на кожу, введении в желудок, кумулятивной активности. Кратность интервала между дозами составляет от 3 до 5.
6.11.23.3. Кожно-резорбтивное действие оценивают при повторных нанесениях средства на кожные покровы крыс в различных дозах в течение 3 недель, 5 раз в неделю, по 6 ч в день. Участок аппликации составляет 6 см2 (2x3 см). Изучаемое средство наносят на кожу в концентрации, не вызывающей раздражения кожи, с последующим смыванием. Обследование подопытных животных проводят в динамике: через сутки после экспозиции, затем через 3, 7, 14 и 21 день. Показателями кожной резорбции, кроме смертельного исхода и клинической картины интоксикации, служат изменения специфических и интегральных показателей, отражающих функциональное состояние различных органов и систем организма.
6.11.23.4. Изучение кожно-резорбтивного действия ДВ методом попон проводят на кроликах или белых крысах. Попоны обрабатывают ИР в различных концентрациях с учетом изучаемой дозы ДВ. Площадь контакта попоны с поверхностью тела кролика составляет 300 см2, из них участок размером 150 см2 освобождают от шерстяного покрова. Площадь контакта попоны с поверхностью тела крысы - 120 см2, из них участок размером 16 см2 освобождают от шерстяного покрова. Экспозиция 6 ч. Длительность исследования 21 день.
Обследование подопытных животных проводят в динамике: через сутки после экспозиции, затем через 3, 7, 14 и 21 день. У животных регистрируют массу тела, оценивают реакцию кожи (эритема, шелушение, отек и т.п). Показателями кожной резорбции служат изменения специфических и интегральных показателей, отражающих функциональное состояние различных органов и систем организма.
6.11.24. Для решения вопроса о безопасности использования импрегнированной ткани учитывают Кзап, который рассчитывают как отношение установленного Limsubac средства (по ДВ) при контакте с кожей лабораторных животных (мг/кг) к количеству ДВ, необходимого для обработки комплекта белья с учетом длительности (дни) его использования и массы тела человека.
Например: для обработки комплекта белья расходуют в среднем 500 мг ДВ, средняя масса тела человека 70 кг, длительность ношения белья 10 дней. Таким образом, доза ДВ для человека при ношении импрегнированного белья составит: 500 мг/70 кг/10 дней = 0,7 мг/кг. Поэтому Limsubac средства (по ДВ) равен 30 мг/кг. Следовательно, Кзап = 30 мг/кг/0,7 мг/кг = 42.
По величине К
зап определяют длительность применения импрегнированной одежды в соответствии с
табл. 6.25.
Таблица 6.25
Срок ношения импрегнированной одежды в зависимости
от коэффициента запаса
Кзап | Срок ношения | Область применения |
> 100 | Непрерывное ношение одежды в течение 30 дней с перерывом не менее одного месяца | Для профилактики платяного педикулеза. В очаге сыпного тифа при наличии педикулеза |
71 - 100 | Ношение одежды в течение 20 дней с перерывом не менее одного месяца | Для профилактики платяного педикулеза. В очаге сыпного тифа при наличии педикулеза |
31 - 70 | Ношение одежды в течение 10 дней один раз в месяц | Для профилактики платяного педикулеза. В очаге сыпного тифа при наличии педикулеза |
20 - 30 | Ношение одежды в течение 5 дней один раз в месяц | В очаге сыпного тифа при наличии педикулеза |
< 20 | Использование обработанной одежды запрещено | - |
6.11.25. Оценку образцов материи, обработанных импрегнированными растворами, проводят в сопоставлении с контрольными образцами. Регистрируют наличие стойкого специфического запаха, изменение окраски и нарушение прочности материалов. Специфический запах оценивают по балльной системе. Интенсивность запаха обработанной ткани не должна превышать 2 баллов (характерный запах обнаруживается, если обратить на это внимание).
При отсутствии стойкого специфического запаха, изменения окраски и нарушения прочности материалов делают заключение о возможности применения импрегнированной ткани.
6.11.26. Испытания на добровольцах проводят после завершения экспериментальных исследований на животных в соответствии с
ГОСТ Р 57473.
6.11.26.1. Метод "закрытой лоскутной пробы". Группа состоит из 10 человек разного пола в возрасте от 18 до 60 лет. Испытуемым прикрепляют на внутреннюю поверхность предплечья "марлевую заплату" размером 1 см2 на 24 ч, пропитанную 0,3 - 0,5 см3 ИР. Реакцию кожи оценивают через 24 и 48 ч. Регистрируют состояние общего самочувствия и реакцию кожи (шелушение, эритема и т.п.).
Импрегнированная ткань не должна вызывать каких-либо неприятных субъективных ощущений или изменений состояния кожных покровов.
6.11.26.2. Апробация одежды на ограниченной группе добровольцев. Испытаниям подлежит импрегнированная одежда, разработанная на основе ранее не изученных ДВ. Группа добровольцев состоит из 10 человек мужского и женского пола в возрасте от 18 до 60 лет. Испытание одежды проводят в течение 7 - 10 суток с учетом рекомендуемого срока ношения белья.
До начала исследований оценивают состояние здоровья добровольцев с учетом данных анамнеза о кожных и аллергических заболеваниях. Всех испытуемых инструктируют о режиме ношения тестируемой одежды, возможных субъективных ощущениях и необходимости прекращения испытания при появлении побочных реакций. У добровольцев регулярно проводят оценку состояния кожных покровов. При необходимости исследуют функциональные показатели (артериальное давление, частоту пульса, частоту дыхания и др.), биохимические показатели сыворотки крови и проводят другие исследования с учетом специфического действия ДВ. По ходу испытаний проводят опрос для учета субъективных ощущений и возможных жалоб. Все исследованные показатели и выявленные побочные явления вносят в индивидуальную регистрационную карту испытуемого. В испытаниях обязательно участвует врач-дерматолог, который проводит регулярные осмотры испытуемых. В случае необходимости привлекают врачей других специальностей.
Испытуемая одежда не должна вызывать у добровольцев каких-либо побочных эффектов (объективных и субъективных).
6.12. Методы изучения токсичности и опасности
инсектоакарицидных средств
6.12.1. Природно-очаговые заболевания, возбудителей которых передают человеку иксодовые клещи при кровососании, широко распространены на территории России. Клещи одновременно могут содержать возбудителей нескольких заболеваний вирусной, риккетсиозной, бактериальной и протозойной этиологии. Наибольшее эпидемическое значение имеют вирусный клещевой энцефалит и бактериальные иксодовые клещевые боррелиозы.
Для защиты людей от таежных и лесных клещей, летающих кровососущих насекомых (гнус) используют инсектоакарицидные средства и защитную одежду.
6.12.2. Изучение инсектоакарицидов проводят так же, как и инсектицидных средств. Для химических инсектоакарицидных средств установлены следующие рекомендации по безопасности:
- по параметрам острой токсичности при введении в желудок и нанесении на кожу средства должны соответствовать 2 - 4 классам опасности по классификации
ГОСТ 12.1.007. Средства 2 класса опасности можно использовать только профессиональным контингентам;
- составы наполнителей аэрозольных баллонов и беспропеллентных аэрозольных упаковок по острой ингаляционной токсичности должны соответствовать 3 - 4 классам опасности по классификации
ГОСТ 12.1.007;
- по аллергенной активности средства должны соответствовать 3А - 4 классам по гигиенической классификации пестицидов;
- средства для обработки одежды не должны обладать кожно-резорбтивным действием;
- тарная этикетка на средство должна сопровождаться знаком "Р", который означает запрещение использования препарата в санитарной зоне вокруг рыбохозяйственных водоемов на расстоянии 500 метров от границы затопления при максимальном стоянии паводковых вод, но не менее 2 км от существующих берегов.
6.12.3. Изучение токсичности и опасности верхней спецодежды (ткани), обработанной инсектоакарицидами, проводят по 3-этапной схеме:
- 1-й этап - оценка токсичности и опасности инсектоакарицидного ДВ, используемого для обработки специальной верхней одежды;
- 2-й этап - оценка опасности обработанной инсектоакарицидами ткани, предназначенной для изготовления верхней одежды;
- 3-й этап - санитарно-гигиеническая оценка готовых изделий (специальной верхней одежды).
Объем и характер токсикологических исследований зависят от физико-химической природы тканевого материала и биоцидных свойств инсектоакарицидов, используемых для обработки специальной верхней одежды.
В соответствии с Санитарными
правилами <27> основными классифицирующими элементами являются площадь непосредственного контакта с кожей, возраст пользователя и продолжительность непрерывного ношения, верхняя специальная одежда должна относиться к 4 классу опасности.
--------------------------------
6.12.4. Токсикологическая характеристика ДВ инсектоакарицидов, используемых для обработки одежды, должна включать следующие сведения:
- острая токсичность при введении в желудок (DL50);
- острая токсичность при нанесении на кожу (DL50);
- острая токсичность при ингаляционном воздействии (CL50, C20);
- раздражающее действие на кожу и слизистые оболочки глаз;
- сенсибилизирующие свойства;
- хроническая или подострая токсичность (с определением действующих, пороговых и неэффективных доз по лимитирующим показателям вредности);
- гигиенические нормативы для кожных покровов (ПДУ, ОДУ), для воздуха рабочей зоны и атмосферного воздуха населенных мест (ПДК, ОБУВ).
Запрещено использовать для обработки защитной одежды инсектоакарициды, относящиеся при потенциально опасных путях поступления в организм по параметрам острой токсичности к 1 классу опасности (по величине DL50), а также к 1 - 2 классам опасности по кожно-резорбтивному действию.
6.12.5. Оценку реальной опасности ткани, обработанной инсектоакарицидами, проводят при потенциально опасных путях их поступления в организм. Лимитирующим фактором служит выявление раздражающего, кожно-резорбтивного и сенсибилизирующего действия.
6.12.5.1. В токсикологических экспериментах оценивают как ткань, обработанную инсектоакарицидами, так и вытяжки, полученные экстракцией из ткани модельной потовой жидкостью
(табл. 6.26). Контрольным раствором является сама модельная потовая жидкость.
Таблица 6.26
Вещество | Количество |
Натрий хлористый | 2,0 г |
Калий хлористый | 0,3 г |
Кальций хлористый | 0,04 г |
Молочная кислота | 1,0 г |
Мочевина | 0,4 г |
Аммоний сернокислый | 0,35 г |
Нашатырный спирт | 1,0 см3 |
Аспарагиновая кислота | 0,2 г |
Фенол чистый | 0,08 г |
Ацетон | 0,03 г |
Условия приготовления вытяжки:
- количество образцов ткани - 3;
- модельная среда - потовая жидкость;
- соотношение массы ткани и объема потовой жидкости - 1 г : 100 см3;
- температура экстракции - 40 °C;
- время экстракции - 24 ч.
Для приготовления модели потовой жидкости, перечисленные в
табл. 6.26 компоненты растворяют в 1 дм
3 дистиллированной воды, pH раствора доводят до 4,5.
6.12.5.2. Раздражающее действие обработанной инсектоакарицидами ткани изучают на кроликах. Накануне опыта шерсть у кроликов состригают, избегая порезов и ссадин. На следующий день накладывают на выстриженный участок "попону" площадью 200 см2, которая контактирует с кожей животного. Непосредственно перед фиксацией "попоны" кожу кроликов обрабатывают модельной потовой жидкостью. Во время эксперимента подопытные животные находятся в обработанных инсектоакарицидами "попонах", контрольные - в необработанных "попонах" из такой же ткани.
Экспериментальные исследования проводят в острых и подострых опытах в течение 20 суток. Время экспозиции 4 ч. Кожную реакцию регистрируют сразу после однократного воздействия и далее ежедневно на протяжении 20 суток. Оценку выраженности раздражающих свойств проводят по классификации, приведенной в
табл. 6.6.
Обработанную инсектоакарицидным средством ткань, относящуюся к 1 - 2 (при однократном воздействии) классам по степени выраженности раздражающего действия на кожу, не рекомендуют для дальнейших исследований.
6.12.5.3. При определении сенсибилизирующей активности ткани, обработанной инсектоакарицидом, в качестве модели используют вытяжки. Исследования проводят комбинированным методом на морских свинках при внутрикожном введении 50 - 200 мкг вытяжки с последующими накожными аппликациями; либо по реакции ГЗТ на мышах при внутрикожной сенсибилизации вытяжек в полном адъюванте Фройнда (ПАФ).
6.12.5.4. Принимая во внимание назначение специальной ткани, до начала экспериментального изучения кожно-резорбтивного действия необходимо провести химико-аналитические исследования по определению содержания инсектоакарицидов в вытяжках. Основной задачей является обнаружение остаточных количеств инсектоакарицидов на поверхности ткани в реальных условиях ее применения. При отсутствии остаточных количеств инсектоакарицидов на образцах ткани исследование кожно-резорбтивных свойств не проводят.
6.12.5.5. Исследование кожно-резорбтивного действия проводят либо с использованием вытяжек с модельной потовой жидкостью, либо контакта кожных покровов с тканью, обработанной инсектоакарицидом (методом "попон"). Длительность исследования 30 суток (1 месяц), поскольку срок использования специальной верхней одежды, учитывая сезонный характер активности членистоногих, может достигать 4 месяцев.
Исходя из площади непосредственного контакта ткани с кожными покровами человека (за исключением головы, кистей рук, стоп), площадь нанесения ее на кожу животных составляет 87%. При использовании обработанной ткани в виде вставок в одежду или сеток - 10%.
Длительность ежедневного контакта обработанной инсектоакарицидом ткани с кожей составляет 4 ч. Перед нанесением ткань обрабатывают модельной потовой жидкостью. Изучение состояния подопытных животных проводят через 5, 10, 20 и 30 аппликаций. Показатели интоксикации выбирают с учетом направленности действия инсектоакарицида. Желательно проводить определение инсектоакарицида и его метаболитов в биосредах.
6.12.6. Критерии оценки опасности одежды и материалов, используемых для ее изготовления и обработанных инсектоакарицидом:
- ткань, обработанную инсектоакарицидами, не обладающую раздражающим действием на кожу, при отсутствии сенсибилизирующих и кожно-резорбтивных свойств рекомендуют для изготовления специальной верхней одежды с дальнейшим использованием по назначению;
- ткань, обладающую слабо и умеренно выраженным раздражающим действием и слабой сенсибилизирующей активностью при отсутствии кожно-резорбтивных свойств, рекомендуют для изготовления специальной верхней одежды с ограничениями, исключающими непосредственный контакт ткани с кожей (с использованием подкладки, нижнего белья);
- ткань, обладающую выраженным раздражающим действием с умеренно выраженными сенсибилизирующими и кожно-резорбтивными свойствами, не рекомендуют использовать для изготовления специальной верхней одежды.
6.12.7. Спецодежда, обработанная инсектоакарицидами, должна соответствовать гигиеническим требованиям по органолептическим и санитарно-химическим миграционным показателям <28>. Эти показатели имеют большое значение для формирования микроклимата под одеждой и терморегуляции организма. Определение органолептических показателей изделий (вытяжки) проводят в соответствии с методическими
указаниями <29>. Регистрируют наличие специфического запаха и оценивают его по балльной системе. Интенсивность запаха обработанной ткани не должна превышать 2 баллов (характерный слабый запах обнаруживается, если обратить на это внимание).
--------------------------------
<28>
СанПиН 2.4.7/1.1.1286-03 "Гигиенические требования к одежде для детей, подростков и взрослых, товарам детского ассортимента и материалам для изделий (изделиям), контактирующим с кожей человека".
6.13. Методы изучения токсичности и опасности
репеллентных средств
6.13.1. В области медицинской дезинсекции репелленты используют в составах препаратов, защищающих от нападения летающих кровососущих членистоногих (комаров, мошек, мокрецов, москитов, слепней, мух, блох, а также клещей), для профилактики трансмиссивных заболеваний и обеспечения комфортных условий работы и отдыха населения.
6.13.2. Репеллентные средства представляют сложные композиционные составы, состоящие из активно действующего начала (репеллента или смеси репеллентов) и вспомогательных ингредиентов (растворителей, наполнителей, эмульгаторов, отдушек и др.). К этим средствам предъявляют повышенные требования, поскольку их могут использовать и для детей разных возрастных групп.
6.13.3. Для индивидуальной защиты репелленты наносят на открытые участки кожи и/или на различные предметы одежды, а также сетки, накомарники. Для коллективной защиты обрабатывают пологи, наружные стенки палаток, занавеси, портьеры, наличники окон и дверей, плинтусы в помещениях.
6.13.4. Для нанесения на кожу применяют препараты в форме линиментов (кремы, аэрозольные пены), эмульсий, жидкостей (лосьоны, аэрозольные упаковки, беспропеллентные аэрозольные упаковки (БАУ), а также карандаши, бруски, бумажные салфетки и др. Для обработки одежды используют спиртово-водно-ацетоновые растворы или 20%-е водные эмульсии, а также аэрозольные упаковки и БАУ. От вида обрабатываемого объекта и препаративной формы средства зависят условия его воздействия (через кожу или органы дыхания, или в комбинации).
Репеллентные средства используют профессиональный контингент (лесорубы, геологи, мелиораторы) и особенно широко население (взрослое и дети различного возраста).
6.13.5. До начала изучения токсичности новых активно действующих репеллентных веществ необходимо знать их химическое название, структурную формулу, физико-химические свойства, степень чистоты и процентное содержание примесей, а также условия безопасного хранения соединения и способы его обезвреживания (дезактивации).
6.13.6. Токсикологические и клинико-гигиенические исследования включают:
- первичную оценку токсичности репеллента на лабораторных животных для выработки рекомендаций о возможном способе и сфере применения (1 этап);
- углубленное изучение токсичности на лабораторных животных в целях регламентации содержания репеллента в предполагаемом препарате (2 этап):
- характеристику токсичности ингредиентов препарата (по данным литературы) для регламентирования использования наиболее безвредных компонентов рецептуры;
- изучение токсичности выбранной композиции на лабораторных животных;
- клинико-гигиеническую оценку безопасности применения препарата на добровольцах (3 этап).
6.13.7. Исследование ранее не изученного нового компонента композиции (ДВ, растворитель, пропеллент) проводят по общепринятым токсикологическим методам с установлением основных параметров токсикометрии и оценкой опасности. Изучение общего токсического действия репеллентных средств проводят в субхроническом или хроническом эксперименте. В опытных условиях моделируют основные пути поступления в организм человека, исходя из способов применения.
6.13.8. При нанесении препарата на открытые участки тела лимитирующим является изучение кожно-раздражающего и кожно-резорбтивного действия. Условия эксперимента по применению репеллентов на кожу человека представлены в
табл. 6.27.
Таблица 6.27
Параметры нанесения репеллентов на кожу лабораторных
животных в сравнении со стандартной обработкой открытых
частей тела человека
Виды млекопитающих | Площадь обрабатываемой поверхности | Максимальный уровень воздействия |
см2 | % от всей поверхности тела | на единицу массы тела, см2 | расход препарата на 1 обработку, мг | плотность нанесения, мг/см2 | доза, мг/кг |
Мыши | 5 | 8 | 0,25 | 100 | 20 | 5000 |
Крысы | 30 | 10 | 0,15 | 500 | 6 | 2500 |
Морские свинки | 30 | 8 | 0,10 | 500 | 6 | 1500 |
Кролики | 200 | 10 | 0,06 | 3000 | 15 | 1000 |
Человек | 5000 | 30 | 0,07 | 5000 | 1 | 70 |
6.13.9. Для оценки кожно-раздражающего действия моделируют плотность нанесения, при изучении кожно-резорбтивного действия - дозу. Набор конкретных показателей для исследования функций отдельных органов и систем зависит от характера действия изучаемых соединений. Условия постановки экспериментов с обработкой помещений, защитных сеток изложены в методических рекомендациях <30>.
--------------------------------
<30> МР 24-6/24 "Методические рекомендации по отбору и изучению биологической активности и токсичности репеллентов".
6.13.10. Цель первичной оценки токсичности репеллентов - отбор веществ, перспективных для дальнейшего изучения и определения возможности их применения (нанесения на кожу или одежду, использования в помещении). Первичная оценка включает изучение острой токсичности при потенциально опасных путях поступления в организм и раздражающего действия на кожу и слизистые оболочки глаз.
6.13.10.1. Для дальнейших исследований отбирают вещества с DL50 при внутрижелудочном введении не ниже 151 мг/кг (3 класс опасности) и кожно-оральным коэффициентом не менее 3, по кожно-раздражающему действию - на уровне или ниже порога хронического действия (Limsubac) для наиболее чувствительного вида животных (кроликов).
6.13.10.2. При выявлении у веществ раздражающего действия на кожу их можно использовать для обработки одежды или предметов в помещении.
6.13.11. Углубленная оценка токсичности репеллентных препаратов включает изучение раздражающего действия на кожу при повторных аппликациях, кожно-резорбтивное действие, сенсибилизирующие и иммуномодулирующие свойства с учетом пути поступления и норм расхода. Кроме этого, в качестве критериев оценки безопасности репеллентных средств используют зоны биоцидного эффекта (Zac.bioc.ef. и Zsubac.bioc.ef).
6.13.11.1. При изучении кожно-резорбтивного действия средств их уровень воздействия должен соответствовать 10-кратному превышению нормы расхода, т.е. принимают максимальную зону биоцидного действия более 10 (Zac.bioc.ef. и Zsubac.bioc.ef. > 10). Подбор показателей при этом осуществляют с учетом характера действия основных компонентов.
6.13.11.2. Для репеллентных средств в аэрозольных баллонах предложены 4 класса степени их опасности по зоне биоцидного эффекта в соотношении 1 : 3 : 10 и > 10. Их изучают при 3- и 10-кратном завышении нормы расхода.
6.13.11.3. Критерии оценки ингаляционной опасности репеллентных средств в аэрозольных баллонах отражены в классификации степени опасности препаратов санитарно-гигиенического и бытового назначения <31>, приведенной в
табл. 6.28.
--------------------------------
<31> ВМУ 28-7/6 "Временные методические указания по изучению токсичности препаратов санитарно-гигиенического и бытового назначения в аэрозольных баллонах".
Таблица 6.28
Классификация по степени опасности препаратов
санитарно-гигиенического и бытового назначения
в аэрозольных баллонах
Класс опасности | Ингаляционная и эпикутанная токсичности аэрозолей при повторных воздействия | Возможность применения репеллентных средств |
1 Высокоопасные | Токсичны в рекомендуемой норме расхода | Не пригодны |
2 Умеренно опасные | Токсичны при 3-кратном завышении нормы расхода | Не пригодны для нанесения на кожу. Применимы для обработки одежды вне помещений |
3 Малоопасные | Токсичны при 10-кратном завышении нормы расхода |
4 Практически не опасные | Не токсичны при 10-кратном завышении нормы расхода | Применимы для нанесения на кожу и одежду |
6.13.12. Для этапа испытаний в практических условиях рекомендуют препараты при отсутствии общетоксического, раздражающего, сенсибилизирующего и иммуномодулирующего действия и при 10-кратном превышении нормы расхода в условиях хронического или субхронического эксперимента (Zbioc.ef.ac. и Zbioc.ef.subac. > 10).
Препараты, токсичные при 10-кратном превышении нормы расхода, но безопасные при 3-кратном превышении, могут быть рекомендованы к использованию только специалистами, занимающимися дезинфекционной деятельностью, со средствами СИЗ.
6.13.12.1. Испытания в соответствии с
ГОСТ Р 57473 включают оценку эффективности препарата и безопасности его применения широкими слоями населения, использующего средства для нанесения на кожу, одежду и др. предметы, а также в процессе их обработки.
6.13.12.2. Испытания безопасности проводят на рандомизированных по полу, возрасту, образу жизни и привычкам, а также физической нагрузке здоровых добровольцах. Численность добровольцев, использующих препарат на основе известных ДВ, и контрольной группы не менее 30 человек и 50 человек - при испытании новых репеллентов. Продолжительность применения - не менее 1 месяца.
6.13.12.3. Обследование добровольцев проводят до начала испытаний средства, и через 5, 15 и 30 дней после начала его применения. В процессе испытаний ведут контроль содержания наиболее токсичного компонента в биосредах (кровь, моча). Врачи-специалисты (терапевт, невропатолог, дерматолог, иммунолог, отоларинголог) проводят общий осмотр и отбирают практически здоровых лиц. В ходе испытаний не менее 4 раз в течение месяца проводят осмотры для учета субъективных ощущений и возможных жалоб, возникших в период применения средства. Оценивают частоту пульса и артериальное давление, проводят анализ морфологического состава периферической крови и общий клинический анализ мочи; оценивают состояние кожных покровов, выявляют сенсибилизирующее действие (капельным или компрессионным тестом); определяют общее количество липидов на поверхности кожных покровов, аутофлору поверхностных и глубоких слоев кожи, активность лизоцима в слюне. При выборе показателей для исследования учитывают различные способы применения средств, пути их поступления в организм человека, патогенетическую направленность их действия. Все исследованные показатели и выявленные побочные явления вносят в индивидуальную регистрационную карту испытуемого.
6.13.12.4. Для промышленного производства и широкого применения рекомендуют средства без проявления раздражающего, общетоксического и сенсибилизирующего действия у испытуемых в режиме применения.
6.13.13. Критерии оценки и методы изучения токсичности и опасности репеллентных средств для детей. Наряду с разработкой репеллентных средств для взрослых очень важна разработка репеллентных средств для детского контингента. В настоящее время отечественная практика использования репеллентных средств для детей регламентирована различными возрастными группами с 7, 5, 3 лет, 1 года и 3 месяцев.
6.13.13.1. При оценке токсичности и опасности репеллентных средств для детей разного возраста в опыте используют экспериментальных животных (чаще потомство крыс) с отбором по возрасту в соответствии с
табл. 6.13.
Оптимальным возрастом для начала эксперимента на животных для крыс являются 1,5 - 2 недели, соответствующие 1 году жизни ребенка. Но наиболее подходящими являются 3 - 4-недельные крысята-отъемыши с массой тела 40 - 50 г, соответствующие 3-летнему детскому возрасту. Этот срок наиболее приемлем в работе, т.к. крысята уже отсажены от матери для самостоятельного питания, имеют опушение, открытые ушные раковины и глазные щели. Использование животных более старшего возраста (30- и 45-дневных) позволяет изучать средства, предназначенные для детей 3 - 7 лет. В этот период животные уже имеют сформированные жизненно важные системы организма, поэтому опыты на них являются наиболее информативными.
6.13.13.2. Самым сложным является нанесение препаратов на кожу новорожденных животных и сосунков, поскольку после взятия детенышей из гнезда или из клетки крыса-мать может уничтожить свое потомство или просто не принять его обратно. Поэтому большинство токсикологических исследований проводят на животных 2 возрастных периодов: молочного и полового созревания.
6.13.13.3. Основные рекомендации (требования?) к безопасности репеллентных средств для детей:
- в рецептурах репеллентных средств используют ДВ с детальной и всесторонней характеристикой его токсичности: возрастной и видовой чувствительности, раздражающих, сенсибилизирующих и резорбтивных свойств при лимитирующем кожном пути поступления в организм;
- длительный и положительный опыт применения на основе данного ДВ репеллентных средств у взрослых;
- положительный опыт клинических испытаний и практического применения средств на основе изученных ДВ детским контингентом;
- создание улучшенной рецептуры и препаративной формы репеллентного средства по сравнению с ранее применявшейся (например, в виде кремов и гелей с уменьшенным содержанием ДВ, использованием в качестве ДВ веществ природного происхождения, введением вспомогательных компонентов, обладающих фотозащитным, противоаллергическим, ранозаживляющим и дезинфицирующим действием) и т.д.;
- наблюдение за постнатальным развитием и состоянием здоровья животных по достижении ими половозрелого возраста (2,5 - 3 месяца) с оценкой основных органов, тканей и функций организма, включая репродуктивную, с изучением развития их потомства в первом поколении;
- до применения средства у детей оно должно быть испытано на совершеннолетних людях, перед применением детьми младшей возрастной группы должно пройти проверку на детях старшего возраста;
- репеллентные средства для детей должны иметь надежный Кзап от величины их ПДУ на кожу (не менее 10). Поэтому для репеллентов, предназначенных для использования у детей, необходимо обосновать ПДУ на кожу, соответствующий 4 классу опасности.
6.13.13.4. Для обоснования ПДУ (ОДУ) ДВ на кожу возможно использование метода ускоренного обоснования предельно допустимых уровней загрязнения кожного покрова вредными веществами.
Формула 6.20:

, где (6.20)
Lim
ch - порог хронического действия препарата, рассчитанный по
формуле 6.21
Lim
ch = 0,001·DL
50, где (6.21)
70 - масса тела человека, кг;
Кост - коэффициент остаточный - 0,25;
Кот.пр. - коэффициент относительной проницаемости - 2;
S - площадь кожных покровов человека, в среднем, 16120 см2;
Кзап - коэффициент запаса.
6.13.13.5. Репеллент должен относиться к малотоксичным веществам 4 класса по лимитирующим критериям, без отдаленных эффектов, не проявляя возрастных различий, а также отчетливых раздражающих, резорбтивных, сенсибилизирующих и иммуномодулирующих эффектов.
6.14. Методы изучения токсичности и опасности
дератизационных средств
6.14.1. Среди большой группы дезинфектантов проблема безопасности наиболее остро стоит для родентицидных средств из-за их высокой токсичности. Родентициды, как правило, относятся к группе чрезвычайно опасных веществ 1 класса по
ГОСТ 12.1.007. Если при отборе ДС другого назначения такие вещества включать в состав запрещено, то в родентицидных средствах их необходимо использовать для обеспечения целевого эффекта.
6.14.2. Химические средства дератизации (родентицидные средства) подразделяют на яды острого и кумулятивного характера действия. Обычно среди кумулятивных ядов преобладают антикоагулянты непрямого действия I и II поколений, ДВ которых являются производными индан-1,3-диона и 4-гидроксикумарина. Механизм их действия связан с нарушением метаболизма витамина K и замедлению процесса свертывания крови, что приводит к кровотечениям и гибели грызунов.
6.14.2.1. Антикоагулянтами I поколения являются зоокумарин (варфарин), дифенацин, трифенацин, этилфенацин, куматетралил, хлорфасинон.
6.14.2.2. К антикоагулянтам II поколения относят бродифакум, бромадиолон, дифенакум, дифетиалон, флокумафен, изоиндан (тетрафенацин).
6.14.3. Наиболее токсичными и опасными среди родентицидов являются яды острого характера действия - фосфид цинка и крысид, которые разрешено применять только специалистам организаций, занимающихся дезинфекционной деятельностью.
6.14.4. Борьбу с грызунами ведут как специалисты организаций, занимающихся дезинфекционной деятельностью, так и население в быту, приобретая средства через торговую сеть. Специалисты в процессе работы с родентицидами должны руководствоваться правилами по охране труда работников дезинфекционного дела и Санитарными
правилами <32>, в которых описаны основной режим работы, правила по технике безопасности и необходимые средства индивидуальной защиты при проведении дератизации. Очень серьезной и ответственной задачей является разработка режимов безопасного применения и хранения родентицидных средств при их использовании населением в быту.
--------------------------------
<32>
СП 3.5.3.3223-14 "Санитарно-эпидемиологические требования к организации и проведению дератизационных мероприятий".
6.14.5. Возможны несколько путей поступления родентицидных средств в организм грызунов:
- через желудочно-кишечный тракт (отравленные пищевые приманки);
- комплексный путь - через желудочно-кишечный тракт и кожу (ядовитые липкие покрытия и дусты);
- ингаляционный (фумиганты, дусты).
6.14.6. В практике дератизации ведущее место занимают средства, содержащие яды кишечного действия, использующиеся в быту согласно разработанным инструкциям по их применению.
6.14.7. Дератизационные средства поступают в торговую сеть в разных препаративных формах: полностью готовых к употреблению (гранулы, таблетки, галеты, брикеты, тесто, пищевые приманки, клеи) или в виде менее опасных концентратов (растворы, гели, пасты и др.), из которых готовят отравленные пищевые приманки или ядовитые покрытия.
6.14.8. Наибольшую опасность представляет применение фумигантов, однако сфера их использования достаточно узка (норы грызунов в природных биотопах или на незастроенной территории, отдельные сооружения - зернохранилища, мукомольные комбинаты, морские и речные суда, а также стога, скирды и некоторые др. объекты). Использование родентицидных средств в виде дустов оправдано по эпидпоказаниям, но не менее опасно и требует жесткой регламентации.
6.14.9. Препаративные формы родентицидных средств и рекомендуемые способы применения должны:
- быть эффективны в отношении грызунов;
- не обладать репеллентными свойствами (резким запахом или вкусом, отпугивающим грызунов);
- гарантировать безопасность для здоровья человека;
- не вызывать отравления и гибели нецелевых видов животных, в т.ч. диких животных и домашних птиц;
- не приводить к загрязнению окружающей среды;
- быть безопасными в пожарном отношении;
- не повреждать материалы, с которыми соприкасаются.
6.14.10. Для идентификации и предотвращения ошибок при использовании родентицидные средства по внешнему виду и упаковке должны отличаться от пищевых продуктов, лекарственных препаратов, фуража, предметов домашнего обихода, детских игрушек и содержать в своем составе горечь (битрекс). Рекомендована цветовая маркировка приманок.
6.14.11. Методическая схема изучения токсичности и опасности родентицидных средств включает 3 этапа: сбор информации (1 этап), оценка токсичности и опасности средства в эксперименте на лабораторных животных с учетом рекомендованного режима применения (2 этап) и испытания в практических условиях (3 этап).
6.14.12. На начальном этапе собирают сведения о ДВ и компонентах рецептуры по литературным или собственным данным, составе и виде препаративной формы, сфере и условиям применения. Он завершается оценкой рецептуры средства и рекомендациями по нормам расхода и способам применения.
6.14.13. Второй этап подразделяют на 2 подэтапа: 1 - проведение первичной оценки токсичности средства и 2 - его углубленная оценка.
6.14.13.1. Первичная оценка включает подробную характеристику острой токсичности средства для потенциально опасных путей поступления в организм по тем же параметрам, что и ДВ. Устанавливают DL50 и Кит (коэффициент избирательной токсичности) при введении в желудок, на кожу, ингаляционную опасность для фумигантов и дустов по CL50 и степени летучести (C20). Важно определение максимально переносимой дозы (DL0) на наиболее чувствительном виде животных. На основе этого параметра определяют нормы расхода средства на объекте во избежание смертельного отравления (в основном для родентицидов острого типа действия).
По показаниям изучают раздражающие, кожно-резорбтивные и сенсибилизирующие свойства для препаративных форм в виде концентратов (гелей, паст, масляных растворов).
6.14.13.2. Основная цель углубленных исследований родентицидных средств - оценка степени их реальной опасности с учетом назначения, условий применения, нормы расхода и вида препаративной формы. На этой стадии необходимо для всех препаративных форм родентицидов проводить определение кумулятивных свойств. Дают характеристику стабильности средства в объектах окружающей среды (прежде всего - в почве) и возможности вторичных отравлений нецелевых видов.
6.14.14. На третьем, завершающем, этапе проводят практические испытания родентицидных средств с учетом их эффективного применения и оценки безопасности.
6.14.15. При опасности вторичных отравлений родентицидными средствами необходимо соблюдать строгий режим их применения (или запрещения) на пищевых объектах (особенно мясокомбинатах, птице- и животноводческих фермах). Во избежание отравления птиц особой осторожности в использовании требуют зерновые и гранулированные препаративные формы родентицидов.
6.14.16. В инструкции по применению родентицидного средства особое внимание уделяют мерам предосторожности:
- хранению, перевозке и раскладке средства;
- медицинским противопоказаниям для лиц, работающих со средством;
- использованию средств индивидуальной защиты;
- методам и способам безопасного применения (раскладки), включая различные категорий объектов (детские, лечебные, пищевые и др.);
- способам сбора и утилизации остатков средства, тары и трупов павших грызунов;
- способам оказания первой помощи при случайном отравлении, включая применение антидота и другие меры по обезвреживанию яда.
6.14.17. Проводят определение фактора безопасности (SF) в реальных условиях применения родентицидов для средств в форме дустов и порошков.
6.14.18. Показатели для родентицидных средств в различных формах (пасты, гели, масляные растворы, тесто):
- острая токсичность при введении в желудок (DL50);
- острая токсичность при нанесении на кожу (DL50);
- кумулятивный эффект;
- ингаляционная опасность в насыщающих концентрациях по степени летучести (C20);
- кожно-резорбтивное действие (0,5 мес.);
- раздражающее действие на кожу (0,5 - 1 мес.).
6.14.19. Показатели для родентицидных средств в виде дустов и порошков:
- острая токсичность при введении в желудок (DL50);
- острая токсичность при нанесении на кожу (DL50);
- кумулятивный эффект;
- оценка реальной опасности средства в рекомендованных режимах применения (фактор безопасности);
- раздражающее действие на слизистые оболочки глаз;
- кожно-резорбтивное действие (0,5 мес.).
6.14.20. Показатели для родентицидных приманок (зерновых, гранулированных, блоков восковых, парафинированных и др.):
- острая токсичность при введении в желудок (DL50);
- кумулятивный эффект.
6.14.21. Определение средней смертельной дозы проводят путем введения в желудок через зонд препаративных форм родентицидов в виде масляных концентратов, гелей, паст, дустов
(п. 6.2.2.) или дозированным скармливанием брикетов, гранул, зерновых приманок.
6.14.21.1. На основании установления тесной корреляционной связи параметров острой токсичности (DL
50) ДВ и дератизационных средств на их основе, в составы которых входят в основном индифферентные компоненты (как правило, пищевые добавки), составляют прогноз величины DL
50 дератизационных средств, исходя из величины DL
50 ДВ и процентного содержания ДВ в дератизационных средствах по
формуле ВОЗ 6.22:

, где (6.22)
DL50ДВ - средняя смертельная доза ДВ.
6.14.22. Определение средней смертельной дозы (DL
50) при нанесении на неповрежденные кожные покровы проводят в соответствии с
п. 6.2.3.
6.14.23. Кумулятивный эффект для ядов кумулятивного действия является основным показателем их эффективности. Его определение проводят при повторном введении в желудок белым мышам или крысам методом Lim et al. (1961) на протяжении 21 - 24 дней. Первоначальную дозу (0,1 от DL50) вводят в первые 4 дня. На 5 сутки дозу повышают в 1,5 раза и вводят следующие 4 дня и т.д. Оценку результатов проводят по соотношению средних смертельных доз при однократном и повторном введениях: Ccum = DL50n/DL50.
6.14.23.1. Кумулятивные свойства средств, для которых DL50 не установлена (более 5000 мг/кг), изучают на мышах или крысах при ежедневном внутрижелудочном введении препарата в дозе 1000 мг/кг в течение 20 дней и последующих 14 дней восстановительного периода. На протяжении эксперимента регистрируют показатели общего состояния животных (динамику массы тела, внешний вид, пищевую активность).
6.14.23.2. Кумулятивное действие родеитицидных средств с использованием новых ДВ определяют методом Ю.С. Кагана. Этот метод позволяет определять коэффициент кумуляции (Ccum) по летальному исходу и функциональным показателям. Для выявления эффекта грызунам (мыши, крысы) средство вводят перорально в течение 2 - 4 месяцев ежедневно в дробностях от DL50 (0,5 и ниже). Число доз и их уровень зависят от свойств дератизационных средств. Для сравнительной оценки способности к кумуляции различных средств сопоставляют значения их Ccum, найденные при введении 0,05 DL50.
6.14.24. Определение ингаляционной опасности в насыщающих концентрациях по степени летучести проводят в соответствии с
п. 6.2.5.
6.14.25. Определение раздражающего действия на кожу и слизистые оболочки глаз проводят в соответствии с
п. 6.2.7. и
п. 6.2.8.
6.14.26. Изучение кожно-резорбтивного действия родентицидных средств проводят как для ДВ, так и соответствующих препаративных форм (пасты, гели, масляные концентраты и др.) на мышах или крысах.
6.14.27. Критерии оценки опасности родентицидных средств отражены в классификации токсичности и опасности ДВ и препаративных форм родентицидов
(табл. 6.29). Она включает 4 класса опасности (1 - чрезвычайно опасные, 2 - высокоопасные; 3 - умеренно опасные и 4 - малоопасные).
Классификация токсичности и опасности родентицидов
(ДВ и их препаративных форм)
Лимитирующие эффекты | Показатели | Классы опасности |
1 Чрезвычайно опасные | 2 Высокоопасные | 3 Умеренно опасные | 4 Малоопасные |
"А" | "Б" |
Острая токсичность (для потенциально опасных путей) | DL50 в желудок, мг/кг | <= 2 | 2,1 - 14 | 15 - 150 | 151 - 5000 | > 5000 |
Антидот* | - | + | + | + | + |
DL50 на кожу, мг/кг | < 100 | 100 - 500 | 501 - 2500 | > 2500 |
CL50, мг/м3 | < 500 | 500 - 5000 | 5001 - 50000 | > 50000 |
C20 (по степени летучести) для фумигантов | Тяжелое отравление с возможным летальным исходом | Отравление выше порога острого действия | Отравление на уровне порога строго действия | Отсутствие отравления |
Избирательная токсичность | | <= 3 | 3,1 - 9 | 9,1 - 27 | > 27 |
Кумулятивный эффект | | < 1 | 1 - 3 | 3,1 - 5 | > 5 |
Стабильность (в почве) | Время разложения на нетоксичные компоненты (T1/2), мес. | > 12 | 6 - 12 | 1 - 6,1 | < 1 |
Примечание: * - + наличие антидота; - отсутствие антидота.
6.14.27.1. Данная классификация охватывает широкий диапазон параметров токсичности - от наименьших величин для ДВ до наибольших для их препаративных форм при основных потенциально опасных путях поступления в организм (в желудок и на кожу по DL50, ингаляционном - по CL50 и степени летучести C20). В ней представлен показатель избирательной токсичности в виде коэффициента избирательной токсичности (Кит) при сравнении величин DL50 нецелевых видов (кошки, собаки, свиньи, курицы) и целевых видов (грызуны), а также выраженности кумулятивного эффекта в виде коэффициента кумуляции (Ccum). При этом выделены 4 степени кумуляции: чрезвычайная - Ccum < 1; высокая - Ccum 1 - 3; умеренная - Ccum 3,1 - 5 и малая - Ccum > 5. По величине коэффициента кумуляции ДВ прогнозируют степень опасности препаративных форм родентицидных средств. Высокая кумулятивная активность свидетельствует об опасности хронической интоксикации.
6.14.27.2. Последний показатель - экологический, показывающий сохранение ДВ в почве и время его разложения (T1/2) на нетоксичные компоненты. Учтено также наличие или отсутствие к средствам антидота.
6.14.27.3. В классификации класс 1 разделен на два подкласса - 1 "А" и 1 "Б". Эти подклассы разграничены не только по величине DL50 при введении в желудок, но и по антидоту (наличию или отсутствию). Так, в 1 "А" подкласс включены яды с величиной DL50 < 2 мг/кг и при отсутствии антидота; в 1 "Б" - яды с величиной DL50 = 2,1 - 14 мг/кг и с наличием антидота (включая и последующие классы). По 1 и 2 классам классифицируется опасность ДВ, а по 3 и 4 классам - родентицидных средств.
6.14.27.4. По показателям острой токсичности выбор лимитирующего критерия при оценке опасности средства определяется по потенциально опасному пути его поступления в организм. Для приманок, например, - величиной DL50 при введении в желудок; для дустов, фумигантов и порошков - величиной CL50 и степени летучести (C20) при ингаляции; для гелей, мазей, паст, масляных растворов - DL50 при нанесении на кожу. Опасность средств будет выше, если по всем лимитирующим параметрам они будут относиться к 1 классу.
6.14.27.5. Данная классификация позволяет оценивать степень опасности родентицидов, осуществлять их отбор и регламентирование в составах препаративных форм.
6.14.28. ДВ и их концентраты 1 - 2 классов опасности (по лимитирующим параметрам) разрешено применять для изготовления средств дератизации на производстве родентицидных средств.
6.14.28.1. Наиболее жесткие условия применения относятся к ДВ класса 1 класса "А". Их запрещают или ограничивают по содержанию в составах средств. Особенно это относится к ДВ, приводящим к тяжелым и необратимым изменениям при отсутствии антидотов (например, фторацетамиду, фторацетату натрия), к остро действующим ядам с быстрой гибелью животных, например, крысиду, к антикоагулянтам 2 поколения (бродифакуму, бромадиолону, флокумафену и др.) с низкими величинами DL50 при введении в желудок.
6.14.28.2. С ограничениями также используют ДВ, не обладающие избирательной токсичностью в отношении целевых видов (Кит <= 3). Родентициды на их основе запрещают. Лишь при необходимости их могут использовать специалисты организаций, занимающиеся дезинфекционной деятельностью, по эпидпоказаниям с ограничением сферы применения, но только в безопасных препаративных формах (парафинированные приманки, брикеты, гранулы, микрокапсулы) и с соблюдением всех мер предосторожности, включая раскладку только в приманочных ящиках с запорами или под надзором.
6.14.28.3. ДВ класса опасности 1 класса опасности "Б" используют дифференцированно: остронаправленного типа действия рекомендованы для использования в средствах, главным образом, специалистами организаций, занимающихся дезинфекционной деятельностью, а кумулятивного - населением в быту.
6.14.28.4. ДВ 2 класса опасности используют в средствах, предназначенных для специалистов организаций, занимающихся дезинфекционной деятельностью, и населением в быту.
6.14.29. Родентицидные средства 3 класса опасности применяют для уничтожения серых (черных) крыс, домовых мышей, обыкновенных полевок и других грызунов аналогичного образа питания, размножения, с местами обитания на застроенных и незастроенных территориях населенных пунктов, в нежилых сухих и влажных помещениях, подземных сооружениях, подвалах, погребах, в природных очагах инфекций специалистами организаций, занимающихся дезинфекционной деятельностью.
6.14.30. Родентицидные средства 4 класса опасности применяют для уничтожения серых (черных) крыс, домовых мышей, обыкновенных полевок и других грызунов аналогичного образа питания, размножения, с местами обитания на застроенных и незастроенных территориях населенных пунктов, на объектах различных категорий, включая жилые дома, пищевые, детские, лечебные организации, нежилые сухие и влажные помещения, подземные сооружения, подвалы, погреба, природные очаги инфекций, специалистами организаций, занимающихся дезинфекционной деятельностью и населением в быту.
6.14.31. Область применения родентицидных средств зависит также от других токсикологических характеристик (раздражающее, кожно-резорбтивное действие и т.п.) и препаративной формы.
6.14.31.1. Дератизационные средства, относящиеся к 3 классу умеренно опасных веществ в форме паст, гелей, масляных растворов, дустов и порошков при введении в желудок, нанесении на кожу и острой ингаляционной опасности в насыщающих концентрациях (C20) могут применять только специалисты, а 4 класса - без ограничений.
6.14.31.2. По кумулятивному эффекту ограничения в применении дератизационных средств отсутствуют. Учитывают только тип средства (яды острого или кумулятивного действия).
6.14.31.3. Средства в форме паст, гелей, масляных растворов, обладающие раздражающим и кожно-резорбтивным действием при нанесении на кожу, могут применять только специалисты со средствами индивидуальной защиты кожи рук - влагонепроницаемые перчатки, а при отсутствии указанных эффектов - без ограничений сферы применения.
6.14.31.4. Средства в форме дустов и порошков, относящиеся к 3 - 4 классам опасности по раздражающему действию на слизистые оболочки глаз, могут применяться специалистами и населением в быту (с регламентированными условиями применения), а к 5 классу опасности - без ограничений сферы применения.
6.14.31.5. Родентицидные средства в форме приманок, относящиеся к 3 классу умеренно опасных веществ при введении в желудок, могут применять только специалисты, а 4 класса - без ограничений.
6.14.31.6. Оценку реальной опасности средств проводят только для препаративных форм в виде дустов и порошков. Критерии оценки безопасного применения дератизационных средств представлены в
табл. 6.30.
Таблица 6.30
Критерии оценки безопасного применения
дератизационных средств
Назначение средства | Исследуемые показатели | Показатели | Разрешено применение |
величина показателя | класс опасности |
1 | 2 | 3 | 4 | 5 |
Дератизационные средства в различных формах (пасты, гели, масляные растворы, тесто) | DL50 при введении в желудок, мг/кг | не менее 15 | 2 | Специалистам со средствами защиты кожи рук (перчатки) |
не менее 151 | 3 | Специалистам со средствами защиты кожи рук (перчатки) |
более 5000 | 4 | Без ограничений |
DL50 при нанесении на кожу, мг/кг | не менее 500 | 2 | Специалистам со средствами защиты кожи рук (перчатки) |
не менее 2500 | 3 | Специалистам со средствами защиты кожи рук (перчатки) |
более 2500 | 4 | Без ограничений |
Кумулятивный эффект: антикоагулянты яды острого типа действия | не более 3 | 1 - 2 | Без ограничений |
более 3 | 3 - 4 | Без ограничений |
Острая ингаляционная опасность в насыщающих концентрациях (C20) | C20 = клиника | 2 | Специалистам со средствами индивидуальной защиты органов дыхания |
C20 = Limac | 3 | Специалистам |
C20 < Limac | 4 | Без ограничений |
| Кожно-резорбтивный эффект (0,5 мес.) | наличие эффекта | не классифицируется | Специалистам со средствами защиты кожи рук (перчатки) |
отсутствие эффекта | Специалистам, населению в быту |
Раздражающее действие на кожу (0,5 - 1 мес.) | наличие эффекта | не классифицируется | Специалистам со средствами защиты кожи рук (перчатки) |
отсутствие эффекта | Специалистам, населению в быту |
Дератизационные средства в виде дустов, порошков | DL50 при введении в желудок, мг/кг | не менее 15 | 2 | Специалистам со средствами защиты кожи рук (перчатки) |
не менее 151 | 3 | Специалистам со средствами защиты кожи рук (перчатки) |
более 5000 | 4 | Специалистам, населению в быту |
DL50 при нанесении на кожу, мг/кг | не менее 500 | 2 | Специалистам со средствами защиты кожи рук (перчатки) |
не менее 2500 | 3 | Специалистам со средствами защиты кожи рук (перчатки) |
более 2500 | 4 | Специалистам, населению в быту |
Кумулятивный эффект: антикоагулянты яды острого типа действия | не более 3 | 1 - 2 | Специалистам и населению в быту со средствами защиты кожи рук (перчатки) |
более 3 | 3 - 4 | Специалистам, населению в быту |
Фактор безопасности | > 1 | не классифицируется | Специалистам |
< 1 | Населению в быту |
Раздражающее действие на глаза, баллы | до 4,0 | 3 - 4 | Специалистам и населению в быту с регламентированными условиями применения |
0 | 5 | Специалистам, населению в быту |
Дератизационные приманки (зерновые, гранулированные, блоки восковые, парафинированные и др.) | DL50 при введении в желудок, мг/кг | не менее 151 | 3 | Специалистам со средствами защиты кожи рук (перчатки) |
более 5000 | 4 | Специалистам, населению в быту |
Кумулятивный эффект: антикоагулянты яды острого типа действия | не более 3 | 1 - 2 | Специалистам и населению в быту со средствами защиты кожи рук (перчатки) |
более 3 | 3 - 4 | Специалистам, населению в быту |
В случае когда SF > 1, реальная опасность средства высока (как для специалистов, так и для населения) и для его применения необходимо использовать комплекс средств индивидуальной защиты. В случае когда SF < 1, реальная опасность средства низкая и его можно рекомендовать для использования населением и специалистам без средств индивидуальной защиты.
6.14.32. Излучатели ультразвука (далее - УЗ), используемые в комплексе средств борьбы с грызунами, имеют различные характеристики излучения: разные частоты и их сочетание, направленность, периодичность и интенсивность излучения. УЗ устройства подлежат контролю для предупреждения неблагоприятного воздействия на организм человека при проведении дератизационных мероприятий. С этой целью необходим контроль условий применения и выявление отклонений в заявленных характеристиках излучателей.
6.14.32.1. Контроль УЗ-воздействий осуществляется определением интенсивности излучения с использованием специализированных приборов. С их помощью проводят проверку соответствия излучателей <33>.
--------------------------------
<33>
СанПиН 2.2.4./2.1.8.582-96 "Гигиенические требования при работах с источниками воздушного и контактного ультразвука промышленного, медицинского и бытового назначения"; руководство
Р 2.2.4/2.2.9.2266-07 "Гигиенические требования к условиям труда медицинских работников, выполняющих ультразвуковые исследования".
6.14.32.2. Контролируемые параметры ультразвуковых отпугивающих устройств: диапазоны ультразвука, ПДУ (предельно допустимые уровни) воздушного звукового и УЗ-давления, ПДУ показателей виброскорости. К ультразвуковым волнам относятся звуковые колебания с частотой выше 16 - 18 кГц.
6.14.32.3. Воздействие ультразвука на организм человека зависит от контактной среды, поэтому различают ПДУ ультразвука. Параметры воздушного УЗ определяются по уровням звукового давления в децибелах в третьоктавных полосах со среднегеометрическими частотами 12,5; 16; 20; 25; 31,5; 40; 50; 63; 80; 100 кГц.
6.14.32.4. Определяемыми параметрами L (ПДУ виброскорости) контактного УЗ являются пиковые значения виброскорости или ее логарифмические уровни в децибелах в октавных полосах со среднегеометрическими частотами 16; 31,5; 63; 125; 250; 500; 1000; 2000; 4000; 8000; 16000; 31500 кГц, определяемые по
формуле 6.22:
| | ИС МЕГАНОРМ: примечание. Нумерация формул дана в соответствии с официальным текстом документа. | |
Lv = 20 x lg(
v/
v0) где (6.22)
v - пиковое значение виброскорости, м/с;
v0 - опорное значение виброскорости, равное 5·10-8 м/с.
6.14.32.5. Для определения реальных характеристик УЗ-отпугивающих устройств применяют шумомеры, микрофоны и полосовые фильтры.
6.14.32.6. В инструкциях по использованию УЗ-отпугивающих устройств (этикетках для быта) должны быть отражены условия безопасного для человека и животных применения с учетом факторов воздействия ультразвука (частоты, интенсивности, направленности).
| | ИС МЕГАНОРМ: примечание. Здесь и далее в официальном тексте документа, видимо, допущена опечатка: имеется в виду Р 4.2.3676-20, а не Р 4.2.3647-20. | |
к Р 4.2.3647-20
ТЕСТ-ВИРУСЫ И МЕТОДЫ ИХ КУЛЬТИВИРОВАНИЯ
1. Тест-вирусы получают из национальных или из международных коллекций вирусов:
Вирус полиомиелита 1 типа (вакцинный штамм Sabin (LSc-2ab), РНК-содержащий вирус, не имеющий оболочки, из семейства Picornaviridae;
Аденовирус 5 типа, ДНК - содержащий вирус, не имеющий оболочки, из семейства Adenoviridae.
2. Культивирование вирусов.
Исходный вирус - это вирус, полученный из референс-центров (из национальных или международных коллекций вирусов), размноженный в объемах, достаточных для длительной работы с данным пассажем, при минимальных количествах пассажей. Хранится в малых объемах при - 70 °C или в жидком азоте <34>.
--------------------------------
<34> Руководство по вирусологическим исследованиям полиомиелита, ВОЗ, Женева, М., 1998.
Тест-вирусная суспензия - вирусная суспензия, полученная из исходного вируса и используемая для определения вирулицидных свойств дезинфектанта.
Исходный вирус размножают в чувствительных клетках (лабораторных животных - млекопитающих или птицах и др.), продуцирующих вирус в высоких титрах. Клеточный детрит удаляют центрифугированием при низких оборотах (1000 об./5 мин). Этот материал называют ВС. Ее используют неразведенной.
Предполагается, что минимальный титр ВС - по крайней мере 106,5 ТЦИД50/см3. В любом случае он должен быть достаточно высоким, чтобы можно было получить снижение титра на 4,0 log10.
Полиовирус размножают в перевиваемой культуре клеток RD и HEp-2 или в других чувствительных клеточных культурах (4647, Vero и т.д.). Для получения ВС культуру клеток, инфицированную вирусом полиомиелита на стадии 100%-го поражения монослоя, вызванного цитопатическим действием вируса, трехкратно замораживают и оттаивают. После удаления разрушенных клеток центрифугированием полученную суспензию используют в экспериментах.
Аденовирус размножают в перевиваемой клеточной культуре HEP-2, 4647 и в других чувствительных клеточных культурах. Методика получения ВС аналогична вышеописанной, за исключением того, что перед процедурой разрушения клеток методом замораживания-оттаивания проводят замену культуральной среды на не содержащую сыворотки и добавляют ее в меньшем объеме.
к Р 4.2.3647-20
СТАТИСТИЧЕСКАЯ ОБРАБОТКА РЕЗУЛЬТАТОВ ПО ОЦЕНКЕ
ВИРУЛИЦИДНОЙ АКТИВНОСТИ
Определение 50%-й дозы по методу Рида и Менча и по методу Спермана-Кербера.
Титрование вируса в пробирочных культурах предусматривает определение дозы, при которой действие вируса (цитопатогенный эффект) проявляется в 50% тест-объектов (пробирочных культур), которая является тканевой цитопатогенной дозой (далее - ТЦИД50 или LD50). Поскольку в большинстве случаев по данным титрования сразу не удается определить 50%-ую дозу, возникает необходимость в статистической обработке результатов. Результаты могут считаться статистически достоверными при соблюдении следующих условий:
- количество тест-объектов, зараженных одним разведением вируса, должно быть не менее 4;
- в титрование должны быть включены два разведения вируса ниже 50%-й дозы и два разведения вируса выше этой дозы.
Среди различных методов подсчета или ТЦИД50 или LD50 наибольшее распространение получили метод полных кумулятивов Рида и Меча и метод определения "центральной величины" Кербера.
1. Метод Рида и Менча <35>.
--------------------------------
<35> Reed L.J., Muench H.A. A simple method of estimating 50% endpoints. Am. J. Hyd., 1938, 27, 493 - 497; Упрощенный вариант по книге Ворошиловой М.К., Жевандеровой В.И., Балаяна М.С. Методы лабораторной диагностики энтеровирусных инфекций. М., Медицина, 1964. - с. 127 - 129.
Метод подразумевает, что тканевая культура дегенерирует и при заражении любым более низким разведением. Пример подсчета показан в
табл. 1.
Таблица 1
Подсчет 50%-й дозы (ТЦИД50) по методу Рида и Менча
Разведение вируса | Количество тест-объектов | Исходные данные | Кумулятивные данные | Процент гибели (в %%) |
погибло | выжило | погибло | выжило | |
10-5 | 4 | 4 | 0 | 7 | 0 | 100 |
10-6 | 4 | 2 | 2 | 3 | 2 | 60 |
10-7 | 4 | 1 | 3 | 1 | 5 | 17 |
10-8 | 4 | 0 | 4 | 0 | 9 | 0 |
Из
табл. 1 видно, что 50%-я доза находится между разведениями вируса 10
-6 и 10
-7.
Далее расчет величины
X, которую необходимо прибавить к разведению непосредственно ниже 50%-й дозы (в log
10), производится по следующей
формуле 1:

, где (1)
A - процент гибели при разведении, непосредственно ниже искомой 50% дозы (в данном случае 60%);
B - процент гибели при разведении непосредственно выше искомой 50% дозы (в данном случае 17%).
Подставляя полученные значения в
формулу 1, находим:
откуда титр вируса (в обратных log10) равен 6 + 0,23 = 6,23; т.е., одна ТЦИД50 или LD50 соответствует разведению вируса 10 6,23.
Если в титрование были взяты разведения вируса с интервалом 0,5 log
10, то величину
X в
формуле 1 следует умножить на 0,5.
Поскольку при титровании вируса в пробирочных культурах обычно получаются четкие результаты и культуры со 100%-й дегенерацией отделены от культур с полным отсутствием дегенерации всего одним разведением вируса, удобно пользоваться при подсчете титров по Риду и Менчу упрощенной схемой, приведенной в
табл. 2.
Таблица 2
Подсчет титров по Риду и Менчу
Количество пробирочных культур, зараженных разведением 10-n | Количество культур с ЦПЭ | Процент культур с ЦПЭ | Титр вируса в Log10 |
4 | 1 | 25 | (n - 1), 66 |
4 | 2 | 50 | n, 0 |
4 | 3 | 75 | n, 33 |
4 | 4 | 100 | n, 50 |
Для вычисления ТЦИД
50 вируса в 1 см
3 исследуемой жидкости к показателю величины титра вируса в log
10 прибавляют, в зависимости от количества вируссодержащего материала, взятого для заражения одной культуры, соответствующие величины поправок
(табл. 3).
Таблица 3
Вычисление ТЦИД50 вируса в 1 см3 исследуемой жидкости
к показателю величины титра вируса в log10
Объем материала в миллилитрах, взятого для заражения одной культуры | Величина поправки в единицах логарифма |
0,2 | 0,7 |
0,25 | 0,6 |
0,3 | 0,52 |
0,4 | 0,4 |
0,5 | 0,3 |
0,6 | 0,22 |
0,7 | 0,16 |
0,8 | 0,1 |
Например, если во всех пробирочных культурах, зараженных по 0,2 см3 материалом в разведении 10-4, наблюдается ЦПД, а в культурах, инокулированных разведением 10-6, ЦПД не наблюдается (при инокуляции же разведением 10-5 ЦПД отмечен в одной из четырех пробирок), то титр вируса в log10 будет равен 104,66. Содержание же его в 1 см3 будет равно 105,36 ТЦИД50.
2. Определение ТЦИД50 вируса по методу Спермана-Кербера.
ТЦИД50 представляет собой отрицательный десятичный логарифм наибольшей использованной концентрации вируса, умноженной на логарифм разведения, т.е. (сумма % пораженных клеток в каждом разведении/100 - 0,5) x log10 разведения.
Таблица 4
Пример результата титрования по методу Спермана-Кербера
Разведения, - log10 | Результаты по ЦПД* | Процент (%) культур с наличием ЦПД |
-4 | 4, 4, 4, 4, 4, 4 | 100 |
-5 | 4, 4, 3, 4, 4, 4 | 100 |
-6 | 4, 4, 3, 3, 0, 0 | 66,7 |
-7 | 4, 2, 0, 0, 0, 0 | 33,3 |
-8 | 0, 0, 0, 0, 0, 0 | 0 |
Сумма % с ЦПД | 300 |
Примечание: * - от 1 до 4 - плюсовая система %-го выражения гибели клеточных культур (1+ = 25%, 2+ = 50%, 3+ = 75% и 4+ = 100%), 0 = отсутствие ЦПД.
Формула расчета ТЦИД50 по этим данным:
-4 - [{(100 + 100 + 66,7 + 33,3 + 0)/100} - 0,5] x 1 = -4 - [300/100 - 0,5] x 1 = -4 - 2,5 = 6,5.
Таким образом, ТЦИД50 будет равно 10-6,5 или 6,5 log10 ТЦИД50.
3. Метод бляшек.
Для расчета среднего значения количества бляшек используется следующая
формула 2:

, где (2)
t - объем, добавляемый в лунку при каждом шаге разведения;
c1 - число БОЕ во всех лунках наименьшего разведении, при котором возможен учет (уже не сливные бляшки);
c2 - число БОЕ во всех лунках следующего разведения;
cn - число БОЕ во всех лунках последнего разведения;
n1 - количество всех лунок наименьшего разведения с не сливными бляшками (соответствует c1);
n2 - число всех лунок второго разведения с не сливными бляшками (c2);
v2 - фактор разведения между n1/n2 (например, n1 = 10-3 и n2 = 10-4, то v2 = 0,1);
nn - количество всех лунок последнего разведения, при котором имеется бляшки (cn);
vn - фактор разведения между n1 и nn (например, n1 = 10-3 и nn = 10-6, то vn = 0,0001);
d - шаг разведения c1.
Вычисления проводятся с целыми числами: если последнее число меньше 5, то оно остается неизменным; если оно больше 5, то округляется до следующего целого числа.
Пример:
Если объем, добавляемый при разведении, равен 0,2 см3, то БОЕ/см3 = lg 5.
к Р 4.2.3647-20
ПРИГОТОВЛЕНИЕ ПИТАТЕЛЬНЫХ СРЕД
1. Приготовление пшеничного агара.
В состав среды входят:
- пшеничная крупа 500,0 г;
- агар 25,0 г;
- дистиллированная вода 1000 см3;
- pH 7,3 +/- 0,1.
Пшеничную крупу заливают дистиллированной водой. Через 18 - 24 ч настой аккуратно сливают, не выжимая, доводят до первоначального объема, добавляют агар и растапливают на водяной бане или в автоклаве (текучим паром 1 ч). Оставляют в теплом месте до осаждения осадка на 12 ч. Остывший агар выкладывают на противень и срезают осадок. Агар растапливают на водяной бане, постоянно помешивая. Устанавливают pH 7,3 +/- 0,1. Разливают в бутылки, пробирки, матрацы (в зависимости от решаемых задач и целей). Стерилизуют текучим паром в аппарате Коха по 1 ч в течение 3 сут.
2. Приготовление среды Левенштейна - Йенсена.
Среда Левенштейна - Йенсена - международная среда, широко используемая в качестве стандартной для первичного выделения возбудителя туберкулеза и определения его лекарственной чувствительности. Это плотная яичная среда, на которой видимый рост M. terrae получают приблизительно на 14 - 21 день после посева.
Для чистоты эксперимента желательно использовать готовую питательную среду в стандартных пробирках с завинчивающимися крышками. При невозможности приобретения готовой среды ее можно приготовить самостоятельно.
В состав среды Левенштейна - Йенсена входят следующие компоненты:
2.1. Раствор минеральных солей:
- калий однозамещенный фосфорнокислый 2,4 г;
- магний лимоннокислый - 0,6 г;
- магний сернокислый - 0,24 г;
- L-аспарагин - 3,6 г;
- глицерин - 12,0 см3;
- вода дистиллированная - 600 см3.
Вышеперечисленные ингредиенты растворяют в теплой дистиллированной воде в указанной последовательности при слабом подогреве (не доводя до кипения) на водяной бане. L-аспарагин рекомендуется растворять отдельно и вносить последним. Затем солевой раствор стерилизуют в паровом стерилизаторе при 1 атм. плюс 121 °C в течение 20 - 30 мин. Срок хранения раствора составляет 3 - 4 недели при комнатной температуре.
2.2. Раствор малахитового зеленого:
- малахитовый зеленый - 2 г;
- стерильная дистиллированная вода - 100 см3.
Взвешенный порошок малахитового зеленого растворяют в стерильной теплой дистиллированной воде и помещают полученный раствор в термостат на 1 - 2,5 ч для большего растворения. Затем фильтруют раствор через бумажный фильтр, разливают по флаконам или небольшим колбам и стерилизуют в паровом стерилизаторе при 1 атм. плюс 121 °C в течение 30 мин. Приготовленный раствор не подлежит длительному хранению и при появлении осадка или изменении окраски его заменяют свежим раствором.
2.3. Яичная масса. Свежие диетические куриные яйца со сроком хранения не более 7 суток без трещин и дефектов скорлупы тщательно отмывают в теплой проточной воде с помощью ручных щеток и щелочного мыла, затем оставляют на 30 мин в мыльном растворе. Тщательно промывают в проточной воде и погружают в 70%-й этиловый спирт на 30 мин. Перед тем как начать работу с чистыми и сухими яйцами, рекомендуется тщательно вымыть руки с мылом и щеткой. Затем в стерильном боксе разбивают яйца стерильным ножом в стерильную посуду, доводя общий объем яичной массы до 1 дм3 (для этого требуется в среднем 20 - 25 яиц, в зависимости от их величины). Тщательно взбивают яичную массу стерильным венчиком или в стерильном миксере при минимальной скорости.
3. Приготовление среды.
В большую стерильную емкость, соблюдая правила асептики, помещают следующие растворы:
- раствор минеральных солей - 600 см3;
- гомогенизированная яичная масса - 1000 см3.
Смесь тщательно перемешивают и фильтруют через 4-слойный стерильный марлевый фильтр. Добавляют 20 см3 раствора малахитового зеленого, тщательно перемешивают, избегая образования пены, и в течение не более 15 мин разливают в пробирки приблизительно по 5 см3, следя за тем, чтобы в растворе не сформировался осадок.
Коагуляция (свертывание) среды.
Для свертывания среды используют специальные аппараты-свертыватели. Пробирки с разлитой в них средой помещают в специальные штативы с подобранным углом наклона для формирования скошенной поверхности среды высотой 8 - 10 см. Штативы устанавливают в свертыватель и проводят коагуляцию при плюс 85 °C в течение 45 мин.
4. Хранение среды.
Готовую питательную среду проверяют на стерильность, помещая 10 пробирок из вновь приготовленной партии в термостат при плюс (37 +/- 1) °C на трое суток. По истечении времени инкубации в пробирках на питательной среде должен отсутствовать микробный рост. В случае наличия роста приготовленная партия среды подлежит уничтожению. Приготовленная партия среды должна иметь этикетку с датой изготовления и сохраняться в холодильнике при плюс (4 +/- 2) °C с тщательно закрытыми пробками для предотвращения высыхания. Срок хранения среды не должен превышать 4 недели.
5. Приготовления среды "Новая".
Среда "Новая" - это плотная яичная среда, на которой хороший рост колоний M. terrae получают приблизительно на 5 - 7-й день после посева материала (проб).
В рецептуру питательной среды "Новая" входят следующие компоненты (в весовых %):
- калий фосфорнокислый одноосновной - 0,05;
- натрий лимоннокислый - 0,05;
- магний сернокислый - 0,05;
- натрий пировиноградно-кислый (гликокол) - 0,2;
- глицерин - 3,6;
- малахитовая зелень - 0,036;
- желтки яиц 50,0;
- дистиллированная вода - до 100,0.
Способ получения концентрированной питательной среды заключается в смешивании сухих навесок ингредиентов солей (кроме бактерицидного красителя) с желточной массой, обработке ингредиентов 70%-м этиловым спиртом, растворении бактерицидного красителя в глицерине и соединении всех компонентов среды.
Для получения 1 дм3 концентрированной питательной среды необходимо:
- сделать навески однозамещенного фосфорнокислого калия - 1 г, лимоннокислого натрия - 1 г, сернокислого магния - 1 г, натрия пировинограднокислого (гликокола) - 4 г и каждую навеску поместить в стерильную фарфоровую ступку;
- обеззаразить навески путем смачивания каждой навески 1 см3 70%-го этилового спирта. Затем поместить ступки с навесками в термостат при температуре плюс (37 +/- 1) °C и высушить при периодическом помешивании в течение 45 мин;
- приготовить 1 дм3 желточной массы. 50 штук куриных яиц обработать снаружи с целью обеззараживания 70%-м спиртом. Затем отделить белок от желтка. Перенести желточную массу в мерную колбу и тщательно гомогенизировать;
- приготовить желточно-солевую смесь. К 1 дм3 желточной массы добавить обеззараженные навески и перемешать;
- приготовить раствор бактерицидного красителя. Навеску 700 мг малахитовой зелени смочить 1 см3 70%-го спирта и соединить с 70 см3 глицерина (это соответствует 1%-му раствору малахитового зеленого в глицерине).
6. Получение концентрированной питательной смеси.
Производят соединение 1 дм3 желточно-солевой смеси с 70 см3 1%-го раствора малахитового зеленого в глицерине и тщательно гомогенизируют. Полученную концентрированную питательную смесь (среду) выдерживают в течение суток при комнатной температуре и разливают среду во флаконы емкостью 250 см3, которые герметично упаковывают и маркируют. Укупоренные флаконы с концентрированной питательной средой хранят в холодильнике при плюс 3 - 5 °C в течение 3 - 4 недель.
7. Приготовление рабочей (используемой при тестировании дезсредств) плотной питательной среды в пробирках.
К концентрированной питательной среде добавляют равный объем стерильной дистиллированной воды (1 : 1), гомогенизируют, разливают по 5 см3 в пробирки. Для образования скоса питательной среды пробирки укладывают в наклонном положении в свертыватель, предварительно нагретый до плюс 90 °C. Среду коагулируют 20 мин. при температуре плюс 82 - 83 °C. Контроль приготовленной партии среды на стерильность осуществляют так же, как описано для среды Левенштейна - Йенсена.
8. Хранение пробирок с питательной средой.
Пробирки с питательной средой могут храниться в холодильнике при температуре плюс (4 +/- 2) °C в течение 4 недель. При длительном хранении необходимо пробирки герметично укупорить и поместить в полиэтиленовые пакеты, чтобы предотвратить высыхание среды.
к Р 4.2.3647-20
ПЕРЕЧЕНЬ СТАНДАРТОВ ДЛЯ ТЕСТ-ИЗДЕЛИЙ
1.
ГОСТ 21240 (СТ СЭВ 4898-84). "Скальпели и ножи медицинские. Общие технические требования и методы испытаний";
2.
ГОСТ 1435 "Прутки, полосы и мотки из инструментальной нелегированной стали. Общие технические условия";
3.
ГОСТ 9389 "Проволока стальная углеродистая пружинная. Технические условия (С Изменениями N 1 - 5)";
4.
ГОСТ 14955 "Сталь качественная круглая со специальной отделкой поверхности. Технические условия (с Изменениями N 1, 2)";
5.
ГОСТ 25725 (СТ СЭВ 3401-81, СТ СЭВ 4902-84, СТ СЭВ 6345-88) "Инструменты медицинские. Термины и определения";
6.
ГОСТ 25054 "Поковки из коррозийно-стойких сталей и сплавов. Общие технические условия (с Изменениями N 1 - 4)";
7.
ГОСТ 19126 "Инструменты медицинские металлические. Общие технические условия";
8.
ГОСТ 3882 "Сплавы твердые спеченные. Марки";
9.
ГОСТ Р ИСО 9626 "Трубки игольные из нержавеющей стали для изготовления медицинских игл";
10.
ГОСТ ISO 10555-1 "Катетеры внутрисосудистые стерильные однократного применения. Часть 1. Общие технические требования";
11. ГОСТ 19808 "Стекло медицинское. Марки (с Изменением N 1)";
12.
ГОСТ ISO 7886-1 "Шприцы инъекционные однократного применения стерильные. Часть 1. Шприцы для ручного использования (с Поправками)";
13.
ГОСТ ISO 10555-3 "Катетеры внутрисосудистые стерильные однократного применения. Часть 3. Катетеры венозные центральные";
14.
ГОСТ ISO 10555-1 "Катетеры внутрисосудистые стерильные однократного применения. Часть 1. Общие технические требования";
15.
ГОСТ 25377 "Иглы инъекционные многократного применения. Технические условия";
16.
ГОСТ ISO 8537 "Шприцы инъекционные однократного применения стерильные с иглой или без иглы для инсулина. Технические требования и методы испытаний";
17.
ГОСТ ISO 7864 "Иглы инъекционные однократного применения стерильные";
18.
ГОСТ Р ИСО 9626 "Трубки игольные из нержавеющей стали для изготовления медицинских игл";
19.
ГОСТ 22967 "Шприцы медицинские инъекционные многократного применения. Общие технические требования и методы испытаний";
20. ГОСТ 24861 "Шприцы инъекционные однократного применения";
21. ГОСТ ISO 8638 "Комплект кровопроводящих магистралей для гемодиализаторов, гемофильтров и гемоконцентраторов. Технические требования и методы испытаний";
22. ГОСТ Р 53519 "Инструменты хирургические. Зажимы кровоостанавливающие. Технические требования и методы испытаний";
23. ГОСТ Р 53343 "Кусачки костные. Технические требования и методы испытаний";
24. ГОСТ Р 53342 "Долота медицинские. Технические требования и методы испытаний";
25.
ГОСТ Р 50328.1 "Инструменты хирургические. Металлические материалы. Часть 1. Нержавеющая сталь";
26.
ГОСТ 3399 "Трубки медицинские резиновые. Технические условия";
27. ГОСТ 28519 "Пилы медицинские. Общие технические требования и методы испытаний";
28. ГОСТ 28684 "Фрезы хирургические. Общие технические требования и методы испытаний";
29. ГОСТ 25981 "Иглы хирургические. Общие технические условия";
30. ГОСТ 26641 "Иглы атравматические. Общие технические требования и методы испытаний";
31.
ГОСТ 21241 "Пинцеты медицинские. Общие технические требования и методы испытаний";
32. ГОСТ ISO 13397-1 "Стоматологические кюретки, инструменты для снятия зубных отложений и экскаваторы. Часть 1. Общие требования";
33. ГОСТ Р ИСО 9173-1 "Стоматология. Щипцы зубоврачебные. Часть 1. Общие требования и методы испытаний";
34. ГОСТ Р ИСО 7711-2 "Инструменты стоматологические вращающиеся. Инструменты алмазные. Часть 2. Диски";
35. ГОСТ Р ИСО 15098-1 "Пинцеты стоматологические. Часть 1. Общие требования";
36.
ГОСТ Р 50351.1 "Инструменты стоматологические для лечения и обработки канала корня зуба. Часть 1. Корневые напильники, дрильборы, пульпоэкстракторы, рашпили, каналонаполнители, зонды и ватные иглы";
37.
ГОСТ Р 50328.1 "Инструменты хирургические. Металлические материалы. Часть 1. Нержавеющая сталь";
38.
ГОСТ ISO 9873 "Инструменты стоматологические ручные. Зеркала и ручки к ним многоразового использования";
39. ГОСТ ISO 7492 "Зонды стоматологические. Технические требования и методы испытаний";
40.
ГОСТ 22090.1 "Инструменты стоматологические вращающиеся. Часть 1. Боры стальные и твердосплавные";
41.
ГОСТ 22090.2 "Инструменты стоматологические вращающиеся. Часть 2. Боры стальные и твердосплавные для окончательной обработки (финиры)";
42. ГОСТ 25982 "Наконечники стоматологические к микроприводу. Общие технические условия";
| | ИС МЕГАНОРМ: примечание. ГОСТ 26634-91 утратил силу на территории Российской Федерации с 01.02.2019 в связи с введением в действие ГОСТ Р ИСО 1797-2018 (Приказ Росстандарта от 15.08.2018 N 502-ст). | |
43. ГОСТ 26634 "Инструменты стоматологические вращающиеся. Хвостовики";
44.
ГОСТ 30208 "Инструменты хирургические. Металлические материалы. Часть 1. Нержавеющая сталь";
45.
ГОСТ Р 55037 "Оптика и оптические приборы. Эндоскопы и приборы эндотерапевтические медицинские. Частные технические требования. Методы испытаний параметров";
46.
ГОСТ Р 53469 (ИСО 8600-1) "Оптика и оптические приборы. Эндоскопы и приборы эндотерапевтические медицинские. Часть 1. Общие требования";
47.
ГОСТ 5632 "Легированные нержавеющие стали и сплавы коррозионно-стойкие, жаростойкие и жаропрочные. Марки";
48.
ГОСТ 1770 Посуда мерная лабораторная стеклянная. Цилиндры, мензурки, колбы, пробирки. Общие технические условия (с Изменениями N 1 - 10);
49. ГОСТ Р ИСО 15883-4 "Моюще-дезинфицирующие машины. Часть 4. Требования и методы испытаний аппаратов, использующих химическую дезинфекцию для термолабильных эндоскопов".
к Р 4.2.3647-20
ПОКАЗАТЕЛИ ЭФФЕКТИВНОСТИ СРЕДСТВ ДЕЗИНСЕКЦИИ
Вид продукции | Исследуемые показатели | Нормативы |
1 | 2 | 3 |
КЛЕЙКИЕ (ЛИПКИЕ) ЛОВУШКИ |
Клейкие ловушки для борьбы с тараканами | Уловистость на 7 сутки, рыжие тараканы, % | не менее 90 |
Клейкие ловушки для борьбы с летающими насекомыми | Уловистость в камере объемом 1 м3 на 2 сутки, комнатные мухи, % | не менее 95 |
Клейкие ловушки для отлова бабочек огневок (пищевая моль) и платяной моли | Уловистость в садке на 2 сутки, бабочки целевого вида, % | не менее 70 |
Клей для приготовления липких листов для отлова синантропных насекомых | Уловистость на 7 сутки, рыжие тараканы, % | не менее 90 |
Уловистость в камере объемом 1 м3 на 2 сутки, комнатные мухи, % | не менее 95 |
Уловистость на 2 сутки, блохи, % | не менее 90 |
КРИСТАЛЛИЧЕСКИЕ ПОРОШКИ |
Средства на основе кристаллических порошков природного происхождения для борьбы с нелетающими синантропными членистоногими | Острое действие: | |
Гибель постельных клопов и блох через 24 ч, % | не менее 50 |
Гибель рыжих тараканов: | |
а) при наличии поилки с водой на 5 сутки, % | не менее 50 |
б) при отсутствии поилки с водой на 2 сутки, % | не менее 80 |
ПИЩЕВЫЕ ПРИМАНКИ ДЛЯ БОРЬБЫ С СИНАНТРОПНЫМИ НАСЕКОМЫМИ |
Средства для борьбы с тараканами на основе: | | |
а) ДВ - фенилпиразолы (фипронил), ФОС, карбаматы, пиретроиды и др. | Острое действие: | |
Гибель рыжих тараканов на 2 сутки, % | не менее 70 |
б) ДВ - авермектины, неоникотиноиды, борная кислота, бура, гидраметилнон, сульфторамиды и др. | Острое действие: | |
Гибель рыжих тараканов на 5 сутки, % | не менее 70 |
Средства для борьбы с муравьями | Гибель колонии рыжего домового муравья через 4 недели, % | 100 |
Средства для борьбы с мухами | Острое действие: | |
Гибель комнатных мух через 24 ч, % | не менее 80 |
СРЕДСТВА В АЭРОЗОЛЬНЫХ УПАКОВКАХ И БАУ |
Средства в аэрозольных упаковках с пропеллентами для борьбы с летающими насекомыми | Острое действие на комнатных мух: | |
C15, мг/м3 | не более 15 |
Q15, мг/м3 | не более 1000 |
КТ50, мин | не более 10 |
Средства в аэрозольных и беспропеллентных упаковках для борьбы с нелетающими насекомыми и обработки мест посадки мух | Острое действие: | |
Гибель рыжих тараканов (постельных клопов, блох, муравьев, крысиных клещей) через 24 ч, % | 100 |
Гибель комнатных мух при свободном контакте с обработанными местами посадки через 48 ч, % | не менее 90 |
ФУМИГАЦИОННЫЕ И ПИРОТЕХНИЧЕСКИЕ СРЕДСТВА |
Средства в виде пластин, матов, таблеток, жидкостей для электрофумигаторов для борьбы с комарами | КТ50 для комаров, мин | |
В камере объемом 0,5 м3 | |
- пластины, маты, жидкости | не более 5 |
- таблетки | не более 7 |
В камере объемом 1,0 м3 | |
- пластины, маты, жидкости | не более 7 |
- таблетки | не более 10 |
Средства в виде пластин, жидкостей для электрофумигаторов для борьбы с мухами | В лабораторном помещении 25 м3 при размещении в садках из фатина КТ50 для комнатных мух, мин | не более 60 |
Средства в виде спиралей, стержней, свечей, средств с фен-системой на батарейках (попелаторов) и т.п. для борьбы с комарами | КТ50 для комаров, мин | |
- в камере объемом 0,53 | не более 5 |
- в камере объемом 1,0 м3 | не более 7 |
Средства в виде пластин для фонаря со свечой, инсектицидные пиротехнические бумаги и т.п. для борьбы с комарами | В лабораторном помещении 25 м3 при размещении в садках из фатина: | |
КТ50 для комаров, мин | не более 30 |
Материалы или устройства на основе метофлутрина для борьбы с комарами и другими мелкими летающими насекомыми в помещениях | Время нокдауна 95% комнатных мух в объеме 10 л, часы | не более 6 |
Гибель комнатных мух при учете через 24 ч, % | не менее 80 |
Средства в аэрозольной упаковке без запирающего клапана, аквафумигаторы, термовозгонные, пиротехнические шашки и др. аналогичные | | |
а) для борьбы с летающими насекомыми | Острое действие: | |
В лабораторном помещении 35 - 150 м3 при размещении в садках из фатина поражение комнатных мух (комаров) через 2 ч после активации средства, % | 100 |
б) для борьбы с нелетающими насекомыми | Острое действие: | |
В лабораторном помещении 35 - 150 м3 при учете через 2 ч после активации средства: | |
поражение рыжих тараканов, % | 100 |
гибель блох, % | 100 |
гибель рыжих тараканов при 6 - 24-ч экспозиции в задымленном помещении при учете через 1 - 3 суток, % | не менее 90 |
СРЕДСТВА ДЛЯ ОБРАБОТКИ МЕСТ ДНЕВОК КОМАРОВ В ПРИРОДЕ |
Средства, применяемые способом опрыскивания растительности | Острое действие: гибель комаров при учете через 3 ч | 100 |
СРЕДСТВА КОНТАКТНОГО ДЕЙСТВИЯ |
Средства в форме дустов, карандашей, мелков, брусков и др. для борьбы с нелетающими синантропными членистоногими | Острое действие: | |
Гибель рыжих тараканов (постельных клопов, блох, муравьев, крысиных клещей) через 24 ч, % | 100 |
Средства в форме концентратов эмульсий, суспензий, суспоэмульсий; смачивающихся, водорастворимых, диспергируемых порошков, гранул и таблеток; микрокапсулированные, флоу и др. для борьбы с синантропными членистоногими | Острое действие: | |
Гибель рыжих тараканов (постельных клопов, блох, муравьев, крысиных клещей) через 24 ч, % | 100 |
Гибель комнатных мух при свободном контакте с обработанными местами посадки через 48 ч, % | не менее 90 |
Средства для борьбы с чесоточными клещами в помещениях | Острое действие: | |
Гибель модельного объекта самок Psoroptes cuniculi (ушной кроличий клещ) через 24 ч, % | 100 |
Средства для борьбы с клещами домашней пыли | Острое действие: Гибель клещей домашней пыли при учете через 24 - 48 ч, % | 100 |
СРЕДСТВА ДЛЯ БОРЬБЫ С ЛИЧИНКАМИ КОМАРОВ И МУХ: |
а) микробиологические для борьбы с комарами | СК50, мг/л, не более | норматив ТУ |
б) на основе ФОС, пиретроидов и др. инсектицидов | Гибель личинок комаров через 24 ч, % | 100 |
Отсутствие вылета имаго комнатных мух через 14 суток, % | 100 |
ПЕДИКУЛИЦИДНЫЕ СРЕДСТВА |
Для всех препаративных форм педикулицидов | Гибель имаго и личинок вшей при указанной в НД экспозиции при учете через 24 ч, % | 100 |
Средства для импрегнации белья с целью предупреждения заражения людей платяным педикулезом | Гибель имаго и личинок вшей при экспозиции 60 мин на импрегнированной ткани (учет через 24 ч), % | 100 |
Время прекращения двигательной активности 100% имаго и личинок вшей при контакте с импрегнированной тканью, мин | не более 180 |
СРЕДСТВА БОРЬБЫ С МОЛЬЮ И КОЖЕЕДАМИ |
Неспецифические средства контактного действия | Острое действие на комнатных мух: | |
C15, мг/м3 | не более 15 |
Q15, мг/м3 | не более 1000 |
КТ50, мин | не более 10 |
Гибель личинок кожеедов (бабочек моли) через 24 ч | 100 |
Специфические средства контактного действия | Острое действие: | |
Гибель гусениц моли или личинок кожеедов через 72 ч, % | 100 |
Средства фумигационного действия | Острое действие: | |
Гибель имаго моли в объеме до 100 дм3 через 48 ч, % | 100 |
Время нокдауна 95% комнатных мух в объеме 10 л, ч | не более 6 |
Гибель комнатных мух через 24 ч, % | не менее 80 |
Средства репеллентного действия | КОД для бабочек моли, % | не менее 75 |
СРЕДСТВА БОРЬБЫ С ОСАМИ |
Средства в аэрозольных упаковках для распыления в воздух | Острое действие на комнатных мух: | |
C15, мг/м3 | не более 15 |
Q15, мг/м3 | не более 1000 |
КТ50, мин | не более 10 |
Средства различных форм для обработки гнезд | Гибель рыжих тараканов при подсадке на впитывающую поверхность при учете через 24 ч, % | не менее 80 |
Инсектицидные пищевые приманки | Гибель комнатных мух через 24 ч, % | не менее 80 |
Ловушки для механического отлова | Уловистость через 2 суток, мухи, % | не менее 90 |
Вылов ос в натурных условиях, есть/нет | вылов есть |
ИНСЕКТИЦИДНЫЕ СРЕДСТВА НА ОСНОВЕ РЕГУЛЯТОРОВ РАЗВИТИЯ НАСЕКОМЫХ (РРН): |
При внесении РРН (АЮГ и ИСХ) в среду обитания преимагинальных стадий насекомых | Вылет нормально сформированных имаго комнатных мух или комаров, % | не более 10 |
Выход нормально сформированных имаго блох, % | не более 10 |
Пищевые приманки с РРН для бор бы с тараканами и муравьями | Суммарное количество личинок с морфологическими нарушениями и погибших рыжих тараканов, при учете через 14 суток, % | не менее 50 |
Гибель колонии рыжего домового муравья через 10 недель, % | 100 |
Диски-фумигаторы с АЮГ (гидропрен) для тараканов | Формирование имаго рыжих тараканов без видимых морфологических нарушений при учете через 14 суток, % | не более 50 |
ИНСЕКТО-РОДЕНТИЦИДНЫЕ СРЕДСТВА |
Приманки инсекто-родентицидные для одновременного уничтожения блох, кровососущих гамазовых клещей и грызунов | Гибель блох и крысиных клещей при кормлении на мышах на 3 сутки при учете через 24 ч, % | не менее 80 |
Поедаемость грызунами отравленной приманки, % | не менее 80 |
РЕПЕЛЛЕНТНЫЕ СРЕДСТВА И ИЗДЕЛИЯ ДЛЯ ИНДИВИДУАЛЬНОЙ ЗАЩИТЫ ЛЮДЕЙ ОТ НАПАДЕНИЯ КРОВОСОСУЩИХ ЧЛЕНИСТОНОГИХ |
Для нанесения на кожу | Острое действие (после нанесения средства): | |
КОД для комаров, % | 100 |
КОД для муравьев, % | не менее 95 |
Длительность действия: | |
ДРД для комаров, часы (по категориям эффективности): | |
высшая категория | 4 и более |
1 категория | 3 и более до 4 |
2 категория | 2 и более до 3 |
3 категория | 1 и более до 2 |
4 категория | не менее 1 (при низкой численности комаров) |
Для нанесения на одежду и на изделия из ткани | Острое действие (в день обработки): | |
КОД, % | |
для комаров | 100 |
для блох | не менее 95 |
для иксодовых клещей | не менее 95 |
для гамазовых клещей | не менее 95 |
для муравьев | не менее 95 |
Длительность действия: | |
ДРД, сутки (по категориям эффективности) для комаров: | |
высшая категория | 20 и более |
1 категория | 10 и более до 20 |
2 категория | 5 и более до 10 |
3 категория | 3 и более до 5 |
ДРД, сутки для иксодовых клещей: | |
высшая категория | 3 и более |
Изделия, содержащие репелленты (браслеты, наклейки, капли и т.п.) для защиты людей от нападения комаров | КЗД для комаров, % | не менее 30 |
Наголовные сетки, обработанные репеллентами, репеллентные средства при нанесении на наголовные сетки | Острое действие (в первые сутки): | |
КОД для летающих кровососущих насекомых, % | 100 |
Репеллентные средства и изделия для снижения количества комаров, нападающих на людей на открытом воздухе и в помещениях | Уменьшение влета и увеличение вылета комаров | в 2 раза и более |
АКАРИЦИДНЫЕ (ИНСЕКТОАКАРИЦИДНЫЕ) СРЕДСТВА ДЛЯ ИНДИВИДУАЛЬНОЙ ЗАЩИТЫ ЛЮДЕЙ ОТ НАПАДЕНИЯ КРОВОСОСУЩИХ ЧЛЕНИСТОНОГИХ ПРИ НАНЕСЕНИИ НА ОДЕЖДУ И ИЗДЕЛИЯ ИЗ ТКАНИ; ТКАНИ, СОДЕРЖАЩИЕ ИНСЕКТОАКАРИЦИДЫ |
Для защиты людей от иксодовых клещей, блох и комаров | Для иксодовых клещей | |
КТср, мин | не более 5 |
МВср, см | не более 50 |
ИСП | не более 1,1 |
Для блох | |
КБ5ср, особей | не более 3 |
МВср, см | не более 20 |
Для комаров | |
КЗД, % | не менее 95 |
АКАРИЦИДНО-РЕПЕЛЛЕНТНЫЕ (ИНСЕКТОАКАРИЦИДНО-РЕПЕЛЛЕНТНЫЕ) СРЕДСТВА ДЛЯ ИНДИВИДУАЛЬНОЙ ЗАЩИТЫ ЛЮДЕЙ ОТ НАПАДЕНИЯ КРОВОСОСУЩИХ ЧЛЕНИСТОНОГИХ |
Для защиты от иксодовых клещей, блох и летающих кровососущих насекомых (нанесение на одежду и на изделия из ткани) | Для иксодовых клещей: | |
КТср, мин | не более 5 |
МВср, см | не более 50 |
ИСП | не более 1,1 |
Для блох: | |
КБ5ср, особей | не более 3 |
МВср, см | не более 20 |
Для комаров: | |
Острое действие: | |
КОД, % | 100 |
Длительность действия: | |
ДРД, сутки (по категориям эффективности): | |
высшая категория | 20 и более |
1 категория | 10 и более до 20 |
2 категория | 5 и более до 10 |
3 категория | 3 и более до 5 |
ОДЕЖДА ДЛЯ ЗАЩИТЫ ЛЮДЕЙ ОТ НАПАДЕНИЯ ЧЛЕНИСТОНОГИХ |
Для защиты людей от иксодовых клещей, блох и гнуса (летающих кровососущих насекомых) | Для иксодовых клещей: | |
КЗДклещи, % | не менее 98 |
Для гнуса: | |
КЗДгнус, % | не менее 90 |
Для блох: | |
КЗДблохи, % | не менее 98 |
АКАРИЦИДНЫЕ (ИНСЕКТОАКАРИЦИДНЫЕ) СРЕДСТВА ДЛЯ БОРЬБЫ С ИКСОДОВЫМИ КЛЕЩАМИ |
Для борьбы с иксодовыми клещами в природных биотопах | Острое действие: | |
Эффективность на 3 сутки, % | не менее 95 |
Длительность действия (при сохранении эффективности не менее 95%), сутки | не менее 30 |
ТКАНИ ДЛЯ ЗАЩИТЫ ОТ КРОВОСОСУЩИХ КОМАРОВ |
Ткань, непрокусываемая (устойчивая к прокусыванию) кровососущими комарами | Количество укусов комаров через ткань по результатам испытания (9 повторностей) | не более 3 |
к Р 4.2.3647-20
ВЫБОР МОДЕЛЬНОГО ОБЪЕКТА ПРИ ОЦЕНКЕ ЭФФЕКТИВНОСТИ СРЕДСТВ
ДЕЗИНСЕКЦИИ ДЛЯ БОРЬБЫ С СИНАНТРОПНЫМИ ЧЛЕНИСТОНОГИМИ
Модельный объект | Препаративные формы | Целевой объект |
1 | 2 | 3 |
Рыжий таракан Blattella germanica (L.), самцы | Средства кишечного действия (приманки, гели) | Муравьи синантропных видов: рыжий домовый муравей Monomorium pharaonis (L.), черный садовый муравей Lasins niger L., муравей Myrmica rubra L. (нарушение жизнедеятельности колонии) |
Рыжий таракан Blattella germanica (L.), самцы | Средства контактного действия (в аэрозольной и беспропеллентной аэрозольной упаковке и концентраты, применяемые методом опрыскивания) | 1. Муравьи синантропных видов: рыжий домовый муравей Monomorium pharaonis (L.), черный садовый муравей Lasius niger L., муравей Myrmica rubra L. (нарушение жизнедеятельности колонии вследствие гибели рабочих особей) 2. Осы (при обработке гнезд, летков) |
Рыжий таракан Blattella germanica (L.) личинки | Пищевые приманки на основе регуляторов развития насекомых для борьбы с тараканами и муравьями | Рыжий домовый муравей Monomorium pharaonis (L.) |
Рыжий таракан Blattella germanica (L.), самцы | Липкие ловушки | 1. Муравьи синантропных видов (рыжий домовый муравей Monomorium pharaonis (L.) 2. Блохи разных видов (учет численности, мониторинг) 3. Другие виды нелетающих членистоногих (уховертки, чешуйницы, пауки, мокрицы и др.) |
Сверчок домовый Acheta damesticus (L.) или Рыжий таракан Blattella germanica (L.), самцы | Средства контактного действия (в аэрозольной и беспропеллентной аэрозольной упаковке и концентраты, применяемые методом опрыскивания) | Нецелевые членистоногие разных видов, проникающие в помещения (уховертки, чешуйницы, пауки, мокрицы и др.) |
Муха комнатная Musca domestica L имаго | Средства контактного действия при обработке мест посадок (в аэрозольной и беспропеллентной аэрозольной упаковке и концентраты, применяемые методом опрыскивания) | 1. Другие виды синантропных мух (каллифориды, саркофагиды, мусциды, дрозофилиды, сциариды и др.) 2. Осы 3. Кровососущие комары эндофильных видов, имаго |
Муха комнатная Musca domestica L имаго | Антимольные средства фумигирующего типа (модельный эксперимент в сосуде 10 л) | Платяная моль Tineola bisselliella (Humm) и другие моли-кератофаги, бабочки (в условно-замкнутом объеме 1 - 2 м3) |
Муха комнатная Musca domestica L имаго | Пищевые приманки | 1. Другие виды синантропных мух (каллифориды, саркофагиды, мусциды, дрозофилиды и др.) 2. Осы имаго |
Муха комнатная Musca domestica L имаго | Липкие ловушки | 1. Платяная моль Tineola bisselliella (Humm) и другие моли-кератофаги, бабочки 2. Огневки - вредители пищевых запасов, бабочки |
Муха комнатная Musca domestica L имаго | Средства в аэрозольной упаковке для летающих насекомых (модельный эксперимент в камере 2 м3) | 1. Другие виды синантропных мух (каллифориды, саркофагиды, мусциды, дрозофилиды, сциариды и др.), имаго, в объеме помещения 2. Кровососущие комары эндофильных видов, имаго, в объеме помещения 3. Платяная моль Tineola bisselliella (Humm), бабочки (в условно-замкнутом объеме 1 - 2 м3 или в объеме помещения) 4. Осы в объеме помещения |
Муха комнатная Musca domestica L имаго | Средства фумигационного типа действия на основе метофлутрина для борьбы с комарами и другими мелкими летающими насекомыми в помещениях (модельный эксперимент в сосуде 10 л) | 1. Кровососущие комары эндофильных видов, имаго 2. Мелкие летающие насекомые (дрозофилиды, сциариды и др.), имаго |
Муха комнатная Musca domestica L имаго | Инсектицидные приманки, ловушки для механического отлова для борьбы с осами | Осы, имаго |
Муха комнатная Musca domestica L личинки | Средства для обработки мест выплода (инсектициды, регуляторы развития насекомых) | 1. Другие виды синантропных мух (каллифориды, саркофагиды, мусциды и др.) 2. Мокрецы (Ceratopogonidae), слепни (Tabanidae) при обработке мест выплода в природных станциях |
Вошь платяная Pediculus humanus humanus L. | Все препаративные формы педикулицидов | 1. Головная вошь Pediculus humanus capitis De Geer 2. Лобковая вошь Phthirus pubis L. |
Кожеед Смирнова Attagenus smirnovi Zhant., личинки | Антимольные средства контактного действия (средства в аэрозольной и беспропеллентной упаковках) | Платяная моль Tineola bisselliella (Humm) и другие моли-кератофаги, гусеницы (при обработке ткани, меха) |
Кожеед Смирнова Attagemis smirnovi Zhant., личинки | Средства молезащитного (антифидантного) действия | Платяная моль Tineola bisselliella (Humm) и другие моли-кератофаги, гусеницы (при обработке ткани, меха) |
Желтолихорадочный комар Aedes aegypti (L.), или Азиатский тигровый комар Aedes albopictus (Skuse), или Подвальный комар Culex pipiens molestus Forsk | Инсектициды, регуляторы развития насекомых (ларвициды, имагоциды) | Другие виды кровососущих комаров сем. Culicidae (p.p. Aedes, Culex, Culiseta, Anopheles и др.) |
Южная амбарная огневка Plodia interpunctella (Hb.), или Мельничная огневка Ephestia kuehniella (Zell.), или Сухофруктовая огневка Cadra cautella (Wlk.) | Липкие ловушки (в т.ч. с феромоном) | Другие виды огневок - вредителей пищевых запасов |
Ушной чесоточный клещ кролика Psoroptes cuniculi (Hering) | Средства контактного действия (в аэрозольной и беспропеллентной аэрозольной упаковке и концентраты, применяемые методом опрыскивания) | Чесоточный клещ человека Sarcoptes scabiei L (дезинсекция помещений в очагах чесотки и МО) |
к Р 4.2.3647-20
ВЫБОР МОДЕЛЬНЫХ ОБЪЕКТОВ ПРИ ОЦЕНКЕ ЭФФЕКТИВНОСТИ СРЕДСТВ
ДЕЗИНСЕКЦИИ ДЛЯ ЗАЩИТЫ ЛЮДЕЙ ОТ НАПАДЕНИЯ ЧЛЕНИСТОНОГИХ,
ОБИТАЮЩИХ В ПРИРОДНЫХ БИОТОПАХ
Целевой объект | Назначение и препаративные формы средств | Модельные объекты |
1 | 2 | 3 |
Репеллентные средства и изделия |
Иксодовый клещ I. persulcatus Sch. как представитель евразийского комплекса I. (I.) ricinus/persulcatus | Репеллентные средства для нанесения на одежду на основе ДЭТА в форме аэрозолей (АУ и БАУ) высшая категория эффективности | Желтолихорадочный комар Aedes aegypti (L.) или азиатский тигровый комар Aedes albopictus (Skuse) |
Иксодовые клещи всех видов других родов: Dermacentor, Haemaphysalis, Rhipicephalus, Hyalomma и т.д. | Любые репеллентные средства | Отсутствуют |
Комары, мокрецы, москиты, входящие в комплекс гнуса на территории Российской Федерации | Репеллентные средства для нанесения на кожу и ткани (любые препаративные формы) все категории эффективности | Желтолихорадочный комар Aedes aegypti (L.) или азиатский тигровый комар Aedes albopictus (Skuse) |
Комары, входящие в комплекс гнуса на территории Российской Федерации | Репеллентные изделия (браслеты, наклейки и т.п.) | Желтолихорадочный комар Aedes aegypti (L.) или азиатский тигровый комар Aedes albopictus (Skuse) |
Мошки, слепни, входящие в комплекс гнуса на территории Российской Федерации | Репеллентные средства для нанесения на кожу и ткани (любые препаративные формы) высшая и первая категории эффективности | Желтолихорадочный комар Aedes aegypti (L.) или азиатский тигровый комар Aedes albopictus (Skuse) |
Блохи разных видов, нападающих на человека | Репеллентные средства на основе ДЭТА для нанесения на кожу и ткани (любые препаративные формы) высшая и первая категории эффективности | Желтолихорадочный комар Aedes aegypti (L.) или азиатский тигровый комар Aedes albopictus (Skuse) |
Репеллентные средства не на основе ДЭТА для нанесения на кожу и ткани (любые препаративные формы) | Крысиная блоха Xenopsylla cheopis (Roth.) |
Инсектоакарицидные (акарицидные) средства для индивидуальной защиты людей |
Иксодовый клещ I. persulcatus Sch. как представитель евразийского комплекса I. (I.) ricinus/persulcatus | Инсектоакарицидные и акарицидно-репеллентные средства для нанесения на одежду в форме аэрозолей (АУ и БАУ) на основе альфациперметрина | Крысиная блоха Xenopsylla cheopis (Roth.) |
Иксодовые клещи других родов (Dermacentor, Haemaphysalis, Rhipicephalus, Hyalomma и т.д.) | Инсектоакарицидные и акарицидно-репеллентные средства на основе любых ДВ для нанесения на одежду в форме аэрозолей (АУ и БАУ) | Отсутствуют |
Блохи разных видов, нападающих на человека | Инсектоакарицидные и акарицидно-репеллентные средства для нанесения на одежду | Крысиная блоха Xenopsylla cheopis (Roth.) |
Инсектоакарицидные (акарицидные) средства для борьбы с иксодовыми клещами |
Иксодовый клещ I. persulcatus Sch. как представитель евразийского комплекса I. (I.) ricinus/persulcatus | Средства для борьбы с иксодовыми клещами, обитающими в природных биотопах (КЭ, СП и др.) | Отсутствуют |
Клещи других родов (Dermacentor, Haemaphysalis, Rhipicephalus, Hyalomma), клещи других видов рода Ixodes | Средства для борьбы с иксодовыми клещами, обитающими в природных биотопах (КЭ, СП и др.) | Таежный клещ I. persulcatus при испытаниях в природных биотопах |
к Р 4.2.3647-20
МОЛЕКУЛЯРНО-ГЕНЕТИЧЕСКИЕ МЕТОДЫ ВЫЯВЛЕНИЯ РЕЗИСТЕНТНЫХ
К ПИРЕТРОИДАМ НАСЕКОМЫХ
1. Метод полимеразной цепной реакции в режиме реального времени для выявления резистентных к перметрину микропопуляций вшей Pediculus humanus.
Подготовка проб. Вшей (по одной особи) помещают в пробирки (тип пробирок зависит от способа гомогенизации материала), которые подписывают водостойким маркером. Добавляют 96%-й этиловый спирт (экспозиция 5 мин), затем отбирают его при помощи медицинского вакуумного отсасывателя с колбой-ловушкой для удаления надосадочной жидкости (например, "ОМ-1"). После этого таким же образом насекомых промывают физиологическим раствором (экспозиция 5 мин). Затем в каждую пробирку добавляют 130 - 180 мкл физиологического раствора в зависимости от размера (стадии развития) вшей и помещают шарик из нержавеющей стали (диаметр 5 мм), который при встряхивании вызывает механическое разрушение и гомогенизацию вшей. Пробирки плотно закрывают и помещают в гомогенизатор на 10 мин. Далее осаждают капли жидкости с крышки, используя вортекс. После чего аккуратно отбирают жидкость и переносят ее в чистую пробирку типа "Eppendorf". Пробирки помещают в микроцентрифугу и центрифугируют в течение 2 мин при 1500 g, затем в новые (чистые) пробирки типа "Eppendorf" отбирают по 100 мкл надосадочной жидкости и используют ее для выделения ДНК.
ДНК выделяют, используя стандартные наборы реактивов, предназначенные для этих целей согласно инструкции по применению. Образцы выделенной ДНК можно хранить при температуре не выше минус 16 °C в течение 1 месяца, не выше минус 68 °C - в течение года и более.
2. ПЦР в режиме реального времени. Реакцию проводят в термоциклере для проведения ПЦР в режиме реального времени с флуоресцентным детектированием продуктов амплификации.
Готовят две смеси: Смесь 1 - ПЦР-смесь-1-FRT: праймер Ped-F: TGGGTCGAACTGTTGGAGCTT, 0,9 пмоль/мкл; праймер Ped-R: CCATAACGGCAAATATGAATATGAT, концентрация в ПЦР-смеси-1, 0,9 пмоль/мкл; зонд Ped-S: FAM-TGGGTAATTTAACATTCGTCCTTTGCC-BQH1, концентрация в ПЦР-смеси-1, 0,25 пмоль/мкл; зонд Ped-R: R6G-TGGGTAATTTAATATTCGTCTTTTGCC-BQH1, 0,25 пмоль/мкл.
Для приготовления реакционной смеси 2 в отдельной стерильной пробирке смешивают из расчета на 1 реакцию: 5 мкл буфера для ПЦР (например, Taq буфер с сульфатом аммония и 20 мМ хлоридом магния (10x) с добавлением по 100 мМ каждого из 4 нуклеозидтрифосфатов) 0,5 мкл Taq-полимеразы. Тщательно перемешивают смесь на вортексе и осаждают капли с крышки пробирки. В пробирки (чипы) для проведения РТ-ПЦР вносят 10 мкл ПЦР-смесь-1-FRT, 5 мкл смеси 2 и 10 мкл исследуемого образца ДНК. Реакцию амплификации проводят в следующем режиме: 95 °C - 15 мин, затем 45 циклов по схеме: 95 °C - 10 с, 60 °C - 20 с.
Детекцию флуоресцентного сигнала проводят по каналам для флуорофоров канал детекции Green (чувствительный аллель) и Yellow (резистентный аллель) при 60 °C. Метод позволяет выявить гомозиготных по резистентному аллелю (RR, Yellow), гетерозиготных (SR, Yellow и Green одновременно) и гомозиготных чувствительных (SS, Green) особей.
Для секвенирования участка гена vssc1, содержащего все три мутации, используют праймеры 5'QSM1-TGTGGCCTTACTTGTATTCGA и 3'QSTILF-TTACCCGTGTAATTTTTTCCA, фланкирующие область, содержащую исследуемые мутации. Программа амплификации состоит из следующих циклов 95 °C - 5 мин - 1 цикл, 95 °C - 10 с, 58 °C - 10 с, 72 °C - 10 с - 42 цикла, 72 °C - 2 мин - 1 цикл.
На основании полученных данных определяют частоту резистентного аллеля (R) в исследуемых микропопуляциях. Частота аллеля равна отношению количества данных аллелей у всех особей к общему количеству аллелей в популяции.
Пример расчета: установлено, что в выборке особи с генотипами SS, RS, RR составляют 20%, 30% и 50% соответственно. Сумма всех аллелей равна 20 x 2 (SS) + 30 x 2 (RS) + 50 x 2 (RR) = 200, сумма резистентных аллелей 50 x 2 (RR) + 60 : 2 (RS) = 130. Частота резистентного аллеля в выборке 130 : 200 = 0,65 (65%).
3. Метод полимеразной цепной реакции для выявления резистентных к пиретроидам популяций постельного клопа Cimex lectularius.
Подготовка проб (гомогенизация). Клопов (по 5 особей) помещают в пробирки (тип пробирок зависит от способа гомогенизации материала) с предварительно добавленным реагентом, которые подписывают водостойким маркером, и растирают тефлоновым пестиком. Инкубируют лизат при комнатной температуре в течение 10 мин, чтобы произошла полная диссоциация нуклеотидных комплексов. Центрифугируют лизат при 12000 g в течение 10 мин для удаления нерастворенных фрагментов. Супернатант переливают в новые пробирки.
Разделение фаз. После добавления хлороформа (0,2 см3 на каждый 1 см3 реагента экстракт РНК, добавленного на этапе гомогенизации) пробирки слегка встряхивают вручную в течение 15 с и инкубируют смесь при комнатной температуре в течение 10 мин, периодически встряхивая пробирки. Затем центрифугируют суспензию при 12000 g при 4 °C в течение 15 мин на центрифуге. При центрифугировании происходит разделение смеси на три фазы: нижнюю органическую фенолхлороформную фазу желтоватого оттенка, интерфазу белого цвета и верхнюю бесцветную водную фазу. Рибонуклеиновая кислота (РНК) находится в водной фазе. Держа пробирку под углом 45°, аккуратно отбирают водную фазу, избегая касания интерфазы или органической фазы. Перемещают водную фазу в новую пробирку.
Выделение РНК. На этом этапе необходимо соблюдать соответствующие меры безопасности, чтобы избежать загрязнения проб РНКазами. Добавляют в водную фазу 0,5 см5 100%-го изопропанола на каждый 1 см3 реагента, использованного для гомогенизации. Инкубируют смесь при комнатной температуре в течение 10 мин. Центрифугируют образец при 12000 g в течение 10 мин при комнатной температуре и тщательно отбирают супернатант, оставив осадок РНК на дне пробирки (осадок может быть невидимым). Аккуратно, по стенке пробирки, добавляют 2 см3 75%-го этанола на каждый 1 см3 изопропанола, использованного ранее, и центрифугируют на максимальной скорости 14000 g в течение 5 мин при комнатной температуре. Удаляют этанол. Высушивают осадок на воздухе в пробирке с открытой крышкой в течение 5 - 7 мин. Растворяют РНК в необходимом объеме свободной от РНКаз воды, перемешивают пипетированием и прогревают при 55 - 60 °C в течение 3 мин для лучшего растворения осадка.
Выделенная РНК может сразу же быть использована. Все дальнейшие работы с препаратом следует вести на льду. Перед длительным использованием препарат рекомендуется распределить на аликвоты и заморозить. Замороженная РНК хранится при температуре -20 °C и ниже в течение 1 года.
4. Синтез комплементарной ДНК (кДНК). Синтез первой цепи кДНК выполняют на матрице мРНК с помощью фермента MMLV ревертазы и гексануклеотидов. Готовят смесь следующих компонентов объемом 9 мкл в стерильной пробирке: 1 - 4 мкл РНК матрицы; 1 мкл Random праймера; 4 - 7 мкл стерильной воды, свободной от РНКаз. Смесь инкубируют при 70 °C в течение 3 мин и охлаждают на льду. Добавляют 11 мкл предварительно подготовленной смеси следующего состава: 2 мкл стерильной воды, свободной от РНКаз; 4 мкл 5x буфер для синтеза первой цепи; 2 мкл смеси дезоксинуклеозида трифосфата (dNTP); 2 мкл дитиотреитола (DTT); 1 мкл MMLV ревертазы.
Инкубируют реакционную смесь в амплификаторе с греющейся крышкой или в сухом термостате 60 мин при 40 °C, для остановки реакции прогревают смесь при 70 °C в течение 10 мин. Образец первой цепи кДНК может храниться до 3 месяцев при минус 20 °C или в течение года при -70 °C.
5.
Постановка полимеразной цепной реакции. Полимеразную цепную реакцию проводят на матрице кДНК на амплификаторе с помощью Taq-полимеразы, используя dNTP и реакционный буфер. Все составляющие взяты из набора для амплификации ДНК
(табл. 1).
Таблица 1
Условия ПЦР амплификации для мутаций I925L и L419V
Этап | Количество циклов | Температура инкубации, C° | Время, min/sec |
I | 1 | 94 | 05:00 |
II | 45 | 94 | 00:20 |
60 для I925 | 00:20 |
64 для L419 | 00:20 |
72 | 00:30 |
III | 1 | 72 | 05:00 |
Состав реакционной смеси: 1 мкл реакционного буфера, 0,8 мкл смеси dNTP, 1 мкл прямого праймера (конечная концентрация в смеси 0,2 мМ), 1 мкл обратного праймера (конечная концентрация в смеси 0,2 мМ), 0,1 мкл Taq-полимеразы, 1 мкл матрицы и вода. Общий объем реакционной смеси составлял 10 мкл.
Структуры и положение праймеров, а также размеры соответствующих ПЦР-фрагментов представлены в
табл. 2. При конструировании праймеров для ПЦР-анализа используют компьютерную программу.
Таблица 2
| Структура праймеров | Размер ПЦР-фрагмента, н.п. |
L419V | Пр. 5'TCCTCCGGTGCTGGACAATGTAAA 3' Обр. 5'CTTCCTCTTCAGCAGCTTCTTC 3' | 305 |
I925L | Пр. 5'TGCCATGAAGTTGATAGCAATG 3' Обр. 5'TCTCCACACAGGACCCTAAAC 3' | 403 |
Агарозный электрофорез. С помощью анализатора гелей визуально оценивают интенсивность свечения полос в 1,2%-м агарозном геле. Окрашивание нуклеиновых кислот производится во время электрофореза путем добавления бромистого этидия в гель.
к Р 4.2.3647-20
ПОКАЗАТЕЛИ ЭФФЕКТИВНОСТИ ДЕРАТИЗАЦИОННЫХ СРЕДСТВ
N п/п | Вид продукции | | Исследуемые показатели | Нормативы |
1 | 2 | 3 | 4 | 5 |
1.1. СРЕДСТВА ОСТРОГО ДЕЙСТВИЯ |
1.1.1. | Концентраты, готовые формы | 939230 238630 380890 | Поедаемость готовой формы или приготовленной стандартной отравленной приманки в присутствии альтернативного корма мышами и крысами, % от суточного рациона | Не менее 10 |
Гибель мышей и крыс, % | Не менее 80 |
Время гибели, сутки | Не более 3 |
1.2. СРЕДСТВА КУМУЛЯТИВНОГО ДЕЙСТВИЯ |
1.2.1. | АНТИКОАГУЛЯНТЫ I ПОКОЛЕНИЯ |
1.2.1.1. | Концентраты, готовые формы | 939230 238630 380890 | Поедаемость готовой формы родентицидов или приготовленной стандартной отравленной приманки (кроме приманок для мышей на основе этилфенацина, зоокумарина, куматетралила) в присутствии альтернативного корма, % от суточного рациона | Не менее 15 |
Поедаемость готовой формы родентицидов или приготовленной стандартной отравленной приманки на основе этилфенацина, зоокумарина, куматетралила в присутствии альтернативного корма, % | Не менее 20 |
Гибель мышей и крыс, % | Не менее 80 |
Время гибели, сутки | Не более 14 |
1.2.2. | АНТИКОАГУЛЯНТЫ II ПОКОЛЕНИЯ |
1.2.2.1. | Концентраты, готовые формы | 939230 238630 380890 | Поедаемость готовой формы родентицидов или приготовленной стандартной отравленной приманки в присутствии альтернативного корма мышами и крысами, % от суточного рациона | Не менее 15 |
Гибель мышей и крыс, % | Не менее 90 |
Время гибели, сутки | Не более 10 |
1.3. СРЕДСТВА СМЕШАННОГО ДЕЙСТВИЯ |
1.3.1. | Готовые формы с витаминами D2 и D3 | 939230 238630 380890 | Поедаемость готовой формы приманки в присутствии альтернативного корма мышами, % от суточного рациона | Не менее 10 |
Гибель мышей, % | Не менее 80 |
Время гибели, сутки | Не более 7 |
1.4. СРЕДСТВА В РАЗНЫХ ФОРМАХ С РОДЕНТИЦИДАМИ И БЕЗ НИХ |
1.4.1. | Липкие родентицидные покрытия | 939230 238630 380890 | Время экспозиции, сутки | Не более 10 |
Гибель мышей и крыс, % | Не менее 80 |
1.4.2. | Физические дератизационные средства: механические и электрические орудия лова и умерщвления однократного и многократного действия клейкие массы и ловушки на их основе | 939230 238630 380890 | Эффективное срабатывание запорного механизма устройства, % | Не менее 80 |
Эффективное удерживание грызунов, % от общего количества грызунов | Не менее 80 |
| |
1.5. РОДЕНТОРЕПЕЛЛЕНТНЫЕ СРЕДСТВА |
1.5.1 | Физические средства (ультразвуковые и электрические устройства) | 939230 238630 380890 | Эффективность отпугивания грызунов: поедаемость корма, % от суточного рациона | Не более 10 |
1.5.2 | Химические средства | | Поедаемость корма с репеллентом в присутствии альтернативного корма грызунами, коэффициент отпугивающего действия (КОД), %: | |
высокое отпугивающее действие | 100 - 90 |
среднее отпугивающее действие | 89 - 80 |
слабое отпугивающее действием | 79 и ниже |
1.5.3. | Химические и физические средства | | Отпугивающее действие преграды к корму в виде мембраны, обработанной репеллентом (в %): | |
- вещество обладает сильным отпугивающим действием, если нет поврежденных мембран | 100 |
- среднее отпугивающее действие, если повреждена только половина мембран | 50 |
- не обладает отпугивающим действием, если все мембраны повреждены | 0 |
1.
СанПиН 1.2.2584-10 "Гигиенические требования к безопасности процессов испытаний, хранения, перевозки, реализации, применения, обезвреживания и утилизации пестицидов и агрохимикатов".
2.
СанПиН 2.1.4.1175-02 "Гигиенические требования к качеству воды нецентрализованного водоснабжения. Санитарная охрана источников".
3.
СанПиН 2.1.2.1188-03 "Плавательные бассейны. Гигиенические требования к устройству, эксплуатации и качеству воды. Контроль качества".
5.
СанПиН 2.2.4/2.1.8.582-96 "Гигиенические требования при работах с источниками воздушного и контактного ультразвука промышленного, медицинского и бытового назначения".
6.
СанПиН 2.1.3.2630-10 "Санитарно-эпидемиологические требования к организациям, осуществляющим медицинскую деятельность".
7.
ГН 2.2.5.3532-18 "Предельно допустимые концентрации (ПДК) вредных веществ в воздухе рабочей зоны".
8. Р 1.2.3156-13 "Оценка токсичности и опасности химических веществ и их смесей для здоровья человека".
9.
Р 2.2.4/2.2.9.2266-07 "Гигиенические требования к условиям труда медицинских работников, выполняющих ультразвуковые исследования".
11.
МУ 1353-76 "Методические указания по гигиенической оценке одежды и обуви из полимерных материалов".
12.
МУ 3.2.974-00 "Малярийные комары и борьба с ними на территории Российской Федерации".
13.
МУ 2.1.5.720-98 "Обоснование гигиенических нормативов химических веществ в воде водных объектов хозяйственно-питьевого и культурно-бытового водопользования".
| | ИС МЕГАНОРМ: примечание. Нумерация пунктов дана в соответствии с официальным текстом документа. | |
14. 10.
МУ 3.5.2.705-98 "Борьба с комарами, выплаживающимися в подвальных помещениях".
15.
МУ 1.1.578-96 "Требования к постановке экспериментальных исследований по обоснованию предельно допустимых концентраций промышленных аллергенов в воздухе рабочей зоны".
16. МУ 15-6/21 "Методические указания по использованию культуры диплоидных клеток человека, рекомендуемых для токсикологогигиенических исследований".
17. ВМУ 28-7/6 "Временные методические указания по изучению токсичности препаратов санитарно-гигиенического и бытового назначения в аэрозольных баллонах".
18.
МР 1.1.0121-18 "Оценка общетоксического действия парфюмерно-косметической продукции методом in vitro (на культуре подвижных клеток".
19.
МР 3.5.0026-11 "Методические рекомендации по оценке эффективности и безопасности специальной одежды для защиты людей от членистоногих, вредящих здоровью человека".
20. МР 24-6/24 "Методические рекомендации по отбору и изучению биологической активности и токсичности репеллентов".
21. Руководство по вирусологическим исследованиям полиомиелита, ВОЗ, Женева, М., 1998.
22.
ГОСТ 2695-83 "Пиломатериалы лиственных пород. Технические условия".
23.
ГОСТ 24404-80 "Изделия из древесины и древесных материалов. Покрытия лакокрасочные. Классификация и обозначения".
26.
ГОСТ 7251-2016 "Линолеум поливинилхлоридный на тканой и нетканой подоснове. Технические условия".
27.
ГОСТ 18108-80 "Линолеум поливинилхлоридный на теплозвукоизолирующей подоснове. Технические условия";
28.
ГОСТ 5632-2014 "Легированные нержавеющие стали и сплавы коррозионно-стойкие, жаростойкие и жаропрочные. Марки".
29.
ГОСТ 23852-79 "Покрытия лакокрасочные. Общие требования к выбору по декоративным свойствам".
30.
ГОСТ Р 50962-96 "Посуда и изделия хозяйственного назначения из пластмасс. Общие технические условия".
31.
ГОСТ 111-2014 "Стекло листовое бесцветное. Технические условия".
34.
ГОСТ 6141-91 "Плитки керамические глазурованные для внутренней облицовки стен. Технические условия".
35.
ГОСТ 6787-2001 "Плитки керамические для полов. Технические условия".
39.
ГОСТ Р 51016-97 "Приборы столовые из углеродистой стали и алюминиевых сплавов. Общие технические условия".
40.
ГОСТ 32583-2013 "Приборы столовые и принадлежности кухонные из коррозионно-стойкой стали. Общие технические условия".
41.
ГОСТ 1770-74 "Посуда мерная лабораторная стеклянная. Цилиндры, мензурки, колбы, пробирки. Общие технические условия".
42.
ГОСТ 29298-2005 "Ткани хлопчатобумажные и смешанные бытовые. Общие технические условия".
43.
ГОСТ 11209-2014 "Ткани для специальной одежды. Общие технические требования. Методы испытаний".
44.
ГОСТ 32085-2013 "Волокна химические (синтетические). Требования безопасности".
45. ГОСТ 15883 "Моюще-дезинфицирующие машины. Часть 4. Требования и методы испытаний аппаратов, использующих химическую дезинфекцию для термолабильных эндоскопов".
46.
ГОСТ Р 12.4.296 "ССБТ. Одежда специальная для защиты от вредных биологических факторов (насекомых и паукообразных) общие технические требования. Методы испытаний".
47. ГОСТ Р 9.804 "Единая система защиты от коррозии и старения. Изделия и материалы. Методы лабораторных испытаний на стойкость к повреждению грызунами".
48.
ГОСТ Р 57164 "Вода питьевая. Методы определения запаха, вкуса и мутности".
49.
ГОСТ Р 57473 "Дезинфектология и дезинфекционная деятельность. Правила проведения испытаний дезинфекционных средств на добровольцах".
50.
ГОСТ 12.1.007 "Система стандартов безопасности труда. Вредные вещества. Классификация и общие требования безопасности".
51.
ГОСТ 32419 "Классификация опасности химической продукции. Общие требования".
52.
ГОСТ 32419-2013 "Классификация опасности химической продукции. Общие требования".
53.
ГОСТ Р 56998 "Химические дезинфицирующие средства и антисептики. Средства для обеззараживания воды нецентрализованных систем питьевого водоснабжения. Показатели токсичности и опасности".
54.
ГОСТ Р 56996 "Химические дезинфицирующие средства и антисептики. Средства для обеззараживания воды плавательных бассейнов. Показатели токсичности и опасности".
55.
ГОСТ 12.1.005 "Система стандартов безопасности труда. Общие санитарно-гигиенические требования к воздуху рабочей зоны".
56. Упрощенный вариант по книге Ворошиловой М.К., Жевандеровой В.И., Балаяна М.С. Методы лабораторной диагностики энтеровирусных инфекций. М.: Медицина, 1964. С. 127 - 129.
57. Reed L.J., Muench H.A. A simple method of estimating 50% endpoints. Am. J. Hyd., 1938, 27, 493 - 497.