Главная // Актуальные документы // МетодикаСПРАВКА
Источник публикации
М.: Стройиздат, 1982
Примечание к документу
Название документа
"Руководство по обеспечению долговечности железобетонных конструкций предприятий черной металлургии при их реконструкции и восстановлении"
"Руководство по обеспечению долговечности железобетонных конструкций предприятий черной металлургии при их реконструкции и восстановлении"
ПО ОБЕСПЕЧЕНИЮ ДОЛГОВЕЧНОСТИ ЖЕЛЕЗОБЕТОННЫХ КОНСТРУКЦИЙ
ПРЕДПРИЯТИЙ ЧЕРНОЙ МЕТАЛЛУРГИИ ПРИ ИХ РЕКОНСТРУКЦИИ
И ВОССТАНОВЛЕНИИ
Рекомендовано к изданию решением ученого совета Харьковского Промстройниипроекта.
Приведена методика оценки степени физического износа эксплуатируемых железобетонных конструкций.
Описана методика оценки ожидаемого срока службы до выбранного предельного состояния по долговечности как усиленных (восстановленных), так и сохраняемых без усиления конструкций при характерных для зданий и сооружений рассматриваемой отрасли эксплуатационных воздействиях.
Рассмотрены способы и приемы повышения долговечности сохраняемых и усиливаемых железобетонных конструкций с учетом особенностей выполнения работ в стесненных условиях.
Для инженерно-технических работников проектных и строительных организаций, а также специалистов, занятых в области эксплуатации промышленных зданий и сооружений.
В соответствии с "Основными направлениями экономического и социального развития СССР на 1981 - 1985 годы и на период до 1990 года" вопросам повышения долговечности и износостойкости железобетонных конструкций уделяется большое внимание.
Настоящее Руководство разработано к "Указаниям по строительному проектированию предприятий, зданий и сооружений черной металлургии. СН 125-72" и к главе
СНиП II-28-73* "Защита строительных конструкций от коррозии". Оно содержит комплекс рекомендаций, вытекающих из необходимости учета при реконструкции и восстановлении фактического состояния железобетонных конструкций к моменту производства строительных работ, сроков службы сохраняемых элементов зданий и сооружений, выполнения противокоррозионной защиты уже эксплуатировавшихся конструкций и других специфических факторов.
Руководство разработано Харьковским Промстройниипроектом (кандидаты техн. наук Ю.Д. Кузнецов, И.Н. Заславский, Л.Б. Фридган, В.Л. Чернявский, В.Я. Флакс, В.Ю. Дубницкий, В.В. Савенков, Е.А. Рабинович, В.И. Петров, Л.А. Гелис, Э.Н. Кутовой, З.В. Серкова, И.Г. Черкасский; инженеры: С.Д. Соцкова, З.И. Барч, А.В. Палей, С.П. Манько, В.П. Почепко, Л.А. Чаплыгин) и НИИЖБом (доктора техн. наук С.Н. Алексеев, Ф.М. Иванов, В.А. Клевцов, Б.А. Крылов, кандидаты техн. наук Е.А. Гузеев, В.Г. Батраков, Н.К. Розенталь, В.М. Борисенко, А.М. Подвальный, М.Б. Краковский, Б.Н. Мизернюк) при участии: Донецкого Промстройниипроекта (канд. техн. наук Ю.П. Чернышев, инженеры И.И. Ожиганов, С.Я. Хомутченко), Харьковского инженерно-строительного института (доктор техн. наук В.И. Бабушкин, канд. техн. наук А.Л. Шагин, инж. Л.А. Черкалина), Харьковского института инженеров коммунального строительства (кандидаты техн. наук Л.Н. Шутенко, М.С. Золотов, инженер Р.А. Спиранде), Криворожского горнорудного института (инженеры Н.А. Гальченко, Л.П. Дерябкина, кандидаты геолого-минералогических наук Р.В. Попов, А.А. Титлянов), треста Укрметаллургремонт (инженеры В.Г. Урчукин, Ю.Ф. Садовой, И.Д. Бейдер, В.Ф. Цуканов).
1.1. Руководство рекомендуется использовать при выявлении остаточной несущей способности и пригодности железобетонных элементов к дальнейшей эксплуатации, при проектировании и выполнении мероприятий по обеспечению расчетного срока службы железобетонных элементов в процессе реконструкции или восстановления зданий и сооружений предприятий черной металлургии, а также зданий и сооружений отраслей со сходными условиями эксплуатации (машиностроение, энергетика и др.). Методические рекомендации, содержащиеся в Руководстве, могут использоваться при проведении соответствующих работ на объектах других отраслей промышленности.
1.2. Нормативные сроки службы зданий и сооружений отрасли и периодичность капитальных ремонтов строительных конструкций в зависимости от типа, назначения, конструктивных особенностей и степени агрессивности эксплуатационных воздействий принимаются в соответствии с "Руководством по определению экономической эффективности повышения качества и долговечности строительных конструкций" (
прил. 1 и
4) (НИИЖБ Госстроя СССР, М., Стройиздат, 1981).
1.3. В процессе реконструкции промышленного объекта эксплуатировавшиеся железобетонные элементы могут полностью или частично удаляться, сохраняться в прежнем виде или наращиваться, подвергаться усилению и т.д.
Для обеспечения долговечности комплексных конструкций, включающих старую и новую части после их реконструкции или восстановления, существенно важно ликвидировать повреждения, имевшиеся в сохраняемом бетоне, свести к минимуму повреждения в сохраняемом бетоне в процессе разрушения удаляемого бетона, предотвратить образование трещин недопустимого раскрытия в "новом" бетоне, нарушение контакта старого и нового бетонов, правильно выбрать способ антикоррозионной защиты элементов.
Это достигается выполнением ряда мероприятий на всех этапах реконструкции или восстановления железобетонных конструкций: обследования состояния существующих элементов, проектирования восстановления или усиления и антикоррозионной защиты, производства общестроительных и антикоррозионных работ в соответствии с действующими нормативными документами и настоящим Руководством.
1.4. Особенностью проектирования реконструкции и восстановления железобетонных конструкций является необходимость учета их фактического состояния (степени износа). Последнее устанавливается путем обследований, направленных на выявление остаточной несущей способности и пригодности конструкций к дальнейшей эксплуатации.
Целью обследований является определение исходных данных, необходимых для выполнения проекта восстановления, усиления и реконструкции. Эти данные передаются заказчиком проектной организации вместе с заданием на проектирование в соответствии с
п. 3.5 "Инструкции по разработке проектов и смет для промышленного строительства. СН 202-81" (М., Стройиздат, 1982).
Обследования подразделяются на общие (предварительные) и детальные (инструментальные). Оценка коррозионного состояния железобетонных элементов выполняется в процессе общих и детальных обследований и является их составной частью.
1.5. При демонтаже оборудования в процессе реконструкции следует принимать меры для защиты фундаментов и других конструктивных элементов от попадания на них агрессивных технологических растворов, эмульсий, нефтепродуктов и др., скопившихся в трубах, емкостях и т.п.
1.6. Наблюдение за несущими и ограждающими строительными конструкциями и поддержание их в работоспособном состоянии, а также обеспечение заданного режима эксплуатации технологического оборудования с точки зрения влияния эксплуатационных воздействий на долговечность строительных конструкций осуществляется после реконструкции или восстановления в соответствии с Руководством по эксплуатации строительных конструкций производственных зданий промышленных предприятий (ЦНИИпромзданий Госстроя СССР, М., Стройиздат, 1981) и действующими нормативными документами.
1.7. Оценка экономической эффективности принятых способов обеспечения долговечности железобетонных конструкций при их реконструкции или восстановлении производится в соответствии с
Руководством по определению экономической эффективности повышения качества и долговечности строительных конструкций (НИИЖБ Госстроя СССР, М., Стройиздат, 1981).
2. ОЦЕНКА ТЕХНИЧЕСКОГО СОСТОЯНИЯ ЖЕЛЕЗОБЕТОННЫХ КОНСТРУКЦИЙ,
ПОДЛЕЖАЩИХ РЕКОНСТРУКЦИИ И ВОССТАНОВЛЕНИЮ
Выполнение общих (предварительных) обследований
2.1. В процессе общих обследований устанавливают:
а) степень и площадь повреждений защитных покрытий, гидроизоляции, кровли, полов;
б) изменение цвета, наличие раковин и отколов в бетоне, нарушение сцепления арматуры с бетоном (простукиванием);
в) смещение закладных деталей; деформации соединительных элементов и нарушение сплошности узлов сопряжения конструкций;
г) несоосность арматурных выпусков и соединительных элементов;
д) несоответствие площадок опирания сборных элементов проектным размерам;
е) наличие мокрых и масляных пятен, высолов, шелушения или выпучивания бетона, участков оголения арматуры, трещин вдоль арматуры, коррозии арматуры и закладных деталей;
ж) наличие вертикальных и наклонных трещин, заметных на глаз прогибов изгибаемых и внецентренно сжатых элементов;
з) ориентировочную прочность бетона;
и) глубину нейтрализации бетона (абсолютная и по отношению к толщине защитного слоя).
2.2. На основании общих обследований производится оценка технического состояния железобетонных конструкций (в соответствии с табл. 1), намечаются участки для детального обследования, состав и объем подготовительных работ (изготовление подмостей, очистка элементов, устройство дополнительного освещения и т.п.), составляется программа детальных обследований и в случае необходимости дополнительных специальных работ (замеры динамических характеристик, геодезическая съемка и др.), устанавливается (ориентировочно) объем восстановительных работ, принимается решение о необходимости выполнения страховочных мероприятий и т.д.
Категория состояния конструкции | Детальные признаки |
I | |
Отсутствуют видимые дефекты и повреждения, свидетельствующие о снижении несущей способности и эксплуатационной пригодности конструкций. Необходимости в ремонтно-восстановительных работах на момент обследования нет | На поверхности бетона видимых дефектов и повреждений нет или имеются отдельные раковины, выбоины, волосные трещины. Антикоррозионная защита закладных деталей не нарушена, поверхность арматуры при вскрытии чистая. Глубина нейтрализации бетона не превышает половины толщины защитного слоя. Ориентировочная прочность бетона не ниже проектной. Антикоррозионная защита конструкций не имеет нарушений сплошности |
II | |
Отсутствуют видимые дефекты и повреждения, свидетельствующие о снижении несущей способности и эксплуатационной пригодности конструкции. Защитные свойства бетона по отношению к арматуре на отдельных участках исчерпаны; требуется их восстановление, устройство и восстановление гидроизоляции и антикоррозионной защиты | Антикоррозионная защита железобетонных элементов имеет частичные повреждения, на отдельных участках мокрые или масляные пятна, высолы. На отдельных участках в местах с малой величиной защитного слоя проступают следы коррозии распределительной арматуры или хомутов, коррозия рабочей арматуры отдельными точками и пятнами, язв и пластинок ржавчины нет. Антикоррозионная защита закладных деталей не нарушена. Глубина нейтрализации бетона не превышает толщины защитного слоя. Изменен цвет бетона вследствие пересушивания, местами отслоение бетона при простукивании. Шелушение граней и ребер конструкций, подвергавшихся замораживанию. Ориентировочная прочность бетона не ниже проектной |
III | |
Существуют повреждения, свидетельствующие о снижении несущей способности и эксплуатационной пригодности конструкции, но на момент обследования не угрожающие безопасности работающих и обрушению. Требуется усиление | Пластинчатая ржавчина на стержнях оголенной арматуры в зоне продольных трещин или на закладных деталях. Трещины в растянутой зоне бетона, превышающие их допустимое раскрытие (в элементах ферм). Бетон в растянутой зоне на глубине защитного слоя между стержнями арматуры легко крошится. Снижение ориентировочной прочности бетона в сжатой зоне изгибаемых элементов до 30% и в остальных случаях до 20%. Провисание отдельных стержней распределительной арматуры (на горячих участках), выпучивание хомутов, разрыв отдельных из них, за исключением хомутов сжатых элементов ферм, вследствие коррозии стали (при отсутствии в этой зоне трещин). Уменьшенная против требований норм и проекта площадь опирания сборных элементов (см. прил. 1). Высокая водо- и воздухопроницаемость стыков стеновых панелей |
| |
Существуют повреждения, свидетельствующие об опасности пребывания людей в районе обследуемых конструкций. Требуются немедленные страховочные мероприятия: ограничение нагрузок (недопущение складирования материалов, деталей и т.п., ограничение грузоподъемности кранов и их сближения); устройство предохранительных сеток и т.п. | Дефекты в средних пролетах многопролетных балок и плит; разрыв хомутов в зоне наклонной трещины; разрывы отдельных стержней арматуры в растянутой зоне; выпучивание арматуры в сжатой зоне; раздробление бетона, выкрошивание крупного заполнителя в сжатой зоне. Трещины, аналогичные приведенным в примерах прил. 1. Уменьшенная против требований норм и проекта площадь опирания сборных элементов (см. примечание 1) |
| |
Существуют повреждения, свидетельствующие о возможности обрушения конструкции. Требуется немедленная разгрузка конструкции и устройство временных креплений (стоек, подпорок, накладок и др.) | Трещины, в том числе пересекающие опорную зону и зону анкеровки растянутой арматуры (см. прил. 1); "хлопающие" трещины в конструкциях, испытывающих знакопеременные воздействия (вызывающие сминание бетона и др.); отход анкеров от пластин закладных деталей из-за коррозии стали в сварных швах или других причин; деформация закладных и соединительных элементов; расстройство стыков сборных элементов с взаимным смещением последних; смещение опор; значительные (более 1/ 50 пролета) прогибы изгибаемых элементов при наличии трещин в растянутой зоне с раскрытием более 0,5 мм; разрыв хомутов сжатых элементов ферм; разрыв хомутов в зоне наклонной трещины; разрыв отдельных стержней рабочей арматуры в растянутой зоне, выпучивание арматуры в сжатой зоне; раздробление бетона и выкрошивание заполнителя в сжатой зоне. Уменьшенная против требований норм и проекта площадь опирания сборных элементов (см. примечание 1). |
Примечания: 1. При уменьшенной против требований норм и проекта площади опирания сборных элементов необходимо провести ориентировочный расчет опорного элемента на срез и смятие бетона. В расчете учитываются фактические нагрузки и средняя прочность бетона, определенная в соответствии с рекомендациями
табл. 3 и
п. 2.18 настоящего Руководства. При коэффициенте запаса
Kз <= 1,3 принимается V категория состояния; при коэффициенте запаса 1,3 <
Kз <= 1,6 принимается IV категория состояния; при коэффициенте запаса
Kз > 1,6 принимается III категория состояния.
2. Для отнесения конструкции к перечисленным в таблице категориям состояния достаточно наличия хотя бы одного признака, характеризующего эту категорию.
3. Отнесение обследуемой конструкции к той или иной категории состояния при наличии признаков, не отмеченных в таблице, в сложных и ответственных случаях, особенно связанных с остановкой производства, должно производиться на основе анализа напряженно-деформированного состояния конструкций или группы взаимосвязанных конструктивных элементов и детальных обследований, выполняемых специализированными организациями.
2.3. Общие обследования существующих конструкций должны проводиться представителями проектных институтов, выполняющих проекты реконструкции или восстановления, совместно с представителями предприятий (цеха, служб главного архитектора, смотрителя зданий и др.) с привлечением для сложных и ответственных случаев специализированных научно-исследовательских подразделений.
Рекомендуется привлекать к проведению обследования представителей подрядных и субподрядных организаций для оперативного решения вопросов, связанных с выбором методов производства общестроительных и специальных работ, применением определенных материалов и механизмов, установлением объема и очередности работ, с тем чтобы в проекте нашли отражение согласованные технические решения.
2.4. Работам по обследованию железобетонных конструкций предшествует детальное изучение проектно-технической документации: рабочих чертежей, расчетных схем, исходных данных и результатов статических расчетов, документов о проведении дополнительных строительных работ в период эксплуатации, замене арматуры в процессе строительства и т.п., журналов авторского надзора, актов скрытых работ, актов и протоколов сдачи-приемки объекта; данных геодезической съемки, нивелировки; протоколов испытаний контрольных образцов бетона; паспортов на производственные здания и сооружения, технических журналов по эксплуатации зданий и сооружений, актов обследования, данных о выполнявшихся ремонтах, материалов инженерно-геологических изысканий (литологического разреза, характеристик грунтов, гидрогеологического режима и т.п.). Кроме того, участники работ по обследованию должны детально ознакомиться с особенностями технологического процесса на каждом участке, характером эксплуатационных нагрузок и воздействий на строительные конструкции и их ожидаемым изменением после реконструкции, степенью агрессивности грунтовых вод.
При проведении обследований в условиях действующих предприятий лица, выполняющие обследования, должны быть проинструктированы о специальных правилах техники безопасности, действующих на данном объекте. При проведении обследований конструкций, состояние которых может быть охарактеризовано как аварийное (
состояние IV и
V, табл. 1), необходимо предусмотреть меры, обеспечивающие безопасность лиц, выполняющих работы, путем применения страховочных подмостей, временных креплений и т.п.
Все указания в ходе обследования должны поступать только от руководителя работы.
К проведению обследований допускаются лица, упомянутые в специальном письменном распоряжении главного инженера предприятия.
2.5. При проведении общих обследований объект (цех, сооружение) разбивается на зоны (участки) по следующим основным признакам:
а) виду конструкций (фундаменты, монолитное перекрытие, покрытие из сборных панелей и т.д.);
б) особенностям эксплуатации (над источниками теплоизлучения, вблизи источников увлажнения, проливов технологических растворов, расположения вытяжных зонтов, подкрановых конструкций с кранами различного режима работы и т.д.).
Общая площадь одной зоны обследования, как правило, не должна превышать 1000 м2. В пределах каждой зоны фиксируются участки с различным состоянием конструкций.
2.6. К наиболее характерным дефектам и повреждениям бетонных и железобетонных конструкций, подлежащих выявлению при обследовании, относятся:
дефекты, связанные с недостатками проекта, - несоответствие расчетной схемы действительным условиям работы, отклонения от норм и др.;
дефекты изготовления или возведения - отклонения от проектных геометрических размеров, снижение прочности и плотности бетона по сравнению с проектными, нарушение армирования и смещение закладных деталей, недостаточная толщина защитного слоя бетона, наличие раковин, каверн, трещин; отсутствие отбортовки технологических отверстий; отсутствие или некачественное выполнение антикоррозионной защиты, футеровок, экранов, гидроизоляции и т.д.;
дефекты монтажа сборных конструкций - смещение от проектного положения, недостаточная площадь опирания, неточная подгонка узлов сопряжения, низкое качество монтажных соединений и последующей их заделки, некачественное выполнение сварных соединений, механические повреждения в виде трещин и сколов бетона;
повреждения от агрессивного воздействия производственной среды - растрескивание или шелушение растворной части, нарушение ее связи с крупным заполнителем бетона, снижение прочности бетона, появление на поверхности бетона высолов, масляных пятен и т.п.; образование трещин в бетоне вдоль арматурных стержней и в местах стальных соединений, их коррозия, нарушение защитных слоев бетона;
механические повреждения от нарушения правил эксплуатации - пробивка отверстий, проемов с обнажением и вырезкой арматуры и механическим повреждением бетона, обнажение арматуры для крепления оборудования, образование трещин и сколов бетона от ударов при перемещении грузов и при работе оборудования;
повреждения от не предусмотренных проектом статических и динамических силовых воздействий - развитие чрезмерных деформаций (прогибов), трещин, как правило, поперечных и наклонных в изгибаемых, внецентренно-сжатых, внецентренно-растянутых и растянутых элементах, продольных и наклонных - в сжатых элементах.
2.7. Состояние антикоррозионных покрытий оценивается визуально согласно
ГОСТ 6992-68 "Покрытия лакокрасочные. Методы определения устойчивости покрытия в атмосферных условиях". При этом фиксируются следующие основные виды повреждений:
потеря блеска с изменением цвета в результате фотохимических процессов;
белесоватость;
грязеудержание и мыление - начало разрушения;
выветривание и растрескивание;
сыпь, пузыри, отслаивание - следствие процесса коррозии под покрытием.
При обследовании футеровок и облицовок фиксируют их отклонение от вертикали, сплошность и прочность швов кладки, места выпадения отдельных кирпичей или плиток, шелушение или выкрошивание кирпичей и т.д.
При обследовании тепловых экранов обращают внимание на состояние их креплений к несущим элементам, коробление листов и степень их коррозии.
В полах отмечают наличие провалов, вздутий, выбоин.
При оценке состояния гидро- и пароизоляции фиксируют нарушение ее сплошности, коробление, вздутие, отслоение, наличие трещин и т.д.
2.8. Общее техническое состояние железобетонных конструкций оценивается в соответствии с данными
табл. 1 и фиксируется в табличной форме или в виде карты дефектов и повреждений в соответствии с табл. 2 (методика ОРГРЭС Минэнерго СССР).
Таблица 2
Условное обозначение дефекта или повреждения | Характеристика дефекта или повреждения |
| Следы фильтрации воды, подтеки конденсата без признаков выщелачивания. Масляные пятна |
| Следы фильтрации воды и отложения солей; сталактиты |
| Дефектный шов между сварными элементами (вертикальный или горизонтальный), незаполненные пустоты, выкрошивание бетона и т.п. Поврежденный коррозией сварной шов |
| Арматура на поверхности бетона или следы ржавчины из-за малой величины защитного слоя (дефект изготовления), количество стержней (в одном или двух направлениях) и длина участка |
| Арматура на поверхности бетона. Выгиб или выпучивание отдельных стержней |
| Поверхностные разрушения бетона (на глубину менее защитного слоя) - шелушение, отслаивание лещадками и т.п. |
| Отсутствие защитного слоя бетона. Количество оголенных стержней и длина участка. Средняя глубина повреждения бетона на участке (в скобках) |
| Разрушение плиты, стены на всю толщину |
| Волосные трещины |
| Трещина, средняя ширина раскрытия в мм |
| Крупнопористый бетон, недостаточно провибрированный в процессе строительства или с малым количеством вяжущего, участки с пониженной прочностью бетона |
| Участки нарушенных антикоррозионных покрытий (П), гидроизоляции (Г), футеровки (Ф) |
| Нарушение защитных покрытий закладных деталей (в процентах от общей площади) |
| Коррозия стали закладной детали (глубина в мм и площадь поражения) |
Примечание. Цифрами указаны размеры поврежденных участков в мм.
Некоторые характерные виды трещин и оценка их значения приведены в
прил. 1. Причины, вызвавшие появление дефектов и повреждений, уточняются поверочными расчетами на основе анализа действительной расчетной схемы конструкций, нагрузок, условий эксплуатации, сопоставления с картиной трещинообразования на соседних участках и др.
2.9. Для непосредственного доступа к конструкциям могут использоваться лестницы, стремянки, подмости, леса, передвижные вышки, телескопические автовышки, мостовые краны, подмости, специально устанавливаемые на мостовом кране или на его тележке. Все приспособления, используемые для обследования, должны отвечать требованиям техники безопасности. Удобство доступа к конструкциям существенно влияет на сроки выполнения и качество обследования, поэтому подготовительные работы должны выполняться в полном намеченном объеме и качественно.
Если в процессе визуального осмотра непосредственный доступ к конструкциям затруднен, целесообразно использовать полевой бинокль с 8 - 12-кратным увеличением, который при хорошем освещении позволяет с расстояния 6 - 8 м выявить наличие трещин шириной раскрытия 0,2 - 0,3 мм.
Перед обследованием железобетонные конструкции должны быть очищены от грязи, пыли, штукатурки, свежей покраски и пр. Пыль должна очищаться сжатым воздухом (не водой, которая может замыть трещины).
2.10. При состоянии несущих конструкций, характеризуемых III, IV или V категорией, необходимо дать указание об ограничении нагрузки или о полной разгрузке конструкции, а также в случае необходимости срочно выполнить надежные страховочные крепления по специальному, разработанному в срочном порядке проекту, утвержденному главным инженером предприятия.
Основным средством временного крепления поврежденных балок и ферм являются подпорки, накладки и др., предохраняющие от нарастания деформаций и обрушения. Временные стойки могут выполняться из бревен, брусьев, прокатных профилей и т.п. При высоте над уровнем пола более 6 - 7 м рекомендуется использовать башенные подпорки. Передача нагрузок на стойки производится при помощи подкладок с обязательной подклинкой под низ стоек или между стойкой и подпираемой конструкцией (для башенных подпорок).
Для предупреждения выворачивания подпираемых ферм из вертикальной плоскости желательно подводить временные стойки под узлы верхнего пояса. Если установить такие подпорки затруднительно, допускается подвести их под узлы нижнего пояса, но в этом случае необходимо проверить элементы решетки на возможные изменения в них усилий по величине и знаку.
Накладки могут выполняться металлическими или деревянными.
Временные подпорки в дальнейшем рекомендуется использовать для устройства подмостей при детальном обследовании и выполнении работ по восстановлению, усилению и защите конструкций.
2.11. В процессе общих обследований производится ориентировочная оценка прочности бетона. Рекомендуется уже на данной стадии обследований определение прочности поверхностных слоев бетона железобетонных конструкций производить методом пластической деформации с помощью эталонного молотка Н.П. Кашкарова, в соответствии с
ГОСТ 22690.2-77, или аналогичных инструментов (молотка И.А. Физделя и др.). В случае отсутствия указанных инструментов допускается прочность бетона ориентировочно оценивать по следам, оставленным на зачищенной и выровненной поверхности элемента от удара средней силы слесарным молотком массой 400 - 800 г по бетону или зубилу, установленному заостренным концом перпендикулярно поверхности бетона в соответствии с табл. 3. Прочность оценивается по минимальным значениям после 10 ударов с учетом примечания к табл. 3.
Результаты одного удара средней силы молотком массой 0,4 - 0,8 кг | Примерная прочность бетона, МПа (кгс/см2) |
непосредственно по поверхности бетона | по зубилу, установленному жалом на бетон |
На поверхности бетона остается слабо заметный след, при ударе по ребру откалывается тонкая лещадка | Неглубокий след, лещадки не откалываются | |
На поверхности бетона остается заметный след, вокруг которого могут откалываться тонкие лещадки | От поверхности бетона откалываются острые лещадки | |
Бетон крошится и осыпается; при ударе по ребру откалываются большие куски | Зубило проникает в бетон на глубину до 5 мм, бетон крошится | 10 - 7 (100 - 70) |
Остается глубокий след | Зубило забивается в бетон на глубину более 5 мм | Менее 7 (менее 70) |
--------------------------------
<*> Прочность бетона уточняется по результатам осмотра образца, отколотого от рассматриваемой конструкции. Размеры образца должны быть такими, чтобы в нем содержались частицы крупного заполнителя (не менее 3). Если скол произошел по телу заполнителя из изверженных пород (гранит и т.п.), прочность бетона составляет 20 МПа (200 кгс/см
2) и более; если скол произошел по телу заполнителя из осадочных пород (известняк и т.п.), прочность бетона составляет 15 - 20 МПа (150 - 200 кгс/см
2); если скол произошел по поверхности контакта крупного заполнителя и раствора и зерна щебня легко извлекаются из образца, прочность бетона рекомендуется принимать: при определенной по замерам следов на поверхности бетона прочности более 20 МПа (200 кгс/см
2) - 15 МПа (150 кгс/см
2); при прочности соответственно 20 - 10 МПа (200 - 100 кгс/см
2) - 10 МПа (100 кгс/см
2).
Наибольшая эффективность определения прочности поверхностных слоев бетона достигается в том случае, когда удар произведен по растворному участку бетона.
Прочность бетона в первую очередь следует определять в тех элементах и на тех участках, где, согласно схеме работы конструкции, прочность бетона имеет наибольшее значение - опорные участки и сжатая зона балок, зоны анкеровки арматуры, сжатые элементы ферм, колонн и т.д.
Если поверхностный слой бетона пересушен (в зоне расположения тепловых агрегатов, транспортировки горячего металла, шлака и др.), то от лунок при ударе шариковым молотком идут радиальные трещины, а при ударе обушком раствор крошится. Глубину пересушенного или замороженного бетона можно ориентировочно определить при помощи тонкого зубила или шила. Раствор прочностью менее 10 МПа (100 кгс/см2) под зубилом осыпается, и острые предметы (шило, гвозди) забиваются в него сравнительно легко. При прочности же бетона порядка 20 МПа (200 кгс/см2) и более бетон под зубилом откалывается лещадками.
При простукивании следует обращать внимание на звук: неплотный бетон издает глухой звук, а при наличии отслоений - дребезжащий. При плотном бетоне звук звонкий.
Выполнение детальных (инструментальных) обследований
2.12. Детальные обследования проводятся с целью уточнения исходных данных, необходимых для выполнения полного комплекса расчетов бетонных и железобетонных конструкций реконструируемых и восстанавливаемых объектов.
В процессе детальных обследований устанавливают: прочность бетона (нормативное сопротивление сжатию); проницаемость бетона; величину защитного слоя бетона; однородность и сплошность бетона; вид, степень и глубину коррозии бетона (карбонизация, сульфатизация, проникание хлоридов и т.д., химический состав связанных цементным камнем агрессивных веществ); ширину раскрытия трещин в бетоне; вид и физико-механические свойства арматуры; вид и степень коррозии арматуры; коррозию стальных элементов и сварных швов узловых соединений; величину прогиба элемента; фактические нагрузки и эксплуатационные воздействия.
Результаты испытаний оформляют соответствующими актами, на основании которых уточняется оценка состояния конструкций (см.
табл. 7).
2.13. В процессе обследования отбирают образцы бетона и стали для проведения физико-механических и физико-химических исследований в лабораторных условиях. Для оценки степени агрессивных воздействий отбираются также пробы грунтов, грунтовых вод, пыли, технической воды, натечных образований и др.
Количество образцов бетона, отбираемых для дальнейших исследований, должно составлять не менее 3 из каждой зоны обследования (см.
п. 2.5). Кроме того, дополнительно отбираются образцы (не менее 3) на участках, где состояние конструкций отличается от состояния основной массы однотипных элементов. Если по результатам определения прочности, глубины нейтрализации и т.д. показатели, установленные на основе испытаний трех образцов одной партии, отличаются между собой более чем на 30%, из конструкций этой зоны дополнительно отбирается не менее 6 образцов.
Количество образцов арматурной стали, отбираемых для лабораторных исследований, должно составлять не менее 2 для каждого класса арматуры, примененного при строительстве объекта вне зависимости от зон обследования. Правила установления класса арматуры и отбора образцов приведены в
пп. 2.33 -
2.35. Отбор образцов грунта производится в соответствии с правилами, изложенными в
прил. 2 настоящего Руководства.
Пробы материалов, необходимых для установления степени агрессивности эксплуатационных воздействий, отбираются по указаниям заводской лаборатории или специализированных организаций.
2.14. Отбор образцов бетона из существующих конструкций производят выпиливанием или высверливанием (бурением)
<1>. Для выпиливания (высверливания) образцов преимущественно выбираются участки конструкции без арматуры. Если это невозможно, то при отборе образцов должны обеспечиваться следующие условия:
а) несущая способность конструкции в результате отбора образцов бетона и арматуры не должна уменьшаться, если конструкция продолжает эксплуатироваться до реконструкции, или должно быть предусмотрено усиление (восстановление) в процессе отбора образцов приваркой к арматуре равнопрочных накладок и обетонированием;
б) арматура в образце должна располагаться перпендикулярно к действию нагрузки при испытании на сжатие, параллельно - при испытании на изгиб; испытывать на раскалывание образцы с арматурой не допускается. Маркировка образцов производится на той поверхности, откуда начато сверление или выпиливание.
--------------------------------
<1> Способы и правила отбора образцов бетона из эксплуатировавшихся конструкций и испытаний отобранных образцов подробно изложены в справочном пособии: Лещинский М.Ю. Испытание бетона. М., Стройиздат, 1980.
Вскрытие предварительно-напряженной арматуры можно допускать только в том случае, если эксплуатационные нагрузки погасили или существенно ослабили усилия обжатия бетона, созданные предварительным напряжением, о чем, в частности, может свидетельствовать появление поперечных трещин в зоне расположения предварительно-напряженной арматуры.
Отбор образцов следует производить при положительной температуре.
| | ИС МЕГАНОРМ: примечание. Взамен ГОСТ 22904-78 с 1 января 1995 года Межгосударственной научно-технической комиссией по стандартизации и техническому нормированию в строительстве (МНТКС) 10 ноября 1993 года принят ГОСТ 22904-93. | |
2.15. Для проверки фактического армирования и толщины защитного слоя бетона железобетонных конструкций рекомендуется применять магнитный метод по ГОСТ 22904-78 или методы просвечивания и ионизирующих излучений по ГОСТ 17623-78, произведя выборочную контрольную проверку получаемых результатов путем пробивки борозд и производства непосредственных измерений. При расстоянии между стержнями менее 60 мм использование приборов типа ИЗС для определения величины защитного слоя и диаметра арматуры нецелесообразно.
Количество арматуры в колоннах устанавливают устройством четырех поперечных борозд по граням колонн на разных (не ближе 500 мм) уровнях. При определении фактического армирования сжатых элементов следует снять или уменьшить временную нагрузку на основании предварительного поверочного расчета.
2.16. Степень коррозии арматуры оценивается комплексом характеристик, включающих:
а) характер (сплошная, язвенная, пятнами, тонким налетом, слоистая) цвет и плотность продуктов коррозии;
б) площадь поражения поверхности (в процентах общей вскрытой поверхности);
в) глубину коррозионных поражений. Она определяется при относительно равномерной коррозии разностью (средней) проектного и фактического диаметров арматуры, деленной на 2; при язвенной коррозии глубина язв измеряется иглой индикатора. Если поверхность стержня усеяна большим количеством язв, начальное положение стрелки индикатора можно установить с помощью калиброванной пластинки (например, лезвия безопасной бритвы), уложенной на поверхность образца.
2.17. О степени коррозионного износа стали закладных деталей можно судить по толщине продуктов коррозии, которые в узлах сопряжений обычно сохраняются полностью. Толщина продуктов коррозии определяется как в процессе их удаления, так и с помощью магнитных толщиномеров. Средняя толщина продуктов коррозии примерно в 2 раза превышает толщину прокорродировавшего металла.
2.18. Для определения прочности бетона в конструкциях следует применять разрушающие и неразрушающие методы контроля в соответствии с
пп. 2.19 -
2.26 настоящего Руководства <1>.
--------------------------------
<1> Способы определения прочности бетона в сооружениях подробно изложены в справочном пособии: Лещинский М.Ю. Испытание бетона. М., Стройиздат, 1980.
Прочность бетона следует определять при положительной температуре. Перечень наиболее употребительных приборов механического принципа действия и их заводы-изготовители приведены в
прил. 3, а рекомендации по целесообразной области применения - в табл. 4. Рекомендуется при выполнении обследований сочетать приборы различного принципа действия.
Метод | Рекомендуемая область применения |
Извлечение из конструкций кернов, образцов правильной формы | Проведение испытаний для получения тарировочных зависимостей, используемых для оценки прочности бетона другими методами |
Метод пластической деформации растворной составляющей и бетона. Метод упругого отскока | Оценка прочности поверхностных слоев бетона в конструкциях. Массовое определение прочности при большом количестве обследуемых конструкций |
Метод отрыва со скалыванием, отрыва, скалывания ребра конструкции | Выборочный контроль для уточнения прочности, определенной другими методами и на наиболее ответственных участках |
Импульсный ультразвуковой метод | Оценка однородности и сравнительной прочности бетона на различных участках одного элемента или сооружения |
При использовании приборов, основанных на методе пластической деформации раствора и бетона, методе упругого отскока и т.п., оценку прочности бетона следует производить с учетом примечания к
табл. 3.
| | ИС МЕГАНОРМ: примечание. Взамен ГОСТ 8.002-71 Постановлением Госстандарта СССР от 21.02.86 N 388 с 1 января 1987 года введен в действие ГОСТ 8.002-86. Взамен ГОСТ 8.002-86 на территории Российской Федерации с 1 декабря 2001 года введены в действие ПР 50.2.002-94 "ГСИ. Порядок осуществления государственного метрологического надзора за выпуском, состоянием и применением средств измерений, аттестованными методиками выполнения измерений, эталонами и соблюдением метрологических правил и норм" (Постановление Госстандарта России от 27.09.2001 N 394-ст). | |
Приборы должны проходить ведомственную поверку не реже одного раза в 2 года, а также после каждого ремонта или замены деталей. Поверка приборов проводится в соответствии с требованиями ГОСТ 8.002-71.
2.19. Испытания кернов проводятся в соответствии с "Рекомендациями по оценке качества бетона гидротехнических сооружений по кернам. ВСН 008-67" (МЭиЭ СССР. Л., Энергия, 1968). Параллельные плоскости образцов перед испытаниями образуются с помощью слоя цементно-песчаного раствора, песка, в кондукторе или распиливанием и шлифовкой торцов.
| | ИС МЕГАНОРМ: примечание. Взамен ГОСТ 10180-78 с 1 января 1991 года в части определения прочности бетона по контрольным образцам Постановлением Госстроя СССР от 29.12.1989 N 168 введен в действие ГОСТ 10180-90; в части определения прочности по образцам, отобранным из конструкций, Постановлением Госстроя СССР от 24.05.1990 N 50 введен в действие ГОСТ 28570-90. | |
Прочность бетона в образцах неправильной формы (вырубках из плитных бетонных конструкций, у которых параллельны две плоскости) определяется испытаниями методом штампа (на прессе с помощью двухстенных штампов - цилиндров) или раскалыванием, а образцов правильной формы (кубов и цилиндров) - по ГОСТ 10180-78.
2.20. При определении прочности бетона методом пластической деформации растворной составляющей необходимо учитывать следующее:
а) характерным признаком нанесения ударов по растворной части бетона является небольшой разброс измеренных деформаций близко расположенных точек удара;
б) в запесоченном бетоне размер лунки от шарика больше, чем в обычном бетоне той же прочности, и наоборот, в бетоне с большим количеством высокопрочного щебня - меньше;
в) на влажном бетоне от шарика получаются увеличенные отпечатки.
2.21. Наиболее достоверные данные о прочности бетона в сооружении получаются при испытании на скалывание и отрыв в соответствии с
ГОСТ 21243-75. Этот метод рекомендуется использовать в качестве базового во всех случаях, когда затруднительно извлечь достаточное количество кернов или образцов правильной формы для получения тарировочных зависимостей (см.
табл. 4).
Место испытания заделывают бетоном соответствующей марки или цементно-песчаным раствором не ниже марки М150.
2.22. После испытаний производят визуальное освидетельствование свежего излома бетона и фиксируют при этом:
вид и максимальный размер зерен крупного заполнителя;
ориентировочное соотношение в процентах между крупным заполнителем и растворной частью;
характер отрыва бетона (по крупному заполнителю, контакту между крупным заполнителем и растворной частью, смешанный);
наличие трещин и других дефектов в растворной части, крупном заполнителе или на контакте между ними;
наличие высолов или кристаллов солей в порах бетона;
глубину нейтрализации бетона по фенолфталеиновой пробе.
В зависимости от выявленного характера изменения структуры из зон вырыва производят отбор проб для детальных лабораторных исследований.
2.23. При определении прочности бетона методом отрыва со скалыванием результаты испытаний на отдельных участках не учитывают, если:
на поверхности отрыва обнаружены раковины или загрязняющие бетон примеси размером более 30 мм;
арматурные стержни расположены в зоне вырванного бетона;
на поверхности отрыва расположено более двух арматурных стержней, а при двух или одном стержне расстояние между ближним стержнем и анкерным устройством составляет менее 25 мм;
наибольший и наименьший размеры вырыва на поверхности бетона, равные расстоянию от анкерного устройства до границ разрушения, отличаются один от другого более чем в 2 раза;
фактическая глубина заделки или вырыва анкерного устройства отличается от номинальной более чем на 10%.
2.24. Прочность бетона при сжатии
Ri, МПа (кгс/см
2), на испытанном участке методом отрыва со скалыванием вычисляют по формуле

(1)
где

- коэффициент пропорциональности, соответствующий прочности при сжатии стандартного куба и принимаемый по табл. 5;

- коэффициент, учитывающий размеры крупного заполнителя.

при максимальном размере крупного заполнителя в зоне вырыва менее 50 мм;

- при 50 мм и более;
Pi - усилие вырыва на участке испытания, определяемое по градуировочной таблице и испытательному устройству.
Таблица 5
| Глубина заделки, мм |  , см 2, для бетона |
естественного твердения | прошедшего тепловлажностную обработку |
II | 48 | 0,085 | 0,1 |
30 | 0,24 | 0,26 |
III | 35 | 0,14 | 0,17 |
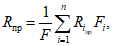
Среднюю прочность бетона при сжатии
Rср (фактическую марку бетона) в конструкции или конструкциях, отнесенных к одной партии, по результатам испытаний отдельных участков методом отрыва со скалыванием и вычислений по
формуле (1), определяют так же, как и при испытании контрольных образцов-кубов, заменяя испытания трех контрольных образцов пятью испытаниями методом отрыва со скалыванием.
2.25. Методы пластических деформаций, упругого отскока и ультразвуковой метод рекомендуется применять совместно с методом отрыва со скалыванием при большом объеме работ по обследованию эксплуатируемых конструкций для сокращения трудоемких работ по подготовке шпуров при испытании методом отрыва со скалыванием.
При совместном применении метода отрыва со скалыванием с одним из других неразрушающих методов рекомендуется следующий порядок проведения испытаний:
назначают число испытаний, производят выбор и привязку участков для испытаний бетона принятым при обследовании неразрушающим методом;
готовят участки для проведения испытаний;
производят испытание бетона (измерение скорости прохождения ультразвука, величины упругого отскока, диаметра отпечатка или других характеристик).
После предварительной обработки полученных результатов назначают участки для проведения испытаний бетона методом отрыва со скалыванием (в местах, где величины косвенной характеристики - скорость ультразвука или другие - близки к средней величине для испытываемых конструкций).
2.26. Значения прочности бетона при сжатии по результатам испытаний методом отрыва со скалыванием определяют по
формуле (1) и используют их для привязки применяемого в сочетании с ним неразрушающего метода контроля путем определения коэффициента совпадения
kс по формуле

(2)
где
Ri - прочность бетона, определенная на участке по результатам испытания методом отрыва со скалыванием по
формуле (1);

- прочность бетона на том же участке, полученная другим способом;
n и
m - число испытаний соответственно методом отрыва со скалыванием и другим методом.
На рис. 1 приведена обобщенная зависимость для ультразвукового импульсного метода. Методика определения скорости распространения продольных ультразвуковых волн приведена в
прил. 3.
Рис. 1. Обобщенная зависимость
скорость ультразвука - прочность бетона
Тарировка прибора для ультразвуковых испытаний проводится путем выполнения параллельных замеров (скорости распространения ультразвуковых волн и прочности бетона методом отрыва со скалыванием) не менее чем в 6 точках на каждом участке, где конструкции могут быть отнесены к одной партии.
Значение прочности бетона на участке, где проводились испытания неразрушающим методом, определяют по формуле

(3)
Полученное по
формуле (2) значение
kс может быть использовано для определения прочности бетона на участках, где значение

находится в пределах 0,7 - 1,3
R. Здесь
R - среднее значение прочности для испытываемых конструкций. Аналогично сопоставляется прочность бетона, полученная косвенными методами, с результатами испытания кернов или образцов, извлеченных из эксплуатировавшихся элементов.
2.27. Однородность бетона конструкции и наличие скрытых дефектов в конструкции оцениваются по скорости распространения продольных ультразвуковых волн (ГОСТ 17624-78 и
табл. 4 настоящего Руководства). Соответствующие приборы приведены в
прил. 3. Могут применяться и другие приборы, у которых предельная основная относительная погрешность измерений времени распространения ультразвука

.
Контроль метрологических характеристик ультразвуковых приборов - определение основной и дополнительных погрешностей, измерение времени прохождения ультразвуковых колебаний - проводится согласно "Методическим рекомендациям по определению метрологических характеристик ультразвуковых приборов для оценки физико-механических свойств материалов" (НИИСК и Хабаровский филиал ВНИИФТРИ, Киев, 1974).
Методика определения скорости УЗВ приведена в
прил. 3. На основе испытаний бетона ультразвуковым, а также радиоизотопным методом уточняют размеры и глубину дефектов и повреждений, в частности трещин, производя в необходимых случаях дополнительную контрольную расчистку.
2.28. Определение объемной массы бетонов в сооружениях выполняется с помощью радиометрических плотномеров различных типов
(табл. 33) в соответствии с ГОСТ 17623-78 прямым (сквозным) просвечиванием или путем рассеянного измерения. Первый способ применяется при толщине конструкции до 50 см и свободном доступе к противоположным сторонам конструкций, второй может использоваться для конструкций с односторонним доступом. При первом способе
mv определяется по ослаблению потока

, проходящих через бетон; при втором - по рассеянию бетоном

. Влажность испытываемого бетона не должна отличаться от влажности бетона, по испытаниям которого производилось тарирование прибора, более чем на +/- 5%.
Число измерений должно быть не менее 2 на 1 м2 площади и не менее 8 на конструкции.
2.29. Водопоглощение бетона образцов, отобранных из сооружений, определяется в соответствии с
ГОСТ 12730.0-78 и "Рекомендациями по испытаниям бетонов и растворов для тонкостенных конструкций на водонепроницаемость" (ЦНИИОМТП, М., 1969).
Оценкой способности бетона противодействовать фильтрации через него жидкостей и газов являются степень его водонепроницаемости и коэффициент фильтрации воды.
Такие испытания целесообразно проводить в специализированных организациях.
2.30. Динамический модуль упругости бетона в конструкции по измеренной скорости УЗВ
v и плотности бетона

определяется по формуле

(4)
Коэффициент
kд для продольных волн составляет: вдоль узкого стержня
kд = 1, в плите

и в массиве

(5)
здесь

. Динамический модуль сдвига
Gд по данным ультразвуковых измерений может быть рассчитан по формуле

.
2.31. Целью исследования арматуры существующих железобетонных конструкций является отнесение стержневой ненапряженной арматуры к тому или иному классу (А-I, А-II, А-III), установление вида, степени коррозии и соответственно уменьшения площади сечения стержней, определение необходимых прочностных, деформативных и технологических характеристик. Для получения указанных данных проводятся визуальные обследования, физико-механические испытания и химические анализы образцов, извлекаемых из эксплуатирующихся элементов, в соответствии с
пп. 2.33 -
2.35.
| | ИС МЕГАНОРМ: примечание. Взамен ГОСТ 5781-75 Постановлением Госстандарта СССР от 17.12.1982 N 4800 с 1 июля 1983 года введен в действие ГОСТ 5781-82. | |
2.32. Отнесение стержневой ненапряженной арматуры к определенному классу предварительно производится по внешнему виду в соответствии с ГОСТ 5781-75: гладкая арматура - класс А-I, арматура периодического профиля с выступами по винтовой линии - класс А-II; с выступами "елочкой" - класс А-III и выше; гладкая сплющенная в двух взаимно перпендикулярных направлениях - Ст3, подвергнутая упрочнению холодным сплющиванием. Другой профиль стержней свидетельствует о применении арматуры зарубежного производства. В этом случае класс арматуры устанавливается по иностранным стандартам. Если рисунок стержня определить затруднительно из-за значительной поверхностной коррозии, рекомендуется вскрыть арматуру на участке с менее выраженной коррозией.
| | ИС МЕГАНОРМ: примечание. Взамен ГОСТ 7565-73 Постановлением Госстроя СССР от 30.12.1981 N 5786 с 1 января 1982 года введен в действие ГОСТ 7565-81. | |
2.33. Установление марки стали и способа ее выплавки (спокойная, полуспокойная, кипящая) производится по результатам химических анализов в соответствии с ГОСТ 12365-66 и ГОСТ 12344-77. При этом определяется содержание в стали углерода, марганца, кремния, серы и фосфора. В отдельных случаях определяется содержание других компонентов (по указанию специализированной организации). Отбор стружки для химических анализов производится на участках конструкции с наименьшими расчетными напряжениями в неответственных, с точки зрения несущей способности, местах не менее чем в двух стержнях однотипной по классу и диаметру арматуры, как правило, с помощью ручной электродрели после тщательной зачистки поверхности до металлического блеска в соответствии с ГОСТ 7565-73 с последующим восстановлением сечения.
Если из существующих элементов извлекаются образцы арматуры для механических испытаний, стружку рекомендуется отбирать из этих образцов после механических испытаний.
| | ИС МЕГАНОРМ: примечание. Взамен ГОСТ 380-71 в части марок и химического состава сталей Постановлением Госстандарта СССР от 30.03.88 N 924 с 1 января 1990 года введен в действие ГОСТ 380-88. Взамен ГОСТ 380-88 Постановлением Госстандарта России от 02.06.1997 N 205 с 1 января 1998 года введен в действие ГОСТ 380-94. | |
Марка стали по данным химического анализа устанавливается в соответствии с табл. 4 ГОСТ 380-71 для арматуры классов А-I и А-II и табл. 7 ГОСТ 5781-75 для арматуры класса А-III и частично класса А-II (сталь 10ГТ).
| | ИС МЕГАНОРМ: примечание. Взамен ГОСТ 1497-73 Постановлением Госстандарта СССР от 16.07.1984 N 2515 с 1 января 1986 года введен в действие ГОСТ 1497-84. | |
| | ИС МЕГАНОРМ: примечание. Взамен ГОСТ 12004-66 Постановлением Госстандарта СССР от 15.12.1981 N 5419 с 1 июля 1983 года введен в действие ГОСТ 12004-81. | |
2.34. С целью уточнения прочностных и деформативных свойств арматуры (контрольные, базовые образцы в случае значительного разброса данных химического анализа, в сомнительных случаях, когда имеется несоответствие между внешним видом стержня и результатами анализов) из существующих элементов отбираются (вырезаются) два образца от одноименных стержней на участках конструкций наименее ответственных с точки зрения несущей способности. При этом необходимо восстановить сечение арматуры в месте отбора образцов приваркой накладок и т.п. Длина образца должна обеспечивать возможность получения при испытании относительного удлинения на отрезке стержня, равном пяти диаметрам. В общем случае lобр = 8d + 200 мм. В случае затруднений в извлечении образцов указанной длины для испытаний натурных стержней допускается отбор отрезков меньшей длины с последующим изготовлением образцов в соответствии с требованиями ГОСТ 1497-73. При отборе образцов арматуры классов А-II и А-III для испытаний на растяжение из сварных каркасов рекомендуется выбирать отрезки стержней арматуры с включением участков поперечной приварки для выявления влияния сварки на прочностные и деформативные свойства арматуры. Образцы с участками сварки особенно необходимы в случае прокорродировавшей арматуры. При таких образцах выточка из них стандартных образцов по ГОСТ 1497-73 не рекомендуется. Испытания извлеченных образцов проводятся в соответствии с требованиями ГОСТ 12004-66.
2.35. Наличие коррозии стальной арматуры устанавливают визуально путем непосредственного осмотра оголенной арматуры, а также косвенно по появлению продольных трещин в защитном слое бетона или выступов продуктов коррозии стали (ржавых пятен) на поверхности бетона.
При отсутствии указанных признаков наличие коррозии арматуры устанавливают неразрушающим электрохимическим методом (без вскрытия защитного слоя бетона) согласно "Методическим рекомендациям по исследованию ингибиторов коррозии арматуры в бетоне (НИИЖБ Госстроя СССР, М., 1980).
2.36. Для количественной оценки размеров коррозии арматуры производят вскрытие арматуры в не менее чем 10 однотипных конструкциях на наиболее прокорродированных участках длиной 1 м. На каждом из таких участков в трех местах замеряют сохранившийся диаметр арматуры после удаления продуктов коррозии стали механическим путем, например при помощи наждачного круга, до получения гладкой блестящей стальной поверхности.
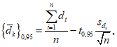
2.37. На основе полученных таким образом выборочных значений сохранившихся диаметров прокорродированной арматуры определяют среднее значение с доверительной вероятностью 0,95 по формуле

(6)
где

- средний сохранившийся диаметр прокорродированной арматуры с доверительной вероятностью 0,95;
di - выборочные значения диаметра;
n - объем выборки (не менее 30);

- среднее квадратичное отклонение;
t0,95 - коэффициент Стьюдента.
2.38. Степень ослабления площади сечения арматуры коррозией определяют по формуле

(7)
где d0 - исходный диаметр.
2.39. Степень снижения относительного удлинения прокорродированной арматуры

может быть ориентировочно рассчитана по формуле

(8)
При этом необходимо соблюсти условие

, где

- нормируемое относительное удлинение арматуры, %.
В случае несоблюдения этого условия необходимо проведение контрольных механических испытаний прокорродировавших образцов с естественной поверхностью, на основании которых решается вопрос о возможности использования существующей арматуры при необходимости с привлечением специализированных организаций.
2.40. Оценка состояния предварительно-напряженной арматуры производится, как правило, с участием специализированных организаций.
2.41. Оценка состояния сварных стыков арматуры выполняется визуально; при этом определяются: вид стыка и его параметры - длина шва, высота и т.д.; дефекты изготовления - непровары и пережоги арматуры (см. прил. 3 "Инструкции по сварке соединений арматуры и закладных деталей железобетонных конструкций.
СН 393-78"), эксплуатационные дефекты - трещины, отслоение, степень коррозии. Кроме того, выполняется отбор проб в виде стружки для химического анализа наплавленного металла. Число исследуемых однотипных стыков не менее 3.
2.42. Ширину раскрытия трещин рекомендуется замерять в месте максимального раскрытия, а там, где возможно, и на уровне растянутой арматуры с помощью оптической лупы (с четырехкратным увеличением и более) или микроскопа МПБ-2, имеющего увеличение 1:24. Для повышения точности отсчета между объектом и окуляром микроскопа целесообразно установить полую трубку длиной 10 см. Для случаев, когда затруднительно непосредственно измерить ширину раскрытия трещин на уровне арматуры, допускается вычислять ее по формуле

(9)
где

- ширина раскрытия трещин на уровне арматуры;

- ширина трещины в месте максимального раскрытия;
h - высота элемента;
hз - толщина защитного слоя бетона.
2.43. Глубину трещин рекомендуется определять с помощью игл и тонких проволочных щупов, а также ультразвуковым импульсным методом в соответствии с "Указаниями по определению ультразвуковым импульсным методом границ и глубины распространения трещин в массивных блоках бетонирования. ВСН 49-71" (Министерство энергетики и электрификации СССР. М., 1972) и "Временными указаниями по контролю качества бетона железобетонных изделий и конструкций ультразвуковым методом. РТУ УССР 92-62". (Киев, 1962).
2.44. Для измерения прогибов и перекоса конструкций рекомендуется применять нивелир с оптической насадкой, прогибомеры механические и гидравлические. Насадку с измерительным штоком к нивелиру выпускает серийно завод АКХ им. К.Д. Памфилова.
Измерение прогибов с помощью гидравлического прогибомера основано на принципе сообщающихся сосудов. Прибор обеспечивает высокую производительность обследования, а также дает возможность измерять прогибы в двух смежных помещениях. Прогибомеры выпускает серийно завод АКХ им. К.Д. Памфилова.
2.45. Для определения воздухопроницаемости стыков наружных стен, качества заделки оконных проемов и т.п. можно применять приборы ДСКЗ-1, основанные на измерении расхода воздуха, проходящего через стык или трещину, с определением разности давлений в испытательной камере и окружающей среде по градуировочной зависимости. Коэффициент воздухопроницаемости определяется по измеренному расходу воздуха, разряжению в испытательной камере и температуре отсасываемого воздуха. Прибор выпускает серийно экспериментальная база Уральского Промстройниипроекта.
2.46. Осмотр конструкций (наличие трещин и др.) в труднодоступных местах (перекрытия в высоких помещениях, места опирания балок на колонны или стены и др.) может осуществляться с помощью оптического прибора РВП-451, дающего возможность осматривать с линейным или угловым полем зрения поверхность конструкции, расположенной на расстоянии до 7,5 м.
2.47. Морозостойкость бетона отобранных из существующих конструкций образцов определяется по ГОСТ 10060-76, если из отобранных образцов можно выпиливать кубы с ребром не менее 100 мм. Испытания образцов меньших размеров (30 X 30 X 60 или 40 X 40 X 160 мм) можно проводить по ускоренному методу Добролюбова - Ромера или ЦНИЛ Главкиевстроя. Для этого образцы насыщают в воде в течение 5 сут, а затем герметизируют, например, в резиновых мешках или полиэтиленовой пленкой. Замораживание проводят в 32%-ном растворе CaCl
2 или 50%-ном этиленгликоле при температуре минус 20 °C, а оттаивание в воде при температуре 20 °C. Продолжительность цикла 1 ч.
Эффективным методом контроля за изменением структурных свойств бетона в процессе попеременного замораживания и оттаивания является определение его упругих и неупругих характеристик с помощью резонансного метода в соответствии с "Временной инструкцией по определению призменной прочности и начального модуля упругости бетона" (М., 1968). Все камеры холода, тепла, тепла и холода с объемом не менее 0,05 м3 должны подвергаться проверке по ГОСТ 20497-75.
2.48. Стойкость бетона к действию попеременного увлажнения и нагрева определяется на образцах, выпиленных из существующих конструкций (40 X 40 X 160 или 70 X 70 X 70 мм). Перед началом испытания образцы в течение 4 ч насыщают водой, затем помещают в термокамеру, где они находятся при температуре 40, 60, 90 °C (температура испытаний зависит от величины средней температуры на поверхности эксплуатирующейся конструкции) в течение 24 ч. Следующие 24 ч образцы увлажняются в воде или растворе Na
2SO
4. Результаты испытаний рекомендуется оценивать по изменению прочности аналогично оценке морозостойкости бетона, а также по величине упругих и неупругих характеристик бетона с помощью резонансного метода в соответствии с инструкцией (см.
п. 2.47). Методика прогнозирования долговечности бетона в рассматриваемых условиях приведена в
разд. 3 настоящего Руководства.
2.49. Глубина нейтрализованного слоя бетона определяется путем скалывания бетона в заданном месте защитного слоя и смачивания свежеобразованной поверхности скола 0,1%-ным спиртовым раствором фенолфталеина. В местах, где произошла полная карбонизация, бетон не меняет цвета, а ярко-малиновый цвет свидетельствует о щелочности участка бетона. Методика оценки ожидаемой глубины карбонизации и вообще нейтрализации бетона агрессивными газами приведена в
разд. 3 настоящего Руководства, а методика оценки пассивирующего действия бетона защитного слоя без вскрытия арматуры - в
прил. 4.
2.50. В тех случаях, когда нельзя определить стойкость бетона существующих конструкций по результатам испытаний образцов, рекомендуется для оценки степени коррозионных повреждений бетона, а также для ориентировочной оценки влияния имевших место ранее эксплуатационных воздействий применить комплекс методов физико-химического анализа проб бетона (дифференциальный термический, фазовый рентгеновский, оптико-микроскопический анализы, методы капиллярного водопоглощения, метод pH-метрии).
2.51. Методы дифференциального термического и фазового рентгеновского анализов предназначены для оценки вещественного (минерального) состава вяжущей составляющей цементного бетона. По интенсивности соответствующих термических эффектов и дифракционных отражений можно определить вид и относительное количество продуктов коррозии: гипса, карбоната кальция гидросульфоалюмината кальция и др. Подготовка проб включает отбор их из образца бетона, предварительное измельчение до размера гранул 0,5 - 1,5 мм, удаление зерен заполнителя, окончательное измельчение и просеивание через сито 9 - 18 отв/см2 (до полного прохождения), двух-трехкратная дегидратация полученных проб ацетоном и высушивание при температуре 50 - 55 °C.
Дифференциальный термический анализ производят на пирометрах РПК-52, ФПК-59, ФПК-60, ФПК-64 или скоростных установках типа УТА-1. Фазовый рентгеновский анализ выполняют на дифрактометрах УРС-50К с гониометром ГУР-3, УРС-50ИМ с гониометром ГУР-4, ДРОН-1 с гониометром ГУР-5. Для каждого исследуемого участка образца производится 3 - 5 определений.
2.52. Оптико-микроскопические исследования проводят на прозрачных плоско-параллельных шлифах с целью количественной и качественной оценки структуры цементного бетона для чего планиметрическим путем определяют процентное содержание пор и трещин размером не менее 10-3 см негидратированных частиц вяжущего и продуктов коррозии вне зависимости от состава. Сведения о количестве исследуемых шлифов, полей зрения и методика подсчета содержания перечисленных выше компонентов проводят в соответствии с требованиями ГОСТ 22023-76.
Для исследований используют микроскопы МБК-6, МИН-8.
2.53. Величину капиллярного водопоглощения определяют, согласно требованиям
ГОСТ 12730.0-78 на образцах неправильной формы, размер которых не менее чем в 3 - 5 раз превышает размер крупного заполнителя, использованного при изготовлении бетонной смеси.
2.54. Концентрацию водородных ионов в водной вытяжке из цементного камня определяют измерением электрохимических свойств с помощью pH-метра, например pH-340 и др. Для этого в фарфоровой ступке измельчается растворная составляющая бетона до размера зерна 0,1 - 0,25 мм. Навеску в 3 - 5 г заливают 100 мл дистиллированной воды и хранят в закрытом пробкой сосуде в течение 1 ч. Первые 15 мин содержимое сосуда периодически встряхивают. Измерение производят в течение 3 мин после отстаивания при постоянном перемешивании магнитной или другой мешалкой. Для каждого исследуемого образца производят 3 - 5 определений pH. Оценка пассивирующего действия бетона на стальную арматуру производится в соответствии с методикой, описанной в
разделе 3 настоящего Руководства и
прил. 4.
Некоторые характерные результаты физико-химических определений и соответствующие им воздействия (характер и интенсивность) применительно к объектам черной металлургии приведены в табл. 6.
Таблица 6
Вид воздействия | Признаки коррозионного повреждения |
Газовоздушная среда, содержащая SO 2, CO 2, H 2S, при отсутствии систематического увлажнения и нагрева - степень агрессивного воздействия средняя, бетон марки по водонепроницаемости B6 <*> | Отсутствие гидрата окиси кальция; снижение pH поровой жидкости ниже 11,5; частичное заполнение пор и трещин продуктами коррозии (карбонат кальция, гипс и др.), средняя глубина повреждения наружного слоя - 10 мм за 10 лет эксплуатации |
Газовоздушная среда, содержащая SO2, CO2, H2S, циклический нагрев до температуры не более 200 °C при отсутствии систематического увлажнения - степень агрессивности воздействия слабая (при температуре 100 - 200 °C) и неагрессивная (при температуре до 100 °C) | То же, образование трещин в наружных слоях бетона и по контакту между крупным заполнителем и растворной составляющей, средняя глубина повреждения (при отсутствии крупных трещин и толщине защитного слоя более 15 мм) - 10 мм за 25 лет и более эксплуатации |
Циклическое увлажнение грунтовыми и техническими водами, содержащими анионы  , Cl -,  (CO 2 агр.), близкими к нейтральным, и нагрев до 90 °C. Степень агрессивного воздействия средняя, бетон марки по водонепроницаемости B6 <*> | Отсутствие гидрата окиси кальция; снижение pH поровой жидкости ниже 11,5; частичное заполнение пор и трещин продуктами коррозии (гипс, карбонат кальция, гидросульфоалюминат кальция и др.); количество дефектных участков более 25% площади прозрачного плоско-параллельного шлифа. Средняя глубина повреждения - 10 мм за 6 лет эксплуатации |
Постоянное увлажнение грунтовыми, техническими водами и технологическими растворами, с содержанием ионов  - более 5000 мг/л. Степень агрессивного воздействия сильная. Бетон марки по водонепроницаемости B6 | Отсутствие гидрата окиси кальция; снижение pH поровой жидкости ниже 11,5; поры и трещины целиком заполнены продуктами коррозии (гидросульфоалюминат кальция, гипс). Средняя глубина повреждения - 10 мм за 4 года эксплуатации |
Постоянное и периодическое увлажнение кислыми растворами. Степень агрессивного воздействия сильная | Снижение pH поровой жидкости ниже 4 |
--------------------------------
<*> При степени агрессивного воздействия больше или меньше указанной в таблице на одну ступень средняя глубина коррозионных повреждений соответственно увеличивается или уменьшается в 1,5 раза; при марке бетона по водонепроницаемости больше или меньше указанной в таблице на одну ступень средняя глубина коррозионных повреждений соответственно уменьшается или увеличивается в 1,5 раза.
2.55. На основе проведенных детальных обследований уточняется характеристика состояния конструкций в соответствии с табл. 7.
Категория состояния конструкций | Признаки |
I | Прочность бетона не ниже проектной, скорость ультразвуковых волн (УЗВ) более 4 км/с, на отдельных участках (не более 20% общего числа замеренных) величина защитного слоя бетона меньше проектной до 20%, а марка бетона по водонепроницаемости - на одну ступень; величина прогиба и ширина раскрытия трещин не превышает допустимую по нормам; расчетные сопротивления арматуры составляют не менее чем 0,95 величины, принятой нормами для соответствующего класса; потери площади сечения рабочей арматуры нет |
II | Прочность бетона основного сечения элемента (за пределами защитного слоя бетона и в сжатой зоне) не ниже проектной; скорость УЗВ 3 - 4 км/с; расчетные сопротивления арматуры составляют не менее чем 0,95 величины, принятой действующими нормами для соответствующего класса, и потеря площади сечения рабочей ненапрягаемой арматуры и закладных деталей вследствие коррозии не превышает 5% |
III | Прочность бетона основного сечения элемента ниже проектной, скорость УЗВ менее 3 км/с; потеря площади сечения рабочей арматуры и закладных деталей вследствие коррозии превышает 5%; ширина раскрытия трещин, вызванных эксплуатационными воздействиями на уровне арматуры, превышает допустимую по действующим нормам; трещины в сжатой зоне и в зоне главных растягивающих напряжений, прогибы элементов, вызванных эксплуатационными воздействиями, превышают допустимые более чем на 30%. |
Примечание. Признаки, характеризующие IV и V категории состояния конструкций, см. в
табл. 1.
2.56. По результатам обследований составляется заключение, являющееся исходным материалом для оценки эксплуатационной пригодности, проектирования восстановления, усиления и антикоррозионной защиты железобетонных конструкций. Заключение может составляться в табличной форме, в виде описания с приложением соответствующих графических материалов, фотографий и т.д.
Заключение должно содержать:
1) литологический разрез основания с данными об уровне грунтовых вод и их химическом составе;
2) данные о физико-механических и прочностных характеристиках грунтов, претерпевших длительное загружение, с выявлением зон неравномерных деформаций основания и причин их вызвавших;
3) данные о сопоставлении материалов новых инженерно-геологических исследований с принятыми при разработке рабочих чертежей;
4) графики нивелировки цоколя, колонн и крупноразмерных фундаментов, определение осадок, относительных смещений и кренов фундаментов;
5) сведения о состоянии конструкций нулевого цикла - траекториях и величинах раскрытия трещин (с указанием, имеют ли место соответствующие трещины в надземной части здания), относительном смещении примыкающих фундаментов в швах, местах и площади коррозионного поражения бетона, арматуры, разрушения кладки, гидроизоляции и т.д.;
6) рекомендации о необходимости разработки мероприятий по снижению деформативности и повышению несущей способности оснований;
7) оценку состояния железобетонных конструкций в соответствии с
табл. 1 и
7;
8) гистограммы прочности сохраняемого бетона по участкам, которые с точки зрения условий эксплуатации и типов конструкций могут быть объединены в одну партию, и значения скорости УЗВ на этих участках;
9) глубину и характер коррозии бетона с указанием вероятных факторов, ее вызвавших, на основе результатов физико-химических исследований;
10) сопоставительные данные проектных и фактических (по гистограммам) размеров конструкций и величины защитного слоя бетона;
11) характеристику основных видов дефектов и повреждений с указанием причин их возникновения;
| | ИС МЕГАНОРМ: примечание. Текст дан в соответствии с официальным текстом документа. | |
12) оценку плотности (непроницаемости) неповрежденного поврежденного бетона;
13) данные о классе и физико-механических свойствах арматурной стали (предел текучести, равномерное удлинение при разрыве и др.);
14) оценку характера и степени коррозии стали (по гистограмме уменьшения площади сечения арматуры вследствие коррозии стали);
15) рекомендации о необходимости разработки мероприятий по восстановлению, усилению и антикоррозионной защите конструкций;
16) данные о наличии, виде и расположении арматуры;
17) данные о фактических нагрузках на обследованные конструкции в момент обследования;
18) данные о характере и величине деформаций конструкций, испытывающих динамические воздействия.
В каждом конкретном случае вопрос о составе заключения уточняется организацией, выполняющей строительное проектирование.
Оценка остаточной несущей способности и эксплуатационной
пригодности железобетонных конструкций
по результатам обследований
2.57. Определение несущей способности и эксплуатационной пригодности железобетонных конструкций производится, в соответствии с главой
СНиП II-21-75 "Бетонные и железобетонные конструкции", с использованием данных, полученных в процессе обследований. Расчеты выполняются в один или два этапа.
На первом этапе проводится расчет в традиционной детерминированной постановке (см.
пп. 2.60 -
2.64 настоящего Руководства).
В результате расчета определяются несущая способность сечений, ширина раскрытия трещин, прогибы и т.п. Если при этом выполняются все требования
СНиП II-21-75 "Бетонные и железобетонные конструкции" по первой и второй группам предельных состояний, то конструкция считается пригодной к дальнейшей эксплуатации без усиления или восстановления. Если в результате расчета на первом этапе не удовлетворяется хотя бы одно из требований предельных состояний и при этом разница между полученным и допустимым по нормам значением не превышает 25%, выполняется второй этап. При разнице более 25% расчеты по второму этапу могут не выполняться, а конструкция считается требующей усиления.
На втором этапе методами статистического моделирования (см.
п. 2.66 настоящего Руководства) определяется надежность конструкции - начальная вероятность ее безотказной работы по первой
PI и второй
PII группам предельных состояний на момент обследования.
При одновременном выполнении двух неравенств
PI >= 0,9986 и PII >= 0,95
конструкция считается пригодной к дальнейшей эксплуатации. В противном случае требуется ее усиление.
2.58. Все параметры, измеренные в процессе обследований (см.
раздел 2 настоящего Руководства) - прочность бетона и арматуры, геометрические размеры сечений, величина защитного слоя и т.п. - считаются случайными.
Необходимые для расчета конструкции величины, которые не могут быть найдены в результате обследований, допускается считать детерминированными и принимать их значения по проекту.
По результатам обследований или по проекту определяют действующие на конструкцию нагрузки, рассчитывают усилия, которые должны восприниматься сечениями конструкций.
2.59. При большом числе измерений случайной величины (
n >= 100) закон ее распределения рекомендуется принимать в виде реальной гистограммы.
При отсутствии других данных законы распределения случайных величин допускается принимать нормальными.
При n измерениях случайной величины xi ... xn параметры нормального распределения (среднее значение Eн и среднее квадратичное отклонение sн) определяются по формулам
Eн = (x1 + x2 ... + xn)/n; (10)

(11)
2.60. В качестве основной характеристики бетона, учитываемой на первом этапе расчета эксплуатировавшихся железобетонных конструкций, рекомендуется принимать фактическую среднюю кубиковую прочность бетона
Rф, определенную по правилам, изложенным в
пп. 2.24 -
2.26 настоящего Руководства.
2.61. На первом этапе расчета по фактическому значению средней кубиковой прочности бетона с учетом коэффициента
kиз, согласно
табл. 8 настоящего Руководства, устанавливается марка бетона в соответствии с главой
СНиП II-21-75 "Бетонные и железобетонные конструкции", принимаются все характеристики бетона, необходимые для расчета железобетонных конструкций.
2.62. При расчете конструкций принимается фактическая площадь сечения арматуры, определенная с учетом коэффициента
kd в соответствии с
п. 2.38 настоящего Руководства, умноженная на коэффициент

, принимаемый по табл. 8 настоящего Руководства.
Категория состояния конструкции (см. табл. 1 и 7) | kиз | | |
I | 1 | 1 | 1 |
II | 0,9 | 0,95 | 0,9 |
III | 0,8 | 0,9 | 0,8 |
В случае, если оставшийся диаметр арматуры составляет менее 50% исходного, эти стержни рекомендуется в расчете не учитывать.
2.63. Характеристики стали арматуры, очищенной от коррозии, принимаются в зависимости от класса арматуры, определенного в соответствии с
пп. 2.33 -
2.35 настоящего Руководства, по
СНиП II-21-75 "Бетонные и железобетонные конструкции". В случае если фактические характеристики стали ниже требуемых для класса А-I, в расчете принимаются характеристики арматуры класса А-I с коэффициентом условий работы, равным отношению минимального фактического значения предела текучести к нормативному сопротивлению арматуры класса А-I, но не выше 0,8.
2.64. При выполнении поверочных расчетов снижение несущей способности нормальных сечений вследствие нарушения сцепления арматуры с бетоном из-за коррозии стали рекомендуется учитывать введением в расчетные формулы главы
СНиП II-21-75 коэффициента

, принимаемого по
табл. 8.
2.65. На втором этапе расчета число измерений значений каждого из параметров, вводимых в расчет в виде случайных величин, должно быть не менее 24.
Законы распределения случайных величин принимаются в соответствии с
п. 2.59 настоящего Руководства.
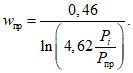
2.66. В расчетах на втором этапе переход от кубиковой прочности бетона к призменной рекомендуется выполнять следующим образом.
Если результаты измерения фактической кубиковой прочности бетона представлены в виде гистограммы, то для построения гистограммы призменной прочности Rфпр следует вычислить переходной коэффициент kпер по формуле
kпер = 0,77 - 0,0001
Rфkит, (12)
где
Rф - фактическое среднее значение кубиковой прочности, определенное по
формуле (1), а затем умножить каждое разрядное значение кубиковой прочности бетона на произведение коэффициентов
kпер,
kиз, сохранив соответствующие частоты.
Если для кубиковой прочности принят нормальный закон распределения, то такой же закон рекомендуется принимать и для призменной прочности бетона. Среднее значение и квадратичное отклонение призменной прочности бетона получают умножением на произведение коэффициентов kпер, kиз соответственно среднего значения и среднего квадратичного отклонения кубиковой прочности бетона.
При отсутствии других данных сопротивление осевому растяжению и начальный модуль упругости бетона рекомендуется считать детерминированными величинами и принимать в соответствии с
п. 2.61 настоящего Руководства.
2.67. Если результаты испытаний арматуры представлены в виде гистограммы, то для получения гистограммы вводимого в расчет закона распределения прочности следует умножить каждое разрядное значение предела текучести на коэффициент

(см.
табл. 8 настоящего Руководства). Если результаты испытаний арматуры представлены в виде нормального закона, то на коэффициент

следует умножить среднее значение и среднее квадратичное отклонение.
При расчетах на втором этапе понижение несущей способности нормальных сечений с частично прокорродировавшей арматурой учитывается введением в расчетные формулы коэффициента

в соответствии с
табл. 8 настоящего Руководства.
2.68. На втором этапе определяется надежность конструкции методами статистического моделирования. Расчеты по определению надежности PIi по несущей способности одного сечения конструкции при одном сочетании нагрузок выполняются в следующем порядке:
1) обрабатывают измерения, выполненные при обследовании; параметры конструкции, обладающие изменчивостью, представляют как случайные величины (см.
пп. 2.58,
2.59,
2.65 -
2.67 настоящего Руководства);
2) проводят ряд статистических испытаний, каждое из которых включает в себя следующие операции: а) методами статистического моделирования, согласно известным законам распределения, назначают реализации случайных величин - параметров конструкции; б) проводят расчет конструкции по
СНиП II-21-75 согласно выбранному методу; в) в результате расчета определяют несущую способность сечения конструкции;
3) при l статистических испытаниях получают l значений несущей способности конструкции MI ... Ml. Эти значения несущей способности сечения конструкции делят на разряды;
4) полученные данные обрабатывают методами математической статистики, аппроксимируя их одной из кривых Пирсона типа I - VII. Получают функцию f(M);
5) проводят расчет конструкции при тех реализациях ее случайных параметров, которые принимаются в соответствии с главой
СНиП II-21-75 "Бетонные и железобетонные конструкции". В результате определяют несущую способность
M0;
6) определяют надежность по несущей способности одного сечения конструкции при одном сочетании нагрузок

(13)
Надежность
PIi представляет собой начальную вероятность безотказной работы одного сечения конструкции при одном сочетании нагрузок на момент обследования, т.е. вероятность того, что значения несущей способности, определенные при различных реализациях случайных параметров, принимаемых согласно законам их распределения, превысят значения несущей способности, определенные при реализациях случайных параметров, принимаемых согласно главе
СНиП II-21-75 "Бетонные и железобетонные конструкции".
По приведенной выше методике определяется надежность в различных сечениях конструкции (нормальных, наклонных) при различных сочетаниях нагрузок. Окончательно надежность конструкции по несущей способности равняется наименьшему из полученных значений
Аналогично определяется надежность конструкции по пригодности к нормальной эксплуатации. Может измениться только вид
формулы (13). Например, надежность по ширине раскрытия трещин определяется по формуле

(14)
где f(aт) - закон распределения ширины раскрытия трещин, определенный методами статистического моделирования;
aт - допустимая ширина раскрытия трещин, определяемая в соответствии с главой
СНиП II-21-75 "Бетонные и железобетонные конструкции".
По аналогичной формуле определяется надежность по прогибам. Окончательно надежность конструкции PII по пригодности к нормальной эксплуатации принимается по наименьшему из значений надежности, полученных по всем предельным состояниям второй группы.
Пример. Определим эксплуатационную пригодность балки прямоугольного сечения размером 50 X 140 см, армированной 13 стержнями диаметром 28 мм, Fa = 80,05 см2; a = 8 см. На сечение действует изгибающий момент Mд = 2450 кН·м (245 тс·м). Категория состояния конструкции I.
По результатам обследований выяснилось, что средняя кубиковая прочность бетона
Rб = 19,9 МПа (199 кгс/см
2), среднее квадратичное отклонение
sб = 2,6 МПа (26 кгс/мм
2); среднее значение предела текучести арматуры

(3370 кгс·см
2); среднее квадратичное отклонение
sа = 22,4 МПа (224 кгс/см
2).
Вначале, в соответствии с
п. 2.57 настоящего Руководства, проводим один расчет. В соответствии с
п. 2.61 -
2.64 настоящего Руководства и требованиями главы
СНиП II-21-75 "Бетонные и железобетонные конструкции" получаем несущую способность сечения
M = 2197 кН·м (219,7 тс·м), что меньше действующего момента
Mд = 2450 кН·м (245 тс·м).
Согласно
п. 2.57 настоящего Руководства, требуется выполнение второго этапа расчета. На втором этапе законы распределения кубиковой и призменной прочностей бетона и сопротивления арматуры принимаем нормальными. Средние значения и средние квадратичные отклонения кубиковой прочности бетона и сопротивления арматуры указаны выше. По
формуле (12) вычисляем переходной коэффициент от кубиковой к призменной прочности бетона
kпер = 0,77 - 0,0001·199 = 0,75.
Среднее значение и среднее квадратичное отклонение призменной прочности бетона равны соответственно 199·0,75 = 14,9 МПа (149 кгс/см2); 2,6·0,75 = 1,95 МПа (19,5 кгс/см2).
Расчет на втором этапе рекомендуется выполнять с помощью ЭВМ. В настоящем примере использована составленная в НИИЖБ программа для ЭВМ М-6000.
В каждом статистическом испытании, в соответствии с известными законами распределения, задаем реализации прочности бетона и арматуры, выполняем расчет в соответствии с главой СНиП "Бетонные и железобетонные конструкции", находим предельный момент, воспринимаемый сечением.
В табл. 9 представлены результаты статистических испытаний при их числе l, равном 100, 300, 600, 1000. Продолжаем статистические испытания до тех пор, пока при увеличении числа испытаний меняется значение надежности.
N разряда | Среднее значение момента в разряде, кН·м (тс·м) | Частота в разрядах при числе испытаний |
100 | 300 | 600 | 1000 |
1 | 2526 (252,6) | 1 | 2 | 3 | 4 |
2 | 2617 (261,7) | 1 | 5 | 8 | 15 |
3 | 2708 (270,8) | 9 | 17 | 28 | 38 |
4 | 2799 (279,9) | 5 | 18 | 44 | 87 |
5 | 2890 (289,0) | 17 | 58 | 95 | 142 |
6 | 2981 (298,1) | 19 | 52 | 100 | 161 |
7 | 3072 (307,2) | 17 | 54 | 108 | 182 |
8 | 3163 (316,3) | 11 | 35 | 83 | 141 |
9 | 3254 (325,4) | 12 | 32 | 72 | 130 |
10 | 3345 (334,5) | 5 | 17 | 36 | 64 |
11 | 3436 (343,6) | 1 | 7 | 17 | 29 |
12 | 3527 (352,7) | 2 | 3 | 6 | 6 |
13 | 3618 (361,8) | 0 | 0 | 0 | 1 |
Надежность | | 0,998923 | 0,999502 | 0,999886 | 0,999890 |
Из
табл. 9 видно, что при
l = 600 и
l = 1000 значения надежности практически совпадают и оказываются равными
PI = 0,9999. Во всех случаях законы распределения несущих способностей описывались кривой Пирсона типа II.
Так как
PI = 0,9999 > 0,9986, то, в соответствии с
п. 2.12 Руководства, конструкция на момент обследования пригодна по несущей способности к дальнейшей эксплуатации без усиления.
3. ОЦЕНКА ОЖИДАЕМОГО СРОКА СЛУЖБЫ ЖЕЛЕЗОБЕТОННЫХ КОНСТРУКЦИЙ
3.1. Методики, приведенные в настоящей главе, используются в случаях, когда учет срока службы конструкции может повлиять на принятое решение о видах, объемах и времени выполнения работ по реконструкции и ремонту объекта.
В частности, такие случаи могут возникать:
если реконструкция или ремонты проводятся в несколько этапов и необходимо установить, может ли поврежденная конструкция эксплуатироваться в заданных условиях до намеченного срока с заданной надежностью;
если в процессе реконструкции конструкция будет удаляться, но до реконструкции должна эксплуатироваться с заданной надежностью;
если в процессе реконструкции нагрузки будут уменьшены и необходимо установить, достаточен ли образовавшийся "резерв" несущей способности конструкции для эксплуатации с заданной степенью надежности до следующей реконструкции;
если изменились условия эксплуатации, а выполнить восстановление или соответствующую антикоррозионную защиту затруднительно из-за отсутствия доступа и т.д.
3.2. Срок службы конструкции определяется сроком службы защитного покрытия и сроком службы защитного слоя бетона. Поврежденные конструкции должны удовлетворять требованиям расчета по несущей способности и пригодности к эксплуатации (по первой и второй группам предельных состояний, см.
п. 2.57).
Ориентировочный срок службы обычно проектируемых защитных лакокрасочных покрытий, в соответствии с "Руководством по защите от коррозии лакокрасочными покрытиями строительных бетонных и железобетонных конструкций, работающих в газовлажностных средах" (М., Стройиздат, 1978), в условиях, характерных для основных цехов предприятий черной металлургии, составляет:
при сильной степени агрессивного воздействия 1 - 2 года;
при средней " " " 2 - 3 " ;
при слабой " " " 3 - 5 лет.
Сроки службы защитного слоя бетона в зависимости от его толщины, свойств бетона и характера эксплуатационных воздействий определяются в соответствии с методиками, приведенными в настоящей главе.
В дальнейшем при эксплуатации железобетонной конструкции с поврежденным защитным слоем учитывается уменьшение площади сечения бетона и арматуры вследствие коррозии:
а) для случая циклического воздействия сульфатсодержащих растворов и повышенных температур - по 30 мм бетона с каждой стороны, подвергающейся указанным эксплуатационным воздействиям за срок, соответствующий определенному классу в зависимости от свойств бетона и температуры нагрева, приведенной на
рис. 3;
б) для случая постоянного воздействия сульфатных вод и выщелачивания - по
формулам (23) и
(25).
Скорость коррозии арматуры и соответственно уменьшение площади ее сечения принимаются для основных цехов предприятий черной металлургии в зависимости от степени агрессивного воздействия среды по
табл. 12.
Оценка ожидаемой глубины нейтрализации
бетона агрессивными газами
3.3. Метод предназначен для оценки ожидаемой глубины нейтрализации бетона в железобетонных конструкциях из тяжелых и легких бетонов, эксплуатирующихся в агрессивных газовых средах, содержащих углекислый и сернистый газы, фтористый водород, сероводород, сероуглерод, с учетом фактической неоднородности свойств бетона в конструкциях и колебаний толщины защитного слоя.
3.4. Для отдельно взятого участка бетона в конструкции глубина нейтрализации рассчитывается по формуле

(14а)
а длительность нейтрализации бетона защитного слоя соответственно по формуле

(15)
где
y1 - глубина нейтрализации бетона после

лет эксплуатации, устанавливается обследованиями;
y2 - прогнозируемая глубина нейтрализации бетона после

лет эксплуатации.
3.5. Значения глубины нейтрализации бетона защитного слоя, определенные в соответствии с
2.49, рассматривают как случайные независимые величины. Частота полной нейтрализации защитного слоя данной толщины определяется как произведение частот данной глубины нейтрализации на частоту данной толщины защитного слоя.
3.6. Порядок обработки результатов показан на приведенном ниже примере расчета конструкций, обследованных после 4 лет эксплуатации.
В
табл. 10 в гр. 1 - 3 приведены результаты обследования, полученные по методике, описанной в
прил. 4.
По полученным результатам строят кумулятивные кривые (кривые 1 и 2 на рис. 2).
Рис. 2. Кумулятивные кривые толщины
защитного слоя (1) и глубины нейтрализации бетона
в момент обследования (2), после десяти (3)
и двадцати (4) лет эксплуатации конструкций
По
формуле (15) рассчитывают для середины интервалов глубины нейтрализации бетона соответствующую глубину через

,

лет, в данном случае через 10 и 20 лет эксплуатации, и по этим результатам строят кривые 3 и 4.
По кривым 3 и 4 определяют
n3i,
n4i и

,

и вносят в табл. 10.
b | Толщина защитного слоя, мм | Частота, % | Глубина нейтрализации y1, мм | Частота, % |
в момент обследования | за 10 лет эксплуатации | за 20 лет эксплуатации |
n1i | |
n2i | n3i | | n4i | |
1 | 0 - 2 | 1,5 | 1,5 | 0 - 2 | 11 | 6 | 6 | 4 | 4 |
2 | 2 - 4 | 4 | 5,5 | 2 - 4 | 19,5 | 10 | 16 | 5 | 9 |
3 | 4 - 6 | 13 | 18,5 | 4 - 6 | 21,5 | 13,5 | 29,5 | 10 | 19 |
4 | 6 - 8 | 16,5 | 35 | 6 - 8 | 12,5 | 12,5 | 42 | 8 | 27 |
5 | 8 - 10 | 19,5 | 54,5 | 8 - 10 | 15 | 13 | 55 | 8,5 | 35,5 |
6 | 10 - 12 | 19,5 | 74 | 10 - 12 | 4,5 | 8 | 63 | 9,5 | 45 |
7 | 12 и более | 26 | 100 | 12 - 15 | 15 | 37 | 100 | 55 | 100 |
По полученным результатам рассчитывают частоты полной нейтрализации защитного слоя в момент обследования и через

и

лет по формулам
как показано в табл. 11.
Расчет показывает, что в момент обследования 36% конструкций имели полностью нейтрализованный защитный слой, за 10 и 20 лет эксплуатации количество таких конструкций достигнет соответственно 57 и 71%.
Таблица 11
Толщина защитного слоя, мм | Частота полной нейтрализации защитного слоя, % |
в момент обследования | за 10 лет | за 20 лет |
| | |
0 - 2 | 0,16 | 0,09 | 0,06 |
2 - 4 | 1,07 | 0,55 | 0,27 |
4 - 6 | 3,98 | 2,5 | 1,85 |
6 - 8 | 4,38 | 4,38 | 2,8 |
8 - 10 | 8,18 | 7,08 | 4,63 |
10 - 12 | 3,33 | 5,92 | 7,03 |
12 и более | 15 | 37 | 55 |
| 36,1 | 57,52 | 71,64 |
На основе проведенных расчетов планируются объем и сроки ремонтных работ по группе конструкций или объекту в целом.
Для каждой конкретной конструкции глубина полной нейтрализации бетона защитного слоя определяется по
формуле (14а), а длительность его полной нейтрализации по
формуле (15).
3.7. Бетон защитного слоя железобетонных конструкций, эксплуатирующихся в агрессивных хлоридных средах, необходимо проверять на наличие хлоридов. Присутствие хлоридов качественно обнаруживается на свежем сколе бетона с помощью индикатора - 1%-ного раствора азотнокислого серебра. Появление белого осадка свидетельствует о наличии значительного количества хлористых солей в бетоне.
Количественно хлориды следует определять химическим анализом в пробах бетона. Для этого отколотые или высверленные куски бетона следует распиливать на станке с алмазным диском слоями толщиной 2 - 3 мм, параллельными внешней поверхности конструкции.
По результатам анализа определяют глубину слоя бетона, на которой содержание хлоридов достигает предельно допустимого: 0,1% массы цемента для преднапряженных конструкций и 0,2% массы цемента для конструкций с обычным армированием.
Оценка ожидаемого срока службы бетона защитного слоя
железобетонных конструкций, эксплуатирующихся
при циклическом действии сульфатсодержащих
растворов и повышенных температур
3.8. Методика рекомендуется для оценки долговечности бетона защитного слоя железобетонных конструкций, сохраняемых или реконструируемых, эксплуатирующихся в условиях многократного увлажнения грунтовыми и техническими сульфатсодержащими водами с pH = 6 - 10 и нагрева до температуры не более 90 °C с длительностью цикла от 2 ч до 2 сут, соответствующего фактической длительности циклов увлажнения и высушивания на различных технологических переделах основных цехов предприятий черной металлургии.
3.9. В качестве предельного состояния железобетонной конструкции принят момент времени, когда бетон защитного слоя перестает выполнять свои защитные функции по отношению к арматуре. Признаками этого состояния является наличие равномерного слоя продуктов коррозии на поверхности арматуры, превышающей половину площади вскрытых участков.
3.10. Свойствами, определяющими долговечность бетона, является прочность, характеризуемая кубиковой прочностью при сжатии
R (МПа или кгс/см
2), непроницаемость, характеризуемая величиной капиллярного водопоглощения
W в процентах по массе, и коррозионная активность вяжущего, определяемая минеральным составом цемента, а для бетона эксплуатировавшихся конструкций величиной pH водной вытяжки.
3.11. Прогнозируемый срок службы эксплуатировавшегося бетона до наступления выбранного предельного состояния Tп определяется по формуле
Tп = f1f2f3Tд, (16)
где
Tд - срок службы в аналогичных условиях бетона с характеристиками, соответствующими требованиям главы
СНиП II-28-73* "Защита строительных конструкций от коррозии" для данной степени агрессивных воздействий;
f1 - коэффициент, учитывающий состояние бетона в защитном слое (см.
п. 3.13);
f2 - коэффициент, учитывающий толщину защитного слоя (см.
п. 3.14);
f3 - коэффициент, учитывающий температуру эксплуатации (см.
п. 3.15).
3.12. Срок службы бетона
Tд рассчитывают в зависимости от значений определяющих параметров (см.
п. 3.10) по графикам, приведенным на рис. 3. Данные о минеральном составе цемента принимаются по паспортам заводов-поставщиков, статистической отчетности и т.п. При отсутствии данных о минеральном составе цемента величину
Tд допускается определять по графику в на рис. 3.
Рис. 3. Зависимость долговечности бетона
Tд
от его плотности W и прочности R
I класс соответствует 6 - 10;
II класс - 11 - 15; III класс - 16 - 20;
IV класс - 21 - 25; V класс - 26 - 30 годам службы
для цементов, содержащих соответственно: а - C3A < 5%,
б - 5 < C3A < 7%, в - C3A > 7%
3.13. Коэффициент состояния бетона в защитном слое берется наименьшим из коэффициентов
f'1,
f"2, учитывающих соответственно фактическое значение величин водопоглощения (интегрального для всей толщины защитного слоя), pH водной вытяжки бетона на уровне арматуры. Коэффициент
f'1 определяют по формуле

(17)
где
W0 - нормативное значение величины водопоглощения бетона в соответствии с
табл. 5 главы СНиП II-28-73* "Защита строительных конструкций от коррозии" (нижний предел);
Wдоп принимается равным 7%. В тех случаях, когда значение величины водопоглощения
Wt в момент обследования более допустимого
Wдоп, в качестве
Wt принимается величина
Wдоп (7%). Коэффициент
f"1 определяют по формуле
f"1 = 1 - (12,5 - pHt), (18)
где pHt - фактическое значение величины pH. В тех случаях, когда pHt < 11,5, в качестве pHt принимается величина
pHдоп = 11,5.
3.14. Коэффициент
f2, учитывающий толщину защитного слоя, определяют по формуле

(19)
где

- фактическая толщина защитного слоя на обследуемом участке;

- толщина защитного слоя в соответствии с
табл. 7 главы СНиП II-28-73* "Защита строительных конструкций от коррозии".
3.15. Коэффициент условий эксплуатации
f3 зависит от максимальной температуры нагрева
t°
max в цикле:
f3 = 1, если 60 °C < t°max < 90 °C;
f3 = 1, 6, если t°max <= 60 °C.
Пример. Требуется оценить долговечность бетона в защитном слое после 9 лет эксплуатации в среднеагрессивной среде. При обследовании оказалось, что Rсж = 25 МПа (250 кгс/см2), водопоглощение Wt = 5,5%, pHt = 11,9. При возведении использовали цемент с содержанием C3A = 4,8%, толщина защитного слоя 2 см, максимальная температура 50 °C.
Коэффициент f4, учитывающий величины водопоглощения, равен
Коэффициент f5, учитывающий величины pH, равен
f5 = 1 - (12,5 - 11,9) = 0,4.
Коэффициент, учитывающий состояние бетона в защитном слое, равен
f1 = min (0,65; 0,4) = 0,4.
Коэффициент, учитывающий толщину бетона в защитном слое равен
Коэффициент условий эксплуатации f3 = 1,6.
Прогнозируемый срок службы по
рис. 3, а
TД = 15 - 11 лет.
Окончательно
Tд = 0,4·0,66·1,6(15 - 11) = 6,3 - 4,6 = 6 - 5 лет.
Оценка ожидаемого срока службы железобетонных конструкций
с поврежденным защитным слоем
3.16. В качестве допустимого срока службы принимается наибольший отрезок времени с момента обследования, в течение которого выполняются требования главы
СНиП II-21-75.
3.17. Прочностные свойства бетона, подвергающегося воздействию жидких сред, агрессивных по признаку сульфатной коррозии, устанавливается по формулам в зависимости от количества связанного цементом SO
3 (ангидрида серной кислоты);

(20)

, если

;

, если (21)

, если

;

(22)
где
W - водопоглощение бетона, %;

- содержание в цементе трехкальциевого алюмината C
3A (0,04 - 0,15 массы цемента), определяется по паспортным данным;
cs - концентрация сульфат-ионов, г/л, в омывающем конструкцию растворе, определяется из материалов обследования или по данным гидрогеологии,
cs = 1 - 66 г/л SO
42-;
y - глубина слоя бетона в элементе, для которого производится определение, см. Глубина разрушенного слоя определяется из выражения

(23)
где

- время прогнозирования в годах, не менее 10 и не более 30 лет;

;

;
d - параметр режима среды, d = 1 при постоянном погружении в раствор и d = 2,5 в зоне переменного горизонта (при t <= 40 °C).
3.18. Прочностные свойства бетона, подвергающегося коррозии, выщелачивания, оцениваются по формуле

(24)
где

(25)
При омывании конструкции водой с жесткостью <= 5° Н количество вынесенного CaO определяется по формуле

(26)
A вычисляется и учитывается только при значении
QCaO > 20%: если
QCaO = 30%,
A = 0,55; если
QCaO = 20%,
A = 0,4; промежуточные значения
A определяются по интерполяции; 3,15 см
2/год - эффективный коэффициент диффузии;
Kб = 0,002 для бетона с расходом цемента 300 кг/м
3 и более, с В/Ц <= 0,55.
Kб = 0,003 для бетона с расходом цемента менее 300 кг/м
3 с В/Ц > 0,6;

- прогнозируемое время, годы;
y - глубина слоя бетона, для которого производится определение количества вынесенного CaO;

; глубина разрушенного слоя
yразр определяется по формуле

(27)
При фильтрации воды через конструкцию количество вынесенного CaO из бетона определяется выражением

(28)
где
kф - коэффициент фильтрации, см/с;
q - количество Ca(OH)
2, г, в килограмме цемента (q ~= 600 г);

- время ожидаемого срока службы, годы;

.
3.19. Методика, описанная в
пп. 3.17 и
3.18, распространяется на бетоны, приготовленные на сульфатостойком и рядовых портландцементах с содержанием C
3A < 13%, C
3S <= 70%, плотностью не менее В4 и В/Ц не более 0,7, содержание минеральных добавок не должно превышать 15%, время прогнозирования не свыше 30 лет, срок первого обследования не менее 5 лет, при отсутствии влияния периодического замораживания и оттаивания.
3.20. В случае циклического агрессивного воздействия, описанного в
пп. 3.8 -
3.15 настоящего Руководства, принимаем, что уменьшение поперечного сечения стальной арматуры при равномерной коррозии происходит со средней скоростью, приведенной в табл. 12.
Степень агрессивного воздействия среды | Скорость коррозии, мм/год |
Неагрессивная | 0,025 |
Слабоагрессивная | 0,075 |
Среднеагрессивная | 0,2 |
Сильноагрессивная | 0,5 |
3.21. При определении ожидаемого срока службы железобетонных конструкций, подвергающихся воздействию жидких сред, агрессивных по признаку сульфатной коррозии, и конструкций, подвергающихся коррозии выщелачивания, понижение прочности бетона во времени оценивается соответственно по
формулам (20),
(24).
Вначале из
формул (24) или
(27) определяется время

, в течение которого произойдет разрушение защитного слоя бетона. Затем по главе
СНиП II-21-75 "Бетонные и железобетонные конструкции" определяются несущая способность конструкции без защитного слоя, ширина раскрытия трещин, прогибы и пр. При этом учитывается понижение прочности бетона в зависимости от глубины слоя.
С этой целью площадь сечения конструкции разбивается на слои, разно отстоящие от внешних поверхностей конструкции
(рис. 4). Число таких слоев должно быть не менее трех. Определяется глубина каждого слоя
yi - расстояние от середины слоя до ближайшей внешней грани. По
формулам (22) или
(26) при каждом
yi определяют

или

, затем по
формулам (21) или
(25) находят

или

, а по
формулам (20) или
(24) Rпр. Призменная прочность бетона, используемая в расчете по СНиП, определяется по формуле:

(29)
где Fi - площадь i-го слоя;
F - общая площадь сечения.
Рис. 4. Определение несущей способности элемента
с разрушенным защитным слоем
1 - первоначальный контур сечения 2 - контур сечения
при разрушенном защитном слое; 3 - слои бетона
различной прочности
Если окажется, что требования всех предельных состояний удовлетворяются, то срок службы железобетонной конструкции

.
Если же окажется, что хотя бы одно из требований не выполняется, то подбором находится такое наибольшее значение

, при котором выполняются требования всех предельных состояний. Подбор рекомендуется выполнять методом деления отрезка пополам следующим образом.
Проводится проверка выполнения требований предельных состояний при

. При этом площадь сечения уменьшается с учетом величины разрушенного слоя, определяемого по
формулам (23) или
(27); по
формуле (29) определяется вводимая в расчет прочность бетона. Если при

требования всех предельных состояний удовлетворяются, то

, и следующий расчет проводится при значении

, находящемся посередине между

и

, т.е.

. Если же при

не выполняются требования хотя бы одного из предельных состояний, то следующий расчет проводится при значении

, находящемся посередине между 0 и

, т.е. при

, и т.д.
Пример. Определить действительную несущую способность сжатого бетонного столбчатого фундамента склада химреактивов коксохимзавода и сделать прогнозирование ее на следующие 15 лет.
1. Проектные размеры 60 X 60 см. Проектная прочность бетона М300,

(170 кгс/см
2). Бетон нормальной плотности,
В/Ц = 0,6, цемент рядовой (C
3A = 6,5%). Проектная несущая способность
F = 60 X 60 см = 3600 см
2,
Nп = 6120 кН = (612 тс).
2. Данные химического анализа бетона пробы (SO
3) с глубины 3 см - 12%, 6 см - 5%, 10 см - 2%, 12 см - 0,5%. По
формуле (21) определяются значения
mб.с, равные 0,33; 0,86; 0,96; 0,99.
Прочность бетона по глубине соответственно 5,6 МПа (56 кгс/см2); 14,6 МПа (146 кгс/см2); 16,3 и 17 МПа (163 и 170 кгс/см2).
Несущая способность столбчатого фундамента равна
Пример. Осуществить прогноз несущей способности фундамента, омываемого раствором сернокислого натрия, с концентрацией сульфат-ионов 50 г/л на следующие 15 лет эксплуатации для бетона с характеристиками: В/Ц = 0,6; цемент по паспортным данным имеет C3A = 6,5%, концентрация сульфат-ионов в момент обследования 50 г/л.
По данным гидрогеологии и технологическим картам производства устанавливается стабильность режима среды эксплуатации конструкций.
По
формуле (22) производится определение количества связанного цементом серного ангидрида из раствора сульфатов концентрации 50 г/л:
а) из условия

устанавливается глубина разрушенного слоя бетона
yраз = 3,67 см;
б) определяется количество SO
3 на глубине
y = 6, 10, 12, 15, 20 см,

= 5,7; 3,43; 2,8; 2,28; 1,7%;
в) вычисляются значения коэффициента условий работы бетона по
формуле (21) по слоям по суммарным значениям

соответственно

= 0,48; 0,92; 0,95 и 1.
По значениям

и проектной прочности бетона устанавливают действительную прочность и несущую способность элемента
Nд + 15 = 4302 кН (430,2 тс).
Пример. Определить действительную несущую способность центрально-сжатой стойки в условиях омывания при коррозии выщелачивания.
Исходные данные: сечение опоры 20 X 20 см; бетон марки М200,

(115 кгс/см
2); расход цемента 300 кг/м
3, В/Ц = 0,6; вода жесткостью 4°; продолжительность омывания 20 лет.
Оценка несущей способности. По
формуле (27) определяется глубина разрушенного слоя из условия
QCaO = 30%:
Определяется количество выщелоченной CaO на глубине 1, 2 и 3 см по
формуле (26):
QCaO = 6,61%; 2,65% и 1,32%.
По
формуле (25) определяются значения коэффициента условий работы
mб.с для каждого слоя

;

и

.
Определяется несущая способность сечения
Исходная несущая способность N = 460 кН (46 тс).
Снижение несущей способности вследствие выщелачивания составило 7%.
Пример. Определить прочность бетона в конструкции, эксплуатирующейся в условиях фильтрации воды.
Прочность бетона по проекту М200,

(115 кгс/см
2). Бетон на рядовом портландцементе, содержит 600 г CaO в 1 кг цемента. Количество цемента в бетоне 300 кг/м
3. Химическим анализом установлено, что из бетона за период эксплуатации вынесено 36 г CaO на 1 кг цемента, что составляет 12% CaO.
Прогнозирование прочности бетона, через который предполагается фильтрация воды в течение 10 лет, выполняется следующим образом. Бетон, по проектным данным, имеет характеристику проницаемости kф = 1·10-5 см/с (или из данных испытаний).
По
формуле (28) определяется количество CaO, которое будет вынесено за 10 лет эксплуатации:
QCaO = 600(0,06·lg·1·10-5 + 0,6)
[1 - exp(-0,14·10)] = 142,3 г,
что составляет 23,7% общего количества CaO.
По
формуле (25) определяем коэффициент условий работы бетона:
Пример. Требуется найти ожидаемый срок службы балки, подвергающейся воздействию жидкой среды, агрессивной по признаку сульфатной коррозии. Будем учитывать только условия прочности нормальных сечений. Балка имеет прямоугольное сечение размером 30 X 72 см,
Fа = 42,46 см
2 
,
a = 10 см,
mб1 = 1, защитный слой 3 см.
По результатам обследований средняя фактическая кубиковая прочность бетона
Rср = 23,8 МПа (238 кгс/см
2), средний предел текучести стали
Rа = 412 МПа (4120 кгс/см
2), среднее квадратичное отклонение предела текучести стали

. Значения величин, входящих в
формулу (23):
d = 1;
W = 7%;

;
cs = 33,8 г/л. На балку действует изгибающий момент
Mд = 340 кН·м (34 тс·м).
Используя
табл. 13 главы СНиП II-21-75 "Бетонные и железобетонные конструкции", находим призменную прочность бетона
Rпр = 10,5 МПа (105 кгс/см
2), расчетное сопротивление арматуры:
Rа = (412 - 1,64·20)/1,2 = 316 МПа (3160 кгс/см2).
Вначале находим время

, в течение которого произойдет разрушение защитного слоя, равного 3 см:
По главе
СНиП II-21-75 "Бетонные и железобетонные конструкции" определяем несущую способность при

, получаем
M = 517 кН·м (51,7 тс·м) >
Mд = 340 кН·м (34 тс·м). Найдем несущую способность элемента с разрушенным защитным слоем. Разделим площадь сечения элемента на три слоя. В соответствии с
рис. 4,
yразр = 3 см;
b1 =
b2 = 5 см;
b3 = 4 см;
h1 =
h2 = 5 см;
h3 = 46 см.
Обозначим слой, ближайший к внешней грани, 1, следующий слой 2 и, наконец, внутренний слой 3. Для слоя 1 по
формулам (21) -
(23) находим, принимая y
1 = 5,5 см (расстояние от середины слоя 1 до ближайшей внешней грани):
F' = 2·55·66 + 2·5·14 = 800 см2,
где F1 - площадь слоя 1.
Аналогично для слоев 2 и 3 получаем:

;

;

; F
2 = 600 см
2,

;

;

, F
3 = 184 см
2.
Средняя призменная прочность бетона по сечению в соответствии с
формулой (29):
Определяя несущую способность сечения 24 X 66 см, получим M = 311 кН·м (31,1 тс·м) < Mд. Таким образом, разрушение сечения в результате уменьшения прочности бетона произойдет раньше, чем разрушится защитный слой.
Далее методом деления отрезка пополам находим наибольший отрезок времени, при котором действующий момент меньше момента, воспринимаемого сечением.
Определяем несущую способность при

. По
формуле (23) определяем толщину разрушенного слоя
Делим оставшееся сечение на три слоя:
b1 =
b2 =
b3 =
h1 =
h2 = 5 см;
h3 = 4,76 см. Выполняя расчеты аналогично проведенным при

, получаем
M = 360 кН·м (36 тс·м) >
Mд. Следующий расчет проводим при

и т.д. Результаты расчетов представлены в табл. 13. Наибольший отрезок времени

, для которого
Mд <
M составляет 13 лет.
Таблица 13
 , лет | yразр, см | Ширина bi слоя, см, при i |
1 | 2 | 3 |
0 | 0 | - | - | - |
19 | 3 | 5 | 5 | 4 |
10 | 2,2 | 5 | 5 | 5,6 |
14 | 2,6 | 5 | 5 | 4,8 |
12 | 2,4 | 5 | 5 | 5,2 |
13 | 2,5 | 5 | 5 | 5 |
Продолжение табл. 13
 , лет | yразр, см |  для слоя, МПа (кгс/см 3), при i | Rпр для сечения, МПа (кгс/см2) | M, кН·м (тс·м) |
1 | 2 | 3 |
0 | 0 | - | - | - | 10,5 (105) | 517 (51,7) |
19 | 3 | 7,7 (77) | 9,5 (95) | 9,9 (99) | 8,6 (86) | 311 (31,1) |
10 | 2,2 | 8,3 (83) | 9,7 (97) | 10 (100) | 9,1 (91) | 360 (36) |
14 | 2,6 | 8,0 (80) | 9,6 (96) | 10 (100) | 8,9 (89) | 337 (33,7) |
12 | 2,4 | 8,1 (81) | 9,7 (97) | 10 (100) | 9 (90) | 348 (34,8) |
13 | 2,5 | 8,1 (81) | 9,7 (97) | 10 (100) | 9 (90) | 343 (34,3) |
4. СПОСОБЫ УДАЛЕНИЯ ЧАСТЕЙ БЕТОННЫХ
И ЖЕЛЕЗОБЕТОННЫХ КОНСТРУКЦИЙ
4.1. Работы по удалению частей бетонных и железобетонных строительных конструкций могут включать полную разборку (разрушение) конструкции или ее элементов, образование в конструкциях проемов, борозд, сквозных и глухих отверстий, шанцев и т.д.
4.2. Указанные работы могут быть выполнены:
а) механическим способом с помощью отбойных электро- и пневмомолотков, пневмо- и гидромолотов, бетоноломов, электро- и пневмоперфораторов, электро- и пневмосверлилок, установок для резания и сверления бетона и железобетона коронками и дисками с алмазной крошкой, установок для резания бетона и железобетона водной струей высокого давления и др.;
б) взрывным способом (послойным с применением рассредоточенных зарядов и одноступенчатым с применением удлиненных зарядов на всю глубину разрушаемой конструкции), включая скалоломы, использующие подрыв заряда ВВ в шпуре, заполненном водой;
в) электрогидравлическим способом, основанном на использовании электрогидравлического эффекта (резкого повышения давления в заполненном водой и плотно закрытом шпуре при пропускании искрового разряда между расположенными в нем электродами);
г) термическими способами, основанными на способности бетона и железобетона плавиться при нагреве его до 2000 - 2500 °C с помощью кислородного порошково-кислородного копья, порошково-кислородного резака, реактивно-струйных горелок, электродуговых установок, использующих для плавления независимую и зависимую электрические дуги.
Кроме перечисленных существует ряд не нашедших пока применения способов разрушения бетонных и железобетонных конструкций, таких, как резка пазов и проемов в железобетоне толщиной до 0,3 м дисковыми пилами трения (материал диска - сталь IХ18Н9Т), извлечение нижней части колонн из фундамента при помощи гидродомкратов, разрушение бетона токами высокой частоты и т.д.
Возможные области применения приведенных в
п. 4.2 способов разрушения бетонных и железобетонных конструкций показаны в табл. 14.
Таблица 14
Способ разрушения и инструмент для его осуществления | Область применения |
Механический 1. Отбойные молотки электрические С-669, С-848, С-849, С-1015 и пневматические РБ-45, РМ-1, РМ-2 | Отделение частей бетонных конструкций толщиной до 0,5 м, образование в них проемов и борозд в любом пространственном положении, разборка колонн, балок, рубка оголовков свай |
2. Перфораторы электрические С-408Б, С-494Б, С-831, С-845, С-846 и пневматические ПР-19, ПР-20, ПР24ЛУБ, ПР25ЛБ, ПР30, ПР30Б, ПР30С, ПР30П | Образование в бетоне сквозных и глухих отверстий глубиной до 4 м и более, диаметром до 0,06 м (без разбуривания) в нижнем и вертикальном пространственных положениях, а также для образования отверстий в бетоне под анкерные устройства |
3. Бетоноломы электрические С-850 и пневматические С-358 | Полное разрушение бетонных конструкций, например фундаментов, отделение их частей в нижнем горизонтальном пространственном положении |
4. Сверлильные машины электрические С-480Б, И-28А, С-478, Э-1007, С-454А и пневматические П-1008, И-34А, П-1103, П-1024 | Образование в бетоне глухих и сквозных отверстий глубиной до 0,3 м, диаметром до 0,035 м в любом пространственном положении, могут применяться для образования отверстий в бетоне под анкерные устройства |
5. Молоты пневматические ПР-35, ПМ-30, ПММ-100, СП-66, ПН-1300, ПН-1700 и гидравлические УП-170, СП-62, МУР-1250 | Полное разрушение массивных бетонных конструкций, например фундаментов, в нижнем горизонтальном пространственном положении |
6. Установки для резания бетона и железобетона дисками с алмазной крошкой | Вырезка в бетоне и железобетоне толщиной до 0,25 м проемов, образование борозд в нижнем горизонтальном пространственном положении |
7. Установки для бурения бетона и железобетона коронками с алмазной крошкой | Образование глухих и сквозных отверстий в бетоне и железобетоне глубиной до 0,5 м, диаметром до 0,25 м в нижнем горизонтальном пространственном положении |
Взрывной | Полное разрушение массивных бетонных конструкций, например фундаментов, в нижнем горизонтальном и вертикальном пространственных положениях |
Термический 1. Кислородное копье | Образование в бетоне и железобетоне глухих и сквозных отверстий диаметром до 0,2 м, глубиной до 4,5 - 5 м в любом пространственном положении. Полная разборка строительных конструкций, образование в них проемов |
2. Порошково-кислородное копье (УФР-5) | Отделение частей бетонных и железобетонных конструкций толщиной до 1,5 м, образование в них глухих и сквозных отверстий диаметром до 0,2 м и проемов в любом пространственном положении |
3. Порошково-кислородный резак | Отделение частей бетонных и железобетонных конструкций толщиной до 0,4 м, например, разборка колонн, балок, срезка свай в вертикальном и нижнем горизонтальном пространственных положениях |
4. Реактивно-струйная горелка | Отделение частей бетонных и железобетонных конструкций толщиной до 0,5 м, образование в них проемов в любом пространственном положении |
5. Установка для электродугового плавления | Отделение частей бетонных и железобетонных конструкций толщиной до 1 м, образование в них глухих и сквозных отверстий диаметром до 0,2 м и проемов в вертикальном и потолочном пространственных положениях; отделение частей бетонных и железобетонных конструкций толщиной до 0,2 м, образование в них отверстий и проемов в нижнем горизонтальном пространственном положении |
При работе в нижнем горизонтальном пространственном положении обрабатывается горизонтальная поверхность, инструмент подается сверху вниз и отклонение его оси от вертикали составляет угол +/- 90°. При работе в вертикальном пространственном положении обрабатывается вертикальная поверхность, инструмент направлен горизонтально и отклонение его оси от горизонтали составляет угол +/- 90°. При работе в потолочном пространственном положении обрабатывается горизонтальная поверхность, инструмент направлен снизу вверх и его отклонение от вертикали составляет угол +/- 90°.
4.3 Эффективными и универсальными способами отделения частей бетонных и железобетонных конструкций, а также образования в них отверстий и проемов в условиях действующих цехов являются термические способы, при этом электродуговой способ наиболее экономичен, поскольку не требует дополнительного расхода дефицитных материалов (стальных труб, железного и алюминиевого порошка, кислорода, керосина) и использует стандартные источники питания (сварочные трансформаторы).
Направленному разрушению (плавлению) электродуговым способом подлежат бетон и железобетон любых марок и с любой степенью армирования. Увеличение прочности бетона и степени армирования приводит к увеличению производительности плавления.
Для образования в бетоне (железобетоне) отверстий путем электродугового плавления используется независимая и зависимая электрическая дуга, а также бездуговое протекание электрического тока через расплав бетона (электрошлаковый процесс).
4.4. Основной операцией, осуществляемой электродуговым плавлением, является образование в бетоне (железобетоне) отверстия. Отделение частей конструкций и образование в них проемов осуществляется методом последовательного проплавления отдельных отверстий.
Борозды глубиной до 0,1 м образуются непрерывным плавлением.
| | ИС МЕГАНОРМ: примечание. В официальном тексте документа, видимо, допущена опечатка: таблица 27 приводится в разделе 6, а не в приложении 5. | |
4.5. Электродуговое плавление бетона (железобетона) производится при силе тока от 300 А (ручные установки) до 2100 А. Максимальная производительность достигается при рабочем токе 1500 - 2000 А. Источниками питания для установки электродугового плавления бетона (железобетона) служат сварочные трансформаторы, типы и основные характеристики которых приведены в
табл. 27 прил. 5.
4.6. Увеличение рабочего тока электрической дуги приводит к увеличению производительности плавления отверстия в бетоне (железобетоне).
4.7. Напряжение зажигания электрической дуги должно быть не ниже 60 В, рабочее напряжение должно составлять 30 - 50 В.
4.8. В качестве неплавящихся электродов используются графитовые стержни сечением, соответствующим установленному рабочему току.
4.9. Конструкция установки для электродугового плавления бетона (железобетона) должна обеспечивать производительное плавление материала при устойчивом горении электрической дуги.
Конструкция установки и рекомендуемые технологические параметры электродугового плавления приведены в
прил. 5.
4.10. При работах связанных с удалением частей бетонных и железобетонных строительных конструкций, а также с образованием в них проемов, отверстий и т.д., должны соблюдаться требования главы
СНиП III-4-80 "Техника безопасности в строительстве".
5. ОСОБЕННОСТИ УЧЕТА И ОБЕСПЕЧЕНИЯ СОВМЕСТНОЙ РАБОТЫ
СТАРОГО И НОВОГО БЕТОНА СОСТАВНЫХ СЕЧЕНИЙ
5.1. Исходными данными для расчета составных сечений усиливаемых конструкций являются марка и модуль упругости старого и нового бетонов. Марка и модуль упругости старого бетона определяются методами, указанными в
разделе 2, округляются в меньшую сторону до значений, указанных в
табл. 11 и
18 главы СНиП II-21-75 "Бетонные и железобетонные конструкции". При этом марку старого бетона не следует принимать более М300 вне зависимости от фактических значений прочности, ввиду пониженной способности к залечиванию трещин в старом бетоне и возможности повышения прочности за счет накопления продуктов вторичной гидратации клинкерных и других реликтов.
5.2. При эксплуатации реконструируемых стержневых и плоских железобетонных элементов в нормальных температурных условиях (
t <= 50 °C) учет различия физико-механических свойств старого и нового бетонов производится в соответствии с "
Руководством по проектированию железобетонных сборно-монолитных конструкций" (НИИЖБ, М., Стройиздат, 1977). При этом старый бетон выполняет роль сборного элемента.
5.3. В случае использования в сжатой зоне одновременно старого и нового бетонов необходимо учесть состояние старого бетона на момент выполнения работ по укладке нового бетона.
Использование прочности старого бетона в зоне повреждения элемента, состояние которого отнесено к IV и V категории (см.
табл. 1), допускается только при специальном обосновании.
При усилении конструкций железобетонной обоймой, и особенно односторонним или двухсторонним наращиванием, рекомендуется максимально возможная разгрузка конструкции на момент усиления.
Если сохраняемая часть существующей конструкции по несущей способности исходя из расчетных сопротивлений бетона удовлетворяет фактическим нагрузкам на момент выполнения работ по усилению, то в сжатой зоне возможно полное использование прочности старого и нового бетонов при расчете на новые проектные нагрузки.
Если сохраняемая часть существующей конструкции по несущей способности исходя из нормативных сопротивлений бетона удовлетворяет фактическим нагрузкам на момент выполнения работ по усилению, то при расчете составных сечений расчетные сопротивления на сжатие нового бетона принимаются умноженными на коэффициент условия совместной работы mсовм. При усилении односторонним и двухсторонним наращиванием mсовм = 0,8; при усилении обоймой mсовм = 1. При этом прочность старого бетона используется полностью. С учетом указанных коэффициентов возможны случаи, когда полное использование нового бетона (при исключении из расчета на прочность старого бетона) явится более экономичным решением.
5.4. При эксплуатации реконструируемых стержневых и плоских железобетонных элементов при повышенных температурах (
t > 50 °C) учет различия физико-механических свойств старого и нового бетонов производится в соответствии с "Инструкцией по проектированию бетонных и железобетонных конструкций, предназначенных для работы в условиях воздействия повышенных и высоких температур. СН 482-76" (М., Стройиздат, 1977), а также "Рекомендациями по проектированию бетонных и железобетонных конструкций, предназначенных для работы в условиях попеременного увлажнения и высушивания при повышенных температурах (Харьковский Промстройниипроект, НИИЖБ, 1978).
5.5. В дополнение к требованиям, изложенным в
п. 5.4, при расчете прочности контактного слоя между старым и новым бетоном следует учесть требования
пп. 2.1 -
2.4 "Руководства по проектированию железобетонных сборно-монолитных конструкций", при этом значение касательных напряжений на контакте необходимо определять с добавлением температурно-усадочных напряжений, а в формуле (5) указанного Руководства величину
Rp112 принимать с учетом понижающих коэффициентов за счет температурно-влажностных воздействий в соответствии с документами, указанными в
п. 5.4 настоящего Руководства.
5.6. При расчете массивных плитных фундаментов, усиливаемых наращиванием сверху, боковой обоймой или совместно указанными способами, необходимо ввести дополнительный коэффициент условий работы растянутой арматуры на неоднородность старого и нового бетонов, который следует принять равным 0,9.
5.7. Для уменьшения величины напряжений по контакту между старым и новым бетоном, вызванных различием физико-механических свойств этих бетонов, и повышения адгезии рекомендуется в ответственных конструкциях на вертикальные, наклонные или горизонтальные поверхности бетона наносить слой клея, составы которого приведены в табл. 15, а технология выполнения - в
прил. 6.
Составляющие клея | Компоненты клея, масс. ч., составов | Нормативный источник |
| | |
1. Силоксановые клеи |
Жидкое стекло | 40 | 35 | 40 | |
Тринатрийфосфат | 40 | 35 | 40 | |
| | ИС МЕГАНОРМ: примечание. Взамен ГОСТ 10178-76 Постановлением Госстроя СССР от 10.07.1985 N 116 с 1 января 1987 года введен в действие ГОСТ 10178-85. | |
|
Портландцемент или шлакопортландцемент | 40 | 35 | 40 | ГОСТ 10178-76 |
|
|
Песок средней крупности | 17 - 19 | 30 | - | ГОСТ 8736-77 |
| | ИС МЕГАНОРМ: примечание. Межгосударственным советом по стандартизации, метрологии и сертификации от 21.10.1993 принят и с 1 января 1995 года введен в действие ГОСТ 12871-93. | |
|
Асбест | 1 - 3 | - | - | ГОСТ 12871-67* |
Андезитовая мука | - | - | 20 | ТУ 6-12-102-77 |
2. Акриловые клеи |
Полимер (порошок АСТ-Т) | 29 | 25 | 20 | ТУ 64-2-226-79 |
Отвердитель (жидкость АСТ-Т) | 29 | 25 | 20 | ТУ 64-2-226-79 |
Песок средней крупности | 42 | 50 | 60 | ГОСТ 8736-77 |
Примечание. Указанные составы рекомендуется применять: для горизонтальных поверхностей -
состав 1; для вертикальных и наклонных поверхностей -
составы 2 и
3.
В остальных случаях подготовка поверхности старого бетона для соединения его с новым бетоном осуществляется, как правило, механическим способом с помощью пневматического инструмента или вручную молотком и зубилом, бучардой и т.п. Другие способы (химический, огневой и др.) применяются при специальном их техническом и экономическом обосновании.
Перед укладкой нового бетона (за 10 - 30 мин до бетонирования) поверхность старого бетона должна быть продута воздухом под давлением и увлажнена водой, 10%-ным раствором ПВА или 20%-ным раствором латекса СКС-65ГП. При этом не допускается образование скоплений раствора на поверхности старого бетона.
Если на поверхности старого бетона, к которой прибетонируют элементы усиления или восстановления, выступают стержни арматуры, последние должны быть механическим способом очищены от ржавчины.
6. АНТИКОРРОЗИОННАЯ ЗАЩИТА И ГИДРОИЗОЛЯЦИЯ
ЖЕЛЕЗОБЕТОННЫХ КОНСТРУКЦИЙ
Подготовка поверхности защищаемых конструкций
6.1. Основные виды дефектов и повреждений поверхности бетонных и железобетонных конструкций приведены в табл. 16.
Класс поверхности | Состав поверхностного слоя |
I | Слой воды, снега или льда |
II | Цементная пленка |
III | Органический слой (лакокрасочные вещества, масло и водоросли) |
IV | Продукты коррозии, старая штукатурка и шпаклевка (рыхлый слой) |
6.2. Поверхности бетонных и железобетонных конструкций разделяют на четыре класса шероховатости в зависимости от колебаний высоты неровностей (табл. 17).
Таблица 17
Класс шероховатости | Допуск колебаний высоты неровностей, мм | Базовая длина замера, мм | Способ получения |
1-Ш | 2,5 - 5 | 200 | Черновая затирка |
2-Ш | 1,2 - 2,5 | 200 | Чистовая затирка, механическая обработка или шпаклевка |
3-Ш | 0,6 - 1,2 | 100 | | |
4-Ш | 0,3 - 0,6 | 100 | Шлифовка |
6.3. Подготовка поверхности заключается в улучшении физико-механических и химических свойств наружного слоя конструкции. Удаление ослабленных участков и получение требуемой шероховатости производят в основном ударно-абразивной обработкой. При необходимости повышения класса шероховатости на подготовленную поверхность наносят выравнивающий слой.
6.4. Подготовку поверхностей бетонных и железобетонных конструкций под нанесение покрытий при восстановлении и реконструкции сооружений и технологического оборудования необходимо производить в соответствии с ГОСТ 13015-75 "Изделия железобетонные и бетонные. Общие технические требования", ГОСТ 22753-77 "Подготовка поверхности строительных конструкций к окраске и оклейке обоями. Типовые технологические процессы",
СНиП III-15-76 "Бетонные и железобетонные конструкции монолитные" и
СНиП II-28-73* "Защита строительных конструкций и сооружений от коррозии".
6.5. Поверхности бетонных и железобетонных конструкций, подлежащие усилению и восстановлению защитно-декоративных свойств, должны удовлетворять требованиям, приведенным в табл. 18.
Таблица 18
Показатели | Допустимые значения физико-механических и химических свойств поверхности в зависимости от назначения под покрытия |
бетонные | облицовочные | лакокрасочные | оклеечные | мастичные |
1. Предел прочности при сжатии, МПа (кгс/см2), не менее: | | | | | |
для конструкций без отделки | 20 (200) | 15 - 20 (150 - 200) | 15 (150) | 20 (200) | 20 (200) |
для конструкций с цементно-песчаной штукатуркой или стяжкой | 15 (150) | 15 (80 - 150) | 8 (80) | 10 (100) | 10 (100) |
2. Класс шероховатости | 1-Ш | 3-Ш, 1-Ш | 3-Ш | 3-Ш, 2-Ш | 2-Ш |
3. Поверхностная пористость, % | Более 5 | 5 - 20 | 5 - 7 | Менее 10 | 5 - 10 |
4. Чистота, %, не менее | 92 | 92 - 97 | 97 | 95 | 97 |
5. Влажность поверхностного слоя, % по массе | Не менее 2 | 4 - 10 | Менее 5 | Менее 5 | Менее 4 |
6. Щелочность поверхностного слоя в единицах pH | Более 11,5 | Предельные значения pH определяются в зависимости от свойств прилегающего подслоя покрытия и наличия арматуры |
7. Волнистость поверхности, мм | Не нормируется | 2 - 10 | 2 - 5 | 5 - 10 | 5 - 10 |
8. Адгезионные свойства | 0,95 | 0,9 | 0,9 | 0,8 | 0,8 |
Влажность для покрытий из водорастворимых составов не нормируется, но на поверхности не должно быть видимой пленки воды.
Крупные каверны площадью более 0,1 м
2 необходимо заделать расширяющимся набрызг-раствором (на расширяющемся цементе или в соответствии с
прил. 7). Набрызг-раствор следует применять большей прочности, чем прочность бетона конструкции.
6.6. Выравнивающие слои следует наносить на обработанную поверхность. Толщина выравнивающего слоя, наносимого за один проход, не должна превышать 20 мм. Составы выравнивающего слоя необходимо подбирать в соответствии с "Руководством по защите от коррозии лакокрасочными покрытиями строительных бетонных и железобетонных конструкций, работающих в газовлажных средах" (НИИЖБ, М., Стройиздат, 1978). Основные показатели выравнивающих слоев приведены в табл. 19. Некоторые эффективные способы устранения дефектов (отколов, каверн, трещин и др.) приведены в "Руководстве по эксплуатации строительных конструкций производственных зданий промышленных предприятий" (ЦНИИпромзданий, М., Стройиздат, 1981), и в "Указаниях по защите от коррозии и заделке повреждений бетонных и железобетонных конструкций мостов" (М., Транспорт, 1967).
Таблица 19
Состав материала слоя, масс. ч. | Качество получаемой поверхности | Адгезия, МПа (кгс/см2) |
класс шероховатости | поверхностная пористость, % |
Цемент - 1, вода - 1 | 3-Ш | 1,4 | 2,23 (22,3) |
Цемент - 1, песок мол. - 2 | 3-Ш | 1,25 | 1,62 (16,2) |
Цемент - 1, моршалит - 1 | 3-Ш | 1,3 | 2,37 (23,7) |
То же | 3-Ш | 1,1 | 2,15 (21,5) |
Цемент - 20, известь - 15, моршалит - 65 | 3-Ш | 1 | 1,95 (19,5) |
Рекомендуется также для этой цели использовать полимерцементный раствор на основе синтетического латекса, состав которого приведен в табл. 20.
Таблица 20
Исходные материалы | Количество, мас. |
Синтетический латекс БСК-65ГПН | 47,4 |
Портландцемент | 26,3 |
Мелкозернистый песок М400 - М500 | 26,3 |
Для приготовления полимерцементного раствора отдозированное количество латекса, цемента и песка загружается в растворомешалку и тщательно перемешивается в течение 10 - 15 мин до получения состава однородной консистенции. Полученный состав пропускают через краскотерку.
Нанесение полимерцементного раствора может быть осуществлено механизированным способом или вручную. Расход материала составляет 1,2 - 1,5 кг на 1 м2 защищаемой поверхности. Время формирования покрытия 2,5 - 3 ч при температуре 20 +/- 2 °C и относительной влажности воздуха 69%.
Состояние поверхности должно быть отражено в акте на скрытые работы.
6.7. Бетонные и железобетонные поверхности необходимо за 2 - 3 ч перед нанесением водорастворимых покрытий обильно смочить водой. За 1 ч до нанесения покрытий следует удалить с поверхности лужицы воды.
6.8. Поверхность бетона, который уложен более чем за 4 ч до укладки следующего слоя, необходимо обработать. Срок перерыва в бетонировании, при котором не обязательна обработка поверхностей, должен быть менее 4 ч в зависимости от состава бетона и условий твердения.
6.9. Удаление поверхностного поврежденного слоя бетона необходимо производить избирательно с минимальным нарушением участков бетона с удовлетворительным качеством.
6.10. Механическая очистка поверхности бетона для антикоррозионной защиты является основным и наиболее надежным видом подготовки поверхности. Ее рекомендуется производить струйным, в частности, гидропескоструйным способом (смесью песка с водой) для предотвращения образования песчаной пыли при очистке.
При небольших объемах и в стесненных условиях рекомендуется производить очистку поверхности бетона, арматуры, закладных деталей с помощью электрических торцовых щеток из стальной проволоки, пневматических игольчатых пистолетов и т.п. В качестве ручного инструмента рекомендуется использовать скребки, шаберы, стальные щетки и др.
При оголении значительно прокорродировавшей арматуры и удалении бетона вокруг арматуры в процессе реконструкции или восстановления допускается производить очистку арматуры от слоистой ржавчины термическим способом с помощью ацетиленокислородных горелок или паяльных ламп. В результате нагрева продукты коррозии разрыхляются, после чего легко удаляются, например проволочными щетками.
Допускается также при специальном обосновании осуществлять очистку арматуры и закладных деталей химическим способом - обработкой поверхности растворами минеральных кислот: серной (15 - 20%) или соляной (10 - 12%). Очистка улучшается, если растворы кислот подогреть до температуры 60 - 70 °C. Очищенную поверхность затем следует тщательно промыть водой, а для нейтрализации остатков кислоты 5%-ным раствором кальцинированной соды.
6.11. Обработка поверхностей для получения шероховатости более 2-Ш должна производиться абразивным способом в соответствии с ГОСТ 22753-77 "Подготовка поверхностей строительных конструкций к окраске и оклейке обоями. Типовые технологические процессы".
6.12. Струйные способы обработки основаны на разрушении или нагревании поверхности энергией одно- или двухкомпонентной струи. Различают следующие струйные способы: газоструйный, гидроструйный, пескоструйный, термоструйный, термоабразивный (табл. 21 и
22).
Способ | Обозначение | Область применения |
Газоструйный | В | Обеспыливание |
Гидроструйный | Г | Обеспыливание, смачивание, удаление загрязнений и очистка стыков сборных конструкций |
Гидроабразивный | ГА | Удаление продуктов коррозии, поверхностного слоя бетона, обнажение зерен крупного заполнителя и смачивание |
Пескоструйный | П | Получение шероховатости, удаление продуктов коррозии и поверхностного слоя бетона, обнажение зерен крупного заполнителя |
Термоструйный | Т | Удаление органических веществ, снега, льда, сушка и обеспыливание |
Термоабразивный | ТА | Удаление продуктов коррозии толщиной слоя 15 - 20 мм, выравнивание поверхности, обнажение зерен крупного заполнителя и получение шероховатости 2-Ш и ниже, очистка стыков сборных конструкций |
Способ | Состав струи | Давление подачи рабочих компонентов, МПа | Оптимальная толщина снимаемого слоя бетона | Шероховатость поверхности | Производительность, м2/ч, при удалении слоя |
бетона | пыли |
Газоструйный | Воздух | 0,5 - 0,6 | - | Не измеряется | - | 70 |
Гидроструйный | Вода | 1,5 - 10 | 0,1 - 0,2 | 2-Ш | - | 50 |
Гидроабразивный | Вода + песок | 0,5 - 15 | 0,5 - 5 | 3-Ш, 1-Ш | 5 - 7 | - |
Пескоструйный | Воздух + песок | 0,5 - 0,6 | 0,5 - 5 | 3-Ш, 1-Ш | 8 - 10 | - |
Термоструйный | Газообразные продукты сгорания | 0,5 - 0,6 | 1 - 0,2 | 3-Ш | - | 100 |
Термоабразивный | Газообразные продукты сгорания | 0,5 - 0,6 | 0,5 - 7 | 2-Ш, 1-Ш | 20 - 22 | - |
6.13. Струйная обработка осуществляется воздействием струи, направленной на поверхность с расстояния 150 - 250 мм и под углом 30 - 45°.
6.14. Газоструйный способ заключается в удалении пыли воздействием воздушной струи. Для его осуществления применяются газоструйные аппараты, состоящие из сверхзвукового сопла с диаметром горловины 5 - 8 мм, резинотканевого воздухопровода диаметром 11 мм, воздухоочистителя (типа СО-15А, выпускаемого Вильнюсским заводом строительно-отделочных машин и др.). Изготовление сопел возможно в механических мастерских строительных организаций, а остальные узлы выпускают серийно. При работе в помещениях, для обеспыливания необходимо применять пылесосы.
6.15. Гидроструйный способ заключается в удалении пыли, загрязнений и смачивании воздействием гидравлической струи. Для его осуществления применяют аппараты, состоящие из насоса с диаметром горловины 0,5 - 1 мм, резинотканевого рукава, насоса высокого давления и бака для воды.
6.16. Гидроабразивный способ заключается в разрушении, удалении и смачивании поверхностного слоя воздействием двухкомпонентной высокоскоростной струи, состоящей из воды и песка. Для его осуществления применяют аппараты, состоящие из сопла с диаметром горловины 10 - 15 мм, резинотканевых рукавов диаметром 20 - 25 мм, насоса высокого давления и бака для пульпы.
В качестве гидроабразивных аппаратов могут применяться машины для набрызг-бетонирования. Пульпа приготовляется из трех частей песка и семи частей воды. Расход песка составляет 200 - 250 кг/ч.
6.17. Пескоструйный способ заключается в разрушении и удалении поверхностного слоя воздействием высокоскоростной двухкомпонентной струи, состоящей из воздуха и песка. Для его осуществления применяют аппараты, состоящие из сопла с диаметром горловины 6 - 10 мм, резинотканевых рукавов, камерного питателя и компрессора, обеспечивающего подачу сжатого воздуха до 300 м3/ч (типа ЗИФ-5).
Пескоструйные аппараты ПА-60 и ПА-140 изготовляет завод монтажных заготовок Минмонтажспецстроя (г. Лиски Воронежской обл.). Расход песка составляет 5 - 6 кг/мин, скорость абразивных частиц достигает 80 м/с. Расход воздуха составляет 100 - 140 м3/ч, а песка 200 - 240 кг/ч.
6.18. Термоструйный способ заключается в удалении льда, пыли и органических веществ воздействием высокотемпературной сверхзвуковой струей продуктов сгорания. Для его осуществления применяют аппараты, состоящие из реактивной горелки с диаметром горловины сопла 12 - 14 мм, резинотканевых рукавов для подачи воздуха и горючего, топливного бака вместимостью 30 л и компрессора, обеспечивающего подачу сжатого воздуха 300 м3/ч (типа ЗИФ-5 и др.).
Горелки реактивного типа (термоотбойник Т-5) изготовляет завод "Автогенмаш" (г. Кировокан, Армянская ССР). Расход горючего составляет 6 - 7 кг/ч. Криворожский горнорудный институт разработал термоструйные аппараты ТА-12 и ТСА-12, работающие на керосине. Опытная партия выпущена Криворожским центральным рудоремонтным заводом (Украинская ССР). Их могут изготовлять ремонтные мастерские строительных организаций (см.
прил. 9).
6.19. Термоабразивный способ заключается в удалении продуктов коррозии и поверхностного слоя бетона воздействием двухкомпонентной сверхзвуковой высокотемпературной струи, состоящей из продуктов сгорания и абразивных частиц (речной песок). Для его осуществления применяют аппараты, состоящие из реактивной горелки с диаметром горловины сопла 12 мм, резинотканевых рукавов для подачи горючего, воздуха и аэросмеси (воздух + песок), топливного бака, камерного питателя и компрессора, обеспечивающего подачу сжатого воздуха 300 м3/ч (типа ЗИФ-5). Скорость разгона абразивных частиц достигает 400 м/с. Расход горючего (керосина) составляет 6 - 7 кг/ч, песка фракции 1 - 2 мм - 150 - 180 кг/ч.
6.20. Способы и последовательность обработки необходимо применять с учетом состояния и требуемого класса шероховатости поверхности (табл. 23).
Таблица 23
Класс шероховатости | Способ обработки и вид поверхности |
1 | 2 | 3 | 4 |
3-Ш | Т | ГА | Т + П + ВС | ТА + ВС |
2-Ш | Т + П + В | П + В | ТА + Г | ТА + Г |
1-Ш | ТА + В | ТА + Г | ТА + Г | ТА + Г |
Примечание. Приняты обозначения: вида поверхности в соответствии с
табл. 16 и способа обработки -
табл. 21. Нанесение выравнивающего слоя обозначено ВС.
| | ИС МЕГАНОРМ: примечание. В официальном тексте документа, видимо, допущена опечатка: имеется в виду СНиП III-15-76, а не СНиП II-15-76. | |
6.21. Удаление цементной пленки необходимо производить без повреждения слоев бетона в соответствии со
СНиП II-15-76 "Бетонные и железобетонные конструкции монолитные".
Прочность бетона должна быть не менее: 0,2 МПа - при обработке водяной или водовоздушной струей; 1,5 МПа - при обработке металлической щеткой; 5 МПа - при обработке гидроабразивной струей или механической шарошкой.
Очистка водой поверхностей ограждающих конструкций из легкого бетона не допускается.
6.22. Освещенность поверхности при обработке должна быть не менее 50 лк.
6.23. Работы по удалению поверхностного слоя конструкций действующих зданий и сооружений должны производиться в соответствии с рабочими чертежами, проектом производства работ, с соблюдением требований главы
СНиП III-4-80 "Техника безопасности в строительстве". Кроме того, необходимо соблюдать требования по технике безопасности, изложенные в инструкциях по эксплуатации используемых аппаратов, оборудования и механизмов.
6.24. Контроль качества поверхности заключается в сравнении физико-механических и химических свойств поверхностного слоя бетонных и железобетонных конструкций с нормативными. Его осуществляют пооперационно сотрудники лабораторий и технический персонал строительных организаций в следующей последовательности: определяются прочность, шероховатость, поверхностная пористость, чистота, влажность, щелочность, волнистость, адгезионные свойства.
6.25. Прочность поверхностного слоя бетона необходимо определять неразрушающими методами в соответствии с
разделом 2 настоящего Руководства.
6.26. Поверхностную пористость необходимо подсчитывать процентным соотношением суммарной площади открытых раковин и углублений к базовой площади измерения, равной 4·105 мм2. Суммарная площадь открытых раковин и углублений определяется по профилограммам поверхности, построенным в масштабе или путем визуальной оценки исследуемых участков (пористость 1 - 10%).
6.27. Чистоту поверхности необходимо оценивать процентным соотношением общей площади измерений, равной 0,25 м2, к суммарной площади загрязненных участков. Загрязненным считается участок, покрытый слоем продуктов коррозии, пылью или жировыми пятнами. Наличие пыли определяется весовым методом, а жировых пятен - методом смачивания поверхности или визуально.
6.28. Весовой метод определения чистоты заключается в подсчете количества материала, удаленного с поверхности за один проход металлической щеткой размером 120 x 50 мм при определенной силе прижатия. Сила прижатия зависит от прочности материала конструкции и равна для тяжелого бетона 50 - 60 Н, а для легкого 20 - 30 Н. Сбор материала производится на плотную бумагу, прижатую к низу исследуемого участка. Участок считается загрязненным, если количество пыли превышает 20 г на 1 м2.
6.29. Метод смачивания поверхности заключается в определении изменения водопоглощения поверхностным слоем. Для этого обрабатывают поверхность водой из краскопульта, фиксируя на ней появление ясно выраженных блестящих участков, где органические вещества снижают водопоглощение бетона.
6.30. Влажность поверхности следует определять в соответствии с ГОСТ 22753-77 "Типовые технологические процессы. Подготовка поверхностей строительных конструкций к окраске и оклейке обоями" методом высушивания проб или измерением диэлектрической проницаемости. Для измерения диэлектрической проницаемости применяют электронный влагомер ВКСМ-1 по ГОСТ 21718-76.
6.31. Щелочность следует определять в соответствии с
п. 2.49 настоящего Руководства.
6.32. Волнистость поверхности необходимо определять измерением расстояний от плоскости, соприкасающейся с вершинами максимальных выступов до дна максимальных впадин. Поверхности, предназначенные под высококачественную отделку, следует проверять электрической лампой с рефлектором, имеющим узкую щель, в соответствии с ГОСТ 22753-77 "Типовые технологические процессы. Подготовка поверхностей строительных конструкций к окраске и оклейке обоями".
6.33. Адгезионные свойства поверхности следует рассчитывать отношением прочности сцепления наносимого покрытия с поверхностью (адгезия) к минимальной прочности материала или поверхностного слоя (когезия).
| | ИС МЕГАНОРМ: примечание. Взамен ГОСТ 10180-78 с 1 января 1991 года в части определения прочности бетона по контрольным образцам Постановлением Госстроя СССР от 29.12.1989 N 168 введен в действие ГОСТ 10180-90; в части определения прочности по образцам, отобранным из конструкций, Постановлением Госстроя СССР от 24.05.1990 N 50 введен в действие ГОСТ 28570-90. | |
Когезию необходимо определять в соответствии с нормативными документами или принимать по паспорту на применяемые материалы. Когезию наносимого бетона следует определять в соответствии с ГОСТ 10180-78 "Бетоны. Методы определения прочности на сжатие и растяжение". Когезию поверхностного слоя бетона конструкции необходимо определять методом испытаний на отрыв (ЦНИИЛ Главкиевстроя) по
ГОСТ 22690.3-77 "Бетон тяжелый. Метод определения прочности отрывом".
6.34. Оценку качества поверхности необходимо производить после определения перечисленных физико-механических и химических свойств поверхностного слоя путем сопоставления результатов испытания с нормативными требованиями.
Рекомендации по применению добавок
и технология укладки нового бетона
6.35. При выполнении ремонтных работ, восстановлении поврежденного защитного слоя, ремонте участков конструкций с механическими повреждениями, замене прокорродировавших слоев бетона, усилении или замене поврежденных от коррозии бетонных и железобетонных элементов новыми конструкциями, выполняемыми из монолитного бетона, рекомендуется применять химические добавки согласно "
Руководству по применению химических добавок в бетоне" (НИИЖБ, М., 1981).
6.36. При бетонировании густоармированных и тонкостенных элементов, а также восстановлении защитного слоя с установкой опалубки рекомендуется применять добавки - пластификаторы и суперпластификаторы.
6.37. При необходимости исходя из условий эксплуатации получать бетон повышенной плотности рекомендуется также применять добавки - пластификаторы и суперпластификаторы, при этом эффект пластификации следует реализовать одновременно со снижением расхода воды затворения.
6.38. Конструкции, поврежденные вследствие воздействия воды и отрицательных температур, следует восстанавливать с применением добавок воздухововлекающего, газообразующего или пластифицирующе-воздухововлекающего типа. Для обеспечения высокой морозостойкости бетона необходимо, чтобы бетонная смесь в уплотненном состоянии содержала 4 - 5% вовлеченного воздуха. При изготовлении бетона высокой морозостойкости следует руководствоваться "Указаниями по обеспечению долговечности бетонных и железобетонных конструкций морских гидротехнических сооружений. ВСН 6/118-74" (Минморфлот и Минтрансстрой, 1976).
6.39. При необходимости ремонтировать большое количество участков конструкций с использованием в каждом случае небольшого объема бетонной смеси рекомендуется применять добавки - замедлители схватывания, что позволяет уменьшить или исключить полностью непроизводительные потери бетонной смеси.
6.40. Ремонт железобетонных конструкций, эксплуатирующихся в агрессивных средах, вызывающих коррозию стальной арматуры в бетоне (растворы и аэрозоли хлористых солей, хлористый водород и т.д.), следует выполнять с применением добавок - ингибиторов коррозии стали.
Рекомендуется также применять ингибиторы при замене карбонизированного бетона защитного слоя. Во всех подобных случаях карбонизированный или насыщенный солями защитный слой бетона у арматуры должен быть удален, арматура тщательно очищена от ржавчины и защищена слоем бетона с добавками-ингибиторами.
6.41. В специальных случаях при выполнении работ при отрицательных температурах или необходимости ускоренного набора прочности бетона следует применять соответственно противоморозные добавки или ускорители твердения, учитывая ограничения, налагаемые на их использование "
Руководством по применению химических добавок в бетоне" (НИИЖБ, М., 1981).
6.42. Для получения максимального эффекта следует применять комплексные добавки, состав которых и оптимальная дозировка приведены в
Руководстве, указанном выше.
6.43. При большой площади и относительно небольшой толщине слоя нового бетона его рекомендуется в доступных местах наносить методом торкретирования или набрызга, в частности, расширяющихся составов на основе портландцемента
(прил. 7). Последние целесообразно применять, например, при креплении стенок котлована методом торкретирования (набрызга) для образования непроницаемого безусадочного гидроизоляционного слоя.
Раствор расширяющегося состава на портландцементе
(прил. 7) наносится методом набрызга. Способ набрызга в сравнении с торкретом позволяет точнее регулировать водоцементное отношение, а также использовать водные растворы добавок. При относительно небольших площадях защищаемой поверхности рекомендуется наносить набрызг-раствор с помощью ручного бетономета ОРГРЭС.
6.44. Железобетонные конструкции, испытывающие интенсивный нагрев до температуры более 200 °C и абразивный износ, рекомендуется защищать жаростойкими растворами, наносимыми методом торкрета. Составы раствора приведены в табл. 24, а технология их приготовления и нанесения - в
прил. 7.
Компоненты бетона | Расход компонентов, кг/м3 |
Вяжущее - быстротвердеющий портландцемент марки М500 | 400 - 450 |
Тонкомолотая добавка - шамот кл. Б фракции менее 0,088 мм | 150 - 190 |
Заполнители: | |
шамот кл. Б фракции до 5 мм | 550 - 620 |
шлак силикомарганца фракции до 5 мм | 650 - 750 |
Затворитель - вода (сверх 100%) | 200 - 220 |
Состав имеет следующие основные физико-механические свойства.
Прочность бетона на быстротвердеющем цементе при сжатии, МПа (кгс/см2):
В возрасте 1 сут ............................. 9 - 12 (90 - 120)
" 2 " ............................. 18 - 24 (180 - 240)
" 3 " ............................. 25 - 30 (250 - 300)
После сушки при температуре 110 °C ........... 36 - 42 (360 - 420)
Прочность бетона на обычном портландцементе марки М500 соответственно
составляет:
В возрасте 1 сут ............................. 6 - 9 (60 - 90)
" 2 " .............................. 12 - 15 (120 - 150)
" 3 " .............................. 15 - 18 (150 - 180)
После сушки при температуре 110 °C ........... 37 - 40 (370 - 400)
Износостойкость бетонов после сушки, г/см2 ... 0,09 - 0,1
Термическая стойкость, теплосмены нагрева
до 800 °C и остывания в воде ................. 17 - 18
Теплопроводность бетонов после сушки,
ккал/(мм·град) ............................... 0,86
Объемная масса бетона после сушки, кг/м3 ..... 2000 - 2080
Защита железобетонных конструкций поверхностной пропиткой
6.45. Повышение непроницаемости и связанных с ней свойств бетона доступных для производства работ граней сохраняемых конструкций рекомендуется осуществлять путем их поверхностной пропитки, в частности, составами на основе петролатума и высших жирных кислот в соответствии с "Инструкцией по технологии поверхностной пропитки железобетонных конструкций модифицированным петролатумом. ВСН 67 УССР 345-79".
Указанная пропитка не рекомендуется для конструкций, которые в процессе эксплуатации могут подвергаться действию кислот, органических растворителей, нефти, нефтепродуктов и масел.
6.46. Пропиточная композиция наносится на защищаемую поверхность распылением, после чего поверхность прогревают с помощью газовых, бензиновых горелок, электронагревателей и др. до достижения требуемой глубины пропитки.
Пропитку можно осуществлять в любое время года при отсутствии источников увлажнения пропитываемой поверхности. Параметры прогрева устанавливают опытным путем в зависимости от вида теплоносителя и температуры окружающей среды.
6.47. Требуемая минимальная глубина пропитки, мм, в зависимости от марки пропитываемого бетона по водонепроницаемости: B8 - 1; B6 - 2; B4 - 3; менее B4 - более 3.
6.48. Контроль глубины пропитки рекомендуется осуществлять люминесцентным методом, в основу которого положено возбуждение люминесценции высокомолекулярных углеводородов (петролатум, парафин, церезин) и металлических мыл (кальциевые соли высших жирных кислот) длинноволновым ультрафиолетовым светом. Для этого используются ртутные кварцевые лампы ПРК-4, СВД-12СА и светофильтр УФО-6. Могут быть применены стандартные установки "Малютка", ВМО-1. Образцы, отобранные из пропитанной конструкции, устанавливают в области действия источника ультрафиолетового излучения и замеряют ширину люминесцирующей зоны. После отбора образцов пропитка на сколотых участках восстанавливается.
6.49. При необходимости обеспечения повышенной гидроизоляции и антикоррозионной защиты (для I и III вида коррозии сильной степени агрессивного воздействия) рекомендуется помимо поверхностной пропитки нанести на защищаемую поверхность дополнительный покровный слой из смеси битума и петролатума толщиной 2 - 3 мм.
Антикоррозионная защита и усиление железобетонных
элементов армированными полимерными материалами
6.50. Слой полимерного армированного материала расчетной толщины, нанесенный на железобетонную конструкцию, защищает ее от агрессивных воздействий окружающей среды и одновременно повышает ее несущую способность, жесткость и трещиностойкость, воспринимая на себя часть усилий и изменяя напряженно-деформированное состояние бетона; он увеличивает прочность поверхностных слоев бетона на растяжение и его предельную растяжимость.
Армированный полимерный материал может наноситься на защищаемую конструкцию в виде замкнутого слоя (обоймы колонн, балок) или с одной стороны (например, на поверхность плит покрытий и перекрытий) и соответственно применяться для усиления изгибаемых, растянутых и сжатых с различными эксцентриситетами приложения нагрузок элементов.
6.51. Толщина наносимого на конструкции полимерного армированного слоя определяется расчетом, в котором он учитывается как внешняя листовая арматура. Расчет ведется в соответствии с главой
СНиП II-21-75 "Бетонные и железобетонные конструкции" и "Рекомендациями по проектированию и расчету строительных конструкций с применением пластмасс" (М., ЦНИИСК, 1972).
При этом предполагается совместность деформаций бетона и полимерного слоя.
Прочность бетона на растяжение следует принимать равной 2,5
Rр по главе
СНиП II-21-75 "Бетонные и железобетонные конструкции".
6.52. Тип полимерного связующего подбирается по табл. 25 в зависимости от эксплуатационных условий, вида и степени агрессивного воздействия. В условиях реконструкции должны использоваться связующие преимущественно холодного отверждения. Температура наружного воздуха при устройстве армированного полимерного слоя должна быть не менее 15 °C.
Таблица 25
Марка смолы | Область применения |
Полиэфирные смолы: | |
ПН-3, ПН-4, ПН-62 (ОСТ 6-05-1471-78) (ВТУП-220-60) | Неотапливаемые помещения с избыточным тепловыделением (летом 50 - 60 °C, зимой ниже 0 °C, влажность 60 - 75%) |
ПН-10 (ОСТ 6-05-1471-78) | Конструкции, подвергающиеся действию растворов и паров серной кислоты |
ПН-1 (ОСТ 6-05-1471-78) | Наружные поверхности ограждающих конструкций зданий и несущие конструкции открытых сооружений, смачивающихся дождевой водой |
Эпоксидные компаунды: | |
К-54/6 (ВТУ П-285-62) К-П5 (ТУ 6-05-1251-75) | Неотапливаемые помещения с избыточным тепловыделением; конструкции, температура поверхности которых не превышает 50 °C |
К-153 (ТУ 6-05-1584-77) | Помещения с влажностью выше 75% |
К-176 (ТУ 6-05-1251-75) | Конструкции горячих цехов при экранировании и вентиляции (температура поверхности 80 - 100 °C) |
К-156 (ТУ 6-05-1380-76) (КДА) | Железобетонные конструкции, температура поверхности которых не превышает 50 °C |
К-139 (ТУ 6-05-211-1079-76) | Железобетонные конструкции подземных сооружений, подвергающиеся коррозии в зоне переменного уровня грунтовых вод, отстойники, резервуары для технической воды и т.п. |
В качестве армирующего материала рекомендуются стеклянные ткани полотняного переплетения марок А, Т-13, Т-23 при полиэфирном связующем и Т-14-78 при эпоксидном; переплетения "сатин 8/3; 5/3" - марок Т-10, Т-11, Т-12 при полиэфирном связующем и Т-22-78, Т-10-80 - при эпоксидном. Кроме того, применяются стеклоровинг РБН10-2520-289, РБН10-1260-289.
6.53. Нанесение полимерных армированных материалов может производиться методом контактного формования или напылением.
Контактное формование заключается в наложении армирующего слоя на поверхность бетона защищаемой конструкции с одновременной пропиткой этого слоя связующим, которое выполняется вручную кистями или распылительным пистолетом, после чего производится прижатие рифленым валиком для удаления пузырьков воздуха и уплотнения стеклопластика.
Особенность метода напыления состоит в одновременности подачи на поверхность бетона рубленого волокна и связующего с последующим уплотнением прикатывающими валиками. Напыление осуществляется распылительным пистолетом, к которому подсоединяются устройства для подготовки и подачи стекловолокнистого наполнения и связующего.
Технологический процесс усиления полимерными армированными материалами включает: подготовку поверхности бетона; подготовку связующего и наполнителя; совмещение связующего и наполнителя; нанесение слоя расчетной толщины; уплотнение прикатывающими валиками.
В подготовку поверхности бетона помимо мероприятий по очистке входит ее обезжиривание ацетоном или растворителем.
6.54. Усиление может быть местным, т.е. полимерное армирование устраивается только в местах действия существенных растягивающих усилий, в местах повреждений и т.п.
Заделка трещин осуществляется путем инъектирования в них полимерного связующего и последующего наложения по всей длине трещины пропитанной связующим стеклоленты в 2 слоя шириной 90 мм с симметричным расположением по обе стороны от трещины.
6.55. При производстве антикоррозионных работ должны соблюдаться требования техники безопасности в соответствии с ГОСТ 12.3.016-79 "Антикоррозионные работы в строительстве. Требования безопасности".
Антикоррозионная защита стальных соединений
6.56. Необходимость антикоррозионной защиты стальных соединений сборных железобетонных элементов устанавливается на основе расчетов на прочность по соответствующим действующим нормативным документам с учетом ослабления сечения элементов и высоты сварных швов в результате фактического и ожидаемого коррозионного износа в эксплуатации.
6.57. Ожидаемая скорость коррозии стальных элементов и сварных швов узловых соединений рассчитывается по данным о фактическом размере коррозионного износа стали за предшествующие реконструкции годы, который устанавливается путем натурных обследований.
Скорость коррозии принимается постоянной во времени. При этом если стальные элементы не имели противокоррозионной защиты, то коррозионный износ относят ко всей продолжительности эксплуатации. В случае когда применялась противокоррозионная защита, указанное время протекания коррозионного износа уменьшают на срок службы защиты. Последний устанавливается по данным службы эксплуатации зданий, а при отсутствии таких сведений может быть принят ориентировочно по данным, приведенным в табл. 26.
Тип противокоррозионного покрытия | Степень агрессивного воздействия среды и срок службы защиты, годы |
неагрессивная | слабая | средняя | сильная |
Лакокрасочное | 10 | 7 - 8 | 5 - 6 | 3 - 4 |
Металлизационное | - | 20 - 25 | 12 - 15 | 6 - 8 |
Комбинированное | - | - | 20 - 25 | 10 - 15 |
Примечания: 1. Состав покрытия должен соответствовать требованиям главы
СНиП II-28-73* "Защита строительных конструкций от коррозии" для определенных сред.
2. Подготовка поверхности перед нанесением покрытий - пескоструйная очистка.
3. При нанесении лакокрасочных покрытий по преобразователям ржавчины и при других, кроме пескоструйного, способах очистки поверхности срок службы защиты снижается в 1,5 - 2 раза.
6.58. В случае когда после реконструкции эксплуатационные воздействия изменяются, скорость коррозии элементов стальных соединений рекомендуется принимать в зависимости от ожидаемой степени агрессивного воздействия среды в соответствии с данными
табл. 12.
При этом скорость коррозии стали принимается постоянной во времени и одинаковой на обеих сторонах (лицевой, тыльной) элементов соединения.
6.59. Степень агрессивного воздействия среды по отношению к стальным соединениям оценивается на основании данных о параметрах эксплуатационной среды (относительная влажность воздуха, группа газов и пыли и т.д.) в соответствии с главой
СНиП II-28-73* "Защита строительных конструкций от коррозии" с учетом рекомендаций СН 125-72 "Указаний по строительному проектированию предприятий, зданий и сооружений черной металлургии". При этом в зависимости от местонахождения стальных соединений в конструкции или в стыке (см. п. 6.60) они приравниваются к стальным конструкциям, эксплуатируемым внутри помещений (отапливаемых или неотапливаемых) или на открытом воздухе.
6.60. По местонахождению в конструкции или в стыке стальные соединения и их элементы существующих конструкций зданий разделяются на 3 группы: 1 - в стыках ограждающих конструкций; 2 - внутри помещений; 3 - на внутренней поверхности ограждающих конструкций.
Первая группа стыковых соединений по условиям воздействия парогазовоздушной среды приравнивается к стальным конструкциям, расположенным на открытом воздухе, вторая группа - внутри отапливаемых или неотапливаемых помещений. В случае когда среда внутри помещений является более агрессивной, чем снаружи, степень агрессивного воздействия среды для первой группы стыковых соединений принимается по более жестким условиям.
Третья группа стыковых соединений в зависимости от особенностей конструктивного решения стыка (воздухо-, водо- и теплозащита), опасности появления трещин в стыке, наличия мостиков холода, выпадения конденсата и т.д. может быть приравнена к соединениям первой или второй группы.
6.61. Если в результате расчетов на прочность с учетом возможного ослабления сечения вследствие коррозии долговечность соединения оказывается недостаточной, то назначаются меры противокоррозионной защиты. При этом необходимо учитывать продолжительность эксплуатации сооружения после реконструкции, степень агрессивности среды, класс ремонтопригодности и категорию ответственности соединения.
6.62. По показателю ремонтопригодности стальные соединения разделяют на 2 класса:
А - соединения, у которых лицевая поверхность пластин и монтажного шва доступны для возобновления защитных покрытий в процессе эксплуатации;
Б - соединения, которые недоступны для восстановления или возобновления покрытий в процессе эксплуатации.
6.63. По степени ответственности стальные соединения подразделяются на:
соединения 1-й категории ответственности, коррозионные разрушения элементов которых приводят к аварийному состоянию конструкции или к серьезному нарушению технологического процесса;
соединения 2-й категории ответственности, коррозионные повреждения которых не приводят к следствиям, указанным выше.
6.64. Антикоррозионная защита стальных соединений с ремонтопригодностью класса А может осуществляться лакокрасочными, металлизационными и комбинированными покрытиями в соответствии с требованиями главы
СНиП II-28-73* "Защита строительных конструкций от коррозии", как для стальных конструкций. Ориентировочный срок службы указанных покрытий принимается по
табл. 26. В этом случае при регулярном возобновлении покрытий долговечность соединения определяется коррозионным износом на недоступной (тыльной) стороне деталей.
6.65. Основным видом противокоррозионной защиты стальных соединений с ремонтопригодностью класса Б является их обетонирование преимущественно методом набрызга или торкрета расширяющимися составами
(прил. 7) по металлической сетке. При обетонировании обычными способами марка бетона (раствора) по водонепроницаемости не должна быть ниже B6, а бетонная смесь должна содержать ингибиторы коррозии стали. В необходимых случаях бетон дополнительно защищается окраской, пропиткой и т.п.
6.66. Соединения 1-й категории ответственности, а также сильноизношенные узлы, как правило, должны восстанавливаться на основании результатов поверочных расчетов путем установки болтов на эпоксидном клее в отверстиях, пробуриваемых в несущих конструкциях (колоннах, стенах и др.) и присоединяемых элементах (панелях и др.), установки новых закладных деталей с последующим обетонированием и др., а в случае необходимости долговечность их должна обеспечиваться дополнительной антикоррозионной защитой. Соединения 2-й категории ответственности могут восстанавливаться путем установки новых анкеров, привариваемых к арматуре, хомутов и т.п.
Предотвращение фильтрации грунтовых вод внутрь помещений
существующих зданий и сооружений
6.67. Предотвращение фильтрации воды через железобетонные конструкции (днище, стены, перекрытия) существующих сооружений может быть достигнуто устройством гидроизоляции с внутренней стороны помещений в соответствии с рекомендациями настоящего раздела.
Вопрос о допустимости устройства внутренней гидроизоляции при сохранении контакта наружной поверхности конструкции с агрессивными водами решается в каждом конкретном случае генеральным проектировщиком с привлечением в случае необходимости научно-исследовательских организаций.
6.68. Гидроизолирующий эффект достигается выполнением следующих операций: временного водопонижения, зачеканки фильтрующих трещин, установки закладных деталей, устройства водонепроницаемого слоя и оштукатуривания методом торкретирования по металлической сетке.
Все упомянутые операции должны выполняться при тщательном контроле построечной лабораторией и фиксироваться в актах на скрытые работы.
6.69. Зачеканку трещин и неплотностей в местах течей производят после удаления источников фильтрации в полу и стенах цементно-песчаным раствором состава 1:1 и В/Ц = 0,4.
6.70. Гидроизоляция состоит из собственно гидроизолирующего слоя и слоя торкрет-раствора, обеспечивающего работу гидроизоляции на отрыв и деформации гидроизолирующего слоя в пределах допустимых.
6.71. Совместная работа несущих железобетонных элементов (стен и днища) и слоя торкрет-раствора на отрыв обеспечивается с помощью соединительных элементов - стальных пластин размером 120 x 200 мм, толщиной 5 - 6 мм, пристреливаемых к конструкциям стен и днища дюбелями длиной 60 мм или привариваемых к арматуре несущих конструкций с шагом, определяемым расчетом слоя торкрет-раствора или безбалочного перекрытия, опертого в местах расположения пластин.
К пластинам до или после их закрепления к несущим элементам привариваются п-образные стержни из стали Ст3 для навески и закрепления (прижима) металлической сетки. Длина дюбеля принимается 60 мм. П-образные стержни могут привариваться непосредственно к рабочей арматуре несущих конструкций.
6.72. В качестве гидроизолирующего слоя рекомендуется композиция из битума
(ГОСТ 6617-76) и петролатума в следующих соотношениях: битум БН-70/30 - 85 - 90 масс. ч., петролатум - 10 - 15 масс. ч. или битум БН-90/10 - 65 - 75 масс. ч., петролатум - 25 - 35 масс. ч.
Эта композиция обладает повышенной эластичностью и не изменяет своих свойств во времени. Правила приготовления и нанесения композиций приведены в
прил. 8.
Допускается в качестве гидроизолирующего слоя применять и другие композиции:
а) горячую окрасочную гидроизоляцию полимербитумными и резинобитумными мастиками;
б) эпоксидную окрасочную гидроизоляцию из модифицированных эпоксидно-каучуковых (ЭКК) или эпоксидно-каменноугольных (ЭКС) композиций;
в) холодную асфальтовую штукатурную гидроизоляцию из эмульсионных мастик ХАМАСТ и БАЭМ;
г) цементную штукатурную гидроизоляцию из коллоидного полимерцементного раствора (КПЦР), а при необходимости устройства гидроизоляции в зимних условиях - литую асфальтовую гидроизоляцию;
д) изоляцию на основе битумных и битумно-полимерных эмульсионных мастик в соответствии с "Инструкцией по проектированию и устройству мастичных кровель и гидроизоляции на основе битумных и битумно-полимерных эмульсионных мастик. РСН 225-77" (Киев, 1978) и др.
6.73. Толщина гидроизолирующего слоя должна быть такой, чтобы она заполняла все пространство между соединительными элементами и покрывала металлические соединительные элементы пластины слоем толщиной 2 - 3 мм.
6.74. Металлическая сетка с ячейками не более 50 x 50 мм навешивается на п-образные стержни, приваренные к пластинкам или к арматуре, и прижимается к ним путем отгиба с помощью обрезка трубы торчащих внутрь помещения участков стержней. Прижим должен обеспечивать плотное прилегание сетки к гидроизоляционному слою с натягом. Диаметр сетки не ограничивается.
6.75. По сетке наносится слой цементно-песчаного раствора. Защитный слой (до сетки) должен быть не менее 15 мм. Рекомендуется этот слой выполнять методом торкретирования с помощью любой установки, используемой для подобных работ, согласно главе
СНиП III-15-76 "Бетонные и железобетонные конструкции монолитные".
6.76. В условиях просачивания капиллярной воды в помещения может быть осуществлено локальное кольматирование грунтов в зоне их контакта со стенами и днищем в местах просачивания.
| | ИС МЕГАНОРМ: примечание. Взамен СНиП III-9-74 Постановлением Госстроя СССР от 02.02.1983 N 22 с 1 июля 1983 года введены в действие СНиП 3.02.01-83. Взамен СНиП 3.02.01-83 Постановлением Госстроя СССР от 04.12.1987 N 280 с 1 июля 1988 года введены в действие СНиП 3.02.01-87. | |
Для этой цели могут быть применены: в трещиноватых и песчаных грунтах - цементная, двухрастворная силикатизация, битумизация, смолизация и глинизация; в глинистых грунтах - одно- и двухрастворная силикатизация. Выбор конкретного способа кольматирования грунтов должен производиться в соответствии с требованиями главы СНиП III-9-74 "Основания и фундаменты", с учетом инженерно-геологических и гидрогеологических условий, конструктивного решения подземной части сооружения, характера и степени повреждения гидроизоляции.
Кольматирование проводится путем нагнетания раствора (соответствующего выбранному способу закрепления грунтов) через специальные инъекционные трубки, пропускаемые через стены или днище помещения в местах просачивания (рис. 5). Отверстия для трубок диаметром 50 мм предварительно пробуриваются пневматическими перфораторами. Во избежание проникания раствора в помещение инъекционные трубки должны иметь резиновые уплотнители. При отсутствии отмостки во избежание вытекания раствора на дневную поверхность грунт возле фундамента следует уплотнить.
Рис. 5. Схема кольматирования грунта
1 - инъекционная трубка; 2 - фундамент;
3 - зона кольматации
Перед началом работ по кольматированию необходимо убедиться при помощи щупа в отсутствии пустот и различных коммуникаций в зоне нагнетания раствора.
6.77. При интенсивной фильтрации воды в изолируемое помещение искусственное водопонижение на время проведения гидроизоляционных работ может быть осуществлено следующими способами: открытого водоотлива, дренажа, иглофильтровым, вакуумным, электроосмотическим и открытых водопонизительных скважин. Выбор способа водопонижения и типа применяемого при этом оборудования производится с учетом инженерно-геологических и гидрогеологических особенностей площадки, глубины заложения фундаментов сооружения, размеров и конфигурации участка, подлежащего осушению; сроков производства работ по устройству гидроизоляции.
Ориентировочный выбор способа искусственного водопонижения в зависимости от инженерно-геологических и гидрогеологических особенностей площадки может быть произведен по данным табл. 27.
Глубина понижения уровня грунтовых вод, м | Способ водопонижения в грунтах |
суглинки, супеси | пески пылеватые, мелкие, средние и крупные | гравелистые пески, гравий с песком | гравий, галечник | многослойная водоносная толща (чередование пород различной водопроницаемости) |
Коэффициент фильтрации, м/сут |
0,005 - 0,7 | 0,7 - 50 | 50 - 150 | 100 - 200 и более | - |
До 5 | Электроосмос, вакуумирование (ЛИУ, ЭИ, ЭВВУ, УВВ) | Открытый водоотлив, траншейный дренаж, установки с легкими иглофильтрами (одноярусные) | Открытый водоотлив, траншейный дренаж, откачка воды из скважин центробежными насосами | Открытый водоотлив | Открытый водоотлив, ЛИУ, УВВ, сочетание ЛИУ с открытым водоотливом |
5 - 20 | Электроосмос, вакуумирование (ярусные установки ЛИУ, ЭИ, ЭВВУ) | Установки с легкими иглофильтрами (многоярусные), ЭИ | Глубинные насосы | | ЭВВУ, ярусные ЛИУ, УВВ, ЭИ, глубинные насосы в сочетании с открытым водоотливом |
Более 20 | Глубинные насосы (артезианские) | Открытый водоотлив; многоярусные установки ЛИУ; ЭИ, артезианские насосы |
Обозначения: ЛИУ - легкие иглофильтровальные установки; ЭИ - эжекторные иглофильтры; УВВ - установки вакуумного водопонижения; ЭВВУ - эжекторные вакуумные водопонизительные установки.
| | ИС МЕГАНОРМ: примечание. Взамен СНиП III-9-74 Постановлением Госстроя СССР от 02.02.1983 N 22 с 1 июля 1983 года введены в действие СНиП 3.02.01-83. Взамен СНиП 3.02.01-83 Постановлением Госстроя СССР от 04.12.1987 N 280 с 1 июля 1988 года введены в действие СНиП 3.02.01-87. | |
6.78. Способы искусственного водопонижения могут применяться как самостоятельно, так и в различных сочетаниях по специальному проекту в соответствии с требованиями главы СНиП III-9-74 "Основания и фундаменты", "Руководства по производству и приемке работ при устройстве оснований и фундаментов" (НИИОСП им. Н.М. Герсеванова. М., Стройиздат, 1977), с учетом рекомендаций настоящего Руководства.
6.79. При осуществлении работ по водопонижению должны предусматриваться меры против нарушения природных свойств грунтов в основании существующих сооружений и меры, препятствующие нарушению устойчивости откосов и дна котлованов <1>.
--------------------------------
<1> См. п. 4.2 главы СНиП III-9-74 "Основания и фундаменты".
В частности, водопонижение целесообразно осуществлять до глубины не ниже отметки заложения подошвы фундаментов существующих сооружений во избежание дополнительной осадки последних. Водопонижение на глубину ниже отметок заложения подошвы существующих фундаментов допустимо при условиях:
а) если величина расчетной дополнительной осадки фундаментов не превышает нормативное значение осадки для данного типа сооружения в соответствии с главой
СНиП II-15-74 "Основания зданий и сооружений";
б) если режим ввода в действие водопонизительных установок обеспечивает равномерное и постепенное водопонижение на всем участке в течение 3 - 5 сут. Аналогичным образом должно осуществляться отключение водопонизительных установок.
Не допускается осуществление работ по водопонижению до глубины ниже подошвы фундамента в основаниях сооружений с нестабилизированной осадкой.
6.80. Водопонижение в основаниях высотных сооружений, получивших крен в результате неравномерной осадки, допустимо при условии предварительной ликвидации крена с обязательным обеспечением равномерного и постепенного водопонижения в пределах всего сооружения.
6.81. При вскрытии котлованов вокруг сооружений в целях применения открытого водоотлива, дренажа или ярусного водопонижения необходимо предусматривать меры по обеспечению устойчивости оснований фундаментов и откосов котлованов.
Вскрытие котлованов при устройстве открытого водоотлива следует осуществлять равномерно по всему периметру сооружения.
6.82. При наличии грунтовых вод типа верховодки и в условиях, когда ниже водоупора залегают неводоносные грунты с коэффициентом фильтрации kф > 10 м/сут, целесообразен сброс грунтовых вод в эти грунты при помощи водопоглощающих скважин.
Отвод грунтовых вод из зоны водопонижения в водоемы или их сброс в неводоносные нижележащие пласты должен быть согласован с санэпидстанцией.
ПРИМЕРЫ ДИАГНОСТИКИ СОСТОЯНИЯ ЖЕЛЕЗОБЕТОННЫХ
КОНСТРУКЦИЙ ПО ХАРАКТЕРУ ТРЕЩИНООБРАЗОВАНИЯ
1. Плоские плиты ненапряженные разрезные свободноопертые толщиной менее 120 мм.
а) Балочные плиты c/b >= 3 (рис. 6).
Рис. 6. Схема разрушения балочной плиты
lтр - длина участка с трещинами;
lсв - длина участка без трещин
Категории состояния конструкций определяют в зависимости от длины трещин, длины свободных участков и ширины раскрытия трещин

.
К IV категории состояния конструкции относят случаи:
lтр >=
lсв при

без признаков смятия бетона сжатой зоны;
lтр < lсв при смятии бетона сжатой зоны над трещинами.
К V категории состояния конструкций относят случаи:
lтр >=
lсв,

без смятия бетона сжатой зоны;
lтр >= lсв при смятии бетона сжатой зоны над трещинами.
Примечание. При определении категории состояния необходимы поверочные расчеты; результаты поверочного расчета исходя из фактической нагрузки и фактического состояния плиты могут изменить категорию состояния конструкции.
б) Плиты c/b < 3 (рис. 7).
Рис. 7. Схема разрушения плиты
К IV категории состояния относят случай, когда трещины выражены по схеме разрушения без смятия бетона сжатой зоны над трещинами.
К V категории состояния относят случаи:

без смятия бетона сжатой зоны;
смятие сжатой зоны над трещинами.
в) Контурные плиты

(рис. 8).
Рис. 8. Схема разрушения контурных плит
К IV категории состояния конструкций относят случай, когда трещины выражены по схеме разрушения без смятия сжатой зоны над трещинами.
К V категории состояния конструкции относят случаи:

без смятия бетона сжатой зоны;
смятие сжатой зоны бетона над трещинами.
г) Плиты с опиранием по трем сторонам (рис. 9).
Рис. 9. Схема разрушения плит с опиранием по трем сторонам
К IV категории состояния конструкции относят случай, когда схема трещины выражена по линиям разрушения без смятия сжатой зоны бетона над трещинами.
К V категории состояния конструкции относятся случаи:
aтр >= 0,3 мм без смятия бетона сжатой зоны;
смятие сжатой зоны бетона над трещинами.
2. Плоские плиты ненапряженные неразрезные, в том числе балочного типа, за исключением крайних пролетов со свободным опиранием, толщиной менее 120 мм.
К IV категории состояния конструкции относят случаи раскрытия потолочных трещин с
aтр >= 0,3 мм по схемам разрушения
п. 1 при одновременном раскрытии трещин в опорных зонах
aтр >= 0,3 мм. При определении категории состояния конструкций необходимы поверочные расчеты. Результаты поверочного расчета исходя из фактической нагрузки, фактического состояния плиты, возможности перераспределения усилий могут изменить категорию состояний конструкций.
3. Плиты настила ПКЖ ненапряженные, продольная растянутая арматура ребер приварена к опорным закладным деталям в связи с ограниченной площадкой опирания и соответственно зоной анкеровки арматуры (рис. 10).
Рис. 10. Схема разрушения плиты настила ПКЖ
1 - наклонные трещины, доходящие до нижней грани балки
или имеющие горизонтальный участок; 2 - вертикальные
трещины; 3 - трещины, вызванные кручением ребра
или недостаточной анкеровкой арматуры поперечных ребер
К IV категории состояния конструкции относятся случаи:
вертикальные трещины типа 2 при aтр >= 0,5 мм и высоте трещины более 3/4 высоты ребра плиты;
трещины типа 3 протяженностью вдоль продольного ребра более шага поперечных ребер шириной раскрытия трещин меньше 0,1 мм.
К V категории состояния конструкции относят случаи:
косые трещины типа 1, выходящие на нижнюю грань балки при aтр >= 0,2 мм или имеющие горизонтальный участок;
трещины типа 3, связанные с кручением ребра и слабой анкеровкой арматуры поперечных ребер в продольном ребре при aтр >= 0,1 мм и протяженностью вдоль продольного ребра более шага поперечных ребер;
вертикальные трещины типа 2 при aтр >= 1 мм и высоте трещины более 3/4 высоты ребра плиты.
При определении категории состояния необходимы поверочные расчеты. При наличии в плите только вертикальных трещин типа 2 при aтр >= 0,5 мм результаты поверочного расчета исходя из фактических нагрузок и фактического состояния плиты могут изменить категорию состояния плиты.
4. Плиты типа ПНС преднапряженные 1,5 x 6 или 3 x 6 (рис. 11).
Рис. 11. Схема разрушения плиты типа ПНС
К IV категории состояния конструкции относятся случаи:
вертикальные трещины типа 2 aтр >= 0,4 мм;
трещины типа 3 протяженностью вдоль продольного ребра более шага поперечных ребер при aтр < 0,1 мм.
К V категории состояния конструкции относятся случаи:
косые трещины типа 1, выходящие на нижнюю грань балки в зоне анкеровки или переходящие в горизонтальный участок;
горизонтальные трещины в зоне нижней продольной арматуры или на нижней грани;
трещины типа 2 при aтр >= 0,8 мм;
трещины типа 3, связанные с кручением ребра и слабой анкеровкой арматуры поперечных ребер в продольном ребре при aтр >= 0,1 мм, и протяженностью вдоль продольного ребра более шага поперечных ребер. При определении категории состояния необходимы поверочные расчеты. При наличии в плите только вертикальных трещин типа 2 с aтр >= 0,4 мм результаты поверочного расчета исходя из фактических нагрузок и фактического состояния плиты могут изменить категорию состояния плиты.
5. Балки ненапряженные, разрезные, прямоугольные при статическом загружении (рис. 12).
Рис. 12. Схема разрушения ненапряженной разрезной балки
1 - наклонные трещины; 2 - наклонные трещины,
переходящие в горизонтальные; 3 - вертикальные трещины
К IV категории состояния конструкции относятся случаи, когда имеются вертикальные трещины типа 3 или косые трещины типа 1 при aтр >= 0,5 мм протяженностью более 3/4 высоты балки.
К V категории состояния конструкции относят случаи:
вертикальные трещины типа 3 или косые трещины типа 1 при aтр >= 1,0 мм и протяженностью более 3/4 высоты балки;
косые трещины, переходящие в горизонтальные типа 2 в том числе по нижней грани.
При определении категории состояния необходимы поверочные расчеты. При наличии в балке только трещин типа 1 и 3 с aтр >= 0,5 мм результаты поверочного расчета исходя из фактических нагрузок и фактического состояния балки могут изменить категорию состояния.
6. Балки ненапряженные неразрезные многопролетные, кроме крайнего пролета.
К IV категории состояния конструкции относится случай, когда имеются вертикальные или косые трещины при aтр >= 1 мм протяженностью более 3/4 высоты балки.
7. Балки преднапряженные скатные (рис. 13).
Рис. 13. Схема разрушения преднапряженной скатной балки
1 - вертикальные трещины; 2 - наклонные трещины;
3 - наклонные трещины, переходящие в горизонтальные;
4 - горизонтальные трещины; 5 - трещины в месте сопряжения
стенки и верхнего пояса; 6 - система прерывистых трещин
в опорной зоне балки; 7 - откол угла защитного слоя
при проскальзывании высокопрочной профилированной проволоки
К IV категории состояния конструкции относится случай, когда вертикальные трещины типа 1 или косые трещины типа 2 не пересекают зону анкеровки; aтр >= 0,4 мм.
К V категории состояния конструкций относят случаи:
косые трещины типа 2, выходящие на нижнюю грань в зоне анкеровки;
горизонтальные трещины типа 3 и 4, в том числе проходящие по нижней грани;
трещины типа 1 при aтр >= 0,8 мм;
трещины типа 5 при aтр >= 0,5 мм и протяженностью более 8d, где d - наименьший размер верхнего пояса;
другие возможные признаки разрушения опоры балки - трещины типа 6 при aтр > 1 мм, откол защитного слоя 7 - раскалывание при проскальзывании высокопрочной профилированной проволоки.
При определении категории состояния необходимы поверочные расчеты. При наличии в балке трещин только типа 1 или 2, не пересекающих зону анкеровки, при aтр >= 0,4 мм, результаты поверочного расчета исходя из фактических нагрузок и фактического состояния балки могут изменить категорию состояния балки.
8. Разрушение опорной части преднапряженной балки "шашлычного" типа (рис. 14).
Рис. 14. Разрушение опорной части балки
1 - трещины вследствие повреждения бетона тонких стенок
каналов от сжимающих напряжений; 2 - трещины от главных
растягивающих напряжений после повреждения стенок каналов
Показанная на рис. 14 трещина типа 1 появилась вследствие раздавливания тонких стенок каналов от сжимающих напряжений напрягаемой арматуры, располагаемой в канале; трещина типа 2 - от главных растягивающих напряжений после раздавливания бетона стенок каналов.
9. Разрушение ферм
а) Сжатый пояс - V категория состояния (рис. 15).
Рис. 15. Разрушение узла сжатого пояса фермы
1 - система наклонных трещин; 2 - лещадка
К V категории состояния относятся трещины типа 1 или лещадки 2 или продольные трещины на верхней и нижней грани сжатого пояса.
б) Растянутые раскосы (рис. 16).
Рис. 16. Разрушение растянутого раскоса фермы
1 - трещины в месте сопряжения раскоса и пояса;
2, 3 - трещины в поясе фермы
| | ИС МЕГАНОРМ: примечание. Текст дан в соответствии с официальным текстом документа. | |
К V категории состояния относятся трещины типа 1 с aтр >= 0,3 мм на уровне арматуры при сопровождении трещин типа 2 или 3. Если трещины типа 1 с aтр 0,3 мм не сопровождаются трещинами 2 или 3, случай относится к IV категории состояния.
в) Опорный узел фермы при напряженной арматуре в нижнем поясе - V категория состояния (рис. 17).
Рис. 17. Разрушение опорного узла фермы
1 - наклонная трещина, доходящая до нижней грани пояса;
2 - система вертикальных или лучеобразных трещин;
3 - откол лещадок; 4 - горизонтальная трещина
На рис. 17 показаны возможные дефекты: наклонная трещина типа 1 с выходом на нижнюю грань или горизонтальная трещина типа 4, или множество трещин типа 2, или откол лещадок 3.
Ширина раскрытия трещин aтр >= 0,3 мм.
г) Нижний пояс с напрягаемой арматурой (рис. 18).
Рис. 18. Повреждения узла нижнего пояса фермы
1 - вертикальные трещины; 2 - горизонтальные трещины
Показанные на рис. 18 трещины типа 2 при отсутствии признаков коррозии арматуры вдоль трещины вызваны обжатием бетона преднапряженной арматурой при отсутствии хомутов или их недостаточности.
Снятие нагрузки может вызвать увеличение раскрытия трещин - необходимо стянуть нижний пояс поперечными элементами.
К IV категории состояния конструкции относятся трещины типа 1 с aтр >= 0,4 мм.
К V категории состояния конструкции относятся трещины типа 1 с aтр >= 0,8 мм.
При определении категории состояния необходимы поверочные расчеты. При наличии в нижнем поясе только трещин типа 1 при aтр >= 0,4 мм результаты поверочного расчета исходя из фактических нагрузок и фактического состояния элемента могут изменить категорию состояния по данному признаку.
ИНЖЕНЕРНЫХ ИЗЫСКАНИЙ ПРИ ОБСЛЕДОВАНИИ ЗДАНИЙ
И СООРУЖЕНИЙ ДЕЙСТВУЮЩИХ ПРОМПРЕДПРИЯТИЙ
1. Положения и требования настоящей методики предназначены для использования при производстве инженерных изысканий на площадках действующих промпредприятий, возведенных на естественных основаниях (за исключением мерзлых грунтов), грунтовых или шлаковых подушках.
2. Содержание, объемы и последовательность работ по исследованию свойств грунтов в основании зданий и сооружений назначаются с учетом особенностей технологического процесса (сухой, мокрый, наличие кислот, щелочей, высоких температур и т.п.), конструктивных схем зданий и сооружений, степени их износа в соответствии с требованиями и рекомендациями главы
СНиП II-15-74 "Основания зданий и сооружений" и "Руководства по проектированию оснований зданий и сооружений" (М., Стройиздат, 1978).
3. Инженерные изыскания выполняются в соответствии с требованиями главы СНиП II-9-78 "Инженерные изыскания для строительства", а также "Инструкции по инженерным изысканиям для промышленного строительства", действующих ГОСТ на испытания грунтов полевыми и лабораторными методами с учетом особенностей, вызванных стесненными условиями действующего предприятия.
4. Изыскания выполняются по программе, составленной в соответствии с заданием.
Программой изысканий предусматриваются следующие этапы работ:
геодезическая съемка положения цоколей, колонн и крупноразмерных фундаментов с целью определения осадок, относительных смещений, прогибов и кренов;
выбор мест исследования грунтов основания и определения уровня грунтовых вод с учетом выявленных деформаций оснований и конструкций;
определение требуемых глубин зондирования, бурения, шурфования и отбора образцов грунта и воды для лабораторных исследований;
зондирование и бурение основания;
выполнение шурфов вблизи фундаментов с целью обследования состояния оснований и подземных конструкций;
натурные исследования деформационных и прочностных свойств грунтов и материала грунтовых подушек;
лабораторные исследования физико-механических свойств грунтов (шлаков);
прогноз подтопления промплощадки, изменения свойств грунтов, химсостава грунтовых вод;
составление заключения.
5. Геодезическая съемка выполняется в соответствии с рекомендациями, изложенными в "
Руководстве по наблюдениям за деформациями оснований и фундаментов зданий и сооружений" (М., Стройиздат, 1975).
6. Выбор места исследования свойств грунтов определяется задачей изысканий (общее обследование, выявление причин деформаций).
В первом случае бурение и зондирование выполняют для уточнения характера напластований (порядок залегания литологических разностей, их физико-механические свойства, уровень грунтовых вод, наличие куполов грунтовых вод). Во втором, кроме указанных выше, бурение, зондирование и шурфование приурочивают к участкам деформаций конструкций и оснований, частям зданий, различающихся по нагрузкам, глубинам заложения и времени возведения.
7. Места установки геодезических знаков, бурения, зондирования и шурфования определяют в увязке с расположением инженерных сетей и должны быть согласованы с техническим отделом предприятия и соответствующими инстанциями - главным энергетиком, главным электриком и т.п.
8. К буровым работам и рытью шурфов допускаются лица, изучившие правила техники безопасности, действующие в изыскательской организации ("Правила безопасности при проведении геологоразведочных работ". М., Недра, 1979), а также правила техники безопасности того предприятия (цеха), где выполняются работы.
9. Глубина бурения и зондирования принимается в зависимости от типа зданий, его размеров, шага колонн каркасных зданий и нагрузок, передаваемых на колонну. Рекомендуемые глубины бурения от уровня подошвы фундаментов каркасных промзданий приведены в табл. 28.
Таблица 28
Нагрузка на колонну, кН (1 тс = 10 кН) | Глубина бурения, м |
одноэтажные промздания | многоэтажные промздания с общей шириной в осях крайних рядов колонн, м |
6 | 12 | 18 |
1000 | 7 | 6 | 7 | 8 |
1000 - 2500 | 9 | 7 | 8 | 9 |
2500 - 5000 | 11 | 9 | 10 | 11 |
5000 - 10000 | 13 | 11 | 12 | 14 |
10000 и более | 15 | 13 | 14 | 15 |
В случае если ниже указанного уровня залегают просадочные или слабые грунты с модулем деформации менее 10 МПа (100 кгс/см2), глубина бурения принимается не менее чем на 1 м ниже подошвы слоя этих грунтов.
Глубины бурения и зондирования глинистых и песчаных грунтов у зданий с фундаментами размером в плане 10 x 10 м и более должны быть не меньше глубины зоны деформирования, рассчитываемой по формулам (3.32) - (3.74а) "Руководства по проектированию оснований зданий и сооружений" (М., Стройиздат, 1978).
10. Бурение скважин вне промзданий производится механизированными установками, смонтированными на тракторе или автомобиле. В стесненных условиях действующих цехов применяются комплекты для ручного ударно-вращательного бурения скважин диаметром 89 и 127 мм.
| | ИС МЕГАНОРМ: примечание. С 1 июля 2001 года Постановлением Госстроя России от 20.12.2000 N 129 введен в действие ГОСТ 12071-2000. | |
11. Отбор образцов грунта ненарушенной структуры производится не реже чем через 1 м по глубине скважин в соответствии с требованиями ГОСТ 12071-72 "Грунты. Отбор, упаковка, транспортирование и хранение образцов".
Образцы водонасыщенных грунтов ненарушенной структуры отбирают из шурфов в металлические обоймы с жесткими стенками размером 200 x 200 x 200 мм, из скважин - тонкостенным грунтоносом диаметром 100 мм, который вдавливается на глубину 50 см от забоя со скоростью не более 3 м/мин. Образцы грунта тщательно упаковывают марлей с парафином или покрывают слоем латекса. Запарафинированные образцы должны быть испытаны в течение не более 15 дней, покрытые латексом - в течение 45 дней.
12. Степень неоднородности песков по плотности, глинистых грунтов по консистенции и сопротивлению сдвигу и модулю деформации определяются статическим зондированием по корреляционным зависимостям между сопротивлением грунта погружению конуса и перечисленными характеристиками грунта (ГОСТ 20069-74 "Грунты. Метод полевого испытания статическим зондированием" и "Указания по зондированию грунтов для строительства. СН 448-72").
13. Вблизи фундаментов выполняются шурфы глубиной не менее чем на 0,5 м ниже подошвы фундамента. Размеры шурфов в плане в зависимости от их глубины принимаются в следующих пределах: при глубине 1 - 2,5 м и более площадь сечения 1,25 - 2,5 м2 и более.
Отбор образцов грунта ненарушенной структуры (производится на глубину не менее ширины фундамента через 0,5 м; для отбора образцов грунта и воды ниже дна шурфа в нем бурят скважину требуемой глубины.
14. Определение физико-механических свойств грунта непосредственно на месте отбора образцов из шурфа выполняется с помощью приборов полевой лаборатории ПЛЛ-9 ("Инструкция по исследованию строительных свойств грунтов полевой лабораторией ПЛЛ-9. РСН 242-72", Киев, Будiвельник, 1973).
15. В стесненных условиях действующего предприятия физико-механические и прочностные характеристики грунтов в натурных условиях могут быть определены следующими полевыми методами:
статическое зондирование;
прессиометрия (ГОСТ 20276-74 "Грунты. Метод полевого определения модуля деформации прессиометрами");
статическое нагружение штампами площадью 1000 см2 с кольцевой пригрузкой; на глубинах ниже 3 м - штампом площадью 600 см2 в скважине диаметром 325 мм; этим же методом определяется модуль деформации шлака в искусственном основании;
вращательный срез (ГОСТ 21719-80 "Грунты. Метод полевого испытания вращательным срезом");
электронно-акустический, ультразвуковой и радиоизотопный каротажи.
16. Номенклатура характеристик грунтов и шлаков, подлежащих определению при лабораторных исследованиях, приведена в табл. 29.
Таблица 29
Характеристика | Способ определения |
лабораторный | расчетный |
Грансостав | + | - |
Плотность природная | + | - |
Объемная масса | + | - |
Объемная масса скелета | - | + |
Пористость | - | + |
Коэффициент пористости | - | + |
Степень влажности | - | + |
Пластичность | + | - |
Консистенция | - | + |
Коэффициент фильтрации | + | + |
Модуль деформации | + | - |
Относительная просадочность | + | - |
Начальное просадочное давление | + | + |
Начальная просадочная влажность | + | + |
Набухание | + | - |
Удельное сцепление | + | - |
Угол внутреннего трения | + | - |
Коррозионные свойства | + | - |
Химсостав грунта и воды | + | - |
Химсостав водных и солянокислых вытяжек | + | - |
Емкость поглощения и состав обменных катионов | + | - |
Электропроводность | + | - |
Стабильность структуры шлаков | + | - |
| | ИС МЕГАНОРМ: примечание. Взамен ГОСТ 5180-75, ГОСТ 5181-78, ГОСТ 5182-78 и ГОСТ 5183-77 Постановлением Госстроя СССР от 24.10.1984 N 177 с 1 июля 1985 года введен в действие ГОСТ 5180-84. | |
17. Грансостав, плотность, объемная масса, влажность, пластичность, параметры сдвига определяются с учетом требований
ГОСТ 12536-79, ГОСТ 5181-78, ГОСТ 5180-75, ГОСТ 5182-78, ГОСТ 5183-77,
ГОСТ 12248-78.
Методики определения коэффициента фильтрации и модуля деформации изложены в "Руководстве к лабораторным занятиям по инженерной геологии" (М., Недра, 1972).
Величина модуля деформации по лабораторным данным корректируется коэффициентом условий работы (табл. 3.1 "Руководства по проектированию оснований зданий и сооружений" М., Стройиздат, 1978).
18. Одной из причин разрушения конструкций действующих предприятий, возведенных на лессовых грунтах, могут быть просадочные деформации в результате изменения влажностного режима основания.
Согласно требованиям главы
СНиП II-15-74 "Основания зданий и сооружений" для характеристики просадочных грунтов необходимо знать величины относительной просадочности

, начального просадочного давления
Pпр и начальной просадочной влажности
Wпр.
Просадочные свойства лессовых грунтов в лабораторных условиях определяют по методикам, изложенным в "
Руководстве по лабораторному определению деформационных и прочностных характеристик просадочных грунтов" (М., Стройиздат, 1975).
19. Начальные просадочное давление и влажность можно также определить по приведенным ниже зависимостям, принимая за исходную величину относительной просадочности

(0,3 МПа), обычно имеющуюся в архивных материалах.
Начальное просадочное давление Pпр (при степени влажности более 0,8):

(30)
Величины коэффициентов aпр и bпр в зависимости от диапазона числа пластичности Iр приведены в табл. 30.
Таблица 30
Число пластичности Iр | Коэффициент |
aпр | bпр |
0,01 - 0,04 | 0,027 | -0,001 |
0,04 - 0,07 | 0,0348 | 0,0016 |
0,07 - 0,1 | 0,045 | 0,005 |
0,1 - 0,2 | 0,057 | 0,009 |
Начальное просадочное давление

при степени влажности менее 0,8:

(31)
начальная просадочная влажность грунта wпр при различных давлениях:

(32)
20. При эксплуатации цехов, где в технологическом процессе применяется серная кислота, деформации конструкций могут вызываться набуханием глинистых грунтов от воздействия серной кислоты.
Склонность глинистых грунтов к набуханию выявляется путем замачивания образцов грунта природного химсостава в компрессионном приборе растворами серной кислоты различной концентрации.
Деформация набухания - относительное набухание, давление набухания, относительная усадка при высыхании определяются по методике, изложенной в "Рекомендациях по лабораторным методам определения характеристик набухающих грунтов" (М., Стройиздат, 1974).
21. Оценка степени агрессивного воздействия грунтовых вод на подземные железобетонные конструкции производится в соответствии с главой
СНиП II-28-73* "Защита строительных конструкций от коррозии", с учетом степени засоленности грунтов. Классификация засоленности грунтов приведена в табл. 31.
Степень засоленности | Среднее суммарное содержание солей, % |
хлоридное и сульфатно-хлоридное засоление | сульфатное, хлоридно-сульфатное и содовое засоление |
Слабозасоленные | 0,3 - 1 | 0,3 - 0,5 |
Засоленные | 1 - 5 | 0,5 - 2 |
Сильнозасоленные | 5 - 8 | 2 - 5 |
Избыточно засоленные | Более 8 | Более 5 |
Оценка коррозионной активности грунтов к стали (закладные детали, оголенная арматура и др.) производится согласно положениям, изложенным в "Руководстве по отбору и лабораторным исследованиям грунтов, грунтовых и поверхностных вод с целью определения их агрессивности и коррозионной активности" (Росглавстройниипроект. М., 1972). При этом должны быть определены степень засоленности грунтов, их химсостав, pH среды, влажность, электропроводность и воздухопроницаемость.
В
табл. 31 приведена классификация засоленности грунтов.
22. Долговечность шлакового основания определяется стабильностью структуры шлаков.
Доменные шлаки отвальные и текущего выпуска считаются структуроустойчивыми, если при испытании по ГОСТ 6578-76 потеря в массе не превышает 5%. Предварительная оценка пригодности шлака производится по химическому составу. К шлакам устойчивой структуры относятся шлаки, в которых содержание окиси кальция равно или меньше величины, вычисленной в процентах массы по формуле
CaO = 0,92SiO2 + Al2Oа + 0,2MgO.
В случае применения в основаниях промзданий сталеплавильных шлаков стабильность структуры оценивается по результатам испытания на распад трехкратным автоклавированием при 8 ати или же по результатам химического и петрографического анализов. Структура сталеплавильных шлаков считается стабильной, если потеря массы после испытаний составляет менее 5%.
Методы определения свойств и оценка стабильности структуры изложены в "Рекомендациях по применению металлургических шлаков в планомерно возводимых насыпях" (Харьковский Промстройниипроект, Харьков, 1976).
23. Прогноз изменения уровня грунтовых вод производится согласно "Рекомендациям по прогнозам подтопления промышленных предприятий грунтовыми водами" (ВОДГЕО, ЦНИИС, М., 1976).
МЕХАНИЧЕСКИЕ ПРИБОРЫ ДЛЯ ОПРЕДЕЛЕНИЯ
ПРОЧНОСТИ БЕТОНА ЭКСПЛУАТИРУЮЩИХСЯ КОНСТРУКЦИЙ
Таблица 32
Принцип действия | Прибор | Разработчик | Нормативный документ, предприятие-изготовитель |
Метод пластической деформации - зависимость между Rсж и размерами отпечатка на поверхности конструкции при вдавливании индикатора (штампа) под действием статической или динамической нагрузки | Дисковый прибор ДПГ-4 | ВНИИГИМ | Руководство по контролю прочности бетона в конструкциях приборами механического действия (М., 1972) |
Дисковый прибор ДПГ-5 | Братскгэсстрой |
Прибор ПМ | - |
Универсальный маятниковый прибор УМП | Минпромстрой УССР | Завод "Коммунальник" МЖКХ РСФСР (методика испытаний и принцип работы те же, что и в ДПГ-4) |
Эталонный молоток Н.П. Кашкарова | НИИМосстрой | |
Приборы типа "Штамп НИИЖБ" | НИИЖБ | Руководство по контролю прочности бетона в конструкциях приборами механического действия (М., 1972) |
ОПР-9-300 ОМР-2-250 РПМ-5 | НИИЖБ |
ОПР-4-30 | НИИЖБ и ЭКБ ЦНИИСК |
Прибор КМ | ЭКБ ЦНИИСК |
Прибор ДорНИИ | ДорНИИ |
Пружинный молоток ХПС | Производится в ГДР | То же |
Пружинный молоток "Кремиковец" | Производится в Болгарии | Болгарский стандарт БДС-3816-65 "Механические неразрушающие методы определения прочности бетона" |
Испытание на отрыв и скалывание | Гидравлический пресс-насос ГПНВ-5 | - | |
Гидравлический пресс-насос ГПНВ-5, ГПНС-4 | Донецкий Промстройниипроект | |
УРС - устройство в комплекте с ГПНВ-5 | - | |
Методы упругого отскока | Склерометр КМ | ЭКБ ЦНИИСК | Указания по испытанию прочности бетона в конструкциях и сооружениях неразрушающими методами. Руководство по контролю прочности бетона в конструкциях приборами механического действия (М., 1972) |
Таблица 33
Приборы для определения физико-механических характеристик
бетона эксплуатирующихся конструкций физическими методами
Характеристика и метод испытаний | Прибор | Разработан | Предприятие-изготовитель |
Скорость УЗВ и динамический модуль упругости | Бетон-5 | - | Опытный завод ВНИИжелезобетона |
Ультразвуковой импульсный метод | УКБ-1, УКБ-1М | - | Завод "Электроточприбор" |
УК-10п | - | То же |
УФ-90пц | - | " |
УК-16п | - | " |
УК-12п | - | " |
Бетон 8-УРЦ | - | Опытный завод ВНИИжелезобетона |
Объемная масса бетона, радиоизотопный метод | Бетон 8-УРЦ | ВНИИжелезобетон | То же |
РПП-1 | ВНИИГиМ | - |
РПП-2 | ВНИИжелезобетон | - |
ИПР-Ц | |
РПБС | Оргэнергострой | Экспериментальные мастерские Оргэнергостроя |
МЕТОДИКА ОПРЕДЕЛЕНИЯ СКОРОСТИ РАСПРОСТРАНЕНИЯ
ПРОДОЛЬНЫХ УЛЬТРАЗВУКОВЫХ ВОЛН В ЖЕЛЕЗОБЕТОННЫХ ЭЛЕМЕНТАХ
Поверхность бетона, на которой устанавливают щупы (ультразвуковые преобразователи), не должна иметь крупных наплывов, вмятин, раковин (глубиной более 3 мм и диаметром более 6 мм), видимых трещин. С поверхности должны быть удалены слои гидроизоляции, антикоррозионных покрытий, штукатурки, облицовки и т.п.
Для обеспечения надежного акустического контакта между бетоном и рабочей поверхностью щупов применяют вязкие контактные среды (смазка) или эластичные прокладки. Кроме рекомендуемых стандартом материалов можно применять пластилин, меловое тесто и воско-канифольный компаунд.
Измерение базы прозвучивания проводят с погрешностью не более +/- 0,5%. Время распространения ультразвука может измеряться как способом сквозного, так и поверхностного прозвучивания. Значение скорости УЗВ v, м/с, вычисляют по формуле
v = 103·l/t,
где t - время, мкс;
l - база прозвучивания, мм.
При применении метода поверхностного прозвучивания щупы устанавливают по одной плоскости конструкции на постоянной базе (l = 150 - 400 мм). При сквозном прозвучивании помимо стандартного варианта соосного расположения щупов применяют способ диагонального прозвучивания.
Измерение способом поверхностного прозвучивания проводят в тех случаях, когда имеется односторонний доступ к конструкции для тонкостенных элементов. Испытания проводят при температуре 0 - 50 °C. Щупы устанавливают на расстоянии не менее 5 см от края конструкции, а направление прозвучивания, как правило, должно быть перпендикулярно к направлению арматуры, при этом концентрация арматуры по линии прозвучивания не должна превышать 5%. Можно проводить прозвучивание параллельно арматуре, если ее диаметр меньше 18 мм и расположена она от линии прозвучивания не ближе 5 см.
В тех случаях, когда прижим щупов обеспечивается специальными приспособлениями, усилие прижима должно быть в пределах 20 - 30 Н (2 - 3 кгс).
| | ИС МЕГАНОРМ: примечание. При публикации в издании М.: Стройиздат, 1982 допущен типографский брак. Текст, пропущенный в официальном тексте документа, в электронной версии данного документа выделен треугольными скобками. | |
Порядок работы: 1) исходя из измеряемой базы и предполагаемой скорости распространения УЗВ диапазон выбирается так, чтобы отсчитываемая величина находилась в пределах 40 - 100<...> диапазона; 2) подготавливается поверхность участков конструкции, к которым прижимаются головки щупа; 3) на донышко щупа наносится контактная среда; 4) щупы прикладываются с двух сторон конструкции (сквозное прозвучивание) или с одной стороны (поверхностное); 5) определяется время прохождения импульса через конструкцию и вычисляется скорость УЗВ.
Для оценки наличия скрытых трещин, раковин и других дефектов используется также параметр затухания импульсов в бетоне. Однако изменение величины амплитуды импульса (затухание) во многом зависит от акустических контактов щупов и конструкции, поэтому наряду с определением коэффициента затухания определяется и характер реверберационного процесса в сечении. Работы обычно проводятся специализированными научно-исследовательскими организациями.
ОЦЕНКА ПАССИВИРУЮЩЕГО ДЕЙСТВИЯ БЕТОНА
ЗАЩИТНОГО СЛОЯ ЖЕЛЕЗОБЕТОННЫХ КОНСТРУКЦИЙ
1. Метод предназначен для определения пассивирующего действия бетона защитного слоя железобетонных конструкций из тяжелого и легкого бетонов без вскрытия защитного слоя, при оценке защитных свойств бетона, подвергающегося воздействию агрессивных газов (углекислый, сернистый, хлористый водород, хлор и др.) и агрессивных растворов (хлористые, сернокислые и другие соли, кислоты и т.п.).
Метод может быть использован в том случае, если сопротивление бетона на измеряемом участке не превышает 105 Ом (бетон, насыщенный водой или растворами, воздушно-влажный бетон), и он непригоден для измерений на высушенном бетоне, когда сопротивление превышает 105 Ом.
2. Метод основан на способности стали в бетоне, обладающем пассивирующим действием, сохранять определенное время потенциал положительного знака после поляризации от внешнего источника и отключения тока. В бетоне, не обладающем пассивирующим действием, после отключения тока величина потенциала быстро возвращается к исходным отрицательным значениям стационарного потенциала. Измерение выполняется путем кратковременной поляризации стальной арматуры в бетоне положительным потенциалом от внешнего источника тока с напряжением на клеммах 6 - 12 В, отключением тока и измерением величины потенциала после отключения тока.
3. Установка для проведения испытаний состоит из источника постоянного тока, вольтметра, переключателя, медносульфатного электрода и зажима типа "крокодил".
В качестве источника постоянного тока напряжением 6 - 12 В могут быть использованы батареи элементов или аккумуляторы, выпрямители, универсальные источники питания и другие устройства.
Для измерения потенциала и электрического сопротивления следует использовать катодный вольтметр ВК-7-9 или омвольтметр, имеющий входное сопротивление не менее 107 Ом и позволяющий измерять величину потенциала в интервале +/- 1 В с точностью не менее +/- 0,01 В и сопротивление в интервале 10 - 108 Ом. Для измерения величины потенциала могут применяться вольтметры катодные марок ВК-2-16, ВК-7-4, ВК-7-7, ВК-7-13, ВК-7-16, вольтметры цифровые Ш-1312, Ш-1412 и Ш-1513.
Медносульфатный электрод неполяризующийся представляет собой стержень из красной меди, погруженный в насыщенный водный раствор сернокислой меди CuSO4. Медный стержень располагается в трубке из электроизоляционного материала. В трубку заливают раствор сернокислой меди. Нижний конец трубки закрыт губчатой резиной. Слабое просачивание раствора через пористую резину обеспечивает электрический контакт электрода с бетоном при установке медносульфатного электрода на поверхность конструкции. Диаметр электроизоляционной трубки принимается равным 15 - 30 мм, длина 100 - 150 мм.
4. Порядок проведения испытаний следующий: собирают установку в соответствии со схемой. Приборы, питающиеся от электрической сети (катодный вольтметр, универсальный источник питания), подключают к сети; подготовляют к работе медносульфатный электрод. Для этого медный стержень очищают от окисной пленки наждачной бумагой или кратковременным погружением в концентрированную азотную кислоту. Трубку электрода заливают насыщенным раствором сернокислой меди (марок Ч, ХЧ, ЧДА) и выдерживают до насыщения пористой резины.
На одном участке скалывают защитный слой и обнажают арматуру. Закрепляют на обнаженной поверхности арматуры зажим. Медносульфатный электрод устанавливают на поверхность конструкции на минимальном расстоянии от арматурного стержня. Если на поверхности железобетонной конструкции имеется лакокрасочное покрытие, то на месте контакта электрода с железобетонной конструкцией покрытие следует удалить; определяют электрическое сопротивление цепи медносульфатный электрод-бетон-армокаркас. Если оно не превышает 105 Ом, включают ток и в течение 1 мин поляризуют стальную арматуру анодным током. Затем отключают ток и через 1 мин измеряют потенциал стали в бетоне относительно медносульфатного электрода.
5. Результат измерения оценивают следующим образом: если за 1 мин потенциал от положительных значений понизился до нуля В и более, сталь в активном состоянии, а бетон не обладает необходимым пассивирующим действием; если за 1 мин потенциал понижается не более чем до нуля В, бетон на контакте со стальной арматурой обладает пассивирующим действием.
Устанавливая медносульфатный электрод в различных точках с шагом 0,5 м и более, определяют пассивирующее действие бетона в соответствующих точках. Количество измерений назначается в зависимости от размера конструкции и условий ее эксплуатации.
ТЕХНОЛОГИЯ УСТРОЙСТВА ОТВЕРСТИЙ В ЖЕЛЕЗОБЕТОННЫХ
ЭЛЕМЕНТАХ ЭЛЕКТРОДУГОВЫМ СПОСОБОМ
1. Плавление бетона (железобетона) начинается под воздействием независимой электрической дуги, т.е. дуги, которая поддерживается между двумя электродами, электрически изолированными от расплавленного материала. Плавление бетона (железобетона) на этой стадии процесса осуществляется благодаря кинетической энергии сталкивающихся с ним частиц дугового газа. К.п.д. такого процесса не превышает 20 - 40%.
По мере накопления в отверстии расплавленного материала один из электродов погружается в него и становится токоподводом, а между вторым электродом и бетоном (железобетоном), смоченным расплавом, возбуждается зависимая электрическая дуга, которая использует кроме кинетической потенциальную энергию заряженных частиц дугового газа, выделяющуюся в приэлектродных областях, благодаря чему энергетический поток направляется непосредственно к расплавляемому материалу и к.п.д. процесса повышается до 70 - 80%. Условием устойчивого существования зависимой электрической дуги между твердым электродом и расплавом бетона (железобетона) является наличие в дуговом промежутке элементов с низким потенциалом ионизации (Ca, Al и др.). При недостаточной ионизации дугового промежутка и электропроводности расплава в области электрической дуги вводятся металлические присадки в виде порошка (при рабочих токах до 1000 А) или проволоки из стали и алюминия.
По мере накопления расплава и погружения в него обоих электродов процесс плавления переходит в бездуговой (электрошлаковый).
В дальнейшем описанные стадии плавления повторяются в указанной последовательности по мере накопления и истечения расплава.
2. При образовании борозд в нижнем горизонтальном положении вертикально расположенными электродами производительность плавления бетона (железобетона) невысока и не превышает 3·10-4 - 4,5·10-4 м2/мин при рабочем токе до 500 А, причем увеличение рабочего тока не приводит к существенному росту производительности плавления, что объясняется тепловым экранированием нерасплавленных слоев материала слоем жидкого расплава, имеющего теплопроводность значительно меньшую, чем теплопроводность твердой фазы бетона (железобетона).
Для увеличения производительности (до 10-3 м2/мин) при работе в нижнем горизонтальном положении следует располагать электроды под тупым углом к направлению их перемещения. При таком расположении электродов часть жидкого расплава выдувается дугой и обнажается нерасплавленный материал.
Глубина проплавления за один проход составляет 0,08 - 0,15 м.
При образовании непрерывных борозд в вертикальном положении (электроды движутся снизу вверх) производительность плавления достигает 3,6·10-3 м2/мин.
Снижение производительности плавления при образовании непрерывных борозд в любом пространственном положении по сравнению с производительностью образования отверстий объясняется повышением потерь мощности электрической дуги на излучение, которые составляют 10 - 20% общей мощности дуги.
Источником питания электрической дуги является сварочный трансформатор (табл. 34).
Рабочие параметры | Тип трансформатора |
ТСД-500 | СТН-700 | СТ-1000 | ТДФ-1001 | ТСД-2000-2 | Ст-2000 | ТДФ-1601 | ТДФ-2001 | ТСД-1000-3 |
Первичное напряжение, В | 220 | 220 | 220 | 220 | 380 | 380 | 380 | 380 | 380 |
380 | 380 | 380 | 380 | | | | | |
Вторичное напряжение холостого хода  , В | 80 | 60 | 57, 62, 66, 71, 76 | 68 - 71 | 72, 84 | 80, 100, 109 | 95 - 105 | 74 - 79 | 69 - 78 |
Номинальная мощность, кВ·А | 42 | 44 | 70 | 82 | 180 | 200 | 182 | 170 | 150 |
Пределы регулирования рабочего тока, А | 200 - 600 | 200 - 900 | 300 - 1200 | 400 - 1200 | 800 - 2200 | 600 - 2000 | 600 - 1800 | 800 - 2200 | 400 - 1200 |
Номинальный режим работы, % | 60 | 60 | 60 | 100 | 50 | 60 | 100 | 100 | 90 |
Площадь сечения проводов рабочей цепи, м2 | 0,18 или 2 x 0,07 | 0,18 или 2 x 0,07 | 2 x 0,12 | 2 x 0,12 | 4 x 0,15 | 4 x 0,15 | 4 x 0,12 | 4 x 0,15 | 4 x 0,12 |
Основной мерой повышения устойчивости процесса является выбор источника питания с повышенным напряжением холостого хода Uх.х., что обеспечивает повторное зажигание электрической дуги при переходе кривой тока через нуль. Однако в серийно выпускаемых трансформаторах Uх.х. ограничено до 70 - 80 В из соображений безопасности персонала, поэтому для облегчения перехода кривой тока через нуль может быть рекомендовано использование сварочных осцилляторов или генераторов импульсов.
Тепловая энергия, генерируемая электрической дугой, прямо пропорциональна величине рабочего тока и напряжения. При работе на указанных в
табл. 34 типах источников питания и фиксированной длине дуги величина дугового напряжения меняется незначительно.
При плавлении отверстий в железобетонных конструкциях в вертикальном пространственном положении характер зависимости производительности плавления от величины рабочего тока электрической дуги выражается формулой

(33)
где Pп - производительность плавления;
Iр - рабочий ток электрической дуги;
gб - коэффициент, учитывающий марку бетона (табл. 35).
Таблица 35
Марка бетона | Коэффициент gб·10-6 м2/мин·А |
М100 | 0,27 |
М200 | 0,3 |
М400 | 0,47 |
М500 | 0,63 |
М600 | 0,838 |
При плавлении отверстий электрической дугой в вертикальном положении максимальная производительность достигается при углах наклона электродов к горизонту 45° и выше. При проплавлении арматурных стержней, когда весь период плавления поддерживается зависимая электрическая дуга, производительность плавления в 1,5 - 2 раза превышает производительность плавления бетона той же марки.
С ростом дугового напряжения увеличивается диаметр проплавляемого в бетоне (железобетоне) отверстия и устойчивость зависимой электрической дуги, причем скорость продвижения электродов вглубь материала практически не меняется, а некоторое увеличение производительности плавления достигается за счет увеличения площади оплавляемой поверхности; максимальный диаметр отверстия, который получается на токах 1000 - 2200 А, составляет 0,18 - 0,12 м при сечениях электродов 0,02 x 0,075 м) и за счет увеличения времени существования в общем процессе зависимой электрической дуги (увеличение дугового напряжения с 30 до 60 В позволяет увеличить максимальную длину зависимой электрической дуги до ее обрыва на 30%).
Еще одним параметром, влияющим на устойчивость процесса и тесно связанным с дуговым напряжением, является расстояние между концами электродов (табл. 36).
Таблица 36
Рабочий ток, А | Расстояние между концами электродов, м |
200 - 800 | 0,006 - 0,01 |
800 - 1500 | 0,01 - 0,015 |
1500 - 2200 | 0,01 - 0,015 |
Сечение электродов определяется допустимой плотностью тока (jдоп = 2,5·106 А/м2), температурой возгонки графита (Tв = 4000 °C) и механической прочностью его и составит 170·10-6 - 1500·10-6 м2. Для облегчения начала процесса рекомендуется выбирать электроды прямоугольной формы с размерами от 0,005 x 0,035 - 0,02 x 0,075 м. Наибольшая длина электродов указанных сечений допускается соответственно 0,5 и 1,5 м. Данные о расходе электродов в зависимости от рабочего тока электрической дуги приведены в табл. 37.
Таблица 37
Рабочий ток, А | Удельный расход электродов, кг/мин, x 10-3 |
200 | 0,8 |
400 | 2 |
600 | 3 |
800 | 4,5 |
1000 | 6 |
1200 | 6,9 |
1400 | 8,4 |
1600 | 10,9 |
1800 | 14 |
1900 | 15,3 |
Установки для электродугового плавления железобетона разделяются на ручные (рабочие токи менее 1000 А) и машинные, кроме того, оба вида установок можно разделить на однофазные, двухфазные и трехфазные, а также на установки, использующие для плавления железобетона неподвижную систему электродов и электроды, вращающиеся вокруг своей продольной оси симметрии.
Все типы установок для электродугового плавления железобетона имеют графитовые (неплавящиеся) электроды, медные электрододержатели, закрепляемые на изолирующей (асбестоцементной) площадке, неподвижной (ручные установки) или имеющей возможность перемещаться поступательно (машинные установки) либо вращаться (установки для плавления железобетона вращающейся электрической дугой), а также сварочные провода, соединяющие источник питания и устройство для электродугового плавления.
Электрододержатели и графитовые электроды перемещаются поступательно во время рабочего и холостого хода механически при помощи системы ходовой винт-гайки в машинных установках или подаются вручную.
Машинное устройство для электродугового плавления железобетона устанавливается на тележке или на ферме для возможности перемещения его в пределах железобетонной конструкции, подвергаемой плавлению.
Для подвода электрического тока к установкам для электродугового плавления железобетона используется сварочный провод марки ПРГД сечением не менее приведенного в
табл. 34 соответственно для каждого типа источника питания. Длина сварочного провода от источника питания до установки не должна превышать 10 - 15 м во избежание больших потерь мощности на нагрев провода. Сварочные провода соединяются между собой и присоединяются к электрододержателям установок при помощи горячей пайки, сварки или муфт, места соединения проводов тщательно изолируются.
Крепление графитовых электродов в электрододержателях производится с помощью винтовых прижимов. Перед каждой сменой электродов контактные поверхности протирают и не реже одного раза в три месяца медную поверхность очищают от пыли и окислов.
Включение машинных установок производится при помощи магнитного пускателя, рассчитанного на соответствующие токи.
3. При производстве работ необходимо соблюдать следующие основные правила техники безопасности:
а) к работе на установках для термического разрушения бетона и железобетона могут допускаться только лица, прошедшие обучение, инструктаж для производства особо опасных работ и получившие наряд-допуск;
б) установки для термического разрушения бетона и железобетона должны обслуживать двое рабочих - оператор и подручный;
в) оператор должен быть одет в брезентовый костюм, специальную обувь и брезентовые рукавицы с асбестовыми вставками. Работа должна производиться в наголовной маске ШЭУ-1 с защитным стеклом марки ТС-3 или в защитных очках. При использовании для плавления материала реактивной струи уши оператора должны быть закрыты наушниками;
г) для защиты органов дыхания оператора от пыли и продуктов сгорания он должен пользоваться бесклапанным респиратором МБ-1 "Лепесток" при работе как в помещении, так и на открытом воздухе;
д) от места плавления оператор должен находиться не ближе чем на расстоянии 0,5 м;
е) оператору или подручному запрещается откалывать от материала раскаленные частицы;
ж) при плавлении бетона и железобетона в потолочном положении держатель электродов должен иметь защитный лоток для отвода расплавленного материала;
з) при использовании в качестве энергоносителя электрического тока (электродуговое плавление) все токоведущие части цеха, которые могут быть изолированы по условиям эксплуатации, должны иметь надежную изоляцию, проверка сопротивления которой должна производиться не реже одного раза в месяц. Сопротивление изоляции должно быть не менее 0,5 МОм;
и) все приборы, оборудование и обратные провода должны быть надежно заземлены;
к) источники питания (сварочный трансформатор) со стороны питающей сети должны быть защищены предохранителями, соответствующими номинальному первичному току;
л) все рукоятки, маховики, кнопки управления, которые могут оказаться под напряжением, должны быть выполнены из диэлектрического материала или надежно изолированы от корпуса;
м) смену электродов, наладку установки для электродугового плавления, а также ремонт вышедших из строя приборов и оборудования нужно производить при снятом рабочем напряжении.
ПО ТЕХНОЛОГИИ СОЕДИНЕНИЯ СТАРОГО БЕТОНА
С НОВЫМ С ПРИМЕНЕНИЕМ КЛЕЕВ
1. Для обеспечения сцепления старого и нового бетонов рекомендуется на вертикальных, наклонных либо горизонтальных плоскостях старого бетона наносить тонкий слой клея, а затем до его отверждения укладывать слой нового бетона с уплотнением при помощи вибрации.
2. Применение предлагаемой технологии соединения старого и нового бетонов при помощи клея допускается при условии:
применения материалов соответствующего качества;
выполнения работ специально обученным персоналом;
тщательного пооперационного контроля качества клея, а также выполнения всех технологических процессов очистки поверхности старого бетона, приготовления клея, нанесения его на склеиваемую поверхность, укладки нового бетона, температурного режима твердения клея в строгом соответствии с требованиями настоящих рекомендаций.
3. Для соединения старого и нового бетонов рекомендуется применять силоксановые и акриловые клеи, составы которых приведены в
табл. 15.
Технологическая жизнеспособность рекомендуемых составов клея составляет при температуре среды 15 - 20 °C: силоксанового 120 + 150 мин; акрилового 100 + 120 мин.
Когезионная прочность при сжатии, по ГОСТ 4651-68, должна быть не ниже: силоксанового клея 35 МПа (350 кгс/см2), акрилового клея 60 МПа (600 кгс/см2). Для приготовления клея допускается применять компоненты, соответствующие требованиям ГОСТ, снабженные заводскими паспортами со сроком годности с момента изготовления, не превышающем: 6 мес для жидкого стекла; 12 мес для тринатрийфосфата; 12 мес для андезитового порошка; 12 мес для жидкости АСТ-Т.
4. Для приготовления силоксанового клея предварительно приготовляют смесь жидкого стекла с тринатрийфосфатом. Для этого тринатрийфосфат растворяют в жидком стекле. Растворение производят в растворомешалке СБ-43 (или ей подобной) при перемешивании в течение 30 мин. После этого смесь переливают в тару и закрывают пробкой. Тринатрийфосфат добавляется в количестве 10 - 15% массы жидкого стекла.
Количество предварительно приготовленной смеси составляет 50 - 200 кг в зависимости от объема работ.
Смесь жидкого стекла с тринатрийфосфатом должна храниться в сухом помещении при температуре 10 - 20 °C.
Загрузка материалов в растворомешалку производится в следующей последовательности.
Заливается отдозированное количество жидкого стекла с добавкой тринатрийфосфата и засыпается необходимое количество цемента. Смесь перемешивается в течение 2 - 3 мин, после чего добавляется кварцевый песок или андезитовый порошок (в зависимости от принятого состава).
В случае применения асбеста он вводится после добавки цемента или совместно с ним.
5. Для приготовления акрилового клея применяется пластмасса АСТ-Т, которая выпускается в виде комплекта, содержащего равные количества порошка и жидкости АСТ-Т, и упаковывается: порошок в полиэтиленовых пакетах по 4,5; 9; 18 кг, а жидкость - в полиэтиленовых сосудах по 4,5; 9; 18; 36 кг, закрытых пробками.
Компоненты АСТ-Т (порошок и жидкость) хранятся в местах, защищенных от воздействия прямых солнечных лучей и атмосферных осадков при температуре не выше 25 °C.
Приготовление акрилового клея рекомендуется производить в следующей последовательности.
Необходимое количество порошка АСТ-Т, жидкости АСТ-Т и кварцевого песка отвешивают в отдельные емкости.
Смешивание компонентов возможно вручную либо в растворомешалке типа СБ-43.
Вручную рекомендуется приготавливать замесы до 10 кг, а в растворомешалке - 150 кг.
При ручном приготовлении смеси в емкость заливается жидкость и добавляется порошок, затем производится периодическое перемешивание металлической или деревянной лопаткой до набухания порошка в жидкости, после чего вводится наполнитель - кварцевый песок с непрерывным перемешиванием.
Момент набухания порошка в жидкости определяется получением одноцветной сметанообразной жидкости.
Время перемешивания акрилового клея после введения наполнителя составляет 3 - 5 мин до достижения равномерного распределения зерен песка в объеме клея.
При механическом приготовлении клея в растворомешалке последовательность операций аналогична, однако процесс набухания порошка в жидкости должен сопровождаться кратковременным включением растворомешалки в течение 20 - 25 с через 3 - 5 мин.
Ориентировочное время набухания порошка в жидкости АСТ-Т при температуре окружающей среды 15 °C - 25 °C составляет 10 - 15 мин.
Время отверждения акрилового клея составляет при температуре среды:
От 0 до 10 °C ....................... до 24 ч
" 11 " 15 °C ....................... " 19 "
" 16 " 20 °C ....................... " 10 "
При 21 °C ........................... " 6 "
В связи с ограниченной технологической жизнеспособностью силоксанового акрилового клея приготовление его производится после окончания всех работ, связанных с подготовкой поверхности старого бетона, а также приготовлением бетонной смеси.
Рациональное количество одновременно приготовляемого клея для соединения старого и нового бетонов в горизонтальных швах при массовом производстве работ определяется исходя из возможности его нанесения в течение времени, равного технологической жизнеспособности клеев.
Количество клея определяется по формуле

(34)
где Nб - число рабочих, занимающихся укладкой нового бетона;
Tкл - технологическая жизнеспособность клея, ч;
Hвр - норма времени на укладку нового бетона, чел.-ч;
hкл - толщина клеевой прослойки, м;
hбет - толщина слоя нового бетона, м;

- объемная масса клея, кг/м
3.
6. Нанесение клеевой прослойки на старый бетон производится при наличии свежеприготовленной бетонной смеси.
Опережение фронта работ по нанесению клея на поверхность старого бетона по отношению к бетонированию составляет не более: для горизонтальных поверхностей 1 - 2 м; для вертикальных поверхностей не свыше 0,5 м.
Температура окружающей среды при нанесении клея должна быть не ниже: 10 °C для силоксанового клея; 0 °C для акрилового клея.
Толщина клеевой прослойки не должна превосходить 3 - 5 мм.
Нанесение клея должно выполняться на чистой поверхности старого бетона, для чего последнюю предварительно очищают сжатым воздухом, водой, механическим способом и т.п. Если поверхность очищается струей воды, то работы по нанесению клея начинаются не ранее чем через 24 ч.
Состав звена для нанесения клея состоит из двух рабочих III и IV разр., один из которых подвозит клей и выгружает его порциями на бетонную поверхность, а второй разравнивает слой клея до требуемой толщины прослойки.
Количество звеньев выбирается в зависимости от объема работ. Ориентировочно для клея со значением Tкл = 2 ч число звеньев для укладки клея на вертикальную поверхность должно быть не менее 2, а для укладки на горизонтальную поверхность требуется 1 - 2 звена.
От растворомешалки СБ-43 клей доставляется к месту укладки либо в ведрах, либо специальной тележкой.
Нанесение клея на вертикальную поверхность производят набрасыванием его порциями мастерком, а затем разравниванием деревянной полутеркой.
Можно наносить клей механизированным способом с помощью растворомета.
Время с момента окончания нанесения клея до укладки нового бетона должно быть по возможности минимальным - не более технологической жизнеспособности клея.
При уплотнении бетонной смеси вибраторами с гибким валом толщина слоя бетона не должна превышать 1,25 длины рабочей части вибратора.
Не допускается повторное вибрирование нового бетона в одном и том же месте.
7. Контроль качества материалов для приготовления клея оценивается по когезионной и адгезионной прочности клея.
Когезионная прочность клея определяется на образцах-кубиках 2 x 2 x 2 см при сжатии.
Временное сопротивление при сжатии должно быть не ниже данных, приведенных в
п. 3 настоящего приложения.
Адгезионная прочность клея определяется путем испытания образцов восьмерок, состоящих из старого и нового бетона с клеевым швом посередине восьмерки. Старый бетон должен иметь 100%-ную марочную прочность при изготовлении образцов-восьмерок. Площадь склейки должна составлять 4 см2.
К производству допускается клей, обеспечивающий прочность склейки выше когезионной прочности старого или нового бетона при растяжении.
Наполнение форм силоксановым клеем производится с проштыковкой массы, а акриловым клеем - самотеком.
Выдерживание образцов осуществляется при нормальной температуре в течение 24 ч. Одновременно испытывается не менее 5 образцов.
8. Жидкость пластмассы АСТ-Т является горючей со специфическим запахом. Предельно допустимая концентрация паров в воздухе составляет 10 мг/м3.
Все операции по приготовлению пластораствора необходимо проводить в вентилируемых помещениях.
Не допускается производить работы с пластмассой АСТ-Т возле огневых точек, электроприборов и т.п.
В случае попадания жидкости АСТ-Т на кожу ее необходимо смыть струей горячей воды.
Рабочие, занятые приготовлением акриловых клеев, должны быть обеспечены защитной одеждой, комбинезоном, рукавицами и головным убором.
Приготовление клея в растворомешалке должно производиться с соблюдением всех правил техники безопасности, касающихся механизированного приготовления бетонов и растворов.
ПРИМЕР РАСЧЕТА ДОЗЫ СИЛОКСАНОВОГО КЛЕЯ
1. Условия: требуется приготовить силоксановый клей для соединения старого и нового бетонов на площади 350 м
2. Бетонирование производится горизонтальными слоями толщиной 40 см, толщина клеевой прослойки 0,003 м, объемная масса клея 1500 кг/м
3.
2. Потребное количество клея
где Sкл - площадь склеивания, м2;
hкл - толщина клеевой прослойки, м;

- объемная масса клея, кг/м
3.
Для условий
п. 1 P = 1575 кг.
3. Определение количества составляющих силоксанового клея, масс. ч.:
Жидкое стекло + тринатрийфосфат .......... 35
Портландцемент ........................... 35
Песок средней крупности .................. 30
Итого .......... 100
Масса одной масс. ч.: 1575:100 = 15,75 кг.
Масса составляющих, кг:
Жидкое стекло + тринатрийфосфат .......... 35·15,75 = 551,25
Портландцемент ........................... 35·15,75 = 551,25
Песок средней крупности .................. 30·15,75 = 472,50
Количество жидкого стекла и тринатрийфосфата - 115 масс. ч.
Масса одной масс. ч.: 351,25:115 = 4,79 кг.
Масса составляющих, кг:
Жидкое стекло ............................ 100·4,79 = 479
Тринатрийфосфат .......................... 16·4,79 = 71,85
4. Величина оптимального замеса силоксанового клея определяется по
формуле (34).
Принимаем, что работают 2 бетонщика, а технологическая жизнеспособность клея составляет 1 ч.
ПРИМЕР РАСЧЕТА МАССОВОЙ ДОЗЫ АКРИЛОВОГО КЛЕЯ
1. Условия: требуется приготовить акриловый клей для соединения старого бетона с новым на площади 200 м2. Бетонирование производится горизонтальными слоями толщиной 40 см, толщина клеевой прослойки 0,003 м.
2. Потребное количество клея: 200·0,003·1800 = 1080 кг.
3. Определение количества составляющих акрилового клея, масс. ч.:
Порошок АСТ-Т ............................ 29
Отвердитель АСТ-Т (жидкость) ............. 29
Песок средней крупности .................. 42
Итого .......... 100
4. Масса одной масс. ч.: 1080:100 = 10,8 кг.
5. Масса составляющих, кг:
Порошок АСТ-Т ............................ 29·10,8 = 313,2
Жидкость АСТ-Т ........................... 29·10,8 = 313,2
Песок .................................... 42·10,8 = 453,6
6. Величина оптимального замеса акрилового клея определяется по
формуле (34).
Принимая, что работают 2 бетонщика, а технологическая жизнеспособность клея составляет 1,5 ч, Qкл = 112,32 кг.
ПО ТЕХНОЛОГИИ ПРИГОТОВЛЕНИЯ И НАНЕСЕНИЯ МЕТОДОМ НАБРЫЗГА
И ТОРКРЕТА РАСШИРЯЮЩИХСЯ И ЖАРОСТОЙКИХ БЕТОНОВ И РАСТВОРОВ
1. Приведенные ниже варианты составов расширяющего раствора являются равноценными и может использоваться любой из них.
Вариант N 1 (кг/м3)
Портландцемент марки М500 ................ 515
Заполнитель - кварцевый песок ............ 1545
В/Ц ...................................... 0,45 - 0,55
<*>
Химические добавки
Сернокислый алюминий

............ 10
Нитрит натрия

..................... 10
Вариант N 2 (кг/м3)
Портландцемент марки М500 ................ 516
Заполнитель - кварцевый песок ............ 1545
В/Ц ...................................... 0,45 - 0,55
<*>
Химические добавки
Сернокислый алюминий

........... 10
Азотнокислый кальций ..................... 10
Сульфитно-спиртовая барда (ССБ)
или сульфитно-дрожжевая бражка (СДБ) ..... 0,5
Алюминиевый порошок ...................... 0,05
--------------------------------
<*> Количество воды в растворе и подвижность раствора подбирают опытным путем в зависимости от крупности песка. Подвижность раствора должна быть минимальной из условия получения отскока не более 25 - 30% объема смеси.
2. Для приготовления раствора сухая смесь цемента и заполнителя перемешивается в бетономешалке до получения однородного состава.
Водные растворы добавок приготовляют в 2 емкостях: в одной - раствор сульфата алюминия, в другой - суспензии, состоящие из азотнокислого кальция, ССБ (СДБ) и алюминиевого порошка для состава N 2 или раствора нитрита натрия для состава N 1.
Суспензию и водный раствор сульфата алюминия считают готовыми к применению после полного растворения добавок и равномерного распределения (путем механического перемешивания) алюминиевого порошка.
Рекомендуется приготовлять 20%-ные растворы по отношению к чистой массе добавок. Как правило, приходится иметь дело с сернокислым алюминием Al2(SO4)3·18H2O в виде кристаллогидрата, который содержит в своем составе молекулы воды. В этом случае нужно увеличить массу приведенного реактива соответственно 20%-ному содержанию чистого Al2(SO4)3 в растворе, а масса кристаллизационной воды учитывается при подсчете общего количества воды для раствора.
Например, приготовление 100 л 20%-ного раствора сернокислого алюминия потребует 43 кг кристаллогидрата сернокислого алюминия Al2(SO4)3·18H2O и 75 л воды.
Приготовление 100 л 20%-ного раствора нитрита натрия потребует 23 кг NaNO2 в порошке и 91 л воды. Водный раствор сульфата алюминия считается готовым к применению после полного растворения добавок.
Водные растворы из соответствующих емкостей добавляют в растворомешалку вместе с водой затворения.
При назначении В/Ц учитывается количество воды в водных растворах добавок.
3. При нанесении набрызг-раствора должны быть выдержаны следующие основные технологические параметры: а) оптимальное давление воздуха 5 - 6 атм; б) расстояние между выпускным отверстием воздуховода в бетономете и соплом 25 мм.
Для нанесения набрызг-раствора применяют ручной бетономет конструкции ОРГРЭС ("Методические указания по применению ручного бетономета", Минэнерго, М., 1971).
4. В процессе приготовления расширяющегося цементного раствора с добавками сульфата алюминия (сернокислого алюминия) и нитрита натрия (состав 1) в результате взаимодействия химических добавок образуются в небольшом количестве и могут выделяться в атмосферу газообразные продукты в виде окиси и двуокиси азота (бурые пары с резким запахом), из которых окись азота относится к ядовитым веществам. Поэтому приготовление раствора состава N 1 необходимо проводить на воздухе или в хорошо проветриваемом помещении.
5. В состав жаростойкой торкрет-смеси входят
(табл. 24) гидравлические вяжущие, тонкомолотая добавка, заполнители.
| | ИС МЕГАНОРМ: примечание. Взамен ГОСТ 10178-76 Постановлением Госстроя СССР от 10.07.1985 N 116 с 1 января 1987 года введен в действие ГОСТ 10178-85. | |
В качестве вяжущих рекомендуется применять портландцемент марки М500 или быстротвердеющий портландцемент марки М500, отвечающие требованиям ГОСТ 10178-76.
Тонкомолотая добавка представляет собой шамот, полученный из боя шамотных огнеупорных изделий. Степень измельчения должна быть такой, чтобы при просеивании пробы сквозь сито 008 оставалось не более 30% пробы.
Заполнители представляют собой порошки шамота и шлака силикомарганца.
Порошок шлака является наименьшей фракцией (отсевом) при производстве щебня из шлакомарганца и должен отвечать требованиям РСН 245-72.
Зерновой состав заполнителей должен соответствовать данным, приведенным в табл. 38.
Таблица 38
Остаток на ситах | Размер отверстий, мм, в свету |
5 | 2,5 | 1,25 | 0,63 | 0,315 | 0,14 |
Полный остаток на сите, % | 0 - 5 | 10 - 30 | 20 - 55 | 40 - 70 | 70 - 90 | 80 - 100 |
Затворять бетонную смесь при торкретировании рекомендуется питьевой водой, соответствующей ГОСТ 2874-73.
При приготовлении торкрет-смесей вяжущее дозируется по массе с точностью +/- 1%, а порошки и тонкомолотая добавка - с точностью +/- 2%. Смешивание компонентов производится в любом бетоносмесителе, обеспечивающем тщательное перемешивание. Очередность загрузки составляющих бетонной смеси следующая: порошки, тонкомолотая добавка, вяжущее. Длительность перемешивания составляющих торкрет-смеси в бетоносмесителе должна быть не менее 5 мин. Влажность торкрет-смесей, приготовленных на растворобетонных узлах, должна быть не более 0,5%. Влажность торкрет-смесей, приготовленных на месте производства работ непосредственно перед укладкой, допускается 5 - 6%.
6. Торкретирование производится с использованием торкрет-установок БМ-60, СБ-67, ССВ-03 и др.
Толщина защитного слоя до металлической сетки должна быть 35 - 40 мм.
Перед началом торкретирования устанавливают оптимальный расход воды затворения. Количество подаваемой воды определяется визуально по началу образования глянцевой пленки на поверхности нанесенного слоя бетона. При этом влажность уложенного торкрет-бетона составляет 10 - 13%.
Торкрет-бетонная смесь наносится на вертикальную поверхность снизу вверх дуговыми движениями сопла на всю толщину наносимого слоя картами.
Укладку торкрет-бетона желательно вести непрерывно. После перерыва в работе, превышающего 1 ч, смежные торцовые поверхности должны быть очищены от пыли и увлажнены.
Торкретирование и твердение бетона до начала эксплуатации должно происходить при t = +10 °C и выше. Торкрет-бетон необходимо увлажнять в течение 4 - 7 сут, начиная с 12 - 20 ч после укладки с интервалом в 1 ч.
7. В процессе приготовления и укладки торкрет-смесей, твердения и сушки должен производиться контроль качества исходных материалов и технологии работ.
| | ИС МЕГАНОРМ: примечание. Взамен СН 156-79 Постановлением Госстроя СССР от 26.07.1985 N 124 с 1 января 1986 года введены в действие СНиП 3.09.01-85. | |
Контроль качества исходных материалов должен включать определение активности цемента; зерновой состав и объемную массу торкрет-смесей (инструкция СН 156-79); определение предела прочности при сжатии торкрет-бетонов (инструкция СН 156-79).
При приготовлении торкрет-смеси должны контролироваться точность дозирования, время перемешивания, влажность исходных материалов.
Контроль качества подготовки поверхности включает проверку чистоты защищаемой поверхности, проверку крепления армирующих элементов, проверку установки маяков.
8. Контроль качества торкрет-бетона включает:
изготовление 9 образцов-кубов размером 70 x 70 x 70 мм (100 x 100 x 100 мм) путем выпиливания из "коржей" или призм, полученных торкретированием специальных форм-щитов;
| | ИС МЕГАНОРМ: примечание. Взамен ГОСТ 10180-78 с 1 января 1991 года в части определения прочности бетона по контрольным образцам Постановлением Госстроя СССР от 29.12.1989 N 168 введен в действие ГОСТ 10180-90; в части определения прочности по образцам, отобранным из конструкций, Постановлением Госстроя СССР от 24.05.1990 N 50 введен в действие ГОСТ 28570-90. | |
определение предела прочности при сжатии контрольных образцов торкрет-бетонов, в соответствии с СН 156-79 и ГОСТ 10180-78, после 7 сут хранения образцов в условиях, аналогичных условиям хранения бетона футеровки; после сушки при 110 °C в течение 32 ч, после нагревания до температуры эксплуатации и температуры 800 °C;
осмотр поверхности футеровки.
ТЕХНОЛОГИЯ УСТРОЙСТВА ГИДРОИЗОЛЯЦИИ И АНТИКОРРОЗИОННОЙ
ЗАЩИТЫ НА ОСНОВЕ МОДИФИЦИРОВАННОГО БИТУМА И ПЕТРОЛАТУМА
1. Описываемый ниже способ гидроизоляции и антикоррозионной защиты рекомендуется для железобетонных конструкций зданий и сооружений всех категорий по допустимому увлажнению и вне зависимости от категории по трещиностойкости, эксплуатирующихся в условиях постоянного или периодического действия грунтовых или технических вод при максимальном напоре не более 20 м.
Гидроизоляция включает пропитку поверхностного слоя бетонной или железобетонной конструкции на глубину не менее 2 мм композицией из петролатума и ВЖК и нанесение покровного слоя из смеси битума и петролатума толщиной не менее 3 мм.
Приготовление составов, выполнение гидроизоляционных работ и контроль их качества следует выполнять под наблюдением соответствующих построечных лабораторий.
2. Петролатум, представляющий собой светло-коричневую массу (смесь парафинов и церезинов с высоковязким очищенным маслом; температура каплеобразования 55 °C, температура вспышки 250 °C), должен удовлетворять ОСТ 38.01182-80.
| | ИС МЕГАНОРМ: примечание. Взамен ГОСТ 6484-64 Постановлением Госстандарта России от 27.08.1996 N 539 с 1 января 1997 года введен в действие ГОСТ 6484-96. | |
В качестве высших жирных кислот (ВЖК) рекомендуется применять технический стеарин, представляющий собой просвечивающуюся твердую массу белого цвета (смесь стеариновой, пальмитиновой, оксистеариновой и других высших жирных кислот, температура плавления около 50 °C), который должен удовлетворять требованиям ГОСТ 6484-64*.
| | ИС МЕГАНОРМ: примечание. Взамен ГОСТ 23239-78 Постановлением Госстандарта СССР от 12.12.1989 N 3665 с 1 января 1992 года введен в действие ГОСТ 23239-89. | |
Допускается применение других продуктов, содержащих ВЖК, например, синтетических жирных кислот, удовлетворяющих ГОСТ 9975-78 и ГОСТ 23239-78.
Для выполнения покровного слоя применяется строительный битум марок БН 70/30, БН 90/10, удовлетворяющий
ГОСТ 6617-76.
3. Приготовление композиций для пропитки и покровного слоя осуществляется централизованно или на месте производства работ.
Пропиточная композиция приготовляется путем совместного нагревания при температуре 80 °C и более и перемешивания смеси, содержащей 88 - 90 масс. ч. петролатума и 10 - 12 масс. ч. ВЖК.
Состав для покровного слоя содержит соответственно битума БН 70/30 - 85 - 90 масс. ч., петролатума 10 - 15 масс. частей; битума БН 90/10 масс. ч., петролатума 25 - 35 масс. ч. Состав приготовляется путем перемешивания компонентов при температуре 180 - 200 °C.
Для предупреждения интенсивного вспенивания и переливания расплавленных композиций, что может иметь место при попадании влаги, емкость следует загружать не более чем на две трети высоты емкости.
Перемешивание компонентов следует продолжать до прекращения интенсивного вспенивания и получения однородной массы.
Время хранения приготовленной пропиточной композиции и покровного состава до употребления не ограничивается.
4. Перед выполнением гидроизоляции изолируемая поверхность должна быть очищена от грязи и пыли, высушена до воздушно-сухого состояния и не иметь дефектных участков в виде трещин шириной раскрытия более 0,5 мм, каверн глубиной более 10 мм, защебененных зон и др.
5. Выполнение первого слоя гидроизоляции (пропитки) включает две операции: нанесение пропиточной композиции на поверхность конструкций и прогрев последней с целью пропитки на требуемую глубину.
Нанесение пропиточной композиции производится с помощью специальной передвижной установки (рис. 19), состоящей из расходного бака 1, фильтра 2, насоса 4, подающего разогретую композицию по трубопроводу 3, источника сжатого воздуха, трубопроводов и разбрызгивающего устройства 13. Для приготовления и подачи пропиточной композиции к рабочему органу могут быть использованы установки типа АБГР, АГКР и др.
Рис. 19. Схема установки для нанесения пропиточного состава
1 - расходный бак; 2 - фильтр; 3 - трубопровод; 4 - насос;
5 - электродвигатель; 6, 7 - вентили; 8 - патрубок
для сброса избыточного давления; 9, 10 - вентили;
11 - штуцер для подачи сжатого воздуха; 12 - шланг;
13 - разбрызгивающее устройство;
14 - изолируемая поверхность
Технология выполнения работ по нанесению пропиточной композиции включает следующие операции: загрузку бака составляющими по массовой дозировке, разогрев и перемешивание смеси, подачу к рабочему органу, нанесение ее на поверхность изолируемой конструкции слоем 1 - 2 мм, продувку системы сжатым воздухом после окончания цикла.
Для разбрызгивания пропиточной композиции применяется устройство, позволяющее диспергировать разогретую до 80 °C и более смесь за счет давления, создаваемого шестеренчатым насосом ШН-8, ЭШФ или масляным насосом автомобилей ГАЗ, БелАЗ.
| | ИС МЕГАНОРМ: примечание. Текст дан в соответствии с официальным текстом документа. | |
По схеме с использованием специальной передвижной установки
(рис. 19) приготовление пропиточной композиции производится путем нагрева составляющих и перемешивания с помощью перекачки через обратный трубопровод 8 и бак в течение 10 - 15 мин при открытых 6, 7 и закрытых 8, 10 вентилях. Затем при открытых вентилях 6, 9 с помощью насоса разогревателя композиция подается к разбрызгивающему устройству 13, рабочее давление насоса регулируется вентилем 7. Регулировка параметров факела разбрызгивания осуществляется изменением величины отверстия сопла в форсунке рабочего органа, который через соединительный штуцер 15 с помощью гибкого шланга 12 подсоединяется к системе. После окончания цикла нанесения пропиточной композиции трубопроводы и гибкий шланг с разбрызгивающим устройством очищаются от остатков смеси сжатым воздухом при открытых вентилях 7, 9, 10, закрытом вентиле 6 и отключенном насосе.
По схеме с использованием установок типа АБГР и АГКР (рис. 20) приготовление пропиточной композиции производится путем нагревания составляющих в баке агрегата 1 с одновременным перемешиванием путем перекачки через трубопровод с помощью насоса агрегата и патрубка 3. При этом вентиль 4 открыт, а 5, 6 - закрыты. Затем при открытом вентиле 5 и закрытых 4, 6 разогретая композиция подается к разбрызгивающему устройству 8, рабочее давление в котором регулируется вентилем 4. После окончания цикла нанесения пропиточной композиции трубопроводы, гибкий шланг и распылительное устройство продуваются сжатым воздухом.
Рис. 20. Схема установки для нанесения пропиточного
состава на базе АБГР
1 - АБГР; 2 - фильтр; 3 - патрубок для сброса избыточного
давления; 4, 5, 6 - вентили; 7 - шланг; 8 - разбрызгивающее
устройство; 9 - изолируемая поверхность
6. После нанесения пропиточной композиции поверхность конструкции прогревается до температуры 180 - 230 °C с помощью нагревательных устройств типа газовых, бензиновых горелок, электровоздуходувок, калориферов, ручных асфальторазогревателей Д-143А или Д-135 и др.
Прогрев ведется последовательными участками сверху вниз до тех пор, пока поверхность не приобретет матовый коричневый оттенок и на ощупь не будет сухой. При недостаточной глубине пропитки операция повторяется.
7. Выполнение покровного слоя осуществляется с помощью установок АБГР, АГКР и подобных им, которые обеспечивают нагрев и перемешивание составляющих и нанесение композиции покровного слоя при температуре 200 - 230 °C толщиной 3 - 4 мм. При указанных температурах обеспечивается надежное сцепление покровного и пропитанного слоев.
8. Для обеспечения высокого качества гидроизоляции необходим строгий контроль за свойствами материалов и состоянием поверхности бетона изолируемых конструкций, соблюдением заданного режима нанесения пропиточной композиции и состава для покровного слоя, а также параметров тепловой обработки при пропитке.
Построечная лаборатория должна вести журналы по учету и контролю всех указанных параметров. На выполнение гидроизоляции составляют акт скрытых работ по соответствующей форме с указанием характеристики изолируемой поверхности, средней глубины пропитки, температурных режимов пропитки, выполнения покровного слоя, толщины покровного слоя.
Контроль качества пропитки осуществляют до нанесения покровного слоя путем выполнения на пропитанной поверхности бетона насечки, позволяющей визуально определить глубину пропитки. При интенсивном прогреве пропитанный слой бетона приобретает темную окраску. Сплошность пропитанной поверхности восстанавливается путем прогрева нарушенного участка. Количество насечек на единицу площади изолируемой поверхности назначается в соответствии с
ГОСТ 18242-72.
Учитывая, что при температуре нанесения битумно-петролатумной смеси покровного слоя ниже указанной в
п. 7 величина сцепления покровного и пропитанного слоев значительно снижается, контроль температуры смеси в баке необходимо осуществлять постоянно.
Контроль толщины и степень сцепления покровного слоя с основанием осуществляется методом параллельных надрезов подобно описанному в
ГОСТ 15140-78 "Материалы лакокрасочные. Методы определения адгезии", при ширине ленты 10 см и длине 40 - 50 см.
9. К работам по приготовлению и нанесению композиций из петролатума, битума и ВЖК допускаются рабочие не моложе 18 лет, прошедшие инструктаж по технике безопасности и медицинское обследование.
Работы, связанные с приготовлением композиций пропиткой и выполнением покровного слоя, должны производиться с соблюдением правил техники безопасности, предусмотренных главой
СНиП III-4-80 "Техника безопасности в строительстве" и ГОСТ 12.3.016-79 "Антикоррозионные работы в строительстве. Требования безопасности".
Рабочие, занятые приемкой петролатума, битума и ВЖК, приготовлением пропиточной композиции и пропиткой, должны выполнять работы в комбинезоне и в брезентовых рукавицах.
Рабочие, непосредственно занятые выполнением операций по нанесению пропиточной композиции и состава для покровного слоя с помощью разбрызгивающего устройства, должны выполнять эту работу в защитных очках, комбинезоне, брезентовых рукавицах, а при работе в закрытом помещении - в шестислойной марлевой повязке.
| | ИС МЕГАНОРМ: примечание. В официальном тексте документа, видимо, допущена опечатка: раздел 29 "Испытание технологического оборудования, аппаратуры и трубопроводов" в СНиП III-4-80 "Техника безопасности в строительстве" отсутствует. Возможно, имеется в виду раздел 29 "Испытание технологического оборудования, аппаратуры и трубопроводов" в СНиП III-А.11-70 "Техника безопасности в строительстве". | |
Эксплуатация оборудования для пневматического нанесения пропиточной композиции и покровного состава производится при строгом соблюдении соответствующих правил техники безопасности, предусмотренных главой
СНиП III-4-80 "Техника безопасности в строительстве",
раздел 29 "Испытание технологического оборудования, аппаратуры и трубопроводов".
Емкости для хранения петролатума и битума и расходный бак должны быть снабжены плотно прилегающими крышками или затворами.
При приготовлении пропиточной композиции в расходный бак необходимо в первую очередь загружать стеарин, находящийся в твердом состоянии, и лишь после этого производить перекачку разогретого до температуры не менее 70 °C петролатума из петролатумохранилища. Битум перед приготовлением состава для покровного слоя должен быть обезвожен.
Трубопроводы для подачи пропиточной композиции и покровного состава должны быть снабжены манометрами и предохранительными клапанами, испытанными на предельное давление и опломбированными.
Гибкие шланги рабочего органа (металлорукав С2-Ц) должны соответствовать ГОСТ 3575-75.
В случае обнаружения в расходной емкости, в фильтре насоса или в трубопроводе, подающем пропиточную композицию, течи устранение последней осуществляется при удалении пропиточной композиции или состава для покровного слоя.
Во время разбрызгивания смеси в радиусе 20 - 25 м не допускаются сварочные работы, разведение огня, курение и т.п.
Силовая электропроводка к установке должна быть выполнена в соответствии с правилами, предусмотренными "
Правилами технической эксплуатации электроустановок и потребителей и
правилами техники безопасности при эксплуатации электроустановок потребителей" (М., Атомиздат, 1974).
В доступном месте на установках для производства гидроизоляции необходимо вывесить инструкцию по эксплуатации с технологической схемой.
ТЕРМОСТРУЙНЫЕ АППАРАТЫ ТСА-12 И ТА-12
Термоструйные аппараты ТСА-12 и ТА-12 разработаны Криворожским горнорудным институтом. Они предназначены для генерирования высокотемпературной сверхзвуковой струи.
Аппарат ТСА-12 состоит из ручного инструмента, топливного бака и резинотканевых рукавов для подачи сжатого воздуха и керосина. Ручной инструмент
(рис. 21) представляет собой реактивную горелку. Он состоит из корпуса 1, регенеративной трубы 2, в которой с концентричным зазором размещены камера сгорания 3 с радиальными отверстиями 4 для пропуска сжатого воздуха, сверхзвуковое сопло 5 и завихритель 6. Регенеративная труба 2 прикреплена к распределительной головке 7, в которой проходит болт 8 для крепления завихрителя 6. Калибратор 8 прижимает сопло 5 к торцу корпуса 1. На корпусе 1 установлены игольчатый вентиль 10 для регулирования расхода керосина, воздухопровод 11 для подачи сжатого воздуха, к которому подведен резинотканевый рукав 12, заканчивающийся вентилем 13 для регулирования расхода сжатого воздуха. Работает термоструйный инструмент следующим образом. Через регулировочный вентиль 10 керосин подается в зазор между регенеративной трубой 2 и камерой сгорания 3, а сжатый воздух поступает через вентиль 13, резинотканевый рукав 12 и воздухопровод 11 в зазор между корпусом 1 и регенеративной трубой 2; возле сопла 5 воздух разворачивается и проходит по зазору между регенеративной трубой 2 и камерой сгорания 3. На своем пути он охлаждает теплонапряженные детали ручного инструмента, испаряет керосин и перемешивается с ним, образуя топливную смесь, которая поступает в камеру сгорания 3 через завихритель. В камере сгорания 3 химическая энергия топлива превращается в тепловую, часть которой в сверхзвуковом сопле 5 превращается в кинетическую. Из сопла 5 истекает сверхзвуковая высокотемпературная струя с регулируемой температурой 50 - 1800 °C и скоростью 350 - 2000 м/с.

Рис. 21. Термоструйный аппарат ТСА-12
Техническая характеристика ТСА-12
Критический диаметр сопла, мм ..................... 12
Рабочие компоненты:
окислитель .................................... сжатый воздух
горючее ....................................... керосин
Давление подачи рабочих компонентов, МПа .......... 0,4 - 0,6
Расходы рабочих компонентов:
сжатого воздуха, м3/ч ......................... 200 - 250
керосина, кг/ч ................................ 6 - 8
Размеры ручного инструмента:
диаметр корпуса, мм ........................... 48
длина горелки, мм ............................. 500
Масса инструмента, кг ............................. 2,5
Масса аппарата, кг ................................ 40
Производительность, м2/ч, при очистке
поверхности бетона ................................ 20 - 22
Термоабразивный аппарат ТА-12 (рис. 22) состоит из ручного инструмента 1, топливного бака 2, камерного питателя нагнетательной пневматической установки 3 для подачи абразивного материала, вентилей 4, 5 и 6 соответственно для регулирования расходов сжатого воздуха, керосина и песка и резинотканевых рукавов 7, 8, 9 соответственно для подачи сжатого воздуха, керосина и песка. Ручной инструмент представляет собой горелку реактивного типа.
Рис. 22. Принципиальная схема термоабразивного
аппарата ТА-12
Во время запуска в работу ручного инструмента по резинотканевому рукаву для подачи песка поступает воздух, а после вывода инструмента на рабочий режим подают песок, который разгоняется высокотемпературной сверхзвуковой струей до скорости 600 м/с. Регулировку расхода рабочих компонентов песка, горючего и сжатого воздуха осуществляют вентилями 4, 5 и 6. Прекращение работы термоабразивного аппарата осуществляется следующим образом. Прекращая подачу песка по резинотканевому рукаву 6, подают сжатый воздух, перекрывают вентиль 5 для подачи керосина и перекрывают вентиль 4 для подачи сжатого воздуха.
Техническая характеристика ТА-12
Критический диаметр сопла, мм ..................... 12
Рабочие компоненты:
окислитель .................................... сжатый воздух
горючее ....................................... керосин
абразив ....................................... речной песок
Давление подачи рабочих компонентов, МПа .......... 0,4 - 0,5
Расходы рабочих компонентов:
сжатого воздуха, м3/ч ......................... 200 - 250
керосина, кг/ч ................................ 6 - 8
песка, кг/ч ................................... 80 - 100
Производительность, м2/ч, при удалении
наружного слоя бетона глубиной до 15 мм ........... 20 - 22.