Главная // Актуальные документы // НормыСПРАВКА
Источник публикации
М.: Стройиздат, 1975
Примечание к документу
Документ утратил силу с 1 января 1985 года в связи с изданием Постановления Госстроя СССР от 05.12.1983 N 311. Взамен действует
СНиП 2.02.01-83*.
Документ
введен в действие с 1 октября 1975 года.
Взамен
СНиП II-Б.1-62; изменения N 1 главы СНиП II-Б.1-62, внесенное Приказом Госстроя СССР от 29 марта 1966 г. N 30; изменения главы СНиП II-Б.1-62*, внесенное Постановлением Госстроя СССР от 13 декабря 1972 г. N 206;
СНиП II-Б.2-62;
разд. 6 "Проектирование оснований опор воздушных линий электропередачи" главы СНиП II-И.9-62;
СН 58-59;
СН 331-65;
СН 360-66.
Название документа
"СНиП II-15-74. Строительные нормы и правила. Часть II. Нормы проектирования. Глава 15. Основания зданий и сооружений"
(утв. Постановлением Госстроя СССР от 18.10.1974 N 214)
"СНиП II-15-74. Строительные нормы и правила. Часть II. Нормы проектирования. Глава 15. Основания зданий и сооружений"
(утв. Постановлением Госстроя СССР от 18.10.1974 N 214)
Постановлением Государственного
комитета Совета Министров СССР
по делам строительства
от 18 октября 1974 г. N 214
СТРОИТЕЛЬНЫЕ НОРМЫ И ПРАВИЛА
ЧАСТЬ II
НОРМЫ ПРОЕКТИРОВАНИЯ
ГЛАВА 15
ОСНОВАНИЯ ЗДАНИЙ И СООРУЖЕНИЙ
СНиП II-15-74
разд. 6 главы СНиП II-И.9-62,
СН 58-59, СН 331-65, СН 360-66
Срок введения в действие
1 октября 1975 года
Внесены НИИОСП имени Н.М. Герсеванова Госстроя СССР.
Утверждены Постановлением Государственного комитета Совета Министров СССР по делам строительства от 18 октября 1974 г. N 214.
Глава СНиП II-15-74 "Основания зданий и сооружений" разработана ордена Трудового Красного Знамени Научно-исследовательским институтом оснований и подземных сооружений имени Н.М. Герсеванова Госстроя СССР с участием Донецкого Промстройниипроекта, института "Ленинградский Промстройпроект", Ростовского Промстройниипроекта, Харьковского Промстройниипроекта, Уральского Промстройниипроекта и НИИСКа Госстроя СССР, ВНИМИ Минуглепрома СССР, Днепропетровского института инженеров железнодорожного транспорта МПС, Ленинградского инженерно-строительного института Минвуза РСФСР, институтов "Теплоэлектропроект" и "Энергосетьпроект" Минэнерго СССР, организации Минсредмаша, управления по проектированию "Моспроект-1" Мосгорисполкома, Уральского политехнического института имени С.М. Кирова Минвуза РСФСР, института "Фундаментпроект" Минмонтажспецстроя СССР, ЦНИИЭПсельстроя Минсельстроя СССР, ЦНИИпромзернопроекта Минзага СССР, ЦНИИСа Минтрансстроя и института "Эстпромпроект" Госстроя Эстонской ССР.
Глава СНиП II-15-74 "Основания зданий и сооружений" разработана на основе главы СНиП II-А.10-71 "Строительные конструкции и основания. Основные положения проектирования".
С введением в действие настоящей главы СНиП II-15-74 с 1 октября 1975 г. утрачивают силу:
глава
СНиП II-Б.1-62 (изд. 1962 г.), II-Б.1-62* (изд. 1964 г.) "Основания зданий и сооружений. Нормы проектирования";
изменение N 1 главы СНиП II-Б.1-62, внесенное Приказом Госстроя СССР от 29 марта 1966 г. N 30, и изменение главы СНиП II-Б.1-62*, внесенное Постановлением Госстроя СССР от 13 декабря 1972 г. N 206;
глава
СНиП II-Б.2-62 (изд. 1962 г.), II-Б.2-62* (изд. 1964 г.) "Основания и фундаменты зданий и сооружений на просадочных грунтах. Нормы проектирования";
разд. 6 "Проектирование оснований опор воздушных линий электропередачи" главы СНиП II-И.9-62 "Линии электропередачи напряжением выше 1 кВ. Нормы проектирования";
"Указания по применению сборных ленточных фундаментов" (СН 58-59);
"Временные указания по проектированию оснований и фундаментов зданий и сооружений, возводимых на набухающих грунтах" (СН 331-65);
"Указания по проектированию оснований и фундаментов зданий и сооружений, возводимых на насыпных грунтах" (СН 360-66).
Редакторы - инж. Л.Е. Темкин (Госстрой СССР); кандидаты техн. наук В.В. Михеев, М.Г. Ефремов и А.В. Вронский (НИИОСП имени Н.М. Герсеванова Госстроя СССР).
1.1. Нормы настоящей главы должны соблюдаться при проектировании оснований зданий и сооружений.
Примечание. Нормы настоящей главы, кроме
разд. 2 "Номенклатура грунтов оснований", не распространяются на проектирование оснований гидротехнических сооружений, дорог, аэродромных покрытий, зданий и сооружений, возводимых на вечномерзлых грунтах, а также оснований свайных фундаментов, глубоких опор и фундаментов под машины с динамическими нагрузками.
1.2. Основания зданий и сооружений должны проектироваться на основе:
а) результатов инженерно-геологических и гидрогеологических изысканий и данных о климатических условиях района строительства;
б) учета опыта возведения зданий и сооружений в аналогичных инженерно-геологических условиях строительства;
в) данных, характеризующих возводимое здание или сооружение, его конструкции и действующие на фундаменты нагрузки, воздействия и условия последующей эксплуатации;
г) учета местных условий строительства;
д) технико-экономического сравнения возможных вариантов проектного решения, имея в виду необходимость принятия оптимального решения, обеспечивающего наиболее полное использование прочностных и деформационных характеристик грунтов и физико-механических свойств материалов фундаментов (или других подземных частей конструкций) с оценкой решений по приведенным затратам.
1.3. Инженерно-геологические исследования грунтов оснований зданий и сооружений должны проводиться в соответствии с требованиями главы СНиП, государственных стандартов и других нормативных документов по инженерным изысканиям и исследованиям грунтов для строительства, а также с учетом конструктивных и эксплуатационных особенностей зданий и сооружений.
1.4. Результаты инженерно-геологических исследований грунтов должны содержать данные, необходимые для решения вопросов:
выбора типа оснований и фундаментов определения глубины заложения и размеров фундаментов с учетом прогноза возможных изменений (в процессе строительства и эксплуатации) инженерно-геологических и гидрогеологических условий, в том числе свойств грунтов;
выбора, в случае необходимости, методов улучшения свойств грунтов основания;
установления вида и объема инженерных мероприятий по освоению площадки строительства.
1.5. Проектирование оснований зданий и сооружений без соответствующего инженерно-геологического обоснования или при его недостаточности для решения вопросов, предусмотренных
п. 1.4 настоящей главы, не допускается.
1.6. Проектом оснований и фундаментов должна быть предусмотрена срезка плодородного слоя почвы для последующего использования в целях восстановления (рекультивации) нарушенных или малопродуктивных сельскохозяйственных земель, озеленения района застройки и т.п.
1.7. В проектах оснований и фундаментов зданий и сооружений в случаях, указанных в
п. 3.71 настоящей главы, следует предусматривать проведение натурных измерений деформаций основания по специально устроенным маркам и реперам.
2. НОМЕНКЛАТУРА ГРУНТОВ ОСНОВАНИЙ
2.1. Грунты оснований зданий и сооружений должны именоваться в описаниях результатов изысканий, проектах оснований, фундаментов и других подземных частей зданий и сооружений согласно номенклатуре грунтов, установленной настоящим разделом норм.
Наименования грунтов должны сопровождаться сведениями об их геологическом возрасте и происхождении.
В необходимых случаях к наименованиям грунтов и их характеристикам, предусмотренным номенклатурой грунтов, допускается вводить дополнительные наименования и характеристики (зерновой состав глинистых грунтов, степень и качественный характер засоления грунтов, вид скальных пород, из которых образовались элювиальные грунты, подверженность атмосферному выветриванию при обнажении поверхности, крепость при разработке и т.п.), учитывающие вид и особенности строительства, а также местные геологические условия. Эти дополнительные наименования и характеристики не должны противоречить номенклатуре грунтов настоящих норм.
2.2. Грунты подразделяются на скальные и нескальные:
а) к скальным грунтам относятся:
изверженные, метаморфические и осадочные породы с жесткими связями между зернами (спаянные и сцементированные), залегающие в виде сплошного или трещиноватого массива;
б) к нескальным грунтам относятся:
крупнообломочные - несцементированные грунты, содержащие более 50% по весу обломков кристаллических или осадочных пород с размерами частиц более 2 мм;
песчаные - сыпучие в сухом состоянии грунты, содержащие менее 50% по весу частиц крупнее 2 мм и не обладающие свойством пластичности (грунт не раскатывается в шнур диаметром 3 мм или число пластичности его

);
глинистые - связные грунты, для которых число пластичности

.
Примечание. Числом пластичности грунта

называется разность влажностей, выраженных в долях единицы, соответствующих двум состояниям грунта: на границе текучести

и на границе раскатывания (пластичности)

.
2.3. Скальные грунты подразделяются на разновидности согласно
табл. 1 в зависимости от:
временного сопротивления одноосному сжатию в водонасыщенном состоянии

;
коэффициента размягчаемости

(отношение временных сопротивлений одноосному сжатию в водонасыщенном и в воздушно-сухом состоянии);
степени выветрелости

(отношение объемного веса образца выветрелого грунта к объемному весу невыветрелого образца того же грунта).
┌───────────────────────────────┬─────────────────────────────────────────┐
│Разновидности скальных грунтов │ Показатель │
├───────────────────────────────┴─────────────────────────────────────────┤
│ А. По временному сопротивлению одноосному сжатию R , кгс/см2 │
│ с │
│ Очень прочные │ R > 1200 │
│ │ с │
│ Прочные │ 1200 >= R > 500 │
│ │ с │
│ Средней прочности │ 500 >= R > 150 │
│ │ с │
│ Малопрочные │ 150 >= R >= 50 │
│ │ с │
│ Полускальные │ R < 50 │
│ │ с │
├───────────────────────────────┴─────────────────────────────────────────┤
│ Б. По коэффициенту размягчаемости в воде K │
│ рз │
│ Неразмягчаемые │ K >= 0,75 │
│ │ рз │
│ Размягчаемые │ K < 0,75 │
│ │ рз │
├───────────────────────────────┴─────────────────────────────────────────┤
│ В. По степени выветрелости K │
│ вс │
│ Невыветрелые (монолитные) │Породы залегают в виде сплошного массива │
│ │ K = 1 │
│ │ вс │
│ Слабовыветрелые (трещиноватые)│ Породы залегают в виде несмещенных │
│ │отдельностей (глыб) 1 > K >= 0,9 │
│ │ вс │
│ Выветрелые │Породы залегают в виде скопления кусков, │
│ │переходящего в трещиноватую скалу, │
│ │ 0,9 > K >= 0,8 │
│ │ вс │
│ Сильновыветрелые (рухляки) │ Породы залегают во всем массиве в виде │
│ │отдельных кусков K < 0,8 │
│ │ вс │
└───────────────────────────────┴─────────────────────────────────────────┘
Для скальных грунтов, способных к растворению в воде (каменная соль, гипс, известняк и т.п.), следует устанавливать степень их растворимости.
2.4. Крупнообломочные и песчаные грунты в зависимости от зернового состава подразделяются на виды согласно табл. 2.
┌────────────────────────────────────┬────────────────────────────────────┐
│ Виды крупнообломочных и песчаных │ Распределение частиц по крупности │
│ грунтов │ в % от веса воздушно-сухого грунта │
├────────────────────────────────────┼────────────────────────────────────┤
│ А. Крупнообломочные │ │
│ │ │
│ Валунный грунт (при преобладании │ Вес частиц крупнее 200 мм │
│неокатанных частиц - глыбовый) │составляет более 50% │
│ Галечниковый грунт │ Вес частиц крупнее 10 мм │
│(при преобладании неокатанных │составляет более 50% │
│частиц - щебенистый) │ │
│ Гравийный грунт │ Вес частиц крупнее 2 мм │
│(при преобладании неокатанных │составляет более 50% │
│частиц - дресвяный) │ │
│ │ │
│ Б. Песчаные │ │
│ │ │
│ Песок гравелистый │ Вес частиц крупнее 2 мм │
│ │составляет более 25% │
│ Песок крупный │ Вес частиц крупнее 0,5 мм │
│ │составляет более 50% │
│ Песок средней крупности │ Вес частиц крупнее 0,25 мм │
│ │составляет более 50% │
│ Песок мелкий │ Вес частиц крупнее 0,1 мм │
│ │составляет 75% и более │
│ Песок пылеватый │ Вес частиц крупнее 0,1 мм │
│ │составляет менее 75% │
│ │
│ Примечание. Для установления наименования грунта по
табл. 2│
│последовательно суммируются проценты содержания частиц исследуемого│
│грунта: сначала - крупнее 200 мм, затем - крупнее 10 мм, далее - крупнее│
│2 мм и т.д. Наименование грунта принимается по первому удовлетворяющему│
│показателю в порядке расположения наименований в
табл. 2. │
└─────────────────────────────────────────────────────────────────────────┘
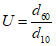
Наименования крупнообломочных и песчаных грунтов, установленные по
табл. 2, должны дополняться указанием о степени неоднородности их зернового состава U, определяемой по формуле

, (1)
где

- диаметр частиц, меньше которого в данном грунте содержится (по весу) 60% частиц;

- диаметр частиц, меньше которого в данном грунте содержится (по весу) 10% частиц.
При наличии в крупнообломочных грунтах песчаного заполнителя более 40% или глинистого заполнителя более 30% общего веса воздушно-сухого грунта в наименовании крупнообломочного грунта должно приводиться также наименование вида заполнителя и указываться характеристики его состояния. Вид заполнителя устанавливается по
табл. 2 или
табл. 6 после удаления из образцов крупнообломочного грунта частиц крупнее 2 мм.
2.5. Крупнообломочные грунты, подвергшиеся природным процессам выветривания и содержащие более 10% частиц размером менее 2 мм, подразделяются по значениям коэффициента выветрелости

согласно табл. 3.
Таблица 3
┌───────────────────────────────┬─────────────────────────────────────────┐
│ Наименование крупнообломочных │ Коэффициент выветрелости │
│грунтов по степени выветрелости│ K │
│ │ вк │
├───────────────────────────────┼─────────────────────────────────────────┤
│Невыветрелые │ 0 < K <= 0,5 │
│ │ вк │
│Слабовыветрелые │ 0,5 < K <= 0,75 │
│ │ вк │
│Сильновыветрелые │ 0,75 < K < 1 │
│ │ вк │
└───────────────────────────────┴─────────────────────────────────────────┘
Коэффициент выветрелости обломков крупнообломочных грунтов

определяется испытанием грунта на истирание во вращающемся полочном барабане и вычисляется по формуле

, (2)
где

- отношение веса частиц размером менее 2 мм к весу частиц размером более 2 мм после испытания на истирание;

- то же, до испытания на истирание.
2.6. Крупнообломочные и песчаные грунты подразделяются по степени влажности G (доле заполнения объема пор грунта водой) согласно табл. 4.
Таблица 4
┌───────────────────────────────────────┬─────────────────────────────────┐
│ Наименование крупнообломочных │ Степень влажности G │
│и песчаных грунтов по степени влажности│ │
├───────────────────────────────────────┼─────────────────────────────────┤
│Маловлажные │ 0 < G <= 0,5 │
│Влажные │ 0,5 < G <= 0,8 │
│Насыщенные водой │ 0,8 < G <= 1 │
└───────────────────────────────────────┴─────────────────────────────────┘
Степень влажности G определяется по формуле

, (3)
где W - природная влажность грунта в долях единицы;

- удельный вес грунта;

- удельный вес воды, принимаемый равным 1;
e - коэффициент пористости грунта природного сложения и влажности.
Природную влажность крупнообломочного грунта W определяют испытанием его пробы без отделения обломков пород от заполнителя или раздельным испытанием как обломков, так и заполнителя.
В последнем случае влажность крупнообломочного грунта определяется по формуле

, (4)
где

и

- соответственно влажности заполнителя и крупнообломочных включений (частиц крупнее 2 мм);

- содержание крупнообломочных включений в долях единицы;

- коэффициент выветрелости, определяемый по указаниям
п. 2.5 настоящей главы.
2.7. Пески по плотности их сложения подразделяются согласно табл. 5 в зависимости от величины коэффициента пористости e, определенного в лабораторных условиях по образцам, отобранным без нарушения природного сложения грунта, или в зависимости от результатов зондирования грунтов.
┌────────────────────────────┬────────────────────────────────────────────┐
│ Виды песков │ Плотность сложения песков │
│ ├────────────┬──────────────────┬────────────┤
│ │ плотные │средней плотности │ рыхлые │
├────────────────────────────┴────────────┴──────────────────┴────────────┤
│ А. По коэффициенту пористости e │
│ │
│ Пески гравелистые крупные │ e < 0,55 │ 0,55 <= e <= 0,7 │ e > 0,7 │
│и средней крупности │ │ │ │
│ Пески мелкие │ e < 0,6 │ 0,6 <= e <= 0,75 │ e > 0,75 │
│ Пески пылеватые │ e < 0,6 │ 0,6 <= e <= 0,8 │ e > 0,8 │
├────────────────────────────┴────────────┴──────────────────┴────────────┤
│ Б. По сопротивлению погружению конуса p , кгс/см2, │
│ q │
│ при статическом зондировании │
│ │
│ Пески крупные и средней │ p > 150 │ 150 >= p >= 50 │ p < 50 │
│крупности независимо │ q │ q │ q │
│от влажности │ │ │ │
│ Пески мелкие независимо │ p > 120 │ 120 >= p >= 40 │ p < 40 │
│от влажности │ q │ q │ q │
│ Пески пылеватые: │ │ │ │
│ а) маловлажные и влажные │ p > 100 │ 100 >= p >= 30 │ p < 30 │
│ │ q │ q │ q │
│ б) водонасыщенные │ p > 70 │ 70 >= p >= 20 │ p < 20 │
│ │ q │ q │ q │
├────────────────────────────┴────────────┴──────────────────┴────────────┤
│ В. По условному динамическому сопротивлению погружению │
│ конуса p , кгс/см2, при динамическом зондировании │
│ д │
│ │
│ Пески крупные и средней │ p > 125 │ 125 >= p >= 35 │ p < 35 │
│крупности независимо │ д │ д │ д │
│от влажности │ │ │ │
│ Пески мелкие: │ │ │ │
│ а) маловлажные и влажные │ p > 110 │ 110 >= p >= 30 │ p < 30 │
│ │ д │ д │ д │
│ б) водонасыщенные │ p > 85 │ 85 >= p >= 20 │ p < 20 │
│ │ д │ д │ д │
│ Пески пылеватые маловлажные│ p > 85 │ 85 >= p >= 20 │ p < 20 │
│и влажные │ д │ д │ д │
│ │
│ Примечания: 1. Для определения плотности пылеватых водонасыщенных│
│песков динамическое зондирование не допускается. │
│ 2. При зондировании грунтов используется конус с углом при вершине│
│60° и диаметром 36 мм при статическом и 74 мм при динамическом│
│зондировании. │
└─────────────────────────────────────────────────────────────────────────┘
2.8. Глинистые грунты подразделяются на виды в зависимости от числа пластичности согласно табл. 6.
┌────────────────────────────────────┬────────────────────────────────────┐
│ Виды глинистых грунтов │ Число пластичности I │
│ │ P │
├────────────────────────────────────┼────────────────────────────────────┤
│Супесь │ 0,01 <= I <= 0,07 │
│ │ P │
│Суглинок │ 0,07 < I <= 0,17 │
│ │ P │
│Глина │ I > 0,17 │
│ │ P │
│ │
│ Примечания: 1. При наличии в глинистых грунтах частиц крупнее 2 мм│
│к наименованию грунта по
табл. 6 должны прибавляться термины "с галькой"│
│("со щебнем") или "с гравием" ("с дресвой"), если содержание│
│соответствующих частиц составляет 15 - 25% по весу, и "галечниковый"│
│("щебенистый") или "гравелистый" ("дресвянистый"), если этих частиц│
│содержится в грунте 25 - 50% по весу. │
│ 2. При наличии частиц крупнее 2 мм более 50% по весу грунты должны│
│быть отнесены к крупнообломочным
(п. 2.2) настоящей главы. │
└─────────────────────────────────────────────────────────────────────────┘
2.9. Глинистые грунты различаются по показателю консистенции

согласно табл. 7.
Таблица 7
┌────────────────────────────────────┬────────────────────────────────────┐
│ Наименование глинистых грунтов │ Показатель консистенции I │
│ по показателю консистенции │ L │
├────────────────────────────────────┼────────────────────────────────────┤
│ Супеси: │ │
│ твердые │ I < 0 │
│ │ L │
│ пластичные │ 0 <= I <= 1 │
│ │ L │
│ текучие │ I > 1 │
│ │ L │
├────────────────────────────────────┼────────────────────────────────────┤
│ Суглинки и глины: │ │
│ твердые │ I < 0 │
│ │ L │
│ полутвердые │ 0 <= I <= 0,25 │
│ │ L │
│ тугопластичные │ 0,25 < I <= 0,50 │
│ │ L │
│ мягкопластичные │ 0,50 < I <= 0,75 │
│ │ L │
│ текучепластичные │ 0,75 < I <= 1 │
│ │ L │
│ текучие │ I > 1 │
│ │ L │
└────────────────────────────────────┴────────────────────────────────────┘
Показатель консистенции определяется по формуле

, (5)
где W,

и

- те же обозначения, что и в
пп. 2.2 и
2.6 настоящей главы.
2.10. Глинистые грунты по удельному сопротивлению пенетрации

в кгс/см2 подразделяются согласно табл. 8.
Таблица 8
┌────────────────────────────────────┬────────────────────────────────────┐
│ Наименование глинистых грунтов по │Сопротивление пенетрации p , кгс/см2│
│ удельному сопротивлению пенетрации │ п │
├────────────────────────────────────┼────────────────────────────────────┤
│Очень прочные │ p >= 2 │
│ │ п │
│Прочные │ 2 > p >= 1 │
│ │ п │
│Средней прочности │ 1 > p >= 0,5 │
│ │ п │
│Слабые │ p < 0,5 │
│ │ п │
└────────────────────────────────────┴────────────────────────────────────┘
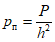
Удельное сопротивление пенетрации

определяется при погружении в образец грунта конуса с углом при вершине 30° и вычисляется по формуле

, (6)
где P - вертикальное усилие, передаваемое на конус, кгс;
h - глубина погружения конуса, см.
2.11. Среди глинистых грунтов должны выделяться илы (п. 2.12), просадочные грунты (
пп. 2.13 -
2.14) и набухающие грунты (
пп. 2.15 и
2.16 настоящей главы).
2.12. К илам относятся глинистые грунты, в начальной стадии своего формирования образовавшиеся как структурный осадок в воде при наличии микробиологических процессов и имеющие в природном сложении влажность, превышающую влажность на границе текучести, и коэффициент пористости, превышающий значения, указанные в табл. 9, в зависимости от вида ила, устанавливаемого по его числу пластичности согласно указаниям
п. 2.8 настоящей главы.
Таблица 9
┌────────────────────────────────────┬────────────────────────────────────┐
│ Виды илов │ Коэффициент пористости e │
├────────────────────────────────────┼────────────────────────────────────┤
│Супесчаный │ e >= 0,9 │
│Суглинистый │ e >= 1 │
│Глинистый │ e >= 1,5 │
└────────────────────────────────────┴────────────────────────────────────┘
2.13. К просадочным грунтам относятся глинистые, которые под действием внешней нагрузки или собственного веса при замачивании водой дают дополнительную осадку (просадку).
При предварительной оценке к просадочным обычно относятся лессы и лессовидные грунты (а также некоторые виды покровных глинистых грунтов) со степенью влажности G < 0,8, для которых величина показателя П, определяемого по
формуле (7), меньше значений, приведенных в табл. 10:
┌───────────────────┬──────────────────┬────────────────┬─────────────────┐
│Число пластичности │ 0,01 <= I < 0,1 │0,1 <= I < 0,14│0,14 <= I < 0,22│
│ грунта I │ P │ P │ P │
│ P │ │ │ │
├───────────────────┼──────────────────┼────────────────┼─────────────────┤
│Показатель П │ 0,1 │ 0,17 │ 0,24 │
└───────────────────┴──────────────────┴────────────────┴─────────────────┘

, (7)
где e - коэффициент пористости грунта природного сложения и влажности;

- коэффициент пористости, соответствующий влажности на границе текучести

и определяемый по формуле

, (8)
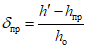
2.14. Просадочные грунты характеризуются относительной просадочностью и начальным просадочным давлением.
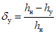
Относительная просадочность грунта определяется по формуле

, (9)
где h' - высота образца грунта природной влажности, обжатого без возможности бокового расширения давлением p, равным давлению, действующему на рассматриваемой глубине, от собственного веса грунта и нагрузки от фундамента или только от веса грунта в зависимости от вида рассчитываемых деформаций

или

, указанных в
п. 4.2 настоящей главы;

- высота того же образца после замачивания его до полного водонасыщения при сохранении давления p;

- высота того же образца грунта природной влажности, обжатого без возможности бокового расширения давлением, равным давлению от собственного веса грунта на рассматриваемой глубине.
Начальное просадочное давление

представляет собой минимальное давление, при котором проявляются просадочные свойства грунта в условиях его полного водонасыщения.
За начальное просадочное давление

принимается давление, соответствующее:
при лабораторных испытаниях грунтов в компрессионных приборах - давлению, при котором относительная просадочность

;
при полевых испытаниях штампами предварительно замоченных грунтов - давлению, равному пределу пропорциональной зависимости на графике осадка штампа - нагрузка;
при замачивании грунтов в опытных котлованах - природному давлению на глубине, начиная с которой происходит просадка грунта от его собственного веса.
2.15. К набухающим грунтам относятся глинистые грунты, которые при замачивании водой или химическими растворами увеличиваются в объеме, и при этом величина относительного набухания в условиях свободного набухания (без нагрузки)

.
Относительное набухание грунта

в условиях свободного набухания определяется по формуле

, (10)
где

- высота образца после его свободного набухания в условиях невозможности бокового расширения в результате замачивания до полного водонасыщения;
h - начальная высота образца природной влажности.
При предварительной оценке к набухающим от замачивания водой относятся глинистые грунты, для которых значение определяемого по
формуле (7) показателя П >= 0,3.
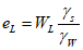
2.16. Набухающие грунты характеризуются величинами давления набухания

, влажности набухания

и относительной усадки при высыхании

.
За давление набухания

принимается давление на образец грунта, замачиваемого и обжимаемого без возможности бокового расширения, при котором деформации набухания равны нулю.
За влажность набухания грунта

принимается влажность, полученная после завершения набухания образца грунта, обжимаемого без возможности бокового расширения заданным давлением.
Относительная усадка при высыхании грунта определяется по формуле

, (11)
где

- высота образца грунта при обжатии его давлением p без возможности бокового расширения;

- высота образца при том же давлении после уменьшения влажности в результате высыхания.
2.17. Среди полускальных и всех видов нескальных грунтов должны выделяться засоленные грунты.
К засоленным относятся грунты, в которых суммарное содержание легкорастворимых и среднерастворимых солей не менее величин, указанных в табл. 11.
Таблица 11
┌────────────────────────────────────┬────────────────────────────────────┐
│ Наименование засоленных грунтов │ Минимальное суммарное содержание │
│ │легко- и среднерастворимых солей в %│
│ │ от веса воздушно-сухого грунта │
├────────────────────────────────────┼────────────────────────────────────┤
│ Засоленный полускальный │ 2 │
│ Засоленный крупнообломочный: │ │
│ при содержании песчаного │ 2 │
│заполнителя менее 40% или глинистого│ │
│менее 30% │ │
│ при содержании песчаного │ 0,5 │
│заполнителя более 40% │ │
│ при содержании глинистого │ 5 │
│заполнителя более 30% │ │
│ Засоленный песчаный │ 0,5 │
│ Засоленный глинистый: │ │
│ супеси и суглинки просадочные │ 1 (или 0,3, если имеются только │
│(лессы и лессовидные грунты) │легкорастворимые соли) │
│ супеси и суглинки непросадочные │ 5 │
│ │
│ Примечание. К легкорастворимым солям относятся: хлориды NaCl, KCl,│
│CaCl , MgCl ; бикарбонаты NaHCO , Ca(HCO ) , Mg(HCO ) ; карбонат натрия│
│ 2 2 3 3 2 3 2 │
│Na CO ; сульфаты магния и натрия MgSO , Na SO . К среднерастворимым солям│
│ 2 3 4 2 4 │
│относится гипс CaSO x 2H O. │
│ 4 2 │
└─────────────────────────────────────────────────────────────────────────┘
2.18. Все виды грунтов, имеющие отрицательную температуру и содержащие в своем составе лед, относятся к мерзлым грунтам, и если они находятся в мерзлом состоянии в течение многих лет (от трех и более), то - к вечномерзлым.
Наименование видов мерзлых и вечномерзлых грунтов определяют после их оттаивания по номенклатуре настоящей главы.
Дополнительные характеристики мерзлых и вечномерзлых грунтов определяют в соответствии с главой СНиП по проектированию оснований и фундаментов зданий и сооружений на вечномерзлых грунтах.
2.19. Данные исследования песчаных и глинистых грунтов должны содержать сведения о наличии растительных остатков, если относительное их содержание по весу в песчаном грунте q > 0,03 и в глинистом q > 0,05.
Относительное содержание q растительных остатков в грунте (степень заторфованности) определяется как отношение их веса в образце грунта, высушенного при температуре 100 - 105 °C, к весу его минеральной части.
В зависимости от величины q грунтам присваиваются дополнительные наименования согласно табл. 12.
┌────────────────────────────────────┬────────────────────────────────────┐
│ Наименование песчаных и глинистых │ Относительное содержание │
│ грунтов, содержащих растительные │ растительных остатков q │
│ остатки │ (степень заторфованности) │
├────────────────────────────────────┴────────────────────────────────────┤
│ А. Грунты с примесью растительных остатков │
│ │
│ Песчаные с примесью растительных │ 0,03 < q <= 0,1 │
│остатков │ │
│ Глинистые с примесью растительных │ 0,05 < q <= 0,1 │
│остатков │ │
│ │
│ Б. Заторфованные грунты │
│ │
│ Слабозаторфованные │ 0,1 < q <= 0,25 │
│ Среднезаторфованные │ 0,25 < q <= 0,4 │
│ Сильнозаторфованные │ 0,4 < q <= 0,6 │
│ Торфы │ q > 0,6 │
│ │
│ Примечание. Наименование вида песчаного и глинистого грунта,│
│содержащего растительные остатки, устанавливается по указаниям
пп. 2.4│
│и
2.8 настоящей главы по минеральной части грунта после удаления│
│растительных остатков. │
└─────────────────────────────────────────────────────────────────────────┘
Заторфованные грунты характеризуются также степенью разложения, которая показывает содержание в общем объеме пробы заторфованного грунта продуктов распада растительных тканей.
2.20. Среди нескальных грунтов должны выделяться грунты искусственного происхождения или сложения.
К грунтам искусственного происхождения или сложения относятся насыпные грунты, а также закрепленные и уплотненные различными методами грунты естественного происхождения.
2.21. Насыпные грунты подразделяются согласно табл. 13.
Таблица 13
┌─────────────────────────┬───────────────────────────────────────────────┐
│ Критерии для │ Подразделение насыпных грунтов и их │
│ подразделения │ характеристика │
│ насыпных грунтов │ │
├─────────────────────────┼───────────────────────────────────────────────┤
│ А. По способу укладки │ 1. Отсыпанные сухим способом (автомобильным │
│ │или железнодорожным транспортом, скреперами, │
│ │бульдозерами и т.п.) │
│ │ 2. Намытые (образованные с помощью │
│ │гидромеханизации) │
├─────────────────────────┼───────────────────────────────────────────────┤
│ Б. По однородности │ 1. Планомерно возведенные насыпи (обратные │
│состава и сложения │засыпки) и подсыпки (подушки). Характеризуются │
│ │практически однородным составом, сложением │
│ │и равномерной сжимаемостью │
│ │ 2. Отвалы грунтов и отходов производств. │
│ │Характеризуются практически однородным составом│
│ │и сложением, но имеют неравномерную плотность │
│ │и сжимаемость │
│ │ 3. Свалки грунтов, отходов производств и │
│ │бытовых отбросов. Характеризуются неоднородным │
│ │составом и сложением, неравномерной плотностью │
│ │и сжимаемостью, а также содержанием │
│ │органических включений │
├─────────────────────────┼───────────────────────────────────────────────┤
│ В. По виду исходного │ 1. Естественные грунты: крупнообломочные, │
│материала, составляющего │песчаные, глинистые │
│основную часть насыпи │ 2. Отходы производств: шлаки, золы, │
│ │формовочная земля, хвосты обогатительных фабрик│
│ │и т.п. │
│ │ 3. Бытовые отходы │
├─────────────────────────┼───────────────────────────────────────────────┤
│ Г. По степени уплотнения│ 1. Слежавшиеся - процесс уплотнения от │
│от собственного веса │собственного веса закончился │
│ │ 2. Неслежавшиеся - процесс уплотнения от │
│ │собственного веса продолжается │
└─────────────────────────┴───────────────────────────────────────────────┘
2.22. Закрепленные грунты подразделяются по методу закрепления, выполняемого для повышения прочности, снижения сжимаемости и фильтрационной способности грунтов (силикатизация, смолизация, цементация, битумизация, глинизация, термическое закрепление и т.п.).
Закрепленные грунты в зависимости от целей закрепления характеризуются прочностью, сжимаемостью и фильтрационной способностью после их закрепления.
Уплотненные грунты подразделяются по методу уплотнения (укатка, трамбование, взрыв и т.п.) и характеризуются плотностью сложения после уплотнения.
Наименования закрепленного и уплотненного грунта должны включать наименование вида грунта в природном сложении в соответствии с
табл. 2 или
6 и указание о методе закрепления или уплотнения.
3. ПРОЕКТИРОВАНИЕ ОСНОВАНИЙ
3.1. При проектировании оснований зданий и сооружений необходимо учитывать, что деформации оснований не должны превышать предельно допустимых размеров для нормальной эксплуатации, а несущая способность должна быть достаточной, чтобы не происходили потеря устойчивости или разрушение основания.
3.2. Проектирование оснований (в соответствии с требованиями
п. 1.2) должно проводиться по результатам обоснованного расчетом выбора:
типа основания (естественное, искусственно уплотненное, химически или термически закрепленное и др.);
типа, конструкции, размеров и материала фундаментов (ленточные, плитные, столбчатые; железобетонные, бетонные, бутобетонные и др.; мелкого или глубокого заложения, свайные фундаменты, глубокие опоры и др.);
мероприятий, указанных в
пп. 3.83 -
3.89 настоящей главы, применяемых при необходимости уменьшения влияния деформаций оснований на эксплуатационную пригодность зданий и сооружений.
3.3. Основания должны рассчитываться по двум группам предельных состояний:
по первой группе - по несущей способности;
по второй группе - по деформациям (осадкам, прогибам и пр.), создающим препятствия для нормальной эксплуатации зданий и сооружений.
По несущей способности основания рассчитываются в случаях, указанных в
п. 3.4 настоящей главы, и по деформациям, когда основания сложены нескальными грунтами.
При расчете по предельным состояниям ожидаемые деформации и несущая способность основания сопоставляются с предельно допустимыми деформациями и минимально необходимой несущей способностью, определяемыми с учетом особенностей конструкций зданий и сооружений, методов их возведения и других факторов.
В расчетах оснований в необходимых случаях следует учитывать совместное действие силовых факторов и неблагоприятных влияний внешней среды (например, влияние атмосферных или грунтовых вод на физико-механические характеристики грунтов и др.).
3.4. Расчет оснований по несущей способности должен производиться в случаях, если:
а) на основание передаются значительные горизонтальные нагрузки (подпорные стены, фундаменты распорных конструкций и т.п.), в том числе сейсмические;
б) фундамент или сооружение в целом расположены на бровке откоса или вблизи крутопадающего слоя грунта;
в) основание сложено водонасыщенными глинистыми и заторфованными грунтами, указанными в
п. 3.76 настоящей главы;
г) основание сложено скальными грунтами.
Расчет оснований по несущей способности в случаях, перечисленных в подпунктах "а" и "б" п. 3.4 настоящей главы, допускается не производить, если конструктивными мероприятиями обеспечена невозможность смещения рассматриваемого фундамента.
Примечание. Если проектом предусматривается возможность выполнения работ по возведению здания или сооружения непосредственно после устройства фундаментов до обратной засыпки грунтом пазух котлованов, должна производиться проверка несущей способности основания по нагрузкам, фактически действующим в процессе строительства.
3.5. Расчетная схема системы сооружение-основание или фундамент-основание должна выбираться с учетом наиболее существенных факторов, определяющих напряженное состояние и деформации основания и конструкции сооружения (статической схемы сооружения, характера напластований и свойств грунтов основания, особенностей возведения и т.д.). В необходимых случаях должны учитываться пространственная работа конструкций, геометрическая и физическая нелинейность, анизотропность, пластические и реологические свойства материалов и грунтов, а также возможность их изменения.
Нагрузки, учитываемые в расчетах оснований
3.6. Нагрузки и воздействия на основания, передаваемые фундаментами зданий и сооружений или их отдельных элементов, как правило, должны устанавливаться расчетом исходя из рассмотрения совместной работы здания (сооружения) и основания или фундамента и основания.
Учитываемые при этом нагрузки и воздействия на здание (сооружение) или отдельные его элементы, а также возможные их сочетания должны приниматься согласно требованиям главы СНиП по нагрузкам и воздействиям.
Нагрузки на основание допускается определять без учета их перераспределения надфундаментной конструкцией и принимать в соответствии со статической схемой здания или сооружения:
а) при расчете оснований зданий и сооружений III - IV классов;
б) при проверке общей устойчивости массива грунта основания совместно с рассматриваемым зданием или сооружением;
в) при расчете по деформациям в случаях, оговоренных в
п. 3.45 настоящей главы.
3.7. Расчет оснований по деформациям должен производиться на основное сочетание нагрузок.
Расчет оснований по несущей способности выполняется на основное сочетание нагрузок и при наличии особых нагрузок и воздействий - на основное и особое сочетания.
При наличии нескольких кратковременных нагрузок последние должны вводиться с коэффициентами сочетаний, а кратковременные нагрузки на перекрытия многоэтажных зданий - с понижающими коэффициентами, учитывающими вероятность одновременного загружения перекрытий, в соответствии с требованиями главы СНиП по нагрузкам и воздействиям.
3.8. В расчетах оснований необходимо учитывать нагрузки от складируемого материала и оборудования, размещаемых вблизи фундаментов на отмостках и полах, устраиваемых непосредственно на грунте. Эти нагрузки принимаются по всей фактической площади загружения.
Усилия в конструкциях, вызываемые температурными воздействиями, при расчете оснований по деформациям, как правило, не должны учитываться.
3.9. Нагрузки и воздействия при расчете оснований опор мостов и водопропускных труб должны приниматься в соответствии с требованиями главы СНиП по проектированию мостов и труб.
Нормативные и расчетные значения характеристик грунтов
3.10. Основными параметрами механических свойств грунтов, определяющими несущую способность оснований и их деформации, являются прочностные и деформационные характеристики грунтов (угол внутреннего трения

, удельное сцепление c и модуль деформации нескальных грунтов E, временное сопротивление одноосному сжатию скальных грунтов

и т.п.).
В отдельных случаях проектирования оснований, для которых не разработаны соответствующие методы расчета, базирующиеся на прочностных и деформационных характеристиках грунтов, допускается применять другие параметры, характеризующие взаимодействие фундаментов с грунтом оснований и установленные опытным путем (удельные силы пучения при промерзании, коэффициенты жесткости основания и пр.).
Примечание. В дальнейшем тексте настоящей главы, за исключением специально оговоренных случаев, под термином "характеристики грунтов" будут пониматься не только механические, но и физические характеристики грунтов, а также упомянутые в настоящем пункте параметры.
3.11. Нормативные значения характеристик грунтов, как правило, должны устанавливаться на основе непосредственных определений, выполняемых в полевых или лабораторных условиях для грунтов природного сложения, а также для грунтов искусственного происхождения или сложения.
3.12. За нормативное значение всех характеристик грунта (за исключением удельного сцепления и угла внутреннего трения) принимают среднее арифметическое значение результатов частных определений. За нормативное значение удельного сцепления и угла внутреннего трения принимают параметры прямолинейной зависимости сопротивления срезу от давления, получаемые методом наименьших квадратов.
3.13. Все расчеты оснований должны выполняться с использованием расчетных значений характеристик грунтов A, которые определяются по формуле

, (12)
где

- нормативное значение данной характеристики, устанавливаемое
п. 3.12 настоящей главы;

- коэффициент безопасности по грунту.
3.14. Коэффициент безопасности по грунту

при вычислении расчетных значений прочностных характеристик (удельного сцепления c и угла внутреннего трения

нескальных грунтов и временного сопротивления одноосному сжатию

скальных грунтов), а также объемного веса грунта

устанавливается в зависимости от изменчивости этих характеристик, числа определений и значения доверительной вероятности

, приведенного для расчетов оснований по несущей способности и по деформациям в
п. 3.15 настоящей главы.
Значение коэффициента

для прочностных характеристик грунта c,

и

и объемного веса

должно определяться по методике, изложенной в
Прил. 1 к настоящей главе "Правила вычисления нормативных и расчетных значений характеристик грунтов".
Для прочих характеристик грунта допускается принимать

, то есть их расчетные значения - равными нормативным.
3.15. Доверительная вероятность

расчетных значений характеристик грунтов принимается равной:
при расчетах оснований по несущей способности

;
при расчетах оснований по деформациям

.
Доверительная вероятность

для расчета оснований мостов и водопропускных труб принимается согласно указаниям
п. 14.5 настоящей главы.
При соответствующем обосновании на основе согласованного решения проектной и изыскательской организации для сооружений I класса допускается принимать

доверительную вероятность расчетных значений характеристик грунтов, но не выше 0,99.
Примечания: 1. Расчетные значения характеристик грунтов, соответствующие различным значениям доверительной вероятности, должны приводиться в отчетах по инженерно-геологическим изысканиям.
2. Под доверительной вероятностью

понимается вероятность того, что истинное среднее значение характеристики не выйдет за пределы нижней (или верхней) границы одностороннего доверительного интервала.
3. Расчетные значения характеристик грунта

, c и

для расчетов по несущей способности обозначаются

,

и

, а для расчетов по деформациям -

,

и

.
3.16. Для предварительных расчетов оснований зданий и сооружений всех классов, а также для окончательных расчетов оснований зданий и сооружений II - IV классов и опор воздушных линий электропередачи и связи независимо от их класса допускается определение нормативных и расчетных значений прочностных и деформационных характеристик грунтов по их физическим характеристикам, если статистической обработкой массовых испытаний грунтов установлены зависимости между механическими (прочностными и деформационными) и физическими характеристиками грунтов.
Примечания: 1. В расчетах по деформациям оснований указанных зданий и сооружений нормативные значения угла внутреннего трения

, удельного сцепления c и модуля деформации E допускается принимать по таблицам, приведенным в
Прил. 2 "Таблицы нормативных значений прочностных и деформационных характеристик грунтов", причем расчетные значения принимаются в этом случае при

(равными нормативным).
2. Для отдельных районов допускается вместо таблиц
Прил. 2 пользоваться согласованными с Госстроем СССР таблицами характеристик грунтов, специфических для этих районов.
3.17. При проектировании оснований должны учитываться как сезонные и многолетние колебания уровня грунтовых вод (и верховодки), так и возможность формирования нового повышенного или пониженного среднего уровня.
3.18. Возможные изменения уровня грунтовых вод следует прогнозировать в зависимости от геологических и гидрогеологических условий строительной площадки, характера возводимых зданий и сооружений и наличия в них мокрого технологического процесса, а также технических мероприятий, осуществляемых в процессе строительства и эксплуатации (отрывка котлованов, планировка территорий, устройство и эксплуатация дренажных, водопроводных, канализационных, теплофикационных сетей и т.п.).
3.19. При прогнозировании изменения уровня грунтовых вод следует учитывать наибольшую вероятность:
а) значительного его повышения:
там, где возводятся здания и сооружения с мокрым технологическим процессом;
если в районе застройки или вблизи него устраиваются водоподпорные сооружения;
когда строительная площадка сложена маловодопроницаемыми глинистыми грунтами, а также пылеватыми песками вне зависимости от глубины залегания водоупора;
б) его понижения:
там, где на застраиваемой или соседней территории устраиваются мелиоративные осушительные сооружения (каналы, дренажные устройства и пр.) или выполняются подземные выработки (тоннели, метро, горные подработки и др.).
3.20. Расчетное положение уровня грунтовых вод и возможность изменения влажности грунтов в процессе строительства и эксплуатации построенных зданий и сооружений следует принимать по результатам инженерно-геологических изысканий и прогнозов, выполняемых на основе специальных расчетов.
3.21. При проектировании оснований зданий и сооружений с мокрым технологическим процессом должны предусматриваться мероприятия, не допускающие попадания в грунты основания производственных вод и подтопление территории, особенно в случае наличия отходов химического производства, вызывающих набухание грунта или коррозионное воздействие на материал фундаментов. Для своевременного выявления и предупреждения утечек производственных вод в проектах должно быть предусмотрено устройство постоянно действующих наблюдательных скважин.
3.22. Если существующий или прогнозируемый уровень грунтовых вод не исключает возможности подтопления фундаментов или заглубленных помещений, необходимо при проектировании последних предусматривать мероприятия, исключающие или уменьшающие неблагоприятные последствия этого подтопления на работу оснований и фундаментов, а также эксплуатацию проектируемых зданий и сооружений (устройство постоянно действующего водопонижения, гидроизоляции фундаментов и полов подвалов, специальных проемов в подземных конструкциях, снижающих подпор грунтовых или поверхностных вод, и пр.).
3.23. В случаях когда грунтовые или поверхностные воды, в том числе производственные, обладают агрессивностью по отношению к материалу фундаментов, следует предусматривать согласно указаниям соответствующих нормативных документов антикоррозионные мероприятия, не допускающие разрушения материала фундаментов.
3.24. Если грунты, окружающие фундамент, подвергаются воздействию поверхностных вод со скоростями, при которых возможно размывание грунтов, а также в случаях, когда в основаниях, сложенных песчаными грунтами или супесями, грунтовые воды движутся со скоростями, способными вымывать частицы грунта или растворять соли, должны приниматься надлежащие меры защиты основания (дренаж, шпунт и т.д.).
3.25. При проектировании оснований фундаментов или других подземных частей зданий и сооружений, закладываемых ниже напорного горизонта грунтовых вод, должны предусматриваться мероприятия, предупреждающие прорыв и связанное с ним взрыхление, размыв или другие повреждения восходящими токами воды слоев грунта, залегающих в основании.
3.26. Проверка возможности прорыва напорными водами вышележащего слоя грунта, если в основании проектируемого сооружения залегают водоупорные слои глины, суглинка или ила, подстилаемые слоем грунта с напорными водами, производится исходя из условия

, (13)
где

- удельный вес воды;

- высота напора воды, отсчитываемая от подошвы проверяемого водоупорного слоя до максимального уровня грунтовых вод;

- расчетное значение объемного веса грунта проверяемого слоя;

- расстояние от дна котлована или верха пола подвала до подошвы проверяемого слоя грунта.
Если это условие не удовлетворяется, необходимо предусматривать в проекте искусственное понижение напора водоносного слоя (откачка или устройство самоизливающихся скважин).
Искусственное снижение напора грунтовых вод должно быть предусмотрено на срок, пока фундамент не приобретет достаточную прочность, обеспечивающую восприятие нагрузки от напора грунтовых вод, но не ранее окончания работ по обратной засыпке грунта в пазухи котлована.
Глубина заложения фундаментов
3.27. Глубина заложения фундаментов должна определяться с учетом:
назначения, а также конструктивных особенностей зданий и сооружений (например, наличия подвалов, подземных коммуникаций, фундаментов под оборудование и т.д.);
величины и характера нагрузок и воздействий, действующих на основание;
глубины заложения фундаментов примыкающих зданий и сооружений, а также оборудования;
существующего и проектируемого рельефа застраиваемой территории;
геологических условий площадки строительства (строительных свойств грунтов, характера напластований отдельных видов грунтов, наличия слоев, склонных к скольжению, наличия пустот, образовавшихся вследствие выветривания, растворения солей и пр.);
гидрогеологических условий (уровней грунтовых вод и верховодки, а также возможных их изменений в процессе строительства и эксплуатации здания и сооружения, агрессивности грунтовых вод и т.д.);
величины размыва грунта у опор сооружений, возводимых в руслах рек (опор мостов, переходов трубопроводов и т.п.);
глубины сезонного промерзания и оттаивания грунтов.
3.28. Глубина заложения фундаментов должна быть достаточной для надежной работы основания из условия его расчета по предельным состояниям и исключения возможности промерзания пучинистого грунта под подошвой фундамента.
3.29. Исключение возможности промерзания пучинистого грунта под подошвой фундаментов обеспечивается:
в период эксплуатации - соответствующей глубиной их заложения, установленной согласно требованиям
пп. 3.30 -
3.39 настоящей главы в зависимости от вида и состояния грунтов, глубины расположения уровня грунтовых вод, нормативной глубины сезонного промерзания, теплового режима здания и сооружения и пр.;
в период строительства - защитными мероприятиями, назначаемыми согласно требованиям
пп. 3.36 -
3.38,
3.40 и
3.41 настоящей главы.
3.30. Нормативная глубина сезонного промерзания грунта принимается равной средней из ежегодных максимальных глубин сезонного промерзания грунтов по данным наблюдений за период не менее 10 лет за фактическим промерзанием грунтов под открытой, оголенной от снега поверхностью горизонтальной площадки при уровне грунтовых вод, расположенном ниже глубины сезонного промерзания грунтов.
3.31. Нормативную глубину сезонного промерзания грунтов

, см, при отсутствии данных многолетних наблюдений допускается определять на основе теплотехнических расчетов, а для районов, где нормативная глубина промерзания не превышает 2,5 м, - по формуле

, (14)
где

- сумма абсолютных значений среднемесячных отрицательных температур за зиму в данном районе, принимаемых по главе СНиП по строительной климатологии и геофизике, а при отсутствии в ней данных для конкретного пункта или района строительства - по результатам наблюдений гидрометеорологической станции, находящейся в аналогичных условиях со строительной площадкой;

- глубина промерзания при

, зависящая от вида грунта и принимаемая равной (см) для:
суглинков и глин - 23;
супесей, песков мелких и пылеватых - 28;
песков гравелистых, крупных и средней крупности - 30;
крупнообломочных грунтов - 34.
Значение

для грунтов неоднородного сложения определяется как средневзвешенное по глубине в пределах зоны промерзания грунта.
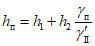
3.32. Расчетная глубина сезонного промерзания грунта H у фундаментов определяется по формуле

, (15)
где

- нормативная глубина промерзания, определяемая по
п. 3.31;

- коэффициент, учитывающий влияние теплового режима здания (сооружения) на глубину промерзания грунта у фундаментов стен и колонн, принимаемый по указаниям пп. 3.33 и
3.39 настоящей главы.
3.33. Коэффициент

, учитывающий влияние теплового режима здания (сооружения) на промерзание грунта у фундаментов наружных стен и колонн регулярно отапливаемых зданий и сооружений, должен приниматься по табл. 14.
┌──────────────────────────────────────┬──────────────────────────────────┐
│ Конструктивные особенности здания │ Коэффициент m при расчетной │
│ │ t │
│ │среднесуточной температуре воздуха│
│ │ в помещении, примыкающем к │
│ │фундаментам наружных стен и колонн│
│ ├───────┬────────┬────────┬────────┤
│ │ 5 °C │ 10 °C │ 15 °C │ 20 °C │
│ │ │ │ │и более │
├──────────────────────────────────────┼───────┼────────┼────────┼────────┤
│ Здания (сооружения) без подвалов │ 0,8 │ 0,7 │ 0,6 │ 0,5 │
│с полами, устраиваемыми: │ │ │ │ │
│ на грунте │ │ │ │ │
│ на лагах по грунту │ 0,9 │ 0,8 │ 0,7 │ 0,6 │
│ по утепленному цокольному перекрытию│ 1,0 │ 0,9 │ 0,8 │ 0,7 │
│ Здания (сооружения) с подвалом │ 0,7 │ 0,6 │ 0,5 │ 0,4 │
│или техническим подпольем │ │ │ │ │
│ │
│ Примечания: 1. В
табл. 14 указаны значения коэффициента m при вылете│
│ t │
│наружного ребра подошвы фундамента от внешней грани стены до 0,5 м; при│
│вылете 1,5 м и более значения коэффициента m повышаются на 0,1, но не│
│ t │
│более чем до значения m = 1; при промежуточной величине вылета значения│
│ t │
│коэффициента m определяются интерполяцией. │
│ t │
│ 2. К помещениям, примыкающим к фундаментам наружных стен и колонн,│
│относятся подвалы и технические подполья, а при их отсутствии - помещения│
│первого этажа. │
│ 3. При промежуточных значениях температуры воздуха m принимается│
│ t │
│с округлением до ближайшего меньшего значения, указанного в
табл. 14. │
└─────────────────────────────────────────────────────────────────────────┘
3.34. Расчетная глубина промерзания грунта в случае применения теплозащиты основания, а также если технологический режим в проектируемых зданиях и сооружениях может сильно влиять на температуру грунтов (холодильники, котельные и т.п.), должна определяться теплотехническим расчетом.
3.35. Глубина заложения фундаментов (от поверхности планировки) отапливаемых зданий и сооружений по условиям недопущения возникновения сил морозного пучения грунтов под подошвой фундаментов должна назначаться:
для наружных стен и колонн - по условиям, изложенным в табл. 15 и
п. 3.36 настоящей главы;
для внутренних стен и колонн - по указаниям
п. 3.37 настоящей главы.
┌─────────────────────────────┬────────────────────────────────────────────┐
│ Виды грунтов и консистенция │Глубина заложения фундаментов в зависимости │
│ глинистых грунтов под │от глубины расположения уровня грунтовых вод│
│ подошвой фундамента │ H , м, при: │
│ │ в │
│ ├──────────────────────┬─────────────────────┤
│ │ H <= H + 2 │ H > H + 2 │
│ │ в │ в │
├─────────────────────────────┼──────────────────────┴─────────────────────┤
│ 1. Скальные, │ Не зависит от расчетной глубины промерзания│
│крупнообломочные с песчаным │грунта H │
│заполнителем, пески │ │
│гравелистые, крупные │ │
│и средней крупности │ │
├─────────────────────────────┼──────────────────────┐ │
│ 2. Пески мелкие и пылеватые │ │ │
├─────────────────────────────┤ │ │
│ 3. Супеси с консистенцией │ │ │
│ а) I < 0 │ │ │
│ L │ │ │
├─────────────────────────────┤ ──┼─────────────────────┤
│ б) I >= 0 │ │ │
│ L │ │
├─────────────────────────────┤ │
│ 4. Суглинки, глины, а │ Не менее расчетной глубины промерзания │
│также крупнообломочные грунты│грунта H │
│с глинистым заполнителем при │ │
│консистенции глинистого │ │
│грунта или заполнителя │ │
│ а) I >= 0,25 │ │
│ L │ │ │
├─────────────────────────────┤ ──┼─────────────────────┤
│ б) I < 0,25 │ │Не менее 0,5H │
│ L │ │ │
│ │
│ Примечания: 1. Когда по
табл. 15 глубину заложения фундаментов│
│допускается принимать вне зависимости от расчетной глубины промерзания H,│
│грунты, соответствующие этим случаям, должны залегать до глубины не менее│
│ н │
│H (нормативной глубины промерзания). │
│ 2. Положение уровня грунтовых вод и верховодки должно приниматься│
│ 3. Глубину заложения фундаментов в случаях, когда она, согласно│
│
табл. 15, должна быть не менее расчетной глубины промерзания (
поз. 2 -
4),│
│допускается ограничивать размером, требуемым расчетом основания│
│по предельным состояниям. │
└──────────────────────────────────────────────────────────────────────────┘
В обоих случаях глубина заложения фундаментов должна отвечать требованиям
п. 3.38 настоящей главы с исчислением ее и расчетной глубины промерзания от пола подвала или технического подполья.
Глубина заложения фундаментов неотапливаемых зданий устанавливается по требованиям
п. 3.39 настоящей главы.
3.36. Глубину заложения фундаментов наружных стен и колонн отапливаемых зданий и сооружений допускается назначать вне зависимости от расчетной глубины промерзания H, кроме случаев, указанных в
табл. 15, а также когда под подошвой фундаментов залегают грунты:
а) пески мелкие, если специальными исследованиями при изысканиях было установлено, что эти пески на застраиваемой площадке при их промерзании в водонасыщенном состоянии не вызывают сил морозного пучения;
б) суглинки и глины при консистенции

и крупнообломочные грунты с глинистым заполнителем той же консистенции, если расчетная глубина промерзания H <= 2,5 м и будут приняты меры, не допускающие увлажнения грунтов, а также их промерзания под подошвой фундаментов в период как строительства, так и эксплуатации;
в) все остальные грунты, при которых по
табл. 15 требуется заложение фундаментов на глубине не менее расчетной глубины промерзания, если на основе специальных исследований и расчетов будет установлено, что деформации пучения при замерзании и последующем оттаивании грунтов не смогут привести к нарушению эксплуатационной пригодности здания или сооружения как в процессе строительства, так и последующей эксплуатации.
Глубина заложения фундаментов при грунтах, указанных в подпунктах:
"а" - не ограничивается;
"б" - должна приниматься не менее половины расчетной глубины промерзания;
"в" - устанавливается расчетом.
3.37. Глубина заложения фундаментов внутренних стен и колонн отапливаемых зданий и сооружений, считая от поверхности планировки, должна назначаться независимо от расчетной глубины промерзания грунтов при условии, если грунты основания, перечисленные в
поз. 2 -
4 табл. 15, в период строительства будут защищены от увлажнения и промерзания.
3.38. Глубина заложения фундаментов наружных и внутренних стен и колонн отапливаемых зданий и сооружений при наличии грунтов, приведенных в
поз. 2 -
4 табл. 15, должна приниматься:
при холодных подвалах и технических подпольях (имеющих отрицательную температуру в зимний период времени) - не менее 0,5H (половины расчетной глубины промерзания), считая ее от пола подвала или технического подполья;
при теплых подвалах и технических подпольях - вне зависимости от расчетной глубины промерзания грунта H при условии его защиты в период строительства от увлажнения и промерзания.
3.39. Глубина заложения фундаментов наружных и внутренних стен и колонн неотапливаемых зданий и сооружений должна назначаться для грунтов, предусмотренных в
поз. 2 -
4 табл. 15, не менее расчетной глубины промерзания, считая ее от пола подвала или технического подполья, а при отсутствии подвала или технического подполья - от поверхности планировки.
Расчетная глубина промерзания грунта H для неотапливаемых зданий и сооружений принимается с коэффициентом

, кроме районов, где среднегодовая температура воздуха (по данным главы СНиП по строительной климатологии и геофизике) отрицательная; в этих районах расчетная глубина промерзания грунта для неотапливаемых зданий и сооружений должна определяться теплотехническим расчетом применительно к требованиям главы СНиП по проектированию оснований и фундаментов на вечномерзлых грунтах.
3.40. В проекте оснований и фундаментов должно быть указано, что для предотвращения в процессе строительства в зимний период возможности морозного пучения грунтов под подошвой фундаментов следует защищать основание от увлажнения поверхностными водами, своевременно производить засыпку грунтом пазух котлованов, утеплять, если необходимо, фундаменты теплоизоляционными материалами или грунтом, вводить в грунт основания специальные добавки, понижающие температуру замерзания грунта, и пр.
Для защиты грунтов основания от увлажнения застраиваемая площадка под каждое здание и сооружение должна быть до устройства фундаментов ограждена нагорными канавами, тщательно спланирована с устройством поверхностных канав и лотков, а при необходимости - и дренажей.
Способ защиты грунтов основания от промерзания принимается в зависимости от вида грунтов, консистенции глинистых грунтов, конструктивных особенностей подземной части здания или сооружения и от местных условий строительства (климатических, времени года, производственных и пр.).
3.41. Виды грунта для засыпки пазух котлованов, метод и степень уплотнения засыпки и сроки ее выполнения должны назначаться из условия, чтобы в процессе строительства и эксплуатации касательные силы морозного пучения не превышали сумму сил, удерживающих фундамент от выпучивания, определяемых согласно указаниям
п. 3.82 настоящей главы.
В необходимых случаях должны предусматриваться мероприятия, уменьшающие касательные силы пучения (обмазка фундаментов специальными составами, засоление грунтов засыпки веществами, не вызывающими коррозии бетона и арматуры, и пр.).
Расчет оснований по деформациям
3.42. Целью расчета оснований зданий и сооружений по деформациям является ограничение деформаций оснований, фундаментов и надфундаментных конструкций такими пределами, при которых гарантируется невозможность достижения состояния, затрудняющего нормальную эксплуатацию зданий и сооружений в целом или отдельных конструкций либо снижающего их долговечность вследствие появления недопустимых перемещений (осадок, кренов, изменений проектных уровней и положений конструкций, расстройств их соединений и т.п.). При этом имеется в виду, что прочность и трещиностойкость фундаментов и надфундаментных конструкций подтверждена расчетом, учитывающим усилия, которые возникают при взаимодействии зданий и сооружений со сжимаемым основанием.
3.43. Вертикальные деформации основания подразделяются на:
осадки - деформации, происходящие в результате уплотнения грунта под воздействием внешних нагрузок и в отдельных случаях собственного веса грунта, не сопровождающиеся коренным изменением его структуры;
просадки - деформации, происходящие в результате уплотнения и, как правило, коренного изменения структуры грунта под воздействием как внешних нагрузок и собственного веса грунта, так и дополнительно с ними действующих факторов, таких, как, например, замачивание просадочного грунта, оттаивание ледовых прослоек в замерзшем грунте и т.п.;
набухания и усадки - деформации, связанные с изменением объема некоторых видов глинистых грунтов при изменении их влажности, температуры (морозное пучение) или воздействии химических веществ;
оседания - деформации земной поверхности, вызываемые разработкой полезных ископаемых, изменением гидрогеологических условий и т.п.
3.44. Деформации основания в зависимости от причин возникновения подразделяются на два основных вида:
первый - деформации грунтов от нагрузок, передаваемых на основание зданием или сооружением (осадки и просадки);
второй - деформации, не связанные с нагрузкой от здания или сооружения и проявляющиеся в виде вертикальных и горизонтальных перемещений поверхности основания (оседания, просадки грунтов от собственного веса, набухания и усадки).
3.45. Расчет оснований по деформациям, как правило, должен производиться из условия совместной работы здания (сооружения) и основания (в том числе с учетом перераспределения нагрузок на основание надфундаментной конструкцией).
Деформации основания допускается определять без учета совместной работы здания (сооружения) и основания в случаях, оговоренных в
п. 3.6 настоящей главы, а также:
а) если для зданий и сооружений, указанных в
п. 3.66 настоящей главы, не устанавливаются величины предельно допустимых деформаций оснований по прочности, устойчивости и трещиностойкости надфундаментных конструкций

(
подпункт "б" п. 3.63 настоящей главы);
б) при определении неравномерных деформаций основания при привязке типовых проектов к местным геологическим условиям, если в этих проектах, согласно указаниям
подпункта "б" п. 3.67, приведены условные величины предельно допустимых деформаций

;
в) при определении средних величин деформаций зданий и сооружений.
3.46. Совместная деформация основания и здания (сооружения) может характеризоваться:
а) абсолютной осадкой основания отдельного фундамента

;
б) средней осадкой основания здания или сооружения

;
в) относительной неравномерностью осадок

двух фундаментов, т.е. разностью их вертикальных перемещений, отнесенной к расстоянию между ними;
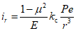
г) креном фундамента или сооружения в целом i, то есть отношением разности осадок крайних точек фундамента к его ширине или длине;
д) относительным прогибом или выгибом f/L (отношением стрелы прогиба или выгиба к длине однозначно изгибаемого участка здания или сооружения);
е) кривизной изгибаемого участка здания или сооружения K;
ж) относительным углом закручивания здания или сооружения

;
з) горизонтальным перемещением фундамента или здания (сооружения) в целом U.
Примечание. Аналогичные характеристики деформаций могут устанавливаться также для просадок, набуханий (усадок) грунтов, оседаний земной поверхности и других деформаций.
3.47. Расчет оснований по деформациям производится исходя из условия

, (16)
где S - величина совместной деформации основания и здания или сооружения, определяемая расчетом по указаниям
Прил. 3 "Расчет деформаций оснований";

- предельно допустимая величина совместной деформации основания и здания или сооружения, устанавливаемая по указаниям
пп. 3.63 -
3.69 настоящей главы.
Примечания: 1. Под величинами S и

может пониматься любая из перечисленных в
п. 3.46 характеристик деформаций.
2. В необходимых случаях (для прогноза продолжительности и скорости стабилизации осадок, оценки напряженно-деформированного состояния конструкций зданий и сооружений с учетом длительных процессов и т.д.) следует производить расчет осадок во времени.
3. При расчете оснований по деформациям необходимо учитывать возможность изменения как расчетных, так и предельных значений деформаций основания за счет применения мероприятий, указанных в
пп. 3.83 -
3.89 настоящей главы.
3.48. Расчетная схема основания, используемая для определения совместной деформации основания и сооружения (упругое линейно- или нелинейно-деформируемое полупространство; основание в виде слоя конечной толщины; основание, характеризуемое коэффициентом постели, в том числе переменным, и т.д.), должна выбираться с учетом механических свойств грунтов, характера их напластований в основании и особенностей сооружения.
3.49. Расчет деформаций основания следует, как правило, выполнять, применяя расчетную схему основания в виде:
а) линейно-деформируемого полупространства с условным ограничением глубины сжимаемой толщи основания исходя из соотношения величин дополнительного давления от фундамента

(по вертикали, проходящей через его центр) и природного давления на той же глубине

;
б) линейно-деформируемого слоя конечной толщины, если:
в пределах сжимаемой толщи основания, определяемой как для линейно-деформируемого полупространства, расположен грунт с модулем деформации E >= 1000 кгс/см2;
фундамент имеет большие размеры (ширина или диаметр более 10 м) и модуль деформации грунтов E >= 100 кгс/см2 независимо от глубины залегания малосжимаемого грунта.
Расчет деформаций основания с использованием указанных расчетных схем следует выполнять в соответствии с требованиями, изложенными в
Прил. 3 "Расчет деформаций оснований".
3.50. При расчете деформаций основания с использованием расчетных схем, указанных в
п. 3.49 настоящей главы, среднее давление на основание под подошвой фундамента от нагрузок, подсчитанных в соответствии с требованиями
п. 3.7, не должно превышать расчетного давления на основание R, тс/м2, определяемого по формуле

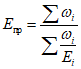
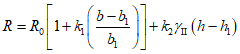
, (17)
где

и

- соответственно коэффициент условий работы грунтового основания и коэффициент условий работы здания или сооружения во взаимодействии с основанием, принимаемые по указаниям
п. 3.51 настоящей главы;

- коэффициент надежности, принимаемый по указаниям
п. 3.52 настоящей главы;
A, B и D - безразмерные коэффициенты, принимаемые по
табл. 16 в зависимости от расчетного значения угла внутреннего трения

, определяемого по указаниям
пп. 3.10 -
3.16 настоящей главы;
b - меньшая сторона (ширина) подошвы фундамента, м;
h - глубина заложения фундамента от уровня планировки срезкой или подсыпкой, м;

- осредненное (по слоям) расчетное значение объемного веса грунта, залегающего выше отметки заложения фундамента, тс/м3;

- то же, но залегающего ниже подошвы фундамента, тс/м3;

- расчетное значение удельного сцепления грунта, залегающего непосредственно под подошвой фундамента, тс/м2;

- глубина до пола подвала, м; при отсутствии подвала принимаемая

;

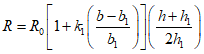
- приведенная глубина заложения фундамента от пола подвала в помещении с подвалом, определяемая по формуле

; (18)

- толщина слоя грунта выше подошвы фундамента, м;

- толщина конструкции пола подвала, м;

- средневзвешенное расчетное значение объемного веса конструкции пола подвала, тс/м3.
Примечания: 1.
Формулу (17) допускается применять при любой форме фундаментов в плане. Для подошвы фундамента в форме круга или правильного многоугольника значение b принимается равным

, где F - площадь подошвы фундамента.
2. При глубине заложения фундамента менее 1 м для вычисления R в
формулу (17) подставляется h = 1 м, кроме случая, когда основанием являются водонасыщенные пылеватые пески и глинистые грунты с консистенцией

, при котором глубина заложения принимается фактическая, от уровня планировки.
3. При ширине подвала более 20 м глубина заложения фундамента h принимается равной

(глубине, исчисляемой от пола подвала).
4. Определение расчетного давления для оснований, сложенных рыхлыми песками, должно выполняться на основе специальных исследований.
┌──────────────────────────────────┬──────────────────────────────────────┐
│ Расчетное значение угла │ Коэффициенты │
│ внутреннего трения фи , град ├────────────┬────────────┬────────────┤
│ II │ A │ B │ D │
├──────────────────────────────────┼────────────┼────────────┼────────────┤
│ 0 │ 0 │ 1,00 │ 3,14 │
│ 2 │ 0,03 │ 1,12 │ 3,32 │
│ 4 │ 0,06 │ 1,25 │ 3,51 │
│ 6 │ 0,10 │ 1,39 │ 3,71 │
│ 8 │ 0,14 │ 1,55 │ 3,93 │
│ 10 │ 0,18 │ 1,73 │ 4,17 │
│ │ │ │ │
│ 12 │ 0,23 │ 1,94 │ 4,42 │
│ 14 │ 0,29 │ 2,17 │ 4,69 │
│ 16 │ 0,36 │ 2,43 │ 5,00 │
│ 18 │ 0,43 │ 2,72 │ 5,31 │
│ 20 │ 0,51 │ 3,06 │ 5,66 │
│ 22 │ 0,61 │ 3,44 │ 6,04 │
│ │ │ │ │
│ 24 │ 0,72 │ 3,87 │ 6,45 │
│ 26 │ 0,84 │ 4,37 │ 6,90 │
│ 28 │ 0,98 │ 4,93 │ 7,40 │
│ 30 │ 1,15 │ 5,59 │ 7,95 │
│ 32 │ 1,34 │ 6,35 │ 8,55 │
│ 34 │ 1,55 │ 7,21 │ 9,21 │
│ │ │ │ │
│ 36 │ 1,81 │ 8,25 │ 9,98 │
│ 38 │ 2,11 │ 9,44 │ 10,80 │
│ 40 │ 2,46 │ 10,84 │ 11,73 │
│ 42 │ 2,87 │ 12,50 │ 12,77 │
│ 44 │ 3,37 │ 14,48 │ 13,96 │
│ 45 │ 3,66 │ 15,64 │ 14,64 │
└──────────────────────────────────┴────────────┴────────────┴────────────┘
3.51. Значения коэффициента условий работы грунтового основания

и коэффициента условий работы здания или сооружения во взаимодействии с основанием

принимаются по табл. 17.
Таблица 17
┌───────────────────────────────────┬──────────────┬──────────────────────┐
│ Виды грунтов │Коэффициент m │ Коэффициент m для │
│ │ 1│ 2 │
│ │ │зданий и сооружений с │
│ │ │жесткой конструктивной│
│ │ │ схемой при отношении │
│ │ │ длины здания │
│ │ │ (сооружения) или его │
│ │ │ отсека к его высоте │
│ │ │ L/H, равном: │
│ │ ├──────────┬───────────┤
│ │ │4 и более │1,5 и менее│
├───────────────────────────────────┼──────────────┼──────────┼───────────┤
│ Крупнообломочные грунты с песчаным│ 1,4 │ 1,2 │ 1,4 │
│заполнителем и песчаные грунты, │ │ │ │
│кроме мелких и пылеватых │ │ │ │
├───────────────────────────────────┼──────────────┼──────────┼───────────┤
│ Пески мелкие: │ │ │ │
│ сухие и маловлажные │ 1,3 │ 1,1 │ 1,3 │
│ насыщенные водой │ 1,2 │ 1,1 │ 1,3 │
├───────────────────────────────────┼──────────────┼──────────┼───────────┤
│ Пески пылеватые: │ │ │ │
│ сухие и маловлажные │ 1,2 │ 1,0 │ 1,2 │
│ насыщенные водой │ 1,1 │ 1,0 │ 1,2 │
├───────────────────────────────────┼──────────────┼──────────┼───────────┤
│ Крупнообломочные грунты │ 1,2 │ 1,0 │ 1,1 │
│с глинистым заполнителем и │ │ │ │
│глинистые грунты с консистенцией │ │ │ │
│I <= 0,5 │ │ │ │
│ l │ │ │ │
├───────────────────────────────────┼──────────────┼──────────┼───────────┤
│ То же, с консистенцией I > 0,5 │ 1,1 │ 1,0 │ 1,0 │
│ L │ │ │ │
│ │
│ Примечания: 1. С жесткой конструктивной схемой считаются здания│
│и сооружения, конструкции которых специально приспособлены к восприятию│
│дополнительных усилий от деформаций основания путем применения│
│мероприятий, указанных в
п. 3.88 настоящей главы. │
│ 2. Для зданий с гибкой конструктивной схемой значение коэффициента m │
│ 2│
│принимается равным единице. │
│ 3. При промежуточных значениях отношения длины здания (сооружения)│
│к его высоте значение коэффициента m определяется интерполяцией. │
│ 2 │
└─────────────────────────────────────────────────────────────────────────┘
3.52. Коэффициент надежности

принимается в зависимости от метода определения расчетных характеристик грунта, в том числе:
по результатам непосредственных испытаний образцов грунта строительной площадки

;
по косвенным данным (без непосредственных испытаний) с использованием статистически обоснованных таблиц (например, приведенных в
Прил. 2)

.
3.53. Если грунт, расположенный вокруг фундамента и пригружающий основание, является песчаным, то при уровне грунтовых вод выше подошвы фундамента расчетное давление R по
формуле (17) должно вычисляться при объемном весе этого грунта

с учетом взвешивающего действия воды.
3.54. Расчетные давления R на основания, сложенные крупнообломочными грунтами, вычисляются по
формуле (17) на основе результатов непосредственных определений прочностных характеристик грунтов.
При отсутствии таких испытаний расчетное давление определяется по характеристикам заполнителя, если его содержание превышает 40% в случае песчаного заполнителя или 30% в случае глинистого заполнителя. При меньшем содержании заполнителя значения расчетных давлений на крупнообломочные грунты допускается принимать по
табл. 1 Прил. 4 "Условные расчетные давления на грунты оснований".
3.55. Расчетные давления на основание R в случае применения искусственного уплотнения грунтов или устройства грунтовых подушек должны определяться исходя из задаваемых проектом расчетных значений физико-механических характеристик уплотненных грунтов.
3.56. Расчетное давление на основание R, вычисленное по
формуле (17), может быть повышено в 1,2 раза, если определенные расчетом деформации основания (при давлении R) не превосходят 40% предельно допустимых величин, установленных в соответствии с требованиями
пп. 3.63 -
3.69 настоящей главы. При этом повышенное давление не должно вызывать деформации основания более 50% предельно допустимых и превышать величину давления из условия расчета оснований по несущей способности в соответствии с требованиями
пп. 3.72 -
3.82 настоящей главы.
3.57. Расчетное давление R на основание в случае применения сборных прерывистых ленточных фундаментов определяется как для непрерывного ленточного фундамента по указаниям
пп. 3.50 -
3.55 настоящей главы с повышением найденной величины R коэффициентом

, учитывающим влияние распределительной способности грунтов основания и арочного эффекта между блоками прерывистого фундамента.
Коэффициент

допускается принимать:
а) для всех видов грунтов (кроме глинистых при коэффициенте пористости e >= 1,1)

;
б) для глинистых грунтов при e >= 1,1

.
Примечание. Сборные ленточные фундаменты под стены, как правило, должны применяться прерывистыми.
3.58. При необходимости увеличения нагрузок на основание существующих зданий и сооружений (при надстройках, реконструкции, установке более тяжелого оборудования и пр.) расчетные давления на основания должны приниматься в соответствии с фактическими данными о виде, состоянии и физико-механических свойствах грунтов основания с учетом типа и состояния фундаментов и надфундаментных конструкций здания и сооружения и продолжительности их эксплуатации с оценкой ожидаемой и допустимой величины дополнительных осадок при увеличении нагрузок на фундаменты.
Если величина нового расчетного давления на грунты основания окажется недостаточной для восприятия новых нагрузок, то должны быть предусмотрены мероприятия по усилению основания, фундаментов, надфундаментных конструкций или по ограничению величины новых нагрузок.
3.59. Предварительные размеры фундаментов должны назначаться по конструктивным соображениям или из условия, чтобы среднее давление на основание под подошвой фундамента было равно условному значению расчетного давления

, принятому в соответствии с требованиями, изложенными в
Прил. 4 к настоящей главе.
Прил. 4 допускается также пользоваться для окончательного назначения размеров фундаментов зданий и сооружений III и IV классов при основаниях, сложенных горизонтальными, выдержанными по толщине слоями грунта (уклон не более 0,1), сжимаемость которых не увеличивается с глубиной в пределах двойной ширины наибольшего фундамента ниже проектной глубины его заложения.
3.60. Давление на грунт у края подошвы внецентренно нагруженного фундамента (вычисленное в предположении линейного распределения давления под подошвой фундамента) при нагрузках, принимаемых для расчета оснований по деформациям (см.
п. 3.7 настоящей главы), как правило, должно определяться с учетом заглубления фундамента в грунт, жесткости соединения фундамента с надфундаментной конструкцией и жесткости этой конструкции. При этом величина краевого давления при действии изгибающего момента вдоль каждой оси фундамента не должна превышать 1,2R и в угловой точке 1,5R (здесь R - расчетное давление на основание, определяемое в соответствии с требованиями
пп. 3.50 -
3.54 настоящей главы).
Примечание. При расчете оснований фундаментов мостов на внецентренную нагрузку следует руководствоваться требованиями главы СНиП по проектированию мостов и труб.
3.61. Крен отдельных фундаментов (или сооружений в целом) вычисляется с учетом:
величины изгибающего момента, действующего на уровне подошвы фундамента;
влияния соседних фундаментов и нагрузок на полы и прилегающие площади;
неравномерности сжимаемости основания.
При определении кренов фундаментов, кроме того, как правило, необходимо учитывать влияние:
заглубления фундамента в грунте;
жесткости надфундаментной конструкции и ее соединения с фундаментом;
возможного увеличения эксцентриситета нагрузки из-за наклона отдельно стоящего фундамента (сооружения).
Примечание. Для определения кренов силосов сыпучих материалов от их эксцентричного загружения после предварительного обжатия основания равномерно распределенной нагрузкой (при полном проектном заполнении силосов) сжимаемость грунтов основания должна приниматься соответствующей той плотности грунтов, которая может быть достигнута при их обжатии.
3.62. При наличии в пределах сжимаемой толщи основания на глубине z от подошвы фундамента слоя грунта меньшей прочности, чем прочность вышележащих слоев, размеры фундамента должны назначаться такими, чтобы обеспечивалось условие

, (19)
где

- дополнительное давление на глубине z от фундамента здания или сооружения, определяемое по указаниям
Прил. 3 к настоящей главе;

- давление от собственного веса грунта на глубине z;

- расчетное давление на кровлю грунта пониженной прочности (расположенную на глубине z), вычисленное по
формуле (17) для условного фундамента шириной

, равной:

. (20)
В формуле (20) обозначено
где P - нагрузка, передаваемая на основание проектируемым фундаментом;
l и b - соответственно длина и ширина проектируемого фундамента.
3.63. Предельно допустимые величины совместной деформации основания и здания или сооружения устанавливаются исходя из необходимости соблюдения:
а) технологических или архитектурных требований к деформациям сооружения - изменение проектных уровней и положений здания или сооружения в целом (зданий повышенной этажности, башен, дымовых труб и пр.), отдельных их элементов и оборудования, включая требования к нормальной работе лифтов, кранового оборудования, подъемных устройств элеваторов и т.п., -

;
б) требований к прочности, устойчивости и трещиностойкости конструкций, включая общую устойчивость сооружения, -

.
3.64. Предельно допустимая величина совместной деформации основания и здания или сооружения (равномерной или неравномерной), соответствующая пределу эксплуатационной пригодности здания или сооружения по технологическим или архитектурным требованиям

, должна устанавливаться соответствующими нормами проектирования зданий и сооружений, правилами технической эксплуатации оборудования или заданием на проектирование.
Проверка соблюдения условия

производится при разработке типовых и индивидуальных проектов в составе расчетов основания во взаимодействии с надфундаментными конструкциями после соответствующих расчетов этих конструкций по прочности, устойчивости и трещиностойкости.
3.65. Предельно допустимую величину деформаций

по условиям эксплуатации оборудования (например, лифтов, мостовых кранов, машин и пр.) следует назначать исходя из соблюдения технологических допусков по осадкам и кренам оборудования.
Если при этом требуется применение неэкономичных решений по основаниям и фундаментам, в проектах зданий и сооружений (по согласованию с организацией, эксплуатирующей оборудование, и органами надзора) должна предусматриваться возможность осуществления рихтовки оборудования в процессе эксплуатации.
3.66. Величину

допускается не устанавливать для зданий и сооружений значительной жесткости (например, зданий башенного типа, домен, дымовых труб и т.п.), прочность которых заведомо достаточна для восприятия усилий, возникающих при взаимодействии основания с сооружением, а также для зданий и сооружений с гибкими системами конструкций, в которых такие усилия не возникают (например, различного рода шарнирные системы и пр.).
3.67. При разработке типовых проектов зданий и сооружений на основе величин

и

следует, как правило, устанавливать следующие критерии допустимости применения этих проектов (или отдельных их вариантов), упрощающие расчет оснований по деформациям при привязке типовых проектов к местным грунтовым условиям:
а) допустимую неоднородность основания, которая может характеризоваться предельным значением степени изменчивости (неравномерности) сжимаемости грунтов

, соответствующим различным осредненным значениям модуля деформации грунтов в пределах плана здания или сооружения

или различным значениям ожидаемой средней осадки основания здания или сооружения

(
п. 3.68 настоящей главы);
б) условные величины предельной неравномерности деформаций основания

, которые можно использовать в расчетах оснований по деформациям без учета влияния жесткости здания или сооружения на перераспределение нагрузок на основание (
п. 3.69 настоящей главы);
в) перечень грунтов (с указанием их простейших характеристик свойств и состояния, а также характера напластований этих грунтов), при наличии которых в основании зданий или сооружений не требуется выполнять расчет оснований по деформациям.
3.68. Степень изменчивости сжимаемости основания

(по
подпункту "а" п. 3.67 настоящей главы) как одного из критериев допустимости применения проектов по
п. 3.67 определяется отношением наибольшего значения приведенного по глубине модуля деформации грунтов основания в пределах плана здания или сооружения к наименьшему значению.
Приведенный модуль деформации грунтов основания

определяется при этом для характерных по геологическому строению участков площади застройки с учетом характера напластования грунтов, сжимаемости отдельных слоев, размеров, заглубления фундаментов и действующих на них нагрузок по формуле

, (21)
где

- площадь эпюры дополнительных давлений на грунт по оси фундамента, действующих в пределах толщины i-го слоя грунта с модулем деформации

и определяемых согласно
Прил. 3.
Осредненное значение модуля деформации грунтов основания

как второго критерия допустимости проектов по
подпункту "а" п. 3.67 настоящей главы определяется как отношение суммы приведенных

значений модулей деформации отдельных характерных по геологическому строению участков, умноженных на их площадь, к суммарной площади, занимаемой зданием или сооружением.
3.69. Предельно допустимые величины совместных деформаций оснований зданий и сооружений

допускается принимать по
табл. 18, если их надфундаментные конструкции не рассчитаны на воздействие неравномерных деформаций основания и потому не определены значения

(по
подпункту "б" п. 3.63) или

(по
подпункту "б" п. 3.67) и в задании на проектирование не установлены значения

(по
подпункту "а" п. 3.63,
пп. 3.64 и
3.65 настоящей главы).
Принимая

по
табл. 10, следует учитывать, что в этом случае:
а) расчет деформаций оснований допускается производить без учета влияния жесткости конструкций здания или сооружения на перераспределение нагрузок на основание;
б) при грунтах основания, сложенных по всей площади проектируемого здания или сооружения горизонтальными (с уклоном не более 0,1), выдержанными по толщине слоями, предельные значения максимальных и средних абсолютных осадок допускается увеличивать на 20% против величин, указанных в табл. 18;
в) при набухающих грунтах основания предельные величины деформаций - подъема фундаментов, максимального и среднего - принимаются численно равными 0,25 от предельных величин максимальных и средних осадок, приводимых в табл. 18, а выгиба зданий - равным 0,5 от предельных величин, указанных в той же таблице.
┌────────────────────────┬────────────────────────────────────────────────┐
│ Наименование │ Величина предельных деформаций оснований S │
│ и конструктивные │ пр │
│ особенности сооружений ├──────────────────────┬─────────────────────────┤
│ │ относительные │ максимальные и средние │
│ │ деформации │ абсолютные осадки, см │
│ ├─────────────┬────────┼──────────────┬──────────┤
│ │ вид │величина│ вид │ величина │
├────────────────────────┼─────────────┼────────┼──────────────┼──────────┤
│ 1. Производственные │ │ │ │ │
│и гражданские │ │ │ │ │
│многоэтажные здания │ │ │ │ │
│с полным каркасом: │ │ │ │ │
│ 1.1. Железобетонные │Относительная│ 0,002 │ Максимальная │ 8 │
│рамы без заполнения │ разность │ │ абсолютная │ │
│ │ осадок │ │ осадка S │ │
│ │ │ │ iпр │ │
├────────────────────────┼─────────────┼────────┼──────────────┼──────────┤
│ 1.2. Стальные рамы без│ То же │ 0,004 │ То же │ 12 │
│заполнения │ │ │ │ │
├────────────────────────┼─────────────┼────────┼──────────────┼──────────┤
│ 1.3. Железобетонные │ " │ 0,001 │ " │ 8 │
│рамы с заполнением │ │ │ │ │
├────────────────────────┼─────────────┼────────┼──────────────┼──────────┤
│ 1.4. Стальные рамы │ " │ 0,002 │ " │ 12 │
│с заполнением │ │ │ │ │
├────────────────────────┼─────────────┼────────┼──────────────┼──────────┤
│ 2. Здания и сооружения,│ " │ 0,006 │ " │ 15 │
│в конструкциях которых │ │ │ │ │
│не возникают │ │ │ │ │
│дополнительные усилия │ │ │ │ │
│от неравномерных осадок │ │ │ │ │
├────────────────────────┼─────────────┼────────┼──────────────┼──────────┤
│ 3. Многоэтажные │ │ │ │ │
│бескаркасные здания │ │ │ │ │
│с несущими стенами из: │ │ │ │ │
│ 3.1. Крупных панелей │Относительный│ 0,0007 │Средняя осадка│ 10 │
│ │ прогиб или │ │ S │ │
│ │ выгиб │ │ ср.пр │ │
├────────────────────────┼─────────────┼────────┼──────────────┼──────────┤
│ 3.2. Крупных блоков │ То же │ 0,001 │ То же │ 10 │
│и кирпичной кладки без │ │ │ │ │
│армирования │ │ │ │ │
├────────────────────────┼─────────────┼────────┼──────────────┼──────────┤
│ 3.3. Крупных блоков │ " │ 0,0012 │ " │ 15 │
│и кирпичной кладки │ │ │ │ │
│с армированием │ │ │ │ │
│или железобетонными │ │ │ │ │
│поясами │ │ │ │ │
├────────────────────────┼─────────────┼────────┼──────────────┼──────────┤
│ 3.4. Независимо │ Крен │ 0,005 │ - │ - │
│от материала стен │в поперечном │ │ │ │
│ │ направлении │ │ │ │
│ │ i │ │ │ │
│ │ пр │ │ │ │
├────────────────────────┼─────────────┼────────┼──────────────┼──────────┤
│ 4. Высокие жесткие │ │ │ │ │
│сооружения: │ │ │ │ │
│ 4.1. Сооружения │ │ │ │ │
│элеваторов из │ │ │ │ │
│железобетонных │ │ │ │ │
│конструкций: │ │ │ │ │
│ а) рабочее здание │ Поперечный │ 0,003 │Средняя осадка│ 40 │
│и силосный корпус │и продольный │ │ S │ │
│монолитной конструкции, │ крены i │ │ ср.пр │ │
│сблокированные на │ пр │ │ │ │
│одной фундаментной плите│ │ │ │ │
│ б) то же, сборной │ То же │ 0,003 │ То же │ 30 │
│конструкции │ │ │ │ │
│ в) отдельно стоящее │ Поперечный │ 0,003 │ " │ 25 │
│рабочее здание │ крен i │ │ │ │
│ │ пр │ │ │ │
│ │ Продольный │ 0,004 │ " │ 25 │
│ │ крен i │ │ │ │
│ │ пр │ │ │ │
│ г) отдельно стоящий │ Поперечный │ 0,004 │ " │ 40 │
│силосный корпус │и продольный │ │ │ │
│монолитной конструкции │ крены i │ │ │ │
│ │ пр │ │ │ │
│ д) то же, сборной │ То же │ 0,004 │ " │ 30 │
│конструкции │ │ │ │ │
├────────────────────────┼─────────────┼────────┼──────────────┼──────────┤
│ 4.2. Дымовые трубы │ │ │ │ │
│высотой H, м: │ │ │ │ │
│ а) H <= 100 м │ Крен i │ 0,005 │Средняя осадка│ 40 │
│ │ пр │ │ S │ │
│ │ │ │ ср.пр │ │
│ б) 100 < H <= 200 м │ То же │ 1 │ То же │ 30 │
│ │ │ -- │ │ │
│ │ │ 2H │ │ │
│ │ │ │ │ │
│ в) 200 < H <= 300 м │ " │ 1 │ " │ 20 │
│ │ │ -- │ │ │
│ │ │ 2H │ │ │
│ │ │ │ │ │
│ г) H > 300 м │ " │ 1 │ " │ 10 │
│ │ │ -- │ │ │
│ │ │ 2H │ │ │
├────────────────────────┼─────────────┼────────┼──────────────┼──────────┤
│ 4.3. Прочие высокие до│ Крен i │ 0,004 │Средняя осадка│ 20 │
│100 м жесткие сооружения│ пр │ │ S │ │
│ │ │ │ ср.пр │ │
└────────────────────────┴─────────────┴────────┴──────────────┴──────────┘
Примечание. На основе обобщения опыта проектирования, строительства и эксплуатации отдельных видов зданий и сооружений с учетом эффективности конструктивных мероприятий, обеспечивающих требуемую прочность, устойчивость и трещиностойкость конструкций от воздействия неравномерных деформаций основания, допускается в установленном порядке утверждать предельные значения деформаций, отличные от значений, принятых в
табл. 18.
3.70. Расчет оснований по деформациям считается удовлетворенным, если фактическое среднее давление на грунт под фундаментами проектируемых зданий или сооружений не превышает расчетного давления на основание и выполняется одно из следующих условий:
б) геологические условия площадки строительства отвечают области применения типового проекта по
подпункту "в" п. 3.67 настоящей главы;
в) если здания, перечисленные в табл. 19, возродятся на грунтах, указанных в этой же таблице и сгруппированных в семи вариантах грунтовых условий.
┌────────────────────────────────────┬────────────────────────────────────┐
│ Виды зданий │ Перечень вариантов грунтовых │
│ │ условий, когда допускается не │
│ │выполнять расчет осадок для зданий, │
│ │ перечисленных в графе 1 │
├────────────────────────────────────┼────────────────────────────────────┤
│ 1 │ 2 │
├────────────────────────────────────┼────────────────────────────────────┤
│ А. Производственные |│ │
│ здания промышленных предприятий |│ │
│ |│ │
│ 1. Одноэтажные с несущими |│ 1. Крупнообломочные грунты при │
│конструкциями, малочувствительными |│содержании песчаного заполнителя │
│к неравномерным осадкам (например, |│менее 40% и глинистого менее 30% │
│стальной или железобетонный каркас |│ 2. Пески любой крупности, кроме │
│на отдельных фундаментах при |│пылеватых, плотные и средней │
│шарнирном опирании ферм, ригелей |│плотности │
│и т.п.), и с мостовыми кранами |│ 3. Пески любой крупности, только │
│грузоподъемностью до 50 т |│плотные │
│включительно |│ 4. Пески любой крупности, только │
│ 2. Многоэтажные до 6 этажей |│средней плотности │
│включительно с сеткой колонн |│ 5. Супеси, суглинки и глины при │
│не более 6 x 9 м |│консистенции I < 0,5 и коэффициенте│
│ |│ L │
│ Б. Жилые и общественные здания |│пористости e в диапазоне 0,4 - 0,9 │
│ }│ 6. То же, что в п. 5, при │
│ 1. Прямоугольной формы в плане |│коэффициенте пористости │
│без перепадов по высоте с полным |│e = 0,5 - 1,0 │
│каркасом и бескаркасные с несущими |│ 7. Песчаные грунты при e < 0,7 в │
│стенами из кирпича, крупных блоков |│сочетании с глинистыми грунтами │
│или панелей: |│моренного происхождения при e < 0,7 │
│ а) протяженные многосекционные |│и I < 0,5, независимо от порядка │
│высотой до 9 этажей включительно |│ L │
│ б) несблокированные башенного |│их залегания │
│типа высотой до 14 этажей |│ │
│включительно |│ │
│ |│ │
│ В. Сельскохозяйственные |│ │
│ производственные здания |│ │
│ и сооружения |│ │
│ |│ │
│ Одно- и многоэтажные независимо |│ │
│от конструктивной схемы и формы |│ │
│в плане |│ │
│ │
│ Примечания: 1.
Табл. 19 допускается пользоваться: │
│ а) при горизонтальном, выдержанном по толщине, залегании в основании│
│зданий и сооружений отдельных слоев, состоящих из грунтов, перечисленных│
│в настоящей таблице (уклон не более 0,1); │
│ б) если ширина отдельных ленточных фундаментов под несущие│
│конструкции или площадь отдельных столбчатых фундаментов отличается│
│не более чем в 2 раза; │
│ в) для зданий и сооружений иного назначения, чем указано в таблице,│
│при аналогичных с ними конструкциях, нагрузках и грунтах, сжимаемость│
│которых не превышает сжимаемости грунтов, приведенных в таблице. │
│ 2.
Табл. 19 не распространяется на производственные здания│
│с нагрузками на полы более 2 тс/м2. │
└─────────────────────────────────────────────────────────────────────────┘
3.71. Натурные измерения деформаций оснований и фундаментов должны предусматриваться:
в проектах ответственных зданий и сооружений, возводимых на сильно деформируемых неоднородных грунтах оснований, если ожидаемые деформации близки к предельно допустимым для этих зданий и сооружений;
если применяются новые конструкции зданий и сооружений или их фундаментов, недостаточно изученные в массовом строительстве;
при наличии в задании на проектирование специальных требований по измерению деформаций в целях изучения работы оснований, конструкций здания и сооружения или технологического оборудования и пр.
Выбор объекта измерения деформаций должен быть согласован с заказчиком.
Расчет оснований по несущей способности
3.72. Целью расчета оснований по несущей способности (т.е. по первой группе предельных состояний) является обеспечение прочности оснований и устойчивости нескальных оснований, а также недопущение сдвига фундамента по подошве и его опрокидывания, что сопровождается, как правило, значительными перемещениями отдельных фундаментов или сооружений в целом, при которых эксплуатация последних становится невозможной. Принимаемая в расчете схема разрушения основания (при достижении им предельного состояния) должна быть как статически, так и кинематически возможна для данного фундамента или сооружения.
3.73. Расчет оснований по несущей способности производится исходя из условия

, (22)
где N - расчетная нагрузка на основание, определяемая по указаниям
пп. 3.6 -
3.9 настоящей главы;

- несущая способность основания;

- коэффициент надежности, устанавливаемый проектной организацией в зависимости от ответственности здания или сооружения, значимости последствий исчерпания несущей способности основания, степени изученности грунтовых условий и принимаемый не менее 1,2.
3.74. Несущая способность (прочность) оснований, сложенных скальными грунтами

, независимо от глубины заложения фундаментов вычисляется по формуле

, (23)
где

- расчетное значение временного сопротивления образцов скального грунта сжатию в водонасыщенном состоянии, определяемое в соответствии с требованиями
пп. 3.13 -
3.15 настоящей главы;

и

- соответственно приведенные ширина и длина фундамента, вычисляемые по формулам:

; (24)

, (25)
где

и

- соответственно эксцентриситеты приложения равнодействующей всех нагрузок в направлении продольной и поперечной осей фундамента.
3.75. Несущая способность основания, сложенного нескальными грунтами, должна определяться исходя из условия, что в грунте образуются поверхности скольжения, охватывающие всю подошву фундамента или сооружения; при этом считается, что соотношение между нормальными p и касательными напряжениями

по всей поверхности скольжения, соответствующее предельному состоянию основания, подчиняется зависимости

, (26)
где

и

- расчетные значения соответственно угла внутреннего трения и удельного сцепления грунта, определяемые согласно требованиям
пп. 3.13 -
3.15 настоящей главы.
3.76. Несущая способность медленно уплотняющихся водонасыщенных глинистых и заторфованных грунтов оснований (при степени влажности G >= 0,85 и коэффициенте консолидации

) должна определяться с учетом возникновения нестабилизированного состояния из-за уменьшения касательного напряжения

по площадке скольжения за счет образования избыточного давления в поровой воде u. При этом соотношение между нормальными и касательными напряжениями

принимается по зависимости

. (27)
Примечание. Величину избыточного давления u в поровой воде допускается определять методами теории одномерной консолидации грунта с учетом изменения состояния грунта по мере его нагружения возводимым сооружением.
3.77. Несущая способность оснований из нескальных грунтов определяется на основе теории предельного равновесия грунтовой среды. При этом должны различаться случаи, когда допускается применять:
а) аналитические решения (в случаях и по указаниям п. 3.78 настоящей главы);
б) графоаналитические методы с построением круглоцилиндрических поверхностей скольжения (в случаях и по указаниям
п. 3.79 настоящей главы).
3.78. Несущую способность оснований

для вертикальной составляющей нагрузки допускается определять с применением аналитических решений, если основание сложено нескальными однородными грунтами, находящимися в стабилизированном состоянии, и фундаменты имеют плоскую подошву, а пригрузка с разных сторон фундамента отличается по величине не более чем на 25%, пользуясь формулой

, (28)

,

и

- безразмерные коэффициенты, определяемые по формулам:

; (29)

; (30)

; (31)

- коэффициенты несущей способности, зависящие от расчетного значения угла внутреннего трения

грунтов основания;

- коэффициенты влияния угла наклона нагрузки, зависящие от расчетного значения угла внутреннего трения грунтов основания

и угла наклона к вертикали

равнодействующих всех нагрузок на уровне подошвы фундаментов;

- коэффициенты влияния соотношения сторон подошвы прямоугольного фундамента;

и

- расчетные значения объемного веса грунтов, находящихся в пределах возможной призмы выпирания соответственно ниже и выше подошвы фундамента, определяемые (при наличии грунтовых вод) для песчаных грунтов с учетом взвешивающего действия воды;

- расчетное значение удельного сцепления грунта;
h - глубина заложения фундамента; в случае неодинаковой вертикальной пригрузки с разных сторон фундамента принимается значение h, соответствующее наименьшей пригрузке (например, со стороны подвала).
Примечание. Коэффициенты несущей способности

, влияния угла наклона нагрузки i и влияния соотношения сторон подошвы фундамента n определяются по формулам и графикам
Прил. 5 "Коэффициенты для расчета несущей способности оснований".
3.79. Несущую способность оснований

графоаналитическим методом с построением круглоцилиндрических поверхностей скольжения допускается определять в случаях, когда:
а) основание сложено неоднородными грунтами;
б) величины пригрузок с разных сторон фундамента отличаются между собой более чем на 25%;
в) фундаменты расположены на откосе, под откосом или на крутопадающих пластах грунта;
г) возможно возникновение нестабилизированного состояния грунтов, за исключением случаев, указанных в
п. 3.80 настоящей главы.
Для определения несущей способности оснований этим методом должны находиться положение центра и величина радиуса наиболее опасной окружности, объемлющей сдвигаемую часть грунта основания. Несущая способность основания считается обеспеченной, если отношение момента сил, препятствующих сдвигу по выбранной поверхности скольжения, к моменту сдвигающих сил не менее 1,2.
Примечание. В случае возможности возникновения нестабилизированного состояния грунтов основания определение сил, препятствующих сдвигу по поверхности скольжения, должно определяться по
зависимости (27) с учетом избыточного давления в поровой воде.
Допускается в запас надежности при соответствующем обосновании принимать в этой зависимости величину избыточного давления в поровой воде, равной нормальному напряжению по площадкам скольжения (u = p) или не учитывать угол внутреннего трения, принимая его

.
3.80. Несущая способность оснований, сложенных медленно уплотняющимися водонасыщенными грунтами, указанными в
п. 3.76, определяется без учета их угла внутреннего трения

, если они залегают под подошвой фундамента на глубину не менее 0,75 его ширины и если в пределах сжимаемой толщи основания отсутствуют дренирующие слои грунта или дренирующие устройства.
В этом случае несущая способность оснований фундаментов

, заглубленных на величину не более их ширины, определяется по формуле (32) для вертикальной составляющей наклонной нагрузки на ленточные фундаменты и по формуле (33) для вертикальной нагрузки на прямоугольные фундаменты с длиной подошвы не более трехкратной ее ширины:

; (32)

, (33)
q - пригрузка со стороны предполагаемого выпора грунта (с учетом веса пола подвала или технического подполья);

;

- угол (в радианах) наклона к вертикали равнодействующей внешних нагрузок, принимаемый положительным, если горизонтальная составляющая равнодействующей направлена в сторону предполагаемого выпора грунта, и отрицательным - в противном случае.
3.81. Расчет фундамента на сдвиг по подошве в случае действия на фундамент значительных горизонтальных усилий является обязательным. В этом случае коэффициент надежности

, определяемый по формуле (34), должен быть не менее 1,2:

, (34)
где

и

- суммы проекций на плоскость скольжения расчетных сил соответственно удерживающих и сдвигающих.
3.82. Расчет устойчивости фундаментов при действии сил морозного пучения грунтов основания должен выполняться в соответствии с указаниями
Прил. 6 "Проверка устойчивости фундаментов при действии сил морозного пучения грунтов оснований".
Мероприятия, направленные на снижение влияния деформаций
оснований на эксплуатационную пригодность зданий
и сооружений
3.83. Если в процессе проектирования оснований фундаментов зданий и сооружений окажется, что определенные расчетом деформации основания недопустимы или что несущая способность основания недостаточна, должна быть рассмотрена возможность и целесообразность увеличения размеров фундаментов и их глубины заложения либо перехода на иные виды фундаментов, обладающих большей способностью к выравниванию неравномерных деформаций (например, ленточных взамен столбчатых и пр.) или применения:
а) мероприятий по уменьшению возможных деформаций основания либо увеличению его несущей способности (пп. 3.84 -
3.87 настоящей главы);
б) конструктивных мероприятий, уменьшающих чувствительность зданий, сооружений и технологического оборудования к повышенным деформациям основания (
п. 3.88 настоящей главы);
в) строительных мероприятий, снижающих влияние деформаций основания на здание или сооружение (
п. 3.89 настоящей главы).
Выбор одного или комбинации нескольких указанных мероприятий производится с учетом требований
пп. 1.3 -
1.5,
3.2 и
3.3 настоящей главы.
3.84. Мероприятия по уменьшению возможных деформаций основания или по увеличению его несущей способности (
подпункт "а" п. 3.83 настоящей главы) включают в себя:
а) специальную подготовку оснований (
пп. 3.85 и
3.86 настоящей главы);
б) мероприятия, предохраняющие грунты основания от возможных изменений их строительных свойств в процессе строительства и эксплуатации зданий и сооружений, а также изменения нагрузок на фундаменты против принятых в проекте (
п. 3.87 настоящей главы).
При выборе мероприятий, перечисленных в настоящем пункте, следует иметь в виду, что деформации основания первого вида, указанные в
п. 3.44 настоящей главы и обусловленные нагрузками на фундамент, вызывают тем большие усилия в конструкциях зданий и сооружений, чем больше сжимаемость грунтов основания, а деформации второго вида, не связанные с нагрузками на фундамент, - наоборот.
Во всех случаях следует стремиться к принятию наиболее экономичных решений, способствующих уменьшению возможной неравномерности деформаций оснований при обеспечении его несущей способности.
3.85. Специальная подготовка основания применяется для изменения физико-механических свойств грунтов природного залегания или замены грунтов с неудовлетворительными строительными свойствами грунтами с лучшими прочностными и деформационными характеристиками.
Подготовка основания осуществляется:
а) уплотнением части или всего грунта основания с неудовлетворительными строительными свойствами (см.
п. 3.86 настоящей главы);
б) полной или частичной (в плане и по глубине) заменой грунтов основания с неудовлетворительными строительными свойствами подушками из песка, гравия, щебня или других аналогичных видов грунтов;
в) устройством (отсыпкой или гидронамывом) насыпей, служащих распределительными подушками под фундаментами зданий и сооружений;
г) искусственным закреплением грунтов химическим, электрохимическим, термическим и другими способами.
3.86. Уплотнение грунтов основания выполняется:
а) трамбованием тяжелыми трамбовками, применяемым главным образом для ликвидации просадочных свойств в верхней зоне просадочной толщи или дополнительного уплотнения недостаточно плотных (например, насыпных) грунтов (поверхностное уплотнение);
б) грунтовыми сваями, применяемыми преимущественно для ликвидации просадочных свойств грунтов на большую глубину (глубинное уплотнение порядка до 15 м);
в) предпостроечной огрузкой территории для уплотнения водонасыщенных илов и заторфованных грунтов с применением вертикальных дрен, если необходимо ускорение процесса консолидации;
г) предварительным замачиванием грунтов основания, применяемым преимущественно для уплотнения просадочных грунтов и ликвидации просадочных и набухающих свойств грунтов;
д) постоянным или временным водопонижением, в том числе глубинным с вакуумированием, применяемым преимущественно для уплотнения слабых водонасыщенных грунтов (при этом уплотнение достигается как за счет увеличения веса толщи осушенного грунта вследствие исключения взвешивающего действия грунтовых вод, так и за счет капиллярного натяжения);
е) уплотнением песчаных и просадочных лессовидных грунтов с использованием энергии взрыва (поверхностное, подводное и глубинное);
ж) гидровиброуплотнением песчаных и просадочных лессовидных грунтов;
з) поверхностным уплотнением песчаных грунтов с использованием вибрационных машин, виброкатков и др.
3.87. Мероприятия, предохраняющие от изменения строительных свойств грунтов в процессе строительства и эксплуатации зданий и сооружений, а также от изменения нагрузок против принятых в проекте, включают в себя:
а) водозащитные мероприятия, обеспечиваемые соответствующей компоновкой генеральных планов, планировкой территории, устройством отмосток вокруг зданий и сооружений, размещением на безопасных расстояниях водоводов и емкостей для воды, не допускающих утечки, устройством в основании зданий и сооружений маловодопроницаемых экранов из уплотненного грунта, организацией контроля за возможной утечкой воды и других жидкостей и т.п.;
б) мероприятия, направленные на сохранение природной структуры и состояния грунтов основания вследствие атмосферных (метеорологических) воздействий, грунтовых вод, динамических воздействий землеройных и транспортных машин и т.д.;
в) мероприятия, исключающие возможность изменения (против принятых в проекте) нагрузок на фундаменты вследствие односторонней пригрузки или обнажения фундаментов, перегрузки основания, а также бровок откосов отвалами грунта, строительными материалами, конструкциями и изделиями и т.д.
3.88. Конструктивные мероприятия, снижающие чувствительность зданий, сооружений и технологического оборудования к повышенным деформациям оснований (
подпункт "б" п. 3.83 настоящей главы), включают в себя:
а) повышение прочности и общей пространственной жесткости зданий и сооружений, достигаемое:
устройством поэтажных железобетонных или армокаменных поясов;
разрезкой зданий и сооружений на отдельные отсеки ограниченной длины;
назначением вида и степени армирования конструкций в соответствии с результатами расчета зданий и сооружений на возможные деформации основания (в зданиях и сооружениях из крупноразмерных элементов - в сочетании с устройством равнопрочных стыков);
усиленной анкеровкой и замоноличиванием сборных и сборно-монолитных элементов;
усилением фундаментно-подвальной части зданий и сооружений с применением монолитных и сборно-монолитных ленточных фундаментов, перекрестных лент или плитных фундаментов (в необходимых случаях - коробчатых);
устройством подвалов и подполий под всей площадью зданий и сооружений или отдельных отсеков и др.;
б) увеличение податливости зданий и сооружений за счет применения гибких или разрезных конструкций, если это позволяют технологические требования; при этом необходимо предусматривать меры по обеспечению:
устойчивости отдельных элементов конструкций при повышенных деформациях оснований;
увеличения площадей опирания отдельных конструктивных элементов (ригелей, плит перекрытий и т.д.);
влаго- и водонепроницаемости стыков между взаимно перемещающимися элементами конструкций;
в) устройство приспособлений для выравнивания конструкций зданий, сооружений и технологического оборудования (в том числе мостовых кранов, лифтов и др.) при повышенных деформациях основания;
г) мероприятия, обеспечивающие нормальную работу оборудования при деформациях основания (например, принятие соответствующих габаритов приближения оборудования к строительным конструкциям).
Примечание. При выборе перечисленных выше конструктивных мероприятий следует иметь в виду, что дополнительные усилия от деформаций основания, возникающие в конструкциях зданий и сооружений, возрастают с увеличением их жесткости и, как правило, протяженности. Поэтому увеличение жесткости зданий и сооружений должно сопровождаться повышением прочности конструкций и разрезкой зданий и сооружений на отдельные замкнутые отсеки.
3.89. Строительные мероприятия, снижающие влияние воздействий деформаций оснований на конструкции зданий и сооружений (
подпункт "в" п. 3.83 настоящей главы), включают в себя:
а) регулирование величины и сроков загружения медленно консолидирующихся грунтов основания;
б) возможно более позднее замоноличивание стыков сборных и сборно-монолитных конструкций, не препятствующее своевременному и безопасному их монтажу, для увеличения сроков деформирования основания при пониженной жесткости здания или сооружения и соответствующего уменьшения усилий в конструкциях от неравномерных осадок;
в) установление обоснованной последовательности возведения отдельных частей зданий и сооружений, отличающихся между собой высотой или нагрузками на грунты основания;
г) уменьшение горизонтальных воздействий на конструкции фундаментно-подвальной части зданий и сооружений, возводимых на площадках, подверженных деформациям второго вида по
п. 3.44 настоящей главы (в первую очередь на подрабатываемых территориях), путем отрывки компенсационных траншей, уменьшения поверхности контакта конструкций с грунтом, искусственного снижения сил трения грунта о заглубленные части зданий и сооружений и т.д., если это допустимо по несущей способности оснований и условиям морозного пучения грунтов.
4. ОСОБЕННОСТИ ПРОЕКТИРОВАНИЯ ОСНОВАНИЙ ЗДАНИЙ
И СООРУЖЕНИЙ, ВОЗВОДИМЫХ НА ПРОСАДОЧНЫХ ГРУНТАХ
4.1. Основания, сложенные просадочными грунтами, должны проектироваться с учетом специфической особенности таких грунтов, заключающейся в том, что, находясь в напряженном состоянии от внешней нагрузки или собственного веса грунта, при замачивании водой они дают дополнительные деформации-просадки. Деформации-просадки учитываются лишь при величине относительной просадочности грунтов

.
4.2. Дополнительные деформации просадочных грунтов подразделяются на:
а) вертикальные деформации - просадки от нагрузки, передаваемой фундаментом

, происходящие в пределах деформируемой зоны основания от подошвы фундамента до глубины, на которой суммарные вертикальные напряжения от нагрузки фундамента и собственного веса грунта равны начальному просадочному давлению

;
б) вертикальные деформации - просадки от собственного веса грунта

, происходящие в нижней части просадочной толщи, начиная с глубины, на которой вертикальные напряжения от собственного веса равны начальному просадочному давлению

, и до нижней границы просадочной толщи;
в) горизонтальные деформации - перемещения

, возникающие при просадке грунтов от их собственного веса в пределах криволинейной части просадочной воронки.
4.3. Грунтовые условия строительных площадок, сложенных просадочными грунтами, в зависимости от возможности проявления просадки грунтов от собственного веса подразделяются на два типа:
I тип по просадочности, когда просадка происходит в основном в пределах деформируемой зоны основания от нагрузки фундаментов или другой внешней нагрузки

, а просадка от собственного веса грунта

практически отсутствует или не превышает 5 см;
II тип по просадочности, когда возможна просадка грунта от его собственного веса

, происходящая преимущественно в нижней части просадочной толщи, а при наличии внешней нагрузки - просадка, происходящая помимо этого и в верхней части просадочной толщи, - в пределах деформируемой зоны

.
4.4. Тип грунтовых условий по просадочности устанавливается при проведении инженерно-геологических изысканий по результатам лабораторных исследований, а для вновь осваиваемых площадок и при необходимости уточнения возможной величины просадки от собственного веса грунта - в полевых условиях, путем замачивания грунтов в опытных котлованах.
4.5. При проектировании оснований, сложенных просадочными грунтами, должна учитываться возможность замачивания и повышения влажности этих грунтов вследствие:
а) местного замачивания грунта основания, приводящего к просадке его на ограниченной площади в пределах части или реже - всей просадочной толщи;
б) интенсивного замачивания грунта основания с промачиванием всей просадочной толщи на площади значительных размеров и полным проявлением просадки грунта как от нагрузки, передаваемой фундаментами, так и от собственного веса грунта;
в) подъема уровня грунтовых вод, вызывающего просадку нижних слоев грунта основания под действием собственного веса вышележащих слоев или суммарной нагрузки от фундамента здания или сооружения и собственного веса грунта;
г) медленного повышения влажности просадочного грунта основания, вызываемого нарушением природных условий испарения грунтовой влаги вследствие застройки и асфальтирования территории и постепенного накопления влаги при инфильтрации в грунт поверхностных вод.
Примечание. Учет различных причин и видов замачивания грунтов основания выполняется по указаниям
пп. 4.7,
4.8,
4.10 и
4.14 -
4.16 настоящей главы.
4.6. Расчет оснований, сложенных просадочными грунтами, производится в соответствии с требованиями разд. 3 настоящей главы.
Суммарная величина вертикальных деформаций основания складывается из осадок от нагрузки, передаваемой фундаментами, и просадок от нагрузки фундаментов и собственного веса грунта.
Осадки от нагрузки, передаваемой фундаментами, определяются в соответствии с требованиями, изложенными в
разд. 3 настоящей главы, как для обычных непросадочных грунтов, исходя из деформационных характеристик грунтов природной влажности, а просадки - в соответствии с требованиями
пп. 4.10 -
4.12 настоящей главы.
Примечание. При проектировании оснований, сложенных просадочными грунтами, должна учитываться возможность применения мероприятий, предусмотренных
пп. 3.83 и
4.16 настоящей главы.
4.7. Расчетное давление на основание R при возможном замачивании просадочных грунтов по причинам, указанным в
подпунктах "а",
"б" и
"в" п. 4.5 настоящей главы, устанавливается с учетом следующих требований:
а) при устранении возможности возникновения просадки оснований от нагрузки фундаментов и надфундаментной части здания или сооружения путем снижения давления на грунт - значение R не должно превышать величины начального просадочного давления

;
б) при обеспечении прочности зданий и сооружений применением комплекса водозащитных и конструктивных мероприятий, назначаемых по расчету на возможные суммарные величины осадки и просадки основания - значения R определяются по
формуле (17) с использованием расчетных значений характеристик

и

, полученных для просадочных грунтов в водонасыщенном состоянии после их просадки;
в) при уплотнении и закреплении просадочных грунтов различными методами - значение R определяется по
формуле (17) с использованием расчетных значений характеристик

и

, полученных для уплотненных и закрепленных до заданной плотности и прочности грунтов в водонасыщенном состоянии.
4.8. Расчетное давление на основание R при отсутствии возможности замачивания просадочных грунтов (допускается лишь увлажнение по причинам, указанным в
подпункте "г" п. 4.5 настоящей главы) определяется по
формуле (17). В этом случае прочностные характеристики грунтов должны приниматься:
если

- по результатам испытания грунта в состоянии природной влажности W;
если

- по результатам испытания грунта при влажности на границе раскатывания

.
4.9. Предварительные размеры фундаментов зданий и сооружений, возводимых на просадочных грунтах, назначаются исходя из величин условных значений расчетных давлений

(
табл. 3 Прил. 4).
Указанными значениями

допускается пользоваться также для назначения окончательных размеров фундаментов при проектировании перечисленных ниже зданий, если в них отсутствует мокрый технологический процесс:
а) производственные, складские, сельскохозяйственные и тому подобные одноэтажные здания с несущими конструкциями, малочувствительными к неравномерным осадкам, с нагрузкой на столбчатые фундаменты до 40 тс и на ленточные до 8 тс/м;
б) жилые и общественные бескаркасные здания высотой не более трех этажей с нагрузкой на ленточные фундаменты до 10 тс/м.
4.10. Просадки грунтов должны определяться расчетом, учитывающим тип грунтовых условий (
пп. 4.3 и
4.4 настоящей главы), вид возможного замачивания
(п. 4.5) и другие факторы.
При расчете просадок грунта от собственного веса на площадках со II типом грунтовых условий по просадочности должны определяться:
а) максимальная величина просадки грунта

, возникающая при полном промачивании всей просадочной толщи вследствие интенсивного замачивания сверху на площади шириной не менее величины просадочной толщи грунта или при подъеме уровня грунтовых вод;
б) возможная величина просадки грунта

, возникающая при местном замачивании площади шириной менее величины просадочной толщи.
4.11. Просадки основания, разность просадок и крены отдельных фундаментов должны рассчитываться с учетом неравномерного увлажнения просадочных грунтов вследствие распространения воды в стороны от источника замачивания при наиболее неблагоприятном расположении его по отношению к рассчитываемым фундаментам.
4.12. Величины горизонтальных перемещений основания при просадке от собственного веса грунта (
подпункт "в" п. 4.2 настоящей главы) должны определяться исходя из образования на поверхности грунта просадочной воронки, криволинейная часть которой зависит от геологического строения площадки, физико-механических характеристик грунтов и условий замачивания.
Примечания: 1. Расчет деформаций, указанных в
пп. 4.10 -
4.12 настоящей главы, должен производиться в соответствии с требованиями, изложенными в
Прил. 3.
2. За расчетные значения относительной просадочности

, а также начального просадочного давления

принимаются их нормативные значения, полагая в
формуле (12) коэффициент безопасности по грунту

.
4.13. Требования расчета основания по вертикальным деформациям (осадок и просадок) считаются удовлетворенными, и деформации могут расчетом не проверяться для грунтовых условий I типа по просадочности, если фактическое среднее давление на основание под фундаментами всего здания не превышает:
а) начального просадочного давления

;
б) условных значений расчетного давления

(по
Прил. 4) для зданий, указанных в
п. 4.9 и возводимых на грунтах с относительной просадочностью

при давлении p = 3 кгс/см2.
4.14. Просадки грунта основания вследствие местного и интенсивного замачивания сверху (
подпункты "а" и
"б" п. 4.5 настоящей главы) должны использоваться в расчетах конструкций зданий и сооружений с учетом типа грунтовых условий и принятых мероприятий.
На площадках с I типом грунтовых условий по просадочности должно учитываться изменение сжимаемости основания вследствие местного замачивания просадочного грунта, а на площадках со II типом грунтовых условий по просадочности, кроме того, - оседание поверхности основания при просадке грунта от его собственного веса.
4.15. Основания зданий и сооружений, возводимых на просадочных грунтах в условиях, при которых невозможны местное и интенсивное замачивание грунтов (
подпункты "а" и
"б" п. 4.5 настоящей главы), а также подъем уровня грунтовых вод (
подпункт "в" п. 4.5 настоящей главы), например, в случаях, когда здания и сооружения не оборудованы водопроводом и канализацией, внешние сети расположены на расстоянии, большем полуторной величины просадочной толщины и т.п., должны проектироваться как на обычных непросадочных грунтах, но с учетом возможности медленного увеличения влажности грунтов вследствие причин, изложенных в
подпункте "г" п. 4.5 настоящей главы.
4.16. При возможности замачивания просадочных грунтов вследствие причин, указанных в
подпунктах "а",
"б" и
"в" п. 4.5 настоящей главы, должны предусматриваться мероприятия, исключающие вредное влияние возможных просадок на эксплуатационную пригодность зданий и сооружений:
а) устранение просадочных свойств грунта (
п. 4.17 настоящей главы) путем его уплотнения или закрепления;
б) прорезка фундаментами просадочного грунта (
п. 4.22 настоящей главы);
в) комплекс мероприятий (
п. 4.23 настоящей главы), включающий частичное устранение просадочных свойств грунтов, конструктивные и водозащитные мероприятия.
Выбор мероприятий должен производиться с учетом типа грунтовых условий по просадочности (
п. 4.3 настоящей главы) вероятности замачивания основания на всю величину просадочной толщи или ее часть, возможной величины просадки, взаимосвязи проектируемых зданий и сооружений с соседними объектами и коммуникациями и т.п.
Примечание. Уплотнение и закрепление просадочных грунтов или их прорезка фундаментами выполняется в пределах всей просадочной толщи или только ее верхней части, если величина возможной по расчету суммарной деформации основания (осадки и просадки) допустима по условиям прочности конструкций и эксплуатации проектируемых зданий и сооружений.
4.17. Устранение просадочных свойств грунтов достигается:
а) в пределах деформируемой зоны или ее части: уплотнением тяжелыми трамбовками; устройством грунтовых подушек; вытрамбовывания котлованов; уплотнением подводными взрывами; химическим или термическим закреплением;
б) в пределах всей просадочной толщи: глубинным уплотнением грунтовыми сваями; предварительным замачиванием нижних слоев просадочных грунтов, в том числе с глубинными взрывами; химическим или термическим закреплением.
4.18. Глубина уплотнения грунтов тяжелыми трамбовками определяется размером и весом трамбовки, режимом трамбования, видом грунтов и т.п., а подводными взрывами - весом зарядов, частотой их расположения, видом грунта, высотой столба воды и т.п.
В случае если трамбование не сможет обеспечить уплотнение грунта на необходимую глубину, то следует предусматривать выемку просадочного грунта, устройство грунтовых подушек и их послойное уплотнение.
Объемный вес скелета грунта в пределах уплотненного слоя должен быть не менее величины, при которой просадка грунта исключается, а в грунтовой подушке - не менее 1,65 - 1,7 тс/м3 в зависимости от вида используемого грунта.
Примечание. В случаях когда глубина деформируемой зоны превышает величину уплотненного слоя, в том числе грунтовой подушки, перечисленные методы уплотнения грунтов применяются как мероприятия, снижающие возможную величину просадки основания.
4.19. Вытрамбовывание котлованов выполняется тяжелыми трамбовками, с помощью которых образуется котлован заданной формы и глубины, с уплотненным грунтом под котлованом и его наклонными стенками.
Расчет оснований фундаментов в вытрамбованных котлованах производится с учетом плотности и прочностных характеристик уплотненного слоя, толщины его, а также величины начального просадочного давления грунта, залегающего ниже уплотненного слоя.
4.20. Параметры глубинного уплотнения просадочных грунтов грунтовыми сваями (количество, шаг, размеры свай и т.п.) должны назначаться из условия достижения требуемой плотности грунтов основания, при которой полностью устраняется просадка грунта от его собственного веса и от нагрузки, передаваемой фундаментами, а размеры уплотняемой площади в плане - исходя из условия обеспечения несущей способности уплотненного массива и подстилающего его грунта при возможной просадке окружающего грунта природной структуры.
4.21. Предварительное замачивание грунтов основания должно предусматриваться для уплотнения (устранения просадочных свойств) только нижних слоев грунта в пределах зоны просадки грунта от собственного веса. Размеры уплотняемой площади и методика замачивания назначаются с таким расчетом, чтобы в пределах застраиваемой площади просадка грунта от собственного веса была полностью устранена.
Для устранения просадки грунтов в деформируемой зоне от нагрузки, передаваемой фундаментами, предварительное замачивание в необходимых случаях должно дополняться:
уплотнением верхнего слоя грунта подводными взрывами;
уплотнением грунтов тяжелыми трамбовками или устройством грунтовой подушки;
прорезкой верхнего слоя грунта глубокими фундаментами, в том числе свайными.
В целях повышения эффективности уплотнения нижних слоев грунта в необходимых случаях (например, при больших нагрузках на основание) предварительное замачивание должно осуществляться с одновременными глубинными взрывами.
4.22. Прорезка просадочных грунтов основания осуществляется одним из следующих способов:
устройством свайных фундаментов из забивных, набивных, буронабивных и тому подобных свай;
применением столбов или лент из грунта, закрепленного химическим, термическим или другими проверенными на практике способами;
заглублением фундаментов.
4.23. Комплекс мероприятий в составе водозащитных и конструктивных, а также уплотнения или закрепления грунтов деформируемой зоны применяется, как правило, на площадках со II типом грунтовых условий по просадочности.
На площадках с I типом грунтовых условий по просадочности водозащитные и конструктивные мероприятия должны предусматриваться только в тех случаях, когда по каким-либо причинам не могут быть устранены просадочные свойства грунтов в пределах деформируемой зоны или применена прорезка ее глубокими фундаментами.
4.24. Несущая способность оснований, сложенных просадочными грунтами при фундаментах в виде столбов из закрепленного этого же грунта, должна определяться с учетом сопротивления грунта по боковой поверхности фундамента (положительного для I типа или отрицательного для II типа грунтовых условий по просадочности).
5. ОСОБЕННОСТИ ПРОЕКТИРОВАНИЯ ОСНОВАНИЙ ЗДАНИЙ
И СООРУЖЕНИЙ, ВОЗВОДИМЫХ НА НАБУХАЮЩИХ ГРУНТАХ
5.1. Основания, сложенные набухающими грунтами, должны проектироваться с учетом специфической способности таких грунтов при замачивании увеличиваться в объеме - набухать. При последующем понижении влажности у набухающих грунтов происходит обратный процесс - усадка.
Увеличение объема может происходить и у обычных глинистых грунтов, если они замачиваются химическими отходами технологических производств, вызывающими набухание грунта (например, растворами серной кислоты).
Примечание. При проектировании оснований из шлаков следует учитывать, что при замачивании некоторые из них обладают способностью к набуханию (например, шлаки электроплавильных производств).
5.2. Величина набухания грунта основания зависит от действующего давления по подошве фундамента, вида и состояния грунта, толщины слоя набухающего грунта, площади замачивания, физических и химических свойств жидкости, замачивающей основание.
5.3. Деформации оснований, сложенных набухающими грунтами, могут происходить по следующим причинам:
набухание за счет инфильтрации - увлажнения грунтов производственными, атмосферными водами или в результате подъема уровня грунтовых вод;
накопление влаги под сооружениями в ограниченной по глубине зоне за счет нарушений природных условий испарения при застройке и асфальтировании территорий (экранирование поверхности);
набухание и усадка грунта в верхней части зоны аэрации - за счет изменения водно-теплового режима (сезонных климатических факторов), а также усадка за счет высыхания от воздействия тепловых источников.
Примечание. При набухании грунта основания и его усадке возникают дополнительные горизонтальные давления, которые должны учитываться при проектировании заглубленных частей зданий и сооружений (фундаментов, стен подвалов и пр.).
5.4. Основания, сложенные набухающими грунтами, должны рассчитываться по деформациям в соответствии с общими требованиями, изложенными в
разд. 3 настоящей главы, а при необходимости - также по несущей способности.
Кроме того, должны определяться расчетом величины дополнительных деформаций основания в результате набухания или усадки грунта путем суммирования деформаций отдельных слоев основания исходя из величин относительного набухания

или относительной усадки

, определяемых, согласно указаниям
Прил. 3, от суммарных давлений, действующих в рассматриваемых слоях грунта: от собственного веса грунта, нагрузок, передаваемых от фундамента здания или сооружения, и дополнительного давления, вызванного влиянием неувлажненной части массива грунта.
5.5. Нормативные значения характеристик

и

определяются по результатам лабораторных испытаний с учетом указанных в
п. 5.3 настоящей главы причин возможного изменения влажности грунтов основания.
Расчетные значения характеристик

и

допускается принимать равными нормативным, полагая в
формуле (12) коэффициент безопасности по грунту

.
5.6. Если определенная расчетом величина деформации основания окажется больше допустимой для проектируемых зданий и сооружений, то должны предусматриваться:
мероприятия, уменьшающие возможную величину деформаций основания (
пп. 3.84 и
5.7 настоящей главы);
водозащитные мероприятия, предохраняющие грунты основания от замачивания (
п. 3.87 настоящей главы) или ограничивающие степень замачивания;
конструктивные мероприятия по приспособлению здания или сооружения к восприятию деформаций (
п. 3.88 настоящей главы).
Предельные значения деформаций, вызываемых набуханием (усадкой) грунтов, допускается принимать по
табл. 18 с учетом требований
п. 3.69 настоящей главы.
5.7. К мероприятиям, направленным на снижение или полное исключение возможных величин деформаций, вызванных набуханием (усадкой) грунта, относятся:
устранение свойств набухания грунта основания в пределах всей или части толщи путем предварительного замачивания;
применение компенсирующих песчаных подушек;
полная или частичная замена слоя набухающего грунта другим ненабухающим грунтом;
прорезка фундаментами (полная или частичная) слоя набухающего грунта.
5.8. Толщина слоя грунтов основания, подвергающегося предварительному замачиванию, толщина частично заменяемого слоя набухающего грунта или глубина частичной прорезки набухающего грунта назначаются в зависимости от требуемой величины снижения деформаций от набухания.
5.9. При возведении фундаментов на предварительно замоченном основании из набухающих грунтов должно предусматриваться устройство подушек из песка, щебня или гравия либо упрочнение верхнего слоя грунта основания связующими материалами (например, известью).
5.10. Компенсирующие песчаные подушки устраиваются на кровле или в пределах слоя набухающих грунтов при давлении, передаваемом на основание, не менее 1 кгс/см2.
Для устройства подушек применяются пески любой крупности, за исключением пылеватых, уплотняемые до объемного веса скелета не менее 1,55 тс/м3.
5.11. Замена набухающего грунта производится местным ненабухающим грунтом, уплотняемым до заданной плотности. Строительство зданий в этом случае должно выполняться как на обычных ненабухающих грунтах.
6. ОСОБЕННОСТИ ПРОЕКТИРОВАНИЯ ОСНОВАНИЙ ЗДАНИЙ
И СООРУЖЕНИЙ, ВОЗВОДИМЫХ НА ВОДОНАСЫЩЕННЫХ
ЗАТОРФОВАННЫХ ГРУНТАХ
6.1. Основания, сложенные заторфованными грунтами, должны проектироваться с учетом их специфических особенностей - водонасыщенности, большой сжимаемости, медленного протекания осадок во времени, существенной изменчивости и анизотропии прочностных, деформационных и фильтрационных характеристик под воздействием нагрузки.
Грунтовые воды в заторфованных грунтах, как правило, являются сильно агрессивными по отношению к материалам фундаментов и подземных частей зданий и сооружений, что должно учитываться при выборе материалов и методов их защиты от агрессивного воздействия воды.
6.2. Деформационные и прочностные характеристики заторфованных грунтов, а также реологические процессы при изменениях напряженного состояния грунта должны устанавливаться в зависимости от различных давлений, передаваемых на образцы заторфованных грунтов при одноосном их сжатии в условиях отсутствия бокового расширения (при одометрических испытаниях).
6.3. Результаты испытаний заторфованных грунтов для учета их анизотропии должны сопровождаться указаниями о природной ориентации к вертикали оси каждого отобранного образца грунта и о направлении механического процесса испытания по отношению к этой оси.
Анизотропию заторфованных грунтов допускается не учитывать, если величины характеристик грунта для горизонтального направления отличаются не более чем на 40% от соответствующих величин характеристик для вертикального направления.
6.4. Проектирование оснований, сложенных сильнозаторфованными грунтами и торфами
(табл. 12), с непосредственным опиранием на их поверхность фундаментов не допускается независимо от толщины слоя таких грунтов и от расчетной величины деформации основания.
6.5. Если расчетная величина деформации основания, сложенного заторфованными грунтами, или его несущая способность окажутся недопустимыми для проектируемых зданий и сооружений, в проектах должны предусматриваться:
мероприятия, уменьшающие возможные деформации основания (
пп. 3.84 и 6.6 настоящей главы);
конструктивные мероприятия, приспосабливающие здание (сооружение) к восприятию ожидаемых по расчету деформаций основания (
п. 3.88 настоящей главы).
6.6. Из состава мероприятий, уменьшающих возможные деформации оснований, сложенных водонасыщенными заторфованными грунтами, должны предусматриваться:
прорезка (полная или частичная) слоя заторфованного грунта фундаментами, в том числе свайными;
частичная или полная срезка (выторфовка) заторфованного грунта с последующей планировкой площади местным (незаторфованным) грунтом или устройством песчаной или гравийной (щебеночной) подушки;
предварительное уплотнение территории, подлежащей застройке.
6.7. Основными средствами, которыми осуществляется предварительное уплотнение заторфованных грунтов, являются:
огрузка территории временной или постоянной насыпью (или массивным пригрузом) с устройством фильтрующего слоя, дренажных прорезей или скважин;
временное или постоянное водопонижение территории.
6.8. Выбор мероприятий или их сочетания производится с учетом толщины слоя и свойств заторфованного грунта, а также свойств и толщины слоев грунтов, подстилающих или покрывающих заторфованный грунт.
6.9. При проектировании огрузки должны быть установлены:
величина давления в скелете уплотняемого слоя грунта, при котором достигается требуемая для проектируемого здания или сооружения характеристика сжимаемости грунта;
время, при котором достигается необходимая характеристика уплотненного грунта.
Для определения расчетом величины давления, а также времени, при которых достигается требуемая характеристика грунта, допускается применять методы теории линейной консолидации грунта.
6.10. Плотность грунтов в песчаном огрузочном слое и в песчаных подушках, отсыпаемых на заторфованных грунтах, должна контролироваться по данным статического зондирования, руководствуясь данными
табл. 5.
Примечание. Применение динамического зондирования для контроля плотности грунта в песчаных подушках и огрузочном слое в условиях водонасыщенных заторфованных грунтов не рекомендуется.
6.11. Расчет оснований, сложенных заторфованными грунтами, по несущей способности и по деформациям должен проводиться с учетом:
скорости приложения нагрузки на поверхность заторфованного грунта;
гидродинамических сил, возникающих в процессе приложения нагрузки;
изменения напряжений в скелете грунта вследствие процесса консолидации;
анизотропии прочностных свойств заторфованного грунта.
При расчете допускается использовать методы теории линейной консолидации грунта.
7. ОСОБЕННОСТИ ПРОЕКТИРОВАНИЯ ОСНОВАНИЙ ЗДАНИЙ
И СООРУЖЕНИЙ, ВОЗВОДИМЫХ НА ИЛАХ
7.1. Основания, сложенные илами, должны проектироваться с учетом специфических особенностей этих грунтов - большой сжимаемости, медленного протекания осадок во времени, существенной изменчивости и анизотропии прочностных, деформационных, фильтрационных и реологических характеристик илов при воздействии на них нагрузок, а также значительной тиксотропности, вызывающей временное разжижение ила в период динамического на него воздействия.
7.2. Данные об илах, необходимые для проектирования оснований, должны быть получены на основе инженерно-геологических изысканий, выполненных методами, исключающими динамическое воздействие на грунт. Рекомендуется применение прессиометров, статического зондирования, приборов вращательного среза и т.п.
7.3. Величины, характеризующие зависимость от давлений деформируемости, прочности и анизотропии илов, а также реологических процессов, должны устанавливаться, как для водонасыщенных заторфованных грунтов - в соответствии с требованиями, изложенными в
пп. 6.2 и
6.3 настоящей главы.
7.4. При использовании илов в качестве оснований следует различать случаи, когда ил является:
дном водоема и подстилается глинистыми или песчаными грунтами;
слоем, заключенным между глинистыми или песчаными грунтами.
7.5. Если основание сложено илами, являющимися дном водоема, то на его поверхности должен быть создан намывом через воду песчаный слой, обеспечивающий при воздействии на ил нагрузки от веса песка и впоследствии от здания или сооружения свободный выход воды из ила и его уплотнение.
Толщина песчаного слоя должна определяться расчетом несущей способности основания, в толщу которого включается и слой намытого песка.
Напряженное состояние ила при этом расчете принимается в соответствии с состоянием уплотненности ила в момент передачи нагрузки на основание.
7.6. Если основание сложено илами, являющимися слоем, заключенным между глинистыми или песчаными грунтами, то должна быть проверена устойчивость (несущая способность) подобного многослойного основания проектируемого здания или сооружения.
Физико-механические свойства ила в этом случае следует принимать соответствующими природному напряженному состоянию грунтов.
При недостаточности несущей способности основания или недопустимости для проектируемого здания или сооружения расчетной величины деформаций должно быть предусмотрено уплотнение основания методами, аналогичными требуемым для уплотнения заторфованных грунтов (
пп. 6.7 и
6.9 настоящей главы).
7.7. В случае необходимости уменьшения чувствительности зданий и сооружений, возводимых на илах, к неравномерным деформациям основания следует предусматривать конструктивные мероприятия в соответствии с требованиями
п. 3.88 настоящей главы.
7.8. Расчет оснований по несущей способности и по деформациям должен выполняться с учетом указаний
п. 6.11 настоящей главы.
8. ОСОБЕННОСТИ ПРОЕКТИРОВАНИЯ ОСНОВАНИЙ ЗДАНИЙ
И СООРУЖЕНИЙ, ВОЗВОДИМЫХ НА ЭЛЮВИАЛЬНЫХ ГРУНТАХ
8.1. Основания, сложенные элювиальными грунтами, должны проектироваться с учетом их специфических особенностей, обусловленных тем, что эти грунты являются продуктами выветривания скальных пород, оставшимися на месте своего образования и сохранившими в той или иной степени в коре выветривания структуру и текстуру исходных пород, а также характер их залегания. Вследствие этого при проектировании необходимо учитывать, что:
элювиальные грунты могут быть очень неоднородны и в пределах строительной площадки сложены по глубине и в плане несколькими разновидностями - слабовыветрелыми и выветрелыми скальными грунтами, крупнообломочными, песчаными и глинистыми грунтами с большим различием их прочностных и деформационных характеристик;
элювиальные грунты, например крупнообломочные и сильновыветрелые скальные (рухляки), склонны к ослаблению и разрушению за время пребывания в открытых котлованах;
элювиальные супеси и пылеватые пески в случае их водонасыщения в период отрытия котлованов и устройства фундаментов могут прийти в плывунное состояние;
элювиальные пылеватые пески с коэффициентом пористости e > 0,6 и степенью влажности G < 0,7 могут обладать при замачивании просадочными свойствами.
8.2. Для наиболее полного и правильного учета особенностей элювиальных грунтов необходимо при инженерно-геологических изысканиях устанавливать вид исходной горной породы, структуру и профиль коры выветривания, ее трещиноватость, сланцеватость, слоистость, элементы падения и простирания, поверхности скольжения, величину, форму и количество крупнообломочных включений.
Отбор образцов, назначение видов и способов лабораторных и полевых исследований элювиальных грунтов должны производиться в зависимости от профиля коры выветривания и состава исходных горных пород.
8.3. При проектировании оснований, сложенных элювиальными грунтами, должны учитываться установленная опытным путем в процессе изысканий возможность и величина снижения прочности элювиальных грунтов основания за ожидаемый период их пребывания открытыми в котловане.
Для предварительной оценки возможного снижения прочности грунтов допускаются косвенные методы этой оценки по изменению в течение заданного периода времени:
объемного веса - для скальных грунтов;
удельного сопротивления пенетрации - для глинистых грунтов;
относительного весового содержания частиц размером менее 0,1 мм - для песчаного грунта и частиц размером менее 2 мм - для крупнообломочного грунта.
Примечание. Влияние атмосферного воздействия на верхние слои обнаженных элювиальных грунтов допускается определять в лабораторных условиях на специально отобранных образцах (монолитах) грунта.
8.4. Если основание сложено грунтами с большой изменчивостью их сжимаемости, при которой могут возникнуть недопустимые деформации возводимых на них зданий и сооружений, то следует предусматривать:
устройство уплотненных грунтовых распределительных подушек из песка, щебня или крупнообломочных грунтов с невыветрелыми обломками исходных горных пород;
удаление из верхней зоны сжимаемых грунтов скальных включений;
расчистку в верхней зоне основания рыхлого заполнения "карманов" и "гнезд" выветривания в скальных грунтах с последующей их заделкой щебнем или песком с уплотнением;
планировку подсыпкой неровной поверхности скальных грунтов, если применяются сборные фундаменты.
В случае недостаточности этих мероприятий следует предусматривать применение свайных фундаментов или конструктивных мероприятий в соответствии с требованиями
п. 3.88 настоящей главы.
8.5. В проекте оснований и фундаментов должна предусматриваться на период вскрытия котлованов защита элювиальных грунтов от разрушения атмосферным воздействием и водой. Для этой цели: не должны допускаться перерывы в устройстве оснований и последующем возведении фундаментов; должны применяться водозащитные мероприятия; недоборы грунта в котловане должны быть толщиной не менее 0,3 м для глинистых и пылеватых песчаных грунтов и не менее 0,1 - 0,2 м для прочих песчаных грунтов, а также крупнообломочных; взрывной способ разработки скальных грунтов должен допускаться лишь при условии применения мелкошпуровой отпалки.
8.6. Расчет оснований, сложенных элювиальными грунтами, по деформациям и несущей способности должен выполняться с учетом особенностей этих грунтов в соответствии с общими требованиями, установленными в
разделе 3 настоящей главы.
9. ОСОБЕННОСТИ ПРОЕКТИРОВАНИЯ ОСНОВАНИЙ ЗДАНИЙ
И СООРУЖЕНИЙ, ВОЗВОДИМЫХ НА ЗАСОЛЕННЫХ ГРУНТАХ
9.1. Основания, сложенные засоленными грунтами, должны проектироваться с учетом их специфических особенностей, обусловливающих:
образование при длительном замачивании грунта (и фильтрации через него воды) суффозионной осадки

, величина которой зависит от генезиса и условий залегания грунтов, зернового и минералогического состава, структуры, коэффициента пористости и природной влажности грунтов, количественного содержания и качественного состава водорастворимых солей, их дисперсности и распределения в массиве основания, химического состава фильтрующей жидкости и условий ее фильтрации, а также от действующей на основание нагрузки;
изменение в процессе выщелачивания солей физико-механических свойств грунта со снижением, как правило, его прочностных характеристик;
набухание засоленных глин в случае их замачивания;
агрессивное воздействие на материал фундаментов и подземных частей зданий и сооружений в результате замачивания засоленных грунтов и растворения содержащихся в них солей.
9.2. Основания, сложенные засоленными грунтами, должны рассчитываться в соответствии с требованиями
разд. 3 настоящей главы. Если засоленные грунты являются при этом просадочными или набухающими, то следует учитывать дополнительные требования соответственно
разд. 4 и
5 настоящей главы.
9.3. Суффозионная осадка определяется суммированием осадок отдельных слоев основания, находимых по значениям относительных величин суффозионной осадки, зависящих от свойств грунта, длительности фильтрационного замачивания и действующего давления.
Определение величины суффозионных осадок производится по указаниям
Прил. 3 к настоящей главе.
9.4. Относительная величина суффозионной осадки

определяется при инженерно-геологических изысканиях, как правило, полевыми испытаниями статической нагрузкой и для детального изучения отдельных участков строительной площадки дополнительно лабораторными методами.
При наличии исследований и опыта строительства в аналогичных геологических условиях определение относительной величины суффозионной осадки допускается выполнять только лабораторными методами.
9.5. Длительность испытания грунта для определения относительной величины суффозионной осадки должна быть не менее 5 сут при содержании солей в грунтах до значений:
в крупнообломочном грунте:
в глинистом заполнителе, если в грунте его более 30%, - 7%;
в песчаном заполнителе, если его более 40%, - 2%;
в обломках крупнообломочного грунта - 3%;
в песчаном грунте - 2%;
в глинистом грунте (непросадочном при e > 0,67) - 7%.
При

засоленности грунта для проектирования оснований зданий и сооружений I и II классов длительность испытания должна быть не менее 3 мес, а для зданий III и IV классов допускается менее 3 мес.
9.6. Полная величина деформаций оснований из засоленных грунтов должна определяться суммированием деформаций, вызванных:
уплотнением грунта;
суффозиозным явлением (суффозиозная осадка);
просадкой грунта (если он относится к просадочным);
набуханием и усадкой грунта (если он является набухающим).
9.7. При неоднородном распределении солей в грунтовой толще и возможности развития неравномерных суммарных деформаций, превышающих допустимые для проектируемого здания или сооружения, должны предусматриваться мероприятия по предотвращению замачивания основания и в случае необходимости - конструктивные мероприятия в соответствии с требованиями
п. 3.88 настоящей главы или заложение фундаментов на незасоленные грунты с прорезкой толщи засоленных грунтов.
10. ОСОБЕННОСТИ ПРОЕКТИРОВАНИЯ ОСНОВАНИЙ ЗДАНИЙ
И СООРУЖЕНИЙ, ВОЗВОДИМЫХ НА НАСЫПНЫХ ГРУНТАХ
10.1. Основания, сложенные насыпными грунтами, должны проектироваться с учетом их специфических особенностей, заключающихся в возможной значительной неоднородности по составу этих грунтов, неравномерной сжимаемости, возможности самоуплотнения от собственного веса грунтов, особенно в случаях действия вибраций от работающего оборудования, городского и промышленного транспорта, изменения гидрогеологических условий, замачивания насыпных грунтов, разложения органических включений.
Примечание. В насыпных грунтах, состоящих из шлаков и глин, необходимо учитывать возможность их набухания при замачивании водой и химическими отходами технологических производств.
10.2. Неравномерность сжимаемости насыпных грунтов, учитываемая в расчетах оснований, должна определяться по результатам полевых и лабораторных исследований, выполняемых с учетом состава и сложения насыпных грунтов, способа отсыпки, вида материала, составляющего основную часть насыпи. Модуль деформации насыпных грунтов, как правило, должен определяться на основе штамповых испытаний.
10.3. Основания, сложенные насыпными грунтами, должны рассчитываться в соответствии с требованиями
разд. 3 настоящей главы.
Полная величина определяемых расчетом деформаций основания должна подсчитываться как сумма осадок основания, вычисленных от действующих нагрузок, передаваемых фундаментами, дополнительных осадок, вызванных самоуплотнением насыпных грунтов, по причинам, указанным в
п. 10.1 настоящей главы, и осадок или просадок подстилающих грунтов от действия веса насыпи и нагрузок от фундамента.
10.4. Расчетные давления на основания, сложенные насыпными грунтами, определяются в соответствии с требованиями
пп. 3.50 -
3.53 и
3.59 настоящей главы на основе результатов инженерно-геологических изысканий и учета степени неоднородности состава и сложения этих грунтов, способа отсыпки, вида, плотности и влажности материала, составляющего основную часть насыпи, и давности отсыпки.
10.5. Расчетные давления на основания в случае применения песчаных, щебеночных (гравийных) и т.п. подушек устанавливаются исходя из задаваемых в проекте физико-механических характеристик грунтов, достигаемых соответствующим уплотнением грунтов в подушке.
10.6. Предварительные размеры фундаментов зданий и сооружений, возводимых на слежавшихся насыпных грунтах, назначаются исходя из величин условных расчетных давлений

, приведенных в
табл. 4 Прил. 4 настоящей главы.
Условными значениями

допускается пользоваться также и для назначения окончательных размеров фундаментов зданий с нагрузкой на столбчатые фундаменты до 40 тс и ленточные до 8 тс/м.
10.7. Если полученная расчетом полная величина деформации основания окажется больше допустимой или несущая способность основания меньше требуемой для обеспечения нормальной эксплуатации проектируемых зданий и сооружений, в проекте должны предусматриваться мероприятия в соответствии с требованиями
пп. 3.83 -
3.89 настоящей главы.
Основными мероприятиями при проектировании оснований, сложенных насыпными грунтами, являются:
уплотнение оснований (
п. 10.8 настоящей главы);
устройство песчаных, щебеночных (гравийных) или грунтовых подушек (
п. 10.9 настоящей главы);
конструктивные мероприятия, уменьшающие чувствительность зданий и сооружений к повышенным деформациям основания (
п. 3.88 настоящей главы);
прорезка насыпных грунтов глубокими (в том числе свайными) фундаментами.
Примечание. Если

часть расчетной величины деформации основания происходит вследствие замачивания насыпных грунтов, следует предусматривать водозащитные мероприятия.
10.8. Уплотнение оснований, сложенных насыпными грунтами, осуществляется путем:
поверхностного уплотнения тяжелыми трамбовками на глубину до 3 м при степени влажности уплотняемых грунтов G <= 0,7;
поверхностного уплотнения вибрационными машинами и виброкатками на глубину до 1,5 м, когда насыпные грунты состоят из рыхлых песков;
гидровиброуплотнения на глубину до 6 м водонасыщенных насыпных грунтов, состоящих из песков.
10.9. Устройство песчаных, щебеночных (гравийных) или грунтовых подушек производится с целью замены сильно и неравномерно сжимаемых насыпных грунтов. Толщина подушек, вид применяемого грунта, степень его уплотнения назначаются по результатам расчета оснований в соответствии с требованиями
разд. 3 настоящей главы с учетом местных условий строительства, наличия соответствующих видов грунтов, а также оборудования для устройства подушек.
Примечание. При залегании под насыпным слоем просадочных грунтов, относящихся ко II типу по просадочности, подушки устраиваются из глинистых грунтов по всей застраиваемой площади.
10.10. Проектирование оснований, сложенных насыпными грунтами с относительным содержанием растительных остатков более 0,1 (
п. 2.19 настоящей главы), следует выполнять с учетом указаний
пп. 6.1 -
6.11 настоящей главы, предусматривая срезку этого грунта и устройство подушек или прорезку его фундаментами и т.п.
11. ОСОБЕННОСТИ ПРОЕКТИРОВАНИЯ ОСНОВАНИЙ ЗДАНИЙ
И СООРУЖЕНИЙ, ВОЗВОДИМЫХ НА ПОДРАБАТЫВАЕМЫХ ТЕРРИТОРИЯХ
11.1. Основания зданий и сооружений, возводимых на подрабатываемых территориях, должны проектироваться с учетом неравномерного оседания земной поверхности, сопровождаемого горизонтальными деформациями сдвигающегося грунта, происходящими в результате производства горных работ и перемещения грунта в выработанное пространство.
Параметры деформаций земной поверхности, в том числе кривизна поверхности, ее наклоны и горизонтальные перемещения, а также вертикальные уступы должны определяться в соответствии с требованиями главы СНиП по проектированию зданий и сооружений на подрабатываемых территориях. Эти параметры, являющиеся основой для расчета оснований, фундаментов и надфундаментной части зданий и сооружений, должны учитываться при производстве инженерно-геологических изысканий и определении характеристик грунта.
11.2. Расчетные значения прочностных

и c и деформационных E характеристик грунта для определения усилий, воздействующих на фундаменты в результате деформаций земной поверхности, должны приниматься равными нормативным, полагая в
формуле (12) коэффициент безопасности по грунту

.
Расчетное значение модуля горизонтальной (боковой) деформации грунта

допускается принимать в этих расчетах равным 0,5 для глинистых грунтов и 0,65 для песчаных грунтов от расчетного значения модуля (вертикальной) деформации E грунта.
11.3. Расчетные давления на грунты основания R должны определяться по
формуле (17) в соответствии с требованиями
пп. 3.50 -
3.55 настоящей главы. При этом коэффициент условий работы здания во взаимодействии с основанием

, учитывающий влияние конструктивной жесткости зданий, должен приниматься по табл. 20, если здания или сооружения запроектированы по жесткой конструктивной схеме, имеют поэтажные пояса и ленточные фундаменты с замкнутым контуром; в остальных случаях принимается коэффициент

.
Таблица 20
┌──────────────────────┬──────────────────────────────────────────────────┐
│ Виды грунтов │ Коэффициент m для зданий и сооружений с жесткой │
│ │ 2 │
│ │ конструктивной схемой при отношении длины здания │
│ │ (сооружения) или отсека к его высоте L/H │
│ ├────────┬─────────────┬────────────────┬──────────┤
│ │L/H >= 4│4 > L/H > 2,5│2,5 >= L/H > 1,5│L/H <= 1,5│
├──────────────────────┼────────┼─────────────┼────────────────┼──────────┤
│ Крупнообломочные │ 1,4 │ 1,7 │ 2,1 │ 2,5 │
│грунты с песчаным │ │ │ │ │
│заполнителем и │ │ │ │ │
│песчаные грунты, кроме│ │ │ │ │
│мелких и пылеватых │ │ │ │ │
├──────────────────────┼────────┼─────────────┼────────────────┼──────────┤
│ Пески мелкие │ 1,3 │ 1,6 │ 1,9 │ 2,2 │
├──────────────────────┼────────┼─────────────┼────────────────┼──────────┤
│ Пески пылеватые │ 1,1 │ 1,3 │ 1,7 │ 2,0 │
├──────────────────────┼────────┼─────────────┼────────────────┼──────────┤
│ Крупнообломочные │ 1,0 │ 1,0 │ 1,1 │ 1,2 │
│грунты с глинистым │ │ │ │ │
│заполнителем │ │ │ │ │
│и глинистые грунты │ │ │ │ │
│с консистенцией │ │ │ │ │
│I <= 0,5 │ │ │ │ │
│ L │ │ │ │ │
├──────────────────────┼────────┼─────────────┼────────────────┼──────────┤
│ То же, с │ 1,0 │ 1,0 │ 1,0 │ 1,0 │
│консистенцией │ │ │ │ │
│I > 0,5 │ │ │ │ │
│ L │ │ │ │ │
└──────────────────────┴────────┴─────────────┴────────────────┴──────────┘
11.4. Краевое давление на грунт основания плитных фундаментов зданий и сооружений башенного типа (здания повышенной этажности, водонапорные башни, дымовые трубы и т.п.), а также отдельных фундаментов промышленных зданий должно рассчитываться с учетом дополнительных моментов, вызываемых деформацией земляной поверхности при подработке.
Краевое давление в этом случае не должно превышать 1,4R и в угловой точке 1,5R, а равнодействующая всех нагрузок и воздействий - выходить за пределы ядра сечения подошвы фундамента.
11.5. Расчет деформаций оснований допускается не производить в случаях, указанных в
табл. 19, а также когда несущие конструкции зданий и сооружений проектируются с учетом неравномерного оседания земной поверхности.
На площадках, сложенных просадочными грунтами, конструкции зданий и сооружений должны проектироваться с учетом возможного совместного воздействия на них деформаций от подработок и от просадок грунтов.
11.6. При проектировании оснований зданий и сооружений на подрабатываемых территориях должны предусматриваться такие конструкции фундаментов (пп. 11.7 и
11.8 настоящей главы), а также дополнительные мероприятия (
п. 11.9 настоящей главы), которыми снижается неблагоприятное влияние деформаций земной поверхности на надфундаментные конструкции.
11.7. Фундаменты зданий и сооружений, возводимых на подрабатываемых территориях, должны применяться жесткой, податливой или комбинированной конструктивных схем в зависимости от величины деформаций земной поверхности при подработке, жесткости надфундаментных конструкций, деформативности грунтов основания и пр.
Примечания: 1. К фундаментам жесткой конструктивной схемы относятся плитные, ленточные с железобетонными поясами, отдельно стоящие со связями - распорками между ними и т.п.
2. К фундаментам податливой конструктивной схемы относятся фундаменты с горизонтальными швами скольжения между отдельными элементами фундамента, обеспечивающими возможность их взаимного сдвига между собой, а также фундаменты с вертикальными элементами, шарнирно опирающимися и наклоняющимися при горизонтальных перемещениях грунта.
3. К фундаментам комбинированной конструктивной схемы относятся жесткие фундаменты, имеющие в нижней своей части швы скольжения.
4. Для каркасных зданий податливая схема фундаментов может обеспечиваться применением шарнирного опирания колонн на фундаменты.
5. Для зданий повышенной этажности и башенного типа применение наклоняющихся фундаментов не допускается.
11.8. На основаниях, сложенных грунтами с низкими значениями модуля деформации грунта (E < 100 кгс/см2), а также при возможности резкого ухудшения строительных свойств грунтов основания в результате подработки рекомендуется применять свайные или плитные фундаменты.
Если в верхней зоне основания зданий или сооружений залегают слои ограниченной толщины насыпных, заторфованных, просадочных и тому подобных грунтов, рекомендуется прорезка этих слоев фундаментами.
11.9. К составу мероприятий, снижающих (
п. 11.6 настоящей главы) неблагоприятное воздействие деформаций земной поверхности на фундаменты и конструкции зданий и сооружений, относятся:
а) уменьшение поверхности фундаментов, имеющей контакт с грунтом;
б) уменьшение глубины заложения фундаментов до пределов, допустимых по условиям деформаций и несущей способности оснований;
в) заложение фундаментов, как правило, на одном уровне;
г) засыпка грунтом пазух котлованов и выполнение фундаментных подушек из материалов, обладающих малым сцеплением и трением на контакте с поверхностью фундаментов;
д) устройство грунтовых подушек на основаниях, сложенных практически несжимаемыми грунтами;
е) размещение подвалов и технических подполий, как правило, под всей площадью отсека здания;
ж) отрывка (перед подработкой) временных компенсационных траншей по периметру здания или сооружения.
12. ОСОБЕННОСТИ ПРОЕКТИРОВАНИЯ ОСНОВАНИЙ ЗДАНИЙ
И СООРУЖЕНИЙ, ВОЗВОДИМЫХ В СЕЙСМИЧЕСКИХ РАЙОНАХ
12.1. Основания зданий и сооружений, возводимых в сейсмических районах с расчетной сейсмичностью 7, 8 и 9 баллов, должны проектироваться с учетом требований главы СНиП по проектированию зданий и сооружений в сейсмических районах.
В районах с сейсмичностью менее 7 баллов основания проектируются без учета сейсмических воздействий.
12.2. Проектирование оснований с учетом сейсмических воздействий должно выполняться на основе расчета по несущей способности на особое сочетание нагрузок, определяемых в соответствии с требованиями главы СНиП по нагрузкам и воздействиям, а также главы СНиП по проектированию зданий и сооружений в сейсмических районах.
Предварительные размеры фундаментов допускается определять расчетом основания по деформациям согласно требованиям
разд. 3 настоящей главы на основное сочетание нагрузок (без учета сейсмических воздействий).
12.3. Расчет оснований по несущей способности выполняется на действие, как правило, только вертикальной составляющей от нагрузки, передаваемой фундаментом, исходя из условия

, (35)
где

- вертикальная составляющая от нагрузки;

- несущая способность основания;

- коэффициент надежности, принимаемый равным не менее 1,5;

- сейсмический коэффициент условий работы, принимаемый равным:
для скальных, крупнообломочных и песчаных (кроме рыхлых) маловлажных грунтов, а также глинистых грунтов с консистенцией

,

;
для песков рыхлых, насыщенных водой, и глинистых грунтов с консистенцией

,

;
для остальных грунтов

.
Горизонтальная составляющая нагрузки учитывается лишь при проверках устойчивости зданий на опрокидывание и сдвиг по подошве фундамента.
12.4. При действии нагрузок, создающих моменты сил в обоих направлениях подошвы фундамента, несущая способность основания

должна определяться раздельно на действие сил и моментов в каждом направлении независимо друг от друга.
12.5. При расчете оснований и фундаментов на особое сочетание нагрузок с учетом сейсмических воздействий допускается неполное опирание подошвы фундамента на грунт (частичный отрыв) при выполнении следующих условий:
а) эксцентриситет

расчетной нагрузки не превышает одной трети ширины фундамента в плоскости опрокидывающего момента

; (36)
б) несущая способность основания определяется при условной ширине фундамента

, равной ширине зоны сжатия под подошвой фундамента

:

; (37)
в) максимальное расчетное напряжение под подошвой фундамента, вычисленное с учетом его неполного опирания на грунт, не превышает краевой ординаты эпюры предельного давления.
12.6. Глубина заложения фундаментов в грунтах, относимых по их сейсмическим свойствам (главой СНиП по проектированию зданий и сооружений в сейсмических районах) к I и II категории, принимается, как правило, такой же, как и для фундаментов в несейсмических районах.
Для зданий высотой более 5 этажей рекомендуется глубину заложения их фундаментов увеличивать путем устройства подвальных этажей.
Подвальные этажи должны располагаться под всем зданием или под его отдельными отсеками симметрично относительно осей здания или отсека.
Переход от подвальной части здания к бесподвальной должен предусматриваться уступами в соответствии с указаниями п. 12.7 настоящей главы.
12.7. Фундаменты здания или его отсека в нескальных грунтах, как правило, должны закладываться на одном уровне.
В случае заложения ленточных фундаментов смежных отсеков на разных отметках переход от более заглубленной части к менее заглубленной должен выполняться уступами. Уступы должны быть не круче 1:2, а высота уступа - не более 60 см. Ленточные фундаменты примыкающих частей отсеков должны иметь одинаковое заглубление на протяжении не менее 1 м от шва.
При необходимости заложения соседних столбчатых фундаментов на разных уровнях должно быть выполнено условие

, (38)
где

- разность отметок заложения фундаментов;
a - расстояние в плане от ближнего края дна котлована более заглубленного фундамента до края подошвы фундамента с меньшей глубиной заложения;

- расчетное значение угла внутреннего трения грунта;

- расчетное уменьшение

, принимаемое равным при сейсмичности 7 баллов - 2°, 8 баллов - 4° и 9 баллов - 7°;

- расчетное значение удельного сцепления грунта;

- среднее давление под подошвой вышерасположенного фундамента при особом сочетании нагрузок.
Столбчатые фундаменты, разделенные осадочным швом, должны располагаться на одном уровне.
13. ОСОБЕННОСТИ ПРОЕКТИРОВАНИЯ ОСНОВАНИЙ ОПОР
ВОЗДУШНЫХ ЛИНИЙ ЭЛЕКТРОПЕРЕДАЧИ
13.1. Требования настоящего раздела норм должны соблюдаться при проектировании оснований опор воздушных линий электропередачи и опор открытых распределительных устройств подстанций напряжением от 1 кВ и выше.
Примечание. Массовые опоры и фундаменты обычной конструкции, применяемые на воздушных линиях электропередачи и открытых распределительных устройств подстанций, называются нормальными. По характеру нагружения опоры подразделяются на промежуточные, анкерные и угловые. Опоры и фундаменты особой конструкции, применяемые в единичных случаях, а также на специальных переходах, называются специальными. Различаются следующие режимы работы линий электропередачи: нормальный, аварийный, монтажный.
13.2. Характеристики грунтов, учитываемые в расчетах оснований опор воздушных линий электропередачи и опор открытых распределительных устройств, должны, как правило, приниматься по результатам исследований грунтов.
Основания нормальных опор (с фундаментами на естественном основании) допускается рассчитывать с использованием нормативных значений характеристик грунтов, приведенных в
Прил. 2. В этом случае коэффициент безопасности

для определения расчетных значений характеристик грунта, в том числе и объемного веса, принимается в расчетах оснований по деформациям, равным

, и в расчетах несущей способности - по
табл. 21.
Примечания: 1. Значения характеристик

,

, E, приведенные в таблицах
Прил. 2 для глинистых грунтов с консистенцией

в пределах 0,5 - 0,75, допускается принимать и для грунтов с консистенцией в пределах 0,5 - 1.
2. В случае применения иных статистически обоснованных таблиц характеристик грунта, разработанных в соответствии с требованиями
п. 3.16 настоящих норм, значения коэффициента

должны устанавливаться на основе специальных исследований.
┌─────────────────────────────────────┬───────────────────────────────────┐
│ Виды грунтов │ Коэффициент k для определения │
│ │ г │
│ │ расчетных значений характеристик │
│ │ грунта при расчете оснований по │
│ │ несущей способности │
│ ├───────────┬───────────┬───────────┤
│ │ объемного │ угла │ удельного │
│ │веса гамма │внутреннего│сцепления c│
│ │ │ трения фи │ │
├─────────────────────────────────────┼───────────┼───────────┼───────────┤
│ Песчаные грунты │ 1,0 │ 1,1 │ 4,0 │
│ Супеси при консистенции I <= 0,25, │ 1,0 │ 1,1 │ 2,4 │
│ L │ │ │ │
│суглинки и глины при I <= 0,5 │ │ │ │
│ L │ │ │ │
│ Супеси при консистенции I > 0,25, │ 1,0 │ 1,1 │ 3,3 │
│ L │ │ │ │
│суглинки и глины при I > 0,5 │ │ │ │
│ L │ │ │ │
└─────────────────────────────────────┴───────────┴───────────┴───────────┘
13.3. Нормативное значение объемного веса грунта обратной засыпки

при расчете оснований опор, воспринимающих выдергивающие нагрузки, допускается принимать по табл. 22.
Таблица 22
┌─────────────────────────────────────────┬───────────────────────────────┐
│ Способ уплотнения грунтов обратной │Нормативное значение объемного │
│ засыпки │ веса грунта обратной засыпки │
│ │ н │
│ │ гамма , тс/м3 │
│ │ з │
│ ├───────────────┬───────────────┤
│ │ природной │ с учетом │
│ │ влажности │ взвешивающего │
│ │ │ действия воды │
├─────────────────────────────────────────┼───────────────┼───────────────┤
│1. Механическими трамбовками │ 1,7 │ 1,1 │
│ │ │ --- │
│ │ │ 0,9 │
│ │ │ │
│2. Ручной │ 1,7 │ 1,0 │
│ │ │ --- │
│ │ │ 0,8 │
│ │
│ Примечание. В числителе приведены значения объемного веса глинистых│
│грунтов, в знаменателе - песчаных. │
└─────────────────────────────────────────────────────────────────────────┘
13.4. Основания опор, сложенные пучинистыми грунтами, должны проверяться расчетом на одновременное действие сил морозного пучения (согласно
Прил. 6 настоящей главы), постоянных и длительных временных нагрузок. Расчет оснований опор на одновременное действие сил морозного пучения и кратковременных нагрузок (ветровых и от обрыва проводов) не требуется.
13.5. Расчет оснований опор по деформациям и несущей способности должен проводиться для всех режимов работы опор. При этом динамическое воздействие порывов ветра на конструкцию опоры учитывается лишь при расчете оснований опор по несущей способности.
13.6. Требования расчета оснований опор выдергиваемых фундаментов по деформациям считаются удовлетворенными (т.е. расчет по деформациям может не проводиться), если при выдергивании осесимметричной силой соблюдаются условия:
для грибовидных фундаментов

; (39)
для анкерных плит

, (40)
где

- нормативная выдергивающая сила, передаваемая на фундамент, кгс;
m - коэффициент условий работы, принимаемый по указаниям
п. 13.7 настоящей главы;
R - расчетное давление, кгс/см2, на грунт обратной засыпки фундамента в нормальном режиме работы, принимаемое по
табл. 23;

- проекции площади верхней поверхности фундамента на плоскость, перпендикулярную линии действия вырывающей силы, см2;

- вес фундамента или анкерной плиты, кгс;

- угол наклона линии действия вырывающей силы к вертикали.
┌──────────────────────────────┬─────────────┬────────────────────────────┐
│ Вид опор │Относительное│Расчетные давления на грунт │
│ │ заглубление │ обратной засыпки в │
│ │ фундаментов │нормальном режиме работы R, │
│ │ опор h/b │ кгс/см2, для грунтов │
│ │ ├─────────────┬──────────────┤
│ │ │глинистых при│песков средней│
│ │ │консистенции │ крупности │
│ │ │ I <= 0,5 │ и мелких │
│ │ │ L │ маловлажных │
│ │ │ │ и влажных │
│ │ ├─────────────┴──────────────┤
│ │ │ При объемном весе грунта │
│ │ │ н │
│ │ │ засыпки гамма , тс/м3 │
│ │ │ з │
│ │ ├──────┬──────┬─────┬────────┤
│ │ │ 1,55 │ 1,70 │1,55 │ 1,70 │
├──────────────────────────────┼─────────────┼──────┼──────┼─────┼────────┤
│ 1. Нормальные промежуточные │ 0,8 │ 0,32 │ 0,36 │0,32 │ 0,40 │
│прямые │ │ ---- │ ---- │---- │ ---- │
│ │ │ 0,36 │ 0,40 │0,40 │ 0,48 │
│ │ │ │ │ │ │
│ │ 1,0 │ 0,40 │ 0,45 │0,40 │ 0,50 │
│ │ │ ---- │ ---- │---- │ ---- │
│ │ │ 0,45 │ 0,50 │0,50 │ 0,60 │
│ │ │ │ │ │ │
│ │ 1,5 │ 0,50 │ 0,60 │0,50 │ 0,60 │
│ │ │ ---- │ ---- │---- │ ---- │
│ │ │ 0,55 │ 0,65 │0,60 │ 0,75 │
│ │ │ │ │ │ │
│ │ 2,0 │ 0,60 │ 0,85 │0,70 │ 0,85 │
│ │ │ ---- │ ---- │---- │ ---- │
│ │ │ 0,70 │ 1,05 │0,80 │ 1,05 │
│ │ │ │ │ │ │
│ │ 2,5 │ - │ 1,00 │ - │ 1,00 │
│ │ │ │ ---- │ │ ---- │
│ │ │ │ 1,20 │ │ 1,20 │
├──────────────────────────────┼─────────────┼──────┼──────┼─────┼────────┤
│ 2. Нормальные анкерные │ 0,8 │ 0,24 │ 0,32 │0,28 │ 0,36 │
│и анкерно-угловые с разностью │ │ ---- │ ---- │---- │ ---- │
│и без разности тяжений, │ │ 0,28 │ 0,36 │0,32 │ 0,40 │
│промежуточные, угловые, │ │ │ │ │ │
│концевые, порталы открытых │ 1,0 │ 0,30 │ 0,40 │0,35 │ 0,45 │
│распределительных устройств │ │ ---- │ ---- │---- │ ---- │
│ │ │ 0,35 │ 0,45 │0,40 │ 0,50 │
│ │ │ │ │ │ │
│ │ 1,5 │ 0,40 │ 0,50 │0,45 │ 0,55 │
│ │ │ ---- │ ---- │---- │ ---- │
│ │ │ 0,45 │ 0,55 │0,50 │ 0,60 │
│ │ │ │ │ │ │
│ │ 2,0 │ 0,50 │ 0,65 │0,55 │ 0,65 │
│ │ │ ---- │ ---- │---- │ ---- │
│ │ │ 0,55 │ 0,70 │0,60 │ 0,70 │
│ │ │ │ │ │ │
│ │ 2,5 │ - │ 0,75 │ - │ 0,75 │
│ │ │ │ ---- │ │ ---- │
│ │ │ │ 0,80 │ │ 0,80 │
├──────────────────────────────┼─────────────┼──────┼──────┼─────┼────────┤
│3. Специальные │ 0,8 │ - │ 0,28 │ - │ 0,28 │
│ │ 1,0 │ - │ 0,35 │ - │ 0,35 │
│ │ 1,5 │ - │ 0,45 │ - │ 0,45 │
│ │ 2,0 │ - │ 0,55 │ - │ 0,55 │
│ │
│ Примечания: 1. В числителе приведены значения R для грибовидных│
│фундаментов, а также для анкерных плит опор с оттяжками, стойки которых│
│защемлены в грунте; в знаменателе - для анкерных плит при стойках опор,│
│шарнирно опертых на фундаменты. │
│ 2. При промежуточных значениях относительного заглубления h/b│
│значения R определяются интерполяцией. │
└─────────────────────────────────────────────────────────────────────────┘
13.7. Коэффициент условий работы m в
формулах (39) и
(40) принимается равным:

, где коэффициент

:
для глин и суглинков при консистенции

;
для супесей при консистенции

;
коэффициент

для опор с базой:
5 м

;
2,5 м

;
1,5 м

;
коэффициент

для режима работы:
нормального

;
аварийного

.
Примечания: 1. За размер базы принимается расстояние между осями отдельных фундаментов опоры.
2. При промежуточных значениях базы величину коэффициента

следует определять интерполяцией.
13.8. Расчетное давление на грунты основания под подошвой сжато-опрокидываемых фундаментов не должно превышать значений, определяемых по
формуле (17) при коэффициенте

.
Наибольшее давление на грунт под краем подошвы фундамента при действии вертикальной сжимающей и двух горизонтальных нагрузок, ориентированных по сторонам подошвы, не должно превышать 1,2R для каждой отдельной горизонтальной нагрузки, учитываемой совместно с вертикальной.
13.9. Предельные величины осадок отдельных блоков фундаментов и крена при их загружении сжимающими осесимметричными и внецентренными нагрузками не должны превышать значений, приведенных в табл. 24.
Таблица 24
┌────────────────────────────────────────┬────────────────────────────────┐
│ Вид опор │ Предельные деформации │
│ │ оснований опор │
│ ├───────────┬──────────┬─────────┤
│ │ осадки │ крен │ средняя │
│ │ отдельных │отдельного│ осадка, │
│ │ блоков │фундамента│ см │
│ │фундамента,│ │ │
│ │ см │ │ │
├────────────────────────────────────────┼───────────┼──────────┼─────────┤
│ 1. Нормальные промежуточные прямые │ 0,003B │ 0,003 │Не норми-│
│ │ │ │руется │
│ 2. Нормальные анкерные │ 0,0025B │ 0,0025 │ То же │
│и анкерно-угловые с разностью │ │ │ │
│и без разности тяжений, промежуточные, │ │ │ │
│угловые, концевые, порталы открытых │ │ │ │
│распределительных устройств │ │ │ │
│ 3. Специальные переходные │ 0,002B │ 0,002 │ 20 │
│ │
│ Примечание. B - расстояние между осями блоков фундаментов│
│в направлении действия горизонтальных нагрузок. В опорах с оттяжками│
│за величину B принимается расстояние между осями сжатого фундамента│
│и анкера, работающего на вырывание. │
└─────────────────────────────────────────────────────────────────────────┘
13.10. Расчет оснований опор по несущей способности производится:
грибовидных фундаментов при действии вертикальной выдергивающей силы по формуле

; (41)
анкерных плит при действии выдергивающей силы, направленной под углом

к вертикали, по формуле

, (42)
где

- расчетная выдергивающая сила, передаваемая на фундамент или анкерную плиту;

- коэффициент надежности, принимаемый по
табл. 25;

- вес грунта засыпки (объемного веса

) в объеме обелиска V, образуемого при выпирании грунта, за вычетом веса части фундамента, расположенной в грунте; объем обелиска выпирания V определяется плоскостями, проходящими через верхние обрезы плиты фундамента и наклоненными к вертикали под углом

, принимаемым по указаниям
п. 13.11 настоящей главы;

- площадь боковой поверхности грани обелиска выпирания;

- расчетный параметр грунта засыпки, принимаемый по
п. 13.11 настоящей главы;

- вес анкерной плиты и фундамента;

- несущая способность основания анкерной плиты, определяемая по указаниям
п. 13.11 настоящей главы.
Примечание. При наличии грунтовых вод вес фундамента и грунта, находящихся ниже уровня грунтовых вод, определяется с учетом взвешивающего действия воды.
┌───────────────────────────────────────────────────────────┬─────────────┐
│ Вид опор │ Коэффициент │
│ │надежности k │
│ │ н│
├───────────────────────────────────────────────────────────┼─────────────┤
│ Нормальные промежуточные прямые │ 1,0 │
│ Нормальные прямые анкерные без разности тяжений │ 1,2 │
│ Нормальные анкерно-угловые, промежуточные, угловые, │ 1,3 │
│концевые, анкерные с разностью тяжений и порталы открытых │ │
│распределительных устройств │ │
│ Специальные переходные │ 1,7 │
└───────────────────────────────────────────────────────────┴─────────────┘
13.11. Несущая способность

оснований анкерных плит в
формуле (42) при действии выдергивающей силы, направленной под углом

к вертикали, определяется образованием в грунте обелиска выпирания, грани которого наклонены к горизонту под углами

, равными:
у нижней кромки плиты

; (43)
у верхней кромки плиты

; (44)
у боковых кромок плиты

. (45)
Несущая способность основания анкерной плиты

вычисляется по формуле

, (46)
где

- объемный вес грунта засыпки, определяемый по указаниям
пп. 13.2 и
13.3 настоящей главы;
V - объем обелиска выпирания, определяемый по указаниям
п. 13.10 настоящей главы;

и

- расчетные параметры грунта засыпки, определяемые по формулам:

,

, (47)

- коэффициент, приведенный в табл. 26;

и

- расчетные значения соответственно угла внутреннего трения грунта и удельного сцепления, определяемые согласно требованиям
п. 13.2 для случая расчетов несущей способности основания.
Таблица 26
┌────────────────────────────────────────────┬────────────────────────────┐
│ Вид грунта засыпки │Коэффициент эта при объемном│
│ │ весе грунта засыпки, тс/м3 │
│ ├──────────────┬─────────────┤
│ │ 1,55 │ 1,7 │
├────────────────────────────────────────────┼──────────────┼─────────────┤
│ Пески, кроме пылеватых влажных и насыщенных│ 0,5 │ 0,8 │
│водой │ │ │
│ Глинистые грунты при консистенции I <= 0,5│ 0,4 │ 0,6 │
│ L │ │ │
│ │
│ Примечание. Величина коэффициента эта для пылеватых песков влажных,│
│глин и суглинков при консистенции 0,5 < I <= 0,75 и супесей│
│ L │
│при 0,5 < I <= 1 должна быть понижена на 15%. │
│ L │
└─────────────────────────────────────────────────────────────────────────┘
14. ОСОБЕННОСТИ ПРОЕКТИРОВАНИЯ ОСНОВАНИЙ ФУНДАМЕНТОВ МОСТОВ
И ВОДОПРОПУСКНЫХ ТРУБ
14.1. Основания фундаментов мостов и водопропускных труб железных и автомобильных дорог, в том числе путепроводов и виадуков, должны проектироваться с учетом особенностей, обусловленных специфичностью конструкций этих сооружений и действующих на них нагрузок, условий эксплуатации (требующих повышенной надежности работы этих сооружений), а также с учетом геологических, гидрогеологических и гидрологических условий для мостов, возводимых в руслах и поймах водотоков, действующих постоянно или сезонно.
14.2. Глубина заложения фундаментов мостовых опор фундаментов или грунтовых подушек водопропускных труб должна назначаться исходя из общих требований, изложенных в
пп. 3.27 -
3.35 настоящей главы, а также следующих дополнительных указаний.
Если возможен размыв грунта дна водотока, фундаменты мостовых опор должны быть заглублены не менее чем на 2,5 м, считая от наинизшей отметки дна водотока после его размыва расчетным паводком.
При отсутствии возможности размыва грунта водотоком фундаменты мостовых опор во всех грунтах, кроме скальных, должны быть заглублены от поверхности грунта или дна водотока не менее чем на 1 м.
В скальные грунты фундаменты следует заглублять до отметки, определяемой по расчету с учетом степени выветрелости и механических свойств этих грунтов, но не менее 0,5 м для опор, заделываемых в скальный грунт, и не менее 0,1 м для фундаментов, опираемых на невыветрелую прочную скалу.
Примечание. Величина размыва для водотока должна определяться по указаниям нормативных документов по проектированию мостов и водопропускных труб железных и автомобильных дорог, утвержденных Госстроем СССР или согласованных с ним.
14.3. В случаях когда в соответствии с требованиями
табл. 15 глубина заложения фундаментов должна быть не менее расчетной глубины промерзания, заложение фундаментов мостов и фундаментов или грунтовых подушек водопропускных труб должно превышать расчетную глубину промерзания грунтов не менее чем на 0,25 м. При этом за расчетную глубину промерзания должна приниматься нормативная ее глубина.
Примечание. Требование об учете глубины промерзания при проектировании фундаментов и грунтовых подушек под водопропускные трубы относится к оголовкам и крайним звеньям труб, а также к средним звеньям, если наибольший поперечник их отверстия превышает 2 м. При меньшем поперечнике средних звеньев труб глубину их заложения надлежит назначать без учета глубины промерзания грунта.
14.4. Доверительная вероятность

расчетных значений прочностных характеристик грунта, определяемых в соответствии с требованиями
пп. 3.10 -
3.16 настоящей главы, должна приниматься для грунтов оснований мостов и водопропускных труб равной:
для расчетов оснований по несущей способности - 0,98;
для расчетов по деформациям - 0,9.
14.5. Основания фундаментов мостов и водопропускных труб должны рассчитываться по несущей способности и по деформациям.
14.6. Расчет оснований мостов и водопропускных труб по несущей способности производится в соответствии с требованиями
п. 3.73 настоящей главы, причем величину несущей способности

допускается принимать по эмпирически обоснованным таблицам в зависимости от физических характеристик грунта.
14.7. Расчет оснований мостов и водопропускных труб по деформациям должен включать расчет осадок и кренов фундаментов, а также проверку положения равнодействующей силы в уровне подошвы фундаментов.
14.8. Осадки и крены малых и средних мостов внешне статистически определимых систем допускается не рассчитывать. Отнесение мостов к малым, средним и большим должно производиться по главе СНиП по проектированию мостов и труб.
14.9. Расчет по деформациям оснований фундаментов мостов внешне статически неопределимых систем должен производиться с учетом взаимодействия оснований, фундаментов и верхних конструкций мостов.
14.10. Расчет осадок фундаментов вне зависимости от их размеров, в том числе шириной более 10 м, допускается выполнять по методу послойного суммирования, а при наличии в пределах нижней части сжимаемой толщи основания грунта с модулем деформации более 1000 кгс/см2 - по расчетной схеме (модели) упругого слоя конечной толщины.
14.11. Водопропускные трубы под насыпями следует укладывать на фундаменты или на грунтовые, надлежаще уплотненные подушки. При этом фундаменты обязательны для звеньев и оголовков труб незамкнутого сечения и рекомендуются для оголовков труб любой конструкции.
В случае заложения оголовков труб на грунтовые подушки должны предусматриваться противофильтрационные экраны.
14.12. Основанию труб (в целях сохранения в процессе эксплуатации необходимого уклона для стока воды по трубам и предупреждения их подтопления снизу) должен придаваться строительный подъем, определяемый на основе расчета осадок основания отдельных звеньев труб и оголовков, выполняемый с учетом их взаимного влияния и переменной высоты вышележащей насыпи.
ВЫЧИСЛЕНИЯ НОРМАТИВНЫХ И РАСЧЕТНЫХ ЗНАЧЕНИЙ
ХАРАКТЕРИСТИК ГРУНТОВ
Общие положения
1. Настоящие правила должны соблюдаться при вычислении нормативных и расчетных значений характеристик грунтов, слагающих площадку строительства в целом (жилой микрорайон, площадка промышленного предприятия, животноводческого комплекса), или ее отдельные участки, либо площадки отдельных строящихся или реконструируемых объектов (жилой дом, цех и т.п.).
2. Нормативные и расчетные значения характеристик грунтов вычисляются по результатам непосредственных определений, а для прочностных и деформационных характеристик - как по результатам непосредственных определений, так и по физическим характеристикам с использованием таблиц, согласно указаниям
п. 3.16 настоящей главы. При этом частные значения характеристик, используемые для вычисления нормативных и расчетных значений, должны быть получены единым методом.
3. Нормативные и расчетные значения характеристик грунтов должны вычисляться для каждого выделенного на площадке инженерно-геологического элемента.
Примечание. Наименования видов, состояний и характеристик грунтов в геологическом элементе должны приниматься по номенклатуре грунтов, приведенной в
разд. 2 настоящей главы, и устанавливаться на основе определенных испытаниями нормативных значений соответствующих характеристик грунтов.
Вычисление нормативных и расчетных значений характеристик
грунтов по результатам непосредственных определений
4. Нормативное значение

характеристики грунта по результатам непосредственных определений, выполняемых в лабораторных или полевых условиях, вычисляется по формуле

, (1)
где

- частное значение характеристики;
n - число определений характеристики.
5. Обработка результатов лабораторных испытаний грунтов на срез с целью определения нормативных значений удельного сцепления

и угла внутреннего трения

производится путем вычисления методом наименьших квадратов прямолинейной зависимости (2) для всей совокупности опытных величин

в инженерно-геологическом элементе

, (2)
где

- сопротивление образца грунта срезу;
p - нормальное удельное давление, передаваемое на образец грунта.
Нормативные значения

и

вычисляются по формулам

; (3)

, (4)
где

; (5)
n - число определений величин

.
6. Коэффициент безопасности по грунту

(
пп. 3.13 и
3.14 настоящей главы) при определении расчетных значений удельного сцепления c, угла внутреннего трения

, временного сопротивления одноосному сжатию

и объемного веса грунта

вычисляется по формуле

, (6)
где

- показатель точности оценки среднего значения характеристики грунта, устанавливаемый по указаниям п. 7.
Примечание. В формуле (6) знак перед величиной

выбирается тот, который обеспечивает

надежность данного расчета основания или фундамента.
7. Показатель точности оценки среднего значения характеристики грунта

вычисляется по формулам
для

; (7)
для

, (8)
где

- коэффициент, принимаемый по
табл. 1 настоящего приложения в зависимости от заданной доверительной вероятности

(
п. 3.15 настоящей главы) и числа степеней свободы (n - 1) при вычислении расчетных значений

и

и (n - 2) при вычислении расчетных значений c и

;
v - коэффициент вариации характеристики, вычисляемый по формуле

, (9)
где

- среднее квадратическое отклонение характеристики, вычисляемое по указаниям
п. 8.
Примечание. При вычислении расчетных значений

и c за n принимается общее число определений
(п. 11).
Таблица 1
Коэффициент

для определения показателя точности оценки
среднего значения характеристики грунта
┌───────────────────────┬─────────────────────────────────────────────────┐
│Число степеней свободы │ Коэффициент t при односторонней │
│(n - 1) для R и гамма │ альфа │
│ с │ доверительной вероятности альфа, равной │
│ (n - 2) для c и фи ├─────────┬─────────┬─────────┬─────────┬─────────┤
│ │ 0,85 │ 0,90 │ 0,95 │ 0,98 │ 0,99 │
├───────────────────────┼─────────┼─────────┼─────────┼─────────┼─────────┤
│ 2 │ 1,34 │ 1,89 │ 2,92 │ 4,87 │ 6,96 │
│ 3 │ 1,25 │ 1,64 │ 2,35 │ 3,45 │ 4,54 │
│ 4 │ 1,19 │ 1,53 │ 2,13 │ 3,02 │ 3,75 │
│ 5 │ 1,16 │ 1,48 │ 2,01 │ 2,74 │ 3,36 │
├───────────────────────┼─────────┼─────────┼─────────┼─────────┼─────────┤
│ 6 │ 1,13 │ 1,44 │ 1,94 │ 2,63 │ 3,14 │
│ 7 │ 1,12 │ 1,41 │ 1,90 │ 2,54 │ 3,00 │
│ 8 │ 1,11 │ 1,40 │ 1,86 │ 2,49 │ 2,90 │
│ 9 │ 1,10 │ 1,38 │ 1,83 │ 2,44 │ 2,82 │
│ 10 │ 1,10 │ 1,37 │ 1,81 │ 2,40 │ 2,76 │
├───────────────────────┼─────────┼─────────┼─────────┼─────────┼─────────┤
│ 11 │ 1,09 │ 1,36 │ 1,80 │ 2,36 │ 2,72 │
│ 12 │ 1,08 │ 1,36 │ 1,78 │ 2,33 │ 2,68 │
│ 13 │ 1,08 │ 1,35 │ 1,77 │ 2,30 │ 2,65 │
│ 14 │ 1,08 │ 1,34 │ 1,76 │ 2,28 │ 2,62 │
│ 15 │ 1,07 │ 1,34 │ 1,75 │ 2,27 │ 2,60 │
├───────────────────────┼─────────┼─────────┼─────────┼─────────┼─────────┤
│ 16 │ 1,07 │ 1,34 │ 1,75 │ 2,26 │ 2,58 │
│ 17 │ 1,07 │ 1,33 │ 1,74 │ 2,25 │ 2,57 │
│ 18 │ 1,07 │ 1,33 │ 1,73 │ 2,24 │ 2,55 │
│ 19 │ 1,07 │ 1,33 │ 1,73 │ 2,23 │ 2,54 │
│ 20 │ 1,06 │ 1,32 │ 1,72 │ 2,22 │ 2,53 │
├───────────────────────┼─────────┼─────────┼─────────┼─────────┼─────────┤
│ 25 │ 1,06 │ 1,32 │ 1,71 │ 2,19 │ 2,49 │
│ 30 │ 1,05 │ 1,31 │ 1,70 │ 2,17 │ 2,46 │
│ 40 │ 1,05 │ 1,30 │ 1,68 │ 2,14 │ 2,42 │
│ 60 │ 1,05 │ 1,30 │ 1,67 │ 2,12 │ 2,39 │
└───────────────────────┴─────────┴─────────┴─────────┴─────────┴─────────┘
8. Среднее квадратическое отклонение

вычисляется по формулам:
а) для c и


; (10)

, (11)
где

; (12)
б) для


; (13)
в) для


. (14)
Вычисление нормативных и расчетных значений прочностных
и деформационных характеристик грунтов по результатам
определения их физических характеристик
9. Нормативные и расчетные значения прочностных и деформационных характеристик грунтов допускается определять по физическим характеристикам с использованием таблиц, составленных путем статистической обработки большого числа испытаний грунтов (
п. 3.16 настоящей главы). Физические характеристики, необходимые для пользования таблицами (например, коэффициент пористости e, показатель консистенции

и др.), должны быть получены на основе непосредственных определений.
10. Для установления нормативных и расчетных значений прочностных и деформационных характеристик грунтов используется нормативное значение физических характеристик, вычисляемое по
формуле (1).
Количество определений характеристик грунтов
11. Количество частных определений n для вычисления нормативных и расчетных значений характеристик грунтов зависит в общем случае от степени неоднородности грунтов основания, требуемой точности вычисления характеристики и вида здания (сооружения) и устанавливается программой исследований.
Минимальное количество одноименных частных определений должно составлять для каждого выделенного инженерно-геологического элемента 6. При этом для вычисления нормативных и расчетных значений c и

должно быть определено не менее шести величин

для каждого значения нормального давления p.
Минимальное количество частных определений для вычисления нормативного значения модуля деформации E, определяемого по результатам испытаний грунта штампом в полевых условиях статической нагрузкой, должно составлять 3. Допускается ограничиться двумя значениями E, если эти значения отклоняются от среднего не более чем на 25%.
Примечание. Количество частных определений характеристик грунтов допускается уменьшить при наличии одноименных определений в материалах предыдущих изысканий, выполненных на той же площадке для того же инженерно-геологического элемента.
ТАБЛИЦЫ НОРМАТИВНЫХ ЗНАЧЕНИЙ ПРОЧНОСТНЫХ И ДЕФОРМАЦИОННЫХ
ХАРАКТЕРИСТИК ГРУНТОВ
1. Характеристики грунтов, приведенные в табл. 1 -
3 настоящего приложения, допускается использовать в расчетах по деформациям оснований зданий и сооружений, указанных в
примеч. 1 к п. 3.16 настоящей главы при коэффициенте безопасности

, а также для расчетов оснований опор воздушных линий электропередачи и опор открытых распределительных устройств по
п. 13.2 настоящей главы.
Таблица 1
Нормативные значения удельных сцеплений

,
кгс/см2, углов внутреннего трения

, град? и модулей
деформации E, кгс/см2, песчаных грунтов
(независимо от происхождения, возраста и влажности)
┌───────────────────────────────┬─────────────┬───────────────────────────┐
│ Виды песчаных грунтов │ Обозначение │Характеристики грунтов при │
│ │характеристик│коэффициенте пористости e, │
│ │ грунтов │ равном │
│ │ ├──────┬──────┬──────┬──────┤
│ │ │ 0,45 │ 0,55 │ 0,65 │ 0,75 │
├───────────────────────────────┼─────────────┼──────┼──────┼──────┼──────┤
│Пески гравелистые и крупные │ н │ │ │ │ │
│ │ c │ 0,02 │ 0,01 │ - │ - │
│ │ н │ │ │ │ │
│ │ фи │ 43 │ 40 │ 38 │ - │
│ │ E │ 500 │ 400 │ 300 │ - │
├───────────────────────────────┼─────────────┼──────┼──────┼──────┼──────┤
│Пески средней крупности │ н │ │ │ │ │
│ │ c │ 0,03 │ 0,02 │ 0,01 │ - │
│ │ н │ │ │ │ │
│ │ фи │ 40 │ 38 │ 35 │ - │
│ │ E │ 500 │ 400 │ 300 │ - │
├───────────────────────────────┼─────────────┼──────┼──────┼──────┼──────┤
│Пески мелкие │ н │ │ │ │ │
│ │ c │ 0,06 │ 0,04 │ 0,02 │ - │
│ │ н │ │ │ │ │
│ │ фи │ 38 │ 36 │ 32 │ 28 │
│ │ E │ 480 │ 380 │ 280 │ 180 │
├───────────────────────────────┼─────────────┼──────┼──────┼──────┼──────┤
│Пески пылеватые │ н │ │ │ │ │
│ │ c │ 0,08 │ 0,06 │ 0,04 │ 0,02 │
│ │ н │ │ │ │ │
│ │ фи │ 36 │ 34 │ 30 │ 26 │
│ │ E │ 390 │ 230 │ 180 │ 110 │
└───────────────────────────────┴─────────────┴──────┴──────┴──────┴──────┘
Таблица 2
Нормативные значения удельных сцеплений

, кгс/см2,
и углов внутреннего трения

, град, глинистых грунтов
четвертичных отложений
┌───────────────────────────┬──────────┬──────────────────────────────────┐
│ Виды глинистых грунтов │Обозна- │ Характеристики грунтов при │
│ и пределы нормативных │чения │коэффициенте пористости e, равном │
│ значений их консистенции │характе- ├────┬────┬────┬────┬────┬────┬────┤
│ │ристик │0,45│0,55│0,65│0,75│0,85│0,95│1,05│
│ │грунтов │ │ │ │ │ │ │ │
├────────┬──────────────────┼──────────┼────┼────┼────┼────┼────┼────┼────┤
│Супеси │ │ н │ │ │ │ │ │ │ │
│ │ 0 <= I <= 0,25 │ c │0,15│0,11│0,08│ - │ - │ - │ - │
│ │ L │ н │ │ │ │ │ │ │ │
│ │ │ фи │ 30 │ 29 │ 27 │ - │ - │ - │ - │
│ ├──────────────────┼──────────┼────┼────┼────┼────┼────┼────┼────┤
│ │ │ н │ │ │ │ │ │ │ │
│ │0,25 < I <= 0,75 │ c │0,13│0,09│0,06│0,03│ - │ - │ - │
│ │ L │ н │ │ │ │ │ │ │ │
│ │ │ фи │ 28 │ 26 │ 24 │ 21 │ - │ - │ - │
├────────┼──────────────────┼──────────┼────┼────┼────┼────┼────┼────┼────┤
│Суглинки│ │ н │ │ │ │ │ │ │ │
│ │0 <= I <= 0,25 │ c │0,47│0,37│0,31│0,25│0,22│0,19│ - │
│ │ L │ н │ │ │ │ │ │ │ │
│ │ │ фи │ 26 │ 25 │ 24 │ 23 │ 22 │ 20 │ - │
│ ├──────────────────┼──────────┼────┼────┼────┼────┼────┼────┼────┤
│ │ │ н │ │ │ │ │ │ │ │
│ │0,25 < I <= 0,5 │ c │0,39│0,34│0,28│0,23│0,18│0,15│ - │
│ │ L │ н │ │ │ │ │ │ │ │
│ │ │ фи │ 24 │ 23 │ 22 │ 21 │ 19 │ 17 │ - │
│ ├──────────────────┼──────────┼────┼────┼────┼────┼────┼────┼────┤
│ │ │ н │ │ │ │ │ │ │ │
│ │0,5 < I <= 0,75 │ c │ - │ - │0,25│0,20│0,16│0,14│0,12│
│ │ L │ н │ │ │ │ │ │ │ │
│ │ │ фи │ - │ - │ 19 │ 18 │ 16 │ 14 │ 12 │
├────────┼──────────────────┼──────────┼────┼────┼────┼────┼────┼────┼────┤
│Глины │ │ н │ │ │ │ │ │ │ │
│ │0 <= I <= 0,25 │ c │ - │0,81│0,68│0,54│0,47│0,41│0,36│
│ │ L │ н │ │ │ │ │ │ │ │
│ │ │ фи │ - │ 21 │ 20 │ 19 │ 18 │ 16 │ 14 │
│ ├──────────────────┼──────────┼────┼────┼────┼────┼────┼────┼────┤
│ │ │ н │ │ │ │ │ │ │ │
│ │0,25 < I <= 0,5 │ c │ - │ - │0,57│0,50│0,43│0,37│0,32│
│ │ L │ н │ │ │ │ │ │ │ │
│ │ │ фи │ - │ - │ 18 │ 17 │ 16 │ 14 │ 11 │
│ ├──────────────────┼──────────┼────┼────┼────┼────┼────┼────┼────┤
│ │ │ н │ │ │ │ │ │ │ │
│ │0,5 < I <= 0,75 │ c │ - │ - │0,45│0,41│0,36│0,33│0,29│
│ │ L │ н │ │ │ │ │ │ │ │
│ │ │ фи │ - │ - │ 15 │ 14 │ 12 │ 10 │ 7 │
└────────┴──────────────────┴──────────┴────┴────┴────┴────┴────┴────┴────┘
Таблица 3
Нормативные значения модулей деформации глинистых
грунтов E, кгс/см2
┌────────────────────┬──────────────────────────┬───────────────────────────────────────────────────┐
│ Происхождение │ Виды глинистых грунтов │ Модули деформации грунтов E при коэффициенте │
│и возраст глинистых │ и пределы нормативных │ пористости e, равном │
│ грунтов │ значений их консистенции ├────┬────┬────┬────┬────┬────┬────┬────┬───┬───┬───┤
│ │ │0,35│0,45│0,55│0,65│0,75│0,85│0,95│1,05│1,2│1,4│1,6│
├───────┬────────────┼────────┬─────────────────┼────┼────┼────┼────┼────┼────┼────┼────┼───┼───┼───┤
│Четвер-│Аллювиальные│Супеси │0 <= I <= 0,75 │ - │320 │240 │160 │100 │ 70 │ - │ - │ - │ - │ - │
│тичные │Делювиальные│ │ L │ │ │ │ │ │ │ │ │ │ │ │
│отло- │Озерные ├────────┼─────────────────┼────┼────┼────┼────┼────┼────┼────┼────┼───┼───┼───┤
│жения │Озерно- │Суглинки│0 <= I <= 0,25 │ - │340 │270 │220 │170 │140 │110 │ - │ - │ - │ - │
│ │аллювиальные│ │ L │ │ │ │ │ │ │ │ │ │ │ │
│ │ │ │0,25 < I <= 0,5 │ - │320 │250 │190 │140 │110 │ 80 │ - │ - │ - │ - │
│ │ │ │ L │ │ │ │ │ │ │ │ │ │ │ │
│ │ │ │0,50 < I <= 0,75│ - │ - │ - │170 │120 │ 80 │ 60 │ 50 │ - │ - │ - │
│ │ │ │ L │ │ │ │ │ │ │ │ │ │ │ │
│ │ ├────────┼─────────────────┼────┼────┼────┼────┼────┼────┼────┼────┼───┼───┼───┤
│ │ │Глины │0 <= I <= 0,25 │ - │ - │280 │240 │210 │180 │150 │120 │ - │ - │ - │
│ │ │ │ L │ │ │ │ │ │ │ │ │ │ │ │
│ │ │ │0,25 < I <= 0,5 │ - │ - │ - │210 │180 │150 │120 │ 90 │ - │ - │ - │
│ │ │ │ L │ │ │ │ │ │ │ │ │ │ │ │
│ │ │ │0,5 < I <= 0,75 │ - │ - │ - │ - │150 │120 │ 90 │ 70 │ - │ - │ - │
│ │ │ │ L │ │ │ │ │ │ │ │ │ │ │ │
│ ├────────────┼────────┼─────────────────┼────┼────┼────┼────┼────┼────┼────┼────┼───┼───┼───┤
│ │Флювио- │Супеси │0 <= I <= 0,75 │ - │330 │240 │170 │110 │ 70 │ - │ - │ - │ - │ - │
│ │гляциальные │ │ L │ │ │ │ │ │ │ │ │ │ │ │
│ │ ├────────┼─────────────────┼────┼────┼────┼────┼────┼────┼────┼────┼───┼───┼───┤
│ │ │Суглинки│0 <= I <= 0,25 │ - │400 │330 │270 │210 │ - │ - │ - │ - │ - │ - │
│ │ │ │ L │ │ │ │ │ │ │ │ │ │ │ │
│ │ │ │0,25 < I <= 0,5 │ - │350 │280 │220 │170 │140 │ - │ - │ - │ - │ - │
│ │ │ │ L │ │ │ │ │ │ │ │ │ │ │ │
│ │ │ │0,5 < I <= 0,75 │ - │ - │ - │170 │130 │100 │ 70 │ - │ - │ - │ - │
│ │ │ │ L │ │ │ │ │ │ │ │ │ │ │ │
│ ├────────────┼────────┼─────────────────┼────┼────┼────┼────┼────┼────┼────┼────┼───┼───┼───┤
│ │Моренные │Супеси │I <= 0,5 │750 │550 │450 │ - │ - │ - │ - │ - │ - │ - │ - │
│ │ │Суглинки│ L │ │ │ │ │ │ │ │ │ │ │ │
├───────┴────────────┼────────┼─────────────────┼────┼────┼────┼────┼────┼────┼────┼────┼───┼───┼───┤
│Юрские отложения │Глины │-0,25 <= I <= 0 │ - │ - │ - │ - │ - │ - │270 │250 │220│ - │ - │
│оксфордского яруса │ │ L │ │ │ │ │ │ │ │ │ │ │ │
│ │ │0 < I <= 0,25 │ - │ - │ - │ - │ - │ - │240 │220 │190│150│ - │
│ │ │ L │ │ │ │ │ │ │ │ │ │ │ │
│ │ │0,25 < I <= 0,5 │ - │ - │ - │ - │ - │ - │ - │ - │160│120│100│
│ │ │ L │ │ │ │ │ │ │ │ │ │ │ │
└────────────────────┴────────┴─────────────────┴────┴────┴────┴────┴────┴────┴────┴────┴───┴───┴───┘
2. Характеристики песчаных грунтов в
табл. 1 относятся к кварцевым пескам с зернами различной окатанности, содержащим не более 20% полевого шпата и не более 5% в сумме различных примесей (слюда, глауконит и пр.), включая растительные остатки, независимо от степени влажности G.
3. Характеристики глинистых грунтов в
табл. 2 и
3 относятся к грунтам, содержащим не более 5% растительных остатков и имеющим степень влажности G >= 0,8.
4. Для песчаных и глинистых грунтов с промежуточными значениями e против указанных в
табл. 1 -
3 допускается определять величины

,

и E, пользуясь интерполяцией.
5. Для песчаных и глинистых грунтов при значениях e, а для глинистых грунтов и при значениях G и

, выходящих за пределы, предусмотренные в
табл. 1 -
3, значения характеристик грунтов

,

и E надлежит определять по данным инженерно-геологических исследований.
6. При значениях e для песчаных и глинистых грунтов, а также G и

для глинистых грунтов, меньших, чем их нижние пределы, предусмотренные
табл. 1 -
3, характеристики

,

и E в запас надежности допускается принимать по соответствующим нижним пределам e, G и

.
Однако с целью достижения более экономичных решений оснований и фундаментов в этих случаях характеристики грунтов

,

и E рекомендуется определять по данным инженерно-геологических исследований.
7. Вследствие того, что расчетные значения характеристик грунта E, e, G и

согласно
п. 3.14 настоящей главы принимаются равными нормативным, то для упрощения записей символы нормативных значений этих характеристик пишутся без верхнего индекса "н".
РАСЧЕТ ДЕФОРМАЦИЙ ОСНОВАНИЙ
Определение осадки
1. Осадка основания фундамента с использованием расчетной схемы основания в виде упругого линейно-деформируемого полупространства (
подпункт "а" п. 3.49 настоящей главы) определяется методом послойного суммирования осадок отдельных слоев в пределах сжимаемой толщи основания.
Принимается, что для фундаментов шириной или диаметром менее 10 м осадка вызывается дополнительным давлением, равным разности среднего давления, передаваемого фундаментом, и природного давления (от веса грунта до выемки котлована), а величина сжимаемой толщи основания может устанавливаться по указаниям
п. 6.
Метод послойного суммирования позволяет определять осадку как отдельно стоящего фундамента, так и фундамента, на осадку которого влияют нагрузки, передаваемые соседними фундаментами.
В обоих случаях при расчете осадок для ряда горизонтальных сечений сжимаемой толщи основания определяются дополнительные давления по вертикали, проходящей через центр подошвы фундамента.
Для учета влияния соседних фундаментов помимо этих давлений должны также определяться давления по вертикалям, проходящим по углам "фиктивных фундаментов", согласно указаниям
п. 4.
2. При расчете осадок отдельно стоящих фундаментов методом послойного суммирования следует учитывать схему распределения вертикальных давлений в толще основания, приведенную на
рис. 1, где приняты следующие обозначения:
h - глубина заложения фундамента от планировочной отметки (подсыпки или срезки);
h' - глубина заложения фундамента от отметки поверхности природного рельефа;
p - среднее фактическое давление под подошвой фундамента;

- природное (бытовое) давление в грунте на уровне подошвы фундамента от веса вышележащих грунтов (до отметки природного рельефа);

- природное давление на глубине z ниже подошвы фундамента (или на глубине h'+ z от поверхности природного рельефа);

- дополнительное (к природному) вертикальное давление на грунт по подошве фундамента;

- дополнительное давление в грунте на глубине z от подошвы фундамента, определяемое по формуле

; (1)

- коэффициент, учитывающий изменение по глубине дополнительного давления в грунте и принимаемый по
табл. 1 в зависимости от относительной глубины

, формы подошвы, а для прямоугольного фундамента и от отношения его сторон

(длины l и ширины b).
Примечания: 1. Для круглых фундаментов (радиусом r) значения

принимаются в зависимости от m = z/r.
2. Для фундаментов, имеющих подошву в форме правильного многоугольника с площадью F, значения

принимаются как для круглых фундаментов радиусом

.
Рис. 1. Схема для расчета осадок методом
послойного суммирования
Таблица 1
Коэффициент

┌──────────────┬──────────────────────────────────────────────────────────┐
│ m = 2z/b, │ Коэффициент альфа для фундаментов │
│ или ├───────┬───────────────────────────────────┬──────────────┤
│ m = z/r │круглых│прямоугольных с соотношением сторон│ ленточных │
│ │ │ l │ при n >= 10 │
│ │ │ n = -, равным │ │
│ │ │ b │ │
│ │ ├─────┬─────┬─────┬─────┬─────┬─────┤ │
│ │ │ 1 │ 1,4 │ 1,8 │ 2,4 │ 3,2 │ 5 │ │
├──────────────┼───────┼─────┼─────┼─────┼─────┼─────┼─────┼──────────────┤
│ 0,0 │ 1,000 │1,000│1,000│1,000│1,000│1,000│1,000│ 1,000 │
│ 0,4 │ 0,949 │0,960│0,972│0,975│0,976│0,977│0,977│ 0,977 │
│ 0,8 │ 0,756 │0,800│0,848│0,866│0,875│0,879│0,881│ 0,881 │
├──────────────┼───────┼─────┼─────┼─────┼─────┼─────┼─────┼──────────────┤
│ 1,2 │ 0,547 │0,606│0,682│0,717│0,740│0,749│0,754│ 0,755 │
│ 1,6 │ 0,390 │0,449│0,532│0,578│0,612│0,630│0,639│ 0,642 │
│ 2,0 │ 0,285 │0,336│0,414│0,463│0,505│0,529│0,545│ 0,550 │
├──────────────┼───────┼─────┼─────┼─────┼─────┼─────┼─────┼──────────────┤
│ 2,4 │ 0,214 │0,257│0,325│0,374│0,419│0,449│0,470│ 0,477 │
│ 2,8 │ 0,165 │0,201│0,260│0,304│0,350│0,383│0,410│ 0,420 │
│ 3,2 │ 0,130 │0,160│0,210│0,251│0,294│0,329│0,360│ 0,374 │
├──────────────┼───────┼─────┼─────┼─────┼─────┼─────┼─────┼──────────────┤
│ 3,6 │ 0,106 │0,130│0,173│0,209│0,250│0,285│0,320│ 0,337 │
│ 4,0 │ 0,087 │0,108│0,145│0,176│0,214│0,248│0,285│ 0,306 │
│ 4,4 │ 0,073 │0,091│0,122│0,150│0,185│0,218│0,256│ 0,280 │
├──────────────┼───────┼─────┼─────┼─────┼─────┼─────┼─────┼──────────────┤
│ 4,8 │ 0,067 │0,077│0,105│0,130│0,161│0,192│0,230│ 0,258 │
│ 5,2 │ 0,053 │0,066│0,091│0,112│0,141│0,170│0,208│ 0,239 │
│ 5,6 │ 0,046 │0,058│0,079│0,099│0,124│0,152│0,189│ 0,223 │
├──────────────┼───────┼─────┼─────┼─────┼─────┼─────┼─────┼──────────────┤
│ 6,0 │ 0,040 │0,051│0,070│0,087│0,110│0,136│0,172│ 0,208 │
│ 6,4 │ 0,036 │0,045│0,062│0,077│0,098│0,122│0,158│ 0,196 │
│ 6,8 │ 0,032 │0,040│0,055│0,069│0,088│0,110│0,144│ 0,184 │
├──────────────┼───────┼─────┼─────┼─────┼─────┼─────┼─────┼──────────────┤
│ 7,2 │ 0,028 │0,036│0,049│0,062│0,080│0,100│0,133│ 0,175 │
│ 7,6 │ 0,024 │0,032│0,044│0,056│0,072│0,091│0,123│ 0,166 │
│ 8,0 │ 0,022 │0,029│0,040│0,051│0,066│0,084│0,113│ 0,158 │
├──────────────┼───────┼─────┼─────┼─────┼─────┼─────┼─────┼──────────────┤
│ 8,4 │ 0,021 │0,026│0,037│0,046│0,060│0,077│0,105│ 0,150 │
│ 8,8 │ 0,019 │0,024│0,034│0,042│0,055│0,070│0,098│ 0,144 │
│ 9,2 │ 0,018 │0,022│0,031│0,039│0,051│0,065│0,091│ 0,137 │
├──────────────┼───────┼─────┼─────┼─────┼─────┼─────┼─────┼──────────────┤
│ 9,6 │ 0,016 │0,020│0,028│0,036│0,047│0,060│0,085│ 0,132 │
│ 10 │ 0,015 │0,019│0,026│0,033│0,044│0,056│0,079│ 0,126 │
├──────────────┼───────┼─────┼─────┼─────┼─────┼─────┼─────┼──────────────┤
│ 11 │ 0,011 │0,017│0,023│0,029│0,040│0,050│0,071│ 0,114 │
│ 12 │ 0,009 │0,015│0,020│0,026│0,034│0,044│0,060│ 0,104 │
│ │
│ Примечание. Для промежуточных значений m и n величина коэффициента│
│альфа определяется интерполяцией. │
└─────────────────────────────────────────────────────────────────────────┘
3. Нормальные давления на глубине z по вертикали, проходящей через угловую точку прямоугольного фундамента, вычисляются по формуле

, (2)
где

- коэффициент, определяемый по
табл. 1, в которой вместо значения m принимается значение

.
4. Распределение по глубине нормальных давлений в любой точке C в пределах или за пределами рассматриваемого фундамента с дополнительным давлением по подошве

находится с использованием метода угловых точек.
В соответствии с этим методом нормальные давления

по вертикали, проходящей через указанную точку C, определяются алгебраическим суммированием давлений в угловых точках четырех фиктивных фундаментов
(рис. 2), равномерно загруженных давлением

, по формуле

. (3)
Рис. 2. Схема расположения "фиктивных фундаментов"
для учета влияния на осадку по методу угловых точек
а - схема взаимного расположения рассчитываемого 1
и влияющего фундамента 2; б - схема расположения "фиктивных
фундаментов" с указанием знаков "+" и "-" для расчета
по
формуле (4); 1 - рассчитываемый фундамент; 2 - влияющий
фундамент; 3 - точка, в которой определяется осадка
5. Вертикальные давления на любой глубине по вертикали, проходящей через центр рассчитываемого фундамента, с учетом влияния соседних фундаментов

определяется по формуле

, (4)
где k - число влияющих фундаментов.
6. Глубина сжимаемой толщи основания z' ограничивается исходя из соотношения величин дополнительного давления от фундамента

или с учетом влияния соседних фундаментов

(по вертикали, проходящей через его центр) и природного давления на той же глубине

. При наличии грунтовых вод природное давление вычисляется с учетом взвешивающего действия воды.
Для песчаных и глинистых грунтов это соотношение допускается принимать равным:

.
Если найденная нижняя граница сжимаемой толщи заканчивается в слое грунта с модулем деформации E < 50 кгс/см2 или если такой слой залегает непосредственно ниже этой границы, он должен быть включен в состав сжимаемой толщи. В этих случаях граница сжимаемой толщи ограничивается соотношением

.
7. Осадка основания фундамента по методу послойного суммирования определяется (с учетом и без учета влияния соседних фундаментов) по формуле

, (5)
где S - конечная (стабилизированная) осадка фундамента;
n - число слоев, на которое разделена по глубине сжимаемая толща основания;

- толщина i-го слоя грунта;

- модуль деформации i-го слоя грунта;

- среднее дополнительное (к природному) давлению в i-ом слое грунта, равное полусумме дополнительных давлений

на верхней и нижней границах этого слоя, определяемых по
формуле (1) для случая, когда не учитывается влияние соседних фундаментов, и по
формуле (4) при учете этого влияния;

- безразмерный коэффициент, равный 0,8.
8. Определение осадки основания с использованием расчетной схемы в виде линейно-деформируемого (упругого) слоя конечной толщины применяется в случаях, указанных в
подпункте "б" п. 3.49 настоящей главы.
Принимается, что осадка в этих случаях вызывается полным средним давлением, действующим по подошве фундамента (без вычета природного давления).
За расчетную величину толщи линейно-деформируемого (упругого) слоя принимается величина, определяемая согласно указаниям
п. 10.
9. Осадка основания отдельного фундамента по расчетной схеме основания в виде линейно-деформируемого упругого слоя конечной толщины H определяется по формуле

, (6)
где b - ширина прямоугольного или диаметр круглого фундамента;
p - среднее давление на грунт под подошвой фундамента;
M - поправочный коэффициент, определяемый по
табл. 2 настоящего приложения в зависимости от m' - отношения толщины упругого слоя H к полуширине или радиусу фундамента при ширине его 10 - 15 м;
n - количество слоев, различающихся по сжимаемости в пределах упругого слоя H;

- коэффициент, определяемый по
табл. 3 для i-го слоя в зависимости от формы подошвы фундамента, соотношения сторон прямоугольного фундамента

и отношения глубины залегания подошвы слоя z к полуширине фундамента m = 2z/b или его радиусу m = z/r;

- модуль деформации i-го слоя грунта.
Таблица 2
┌────────────────────────────────────┬────────────────────────────────────┐
│ Пределы отношения m' = 2H/r, │ Коэффициент M │
│ или m' = H/r │ │
├────────────────────────────────────┼────────────────────────────────────┤
│ 0 < m' <= 0,5 │ 1,0 │
│ 0,5 < m' <= 1 │ 0,95 │
│ 1 < m' <= 2 │ 0,90 │
│ 2 < m' <= 3 │ 0,80 │
│ 3 < m' <= 5 │ 0,75 │
└────────────────────────────────────┴────────────────────────────────────┘
Таблица 3
┌────────────┬────────────────────────────────────────────────────────────┐
│ m = 2z/b, │ Коэффициент k для фундаментов │
│или m = z/r ├──────────┬───────────────────────────────────┬─────────────┤
│ │ круглых │прямоугольных с соотношением сторон│ ленточных │
│ │радиусом r│ n = l/b, равным │ при n >= 10 │
│ │ ├─────┬─────┬─────┬─────┬─────┬─────┤ │
│ │ │ 1 │ 1,4 │ 1,8 │ 2,4 │ 3,2 │ 5 │ │
├────────────┼──────────┼─────┼─────┼─────┼─────┼─────┼─────┼─────────────┤
│ 0,0 │ 0,000 │0,000│0,000│0,000│0,000│0,000│0,000│ 0,000 │
│ 0,4 │ 0,090 │0,100│0,100│0,100│0,100│0,100│0,100│ 0,104 │
│ 0,8 │ 0,179 │0,200│0,200│0,200│0,200│0,200│0,200│ 0,208 │
│ 1,2 │ 0,266 │0,299│0,300│0,300│0,300│0,300│0,300│ 0,311 │
│ 1,6 │ 0,348 │0,380│0,394│0,397│0,397│0,397│0,397│ 0,412 │
│ 2,0 │ 0,411 │0,446│0,472│0,482│0,486│0,486│0,486│ 0,511 │
│ │ │ │ │ │ │ │ │ │
│ 2,4 │ 0,461 │0,499│0,538│0,556│0,565│0,567│0,567│ 0,605 │
│ 2,8 │ 0,501 │0,542│0,592│0,618│0,635│0,640│0,640│ 0,687 │
│ 3,2 │ 0,532 │0,577│0,637│0,671│0,696│0,707│0,709│ 0,763 │
│ 3,6 │ 0,558 │0,606│0,676│0,717│0,750│0,768│0,772│ 0,831 │
│ 4,0 │ 0,579 │0,300│0,708│0,756│0,796│0,820│0,830│ 0,892 │
│ 4,4 │ 0,596 │0,650│0,735│0,789│0,837│0,867│0,883│ 0,949 │
│ │ │ │ │ │ │ │ │ │
│ 4,8 │ 0,611 │0,668│0,759│0,819│0,873│0,908│0,932│ 1,001 │
│ 5,2 │ 0,624 │0,683│0,780│0,884│0,904│0,948│0,977│ 1,050 │
│ 5,6 │ 0,635 │0,697│0,798│0,867│0,933│0,981│1,018│ 1,095 │
│ 6,0 │ 0,645 │0,708│0,814│0,887│0,958│1,011│1,056│ 1,138 │
│ 6,4 │ 0,653 │0,719│0,828│0,904│0,980│1,031│1,090│ 1,178 │
│ 6,8 │ 0,661 │0,728│0,841│0,920│1,000│1,065│1,122│ 1,215 │
│ │ │ │ │ │ │ │ │ │
│ 7,2 │ 0,668 │0,736│0,852│0,935│1,019│1,088│1,152│ 1,251 │
│ 7,6 │ 0,674 │0,744│0,863│0,948│1,036│1,109│1,180│ 1,285 │
│ 8,0 │ 0,679 │0,751│0,872│0,960│1,051│1,128│1,205│ 1,316 │
│ 8,4 │ 0,684 │0,757│0,881│0,970│1,065│1,146│1,229│ 1,347 │
│ 8,8 │ 0,689 │0,762│0,888│0,980│1,078│1,162│1,251│ 1,376 │
│ 9,2 │ 0,693 │0,768│0,896│0,989│1,089│1,178│1,272│ 1,404 │
│ │ │ │ │ │ │ │ │ │
│ 9,6 │ 0,697 │0,772│0,902│0,993│1,100│1,192│1,291│ 1,431 │
│ 10,0 │ 0,700 │0,777│0,908│1,005│1,110│1,205│1,309│ 1,456 │
│ 11,0 │ 0,705 │0,786│0,922│1,022│1,332│1,233│1,349│ 1,506 │
│ 12,0 │ 0,710 │0,794│0,933│1,037│1,151│1,257│1,384│ 1,550 │
└────────────┴──────────┴─────┴─────┴─────┴─────┴─────┴─────┴─────────────┘
10. Расчетная величина толщины линейно-деформируемого слоя
(рис. 3) принимается до кровли грунтов с модулем деформации E >= 1000 кгс/см2 и для фундаментов больших размеров (шириной или диаметром более 10 м) при модуле деформации E >= 100 кгс/см2 по формуле

, (7)
где

и t - принимаются соответственно равными для оснований, сложенных: глинистыми грунтами - 9 м и 0,15; песчаными грунтами - 6 м и 0,1.
Примечания: 1. Если основание сложено и глинистыми, и песчаными грунтами, значение

определяется как средневзвешенное.
2. Величина

, найденная по формуле (7), должна быть увеличена на толщину слоя грунта с модулем деформации E < 100 кгс/см2, если этот слой расположен ниже

и толщина его не превышает 5 м. При

толщине слоя такого грунта, а также если вышележащие слои грунта имеют модуль деформации E < 100 кгс/см2, расчет осадок выполняется по расчетной схеме линейно-деформируемого полупространства методом послойного суммирования.
Рис. 3. Схема для расчета осадок методом
линейно-деформируемого слоя конечной толщины
Определение крена фундаментов при действии
внецентренной нагрузки
11. Крен фундамента (при действии внецентренной нагрузки) по расчетной схеме основания в виде упругого линейно-деформируемого полупространства (
подпункт "а" п. 3.49 настоящей главы) определяется:
а) прямоугольного фундамента - в направлении

его стороны l (вдоль продольной оси) по формуле

; (8)
б) прямоугольного фундамента - в направлении меньшей его стороны (вдоль поперечной оси) по формуле

; (9)
в) круглого фундамента радиусом r по формуле

, (10)
где P - равнодействующая всех вертикальных нагрузок фундаментов на основание, кгс;

- соответственно расстояния точки приложения равнодействующей от середины подошвы фундамента по продольной оси, поперечной оси и по радиусу круга, см;
E и

- соответственно модуль деформации, кгс/см2, и коэффициент Пуассона грунта, принимаемые средними в пределах сжимаемой толщи;

и

- коэффициенты, определяемые по табл. 4 в зависимости от соотношения сторон подошвы фундамента.
Таблица 4
Коэффициенты

и

┌────────────┬────────────────────────────────────────────────────────────┐
│Коэффициенты│ Коэффициенты k и k в зависимости от соотношения сторон │
│ │ l b │
│ │ прямоугольного фундамента n = l/b, равном │
│ ├─────────┬─────────┬─────────┬─────────┬─────────┬──────────┤
│ │ 1,0 │ 1,4 │ 1,8 │ 2,4 │ 3,2 │ 5,0 │
├────────────┼─────────┼─────────┼─────────┼─────────┼─────────┼──────────┤
│ k │ 0,55 │ 0,71 │ 0,83 │ 0,97 │ 1,1 │ 1,44 │
│ l │ │ │ │ │ │ │
│ k │ 0,50 │ 0,39 │ 0,33 │ 0,25 │ 0,19 │ 0,13 │
│ b │ │ │ │ │ │ │
│ │
│ Примечание. Крен фундамента с подошвой в форме правильного│
│многоугольника вычисляется по
формуле (10), причем за r принимается│
│ _ │
│ /F │
│величина r = \/--, где F - площадь подошвы фундамента данной формы. │
│ пи │
└─────────────────────────────────────────────────────────────────────────┘
12. Крен круглого фундамента по расчетной схеме основания в виде линейно-деформируемого слоя конечной толщины определяется по формуле

, (11)
где

- коэффициент, определяемый по табл. 5 в зависимости от отношения толщины упругого слоя к радиусу фундамента H/r.
Таблица 5
Коэффициент

┌───────────┬────────────┬───────────┬───────────┬────────────┬───────────┐
│ H/r │ 0,25 │ 0,5 │ 1 │ 2 │ > 2 │
├───────────┼────────────┼───────────┼───────────┼────────────┼───────────┤
│ k │ 0,26 │ 0,43 │ 0,63 │ 0,74 │ 0,75 │
│ с │ │ │ │ │ │
└───────────┴────────────┴───────────┴───────────┴────────────┴───────────┘
Определение просадки оснований, сложенных
просадочными грунтами
13. Просадка грунтов основания от нагрузки, передаваемой фундаментом

, происходящая при замачивании в пределах деформируемой зоны

, определяемой по
п. 4.2 настоящей главы, рассчитывается по формуле

, (12)
где

- относительная просадочность грунта, определяемая при его полном водонасыщении по
п. 2.14 настоящей главы, а при неполном водонасыщении - по
п. 14 настоящего приложения для каждого слоя грунта в пределах деформируемой зоны

при давлении, равном сумме природного давления и давления от фундамента здания или сооружения в середине рассматриваемого слоя;

- толщина i-го слоя грунта;
n - число слоев, на которое разбита деформируемая зона

;
m - коэффициент условий работы основания, принимаемый:
для фундаментов шириной от 12 м и более m = 1; для ленточных фундаментов шириной до 3 м и прямоугольных шириной до 5 м включительно по формуле

; (13)
здесь p - среднее давление по подошве фундамента, кгс/см2;

- начальное просадочное давление, кгс/см2;

- давление, равное 1 кгс/см2.
Примечание. Коэффициент m для ленточных фундаментов шириной более 3 м и прямоугольных более 5 м определяется интерполяцией между значениями m, вычисленными по формуле (13), и m = 1.
14. Относительная просадочность грунта при его неполном водонасыщении

определяется по формуле

, (14)
где

- конечная влажность грунта после замачивания;

- начальная просадочная влажность грунта;

- влажность, соответствующая полному водонасыщению грунта;
Примечание. При начальной просадочной влажности

меньше природной W в формуле (14) вместо

принимается W.
15. Просадка основания, разность просадок и крены отдельных фундаментов, находящихся в зоне проявления неравномерных просадок основания вследствие распространения воды в стороны от источника замачивания, должны определяться с учетом ограниченного замачивания нижней зоны основания в пределах глубины
(рис. 4), равной:

, (15)
где h - глубина заложения фундамента от планировочной отметки;

- деформируемая зона основания, определяемая в соответствии с требованиями
п. 4.2 настоящей главы;

- глубина расположения источника замачивания от поверхности планировки;
x - расстояние от края источника замачивания до оси рассматриваемого фундамента;

- коэффициент, учитывающий возможное увеличение угла распространения воды в стороны вследствие слоистости грунтов основания;

- угол распространения воды в стороны от источника замачивания, принимаемый для лессовидных супесей и лессов

, а для лессовидных суглинков

.
Рис. 4. Схема для расчета ограниченной величины

замачивания нижней зоны основания под вертикальной осью
фундамента в случае, если она находится в стороне
от источника замачивания
Длина участка

, на котором может проявиться неравномерная просадка грунта, определяется по формуле

, (16)
16. Максимальная величина просадки

от собственного веса грунта, проявляющаяся при его интенсивном замачивании сверху на площади шириной не менее величины просадочной толщи или при подъеме уровня грунтовых вод, определяется по
формуле (12), в которой в этом случае суммирование производится:
а) при отсутствии внешней нагрузки, а также при наличии узких фундаментов, когда деформируемая зона от нагрузки фундамента не сливается с зоной просадки грунта от собственного веса, - только в пределах зоны просадки грунта от собственного веса;
б) при подъеме уровня грунтовых вод или при медленном повышении влажности - только в пределах той части зоны просадки грунта от собственного веса, в которой произошло соответствующее повышение влажности;
в) при широких фундаментах и частичном наложении деформируемой зоны от их нагрузки на деформируемую зону просадки от собственного веса грунта - в пределах от низа деформируемой зоны (от нагрузки фундаментов) до кровли непросадочного грунта.
Толщина зоны просадки от собственного веса грунта учитывается от глубины, на которой вертикальные напряжения от собственного веса грунта равны начальному просадочному давлению, до нижней границы просадочной толщи.
Относительная просадочность

определяется для каждого слоя грунта в пределах зоны просадки при давлении, равном природному давлению в середине рассматриваемого слоя.
17. Возможная величина просадки грунта от собственного веса

на площадках со II типом грунтовых условий по просадочности при местном кратковременном замачивании площади шириной B менее величины просадочной толщи H определяется по формуле

. (17)
18. Величина просадки грунта

от его собственного веса в различных точках замачиваемой и примыкающей к ней площади определяется по формуле

, (18)
где

- максимальная или возможная просадка грунта от собственного веса в центре замачиваемой площади, определяемая по
п. 16 или
п. 17, см;
x - расстояние, см, от центра замачиваемой площади или начала горизонтального участка просадки грунта до точки, в которой определяется величина просадки

(в пределах 0 < x < r);
r - расчетная длина, см, криволинейного участка просадки грунта от его собственного веса, определяемая по формуле

, (19)
19. Величина горизонтального перемещения

, см, на поверхности грунта при просадке его от собственного веса, вызванной местным или интенсивным замачиванием
(п. 4.5), определяется по формуле

, (20)
где

- величина относительных горизонтальных перемещений, равная:

, (21)
Определение набухания и усадки оснований, сложенных
набухающими грунтами
20. Подъем основания фундаментов

при набухании грунта, происходящем вследствие его замачивания, определяется по формуле

, (22)
где

- относительное набухание грунта i-го слоя, определяемое по указаниям
п. 21;

- толщина рассматриваемого слоя грунта;
m - коэффициент условий работы, принимаемый равным: при суммарном давлении

m = 0,8; при

m = 0,6; при промежуточных значениях

- по интерполяции, причем величина суммарного давления

определяется по указаниям
п. 22;
n - число слоев, на которое разделена зона набухания грунта, нижняя граница которой определяется по указаниям
п. 23.
21. Относительное набухание грунта

определяется:
а) при инфильтрации влаги - по формуле

, (23)
где h - высота образца грунта природной влажности и плотности, обжатого без возможности бокового расширения суммарным давлением;
h' - высота того же образца после замачивания, обжатого в тех же условиях;
б) при экранировании поверхности и изменении водно-теплового режима - по формуле

, (24)
где k - коэффициент, определяемый опытным путем, а при отсутствии экспериментальных данных - принимаемый равным 2;

- конечная (равновесная) влажность грунта;

- начальная влажность грунта;

- начальное значение коэффициента пористости грунта.
22. Суммарное давление

в середине рассматриваемого слоя
(рис. 5) определяется по формуле

, (25)
где

- давление от нагрузки фундамента в середине рассматриваемого слоя, кгс/см2;

- давление от собственного веса толщи грунта от подошвы фундамента до середины рассматриваемого слоя, кгс/см2;

- дополнительное давление, кгс/см2, вызываемое влиянием веса неувлажненной части массива, расположенной за пределами площади замачивания, и определяемое по формуле

, (26)
где

- коэффициент, принимаемый по
табл. 6 в зависимости от отношения длины L к ширине B замачиваемой площади и относительной глубины расположения рассматриваемого слоя;

- объемный вес грунта, кгс/см3;
z - расстояние от подошвы фундамента до середины рассматриваемого слоя, см;
h - глубина заложения подошвы фундамента от планировочной отметки, см.
Рис. 5. Схема для расчета подъема оснований
при набухании грунта
Таблица 6
Коэффициент

┌───────────┬─────────────────────────────────────────────────────────────┐
│ z + h │ Коэффициент m при отношении длины к ширине замачиваемой │
│ ----- │ н │
│ B │ площади L/B, равном │
│ ├──────────┬───────────┬────────────┬────────────┬────────────┤
│ │ 1 │ 2 │ 3 │ 4 │ 5 │
├───────────┼──────────┼───────────┼────────────┼────────────┼────────────┤
│ 0,5 │ 0 │ 0 │ 0 │ 0 │ 0 │
│ 1 │ 0,58 │ 0,50 │ 0,43 │ 0,36 │ 0,29 │
│ 2 │ 0,81 │ 0,70 │ 0,61 │ 0,50 │ 0,40 │
├───────────┼──────────┼───────────┼────────────┼────────────┼────────────┤
│ 3 │ 0,94 │ 0,82 │ 0,71 │ 0,59 │ 0,47 │
│ 4 │ 1,02 │ 0,89 │ 0,77 │ 0,64 │ 0,53 │
│ 5 │ 1,07 │ 0,94 │ 0,82 │ 0,69 │ 0,57 │
└───────────┴──────────┴───────────┴────────────┴────────────┴────────────┘
23. Нижняя граница зоны набухания
(рис. 5) принимается:
а) при инфильтрации влаги - на глубине, где суммарное давление равно давлению набухания грунта

;
б) при экранировании поверхности и изменении водно-теплового режима - на глубине, определяемой опытным путем для каждого климатического района. При отсутствии опытных данных эта глубина принимается равной 5 м.
24. Величина усадки основания в результате высыхания набухшего грунта

определяется по формуле

, (27)
где

- относительная линейная усадка i-го слоя, определяемая по указаниям
п. 2.16 настоящей главы при действии давления, равного сумме природного и дополнительного давления от фундамента в середине рассматриваемого слоя при изменении влажности грунта в слое от наибольшего возможного значения до наименьшего;

- толщина рассматриваемого слоя;

- коэффициент условий работы грунта при усадке, принимаемый равным 1,3;
n - число слоев, на которое разделена зона усадки грунта.
Нижняя граница зоны усадки

определяется экспериментальным путем, а при отсутствии опытных данных принимается равной 5 м.
При высыхании грунта в результате теплового воздействия технологических установок нижняя граница зоны усадки

определяется опытным путем или соответствующим расчетом.
Определение суффозионной осадки оснований, сложенных
засоленными грунтами
25. Суффозионная осадка основания

, сложенного засоленными грунтами, определяется по формуле

, (28)
где n - число слоев, на которое разбита толща засоленных грунтов, в которой возможно образование суффозионной осадки;

- относительная величина суффозионной осадки грунта i-го слоя при давлении в этом слое от нагрузки, передаваемой фундаментом, и от собственного веса грунта, находимая по указаниям п. 26 -
28;

- толщина i-го слоя засоленного грунта.
26. Величина относительной суффозионной осадки

засоленного грунта определяется полевыми испытаниями статической нагрузкой или лабораторными компрессионно-фильтрационными методами в случаях, устанавливаемых
п. 9.4 настоящей главы.
Испытания должны проводиться при длительной фильтрации воды через грунт в течение сроков согласно указаниям
п. 9.5 настоящей главы.
27. Величина относительной суффозионной осадки

, устанавливаемая полевыми испытаниями, определяется по формуле

, (29)
где

- суффозионная осадка штампа после непрерывного замачивания в течение всего процесса испытания под давлением, указанным в
п. 25;

- сжимаемая толща основания под штампом.
28. Величина относительной суффозионной осадки

по компрессионно-фильтрационным испытаниям определяется по формуле

, (30)
где h - высота образца грунта природной влажности и плотности;
h' - высота того же образца грунта после фильтрационного замачивания водой и обжатия давлением по указаниям
п. 25.
УСЛОВНЫЕ РАСЧЕТНЫЕ ДАВЛЕНИЯ НА ГРУНТЫ ОСНОВАНИЙ
1. Условные расчетные давления на грунты основания

, приведенные в табл. 1 -
4 настоящего приложения, предназначены для предварительного определения размеров фундаментов и окончательного - в случаях, указанных в
п. 3.59 настоящей главы для крупнообломочных и песчаных грунтов (табл. 1) и для глинистых (непросадочных) грунтов
(табл. 2), в
п. 4.9 для просадочных грунтов
(табл. 3) и в
п. 10.6 для насыпных грунтов
(табл. 4).
Таблица 1
Условные расчетные давления

на крупнообломочные
и песчаные грунты (область применения см. в
п. 3.59)
┌───────────────────────────────┬─────────────────────────────────────────┐
│ Вид грунта │ R , кгс/см2 │
│ │ 0 │
├───────────────────────────────┼─────────────────────────────────────────┤
│ Крупнообломочные │ │
│ │ │
│ Галечниковый (щебенистый) │ 6 │
│с песчаным заполнителем │ │
│ Гравийный (дресвяный) │ │
│из обломков: │ │
│ кристаллических пород │ 5 │
│ осадочных пород │ 3 │
├───────────────────────────────┼───────────────────┬─────────────────────┤
│ Песчаные │ Плотные │ Средней плотности │
├───────────────────────────────┼───────────────────┼─────────────────────┤
│ Пески крупные независимо │ 6 │ 5 │
│от влажности │ │ │
│ Пески средней крупности │ 5 │ 4 │
│независимо от влажности │ │ │
│ Пески мелкие: │ │ │
│ маловлажные │ 4 │ 3 │
│ влажные и насыщенные водой │ 3 │ 2 │
│ Пески пылеватые: │ │ │
│ маловлажные │ 3 │ 2,5 │
│ влажные │ 2 │ 1,5 │
│ насыщенные водой │ 1,5 │ 1 │
└───────────────────────────────┴───────────────────┴─────────────────────┘
Таблица 2
Условные расчетные давления

на глинистые (непросадочные)
грунты (область применения см. в
п. 3.59)
┌───────────────────┬─────────────────────┬───────────────────────────────┐
│ Виды глинистых │ Коэффициент │ R , кгс/см2, при консистенции │
│ грунтов │ пористости грунта e │ 0 │
│ │ │ грунта │
│ │ ├───────────────┬───────────────┤
│ │ │ I = 0 │ I = 1 │
│ │ │ L │ L │
├───────────────────┼─────────────────────┼───────────────┼───────────────┤
│Супеси │ 0,5 │ 3 │ 3 │
│ │ 0,7 │ 2,5 │ 2 │
├───────────────────┼─────────────────────┼───────────────┼───────────────┤
│Суглинки │ 0,5 │ 3 │ 2,5 │
│ │ 0,7 │ 2,5 │ 1,8 │
│ │ 1 │ 2 │ 1 │
├───────────────────┼─────────────────────┼───────────────┼───────────────┤
│Глины │ 0,5 │ 6 │ 4 │
│ │ 0,6 │ 5 │ 3 │
│ │ 0,8 │ 3 │ 2 │
│ │ 1,1 │ 2,5 │ 1 │
│ │
│ Примечание. Для глинистых грунтов с промежуточными значениями e и I │
│ L│
│допускается определять величину R , пользуясь интерполяцией, вначале по e│
│ 0 │
│для значений I = 0 и I = 1, затем по I между полученными значениями R │
│ L L L 0│
│для I = 0 и I = 1. │
│ L L │
└─────────────────────────────────────────────────────────────────────────┘
Таблица 3
Условные расчетные давления

на просадочные грунты
(область применения см. в
п. 4.9)
┌────────────┬────────────────────────────────────────────────────────────┐
│Виды грунтов│ R , кгс/см2 │
│ │ 0 │
│ ├──────────────────────────────┬─────────────────────────────┤
│ │ Грунты природного сложения с │ Грунты уплотненные │
│ │ объемным весом скелета │ с объемным весом скелета │
│ │ гамма , тс/м3 │ гамма , тс/м3 │
│ │ ск │ ск │
│ ├──────────────┬───────────────┼──────────────┬──────────────┤
│ │ 1,35 │ 1,55 │ 1,60 │ 1,70 │
├────────────┼──────────────┼───────────────┼──────────────┼──────────────┤
│Супесь │ 3 │ 3,5 │ 2 │ 2,5 │
│ │ --- │ --- │ │ │
│ │ 1,5 │ 1,8 │ │ │
├────────────┼──────────────┼───────────────┼──────────────┼──────────────┤
│Суглинок │ 3,5 │ 4 │ 2,5 │ 3 │
│ │ --- │ - │ │ │
│ │ 1,8 │ 2 │ │ │
├────────────┴──────────────┴───────────────┴──────────────┴──────────────┤
│ Примечания: 1. В
табл. 3 в числителе приведены значения R ,│
│ 0 │
│относящиеся к просадочным грунтам природного сложения со степенью│
│влажности G <= 0,5 и при невозможности их замачивания, в знаменателе -│
│значения R , относящиеся к таким же грунтам со степенью влажности│
│ 0 │
│G >= 0,8, а также к грунтам с меньшей степенью влажности при возможности│
│их замачивания. │
│ 2. Для просадочных грунтов с промежуточными значениями гамма и G│
│ ск │
│значения R определяются интерполяцией. │
│ 0 │
└─────────────────────────────────────────────────────────────────────────┘
Таблица 4
Условные расчетные давления

на слежавшиеся насыпные грунты основания
┌─────────────────────────────────────┬───────────────────────────────────┐
│ Виды насыпных грунтов │ R , кгс/см2 │
│ │ 0 │
│ ├─────────────────┬─────────────────┤
│ │крупные, средние,│пылеватые пески, │
│ │ мелкие пески, │глинистые грунты,│
│ │ шлаки и т.п. │ зола и т.п. │
│ │ │ │
│ ├─────────────────┴─────────────────┤
│ │ при степени влажности G │
│ ├────────┬────────┬────────┬────────┤
│ │G <= 0,5│G >= 0,8│G <= 0,5│G >= 0,8│
├─────────────────────────────────────┼────────┼────────┼────────┼────────┤
│ Грунты в планомерно возведенных │ 2,5 │ 2,0 │ 1,8 │ 1,5 │
│с уплотнением по
п. 10.8 насыпях │ │ │ │ │
│ Отвалы грунтов и отходов производств│ 2,5 │ 2,0 │ 1,8 │ 1,5 │
│после их уплотнения по
п. 10.8 │ │ │ │ │
│ Отвалы грунтов и отходов производств│ 1,8 │ 1,5 │ 1,2 │ 1,0 │
│без уплотнения │ │ │ │ │
│ Свалки грунтов и отходов производств│ 1,5 │ 1,2 │ 1,2 │ 1,0 │
│после их уплотнения по
п. 10.8 │ │ │ │ │
│ Свалки грунтов и отходов производств│ 1,2 │ 1,0 │ 1,0 │ 0,8 │
│без уплотнения │ │ │ │ │
│ │
│ Примечания: 1. Величины R в
табл. 4 относятся к фундаментам│
│ 0 │
│с глубиной заложения h = 2 м. При глубине заложения фундаментов h < 2 м│
│ 1 │
│ h + h │
│ 1 │
│значения R понижаются умножением на коэффициент k = ------. │
│ 0 2h │
│ 1 │
│ 2. Величины R в последних двух позициях
табл. 4 относятся к свалкам│
│ 0 │
│и отходам производств с содержанием органических включений не более 10%. │
│ 3. Для неслежавшихся отвалов и свалок грунтов и отходов производств│
│значение R принимается по
табл. 4 с коэффициентом 0,8. │
│ 0 │
│ 4. Величину R для промежуточных значений G от 0,5 до 0,8 допускается│
│ 0 │
│определять интерполяцией. │
└─────────────────────────────────────────────────────────────────────────┘
2. При использовании в расчетах значений

, приведенных в
табл. 1 -
3, для окончательного назначения размеров фундаментов зданий и сооружений в случаях, указанных в
пп. 3.59 и
4.9 настоящей главы, величина расчетного давления на грунты основания R определяется по формулам (1) и
(2) настоящего приложения; при этом принимается, что значения

(в
табл. 1 -
3) относятся к фундаментам, имеющим ширину

и глубину заложения

.
При h <= 2 м

; (1)
при h > 2 м

, (2)
где

- условные значения расчетного давления (
табл. 1 -
3 настоящего приложения), соответствующие фундаментам с шириной

и глубиной заложения

;
b и h - соответственно фактические ширина и глубина заложения фундамента, м;

- расчетное значение объемного веса грунта, расположенного выше подошвы фундамента, тс/м3;

- коэффициент, учитывающий влияние ширины фундамента, принимаемый для оснований, сложенных крупнообломочными и песчаными грунтами, кроме пылеватых песков,

, пылеватыми песками и глинистыми грунтами

;

- коэффициент, учитывающий влияние глубины заложения фундамента, принимаемый для оснований, сложенных крупнообломочными и песчаными грунтами,

, супесями и суглинками

и глинами

.
КОЭФФИЦИЕНТЫ ДЛЯ РАСЧЕТА НЕСУЩЕЙ СПОСОБНОСТИ ОСНОВАНИЙ
Коэффициенты для расчета по
формуле (28) п. 3.78 настоящей главы несущей способности оснований, сложенных нескальными однородными грунтами, находящимися в стабилизированном состоянии, определяются следующим образом:
а)

,

и

- коэффициенты несущей способности - по графику
рис. 1 настоящего приложения в зависимости от

, где

- расчетное значение угла внутреннего трения, определяемое по
пп. 3.13 -
3.15;
б)

,

и

- коэффициенты влияния наклона нагрузки - по графику
рис. 2 в зависимости от

и

(где

- угол наклона к вертикали равнодействующей всех сил, действующих на фундамент в уровне его подошвы);
в)

,

и

- коэффициенты влияния соотношения сторон фундамента - по формулам:

; (1)

; (2)

, (3)
где

; здесь l и b - длина и ширина подошвы фундамента, принимаемые в случае эксцентриситета приложения равнодействующей равными приведенным значениям

и

, определяемым согласно указаниям
п. 3.74 настоящей главы.
Рис. 1. Графики для определения коэффициентов
Рис. 2. Графики для определения
коэффициентов наклона нагрузки
ПРОВЕРКА УСТОЙЧИВОСТИ ФУНДАМЕНТОВ ПРИ ДЕЙСТВИИ СИЛ
МОРОЗНОГО ПУЧЕНИЯ ГРУНТОВ ОСНОВАНИЙ
1. Расчет устойчивости положения фундаментов при действии сил морозного пучения грунтов основания должен производиться в случаях, когда грунты, соприкасающиеся с боковой поверхностью фундаментов или расположенные под их подошвой, являются пучинистыми и возможно их промерзание.
2. К пучинистым грунтам следует относить пески мелкие и пылеватые, а также глинистые грунты и крупнообломочные с глинистым заполнителем, если уровень грунтовых вод расположен на глубине, незначительно превышающей расчетную глубину промерзания этих грунтов (
п. 4 настоящего приложения).
Примечание. Пески крупные и средней крупности, крупнообломочные грунты с песчаным заполнителем и скальные грунты при любом положении уровня грунтовых вод относятся к непучинистым грунтам.
3. При проверке действия сил морозного пучения на положение фундаментов следует учитывать, что:
а) чем ближе уровень грунтовых вод к глубине промерзания, тем грунты обладают большей степенью пучинистости и потому большей величиной сил пучения;
б) поскольку расчетная глубина промерзания по
пп. 3.32 -
3.34 и
3.39 настоящей главы зависит от теплового режима и конструктивных особенностей возводимых зданий и сооружений, то один и тот же грунт у фундаментов различных зданий может обладать неодинаковой степенью пучинистости.
4. Степень морозной пучинистости грунтов определяется по табл. 1 в зависимости от положения уровня грунтовых вод z ниже расчетной глубины промерзания грунта у фундаментов, а для глинистых грунтов - и от их консистенции

. В случае несовпадения результатов определения по обоим показателям степень пучинистости принимается наибольшей из полученных.
Таблица 1
Степень морозной пучинистости грунтов
┌────────────────┬──────────────────────────────────────────────────────────────┬────────────────┐
│ Наименование │ Пределы положения z, м, уровня грунтовых вод ниже расчетной │ Консистенция │
│ грунта │ глубины промерзания грунта у фундамента │ глинистого │
│ по степени ├────────┬────────────┬────────────┬──────────────┬────────────┤ грунта I │
│ морозной │ песок │ песок │ супесь │ суглинок │ глина │ L │
│ пучинистости │ мелкий │ пылеватый │ │ │ │ │
├────────────────┼────────┼────────────┼────────────┼──────────────┼────────────┼────────────────┤
│Сильнопучинистый│ - │ - │ z <= 0,5 │ z <= 1 │ z <= 1,5 │ I > 0,5 │
│ │ │ │ │ │ │ L │
├────────────────┼────────┼────────────┼────────────┼──────────────┼────────────┼────────────────┤
│Среднепучинистый│ - │ z <= 0,5 │0,5 < z <= 1│ 1 < z <= 1,5 │1,5 < z <= 2│0,25 < I <= 0,5│
│ │ │ │ │ │ │ L │
├────────────────┼────────┼────────────┼────────────┼──────────────┼────────────┼────────────────┤
│Слабопучинистый │z <= 0,5│0,5 < z <= 1│1 < z <= 1,5│1,5 < z <= 2,5│ 2 < z <= 3 │ 0 < I <= 0,25 │
│ │ │ │ │ │ │ L │
├────────────────┼────────┼────────────┼────────────┼──────────────┼────────────┼────────────────┤
│Практически │z > 0,5 │ z > 1 │ z > 1,5 │ z > 2,5 │ z > 3 │ I <= 0 │
│непучинистый │ │ │ │ │ │ L │
│ │
│ Примечания: 1. Консистенция глинистых грунтов I должна приниматься │
│ L │
│по их природной влажности, соответствующей периоду начала промерзания │
│до миграции влаги в результате действия отрицательных температур). │
│ При наличии в пределах расчетной глубины промерзания глинистых грунтов │
│различной консистенции степень морозной пучинистости этих грунтов в целом │
│принимается по среднему взвешенному значению их консистенции I . │
│ L │
│ 2. Уровень грунтовых вод должен приниматься с учетом прогноза его │
│изменения согласно требованиям
пп. 3.17 -
3.20 настоящей главы. │
│ 3. Крупнообломочные грунты с глинистым заполнителем, содержащим │
│в своем составе более 30% по весу частиц размером менее 0,1 мм, │
│при положении уровня грунтовых вод ниже расчетной глубины промерзания │
│более чем на 1 м должны относиться к среднепучинистым грунтам, а менее 1 м │
│должны относиться к сильнопучинистым. │
└────────────────────────────────────────────────────────────────────────────────────────────────┘
5. Устойчивость положения фундаментов при действии касательных сил морозного пучения грунтов, прилегающих к их боковой поверхности, должна проверяться по условию

, (1)
где

- нормативная нагрузка на основание в уровне подошвы фундамента, кгс;

- нормативное значение силы, удерживающей фундамент от выпучивания вследствие трения его боковой поверхности о талый грунт, расположенный ниже расчетной глубины промерзания, определяемое по указаниям
п. 6 настоящего приложения, кгс;

- коэффициент перегрузки, принимаемый равным 0,9;
n - коэффициент перегрузки, принимаемый равным 1,1;

- нормативное значение удельной касательной силы пучения, принимаемое равным 1; 0,8 и 0,6 кгс/см2 соответственно для сильнопучинистых, среднепучинистых и слабопучинистых грунтов;
F - площадь боковой поверхности части фундамента, находящейся в пределах расчетной глубины промерзания грунта, см2.
Примечание. Значение

, отличное от указанного выше, допускается принимать лишь при соответствующем обосновании на основе специальных исследований в полевых условиях.
6. Нормативное значение силы, удерживающей фундамент от выпучивания

вследствие трения его боковой поверхности о талый грунт, определяется по формуле

, (2)
где

- нормативное значение удельного сопротивления сдвигу талого грунта основания по боковой поверхности фундамента, определяемое по результатам опытных исследований; при их отсутствии значение

допускается принимать для песчаных грунтов равным 0,3 кгс/см2 и для глинистых 0,2 кгс/см2;

- площадь боковой поверхности фундамента, находящейся ниже слоя, подвергающегося зимнему промерзанию, см2.
7. Проверка фундамента на действие касательных сил морозного пучения грунтов должна производиться как для законченного здания или сооружения, так и для незавершенного строительством.
Если при этом окажется, что
условие (1) настоящего приложения не обеспечивается, то в проекте должны быть предусмотрены соответствующие мероприятия по устранению или ослаблению действия сил морозного пучения, например: предохранение грунтов от увлажнения и промерзания; применение для засыпки пазух фундаментов непучинистых или менее пучинистых грунтов; нанесение на фундаменты специальных обмазок и покрытий, уменьшающих или исключающих смерзание грунта с боковой поверхностью фундаментов; увеличение глубины заложения фундаментов; придание опорным подушкам и плитам фундаментов роли анкеров с их расположением ниже глубины промерзания и др.
8. В случае применения фундаментов анкерного типа сила

, удерживающая фундамент от выпучивания, должна определяться по формуле

, (3)
где

- среднее нормативное значение веса грунта, расположенного выше поверхности анкерной части фундамента;

- площадь верхней поверхности анкерной части фундамента, воспринимающей вес вышерасположенного грунта;

- заглубление анкерной части фундамента от ее верхней поверхности до отметки планировки.
9. Для восприятия фундаментами удерживающей силы

, определяемой по
формулам (2) или
(3), необходимо обеспечивать надлежащую прочность на растяжение поперечного сечения тела фундаментов и соответствующих соединений отдельных элементов сборных фундаментов.
10. При возможности промерзания пучинистых грунтов под подошвой фундамента должна производиться проверка устойчивости фундамента при совместном действии касательных и нормальных сил морозного пучения.
Проверка выполняется по формуле

, (4)

- площадь подошвы фундамента, см2;

- глубина промерзания грунта, считая от подошвы фундамента, см;

- нормативное значение нормального давления морозного пучения, создаваемое 1 см промороженного слоя грунта, определяемое опытным путем, кгс/см3; при отсутствии опытных данных для средне- и слабопучинистых грунтов значение

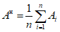
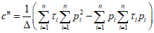
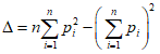
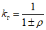
допускается принимать равным 0,06 кгс/см3, а для сильнопучинистых - 0,1 кгс/см3.