Главная // Актуальные документы // РуководствоСПРАВКА
Источник публикации
М.: Стройиздат, 1977
Примечание к документу
Документ фактически утратил силу с 01.01.1986 в связи с изданием Постановления Госстроя СССР от 20.08.1984 N 136, отменившего
СНиП II-21-75.
Название документа
"Руководство по проектированию железобетонных сборно-монолитных конструкций"
"Руководство по проектированию железобетонных сборно-монолитных конструкций"
ПО ПРОЕКТИРОВАНИЮ ЖЕЛЕЗОБЕТОННЫХ
СБОРНО-МОНОЛИТНЫХ КОНСТРУКЦИЙ
Рекомендовано секцией научно-технического совета НИИЖБ.
Руководство содержит основные положения по проектированию сборно-монолитных конструкций. Дает методы расчета по образованию трещин и по деформациям с учетом особенностей возведения и работы сборно-монолитных конструкций.
В
разделе "Конструктивные требования" содержатся только рекомендации, отражающие специфику сборно-монолитных конструкций.
Руководство предназначено для инженерно-технических работников проектных и научно-исследовательских организаций.
Табл. 8, рис. 21.
Настоящее Руководство распространяется на проектирование железобетонных элементов сборно-монолитных конструкций зданий и сооружений для промышленного, гражданского и сельскохозяйственного строительства из тяжелого и легкого бетонов на цементном вяжущем, работающих при температурах не выше плюс 50 °C и не ниже минус 70 °C.
Рассматриваются элементы железобетонных сборно-монолитных конструкций, поперечные сечения которых состоят из сборных элементов и дополнительно уложенных на месте использования конструкции монолитного бетона и арматуры.
В рекомендациях по расчету прочности, трещиностойкости и деформаций принята методика главы
СНиП II-21-75 с учетом результатов отечественных и зарубежных исследований сборно-монолитных конструкций.
Текст главы
СНиП II-21-75 отмечен в Руководстве слева на полях чертой, а номера пунктов и таблиц СНиП указаны в скобках рядом с номерами соответствующих пунктов и таблиц Руководства. Формулам и рисункам, во избежание усложнения, дана только нумерация Руководства.
Руководство разработано лабораторией предварительно-напряженных железобетонных конструкций НИИЖБ Госстроя СССР (канд. техн. наук А.Е. Кузьмичев). При составлении рекомендаций по конструированию и примеров расчета использованы материалы, подготовленные соответственно НИИСКом и ЦНИИПромзданий Госстроя СССР.
Замечания и предложения просьба направлять по адресу: 109389, Москва, 2-я Институтская ул., 6.
Дирекция НИИЖБ
1. ОСНОВНЫЕ ПОЛОЖЕНИЯ ПО ПРОЕКТИРОВАНИЮ
1.1. В Руководстве рассматриваются элементы железобетонных сборно-монолитных конструкций, поперечные сечения которых состоят из заранее изготовленных (именуемых в дальнейшем сборными) элементов и дополнительно уложенных на месте использования конструкции монолитного бетона и арматуры.
1.2. В качестве сборных элементов можно применять как специально запроектированные, так и типовые железобетонные обычные или преднапряженные элементы сборных конструкций (балки, плиты, ригели, доски, бруски и т.п.).
Сборные элементы рекомендуется проектировать так, чтобы они отвечали условиям механизированного изготовления их на специализированных предприятиях и по возможности использовались в качестве опалубки во время монтажа конструкции.
Размеры сборных элементов назначают из условий простоты их изготовления, эффективного расположения в конструкции и обеспечения требуемой поверхности контакта с бетоном, уложенным на месте использования (дополнительно уложенным бетоном).
Для сборных элементов, воспринимающих собственный вес бетона и другие нагрузки, действующие при возведении конструкции, рекомендуется применять конструкции прямоугольного, таврового, двутаврового и коробчатого сечений, в виде "ТТ", корытообразные, лотковые (рис. 1). Для сборных элементов, воспринимающих только собственный вес бетона, целесообразно применять тонкостенные плоские, складчатые и решетчатые конструкции
(рис. 2).
Рис. 1. Сечения сборно-монолитных элементов
со сборными элементами (заштрихованы)
а - прямоугольными; б - тавровыми; в - двутавровыми;
г - в виде "ТТ"; д - корытообразными; е - лотковыми;
ж - коробчатыми; и - с досками; к - с брусками
Рис. 2. Сечения сборных элементов,
воспринимающих собственный вес бетона
а - предварительно-напряженные элементы;
б - обычные железобетонные элементы;
в - предварительно-напряженные с продольными гребнями
1 - струнобетонные доски; 2 - бруски; 3 - складчатые
элементы; 4 - решетчатые элементы; 5 - плоские;
6 - ребристые; 7 - сводчатые; 8 - доски
1.3 (1.14). При расчете элементов сборных конструкций на воздействие усилий, возникающих при их подъеме, транспортировании и монтаже, нагрузку от собственного веса элемента следует вводить в расчет с коэффициентом динамичности, равным: 1,8 - при транспортировании; 1,5 - при подъеме и монтаже. В этом случае коэффициент перегрузки к нагрузке от собственного веса элемента не вводится. Для указанных выше коэффициентов динамичности допускается принимать более низкие значения, если это подтверждено опытом применения конструкций, но не ниже 1,25. 1.4 (1.15). Сборно-монолитные конструкции должны рассчитываться по прочности, образованию и раскрытию трещин и по деформациям для следующих двух стадий работы конструкции: а) до приобретения бетоном, уложенным на месте использования конструкции (дополнительно уложенным бетоном), заданной прочности - на воздействие нагрузки от собственного веса этого бетона и других нагрузок, действующих на данном этапе возведения конструкции; б) после приобретения бетоном, уложенным на месте использования конструкции (дополнительно уложенным бетоном), заданной прочности - на нагрузки, действующие на этом этапе возведения и при эксплуатации конструкции. |
1.5. Надежную связь дополнительно уложенного бетона с бетоном сборных элементов рекомендуется осуществлять с помощью арматуры, выпускаемой из сборных элементов, путем устройства бетонных шпонок или шероховатой поверхности, продольных выступов (см.
рис. 10 -
12) либо с помощью других надежных проверенных способов. При этом в проектах рекомендуется предусматривать меры по обеспечению проектного положения выпущенной из сборных элементов арматуры, а также по защите ее от коррозии и давать указание о том, что поверхности сборных элементов конструкций, подлежащие обетонированию, должны быть тщательно очищены и промыты.
1.6. При проектировании сборно-монолитных конструкций с предварительно-напряженными сборными элементами следует руководствоваться требованиями
пп. 1.24 -
1.30 главы СНиП II-21-75. При этом при определении потерь предварительного напряжения от ползучести бетона по
пп. 6 и
9 табл. 4 главы СНиП II-21-75 напряжения

и

на уровне центров тяжести соответственно продольной арматуры
A и
A' вычисляют по формулам:

; (1)

. (2)
M1 - момент от собственного веса сборного элемента, дополнительно уложенного бетона и других постоянных нагрузок, возникающих в процессе возведения;
eон1 - расстояние от силы обжатия
Nо, определяемой с учетом потерь по
пп. 1 -
5 табл. 4 главы СНиП II-21-75, до центра тяжести сечения сборного элемента;
yа1 и

- расстояния от центра тяжести приведенного сечения сборного элемента соответственно до усилий

и

;
Fп1 и Jп1 - соответственно площадь и момент инерции приведенного сечения сборного элемента.
Определяют также потери предварительного напряжения от ползучести бетона от действия силы обжатия
Nо к моменту времени приложения
M1. При этом при вычислении напряжений

и

по
формулам (1) и
(2) момент
M1 принимают равным нулю.
Из указанных величин потерь от ползучести бетона принимают наибольшую.
Допускается использовать более точные методы для определения величин потерь от усадки и ползучести бетона, обоснованные в установленном порядке, если известны сорт цемента, состав бетона, условия изготовления и эксплуатации конструкции и т.п.
1.7. В дополнительно уложенном бетоне неразрезных сборно-монолитных конструкций в зонах с отрицательными опорными моментами разрешается применять в качестве надопорной арматуры сборные предварительно-напряженные элементы (доски, бруски и т.п.).
1.8. Материалы для сборно-монолитных конструкций и их характеристики принимают в соответствии с
разделом 2 главы СНиП II-21-75.
Примечание. Дополнительно уложенный бетон применяют, как правило, марки не ниже M 150. Допускается применение бетона M 75 и M 100 при отсутствии арматуры или наличии конструктивного армирования и обеспечения при этом требуемой морозостойкости, водонепроницаемости и сохранности арматуры.
2. РАСЧЕТ ЖЕЛЕЗОБЕТОННЫХ СБОРНО-МОНОЛИТНЫХ КОНСТРУКЦИЙ
ПО ПРЕДЕЛЬНЫМ СОСТОЯНИЯМ ПЕРВОЙ ГРУППЫ (ПО ПРОЧНОСТИ)
2.2 (3.9). Расчет по прочности элементов железобетонных конструкций должен производиться для сечений, нормальных к их продольной оси, а также для наклонных к ней сечений наиболее опасного направления; при наличии крутящих моментов следует проверить прочность пространственных сечений, ограниченных в растянутой зоне спиральной трещиной, наиболее опасного из возможных направлений. Кроме того, должен производиться расчет элементов на местное действие нагрузки (смятие, продавливание, отрыв). |
2.3. При наличии в сечении сборно-монолитного элемента напрягаемой и ненапрягаемой арматуры из сталей разных видов и классов каждый вид арматуры вводят в расчет прочности со своим расчетным сопротивлением. В этом случае в расчетных формулах произведения
RаFа и

заменяют суммой произведения расчетных сопротивлений на соответствующие площади сечений, а произведения
RаSа и

заменяют суммой произведения расчетных сопротивлений арматуры на статические моменты соответствующих площадей ее сечений.
При наличии в сечении сборно-монолитного элемента бетонов разных марок соответствующие части сечения вводят в расчет прочности с расчетными сопротивлениями, отвечающими этим маркам, но не превышающими утроенного расчетного сопротивления бетона наиболее низкой марки.
В таких элементах положение центра тяжести площади всего сечения бетона или его сжатой зоны, а также статические моменты Sо и Sб следует определять, приводя все сечение к бетону одной марки в соответствии с принятыми расчетными сопротивлениями.
Бетон сборного элемента, входящий в сжатую зону полного сечения сборно-монолитной конструкции, рекомендуется вводить в расчет прочности с расчетным сопротивлением не выше расчетного сопротивления бетона марки M 500.
2.4. При расчете прочности шва сопряжения величину продольного напряжения в сечениях на участках сборно-монолитного элемента с наклонными трещинами определяют по формуле

. (3)
Если имеются также нормальные трещины, то при расположении шва сопряжения в сжатой зоне сечения

определяют по
формуле (3), при расположении шва сопряжения в растянутой зоне сечения - по формуле

. (4)
Q - поперечная сила от внешней нагрузки в нормальном сечении сборно-монолитного элемента;
Jп - момент инерции сечения сборно-монолитного элемента, приведенного к бетону сборного элемента;
Sп - статический момент части сечения сборно-монолитного элемента, расположенной выше шва сопряжения, относительно оси, проходящей через центр тяжести сечения;
z - расстояние от равнодействующей усилий в растянутой арматуре до равнодействующей усилий в сжатой зоне сечения с трещиной (эпюру в сжатой зоне бетона допускается принимать прямоугольной).
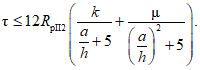
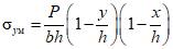
2.5. Рекомендуется, чтобы величина продольного скалывающего напряжения в горизонтальном шве сопряжения между бетоном сборного элемента и дополнительно уложенным бетоном изгибаемого элемента, определенная по
формуле (3) или
(4), не превышала

(5)
Здесь

- отношение расстояния от крайней опоры до первого сосредоточенного груза к высоте сечения
(рис. 3) (при действии равномерно распределенной нагрузки

);

- коэффициент поперечного армирования, %
(минимальный процент поперечного армирования - 0,15),
где Fх - площадь сечения поперечных стержней (хомутов), расположенных в одной, нормальной к продольной оси элемента плоскости, пересекающей поверхность сопряжения;
b - ширина сечения сборно-монолитного элемента по шву сопряжения;
u - шаг поперечных стержней (хомутов);
k - коэффициент шероховатости поверхности сопряжения;
равен 1 - для шероховатой поверхности сопряжения (имеющей примерно в равном количестве выступы и углубления не менее 10 мм, наибольший размер которых в плане не превышает 25% ширины шва сопряжения) или поверхности сопряжения со шпонками (размеры их назначают конструктивно) и 0,5 - для остальных поверхностей сопряжения;
RрII2 - величина расчетного сопротивления дополнительно уложенного бетона растяжению.
Рис. 3. Сборно-монолитная балка
1 - сборный элемент;
2 - дополнительно уложенный бетон; 3 - шов сопряжения
2.6. Расчет по прочности пространственных сечений (элементов, работающих на кручение с изгибом) производят в соответствии с
пп. 3.41 -
3.43 главы СНиП II-21-75.
2.7. Расчет элементов на местное действие нагрузок (на местное сжатие, продавливание, отрыв закладных деталей) производят в соответствии с
пп. 3.44 -
3.51 главы СНиП II-21-75.
2.8. Расчет элементов на выносливость производят в соответствии с
пп. 3.52 -
3.54 главы СНиП II-21-75.
2.9. Расчет на устойчивость формы и положения выполняют по соответствующим нормативным документам.
3. РАСЧЕТ ЭЛЕМЕНТОВ ЖЕЛЕЗОБЕТОННЫХ СБОРНО-МОНОЛИТНЫХ
КОНСТРУКЦИЙ ПО ПРЕДЕЛЬНЫМ СОСТОЯНИЯМ ВТОРОЙ ГРУППЫ
А. РАСЧЕТ ПО ОБРАЗОВАНИЮ ТРЕЩИН 3.1 (4.1). Железобетонные элементы рассчитываются по образованию трещин: нормальных к продольной оси элемента; наклонных к продольной оси элемента. |
Расчет по образованию трещин,
нормальных к продольной оси элемента
3.2. Расчет по образованию трещин, нормальных к продольной оси элемента, выполняют в соответствии с
пп. 1.17 и
1.18 главы СНиП II-21-75 и пп. 3.3 -
3.11 настоящего Руководства.
3.3 (4.3). При определении усилий, воспринимаемых сечениями элементов с предварительно-напряженной арматурой без анкеров, на длине зоны передачи напряжений lп.н (см. п. 2.30 главы СНиП II-21-75) при расчете по образованию трещин должно учитываться снижение предварительного напряжения в арматуре  и  путем умножения на коэффициент mа3 согласно поз. 3 табл. 24 главы СНиП II-21-75. |
3.4. В конструкциях, армированных предварительно-напряженными элементами, при определении усилий, воспринимаемых сечениями при образовании трещин в преднапряженных элементах, площадь растянутой зоны бетона, не подвергаемую предварительному напряжению, допускается в расчете не учитывать.
3.5. При проверке возможности исчерпания несущей способности одновременно с образованием трещин (см.
п. 1.20 главы СНиП II-21-75) усилие, воспринимаемое сечением при образовании трещин, определяют по
формулам (8),
(9) и
(10) с заменой значения
PрII1 на 1,2
PрII1 и при коэффициенте
mт = 1.
3.6 (4.10). Расчет по образованию трещин при действии многократно повторяющейся нагрузки производится из условия  , где  - максимальное нормальное растягивающее напряжение в бетоне, определяемое в соответствии с указаниями п. 3.52 главы СНиП II-21-75. Расчетное сопротивление бетона растяжению RрII вводится с коэффициентом условий работы mб2 по табл. 16 главы СНиП II-21-75. |
3.7. Рекомендуется, чтобы в сборных элементах нижнее краевое напряжение

от воздействия собственного веса бетона и других нагрузок, действующих при возведении сборно-монолитной конструкции, не превышало расчетное сопротивление бетона осевому растяжению
RрII1.
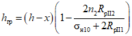
3.8. При расчете сборно-монолитных элементов по образованию трещин в сборных элементах различают три случая в зависимости от высоты h1 сборного элемента и расстояния h - h2 между нижними крайними волокнами бетона сборного элемента и дополнительно уложенного бетона. Граница hгр между этими случаями характеризуется состоянием сборно-монолитного элемента, когда трещины в сборном элементе и дополнительно уложенном бетоне возникают одновременно, и определяется по формуле

, (6)
где x - высота сжатой зоны сечения сборно-монолитного элемента, которую рекомендуется определять приближенно как для упругого материала, приводя сечение сборно-монолитного элемента к бетону сборного элемента;
RрII1 и RрII2 - расчетные сопротивления растяжению бетона соответственно сборного элемента и дополнительно уложенного бетона;
| | ИС МЕГАНОРМ: примечание. Текст абзаца дан в соответствии с официальным текстом документа. | |
10 - нижнее краевое напряжение в бетоне сборного элемента от действия силы обжатия Nо и момента M1;

.
При hгр <= h1 и hгр <= h - h2 сборно-монолитный элемент рассчитывают по первому случаю, при hгр > h1 и hгр > h - h2 - по второму, при hгр <= h1 и hгр > h - h2 - по третьему случаю.
В первом случае расчета пилообразная эпюра напряжений в бетоне преобразовывается в треугольную (рис. 4). Для этого эпюра в сжатой зоне дополняется на части сечения
5 -
6 -
7 -
8, а образовавшийся объем напряжений уравновешивается равной ему и противоположно направленной силой
N2. Во втором случае эпюра напряжений в растянутой зоне дополняется на части сечения
9 -
10 -
11 -
12 с трещиной
(рис. 5), а соответствующий объем напряжений заменяется равной и противоположно направленной силой
N1. Третий случай является комбинацией первого и второго случаев
(рис. 6).
Рис. 4. Схемы усилий и эпюры напряжений в поперечном сечении
сборно-монолитного элемента при расчете его по образованию
трещин, нормальных к продольной оси элемента, в зоне
сечения, растянутой до действия внешних нагрузок
(I случай) при изгибе
1 - сборный элемент; 2 - дополнительно уложенный бетон;
3 - ядровая точка; 4 - центр тяжести приведенного сечения;
5 - 6 - 7 - 8 - часть сечения
Рис. 5. Схемы усилий и эпюры напряжений в поперечном сечении
сборно-монолитного элемента при расчете его по образованию
трещин, нормальных к продольной оси элемента, в зоне
сечения, растянутой до действия внешних нагрузок
(II случай) при изгибе
1 - сборный элемент; 2 - дополнительно уложенный бетон;
3 - ядровая точка; 4 - центр тяжести приведенного сечения;
9 - 10 - 11 - 12 - часть сечения
Рис. 6. Схемы усилий и эпюры напряжений в поперечном сечении
сборно-монолитного элемента при расчете его по образованию
трещин, нормальных к продольной оси элемента,
в зоне сечения, растянутой от действия
внешних нагрузок (III случай)
а - при изгибе; б - при внецентренном сжатии;
в - при внецентренном растяжении
1 - сборный элемент; 2 - дополнительно уложенный бетон;
3 - ядровая точка; 4 - центр тяжести приведенного сечения;
5 - 6 - 7 - 8 и 9 - 10 - 11 - 12 - части сечения
3.9. Расчет сборно-монолитных элементов по образованию трещин в зоне сечения, растянутой от внешних нагрузок, производят с использованием преобразованных эпюр напряжения (см.
рис. 4 -
6) из условия

, (7)
где

- момент внешних сил, расположенных по одну сторону от рассматриваемого сечения, относительно оси, параллельной нулевой линии и проходящей через ядровую точку, наиболее удаленную от растянутой зоны, трещинообразование которой проверяют;
Mт - момент, воспринимаемый сечением, нормальным к продольной оси элемента, при образовании трещин и определяемый
в первом случае (см.
рис. 4) - по формуле

; (8)
во втором случае (см.
рис. 5) - по формуле

; (9)
в третьем случае (см.
рис. 6) - по формуле

. (10)

- момент силы обжатия
Nо относительно той же оси, что и для определения

; знак момента определяют направлением вращения ("плюс" - когда направления вращения моментов

и

противоположны; "минус" - когда направления совпадают).
Усилие Nо рассматривают:
для предварительно-напряженных элементов - как внешнюю сжимающую силу;
для элементов, выполняемых без предварительного напряжения, - как внешнюю растягивающую силу, определяемую по
формуле (9) главы СНиП II-21-75, принимая напряжения

и

в ненапрягаемой арматуре численно равными величине потерь от усадки бетона по
поз. 8 табл. 4 главы СНиП II-21-75.
Величину

определяют по формулам:
для изгибаемых элементов (см.
рис. 4 -
6,
а)

; (11)
для внецентренно-сжатых (см.
рис. 6,
б) и внецентренно-растянутых элементов (
рис. 6,
в) соответственно

. (12)
Величину

определяют по формуле (см.
рис. 4 -
6)

. (13)
rу - расстояние от центра тяжести приведенного сечения сборно-монолитного элемента до ядровой точки, наиболее удаленной от растянутой зоны, трещинообразование которой проверяют, определяют:
для внецентренно-сжатых, а также для изгибаемых предварительно-напряженных элементов по формуле

; (14)
для изгибаемых элементов, выполняемых без предварительного напряжения, а также для внецентренно-растянутых элементов по формуле

. (15)
W0 и
Wт - моменты сопротивления приведенного сечения сборно-монолитного элемента для крайнего растянутого волокна, определяемые соответственно как для упругого материала и с учетом неупругих деформаций растянутого бетона в предположении отсутствия продольной силы (см.
п. 3.11 настоящего Руководства);
Fп - приведенная площадь сечения сборно-монолитного элемента;
z1 и z2 - расстояния от точки приложения соответственно дополнительных сил N1 и N2 до ядровой точки, наиболее удаленной от растянутой зоны, трещинообразование которой проверяют.
Силы
N1 и
N2 определяют по формуле (см.
рис. 4 -
6):

. (17)
Fр1 - площадь части 9 - 10 - 11 - 12 приведенного сечения сборно-монолитного элемента с трещиной (см.
рис. 5 и
6,
а);
- площадь приведенного сечения дополнительно уложенного бетона;
yв2 и yн2 - расстояние от центре тяжести сечения дополнительно уложенного бетона соответственно до верхнего и нижнего волокон;

и

- краевые напряжения в дополнительно уложенном бетоне при преобразовании в нем пилообразной эпюры напряжений в треугольную (см.
рис. 4), определяемые через напряжение

в сборном элементе от воздействия силы обжатия
N0 и момента
M1 по формулам (при этом, если

, т.е. образуются трещины в верхней части сборного элемента,

)

, (18)
где h1 и h2 - высота сечения соответственно сборного элемента и дополнительно уложенного бетона;
z1 и z2 - определяют по формулам

, (20)
где e1 - расстояние от центра тяжести площади Fр1 до центра тяжести приведенного сечения сборно-монолитного элемента;
yн - расстояние от центра тяжести приведенного сечения сборно-монолитного элемента до нижнего волокна;
Jп2 - момент инерции приведенного сечения дополнительно уложенного бетона.
3.10. Расчет сборно-монолитных элементов по образованию трещин в дополнительно уложенном бетоне производят по
формуле (7). При этом
Mт определяют по формуле
где
Wт2 - момент сопротивления приведенного сечения дополнительно уложенного бетона, определяемый с учетом неупругих деформаций растянутого бетона (см.
п. 3.11 настоящего Руководства), по формуле

. (22)
Здесь

;

,
где Fп1 и Jп1 - соответственно площадь и момент инерции приведенного к дополнительно уложенному бетону сечения сборного элемента;
yн1 - расстояние от центра тяжести сечения сборного элемента до нижнего волокна;
rяв2 - расстояние от ядровой точки, наиболее удаленной от растянутой зоны, до центра тяжести дополнительно уложенного бетона, которое определяют по формуле

,
где Fп2 и Wп2 - соответственно площадь и момент сопротивления приведенного сечения дополнительно уложенного бетона, определяемые как для упругих материалов.
3.11. Величину момента сопротивления приведенного сечения для крайнего растянутого волокна с учетом неупругих деформаций растянутого бетона
Wт определяют в предположении отсутствия продольной силы
N и силы обжатия
Nо по формуле

, (23)
где (h - x) - расстояние от нулевой линии до наиболее растянутой грани сечения, равное

, (24)
где
Fи - площадь сжатой зоны бетона, дополненная в растянутой зоне прямоугольником шириной
b, равной ширине сечения по нейтральной оси, и высотой (
h -
x)
(рис. 7);
Sи - статический момент площади Fи относительно растянутой грани;
Fа и Sа - соответственно площадь и статический момент всей арматуры сечения относительно растянутой грани сечения;
Fуш - площадь уширений растянутой зоны за пределами прямоугольника b(h - x).
Рис. 7. К определению момента сопротивления
приведенного сечения Wт
В общем случае положение нулевой линии сечения определяют из условия

. (25)
Значение Wт допускается определять по формуле

, (26)
где

;

.
Значение Wт допускается также определять по табл. 1, исходя из момента сопротивления W0 приведенного сечения.
Таблица 1
ЗНАЧЕНИЕ КОЭФФИЦИЕНТА 
ДЛЯ ОПРЕДЕЛЕНИЯ МОМЕНТА СОПРОТИВЛЕНИЯ СЕЧЕНИЯ 
| Сечение | Значение коэффициента  | Форма поперечного сечения |
1. | Прямоугольное | 1,75 | |
2. | Тавровое с полкой, расположенной в сжатой зоне | 1,75 | |
3. | Тавровое с полкой (уширением), расположенной в растянутой зоне: | | |
при  независимо от отношения  | 1,75 |
при  и  | 1,75 |
при  и  | 1,5 |
| Двутавровое симметричное (коробчатое): | | |
при  независимо от отношений  | 1,75 |
при  независимо от отношений  | 1,5 |
при  и  | 1,5 |
при  и  | 1,25 |
при  и  | 1,1 |
5. | Двутавровое несимметричное, удовлетворяющее условию  : | | |
при  независимо от отношения  | 1,75 |
при  независимо от отношения  | 1,5 |
при  и  | 1,5 |
6. | Двутавровое несимметричное, удовлетворяющее условию  : | | |
при  независимо от отношения  | 1,5 |
при  и  | 1,5 |
при  и  | 1,25 |
7. | Двутавровое несимметричное, удовлетворяющее условию  : | | |
при  | 1,6 |
при  | 1,25 |
8. | Кольцевое и круглое | | |
9. | Крестовое: | | |
при  и  | 2 |
в остальных случаях | 1,75 |
Примечания: 1. Значения
bп и
hп соответствуют размерам полки, которая при расчете по образованию трещин является растянутой, а

и

- размерам полки, которая для этого случая расчета является сжатой.
2. W0 - момент сопротивления для растянутой грани сечения, определяемый по правилам сопротивления упругих материалов.
Расчет по образованию трещин,
наклонных к продольной оси элемента
3.12. Расчет сборно-монолитных элементов по образованию трещин, наклонных к продольной оси элемента, выполняют в соответствии с
п. 4.11 главы СНиП II-21-75, а для многократно повторяющихся нагрузок - по
п. 4.12.
При вычислении величин главных растягивающих напряжений в бетоне по
формуле (137) главы СНиП II-21-75 значение

определяют с учетом влияния предварительного напряжения, поперечной арматуры и отгибов, а также местных сжимающих напряжений

, возникающих вблизи мест приложения опорных реакций, сосредоточенных сил и распределенной нагрузки.
Напряжение
(рис. 8) определяют по формулам:
при y <= 0,4h и x <= 2,5y

; (27)
при y >= 0,4h и x < h

, (28)
где x и y - расстояния соответственно по горизонтали и вертикали от точки приложения нагрузки до точки, в которой определяют напряжения;
P - величина сосредоточенной силы или опорной реакции.
Рис. 8. Схема распределения местных сжимающих напряжений
вблизи места приложения опорных реакций
и сосредоточенных грузов
3.13. Расчет по раскрытию трещин, нормальных к продольной оси элемента, выполняют в соответствии с
пп. 4.14 и
4.15 главы СНиП II-21-75.
3.14. Расчет по раскрытию трещин, наклонных к продольной оси элемента, выполняют в соответствии с
п. 4.17 главы СНиП II-21-75.
3.15. Расчет по закрытию (зажатию) трещин, нормальных и наклонных к продольной оси элемента, выполняют в соответствии с
пп. 4.18,
4.19 и
4.21 главы СНиП II-21-75.
Примечание. Расчет по раскрытию и закрытию трещин, нормальных к продольной оси, в сборных элементах не производят, так как в них, согласно
п. 3.7 настоящего Руководства, трещины от воздействия собственного веса бетона и других нагрузок, действующих при возведении сборно-монолитных конструкций, не допускаются.
3.16. Деформации (прогибы, углы поворота) железобетонных сборно-монолитных элементов вычисляются по формулам строительной механики, определяя входящие в них величины кривизн в соответствии с рекомендациями настоящего раздела Руководства.
Величину кривизны определяют:
для участков элемента, где в растянутой зоне не образуются трещины, нормальные к продольной оси элемента, либо они закрыты, - как для сплошного тела;
для участков элемента, где в растянутой зоне имеются трещины, нормальные к продольной оси, - как отношение разности средних деформаций крайнего волокна сжатой зоны бетона и продольной растянутой арматуры к рабочей высоте сечения элемента.
Элементы или участки элементов рассматриваются без трещин в растянутой зоне, если трещины не образуются при действии постоянных, длительных и кратковременных нагрузок или они закрыты при действии постоянных и длительных нагрузок и отсутствии кратковременных нагрузок; при этом нагрузки вводят в расчет с коэффициентом перегрузки n = 1.
Определение кривизны элементов на участках
без трещин в растянутой зоне
3.17. На участках, где не образуются нормальные к продольной оси элемента трещины, полную величину кривизны изгибаемых, внецентренно-сжатых и внецентренно-растянутых железобетонных сборно-монолитных элементов определяют как для сплошного тела по формуле

. (29)
Здесь

и

- кривизны соответственно от кратковременных нагрузок (определяемых согласно
п. 1.13 главы СНиП II-21-75) и от длительного действия постоянных и длительных нагрузок (без учета усилия
Nо), определяемые по формуле

, (30)
где

- момент всех внешних сил, действующих после приобретения бетоном, уложенным на месте строительства, заданной прочности относительно оси, нормальной к плоскости действия изгибающего момента и проходящей через центр тяжести приведенного сечения сборно-монолитного элемента;
c - коэффициент, учитывающий влияние длительной ползучести бетона и принимаемый по
табл. 2 настоящего Руководства;
kп - коэффициент, учитывающий влияние кратковременной ползучести бетона и принимаемый: для бетона тяжелого, на пористых заполнителях при плотном мелком заполнителе, а также ячеистого - 0,85; для бетона на пористых заполнителях при пористом мелком заполнителе, поризованного - 0,7;

- кривизна от усадки дополнительно уложенного бетона, которую рекомендуется определять по
приложению 1 или на основе других экспериментально обоснованных методов расчета;
Jп - момент инерции сечения сборно-монолитного элемента, приведенного к бетону сборного элемента;
Eб1 - модуль упругости бетона сборного элемента.
Примечание. На участках, где имеются трещины в дополнительно уложенном бетоне (при отсутствии их в сборном элементе), площадь растянутой зоны, определяемой величиной
hгр по
формуле (6), не учитывают при вычислении момента инерции
Jп. При этом в
формуле (29) кривизна

;

- кривизна, обусловленная выгибом (прогибом) сборного элемента от кратковременного действия силы обжатия
Nо и момента
M1 и определяемая по формуле

. (31)
Нагрузки | Коэффициент c, учитывающий влияние длительной ползучести бетона на деформации элемента без трещин, для конструкций из бетона |
тяжелого, на пористых заполнителях (кроме вспученного перлитового песка), ячеистого | на пористых заполнителях с применением вспученного перлитового песка и поризованного |
1. | Кратковременные | 1 | 1 |
2. | Постоянные и длительные при влажности воздуха окружающей среды: | | |
а) выше 40% | 2 | 3 |
б) 40% и ниже | 3 | 4,5 |
Примечание. Влажность воздуха окружающей среды принимается согласно указаниям
п. 1.3 главы СНиП II-21-75.
Здесь eон1 - расстояние от точки приложения силы Nо до центра тяжести приведенного сечения сборного элемента;
M1 - момент от собственного веса сборного элемента, дополнительно уложенного бетона и других постоянных нагрузок, возникающих в процессе возведения;
Jп1 - момент инерции приведенного сечения сборного элемента;
Eб1 - модуль упругости бетона сборного элемента;

- кривизна, обусловленная выгибом сборного элемента вследствие усадки и ползучести бетона от совместного действия усилия
Nо и момента
M1 и определяемая по формуле

, (32)
где

и

- относительные деформации бетона сборного элемента, вызванные его усадкой и ползучестью от совместного действия усилия
Nо и момента
M1 и определяемые соответственно на уровне центра тяжести растянутой продольной арматуры и крайнего сжатого волокна бетона по формулам

. (33)
Величину

принимают численно равной сумме потерь предварительного напряжения арматуры от усадки и ползучести бетона (
поз. 6,
8 и
9 табл. 4 главы СНиП II-21-75) для арматуры растянутой зоны;

- то же, для напрягаемой арматуры, если бы она имелась на уровне крайнего сжатого волокна бетона;
h01 - рабочая высота сечения сборного элемента.
Для элементов без предварительного напряжения величины кривизн

и

равны нулю.
3.18. На участках, где образуются нормальные трещины, но при действии рассматриваемой нагрузки обеспечено их закрытие, величины кривизн

,

,

, входящие в
формулу (29), увеличиваются на 20%.
Определение кривизны элементов на участках с трещинами в растянутой зоне 3.19 (4.27). На участках, где образуются нормальные к продольной оси элемента трещины, кривизны изгибаемых, внецентренно-сжатых, а также внецентренно-растянутых при e0с >= 0,8 h0 сборно-монолитных элементов прямоугольного, таврового и двутаврового (коробчатого) сечений должны определяться по формуле  , (34) |
где Mз - момент (заменяющий) относительно оси, нормальной к плоскости действия момента и проходящей через центр тяжести площади сечения арматуры A, от всех внешних сил, расположенных по одну сторону от рассматриваемого сечения, и от усилия предварительного обжатия Nо;
Nс - равнодействующая продольной силы N и усилия предварительного обжатия Nо (при внецентренном растяжении сила N принимается со знаком "минус");
z1 - расстояние от центра тяжести площади сечения арматуры
A до точки приложения равнодействующей усилий в сжатой зоне сечения над трещиной, определяемое по
п. 3.20 настоящего Руководства;

- коэффициент, учитывающий работу растянутого бетона на участке с трещинами и определяемый по
п. 3.21 настоящего Руководства;

- коэффициент, учитывающий неравномерность распределения деформаций крайнего сжатого волокна бетона по длине участка с трещинами и принимаемый равным:
для тяжелого бетона и бетонов на пористых заполнителях проектных марок выше M 100 - 0,9;
для бетона на пористых заполнителях проектных марок M 100 и ниже и ячеистого - 0,7;
для конструкций, рассчитываемых на действие многократно повторяющейся нагрузки, независимо от вида и марки бетона - 1;

- относительная высота сжатой зоны бетона в сечении с трещиной, определяемая по
п. 3.20 настоящего Руководства;

- коэффициент, характеризующий упругопластическое состояние бетона сжатой зоны и принимаемый по табл. 3 настоящего Руководства;
Длительность действия нагрузки | Коэффициент  , характеризующий упругопластическое состояние бетона сжатой зоны, для конструкций из бетонов |
тяжелого; на пористых заполнителях (кроме вспученного перлитового песка) | на пористых заполнителях с применением вспученного перлитового песка и поризованного | ячеистого |
1. | Кратковременное действие нагрузки | 0,45 | 0,45 | 0,45 |
2. | Длительное действие нагрузки при влажности воздуха окружающей среды: | | | |
а) выше 40%; | 0,15 | 0,07 | 0,20 |
б) 40% и ниже | 0,10 | 0,04 | 0,10 |
Примечание. Влажность воздуха окружающей среды принимается согласно указаниям
п. 1.3 главы СНиП II-21-75.
yа1 - расстояние от центра тяжести растянутой арматуры до центра тяжести сечения сборного элемента;
Fп1 - площадь приведенного сечения сборного элемента.
Для элементов, выполняемых без предварительного напряжения, усилие Nо = 0.
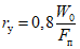
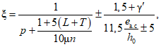
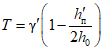
3.20 (4.28). Величина  вычисляется по формуле  (35) но принимается не более 1. Для второго слагаемого правой части формулы (35) верхние знаки принимаются при сжимающем, а нижние - при растягивающем усилии Nс. p - коэффициент, принимаемый для бетона: тяжелого, на пористых заполнителях и поризованного - 1,8; ячеистого - 1,4;  ; (36)  ; (37)  (38) eа.с - эксцентриситет силы Nс относительно центра тяжести площади сечения арматуры A; соответствует заменяющему моменту Mз (см. п. 3.19 настоящего Руководства) и определяется по формуле  . (39) |
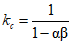
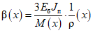
Величина z1 вычисляется по формуле  (40) Для внецентренно-сжатых элементов величина z1 должна приниматься не более 0,97eа.с. Для элементов прямоугольного сечения и таврового с полкой в растянутой зоне в формулы (37), (38) и (40) вместо величины  подставляются величины 2 a' или  соответственно при наличии или отсутствии арматуры A'. Расчет сечений, имеющих полку в сжатой зоне, при  производится как прямоугольных шириной  . Расчетная ширина полки  определяется согласно указаниям п. 3.16 главы СНиП II-21-75. 3.21 (4.29). Величина коэффициента  для конструкций из тяжелого бетона, бетона на пористых заполнителях определяется по формуле  (41) но принимается не более 1. При этом следует принимать  . Для изгибаемых элементов, выполняемых без предварительного напряжения арматуры, последний член в правой части формулы (41) принимается равным нулю. s - коэффициент, учитывающий влияние длительности действия нагрузки и принимаемый по табл. 4 настоящего Руководства;  , (42) но не более 1; здесь Wт - см. п. 3.11 настоящего Руководства;  и  - см. п. 3.9 настоящего Руководства; при этом за положительные принимаются моменты, вызывающие растяжение в арматуре A. Для конструкций, рассчитываемых на выносливость, значение коэффициента  принимается во всех случаях равным 1. |
Длительность действия нагрузки | Коэффициент s, учитывающий влияние длительности действия нагрузки, при проектной марке бетона |
выше M 100 | M 100 и ниже |
1. | Кратковременное действие нагрузки | | |
а) при стержневой арматуре: | | |
гладкой | 1 | 0,7 |
периодического профиля | 1,1 | 0,8 |
б) при проволочной арматуре | 1 | 0,7 |
2. | Длительное действие нагрузки (независимо от вида арматуры) | 0,8 | 0,6 |
3.22. Полную кривизну

для участка с трещинами в растянутой зоне определяют по формуле

, (43)
где

- кривизна от кратковременного действия всей нагрузки, которую рассчитывают по деформациям согласно
п. 1.21 главы СНиП II-21-75;

- кривизна от кратковременного действия постоянных и длительных нагрузок;

- кривизна от длительного действия постоянных и длительных нагрузок;

- кривизна сборно-монолитного элемента при погашении моментом от внешних нагрузок
Mп нижнего краевого напряжения

от воздействия силы обжатия
Nо и момента
M1, определяемая по формуле

. (44)
При этом при наличии трещин в дополнительно уложенном бетоне (и отсутствии их в сборном элементе) площадь растянутой зоны, определяемой величиной
hгр по
формуле (6), не учитывают при вычислении расстояния от центра тяжести до нижнего краевого волокна
yн.
Кривизны

,

и

определяют по
формуле (34); при этом кривизны

и

вычисляют при величинах

и

, отвечающих кратковременному действию нагрузки, а кривизну

- при величинах

и

, отвечающих длительному действию нагрузки. Если значения

и

оказываются отрицательными, то их принимают равными нулю.
3.23 (4.31). Прогиб fм, обусловленный деформацией изгиба, определяется по формуле  , (45) где  - изгибающий момент в сечении x от действия единичной силы, приложенной по направлению искомого перемещения элемента в сечении по длине пролета, для которого определяется прогиб;  - полная величина кривизны элемента в сечении x от нагрузки, при которой определяется прогиб; величину  определяют по формулам (29) и (43) соответственно для участков без трещин и с трещинами; знак  принимается в соответствии с эпюрой кривизны. Для изгибаемых элементов постоянного сечения без предварительного напряжения арматуры, имеющих трещины, на каждом участке, в пределах которого изгибающий момент не меняет знака, кривизну допускается вычислять для наиболее напряженного сечения, принимая кривизну для остальных сечений такого участка изменяющейся пропорционально значениям изгибающего момента (рис. 9). Рис. 9. Эпюры изгибающих моментов и кривизны для железобетонного элемента постоянного сечения а - схема расположения нагрузки; б - эпюра изгибающих моментов; в - эпюра кривизны 3.24 (4.32). Для изгибаемых элементов при l/ h < 10 необходимо учитывать влияние поперечных сил на их прогиб. В этом случае полный прогиб f равен сумме прогибов, обусловленных соответственно деформацией изгиба fм и деформацией сдвига fQ. |
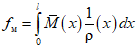
3.25 (4.33). Прогиб fQ, обусловленный деформацией сдвига, определяется по формуле  , (46) где  - поперечная сила в сечении x от действия по направлению искомого перемещения единичной силы, приложенной в сечении, где определяется прогиб;  - деформация сдвига, определяемая по формуле  ; (47) здесь Q(x) - поперечная сила в сечении x от действия внешней нагрузки; G - модуль сдвига бетона (см. п. 2.17 главы СНиП II-21-75);  - коэффициент, учитывающий влияние трещин на деформации сдвига и принимаемый равным: на участках по длине элемента, где отсутствуют нормальные и наклонные к продольной оси элемента трещины, - 1; на участках, где имеются только наклонные к продольной оси элемента трещины, - 4,8; на участках, где имеются только нормальные или нормальные и наклонные к продольной оси элемента трещины, - по формуле  , где M( x) и  - соответственно момент от внешней нагрузки и полная кривизна в сечении x от нагрузки, при которой определяется прогиб; c - коэффициент, учитывающий влияние длительной ползучести бетона и принимаемый по табл. 2 настоящего Руководства. 3.26 (4.34). Для сплошных плит толщиной менее 25 см, армированных плоскими сетками, с трещинами в растянутой зоне значения прогибов, подсчитанные по формуле (45), умножаются на коэффициент  , принимаемый не более 1,5, где h0 - в см. |
3.27. Полный прогиб элемента рекомендуется определять по формуле

. (48)
Здесь
fM - прогиб, обусловленный деформацией изгиба и вычисляемый согласно
п. 3.23 настоящего Руководства; для элементов постоянного сечения, работающих как свободно опертые или консольные балки, прогиб допускается определять по формуле

, (49)
где
s - коэффициент, определяемый по
табл. 5 [
s = 0,125 при определении части прогиба (выгиба) от действия силы
Nо];

- кривизна в сечении сборно-монолитного элемента с наибольшим изгибающим моментом, определяемая по
формулам (29) и
(43);
k1 - коэффициент, учитывающий влияние на прогиб элемента поперечных сил и принимаемый равным:
при отсутствии как нормальных, так и наклонных трещин

,
при наличии нормальных или наклонных трещин, а также одновременно тех и других

;
при

допускается величину

принимать равной нулю.
Прогибы элементов сборно-монолитных конструкций не должны превышать предельно допустимые величины в соответствии с
п. 1.21 главы СНиП II-21-75.
Схема загружения | Значение коэффициента s |
Консоли | |
| |
| |
| |
Свободно опертой балки | |
| |
| |
| |
Примечание. При загружении элемента одновременно по нескольким схемам из представленных в табл. 5 коэффициент
s равен

, где
s1,
M1,
s2,
M2 и т.д. - коэффициент
s и наибольший изгибающий момент для каждой схемы загружения.
4. КОНСТРУКТИВНЫЕ ТРЕБОВАНИЯ
4.1. При проектировании сборно-монолитных железобетонных конструкций для обеспечения условий их изготовления, долговечности и совместной работы арматуры и бетона надлежит выполнять конструктивные требования главы
СНиП II-21-75 и излагаемые ниже рекомендации. В целях повышения индустриализации изготовления и монтажа сборно-монолитных конструкций целесообразно применять крупные сборные элементы и располагать в них основную часть рабочей продольной растянутой арматуры.
4.2 (5.55). В сборно-монолитных железобетонных конструкциях должно обеспечиваться сцепление предварительно-напряженных элементов с бетоном, уложенным на месте использования конструкции, а также анкеровка их концевых участков. Совместная работа элементов в поперечном направлении, кроме того, должна обеспечиваться соответствующими мероприятиями (установкой поперечной арматуры или предварительным напряжением элементов в поперечном направлении). |
4.3. На поверхностях сборных элементов, соприкасающихся с дополнительно уложенным бетоном, следует устраивать шпонки, шероховатость поверхностей контакта, продольные выступы и пазы, в соответствии с расчетными или конструктивными требованиями выпускать арматуру.
Шероховатость поверхности может быть достигнута естественным (незаглаженный бетон) и искусственным путем (насечка, обдирка поверхностного слоя, химический способ и др.).
Шпонки (рис. 10) и другие виды сопряжений
(рис. 11) рекомендуется устраивать по поверхностям, где затруднено получение естественной шероховатости (например, по поверхностям, соприкасающимся с опалубкой).
а - зубчатые; б - прямоугольные
1 - сборный элемент; 2 - дополнительно уложенный бетон
Рис. 11. Сопряжения сборных элементов
с дополнительно уложенным бетоном
а - ригеля с плитами; б - плит между собой
1 - сборный элемент; 2 - дополнительно уложенный бетон;
3 - продольный выступ или паз
Выпуски арматуры, как правило, должны быть продолжением хомутов, поперечных стержней, сварных каркасов, продольной рабочей арматуры (рис. 12). Чтобы не усложнять изготовление сборных элементов, рекомендуется выпускать арматуру по возможности из свободных от опалубки поверхностей. Выпускаемые стержни должны иметь надежную анкеровку в дополнительно уложенном бетоне.
Рис. 12. Выпуски арматуры из сборных элементов
а - поперечной; б - продольной
При расположении сборных элементов внутри дополнительно уложенного бетона вместо выпусков поперечной арматуры разрешается устанавливать снаружи сборных элементов сварные каркасы с поперечной арматурой по всей высоте сборно-монолитного элемента. В сборно-монолитных конструкциях, армированных преднапряженными сборными элементами, сварные каркасы улучшают анкеровку концевых участков сборных элементов в дополнительно уложенном бетоне. Кроме того, для связи между отдельными досками и брусками рекомендуется устанавливать дополнительную арматуру в виде отдельных стержней или сварных сеток (рис. 13).
Рис. 13. Сборно-монолитная плита,
армированная предварительно-напряженными элементами
1 - предварительно-напряженный элемент; 2 - сварная сетка
4.4. При расположении арматуры в дополнительно уложенном бетоне необходимо предусматривать зазоры между арматурой и поверхностью сборного элемента, а также между рядами арматуры соседних сборных элементов, обеспечивающие заполнение швов бетоном или раствором и защиту арматуры от коррозии.
4.5. В сборно-монолитных конструкциях, на опорах которых в результате замоноличивания стыков (сварки выпусков арматуры; укладки в швах между элементами дополнительной арматуры, перекрывающей стык; установки поверх стыкуемых конструкций железобетонных элементов, перекрывающих стык и др.) (рис. 14 -
16) могут возникнуть отрицательные опорные моменты, рекомендуется назначать площадь сечения надопорной арматуры в соответствии с действующими нормативными документами по расчету статически неопределимых железобетонных конструкций с учетом перераспределения усилий. Места обрыва этой арматуры определяют согласно
п. 3.40 главы СНиП II-21-75.
Рис. 14. Сопряжение балок и плит
1 - главная балка; 2 - второстепенная балка;
3 - плита; 4 - выпуски арматуры
Рис. 15. Сопряжение плит
1 - ригель; 2 - дополнительно уложенный бетон; 3 - плита;
4 - выпуски арматуры из плит; 5 - надопорная арматура
Рис. 16. Сборно-монолитное покрытие
одноэтажного промышленного здания
1 - ригель; 2 - дополнительно уложенный бетон;
3 - плита; 4 - выпуски арматуры
4.6. В неразрезных сборно-монолитных перекрытиях шпонки или крупную шероховатость со стороны верхней растянутой зоны (на приопорных участках) необходимо предусматривать не только на участке с отрицательными опорными моментами, но и за нулевой точкой эпюры моментов, до места обрыва расчетной продольной арматуры.
В сжатой зоне сборно-монолитной конструкции допускается не принимать специальных конструктивных мер по приданию поверхностям сборных элементов шероховатости, если величина скалывающих напряжений по поверхности контакта между сборными элементами и дополнительно уложенным бетоном не превышает 0,25RрII2.
4.7. Для анкеровки сборных элементов на опорах должны предусматриваться выпуски поперечной арматуры, шпонки, приливы и т.д. (рис. 17); кроме того, длина анкеровки сборного элемента за осью опоры должна быть не менее требуемой
п. 2.30 главы СНиП II-21-65 длины зоны передачи напряжения
lп.н находящейся в нем арматуры.
Рис. 17. Конструкции опорных участков сборных элементов
а - в предварительно напряженных брусках;
б - в сборных элементах для неразрезных балок;
в - в сборных элементах для неразрезных плит
ОПРЕДЕЛЕНИЕ УСАДОЧНЫХ ДЕФОРМАЦИЙ И НАПРЯЖЕНИЙ
На
рис. 18,
а показано напряженное, а на
рис. 18,
б - деформированное состояние в сборно-монолитном элементе от воздействия усадки и ползучести бетонов:

и

,

и

- краевые усадочные напряжения соответственно в сборном элементе и в дополнительно уложенном бетоне;

и

,

и

- относительные краевые усадочные деформации соответственно в сборном элементе и в дополнительно уложенном бетоне;

и

- относительные деформации свободной усадки бетона соответственно сборного элемента и дополнительно уложенного бетона;

и

- относительные краевые деформации ползучести в бетоне сборного элемента от воздействия
Nо и
M1.
Рис. 18. Напряженно-деформированное состояние
в сборно-монолитном элементе от воздействия усадки
в дополнительно уложенном бетоне
а - напряженное; б - деформированное
1 - сборный элемент; 2 - дополнительно уложенный бетон;
3 - шов сопряжения
Из гипотезы плоских сечений следует, что кривизны сборно-монолитного элемента

и составляющих его частей (сборного элемента

и дополнительно уложенного бетона

) равны между собой и любая из них может быть использована при определении прогибов. Практически удобно использовать выражение кривизны для сборного элемента или дополнительно уложенного бетона

, (50)
так как при определении прогибов используют значения краевых деформаций, в которые не входят деформации свободных усадок бетона (
рис. 18,
б).

. (51)

; (52)

(53)

; (54)

; (55)

; (56)

; (57)

; (58)
eв1 и eн2 - расстояния от шва сопряжения до центра тяжести сечения соответственно сборного элемента и дополнительно уложенного бетона;

;

и

- нижняя и верхняя краевые деформации ползучести в сечении сборного элемента от действия силы
Nоп, возникающей в арматуре от потерь предварительного напряжения вследствие ползучести бетона;
Eб1 и Eб2 - модули упругости бетона соответственно сборного элемента и дополнительно уложенного бетона;
Jп1 и Jп2 - моменты инерции соответственно сборного элемента и дополнительно уложенного бетона;

, (59)
где Eб2(t) - модуль упругости дополнительно уложенного бетона к моменту времени t (допускается принимать равным Eб2);

- характеристика ползучести дополнительно уложенного бетона к моменту времени
t;
t - момент времени, к которому определяют прогиб сборно-монолитного элемента;

. (60)
Деформации усадки

и

определяют по формуле

. (61)

- предельная характеристика ползучести (
табл. 6 настоящего Руководства);

- предельная относительная деформация усадки (
табл. 6 настоящего Руководства);

- коэффициент, зависящий от влажности среды, в которой находится конструкция (
табл. 7 настоящего Руководства);

- коэффициент, учитывающий масштабный фактор (
табл. 8 настоящего Руководства);

- коэффициент, принимаемый равным 2 - для бетона естественного твердения; 1,5 - для бетона, подвергнутого тепловой обработке;

- коэффициент, зависящий от времени окончания влажного хранения или термовлажностной обработки

и принимаемый равным:
при

до 3 сут. - 1; при

до 7 сут. - 0,95; при

до 14 сут. - 0,75; при

до 28 сут. - 0,55.
Если в условиях строительства возраст бетона сборных элементов предполагается разный, рекомендуется ориентироваться на наихудшие условия работы сборно-монолитной конструкции и принимать, что усадка и ползучесть бетона сборных элементов полностью произошли (в главе
СНиП II-21-75 такой возраст условно принят равным 100 сут.), т.е. что воздействует только усадка дополнительно уложенного бетона.
Бетон | Значение |
| |
Обычный тяжелый (с крупным заполнителем): | | |
естественного твердения | 2 | 30 |
подвергнутый пропариванию | 1,8 | 25 |
Легкий (с крупным заполнителем): | | |
естественного твердения | 2,5 | 35 |
Мелкозернистый (песчаный) тяжелый: | | |
естественного твердения | 2,5 | 50 |
прогретый для вибропрокатных конструкций | 2 | 30 |
Мелкозернистый легкий: | | |
естественного твердения | 2,5 | 50 |
Подвергнутый пропариванию: | | |
пробужденный | 2,5 | 35 |
автоклавный мелкозернистый | 1,8 | 20 |
Относительная влажность, % | Значение коэффициента  | Относительная влажность, % | Значение коэффициента  |
20 | 1,3 | 70 | 0,8 |
30 | 1,2 | 80 | 0,7 |
40 | 1,1 | 90 | 0,6 |
50 | 1 | 100 | 0,5 |
60 | 0,9 | вода | 0,4 |
Наименьший размер поперечного сечения элемента, см | Значение коэффициента  | Наименьший размер поперечного сечения элемента, см | Значение коэффициента  |
< 5 | 1,6 | 30 | 0,9 |
5 | 1,5 | 40 | 0,8 |
7 | 1,3 | 50 | 0,75 |
10 | 1,15 | 60 | 0,7 |
15 | 1,05 | 80 | 0,55 |
20 | 1 | 100 | 0,5 |
25 | 0,95 | > 100 | 0,4 |
ПРИМЕРЫ РАСЧЕТА
Пример 1. Дано: сборно-монолитная плита перекрытия с ребристым потолком (рис. 19) имеет следующие характеристики: марка бетона сборного элемента M400 (
RпрII1 = 225 кгс/см
2,
Rр1 = 12 кгс/см
2,
RрII1 = 18 кгс/см
2,
Eб1 = 3,3·10
5 кгс/см
2), предварительно-напряженная арматура

из стали класса А-IV (
Fн = 12,32 см
2,
Rа = 5000 кгс/см
2,
Eа = 2·10
6 кгс/см
2), растянутая ненапрягаемая арматура

из стали класса А-III (
Fа = 1,57 см
2,
Rа = 3400 кгс/см
2,
Eа = 2·10
6 кгс/см
2), марка дополнительно уложенного бетона M200 (
Rпр2 = 90 кгс/см
2,
RрII2 = 11,5 кгс/см
2,
Eб2 = 2,4·10
5 кгс/см
2); нагрузка в стадии эксплуатации равномерно распределенная длительно действующая, равная: нормативная расчетная
qр = 4500 кгс/м, нормативная
qн = 3950 кгс/м; нагрузка, действующая в период строительства,
q1 = 850 кгс/м; расчетный пролет плиты при расчете по прочности
l = 580 см, по деформациям -
l = 570 см; усилие обжатия после проявления всех потерь
Nо = 42 100 кгс; предварительное напряжение в растянутой арматуре с учетом всех потерь

. Потери от ползучести в сборном элементе на уровне центра тяжести растянутой арматуры и крайнего сжатого волокна равны соответственно 1300 кгс/см
2 и 0.

Рис. 19. Сборно-монолитная плита перекрытия
с ребристым потолком
1 - сборный элемент; 2 - дополнительно уложенный бетон
Требуется рассчитать плиту по прочности и по деформациям.
Расчет
а) Определение геометрических характеристик сборного и сборно-монолитного элементов.
Для сечения дополнительно уложенного бетона

.
Для сечения сборного элемента

;

;

.
Для сечения сборно-монолитного элемента

;
Sп = Fп1·yн1 + Fп2n1(h - yв2) =
= 715·14,8 + 1200·0,73(40 - 4) = 42 100 см3;
расстояние от центра тяжести до низа ребра

;
Jп = Jп2n1 + Fп2n1(h - yн - yв2)2 + Jп1 + Fп1(yн - yн1)2 =
= 6400·0,73 + 1200·0,73(40 - 26,5 - 4)2 + 72 000 +
+ 715(26,5 - 14,8)2 = 254 000 см4;

;
расстояние от центра тяжести сечения до верхней ядровой точки определяют по
формуле (14)

.
б) Расчет по прочности нормального сечения.
Момент от внешней нагрузки в стадии эксплуатации

.
Определяем высоту сжатой зоны исходя из прочности дополнительно уложенного бетона:

,
т.е. сжатая зона располагается в дополнительно уложенном бетоне

;

;

.
Уточняем высоту сжатой зоны бетона

.
Проверяем прочность сечения

, т.е. прочность обеспечена.
в) Расчет по прочности наклонного сечения.
Расчетная поперечная сила на опоре

;
0,35bh0Rпр1 = 0,35·20·35·240 = 58 800 кгс > Q = 13 100 кгс.
Принимаем шаг поперечных стержней у опоры

.
Необходимая интенсивность поперечного армирования у опоры

.
Принимая хомуты класса А-I (Rа.х = 1700 кгс/см2), находим

.
Принимаем в нормальном сечении два поперечных стержня диаметром 8 мм (Fх = 1,01 см2).
Проверяем прочность шва сопряжения бетона сборного элемента и дополнительно уложенного бетона из
условия (5).
Так как

, в
условии (5) учитываем поперечное армирование.
Величину скалывающего напряжения в шве сопряжения определяем по
формуле (3).
Принимаем сечение, приведенное к дополнительно уложенному бетону, т.е.

;
b = 20n2 = 20·1,37 = 27,4 см;
Jп = 254 000; n2 = 254 000·1,37 = 348 000 см2.
Определяем величину статического момента полки
S = 8·150(40 - 26,5 - 4) = 11 400 см2;

.
k = 1 - как для шероховатой поверхности;

- как для равномерно распределенной нагрузки;

, т.е. прочность шва сопряжения обеспечена.
г) Расчет по деформациям.
Момент от эксплуатационной нагрузки в середине пролета
Определяем момент образования трещин. Для этого вычисляем величину
hгр по
формуле (6).
Находим напряжение

для сборного элемента в крайнем растянутом волокне от силы обжатия
Nо и момента
M1 от нагрузки

.
Принимаем
a = aн = 5 см.
Тогда
e01 = yн1 - aн = 14,8 - 5 = 9,8 см;
h - x = yн = 26,5 см;

.
Так как hгр < h1 = h - h2 = 32 см, расчет ведем по первому случаю.
Определяем силу
N2, уравновешивающую объем напряжений в дополнительно уложенном бетоне, по
формуле (17).
Для этого вычисляем:
напряжение в бетоне на уровне крайнего сжатого волокна сборного элемента
краевые напряжения в дополнительно уложенном бетоне по
формулам (18)

;
расстояние от центра тяжести дополнительно уложенного бетона до его крайних волокон
yв2 = 4 см; yн2 = h2 - yв2 = 8 - 4 = 4 см.

.
Расстояние от
N2 до верхней ядровой точки сборно-монолитного элемента
z2 определяем по
формуле (20)

.

.
Mт = 18·16 800 + 42 100(21,5 + 4,83) - 69 500·4,52 =
= 11 000 кгс·м = 11 тс·м < Mн = 16 тс·м,
т.е. имеют место трещины.
Определяем кривизну сборно-монолитного элемента в середине пролета по
формуле (43):
Mз = Mн = 16 тс·м.
Определяем относительную высоту сжатой зоны

по
формуле (35).
Принимая сечение, приведенное к бетону сборного элемента, имеем [см.
формулы (36) -
(39)]:

;

;

;

;

;
т.е. продолжаем расчет как для таврового сечения.

;

.
Кривизну сборно-монолитного элемента

в середине пролета определяем по
формуле (34)

.
Усадка в бетоне сборного элемента не вызывает изменения кривизны, поэтому по
формулам (33) 
, а

;

.
Определяем кривизну сборно-монолитного элемента в середине пролета по
формуле (43)

.
Так как

, принимаем
f =
fм.
fм = 40·10-6·0,104·5702 = 1,35 см.
Согласно
поз. 3 табл. 2 главы СНиП II-21-75,
fдоп = 2,5 см, т.е. прогиб меньше предельно допустимого.
Пример 2. Дано: сборно-монолитная плита покрытия типа "ТТ" (рис. 20) имеет следующие характеристики: марка бетона сборного элемента M400 (
R0 = 280 кгс/см
2,
RрII1 = 18 кгс/см
2,
Eб1 = 3·10
5 кгс/см
2); предварительно-напряженная арматура

из канатов К-7 (
Fн = 3,64 см
2;
RаII = 17000 кгс/см
2,
Eа = 1,8·10
6 кгс/см
2); марка дополнительно уложенного бетона M200 (
RрII2 = 11,5 кгс/см
2,
Eб2 = 1,9·10
5 кгс/см
2); нормативная длительно действующая равномерно распределенная нагрузка
q = 360 кгс/см
2, нормативная нагрузка от собственного веса сборного элемента равна 118 кгс/м
2, расчетный пролет плиты
l = 1176 см; возраст бетона сборных элементов к моменту передачи на него усилия натяжения составляет 1 сут, а к моменту укладки дополнительно уложенного бетона 3 сут, дополнительно уложенного бетона к моменту нагружения - более 100 сут; относительная влажность среды, в которой находится конструкция, 70%.
Рис. 20. Сборно-монолитная плита покрытия типа "ТТ"
Требуется рассчитать плиту по образованию трещин и по деформациям.
Расчет
а) Определение геометрических характеристик.
Для сечения сборного элемента

;

;

;

.
Для сечения дополнительно уложенного бетона

;

.
Для сечения сборно-монолитного элемента

;
Sп = Fп1yн1 + Fп2n1(h1 + yн2) =
= 705·23,3 + 780·0,63(44 + 3) = 39 500 см3;

;
Jп = Jп2n1 + Fп2n1(yв - yв2)2 + Jп1 + Fп1(yн - yн1)2 =
= 2340 + 780·0,63(17,1 - 3)2 + 107 500 +
+ 705(32,9 - 23,3)2 = 272 500 см4;

.
Расстояние от центра тяжести сечения до верхней ядровой точки определяем по
формуле (14)

.
б) Расчет по образованию трещин.
Момент от нормативной нагрузки в середине пролета

;
момент от собственного веса сборного элемента

.
Контролируемое напряжение принимаем

.
Потери предварительного напряжения арматуры от релаксации, согласно
поз. 1 табл. 4 главы СНиП II-21-75,

.
Потери от деформации форм, согласно
поз. 5 табл. 4 главы СНиП II-21-75, равны 300 кгс/см
2. Предварительное напряжение за вычетом указанных потерь
11 400 - 920 - 300 = 10 180 кгс/см2.
Определяем предварительное напряжение бетона по
формуле (1)

;
потери предварительного напряжения арматуры от ползучести бетона, согласно
поз. 6 и
9 табл. 4 главы СНиП II-21-75, для бетона, подвергнутого тепловой обработке:

;

.
Потери предварительного напряжения от усадки бетона, согласно
поз. 8 табл. 4 главы СНиП II-21-75, равны 350 кгс/см
2.
Определяем предварительное напряжение за вычетом всех потерь

.
Определяем силу Nо:

.
Определяем момент образования трещин.

;

.
Так как hгр < h1 = h - h2 = 44 см, расчет ведем по первому случаю.
Определяем силу
N2, уравновешивающую объем напряжений в дополнительно уложенном бетоне, по
формуле (17).
Для этого вычисляем:
напряжение в бетоне на уровне крайнего сжатого волокна сборного элемента
краевые напряжения в дополнительно уложенном бетоне по
формулам (18)

;

;
расстояние от
N2 до верхней ядровой точки сборно-монолитного элемента
z2 по
формуле (20)

;

.
Mт = 18·14 500 + 32 700(26,9 + 5,52) - 4450·9,22 =
= 1 280 000 кгс·см = 12 800 кгс·м > 9330 кгс·м.
в) Расчет по деформациям.
Определяем кривизну сборно-монолитного элемента в середине пролета по
формуле (29).
Для этого вычисляем

и

,

соответственно по
формулам (60) и
(61). При этом значения коэффициентов

и

принимаем соответственно по
табл. 7 и
8, а значения

и

- по
табл. 6.
Характеристика ползучести дополнительно уложенного бетона

;
деформацию усадки сборного элемента определяем с использованием коэффициента

(
п. 1.27 СНиП II-21-75)

;

;

;
сила Nоп, возникающая в арматуре от потерь предварительного напряжения вследствие ползучести,

;

;

;

;

.
Определяем коэффициент
c2 по
формуле (59), принимая
Eб2 =
Eб2(
t),

.

;

;

;

.

.

.

.
Определяем кривизну

по
формуле (30), принимая
kп = 0,85 как для тяжелого бетона, а
c = 2 по
табл. 2

;

.

;
усадка в бетоне сборного элемента не вызывает изменения кривизны, поэтому по
формулам (33)

;

.
Определяем кривизну сборно-монолитного элемента по
формуле (29)

.
Так как

, принимаем
f =
fм.
fм = 0,88·10-5·0,104·11762 = 1,3 см.

, т.е. расчетный прогиб меньше предельно допустимого.
Пример 3. Дано: двухпустотный настил шириной 1 м и высотой 22 см армирован тремя предварительно-напряженными элементами (брусками); расчетное сечение показано на
рис. 21,
а, сечение, приведенное к бетону брусков, - на
рис. 21,
б; марка дополнительно уложенного бетона M150 (
RрII2 = 9,5 кгс/см
2,
Eб2 = 2,1·10
5 кгс/см
2), марка бетона брусков M400 (
R0 = 280 кгс/см
2,
RрII1 = 18 кгс/см
2,
Eб1 = 3·10
5 кгс/см
2), общая площадь поперечного сечения брусков
Eб1 = 91 см
2, каждый брусок армирован высокопрочной проволокой класса Вр-11

в количестве 18 шт. (
Fн = 18·0,125 = 2,25 см
2,
RаII = 17 000 кгс/см
2,
Eа = 2·10
6 кгс/см
2); момент от нормативной нагрузки

; расчетный пролет настила при расчете по деформациям
l = 535 см.
Требуется определить момент образования трещин настила в дополнительно уложенном бетоне и в бетоне брусков и рассчитать настил по деформациям.
Расчет.
Определяем момент образования трещин в дополнительно уложенном бетоне по
формуле (21). При этом геометрические характеристики вычисляем для всего расчетного сечения (
рис. 21,
а), включая бруски <*>; в этом случае в
формуле (21) Wт2 =
Wт,
kс = 1.
--------------------------------
<*> Принятое допущение дает незначительную погрешность при определении момента образования трещин.
Рис. 21. Сечения двухпустотного настила, армированного
предварительно-напряженными элементами (брусками)
а - расчетное; б - приведенное
Вычисляем

.

;

;
| | ИС МЕГАНОРМ: примечание. В официальном тексте документа, видимо, допущена опечатка: имеется в виду поз. 4 табл. 1, а не поз. 4 табл. 3. | |
Wт = 1,5·5290 = 8720 см3.
Определяем момент образования трещин
Mт = WтRрII2 = 8720·9,5 = 828 кгс·м.
Определяем момент образования трещин в брусках по
формуле (9).
Контролируемое напряжение

. Потери предварительного напряжения арматуры от релаксации, согласно
поз. 1 табл. 4 главы СНиП II-21-75,

;

.
Определяем предварительное напряжение бетона, необходимое для подсчета потерь от ползучести бетона

;
потери предварительного напряжения арматуры от ползучести бетона, согласно
поз. 6 и
9 табл. 4 главы СНиП II-21-75, составят

;

.
Потери предварительного напряжения от усадки бетона, согласно
поз. 8 табл. 4 главы СНиП II-21-75, равны 400 кгс/см
2.
Определяем напряжение за вычетом всех потерь

.
Определяем геометрические характеристики приведенного сечения (
рис. 21,
б)
Fп = 16,5·22 + 2·65,3·3,4 = 807 см2;

;

;

.
Определяем момент образования трещин.
Fп1 = 5,5·5,5·3 + 2,21·5,1 = 102 см2;

;

.
Поэтому расчет ведем по второму случаю.
Fр1 = 48,8·3,4 + 16,5·8 - 91 = 207 см2;
N1 = 207·18 = 3730 кгс.
Определяем
z1 по
формуле (19). Вычисляем расстояние от центра тяжести площади
Fр1 до нижнего растянутого волокна приведенного сечения

.
Вычисляем расстояние от центра тяжести площади Fр1 до центра тяжести приведенного сечения сборно-монолитного элемента (e1 = 11 - 2,1 = 8,9 см)
z1 = 8,3 + 4,04 = 12,34 см.

;

;
Mт = 18·6100 + 179000 - 3730·12,34 =
= 2340 кгс·м > 2250 кгс·м.
Расчет по деформациям. В соответствии с
примечанием к п. 3.17 настоящего Руководства определяем момент инерции сечения настила без учета растянутой зоны высотой
hгр = 9,1 см

;
Определяем кривизну по
формуле (30), принимая
c = 2 по
табл. 2 настоящего Руководства (при влажности воздуха окружающей среды выше 40%) и
kп = 0,85.

.
Так как

.
Прогиб в середине пролета определяем по
формуле (49), где
s = 0,104 (см.
табл. 5 настоящего Руководства)
fм = 0,9·10-4·0,104·5352 = 2,68 см;

,
т.е. расчетный и предельно допустимый прогибы равны.
ПРИНЯТЫЕ БУКВЕННЫЕ ОБОЗНАЧЕНИЯ
Для сборно-монолитных элементов. Эти обозначения с индексом "1" относятся к сборному элементу, с индексом "2" - к дополнительно уложенному бетону.
Усилия от внешних нагрузок и воздействий
в поперечном сечении элемента
M - изгибающий момент;
N - продольная сила;
Q - поперечная сила;
Mк - крутящий момент.
Характеристики материалов
Rпр и RпрII | - | расчетные сопротивления бетона осевому сжатию для предельных состояний соответственно первой и второй групп; |
Rр и RрII | - | расчетные сопротивления бетона осевому растяжению для предельных состояний соответственно первой и второй групп; |
R0 | - | передаточная прочность бетона; |
Rа | - | расчетное сопротивление арматуры растяжению для предельных состояний первой группы: а) продольной; б) поперечной - при расчете сечений, наклонных к продольной оси элемента, на действие изгибающего момента; |
Rа.х | - | расчетное сопротивление поперечной арматуры растяжению для предельных состояний первой группы при расчете сечений, наклонных к продольной оси элемента, на действие поперечной силы; |
Rа.с | - | расчетное сопротивление арматуры сжатию для предельных состояний первой группы; |
RаII | - | расчетное сопротивление арматуры растяжению для предельных состояний второй группы; |
Eб | - | начальный модуль упругости бетона при сжатии и растяжении; |
Eа | - | модуль упругости арматуры; |
n | - | отношение соответствующих модулей упругости арматуры Eа и бетона Eб. |
Характеристики положения продольной арматуры
в поперечном сечении элемента
A | - | обозначение продольной арматуры; а) при наличии сжатой и растянутой от действия внешней нагрузки зон сечения - расположенной в растянутой зоне; б) при полностью сжатом от действия внешней нагрузки сечении - расположенной у менее сжатой грани сечения; в) при полностью растянутом от действия внешней нагрузки сечении: для внецентренно-растянутых элементов - расположенной у более растянутой грани сечения; для центрально-растянутых элементов - всей в поперечном сечении элемента. |
A' | - | обозначение продольной арматуры: а) при наличии сжатой и растянутой от действия внешней нагрузки зон сечения - расположенной в сжатой зоне; б) при полностью сжатом от действия внешней нагрузки сечении - расположенной у более сжатой грани сечения; в) при полностью растянутом от действия внешней нагрузки сечении внецентренно-растянутых элементов - расположенной у менее растянутой грани сечения. |
Геометрические характеристики
b | - | ширина прямоугольного сечения; ширина ребра таврового и двутаврового сечений; |
bп и  | - | ширина полки таврового и двутаврового сечений соответственно в растянутой и сжатой зонах; |
h | - | высота прямоугольного, таврового и двутаврового сечений; |
hп и  | - | высота полки таврового и двутаврового сечений соответственно в растянутой и сжатой зонах; |
a a' | - | расстояние от равнодействующей усилий соответственно в арматуре A и A' до ближайшей грани сечения; |
h0 и  | - | рабочая высота сечения, равная соответственно h - a и h - a'; |
x | - | высота сжатой зоны бетона; |
e0 | - | эксцентриситет продольной силы N относительно центра тяжести приведенного сечения; |
eон | - | эксцентриситет усилия предварительного обжатия Nо относительно центра тяжести приведенного сечения; |
eос | - | эксцентриситет равнодействующей продольной силы N и усилия предварительного обжатия Nо относительно центра тяжести приведенного сечения; |
e и e' | - | расстояние от точки приложения продольной силы N до равнодействующей усилий соответственно в арматуре A и A'; |
eа и eа.н | - | расстояние соответственно от точки приложения продольной силы N и усилия предварительного обжатия Nо до центра тяжести площади сечения арматуры A; |
l | - | пролет элемента; |
r | - | радиус инерции поперечного сечения элемента относительно центра тяжести сечения; |
d | - | номинальный диаметр стержней арматурной стали; |
Fа и  | - | площадь сечения ненапрягаемой и напрягаемой арматуры соответственно A и A'; |
Fн и  | - | площадь сечения напрягаемой части арматуры соответственно A и A'; |
F | - | площадь всего бетона в поперечном сечении; |
Fб | - | площадь сечения сжатой зоны бетона; |
Fб.р | - | площадь сечения растянутой зоны бетона; |
Fп | - | площадь приведенного сечения элемента; |
Sб.о и Sб.р | - | статические моменты площадей сечения соответственно сжатой и растянутой зоны бетона относительно нулевой линии; |
Sа.о и  | - | статические моменты площадей сечения соответственно арматуры A и A' относительно нулевой линии; |
J | - | момент инерции сечения бетона относительно центра тяжести сечения элемента; |
Jп | - | момент инерции приведенного сечения элемента относительно его центра тяжести; |
Jа | - | момент инерции площади сечения арматуры относительно центра тяжести сечения элемента; |
Jб.о | - | момент инерции площади сечения сжатой зоны бетона относительно нулевой линии; |
Jа.о и  | - | моменты инерции площадей сечения соответственно арматуры A и A' относительно нулевой линии; |
W0 | - | момент сопротивления приведенного сечения элемента для крайнего растянутого волокна. |