Главная // Актуальные документы // Журнал (форма)СПРАВКА
Источник публикации
М.: Издательство литературы по строительству, 1972
Примечание к документу
Название документа
"Руководство по контролю прочности бетона в конструкциях приборами механического действия"
"Руководство по контролю прочности бетона в конструкциях приборами механического действия"
ПО КОНТРОЛЮ ПРОЧНОСТИ БЕТОНА В КОНСТРУКЦИЯХ
ПРИБОРАМИ МЕХАНИЧЕСКОГО ДЕЙСТВИЯ
Руководство содержит основные положения по контролю прочности бетона приборами механического действия. Приведены методы испытания прочности бетонов, даны краткие описания конструкций приборов и области их применения, изложены общие требования к проведению испытаний и оценка их результатов. Даны примеры построения тарировочной зависимости и оценки прочности бетона конструкции.
Руководство предназначено для опытного применения при изготовлении и обследовании железобетонных конструкций.
Настоящее Руководство имеет целью дать рекомендацию по контролю прочности бетона в бетонных и железобетонных конструкциях приборами механического действия.
Применение неразрушающих методов контроля качества при изготовлении железобетонных конструкций, в том числе неразрушающих методов контроля прочности бетона, способствует повышению надежности железобетонных конструкций. Необходимость оценки прочности бетона непосредственно в конструкциях возникает и при обследовании уже возведенных конструкций и сооружений.
| | ИС МЕГАНОРМ: примечание. С 1 января 1991 года в части определения прочности бетона по контрольным образцам Постановлением Госстроя СССР от 29.12.1989 N 168 введен в действие ГОСТ 10180-90; в части определения прочности по образцам, отобранным из конструкций, Постановлением Госстроя СССР от 24.05.1990 N 50 введен в действие ГОСТ 28570-90. | |
Руководство составлено в развитие ГОСТ 8829-66 "Изделия железобетонные сборные. Методы оценки прочности, жесткости и трещиностойкости" и ГОСТ 10180-67 "Бетон тяжелый. Методы определения прочности".
Руководство разработано Научно-исследовательским институтом бетона и железобетона Госстроя СССР (д-ра техн. наук Г.И. Бердичевский, Г.К. Хайдуков, кандидаты техн. наук В.А. Клевцов, Г.В. Сизов, инж. В.Д. Малявский), Научно-исследовательским институтом строительных конструкций Госстроя СССР (канд. техн. наук Г.А. Попович, инженеры Л.Н. Радченко, А.А. Комаровский и А.П. Николко), Донецким Промстройниипроектом Госстроя СССР (канд. техн. наук И.В. Вольф, инженеры В.Д. Лихачев, С.Я. Хомутченко) и КИСИ (канд. техн. наук М.А. Новгородский) совместно с ЦНИЛОЭС (канд. техн. наук К.П. Кашкаров) и ЦНИЛ Главкиевгорстроя (канд. техн. наук М.Ю. Лещинский).
Руководство подготовлено к изданию редакционной комиссией в составе д-ра техн. наук Г.И. Бердичевского, кандидатов техн. наук В.А. Клевцова, М.А. Новгородского, Г.В. Сизова.
Руководство предназначено для опытного применения неразрушающего контроля прочности бетона при изготовлении и обследовании железобетонных конструкций.
Дирекция НИИЖБ
1. ОПРЕДЕЛЕНИЕ И НАЗНАЧЕНИЕ
1.1. Руководство предназначено для использования при испытании приборами механического действия тяжелых (обычного и мелкозернистого) бетонов в изделиях, изготовляемых на заводах и полигонах, а также в возводимых и эксплуатируемых конструкциях.
1.2. Применение неразрушающих методов не исключает необходимости испытаний контрольных образцов (кубов) при проверке соответствия прочности бетона проектной или отпускной.
Неразрушающие методы допускается применять без испытания контрольных образцов для:
а) контроля прочности бетона при промежуточных испытаниях (перед снятием несущей опалубки монолитных железобетонных конструкций и при передаче усилия натяжения арматуры на бетон предварительно напряженных железобетонных конструкций);
б) контроля отпускной прочности бетона в случае применения специальных методов уплотнения бетонной смеси, когда не может быть гарантирована возможность уплотнения бетона в контрольных образцах теми же средствами и приемами, что и бетона в изделии (например, кассетное производство изделий, применение центрифугирования);
в) контроля прочности бетона уже возведенных конструкций.
1.3. Испытание бетона конструкций может выполняться только инженерно-техническим персоналом, освоившим технику работы с приборами.
1.4. Руководство распространяется только на испытания, выполняемые при положительной температуре бетона.
2. МЕТОДЫ ИСПЫТАНИЯ ПРОЧНОСТИ БЕТОНА И КОНСТРУКЦИИ ПРИБОРОВ
2.1. Прочность бетона определяется следующими методами:
а) пластических или упруго-пластических деформаций по размерам отпечатков на его поверхности под действием динамической (эталонный молоток НИИМосстроя, пружинный прибор ХПС, маятниковый прибор ДПГ-4, склерометр КМ) и статической (приборы НИИЖБ и ГПНВ-5) нагрузок;
б) упругого отскока бойка после нанесения им удара по поверхности бетона (склерометры КМ и Шмидта);
в) отрыва со скалыванием (прибор ГПНВ-5);
г) отрыва (прибор ГПНВ-5).
2.2. Величина упругого отскока, отпечатка или усилия, необходимого для вырывания куска бетона при его испытании на отрыв, а также на отрыв со скалыванием, является косвенным показателем прочности бетона при сжатии. Последняя определяется по тарировочным зависимостям, носящим корреляционный характер.
2.3. Для повышения точности определения прочности бетона рекомендуется применять в комплексе два или более метода. При этом рационально сочетать механические методы контроля с ультразвуковым и радиометрическим. Методики применения последних принимаются по соответствующим инструкциям.
2.4. В Руководстве даны лишь краткие описания устройства и принципа работы приборов, так как их подробные описания приводятся в инструкциях, прилагаемых к приборам организациями-изготовителями.
ЭТАЛОННЫЙ МОЛОТОК НИИМОССТРОЯ <1>
--------------------------------
<1> Выпускается опытным заводом НИИМосстроя.
2.5. Общий вид молотка НИИМосстроя с эталонным стержнем приведен на рис. 1. При ударе молотком по бетонной поверхности на ней и на эталонном стержне образуются отпечатки. Отношение диаметра отпечатка на бетоне dб к диаметру отпечатка на эталоне dэ является косвенным показателем прочности бетона.
Рис. 1. Приборы механического действия для контроля
прочности бетона в конструкциях без их разрушения
а - склерометр КМ с ударником для определения прочности
бетона по величине упругого отскока; б - ударник
к склерометру КМ для определения прочности бетона
по диаметру отпечатка; в - маятниковый прибор ДПГ-4;
г - эталонный молоток НИИМосстроя; д - прибор ХПС;
е - гидравлический пресс-насос ГПНВ-5
2.6. Для удобства нанесения ударов головка молотка вместе с эталонным стержнем может поворачиваться на нарезке так, чтобы эталонный стержень занял наиболее удобное положение по отношению к рукоятке молотка.
2.7. Стержни длиной 100 - 150
мм изготавливают из стали класса А-I диаметром 10
мм (желательна сталь Ст. 3, поставляемая в прутках). Один конец стержня для более удобного введения в прорезь молотка заостряется. Требования по изготовлению и испытанию стержней приведены в
приложении 1.
ПРУЖИННЫЙ ПРИБОР ХПС <1>
--------------------------------
<1> Производится в ГДР.
2.8. Общий вид прибора ХПС дан на
рис. 1. Это прибор ударного действия, позволяющий испытывать бетон с энергиями удара 50 и 12,5
кгс·
см (при установке переключающего сегмента соответственно в положение 1/1 или 1/2).
2.9. При испытании прибор устанавливают перпендикулярно испытываемой бетонной поверхности и прижимают к ней. При этом длинная или короткая защелка (в зависимости от положения переключающего сегмента) захватывает боек и происходит сжатие ударной пружины. Затем защелка, упираясь в коническую гильзу, выходит из зацепления с бойком и последний под действием сжатой пружины ударяет по буртику ударного стержня. При этом расположенный на конце стержня шарик диаметром 10 мм вдавливается в бетон. Диаметр отпечатка на бетоне является косвенной характеристикой его прочности при сжатии.
МАЯТНИКОВЫЙ ПРИБОР ДПГ-4
2.10. Прибор ДПГ-4 (см.
рис. 1) состоит из четырех основных частей: диска диаметром 160
мм и толщиной 10
мм с центрированной ударной кромкой толщиной 1
мм, стержня (плеча) длиной 250
мм, подножки и угломерной шкалы, фиксирующей угол падения диска с точностью до 2°.
2.11. Диск поднимают в исходное положение (см.
рис. 9) и дают ему упасть на испытываемую бетонную поверхность под действием силы тяжести. При этом на бетонной поверхности образуется отпечаток, длина которого характеризует прочность бетона.
СКЛЕРОМЕТРЫ КМ <1> И ШМИДТА <2> ТИПОВ N, NR, L и M
--------------------------------
<1> Чертежи склерометра КМ разработаны экспериментально конструкторским бюро ЦНИИСК Госстроя СССР.
<2> Склерометры Шмидта производятся в Швейцарии и во Франции.
2.12. Склерометр КМ (см.
рис. 1) представляет собой прибор ударного действия с заданной энергией удара.
2.13. При испытании прибор устанавливают перпендикулярно поверхности конструкции и прижимают к ней. Боек возводится, растягивая ударную пружину. При касании защелкой упорного болта происходит ее отцепление от бойка, и последний бьет по ударнику и отскакивает от него. Величина отскока бойка, характеризующая прочность бетона, фиксируется с помощью указателя. Чем больше величина упругого отскока, тем выше прочность бетона при сжатии.
Для измерения величины отскока используется ударник с радиусом кривизны конца упирающегося в бетон, равным 18 мм.
2.14. Указатель должен перемещаться по штоку при усилии в пределах 50 - 70 гс. Для проверки этого необходимо периодически снимать шкалу со штоком и указателем и, подвешивая к указателю разновесы, определять усилие, необходимое для его перемещения. Это усилие может быть изменено регулировкой винтов, прижимающих пружину к штоку.
2.15. При замене ударника на другой с шариком диаметром 10
мм, заключенным в обойму (см.
рис. 1,
б), определение прочности бетона склерометром КМ производят по диаметру отпечатка.
Примечание. Склерометры Шмидта типов N, NR, L и M снабжены ударниками, позволяющими определять прочность бетона только по величине упругого отскока.
СФЕРИЧЕСКИЙ ШТАМП НИИЖБ
2.16. В основу прибора НИИЖБ положена схема, приведенная на
рис. 2. Испытание производят следующим образом. С помощью скобы и упора испытываемое изделие прижимают к сферическому штампу. Под действием гидропресса штамп вдавливается в бетон. Прибор снабжен кассетой для бумажной ленты, на которой (с помощью копировальной бумаги) фиксируется отпечаток, отображающий суммарную (упругую и пластическую) деформацию бетона. Контроль величины усилия, с которым производится вдавливание штампа, осуществляется либо с помощью индикатора, установленного на скобе, которая в данном случае служит и динамометром, либо с помощью манометра.
Рис. 2. Схема сферического штампа НИИЖБ
1 - штамп; 2 - цилиндр с поршнем; 3 - скоба-динамометр;
4 - упор; 5 - индикатор; 6 - испытываемое изделие
2.17. Прибор НИИЖБ имеет следующие модификации:
а) ОРП-9-300 - облегченная сварная скоба с гидропрессом и жестким винтовым упором. Прибор укомплектован ножным одноплунжерным насосом, а в скобу вмонтирован силоизмеритель - индикатор;
б) ОРП-4-300 - литая из легкого сплава шарнирная раздвижная скоба, на которой смонтированы гидродомкрат со сменными штампами и шарнирный подпятник. Скоба снабжена системой тяжей типа "пантограф", обеспечивающих строгую соосность домкрата и подпятника при изменении раздвижки скобы при ее деформации под нагрузкой. Прибор укомплектован насосной ручной станцией с автоматом отсечки на предельном заданном давлении. Автомат работает от электроконтактного манометра;
в) ОМР-2-250 - жесткая сварная скоба, на которой смонтирован гидравлический домкрат со сферическим штампом. Скоба подвешивается на тросе к стреле передвижного поворотного крана-стройки и может перемещаться по вертикали и вдоль стрелы;
г) РПМ-5 - малогабаритный гидродомкрат, укрепленный на легкой переносной раме. Прибор снабжен простейшим одноплунжерным насосом. Прибор устанавливают непосредственно на форме или поддоне-вагонетке, на которые заблаговременно приварены рейки для упора приборной стойки.
Примечание. Раму или упорное приспособление можно изготовить на месте проведения испытаний.
ГИДРАВЛИЧЕСКИЙ ПРЕСС-НАСОС ГПНВ-5
2.18. Общин вид прибора ГПНВ-5 дан на
рис. 1. Устройство и принцип действия его следующие.
Шток поршня рабочего цилиндра с помощью муфты-тяги соединяют с заделанным в бетон вырывным стержнем (вырывным конусом) или приклеенным к бетонной поверхности стальным диском. При движении поршня насоса вниз масло поступает в нижнюю часть рабочего цилиндра и поршень рабочего цилиндра начинает подниматься.
При движении поршня насоса вверх поршень рабочего цилиндра под действием возвратной пружины принимает исходное положение.
2.19. Усилие, при котором происходит вырывание стержня, разжимного конуса или диска, является косвенным показателем прочности бетона при сжатии.
2.20. В ножках прибора имеются сферические углубления, в которых помещены стальные шарики диаметром 15,88 мм, удерживаемые специальными наконечниками. При приложении нагрузки к заанкеренному в изделие стержню или конусу шарики вдавливаются в бетон, что позволяет определить его прочность по диаметру получаемого отпечатка.
3. ОБЛАСТЬ ПРИМЕНЕНИЯ ПРИБОРОВ
3.1. Эталонный молоток НИИМосстроя, прибор ХПС, склерометры КМ и Шмидта типов N, NR и L являются портативными приборами. Они обеспечивают примерно одинаковую точность определения прочности бетона и используются прежде всего при необходимости обследования большого количества участков конструкций в относительно, короткие сроки.
Примечание. Склерометр Шмидта типа NR снабжен устройством, позволяющим фиксировать величины отскока на специальной ленте, что дает возможность производить испытания в неосвещенных местах.
3.2. Эталонный молоток НИИМосстроя достаточно прост по конструкции и надежен в эксплуатации, но работа с ним более трудоемка по сравнению с приборами КМ, ХПС и Шмидта. Преимуществом его является то, что на результат испытания не влияет расположение испытываемый поверхности в пространстве (вертикальное, горизонтальное, наклонное под разными углами).
3.3. При необходимости обследования бетона в труднодоступных местах сооружения предпочтение следует отдавать методу определения прочности по величине упругого отскока (склерометры КМ или Шмидта).
Примечание. Испытывать конструкции толщиной менее 50 мм методом упругого отскока не рекомендуется.
3.4. Из приборов, измеряющих величину отскока, прибор Шмидта типа M обеспечивает наибольшую энергию удара (300 кгс·см). Он предназначен для испытания массивных конструкций.
3.5. Маятниковый прибор ДПГ-4 имеет следующие достоинства: стабильность работы и простота измерения отпечатка. Однако его нельзя применять для определения прочности бетона нижних горизонтальных поверхностей конструкций (например, потолков).
3.6. Приборы НИИЖБ и ГПНВ-5 менее портативны, чем КМ, ХПС, НИИМосстроя и ДПГ-4, однако, их применение дает возможность более надежно оценить прочность бетона.
3.7. Прибор НИИЖБ предназначен для испытания участков толщиной не менее:
а) 30 мм при двустороннем их обжатии (струбцина или подпор с противоположной от штампа стороны);
б) 50 мм при одностороннем давлении.
Прибор НИИЖБ модификации ОМР-2-250 предназначен для контроля прочности участков изделий толщиной до 250 мм, удаленных от края до 400 мм. Прибор используется в заводских условиях на постах ОТК.
Прибор НИИЖБ модификации РПМ-5 может рекомендоваться для испытания распалубленных боковых сторон изделий до их съема с форм, а также при проведении обследований сооружений.
Приборы НИИЖБ модификаций ОРП-4-300 и ОРП-9-300 могут быть использованы для контроля прочности бетона конструкций толщиной до 300 мм в участках, удаленных от края до 100 мм.
3.8. При испытании бетона на отрыв со скалыванием прибором ГПНВ-5 состояние поверхности бетона не оказывает влияния на результат, так как испытываемая конструкция подвергается местному разрушению на глубину около 5 см (рис. 3). Этот метод может быть рекомендован прежде всего для оценки прочности бетона в массивных конструкциях, в особенности в случае отсутствия сведений о составе бетона. При этом участки, в которых будут определять прочность бетона, выбирают так, чтобы в результате испытаний не снизилась несущая способность конструкций.
Рис. 3. Схема испытания бетона на отрыв
со скалыванием (вариант с разжимным конусом)
1 - бетон конструкции; 2 - вырываемый бетон;
3 - конус; 4 - рифленые щеки
Несколько меньшее разрушение бетона, чем при испытании на отрыв со скалыванием, происходит при использовании метода отрыва стального диска, предварительно приклеиваемого к конструкции (рис. 4). Поэтому этот метод пригоден для испытания не только массивных конструкций.
Рис. 4. Схема испытания бетона на отрыв
1 - бетон конструкции; 2 - стальной диск; 3 - эпоксидный
клей; 4 - отрываемый бетон; 5 - гипсовый раствор
Прибор ГПНВ-5 может быть использован также для многократного периодического приближенного контроля прочности бетона без разрушения в процессе его твердения. Это осуществляется методом измерения диаметров отпечатков образующихся на поверхности бетона от вдавливания шаровых опор прибора под действием статической нагрузки.
3.9. При большом объеме обследований и необходимости получения более надежных результатов целесообразно сочетать более точный и трудоемкий метод (приборы НИИЖБ и ГПНВ-5) с менее точным, но более оперативным (приборы КМ, ХПС, НИИМосстроя). Последним выявляют наименее прочные конструкции или участки конструкций, численные значения прочности которых определяют более точным методом.
3.10. При выборе прибора и метода испытания в наиболее подходящих для данного конкретного случая необходимо также учитывать ожидаемую прочность бетона, подвергаемого испытанию. Наиболее рациональные пределы применения приборов и методов приведены в табл. 1.
Таблица 1
Рекомендуемые пределы (по прочности бетона)
применения приборов и методов
Приборы | Прочность бетона при сжатии в пределах в кгс/см2 |
Эталонный молоток НИИМосстроя, ХПС (при энергии удара 12,5, кгс· см), КМ (по отпечатку) <*> ДПГ-4, склерометр Шмидта типа L, ГПНВ-5 (по отпечатку) <*> | 50 - 300 |
ХПС (при энергии удара 50 кгс· см), КМ (по отскоку) <*>, склерометры Шмидта типа N и NR, ГПНВ-5 (по отрыву) <*> | 100 - 400 |
ГПНВ-5 (от отрыву со скалыванием) <*>, НИИЖБ, склерометр Шмидта типа M | 100 - 500 |
--------------------------------
4. ОБЩИЕ ТРЕБОВАНИЯ К ПРОВЕДЕНИЮ ИСПЫТАНИЙ
И ОЦЕНКА РЕЗУЛЬТАТОВ
4.1. Прочность бетона изделий на заводах сборного железобетона, а также при возведении зданий и сооружений определяют по предварительно построенным тарировочным зависимостям для бетонов одинакового состава с контролируемыми изделиями и конструкциями. При этом средняя квадратическая погрешность тарировочной зависимости не должна превышать 0,12 при оценке прочности бетона по методике, изложенной в
пп. 4.18 и
4.19.
| | ИС МЕГАНОРМ: примечание. С 1 января 1991 года в части определения прочности бетона по контрольным образцам Постановлением Госстроя СССР от 29.12.1989 N 168 введен в действие ГОСТ 10180-90; в части определения прочности по образцам, отобранным из конструкций, Постановлением Госстроя СССР от 24.05.1990 N 50 введен в действие ГОСТ 28570-90. | |
4.2. Зависимость между прочностью бетона при сжатии и показателями, получаемыми при его испытании неразрушающими методами, устанавливают последовательным испытанием образцов этими методами, а затем на прессе в соответствии с требованиями ГОСТ 10180-67.
4.3. Для построения тарировочных зависимостей применяют, как правило, образцы-кубы с ребром 200 мм и лишь в крайних случаях с ребром 150 мм при условии, чтобы размер крупного заполнителя не превышал 1/4 ребра куба. Кубы должны изготовляться в формах, обеспечивающих гладкую поверхность и правильные геометрические размеры.
4.4. Тарировочный график строят по результатам испытаний неразрушающими методами и под прессом не менее 36 (желательно 60) образцов. При этом каждая экспериментальная точка, наносимая на график "показатель прочности - прочность", является средним результатом испытания трех образцов-близнецов.
Примечание. При построении зависимости "усилие отрыва со скалыванием - прочность" число образцов удваивается.
4.5. Тарировочную зависимость строят только для контроля конструкций одной проектной марки, одного состава бетона, единой технологии приготовления и укладки бетонной смеси. Для построения тарировочной зависимости необходимо изготовить образцы из тех же материалов, что и конструкции. Одну часть образцов делают номинального (проектного) состава; эти образцы твердеют по режиму, принятому на данном производстве (заводе, стройке). Другую часть (до половины общего количества) изготовляют с отклонениями от проектного по
В/Ц, режимам твердения и др. Величины этих отклонений выбирают исходя из реально возможных на данном производстве. Они должны обеспечить колебание прочности около +/- 40 - 60% требуемой.
Далее образцы испытывают неразрушающим методом и под прессом в том же возрасте, что и контролируемые конструкции, и по полученным результатам строят тарировочную зависимость "показатель прочности - прочность бетона", при этом должны быть использованы методы, применяемые в математической статистике. Пример построения тарировочной зависимости по способу наименьших квадратов приведен в
приложении 2.
4.6. Правомерность построенной по
п. 4.5 тарировочной зависимости проверяют и уточняют периодическим (не реже одного раза в 3 мес) испытанием 18 образцов неразрушающим методом, а затем под прессом.
Построение новой тарировочный зависимости производят в случае изменения в технологии производства бетона (другие заполнители, тип цемента, подвижность смеси, режим твердения).
4.7. Величина отскока, отпечатка или отношения диаметра отпечатка на бетоне к диаметру отпечатка на эталоне вычисляется как среднее арифметическое из 5, а усилие, необходимое для испытания бетона на отрыв, а также отрыв со скалыванием желательно из 3 частных испытаний. В случае если отдельные частные величины отскоков и усилий вырывания превышают соответственно +/- 15 и +/- 20%, а диаметры отпечатков или отношений

среднего арифметического, то они в расчет не принимаются и испытания должны быть продолжены до получения необходимого количества частных результатов, удовлетворяющих этим требованиям. Результаты испытания образцов заносят в журналы, формы которых приведены в
приложении 3.
4.8. Диаметры отпечатков измеряют с точностью до 0,1 мм при помощи лупы с мерной линейкой, углового масштаба и т.д. При испытании бетона прибором ДПГ-4 достаточно измерять длину отпечатка с точностью до 1 мм, а прибором НИИЖБ - до 0,5 мм.
При использовании углового масштаба его надвигают на отпечаток до касания с кромками последнего. Размер отпечатка в 10 раз меньше разности значений деления коснувшегося отпечатка и нулевого отсчета, равного 100 мм.
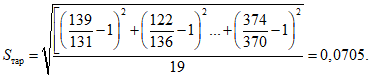
4.9. Тарировочную зависимость оценивают по величине средней квадратической погрешности
Sтар, определяемой по формуле

(1)
где Riтар - средняя прочность бетона трех образцов-близнецов, определенная по тарировочной зависимости;
Riкуб - фактическая средняя прочность трех образцов-близнецов;
N - количество серий, состоящих из трех образцов-близнецов.
При N >= 30 в формуле вместо N - 1 ставят N.
Предельная погрешность определения прочности бетона по тарировочной зависимости

(2)
где

- коэффициент, который принимается по
табл. 7 приложения 2, для обеспеченности 0,95 (95% случаев) исходя из количества экспериментальных точек (серий из трех образцов-близнецов) на тарировочной зависимости.
Пример оценки тарировочной зависимости приведен в
приложении 2.
4.10. Наиболее вероятная прочность бетона при ее определении несколькими методами Riкомпл вычисляется по формуле

(3)
где Rm - значения прочности, полученные отдельными методами испытания бетона;
n - количество примененных неразрушающих методов.
Пример определения прочности бетона комплексным методом приведен в
приложении 4.
4.11. Приборы механического действия допускается применять для приближенной оценки прочности бетона возводимых конструкций и при отсутствии специально построенных для данного бетона тарировочных зависимостей
(приложение 5).
4.12. Определение прочности бетона необходимо проводить в местах, удаленных от арматуры (для каждого метода наименьшие расстояния указаны в
разделе 5). Расположение арматуры может определяться магнитными приборами типа ИЗС.
4.13. Количество и расположение участков, в которых определяют прочность бетона, зависят от типа конструкции, условий ее работы, данных визуального осмотра и т.д. Их устанавливают рабочей программой испытаний, согласованной с соответствующей проектной или научно-исследовательской организацией. При этом следует руководствоваться рекомендациями, приведенными в табл. 2. Результаты испытаний заносят в журналы
(приложение 3).
Таблица 2
Расположение и количество участков испытания бетона
неразрушающими методами в различных конструкциях
Конструкции | Расположение участков | Минимальное количество участков |
1. Изгибаемые (ригели, стропильные и подстропильные балки, плиты, настилы и т.д.) | Равномерно по изделию с обязательным размещением участков в середине пролета со стороны сжатой (при работе в стадии изготовления или эксплуатации) зоны и на приопорных участках в зоне анкеровки арматуры | 10 |
2. Центрально и внецентренно сжатые и растянутые (колонны, элементы стропильных и подстропильных ферм и сводчатых конструкций и т.п.) | Равномерно по изделию | 10, но не менее одного участка на длине панели фермы |
Примечание. В отдельных случаях допускается при составлении рабочей программы испытаний предусматривать оценку прочности не всей конструкции, а наиболее ответственных ее участков.
4.14. При выборе участков для испытания следует использовать в первую очередь наиболее гладкие поверхности, соприкасавшиеся с опалубкой, избегая при этом пористых и покрытых масляными пятнами мест. Мелкие неровности удаляют с помощью шлифовального камня или наждачной бумаги (для проведения испытания на отрыв со скалыванием прибором ГПНВ-5 зачистка поверхности не обязательна).
4.15. Если поверхностный слой бетона поврежден вследствие замораживания и оттаивания, коррозии или действия других факторов, то он должен быть удален, а обнажившаяся поверхность обработана шлифовальным камнем.
В случае когда элемент, подлежащий обследованию, офактурен, то необходимо участок для испытания очистить от слоя штукатурки, облицовки, покраски и т.д.
4.16. При обнаружении зерен крупного заполнителя на поверхности бетона необходимо избегать нанесения по ним удара. При определении прочности бетона по величине диаметра отпечатка (отношения

) учитывают отпечатки, полученные при ударе по растворной части бетона. Отпечатки, полученные при ударе вблизи крупного заполнителя, имеют неровные края, и их не учитывают.
4.17. Вычислив среднюю величину отскока, отпечатка и т.д. для данного участка по тарировочной зависимости, находят наиболее вероятную прочность бетона в нем (Ri).
4.18. Минимально возможную прочность бетона участка вычисляют по формуле:

(4)
4.19. Оценку прочности бетона всей конструкции (или группы конструкций) производят следующим образом. По результатам измерения прочности бетона в отдельных участках вычисляют:
а) среднюю прочность бетона конструкции (или группы конструкций)

(5)
где n - число участков;
б) среднее квадратическое отклонение прочности бетона в отдельной конструкции (или группе конструкций)

(6)
(при n >= 30 в знаменателе вместо n - 1 ставится n);
в) предельная погрешность определения средней прочности бетона в конструкции

(7)
где

берут по
табл. 7 приложения 2 для вероятности 0,95 исходя из числа участков;
г) предельная погрешность определения прочности бетона конструкции косвенными методами

(8)
д) коэффициент снижения средней прочности бетона конструкции или группы конструкций по результатам испытания неразрушающим методом может быть принят

(9)
Бетон конструкции или группы конструкций отвечает требованию по прочности при соблюдении условия
RсрKn >= 0,7Rзад, (10)
где Rзад - заданный технической документацией на конструкции предел прочности.
5. ОСОБЕННОСТИ ПРОВЕДЕНИЯ ИСПЫТАНИЙ ПРОЧНОСТИ БЕТОНА
РАЗЛИЧНЫМИ ПРИБОРАМИ
ИСПЫТАНИЯ ЭТАЛОННЫМ МОЛОТКОМ НИИМОССТРОЯ
5.1. Шарик должен иметь чистую неповрежденную поверхность. При обнаружении дефектов его заменяют новым.
5.2. Эталонные стержни должны быть чистыми и перед употреблением вытерты насухо.
5.3. При определении прочности бетона в узких ребрах конструкций эталонный молоток устанавливают в выбранной точке и по нему наносят удар слесарным молотком.
5.4. Расстояние между центрами отдельных отпечатков на бетоне должно быть не менее 30 мм.
5.5. Испытания проводят в местах, удаленных от арматуры на расстояние не менее 20 мм.
5.6. После каждого удара следует передвигать эталонный стержень в стакане молотка так, чтобы расстояние между центрами диаметров двух соседних отпечатков на эталонном стержне было бы не менее 10 мм. Отпечатки располагать по прямой линии. На эталонном стержне их может быть до 40 по четырем образующим, проходящим в четвертях окружности сечения стержня.
5.7. Отпечатки на поверхности бетона нумеруют. После выполнения намеченной серии ударов измеряют диаметры отпечатков последовательно на бетоне и эталонном стержне, для чего последний вынимают из молотка. Для продолжения испытаний эталонный стержень после измерения диаметров отпечатков снова вставляют в молоток, и последний отпечаток, полученный в предыдущих испытаниях, помечают. Нумерацию и пометки делают цветным карандашом.
5.8. Отпечатки измеряют на эталоне по большему диаметру эллипса, а на бетоне в двух взаимно перпендикулярных направлениях с последующим вычислением среднего значения. Для облегчения измерений на эталонном стержне его поверхность по линии полученных отпечатков подшлифовывают тупым стальным ножом или использованным эталонным стержнем, после чего очертания отпечатка делаются более отчетливыми.
ИСПЫТАНИЯ ПРУЖИННЫМ ПРИБОРОМ ХПС
5.9. При нанесении удара прибор должен располагаться перпендикулярно испытываемой поверхности, при этом необходимо проследить за тем, чтобы энергия удара не расходовалась на перемещение конструкции или образца. Масса конструкции должна быть достаточной для обеспечения ее неподвижности при нанесении удара, а если удар производят по образцу, то образец необходимо зажимать в прессе с усилием, предотвращающим перемещение образца относительно подушек пресса при ударе (практически достаточно усилия 5 - 10
тс).
5.10. Испытания должны проводиться в местах, удаленных от арматуры на расстояние не менее 20 мм, при этом каждый отпечаток измеряют по двум взаимно перпендикулярным диаметрам, из которых вычисляют средний.
5.11. Шарик и оправа на ударном стержне должны подвергаться систематической чистке. Поврежденный шарик необходимо заменить.
5.12. Проверку исправности прибора производят на эталонном бруске, прилагаемом в комплекте с прибором и проверенном на определенную твердость. По бруску наносят три удара с энергией 50 кгс·см и три с энергией 12,5 кгс·см и лупой измеряют диаметры отпечатков. Удары производят при горизонтальном положении прибора. При этом эталонный брусок должен быть закреплен на подпоре с ровной поверхностью и массой не менее 300 кг.
Установленные при проверке числа твердости не должны отклоняться от эталонной твердости бруска более чем на +/- 10%. В случае большего отклонения необходима детальная проверка состояния прибора.
5.13. При испытании бетона обычно применяют удар с энергией 50 кгс·см. В случае же, если испытывают бетон невысокой прочности и отпечатки превышают 6,5 мм, то необходимо переходить на испытание с энергией удара 12,5 кгс·см.
5.14. Тарировочную зависимость обычно строят при нанесении удара по вертикальным поверхностям образца. Если же при испытании конструкции удар наносят сверху, то определенная по тарировочному графику величина предела прочности увеличивается при ударе с энергией 50 кгс·см на 5%, а при ударе с энергией 12,5 кгс·см на 10%.
При нанесении удара снизу полученную прочность необходимо уменьшить соответственно на 5 и 10%.
ОПРЕДЕЛЕНИЕ ПРОЧНОСТИ БЕТОНА СКЛЕРОМЕТРОМ КМ ПО ВЕЛИЧИНЕ
ПЛАСТИЧЕСКИХ ИЛИ УПРУГО-ПЛАСТИЧЕСКИХ ДЕФОРМАЦИЙ
5.15. Испытания проводят аналогично испытаниям прибором ХПС (см.
пп. 5.9 -
5.11).
5.16. Стабильность работы прибора (по отпечатку) определяют периодическими проверками на эталонной наковальне, имеющей массу не менее 7
кг. Наковальня входит в комплект с прибором либо ее изготавливают из стали с твердостью около 500 единиц по Бринеллю. Одну поверхность наковальни обрабатывают с чистотой

.
Наковальню зажимают в прессе с усилием 5 - 10 тс и по ее обработанной поверхности наносят три удара. Устанавливаемые при проверке числа твердости не должны отклоняться от первоначальных более чем на +/- 10%. В случае большего отклонения необходима детальная проверка состояния прибора.
5.17. Тарировочный график обычно строят при нанесении удара по вертикальным поверхностям образца. В этом случае, при нанесении удара по конструкции сверху или снизу, полученную прочность бетона необходимо соответственно увеличить или уменьшить на 7%.
ИСПЫТАНИЯ МАЯТНИКОВЫМ ПРИБОРОМ ДПГ-4
5.18. Длину отпечатка на бетоне измеряют с точностью до 1 мм.
5.19. Если при испытании бетона вследствие его малой прочности отпечатки будут иметь длину, превышающую 55 мм, следует испытание повторить при меньшей высоте падения диска.
5.20. Испытания должны проводиться в местах конструкции, удаленных от арматуры на расстояние не менее 20 мм.
5.21. При срабатывании цементированной ударной кромки необходимо диск повернуть так, чтобы удар по бетону производился неповрежденной частью кромки.
ОПРЕДЕЛЕНИЕ ПРОЧНОСТИ БЕТОНА ПО ВЕЛИЧИНЕ УПРУГОГО ОТСКОКА
СКЛЕРОМЕТРАМИ КМ И ШМИДТА ТИПОВ N, NR, L и M
5.22. При проведении испытаний расстояние точек нанесения удара друг от друга должно быть не менее 30 мм, а от арматуры или края образца (изделия) - 50 мм.
5.23. Стабильность работы прибора (по величине отскока) проверяют на эталонной наковальне, описанной в
п. 5.16. Предварительно в одной и той же точке в центре наковальни прибором наносят серию ударов (~ 50) для получения наклепа, обеспечивающего постоянную величину отскока, которая принимается за первоначальную характеристику прибора.
Если высота отскока при проверке не отличается от этой характеристики более чем на 2,5%, то прибор работает стабильно.
5.24. Если расхождение по
п. 5.23 находится в пределах 2,5 - 5%, то необходимо вводить корректировку по формуле

(11)
где h - скорректированная величина отскока для бетона;
hэ - первоначальная величина отскока на эталонной наковальне;

- величина отскока на эталонной наковальне в момент проверки;
hб - величина отскока, полученная при испытания бетона.
Если расхождения превышают 5%, то это указывает на неисправность прибора и до ее устранения работать с ним нельзя.
5.25. Величины поправочных коэффициентов, учитывающих положение склерометра КМ при испытании, определяют опытным путем на каких-либо однородных материалах, обеспечивающих величины отскока, близкие к получаемым на испытываемом бетоне.
Примечание. Склерометры Шмидта снабжены общими тарировочными зависимостями, построенными при различных положениях прибора.
ИСПЫТАНИЕ СФЕРИЧЕСКИМ ШТАМПОМ НИИЖБ
5.26. Прибор устанавливают на изделии (образец) так, чтобы обеспечивалась перпендикулярность оси домкрата к поверхности бетона. Смещение и поворот штампа после начала приложения нагрузки не допускается.
Усилие штампования должно нарастать плавно со скоростью не более 100 кгс/сек. Конечная заданная величина усилия должна фиксироваться с точностью +/- 2%. Выдержка при максимальной нагрузке должна быть не менее 30 сек.
5.27. Наиболее универсальным является штамп с радиусом кривизны 140 мм, позволяющий при усилиях вдавливания 1500 - 2000 кгс испытывать бетоны в диапазоне прочностей от 100 до 500 кгс /см2.
Для испытания бетона с ожидаемой прочностью <= 100 кгс/см2 должен применяться штамп с радиусом кривизны 240 мм при максимальном усилии вдавливания 1000 кгс, а для испытания бетона с ожидаемой прочностью >= 500 кгс/см2 следует применять штамп с радиусом 100 мм при усилии вдавливания 2200 кгс.
5.28. Диаметры отпечатков на бетоне должны быть в пределах 12 - 24 мм. Если они больше или меньше, чем в указанных пределах, то нагрузку надо соответственно изменить.
5.29. Точки приложения нагрузки должны быть не ближе двух диаметров, но не менее 40 мм от края изделия (образца) или друг от друга.
5.30. Расстояние от центра отпечатка до ближайшего арматурного стержня как в направлении штампования, так и в перпендикулярной к нему плоскости должно быть не менее двух диаметров отпечатка.
5.31. Отпечаток, попавший на раковину площадью более 15% его площади или имеющий соотношение взаимно перпендикулярных диаметров

, в расчет не принимают.
ИСПЫТАНИЯ ГИДРАВЛИЧЕСКИМ ПРЕСС-НАСОСОМ ГПНВ-5
а) Метод испытания бетона на отрыв со скалыванием
5.32. При испытании бетона только на отрыв со скалыванием рекомендуется отвинтить наконечники ножек и извлечь шарики, после чего наконечники завинтить снова. Плоские опоры обеспечивают большую устойчивость прибора, что особенно важно при испытании бетона в конструкциях, расположенных в труднодоступных местах.
5.33. Для построения тарировочных зависимостей изготавливают образцы размером 20 x 20 x 20 см (для вырывного стержня) или 30 x 30 x 30 см (для разжимного конуса). На каждом образце можно получить 4 показания при вырывании стержней (конусов) из его боковых граней. Так как вырывание стержней или конусов из образцов нарушает их целостность, следует образцы-близнецы разделить на две равные группы. Одну из них используют для испытаний вырывными стержнями или разжимными конусами, а другую - в прессе на сжатие.
Примечание. Параллельно могут быть проведены испытания всех образцов другими неразрушающими методами.
5.34. Испытания бетона необходимо производить в участках, свободных от арматуры, и с таким расчетом, чтобы расстояние от оси вырывного стержня или разжимного конуса было не менее 80 мм до грани конструкции.
5.35. При проведении испытаний на заводах и полигонах сборного железобетона используют стержни, имеющие на одном конце утолщение в виде усеченного конуса для создания сопротивления при выдергивании их из бетона, а на другом винтовую нарезку, которая служит для навинчивания держателя тяги или крышки. Последняя предназначена для предохранения нарезки стержня от засорения и повреждений.
5.36. Установка вырывного стержня в опалубке производится в следующей последовательности:
1) в опалубке бетонируемой конструкции просверливают отверстие диаметром 20 мм, в которое с внутренней стороны вставляют вырывной стержень с надетой на него шайбой;
2) с наружной стороны опалубки на винтовую нарезку стержня навинчивают держатель (при деревянной опалубке) или крышку (при металлической опалубке);
3) крышку или держатель снимают непосредственно перед распалубкой изделия, а затем - вновь навинчивают на стержень для предохранения нарезки.
5.37. В случае когда в обследуемой конструкции заранее не установлены стержни, то определение прочности бетона производят разжимным конусом. Для этого в бетоне просверливают, а при малом объеме работ пробивают (шлямбуром и молотком) шпуры диаметром 25 мм и глубиной 55 мм.
5.38. Установленный в шнур разжимной конус прочно закрепляют в бетоне сегментными щеками, раздвигающимися при завинчивании муфты-тяги.
5.39. При испытании конструкции (образца) разжимным конусом возможно его частичное проскальзывание (относительно стенок шпура), что приводит к уменьшению силы, необходимой для вырывания.
Приведение к искомому усилию Pвр, необходимому для вырывания бетона с глубиной H = 55 мм, осуществляется по формуле

(12)
где

- фактическое усилие вырывания;
H' - фактическая глубина вырывания.
5.40. Точность испытания зависит от правильности заделки в бетон вырывного стержня или разжимного конуса и установки прибора. При правильной установке прибора муфта располагается по центру отверстия гайки штока.
Если стержень (конус) заделан с небольшим перекосом, то правильная установка обеспечивается благодаря шарнирному соединению головки муфты с гайкой штока, имеющей люфт, а также путем вращения выдвижных ножек.
При большом перекосе заделанного в бетон стержня (конуса) испытания производить нельзя, так как будут получены неверные показатели. Кроме того, возможно искривление штока прибора.
5.41. Прочность бетона каждого участка конструкции желательно определять по результату трех испытаний. При этом места закрепления стержней (конусов) должны находиться на расстоянии 200 - 300 мм друг от друга.
Если наименьшее усилие вырывания (с учетом глубины см.
п. 5.39) отличается от среднего арифметического двух других испытаний более чем на 20%, то его в расчет не принимают.
б) Метод испытания бетона на отрыв
5.42. Место приклейки стального диска обводят цветным карандашом, очищают абразивом (вручную или с помощью шлифовальной установки) от цементной пленки на глубину 2 - 3 мм и обеспыливают. Затем наклеивают силикатным клеем бумажное кольцо, внутренний диаметр которого равен диаметру диска, а ширина равна не менее 15 мм. Это предотвращает сцепление вытекающего эпоксидного клея с бетоном за пределами диска.
5.43. Диски приклеивают к бетону эпоксидными клеями следующих составов.
Клей на смоле ЭД-5
Клей приготавливают из смолы ЭД-5, полиэтилен-полиамина (отвердитель) и цемента (наполнитель), которые берут в соотношениях соответственно 100, 10 и 40 вес. частей.
В стакане или чашке в указанной пропорции перемешивают шпателем в течение 3 мин смолу и отвердитель. Затем добавляют наполнитель и снова перемешивают до получения однородной массы. Клей необходимо использовать в течение 40 - 50 мин.
Клей на смоле ЭД-6
Приготовление клея на смоле ЭД-6 осуществляется в два этапа.
Сначала смолу пластифицируют. Для этого ее нагревают на водяной бане в полиэтиленовом сосуде при температуре 80 °C и добавляют дибутилфталат из расчета 20 вес. частей на 100 вес. частей смолы. После тщательного перемешивания смола становится пластичной и в таком виде может храниться более года.
Затем пластифицированную смолу (100 вес. частей) нагревают до 40 - 45 °C и перемешивают с полиэтиленполиамином (10 вес. частей), а затем добавляют цемент (40 вес. частей) и снова тщательно перемешивают до получения однородной массы. Клей можно использовать в течение 30 мин.
5.44. Клей слоем 1 - 1,5 мм наносят на диск и подготовленную бетонную поверхность и выдерживают в течение 10 мин, затем диск прижимают к бетону с усилием 1,5 - 2 кгс.
5.45. При приклеивании диска на наклонную или вертикальную поверхность его для фиксации положения обмазывают по контуру гипсовым раствором
(рис. 4) и прижимают к бетону до схватывания гипса.
После затвердения клея гипс легко удаляют. Затвердевший гипсовый раствор, кроме того, препятствует вытеканию клея из-под диска.
5.46. Приклеивать диски можно при температуре воздуха не ниже 5 °C.
5.47. При испытании определяют усилие, необходимое для отрыва части бетона, приклеенной к диску, а также площадь отрыва.
Если отрыв происходит по всей площади диска, то площадь отрыва определяют по формуле

(13)
где d - диаметр диска в см.
Если отрыв бетона происходит не по всей площади диска, то площадь, по которой отрыв не произошел, вычитают из определенной по
формуле (13).
Если площадь отрыва составляет менее 80% площади диска, то результат испытания не учитывается.
5.48. Напряжение отрыва на каждом участке определяют как среднее арифметическое единичных испытаний. Результат единичного испытания, отличающийся от среднего более чем на +/- 15%, не учитывают.
в) Метод определения прочности бетона по его
упруго-пластической деформации под действием
статической нагрузки
5.49. Муфту прибора навинчивают на вырывной стержень (конус) и под каждую ножку прибора подкладывают по листу копировальной и белой бумаги так, чтобы зачерненная сторона копировальной бумаги была обращена к белому листу, а обратная - к ножке прибора. Затем вращением выдвижных ножек и гайки штока прибор центрируют и закрепляют, после чего плавным вращением ручки винта насоса создается давление, необходимое для получения усилия, равного 1000 кгс.
При вращении (повороте) ручки насоса в противоположную сторону снимают давление и из-под ножек вынимают листы бумаги с отпечатками.
5.50. После вышеописанного испытания прибор поворачивают вокруг стержня (конуса) и испытания повторяют до получения необходимого количества отпечатков на каждом тарировочном образце или участке конструкции.
5.51. Величина отпечатка определяется как среднее арифметическое значение результатов измерения двух взаимно перпендикулярных диаметров.
ИЗГОТОВЛЕНИЕ И ИСПЫТАНИЕ ЭТАЛОННЫХ СТЕРЖНЕЙ
1. Эталонные стержни желательно изготавливать из стали марки Ст. 3 диаметром 10 мм, поставляемой в прутках. Прутки длиной не менее 6 м отбирают из одной пачки одновременной поставки с одного завода. Поверхность прутков не должна иметь следов коррозии. Прутки разрезают на 3 - 4 куска, а последние - на эталонные стержни (рубка прутков запрещается), один конец которых заостряют. Вырезанные из одного прутка эталонные стержни длиной 100 - 150 мм образуют партию.
2. Кроме стали Ст. 3 возможно использование и других сталей класса А-I.
3. Допустимо использовать арматурную сталь, поставляемую в бухтах. Сталь выпрямляют и режут на куски длиной по 3 - 4 м, а затем на эталонные стержни, которые подвергают отжигу для устранения наклепа, образовавшегося при их выпрямлении. Отжиг производят выдерживанием стержней при температуре 830 °C в течение 30 - 60 мин с последующим остыванием в печи. Стержни, приготовленные из одной бухты и отжигавшиеся одновременно, образуют партию.
4. Эталонные стержни в количестве 3 шт. от партии испытывают на разрывной машине для определения их предела прочности на разрыв с маркировкой через 2
кгс/мм2. Например, марка 44 включает стержни с

.
5. При отсутствии разрывной машины марку новой партии эталонных стержней можно определить на специальном эталономере, прилагаемом в комплекте с эталонным молотком НИИМосстроя. Для этого необходимо иметь эталонный стержень известной марки.
В эталономер для испытания вставляют два стержня: контрольный с известной маркой (выше шарика) и стержень испытываемой партии (ниже шарика). Затем эталономер ставят на твердое основание и слесарным (обычным) молотком наносят удар на бойку. После каждого удара оба стержня передвигают на расстояние не менее 10 мм и снова наносят удар.
Для испытания каждого стержня на нем делают по 5 - 6 отпечатков, а затем в эталономер вставляют новый стержень и испытывают его. Всего от партии испытывают три стержня. При этом контрольный стержень не меняют. После испытания стержней одной партии измеряют с точностью до 0,1
мм большие оси эллипсов (отпечатков) на контрольном
dк и испытываемых
dи стержнях и вычисляют среднюю величину отношения их между собой, равную

.
Если контрольный стержень имеет марку 44, то марку новой партии эталонных стержней определяют по табл. 3.
Таблица 3
Определение марки новой партии эталонных стержней
| Марка испытываемых эталонных стержней |
1,05 | 36 |
1,04 | 38 |
1,03 | 40 |
1,02 | 42 |
1,01 | 44 |
1 | 46 |
0,99 | 48 |
0,98 | 50 |
0,97 | 52 |
0,96 | 54 |
Примечание. При испытании в эталономере эталонных стержней одной марки с контрольным отпечаток на верхнем стержне (контрольном) получается больше, чем на нижнем (испытываемом).
6. Готовые эталонные стержни покрывают техническим вазелином или другой смазкой, предохраняющей их от коррозии, связывают в пучок, к которому прикрепляют бирку с обозначением номера партии и предела прочности на разрыв. Целесообразно сразу заготовить большое количество партий эталонных стержней и хранить их отдельно друг от друга в сухом отапливаемом помещении.
7. Следует иметь в виду, что приведенная на
рис. 6 приложения 5 тарировочная зависимость построена при использовании эталонных стержней с

. Поэтому при использовании для испытания бетона конструкций этой зависимости, а стержней другой марки, необходимо полученное отношение

умножить на поправочный коэффициент
Kс, учитывающий различие в прочности эталонных стержней (табл. 4).
Таблица 4
Значения Kс для приведения эталонных стержней к марке 44
по результатам их испытания в разрывной машине
Марка примененных эталонных стержней | Поправочный коэффициент Kс |
36 | 1,04 |
38 | 1,03 |
40 | 1,02 |
42 | 1,01 |
44 | 1 |
46 | 0,99 |
48 | 0,98 |
50 | 0,97 |
52 | 0,96 |
54 | 0,95 |
8. Если при испытании новой партии эталонных стержней применяют в качестве контрольных стержни марки не 44, а например, 40, то порядок работ следующий:
1) определяют отношение

. Допустимо, оно равно 1,02;
2) определяют величину

при контрольном стержне марки 44.
Для этого из
табл. 7 берут коэффициент
Kс, и тогда

(14)
3) исходя из полученной величины 1,04, по
табл. 3 находят, что марка испытываемых эталонных стержней равна 38.
ПРИМЕР ПОСТРОЕНИЯ ТАРИРОВОЧНОЙ ЗАВИСИМОСТИ "ПОКАЗАТЕЛЬ
НЕРАЗРУШАЮЩЕГО ИСПЫТАНИЯ - ПРОЧНОСТЬ ПРИ СЖАТИИ"
И ОЦЕНКИ ЕЕ ТОЧНОСТИ
1. Шестьдесят образцов подверглись неразрушающему испытанию, например склерометром КМ по методу упругого отскока. Затем эти образцы были испытаны на прессе. Средние арифметические (из трех образцов-близнецов) результаты этих испытаний приведены в табл. 5.
Таблица 5
Результаты испытаний образцов неразрушающим методом
и под прессом
Величина отскока в делениях | Предел прочности при сжатии на прессе в кгс/см2 |
12,5 | 139 |
12,6 | 122 |
13,8 | 145 |
14,1 | 155 |
14,3 | 164 |
14,7 | 187 |
15,4 | 185 |
15,8 | 190 |
16 | 212 |
16,2 | 204 |
17 | 201 |
17,1 | 232 |
17,4 | 256 |
17,6 | 257 |
17,8 | 286 |
17,9 | 249 |
18,3 | 307 |
18,8 | 354 |
19,1 | 336 |
19,5 | 371 |
2. Ряды значений величин отскока h и прочность бетона R разбивают на несколько n классов (в данном примере на семь), отличающихся между собой на постоянные величины, называемые классовыми интервалами Kh и KR. Классовый интервал определяют по формуле

(15)
Здесь Zмакс и Zмин - значения величин отскока или предела прочности.
Принимаем Kn = 1 делению, а KR = 36 кгс/см2.
Результаты разбивки приведены в табл. 6.
Таблица 6
Результаты разбивки экспериментальных данных на классы,
необходимые для вычисления координат линии регрессии
N п.п. | Весовые множители | Классы величин прочности бетона при сжатии в кгс/см2 | Середины классов прочности бетона при сжатии в кгс/см2 | Классы величин отскока h в делениях |
12,5 - 13,49 | 13,5 - 14,49 | 14,5 - 15,49 | 15,5 - 16,49 | 16,5 - 17,49 | 17,5 - 18,49 | 18,5 - 19,49 |
| 2 | 3 | 4 | 5 | 6 | 7 | 8 | 9 | 10 | 11 |
1 | -3 | 122 - 156 | 140 | 2 | 2 | | | | | |
2 | -2 | 157 - 193 | 176 | | 1 | 2 | 2 | | | |
3 | -1 | 194 - 229 | 212 | | | | 1 | | | |
4 | 0 | 230 - 265 | 248 | | | | | 2 | 2 | |
5 | +1 | 266 - 301 | 284 | | | | | 1 | 1 | |
6 | +2 | 302 - 337 | 320 | | | | | | 1 | 1 |
7 | +3 | 338 - 373 | 356 | | | | | | | 2 |
| | 2 | 3 | 2 | 3 | 3 | 4 | 3 |
| | -6 | -8 | -4 | -5 | +1 | +3 | +8 |
| | -3 | -2,67 | -2 | -1,67 | +0,33 | +0,75 | +2,67 |
| | 140 | 152 | 176 | 188 | 260 | 275 | 344 |
12 | y0 = 248 кгс/см2 | | KR = 36 кгс/см2 | Kh = 1 деление |
Средние значения классовых интервалов величин отскока являются абсциссами точек эмпирической линии регрессии.
3. Класс, соответствующий середине диапазона по прочности, принимают за условный нуль
y0 и в
первой графе табл. 6 против этого класса проставляют цифру 0. Все остальные показатели в этой графе находят по формуле

(16)
где y - среднее значение данного класса.
Полученные числа проставляют со знаком "минус" вверх и со знаком "плюс" вниз от нуля.
4. Производят разноску экспериментальных значений
h и
R по классам и подсчитывают их количество для каждой клетки корреляционной решетки, которое представляют в
табл. 6 и называют частотой
mx. Результаты суммирования частот по каждой вертикальной графе проставляют в
восьмой строке табл. 6.
5. Вычисляют моменты - произведения чисел
mxyi и суммируют по каждой вертикальной графе с учетом знаков. Полученные суммы по графам

проставляют в
девятой строке табл. 6.

(17)
7. Вычисляют ординаты эмпирической линии регрессии.
y = y0 + yсрKR. (18)
8. На корреляционное поле наносят координаты семи точек. Точки соединяют прямыми линиями, через середины которых проводят плавную кривую (рис. 5).
Рис. 5. Тарировочная зависимость "показание неразрушающего
метода - прочность бетона при сжатии"
Условные обозначения

- экспериментальные данные

- вычисленные координаты линии регрессии
9. После построения тарировочной зависимости находят
Sтар (см.
табл. 5 и
рис. 5).
Затем можно вычислить

:
где

- для обеспеченности 0,95 берут из табл. 7.
Таблица 7
Величины коэффициента
в зависимости от числа наблюдений
Число участков на конструкции или точек на тарировочной зависимости | |
10 - 15 | 2,3 |
16 - 20 | 2,2 |
> 20 | 2,1 |
ФОРМЫ ЖУРНАЛОВ ИСПЫТАНИЯ ОБРАЗЦОВ И КОНСТРУКЦИЙ
Журнал испытания образцов эталонным молотком НИИМосстроя
и на прессе для построения тарировочной зависимости
N образца | N партии образца | Размер образца a, b, h | Дата | Данные о бетоне | Диаметры отпечатков на | Средние величины, отношений dб/dэ для | Испытание на прессе | Примечание |
изготовления | испытания | исходные материалы, состав бетонной смеси | режим твердения и возраст в момент испытания | влажность растворной части в момент испытания | бетоне dб | эталоне dэ | показание манометра | нагрузка | предел прочности при сжатии (с учетом переводного коэффициента) |
частные | средние для одного образца | частные | средние для одного образца | одного образца | трех образцов |
одного образца | средний для трех образцов |
1 | 2 | 3 | 4 | 5 | 6 | 7 | 8 | 9 | 10 | 11 | 12 | 13 | 14 | 15 | 16 | 17 | 18 | 19 |
| | | | | | | | | | | | | | | | | | |
| | | | | | | | | | | | | | | | | | |
| | | | | | | | | | | | | | | | | | |
| | | | | | | | | | | | | | | | | | |
| | | | | | | | | | | | | | | | | | |
Журнал испытания образцов прибором ХПС и на прессе
для построения тарировочной зависимости
N образца | N партий образца | Размер образца | Дата | Данные о бетоне | Диаметры отпечатков при ударе с энергией в кгс·см | Испытание на прессе | Примечание |
изготовления | испытания | исходные материалы, состав бетонной смеси | режим твердения и возраст в момент испытания | влажность растворной части в момент испытания | показание манометра | нагрузка | предел прочности при сжатии (с учетом переводного коэффициента) |
12,5 | 50 |
частные | средние для | частные | средние для |
одного образца | трех образцов | одного образца | трех образцов | одного образца | средний для трех образцов |
1 | 2 | 3 | 4 | 5 | 6 | 7 | 8 | 9 | 10 | 11 | 12 | 13 | 14 | 15 | 16 | 17 | 18 | 19 |
| | | | | | | | | | | | | | | | | | |
| | | | | | | | | | | | | | | | | | |
| | | | | | | | | | | | | | | | | | |
| | | | | | | | | | | | | | | | | | |
| | | | | | | | | | | | | | | | | | |
| | | | | | | | | | | | | | | | | | |
Журнал испытания образцов прибором ДПГ-4 и на прессе
для построения тарировочной зависимости
N образца | N партии образца | Размер образца | Дата | Данные о бетоне | Длины отпечатков на бетоне | Испытания на прессе | Примечание |
изготовления | испытания | исходные материалы, состав бетонной смеси | режим твердения и возраст в момент испытания | влажность растворной части в момент испытания | показание манометра | нагрузка | предел прочности при сжатии (с учетом переводного коэффициента) |
частные | средние для |
одного образца | трех образцов |
одного образца | средний для трех образцов |
1 | 2 | 3 | 4 | 5 | 6 | 7 | 8 | 9 | 10 | 11 | 12 | 13 | 14 | 15 | 16 |
| | | | | | | | | | | | | | | |
| | | | | | | | | | | | | | | |
| | | | | | | | | | | | | | | |
| | | | | | | | | | | | | | | |
| | | | | | | | | | | | | | | |
Журнал испытания образцов склерометрами КМ и Шмидта,
а также прибором ГПНВ-5 (по диаметру отпечатка) и на прессе
для построения тарировочной зависимости
N образца | N партии образца | Размер образца | Дата | Данные о бетоне | Величина отскока или отпечатка | Испытание на прессе | Примечание |
изготовления | испытания | исходные материалы, состав бетонной смеси | режим твердения и возраст в момент испытания | влажность растворной части в момент испытания | показание манометра | нагрузка | предел прочности при сжатии (с учетом переводного коэффициента) |
частные | средние для |
одного образца | трех образцов |
одного образца | средний для трех образцов |
1 | 2 | 3 | 4 | 5 | 6 | 7 | 8 | 9 | 10 | 11 | 12 | 13 | 14 | 15 | 16 |
| | | | | | | | | | | | | | | |
| | | | | | | | | | | | | | | |
| | | | | | | | | | | | | | | |
| | | | | | | | | | | | | | | |
| | | | | | | | | | | | | | | |
| | | | | | | | | | | | | | | |
Журнал испытания образцов прибором НИИЖБ и на прессе
для построения тарировочной зависимости
N образца | N партии образца | Размер образца | Дата | Данные о бетоне | Радиус сферы | Давление | Диаметр отпечатка | Испытание на прессе | Примечание |
изготовления | испытания | исходные материалы, состав бетонной смеси | режим твердения и возраст в момент испытания | влажность растворной части в момент испытания | частные | средние для | показание манометра | нагрузка | предел прочности при сжатии (с учетом переводного коэффициента) |
одного образца | трех образцов |
одного образца | средний для трех образцов |
1 | 2 | 3 | 4 | 5 | 6 | 7 | 8 | 9 | 10 | 11 | 12 | 13 | 14 | 15 | 16 | 17 | 18 |
| | | | | | | | | | | | | | | | | |
| | | | | | | | | | | | | | | | | |
| | | | | | | | | | | | | | | | | |
| | | | | | | | | | | | | | | | | |
| | | | | | | | | | | | | | | | | |
| | | | | | | | | | | | | | | | | |
Журнал испытания образцов прибором ГПНВ-5 методом
отрыва со скалыванием и на прессе для построения
тарировочной зависимости
N образца | N партии образца | Размер образца | Дата | Данные о бетоне | Конус или стержень | Показание манометра прибора ГПНВ-5 | Усилие вырывания | Испытание на прессе | Примечание |
изготовления | испытания | исходные материалы, состав бетонной смеси | режим твердения и возраст в момент испытания | частные | средние для | показание манометра | нагрузка | предел прочности при сжатии (с учетом переводного коэффициента) |
одного образца | трех образцов |
одного образца | средний для трех образцов |
1 | 2 | 3 | 4 | 5 | 6 | 7 | 8 | 9 | 10 | 11 | 12 | 13 | 14 | 15 | 16 | 17 |
| | | | | | | | | | | | | | | | |
| | | | | | | | | | | | | | | | |
| | | | | | | | | | | | | | | | |
| | | | | | | | | | | | | | | | |
| | | | | | | | | | | | | | | | |
Журнал испытания образцов прибором ГПНВ-5 методом отрыва
и на прессе для построения тарировочной зависимости
N образца | N партии образца | Размер образца | Дата | Данные о бетоне | Показание манометра прибора ГПНВ-5 | Усилие отрыва | Площадь отрыва | Сопротивление отрыву | Испытание на прессе | Примечание |
изготовления | испытания | исходные материалы, состав бетонной смеси | режим твердения и возраст в момент испытания | показание манометра | нагрузка | предел прочности при сжатии (с учетом переводного коэффициента) |
частные | средние для |
одного образца | трех образцов |
одного образца | средний для трех образцов |
1 | 2 | 3 | 4 | 5 | 6 | 7 | 8 | 9 | 10 | 11 | 12 | 13 | 14 | 15 | 16 | 17 | 18 |
| | | | | | | | | | | | | | | | | |
| | | | | | | | | | | | | | | | | |
| | | | | | | | | | | | | | | | | |
| | | | | | | | | | | | | | | | | |
| | | | | | | | | | | | | | | | | |
| | | | | | | | | | | | | | | | | |
Журнал испытания прочности бетона в конструкциях
эталонным молотком НИИМосстроя
Наименование изделий или элемента конструкции и его N | Дата | Проектная прочность бетона | Данные о бетоне | Испытываемый участок конструкции (N участка по схеме) | Величины отпечатков на | Средняя величина отношения dб/dэ для участка | Предел прочности бетона (участка) при сжатии по тарировочной зависимости | Поправочные коэффициенты на | Предел прочности бетона участка при сжатии | Примечание |
изготовления | испытания | исходные материалы, состав бетонной смеси | режим твердения и возраст в момент испытания | влажность растворной части в момент испытания |
бетоне | эталоне | режим твердения | влажность |
частные | средние | частные | средние |
1 | 2 | 3 | 4 | 5 | 6 | 7 | 8 | 9 | 10 | 11 | 12 | 13 | 14 | 15 | 16 | 17 | 18 |
| | | | | | | | | | | | | | | | | |
| | | | | | | | | | | | | | | | | |
| | | | | | | | | | | | | | | | | |
| | | | | | | | | | | | | | | | | |
| | | | | | | | | | | | | | | | | |
| | | | | | | | | | | | | | | | | |
Журнал испытания прочности бетона
в конструкциях прибором типа ХПС
Наименование изделия или элемента конструкции и его N | Дата | Проектная прочность | Данные о бетоне | Испытываемый участок конструкции (N участка по схеме) | Положение прибора при ударе | Диаметры отпечатков при ударе с энергией в кгс·см | Предел прочности бетона (участка) при сжатии по тарировочным зависимостям для ударов с энергией в кгс·см | Поправочные коэффициенты на | Предел прочности бетона участка | Примечание |
изготовления | испытания | исходные материалы, состав бетонной смеси | режим твердения и возраст в момент испытания | влажность растворной части и момент испытания |
12,5 | 50 |
частные | средние для участка | частные | средние для участка | положение прибора при ударе с энергией в кгс·см | режим твердения | влажность | при ударе с энергией в кгс·см | средний |
50 | 12,5 |
12,5 | 50 | 12,5 | 50 |
1 | 2 | 3 | 4 | 5 | 6 | 7 | 8 | 9 | 10 | 11 | 12 | 13 | 14 | 15 | 16 | 17 | 18 | 19 | 20 | 21 | 22 | 23 |
| | | | | | | | | | | | | | | | | | | | | | |
| | | | | | | | | | | | | | | | | | | | | | |
| | | | | | | | | | | | | | | | | | | | | | |
| | | | | | | | | | | | | | | | | | | | | | |
| | | | | | | | | | | | | | | | | | | | | | |
| | | | | | | | | | | | | | | | | | | | | | |
Журнал испытания прочности бетона в конструкциях
прибором типа ДПГ-4
| | ИС МЕГАНОРМ: примечание. В официальном тексте документа, видимо, допущена опечатка: рисунок 15 отсутствует. | |
Наименование изделия или элемента конструкции и его N | Дата | Проектная прочность бетона | Данные о бетоне | Испытываемый участок конструкции (N участка по схеме) | Схема испытания (см. рис. 15) | Длины отпечатков | Предел прочности бетона (участка) при сжатии по тарировочной зависимости или формуле | Примечание |
изготовления | испытания |
исходные материалы, состав бетонной смеси | режим твердения и возраст в момент испытания | частные | средние для участков |
1 | 2 | 3 | 4 | 5 | 6 | 7 | 8 | 9 | 10 | 11 | 12 |
| | | | | | | | | | | |
| | | | | | | | | | | |
| | | | | | | | | | | |
| | | | | | | | | | | |
| | | | | | | | | | | |
| | | | | | | | | | | |
Журнал испытания прочности бетона в конструкциях
склерометрами КМ и Шмидта, а также прибором ГПНВ-5
(по диаметру отпечатка)
Наименование изделия или элемента конструкции и его N | Дата | Проектная прочность бетона | Данные о бетоне | Испытываемый участок конструкции (N участка по схеме) | Величины отскоков или отпечатков | Предел прочности бетона участка при сжатии по тарировочной зависимости | Поправочные коэффициенты на | Предел прочности бетона участка при сжатии | Примечание |
изготовления | испытания | исходные материалы, состав бетонной смеси | режим твердения и возраст в момент испытания | влажность растворной части в момент испытания |
частные | средние для участка | положение прибора при ударе | влажность | режим твердения |
1 | 2 | 3 | 4 | 5 | 6 | 7 | 8 | 9 | 10 | 11 | 12 | 13 | 14 | 15 | 16 |
| | | | | | | | | | | | | | | |
| | | | | | | | | | | | | | | |
| | | | | | | | | | | | | | | |
| | | | | | | | | | | | | | | |
| | | | | | | | | | | | | | | |
| | | | | | | | | | | | | | | |
Журнал испытания прочности бетона
в конструкциях прибором НИИЖБ
Наименование изделия или элемента конструкции и его N | Дата | Проектная прочность бетона | Данные о бетоне | Влажность растворной части в момент испытания | Испытываемый участок конструкции (N участка по схеме) | Режим испытания | Диаметры отпечатков | Предел прочности бетона (участка) при сжатии по тарировочной зависимости | Примечание |
изготовления | испытания |
исходные материалы, состав бетонной смеси | режим твердения и возраст в момент испытания | радиус сферы | давление | частные | средние для участка |
1 | 2 | 3 | 4 | 5 | 6 | 7 | 8 | 9 | 10 | 11 | 12 | 13 | 14 |
| | | | | | | | | | | | | |
| | | | | | | | | | | | | |
| | | | | | | | | | | | | |
| | | | | | | | | | | | | |
| | | | | | | | | | | | | |
| | | | | | | | | | | | | |
Журнал испытания прочности бетона в конструкциях прибором
ГПНВ-5 методом отрыва со скалыванием
Наименование изделия или элемента конструкции и его N | Дата | Проектная прочность бетона | Данные о бетоне | Испытываемый участок конструкции (N участка) по схеме | Конус или стержень | Показания манометра | Усилия вырывания | Предел прочности бетона (участка) при сжатии по тарировочной зависимости | Поправочные коэффициенты на | Предел прочности бетона участка при сжатии | Примечание |
изготовления | испытания |
исходные материалы, состав бетонной смеси | режим твердения и возраст в момент испытания | частные | средние для участка | исходные материалы | режим твердения |
1 | 2 | 3 | 4 | 5 | 6 | 7 | 8 | 9 | 10 | 11 | 12 | 13 | 14 | 15 | 16 |
| | | | | | | | | | | | | | | |
| | | | | | | | | | | | | | | |
| | | | | | | | | | | | | | | |
| | | | | | | | | | | | | | | |
| | | | | | | | | | | | | | | |
| | | | | | | | | | | | | | | |
Журнал испытания прочности бетона в конструкциях
прибором ГПНВ-5 методом отрыва
Наименование изделия или элемента конструкции и его N | Дата | Проектная прочность бетона | Данные о бетоне | Испытываемый участок конструкции (N участка) по схеме | Показания манометра прибора ГПНВ-5 | Усилие отрыва | Площадь отрыва | Сопротивление отрыва | Поправочные коэффициенты на | Предел прочности бетона участка при сжатии | Примечание |
изготовления | испытания |
исходные материалы, состав бетонной смеси | режим твердения и возраст в момент испытания | частное | среднее для участка | исходные материалы | режим твердения |
1 | 2 | 3 | 4 | 5 | 6 | 7 | 8 | 9 | 10 | 11 | 12 | 13 | 14 | 15 | 16 |
| | | | | | | | | | | | | | | |
| | | | | | | | | | | | | | | |
| | | | | | | | | | | | | | | |
| | | | | | | | | | | | | | | |
| | | | | | | | | | | | | | | |
| | | | | | | | | | | | | | | |
ПРИМЕР ОПРЕДЕЛЕНИЯ ПРОЧНОСТИ БЕТОНА КОМПЛЕКСНЫМ МЕТОДОМ
Для контроля прочности бетона были отдельно применены методы, основанные на измерении величины упругого отскока, диаметра отпечатка и скорости прохождения ультразвука. Тарировочные зависимости для этих методов обеспечивают, например, соответственно предельную погрешность в определении прочности +/- 0,25; +/- 0,2; +/- 0,2 в 95% случаев.
Допустим, что требуется точность более высокая, чем +/- 0,2. Тогда необходимо проверить, не удастся ли ее повысить при совместном использовании вышеприведенных (или других) методов.
Пусть средняя прочность одной из серий образцов, состоящей из трех близнецов, определенная по величинам отскока, отпечатка и скорости ультразвука, равна соответственно 300, 240 и 220 кгс/см2.
Тогда прочность по комплексному методу
Аналогичным образом производят подсчет прочности, определяемой комплексным методом для всех серий образцов.
Оценку комплексного метода определения прочности бетона производят путем последовательного вычисления среднего квадратического отклонения по формуле
а затем и предельной погрешности определения прочности бетона комплексным методом по формуле
ОРИЕНТИРОВОЧНАЯ ОЦЕНКА ПРОЧНОСТИ БЕТОНА
1. Материалы, содержащиеся в этом приложении, предназначены прежде всего для приближенного определения прочности уже возведенных и зачастую длительное время эксплуатируемых зданий и сооружений. Построить тарировочную зависимость на образцах, бетон которых полностью соответствовал бы бетону обследуемых конструкций, как правило, невозможно. Поэтому средняя квадратическая погрешность в определении прочности может быть выше 0,12. В этом случае неразрушающий метод допускается к применению, если он является практически единственным методом, позволяющим ориентировочно оценить качество бетона конструкций.
2. Для определения прочности бетона возведенных зданий и сооружений используют тарировочную зависимость, ранее построенную на бетоне, аналогичном подлежащему контролю.
| | ИС МЕГАНОРМ: примечание. В официальном тексте документа, видимо, допущена опечатка: рисунок 13 отсутствует. | |
При отсутствии такой зависимости допускается пользоваться зависимостями, приведенными на
рис. 6 -
8 и
10 - 13. Для повышения точности определения прочности бетона по ним рекомендуются следующие дополнительные меры:
а) если сохранились контрольные образцы-кубы от конструкций, подлежащих обследованию, но количество этих образцов недостаточно для построения тарировочной зависимости, их необходимо испытать неразрушающим методом и затем под прессом. По результатам испытания определяют средние для всех образцов значения прочности
Rср. куб и показателя неразрушающего метода. По последнему из принятой тарировочной зависимости также определяют прочность бетона
Rср. тар. Затем вычисляют корректировочный коэффициент совпадения по формуле

(19)
Прочность бетона испытываемой конструкции определяют умножением на Kсовп прочности, полученной по тарировочной зависимости.
Если количество образцов не менее 10, то вычисляют величину средней квадратической погрешности Sтар по формуле

(20)
где N - количество образцов-кубов.
Прочность бетона участка конструкции определяют по откорректированной зависимости или же по первоначально выбранной зависимости с умножением Rтар на Kсовп;
б) если образцы от подлежащих контролю конструкций не сохранились, то корректировку выбранной тарировочной зависимости можно произвести на образцах, вырезанных из конструкций. Методика определения прочности и точности ее оценки та же, что и по
п. 2 "а";
в) если рекомендации
пп. 2 "а" и
2 "б" выполнить нельзя, но сохранились материалы, из которых приготавливался бетон конструкции, то необходимо сделать следующее. Из этих материалов делают образцы, а затем по результатам их испытания строят тарировочную зависимость. Эта работа проводится в соответствии с требованиями
пп. 4.2 -
4.5.
Прочность бетона участка конструкции определяют в этом случае по формуле
Ri = Ri тарKвозр, (21)
где
Kвозр - коэффициент, учитывающий разницу в возрасте бетона обследуемой конструкции и образцов, по которым строилась тарировочная зависимость (табл. 8 и
10);
Таблица 8
Величины коэффициентов, учитывающих режим твердения бетона
при его испытании приборами НИИМосстроя, ХПС и КМ
(по диаметру отпечатка)
Режим твердения | Поправочные коэффициенты при возрасте бетона в сутках |
3 | 7 | 14 | 28 | 60 | 90 | 180 | 360 | 500 | >= 1000 |
Естественное твердение | 1,3 | 1,2 | 1,1 | 0,95 | 0,9 | 0,8 | 0,75 | 0,7 | 0,63 | 0,6 |
После пропаривания | 1,05 | 1,03 | 1,02 | 0,95 | 0,9 | 0,8 | 0,75 | 0,7 | 0,63 | 0,6 |
г) определение прочности бетона с меньшей точностью осуществляется при использовании тарировочной зависимости, описанной в
п. 2 "а", но без привязки с помощью образцов к бетону конструкций. В этом случае прочность определяется по формуле
Ri = Rтар iK1K2 .... Kn, (22)
где K1, K2, ..., Kn - коэффициенты, учитывающие разницу в режиме твердения, размере крупного заполнителя и т.д. по сравнению с бетоном, для которого была построена тарировочная зависимость.
В
табл. 8 и
10, а для прибора ГПНВ-5 в тексте
п. 9 данного приложения 5 даны величины поправочных коэффициентов, учитывающих влияние различных факторов. Предельная погрешность в определении прочности бетона в участке конструкции

в данном случае в значительной мере зависит от того, насколько полно произведен учет различия бетона конструкции от бетона образцов, по результатам испытания которых была построена принятая тарировочная зависимость.
3. Оценку прочности бетона эксплуатируемых или возведенных конструкций при отсутствии специально построенных для данных бетонов тарировочных зависимостей могут проводить только высококвалифицированные специалисты в области испытания сооружений, а также применения неразрушающих методов контроля прочности бетона.
4. На рис. 6 -
8 приведены тарировочные зависимости для ориентировочного определения прочности бетона по величинам диаметров отпечатков

приборами НИИМосстроя, ХПС и КМ. Характеристики бетонов, на которых были построены эти графики, даны в подрисуночных подписях.
Рис. 6. Тарировочная зависимость для определения прочности
бетона эталонным молотком НИИМосстроя. Возраст бетона 28
суток после пропаривания. Влажность растворной части 2 - 6%
Рис. 7. Тарировочная зависимость для определения
прочности бетона прибором ХПС при энергии удара 50 кгс·см.
Возраст бетона 28 суток после пропаривания.
Влажность растворной части 4%
Рис. 8. Тарировочная зависимость для определения прочности
бетона склерометром КМ (по диаметру отпечатка).
Возраст бетона 28 суток после пропаривания
Величины поправочных коэффициентов, учитывающих возраст бетона в момент испытания, приведены в
табл. 8.
5. Ориентировочная оценка прочности бетона маятниковым прибором ДПГ-4 производится по формуле

(23)
где
A - величина, берущаяся из
табл. 9, в
кгс·см;
H - высота падения диска вычисляется по формулам, приведенным на
рис. 9;
aср - средняя длина отпечатка на бетоне в см;
l - длина стержня прибора в см.
Таблица 9
Бетон | Величина A при испытании поверхностей |
верхних неопалубленных | боковых распалубленных |
На гравии | 5600 | 4850 |
" щебне | 6400 | 5500 |
Примечания: 1. Величины коэффициента A даны лишь для приборов, удовлетворяющих следующему равенству:

(24)
где Pд - вес диска в кг;
Pс - вес стержня в кг;
d - толщина ударной кромки в см.
2. Верхние неопалубленные поверхности допускается испытывать лишь в случае, если нельзя испытать поверхности, прилегавшие к опалубке (желательно боковой).
Рис. 9. Испытание прибором типа ДПГ-4 и соответствующие
формулы для определения прочности бетона.
Бетон перед испытанием водонасыщается
Для определения прочности по
п. 5 обязательно водонасыщение испытываемой бетонной поверхности.
6. В табл. 10 приведены поправочные коэффициенты, учитывающие влияние возраста бетона на связь прочности с величиной отскока, определяемой склерометром КМ.
Таблица 10
Коэффициенты, учитывающие возраст бетона при его испытании
склерометром КМ (по величине отскока)
Длительность твердения в сутках | Поправочный коэффициент |
3 | 1,1 |
28 | 1,0 |
90 | 0,9 |
180 | 0,95 |
360 | 0,8 |
7. Для ориентировочной оценки прочности бетона склерометрами Шмидта типов N, NR, L и M можно пользоваться тарировочными зависимостями, прилегаемыми к этим приборам.
8. На рис. 10 приведены тарировочные зависимости для определения прочности различных бетонов при их испытании сферическим штампом НИИЖБ, имеющим радиус кривизны 140 мм.
Рис. 10. Тарировочные зависимости для определения прочности
бетона прибором НИИЖБ (штамп с радиусом кривизны 140 мм)
1 - на гранитном щебне, твердевшего в нормальных условиях
28 суток. Усилие вдавливания штампа 1500 кгс;
2 - на гранитном щебне, горячего (60 - 70 °C). Усилие
вдавливания штампа 1500 кгс; 3 - мелкозернистого,
твердевшего в нормальных условиях 28 суток. Усилие
вдавливания штампа 1500 кгс; 4 - на гранитном щебне,
пропаренного. Усилие вдавливания штампа 2000 кгс;
5 - на гранитном щебне, твердевшего более двух лет.
Усилие вдавливания штампа 2000 кгс
9. На рис. 11 и
12 приведены тарировочные зависимости, позволяющие с помощью гидравлического пресс-насоса ГПНВ-5 определять прочность бетона, приготовленного на щебне крупностью до 50
мм и твердевшего в нормальных условиях.
Рис. 11. Тарировочные зависимости для определения
прочности бетона прибором ГПНВ-5 при испытании на отрыв
со скалыванием. Бетон нормального твердения;
щебень крупностью до 50 мм
1 - с разжимным конусом; 2 - с вырывным стержнем
Рис. 12. Тарировочная зависимость для определения
прочности бетона прибором ГПНВ-5 по величине диаметра
отпечатка. Бетон нормального твердения,
щебень крупностью до 50 мм
При испытании бетона, подвергавшегося тепловлажностной обработке, величина усилия при испытании на отрыв со скалыванием должна умножаться на коэффициент 1,2, учитывающий уменьшение сопротивления пропаренного бетона отрыву со скалыванием.
При испытании бетона, приготовленного на щебне с крупностью заполнителя более 50 мм, величина усилия отрыва со скалыванием должна умножаться на коэффициент 1,1.
Примечание. Изменения в возрасте бетона и его влажности не оказывают существенного влияния на связь "прочность - усилие вырывания" и поэтому не учитываются.
ПРИМЕР ОЦЕНКИ ПРОЧНОСТИ БЕТОНА В РИГЕЛЕ ПЕРЕКРЫТИЯ
1. Марка бетона 300 (Rзад). Ригель разбит на 10 участков. Прочность бетона каждого участка, определенная неразрушающим методом Ri тар, приведена в табл. 11.
Таблица 11
Результаты определений неразрушающим методом
прочности бетона в ригеле
N участка | Прочность бетона в участке Ri в кгс/см2 | Ri - Rср | (Ri - Rср)2 |
1 | 275 | 22 | 484 |
2 | 310 | 13 | 169 |
3 | 305 | 8 | 64 |
4 | 267 | 30 | 900 |
5 | 280 | 17 | 289 |
6 | 320 | 23 | 529 |
7 | 275 | 22 | 484 |
8 | 280 | 17 | 289 |
9 | 275 | 22 | 484 |
10 | 340 | 43 | 1849 |
| Rср = 297 | | |
2. Среднее квадратическое отклонение прочности бетона в ригеле
3. При обеспеченности 0,95 и числе участков

равно 2,3 и, следовательно, предельная погрешность определения средней прочности бетона в ригеле
5. Возможная погрешность в определении прочности бетона
6. Определяем коэффициент снижения средней прочности бетона в ригеле Kп = 1 - 0,257 = 0,743.
7. Вычисляем RсрKп = 297·0,743 = 221 кгс/см2; 0,7Rзад = 0,7·300 = 210 кгс/см2.
Таким образом, RсрKп > 0,7Rзад.
Следовательно, прочность бетона ригеля удовлетворяет предъявляемым к ней требованиям.