Главная // Актуальные документы // ГОСТ (Государственный стандарт)СПРАВКА
Источник публикации
М.: ИПК Издательство стандартов, 1997
Примечание к документу
С 1 июля 2003 года до вступления в силу технических регламентов акты федеральных органов исполнительной власти в сфере технического регулирования носят рекомендательный характер и подлежат обязательному исполнению только в части, соответствующей целям, указанным в
пункте 1 статьи 46 Федерального закона от 27.12.2002 N 184-ФЗ.
Введен в действие с 1 января 1985 года.
Название документа
"ГОСТ 25823-83. Марганца двуокись для химических источников тока. Технические условия"
(утв. Постановлением Госстандарта СССР от 14.06.1983 N 2542)
(ред. от 01.05.1992)
"ГОСТ 25823-83. Марганца двуокись для химических источников тока. Технические условия"
(утв. Постановлением Госстандарта СССР от 14.06.1983 N 2542)
(ред. от 01.05.1992)
Утвержден и введен в действие
Постановлением Госстандарта СССР
от 14 июня 1983 г. N 2542
ГОСУДАРСТВЕННЫЙ СТАНДАРТ СОЮЗА ССР
МАРГАНЦА ДВУОКИСЬ ДЛЯ ХИМИЧЕСКИХ ИСТОЧНИКОВ ТОКА
ТЕХНИЧЕСКИЕ УСЛОВИЯ
Manganese dioxide for chemical sources of current.
Specifications
ГОСТ 25823-83
| | Список изменяющих документов (в ред. Изменения N 1, утв. в марте 1989 г., | |
Дата введения
1 января 1985 года
1. Разработан и внесен Министерством химической промышленности СССР.
Разработчики: Г.В. Погорельская, В.М. Маркова, Е.П. Черемухин.
2. Утвержден и введен в действие Постановлением Государственного комитета СССР по стандартам от 14.06.1983 N 2542.
3. Периодичность проверки - 5 лет.
4. Ссылочные нормативно-технические документы
Обозначение НТД, на который дана ссылка | Номер пункта, подпункта |
| |
| |
| |
| |
| |
| |
| |
| |
| |
| |
| |
| |
| |
| |
| |
| |
| |
| |
| |
| |
| |
| |
| |
| |
| |
| |
| |
| |
| |
| |
| |
| |
| |
| |
| |
| |
| |
| |
| |
| |
ГОСТ 22159-76 | |
| |
| |
| | ИС МЕГАНОРМ: примечание. Взамен ГОСТ 24104-88 Постановлением Госстандарта РФ от 26.10.2001 N 439-ст с 1 июля 2002 года введен в действие ГОСТ 24104-2001. | |
|
ГОСТ 24104-88 | |
| |
| |
| |
| |
| |
| |
5. Ограничение срока действия снято по решению Межгосударственного совета по стандартизации, метрологии и сертификации (N 4-94).
6. Переиздание (декабрь 1996 г.) с Изменениями N 1, 2, утвержденными в марте 1989 г., мае 1992 г. (ИУС 7-89, 8-92).
Настоящий стандарт распространяется на электролитическую двуокись марганца, предназначенную для применения в производстве химических источников тока в качестве активного компонента.
Электролитическую двуокись марганца (ЭДМ) получают электролизом растворов сульфата марганца.
Двуокись марганца представляет собой тонкодисперсный порошок черного или темно-коричневого цвета, нерастворима в воде, при нагревании выше 105 °C изменяет физико-химические свойства.
Формула

.
Молекулярная масса (по международным атомным массам 1985 г.) - 86,937.
Требования настоящего стандарта являются обязательными, кроме
пп. 2,
17 таблицы.
(Измененная редакция, Изм. N 1, 2).
1. ТЕХНИЧЕСКИЕ ТРЕБОВАНИЯ
1.1. Двуокись марганца должна быть изготовлена в соответствии с требованиями настоящего стандарта по технологическому регламенту, утвержденному в установленном порядке.
1.2. (Исключен, Изм. N 1).
1.3. По физико-химическим показателям двуокись марганца должна соответствовать нормам, указанным в табл. 1.
Таблица 1
Наименование показателя | Норма для марки |
ЭДМ |
Высший сорт ОКП 21 2353 0220 | Первый сорт ОКП 21 2353 0230 |
1. Массовая доля двуокиси марганца (MnO2), %, не менее | 90 | 90 |
2. Массовая доля трехокиси марганца (Mn 2O 3, %, не более) | 8,0 | 8,0 |
3. Массовая доля нерастворимого в HCl остатка, %, не более | 1,0 | 2,0 |
4. Массовая доля железа (Fe), %, не более | 0,05 | 0,15 |
5. (Исключен, Изм. N 1) | | |
6. Массовая доля сульфатов (SO4), %, не более | 1,3 | 1,3 |
7. Массовая доля гигроскопической влаги, %, не более | 3,0 | 4,0 |
8. Массовая доля свинца (Pb), %, не более | 0,1 | 0,25 |
9. Массовая доля сурьмы (Sb), %, не более | 0,0005 | 0,001 |
10. Массовая доля мышьяка (As), %, не более | 0,0005 | 0,001 |
11. Массовая доля меди (Cu), %, не более | 0,002 | - |
12. Массовая доля никеля (Ni), %, не более | 0,002 | - |
13. Массовая доля кобальта (Co), %, не более | 0,002 | - |
14. pH двуокиси марганца | 4,0 - 6,5 | 4,0 - 6,5 |
15. Массовая доля фракции, не менее, %, проходящей через сито с сетками: | | |
N 02 | 95 |
N 0071 | 65 |
N 004 | 20 |
16. Кристаллическая модификация |  = MnO 2, межплоскостные расстояния:  - 3,90 - 4,07 2,40 - 2,42 2,10 - 2,12 1,62 - 1,64 1,37 - 1,39 |
17. Удельная поверхность, м2/г, не менее | 20 |
18. Массовая доля титана (Ti), %, не более | 0,005 | 0,01 |
Примечание. Допускается присутствие на рентгенограмме линии с межплоскостным расстоянием 3,10 - 3,13

, если отношение площади данной линии к площади соответствующей линии 2,40 - 2,42

не превышает 0,15.
(Измененная редакция, Изм. N 1, 2).
2. ТРЕБОВАНИЯ БЕЗОПАСНОСТИ
2.1. Двуокись марганца - токсичное вещество. Предельно допустимая концентрация марганца и его соединений в воздухе рабочей зоны производственных помещений по
ГОСТ 12.1.005 - 0,3 мг/м3.
2.2. По степени воздействия на организм по
ГОСТ 12.1.007 двуокись марганца относится к 2-му классу опасности.
2.3. Попадание двуокиси марганца в организм возможно через органы дыхания.
2.4. Двуокись марганца обладает кумулятивным и кожно-раздражающим действием; при концентрациях, превышающих предельно допустимую концентрацию, оказывает вредное действие на сердечно-сосудистую и центральную нервную системы, органы дыхания.
2.5. При работе с двуокисью марганца необходимо применять индивидуальные средства защиты: противопылевые респираторы по
ГОСТ 12.4.028, резиновые перчатки по
ГОСТ 20010, спецодежду по типовым отраслевым нормам, утвержденным в установленном порядке, а также соблюдать меры личной гигиены.
(Измененная редакция, Изм. N 1).
2.6. Производственные помещения должны быть оборудованы приточно-вытяжной вентиляцией по
ГОСТ 12.4.021.
2.7. Подготовку проб двуокиси марганца для анализа проводят в вытяжном шкафу.
2.8. Определение концентрации двуокиси марганца в воздухе рабочей зоны производственных помещений производят фотоколориметрическим методом, утвержденным в установленном порядке в соответствии с
ГОСТ 12.1.007.
3.1. Двуокись марганца принимают партиями. Партией считают продукт, однородный по своим качественным показателям, массой не более 60 т, сопровождаемый одним документом о качестве, содержащим:
наименование предприятия-изготовителя и его товарный знак;
наименование продукта и сорт;
номер партии и дату изготовления;
массу нетто;
результаты проведенных анализов;
обозначение настоящего стандарта.
3.2. Для проверки двуокиси марганца на соответствие требованиям настоящего стандарта отбирают 1% единиц продукции, но не менее пяти единиц продукции при партии менее 100 единиц. Для определения массовой доли свинца и титана в партии пробы отбирают от пяти единиц упаковок продукта.
Периодичность контроля по показателю кристаллическая модификация - один раз в квартал.
Для проверки качества двуокиси марганца, находящейся на потоке, отбирают пробу 0,2 кг от 1 т продукта.
3.3. При получении неудовлетворительных результатов анализа хотя бы по одному из показателей проводят повторный анализ на удвоенной выборке или пробе.
Результаты повторного анализа распространяются на всю партию по показателю, по которому получен неудовлетворительный результат.
3.1 - 3.3. (Измененная редакция, Изм. N 1).
4.1. Отбор проб
4.1.1. Точечные пробы двуокиси марганца из барабанов и мешков открытого типа отбирают щупом, погружая его на 3/4 глубины по вертикальной оси.
Точечные пробы продукта, находящегося на потоке, отбирают механическим или автоматическим пробоотборником или ручным способом. Масса точечной пробы должна быть не менее 0,2 кг.
4.1.2. Отобранные точечные пробы двуокиси марганца соединяют в объединенную пробу, из которой квартованием получают среднюю пробу массой не менее 0,5 кг.
4.1.3. Среднюю пробу двуокиси марганца помещают в чистую сухую стеклянную, плотно закрываемую банку. Точечные пробы, отобранные от пяти единиц упаковок для определения массовой доли свинца и титана, помещают в чистые сухие плотно закрывающиеся банки отдельно от каждой единицы упаковки. На банки наклеивают этикетки с указанием наименования продукта, наименования предприятия-изготовителя, номера партии и даты отбора пробы.
4.1.4. Из средней пробы квартованием отбирают 50 г продукта, растирают в агатовой или фарфоровой ступке, тщательно перемешивают, сушат при температуре 100 - 105 °C и помещают в сухую стеклянную банку с притертой пробкой.
Высушенный продукт используют для определения нормируемых показателей, кроме гигроскопической влаги и фракционного состава, определение которых проводят из средней пробы (
п. 4.1.3).
При определении массовой доли свинца анализ проб проводится отдельно от каждой из пяти единиц упаковок продукции.
4.1.3, 4.1.4. (Измененная редакция, Изм. N 1).
4.2. Определение массовой доли двуокиси марганца
4.2.1. Аппаратура, реактивы и растворы
Колба коническая вместимостью 250 см3.
| | ИС МЕГАНОРМ: примечание. Взамен ГОСТ 24104-88 Постановлением Госстандарта РФ от 26.10.2001 N 439-ст с 1 июля 2002 года введен в действие ГОСТ 24104-2001. | |
Весы лабораторные с пределом взвешивания от 0,2 мг до 200 г по ГОСТ 24104, класс 2.
Калий марганцовокислый по
ГОСТ 20490, раствор c (

) = 0,1 моль/дм3 (0,1 н.).
Кислота щавелевая по
ГОСТ 22180, раствор c (

) = 0,5 моль/дм3 (0,5 н.).
Кислота серная по
ГОСТ 4204, разбавленная 1:4.
4.2.2. Проведение анализа
Около 0,15 г двуокиси марганца помещают в коническую колбу вместимостью 250 см3, прибавляют пипеткой 10 см3 раствора щавелевой кислоты и 20 см3 серной кислоты, нагревают на водяной бане при температуре (80 +/- 5) °C до полного растворения продукта и избыток щавелевой кислоты титруют раствором марганцовокислого калия до появления розовой окраски.
Параллельно определяют соотношение щавелевой кислоты к марганцовокислому калию. Для этого в коническую колбу вместимостью 250 см3 пипеткой отбирают 10 см3 щавелевой кислоты, 20 см3 серной кислоты, 20 см3 дистиллированной воды. Смесь подогревают до 80 °C и титруют 0,1 н. раствором марганцовокислого калия.
4.2.3. Обработка результатов
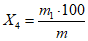
Массовую долю двуокиси марганца (X) в процентах вычисляют по формуле

,
где V - объем точно 0,1 н. раствора марганцовокислого калия, израсходованный на титрование 10 см3 0,5 н. раствора щавелевой кислоты, см3;

- объем точно 0,1 н. раствора марганцовокислого калия, израсходованный на титрование избытка щавелевой кислоты, см3;
0,004347 - масса двуокиси марганца, соответствующая 1 см3 точно 0,1 н. раствора марганцовокислого калия, г;
m - масса навески двуокиси марганца, г.
За результат анализа принимают среднее арифметическое результатов двух параллельных определений, допускаемые расхождения между которыми не должны превышать 0,5% при доверительной вероятности P = 0,95.
4.3. Определение массовой доли трехокиси марганца
Массовую долю трехокиси марганца (

) в процентах вычисляют по формулам:

или

,
где X - массовая доля двуокиси марганца, определенная по
п. 4.2, %;

- массовые доли общего марганца, определенные по пп. 4.3.1 или
4.3.2 соответственно, %;
0,908 - коэффициент пересчета двуокиси марганца на трехокись марганца.
За результат анализа принимают среднее арифметическое результатов двух параллельных определений, допускаемые расхождения между которыми не должны превышать 0,5% при доверительной вероятности P = 0,95.
4.3.1. Определение массовой доли общего марганца (потенциометрический метод)
4.3.1.1. Аппаратура, реактивы и растворы
Потенциометр, класс точности не ниже 1,5.
Электроды: стеклянный (ЭСЛ-11Г-0,4; ЭСЛ-41Г-04), хлорсеребряный насыщенный проточный, платиновый.
Натрий фосфорнокислый пиро по
ГОСТ 342, раствор с массовой долей 8%.
Кислота серная по
ГОСТ 4204, раствор c (

) = 4 моля/дм3 (4 н.).
Калий марганцовокислый по
ГОСТ 20490, раствор c (

) = 0,1 моль/дм3 (0,1 н.).
(Измененная редакция, Изм. N 2).
4.3.1.2. Проведение анализа
В стакан вместимостью 250 см3 помещают 25 см3 раствора пирофосфорнокислого натрия и вносят пипеткой 2 см3 раствора А (см.
п. 4.4.2) при непрерывном перемешивании. Объем раствора в стакане доводят дистиллированной водой до 100 см3.
Подключив к потенциометру пару электродов (стеклянный - хлорсеребряный проточный электрод), приливают по каплям 4 н. раствор серной кислоты до pH 6,7.
После этого к клемме потенциометра вместо стеклянного электрода присоединяют платиновый и пробу титруют из микробюретки 0,1 н. раствором марганцовокислого калия.
Конец титрования определяют по максимальному изменению потенциала индикаторного электрода - скачку потенциала, который соответствует переходу марганца двухвалентного в трехвалентный комплекс.
4.3.1.3. Обработка результатов
Массовую долю общего марганца в пересчете на двуокись марганца (

) в процентах вычисляют по формуле

,
где V - объем точно 0,1 н. раствора марганцовокислого калия, израсходованный на титрование, см3;
0,00696 - масса двуокиси марганца, соответствующая 1 см3 точно 0,1 н. раствора марганцовокислого калия, г;
m - масса навески двуокиси марганца по
п. 4.4.2, г.
За результат анализа принимают среднее арифметическое результатов двух параллельных определений, допускаемые расхождения между которыми не должны превышать 0,5% при доверительной вероятности P = 0,95.
4.3.2. Определение массовой доли общего марганца (титриметрический метод)
4.3.2.1. Аппаратура, реактивы и растворы
Колба коническая вместимостью 500 см3.
Калий марганцовокислый по
ГОСТ 20490, раствор c (

) = 0,1 моль/дм3 (0,1 н.).
Цинка окись по
ГОСТ 10262 в виде взвеси в воде (15 - 20 г на 100 - 150 см3 воды).
4.3.2.2. Проведение анализа
25 см3 раствора А (см.
п. 4.4.2) помещают в коническую колбу вместимостью 500 см3 и добавляют 300 - 350 см3 кипящей дистиллированной воды. К полученному раствору прибавляют небольшими порциями окись цинка до тех пор, пока после перемешивания жидкости вращением колбы на дне не соберется белый кружок окиси цинка диаметром около 2 см.
Раствор нагревают до кипения. Если окись цинка растворится, то ее добавляют еще небольшое количество. Избыток окиси цинка обязателен, но большое количество ее мешает определению марганца.
Горячий раствор титруют раствором марганцовокислого калия, приливая последний небольшими порциями (0,5 - 1,0 см3), каждый раз энергично перемешивая жидкость вращением колбы. Температуру раствора в процессе титрования поддерживают не ниже 80 °C.
Титрование проводят до появления слабо-розового окрашивания, не исчезающего после кипячения раствора в течение 3 мин.
4.3.2.3. Обработка результатов
Массовую долю общего марганца в пересчете на двуокись марганца (

) в процентах вычисляют по формуле

,
где V - объем точно 0,1 н. раствора марганцовокислого калия, израсходованный на титрование, см3;
0,00261 - масса двуокиси марганца, соответствующая 1 см3 точно 0,1 н. раствора марганцовокислого калия, г;
m - масса навески двуокиси марганца (см.
п. 4.4.2), г.
За результат анализа принимают среднее арифметическое результатов двух параллельных определений, допускаемые расхождения между которыми не должны превышать 0,4% при доверительной вероятности P = 0,95.
При разногласиях в оценке массовой доли общего марганца определение проводят потенциометрическим методом.
4.4. Определение массовой доли нерастворимого в соляной кислоте остатка
4.4.1. Аппаратура, реактивы и растворы
Весы лабораторные с пределом взвешивания от 0,2 мг до 200 г по ГОСТ 24104, класс 2.
Кислота соляная по
ГОСТ 3118, плотностью 1,19 г/см3 и разбавленная 1:20.
Серебро азотнокислое по
ГОСТ 1277, раствор с массовой долей 2%.
(Измененная редакция, Изм. N 2).
4.4.2. Проведение анализа
Готовят раствор А. Для этого около 1 г двуокиси марганца помещают в стакан вместимостью 250 см3, прибавляют 50 см3 дистиллированной воды, 20 см3 концентрированной соляной кислоты, накрывают часовым стеклом и осторожно нагревают до полного растворения навески, о чем судят по исчезновению темно-фиолетовых частиц. Стекло снимают, обмывают водой и раствор выпаривают досуха. После охлаждения остаток смачивают 2 - 3 см3 концентрированной соляной кислоты, прибавляют 5 - 10 см3 воды, вновь выпаривают досуха, охлаждают, остаток смачивают 2 - 3 см3 концентрированной соляной кислоты, добавляют 50 - 70 см3 воды, доводят до кипения, кипятят 5 - 7 мин.
Затем раствор фильтруют через фильтрующий тигель, предварительно высушенный до постоянной массы и взвешенный с погрешностью не более 0,0002 г.
Остаток на фильтре промывают раствором соляной кислоты 1:20, затем горячей водой до отсутствия хлор-иона (проба с раствором азотнокислого серебра).
Фильтрат и промывные воды переносят в мерную колбу вместимостью 250 см3, доводят водой до метки, перемешивают.
Фильтрующий тигель с осадком высушивают в сушильном шкафу при температуре 105 - 110 °C до постоянной массы.
4.4.3. Обработка результатов
Массовую долю нерастворимого в соляной кислоте остатка (

) в процентах вычисляют по формуле

,
где

- масса осадка после высушивания, г;
m - масса навески двуокиси марганца, г.
За результат анализа принимают среднее арифметическое результатов двух параллельных определений, допускаемые расхождения между которыми не должны превышать 0,02% при доверительной вероятности P = 0,95.
4.5. Определение массовой доли железа
4.5.1. Аппаратура, реактивы и растворы
Фотоэлектроколориметр, погрешность показания которого по шкале коэффициента пропускания не превышает +/- 1%.
Кислота сульфосалициловая по
ГОСТ 4478, ч.д.а., водный раствор с массовой долей 10%.
Аммиак водный по
ГОСТ 3760, раствор с массовой долей 25%.
Гидроксиламина гидрохлорид по
ГОСТ 5456, раствор с массовой долей 10%.
Раствор Б, содержащий 1 мг железа в 1 см3, готовят по
ГОСТ 4212;
раствор, содержащий 0,01 мг железа, готовят разбавлением раствора Б.
(Измененная редакция, Изм. N 2).
4.5.2. Построение градуировочного графика
В мерные колбы вместимостью 100 см3 вводят соответственно 1,0; 2,0; 3,0; 4,0; 5,0; 6,0; 7,0; 8,0, 9,0 и 10,0 см3 раствора, содержащего 0,01 мг/см3 железа, затем цилиндром добавляют по 10 см3 гидроксиламина гидрохлорида, 10 см3 сульфосалициловой кислоты и нейтрализуют аммиаком до неизменяющейся желтой окраски, доводят водой до метки и перемешивают (растворы сравнения). Одновременно в мерной колбе вместимостью 100 см3 готовят контрольный раствор, не содержащий железа.
Через 10 мин измеряют оптическую плотность растворов сравнения по отношению к контрольному раствору на фотоэлектроколориметре при

= 410 - 435 нм в кювете с толщиной поглощающего свет слоя 50 мм.
По полученным данным строят градуировочный график, откладывая на оси абсцисс содержание железа в миллиграммах, а на оси ординат - соответствующие им оптические плотности.
Для построения каждой точки графика вычисляют среднее значение оптической плотности из трех параллельных определений. Градуировочный график должен иметь вид прямой линии.
4.5.3. Проведение анализа
В мерную колбу вместимостью 100 см3 отбирают аликвотную часть анализируемого раствора А (см.
п. 4.4.2), содержащего от 0,01 до 0,1 мг железа, добавляют цилиндром 10 см3 гидроксиламина гидрохлорида, 10 см3 сульфосалициловой кислоты и нейтрализуют аммиаком до неизменяющейся желтой окраски. Раствор доводят дистиллированной водой до метки и перемешивают. Параллельно готовят контрольный раствор, который содержит те же реактивы, за исключением анализируемого раствора А.
Через 10 мин измеряют оптическую плотность анализируемого раствора по отношению к контрольному раствору на фотоэлектроколориметре при

= 410 - 435 нм в кювете с толщиной поглощающего свет слоя 50 мм.
По полученной оптической плотности, пользуясь градуировочным графиком, находят содержание железа в анализируемой пробе.
4.5.4. Обработка результатов
Массовую долю железа (

) в процентах вычисляют по формуле

,
где

- масса железа, найденная по градуировочному графику, мг;
V - объем анализируемого раствора А, отобранный для анализа, см3;
m - масса навески двуокиси марганца (см.
п. 4.4.2), г.
За результат анализа принимают среднее арифметическое результатов двух параллельных определений, допускаемые расхождения между которыми не должны превышать 0,02% при доверительной вероятности P = 0,95.
4.6. (Исключен, Изм. N 1).
4.7. Определение массовой доли сульфатов
4.7.1. Аппаратура, реактивы и растворы
Весы лабораторные с пределом взвешивания от 0,2 мг до 200 г по ГОСТ 24104, класс 2.
Кислота соляная по
ГОСТ 3118, х.ч., разбавленная 1:1.
Барий хлористый по
ГОСТ 4108, х.ч., раствор с массовой долей 10%.
Серебро азотнокислое по
ГОСТ 1277, раствор с массовой долей 2%.
(Измененная редакция, Изм. N 2).
4.7.2. Проведение анализа
100 см3 раствора А (
п. 4.4.2) помещают в стакан вместимостью 250 см3, прибавляют 2 см3 разбавленной 1:1 соляной кислоты, нагревают до кипения и приливают 10 см3 раствора хлористого бария.
Раствор кипятят 5 - 10 мин и ставят на 3 - 4 ч в теплое место. Осадок сернокислого бария количественно переносят на беззольный фильтр (синяя лента) и промывают горячей водой до отсутствия хлор-иона (проба с раствором азотнокислого серебра). Затем фильтр с осадком помещают в фарфоровый тигель, прокаленный до постоянной массы в пределах погрешности взвешивания, озоляют и прокаливают в муфельной печи при температуре 700 - 800 °C до постоянной массы. Тигель с осадком охлаждают в эксикаторе и взвешивают.
4.7.3. Обработка результатов
Массовую долю сульфатов (

) в процентах вычисляют по формуле

,
где

- масса осадка сернокислого бария, г;
0,4120 - коэффициент пересчета сернокислого бария на

;
m - масса навески двуокиси марганца по
п. 4.4.2, г.
За результаты анализа принимают среднее арифметическое результатов двух параллельных определений, допускаемые расхождения между которыми не должны превышать 0,05% при доверительной вероятности P = 0,95.
4.8. Определение массовой доли гигроскопической влаги
Содержание гигроскопической влаги определяют по
ГОСТ 14870, разд. 3. Масса навески двуокиси марганца 1 г.
4.9. Определение массовой доли свинца
4.9.1. Атомно-абсорбционный метод
4.9.1.1. Аппаратура, реактивы и растворы
Лампа с полым катодом ЛСП-1 или аналогичная по характеристикам.
Атомно-абсорбционный спектрофотометр "Сатурн" или аналогичный по характеристике прибор.
Весы лабораторные с пределом взвешивания от 0,2 мг до 200 г по ГОСТ 24104, класс 2.
Раствор А, содержащий 1 мг свинца в 1 см3 - готовят по
ГОСТ 4212.
Рабочие растворы, содержащие 0,5; 1,0; 2,0 и 5,0 мкг свинца в 1 см3, готовят соответствующим разбавлением раствора А.
4.9.1.2. Подготовка к анализу
Навеску двуокиси марганца около 1 г помещают в стакан вместимостью 250 см3, добавляют 10 - 15 см3 соляной кислоты и растворяют при нагревании.
Для обесцвечивания раствора вносят 0,5 г щавелевой кислоты. Затем раствор охлаждают, количественно переносят в мерную колбу вместимостью 100 см3, доливают дистиллированной водой до метки и тщательно перемешивают.
4.9.1.3. Условия фотометрирования и подготовка прибора
Настройка прибора производится в соответствии с его инструкцией по эксплуатации.
Условия фотометрирования свинца:
длина волны - 283,3 нм;
ширина щели - 0,2 мм.
Перед зажиганием пламени необходимо проверить герметичность соединительных узлов подачи газа и воздуха, проверить уровень воды в гидрозатворе, заземление и работу вытяжной вентиляции.
4.9.1.4. Проведение анализа
Массовую долю свинца определяют по методу ограничивающих стандартных растворов.
Фотометрируют серию рабочих растворов, затем анализируемую пробу. Если показание анализируемой пробы окажется большим, чем показание стандартного раствора, содержащего 5,0 мкг свинца в 1 см3, делают соответствующее разбавление анализируемой пробы дистиллированной водой.
Затем по показанию анализируемой пробы подбирают два таких рабочих раствора, между показаниями которых находится показание раствора анализируемой пробы.
Повторяют измерения выбранных растворов в обратном порядке и берут среднее значение двух полученных показаний.
4.9.1.5. Обработка результатов
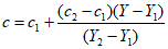
Концентрацию свинца (c) в мкг/см3 вычисляют по формуле

,
где

- концентрация менее концентрированного раствора свинца, мкг/см3;

- концентрация более концентрированного раствора свинца, мкг/см3;
Y - показание раствора анализируемой пробы;

- показание менее концентрированного раствора свинца;

- показание более концентрированного раствора свинца.
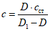
Массовую долю свинца (

) в процентах вычисляют по формуле

,
где c - концентрация свинца, мкг/см3;
K - кратность разбавления анализируемой пробы;
m - масса навески двуокиси марганца, г.
За результат анализа принимают среднее арифметическое результатов двух параллельных определений, допускаемые расхождения между которыми не должны превышать 10% относительно среднего результата определяемой величины.
(Измененная редакция, Изм. N 1).
4.9.2. Полярографический метод
4.9.2.1. Аппаратура, реактивы и растворы
Полярограф универсальный ПУ-1 или ППТ-1.
Колба коническая вместимостью 250 см3.
Колбы мерные 2(1) - (25, 100, 1000)- 2
ГОСТ 1770.
Весы лабораторные с пределом взвешивания от 0,2 мг до 200 г по ГОСТ 24104, класс 2.
Бумага фильтровальная по
ГОСТ 12026, средней плотности.
Кислота азотная по
ГОСТ 4461, разбавленная 1:1.
Кислота соляная по
ГОСТ 14261, ос.ч., концентрированная, разбавленная 1:1, раствор c (HCl) = 1 моль/дм3 (1 н.).
Гидразин солянокислый по ГОСТ 22159, х.ч.
Кальций хлористый, 30%-ный раствор, плотность при 18 °C - 1,23 г/см3, pH = 4,5 - 5,0.
Раствор свинца, содержащий 1 мг свинца в 1 см3, готовят следующим образом: 1,0 г свинца помещают в коническую колбу вместимостью 250 см3 и растворяют в 20 см3 азотной кислоты, разбавленной 1:1, при нагревании.
Раствор выпаривают до объема 2 - 3 см3, приливают 15 см3 концентрированной соляной кислоты и вновь выпаривают до небольшого объема. Выпаривание повторяют еще два раза с 5 см3 концентрированной соляной кислоты. К полученному раствору хлорида свинца приливают 250 см3 соляной кислоты, разбавленной 1:1. Раствор нагревают до растворения выпавших кристаллов, охлаждают, переливают в мерную колбу вместимостью 1 дм3, приливают 250 см3 соляной кислоты, разбавленной 1:1, вновь охлаждают, доводят до метки водой и тщательно перемешивают.
4.9.2.2. Подготовка к анализу
Готовят раствор А. Для этого 2 - 3 г двуокиси марганца помещают в стакан вместимостью 250 см3, приливают 25 - 30 см3 концентрированной соляной кислоты, накрывают часовым стеклом и осторожно нагревают до осветления раствора. Затем раствор упаривают до объема около 5 см3 и добавляют 25 см3 дистиллированной воды, 1,0 - 1,5 г солянокислого гидразина и кипятят в течение 5 мин. Полученный раствор переносят в мерную колбу вместимостью 100 см3 (если в двуокиси марганца присутствует графит и сажа, раствор фильтруют через бумажный фильтр), добавляют 50 см3 1 н. раствора соляной кислоты, доводят объем раствора водой до метки и перемешивают.
4.9.2.3. Проведение анализа
В мерную колбу вместимостью 25 см3 переносят 2 - 5 см3 раствора А и доводят до метки 30%-ным раствором хлористого кальция. Раствор тщательно перемешивают, заливают в электролитическую ячейку и устанавливают следующий режим полярографирования:
вид полярографии - переменнотоковый,
амплитуда - 4 мВ,
регистрация - таст,
начальное поляризующее напряжение - 0,3 В,
скорость развертки - 2 мВ/с,
синхронизация - 1.
Снимают полярограмму и измеряют высоту полученного пика.
Порядок операций при снятии полярограммы, подбор задержки и диапазона тока изложены в инструкции по эксплуатации полярографа ПУ-1 и самопишущего потенциометра ЛКП-4.
Готовят раствор Б. Для этого в мерную колбу вместимостью 25 см3 переносят 2 - 5 см3 раствора А и 0,1 - 0,5 см3 раствора свинца с таким расчетом, чтобы пик свинца увеличился в два-три раза, затем доводят 30%-ным раствором хлористого кальция до метки. Раствор тщательно перемешивают, снимают полярограмму и измеряют высоту полученного пика.
4.9.2.4. Обработка результатов
Массовую долю свинца (

) в процентах вычисляют по формуле

,
где h - высота пика свинца анализируемого раствора, мм;

- объем раствора свинца, добавленного в анализируемый раствор, см3;

- концентрация раствора свинца, г/см3;
H - суммарная высота пика свинца анализируемого раствора и добавленного раствора свинца, мм;
m - масса навески двуокиси марганца (см.
п. 4.9.2.2) г;
V - объем раствора анализируемой пробы, отобранной для полярографирования, см3.
За результат анализа принимают среднее арифметическое результатов двух параллельных определений, допускаемые расхождения между которыми не должны превышать 15% относительно среднего результата определяемой величины.
При возникновении разногласий определение массовой доли свинца проводят атомно-абсорбционным методом.
4.10. Определение массовой доли сурьмы
4.10.1. Аппаратура, реактивы и растворы
Полярограф универсальный ПУ-1 или ППТ-1.
Колба коническая вместимостью 250 см3.
Весы лабораторные с пределом взвешивания от 0,2 мг до 200 г по ГОСТ 24104, класс 2.
Раствор сурьмы, содержащий 0,1 мг в 1 см3, готовят следующим образом: 0,1 г сурьмы помещают в коническую колбу вместимостью 250 см3 и растворяют в 20 см3 концентрированной серной кислоты, охлаждают и переносят в мерную колбу вместимостью 1 дм3, доводят водой до метки и тщательно перемешивают.
4.10.2. Проведение анализа
50 см3 раствора А (см.
п. 4.9.2.2) помещают в склянку и пропускают аргон в течение 10 - 15 мин, после чего раствор заливают в электролитическую ячейку и устанавливают следующий режим работы:
вид полярографии - переменнотоковый,
амплитуда - 4 мВ,
регистрация - таст,
начальное поляризующее напряжение - 0 В,
скорость развертки - 2 мВ/с,
синхронизация - 1.
Снимают полярограмму и измеряют высоту полученного пика.
Порядок операций при снятии полярограммы, подбор задержки, диапазона тока изложены в инструкции по эксплуатации полярографа ПУ-1 и самопишущего потенциометра ЛКП-4.
Готовят раствор Б. Для этого в мерную колбу вместимостью 25 см3 переносят 0,1 - 0,5 см3 раствора сурьмы, доливают до метки раствором А (см.
п. 4.9.2.2), снимают полярограмму и измеряют высоту полученного пика.
4.10.3. Обработка результатов
Массовую долю сурьмы (

) в процентах вычисляют по формуле

,
где h - высота пика сурьмы в анализируемом растворе, мм;

- объем раствора сурьмы, добавленного в анализируемую пробу, см3;

- концентрация раствора сурьмы, г/см3;
H - суммарная высота пика сурьмы анализируемого раствора и добавленного раствора сурьмы, мм;
m - масса навески двуокиси марганца (см.
п. 4.9.2.2), г.
За результат анализа принимают среднее арифметическое результатов двух параллельных определений, допускаемые расхождения между которыми не должны превышать 30% относительно среднего результата определяемой величины.
4.11. Определение массовой доли мышьяка
4.11.1. Аппаратура, реактивы и растворы
Весы лабораторные с пределом взвешивания от 0,2 мг до 200 г по ГОСТ 24104, класс 2.
Кислота соляная по
ГОСТ 3118, концентрированная.
5 г двуокиси марганца помещают в стакан вместимостью 250 см3, приливают 30 см3 соляной кислоты, накрывают часовым стеклом и осторожно нагревают до полного растворения навески. Стекло снимают, обмывают водой, промывные воды сливают в тот же стакан и выпаривают почти досуха. Затем обмывают стенки стакана небольшим количеством воды, после охлаждения раствор переносят количественно в мерную колбу вместимостью 100 см3, доводят водой до метки и перемешивают. 10 см3 полученного раствора помещают в прибор для определения мышьяка, добавляют 20 см3 дистиллированной воды (общий объем - 30 см3) и далее определяют содержание мышьяка по
ГОСТ 10485-75.
Окраску бромнортутной бумажки от анализируемого раствора сравнивают с окраской бромнортутных бумажек, полученных от стандартных проб, содержащих:
2,5 мкг мышьяка (что соответствует 0,0005% мышьяка в двуокиси марганца);
5 мкг мышьяка (что соответствует 0,001% мышьяка в двуокиси марганца).
Наблюдаемая окраска бромнортутной бумажки должна быть не интенсивнее окраски бромнортутных бумажек стандартных проб, приготовленных одновременно с анализируемым раствором и содержащих соответственно 2,5 и 5 мкг мышьяка и те же количества применяемых реактивов.
4.12. Определение массовой доли меди, никеля, кобальта
4.12.1. Аппаратура, реактивы и растворы
Атомно-абсорбционный спектрофотометр "Сатурн".
Весы аналитические с пределом взвешивания от 0,2 мг до 200 г по ГОСТ 24104, класс 2.
Растворы А, содержащие 1 мг/см3 меди, кобальта или никеля, готовят по
ГОСТ 4212.
Стандартные растворы, содержащие 0,2; 0,5 и 1,0 мкг/см3 меди, а также 1; 2 и 5 мкг/см3 кобальта и никеля, готовят соответствующим разбавлением дистиллированной водой растворов А.
4.12.2. Проведение анализа
Около 5 г двуокиси марганца помещают в стакан вместимостью 250 см3, смачивают дистиллированной водой и добавляют 25 см3 соляной кислоты, накрывают часовым стеклом и растворяют при нагревании, затем раствор охлаждают и переносят в мерную колбу вместимостью 100 см3, разбавляют до метки водой и перемешивают.
Включают спектрофотометр по однолучевой схеме с учетом неатомного поглощения в соответствии с инструкцией по эксплуатации.
Условия фотометрирования приведены в табл. 2.
Таблица 2
Элемент | Длина волны, нм | Щель, мм | Расход ацетилена, дм3/ч | Расход воздуха, дм3/ч |
Медь | 324,8 | 0,1 | 135 | 700 |
Кобальт | 240,7 | 0,1 | 130 | 680 |
Никель | 232,0 | 0,1 | 130 | 680 |
Фотометрируют стандартный раствор определяемого элемента, затем раствор анализируемой пробы, разбавленный дистиллированной водой в два раза. Сравнивают полученные значения оптических плотностей.
Затем в стакан вместимостью 50 см3 вносят 5 см3 раствора анализируемой пробы и 5 см3 стандартного раствора определяемого элемента, оптическая плотность которого в 3 - 3,5 раза больше оптической плотности анализируемой пробы, разбавленной водой в два раза. Фотометрируют по три раза приготовленный раствор и раствор анализируемой пробы, разбавленный водой в два раза. Находят среднее арифметическое значение оптических плотностей этих растворов.
4.12.3. Обработка результатов
Концентрацию определяемого элемента (c) в мкг/см3 вычисляют по формуле

,
где D - среднее арифметическое значение оптической плотности раствора анализируемой пробы, разбавленной водой;

- среднее арифметическое значение оптической плотности раствора анализируемой пробы и добавленного стандартного раствора определяемого элемента;

- концентрация стандартного раствора определяемого элемента, мкг/см3.
Массовую долю определяемого элемента (

) в процентах вычисляют по формуле

,
где c - концентрация определяемого элемента, мкг/см3;
m - масса навески двуокиси марганца, г.
За результат анализа принимают среднее арифметическое результатов двух параллельных определений, допускаемые расхождения между которыми не должны превышать 60% относительно среднего результата определяемой величины.
4.12.1 - 4.12.3. (Измененная редакция, Изм. N 1).
4.13. Определение pH двуокиси марганца
4.13.1. Аппаратура, реактивы и растворы
Потенциометр, класс точности не ниже 1,5.
Мешалка магнитная.
Весы лабораторные с пределом взвешивания от 0,2 мг до 200 г по ГОСТ 24104, класс 2.
Калия гидроокись по
ГОСТ 24363, х.ч., раствор с массовой долей 10%.
Кислота соляная по
ГОСТ 3118, х.ч., раствор с массовой долей 10%.
Калий хлористый по
ГОСТ 4234, х.ч., раствор c (KCl) = 0,1 моль/дм3 (0,1 н.), pH = (7,0 +/- 0,1), готовят следующим образом: 0,1 н. раствор хлористого калия, при необходимости, доводят до pH = 7 10%-ным раствором соляной кислоты или 10%-ным раствором гидроокиси калия.
(Измененная редакция, Изм. N 2).
4.13.2. Проведение анализа
1 г двуокиси марганца помещают в стакан, добавляют пипеткой 20 см3 0,1 н. раствора хлористого калия pH = (7,0 +/- 0,1) и перемешивают в течение 30 мин на магнитной мешалке. После отстаивания пробы в раствор опускают стеклянный электрод, подключают его к клеммам потенциометра и измеряют pH раствора.
За результат анализа принимают среднее арифметическое значение двух параллельных определений, допускаемые расхождения между которыми не должны превышать 0,2 при доверительной вероятности P = 0,95.
4.14. Определение фракционного состава
4.14.1. Проведение анализа
Навески двуокиси марганца массой 100 г взвешивают с погрешностью не более 0,1 г и просеивают через сита с сетками 02, 0071, 004 по
ГОСТ 6613. Каждую фракцию взвешивают.
(Измененная редакция, Изм. N 1).
4.14.2. Обработка результатов
Фракционный состав двуокиси марганца (

) в процентах вычисляют по формуле

,
где

- масса двуокиси марганца, прошедшая через сито, г;
m - масса навески двуокиси марганца, г.
За результат анализа принимают среднее арифметическое результатов двух параллельных определений, допускаемые расхождения между которыми не должны превышать 0,3% при доверительной вероятности P = 0,95.
4.15. Определение кристаллической модификации
4.15.1. Приборы
Дифрактометр рентгеновский типа ДРОН-2,0, ДРОН-3,0 или другой с аналогичными характеристиками.
Трубка рентгеновская с медным анодом.
Монохроматор кварцевый на дифрагированном пучке.
4.15.2. Проведение анализа
Пробу двуокиси марганца насыпают в кювету и уплотняют.
Режим съемки:
напряжение 40 кВ;
ток трубки 20 - 25 мА;
скорость вращения счетчика 1 град/мин.
По дифракционным максимумам рентгенограммы и известным соотношениям определяют межплоскостные расстояния

, которые должны соответствовать межплоскостным расстояниям

(1,38; 1,63; 2,11; 2,42; 3,96). Присутствие линии 3,96 не обязательно.
Возможно присутствие линии

.
Площади соответствующих линий аппроксимируются треугольником от линии фона и вычисляются как произведение высоты линии на ширину на половине высоты.
Продукт соответствует требованиям стандарта, если отношение площади, соответствующей линии 3,10 - 3,13

к площади линии 2,40 - 2,42

не превышает 0,15.
4.16. Определение удельной поверхности
4.16.1. Аппаратура и реактивы
Сосуд Дьюара вместимостью 0,5 дм3.
Шприц медицинский вместимостью 1 - 2 см3.
Весы лабораторные с пределом взвешивания от 0,2 мг до 200 г по ГОСТ 24104, класс 2.
Секундомер 51СД по ГОСТ 5072 или аналогичный по точности.
Хроматограф с детектором по теплопроводности.
Колонка стеклянная длиной 140 мм, внутренним диаметром 8 мм.
Катарометр четырехплечный с сопротивлением плеча (136 +/- 2) Ом.
Самописец с диапазоном переключений 320, 640, 1280, 2560, 5120 мВ.
Гелий газообразный, высшей очистки.
Спирт этиловый ректификованный технический по
ГОСТ 18300.
4.16.2. Подготовка к анализу
К входу газовой линии блока подготовки газа присоединяют металлический тройник с помощью куска вакуумного шланга. К другим концам тройника присоединяют штуцера гелиевого и аргонового редукторов, соединенных с соответствующими баллонами.
В термостат устанавливают стеклянную колонку, которая была предварительно вымыта водой, спиртом, ацетоном. Всю систему в течение 1 - 2 ч продувают гелием 5 - 10 дм3/ч при температуре 110 °C. Затем отключают газ и обогрев.
В охлажденную колонку помещают пробу двуокиси марганца массой не более 0,3 г. Оба конца колонки слегка тампонируют стеклянной ватой.
Колонку с анализируемой пробой устанавливают в термостате, включают обогрев до 110 - 120 °C, продувают гелием 1 - 2 дм3/ч в течение 1 ч, затем обогрев отключают. При комнатной температуре устанавливают строго определенный расход газа-носителя (гелия) - 2,7 дм3/ч и сорбтива (аргона) - 0,3 дм3/ч. Затем включают потенциометр, устанавливают шкалу измерений, включают ток катарометра - 180 мА и устанавливают нуль самописца.
Монтаж, наладку и вывод прибора на рабочий режим производят в соответствии с правилами по монтажу и эксплуатации хроматографа, прилагаемыми к прибору.
4.16.3. Калибровка катарометра
При заданном режиме в хроматограф через дозирующее устройство подают последовательно различные объемы аргона и фиксируют по секундомеру время выхода вершины пика, который выписывает на ленте самописец (скорость ленты 360 мм/ч). Шприц заполняют аргоном из вакуумного шланга (на участке линии редуктор-тройник, см.
п. 4.16.2).
Шприц промывают три-пять раз, затем отбирают пробу и хроматографируют ее. Полученные результаты заносят в табл. 3.
Объем аргона при номинальных условиях, см3 | Время выхода вершины пика, с | Площадь пика, см2 | Расход аргона, дм3/ч | Отношение объема аргона к площади пика, см3/см2 |
| | | | |
По полученным данным строят график зависимости площади пика от расхода аргона, а по данным отношения объема аргона к площади пика рассчитывают среднеквадратическое отклонение калибровки хроматографа. Оно не должно превышать +/- 5%.
4.16.4. Проведение анализа
При отсутствии криостата используют сосуд Дьюара, в который наливают жидкий азот и постепенно погружают колонку с образцом.
После возвращения пера самописца в исходное положение включают движение ленты, быстро снимают сосуд Дьюара, погружают колонку в стакан с водой комнатной температуры. Перо самописца напишет десорбционный пик. Таким образом, для одного образца снимают 3 - 4 десорбционные хроматограммы, среднее квадратическое отклонение которых не должно превышать 5%. Полученные результаты помещают в табл. 4.
Количество снятых хроматограмм | Средняя площадь пика, см2 | Среднее квадратическое отклонение, % |
| | |
4.16.5. Обработка результатов
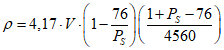
Удельную поверхность двуокиси марганца в м2/г вычисляют по формуле

,
где V - объем десорбционного аргона, см3/г, определяют, умножая среднюю площадь пика (см.
табл. 4) на отношение объема аргона к площади пика (см.
табл. 3);

- парциальное давление аргона в процессе десорбции, ГПа, вычисляют по формуле

,
где

- расход аргона находят по графику (см.
п. 4.16.3), дм3/ч;

- общий расход газовой смеси вычисляют по формуле

.
За результат анализа принимают среднее арифметическое двух параллельных определений, допускаемые расхождения между которыми не должны превышать 15% относительно среднего результата определяемой величины.
4.17. Определение массовой доли титана с применением динатриевой соли хромотроповой кислоты
4.17.1. Аппаратура, реактивы и растворы
Весы лабораторные общего назначения по ГОСТ 24104 2-го класса точности с наибольшим пределом взвешивания 200 г.
Весы лабораторные общего назначения по ГОСТ 24104 3-го класса точности с наибольшим пределом взвешивания 500 г.
Фотоэлектроколориметр, погрешность показания которого по шкале коэффициента пропускания не превышает 1%.
Колбы 1(2)-50-2; 1(2)-100-2; 1(2)-1000-2 по
ГОСТ 1770.
Кислота аскорбиновая по Государственной фармакопее (X издание, статья 6), раствор с массовой долей 2%.
Хромотроповой кислоты динатриевая соль 2-водная по ТУ 6-09-3749, раствор с массовой долей 1%, готовят следующим образом: 1 г динатриевой соли хромотроповой кислоты растворяют в воде, прибавляют 20 см3 раствора аскорбиновой кислоты и разбавляют раствор до объема 100 см3, раствор хранят в темной банке.
Кислота уксусная по
ГОСТ 61 концентрированная.
Ацетатно-буферный раствор, готовят следующим образом: 4 г натрия гидроокиси (результат взвешивания в граммах записывают с точностью до второго десятичного знака) помещают в мерную колбу вместимостью 1 дм3, растворяют в небольшом количестве воды, прибавляют 34 см3 уксусной кислоты, доводят объем дистиллированной водой до метки и перемешивают.
Аммиак водный по
ГОСТ 3760 концентрированный.
Кислота серная по
ГОСТ 4204 концентрированная.
Кислота соляная по
ГОСТ 3118, концентрированная и разбавленная 1:4.
Титана диоксид по ТУ 6-09-3811, ос.ч.
Раствор А, содержащий 1 мг/см3 титана, готовят по
ГОСТ 4212, соответственно увеличив навеску, либо следующим образом: 0,167 г двуокиси титана (результат взвешивания в граммах записывают с точностью до третьего десятичного знака) и 4 г серно-кислого аммония (результат взвешивания в граммах записывают с точностью до первого десятичного знака) помещают в стакан, прибавляют 8,8 см3 серной кислоты, перемешивают, накрывают часовым стеклом и осторожно нагревают на плитке с асбестом до полного растворения (в течение 3 - 5 часов). Раствор охлаждают, количественно переносят в мерную колбу вместимостью 100 см3, доводят объем водой до метки и перемешивают.
Раствор Б, содержащий 0,01 мг/см3 титана, готовят соответствующим разбавлением раствора А.
4.17.2. Построение градуировочного графика
В стаканы пипеткой вносят 0,5; 1,0; 2,0; 2,5 см3 раствора Б, что соответствует 0,005; 0,01; 0,02; 0,025 мг титана, прибавляют 20 см3 дистиллированной воды, 2 см3 раствора аскорбиновой кислоты и нагревают до появления белых паров. Растворы охлаждают, переносят в мерные колбы вместимостью 50 см3, прибавляют 2 см3 раствора динатриевой соли хромотроповой кислоты, доводят до pH = 2 (раствором соляной кислоты 1:4 по индикаторной бумаге), прибавляют 10 см3 ацетатно-буферного раствора, доливают до метки водой и перемешивают. Через 10 мин измеряют оптическую плотность растворов по отношению к контрольному раствору, содержащему указанные выше реактивы, кроме стандартного раствора Б, при длине волны

= 460 нм в кюветах с толщиной поглощающего свет слоя 50 мм.
По полученным данным строят градуировочный график, откладывая на оси абсцисс значения массы титана, содержащиеся в стандартных растворах, в миллиграммах, а на оси ординат - соответствующие им значения оптических плотностей.
Для построения каждой точки градуировочного графика вычисляют среднее арифметическое значение оптической плотности трех параллельных определений. Градуировочный график должен иметь вид прямой линии.
4.17.3. Проведение анализа
Около 1,5 г двуокиси марганца (результат взвешивания в граммах записывают с точностью до второго десятичного знака), помещают в стакан, прибавляют 30 см3 концентрированной соляной кислоты, накрывают часовым стеклом и нагревают до полного растворения твердых частиц.
Стекло снимают, обмывают водой и выпаривают раствор до влажных солей. Охлаждают, прибавляют 25 см3 воды, перемешивают до растворения осадка и фильтруют через двойной фильтр, обмывая стенки стакана водой, в мерную колбу вместимостью 100 см3, доливают до метки водой и перемешивают.
10 см3 полученного раствора вносят пипеткой в стакан, прибавляют 10 см3 воды, 2 см3 аскорбиновой кислоты, нагревают до появления белых паров, охлаждают, переносят в мерную колбу вместимостью 50 см3, прибавляют 2 см3 раствора динатриевой соли хромотроповой кислоты, доводят до pH = 2 (раствором аммиака или соляной кислоты 1:4 по индикаторной бумаге). Далее поступают, как при построении градуировочного графика.
4.17.4. Обработка результатов
Массовую долю титана (

) в процентах вычисляют по формуле

,
где

- масса титана, найденная по градуировочному графику, мг;
m - масса навески двуокиси марганца, г;
V - объем анализируемого раствора, отобранный для анализа, см3.
За результат анализа принимают среднее арифметическое результатов двух параллельных определений, абсолютное расхождение между которыми не превышает допускаемое расхождение, равное 0,002%.
Допускаемая абсолютная суммарная погрешность результата анализа +/- 0,001% при доверительной вероятности P = 0,95.
4.17а. Определение массовой доли титана с применением диантипирилметана
4.17а.1. Аппаратура, реактивы и растворы
Весы лабораторные общего назначения по ГОСТ 24104 2-го класса точности с наибольшим пределом взвешивания 200 г.
Весы лабораторные общего назначения по ГОСТ 24104 3-го класса точности с наибольшим пределом взвешивания 500 г.
Фотоэлектроколориметр, погрешность показания которого по шкале коэффициента пропускания не превышает 1%.
| | ИС МЕГАНОРМ: примечание. Взамен ГОСТ 7328-82 Постановлением Госстандарта РФ от 26.10.2001 N 438-ст с 1 июля 2002 года введен в действие ГОСТ 7328-2001. | |
Набор гирь Г-2-210 по ГОСТ 7328.
Часовое стекло.
Кислота аскорбиновая по Государственной фармакопее (X издание, статья 6), раствор с массовой долей 10%.
Кислота соляная по
ГОСТ 3118, ч.д.а., концентрированная, раствор концентрации c (HCl) = 2 моль/дм3 (2 н.).
Кислота серная по
ГОСТ 4204, х.ч., концентрированная.
Диантипирилметан по ТУ 6-09-3835, ч.д.а., раствор массовой концентрации 10 г/дм3 в растворе соляной кислоты концентрации c (HCl) = 2 моль/дм3 (2 н.).
Титана диоксид по ТУ 6-09-3811, ос.ч.
Гидроксиламина гидрохлорид по
ГОСТ 5456, ч.д.а.
Раствор А, содержащий 1 мг/см3 титана, готовят по
ГОСТ 4212, соответственно увеличив навеску, либо следующим образом: 0,167 г двуокиси титана (результат взвешивания в граммах записывают с точностью до третьего десятичного знака) и 4 г серно-кислого аммония (результат взвешивания в граммах записывают с точностью до первого десятичного знака) помещают в стакан, прибавляют 8,8 см3 серной кислоты, перемешивают, накрывают часовым стеклом и осторожно нагревают на плитке с асбестом до полного растворения (в течение 3 - 5 ч). Раствор охлаждают, количественно переносят в мерную колбу вместимостью 100 см3, доводят объем водой до метки и перемешивают.
Раствор Б, содержащий 0,01 мг/см3 титана, готовят соответствующим разбавлением раствора А.
4.17а.2. Построение градуировочного графика
В пять мерных колб вместимостью по 50 см3 вносят пипеткой вместимостью 5 см3 последовательно 1, 2, 3, 4, 5 см3 раствора Б, по 5 см3 раствора аскорбиновой кислоты и оставляют стоять на 3 мин для количественного восстановления железа. В каждую мерную колбу прибавляют по 12 см3 раствора диантипирилметана, доводят до метки раствором соляной кислоты и тщательно перемешивают. Одновременно готовят раствор сравнения, содержащий указанные выше реактивы, кроме стандартного раствора Б. Через 60 мин измеряют оптическую плотность градуировочных растворов по отношению к раствору сравнения на фотоэлектроколориметре со светофильтром при длине волны

= 400 нм в кювете с толщиной поглощающего свет слоя 50 мм. По полученным данным строят градуировочный график, откладывая на оси абсцисс значения массы титана в миллиграммах, а на оси ординат - соответствующие им значения оптических плотностей.
Для построения каждой точки градуировочного графика вычисляют среднее арифметическое значение оптической плотности трех параллельных определений. Градуировочный график должен иметь вид прямой линии.
4.17а.3. Проведение анализа
| | ИС МЕГАНОРМ: примечание. В официальном тексте документа, видимо, допущена опечатка: пункт 4.17.2а отсутствует. Возможно, имеется в виду пункт 4.17а.2. | |
Навеску массой 1 - 2 г (результат взвешивания в граммах записывают с точностью до второго десятичного знака) помещают в стакан, вносят цилиндром 25 см3 концентрированной соляной кислоты, накрывают часовым стеклом и нагревают на электроплитке до полного исчезновения частиц осадка. Стекло снимают, обмывают дистиллированной водой и выпаривают раствор до влажных солей. Остаток растворяют в 20 см3 дистиллированной воды и количественно переносят в мерную колбу на 100 см3. Объем раствора доводят до метки дистиллированной водой и тщательно перемешивают. Отбирают пипеткой 2 - 5 см3 (в зависимости от содержания титана) раствора в мерную колбу вместимостью 50 см3, прибавляют 10 см3 раствора соляной кислоты концентрации 2 моль/дм3, 5 см3 раствора аскорбиновой кислоты и оставляют стоять 3 мин. Затем прибавляют 12 см3 раствора диантипирилметана и доводят раствор до метки раствором соляной кислоты концентрации 2 моль/дм3, перемешивают. Через 1 ч измеряют оптическую плотность раствора при условиях, указанных в
п. 4.17.2а. Раствор сравнения готовят так же, как при построении градуировочного графика.
4.17а.4. Обработка результатов
Массовую долю титана (

) вычисляют по формуле

,
где

- масса титана, найденная по градуировочному графику, мг;
m - масса навески, г;
V - объем анализируемого раствора, отобранный для анализа, см3.
За результат анализа принимают среднее арифметическое результатов двух параллельных определений, абсолютное расхождение между которыми не превышает допускаемое расхождение, равное 0,002%.
Допускаемая абсолютная суммарная погрешность результата анализа +/- 0,001% при доверительной вероятности P = 0,95.
Примечание. При отсутствии аскорбиновой кислоты в качестве восстановителя железа (III) можно использовать гидроксиламина гидрохлорид. Если аскорбиновая кислота лучше действует как восстановитель в кислой среде (pH = 0 - 1), то гидроксиламина гидрохлорид восстанавливает железо (III) в течение нескольких минут в слабокислой среде (pH = 3 - 4).
Допускается применение инструментальных методов определения, обеспечивающих точность определения не ниже арбитражной.
При возникновении разногласий определение массовой доли титана проводят с применением динатриевой соли хромотроповой кислоты.
4.18. Допускается применение других средств измерения с метрологическими характеристиками и оборудования с техническими характеристиками не хуже, а также реактивов по качеству не ниже указанных.
4.17 - 4.18. (Введены дополнительно, Изм. N 1).
5. УПАКОВКА, МАРКИРОВКА, ТРАНСПОРТИРОВАНИЕ И ХРАНЕНИЕ
5.1. Двуокись марганца для химических источников тока упаковывают в мешки из битумированной, влагопрочной или ламинированной полиэтиленом бумаги открытого или закрытого типа, а также в импортные мешки с характеристиками прочности не ниже установленных
ГОСТ 2226; в стальные барабаны по
ГОСТ 5044 тип I, исполнение

, лакированные внутри, объемом не более 25 дм3; картонно-навивные барабаны по
ГОСТ 17065, типы I, II, объемом не более 25 дм3 с полиэтиленовым вкладышем. Масса нетто 50 кг. Допускаемые отклонения массы упаковочной единицы продукции +/- 5%, массы партии +/- 3%.
Бумажные мешки открытого типа зашивают машинным способом, полиэтиленовые вкладыши заваривают.
По согласованию с потребителем допускается упаковывать двуокись марганца в мягкие специализированные контейнеры типа МК-0,5л, выпускаемые по нормативно-технической документации.
5.2. Транспортная маркировка груза - по
ГОСТ 14192 с нанесением знака опасности по
ГОСТ 19433 (класс 5, подкласс 5.1, шифр группы 5102).
5.1, 5.2. (Измененная редакция, Изм. N 1).
5.2а. Маркировка, характеризующая продукцию, должна содержать следующие данные:
наименование предприятия-изготовителя и его товарный знак;
наименование продукта и сорт;
номер партии и дату изготовления;
массу нетто;
обозначение настоящего стандарта.
Маркировку наносят с помощью трафарета несмываемой краской или наклеиванием ярлыка.
(Введен дополнительно, Изм. N 1).
5.3. Двуокись марганца транспортируют всеми видами транспорта (кроме авиации) в крытых транспортных средствах в соответствии с правилами перевозки грузов, действующими на данном виде транспорта.
Перевозка двуокиси марганца по железной дороге осуществляется повагонными отправками.
Контейнеры разрешается перевозить в автомашинах.
Схемы пакетирования согласовывают в установленном порядке.
(Измененная редакция, Изм. N 1, 2).
5.4. Двуокись марганца хранят в крытых складских помещениях.
6.1. Изготовитель гарантирует соответствие всего выпускаемого продукта требованиям настоящего стандарта при соблюдении потребителем условий хранения.
6.2. Гарантийный срок хранения - 1 год со дня изготовления.