Главная // Актуальные документы // ГОСТ (Государственный стандарт)СПРАВКА
Источник публикации
М.: ИПК Издательство стандартов, 2002
Примечание к документу
С 1 июля 2003 года до вступления в силу технических регламентов акты федеральных органов исполнительной власти в сфере технического регулирования носят рекомендательный характер и подлежат обязательному исполнению только в части, соответствующей целям, указанным в
пункте 1 статьи 46 Федерального закона от 27.12.2002 N 184-ФЗ.
Ограничение срока действия снято по Протоколу N 3-93 Межгосударственного совета по стандартизации, метрологии и сертификации ("ИУС", N 5-6, 1993).
Документ
введен в действие с 1 января 1989 года.
Взамен ГОСТ 8313-76.
Название документа
"ГОСТ 8313-88. Межгосударственный стандарт. Этилцеллозольв технический. Технические условия"
(утв. и введен в действие Постановлением Госстандарта СССР от 22.06.1988 N 2100)
(ред. от 29.02.1996)
"ГОСТ 8313-88. Межгосударственный стандарт. Этилцеллозольв технический. Технические условия"
(утв. и введен в действие Постановлением Госстандарта СССР от 22.06.1988 N 2100)
(ред. от 29.02.1996)
Утвержден и введен в действие
Постановлением
Государственного комитета СССР
по стандартам
от 22 июня 1988 г. N 2100
МЕЖГОСУДАРСТВЕННЫЙ СТАНДАРТ
ЭТИЛЦЕЛЛОЗОЛЬВ ТЕХНИЧЕСКИЙ
ТЕХНИЧЕСКИЕ УСЛОВИЯ
Technical ethylcellosolve. Specifications
ГОСТ 8313-88
| | Список изменяющих документов Госстандарта России от 29.02.1996 N 133) | |
ОКП 24 3422 0100
Дата введения
1 января 1989 года
1. РАЗРАБОТАН И ВНЕСЕН Министерством химической промышленности СССР
2. УТВЕРЖДЕН И ВВЕДЕН В ДЕЙСТВИЕ Постановлением Государственного комитета СССР по стандартам от 22.06.88 N 2100
Изменение N 1 принято Межгосударственным Советом по стандартизации, метрологии и сертификации (протокол N 6 от 21.10.94)
За принятие проголосовали:
Наименование государства | Наименование национального органа по стандартизации |
Азербайджанская Республика | Азгосстандарт |
Республика Армения | Армгосстандарт |
Республика Беларусь | Госстандарт Беларуси |
Республика Грузия | Грузстандарт |
Республика Казахстан | Госстандарт Республики Казахстан |
Киргизская Республика | Киргизстандарт |
Республика Молдова | Молдовастандарт |
Российская Федерация | Госстандарт России |
Республика Узбекистан | Узгосстандарт |
Украина | Госстандарт Украины |
3. ВЗАМЕН ГОСТ 8313-76
4. ССЫЛОЧНЫЕ НОРМАТИВНО-ТЕХНИЧЕСКИЕ ДОКУМЕНТЫ
Обозначение НТД, на который дана ссылка | Номер пункта, подпункта |
| |
| |
| | ИС МЕГАНОРМ: примечание. Взамен ГОСТ 12.4.026-76 Постановлением Госстандарта России от 19.09.2001 N 387-ст с 1 января 2003 года на территории Российской Федерации введен в действие ГОСТ Р 12.4.026-2001. | |
|
ГОСТ 12.4.026-76 | |
| |
| |
| |
| |
| |
| |
| |
| |
| |
| |
| |
| |
| |
| |
| |
| |
| |
| |
| | ИС МЕГАНОРМ: примечание. ГОСТ 12308-89 утратил силу с 1 января 2015 года в связи с введением в действие ГОСТ 12308-2013 (Приказ Росстандарта от 30.12.2013 N 2403-ст). | |
|
ГОСТ 12308-89 | |
| |
| |
| |
| |
| |
| |
| |
| |
| |
| |
| |
| |
|
|
ГОСТ 24104-88 | |
| |
| |
| |
| |
| |
| |
| |
| |
| |
| |
| |
5. Ограничение срока действия снято по протоколу N 3-93 Межгосударственного Совета по стандартизации, метрологии и сертификации (ИУС 5-6-93)
6. ИЗДАНИЕ (апрель 2002 г.) с Изменением N 1, утвержденным в феврале 1996 г. (ИУС 5-96)
Настоящий стандарт распространяется на технический этилцеллозольв (моноэтиловый эфир этиленгликоля), предназначенный для применения в химической, медицинской, оборонной и других отраслях промышленности.
Формула C2H5OCH2CH2OH.
Относительная молекулярная масса (по международным атомным массам 1987 г.) - 90,12.
(Измененная редакция, Изм. N 1).
1. ТЕХНИЧЕСКИЕ ТРЕБОВАНИЯ
1.1. Технический этилцеллозольв должен изготавливаться в соответствии с требованиями настоящего стандарта по технологическому регламенту, утвержденному в установленном порядке.
1.2. Характеристики
1.2.1. По физико-химическим показателям технический этилцеллозольв должен соответствовать требованиям, указанным в таблице.
| Норма для сорта | Метод анализа |
высшего ОКП 24 3422 0120 | первого ОКП 24 3422 0130 |
1. Внешний вид | Прозрачная жидкость без механических примесей | |
2. Плотность при 20 °C, г/см3 | 0,928 - 0,930 | 0,928 - 0,933 | |
3. Цвет по платино-кобальтовой шкале, единицы Хазена, не более | 8 | 20 | |
4. Массовая доля воды, %, не более | 0,1 | 0,3 | |
5. Массовая доля этилцеллозольва, %, не менее | 99,5 | 97,0 | |
6. Число омыления, мг KOH на 1 г продукта, не более | 0,5 | 0,5 | |
7. Массовая доля кислот в пересчете на уксусную кислоту, %, не более | 0,005 | 0,006 | |
8. Показатель преломления | 1,407 - 1,409 | 1,407 - 1,409 | |
9. Смешиваемость с водой | Выдерживает испытание | |
10. Температурные пределы перегонки (при 101,3 кПа): | | | |
начало перегонки, °C, не ниже | 134 | 130 | |
конец перегонки, °C, не выше | 138 | 138 | |
11. Растворимость в топливе | Выдерживает испытание | |
Примечания:
1. Допускается после года со дня изготовления изменение следующих показателей:
массовой доли воды - не более 0,5%;
массовой доли этилцеллозольва - не менее 95,0%;
числа омыления - не более 2,5 мг KOH на 1 г продукта;
массовой доли кислот в пересчете на уксусную кислоту - не более 0,01%.
2. Смешиваемость с водой определяют по требованию потребителя.
3. Температурные пределы перегонки определяют только в продукте, предназначенном для экспорта, и по требованию потребителя. При этом массовую долю этилцеллозольва не определяют.
4. Растворимость в топливе определяет только потребитель непосредственно перед применением этилцеллозольва в качестве присадки к авиационному топливу.
(Измененная редакция, Изм. N 1).
1.2.2. Этилцеллозольв - легковоспламеняющаяся жидкость.
Показатели пожаровзрывоопасности, определяемые по
ГОСТ 12.1.044: температура вспышки паров в закрытом тигле - от 40 до 46 °C; температура самовоспламенения - не менее 228 °C; концентрационные пределы распространения пламени (воспламенения): нижний - не менее 1,8% (по объему), верхний - не более 15,7% (по объему); температурные пределы распространения пламени (воспламенения): нижний - не менее 39 °C, верхний - не более 74 °C.
1.2.3. Этилцеллозольв обладает слабым наркотическим действием, пары его незначительно раздражают слизистые оболочки, при приеме внутрь вызывает тяжелое отравление организма.
Предельно допустимая концентрация (ПДК) этилцеллозольва в воздухе рабочей зоны - 10 мг/м
3 (3-й класс опасности по
ГОСТ 12.1.005).
ПДК этилцеллозольва в воде водоемов санитарно-бытового водопользования - 1 мг/дм3, в воде рыбохозяйственных водоемов - 0,1 мг/м3. Максимальная разовая величина ориентировочного безопасного уровня воздействия (ОБУВ) этилцеллозольва в атмосферном воздухе населенных мест - 0,7 мг/м3.
(Измененная редакция, Изм. N 1).
1.2.4. Производственные помещения должны быть снабжены приточно-вытяжной вентиляцией. Оборудование должно быть герметичным.
1.2.5. При загорании применять огнетушащие средства: воду, пену, двуокись углерода.
Разлитый этилцеллозольв убирают обтирочными концами, опилками или песком, которые выносят из помещения.
В помещениях для производства и хранения этилцеллозольва на видном месте должен быть вывешен знак "Осторожно! Легковоспламеняющееся вещество" по ГОСТ 12.4.026 <*>.
--------------------------------
1.2.6. Отходы производства обезвреживают в соответствии с санитарными правилами и нормами, утвержденными Минздравом.
(Введен дополнительно, Изм. N 1).
1.3. Маркировка
1.3.1. Специальные трафареты на котлах железнодорожных цистерн должны быть нанесены в соответствии с
правилами перевозки жидких грузов наливом в вагонах-цистернах или бункерных полувагонах.
1.3.2. Транспортная маркировка - по
ГОСТ 14192 с нанесением манипуляционных знаков "Герметичная упаковка", "Беречь от нагрева".
Маркировка, характеризующая транспортную опасность груза, - по
ГОСТ 19433 с нанесением знака опасности, соответствующего классификационному шифру 3313 (класс 3, подкласс 3.3,
черт. 3) и серийного номера ООН 1171.
(Измененная редакция, Изм. N 1).
1.3.3. Маркировка упакованной продукции должна содержать следующие дополнительные данные:
наименование завода-изготовителя и его товарный знак;
массу брутто и нетто;
наименование продукта, его сорт;
номер партии и дату изготовления;
обозначение настоящего стандарта.
1.4. Упаковка
1.4.1. Технический этилцеллозольв заливают в специально выделенные неоцинкованные железнодорожные цистерны с нижним или верхним сливом, стальные неоцинкованные автоцистерны, стальные неоцинкованные бочки по
ГОСТ 13950 типа 1 вместимостью 100 - 200 дм
3, по
ГОСТ 6247 вместимостью 100 - 275 дм
3, по
ГОСТ 17366 вместимостью 110 - 275 дм
3.
1.4.2. Бочки перед заполнением должны быть промыты водой и высушены.
1.4.3. Степень (уровень) заполнения цистерн, автоцистерн, бочек вычисляют с учетом полного использования их вместимости (грузоподъемности) и объемного расширения продукта при возможном перепаде температур в пути следования.
1.4.4. Наливные люки цистерн, автоцистерн и горловины бочек закрывают крышками, которые герметизированы прокладками, и пломбируют.
Прокладки изготовляют из фторопласта-4 по
ГОСТ 10007. Прокладки из любого другого материала вкладывают в чехлы из фторопласта-4.
2.1. Технический этилцеллозольв принимают партиями. Партией считают любое количество продукта, однородное по своим качественным показателям, одновременно отправляемое в один адрес и сопровождаемое одним документом о качестве.
Каждую цистерну принимают за партию.
2.2. Документ о качестве должен содержать:
наименование предприятия-изготовителя и его товарный знак;
наименование продукта и его сорт;
дату выпуска;
номер партии и количество мест в партии;
массу брутто и нетто;
результаты анализа или подтверждение о соответствии качества продукта требованиям настоящего стандарта;
подтверждение о нанесении на упаковку шифра группы по
ГОСТ 19433;
обозначение настоящего стандарта.
2.3. Для контроля показателей качества этилцеллозольва на соответствие их требованиям настоящего стандарта от партии отбирают 10% упаковочных единиц, но не менее трех или каждую цистерну.
Допускается у изготовителя отбор проб из хранилища.
2.4. При получении неудовлетворительных результатов анализа хотя бы по одному из показателей проводят повторный анализ на удвоенной выборке, взятой от той же партии, или на удвоенном количестве проб, отобранных из цистерны, хранилища.
Результаты повторного анализа распространяются на всю партию.
3.1. Общие указания по проведению анализа - по
ГОСТ 27025.
Допускается использование аппаратуры с техническими и метрологическими характеристиками, а также реактивов по качеству не ниже указанных в настоящем стандарте.
Округление результатов анализа до того десятичного знака, который указан в
таблице технических требований.
(Измененная редакция, Изм. N 1).
3.2. Точечные пробы из цистерны и хранилища отбирают по
ГОСТ 2517. Из бочек пробы отбирают со среднего уровня чистой стеклянной трубкой.
Объем точечной пробы, взятой из бочки, - не менее 350 см3, из цистерны и хранилища - не менее 1 дм3.
3.3. Точечные пробы соединяют вместе, тщательно перемешивают. От объединенной пробы отбирают среднюю пробу объемом не менее 1 дм3 и помещают ее в чистую сухую плотно закрывающуюся склянку.
На склянку наклеивают этикетку с указанием наименования продукта, обозначения настоящего стандарта, даты и места отбора пробы, номера партии, фамилии лица, отобравшего пробу.
3.4. Определение внешнего вида
Внешний вид продукта определяют визуально. Для этого 100 см
3 этилцеллозольва наливают в цилиндр исполнения
2 или
4 вместимостью 100 см
3 (ГОСТ 1770), закрывают пробкой и встряхивают. Этилцеллозольв соответствует требованиям настоящего стандарта, если при рассмотрении его в проходящем свете он прозрачный и в нем не обнаружены взвешенные и осевшие на дно цилиндра механические примеси.
3.5. Определение плотности
3.6. Определение цвета по платино-кобальтовой шкале
Цвет по платино-кобальтовой шкале определяют по
ГОСТ 29131.
Для приготовления раствора с интенсивностью окраски 8 единиц Хазена в мерную колбу вместимостью 500 см3 помещают 8 см3 основного раствора, разбавляют водой до метки и перемешивают.
3.7. Определение массовой доли воды
Массовую долю воды определяют по
ГОСТ 14870 методом Фишера. Масса навески этилцеллозольва должна быть около 5 г.
Допускается потребителю, применяющему этилцеллозольв в качестве присадки к авиационному топливу, проводить определение массовой доли воды с помощью индикаторной трубки (экспресс-метод) в соответствии с
приложением.
При разногласиях в оценке массовой доли воды определение проводят по
ГОСТ 14870 методом Фишера.
3.6, 3.7. (Измененная редакция, Изм. N 1).
3.8. Определение массовой доли этилцеллозольва
Массовую долю этилцеллозольва определяют по разности, вычитая из 100% массовые доли воды и органических примесей.
Массовую долю органических примесей определяют методом газожидкостной хроматографии.
3.8.1. Аппаратура, реактивы
Хроматограф аналитический газовый лабораторный с пламенно-ионизационным детектором.
Колонка газохроматографическая стальная или стеклянная внутренним диаметром 3 мм, длиной 3 м для насадки с неподвижной фазой I или 2 м для насадки с неподвижной фазой II.
Весы лабораторные 2-го класса точности по ГОСТ 24104 <*> с наибольшим пределом взвешивания 200 г.
--------------------------------
Линейка измерительная металлическая по
ГОСТ 427.
Насос водоструйный.
Планиметр или лупа типа ЛИ по
ГОСТ 25706 с ценой деления 0,1 мм.
Шкаф сушильный, обеспечивающий нагрев не менее чем на 150 °C.
Микрошприц МШ10.
Носитель твердый: хроматон N или хроматон N-AW с частицами размером 0,20 - 0,25 мм.
Фаза неподвижная I: трикрезилфосфат по
ГОСТ 5728 или фаза неподвижная II: полифениловый эфир 5Ф4Э и полиэтиленгликольадипинат, ч.д.а.
Газ-носитель: азот газообразный технический по
ГОСТ 9293 или гелий газообразный.
Водород технический марки А или Б по
ГОСТ 3022 или водород электролизный от генератора СГС-2.
Воздух сжатый для питания контрольно-измерительных приборов.
Эфир этиловый уксусной кислоты (этилацетат) по
ГОСТ 8981.
Этилкарбитол с массовой долей основного вещества не менее 95%.
Октанол-1, ч.
Эфир диэтиловый (эфир этиловый).
Этанол для хроматографии.
(Измененная редакция, Изм. N 1).
3.8.2. Подготовка к анализу
3.8.2.1. Приготовление насадки и заполнение хроматографической колонки
Неподвижную фазу I наносят на твердый носитель следующим образом: трикрезилфосфат (20% от массы твердого носителя) взвешивают (результаты взвешиваний в граммах записывают с точностью до первого десятичного знака) и растворяют в хлороформе или ацетоне. Приготовленный раствор при непрерывном перемешивании приливают к твердому носителю, помещенному в фарфоровую чашку. Количество раствора должно быть таким, чтобы твердый носитель был полностью смочен раствором. Фарфоровую чашку помещают на водяную баню и, непрерывно перемешивая ее содержимое, испаряют хлороформ или ацетон. Насадку досушивают в сушильном шкафу в течение 0,5 - 1 ч при 60 °C.
Неподвижную фазу II наносят на твердый носитель следующим образом: полиэтиленгликольадипинат (5% от массы твердого носителя) взвешивают (результаты взвешиваний в граммах записывают с точностью до первого десятичного знака) и растворяют в хлороформе или ацетоне. Приготовленный раствор приливают к твердому носителю, помещенному в фарфоровую чашку. Количество раствора должно быть таким, чтобы твердый носитель был полностью смочен раствором. Фарфоровую чашку помещают на водяную баню и, непрерывно перемешивая ее содержимое, испаряют хлороформ или ацетон. Насадку досушивают в сушильном шкафу в течение 1 ч при 60 °C. Затем на приготовленную насадку наносят полифениловый эфир (3% от массы твердого носителя), взвешивают (результаты взвешиваний в граммах записывают с точностью до первого десятичного знака) и растворяют в хлороформе или ацетоне. Приготовленный раствор приливают к насадке, помещенной в фарфоровую чашку. Количество раствора должно быть таким, чтобы насадка была полностью смочена раствором. Фарфоровую чашку помещают на водяную баню и, непрерывно перемешивая ее содержимое, испаряют хлороформ или ацетон. Насадку досушивают в сушильном шкафу в течение 0,5 - 1 ч при 60 °C.
Хроматографическую колонку промывают водой, ацетоном и сушат сжатым воздухом. Чистую сухую хроматографическую колонку заполняют насадкой небольшими порциями, уплотняя ее с помощью вибратора и водоструйного насоса. Концы заполненной колонки закрывают стекловатой или стеклотканью. Заполненную колонку устанавливают в термостат прибора и, не присоединяя к детектору, проводят стабилизацию ее газом-носителем при 160 °C в течение 8 - 10 ч.
Каждую новую колонку перед градуировкой прибора необходимо насыщать этилцеллозольвом (30 - 40 вводов).
Монтаж, наладку и вывод хроматографа на рабочий режим осуществляют в соответствии с инструкцией, прилагаемой к прибору.
(Измененная редакция, Изм. N 1).
3.8.2.2. Режим градуировки и работы хроматографа
Хроматограммы снимают при следующих условиях:
Объемный расход газа-носителя . . . . . . . . . . . . . . . . . . . . . . . . . . . | 36 см3/мин |
Соотношение объемных расходов газа-носителя и водорода . . . | 1:1 |
Соотношение объемных расходов газа-носителя и воздуха . . . . . | 1:10 |
Скорость движения диаграммной ленты: |
при использовании насадки с неподвижной фазой I . . . . . . . . | 240 мм/ч |
при использовании насадки с неподвижной фазой II . . . . . . . | 720 мм/ч |
Температура термостата колонок . . . . . . . . . . . . . . . . . . . . . . . . . . | 120 °C |
Температура испарителя . . . . . . . . . . . . . . . . . . . . . . . . . . . . . . . . . | 220 °C |
Объем вводимой пробы . . . . . . . . . . . . . . . . . . . . . . . . . . . . . . . . . | 0,001 - 0,005 см3 |
Продолжительность анализа: |
при использовании насадки с неподвижной фазой I . . . . . . . . | 55 мин |
при использовании насадки с неподвижной фазой II . . . . . . . | 15 мин |
Шкала записи хроматограммы . . . . . . . . . . . . . . . . . . . . . . . . . . . . . | (10 - 50)·10-10 А |
В зависимости от модели применяемого хроматографа в условиях режима работы хроматографа могут быть внесены некоторые изменения с целью достижения полного разделения примесей и контроля содержания примесей с погрешностью, указанной в настоящем стандарте.
3.8.2.3. Градуировка прибора
Массовую долю примесей в этилцеллозольве определяют методом "внутреннего эталона" с учетом градуировочных коэффициентов. В качестве "внутреннего эталона" используют октанол-1. Градуировку прибора осуществляют по искусственным смесям.
Искусственные смеси готовят следующим образом. В стаканчик для взвешивания помещают последовательно анализируемую примесь, октанол-1 и бутанол-1. Массовая доля анализируемой примеси и октанола-1 в смеси составляет 0,2 - 0,8% от массовой доли бутанола-1.
Результаты всех взвешиваний в граммах записывают с точностью до четвертого десятичного знака.
Полученную смесь тщательно перемешивают, отбирают микрошприцем 0,002 см3 и вводят в испаритель хроматографа не менее двух раз. Средний градуировочный коэффициент для каждого компонента определяют по 5 - 7 смесям.
Площадь пика вычисляют как произведение высоты пика на его ширину, измеренную на середине высоты с учетом масштаба записи.
Градуировочный коэффициент (Ki) вычисляют по формуле

,
где Sэт - площадь пика "внутреннего эталона", мм2;
Si - площадь пика определяемой примеси, мм2;
Mэт - масса навески "внутреннего эталона", г;
Mi - масса навески примеси, г.
За градуировочный коэффициент принимают среднее арифметическое результатов всех определений.
Проверку градуировочных коэффициентов проводят после 500 определений, а также при изменении режима работы хроматографа.
3.8.3. Проведение анализа
1,5 - 2,0 г этилцеллозольва взвешивают в стаканчике для взвешивания и добавляют 0,2 - 0,3% "внутреннего эталона" от массы анализируемого продукта. Результаты взвешивания в граммах записывают с точностью до четвертого десятичного знака. Смесь тщательно перемешивают, микрошприцем отбирают необходимый объем анализируемого продукта и вводят в испаритель хроматографа.
3.8.4. Обработка результатов
Массовую долю примеси (Xi) в процентах вычисляют по формуле

,
где Si - площадь пика определяемой примеси, мм2;
Sэт - площадь пика "внутреннего эталона", мм2;
Mэт - масса навески "внутреннего эталона", г;
Ki - градуировочный коэффициент определяемой примеси;
M - масса навески этилцеллозольва, взятая для анализа, г.
Типовые хроматограммы технического этилцеллозольва приведены на черт. 1 и
2.
Типовая хроматограмма технического этилцеллозольва
на насадке с неподвижной фазой I
1, 4, 5, 6, 7, 9, 10, 11, 12, 14 - неидентифицированные
примеси; 2 - диэтиловый эфир; 3 - этанол;
8 - этилцеллозольв; 13 - этиленгликоль;
15 - октанол-1; 16 - этилкарбитол
Черт. 1
Типовая хроматограмма технического этилцеллозольва
на насадке с неподвижной фазой II
1, 5, 6, 8, 9, 10 - неидентифицированные примеси;
2 - диэтиловый эфир; 3 - этанол; 4 - этилацетат;
7 - этилцеллозольв; 11 - этиленгликоль;
12 - октанол-1; 13 - этилкарбитол
Черт. 2
Для всех неидентифицированных примесей градуировочные коэффициенты принимают равными 1.
Массовую долю этилцеллозольва (X) в процентах вычисляют по формуле

,
где

- сумма массовых долей всех определяемых примесей, %;
Xв - массовая доля воды, определенная, как указано в
п. 3.7, %.
За результат анализа принимают среднее арифметическое результатов двух параллельных определений, абсолютное расхождение между которыми не превышает допускаемое расхождение, равное 0,1%.
Допускаемая абсолютная суммарная погрешность результата анализа +/- 0,1% при доверительной вероятности P = 0,95.
(Измененная редакция, Изм. N 1).
3.9. Определение числа омыления
3.9.1. Аппаратура, реактивы
Колба коническая по
ГОСТ 25336 вместимостью 250 см
3.
Калия гидроокись по
ГОСТ 24363, спиртовой раствор молярной концентрации
c (KOH) = 0,1 моль/дм
3 (0,1 н.), готовят по
ГОСТ 25794.3.
Кислота соляная по
ГОСТ 3118, х.ч., раствор молярной концентрации
c (HCl) = 0,1 моль/дм
3 (0,1 н.), готовят по
ГОСТ 25794.1.
Фенолфталеин (индикатор), спиртовой раствор с массовой долей 1%, готовят по
ГОСТ 4919.1.
3.9.2. Проведение анализа
Отбирают пипеткой 25 см3 анализируемого продукта, помещают в коническую колбу, прибавляют пипеткой 25 см3 раствора гидроокиси калия и кипятят с обратным холодильником на песчаной бане в течение 40 мин.
Одновременно в тех же условиях проводят контрольный опыт.
После охлаждения колбы холодильник промывают 40 - 50 см3 воды, затем избыток гидроокиси калия оттитровывают соляной кислотой в присутствии 8 - 10 капель раствора фенолфталеина.
3.9.3. Обработка результатов
Число омыления (X1) в мг KOH на 1 г продукта вычисляют по формуле

,
где V - объем раствора соляной кислоты молярной концентрации точно 0,1 моль/дм3, израсходованный на титрование в контрольном опыте, см3;
V1 - объем раствора соляной кислоты молярной концентрации точно 0,1 моль/дм3, израсходованный на титрование анализируемого раствора, см3;
5,6 - масса гидроокиси калия, соответствующая 1 см3 раствора соляной кислоты молярной концентрации точно 0,1 моль/дм3, мг;
Vn - объем этилцеллозольва, взятый для анализа, см3;

- плотность этилцеллозольва, определенная как указано в
п. 3.5, г/см
3.
За результат анализа принимают среднее арифметическое результатов двух параллельных определений, расхождение между которыми не превышает допускаемое расхождение, равное 0,05 мг KOH на 1 г продукта.
Допускаемая суммарная погрешность результата анализа +/- 0,06 мг KOH на 1 г продукта при доверительной вероятности P = 0,95.
3.9.1 - 3.9.3. (Измененная редакция, Изм. N 1).
3.10. Определение массовой доли кислот в пересчете на уксусную кислоту
3.10.1. Аппаратура и реактивы
Ионометр или pH-метр любой марки.
Электроды стеклянный и хлорсеребряный (или насыщенный каломельный).
Натрия гидроокись по
ГОСТ 4328, раствор молярной концентрации
c (NaOH) = 0,01 моль/дм
3 (0,01 н.), готовят по
ГОСТ 25794.1.
(Измененная редакция, Изм. N 1).
3.10.2. Проведение анализа
50 см3 этилцеллозольва помещают в стакан, вместимостью 150 см3, содержащий 50 см3 воды, перемешивают и титруют раствором гидроокиси натрия до pH 8,5, перемешивая магнитной мешалкой.
3.10.3. Обработка результатов
Массовую долю кислот в пересчете на уксусную кислоту (X2) в процентах вычисляют по формуле

,
где V - объем раствора гидроокиси натрия молярной концентрации точно 0,01 моль/дм3, израсходованный на титрование, см3;
0,0006 - масса уксусной кислоты, соответствующая 1 см3 раствора гидроокиси натрия молярной концентрации точно 0,01 моль/дм3, г;
Vn - объем этилцеллозольва, взятый для анализа, см3;

- плотность этилцеллозольва, определенная, как указано в
п. 3.5, г/см
3.
За результат анализа принимают среднее арифметическое результатов двух параллельных определений, абсолютное расхождение между которыми не превышает допускаемое расхождение, равное 0,0003%.
Допускаемая абсолютная суммарная погрешность результата анализа +/- 0,0002% при доверительной вероятности P = 0,95.
(Измененная редакция, Изм. N 1).
3.11. Определение смешиваемости с водой
3.11.1. Аппаратура, реактивы
Цилиндр исполнения
2 или
4 по
ГОСТ 1770 вместимостью 100 см
3.
3.11.2. Проведение анализа
5 см3 этилцеллозольва помещают при комнатной температуре в цилиндр с притертой пробкой и доливают до 55 см3 водой. Смесь встряхивают в течение 2 мин и затем дают отстояться в течение 15 мин. Проверяют визуально состояние смеси. Продукт соответствует требованиям настоящего стандарта, если после отстаивания в нем не обнаруживают помутнения, хлопьев, осадка и других посторонних примесей.
3.11.1, 3.11.2. (Измененная редакция, Изм. N 1).
3.12. Определение температурных пределов перегонки
Температурные пределы перегонки определяют по
ГОСТ 18995.7 в приборе с наклонным стеклянным холодильником.
Температуру конца перегонки продукта высшего сорта записывают в момент испарения последней капли жидкости со дна колбы, не принимая во внимание капли жидкости, стекающие по стенкам колбы, продукта первого сорта - когда в приемнике находится 97 см3 дистиллята.
3.13. Определение растворимости этилцеллозольва в топливе
3.13.1. Аппаратура, реактивы
| | ИС МЕГАНОРМ: примечание. ГОСТ 12308-89 утратил силу с 1 января 2015 года в связи с введением в действие ГОСТ 12308-2013 (Приказ Росстандарта от 30.12.2013 N 2403-ст). | |
Топлива для реактивных двигателей по
ГОСТ 10227 или ГОСТ 12308.
Цилиндр исполнения
2 или
4 по
ГОСТ 1770 вместимостью 100 см
3.
(Измененная редакция, Изм. N 1).
3.13.2. Проведение анализа
5 см3 этилцеллозольва и 95 см3 топлива помещают при комнатной температуре в цилиндр с притертой пробкой.
Смесь встряхивают в течение 2 мин и затем дают отстояться в течение 15 мин. Проверяют визуально состояние смеси. Продукт считают пригодным к применению, если после отстаивания смесь не расслаивается, в ней не обнаруживаются хлопья, осадок или другие посторонние примеси, а на стенках цилиндра не имеется капелек жидкости.
4. ТРАНСПОРТИРОВАНИЕ И ХРАНЕНИЕ
4.1. Транспортирование
4.1.1. Этилцеллозольв транспортируют железнодорожным, автомобильным, водным и воздушным транспортом в крытых транспортных средствах в соответствии с правилами перевозок грузов, действующими на данном виде транспорта. По железной дороге этилцеллозольв в бочках транспортируют повагонно и мелкими отправками.
4.1.2. Этилцеллозольв в бочках вместимостью 100 дм
3 перевозят транспортными пакетами на плоских деревянных поддонах по
ГОСТ 9557.
Масса пакета должна быть не более 1 т.
Допускается по согласованию с потребителем транспортировать продукт в непакетированном виде.
(Измененная редакция, Изм. N 1).
4.2. Хранение
4.2.1. Этилцеллозольв хранят в герметично закрытых стальных неоцинкованных емкостях. Этилцеллозольв в бочках хранят в упаковке изготовителя в закрытых помещениях, специально предназначенных для хранения горючих жидкостей.
5.1. Изготовитель гарантирует соответствие технического этилцеллозольва требованиям настоящего стандарта при соблюдении условий транспортирования и хранения.
5.2. Гарантийный срок хранения - 2 года со дня изготовления.
Обязательное
ОПРЕДЕЛЕНИЕ МАССОВОЙ ДОЛИ ВОДЫ В ТЕХНИЧЕСКОМ ЭТИЛЦЕЛЛОЗОЛЬВЕ
С ПОМОЩЬЮ ИНДИКАТОРНОЙ ТРУБКИ (ЭКСПРЕСС-МЕТОД)
1. Сущность метода
Метод заключается в избирательном хемосорбционном хроматографическом поглощении воды, растворенной в этилцеллозольве, индикаторным цеолитным адсорбентом, помещенным в индикаторную трубку, и последующем измерении длины оранжевой зоны адсорбции воды.
2. Аппаратура
Портативный минихромаметр ПМХМ-В в комплекте с индикаторными трубками ИТ-СВ-50, пипетками по
ГОСТ 29228 вместимостью 2 см
3, резаком, шкалой для определения длины зоны адсорбции воды и резиновым шлангом (или синтетическим) длиной 10 мм и внутренним диаметром 5 - 6 мм.
3. Подготовка к анализу
Наносят риски: одну - на узкой части индикаторной трубки, вторую - на другом конце индикаторной трубки на расстоянии не более 5 мм от поверхности адсорбента. Отламывают концы индикаторной трубки, надевают шланг на более широкий конец и устанавливают индикаторную трубку в вертикальном положении.
4. Проведение анализа
Отбирают пипеткой 2 см3 этилцеллозольва и соединяют ее с помощью шланга с индикаторной трубкой. Этилцеллозольв самотеком проходит через слой индикаторного адсорбента. Измеряют длину оранжевой зоны адсорбции воды, когда длина ее будет не менее 5 мм, либо после прохождения всего объема этилцеллозольва.
5. Обработка результатов
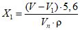
Массовую долю воды (X) в процентах вычисляют по формуле

,
где a - калибровочный коэффициент (указан в паспорте на индикаторную трубку), г/мм;
Лв - длина оранжевой зоны адсорбции воды, мм;
V - объем этилцеллозольва, прошедший через слой адсорбента в момент измерения длины оранжевой зоны (измеряют по пипетке), см3;

- плотность этилцеллозольва, определяемая по
п. 3.5, г/см
3.
За результат анализа принимают среднее арифметическое результатов двух параллельных определений, абсолютное расхождение между которыми не превышает допускаемое расхождение, равное 0,025% для продукта высшего сорта и 0,055% для продукта первого сорта при доверительной вероятности P = 0,95.
ПРИЛОЖЕНИЕ. (Введено дополнительно, Изм. N 1).