Главная // Актуальные документы // ГОСТ (Государственный стандарт)СПРАВКА
Источник публикации
М.: ИПК Издательство стандартов, 1998
Примечание к документу
С 1 июля 2003 года до вступления в силу технических регламентов акты федеральных органов исполнительной власти в сфере технического регулирования носят рекомендательный характер и подлежат обязательному исполнению только в части, соответствующей целям, указанным в
пункте 1 статьи 46 Федерального закона от 27.12.2002 N 184-ФЗ.
Документ
введен в действие с 1 января 1977 года.
Взамен ГОСТ 5728-51.
Название документа
"ГОСТ 5728-76*. Государственный стандарт Союза ССР. Трикрезилфосфат технический. Технические условия"
(введен Постановлением Госстандарта СССР от 20.01.1976 N 144)
(ред. от 01.06.1990)
"ГОСТ 5728-76*. Государственный стандарт Союза ССР. Трикрезилфосфат технический. Технические условия"
(введен Постановлением Госстандарта СССР от 20.01.1976 N 144)
(ред. от 01.06.1990)
Введен
Постановлением Государственного
комитета стандартов
Совета Министров СССР
от 20 января 1976 г. N 144
ГОСУДАРСТВЕННЫЙ СТАНДАРТ СОЮЗА ССР
ТРИКРЕЗИЛФОСФАТ ТЕХНИЧЕСКИЙ
ТЕХНИЧЕСКИЕ УСЛОВИЯ
Three-cresyl phosphate for industrial use. Specifications
ГОСТ 5728-76*
| | Список изменяющих документов (в ред. Изменения N 1, утв. в октябре 1978 г., Изменения N 2, утв. в июне 1983 г., Изменения N 3, утв. в июне 1985 г., Изменения N 4, утв. в июне 1990 г.) | |
ОКП 24 9332
Взамен
ГОСТ 5728-51
Постановлением Государственного комитета стандартов Совета Министров СССР от 20.01.76 N 144 дата введения установлена
с 1 января 1977 года
Ограничение срока действия снято по протоколу N 5-94 Межгосударственного Совета по стандартизации, метрологии и сертификации (ИУС 11-12-94).
Переиздание (июнь 1998 г.) с Изменениями N 1, 2, 3, 4, утвержденными в октябре 1978 г., июне 1983 г., июне 1985 г., июне 1990 г. (ИУС 10-78, 9-83, 10-85, 10-90).
Настоящий стандарт распространяется на технический трикрезилфосфат, представляющий собой сложный эфир ортофосфорной кислоты и трикрезола или дикрезола.
Технический трикрезилфосфат применяется в качестве пластификатора при получении кабельного пластиката, липкой ленты, нитроленолеума, в производстве лаков и красок.
1. ТЕХНИЧЕСКИЕ ТРЕБОВАНИЯ
1.1. Технический трикрезилфосфат должен изготавливаться в соответствии с требованиями настоящего стандарта по технологическому регламенту, утвержденному в установленном порядке.
1.2. Технический трикрезилфосфат должен соответствовать нормам, указанным в таблице.
Наименование показателя | Норма | Метод испытания |
1. Внешний вид | Прозрачная однородная маслянистая жидкость без видимых механических примесей | |
2. Цветность по платиново-кобальтовой шкале, ед. Хазена, не более: | | По ГОСТ 18522-93 и п. 3.4 настоящего стандарта |
высший сорт | 100 |
первый сорт | 350 |
| | ИС МЕГАНОРМ: примечание. ГОСТ 18329-73 утратил силу с 1 марта 2016 года в связи с введением в действие ГОСТ 18329-2014 (Приказ Росстандарта от 15.06.2015 N 664-ст). | |
|
3. Плотность, г/см3 | 1,174 - 1,195 | По ГОСТ 18329-73 и п. 3.5 настоящего стандарта |
4. Кислотное число, мг KOH/г, не более | 0,08 | |
5. Массовая доля летучих веществ, %, не более | 0,1 | |
6. Температура вспышки, °C, не менее | 228 | |
7. Массовая доля золы, %, не более | 0,1 | |
8. Массовая доля свободного трикрезола, %, не более | 0,08 | |
9. Удельное объемное электрическое сопротивление, Ом · см, не менее | | |
Примечания:
1. Удельное объемное электрическое сопротивление определяют только для трикрезилфосфата, предназначенного для кабельного пластиката.
2. Норма цветности по платиново-кобальтовой шкале для трикрезилфосфата 1-го сорта с 1 января 1988 г. должна быть не более 250 ед. Хазена.
Код по Общесоюзному классификатору промышленной и сельскохозяйственной продукции трикрезилфосфата высшего сорта - ОКП 24 9332 0101, первого сорта - ОКП 24 9332 0102.
(Измененная редакция, Изм. N 1, 2, 3, 4).
1.3. Пример условного обозначения трикрезилфосфата технического:
Трикрезилфосфат технический ГОСТ 5728-76
(Введен дополнительно, Изм. N 2).
2.1. Технический трикрезилфосфат должен предъявляться к приемке партиями. За партию принимают количество однородного по качеству трикрезилфосфата, сопровождаемое одним документом о качестве.
Документ о качестве должен содержать:
- наименование предприятия-изготовителя и его товарный знак;
- наименование продукта;
- массу нетто;
- количество упаковочных единиц;
- дату изготовления;
- номер партии;
- результаты проведенных испытаний или подтверждение о соответствии требованиям настоящего стандарта;
- обозначение настоящего стандарта.
При отгрузке технического трикрезилфосфата в железнодорожных цистернах каждую цистерну считают партией. Масса партии должна быть не более 60 т.
(Измененная редакция, Изм. N 2).
2.2. Для проверки качества технического трикрезилфосфата пробу отбирают из каждой цистерны.
Для проверки технического трикрезилфосфата в бочках отбирают 10% бочек партии, но не менее чем три.
2.3. При получении неудовлетворительных результатов испытаний хотя бы по одному показателю по нему должны проводиться повторные испытания удвоенного количества проб, взятых из 20% бочек партии или из одной цистерны. Результаты повторных испытаний распространяют на всю партию.
3.1. Точечную пробу из цистерны отбирают пробоотборником равными частями сверху, из середины и снизу цистерны. Из бочек пробу отбирают чистой стеклянной трубкой диаметром 10 - 12 мм, погружая ее до дна бочки (трубку опускают в жидкость при открытом верхнем конце).
(Измененная редакция, Изм. N 2).
3.2. Отобранные точечные пробы соединяют вместе, тщательно перемешивают и не менее 0,5 дм3 объединенной пробы помещают в чистую сухую банку с герметично закрывающейся крышкой. На банку наклеивают этикетку с обозначением наименования продукта, номера партии и даты отбора проб.
(Измененная редакция, Изм. N 2, 3).
3.3. Внешний вид трикрезилфосфата определяют визуальным просмотром испытуемой пробы в пробирке типа П 1 25-200ХУ-1
(ГОСТ 25336-82) в проходящем свете при (20 +/- 2) °C.
3.4. Цветность по платиново-кобальтовой шкале определяют по ГОСТ 18522-93. При фотометрическом методе определения испытуемую пробу наливают в стеклянную кювету слоем толщиной 50 мм и измеряют оптическую плотность относительно дистиллированной воды при длине волны 460 нм. Срок годности градуировочного графика 6 мес.
(Измененная редакция, Изм. N 2).
| | ИС МЕГАНОРМ: примечание. ГОСТ 18329-73 утратил силу с 1 марта 2016 года в связи с введением в действие ГОСТ 18329-2014 (Приказ Росстандарта от 15.06.2015 N 664-ст). | |
3.5. Плотность определяют денсиметром по ГОСТ 18329-73.
3.6. Определение кислотного числа
Сущность определения заключается в титровании спиртового раствора испытуемого продукта раствором гидроксида калия в присутствии индикатора фенолового красного.
(Измененная редакция, Изм. N 2).
3.6.1. Применяемые реактивы и посуда
Спирт этиловый ректификованный технический по
ГОСТ 10300-80, сорт высший или первый.
Натрия гидроксид по
ГОСТ 4328-77, х.ч. или ч.д.а., 0,1 н. раствор.
Калия гидроксид по
ГОСТ 24363-80, х.ч. или ч.д.а., 0,1 н. раствор.
Феноловый красный по ГОСТ 4599-73, раствор в этиловом спирте 0,2 г/дм3. Готовят следующим образом: в 2,85 см3 0,05 н. раствора гидроксида натрия и 5 см3 95% (по объему) этилового спирта помещают 50 мг фенолового красного, нагревают до растворения и разбавляют 20%-ным (по объему) этиловым спиртом до 250 см3.
Бюретка 1-2-10-0,05.
Весы лабораторные общего назначения по ГОСТ 24104-88, 2-го класса точности с наибольшим пределом взвешивания 200 г или любые другие с соответствующими метрологическими характеристиками.
(Измененная редакция, Изм. N 2, 3, 4).
3.6.2. Проведение испытания
100 г трикрезилфосфата взвешивают в конической колбе, приливают 50 см3 этилового спирта, предварительно нейтрализованного 0,1 н. раствором гидроксида калия по феноловому красному. Полученный раствор титруют из бюретки 0,1 н. раствором гидроксида калия в присутствии 0,5 см3 раствора фенолового красного до изменения цвета.
(Измененная редакция, Изм. N 2).
3.6.3. Обработка результатов
Кислотное число (X) в мг KOH/г вычисляют по формуле
где V - объем 0,1 н. раствора гидроксида натрия, израсходованный на титрование пробы, см3;
5,61 - эквивалентная масса гидроксида калия;
m - масса пробы, взятая для анализа, г.
За результат анализа принимают среднее арифметическое результатов двух параллельных определений, расхождение между которыми не превышает 0,003 мг KOH/г вещества.
Результат анализа округляют до второго десятичного знака.
Допускаемая относительная суммарная погрешность результата анализа составляет +/- 4% при доверительной вероятности 0,95.
(Измененная редакция, Изм. N 2, 3, 4).
3.7. Определение массовой доли летучих веществ
3.7.1. Определение массовой доли летучих веществ основано на потере массы трикрезилфосфата при нагревании его в течение 2 ч при 140 °C.
3.7.2. Аппаратура, посуда и реактивы
Термошкаф с терморегулятором или любой другой сушильный шкаф, обеспечивающий нагрев до (140 +/- 5) °C.
Термометр с диапазоном измерения 0 - 200 °C по
ГОСТ 28498-90 или термометр, обеспечивающий измерение температуры в заданном интервале с погрешностью +/- 1 °C.
Весы лабораторные общего назначения по ГОСТ 24104-88, 2-го класса точности с наибольшим пределом взвешивания 200 г или другие с соответствующими метрологическими характеристиками.
Кальций хлористый прокаленный.
Секундомер.
3.7.3. Проведение анализа
(10,000 +/- 1,000) г трикрезилфосфата взвешивают в стаканчике и ставят на асбестовый картон в термошкаф, сняв крышку. Навеску выдерживают в термошкафу при температуре (140 +/- 5) °C в течение 2 ч. Термометр устанавливают в термошкаф так, чтобы ртутный шарик касался асбестового картона. Затем стаканчик вынимают и, закрыв крышкой, помещают в эксикатор с прокаленным хлористым кальцием и охлаждают не менее 30 мин. Охлажденный стаканчик взвешивают.
3.7.4. Обработка результатов
Массовую долю летучих веществ

в процентах вычисляют по формуле
где

- масса стаканчика с пробой трикрезилфосфата до прогрева, г;

- масса стаканчика с пробой трикрезилфосфата после прогрева, г;

- масса пробы трикрезилфосфата, г.
За результат анализа принимают среднее арифметическое результатов двух определений, абсолютное допускаемое расхождение между которыми не превышает 0,005%.
Результат округляют до второго десятичного знака.
Допускаемая относительная суммарная погрешность результата анализа +/-5% при доверительной вероятности 0,95.
3.8. Определение массовой доли золы
3.8.1. Аппаратура, посуда и реактивы
Тигель из прозрачного кварцевого стекла по
ГОСТ 19908-90 типа ТК ПВ вместимостью от 20 до 40 см3.
Весы лабораторные общего назначения по ГОСТ 24104-88, 2-го класса точности с наибольшим пределом взвешивания 200 г или другие с соответствующими метрологическими характеристиками.
Электрическая плитка с закрытым обогревом.
Кальций хлористый прокаленный.
Печь муфельная типа СНОЛ.
3.8.2. Проведение анализа
(10,000 +/- 1,000) г трикрезилфосфата взвешивают в кварцевом тигле и осторожно упаривают на песочной бане или на электрической плитке, покрытой асбестовым картоном. После прекращения выделения паров трикрезилфосфата тигель ставят в муфель, предварительно нагретый до 800 - 900 °C. Содержимое тигля доводят до полного озоления. В случае неполного сгорания в предварительно охлажденный тигель добавляют небольшое количество кристаллов азотнокислого аммония и вновь прокаливают.
Прокаливание продолжают до постоянной массы. Выпаривание и озоление ведут в вытяжном шкафу.
3.8.3. Обработка результатов
Массовую долю золы

в процентах вычисляют по формуле
где

- масса тигля с золой после прокаливания, г;

- масса пустого тигля после прокаливания, г;
m - масса пробы трикрезилфосфата, г.
За результат анализа принимают среднее арифметическое результатов двух определений, абсолютное допускаемое расхождение между которыми не превышает 0,007%.
Допускаемая относительная суммарная погрешность результата анализа +/- 6% при доверительной вероятности 0,95.
3.9. Определение массовой доли свободного трикрезола бромид-броматным методом
3.9.1. Приборы, посуда, реактивы и растворы
Весы лабораторные общего назначения по ГОСТ 24104-88, 2-го класса точности с наибольшим пределом взвешивания 200 г или другие с соответствующими метрологическими характеристиками.
Натрия гидроксид по
ГОСТ 4328-77, раствор с массовой долей 2,5%.
Натрий серноватистокислый (тиосульфат натрия).
Калий йодистый по
ГОСТ 4232-74, раствор с массовой долей 10%.
Крахмал растворимый по
ГОСТ 10163-76, раствор с массовой долей 1%.
3.9.2. Подготовка к анализу
Бромид-броматный раствор готовят следующим образом: около 2,78 г бромноватокислого калия и 10 г бромистого калия растворяют в мерной колбе вместимостью 1000 см3 в дистиллированной воде. Раствор доводят до метки и тщательно перемешивают.
3.9.3. Проведение анализа
Около 20,000 г трикрезилфосфата взвешивают в конической колбе и приливают 50 см3 раствора с массовой долей 2,5% гидроокиси натрия при (65 +/- 1) °C и умеренно перемешивают в течение 3 мин.
Затем содержимое колбы охлаждают до 20 °C, количественно переносят в мерную колбу вместимостью 250 см3 и доводят объем дистиллированной водой до метки. 100 см3 полученного раствора пипеткой переносят в коническую колбу, прибавляют 25 см3 бромидброматного раствора, 5 см3 соляной кислоты, встряхивают и оставляют в покое на 15 мин. После этого прибавляют 10 см3 раствора йодистого калия, колбу ставят на выдержку в темное место на 5 мин и оттитровывают выделившийся йод раствором серноватистокислого натрия.
Одновременно в тех же условиях с теми же реактивами, но без пробы трикрезилфосфата проводят контрольный опыт.
3.9.4. Обработка результатов
Массовую долю свободного трикрезола

в процентах вычисляют по формуле
где

- объем раствора серноватистокислого натрия концентрации 0,1 моль/дм3 (0,1 н.), израсходованный в контрольном опыте, см3;

- объем раствора серноватистокислого натрия концентрации 0,1 моль/дм3 (0,1 н.), израсходованный на титрование пробы трикрезилфосфата, см3;
0,00181 - масса трикрезола, соответствующая 1 см3 раствора серноватистокислого натрия концентрации точно 1 моль/дм3 (0,1 н.), г;

- плотность трикрезилфосфата, г/см3;
m - масса пробы трикрезилфосфата, г.
За результат анализа принимают среднее арифметическое результатов двух определений, абсолютное допускаемое расхождение между которыми не превышает 0,005%.
Допускаемая относительная суммарная погрешность результата анализа +/- 10% при доверительной вероятности 0,95.
3.7 - 3.9.4. (Измененная редакция, Изм. N 4).
3.10. Определение массовой доли свободного трикрезола методом УФ-спектроскопии
3.10.1. Применяемые приборы, посуда и реактивы
Спектрофотометр СФ-26 или другого аналогичного типа.
Пипетки 6-1-10, 7-1-10.
Натрия гидроксид (натр едкий) по
ГОСТ 4328-77, 0,5%-ный раствор, предварительно отфильтрованный.
п-крезол реактивный.
Стандартный раствор, содержащий 0,1 мг п-крезола в 1 см3 четыреххлористого углерода. Готовят следующим образом: растворяют примерно 0,0500 п-крезола в 25 см3 четыреххлористого углерода в мерной колбе. Рассчитывают содержание п-крезола в 1 см3 раствора. Соответствующим разбавлением полученного раствора четыреххлористым углеродом в мерной колбе готовят рабочий стандартный раствор, содержащий 0,1 мг п-крезола в 1 см3 раствора.
3.10.2. Проведение испытания
Пробу трикрезилфосфата от 0,5 до 2 г (в зависимости от содержания трикрезола), взвешенную с погрешностью не более 0,0005 г, помещают в делительную воронку и растворяют в 10 см3 четыреххлористого углерода.
Добавляют 10 см3 0,5%-ного раствора гидроксида натрия и экстрагируют 2 мин круговыми движениями. После расслаивания нижний (органический) слой сливают в другую делительную воронку для повторной экстракции, верхний (водно-щелочной) слой сливают в мерную колбу вместимостью 25 см3.
После повторной экстракции органический слой отбрасывают, а водно-щелочной слой переливают в ту же мерную колбу, соединяя оба слоя вместе. Доливают до метки 0,5%-ным раствором гидроксида натрия и перемешивают. Затем раствор фильтруют через плотный фильтр "синяя лента", отбрасывая первые 2 - 3 см3 фильтрата. Остальную часть фильтрата помещают в кювету спектрофотометра слоем толщиной 1 см. Определяют оптическую плотность раствора относительно 0,5%-ного раствора гидроксида натрия при длине волны 293 нм.
3.10 - 3.10.2. (Измененная редакция, Изм. N 2).
3.10.3. Построение градуировочного графика
Для построения градуировочного графика готовят стандартные растворы в четыреххлористом углероде из исходного стандартного раствора, содержащего 0,1 мг/см3 п-крезола в 1 см3 раствора.
В делительные воронки наливают пипеткой поочередно 1, 2, 3, 4, 5, 6, 7, 8 см3 стандартного раствора, соответствующие 0,1; 0,2; 0,3; 0,4; 0,5; 0,6; 0,7; 0,8 мг п-крезола. Добавляют четыреххлористый углерод до 10 см3 и далее поступают, как указано в
п. 3.10.2, последовательно определяя оптическую плотность каждого из полученных водно-щелочных экстрактов.
Градуировочный график строят, откладывая по оси абсцисс значения концентраций от 0,1 до 0,8 мг (с интервалом 0,1 мг) в 25 см3 щелочного экстракта, а по оси ординат - соответствующие им значения оптических плотностей.
Допускаемая относительная суммарная погрешность градуировочного графика не должна превышать допускаемой погрешности, равной +/- 5%.
(Измененная редакция, Изм. N 2, 4).
3.10.4. Обработка результатов
Массовую долю свободного трикрезола

в процентах вычисляют:
а) пользуясь градуировочным графиком, по формуле
где

- масса п-крезола, найденная по графику, мг;
m - масса пробы трикрезилфосфата, г;
б) пользуясь величиной

по формуле
где A - оптическая плотность анализируемого щелочного экстракта при 293 нм;
M - молекулярная масса определяемого крезола, равная 108;
m - масса пробы трикрезилфосфата, г;

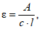
- молярный коэффициент поглощения п-крезола, равный 2260 при длине волны 293 нм.
Величину

, для каждого лабораторного прибора вычисляют по формуле
где A - оптическая плотность стандартных растворов п-крезола по градуировочному графику;
c - концентрация стандартных растворов, найденная по градуировочному графику, моль/дм3;
l - толщина слоя раствора, см.
За результат испытания принимают среднее арифметическое двух параллельных определений, допускаемое расхождение между которыми не должно превышать 10% относительно среднего значения.
Допускаемая относительная суммарная погрешность не должна превышать +/- 10% при доверительной вероятности 0,95.
(Измененная редакция, Изм. N 2, 3, 4).
3.10.5. При возникновении разногласий в оценке массовой доли свободного трикрезола определение проводят методом УФ-спектроскопии.
(Измененная редакция, Изм. N 2).
4. УПАКОВКА, МАРКИРОВКА, ТРАНСПОРТИРОВАНИЕ И ХРАНЕНИЕ
| | ИС МЕГАНОРМ: примечание. ГОСТ 10674-82 утратил силу на территории Российской Федерации с 1 июля 2001 года в связи с введением в действие ГОСТ Р 51659-2000 (Постановление Госстандарта России от 31.10.2000 N 282-ст). | |
4.1. Трикрезилфосфат загружают в цистерны по ГОСТ 10674-82 в стальные бочки типа I по
ГОСТ 13950-91 вместимостью 100 - 200 дм3.
Степень (уровня) заполнения цистерн (бочек) следует рассчитывать с учетом полного использования вместимости (грузоподъемности) цистерн (бочек) и объемного расширения продукта при возможном перепаде температур в пути следования.
Допускаемое предельное отклонение по массе нетто в бочках не должно превышать +/- 2%.
4.2. На каждое грузовое место наносится транспортная маркировка по
ГОСТ 14192-96 с нанесением знака опасности по ГОСТ 19433-88 (класс 9, подкласс 9.1, классификационный шифр
9153).
Дополнительно наносят следующие данные:
- наименование предприятия-изготовителя и его товарный знак;
- наименование продукта;
- номер партии;
- массу нетто и брутто;
- дату изготовления;
- обозначения настоящего стандарта.
4.1 - 4.2. (Измененная редакция, Изм. N 3, 4).
4.3. (Исключен, Изм. N 2).
4.4. Технический трикрезилфосфат перевозят любым видом транспорта в крытых транспортных средствах и в цистернах в соответствии с правилами перевозки грузов, действующими на транспорте данного вида. При транспортировании по железной дороге трикрезилфосфат перевозят в бочках (мелкими отправками и повагонно). Бочки вместимостью 0,2 м3 пакетированию не подлежат.
Трикрезилфосфат, упакованный в бочки, транспортируют пакетами.
(Измененная редакция, Изм. N 2, 3).
4.5. Технический трикрезилфосфат должен храниться в упакованном виде в крытом складском помещении.
5.1. Изготовитель должен гарантировать соответствие технического трикрезилфосфата требованиям настоящего стандарта при соблюдении потребителем условий хранения.
(Измененная редакция, Изм. N 3).
5.2. Гарантийный срок хранения - шесть месяцев со дня изготовления и год - при изменении цвета не более чем до 500 ед. Хазена.
По истечении гарантийного срока хранения трикрезилфосфат перед применением должен быть проверен на соответствие требованиям настоящего стандарта.
(Измененная редакция, Изм. N 2).
6. ТРЕБОВАНИЯ БЕЗОПАСНОСТИ
6.1. Технический трикрезилфосфат представляет собой маслянистую, нелетучую, трудновоспламеняющуюся, невзрывоопасную жидкость.
Температура кипения технического трикрезилфосфата (280 - 290) °C при 666,4 Па (5 мм рт. ст.); температура вспышки 228 °C; температура воспламенения 249 °C, температура самовоспламенения 369 °C.
При загорании трикрезилфосфата тушить тонкораспыленной водой, пеной.
Трикрезилфосфат по воздействию на организм человека согласно классификации
ГОСТ 12.1.007-76 относится к 2 классу опасности (высокоопасные вещества).
(Измененная редакция, Изм. N 2).
6.2. Предельно допустимая концентрация трикрезилфосфата 0,1 мг/м3.
6.3. При переработке трикрезилфосфата наиболее высокая температура 160 °C; при этом не происходит разложения трикрезилфосфата.
При температуре 250 °C возможно незначительное разложение продукта с выделением паров фенола и паров изомеров крезола.
Предельно допустимая концентрация паров фенола и крезола в воздухе производственных помещений составляет 0,3 и 0,5 мг/м3 соответственно.
(Измененная редакция, Изм. N 2).
6.4. При работе с трикрезилфосфатом емкости с нагретым трикрезилфосфатом, аппаратуру и коммуникации необходимо держать закрытыми во избежание попадания паров в помещение.
Производственные помещения должны быть оборудованы приточно-вытяжной вентиляцией, а места возможного выделения трикрезилфосфата должны быть оборудованы местными отсосами.
6.5. Для защиты от статического электричества в производстве трикрезилфосфата необходимо ограничить скорость движения трикрезилфосфата до 5 м/с.
6.6. При работе с трикрезилфосфатом необходимо использовать индивидуальные средства защиты, предохраняющие от вдыхания паров трикрезилфосфата, попадания вещества на кожные покровы и слизистые оболочки (респираторы, защитные очки, резиновые перчатки, нарукавники, спецодежду из плотной ткани).
При попадании трикрезилфосфата на кожу или одежду необходимо сменить одежду и обмыть пораженные места теплой водой с мылом.
6.7. Производство должно быть обеспечено техническими средствами контроля состояния воздушной среды.