Главная // Актуальные документы // ГОСТ (Государственный стандарт)СПРАВКА
Источник публикации
М.: Стандартинформ, 2018
Примечание к документу
Документ
введен в действие с 1 июня 2019 года.
Название документа
"ГОСТ 34444-2018. Межгосударственный стандарт. Наноматериалы. Магний гидроксид наноструктурированный. Технические требования и методы измерений (анализа)"
(введен в действие Приказом Росстандарта от 13.12.2018 N 1099-ст)
"ГОСТ 34444-2018. Межгосударственный стандарт. Наноматериалы. Магний гидроксид наноструктурированный. Технические требования и методы измерений (анализа)"
(введен в действие Приказом Росстандарта от 13.12.2018 N 1099-ст)
Введен в действие
по техническому регулированию
и метрологии
от 13 декабря 2018 г. N 1099-ст
МЕЖГОСУДАРСТВЕННЫЙ СТАНДАРТ
НАНОМАТЕРИАЛЫ
МАГНИЙ ГИДРОКСИД НАНОСТРУКТУРИРОВАННЫЙ
ТЕХНИЧЕСКИЕ ТРЕБОВАНИЯ И МЕТОДЫ ИЗМЕРЕНИЙ (АНАЛИЗА)
Nanomaterials. Nanostructured hydroxide magnesium. Technical
requirements and test (analysis) methods
ГОСТ 34444-2018
Дата введения
1 июня 2019 года
Цели, основные принципы и основной порядок проведения работ по межгосударственной стандартизации установлены в
ГОСТ 1.0-2015 "Межгосударственная система стандартизации. Основные положения" и
ГОСТ 1.2-2015 "Межгосударственная система стандартизации. Стандарты межгосударственные, правила и рекомендации по межгосударственной стандартизации. Правила разработки, принятия, обновления и отмены"
1 РАЗРАБОТАН Обществом с ограниченной ответственностью "Экспертная организация "Инженерная безопасность" (ООО ЭО "Инженерная безопасность")
2 ВНЕСЕН Межгосударственным техническим комитетом по стандартизации МТК 441 "Нанотехнологии"
3 ПРИНЯТ Межгосударственным советом по стандартизации, метрологии и сертификации (протокол от 27 июля 2018 г. N 110-П)
За принятие проголосовали:
Краткое наименование страны по МК (ИСО 3166) 004-97 | Код страны по МК (ИСО 3166) 004-97 | Сокращенное наименование национального органа по стандартизации |
Беларусь | BY | Госстандарт Республики Беларусь |
Казахстан | KZ | Госстандарт Республики Казахстан |
Киргизия | KG | Кыргызстандарт |
Россия | RU | Росстандарт |
Узбекистан | UZ | Узстандарт |
Украина | UA | Минэкономразвития Украины |
4
Приказом Федерального агентства по техническому регулированию и метрологии от 13 декабря 2018 г. N 1099-ст межгосударственный стандарт ГОСТ 34444-2018 введен в действие в качестве национального стандарта Российской Федерации с 1 июня 2019 г.
5 ВВЕДЕН ВПЕРВЫЕ
6 Федеральное агентство по техническому регулированию и метрологии не несет ответственности за патентную чистоту настоящего стандарта. Патентообладатель может заявить о своих правах и направить в Федеральное агентство по техническому регулированию и метрологии аргументированное предложение о внесении в настоящий стандарт поправки для указания информации о наличии в стандарте объектов патентного права и патентообладателе
Информация об изменениях к настоящему стандарту публикуется в ежегодном информационном указателе "Национальные стандарты", а текст изменений и поправок - в ежемесячном информационном указателе "Национальные стандарты". В случае пересмотра (замены) или отмены настоящего стандарта соответствующее уведомление будет опубликовано в ежемесячном информационном указателе "Национальные стандарты". Соответствующая информация, уведомление и тексты размещаются также в информационной системе общего пользования - на официальном сайте Федерального агентства по техническому регулированию и метрологии в сети Интернет (www.gost.ru)
Настоящий стандарт распространяется на магний гидроксид наноструктурированный (далее - магний гидроксид), применяемый в качестве:
- высокоэффективного нетоксичного неорганического антипирена для производства различных типов пластиков;
- наполненных сополимерных композиций;
- мягкого нейтрализующего реагента для очистки сточных вод;
- исходного сырья в химическом производстве, а также фармацевтической и пищевой отраслях;
- нейтрализующего реагента для очистки от серосодержащих соединений газовых выбросов тепловых энергоустановок, работающих на жидком и твердом топливе;
- основного компонента присадок к жидкому топливу котельных и теплоэлектростанций, снижающих его удельный расход и выбросы вредных веществ в окружающую среду, а также в производстве бумаги и картона.
В настоящем стандарте использованы нормативные ссылки на следующие стандарты:
ГОСТ 8.579-2002 Государственная система обеспечения единства измерений. Требования к количеству фасованных товаров в упаковках любого вида при их производстве, расфасовке, продаже и импорте
ГОСТ 12.1.007-76 Система стандартов безопасности труда. Вредные вещества. Классификация и общие требования безопасности
ГОСТ 12.1.044-89 Система стандартов безопасности труда. Пожаровзрывоопасность веществ и материалов. Номенклатура показателей и методы их определения
ГОСТ 12.4.011-89 Система стандартов безопасности труда. Средства защиты работающих. Общие требования и классификация
ГОСТ 427-75 Линейки измерительные металлические. Технические условия
ГОСТ 1277-75 Реактивы. Серебро азотнокислое. Технические условия
ГОСТ 1770-74 Посуда мерная лабораторная стеклянная. Цилиндры, мензурки, колбы, пробирки. Общие технические условия
ГОСТ 3773-72 Реактивы. Аммоний хлористый. Технические условия
ГОСТ 4108-72 Реактивы. Барий хлорид 2-водный. Технические условия
ГОСТ 4166-76 Реактивы. Натрий сернокислый. Технические условия
ГОСТ 4212-2016 Реактивы. Методы приготовления растворов для колориметрического и нефелометрического анализа.
ГОСТ 4233-77 Реактивы. Натрий хлористый. Технические условия
--------------------------------
<*> В Российской Федерации действуют ТУ 6-09-01-245-84 "Магний оксид (окись магния) MgO, квалификация ч.д.а. для спектрального анализа".
ГОСТ 4530-76 Реактивы. Кальций углекислый. Технические условия
ГОСТ 5632-2014 Легированные нержавеющие стали и сплавы коррозионностойкие, жаростойкие и жаропрочные. Марки
ГОСТ 6613-86 Сетки проволочные тканые с квадратными ячейками. Технические условия
ГОСТ 9147-80 Посуда и оборудование лабораторные фарфоровые. Технические условия
ГОСТ 9293-74 Азот газообразный и жидкий. Технические условия
ГОСТ 10398-2016 Реактивы и особо чистые вещества. Комплексонометрический метод определения содержания основного вещества
ГОСТ 10652-73 Реактивы. Соль динатриевая этилендиамин-N,N,N',N'-тетрауксусной кислоты 2-водная (трилон Б). Технические условия
ГОСТ 11125-84 Кислота азотная особой чистоты. Технические условия
ГОСТ 15846-2002 Продукция, отправляемая в районы Крайнего Севера и приравненные к ним местности. Упаковка, маркировка, транспортирование и хранение
ГОСТ 17433-80 Промышленная чистота. Сжатый воздух. Классы загрязненности
ГОСТ 20478-75 Реактивы. Аммоний надсернокислый. Технические условия
ГОСТ 21119.1-75 Общие методы испытаний пигментов и наполнителей. Определение массовой доли воды и летучих веществ
ГОСТ 24597-81 Пакеты тарно-штучных грузов. Основные параметры и размеры
ГОСТ 25336-82 Посуда и оборудование лабораторные стеклянные. Типы, основные параметры и размеры
ГОСТ 26663-85 Пакеты транспортные. Формирование с применением средств пакетирования. Общие технические требования
ГОСТ 28498-90 Термометры жидкостные стеклянные. Общие технические требования. Методы испытаний
ГОСТ 29169-91 Посуда лабораторная стеклянная. Пипетки с одной отметкой
ГОСТ 29227-91 Посуда лабораторная стеклянная. Пипетки градуированные. Часть 1. Общие требования
ГОСТ 29251-91 Посуда лабораторная стеклянная. Бюретки. Часть 1. Общие требования
ГОСТ 31340-2013 Предупредительная маркировка химической продукции. Общие требования
ГОСТ ISO 3696-2013
<**> Вода для лабораторного анализа. Технические требования и методы контроля
--------------------------------
<**> В Российской Федерации действует
ГОСТ Р 52501-2005 (ИСО 3696:1987) "Вода для лабораторного анализа. Технические условия".
ГОСТ OIML R 76-1-2011 Государственная система обеспечения единства измерений. Весы неавтоматического действия. Часть 1. Метрологические и технические требования. Испытания
ГОСТ OIML R 111-1-2009 Государственная система обеспечения единства измерений. Гири классов E
1, E
2, F
1, F
2, M
1, M
1-2, M
2, M
2-3 и M
3. Часть 1. Метрологические и технические требования
Примечание - При пользовании настоящим стандартом целесообразно проверить действие ссылочных стандартов в информационной системе общего пользования - на официальном сайте Федерального агентства по техническому регулированию и метрологии в сети Интернет или по ежегодному информационному указателю "Национальные стандарты", который опубликован по состоянию на 1 января текущего года, и по выпускам ежемесячного информационного указателя "Национальные стандарты" за текущий год. Если заменен ссылочный стандарт, на который дана недатированная ссылка, то рекомендуется использовать действующую версию этого стандарта с учетом всех внесенных в данную версию изменений. Если заменен ссылочный стандарт, на который дана датированная ссылка, то рекомендуется использовать версию этого стандарта с указанным выше годом утверждения (принятия). Если после утверждения настоящего стандарта в ссылочный стандарт, на который дана датированная ссылка, внесено изменение, затрагивающее положение, на которое дана ссылка, то это положение рекомендуется применять без учета данного изменения. Если ссылочный стандарт отменен без замены, то положение, в котором дана ссылка на него, рекомендуется применять в части, не затрагивающей эту ссылку.
3.1 Магний гидроксид изготавливают в соответствии с требованиями настоящего стандарта по технологическому регламенту, утвержденному в установленном порядке.
3.2 Магний гидроксид изготавливают в виде немодифицированного порошка белого цвета следующих марок: А; А3; А5; А7; А10. Состав марок приведен в
таблице 1.
Наименование показателя | Норма для марки |
А | А3 | А5 | А7 | А10 |
Массовая доля магния гидроксида, %, не менее | 99 |
Массовая доля железа, %, не более | 0,01 | 0,005 |
Массовая доля кальция, %, не более | 0,1 | 0,01 | 0,15 |
Массовая доля алюминия, %, не более | 0,03 | - |
Массовая доля бора, %, не более | 0,02 |
Массовая доля кремния, %, не более | 0,025 |
Массовая доля натрия, %, не более | - | 0,02 | - |
Массовая доля хлоридов, %, не более | 0,10 | 0,02 |
Массовая доля сульфатов, %, не более | 0,10 | 0,01 | 0,02 | 0,06 |
Удельная поверхность, м2/г | - | 3,0 - 4,0 | 4,0 - 6,0 | 6 - 9 | 9 - 11 |
Гранулометрический состав, мкм, не более: | | | | | |
- диаметр 10% частиц d10 | - | 1,3 | 1,1 |
- диаметр 50% частиц d50 | 2 | 1,8 | 1,7 |
- диаметр 90% частиц d90 | - | 4,4 | 4,1 |
Массовая доля летучих веществ при температуре 105 °C, %, не более | - | 0,3 |
Насыпная плотность, г/см3, не менее | 0,3 |
Массовая доля остатка при просеве на сите с сеткой 45 мкм, %, не более | - | 0,1 |
4 Требования безопасности и охраны окружающей среды
4.1 По степени воздействия на организм человека магний гидроксид относится к малоопасным веществам 4-го класса опасности по
ГОСТ 12.1.007.
В малых дозах магний гидроксид обычно не оказывает токсического воздействия, но в виде пыли может вызвать раздражение слизистых оболочек глаз и носа.
4.3 В случае разгерметизации транспортного пакета с магнием гидроксидом или россыпи порошка его собирают совком, а место россыпи промывают водой.
4.4 В качестве средств индивидуальной защиты при производстве магния гидроксида используют специальные средства индивидуальной защиты: костюм из хлопчатобумажной ткани, резиновые сапоги, резиновые перчатки, респираторы и защитные очки по
ГОСТ 12.4.011.
4.5 При попадании магния гидроксида в глаза их следует промыть водой.
4.6 По истечении гарантийного срока хранения магний гидроксид утилизируют в соответствии с НД государств
<*>, проголосовавших за принятие настоящего стандарта (далее - НД государств).
--------------------------------
<*> В Российской Федерации - в соответствии с
СанПиН 2.1.7-1322-03 "Гигиенические требования к размещению и обезвреживанию отходов производства и потребления", утвержденными Главным государственным санитарным врачом Российской Федерации 30 апреля 2003 г.
Общие указания по проведению измерений - по
ГОСТ 27025.
Погрешность измерений метода и ее составляющие указаны в
таблице 2.
Метрологическая характеристика | Значение для метода определения массовой доли, % |
магния гидроксида | железа | кальция | кальция, алюминия, бора, кремния | натрия | хлоридов | сульфатов |
Показатель повторяемости (абсолютное <*>/относительное значение среднеквадратического отклонения повторяемости)  | 0,15 | 8 | 10 | 10 | 5 | 10 | 14 |
Показатель воспроизводимости (абсолютное <*>/относительное значение среднеквадратического отклонения воспроизводимости)  | 0,20 | 15 | 18 | 18 | 9 | 17 | 23 |
Предел повторяемости (абсолютное <*>/относительное значение допускаемого расхождения между результатами двух параллельных определений) r | 0,4 | 23 | 26 | 26 | 14 | 27 | 38 |
Предел воспроизводимости (абсолютное <*>/относительное значение допускаемого расхождения между двумя результатами, полученными в разных лабораториях) R | 0,6 | 41 | 49 | 49 | 25 | 47 | 63 |
Критический диапазон (абсолютное <*>/относительное значение допускаемого расхождения между результатами четырех параллельных определений) CR0,95(4) | 0,5 | 30 | 34 | 34 | 18 | 35 | 49 |
Показатель точности (границы интервала, в котором находится абсолютная <*>/относительная погрешность измерений)  | 0,4 | - |
<*> Значение для метода определения массовой доли магния гидроксида. |
Результат измерений массовой доли веществ округляют до того числа значащих цифр, которому соответствует значение, приведенное в
таблице 1.
5.1.1 При проведении измерений используют следующие средства измерений:
- лабораторные весы по
ГОСТ OIML R 76-1 высокого и среднего класса точности с наибольшим пределом взвешивания 200 и 500 г соответственно;
- набор гирь по
ГОСТ OIML R 111-1 от 1 мг до 250 г класса E
2 при использовании с лабораторными весами высокого класса точности и от 1 мг до 500 г класса F
2 при использовании с лабораторными весами среднего класса точности;
- лабораторный термометр по
ГОСТ 28498 с диапазоном измерений от 0 °C до 100 °C и ценой деления 1 °C;
- аспирационный психрометр с диапазоном измерений относительной влажности воздуха от 10% до 100% при температуре от 10 °C до 30 °C;
- барометр-анероид с ценой деления 1 мм рт. ст.;
- цилиндры 1-10-2, 1-25-2, 1-50-2, 1-100-2, 1-250-2, 1-500-2, 1-1000-2 по
ГОСТ 1770;
- пипетки 1-1-2-1, 1-1-2-2, 1-1-2-5, 1-1-2-10, 1-1-2-25 по
ГОСТ 29227;
- пипетки 2-2-1, 2-2-5, 2-2-10, 2-2-20, 2-2-25 по
ГОСТ 29169;
- колбы 1-50-2, 1-100-2, 1-200-2, 2-200-2, 2-1000-2 по
ГОСТ 1770.
Вспомогательные устройства:
- колбы Кн-1-250-24/29 ТС, Кн-2-100-18 ТХС по
ГОСТ 25336;
- стаканы В-1-100 ТС, В-1-150 ТС, В-1-250 ТС, В-1-400 ТС, В-1-600 ТС по
ГОСТ 25336;
- воронки В-75-80 ХС, В-75-110 ХС, В-75-110 ТС по
ГОСТ 25336.
- электрическую плитку с закрытой спиралью;
- песочные часы на 1, 5, 10 и 20 мин.
Реактивы:
- хлористый натрий х.ч., ч.д.а. по
ГОСТ 4233;
--------------------------------
<*> В Российской Федерации - по ТУ 6-09-01-245-84 "Магний оксид (окись магния) MgO, квалификация ч.д.а. для спектрального анализа". Допускается применение магния оксида CAS N 1309-48-4 с массовой долей не менее 99,9%.
- азотнокислое серебро х.ч., ч.д.а. по
ГОСТ 1277, а также другие средства измерений, вспомогательные устройства и реактивы, приведенные в соответствующих методах измерений.
Примечание - Допускается применение других средств измерений с метрологическими характеристиками и оборудования с техническими характеристиками, не уступающими указанным и обеспечивающими нормируемую точность измерений.
5.1.2 Средства измерений должны быть поверены, а испытательное оборудование аттестовано в установленном порядке.
5.1.3 Приготовление растворов и подготовку проб к анализу проводят при следующих условиях:
- температура окружающей среды - (20 +/- 5) °C;
- атмосферное давление - 84 - 106 кПа (630 - 800 мм рт. ст.);
- относительная влажность воздуха - не более 80% при температуре 25 °C;
- напряжение электропитания - (220 +/- 10) В;
- частота переменного тока - (50 +/- 1) Гц.
5.2.1 Точечную пробу магния гидроксида из упаковочной единицы отбирают щупом, изготовленным из нержавеющей стали марки 12Х18Н10Т по
ГОСТ 5632, погружая его на половину глубины упаковочной единицы.
5.2.2 Допускается осуществлять отбор точечных проб магния гидроксида от расфасовочного устройства совком, изготовленным из нержавеющей стали марки 12Х18Н10Т по
ГОСТ 5632. Масса точечной пробы - не менее 0,2 кг.
5.2.3 Отобранные точечные пробы объединяют, тщательно перемешивают и получают объединенную пробу, из которой методом квартования получают представительную пробу для испытаний массой не менее 1 кг.
5.2.4 Представительную пробу помещают в чистую сухую полиэтиленовую или стеклянную тару.
На тару наклеивают этикетку с указанием:
- обозначения настоящего стандарта;
- наименования и марки продукта;
- предприятия-изготовителя;
- номера партии или места отбора пробы;
- даты изготовления;
- даты отбора пробы;
- фамилии лица, отобравшего пробу.
5.3 Определение массовой доли магния гидроксида
5.3.1 Массовую долю магния гидроксида в диапазоне от 98,0% до 99,8% включительно определяют титриметрическим методом, основанном на образовании комплексного соединения 2-водной динатриевой соли этилендиамин-N,N,N',N'-тетрауксусной кислоты с ионами магния в аммиачной буферной среде при pH 9,5 - 10,0.
Перед определением массовой доли магния гидроксида определяют массовую долю кальция по
5.5 (5.6).
5.3.2 При определении массовой доли магния гидроксида применяют средства измерений, вспомогательные устройства и реактивы по
5.1.1, а также следующие:
- 2-водную динатриевую соль этилендиамин-N,N,N',N'-тетрауксусной кислоты х.ч., ч.д.а. по
ГОСТ 10652;
- черный эриохром Т х.ч., ч.д.а. по НД государств
<*>;
--------------------------------
<*> В Российской Федерации - по
ТУ 6-09-1760-72 "Эриохром черный Т".
- хлористый аммоний х.ч., ч.д.а. по
ГОСТ 3773;
5.3.3 Подготовка к проведению измерений
Для измерений приготавливают растворы и подготавливают пробы.
5.3.3.1 Приготовление растворов
Приготовление раствора 2-водной динатриевой соли этилендиамин-N,N,N',N'-тетрауксусной кислоты молярной концентрации C (ди-Na-ЭДТА) = 0,05 моль/дм
3 (далее - раствор динатриевой соли) - по
ГОСТ 10398. Раствор хранят длительное время в полиэтиленовом или стеклянном, парафинированном изнутри, сосуде. Коэффициент поправки проверяют один раз в месяц.
Для приготовления буферного раствора (pH 9,5 - 10,0) в стакане В-1-250 ТС взвешивают 70 г хлористого аммония с точностью до второго десятичного знака, переносят в колбу 2-1000-2, цилиндром 1-500-2 приливают 500 см3 дистиллированной воды и цилиндром 1-250-2 - 250 см3 водного аммиака, далее раствор перемешивают до растворения соли и дистиллированной водой доводят объем раствора в колбе до делительной отметки номинальной вместимости (далее - делительная отметка).
Раствор хранят в течение 2 мес при комнатной температуре в месте, защищенном от прямых солнечных лучей. При наличии в растворе помутнения или хлопьевидного осадка раствор заменяют свежеприготовленным.
Для приготовления индикаторной смеси черного эриохрома Т в ступке 2 взвешивают 0,1 г черного эриохрома Т и 10 г хлористого натрия с точностью до второго десятичного знака. Смесь солей растирают пестиком 2.
Смесь хранят при комнатной температуре в склянке из темного стекла с завинчивающейся крышкой до изменения внешнего вида.
5.3.3.2 Подготовка пробы
Одновременно готовят растворы из двух аналитических навесок.
В стакане В-1-150 ТС взвешивают 1,00 - 1,30 г пробы (аналитическая навеска) с точностью до четвертого десятичного знака, затем цилиндром 1-25-2 приливают 25 см3 дистиллированной воды, пипеткой 1-1-2-5 добавляют 5 см3 концентрированной соляной кислоты. Раствор в стакане нагревают на электрической плитке до растворения навески, охлаждают и, используя воронку В-75-80 ХС, переносят в колбу 2-200-2. Затем объем раствора в колбе доводят дистиллированной водой до делительной отметки и перемешивают - раствор А.
Пипеткой 2-2-10 отбирают 10 см3 раствора А и помещают в колбу Кн-1-250-24/29 ТС, цилиндром 1-50-2 приливают 50 см3 дистиллированной воды и цилиндром 1-25-2 - 20 см3 буферного раствора (pH 9,5 - 10,0). Затем при перемешивании добавляют индикаторную смесь черный эриохром Т до окрашивания раствора в малиновый цвет.
5.3.4 Пробу титруют из бюретки 1-3-2-25-0,1 раствором динатриевой соли до перехода окраски раствора из малиновой в синюю.
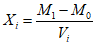
5.3.5 Массовую долю магния гидроксида Xi, %, рассчитывают по формуле

, (5.3.1)
где Vi - объем раствора динатриевой соли, израсходованный на титрование, см3;
0,002916 - масса магния гидроксида в граммах, эквивалентная 1 см3 раствора динатриевой соли, г/см3;
Vk - объем раствора А = 200 см3;
Mi - масса навески пробы, г;
Va - объем раствора А = 10 см3;
1,458 - коэффициент пересчета молярной массы кальция на молярную массу магния гидроксида;
Y - массовая доля кальция, определенная по
5.5 (5.6), %.
За результат анализа массовой доли магния гидроксида

принимают среднеарифметическое значение результатов двух параллельных определений
X1 и
X2, полученных в условиях повторяемости

, (5.3.2)
для которых выполняется условие
При невыполнении
условия (5.3.3) необходимо получить еще два результата параллельных определений. Если при этом выполняется условие
Xmax -
Xmin <=
CR0,95(4), (5.3.4)
то в качестве окончательного результата принимают среднеарифметическое значение результатов четырех параллельных определений. Значения критического диапазона
CR0,95(4) и предела повторяемости
r см. в
таблице 2.
Если
условие (5.3.4) не выполняется, в качестве окончательного результата измерений может быть принята медиана результатов четырех определений. Целесообразно выяснить причины появления неприемлемых результатов параллельных определений.
5.4 Определение массовой доли железа
5.4.1 Массовую долю железа в диапазоне от 0,0007% до 0,013% включительно определяют фотоколориметрическим методом, основанном на образовании комплексного соединения, образующегося в результате взаимодействия железа (III) с роданистым аммонием в кислой среде и окрашенного в красный цвет. Предварительное окисление железа (II) проводят надсернокислым аммонием.
5.4.2 При определении массовой доли железа применяют средства измерений, вспомогательные устройства и реактивы по
5.1.1, а также следующие:
- фотоэлектрический фотометр любой марки, обеспечивающий возможность измерения оптической плотности раствора при длине волны (490 +/- 10) нм с допускаемой основной абсолютной погрешностью при измерении коэффициентов пропускания не более 1% в кюветах с толщиной поглощающего свет слоя 50 мм;
- межгосударственный стандартный образец по Реестру МСО (далее - МСО) состава раствора ионов железа (III) с аттестованным значением массовой концентрации ионов 1,00 мг/см3 и относительной погрешностью аттестованного значения не более 1% при P = 0,95.
Примечание - При отсутствии МСО допускается использовать раствор массовой концентрации ионов железа (III) 1,000 мг/см
3, приготовленный из аммоний железо (III) сульфата (1:1:2) 12-водного (квасцов железоаммонийных) по
ГОСТ 4212;
- аммоний железо (III) сульфат (1:1:2) 12-водный (квасцы железоаммонийные), ч.д.а., ч. по НД государств
<*>;
--------------------------------
<*> В Российской Федерации - по ТУ 6-09-5359-88 "Аммоний железо (III) сульфат (1:1:2) 12-водный (квасцы железоаммонийные)".
- надсернокислый аммоний х.ч., ч.д.а. по
ГОСТ 20478;
5.4.3 Подготовка к проведению измерений
Перед проведением измерений приготавливают растворы и подготавливают пробы, проводят градуировку прибора. При выполнении измерений используют кюветы с одной и той же толщиной поглощающего свет слоя.
5.4.3.1 Приготовление растворов
Для приготовления раствора ионов железа (III) массовой концентрации 0,0100 мг/см3 в колбу 1-100-2 цилиндром 1-50-2 наливают 50 см3 дистиллированной воды, пипеткой 2-2-1 добавляют 1 см3 МСО. Объем раствора в колбе доводят дистиллированной водой до делительной отметки и перемешивают.
Абсолютная погрешность приготовления раствора ионов железа - не более +/- 0,0002 мг/см3 при P = 0,95. Раствор применяют свежеприготовленным.
Для приготовления раствора надсернокислого аммония с массовой долей 5% в стакане В-1-150 ТС взвешивают с точностью до второго десятичного знака 5 г надсернокислого аммония, цилиндром 1-100-2 добавляют 95 см3 дистиллированной воды и перемешивают до растворения навески. Раствор применяют свежеприготовленным.
Для приготовления раствора соляной кислоты с массовой долей 25% в стакан В-1-250 ТС цилиндром 1-50-2 наливают 34 см3 дистиллированной воды и цилиндром 1-100-2 добавляют 66 см3 соляной концентрированной кислоты осторожно, небольшими порциями, при перемешивании.
Раствор хранят в течение 3 мес в склянке с завинчивающейся крышкой, не допуская появления опалесценции, осадка, хлопьев.
Для приготовления раствора роданистого аммония с массовой долей 30% в стакане В-1-150 ТС взвешивают с точностью до второго десятичного знака 30 г роданистого аммония, цилиндром 1-100-2 добавляют 70 см3 дистиллированной воды и перемешивают до растворения навески.
Раствор хранят в течение месяца в склянке с завинчивающейся крышкой в местах, защищенных от попадания прямых солнечных лучей.
5.4.3.2 Градуировка прибора
Для приготовления градуировочных растворов в колбы 1-50-2 цилиндром 1-25-2 наливают по 20 см3 дистиллированной воды, пипеткой 1-1-2-2 вносят 0,0 (холостая проба); 0,2; 0,5; 0,8; 1,0; 1,5; 2,0 см3 раствора ионов железа (III) массовой концентрации 0,0100 мг/см3, что соответствует массе железа 0,00; 0,0020; 0,0050; 0,0080; 0,0100; 0,0150; 0,0200 мг. Затем в каждую колбу пипеткой 1-1-2-5 добавляют 3 см3 раствора соляной кислоты с массовой долей 25%, пипеткой 1-1-2-1 приливают 1 см3 раствора надсернокислого аммония с массовой долей 5% и перемешивают. Затем в каждую колбу пипеткой 1-1-2-5 добавляют 4 см3 раствора роданистого аммония с массовой долей 30%, объемы растворов в колбах доводят дистиллированной водой до делительной отметки и перемешивают.
Через 5 мин после приготовления градуировочных растворов измеряют их оптические плотности относительно холостой пробы при длине волны (490 +/- 10) нм.
Далее приготавливают две новые серии (n = 6) градуировочных растворов, измеряют их оптические плотности и вычисляют среднеарифметическое значение измеренных оптических плотностей для каждого градуировочного раствора.
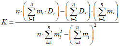
Градуировочная характеристика зависимости среднего значения оптической плотности D от определяемого компонента (железа) m аппроксимируется линейной функцией вида
Рассчитывают коэффициенты градуировочной характеристики (K, a) методом наименьших квадратов по формулам

, (5.4.2)

(5.4.3)
где n - число градуировочных растворов (n = 6);
Di - оптическая плотность i-го градуировочного раствора;
mi - масса определяемого компонента в i-м градуировочном растворе, мг.
Контроль стабильности градуировочной характеристики проводят не реже одного раза в 3 мес или при смене партий реактивов и ремонта прибора.
Средствами контроля являются вновь приготовленные градуировочные растворы во всем диапазоне измерений (не менее трех растворов). Одновременно готовят холостую пробу.
Через 5 мин после приготовления градуировочных растворов измеряют их оптические плотности относительно холостой пробы при длине волны (490 +/- 10) нм.
Далее приготавливают две новые серии градуировочных растворов, измеряют их оптические плотности и вычисляют среднеарифметическое значение измеренных оптических плотностей для каждого градуировочного раствора.
Используя полученную градуировочную характеристику, определяют массу железа mгрi, мг, в каждом градуировочном растворе по формуле

, (5.4.4)
где

- оптическая плотность
i-го градуировочного раствора.
Градуировочную характеристику считают стабильной, если для каждого градуировочного раствора расхождение между измеренным и заданным значением массы железа не более 10%.
Если условие стабильности градуировочной характеристики не выполняется только для одного градуировочного раствора, необходимо выполнить повторный анализ этого раствора для исключения результата, содержащего грубую погрешность.
Если градуировочная характеристика нестабильна, выясняют причины и повторяют контроль с использованием новых градуировочных растворов, предусмотренных методикой (n = 3). При повторном обнаружении нестабильности градуировочной характеристики градуировку прибора проводят заново.
5.4.3.3 Подготовка пробы
Одновременно готовят растворы из двух аналитических навесок.
В стакане В-1-250 ТС взвешивают 3,00 - 3,10 г пробы (аналитическая навеска) с точностью до четвертого десятичного знака, цилиндром 1-25-2 приливают 25 см3 дистиллированной воды и цилиндром 1-25-2 добавляют при перемешивании по каплям 15 см3 концентрированной соляной кислоты. Раствор в стакане нагревают на электрической плитке до растворения навески, охлаждают и, используя воронку В-75-80 ХС, количественно переносят в колбу 1-100-2 - раствор А.
В колбу 1-50-2 цилиндром 1-25-2 наливают 10 см
3 дистиллированной воды, пипеткой 2-2-10 приливают 10 см
3 раствора А. Затем пипеткой 1-1-2-5 добавляют 3 см
3 раствора соляной кислоты с массовой долей 25%, пипеткой 1-1-2-1 приливают 1 см
3 раствора надсернокислого аммония с массовой долей 5% и перемешивают. Затем пипеткой 1-1-2-5 добавляют 4 см
3 раствора роданистого аммония с массовой долей 30%, объем раствора в колбе доводят дистиллированной водой до делительной отметки и перемешивают. Одновременно готовят холостую пробу, не добавляя раствор А. Далее проводят измерение по
5.4.4.
Если полученное значение оптической плотности анализируемой пробы превышает максимальное значение оптической плотности в диапазоне градуировочной характеристики, то подготовку пробы осуществляют следующим образом.
В колбу 1-50-2 цилиндром 1-25-2 наливают 20 см3 дистиллированной воды, пипеткой 2-2-5 приливают 5 см3 раствора А. Затем пипеткой 1-1-2-5 добавляют 3 см3 раствора соляной кислоты с массовой долей 25%, пипеткой 1-1-2-1 приливают 1 см3 раствора надсернокислого аммония с массовой долей 5% и перемешивают. Далее пипеткой 1-1-2-5 добавляют 4 см3 раствора роданистого аммония с массовой долей 30%, объем раствора в колбе доводят дистиллированной водой до делительной отметки и перемешивают. Одновременно готовят холостую пробу, не добавляя раствор А.
5.4.4 Через 5 мин после приготовления градуировочных растворов измеряют их оптические плотности относительно холостой пробы при длине волны (490 +/- 10) нм.
5.4.5 Обработка (вычисление) результатов измерений
5.4.5.1 Массу определяемого компонента (железа) mi, мг, рассчитывают по формуле

, (5.4.5)
где Di - оптическая плотность анализируемого раствора.
5.4.5.2 Массовую долю определяемого компонента (железа) Xi, %, рассчитывают по формуле

, (5.4.6)
где Vk - объем раствора А = 100 см3;
Mi - масса аналитической навески, г;
Va - объем раствора А = 10 см3 (5 см3).
5.4.5.3 За результат измерений массовой доли железа

, %, принимают среднеарифметическое значение результатов двух параллельных определений
X1 и
X2, полученных в условиях повторяемости

, (5.4.7)
для которых выполняется условие
При невыполнении
условия (5.4.8) необходимо получить еще два результата параллельных определений. Если при этом выполняется условие
Xmax -
Xmin <=
CR0,95(4), (5.4.9)
то в качестве окончательного результата принимают среднеарифметическое значение результатов четырех параллельных определений. Значения критического диапазона
CR0,95(4) и предела повторяемости
r см. в
таблице 2.
Если
условие (5.4.9) не выполняется, в качестве окончательного результата измерений может быть принята медиана результатов четырех определений. Целесообразно выяснять причины появления неприемлемых результатов параллельных определений.
5.5 Определение массовой доли кальция
5.5.1 Массовую долю кальция в диапазоне от 0,005% до 0,2% включительно определяют пламенно-фотометрическим методом, основанном на измерении интенсивности эмиссии ионов кальция, раствор соли которого в виде аэрозоля вводят в газовоздушное пламя.
5.5.2 При определении массовой доли кальция применяют средства измерений, вспомогательные устройства и реактивы по
5.1.1, а также следующие:
- анализатор жидкости пламенно-фотометрический любого типа;
- МСО состава раствора ионов кальция с аттестованным значением массовой концентрации ионов 1,00 мг/см3 и относительной погрешностью аттестованного значения не более 1% при P = 0,95;
- магний оксид (окись магния) MgO, квалификации ч.д.а. для спектрального анализа (далее по тексту - магний оксид для спектрального анализа) по НД государств
<*>;
--------------------------------
<*> В Российской Федерации - по ТУ 6-09-01-245-84 "Магний оксид (окись магния) MgO, квалификация ч.д.а., для спектрального анализа". Допускается применение магния оксида CAS N 1309-48-4 с массовой долей не менее 99,9%.
- углекислый кальций х.ч., ч.д.а. по
ГОСТ 4530.
5.5.3 Подготовка к проведению измерений
Перед проведением измерений приготавливают растворы и подготавливают пробу, проводят градуировку прибора.
5.5.3.1 Приготовление растворов
Для приготовления раствора ионов кальция массовой концентрации 0,100 мг/см3 в колбу 1-50-2 цилиндром 1-25-2 наливают 25 см3 дистиллированной воды, пипеткой 2-2-5 добавляют 5 см3 МСО. Объем раствора в колбе доводят дистиллированной водой до делительной отметки и перемешивают.
Абсолютная погрешность приготовления раствора ионов кальция - не более +/- 0,001 мг/см3 при P = 0,95. Раствор применяют свежеприготовленным.
Примечание - При отсутствии МСО допускается использовать раствор массовой концентрации ионов кальция 1,000 мг/см
3, приготовленный по
ГОСТ 4212 из углекислого кальция.
Для приготовления фонового раствора в стакане В-1-250 ТС взвешивают 6 г магния оксида для спектрального анализа с точностью до второго десятичного знака. Цилиндром 1-25-2 добавляют 15 см3 дистиллированной воды и цилиндром 1-50-2 - 35 см3 концентрированной азотной кислоты осторожно, при перемешивании. Затем раствор в стакане нагревают на электрической плитке до растворения навески. Раствор охлаждают до комнатной температуры и, используя воронку В-75-110 ХС, количественно переносят в колбу 1-200-2. Объем раствора в колбе доводят дистиллированной водой до делительной отметки и перемешивают. Раствор хранят в течение одного месяца в склянке в местах, защищенных от света.
Примечание - При отсутствии магния оксида для спектрального анализа допускается использовать магний оксид ч.д.а. по
ГОСТ 4526 <*>.
--------------------------------
<*> В Российской Федерации - по ТУ 6-09-01-245-84 "Магний оксид (окись магния) MgO, квалификация ч.д.а., для спектрального анализа". Допускается применение магния оксида CAS N 1309-48-4 с массовой долей не менее 99,9%.
5.5.3.2 Градуировка прибора
Для приготовления градуировочных растворов в колбы 1-100-2 цилиндром 1-25-2 наливают по 10 см3 дистиллированной воды, пипеткой 1-1-2-10 добавляют 0,0 (холостая проба); 1,0; 2,0; 4,0; 6,0; 8,0 см3 раствора ионов кальция массовой концентрации 0,100 мг/см3, что соответствует массе кальция 0,0; 0,10; 0,20; 0,40; 0,60; 0,80 мг, пипеткой 1-1-2-10 добавляют по 10 см3 фонового раствора. Объемы растворов в колбах доводят дистиллированной водой до делительной отметки и перемешивают.
Проводят фотометрирование градуировочных растворов в порядке возрастания массовой концентрации кальция, снимая показания регистрирующего устройства прибора для каждого градуировочного раствора. Перед каждым фотометрированием капилляр промывают дистиллированной водой.
Затем приготавливают новую серию градуировочных растворов и выполняют измерения.
Вычисляют среднеарифметическое измеренных значений показаний регистрирующего устройства прибора для каждого градуировочного раствора Di и холостой пробы Dx.
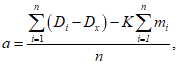
Градуировочная характеристика зависимости среднего значения показаний регистрирующего устройства прибора D от массы определяемого компонента (кальция) m аппроксимируется линейной функцией
Рассчитывают коэффициенты градуировочной характеристики (K, a) методом наименьших квадратов по формулам

, (5.5.2)

(5.5.3)
где n - число градуировочных растворов (n = 5);
Di - среднеарифметическое значение показаний регистрирующего устройства прибора i-го градуировочного раствора;
Dx - среднеарифметическое значение показаний регистрирующего устройства прибора холостой пробы;
mi - масса определяемого компонента в i-м градуировочном растворе, мг.
Градуировку прибора проводят перед каждым измерением.
5.5.3.3 Одновременно готовят растворы из двух аналитических навесок.
В стакане В-1-150 ТС взвешивают 1,50 - 2,00 г пробы (аналитическая навеска) с точностью до четвертого десятичного знака, цилиндром 1-25-2 приливают 20 см3 дистиллированной воды и перемешивают. Пипеткой 1-1-2-10 добавляют 10 см3 азотной кислоты осторожно, при перемешивании. Раствор в стакане нагревают до кипения на электрической плитке, затем выдерживают до растворения навески и охлаждают до комнатной температуры. Используя воронку В-75-110 ХС, раствор количественно переносят в колбу 1-100-2. Объем раствора в колбе доводят дистиллированной водой до делительной отметки и перемешивают - раствор А.
Далее проводят измерение по
5.5.4. Если показание регистрирующего устройства прибора превышает максимальное значение в диапазоне градуировочной характеристики, то подготовку пробы (с учетом разведения) проводят следующим образом: в колбу 1-100-2 цилиндром 1-25-2 наливают 20 см
3 дистиллированной воды, пипеткой 2-2-20 добавляют 20 см
3 раствора А, объем раствора в колбе доводят дистиллированной водой до делительной отметки и перемешивают.
5.5.4 Проведение измерений
Проводят фотометрирование анализируемого раствора, снимая показания регистрирующего устройства прибора. Перед каждым фотометрированием капилляр промывают дистиллированной водой.
5.5.5 Обработка (вычисление) результатов измерений
5.5.5.1 Массу определяемого компонента (кальция) mi, мг, рассчитывают по формуле

, (5.5.4)
где Di - значение показаний регистрирующего устройства прибора анализируемого раствора.
5.5.5.2 Массовую долю определяемого компонента (кальция) Xi, %, рассчитывают по формуле

, (5.5.5)
где Mi - масса аналитической навески, г.
5.5.5.3 Массовую долю определяемого компонента (кальция) Xj, %, (с учетом разведения) рассчитывают по формуле

, (5.5.6)
где Vk - объем раствора А = 100 см3;
Va - объем раствора А = 20 см3.
5.5.5.4 За результат измерений массовой доли кальция

, %, принимают среднеарифметическое значение результатов двух параллельных определений
X1 и
X2, полученных в условиях повторяемости

, (5.5.7)
для которых выполняется условие
При невыполнении
условия (5.5.8) необходимо получить еще два результата параллельных определений. Если при этом выполняется условие
Xmax -
Xmin <=
CR0,95(4), (5.5.9)
то в качестве окончательного результата принимают среднеарифметическое значение результатов четырех параллельных определений. Значения критического диапазона
CR0,95(4) и предела повторяемости
r см. в
таблице 2.
Если
условие (5.5.9) не выполняется, в качестве окончательного результата измерений может быть принята медиана результатов четырех определений. Целесообразно выяснять причины появления неприемлемых результатов параллельных определений.
Примечание - При разногласиях в оценке результатов массовой доли кальция для марок магния гидроксида А3, А5, А7 арбитражным считают метод по
5.6.
5.6 Определение массовых долей кальция, алюминия, бора, кремния
5.6.1 Массовую долю кальция, алюминия, бора, кремния в диапазоне от 0,0008% до 0,035% включительно определяют методом атомно-эмиссионной спектрометрии с индуктивно связанной плазмой, основанном на измерении интенсивности излучения (эмиссии) возбужденных атомов и ионов кальция, алюминия, бора, кремния, растворы солей которых в виде аэрозоля вводятся в источник индуктивно-связанной аргоновой плазмы.
5.6.2 При определении массовых долей кальция, алюминия, бора и кремния применяют средства измерений, вспомогательные устройства и реактивы по
5.1.1, а также следующие:
- атомно-эмиссионный спектрометр с индуктивно связанной плазмой "Optima 8000" или любого другого типа;
- мерную колбу вместимостью 100 см
3 по
ГОСТ 1770. Предпочтительно применять импортную мерную колбу из полипропилена вместимостью 100 см
3 класса А;
- стакан низкий из полипропилена вместимостью 100 см
3 по НД государств
<*>, а при его отсутствии - стакан вместимостью 100 см
3 по
ГОСТ 25336;
--------------------------------
<*> В Российской Федерации - по ТУ 229-018-23050963-99 "Лабораторная посуда из полимерного материала".
- МСО состава раствора ионов кальция (алюминия, бора, кремния) с аттестованным значением массовой концентрации ионов 1,00 мг/см3 и относительной погрешностью аттестованного значения не более 1% при P = 0,95;
- воду для лабораторного анализа степени чистоты 2 по ГОСТ ISO 3696
<**>;
--------------------------------
<**> В Российской Федерации по
ГОСТ Р 52501-2005 "Вода" для лабораторного анализа. Технические условия".
5.6.3 Подготовка к проведению измерений
Перед проведением измерений приготавливают растворы и подготавливают пробу, проводят градуировку прибора.
5.6.3.1 Приготовление растворов
Для приготовления раствора азотной кислоты с массовой долей 5% в стакан В-1-600 ТС цилиндром 1-250-2 наливают 474 см3 воды для лабораторного анализа и цилиндром 1-50-2 приливают 26 см3 азотной кислоты осторожно, небольшими порциями, при перемешивании.
Раствор хранят в течение 3 мес в полиэтиленовом сосуде с завинчивающейся крышкой при комнатной температуре.
Для приготовления стандартного раствора ионов кальция алюминия, бора, кремния массовой концентрации каждого элемента 10 мг/дм
3 в мерную колбу по
5.6.2 цилиндром 1-25-2 наливают 20 см
3 раствора азотной кислоты с массовой долей 5%, пипеткой 1-1-2-1 добавляют по 1 см
3 стандартных растворов ионов кальция, алюминия, бора, кремния массовой концентрации 1 мг/см
3. Объем раствора в колбе доводят раствором азотной кислоты с массовой долей 5% до делительной отметки и перемешивают.
Раствор хранят в течение 10 сут при комнатной температуре в полиэтиленовом сосуде с завинчивающейся крышкой в местах, защищенных от света.
Для приготовления градуировочных растворов ионов кальция (алюминия, бора, кремния) в мерные колбы по
5.6.2 цилиндром 1-25-2 наливают по 20 см
3 раствора азотной кислоты с массовой долей 5%, пипетками 1-1-2-1, 1-1-2-5 вносят соответственно по 0,3; 1,0; 7,0 см
3 стандартного раствора ионов кальция, алюминия, бора, кремния массовой концентрации каждого элемента 10 мг/дм
3, что соответствует массовой концентрации кальция (алюминия, бора, кремния) 0,03, 0,10, 0,70 мг/дм
3. Объемы растворов в колбах доводят раствором азотной кислотой с массовой долей 5% до делительной отметки и перемешивают.
В качестве градуировочного холостого раствора (blank) используют раствор азотной кислоты с массовой долей 5%.
Растворы применяют свежеприготовленными.
Одновременно готовят растворы из двух аналитических навесок.
В стакане по
5.6.2 взвешивают 0,20 - 0,40 г пробы (аналитическая навеска) с точностью до четвертого десятичного знака цилиндром 1-25-2 приливают 10 см
3 воды для лабораторного анализа, пипеткой 1-1-2-2 добавляют 2 см
3 азотной концентрированной кислоты и перемешивают до растворения аналитической навески. Раствор количественно переносят в мерную колбу по
5.6.2, используя воронку В-75-80 ХС. Объем раствора в колбе доводят до делительной отметки раствором азотной кислоты с массовой долей 5% и перемешивают.
Одновременно готовят холостую пробу (без добавления пробы).
5.6.3.3 Градуировка прибора
После установления рабочих параметров прибора и поджига плазмы прибор выдерживают во включенном состоянии в течение 15 мин до стабилизации режима работы.
Подготовленные градуировочные растворы вводят в плазму в порядке увеличения их концентраций, начиная с градуировочного холостого раствора (blank), и измеряют интенсивности излучения элементов каждого градуировочного раствора.
Коэффициент корреляции R2 должен быть не менее 0,999 (рассчитывается автоматически с использованием программного обеспечения).
Градуировку повторяют на новой серии градуировочных растворов, если коэффициент корреляции R2 хотя бы одного из градуировочных растворов менее 0,999.
5.6.4 В плазму вводят холостую пробу и пробу, подготовленные по
5.6.3.2, и измеряют интенсивности излучения (эмиссии). Интенсивность излучения холостой пробы вычитают (вручную либо автоматически с использованием программного обеспечения) из интенсивности излучения раствора пробы.
5.6.5 Обработка (вычисление) результатов измерений
5.6.5.1 Снимают показания массовой концентрации кальция (алюминия, бора, кремния) Ci, мг/дм3.
5.6.5.2 Массовую долю кальция (алюминия, бора, кремния) Xi, %, рассчитывают по формуле

, (5.6.1)
где Vk - объем раствора пробы = 100 см3;
Mi - масса пробы (аналитическая навеска), г.
5.6.5.3 За результат анализа массовой доли кальция (алюминия, бора, кремния)

, %, принимают среднеарифметическое значение результатов двух параллельных определений
X1i и
X2i, полученных в условиях повторяемости

, (5.6.2)
для которых выполняется условие
|
X1i -
X2i| <=
r. (5.6.3)
При невыполнении
условия (5.6.3) необходимо получить еще два результата параллельных определений. Если при этом выполняется условие
Xmax -
Xmin <=
CR0,95(4), (5.6.4)
то в качестве окончательного результата принимают среднеарифметическое значение результатов четырех параллельных определений. Значения критического диапазона
CR0,95(4) и предела повторяемости
r см. в
таблице 2.
Если
условие (5.6.4) не выполняется, в качестве окончательного результата измерений может быть принята медиана результатов четырех определений. Целесообразно выяснять причины появления неприемлемых результатов параллельных определений.
5.7 Определение массовой доли натрия
5.7.1 Массовую долю натрия в диапазоне от 0,0010% до 0,05% включительно определяют пламенно-фотометрическим методом, основанным на измерении интенсивности эмиссии ионов натрия, раствор соли которого в виде аэрозоля вводится в газовоздушное пламя.
5.7.2 При определении массовой доли натрия применяют средства измерений, вспомогательные устройства и реактивы по
5.1.1, а также следующие:
- анализатор жидкости пламенно-фотометрический любого типа;
- МСО состава раствора ионов натрия с аттестованным значением массовой концентрации ионов 1,00 мг/см3 и относительной погрешностью аттестованного значения не более 1% при P = 0,95;
- магний оксид для спектрального анализа по НД государств
<*>.
--------------------------------
<*> В Российской Федерации - по ТУ 6-09-01-245-84 "Магний оксид (окись магния) MgO, квалификация ч.д.а. для спектрального анализа". Допускается применение магния оксида CAS N 1309-48-4 с массовой долей не менее 99,9%.
5.7.3 Подготовка к проведению измерений
Перед проведением измерений приготавливают растворы и подготавливают пробу, проводят градуировку прибора.
5.7.3.1 Для приготовления раствора ионов натрия массовой концентрации 0,010 мг/см3 в колбу 1-100-2 цилиндром 1-25-2 наливают 25 см3 дистиллированной воды, пипеткой 2-2-1 добавляют 1 см3 МСО. Объем раствора в колбе доводят дистиллированной водой до делительной отметки и перемешивают.
Абсолютная погрешность приготовления раствора ионов натрия - не более +/- 0,001 мг/см3 при P = 0,95. Раствор применяют свежеприготовленным.
Примечание - При отсутствии МСО допускается использовать раствор массовой концентрации ионов натрия 1,000 мг/см
3, приготовленный по
ГОСТ 4212 из хлористого натрия.
Для приготовления фонового раствора в стакане В-1-250 ТС взвешивают 6 г магния оксида для спектрального анализа с точностью до второго десятичного знака, цилиндром 1-25-2 добавляют 15 см3 дистиллированной воды и цилиндром 1-50-2 добавляют 35 см3 концентрированной азотной кислоты осторожно, при перемешивании. Затем раствор в стакане нагревают на электрической плитке до растворения навески. Раствор охлаждают до комнатной температуры и, используя воронку В-75-110 ХС, количественно переносят в колбу 1-200-2. Объем раствора в колбе доводят дистиллированной водой до делительной отметки и перемешивают.
Раствор хранят в течение месяца в склянке в местах, защищенных от света.
Примечание - При отсутствии магния оксида для спектрального анализа допускается использовать магний оксид ч.д.а. по
ГОСТ 4526 <*>.
--------------------------------
<*> В Российской Федерации - по ТУ 6-09-01-245-84 "Магний оксид (окись магния) MgO, квалификация ч.д.а. для спектрального анализа". Допускается применение магния оксида CAS N 1309-48-4 с массовой долей не менее 99,9%.
5.7.3.2 Градуировка прибора
Для приготовления градуировочных растворов в колбы 1-100-2 цилиндром 1-25-2 наливают по 10 см3 дистиллированной воды, пипетками 1-1-2-10, 2-2-20 добавляют 0,0 (холостая проба); 1,0; 3,0; 5,0; 7,0; 10,0; 20,0 см3 раствора ионов натрия массовой концентрации 0,010 мг/см3, что соответствует массе натрия 0,00; 0,01; 0,03; 0,05; 0,07; 0,10; 0,20 мг. Затем пипеткой 1-1-2-10 добавляют по 10 см3 фонового раствора. Объем раствора в колбе доводят дистиллированной водой до делительной отметки и перемешивают.
Проводят фотометрирование градуировочных растворов и холостой пробы в порядке возрастания массовой концентрации натрия, снимая показания регистрирующего устройства прибора для каждого градуировочного раствора и холостой пробы. Перед каждым фотометрированием капилляр промывают дистиллированной водой.
Приготавливают новую серию градуировочных растворов, выполняют измерения и вычисляют среднеарифметическое измеренных значений показаний регистрирующего устройства прибора для каждого градуировочного раствора Di и холостой пробы Dx.
Градуировочная характеристика зависимости среднего значения показаний регистрирующего устройства прибора
D от массы натрия
m аппроксимируется линейной функцией, см.
формулу (5.5.1).
Коэффициенты градуировочной характеристики (
K,
a) рассчитывают по
формулам (5.5.2) и
(5.5.3) при числе градуировочных растворов
n = 6.
Градуировку прибора проводят перед каждым измерением.
5.7.3.3 Подготовка пробы
Одновременно готовят растворы из двух аналитических навесок.
В стакане В-1-150 ТС взвешивают 0,90 - 1,10 г пробы (аналитическая навеска) с точностью до четвертого десятичного знака, цилиндром 1-25-2 приливают 20 см
3 дистиллированной воды и перемешивают. Пипеткой 1-1-2-5 добавляют 5 см
3 азотной кислоты, раствор в стакане нагревают до кипения на электрической плитке с закрытой спиралью, выдерживают до растворения навески и охлаждают до комнатной температуры. Используя воронку В-75-110 ХС, раствор количественно переносят в колбу 1-100-2. Объем раствора в колбе доводят дистиллированной водой до делительной отметки и перемешивают - раствор А. Далее проводят измерение по
5.7.4.
Если показание регистрирующего устройства прибора превышает максимальное значение в диапазоне градуировочной характеристики, то подготовку пробы (с учетом разведения) проводят следующим образом: в колбу 1-100-2 цилиндром 1-25-2 наливают 20 см3 дистиллированной воды, пипеткой 2-2-20 добавляют 20 см3 раствора А, объем раствора в колбе доводят дистиллированной водой до делительной отметки и перемешивают.
5.7.4 Проводят фотометрирование анализируемого раствора, снимая показания регистрирующего устройства прибора. Перед каждым фотометрированием капилляр промывают дистиллированной водой.
5.7.5 Обработка (вычисление) результатов измерений
5.7.5.3 Массовую долю натрия
Xj, % (с учетом разведения), рассчитывают по
формуле (5.5.6).
5.7.5.4 За результат измерений массовой доли натрия

, %, принимают среднеарифметическое значение результатов двух параллельных определений
X1 и
X2, полученных в условиях повторяемости

, (5.7.1)
для которых выполняется условие:
При невыполнении
условия (5.7.2) необходимо получить еще два результата параллельных определений. Если при этом выполняется условие
Xmax -
Xmin <=
CR0,95(4), (5.7.3)
то в качестве окончательного результата принимают среднеарифметическое значение результатов четырех параллельных определений. Значения критического диапазона
CR0,95(4) и предела повторяемости
r см. в
таблице 2.
Если
условие (5.7.3) не выполняется, в качестве окончательного результата измерений может быть принята медиана результатов четырех определений. Целесообразно выяснять причины появления неприемлемых результатов параллельных определений.
5.8 Определение массовой доли хлоридов
5.8.1 Массовую долю хлоридов в диапазоне от 0,004% до 0,2% включительно определяют фототурбидиметрическим методом, основанным на образовании опалесценции раствора, образующейся при взаимодействии хлоридов с ионами серебра в кислой среде.
5.8.2 При определении массовой доли хлоридов применяют средства измерений, вспомогательные устройства и реактивы по
5.1.1, а также следующие:
- фотоэлектрический фотометр, обеспечивающий возможность измерять оптическую плотность раствора при длине волны (490 +/- 10) нм с допускаемой основной абсолютной погрешностью при измерении коэффициента пропускания не более 1% в кюветах с толщиной поглощающего свет слоя 50 мм;
- МСО состава раствора хлорид-ионов с аттестованным значением массовой концентрации ионов 1,00 мг/см3 и относительной погрешностью аттестованного значения +/- 1% при P = 0,95.
5.8.3 Подготовка к проведению измерений
Перед проведением измерений приготавливают растворы и подготавливают пробы, проводят градуировку прибора. При проведении измерений используют кюветы с одной и той же толщиной поглощающего свет слоя.
5.8.3.1 Приготовление растворов
Для приготовления раствора хлорид-ионов массовой концентрации 0,0100 мг/см3 в колбу 1-100-2 цилиндром 1-50-2 наливают 50 см3 дистиллированной воды, пипеткой 2-2-1 добавляют 1 см3 МСО. Объем раствора в колбе доводят дистиллированной водой до делительной отметки и перемешивают.
Абсолютная погрешность приготовления раствора хлорид-ионов - не более +/- 0,0002 мг/см3. Раствор применяют свежеприготовленным.
Примечание - При отсутствии МСО допускается использовать раствор массовой концентрации хлорид-ионов 1,000 мг/см
3, приготовленный по
ГОСТ 4212 из хлористого натрия.
Для приготовления раствора азотнокислого серебра массовой концентрации 17 г/дм3 в колбе 1-100-2 взвешивают 1,7 г азотнокислого серебра с точностью до четвертого десятичного знака, цилиндром 1-50-2 приливают 50 см3 дистиллированной воды, перемешивают до растворения навески, затем объем раствора в колбе доводят дистиллированной водой до делительной отметки и перемешивают.
Раствор хранят в склянке из темного стекла неограниченно.
Для приготовления раствора кислоты азотной с массовой долей 25% в стакан В-1-400 ТС цилиндром 1-250-2 наливают 160 см3 дистиллированной воды и цилиндром 1-100-2 приливают 72 см3 концентрированной азотной кислоты осторожно, небольшими порциями, при перемешивании.
Раствор хранят в течение 3 мес в склянке с завинчивающейся крышкой при комнатной температуре.
5.8.3.2 Градуировка прибора
Для приготовления градуировочных растворов в колбы 1-50-2 цилиндром 1-25-2 наливают по 10 см3 дистиллированной воды, пипетками 1-1-2-5, 1-1-2-10 вносят 0,0 (холостая проба); 1,0; 3,0; 5,0; 10,0; 15,0 см3 раствора хлорид-ионов массовой концентрации 0,0100 мг/см3, что соответствует массе хлоридов 0,000; 0,010; 0,030; 0,050; 0,100; 0,150 мг. Затем в каждую колбу пипеткой 1-1-2-2 приливают 2 см3 раствора азотной кислоты с массовой долей 25%, пипеткой 1-1-2-1 добавляют 0,5 см3 раствора азотнокислого серебра массовой концентрации 17 г/дм3, пипеткой 1-1-2-2 приливают 2 см3 этиленгликоля. Объем раствора в колбе доводят дистиллированной водой до делительной отметки и перемешивают. Колбы с растворами выдерживают в течение 20 мин в темном месте.
Измеряют оптические плотности градуировочных растворов относительно холостой пробы при длине волны (490 +/- 10) нм.
Приготавливают две новые серии градуировочных растворов, измеряют их оптические плотности и вычисляют среднеарифметическое измеренных значений оптической плотности для каждого градуировочного раствора.
Градуировочная характеристика зависимости среднего значения оптической плотности
D от массы хлоридов
m аппроксимируется линейной функцией, см.
формулу (5.4.1).
Коэффициенты градуировочной зависимости (
K,
a) рассчитывают по
формулам (5.4.2) и
(5.4.3) при числе градуировочных растворов
n = 5.
Контроль стабильности градуировочной характеристики проводят не реже одного раза в месяц или при смене партий реактивов и ремонте прибора. Средствами контроля являются вновь приготовленные градуировочные растворы во всем диапазоне измерений (не менее трех растворов). Одновременно готовят холостую пробу. Колбы с растворами выдерживают в течение 20 мин в темном месте.
Измеряют оптические плотности градуировочных растворов относительно холостой пробы при длине волны (490 +/- 10) нм.
Приготавливают две новые серии градуировочных растворов (n = 3), измеряют их оптические плотности и вычисляют среднеарифметическое измеренных значений оптической плотности для каждого градуировочного раствора.
Используя полученную градуировочную характеристику, определяют массу хлоридов

, мг, в каждом градуировочном растворе по
формуле (5.4.4).
Градуировочную характеристику считают стабильной, если для каждого из градуировочных растворов расхождение между измеренным и заданным значением массы хлоридов не более 15%.
Если условие стабильности градуировочной характеристики не выполняется только для одного градуировочного раствора, необходимо выполнить повторный анализ этого раствора для исключения результата, содержащего большую погрешность.
Если градуировочная характеристика нестабильна, выясняют причины и повторяют контроль с использованием новых градуировочных растворов, предусмотренных методикой (n = 3). При повторном обнаружении нестабильности градуировочной характеристики градуировку прибора проводят заново.
5.8.3.3 Подготовка пробы
Одновременно готовят растворы из двух аналитических навесок.
В стакане В-1-150 ТС взвешивают 0,90 - 1,10 г пробы (аналитическая навеска) с точностью до четвертого десятичного знака, цилиндром 1-25-2 приливают 20 см3 дистиллированной воды и перемешивают. Пипеткой 1-1-2-5 добавляют 5 см3 концентрированной азотной кислоты, раствор в стакане нагревают до кипения на электрической плитке с закрытой спиралью и выдерживают до растворения навески, затем охлаждают до комнатной температуры. Используя воронку В-75-110 ХС, раствор количественно переносят в колбу 1-100-2. Объем раствора в колбе доводят дистиллированной водой до делительной отметки и перемешивают - раствор А.
В колбу 1-50-2 пипеткой 2-2-25 наливают 25 см3 раствора А, пипеткой 1-1-2-2 приливают 2 см3 раствора азотной кислоты с массовой долей 25%, пипеткой 1-1-2-1 добавляют 0,5 см3 раствора азотнокислого серебра массовой концентрации 17 г/дм3, пипеткой 1-1-2-2 приливают 2 см3 этиленгликоля. Объем раствора в колбе доводят дистиллированной водой до делительной отметки и перемешивают.
Одновременно готовят холостую пробу (без добавления раствора А).
Колбы с растворами выдерживают в течение 20 мин в темном месте.
Далее проводят измерение по
5.8.4.
Если значение оптической плотности превышает максимальное значение в диапазоне градуировочной характеристики, то подготовку пробы проводят следующим образом: в колбу 1-50-2 пипеткой 1-1-2-5 наливают 5 см3 раствора А, пипеткой 1-1-2-2 приливают 2 см3 раствора азотной кислоты с массовой долей 25%, пипеткой 1-1-2-1 добавляют 0,5 см3 раствора азотнокислого серебра массовой концентрации 17 г/дм3, пипеткой 1-1-2-2 приливают 2 см3 этиленгликоля. Объем раствора в колбе доводят дистиллированной водой до делительной отметки и перемешивают.
Одновременно готовят холостую пробу (без добавления раствора А).
Колбы с растворами выдерживают в течение 20 мин в темном месте.
5.8.4 Измеряют оптическую плотность раствора относительно холостой пробы при длине волны (490 +/- 10) нм.
5.8.5 Обработка (вычисление) результатов измерений
5.8.5.2 Массовую долю хлоридов
Xi, %, рассчитывают по
формуле (5.4.6) при объеме раствора
Va = 25 и 5 см
3.
5.8.5.3 За результат анализа массовой доли хлоридов

, %, принимают среднеарифметическое значение результатов двух параллельных определений X
1, и X
2, полученных в условиях повторяемости

, (5.8.1)
для которых выполняется условие
При невыполнении
условия (5.8.2) необходимо получить еще два результата параллельных определений. Если при этом выполняется условие
Xmax -
Xmin <=
CR0,95(4), (5.8.3)
то в качестве окончательного результата принимают среднеарифметическое значение результатов четырех параллельных определений. Значения критического диапазона
CR0,95(4) и предела повторяемости
r см. в
таблице 2.
Если
условие (5.8.3) не выполняется, в качестве окончательного результата измерений может быть принята медиана результатов четырех определений. Целесообразно выяснять причины появления неприемлемых результатов параллельных определений.
5.9 Определение массовой доли сульфатов
5.9.1 Массовую долю сульфатов в диапазоне от 0,002% до 0,12% включительно определяют фототурбидиметрическим методом, основанным на образовании опалесценции раствора, образующейся при взаимодействии сульфатов-ионов с ионами бария в кислой среде.
5.9.2 При определении массовой доли сульфатов применяют средства измерений, вспомогательные устройства и реактивы по
5.1.1, а также следующие:
- фотометр фотоэлектрический, обеспечивающий возможность измерять оптическую плотность раствора при длине волны (490 +/- 10) нм с допускаемой основной абсолютной погрешностью при измерении коэффициента пропускания не более 1% в кюветах с толщиной поглощающего свет слоя 50 мм;
- МСО состава раствора сульфат-ионов с аттестованным значением массовой концентрации сульфат-ионов 1,00 мг/см3 и относительной погрешностью аттестованного значения +/- 1% при P = 0,95;
- обеззоленный фильтр "Синяя лента" по НД государств
<*>;
--------------------------------
<*> В Российской Федерации - по ТУ 2642-001-13927158-2003 "Фильтры обеззоленные ФМ "Синяя лента", "Белая лента", "Красная лента".
- хлористый барий, 2-водный, х.ч., ч.д.а. по
ГОСТ 4108;
- сернокислый натрий х.ч, ч.д.а. по
ГОСТ 4166.
5.9.3 Подготовка к проведению измерений
Перед проведением измерений приготавливают растворы и подготавливают пробы, проводят градуировку прибора. При выполнении измерений используют кюветы с одной и той же толщиной поглощающего свет слоя.
5.9.3.1 Приготовление растворов
Для приготовления раствора сульфат-ионов массовой концентрации 0,0100 мг/см3 в колбу 1-100-2 цилиндром 1-50-2 наливают 50 см3 дистиллированной воды, пипеткой 2-2-1 добавляют 1,0 см3 МСО. Объем раствора в колбе доводят дистиллированной водой до делительной отметки и перемешивают.
Абсолютная погрешность приготовления раствора сульфат-ионов - не более +/- 0,0002 мг/см3. Раствор применяют свежеприготовленным.
Примечание - При отсутствии МСО допускается использовать раствор массовой концентрации сульфат-ионов 1,000 мг/см
3, приготовленный по
ГОСТ 4212 из сернокислого натрия.
Для приготовления раствора соляной кислоты с массовой долей 10% в стакан В-1-150 ТС цилиндром 1-100-2 наливают 75 см3 дистиллированной воды и цилиндром 1-25-2 приливают 25 см3 концентрированной соляной кислоты осторожно, небольшими порциями, перемешивая.
Раствор хранят в течение 3 мес при комнатной температуре в склянке с завинчивающейся крышкой.
Для приготовления раствора хлористого бария с массовой долей 20% в стакане В-1-150 ТС взвешивают с точностью до второго десятичного знака 20 г хлористого бария, цилиндром 1-100-2 добавляют 80 см3 дистиллированной воды и перемешивают до растворения навески. Если раствор мутный, его фильтруют через воронку В-75-110 ХС с обеззоленным фильтром "Синяя лента".
Раствор хранят в течение месяца при комнатной температуре в склянке с завинчивающейся крышкой.
5.9.3.2 Градуировка прибора
Для приготовления градуировочных растворов в колбы Кн-2-100-18 ТХС пипеткой 1-1-2-25 наливают 25,0; 23,0; 21,0; 19,0; 17,0; 15,0 см3 дистиллированной воды, пипеткой 1-1-2-10 вносят 0,0 (холостая проба); 2,0; 4,0; 6,0; 8,0; 10,0 см3 раствора сульфат-ионов массовой концентрации 0,0100 мг/см3, что соответствует массе сульфатов 0,00; 0,020; 0,040; 0,060; 0,080; 0,100 мг. Затем в каждую колбу пипеткой 1-1-2-1 добавляют 1 см3 раствора соляной кислоты с массовой долей 10%, пипеткой 1-1-2-2 приливают 2 см3 раствора этиленгликоля и перемешивают. После перемешивания в каждую колбу пипеткой 1-1-2-5 добавляют 3 см3 раствора хлористого бария с массовой долей 20% и перемешивают.
Растворы в колбах перемешивают в течение 40 мин через каждые 10 мин.
Измеряют оптические плотности градуировочных растворов относительно холостой пробы при длине волны (490 +/- 10) нм.
Затем приготавливают две новые серии градуировочных растворов, измеряют их оптические плотности и вычисляют среднеарифметическое измеренных значений оптической плотности для каждого градуировочного раствора.
Градуировочная характеристика зависимости среднего значения оптической плотности
D от массы сульфатов
m аппроксимируется линейной функцией, см.
формулу (5.4.1).
Коэффициенты градуировочной зависимости (
K,
a) рассчитывают по
формулам (5.4.2) и
(5.4.3) при числе градуировочных растворов
n = 5.
Контроль стабильности градуировочной характеристики проводят не реже одного раза в месяц или при смене партий реактивов и ремонта прибора. Средствами контроля являются вновь приготовленные градуировочные растворы во всем диапазоне измерений (не менее трех растворов). Одновременно готовят холостую пробу. Растворы в колбах перемешивают в течение 40 мин через каждые 10 мин.
Измеряют оптическую плотность градуировочных растворов относительно холостой пробы при длине волны (490 +/- 10) нм.
Приготавливают две новые серии градуировочных растворов (n = 3), измеряют их оптические плотности и вычисляют среднеарифметическое измеренных значений оптической плотности для каждого градуировочного раствора.
Используя полученную градуировочную характеристику, определяют массу сульфатов

, мг, в каждом градуировочном растворе по
формуле (5.4.4).
Градуировочную характеристику считают стабильной, если для каждого из градуировочных растворов расхождение между измеренным и заданным значением массы сульфатов не превышает 15%.
Если условие стабильности градуировочной характеристики не выполняется только для одного градуировочного раствора, необходимо выполнить повторный анализ этого раствора с целью исключения результата, содержащего большую погрешность.
Если градуировочная характеристика нестабильна, выясняют причины и повторяют контроль с использованием новых градуировочных растворов, предусмотренных методикой (n = 3). При повторном обнаружении нестабильности градуировочной характеристики градуировку прибора проводят заново.
5.9.3.3 Подготовка пробы
Одновременно готовят растворы из двух аналитических навесок.
В стакане В-1-250 ТС взвешивают 4,00 - 4,10 г пробы (аналитическая навеска) с точностью до четвертого десятичного знака, цилиндром 1-50-2 приливают 30 см3 дистиллированной воды и цилиндром 1-25-2 добавляют при перемешивании 20 см3 концентрированной соляной кислоты. Затем раствор в стакане нагревают до кипения на электрической плитке, выдерживают до растворения навески и охлаждают до комнатной температуры. Используя воронку В-75-110 ХС, раствор количественно переносят в колбу 1-100-2. Объем раствора в колбе доводят дистиллированной водой до делительной отметки и перемешивают - раствор А.
В колбу Кн-2-100-18 ТХС пипеткой 2-2-25 добавляют 25 см3 раствора А, пипеткой 1-1-2-1 добавляют 1 см3 раствора соляной кислоты с массовой долей 10%, пипеткой 1-1-2-2 приливают 2 см3 раствора этиленгликоля и перемешивают. Затем в колбу пипеткой 1-1-2-5 добавляют 3 см3 раствора хлористого бария с массовой долей 20% и перемешивают. Раствор в колбе перемешивают в течение 40 мин через каждые 10 мин.
Одновременно готовят холостую пробу, добавляя 25 см
3 дистиллированной воды вместо раствора А. Далее проводят измерение по
5.9.4.
Если значение оптической плотности превышает максимальное значение в диапазоне градуировочной характеристики, то подготовку пробы проводят следующим образом: в колбу Кн-2-100-18 ТХС пипеткой 1-1-2-25 наливают 15 см3 дистиллированной воды, пипеткой 1-1-2-10 добавляют 10 см3 раствора А, пипеткой 1-1-2-1 добавляют 1 см3 раствора соляной кислоты с массовой долей 10%, пипеткой 1-1-2-2 приливают 2 см3 раствора этиленгликоля и перемешивают. Затем в колбу пипеткой 1-1-2-5 добавляют 3 см3 раствора хлористого бария с массовой долей 20% и перемешивают. Раствор в колбе перемешивают в течение 40 мин через каждые 10 мин.
Одновременно готовят холостую пробу, добавляя 25 см3 дистиллированной воды (вместо 15 см3 дистиллированной воды и 10 см3 раствора А).
Далее проводят измерение по
5.9.4.
Если значение оптической плотности превышает максимальное значение в диапазоне градуировочной характеристики, то подготовку пробы проводят следующим образом: в колбу Кн-2-100-18 ТХС пипеткой 1-1-2-25 наливают 23 см3 дистиллированной воды, пипеткой 1-1-2-2 добавляют 2 см3 раствора А, пипеткой 1-1-2-1 добавляют 1 см3 раствора соляной кислоты с массовой долей 10%, пипеткой 1-1-2-2 приливают 2 см3 раствора этиленгликоля и перемешивают. Затем в колбу пипеткой 1-1-2-5 добавляют 3 см3 раствора хлористого бария с массовой долей 20% и перемешивают. Раствор в колбе перемешивают в течение 40 мин через каждые 10 мин.
Одновременно готовят холостую пробу, добавляя 25 см3 дистиллированной воды (вместо 23 см3 дистиллированной воды и 2 см3 раствора А).
5.9.4 Измеряют оптическую плотность раствора относительно холостой пробы при длине волны (490 +/- 10) нм.
5.9.5 Обработка (вычисление) результатов измерений
5.9.5.2 Массовую долю сульфатов
Xi, %, рассчитывают по
формуле (5.4.6) при объеме раствора
Va = 25; 10 и 2 см
3.
5.9.5.3 За результат анализа массовой доли сульфатов

, %, принимают среднеарифметическое значение результатов двух параллельных определений
X1 и
X2, полученных в условиях повторяемости

, (5.9.1)
для которых выполняется условие
При невыполнении
условия (5.9.2) необходимо получить еще два результата параллельных определений. Если при этом выполняется условие
Xmax -
Xmin <=
CR0,95(4), (5.9.3)
то в качестве окончательного результата принимают среднеарифметическое значение результатов четырех параллельных определений. Значения критического диапазона
CR0,95(4) и предела повторяемости
r см. в
таблице 2.
Если
условие (5.9.3) не выполняется, в качестве окончательного результата измерений может быть принята медиана результатов четырех определений. Целесообразно выяснять причины появления неприемлемых результатов параллельных определений.
5.10 Определение удельной поверхности
5.10.1 Метод измерения на анализаторе удельной поверхности основан на явлении адсорбции молекул адсорбата (азота) активной поверхностью анализируемого образца из газовой фазы над ним, в результате чего наблюдается изменение давления в ячейке с образцом. При дальнейшем постепенном дозированном добавлении газа в ячейку с образцом происходит полное заполнение поверхности образца слоем молекул адсорбата.
На основании данных по изменению давления в ячейке рассчитывают площадь удельной поверхности анализируемого образца многоточечным (по семи точкам) методом Брюнера - Эммета - Теллера (метод BET).
Перед измерением площади удельной поверхности проводят дегазацию образца для удаления излишней жидкости и других загрязняющих материалов, которые могут изменять потенциал поверхности и блокировать или заполнять поры.
Примечания
1 Необходимость и условия дегазации - температуру, время и способ (под вакуумом или в потоке газа-носителя) - согласовывают с потребителем.
2 Допускается проводить измерение площади удельной поверхности без дегазации образца.
5.10.2 При определении удельной поверхности применяют средства измерений, вспомогательные устройства и реактивы по
5.1.1, а также следующие:
- анализатор удельной поверхности и размеров пор Quadrasorb EVO или Quadrasorb SI (далее - прибор) в комплекте с дегазационной станцией, ершиками для мытья ячеек, насадкой для заполнения ячеек;
- четыре стандартные ячейки 9 мм с большим утолщением;
- четыре заполняющих стержня для стандартных ячеек 9 мм;
- сосуд Дьюара серии СК для жидкого азота;
- газообразный гелий по НД государств
<*>;
--------------------------------
<*> В Российской Федерации - по ТУ 0271-135-31323949-2005 "Гелий газообразный (сжатый)".
- газообразный азот особой чистоты по
ГОСТ 9293;
- жидкий технический азот 1-го сорта по
ГОСТ 9293;
5.10.3 Подготовка к выполнению измерений
5.10.3.1 Для приготовления раствора соляной кислоты, разбавленной дистиллированной водой в объемном соотношении 1:2, в стакан В-1-600 ТС цилиндром 1-250-2 наливают 200 см3 дистиллированной воды, цилиндром 1-100-2 приливают 100 см3 концентрированной соляной кислоты осторожно, небольшими порциями, перемешивая.
Раствор хранят длительное время в склянке с завинчивающейся крышкой при комнатной температуре.
5.10.3.2 Ячейки промывают ершиком проточной водой, раствором соляной кислоты, разбавленной дистиллированной водой в объемном соотношении 1:2, ацетоном, после чего продувают воздухом при комнатной температуре в течение 5 мин. Ячейки очищают после выполнения каждого измерения.
5.10.3.3 Подготовка пробы для проведения анализа с дегазацией
Одновременно заполняют пробой четыре ячейки.
Каждую пустую ячейку поочередно помещают в цилиндр 1-100-2 и взвешивают с точностью до четвертого десятичного знака m1i, г.
С использованием насадки ячейки заполняют пробой на 2/3 вместимости и прочищают верхние части ячеек сухим ершиком.
Ячейки с пробой (без заполняющих стержней) устанавливают в дегазационную станцию и проводят дегазацию пробы.
Ячейки с пробой охлаждают до комнатной температуры и, поместив поочередно каждую в тот же цилиндр 1-100-2, взвешивают с точностью до четвертого десятичного знака m2i, г.
По разности масс рассчитывают массу навески пробы mi, г, в каждой ячейке mi = m2i - m1i, значение которой вносят в программное обеспечение прибора.
5.10.3.4 Подготовка пробы для проведения анализа без дегазации
Одновременно заполняют пробой четыре ячейки.
Каждую пустую ячейку поочередно помещают в цилиндр 1-100-2 и взвешивают с точностью до четвертого десятичного знака m1i, г.
С использованием насадки ячейки заполняют пробой на 2/3 вместимости и прочищают верхние части ячеек сухим ершиком.
Помещают поочередно каждую ячейку в тот же цилиндр 1-100-2 и взвешивают с точностью до четвертого десятичного знака m2i, г.
По разности масс рассчитывают массу навески пробы mi, г, в каждой ячейке mi = m2i - m1i, значение которой вносят в программное обеспечение прибора.
5.10.3.5 При выборе точек для анализа используют значения P/P0 в диапазоне от 0,03 до 0,3, число точек - 7, отметив методы обсчета "M" и "S".
Выбирают параметры равновесия:
pressure tolerance (toler) - 0,05 мм рт. ст.;
equilibrium time (Equ) - 180 с;
eqvilibrium time out (time out) - 360 с.
5.10.4 В ячейки вставляют заполняющие стержни. Затем ячейки с пробой и заполняющими стержнями, подготовленными по
5.10.3.3 (5.10.3.4), вставляют в рабочие станции прибора и проводят измерение.
5.10.5 Обработка результатов измерений
5.10.5.1 Снимают результат измерения удельной поверхности пробы в каждой рабочей станции, Si, м2/г, и определяют для каждой рабочей станции подходящие для обработки по методу BET точки по критерию Рукерола, используя автоматическую функцию в программном обеспечении прибора "Micropore BET assistant".
5.10.5.2 Если критерию Рукерола на каждой рабочей станции удовлетворяют точки от трех до семи, то за результат измерений удельной поверхности пробы

принимают среднеарифметическое значение результатов четырех параллельных определений
S1,
S2,
S3,
S4, м
2/г.
Если критерию Рукерола удовлетворяют только две точки на одной из четырех рабочих станций, измерение на этой рабочей станции признают ошибочным и за результат измерений удельной поверхности пробы

принимают среднеарифметическое значение результатов трех параллельных определений
S1,
S2,
S3.
Если критерию Рукерола удовлетворяют только две точки на двух рабочих станциях, измерение признают ошибочным и определение удельной поверхности пробы повторяют на четырех рабочих станциях.
Результат измерений округляют с точностью до первого десятичного знака.
5.11 Определение гранулометрического состава
5.11.1 Измерение гранулометрического состава проводят методом лазерной дифракции: диспергирование в дистиллированной воде с добавлением поверхностно-активного вещества (ПАВ), модель рассеяния Ми.
5.11.2 При определении гранулометрического состава применяют средства измерений, вспомогательные устройства и реактивы по
5.1.1, а также следующие:
- лазерный анализатор размера частиц типа MASTERSIZER 3000 E или другого типа с аналогичными характеристиками;
- обеззоленный фильтр ФМ "Белая лента" по НД государств
<*>;
--------------------------------
<*> В Российской Федерации - по ТУ 6-09-1678-95 "Фильтры обеззоленные ФМ "Белая лента".
- алкилбензолсульфонат натрия по НД государств
<**>;
--------------------------------
<**> В Российской Федерации - по ТУ 2481-135-07510508-2007 "Алкилбензолсульфонат натрия".
- сульфонол порошок по НД государств
<***>.
--------------------------------
<***> В Российской Федерации - по ТУ 2481-135-07510508-2007 "Сульфонол порошок".
Примечание - Технический полифосфат натрия и сульфонол порошок используются в качестве ПАВ.
5.11.3 Подготовка к проведению измерений
Перед проведением измерений приготавливают раствор ПАВ с массовой долей 1% и подготавливают пробы.
5.11.3.1 Для приготовления раствора ПАВ с массовой долей 1% в стакане В-1-600 ТС взвешивают с точностью до второго десятичного знака 5 г натрия полифосфата, цилиндром 1-500-2 добавляют 495 см3 дистиллированной воды и перемешивают до растворения навески. Затем раствор фильтруют через воронку В-75-110 ХС с обеззоленным фильтром "Белая лента".
Раствор хранят длительное время в склянке с завинчивающейся крышкой при комнатной температуре.
Примечание - Допускается вместо натрия полифосфата использовать сульфонол порошок
<***>.
--------------------------------
<***> В Российской Федерации - по ТУ 2481-135-07510508-2007 "Сульфонол порошок".
5.11.3.2 В стандартном окне программы прибора устанавливают показатель преломления материала - 1,58.
5.11.3.3 Стакан В-1-100 ТС на 1/4 вместимости заполняют пробой, цилиндром 1-50-2 приливают 30 см3 раствора ПАВ с массовой долей 1% и перемешивают - подготовленная проба.
В стакан диспергирующего устройства блока подготовки пробы анализатора цилиндром 1-1000-2 наливают 900 см3 дистиллированной воды и цилиндром 1-50-2 приливают 20 см3 раствора ПАВ с массовой долей 1% и измеряют фон.
После измерения фона добавляют подготовленную пробу небольшими порциями в объеме согласно инструкции на анализатор и проводят ультразвуковое диспергирование в течение 3 мин при максимальной мощности диспергирующего устройства блока подготовки проб.
5.11.4 Проводят не менее пяти измерений гранулометрического состава частиц d10, d50, d90, мкм (задают в программном обеспечении).
За результат измерений гранулометрического состава принимают среднее значение из пяти результатов параллельных определений для каждого показателя (считается автоматически и регистрируется в протоколе в электронном виде или на бумажном носителе). Результаты измерений округляют до первого десятичного знака.
5.12 Определение массовой доли летучих веществ
Массовую долю летучих веществ при температуре 105 °C определяют по
разделу 2 ГОСТ 21119.1 при массе навески пробы магния гидроксида (3,0 +/- 0,5) г.
5.13 Определение насыпной плотности
Метод основан на измерении массы на единицу объема магния гидроксида, который просыпается через воронку, приведенную на
рисунке 1.
1 - воронка с задвижкой; 2 - лабораторный штатив;
3 - измерительный цилиндр вместимостью 100 см3
5.13.1 При определении насыпной плотности применяют средства измерений и вспомогательные устройства по
5.1.1, а также следующие:
- измерительную металлическую линейку по
ГОСТ 427;
- лабораторный штатив;
- стеклянную палочку;
- воронку и измерительный цилиндр, изготовленные из нержавеющей стали.
5.13.2 Воронку устанавливают вертикально, закрепив в лабораторном штативе таким образом, чтобы нижнее отверстие воронки находилось на расстоянии 20 - 30 мм над измерительным цилиндром и соосно с ним.
5.13.3 Пустой измерительный цилиндр взвешивают с точностью до второго десятичного знака M0, г. Воронку заполняют пробой доверху при помощи стакана В-1-250 ТС, закрыв предварительно задвижку воронки. Затем задвижку воронки открывают и дают возможность пробе пересыпаться в измерительный цилиндр.
Примечание - При необходимости пробу допускается разрыхлять стеклянной палочкой.
После заполнения измерительного цилиндра линейкой выравнивают верх содержимого измерительного цилиндра, чтобы убрать избыточное количество пробы. Измерительный цилиндр с пробой взвешивают на весах с точностью до второго десятичного знака M1, г. Процедуру повторяют с новой порцией пробы.
5.13.4 Насыпную плотность Xi, г/см3, вычисляют по формуле

, (5.13.1)
где Vi - вместимость измерительного цилиндра (100 см3).
За результат определения насыпной плотности

, г/м
3, принимают среднеарифметическое значение результатов двух параллельных определений X
1 и X
2

, (5.13.2)
абсолютное расхождение между которыми должно быть не более 0,01 г/м3.
Результат определения округляют до числа значащих цифр, которому соответствует норма в
таблице 1.
5.14 Определение массовой доли остатка при просеве на сите с сеткой 45 мкм
5.14.1 Метод основан на промывании водой мелких частиц пробы продукта сквозь сито с сеткой 45 мкм с последующим высушиванием и взвешиванием оставшихся на сите более крупных частиц и вычислении их остатка в процентах к общей массе пробы, отобранной для анализа.
5.14.2 При определении массовой доли остатка при просеве на сите с сеткой 45 мкм применяют средства измерений и вспомогательные устройства по
5.1.1, а также следующие:
- сито металлическое с сеткой 45 мкм по
ГОСТ 6613;
- кристаллизационную цилиндрическую чашку ЧКЦ-2-5000 по
ГОСТ 25336;
- сушильный шкаф, обеспечивающий поддержание температуры (150 +/- 5) °C;
- часовое стекло;
- водопроводный кран с резиновым шлангом и распылителем, обеспечивающим распыление воды в форме конуса давлением (2,8 - 3,5) кгс/см2.
5.14.3 Перед началом рассева сито должно быть очищено от загрязнений и смочено водопроводной водой.
В стакане В-1-600 ТС взвешивают 100,0 г пробы с точностью до второго десятичного знака и количественно переносят на сито.
5.14.4 Сито с пробой помещают над кристаллизационной чашкой ЧКЦ-2-5000 и распыляют на сито воду круговыми движениями в течение 1 мин.
Затем сито с остатком помещают в сушильный шкаф и высушивают при температуре (150 +/- 5) °C до постоянной массы. Взвешивание проводят с точностью до второго десятичного знака.
Оставшиеся на сите частицы пробы переносят на часовое стекло, предварительно взвешенное с точностью до четвертого десятичного знака m1, и взвешивают с точностью до четвертого десятичного знака m2, г.
5.14.5 Массовую долю остатка при просеве на сите с сеткой 45 мкм Xi, %, рассчитывают по формуле

, (5.14.1)
где mi - масса навески пробы, г.
За результат измерения массовой доли остатка при просеве на сите с сеткой 45 мкм

, %, принимают среднеарифметическое значение результатов двух параллельных определений X
1j и X
2j, допускаемое относительное расхождение между которыми должно быть не более 20%.
Результат определения округляют до числа значащих цифр, которому соответствует норма в
таблице 1.
6 Упаковка, маркировка, транспортирование и хранение
6.1 Упаковка
6.1.1 Магний гидроксид упаковывают в герметичные клапанные полиэтиленовые, полипропиленовые (с клапаном и полиэтиленовым вкладышем), полипропиленовые ламинированные, бумажные или из комбинированных материалов мешки массой нетто не более 50 кг; мягкие специализированные контейнеры для сыпучих и влажных продуктов из полипропиленовой ткани массой нетто не более 1000 кг.
6.1.2 Допускается по согласованию с потребителем упаковывать магний гидроксид в тару других видов, обеспечивающую его качество и сохранность.
Предел допускаемого отклонения массы нетто упакованного магния гидроксида - по
ГОСТ 8.579.
6.1.3 Упаковка магния гидроксида, предназначенного для районов Крайнего Севера и отдаленных районов, - по
ГОСТ 15846.
6.2 Маркировка
6.2.1 Транспортная маркировка тары - по
ГОСТ 14192 с дополнительным указанием на каждой упаковочной единице:
- наименования предприятия-изготовителя и его товарного знака;
- юридического адреса;
- марки и наименования продукции;
- номера партии и даты изготовления;
- гарантийного срока хранения;
- обозначения настоящего стандарта;
- массы нетто;
- манипуляционного знака "Беречь от влаги".
6.2.2 Транспортную тару маркируют по
ГОСТ 14192 с указанием:
- числа пакетов в партии;
- числа упаковочных единиц в пакете;
- объема грузового места;
- габаритных размеров грузового места.
6.2.3 Маркировку наносят типографским способом, окраской по трафарету, методом штампования или печатными маркировочными машинами.
Допускается маркировочные данные наносить на ярлык, который должен быть прочно прикреплен к упаковке.
6.2.4 На каждую упаковочную единицу должна быть нанесена предупредительная маркировка по
ГОСТ 31340.
Транспортную и предупредительную маркировку допускается совмещать на одном ярлыке. Любой способ нанесения маркировки должен обеспечивать сохранность надписи.
6.3 Транспортирование и хранение
6.3.1 Магний гидроксид транспортируют транспортными средствами всех видов в соответствии с правилами перевозок грузов, действующими на этом виде транспорта.
6.3.2 Магний гидроксид транспортируют в транспортных пакетах по
ГОСТ 26663 с применением поддонов по
ГОСТ 33757.
Габаритные размеры и масса брутто транспортных пакетов - по
ГОСТ 24597.
Магний гидроксид, упакованный в специализированные мягкие контейнеры, по железной дороге транспортируют без перевалок в пути следования, с погрузкой и выгрузкой на подъездных путях предприятий. Размещение и крепление контейнеров на подвижном составе проводят в соответствии с техническими условиями погрузки и крепления грузов.
6.3.3 Магний гидроксид хранят в сухих закрытых складских помещениях, исключающих попадание влаги.
6.3.4 При хранении в отапливаемых складских помещениях мешки и транспортные пакеты с магнием гидроксидом располагают на расстоянии не менее 1 м от отопительных приборов.
7.1 Предприятие-изготовитель гарантирует соответствие магния гидроксида требованиям настоящего стандарта при соблюдении условий транспортирования и хранения.
7.2 Гарантийный срок хранения - 2 года с даты изготовления.