Главная // Актуальные документы // ГОСТ (Государственный стандарт)
СПРАВКА
Источник публикации
М.: Стандартинформ, 2018
Примечание к документу
Текст данного документа приведен с учетом поправки, опубликованной в "ИУС", N 4, 2018; поправки, опубликованной в "ИУС", N 12, 2023.

Документ введен в действие с 01.07.2018.

Взамен ГОСТ 1723-86 в части свежего репчатого лука, поставляемого для потребления в свежем виде.
Название документа
"ГОСТ 34306-2017. Межгосударственный стандарт. Лук репчатый свежий. Технические условия"
(введен в действие Приказом Росстандарта от 28.11.2017 N 1844-ст)

"ГОСТ 34306-2017. Межгосударственный стандарт. Лук репчатый свежий. Технические условия"
(введен в действие Приказом Росстандарта от 28.11.2017 N 1844-ст)


Содержание


Введен в действие
Приказом Федерального агентства
по техническому регулированию
и метрологии
от 28 ноября 2017 г. N 1844-ст
МЕЖГОСУДАРСТВЕННЫЙ СТАНДАРТ
ЛУК РЕПЧАТЫЙ СВЕЖИЙ
ТЕХНИЧЕСКИЕ УСЛОВИЯ
Fresh onion. Specifications
(Unece STANDARD FFV-25:2010
Concerning the marketing and commercial quality control
of onions,
MOD)
ГОСТ 34306-2017
Группа С42
МКС 67.080.01
ОКПД 01.12.11.121
Дата введения
1 июля 2018 года
Предисловие
Цели, основные принципы и основной порядок проведения работ по межгосударственной стандартизации установлены в ГОСТ 1.0-2015 "Межгосударственная система стандартизации. Основные положения" и ГОСТ 1.2-2015 "Межгосударственная система стандартизации. Стандарты межгосударственные, правила и рекомендации по межгосударственной стандартизации. Правила разработки, принятия, обновления и отмены"
Сведения о стандарте
1 ПОДГОТОВЛЕН Автономной некоммерческой организацией "Научно-исследовательский центр "Кубаньагростандарт" (АНО "НИЦ "Кубаньагростандарт") на основе русской версии стандарта, указанного в пункте 5
2 ВНЕСЕН Федеральным агентством по техническому регулированию и метрологии
3 ПРИНЯТ Межгосударственным советом по стандартизации, метрологии и сертификации (протокол от 25 сентября 2017 г. N 103-П)
За принятие проголосовали:
Краткое наименование страны по МК (ИСО 3166) 004-97
Код страны по МК (ИСО 3166) 004-97
Сокращенное наименование национального органа по стандартизации
Армения
AM
Минэкономики Республики Армения
Беларусь
BY
Госстандарт Республики Беларусь
Казахстан
KZ
Госстандарт Республики Казахстан
Киргизия
KG
Кыргызстандарт
Россия
RU
Росстандарт
Таджикистан
TJ
Таджикстандарт
4 Приказом Федерального агентства по техническому регулированию и метрологии от 28 ноября 2017 г. N 1844-ст межгосударственный стандарт ГОСТ 34306-2017 "Лук репчатый свежий. Технические условия" введен в действие в качестве национального стандарта Российской Федерации с 1 июля 2018 г.
5 Настоящий стандарт модифицирован по отношению к стандарту UNECE STANDARD FFV-25:2010, касающемуся сбыта и контроля товарного качества лука ("Concerning the marketing and commercial quality control of onions", MOD), путем внесения изменений в содержание разделов 2, 3, отдельных структурных элементов и слов в разделах 1, 3 - 6, выделенных в тексте курсивом. Настоящий стандарт дополнен разделами 7, 8 и библиографией.
Стандарт UNECE STANDARD FFV-25:2010 принят на 66-й сессии Рабочей группы по сельскохозяйственным стандартам качества Европейской экономической комиссии ООН [United Nations Economic Commission for Europe (UNECE)].
Наименование настоящего стандарта изменено относительно наименования указанного стандарта UNECE STANDARD FFV-25:2010 для приведения в соответствие с ГОСТ 1.5 (подраздел 3.6).
Официальные экземпляры стандарта UNECE STANDARD FFV-25:2010, касающегося сбыта и контроля товарного качества лука, на основе которого подготовлен настоящий стандарт, доступны на сайте UNECE http://www.unece.org/trade/agr/standard/fresh/ffv-standardse.html.
Содержание раздела IV стандарта UNECE STANDARD FFV-25:2010 в части исключенного термина "продукция, подверженная деградации" приведено в дополнительном приложении ДА.
Сопоставление структуры настоящего стандарта со структурой примененного в нем стандарта UNECE STANDARD FFV-25:2010 приведено в дополнительном приложении ДБ.
Сведения о соответствии ссылочных межгосударственных стандартов международным стандартам приведены в дополнительном приложении ДВ.
Настоящий стандарт подготовлен на основе применения ГОСТ Р 51783-2001 <*>
--------------------------------
<*> Приказом Федерального агентства по техническому регулированию и метрологии от 28 ноября 2017 г. N 1844-ст ГОСТ Р 51783-2001 "Лук репчатый свежий, реализуемый в розничной торговой сети. Технические условия" отменен с 1 июля 2018 г.
6 ВЗАМЕН ГОСТ 1723-86 в части свежего репчатого лука, поставляемого для потребления в свежем виде
Информация об изменениях к настоящему стандарту публикуется в ежегодном информационном указателе "Национальные стандарты", а текст изменений и поправок - в ежемесячном информационном указателе "Национальные стандарты". В случае пересмотра (замены) или отмены настоящего стандарта соответствующее уведомление будет опубликовано в ежемесячном информационном указателе "Национальные стандарты". Соответствующая информация, уведомление и тексты размещаются также в информационной системе общего пользования - на официальном сайте Федерального агентства по техническому регулированию и метрологии в сети Интернет (www.gost.ru)
Введение
При оформлении настоящего стандарта, модифицированного по отношению к стандарту UNECE STANDARD FFV-25:2010 (касающемуся сбыта и контроля товарного качества лука), исключен термин "продукция, подверженная деградации" и ее параметры, которые предусмотрены в разделе IV "Положения, касающиеся допусков". При этом причина исключения из настоящего стандарта термина "продукция, подверженная деградации" указана в дополнительном приложении ДА.
1 Область применения
Настоящий стандарт распространяется на свежие луковицы репчатого лука ботанических сортов (Allium cepa L. Cepa Group), поставляемые и реализуемые для потребления в свежем виде (далее - свежий репчатый лук).
Требования, обеспечивающие безопасность свежего репчатого лука для жизни и здоровья людей, изложены в 5.3, к качеству продукции - в 5.2, к маркировке - в 5.6.
2 Нормативные ссылки
В настоящем стандарте использованы нормативные ссылки на следующие межгосударственные стандарты:
ГОСТ 8.579-2002 Государственная система обеспечения единства измерений. Требования к количеству фасованных товаров в упаковках любого вида при их производстве, расфасовке, продаже и импорте
ГОСТ 166-89 (ИСО 3599-76) Штангенциркули. Технические условия
ГОСТ 427-75 Линейки измерительные металлические. Технические условия
ГОСТ 7502-98 Рулетки измерительные металлические. Технические условия
ГОСТ 9142-2014 Ящики из гофрированного картона. Общие технические условия
ГОСТ 10131-93 Ящики из древесины и древесных материалов для продукции пищевых отраслей промышленности, сельского хозяйства и спичек. Технические условия
ГОСТ 14192-96 <*> Маркировка грузов
--------------------------------
<*> В Российской Федерации действует ГОСТ Р 51474-99 "Упаковка. Маркировка, указывающая на способ обращения с грузами".
ГОСТ 17812-72 Ящики дощатые многооборотные для овощей и фруктов. Технические условия
ГОСТ 20463-75 Ящики деревянные проволокоармированные для овощей и фруктов. Технические условия
ГОСТ 21133-87 Поддоны ящичные специализированные для картофеля, овощей, фруктов и бахчевых культур. Технические условия
ГОСТ 23932-90 Посуда и оборудование лабораторные стеклянные. Общие технические условия
ГОСТ 25706-83 Лупы. Типы, основные параметры. Общие технические условия
ГОСТ 26927-86 Сырье и продукты пищевые. Методы определения ртути
ГОСТ 26929-94 Сырье и продукты пищевые. Подготовка проб. Минерализация для определения содержания токсичных элементов
ГОСТ 26930-86 Сырье и продукты пищевые. Метод определения мышьяка
ГОСТ 26932-86 Сырье и продукты пищевые. Методы определения свинца
ГОСТ 26933-86 Сырье и продукты пищевые. Методы определения кадмия
ГОСТ 27519-87 (ИСО 1956/1:82) Фрукты и овощи. Морфологическая и структуральная терминология. Часть 1
ГОСТ 27523-87 (ИСО 1991/1:1982) Овощи. Номенклатура. Первый список
ГОСТ 28498-90 Термометры жидкостные стеклянные. Общие технические требования. Методы испытаний
ГОСТ 29329-92 <*> Весы для статического взвешивания. Общие технические требования
--------------------------------
<*> В Российской Федерации действует ГОСТ Р 53228-2008 "Весы неавтоматического действия. Часть 1. Метрологические и технические требования. Испытания".
ГОСТ 30090-93 Мешки и мешочные ткани. Общие технические условия
ГОСТ 30349-96 Плоды, овощи и продукты их переработки. Методы определения остаточных количеств хлорорганических пестицидов
ГОСТ 30538-97 Продукты пищевые. Методика определения токсичных элементов атомно-эмиссионным методом
ГОСТ 30710-2001 Плоды, овощи и продукты их переработки. Методы определения остаточных количеств фосфорорганических пестицидов
ГОСТ 31628-2012 <**> Продукты пищевые и продовольственное сырье. Инверсионно-вольтамперометрический метод определения массовой концентрации мышьяка
--------------------------------
<**> В Российской Федерации действует ГОСТ Р 51766-2001 "Сырье и продукты пищевые. Атомно-абсорбционный метод определения мышьяка".
ГОСТ 32161-2013 Продукты пищевые. Метод определения содержания цезия Cs-137
ГОСТ 32163-2013 Продукты пищевые. Метод определения содержания стронция Sr-90
ГОСТ 32164-2013 Продукты пищевые. Метод отбора проб для определения стронция Sr-90 и цезия Cs-137
ГОСТ 33824-2016 Продукты пищевые и продовольственное сырье. Инверсионно-вольтамперометрический метод определения содержания токсичных элементов (кадмия, свинца, меди и цинка)
Примечание - При пользовании настоящим стандартом целесообразно проверить действие ссылочных стандартов в информационной системе общего пользования - на официальном сайте Федерального агентства по техническому регулированию и метрологии в сети Интернет или по ежегодному информационному указателю "Национальные стандарты", который опубликован по состоянию на 1 января текущего года, и по выпускам ежемесячного информационного указателя "Национальные стандарты" за текущий год. Если ссылочный стандарт заменен (изменен), то при пользовании настоящим стандартом следует руководствоваться заменяющим (измененным) стандартом. Если ссылочный стандарт отменен без замены, то положение, в котором дана ссылка на него, применяется в части, не затрагивающей эту ссылку.
3 Термины и определения
В настоящем стандарте применены термины и определения по ГОСТ 27519, ГОСТ 27523, а также следующий термин с соответствующим определением:
3.1 излишняя внешняя влажность: Влага на свежих луковицах репчатого лука от промывки, дождя, росы или полива.
Примечание - Конденсат на доставленных из холодильников или холодильных транспортных средств свежих луковицах репчатого лука, вызванный разницей температур, не считают излишней внешней влажностью.
4 Классификация
Свежий репчатый лук подразделяют на два товарных сорта: первый и второй.
5 Технические требования
5.1 Свежий репчатый лук должен соответствовать требованиям настоящего стандарта, быть подготовлен и упакован в потребительскую и/или транспортную упаковку по технологической инструкции с соблюдением требований, установленных нормативными правовыми актами государства, принявшего настоящий стандарт <***>.
--------------------------------
<***> Для государств - участников Евразийского экономического союза - по [1], [2], [3].
5.2 Качество свежего репчатого лука должно соответствовать характеристикам и нормам, указанным в таблице 1.
Таблица 1
Наименование показателя
Характеристика и норма для товарного сорта
первого
второго
Внешний вид
Луковицы вызревшие, целые, здоровые, чистые, не проросшие, без повреждений сельскохозяйственными вредителями, типичной для ботанического сорта формы и окраски, с сухими наружными чешуями (рубашкой) и высушенной шейкой длиной не более 5,0 см (за исключением лука в связках), без излишней внешней влажности, без полого и жесткого донца.
Луковицы без признаков прорастания, утолщений, вызванных неправильным вегетативным развитием, без следов повреждений, вызванных сельскохозяйственными вредителями или болезнями, без корешков.
Допускаются незначительные дефекты формы, окраски, небольшие пятна, которые не переходят на последний слой чешуи, защищающий луковицу, при условии, что площадь таких пятен не более 1/5 площади поверхности луковицы; поверхностные трещины наружной чешуи при условии защищенности луковицы, если эти дефекты не влияют на общий внешний вид, качество и товарный вид продукта в упаковочной единице.
Допускаются луковицы с сухими корешками длиной не более 1 см
Допускаются дефекты формы, окраски, незначительные зарубцевавшиеся следы потертости, небольшие зарубцевавшиеся трещины, небольшие следы повреждений, вызванных сельскохозяйственными вредителями или болезнями, пятна, которые не переходят на последний слой чешуи, защищающий луковицу, при условии, что площадь таких пятен не более 1/2 площади поверхности луковицы, трещины на наружной чешуе и ее частичное отсутствие на поверхности луковицы площадью не более 1/3 площади всей поверхности луковицы, при условии что луковица остается неповрежденной.
Допускаются луковицы с сухими корешками длиной не более 1 см
Размер луковиц по наибольшему поперечному диаметру, см, не менее
4,0
3,0
Запах и вкус
Характерные для ботанического сорта, без постороннего запаха и/или привкуса
Степень зрелости и состояние луковиц
Позволяющие выдерживать транспортирование, погрузку, разгрузку и доставку к месту назначения в удовлетворительном состоянии. Первые два наружных слоя чешуи и шейка должны быть сухими
Твердые и плотные
Достаточно твердые на ощупь
Массовая доля луковиц размером менее установленного не более чем на 1 см, %, не более
3,0
5,0
Массовая доля луковиц, %, не более:
- не соответствующих данному товарному сорту, но соответствующих более низкому товарному сорту,
10,0
- в том числе луковиц, не соответствующих требованиям второго сорта,
1,0
10,0
- оголенных (с отсутствием сухих чешуй более чем на 1/3 поверхности луковицы),
Не допускается
10,0
- с длиной высушенной шейки более 5 см,
1,0
10,0
- проросших луковиц, при весенне-летней реализации с длиной пера не более 1 см,
Не допускается
10,0
- с недостаточно высушенной шейкой:
- до 15 сентября включ.,
Не допускается
10,0
- после 15 сентября
Не допускается
5,0
Наличие посторонней примеси
Не допускается
Наличие луковиц загнивших, гнилых, запаренных, со следами плесени, подмороженных, поврежденных сельскохозяйственными вредителями, затрагивающими мякоть луковицы, поврежденных стеблевой нематодой и клещами
Не допускается
5.3 Содержание в свежем репчатом луке радионуклидов, токсичных элементов, пестицидов, нитратов, яиц гельминтов и цист кишечных патогенных простейших, микробиологические показатели безопасности (патогенные) не должны превышать норм, установленных нормативными правовыми актами государства, принявшего настоящий стандарт <*>.
--------------------------------
<*> Для государств - участников Евразийского экономического союза - по [1].
5.4 Калибровка
5.4.1 Калибровку свежего репчатого лука проводят по наибольшему поперечному диаметру луковицы.
5.4.2 В одной упаковочной единице разница между наименьшим и наибольшим диаметром луковиц не должна превышать: для первого сорта 1,0 см, для второго 2,0 см.
5.5 Упаковка
5.5.1 Упаковка свежего репчатого лука - по нормативным правовым актам государства, принявшего настоящий стандарт <**>.
--------------------------------
<**> Для государств - участников Евразийского экономического союза - по [2].
5.5.2 Свежий репчатый лук упаковывают произвольной массой в потребительскую упаковку из полимерных и комбинированных материалов или других материалов, использование которых в контакте с продуктом данного вида обеспечивает сохранение его качества и безопасности.
По согласованию с потребителем допускается не упаковывать свежий репчатый лук в потребительскую упаковку.
5.5.3 Свежий репчатый лук упаковывают непосредственно в ящики по ГОСТ 9142, ГОСТ 10131, ГОСТ 17812, ГОСТ 20463, ящичные поддоны по ГОСТ 21133, в сетчатые и тканевые мешки по ГОСТ 30090 или в другую упаковку, обеспечивающую качество и безопасность продукта при транспортировке.
5.5.4 Материалы, используемые для упаковки, а также чернила, краска, клей, бумага, применяемые для нанесения текста или наклеивания этикеток, должны обеспечивать при контакте с луковицами сохранение их качества и безопасности.
5.5.5 Содержимое каждой упаковочной единицы (или партии продукции, поставляемой навалом в транспортном средстве) должно быть однородным, содержать только свежий репчатый лук одного ботанического и товарного сортов. Видимая часть содержимого упаковочной единицы должна соответствовать содержимому всей упаковки.
5.5.6 Смесь свежего репчатого лука различных сортотипов и/или окраски может быть упакована в одну потребительскую упаковку при условии, что луковицы относятся к одному товарному сорту и в отношении окраски и/или товарного типа являются однородными по происхождению.
5.5.7 Масса нетто фасованного продукта в потребительской упаковочной единице должна соответствовать номинальной, указанной в маркировке на потребительской упаковке, с учетом допустимых отклонений.
Отрицательное отклонение массы нетто свежего репчатого лука от номинальной массы нетто каждой упаковочной единицы должно соответствовать требованиям ГОСТ 8.579.
Отклонение массы нетто свежего репчатого лука в одной упаковочной единице от номинальной массы нетто в сторону увеличения не регламентируют по [4].
5.6 Маркировка
5.6.1 Маркировка потребительской и транспортной упаковочной единицы свежего репчатого лука - по нормативным правовым актам государства, принявшего настоящий стандарт <*>.
--------------------------------
<*> Для государств - участников Евразийского экономического союза - по [4].
5.6.2 Информация, наносимая на потребительскую упаковочную единицу свежего репчатого лука, должна содержать:
- наименование продукта;
- наименование и место нахождения изготовителя или фамилию, имя, отчество индивидуального предпринимателя-изготовителя, наименование и место нахождения уполномоченного изготовителем лица, наименование и место нахождения организации-импортера или фамилию, имя, отчество индивидуального предпринимателя - импортера;
- товарный знак изготовителя (при наличии);
- страну происхождения и, при необходимости, район производства или его национальное, региональное или местное наименование;
- наименование фасовщика (для фасованной продукции);
- массу нетто;
- товарный сорт;
- сортотип ("округлый", "овальный" или "удлиненный);
- дату сбора и дату упаковывания;
- срок годности;
- условия хранения;
- сведения о применении генно-модифицированных организмов: в случае если продукция содержит более 0,9% генно-модифицированных организмов, в маркировке приводят информацию об их наличии (например, "генно-модифицированный продукт");
- обозначение настоящего стандарта;
- информацию о подтверждении соответствия.
5.6.3 Маркировка транспортной упаковки - по ГОСТ 14192 с нанесением манипуляционных знаков: "Скоропортящийся груз", "Ограничение температуры".
6 Правила приемки
6.1 Свежий репчатый лук принимают партиями. Под партией понимают любое количество свежего репчатого лука одного ботанического и товарного сорта, одинаково упакованное или не упакованное, поступившее в одном транспортном средстве из одной страны и сопровождаемое товаросопроводительной документацией, обеспечивающей прослеживаемость продукции.
Сопроводительный документ должен содержать следующую информацию:
- номер документа и дату его выдачи;
- наименование и адрес отправителя;
- наименование и адрес получателя;
- наименование продукта;
- сортотип;
- товарный сорт;
- количество упаковочных единиц;
- массу нетто продукта в упаковочной единице;
- дату сбора, дату упаковывания и дату отгрузки;
- срок годности;
- условия хранения;
- номер и вид транспортного средства;
- обозначение настоящего стандарта;
- информацию о подтверждении соответствия.
6.2 Порядок и периодичность контроля
6.2.1 Контроль показателей качества, массы нетто продукта в упаковочной единице, качества упаковки и маркировки проводят для каждой партии продукции.
6.2.2 Для определения качества свежего репчатого лука, правильности упаковывания и маркирования, а также массы продукта в упаковочной единице на соответствие требованиям настоящего стандарта от партии свежего репчатого лука из разных мест отбирают выборку, объем которой указан в таблице 2.
Таблица 2
Объем партии, количество упаковочных единиц
Объем выборки, количество отбираемых упаковочных единиц
До 500 включ.
15
Св. 500 до 1000 включ.
20
Св. 1000 до 5000 включ.
25
Св. 5000 до 10 000 включ.
30
Св. 10 000
30 и дополнительно на каждые 500 полных и неполных упаковочных единиц по одной упаковочной единице
Примечание - При объеме партии менее 15 упаковочных единиц в выборку отбирают все упаковочные единицы.
6.2.3 Из каждой отобранной в выборку упаковочной единицы из разных мест отбирают точечные пробы массой не менее 10% луковиц. Из точечных проб составляют объединенную пробу массой не менее 3 кг, которую анализируют.
6.2.4 После проверки отобранные упаковочные единицы присоединяют к партии свежего репчатого лука.
6.2.5 Качество свежего репчатого лука в поврежденных упаковочных единицах проверяют отдельно и результаты распространяют только на свежий репчатый лук, находящийся в этих упаковочных единицах.
6.2.6 Контроль за содержанием в свежем репчатом луке токсичных элементов, радионуклидов, пестицидов, нитратов, яиц гельминтов и цист кишечных патогенных простейших, микробиологическими показателями (патогенными) проводят в соответствии с порядком, установленным изготовителем продукции согласно нормативным правовым актам государства, принявшего настоящий стандарт <*>.
--------------------------------
<*> Для государств - участников Евразийского экономического союза - по [1].
6.2.7 Результаты проверки распространяют на всю партию.
6.2.8 При получении неудовлетворительных результатов определения хотя бы по одному из показателей по нему проводят повторное определение удвоенного объема выборки, взятого из той же партии. Результаты повторного определения являются окончательными и распространяются на всю партию.
7 Методы контроля
7.1 Качество упаковки и маркировки упаковочных единиц, отобранных по 6.2.2, оценивают на соответствие требованиям настоящего стандарта визуально.
7.2 Порядок проведения контроля
7.2.1 Средства измерений:
- весы для статического взвешивания по ГОСТ 29329 среднего класса точности с наибольшим пределом взвешивания 25 кг, ценой поверочного деления e = 50 г и пределом допускаемой погрешности +/- 0,5 e;
- весы по ГОСТ 29329 среднего класса точности с наибольшим пределом взвешивания не более 3 кг и ценой поверочного деления e <= 2 г;
- штангенциркуль по ГОСТ 166 первого класса точности с погрешностью измерений 0,05 мм или второго класса с погрешностью измерений 0,1 мм;
- линейка металлическая по ГОСТ 427 длиной 300 мм, ценой деления 1 мм и погрешностью измерений +/- 0,1 мм;
- лупа с увеличением 10 x 20 по ГОСТ 25706;
- лупа бинокулярная с увеличением 10 x 20 по ГОСТ 25706;
- чашка Петри по ГОСТ 23932;
- термометры ртутные стеклянные диапазоном измерения от 0 до 100 °C, ценой деления 1,0 °C по ГОСТ 28498.
Допускается применение других средств измерений с метрологическими характеристиками не ниже указанных.
7.2.2 Проверке по качеству подлежат все луковицы свежего репчатого лука, отобранные по 6.2.3.
7.2.3 Отобранные в выборку упаковочные единицы продукции в потребительской упаковке поочередно взвешивают, определяют массу нетто в килограммах. Для определения средней массы продукции в упаковочной единице взвешивают без выбора десять упаковочных единиц.
Результаты взвешивания записывают с точностью до второго десятичного знака.
7.2.4 Внешний вид, степень зрелости и состояние луковиц, наличие луковиц проросших, гнилых, испорченных, со следами плесени, подмороженных, поврежденных сельскохозяйственными вредителями, наличие посторонней примеси, сельскохозяйственных вредителей, запах и вкус определяют органолептически.
7.2.5 Длину шейки, размер луковицы измеряют штангенциркулем по ГОСТ 166 или рулеткой по ГОСТ 7502.
7.2.6 Для определения зараженности свежего репчатого лука болезнями и наличия сельскохозяйственных вредителей (нематода, клещ) отбирают и взвешивают не менее 50 луковиц из объединенной пробы.
Для определения наличия клеща с каждой луковицы, отобранной по 7.2.6, снимают поочередно наружные сухие чешуи. Поверхность чешуй, особенно около основания донца, просматривают лупой (увеличение 10 x 20) или бинокулярной лупой.
Охлажденные луковицы перед проведением анализа выдерживают при комнатной температуре от 1,5 до 2 ч, затем прогревают до 25 - 30 °C для приведения клещей в активное состояние.
7.2.7 Для определения наличия нематод берут без выбора 25 луковиц от луковиц после определения наличия клеща, от каждой луковицы срезают нижнюю часть сочных чешуй толщиной около 5 мм вместе с частью донца, измельчают на кусочки размером 1 - 3 мм, которые переносят в чашки Петри или другую плоскую посуду (часовое стекло, блюдце) и заливают водой, имеющей температуру 20 - 25 °C, слоем 4 - 6 мм.
Через 1 - 1,5 ч при помощи бинокуляра или лупы (увеличение 10 x 20) слой воды между кусочками репчатого лука просматривают для обнаружения нематод.
Для определения зараженности свежего репчатого лука болезнями в скрытой форме у каждой луковицы, отобранной по 6.2.6, разрывают сухие и сочные чешуи.
7.2.8 Луковицы в объединенной пробе, отобранной по 6.2.3, взвешивают, определяют общую массу свежего репчатого лука в объединенной пробе, m, осматривают ее и рассортировывают на фракции по показателям, установленным в таблице 1 и в 5.4.2.
7.2.9 Взвешивают каждую фракцию свежего репчатого лука mi. Результат взвешивания фракций записывают с точностью до второго десятичного знака.
7.2.10 По результатам взвешиваний по 7.2.9 определяют в процентах массовую долю свежего репчатого лука с отклонениями от значений показателей, установленных в таблице 1 и в 5.4.2.
7.3 Обработка результатов
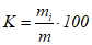
7.3.1 Массовую долю каждой фракции свежего репчатого лука с отклонениями по качеству и размерам K, %, от общей массы луковиц в объединенной пробе вычисляют по формуле
, (1)
где mi - масса фракции свежего репчатого лука с отклонениями по качеству и размерам, кг;
m - общая масса свежего репчатого лука в объединенной пробе, кг.
7.3.2 Вычисления проводят с точностью до второго десятичного знака с последующим округлением до первого десятичного знака.
Полученные результаты сравнивают со значениями, указанными в таблице 1 и в 5.4.2. Результаты распространяют на всю партию.
7.4 Подготовка проб и минерализация проб для определения содержания токсичных элементов - по ГОСТ 26929, радионуклидов - по ГОСТ 32164.
7.5 Определение токсичных элементов - по ГОСТ 26927, ГОСТ 26930, ГОСТ 26932, ГОСТ 26933, ГОСТ 30538, ГОСТ 31628, ГОСТ 33824.
7.6 Определение хлорорганических пестицидов - по ГОСТ 30349, фосфорорганических пестицидов - по ГОСТ 30710.
7.7 Определение наличия генетически модифицированных организмов - по нормативным документам государства, принявшего настоящий стандарт <*>.
--------------------------------
<*> В Российской Федерации действуют ГОСТ Р 52173-2003 "Сырье и продукты пищевые. Метод идентификации генетически модифицированных источников (ГМИ) растительного происхождения" и ГОСТ Р 52174-2003 "Биологическая безопасность. Сырье и продукты пищевые. Метод идентификации генетически модифицированных источников (ГМИ) растительного происхождения с применением биологического микрочипа" (с изменением 2).
7.8 Определение радионуклидов - по ГОСТ 32161, ГОСТ 32163.
7.9 Определение нитратов, наличия яиц гельминтов и цист кишечных патогенных простейших, микробиологических показателей (патогенных) - по нормативным документам государства, принявшего настоящий стандарт.
8 Транспортирование и хранение
8.1 Свежий репчатый лук транспортируют в чистых, сухих, без постороннего запаха, не зараженных сельскохозяйственными вредителями транспортных средствах в соответствии с условиями транспортирования, установленными изготовителем, в случае их отсутствия - в соответствии с условиями хранения свежего репчатого лука, установленными изготовителем.
8.2 Свежий репчатый лук хранят в чистых, сухих, не зараженных сельскохозяйственными вредителями, без постороннего запаха, хорошо вентилируемых, охлаждаемых помещениях согласно нормативным документам, действующим на территории государства, принявшего настоящий стандарт <**>.
--------------------------------
<**> Для государств - участников Евразийского экономического союза - по [1].
8.3 Условия хранения свежего репчатого лука устанавливает изготовитель в соответствии с нормативными документами, действующими на территории государства, принявшего настоящий стандарт.
Приложение ДА
(справочное)
СОДЕРЖАНИЕ РАЗДЕЛА IV UNECE STANDARD FFV-25:2010 В ЧАСТИ
ИСКЛЮЧЕННОГО ТЕРМИНА "ПРОДУКЦИЯ, ПОДВЕРЖЕННАЯ ДЕГРАДАЦИИ"
Таблица ДА.1
Раздел, пункт
Модификация
Стандарт UNECE STANDARD FFV-25:2010,
раздел IV, A, I), II)
Заменено:
"IV. Положения, касающиеся допусков
А. Допуски по качеству
I) Первый сорт
В общей сложности допускается наличие 10% от количества или массы лука, не соответствующего требованиям этого сорта, но отвечающего требованиям второго сорта. В пределах этого допуска не более 1% общего количества может составлять продукция, которая не удовлетворяет ни требованиям качества второго сорта, ни минимальным требованиям, или продукция, подверженная деградации.
II) Второй сорт
В общей сложности допускается наличие 10% от количества или массы лука, не удовлетворяющего ни требованиям этого сорта, ни минимальным требованиям. В пределах этого допуска не более 2% общего количества может составлять продукция, подверженная деградации"
на
ГОСТ 34306-2017,
"Массовая доля луковиц, не соответствующих данному товарному сорту, но соответствующих более низкому товарному сорту, %, не более:
для первого сорта - 10,0,
в том числе не соответствующих требованиям второго сорта - не более 1,0%,
для второго сорта - 10,0,
в том числе не соответствующих требованиям второго сорта - не более 10,0%"
Примечание - В настоящем стандарте по отношению к стандарту UNECE STANDARD FFV-25:2010 исключен термин "продукция, подверженная деградации" (и нормы для нее) в связи с отсутствием этого термина и определения такой категории ("продукция, подверженная деградации") в нормативных документах на плодоовощную продукцию в Российской Федерации.
Приложение ДБ
(справочное)
СОПОСТАВЛЕНИЕ СТРУКТУРЫ НАСТОЯЩЕГО СТАНДАРТА СО СТРУКТУРОЙ
ПРИМЕНЕННОГО В НЕМ СТАНДАРТА UNECE STANDARD FFV-25:2010
Таблица ДБ.1
Структура настоящего стандарта
Структура стандарта UNECE STANDARD FFV-25:2010
1 Область применения
I Определение продукта
2 Нормативные ссылки
II Положения, касающиеся качества
3 Термины и определения
III Положения, касающиеся калибровки
4 Классификация
IV Положения, касающиеся допусков
5 Технические требования (пункты 5.1 - 5.4), а также:
5.5 Упаковка;
5.6 Маркировка
V Положения, касающиеся товарного вида
6 Правила приемки
VI Положения, касающиеся маркировки
7 Методы контроля
-
8 Транспортирование и хранение
-
Приложение ДА (справочное) Содержание раздела IV UNECE STANDARD FFV-25:2010 в части исключенного термина "продукция, подверженная деградации"
-
Приложение ДБ (справочное) Сопоставление структуры настоящего стандарта со структурой примененного в нем стандарта UNECE STANDARD FFV-25:2010
-
Приложение ДВ (справочное) Сведения о соответствии ссылочных межгосударственных стандартов международным стандартам
-
-
Примечание - В настоящий стандарт дополнительно внесены разделы 7, 8, а также дополнительные приложения ДА, ДБ, ДВ в соответствии с требованиями к оформлению межгосударственного стандарта, модифицированного по отношению к стандарту UNECE STANDARD FFV, и библиография.
Приложение ДВ
(справочное)
СВЕДЕНИЯ О СООТВЕТСТВИИ ССЫЛОЧНЫХ МЕЖГОСУДАРСТВЕННЫХ
СТАНДАРТОВ МЕЖДУНАРОДНЫМ СТАНДАРТАМ
Таблица ДВ.1
Обозначение межгосударственного стандарта
Степень соответствия
Обозначение и наименование соответствующего международного стандарта
ГОСТ 166-89 (ИСО 3599-76)
IDT
ISO 3599-76 "Штангенциркули с нониусом с точностью измерения до 0,1 и 0,05 мм"
ГОСТ 27519-87 (ИСО 1956/1:82)
MOD
ISO 1956/1:82 <*> "Фрукты и овощи. Морфологическая и структуральная терминология. Часть 1"
ИС МЕГАНОРМ: примечание.
В официальном тексте документа, видимо, допущена опечатка: стандарт имеет номер ГОСТ 27523-87, а не ГОСТ 27523-82.
ГОСТ 27523-82 (ИСО 1991-1-82)
IDT
ISO 1991/1:1982 "Овощи. Номенклатура. Первый список"
Примечание - В настоящей таблице использованы следующие условные обозначения степени соответствия стандартов:
- IDT - идентичные стандарты;
- MOD - модифицированные стандарты.
--------------------------------
<*> ISO 1956/1:82 был рассмотрен и затем подтвержден в 2014 г.
Библиография
[1]
Технический регламент Таможенного союза "О безопасности пищевой продукции"
[2]
Технический регламент Таможенного союза "О безопасности упаковки"
[3]
Технический регламент Таможенного союза "Пищевая продукция в части ее маркировки"
ИС МЕГАНОРМ: примечание.
В официальном тексте документа, видимо, допущена опечатка: Директива имеет номер 76/211/ЕЭС, а не 76/211/ЕС.
[4]
Директива Совета Европейских сообществ от 20 января 1976 г. (76/211/ЕС) "О сближении законодательств государств-членов относительно предварительной фасовки некоторых продуктов по массе или по объему в единице фасованной продукции"