Главная // Актуальные документы // ГОСТ (Государственный стандарт)СПРАВКА
Источник публикации
М.: Стандартинформ, 2017
Примечание к документу
Документ
введен в действие с 1 июля 2018 года.
Название документа
"ГОСТ 34218-2017. Межгосударственный стандарт. Фенхель свежий. Технические условия"
(введен в действие Приказом Росстандарта от 05.12.2017 N 1875-ст)
"ГОСТ 34218-2017. Межгосударственный стандарт. Фенхель свежий. Технические условия"
(введен в действие Приказом Росстандарта от 05.12.2017 N 1875-ст)
по техническому регулированию
и метрологии
от 5 декабря 2017 г. N 1875-ст
МЕЖГОСУДАРСТВЕННЫЙ СТАНДАРТ
ФЕНХЕЛЬ СВЕЖИЙ
ТЕХНИЧЕСКИЕ УСЛОВИЯ
Fresh fennel. Specifications
(UNECE STANDARD FFV-16:2013,
Concerning the marketing and commercial quality
control of fennel, MOD)
ГОСТ 34218-2017
ОКПД 01.13.49.190
Дата введения
1 июля 2018 года
Цели, основные принципы и основной порядок проведения работ по межгосударственной стандартизации установлены в
ГОСТ 1.0-2015 "Межгосударственная система стандартизации. Основные положения" и
ГОСТ 1.2-2015 "Межгосударственная система стандартизации. Стандарты межгосударственные, правила и рекомендации по межгосударственной стандартизации. Правила разработки, принятия, обновления и отмены"
1 ПОДГОТОВЛЕН Автономной некоммерческой организацией "Научно-исследовательский центр "Кубаньагростандарт" (АНО "НИЦ "Кубаньагростандарт") на основе русской версии стандарта, указанного в
пункте 5
2 ВНЕСЕН Федеральным агентством по техническому регулированию и метрологии
3 ПРИНЯТ Межгосударственным советом по стандартизации, метрологии и сертификации (протокол от 14 июля 2017 г. N 101-П)
За принятие проголосовали:
Краткое наименование страны по МК (ИСО 3166) 004-97 | Код страны по МК (ИСО 3166) 004-97 | Сокращенное наименование национального органа по стандартизации |
Армения | AM | Минэкономики Республики Армения |
Беларусь | BY | Госстандарт Республики Беларусь |
Казахстан | KZ | Госстандарт Республики Казахстан |
Киргизия | KG | Кыргызстандарт |
Россия | RU | Росстандарт |
Узбекистан | UZ | Узстандарт |
4
Приказом Федерального агентства по техническому регулированию и метрологии от 5 декабря 2017 г. N 1875-ст межгосударственный стандарт ГОСТ 34218-2017 введен в действие в качестве национального стандарта Российской Федерации с 1 июля 2018 г.
5 Настоящий стандарт модифицирован по отношению к стандарту UNECE STANDARD FFV-16:2013, касающемуся сбыта и контроля товарного качества фенхеля ("Concerning the marketing and commercial quality control of fennel", MOD), принятому на 69-й сессии Рабочей группы по сельскохозяйственным стандартам качества Европейской экономической комиссии ООН [United Nations Economic Commission for Europe (UNECE)], путем внесения дополнительных положений, фраз, изменений по отношению к тексту стандарта UNECE STANDARD FFV-16:2013 в содержание
разделов 1 -
6, отдельных структурных элементов, показателей и их значений в
разделах 5,
6, выделенных в тексте курсивом. Настоящий стандарт дополнен
разделами 7,
8 и
библиографией.
Официальные экземпляры стандарта UNECE STANDARD FFV-16:2013, касающегося сбыта и контроля товарного качества фенхеля, на основе которого подготовлен настоящий стандарт, доступны на сайте UNECE http://www.unece.org/trade/agr/standard/fresh/ffv-standardse.html.
Содержание раздела IV стандарта UNECE STANDARD FFV-16:2013 в части исключенного термина "продукция, подверженная деградации" приведено в дополнительном
приложении ДА.
Сопоставление структуры настоящего стандарта со структурой стандарта UNECE STANDARD FFV-16:2013 приведено в дополнительном
приложении ДБ.
Наименование настоящего стандарта изменено относительно наименования стандарта UNECE STANDARD FFV-16:2013 для приведения в соответствие с ГОСТ 1.5
(подраздел 3.6).
Сведения о соответствии ссылочных межгосударственных стандартов международным стандартам, использованным в качестве ссылочных в примененном стандарте UNECE STANDARD FFV-16:2013, приведены в дополнительном
приложении ДВ
6 Настоящий стандарт подготовлен на основе применения ГОСТ Р 55905-2013 (ЕЭК ООН FFV-16:2010) <*>
--------------------------------
<*>
Приказом Федерального агентства по техническому регулированию и метрологии от 5 декабря 2017 г. N 1875-ст ГОСТ Р 55905-2013 (ЕЭК ООН FFV-16:2010) отменен с 1 июля 2018 г.
7 ВВЕДЕН ВПЕРВЫЕ
Информация об изменениях к настоящему стандарту публикуется в ежегодном информационном указателе "Национальные стандарты", а текст изменений и поправок - в ежемесячном информационном указателе "Национальные стандарты". В случае пересмотра (замены) или отмены настоящего стандарта соответствующее уведомление будет опубликовано в ежемесячном информационном указателе "Национальные стандарты". Соответствующая информация, уведомление и тексты размещаются также в информационной системе общего пользования - на официальном сайте Федерального агентства по техническому регулированию и метрологии в сети Интернет (www.gost.ru)
При оформлении настоящего стандарта, модифицированного по отношению к стандарту UNECE STANDARD FFV-16:2013, касающемуся сбыта и контроля товарного качества фенхеля, исключен термин "продукция, подверженная деградации" и ее параметры, которые предусмотрены в разделе IV "Положения, касающиеся допусков" для фенхеля свежего первого и второго сортов". При этом причина исключения из настоящего стандарта термина "продукция, подверженная деградации" указана в дополнительном приложении ДА.
Настоящий стандарт распространяется на свежие кочанчики сладкого (овощного) фенхеля разновидности (культурных сортов) Foeniculum vulgare var. azoricum (Mill.) Thell (далее - свежий фенхель), поставляемые и реализуемые в свежем виде для потребления.
Требования, обеспечивающие безопасность продукции для жизни и здоровья людей, изложены в 5.4, к качеству - в 5.2, к маркировке - в 5.6.
В настоящем стандарте использованы нормативные ссылки на следующие межгосударственные стандарты:
ГОСТ 8.579-2002 Государственная система обеспечения единства измерений. Требования к количеству фасованных товаров в упаковках любого вида при их производстве, расфасовке, продаже и импорте
ГОСТ 166-89 (ISO 3599-76) Штангенциркули. Технические условия
ГОСТ 427-75 Линейки измерительные металлические. Технические условия
ГОСТ 11354-93 Ящики из древесины и древесных материалов многооборотные для продукции пищевых отраслей промышленности и сельского хозяйства. Технические условия
--------------------------------
<*> В Российской Федерации действует ГОСТ Р 51474-99 "Упаковка. Маркировка, указывающая на способ обращения с грузами".
ГОСТ 17812-72 Ящики дощатые многооборотные для овощей и фруктов. Технические условия
ГОСТ 20463-75 Ящики деревянные проволокоармированные для овощей и фруктов. Технические условия
ГОСТ 23285-78 Пакеты транспортные для пищевых продуктов и стеклянной тары. Технические условия
ГОСТ 26929-94 Сырье и продукты пищевые. Подготовка проб. Минерализация для определения содержания токсичных элементов
ГОСТ 26930-86 Сырье и продукты пищевые. Метод определения мышьяка
ГОСТ 26932-86 Сырье и продукты пищевые. Методы определения свинца
ГОСТ 26933-86 Сырье и продукты пищевые. Методы определения кадмия
ГОСТ 27523-87 (ISO 1991-1:1982) Овощи. Номенклатура. Первый список
ГОСТ 29329-92 <*> Весы для статического взвешивания. Общие технические требования
--------------------------------
<*> В Российской Федерации действует ГОСТ Р 53228-2008 "Весы неавтоматического действия. Часть 1. Метрологические и технические требования. Испытания".
ГОСТ 30349-96 Плоды, овощи и продукты их переработки. Методы определения остаточных количеств хлорорганических пестицидов
ГОСТ 30538-97 Продукты пищевые. Методика определения токсичных элементов атомно-эмиссионным методом
ГОСТ 30710-2001 Плоды, овощи и продукты их переработки. Методы определения остаточных количеств фосфорорганических пестицидов
ГОСТ 31628-2012 <**> Продукты пищевые и продовольственное сырье. Инверсионно-вольтамперометрический метод определения массовой концентрации мышьяка
--------------------------------
<**> В Российской Федерации действует ГОСТ Р 51766-2001 "Сырье и продукты пищевые. Атомно-абсорбционный метод определения мышьяка".
ГОСТ 32161-2013 Продукты пищевые. Метод определения содержания цезия Cs-137
ГОСТ 32163-2013 Продукты пищевые. Метод определения содержания стронция Sr-90
ГОСТ 32164-2013 Продукты пищевые. Метод отбора проб для определения стронция Sr-90 и цезия Cs-137
ГОСТ 33781-2016 Упаковка потребительская из картона, бумаги и комбинированных материалов. Общие технические условия
ГОСТ 33824-2016 Продукты пищевые и продовольственное сырье. Инверсионно-вольтамперометрический метод определения содержания токсичных элементов (кадмия, свинца, меди и цинка)
Примечание - При пользовании настоящим стандартом целесообразно проверить действие ссылочных стандартов в информационной системе общего пользования - на официальном сайте Федерального агентства по техническому регулированию и метрологии в сети Интернет или по ежегодному информационному указателю "Национальные стандарты", который опубликован по состоянию на 1 января текущего года, и по выпускам ежемесячного информационного указателя "Национальные стандарты" за текущий год. Если ссылочный стандарт заменен (изменен), то при пользовании настоящим стандартом следует руководствоваться заменяющим (измененным) стандартом. Если ссылочный стандарт отменен без замены, то положение, в котором дана ссылка на него, применяется в части, не затрагивающей эту ссылку.
В настоящем стандарте применен термин и определение по ГОСТ 27523, а также следующие термины с соответствующими определениями:
3.1 излишняя внешняя влажность: Влага от дождя, росы или вытекания собственного сока.
Примечание - Конденсат на продукте, вызванный разницей температур, не считают излишней внешней влажностью.
Свежий фенхель в зависимости от качества подразделяют на два товарных сорта: первый, второй.
5.
Технические требования
5.1 Свежий фенхель должен соответствовать требованиям настоящего стандарта и быть подготовлен и упакован в потребительскую и/или транспортную упаковку по технологической инструкции с соблюдением требований, установленных нормативными правовыми актами государства, принявшего настоящий стандарт <***>.
--------------------------------
<***> Для государств - участников Евразийского экономического союза - по [1], [2], [3].
5.2
Качество свежего фенхеля должно соответствовать характеристикам и нормам, указанным в таблице 1.
Наименование показателя первого | Характеристика и норма для товарного сорта |
первого | второго |
Внешний вид | Фенхель должен быть с аккуратно обрезанными у основания кочанчика корнями и без листьев, не достигшим стадии образования семян, свежим; твердым; чистым; не подмороженным; без затрагивающих мякоть повреждений сельскохозяйственными вредителями; без излишней внешней влажности. |
Фенхель должен иметь характерные признаки ботанического и товарного сорта; быть правильной формы, наружные жилки должны быть плотными, мясистыми, мягкими и белыми. Допускаются незначительные дефекты, не влияющие на внешний вид, качество, сохраняемость и товарный вид продукта в упаковке: незначительный дефект формы, незначительная помятость, незначительные зарубцевавшиеся, но не обесцвеченные трещины. | Допускаются дефекты наружных жилок при условии, что фенхель сохраняет присущие ему характерные признаки качества, сохраняемость и товарный вид: дефекты формы, помятость, зарубцевавшиеся повреждения длиной не более 3 см, зеленые пятна на наружной части луковицы фенхеля, занимающие не более одной трети его поверхности. |
Запах и вкус | Характерные для ботанического сорта, без постороннего запаха и/или привкуса |
Длина черешка листа, мм, не более | 70,0 |
Массовая доля свежего фенхеля, не соответствующего требованиям товарного сорта, %, не более - в т.ч. свежего фенхеля, не соответствующего требованиям второго сорта | 10,0 | 10,0 |
1,0 | 10,0 |
Массовая доля фенхеля, не соответствующего требованиям калибровки, %, не более | 10,0 |
Наличие посторонней примеси | Не допускается |
Наличие сельскохозяйственных вредителей и продуктов их жизнедеятельности | Не допускается |
Наличие свежего фенхеля, пораженного гнилью и испорченного | Не допускается |
5.3 Содержание в свежем фенхеле радионуклидов, токсичных элементов, пестицидов, нитратов, яиц гельминтов и цист кишечных патогенных простейших, микробиологические показатели безопасности (патогенные) не должны превышать норм, установленных нормативными правовыми актами государства, принявшего настоящий стандарт <*>.
--------------------------------
<*> Для государств - участников Евразийского экономического союза - по [1].
Калибровку свежего фенхеля проводят по диаметру максимального поперечного сечения кочанчиков. Разница диаметров наибольшего и наименьшего фенхеля в одной упаковке должна быть не более 20,0 мм.
5.5.1 Упаковка свежего фенхеля согласно нормативным правовым актам государства, принявшего настоящий стандарт <*>.
--------------------------------
<*> Для государств - участников Евразийского экономического союза - по [2].
5.5.2 Свежий фенхель упаковывают в потребительскую упаковку из полимерных и комбинированных материалов по ГОСТ 12301 с использованием пакетов из полиэтиленовой пленки по ГОСТ 10354 или другую упаковку, использование которой в контакте с продуктом данного вида обеспечивает его качество и безопасность.
Допускается по согласованию с потребителем не упаковывать свежий фенхель в потребительскую упаковку.
5.5.3 Содержание каждой упаковочной единицы должно быть однородным и состоять из свежего фенхеля одного ботанического и товарного сорта, происхождения, качества. Видимая часть содержимого упаковки должна соответствовать содержимому всей упаковки.
5.5.4 Свежий фенхель в потребительской упаковке упаковывают без нажима в ящики из древесины и полимерных материалов по
ГОСТ 11354, ГОСТ 17812, ГОСТ 20463 или другие виды упаковки из других материалов, использование которых в контакте с продуктом данного вида обеспечивает его качество и безопасность.
5.5.5 Упаковка свежего фенхеля в ящики должна быть рыхлой, с легким нажимом, не вызывающим повреждений, на 3 см ниже края упаковки.
5.5.6 Упаковка для свежего фенхеля должна быть цельной, крепкой, чистой, сухой, не зараженной сельскохозяйственными вредителями и не должна иметь постороннего запаха.
5.5.7 Материалы, используемые внутри упаковки, включая бумагу, должны быть чистыми и обеспечивать при контакте со свежим фенхелем сохранение его качества и безопасности. Чернила, краска, клей, применяемые для нанесения текста или наклеивания этикеток, должны быть нетоксичными.
Наклейки, прикрепляемые на продукт в индивидуальном порядке, должны быть такими, чтобы после их снятия на фенхеле не оставалось следов клея и дефектов кожицы.
5.5.8 Масса нетто свежего фенхеля в упаковочной единице должна соответствовать номинальной, указанной в маркировке продукта в потребительской упаковке с учетом допустимых отклонений.
Отрицательное отклонение массы нетто от номинальной массы каждой упаковочной единицы должно соответствовать требованиям ГОСТ 8.579.
Отклонение массы свежего фенхеля в одной упаковочной единице от номинальной массы нетто в сторону увеличения не регламентируют по [4].
5.6.1 Маркировка упаковочных единиц со свежим фенхелем согласно нормативным правовым актам государства, принявшего настоящий стандарт <**>.
--------------------------------
<**> Для государств - участников Евразийского экономического союза - по [3].
5.6.2 Информацию о продукции на языке страны-поставщика и языке страны-потребителя наносят на потребительскую и транспортную упаковку на ярлыки и листы-вкладыши несмываемой, нелипкой, непахнущей, нетоксичной краской, чернилами.
5.6.3 Маркировка потребительской упаковки со свежим фенхелем с указанием:
- наименования продукта;
- наименования и местонахождения изготовителя [юридический адрес, включая страну, и, при несовпадении с юридическим адресом, адрес(а) производств(а)] и организации, уполномоченной изготовителем на принятие претензий от потребителей на территории государства (при наличии);
- товарного знака изготовителя (при наличии);
- страны происхождения и, при необходимости, района производства или его национального, регионального или местного названия;
- массы нетто продукции в упаковочной единице (не обязательно);
- ботанического сорта (не обязательно);
- товарного сорта;
- размера, выраженного минимальным и максимальным диаметрами;
- даты сбора и даты упаковывания;
- срока годности;
- сведений о выращивании в защищенном грунте (для продукции, выращенной в защищенном грунте);
- указания на особые способы обработки продукта (при необходимости);
- условий хранения;
- сведений о применении генно-модифицированных организмов: в случае, если продукция содержит более 0,9% генно-модифицированных организмов, в маркировке приводят информацию об их наличии (например, "генно-модифицированные продукты");
- обозначения настоящего стандарта;
- информации о подтверждении соответствия.
5.6.4 В случае упаковывания свежего фенхеля в потребительскую упаковку непосредственно на предприятии розничной торговли, информация для потребителя, наносимая на потребительскую упаковку, должна соответствовать нормативным правовым актам государства, принявшего настоящий стандарт <*>.
--------------------------------
<*> Для государств - участников Евразийского экономического союза - по [3].
5.6.5 Маркировка транспортной упаковки - по ГОСТ 14192 с нанесением манипуляционных знаков "Скоропортящийся груз", "Ограничение температуры".
6.1 Свежий фенхель принимают партиями. Под партией понимают любое количество свежего фенхеля одного и того же происхождения, одного ботанического и товарного сорта в упаковке одного вида и типоразмера, поступившее в одном транспортном средстве и сопровождаемое товаросопроводительной документацией, обеспечивающей прослеживаемость продукции.
Сопроводительный документ должен содержать следующую информацию:
- номер документа и дату его выдачи;
- наименование и адрес отправителя;
- наименование и адрес получателя;
- наименование продукта;
- товарный сорт;
- число упаковочных единиц;
- массу нетто продукции в упаковочной единице;
- даты сбора, даты упаковывания и даты отгрузки;
- срок годности;
- условия хранения;
- номер и вид транспортного средства;
- обозначение настоящего стандарта;
- информацию о подтверждении соответствия.
6.2 Для определения качества свежего фенхеля, правильности упаковывания и маркирования,
массы нетто упаковочной единицы на соответствие требованиям настоящего стандарта от партии продукции из разных мест отбирают выборку, объем которой указан в таблице 2.
Таблица 2
Объем партии, количество упаковочных единиц, шт. | Объем выборки, количество отбираемых упаковочных единиц, шт. |
До 500 включ. | 15 |
Св. 500 до 1000 включ. | 20 |
Св. 1000 до 5000 включ. | 25 |
Св. 5000 до 10000 включ. | 30 |
Более 10000 | 30 и дополнительно на каждые 500 полных и неполных упаковочных единиц по одной упаковочной единице |
Примечание - При объеме партии менее 15 упаковочных единиц в выборку отбирают все упаковочные единицы. |
6.3 От каждой отобранной упаковочной единицы из разных мест отбирают точечные пробы массой не менее 10% от массы упаковочных единиц. Из точечных проб составляют объединенную пробу массой не более 10 кг, которую анализируют.
Результаты проверки распространяют на всю партию.
6.4 После проверки отобранные упаковочные единицы присоединяют к партии свежего фенхеля.
6.5 Качество свежего фенхеля в поврежденных упаковочных единицах проверяют отдельно и результаты распространяют только на продукцию, находящуюся в этих упаковочных единицах.
6.6 Контроль за содержанием в свежем фенхеле токсичных элементов, пестицидов, нитратов, радионуклидов, яиц гельминтов и цист кишечных патогенных простейших, микробиологическими показателями безопасности (патогенными) проводят в соответствии с порядком, установленным изготовителем продукции согласно нормативным правовым актам государства, принявшего настоящий стандарт <*>.
--------------------------------
<*> Для государств - участников Евразийского экономического союза - по [1].
6.7 При получении неудовлетворительных результатов хотя бы по одному из показателей безопасности по нему проводят повторные исследования удвоенного объема выборки, взятого из той же партии. Результаты повторного исследования распространяют на всю партию.
7.1 Применяют следующие средства измерений:
- весы для статического взвешивания по ГОСТ 29329 среднего класса точности с наибольшим пределом взвешивания 25 кг, ценой поверочного деления e = 50 г и пределом допускаемой погрешности +/- 0,5 e;
- линейка металлическая по ГОСТ 427 длиной 300 мм, ценой деления 1 мм и погрешностью измерений +/- 0,1 мм;
- штангенциркуль 1-го или 2-го класса точности по ГОСТ 166 с погрешностью измерений 0,05 - 0,10 мм.
Допускается применение других средств измерений с метрологическими характеристиками не ниже указанных.
7.2 Качество упаковки и маркировки всех отобранных по 6.2 упаковочных единиц свежего фенхеля на соответствие требованиям настоящего стандарта оценивают визуально.
7.3 Проверке по качеству подлежит весь свежий фенхель из объединенной пробы, составленной по 6.3.
7.4 Отобранные в выборку упаковочные единицы продукции в потребительской упаковке поочередно взвешивают, определяют массу нетто в килограммах.
Для определения средней массы продукции в упаковочной единице взвешивают без выбора десять упаковочных единиц.
Результаты взвешивания записывают с точностью до второго десятичного знака.
7.5 Общую массу нетто свежего фенхеля в объединенной пробе m, определяют суммированием значений, полученных по 7.4.
7.6 Свежий фенхель в объединенной пробе рассортировывают вручную по фракциям по показателям, установленным в таблице 1.
7.7 Внешний вид, запах и вкус свежего фенхеля, наличие загнившего и испорченного фенхеля, сельскохозяйственных вредителей и продуктов их жизнедеятельности, минеральной и посторонней примесей, фенхеля с дефектами формы, окраски, помятого, загнившего оценивают органолептически.
7.8 Диаметр поперечного сечения кочанчиков, длину черешков листьев измеряют с погрешностью не более +/- 1 мм.
7.9 Взвешивают каждую фракцию mi отдельно с записью значения ее массы до второго десятичного знака.
7.10 По результатам взвешиваний по 7.9 определяют в процентах массовое содержание свежего фенхеля с отклонениями от значений показателей, установленных в таблице 1.
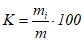
7.11 Массовую долю каждой фракции с отклонениями по качеству в процентах от общей массы свежего фенхеля в объединенной пробе K, %, вычисляют по формуле

, (1)
где mi - масса фракции свежего фенхеля с отклонениями по качеству, кг;
m - общая масса свежего фенхеля в объединенной пробе, кг.
Вычисления проводят с точностью до второго десятичного знака с последующим округлением до первого десятичного знака. Полученные результаты сравнивают со значениями, указанными в таблице 1. Результаты распространяют на всю партию.
7.12 Подготовка и минерализация проб для определения содержания токсичных элементов - по ГОСТ 26929, радионуклидов - по ГОСТ 32164.
7.18 Определение нитратов, яиц гельминтов и цист кишечных патогенных простейших, микробиологических показателей (патогенных) - методами, утвержденными нормативными правовыми актами, действующими на территории государства, принявшего настоящий стандарт.
7.20 Определение наличия генно-модифицированных организмов - по нормативным документам, действующим на территории государства, принявшего настоящий стандарт <*>.
--------------------------------
<*> В Российской Федерации действуют ГОСТ Р 52173-2003 "Сырье и продукты пищевые. Метод идентификации генетически модифицированных источников (ГМИ) растительного происхождения", ГОСТ Р 52174-2003 "Биологическая безопасность. Сырье и продукты пищевые. Метод идентификации генетически модифицированных источников (ГМИ) растительного происхождения с применением биологического микрочипа" (с изменением N 2).
8. Транспортирование и хранение
8.1 Свежий фенхель перевозят в чистых, сухих, без постороннего запаха транспортных средствах в соответствии с правилами перевозки скоропортящихся грузов, действующими на транспорте конкретных видов.
Пакетирование грузовых мест проводят по ГОСТ 23285.
8.2 Свежий фенхель хранят в чистых, сухих, без постороннего запаха помещениях в условиях, обеспечивающих их сохранность согласно нормативным документам, действующим на территории государства, принявшего настоящий стандарт <**>.
--------------------------------
<**> Для государств - участников Таможенного союза - по [1].
8.3 Сроки годности и условия хранения свежего фенхеля устанавливает изготовитель в соответствии с нормативными документами, действующими на территории государства, принявшего настоящий стандарт.
(справочное)
СОДЕРЖАНИЕ РАЗДЕЛА IV СТАНДАРТА UNECE STANDARD FFV-16:2013
В ЧАСТИ ИСКЛЮЧЕНИЯ ДОПУСКАЕМОГО СОДЕРЖАНИЯ
"ПРОДУКЦИИ, ПОДВЕРЖЕННОЙ ДЕГРАДАЦИИ"
Таблица ДА.1
Раздел, пункт | Модификация |
Unece STANDARD FFV-16:2013 раздел IV | Заменено: "IV. Положения, касающиеся допусков I) Первый сорт В общей сложности допускается наличие 10% от количества или массы фенхеля, не соответствующего требованиям этого сорта, но отвечающего требованиям второго сорта. В пределах этого допуска не более 1% общего количества может составлять продукция, которая не удовлетворяет ни требованиям качества второго сорта, ни минимальным требованиям, или продукция, подверженная деградации. II) Второй сорт В общей сложности допускается наличие 10% от количества или массы фенхеля, не удовлетворяющего ни требованиям этого сорта, ни минимальным требованиям. В пределах этого допуска не более 2% общего количества может составлять продукция, подверженная деградации" |
ГОСТ 34218-2017 | на: "Массовая доля фенхеля, не соответствующего требованиям товарного сорта, %, не более для первого сорта 10,0, для второго сорта 10,0". |
Примечание - В настоящем стандарте по отношению к стандарту UNECE STANDARD FFV-16:2013 (раздел IV) исключен термин "продукция, подверженная деградации" (и нормы для нее) в связи с отсутствием этого термина и определения такой категории ("продукция, подверженная деградации") в нормативных документах на плодоовощную продукцию в Российской Федерации. |
(справочное)
СОПОСТАВЛЕНИЕ СТРУКТУРЫ НАСТОЯЩЕГО СТАНДАРТА
СО СТРУКТУРОЙ СТАНДАРТА UNECE STANDARD FFV-16:2013
Таблица ДБ.1
Структура настоящего стандарта | Структура стандарта UNECE STANDARD FFV-16:2013 |
| I Определение продукта |
| II Положения, касающиеся качества A Минимальные требования II Положения, касающиеся качества B Классификация |
| III Положения, касающиеся калибровки |
| IV Положения, касающиеся допусков |
| V Положения, касающиеся товарного вида продукции |
| VI Положения, касающиеся маркировки |
| - |
8 Транспортирование и хранение | - |
Приложение ДА (справочное) Содержание раздела IV стандарта UNECE STANDARD FFV-16:2013 в части исключенного термина "продукция, подверженная деградации" | - |
Приложение ДБ (справочное) Сопоставление структуры настоящего стандарта со структурой стандарта UNECE STANDARD FFV-16:2013 | - |
Приложение ДВ (справочное) Сведения о соответствии ссылочных межгосударственных стандартов международным стандартам, использованным в качестве ссылочных в примененном стандарте UNECE STANDARD FFV-16:2013 | - |
| - |
Примечание - В настоящий стандарт дополнительно внесены разделы 7, 8, а также дополнительные приложения ДА, ДБ в соответствии с требованиями к оформлению межгосударственного стандарта, модифицированного со стандартом UNECE STANDARD FFV, и библиография. |
(справочное)
СВЕДЕНИЯ О СООТВЕТСТВИИ ССЫЛОЧНЫХ МЕЖГОСУДАРСТВЕННЫХ
СТАНДАРТОВ МЕЖДУНАРОДНЫМ СТАНДАРТАМ, ИСПОЛЬЗОВАННЫМ
В КАЧЕСТВЕ ССЫЛОЧНЫХ В ПРИМЕНЕННОМ СТАНДАРТЕ
UNECE STANDARD FFV-16:2013
Таблица ДВ.1
Обозначение ссылочного межгосударственного стандарта | Степень соответствия | Обозначение и наименование соответствующего международного стандарта |
| IDT | ISO 3599-76 "Штангенциркули с нониусом с точностью измерения до 0,1 и 0,05 мм" |
| IDT | ISO 1991-1:1982 "Овощи. Номенклатура. Первый список" |
Примечание - В настоящей таблице использовано следующее условное обозначение степени соответствия стандартов: - IDT - идентичные стандарты. |
| | Технический регламент Таможенного союза "О безопасности пищевой продукции" |
| | ИС МЕГАНОРМ: примечание. В официальном тексте документа, видимо, допущена опечатка: Регламент имеет номер ТР ТС 005/2011, а не ТР ТС 005/201. | |
|
| | Технический регламент Таможенного союза "О безопасности упаковки" |
| | Технический регламент Таможенного союза "Пищевая продукция в части ее маркировки" |
| | ИС МЕГАНОРМ: примечание. В официальном тексте документа, видимо, допущена опечатка: Директива имеет номер 76/211/ЕЭС, а не 76/211/ЕС. | |
|
| 76/211/ЕС | Директива Совета Европейских сообществ от 20 января 1976 г. (76/211/ЕС) "О сближении законодательств государств-членов относительно предварительной фасовки некоторых продуктов по массе или по объему в единице фасованной продукции" |