Главная // Актуальные документы // ГОСТ (Государственный стандарт)СПРАВКА
Источник публикации
М.: ФГБУ "РСТ", 2023
Примечание к документу
Отдельные положения данного документа включены в
Перечень международных и региональных (межгосударственных) стандартов, а в случае их отсутствия - национальных (государственных) стандартов, содержащих правила и методы исследований (испытаний) и измерений, в том числе правила отбора образцов, необходимые для применения и исполнения требований технического
регламента Таможенного союза "О безопасности упаковки" (ТР ТС 005/2011) и осуществления оценки соответствия объектов технического регулирования (
Решение Коллегии Евразийской экономической комиссии от 29.01.2024 N 9).
Текст данного документа приведен с учетом
поправки, опубликованной в "ИУС", N 7, 2023.
Документ
введен в действие с 01.01.2022 с правом досрочного применения.
Название документа
"ГОСТ 23683-2021. Межгосударственный стандарт. Парафины нефтяные твердые. Технические условия"
(введен в действие Приказом Росстандарта от 06.08.2021 N 696-ст)
"ГОСТ 23683-2021. Межгосударственный стандарт. Парафины нефтяные твердые. Технические условия"
(введен в действие Приказом Росстандарта от 06.08.2021 N 696-ст)
по техническому регулированию
и метрологии
от 6 августа 2021 г. N 696-ст
МЕЖГОСУДАРСТВЕННЫЙ СТАНДАРТ
ПАРАФИНЫ НЕФТЯНЫЕ ТВЕРДЫЕ
ТЕХНИЧЕСКИЕ УСЛОВИЯ
Petroleum paraffin waxes. Specifications
ГОСТ 23683-2021
Дата введения
1 января 2022 года
с правом досрочного применения
Цели, основные принципы и общие правила проведения работ по межгосударственной стандартизации установлены
ГОСТ 1.0 "Межгосударственная система стандартизации. Основные положения" и
ГОСТ 1.2 "Межгосударственная система стандартизации. Стандарты межгосударственные, правила и рекомендации по межгосударственной стандартизации. Правила разработки, принятия, обновления и отмены"
1 РАЗРАБОТАН Акционерным обществом "Всероссийский научно-исследовательский институт по переработке нефти" (АО "ВНИИ НП")
2 ВНЕСЕН Федеральным агентством по техническому регулированию и метрологии
3 ПРИНЯТ Межгосударственным советом по стандартизации, метрологии и сертификации (протокол от 14 июля 2021 г. N 59)
За принятие проголосовали:
Краткое наименование страны по МК (ИСО 3166) 004-97 | Код страны по МК (ИСО 3166) 004-97 | Сокращенное наименование национального органа по стандартизации |
Азербайджан | AZ | Азстандарт |
Армения | AM | ЗАО "Национальный орган по стандартизации и метрологии" Республики Армения |
Беларусь | BY | Госстандарт Республики Беларусь |
Казахстан | KZ | Госстандарт Республики Казахстан |
Киргизия | KG | Кыргызстандарт |
Россия | RU | Росстандарт |
Таджикистан | TJ | Таджикстандарт |
Узбекистан | UZ | Узстандарт |
4
Приказом Федерального агентства по техническому регулированию и метрологии от 6 августа 2021 г. N 696-ст межгосударственный стандарт ГОСТ 23683-2021 введен в действие в качестве национального стандарта Российской Федерации с 1 января 2022 г.
6 ПЕРЕИЗДАНИЕ. Апрель 2022 г.
7 ИЗДАНИЕ (март 2023 г.) с Поправками (ИУС N 9-2022)
Информация о введении в действие (прекращении действия) настоящего стандарта и изменений к нему на территории указанных выше государств публикуется в указателях национальных стандартов, издаваемых в этих государствах, а также в сети Интернет на сайтах соответствующих национальных органов по стандартизации.
В случае пересмотра, изменения или отмены настоящего стандарта соответствующая информация будет опубликована на официальном интернет-сайте Межгосударственного совета по стандартизации, метрологии и сертификации в каталоге "Межгосударственные стандарты"
Настоящий стандарт распространяется на очищенные твердые нефтяные парафины (далее - твердые парафины) кристаллического строения, получаемые из дистиллятного сырья и предназначенные для применения в различных отраслях промышленности.
В настоящем стандарте использованы нормативные ссылки на следующие межгосударственные стандарты:
ГОСТ 8.579-2019 Государственная система обеспечения единства измерений. Требования к количеству фасованных товаров в упаковках любого вида при их производстве, расфасовке, продаже и импорте
ГОСТ 12.0.004 Система стандартов безопасности труда. Организация обучения безопасности труда. Общие положения
ГОСТ 12.1.004 Система стандартов безопасности труда. Пожарная безопасность. Общие требования
ГОСТ 12.1.007 Система стандартов безопасности труда. Вредные вещества. Классификация и общие требования безопасности
ГОСТ 12.1.018 Система стандартов безопасности труда. Пожаровзрывобезопасность статического электричества. Общие требования
ГОСТ 12.1.019 Система стандартов безопасности труда. Электробезопасность. Общие требования и номенклатура видов защиты
ГОСТ 12.1.044 Система стандартов безопасности труда. Пожаровзрывоопасность веществ и материалов. Номенклатура показателей и методы их определения
ГОСТ 12.4.011 Система стандартов безопасности труда. Средства защиты работающих. Общие требования и классификация
ГОСТ 12.4.021 Система стандартов безопасности труда. Системы вентиляционные. Общие требования
ГОСТ 12.4.103 Система стандартов безопасности труда. Одежда специальная защитная, средства индивидуальной защиты ног и рук. Классификация
ГОСТ 12.4.310 Система стандартов безопасности труда. Одежда специальная для защиты работающих от воздействия нефти, нефтепродуктов. Общие технические условия
ГОСТ 17.2.3.02 <*> Правила установления допустимых выбросов загрязняющих веществ промышленными предприятиями
--------------------------------
<*> В Российской Федерации действует
ГОСТ Р 58577-2019 "Правила установления нормативов допустимых выбросов загрязняющих веществ проектируемыми и действующими хозяйствующими субъектами и методы определения этих нормативов".
ГОСТ 400 Термометры стеклянные для испытаний нефтепродуктов. Технические условия
ГОСТ 427 Линейки измерительные металлические. Технические условия
ГОСТ 1057 Масла селективной очистки. Метод определения фенола и крезола
ГОСТ 1437 Нефтепродукты темные. Ускоренный метод определения серы
ГОСТ 1510 Нефть и нефтепродукты. Маркировка, упаковка, транспортирование и хранение
ГОСТ 1520 Масла селективной очистки. Метод определения наличия фурфурола
ГОСТ 1770 (ИСО 1042-83, ИСО 4788-80) Посуда мерная лабораторная стеклянная. Цилиндры, мензурки, колбы, пробирки. Общие технические условия
ГОСТ 2226 Мешки из бумаги и комбинированных материалов. Общие технические условия
ГОСТ 2477 Нефть и нефтепродукты. Метод определения содержания воды
ГОСТ 2517 Нефть и нефтепродукты. Методы отбора проб
ГОСТ 2603 Реактивы. Ацетон. Технические условия
ГОСТ 3956 Силикагель технический. Технические условия
ГОСТ 4204 Реактивы. Кислота серная. Технические условия
ГОСТ 4255 Нефтепродукты. Метод определения температуры плавления по Жукову
ГОСТ 5777 Калий марганцовокислый технический. Технические условия
ГОСТ 5789 Реактивы. Толуол. Технические условия
ГОСТ 5815 Реактивы. Ангидрид уксусный. Технические условия
ГОСТ 5955 Реактивы. Бензол. Технические условия
ГОСТ 5962 Спирт этиловый ректификованный из пищевого сырья. Технические условия
ГОСТ 6307 Нефтепродукты. Метод определения наличия водорастворимых кислот и щелочей
ГОСТ 6356 Нефтепродукты. Метод определения температуры вспышки в закрытом тигле
ГОСТ 6370 Нефть, нефтепродукты и присадки. Метод определения механических примесей
ГОСТ 6709 Вода дистиллированная. Технические условия <**>
--------------------------------
<**> В Российской Федерации действует
ГОСТ Р 58144-2018 "Вода дистиллированная. Технические условия".
ГОСТ 9090 (ИСО 2908-74) Парафины нефтяные. Метод определения содержания масла
ГОСТ 9147 Посуда и оборудование лабораторные фарфоровые. Технические условия
ГОСТ 10120 Парафины нефтяные. Метод определения фракционного состава
ГОСТ 12026 Бумага фильтровальная лабораторная. Технические условия
ГОСТ 18300 Спирт этиловый ректификованный технический. Технические условия <***>
--------------------------------
<***> В Российской Федерации действует
ГОСТ Р 55878-2013 "Спирт этиловый технический гидролизный ректификованный. Технические условия".
ГОСТ 19433 Грузы опасные. Классификация и маркировка
ГОСТ 20289 Реактивы. Диметилформамид. Технические условия
ГОСТ 24104 Весы лабораторные. Общие технические требования <*4>
--------------------------------
<*4> В Российской Федерации действует
ГОСТ Р 53228-2008 "Весы неавтоматического действия. Часть 1. Метрологические и технические требования. Испытания".
ГОСТ 24363 Реактивы. Калия гидроокись. Технические условия
ГОСТ 25336 Посуда и оборудование лабораторные стеклянные. Типы, основные параметры и размеры
ГОСТ 25337 Парафины нефтяные. Метод определения цвета на колориметре КНС-2
ГОСТ 25771 Парафины и церезины нефтяные. Метод определения пенетрации иглой
ГОСТ 29228 (ИСО 835-2-81) Посуда лабораторная стеклянная. Пипетки градуированные. Часть 2. Пипетки градуированные без установленного времени ожидания
ГОСТ 29229 (ИСО 835-3-81) Посуда лабораторная стеклянная. Пипетки градуированные. Часть 3. Пипетки градуированные с временем ожидания 15 с
ГОСТ 32521 Мешки из полимерных пленок. Общие технические условия
ГОСТ 33757 Поддоны плоские деревянные. Технические условия
Примечание - При пользовании настоящим стандартом целесообразно проверить действие ссылочных стандартов и классификаторов на официальном интернет-сайте Межгосударственного совета по стандартизации, метрологии и сертификации (www.easc.by) или по указателям национальных стандартов, издаваемым в государствах, указанных в
предисловии, или на официальных сайтах соответствующих национальных органов по стандартизации. Если на документ дана недатированная ссылка, то следует использовать документ, действующий на текущий момент, с учетом всех внесенных в него изменений. Если заменен ссылочный документ, на который дана датированная ссылка, то следует использовать указанную версию этого документа. Если после принятия настоящего стандарта в ссылочный документ, на который дана датированная ссылка, внесено изменение, затрагивающее положение, на которое дана ссылка, то это положение применяется без учета данного изменения. Если ссылочный документ отменен без замены, то положение, в котором дана ссылка на него, применяется в части, не затрагивающей эту ссылку.
3.1 По степени очистки твердые парафины подразделяют на высокоочищенные и очищенные.
3.2 Марки твердых парафинов устанавливают в зависимости от степени очистки и области применения:
П-1 - высокоочищенный твердый парафин применяют при изготовлении тары и упаковочных материалов жесткой конструкции, клеев и расплавов, имеющих соприкосновение с пищевыми продуктами и применяемых при повышенных температурах, при изготовлении парфюмерно-косметической продукции и в фармацевтической промышленности;
П-2 - высокоочищенный твердый парафин применяют для покрытия и пропитки гибкой упаковки пищевых продуктов, сохраняющей эластичность при пониженных температурах, а также в качестве компонентов сплавов для покрытия деревянных, бетонных, металлических емкостей, предназначенных для хранения пищевых продуктов; в производстве различных восковых составов, изделий медицинской техники и парфюмерно-косметической продукции;
В2, В3, В4, В5 - высокоочищенные твердые парафины предназначены для использования в различных отраслях промышленности, предъявляющих особые требования к чистоте изделий, в частности марку B2 применяют для изготовления резинотехнических изделий;
Т-1, Т-2, Т-3, С - очищенные твердые парафины технического назначения предназначены для использования, как правило, в качестве сырьевых материалов в различных отраслях промышленности:
Т-1 - применяют для изготовления товаров бытовой химии, в частности свечей, и в других отраслях промышленности;
Т-2 - применяют для использования в химической, нефтехимической промышленности и в других отраслях промышленности;
Т-3 - применяют для пропитки и покрытий технических сортов бумаги, картона, текстиля, деревянных и металлических поверхностей; допускается применять в нефтехимической промышленности;
С - применяют в нефтехимической промышленности для производства синтетических жирных кислот.
(Поправка)
3.3 Условное обозначение твердых парафинов при заказе и в технической документации содержит обозначение марки и обозначение настоящего стандарта.
Пример условного обозначения:
Парафин нефтяной твердый марки П-2 по ГОСТ 23683-2021.
4.1 Твердые парафины должны соответствовать требованиям настоящего стандарта и изготовляться по утвержденной технологии или технологическому регламенту.
4.2 Физико-химические показатели твердых парафинов должны соответствовать требованиям, приведенным в
таблице 1.
Таблица 1
Физико-химические показатели твердых парафинов
Наименование показателя | Значение показателя для марки | Метод испытания |
П-1 | П-2 | В2 | В3 | В4 | В5 | Т-1 | Т-2 | Т-3 | С |
1 Внешний вид | Кристаллическая масса белого цвета | Кристаллическая масса белого цвета, допускаются оттенки серого или желтого | |
2 Температура плавления, °C | Не ниже 54,0 | Не ниже 52,0 | 52,0 - 54,0 | 54,0 - 56,0 | 56,0 - 58,0 | 58,0 - 62,0 | 52,0 - 58,0 | 52,0 - 56,0 | 50,0 - 56,0 | 45,0 - 52,0 | |
3 Массовая доля масла, %, не более | 0,45 | 0,80 | 0,45 | 0,45 | 0,45 | 0,45 | 1,80 | 2,30 | 3,00 | 2,20 | По ГОСТ 9090 |
4 Цвет, условные единицы, не более | 3 | 4 | 3 | 3 | 3 | 3 | 11 | 12 | 12 | 12 | По ГОСТ 25337 |
5 Запах | Отсутствие | - | - | - | - | |
6 Содержание бенз(a)пирена, мг/кг | Отсутствие | - | - | - | - | - | - | - | - | |
7 Пенетрация иглой при 25 °C, единицы (0,1 мм), не более | - | - | 16 | 14 | 13 | 12 | - | - | - | - | По ГОСТ 25771 |
8 Фракционный состав: | | | | | | | | | | | |
5% выкипает при температуре, °C, не ниже | - | - | - | - | - | - | - | - | - | 320 |
до 400 °C перегоняется, %, не менее | - | - | - | - | - | - | - | - | - | 60 |
до 425 °C перегоняется, %, не менее | - | - | - | - | - | - | - | - | - | 80 |
97% перегоняется при температуре, °C, не выше | - | - | - | - | - | - | - | - | - | 460 |
9 Температура вспышки, определяемая в закрытом тигле, °C, не ниже | - | - | - | - | - | - | - | - | - | 160 | |
10 Массовая доля серы, %, не более | Отсутствие | - | - | - | - | - | - | - | 0,05 | |
11 Массовая доля воды, %, не более | Отсутствие | - | - | 0,2 | 0,2 | |
12 Содержание механических примесей, % | Отсутствие | |
13 Содержание фенола, мг/дм 3 | Отсутствие | - | - | - | - | - | - | - | Отсутствие | |
| Отсутствие | - | - | - | - | - | - | - | Отсутствие | |
15 Содержание водорастворимых кислот и щелочей | Отсутствие | - | Отсутствие | |
Примечания 1 Содержание фенола и фурфурола определяют только для твердых парафинов, получаемых из рафинатов фенольной и фурфурольной очистки. 2 При определении показателя 10 "Массовая доля серы, %, не более" по ГОСТ 1437 за отсутствие принимают массовую долю серы менее 0,1%. |
4.3 Маркировка
Маркировка должна содержать:
- наименование продукции, обозначение марки и назначение продукции;
- наименование и местонахождение (юридический адрес, включая страну) изготовителя, его товарный знак (при наличии);
- обозначение настоящего стандарта;
- массу нетто и брутто;
- срок и условия хранения;
- дату изготовления;
- номер партии;
- штриховой идентификационный код (при необходимости).
4.4 Упаковка
4.4.1 Упаковка твердых парафинов - по
ГОСТ 1510 со следующими дополнениями:
твердые парафины массой 25 кг упаковывают в ящики из гофрированного картона по нормативным документам, действующим на территориях стран, проголосовавших за принятие стандарта, массой 50 кг - в четырехслойные бумажные мешки марок ПМ или НМ по
ГОСТ 2226.
4.4.2 Твердые парафины в виде брикетов или гранул (стружки) упаковывают в мешки из полимерных пленок по
ГОСТ 32521, полиэтиленовую пленку, полипропиленовые технические мешки по нормативным документам, действующим на территории стран, проголосовавших за принятие стандарта, предназначенные для упаковки твердого парафина.
Масса брикетов твердого парафина составляет 4 - 30 кг. Возможный вид фасовки - пять брикетов по 4 - 5 кг в полиэтиленовых пакетах или мешках.
Твердый парафин в виде гранул (стружки) упаковывают в мешки по 20 - 35 кг.
При поставке твердых парафинов массой более 50 кг брикеты твердого парафина или мешки укладывают на плоские деревянные поддоны по
ГОСТ 33757, массой 600 - 1000 кг.
4.4.3 Допускается применять другие виды упаковки, обеспечивающие сохранность твердых парафинов при хранении и транспортировании, изготовленные из материалов, соответствующих требованиям, установленным
[1] или нормативными правовыми актами, действующими на территории государства, принявшего стандарт.
4.4.4 Предел допускаемых отрицательных отклонений содержимого нетто от номинального количества твердого парафина в упаковках должен соответствовать ГОСТ 8.579-2019 (
таблицы А.1 и
А.2).
Предел допустимых положительных отклонений содержимого нетто от номинального количества указан в
таблице 2.
Таблица 2
Предел допустимых положительных отклонений
содержимого нетто от номинального количества
Номинальное количество нетто M, кг | Предел допустимых положительных отклонений, % от M | Предел допустимых положительных отклонений, г от M |
Св. 1 до 10 включ. | 1,5 | - |
Св. 10 до 15 включ. | - | 150 |
Св. 15 до 50 включ. | 1,0 | - |
Св. 50 до 100 включ. | - | 500 |
Св. 100 | 0,5 | - |
5 Требования безопасности
5.1 Твердые парафины являются малоопасными продуктами и по степени воздействия на организм человека относятся к 4-му классу опасности в соответствии с
ГОСТ 12.1.007.
Предельно допустимая концентрация паров углеводородов расплавленного твердого парафина в воздухе рабочей зоны (ПДК р.з.) составляет 900/300 мг/м3 в пересчете на углерод.
Предельно допустимая максимально разовая концентрация в атмосферном воздухе ПДК м.р. составляет 1 мг/м3, в воде ПДК вода - 0,3 мг/л, в рыбохозяйственных водоемах ПДК рыб. хоз. - 0,05 мг/л.
5.2 Пары расплавленного твердого парафина обладают умеренным раздражающим действием на кожу и слизистую оболочку глаз и верхних дыхательных путей. Кумулятивный эффект не выражен.
5.3 Производственные помещения, в которых проводят работы с твердым парафином, должны быть снабжены общеобменной приточно-вытяжной вентиляцией с механическим побуждением, отвечающей требованиям
ГОСТ 12.4.021.
В помещениях для хранения твердого парафина не допускается хранить кислоты, баллоны с кислородом и другие окислители.
5.4 Твердые парафины не обладают способностью образовывать токсичные соединения в воздушной среде и сточных водах в присутствии других веществ или факторов при температуре окружающей среды.
5.5 В соответствии с
ГОСТ 12.1.044 твердые парафины являются горючими веществами с температурой вспышки не ниже 160 °C, температурой самовоспламенения не ниже 300 °C, показатель токсичности продуктов горения - высокоопасные. Коэффициент дымообразующей способности - с умеренной дымообразующей способностью по
ГОСТ 12.1.004.
5.6 Твердые парафины пожароопасны. При загорании твердых парафинов при малом очаге пожара применяют следующие средства пожаротушения: огнетушители порошковые, распыленную воду, воздушно-механическую и химическую пену, углекислый газ, сухой песок, противопожарное полотно (кошма); при значительном очаге пожара - пенные огнетушительные установки.
5.7 В помещениях для хранения и эксплуатации твердых парафинов запрещается обращение с открытым огнем: электрооборудование, электрические сети и арматура искусственного освещения должны быть во взрывозащищенном исполнении.
5.8 При сливно-наливных операциях необходимо применять меры по защите от действия статического электричества. Аппараты, емкости, трубопроводы, сливные, наливные и перекачивающие устройства должны быть заземлены в соответствии с
ГОСТ 12.1.018.
При работе с твердым парафином не допускается использовать инструменты, дающие при ударе искру.
5.9 При разливе расплавленного твердого парафина на открытой площадке по истечении некоторого времени необходимо тщательно удалить застывшую массу и место разлива засыпать песком.
5.10 При работе с расплавленным твердым парафином следует соблюдать необходимые меры предосторожности, так как попадание расплавленного твердого парафина на кожные покровы может вызвать ожог.
При попадании разогретого твердого парафина на открытые участки кожи его необходимо охладить под струей воды, удалить с кожи и оказать пострадавшему помощь, как при термических ожогах.
5.11 При работе с твердыми парафинами необходимо применять средства индивидуальной защиты по
ГОСТ 12.4.011,
ГОСТ 12.4.103,
ГОСТ 12.4.310, а также по типовым нормам, утвержденным в установленном порядке.
5.12 Все работающие с твердым парафином должны проходить предварительные (при приеме на работу) и периодические медицинские осмотры в соответствии с установленными требованиями, а также инструктаж по технике безопасности в соответствии с
ГОСТ 12.0.004.
6 Требования охраны окружающей среды
6.1 Основным средством охраны окружающей среды от вредных воздействий твердых парафинов является использование герметичного оборудования в технологических процессах и операциях, связанных с производством, транспортированием и хранением твердых парафинов, а также строгое соблюдение технологического режима.
6.2 При производстве, хранении и применении твердых парафинов должны быть предусмотрены меры, исключающие попадание их в системы бытовой и ливневой канализации, а также в открытые водоемы и почву.
6.3 Для охраны атмосферного воздуха от загрязнения выбросами вредных веществ должен быть предусмотрен контроль за содержанием выбросов в соответствии с
ГОСТ 17.2.3.02.
7.1 Твердые парафины принимают партиями. Партией считают любое количество твердого парафина одной марки, изготовленного в ходе непрерывного технологического процесса, однородного по составу и показателям качества, сопровождаемого одним документом о качестве <*>, содержащим данные в соответствии с
ГОСТ 1510.
--------------------------------
<*> При оформлении документа о качестве в Российской Федерации в соответствии с Общероссийским классификатором продукции по видам экономической деятельности (ОКПД2) ОК 034-2014 (КПЕС 2008) для всех марок твердого парафина указывают код ОКПД2
19.20.41.120.
7.3 Для проверки качества твердых парафинов проводят приемо-сдаточные и периодические испытания. Приемо-сдаточные испытания проводят по показателям
таблицы 1, кроме
показателей 9,
13,
14.
Периодические испытания твердых парафинов проводят для контроля технологического процесса не реже одного раза в месяц по показателям:
- температура вспышки, определяемая в закрытом тигле;
- содержание фенола;
- содержание фурфурола.
7.4 При получении неудовлетворительных результатов приемо-сдаточных испытаний хотя бы по одному из показателей проводят повторные испытания по этому показателю на повторно отобранной пробе твердого парафина из той же партии от удвоенной выборки. Результаты повторных испытаний распространяются на всю партию.
7.5 При получении неудовлетворительных результатов периодических испытаний изготовитель переводит испытания по данному показателю в категорию приемо-сдаточных до получения положительных результатов не менее чем на трех партиях подряд.
При получении неудовлетворительных испытаний следует определить причину несоответствия и внести соответствующие корректировки в технологический процесс. До получения положительных результатов отгрузку приостанавливают.
7.6 При проведении приемо-сдаточных испытаний твердого парафина, расфасованного в одинаковую упаковку, для контроля качества упаковки, правильности нанесения маркировки, контроля массы нетто и массы брутто, применяют одноступенчатый выборочный план при нормальном контроле со специальным уровнем контроля S-4 и пределе приемлемого качества AQL, равном 6,5 (см.
[2] <**>).
--------------------------------
<**> В Российской Федерации действует
ГОСТ Р ИСО 2859-1-2007 "Статистические методы. Процедуры выборочного контроля по альтернативному признаку. Часть 1. Планы выборочного контроля последовательных партий на основе приемлемого уровня качества".
Выборку упаковочных единиц осуществляют методом случайного отбора в соответствии с
таблицей 3.
Таблица 3
Выборка упаковочных единиц методом случайного отбора
Количество упаковочных единиц в партии, шт. | Объем выборки, шт. | Приемочное число | Браковочное число |
От 2 до 15 включ. | 2 | 0 | 1 |
От 16 до 25 включ. | 3 | 0 | 1 |
От 26 до 90 включ. | 5 | 1 | 2 |
От 91 до 150 включ. | 8 | 1 | 2 |
От 151 до 500 включ. | 13 | 2 | 3 |
7.7 Контроль качества упаковки и правильности нанесенной маркировки проводят визуальным осмотром всех упаковочных единиц, попавших в выборку.
7.8 Контроль массы нетто твердого парафина в каждой упаковочной единице, попавшей в выборку, проводят по разности массы брутто и массы упаковочной единицы, освобожденной от содержимого. Предел допускаемых отрицательных отклонений от номинальной массы нетто твердого парафина в каждой упаковочной единице - по
4.4.2.
7.9 Партию принимают, если число упаковочных единиц в выборке, не отвечающих требованиям по качеству упаковки, правильности нанесенной маркировки и массе нетто твердого парафина, менее или равно приемочному числу (см.
таблицу 3).
7.10 Если число упаковочных единиц в выборке, не отвечающих требованиям по качеству упаковки, правильности маркировки и массе нетто твердого парафина, более или равно браковочному числу (см.
таблицу 3), контроль проводят на удвоенном объеме выборки от этой же партии. Партию принимают, если выполнены условия по
7.9.
Партию бракуют, если число упаковочных единиц в удвоенном объеме выборки, не отвечающих требованиям по качеству упаковки, правильности нанесенной маркировки и массе нетто твердого парафина, более или равно браковочному числу.
8.1 Пробу твердых парафинов отбирают по
ГОСТ 2517. Масса объединенной пробы - не менее 2 кг.
8.2 Внешний вид твердых парафинов определяют визуально.
9 Транспортирование и хранение
Транспортирование и хранение парафинов - по
ГОСТ 1510.
При транспортировании твердые парафины не классифицируют по
ГОСТ 19433 и по рекомендациям ООН по перевозке опасных грузов, и не маркируют как опасный груз.
10.1 Изготовитель гарантирует соответствие твердых парафинов требованиям настоящего стандарта при соблюдении условий транспортирования и хранения.
10.2 Гарантийный срок хранения твердых парафинов марок:
П-1, П-2 - один год с даты изготовления, указанной в маркировке и в документе о качестве;
В2, В3, В4, В5, Т-1, Т-2, Т-3, С - два года с даты изготовления, указанной в маркировке и в документе о качестве.
(обязательное)
ОПРЕДЕЛЕНИЕ ТЕМПЕРАТУРЫ ПЛАВЛЕНИЯ
А.1 Аппаратура и посуда
Термометр ртутный типа ТН-5 по
ГОСТ 400.
Баня водяная или электрическая плитка закрытого типа.
А.2 Проведение испытания
Расплавляют пробу твердого парафина в стеклянном стакане, нагревая его на водяной бане или электрической плитке закрытого типа, не допуская местных перегревов. Шарик термометра погружают в расплавленный парафин. Затем вынимают термометр из парафина и укрепляют в пробирке корковой пробкой. Пробирку с термометром нагревают на водяной бане до тех пор, пока капля парафина на термометре не расплавится. Затем пробирку с термометром охлаждают на воздухе, переводя ее все время из вертикального положения в наклонное.
Температуру, при которой капля парафина затвердевает на шарике термометра, принимают за температуру плавления парафина. За результат испытания принимают среднеарифметическое результатов двух параллельных определений, допускаемые расхождения между которыми не должны превышать 0,2 °C.
(обязательное)
Б.1 Аппаратура
Формочка прямоугольная или с наклонными стенками из любого некорродирующего материала размером 60 x 80 x 25 мм.
Баня водяная.
Нож.
Б.2 Проведение испытания
Примерно 100 г твердого парафина, расплавленного на водяной бане, заливают в формочку и дают ему затвердеть. Затем парафин вынимают из формочки и ножом снимают 5 - 10 г стружки, которая не должна иметь четко выраженного запаха.
Б.3 Определение запаха твердых парафинов, поставляемых на экспорт
Б.3.1 Аппаратура, материалы
Скребок (нож или любой острый инструмент), который легко очищается.
Склянки с широким горлышком и крышками вместимостью 250 см3 (только для альтернативных испытаний).
Бумага для сбора стружки, не имеющая запаха.
Б.3.2 Группа испытателей
В группу испытателей по определению запаха входят не менее пяти человек.
При подборе членов испытательной группы учитывают совпадение индивидуальной оценки члена группы с истинной характеристикой и личное постоянство в оценках запахов. Метод выбора членов испытательной группы приведен в
Б.4.
Примечание - Для определения запаха не допускается привлекать членов группы с респираторными заболеваниями.
Б.3.3 Испытуемый образец
Образец при комнатной температуре представляет собой кусок твердого парафина, из которого можно получить примерно 100 г стружки.
Каждый член группы испытателей должен оценить приблизительно 10 г тонких парафиновых стружек, полученных из образца.
Б.3.4 Проведение испытания
Б.3.4.1 Соскабливают с поверхности образца прилипшие инородные частицы и стряхивают их. С помощью чистого резака готовят испытуемые образцы, настругав поперек образца примерно по 10 г твердого парафина на бумагу, не имеющую запаха. Для каждого члена группы готовят по одному образцу.
Примечание - Испытание проводят в комнате, не имеющей запаха. Место проведения испытания должно быть изолировано от источников запаха и защищено от ветра. Отсутствие запаха в комнате определяют органолептическим способом. Следует избегать низкой влажности, т.к. это может вызвать трудности в восприятии запаха.
Б.3.4.2 Каждый испытатель оценивает запах парафиновых стружек, приблизив ноздри как можно ближе к ним и вдохнув воздух.
Примечание - Если оценка запаха будет повторяться, то это означает, что интенсивность запаха снижается из-за усталости обоняния или утери образцом летучих компонентов, или того и другого.
Б.3.4.3 При возникновении разногласий в оценке запаха твердых парафинов применяют альтернативную процедуру.
Альтернативную процедуру проводят следующим образом: сразу после получения стружек помещают их в чистые склянки без запаха и накрывают крышками.
Готовят по одной склянке для каждого образца каждому испытателю. Запах оценивают через 15 - 60 мин после получения образца, снимая крышку со склянки, приближая ноздри к горлышку и слегка втягивая воздух.
Б.3.4.4 Числовую оценку запаха записывают, как показано в
таблице Б.1. Она должна соответствовать интенсивности запаха.
Таблица Б.1
Шкала интенсивности запаха
Числовая оценка | Характеристика запаха |
0 | Отсутствие |
1 | Легкий |
2 | Умеренный |
3 | Сильный |
4 | Очень сильный |
Испытатели не должны обсуждать результат до завершения всех испытаний. Отдельные члены группы не должны оценивать более трех образцов и должны иметь перерывы не менее 15 мин между каждой серией испытаний.
Б.3.4.5 Расчет
Расчет проводят с точностью до 0,5 среднего значения числовых оценок характеристик, данных образцу членами группы. Если любая отдельная числовая оценка характеристики отличается от средней более чем на 1,0, то повторяют испытания на оценку запаха этого образца всеми членами группы. Если и во втором испытании отдельные результаты будут отличаться от среднего значения более чем на 1,0, то необходимо отказаться от этих результатов и вывести вновь среднее значение.
Среднюю характеристику, выведенную по результатам испытаний всей группой, будет считать характеристикой запаха образца по настоящему стандарту.
Б.4 Метод подбора испытателей
Б.4.1 Предполагаемые испытатели могут быть подвергнуты проверке следующим способом:
а) на совпадение с истинной характеристикой;
б) на индивидуальность восприятия
Б.4.2 Способ проведения испытания
Б.4.2.1 Выбирают четыре образца твердого парафина с легким запахом различной интенсивности. Обычно для проверки 8 - 10 испытателей требуется 2 кг образца твердого парафина. Подготовку образцов к испытанию проводят по
Б.3.4.1.
Каждый из испытателей должен охарактеризовать образцы твердого парафина в алфавитном порядке в зависимости от интенсивности запаха. Характеристики устанавливают 1 раз в день до тех пор, пока не будет получено 8 - 10 характеристик каждого образца каждым членом группы. Твердым парафинам каждый день присваивают новые кодовые номера. Номера испытателей следует проставлять против истинных характеристик твердого парафина следующим образом: 4 балла присваивают образцу каждый раз, когда он появляется на первом месте; 3 балла - на втором; 2 балла - на третьем; 1 балл - на четвертом месте.
Б.4.2.2 Сумму баллов, полученную каждым образцом по завершении программы испытаний, будут считать его истинной характеристикой.
Б.4.2.3 Способности предполагаемого испытателя определяют следующим образом: для каждого образца из истинной характеристики запаха вычитают такое число баллов, на которое этот образец отстоит от истинной оценки.
Например, если четыре образца твердого парафина располагают по оценке, данной всей группой, в порядке A, B, C, D, а отдельный испытатель располагает их в порядке B, C, A, D, тогда B будет отставать на 1 балл, C - на 1 балл, A - на 2 балла, D - находиться на прежнем месте. Предполагаемый испытатель отстал на 4 балла.
Максимальное число баллов, на которое может отставать образец, - 8 баллов. Тогда общий счет предполагаемого испытателя составит 50 баллов:

, (Б.1)
где R - балл при обратном групповом порядке (максимальная ошибка);
L - действительное количество баллов при сравнении с групповым порядком.
Окончательное число баллов отдельного испытателя - среднеарифметическое всех его ежедневных результатов.
Б.4.3 Индивидуальное восприятие
Б.4.3.1 Индивидуальность восприятия оценивают, как и число баллов по
Б.4.2.3, за исключением того, что ежедневные характеристики следует сравнивать с собственными характеристиками испытателя.
Б.4.3.2 Среднее количество баллов
Компетентный испытатель должен получить около 70 баллов в каждом определении.
(обязательное)
ОПРЕДЕЛЕНИЕ СОДЕРЖАНИЯ БЕНЗ(A)ПИРЕНА МЕТОДАМИ
ВЫСОКОЭФФЕКТИВНОЙ ЖИДКОСТНОЙ ХРОМАТОГРАФИИ
И СПЕКТРОФЛУОРИМЕТРИИ ПРИ КОМНАТНОЙ ТЕМПЕРАТУРЕ
Сущность метода заключается в экстракции углеводородов, в том числе бенз(a)пирена, гексаном из продукта, предварительно обработанного спиртовым раствором едкого калия, выделении фракции полициклических ароматических углеводородов, содержащей бенз(a)пирен, очистке полученной фракции от мешающих примесей на колонке с сефадексом и в тонком слое ацетилированной целлюлозы с последующим количественным определением выделенного бенз(a)пирена высокоэффективной жидкостной хроматографией или спектрофлуориметрией при комнатной температуре.
Диапазон определяемых величин массовой доли бенз(a)пирена в анализируемых продуктах при использовании метода высокоэффективной жидкостной хроматографии и метода спектрофлуориметрии при комнатной температуре - 0,0001 - 0,0020 мг/кг или 0,1 x 10-7% - 2,0 x 10-7%. Оптимальный диапазон определяемых массовых концентраций бенз[a]пирена в растворе при использовании метода высокоэффективной жидкостной хроматографии составляет 0,01 - 0,02 мкг/см3, при использовании метода спектрофлуориметрии - 0,02 - 0,2 мкг/см3.
В.1 Аппаратура, материалы и реактивы
Спектрометр флуоресцентный со спектральным диапазоном длин волн 300 - 460 нм с кюветами вместимостью 0,4 см3.
Хроматограф жидкостный с флуориметрическим детектором (диапазон длин волн возбуждения 300 - 420 нм) с программным обеспечением для регистрации и обработки хроматограмм.
Колонка хроматографическая, заполненная сорбентом с привитой обращенной фазой в условиях выполнения анализа должна иметь эффективность не менее 5000 теоретических тарелок по пику бенз(a)пирена.
Весы лабораторные II класса точности с наибольшим пределом взвешивания 200 г по
ГОСТ 24104.
Весы лабораторные II класса точности с наибольшим пределом взвешивания 500 г по
ГОСТ 24104.
Испаритель ротационный типа ИР-1М.
Баня водяная.
Мешалка магнитная с электроприводом.
Осветитель ультрафиолетовый типа "Хроматоскоп" со спектральным диапазоном 250 - 700 нм и лампой типа БУВ-15 в качестве источника УФ-излучения.
Камера хроматографическая стеклянная 40 x 40 x 40 см.
Пластинки стеклянные для тонкослойной хроматографии 5 x 20 и 20 x 20 см.
Колонка стеклянная хроматографическая длиной 500 мм и диаметром 20 мм с оттянутым внизу концом и резервуаром вместимостью 50 - 60 см3 ПШ 14/23.
Холодильник ХПТ-2-400-29/32 ХС или ХШ-1-400-29/32 ХС по
ГОСТ 25336.
Алонж типа АИО-14/23-50 ТС или АИО-14/23-14/23-65 ТС по
ГОСТ 25336.
Линейка измерительная с ценой деления 0,1 см по
ГОСТ 427.
Дефлегматор 250-19/26-29/32 ТС или 300-19/26-29/32 по
ГОСТ 25336.
Насадка П-1-19/26-14/23-14/23 ТС или Н-2-19/26-14/23 ТС по
ГОСТ 25336.
Воронка делительная ВД-1-500 или ВД-3-500 по
ГОСТ 25336.
Воронка ВФО-32-ПОР 100-14/23 ХС или ВФО-32-ПОР 160-14/23 ХС по
ГОСТ 25336.
Цилиндры мерные 1-100, 1-250 или 3-100, 3-250 по
ГОСТ 1770.
Стакан химический В-1-100 или В-1-150 по
ГОСТ 25336.
Колбы К-1-100-29/32 ТХС, К-1-25Р-29/32 ТХС, К-1-500-29/32 ТХС или П-1-500-29/32 ТХС по
ГОСТ 25336.
Стаканчики для взвешивания (бюксы) СВ-14/8 или СВ-19/9, или СВ-24/10, или СВ-34/12 по
ГОСТ 25336.
Микрошприцы типов МШ-10, стеклянные капилляры.
Бумага индикаторная универсальная.
Скальпель или тонкий шпатель.
Спирт этиловый ректификованный по
ГОСТ 5962 или спирт этиловый ректификованный технический по
ГОСТ 18300.
н-Гексан, ч.
Ацетонитрил для ВЭЖХ.
Целлюлоза микрокристаллическая порошковая.
Бенз(a)пирен, содержание основного вещества не менее 98%.
Бенз(b)хризен, содержание основного вещества не менее 98%.
Допускается вместо чистых веществ использовать ГСО раствора бенз(a)пирена и бенз(b)хризена в ацетонитриле массовой концентрации 100 мкг/см3.
Сефадекс LH-20.
Допускается применять другие средства измерений с метрологическими характеристиками и оборудования с техническими характеристиками, а также реактивы и материалы по качеству не уступающие указанным выше и обеспечивающие получение результатов измерений с точностными характеристиками не ниже предусмотренных настоящим стандартом.
В.2 Подготовка к испытанию
В.2.1 Подготовка растворителей
Растворители (н-гексан, этиловый спирт, ацетон, бензол) перегоняют общепринятым способом с дефлегматором.
Диметилформамид перегоняют, добавив в перегонную колбу 120 см3 бензола и 36 см3 воды на 1 дм3 растворителя.
В.2.2 Приготовление ацетилированной целлюлозы
(50,0 +/- 2,0) г микрокристаллической целлюлозы помещают в плоскодонную колбу вместимостью 500 см3, добавляют приготовленную в отдельной колбе смесь 150 см3 бензола или толуола, 70 см3 уксусного ангидрида и 0,3 см3 серной кислоты. Реакционную смесь перемешивают магнитной мешалкой в течение 6 - 8 ч, оставляют без перемешивания еще на 18 ч, после чего декантируют жидкую фазу, а остаток заливают 300 см3 этилового спирта, перемешивают, оставляют в спирте на 24 ч, затем целлюлозу отфильтровывают на воронке Бюхнера, промывают 100 см3 этилового спирта и дистиллированной водой до нейтральной реакции промывных вод (по индикаторной бумаге).
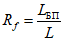
Затем проверяют хроматографическую активность ацетилированной целлюлозы. Для этого за 3 - 4 ч до проведения испытания готовят смесь этилового спирта, ацетона и воды, взятых в объемном отношении 60:25:15 и выливают ее в выстланную полосками фильтровальной бумаги хроматографическую камеру. Высота слоя растворителя должна составлять 1,5 - 2,0 см. 1,5 г ацетилированной целлюлозы суспензируют в 7 см3 этилового спирта и выливают суспензию ровным слоем на стеклянную пластину 5 x 20 см, дают растворителю полностью испариться на воздухе и наносят на пластинку микрошприцем или стеклянным капилляром в точку 5 мкл раствора бенз(a)пирена массовой концентрации 1 мкг/см3. Пластину помещают в хроматографическую камеру и оставляют в камере до тех пор, пока уровень растворителя поднимется не менее чем на 100 мм от линии старта. По окончании хроматографии пластину вынимают, высушивают на воздухе и под лампой ультрафиолетового облучателя отмечают флуоресцирующее голубым цветом пятно бенз(a)пирена. Измеряют расстояние от стартовой линии до фронта растворителя и до середины пятна бенз(a)пирена; рассчитывают значение Rf, оценивающую скорость перемещения бенз(a)пирена по пластинке, по формуле

, (В.1)
где LБП - расстояние от стартовой линии до середины пятна бенз(a)пирена, мм;
L - расстояние от стартовой линии до фронта растворителя, мм.
Значение Rf бенз(a)пирена должно составлять 0,1.
Для приготовления рабочей пластины 5 г ацетилированной целлюлозы суспензируют в 20 см3 этилового спирта и выливают ровным слоем на пластину размером 20 x 20 см.
В.2.3 Приготовление стандартных растворов бенз(a)пирена и бенз(b)хризена
В стаканчиках для взвешивания (бюксы) взвешивают по (10,0 +/- 0,2) мг бенз(a)пирена и бенз(b)хризена. Навески количественно переносят в мерные колбы вместимостью 100 см3: бенз(a)пирен - бензолом (ацетонитрилом), бенз(b)хризен - ацетонитрилом, затем объем раствора бенз(a)пирена доводят до метки бензолом (ацетонитрилом), объем раствора бенз(b)хризена - ацетонитрилом. Полученные растворы имеют массовую концентрацию 100 мкг/см3. Растворы хранят в темном месте при температуре от 2 °C до 6 °C не более трех месяцев.
Допускается в качестве стандартных растворов бенз(a)пирена и бенз(b)хризена использовать ГСО раствора бенз(a)пирена и бенз(b)хризена в ацетонитриле массовой концентрации 100 мкг/см3.
В.2.4 Приготовление рабочих растворов бенз(a)пирена и бенз(b)хризена
Рабочие растворы готовят разбавлением стандартных растворов, используя пипетки вместимостью 1,5 и 10 см3 и мерные колбы вместимостью 100 см3, объем раствора доводят до метки соответствующим растворителем, перемешивают и хранят в темном месте при температуре от 2 °C до 6 °C не более одного месяца.
Приготовление раствора бенз(a)пирена массовой концентрации 1,0 мкг/см3 (для определения методом спектрофлуориметрии): из стандартного раствора отбирают 1,0 см3 и переносят в мерную колбу вместимостью 100 см3; объем раствора доводят до метки бензолом.
Приготовление раствора бенз(a)пирена массовой концентрации 0,25; 1,0 и 5,0 мкг/см3 (для определения методом высокоэффективной жидкостной хроматографии): из стандартного раствора отбирают 0,25; 1,0; 5,0 см3 соответственно и переносят в мерные колбы вместимостью 100 см3; объем растворов доводят до метки ацетонитрилом.
Приготовление растворов бенз(b)хризена массовой концентрации 0,5 и 10 мкг/см3: из стандартного раствора отбирают 0,5 и 10 см3 соответственно и переносят в мерные колбы вместимостью 100 см3; объем каждого раствора доводят до метки ацетонитрилом.
В.2.5 Приготовление градуировочных растворов
Для приготовления градуировочных растворов смеси бенз(a)пирена и бенз(b)хризена в мерные колбы вместимостью 250 см
3 пипеткой вместимостью 1 см
3 переносят приведенные в
таблице В.1 объемы стандартного раствора бенз(a)пирена массовой концентрации 100 мкг/см
3 и рабочего раствора бенз(b)хризена массовой концентрации 10 мкг/см
3, доводят объем до метки ацетонитрилом. Полученные растворы перемешивают и хранят в темном месте при температуре от 2 °C до 6 °C не более одного месяца.
Таблица В.1
Номер раствора | Объем исходного раствора, см3 | Массовая концентрация в градуировочном растворе, мкг/см3 |
Бенз(a)пирена массовой концентрации 100 мкг/см3 | Бенз(b)хризена массовой концентрации 10 мкг/см3 | Бенз(a)пирена | Бенз(b)хризена |
1 | 1,00 | 1,00 | 0,40 | 0,04 |
2 | 0,50 | 0,50 | 0,20 | 0,02 |
3 | 0,25 | 0,25 | 0,10 | 0,01 |
4 | 0,10 | 0,10 | 0,04 | 0,004 |
В.3 Проведение испытания
В.3.1 Выделение бенз(a)пирена из продукта
В круглодонную или плоскодонную колбу вместимостью 100 см3 помещают навеску продукта массой 10 г, добавляют раствор, состоящий из 4 г гидроокиси калия в 50 см3 92%-ного этилового спирта. Содержимое колбы перемешивают встряхиванием. Колбу соединяют с обратным холодильником и нагревают на водяной бане или на магнитной мешалке при кипении реакционной смеси в течение 3 ч. Затем в колбу через холодильник добавляют 100 см3 дистиллированной воды. Реакционную массу охлаждают до комнатной температуры. После охлаждения реакционную массу переносят в делительную воронку вместимостью 500 см3. Если после гидролиза в реакционной массе остался твердый остаток, его отделяют на воронке Бюхнера, промывая остаток на фильтре 30 см3 горячего этилового спирта. Жидкую фазу реакционной массы используют для экстракции. В делительную воронку добавляют 30 см3 н-гексана. Содержимое воронки встряхивают и оставляют для расслаивания жидкостей. В случае образования эмульсии к смеси в делительной воронке добавляют 20 см3 этилового спирта. После расслаивания нижнюю водно-спиртовую фазу сливают в колбу, а гексановый экстракт переливают в другую делительную воронку. Такую обработку реакционной массы проводят еще два раза, используя для экстракции н-гексан по 30 см3 и этиловый спирт для расслаивания эмульсии порциями по 20 см3.
После завершения экстракции промывают объединенный гексановый экстракт в делительной воронке дистиллированной водой три раза по 30 см3, переносят экстракт в круглодонную колбу вместимостью 100 см3, фильтруя через слой безводного сульфата натрия на воронке с пористым фильтром. Упаривают раствор на ротационном испарителе до объема 50 см3 при температуре водяной бани не выше 60 °C.
Упаренный экстракт переносят в делительную воронку вместимостью 500 см3 и добавляют к нему 50 см3 смеси диметилформамида и воды, взятых в объемном соотношении 9:1. Интенсивно встряхивают смесь в течение 1 мин, после расслаивания фаз нижнюю сливают в плоскодонную колбу вместимостью 200 см3, а из верхнего гексанового слоя снова проводят экстракцию 50 см3 смеси диметилформамида и воды. Гексановый слой отбрасывают, объединенный в плоскодонной колбе диметилформамидный экстракт переносят в делительную воронку, добавляют 100 см3 дистиллированной воды и проводят экстракцию из водной фазы гексаном трижды по 50 см3. Водную фазу отбрасывают, а гексановый экстракт промывают водой трижды по 30 см3, переносят в плоскодонную колбу, добавляют 10 г безводного сульфата натрия и выдерживают в течение одного часа. н-Гексан упаривают на ротационном испарителе до объема 1,5 - 2,0 см3, оставшийся растворитель удаляют потоком воздуха через вакуумный алонж, соединенный с водоструйным насосом, остаток в колбе растворяют в 0,5 см3 этилового спирта.
В стакан вместимостью 100 см3 отвешивают (2,5 +/- 0,2) г сефадекса LH-20, добавляют 20 см3 этилового спирта и оставляют для набухания на 3 - 4 ч. Затем гель переносят, смывая небольшим количеством спирта, в стеклянную хроматографическую колонку, дают растворителю стечь таким образом, чтобы слой спирта над слоем сорбента оставался не ниже 2 мм. На подготовленную колонку наносят пипеткой остаток экстракта из колбы, трижды смывая его из колбы этиловым спиртом порциями по 0,5 см3. Элюирование из колонки полициклических ароматических углеводородов, в том числе бенз(a)пирена, проводят 40 см3 этилового спирта, первую фракцию объемом 12 см3 отбрасывают, собирают вторую фракцию объемом 25 см3. Скорость элюирования растворителя 0,5 см3/мин обеспечивают, создавая небольшое избыточное давление потоком воздуха или азота через насадку, соединенную с воздуходувкой или газовым баллоном. Газ следует подавать через стеклянную трубку, заполненную силикагелем.
Допускается повторно использовать колонку с сефадексом LH-20. Для повторного использования, не допуская высыхания сорбента после фракционирования, промывают колонку 25 см3 этилового спирта и наносят следующую пробу. Для хранения необходимо заполнить колонку этиловым спиртом, закупорить колонку пробкой и не допускать высыхания сорбента. В случае высыхания сефадекса LH-20 рекомендуется приготовить новую колонку.
Переносят раствор второй фракции в грушевидную колбу вместимостью 50 см3, растворитель упаривают до объема 0,5 - 1,0 см3, его остаток удаляют в потоке воздуха или азота.
Полученную фракцию, содержащую бенз(a)пирен, далее анализируют с помощью высокоэффективной жидкостной хроматографии или спектрофлуориметрическим методом.
Одновременно проводят контрольный опыт, проводя все стадии испытания с использованием реактивов согласно методике, но без навески продукта.
В.3.2 Определение содержания бенз(a)пирена методом высокоэффективной жидкостной хроматографии
В.3.2.1 Условия хроматографии
Условия хроматографии подбирают в зависимости от вида применяемого жидкостного хроматографа и хроматографической колонки.
В качестве примера приведены следующие условия хроматографического определения бенз(a)пирена.
Жидкостный хроматограф с флуоресцентным детектором.
Колонка зернением 5 мк, длиной 150 мм, диаметром - 4,6 мм.
Флуориметрический детектор: длина волны возбуждающего света 300 нм, эмиссионный фильтр - 418 нм.
Подвижная фаза: ацетонитрил и вода в объемном соотношении 8:2.
Скорость элюирования - 2,0 см3/мин.
Объем вводимой пробы - 20 мкл.
Чувствительность усилителя подбирают таким образом, чтобы интенсивность сигналов бенз(a)пирена и внутреннего стандарта - бенз(b)хризена не превышала 95% шкалы.
Время испытания - 15 мин; время удерживания бенз(a)пирена - 5 мин, бенз(b)хризена - 13 мин.
Анализируемые растворы хроматографируют дважды в одинаковых условиях. Площади пиков измеряют с помощью программного обеспечения или вручную: как произведение высоты пика и его ширины на половине высоты.
Определяют содержание бенз(a)пирена методом внутреннего стандарта или методом добавок.
В.3.2.2 Определение содержания бенз(a)пирена в растворе (экстракте), полученном по
В.3.1, методом внутреннего стандарта
При использовании такого метода количественной оценки предварительно проводят градуировку хроматографа, используя градуировочные растворы, приготовленные по
В.2.5.
В условиях, указанных в
В.3.2.1, записывают по три хроматограммы для каждого из приготовленных растворов и измеряют площади пиков бенз(a)пирена и бенз(b)хризена. Определяют среднеарифметическое значение площади пиков бенз(a)пирена и бенз(b)хризена, рассчитанное по трем хроматограммам.
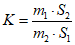
Вычисляют градуировочный коэффициент по формуле

, (В.2)
где m1 и m2 - массы введенных в хроматограф бенз(a)пирена (m1) и бенз(b)хризена (m2), мкг;
S1 и S2 - площади пиков бенз(a)пирена S1 и бенз(b)хризена S2, см3.
Рассчитывают градуировочный коэффициент K для каждого раствора.
Его значения не должны отличаться от среднеарифметического значения градуировочного коэффициента из всех результатов более чем на 10%.
При длине волны возбуждающего света 300 нм и эмиссионном фильтре 418 нм значение градуировочного коэффициента составляет 9,5.
Перед началом испытания на стадии подготовки проб к щелочному гидролизу в пробу продукта и пробу контрольного опыта вносят по 50 мкл раствора бенз(b)хризена массовой концентрации 0,5 мкг/см
3. Обе пробы проводят через все стадии испытания, указанные в
В.3.1. Сухой остаток растворяют в 200 мкл ацетонитрила.
В условиях, указанных в
В.3.2.1, записывают хроматограммы раствора бенз(a)пирена массовой концентрации 100 мкг/см
3 и раствора бенз(b)хризена массовой концентрации 100 мкг/см
3, отмечают время выхода бенз(a)пирена и бенз(b)хризена. Затем записывают хроматограммы пробы контрольного опыта с добавкой бенз(b)хризена и пробы продукта с такой же добавкой бенз(b)хризена. Измеряют площади пиков бенз(a)пирена и бенз(b)хризена на хроматограммах пробы продукта и пробы контрольного опыта.
Для каждой пробы записывают по две хроматограммы. Рассчитывают среднеарифметическое значение площади пиков бенз(a)пирена и бенз(b)хризена по двум хроматограммам.
На основании полученных данных определяют массу бенз(a)пирена, мкг, в пробе продукта m1 и пробе контрольного опыта m2:

, (В.3)
где m1 - масса бенз(a)пирена в пробе продукта, мкг;
m2 - масса бенз(a)пирена в пробе контрольного опыта, мкг;
mст - масса бенз(b)хризена, введенного в пробу продукта и пробу контрольного опыта, мкг;
S1 и S2 - площади пиков бенз(a)пирена на хроматограммах пробы продукта S2 и пробы контрольного опыта S2, см2;
S3, S4 - площади пиков бенз(b)хризена на хроматограммах пробы продукта S3 и пробы контрольного опыта S4, см2;
В.3.2.3 Определение содержания бенз(a)пирена в растворе (экстракте), полученном по
В.3.1, методом добавок
Для количественной оценки при использовании метода добавок одновременно с пробой продукта анализируют пробу контрольного опыта. Фракции, выделенные из проб продукта и контрольного опыта по
В.3.1, растворяют в 400 мкл ацетонитрила. Полученные растворы делят на две части, отбирая меньшую часть (40 мкл) в пробирку или грушевидную колбу.
Записывают хроматограммы пробы продукта, пробы контрольного опыта и хроматограмму раствора бенз(a)пирена массовой концентрации 0,25 мкг/см3. Отмечают время выхода бенз(a)пирена.
В оставшиеся части пробы продукта и контрольного опыта (360 мкл) добавляют 10 - 20 мкл раствора бенз(a)пирена массовой концентрации 5 мкг/см3. Полученные растворы вновь вводят в хроматограф.
Все хроматограммы записывают дважды. Измеряют площади пиков бенз(a)пирена. Рассчитывают среднеарифметическое значение площади пика бенз(a)пирена по двум хроматограммам.
На основании полученных данных определяют массу бенз(a)пирена, мкг, в пробе продукта m1 и пробе контрольного опыта m2:

, (В.4)
где mоп и mk - масса бенз(a)пирена, добавленная к части экстракта из пробы продукта (mоп) и пробы контрольного опыта (mk), мкг;
S1 и S2 - площади пиков бенз(a)пирена на хроматограммах пробы продукта S1 и пробы продукта с добавкой бенз[a]пирена S2, см3;
S3 и S4 - площади пиков бенз(a)пирена на хроматограммах пробы контрольного опыта S3 и пробы контрольного опыта с добавкой бенз(a)пирена S4, см3;
0,9 - доля пробы, к которой добавляют бенз(a)пирен.
В.3.3 Определение содержания бенз(a)пирена методом спектрофлуориметрии при комнатной температуре
При определении содержания бенз(a)пирена методом спектрофлуориметрии одновременно с пробой продукта анализируют пробу контрольного опыта, в которую добавлено 50 мкл раствора бенз(a)пирена массовой концентрации 1 мкг/см3.
Полученные по
В.3.1 фракции, содержащие бенз(a)пирен, из пробы продукта и пробы контрольного опыта с добавкой растворяют в 0,5 см
3 бензола и далее подвергают дополнительной очистке в тонком слое ацетилированной целлюлозы.
Для этого пластинку размером 20 x 20 см, подготовленную, как указано в
В.2.2, делят на два поля: боковое - шириной 1,5 - 2,0 см и основное, проводя по слою сорбента скальпелем или тонким шпателем разделительную полосу. На основное поле сплошной полосой, отступив 2 см от нижнего края пластинки и по 1 см с боковых краев, наносят раствор фракции, выделенной по
В.3.1. Наносят раствор с помощью тонко оттянутого капилляра или микрошприца, размер пятен не должен превышать 5 мм. Для количественного переноса вещества его дважды смывают со стенок колбы небольшим количеством бензола 0,4 - 0,6 см
3. На стартовую линию бокового поля наносят в точку 5 мкл раствора бенз(a)пирена массовой концентрации 1 мкг/см
3. После полного испарения растворителя пластинку помещают в предварительно насыщенную хроматографическую камеру под углом 70° - 85° и проводят элюирование в смеси этилового спирта, ацетона и воды, взятых в соотношении 60:25:15. Когда фронт растворителя достигнет 2 см от верхнего края пластинки, ее удаляют из камеры, сушат на воздухе и проявляют хроматографическую зону бенз(a)пирена под лампой ультрафиолетового облучателя. Соскабливают с пластинки сорбент из зоны бенз(a)пирена с основного поля с помощью скальпеля или тонкого шпателя и переносят на стеклянный фильтр, с которого вещество элюируют в несколько приемов 50 см
3 бензола в колбы вместимостью 100 см
3, далее растворитель упаривают до объема 50 (30) см
3 при температуре водяной бани не выше 50 °C, удаляют остаток растворителя потоком воздуха и добавляют в колбу 1 см
3 бензола.
На спектрофлуориметре при длине волны возбуждающего света 386 нм в диапазоне 400 - 440 нм при скорости сканирования 60 нм/мин записывают спектры флуоресценции пробы продукта и пробы контрольного опыта с добавкой бенз(a)пирена.
Записывают спектры растворов в одном режиме усиления, регулируя щель и коэффициент усиления по раствору контрольной пробы таким образом, чтобы сигнал бенз(a)пирена при 406 нм составлял 0,4 - 0,6 шкалы прибора. Для каждого раствора спектр записывают дважды, добиваясь хорошей воспроизводимости. На полученных спектрограммах в максимуме при 406 нм измеряют в миллиметрах высоту спектральной линии бенз(a)пирена для пробы продукта и пробы контрольного опыта. Рассчитывают среднее значение высот бенз(a)пирена по данным двух спектрограмм. При высоких уровнях содержания бенз(a)пирена в продукте пробы разбавляют бензолом и вновь записывают спектр в том же режиме усиления, что и для контрольной пробы.
Получают два единичных результата испытаний в условиях повторяемости. За единичный результат испытаний принимают результат одного определения, т.е. значение, полученное при одноразовом выполнении всех операций метода испытаний.
В.4 Обработка результатов
В.4.1 Вычисляют массовую долю бенз(a)пирена в продукте X1, %, или X2, мг/кг, при использовании метода высокоэффективной жидкостной хроматографии по формулам:

; (В.5)

, (В.6)
где m1 - масса бенз(a)пирена в пробе продукта, мкг;
m2 - масса бенз(a)пирена в пробе контрольного опыта, мкг;
m - масса продукта, взятая для испытания, г.
В.4.2 Вычисляют массовую долю бенз(a)пирена в продукте, % или мг/кг, при использовании метода спектрофлуориметрии по формулам:

; (В.7)

, (В.8)
где
cст - массовая концентрация бенз(a)пирена в рабочем растворе, приготовленного по
В.2.4 и добавленного в пробу контрольного опыта, мкг/см
3;
H - высота спектральной линии бенз(a)пирена на спектрограмме пробы продукта, мм;
Hст - высота спектральной линии бенз(a)пирена
V - объем рабочего раствора бенз(a)пирена, добавленного в пробу контрольного опыта, см3;
m - масса навески продукта, взятого для испытания, г.
Результат округляют до второй значащей цифры.
За окончательный результат испытания принимают среднеарифметическое двух единичных результатов испытаний, полученных в условиях повторяемости, с тем же числом значащих цифр.
Если расхождение между единичными результатами испытаний в условиях повторяемости не превышает |
X1 -
X2| <= 0,01·
rотн·
X, где
X1,
X2 и
X - единичные результаты испытаний в условиях повторяемости и их среднее арифметическое, а
rотн - норматив контроля повторяемости, то среднее арифметическое
X принимают за результат испытания. В противном случае испытание повторяют. Значение норматива
rотн приведено в
таблице В.2.
Таблица В.2
Диапазон измерений, значение характеристики относительной
погрешности и нормативы оперативного контроля случайной
составляющей относительной погрешности (повторяемости
и воспроизводимости) при доверительной вероятности P = 0,95
Диапазон измерений, мг/кг | Характеристика относительной погрешности (границы интервала, в котором погрешность находится с заданной вероятностью),  , % | Нормативы оперативного контроля повторяемости rотн, % (для двух результатов испытаний в условиях повторяемости, n = 2) | Норматив оперативного контроля воспроизводимости, Rотн, % (для двух результатов испытаний в условиях воспроизводимости, m = 2) |
От 0,0001 до 0,001 включ. | 42 | 40 | 60 |
Св. 0,001 до 0,002 включ. | 29 | 28 | 42 |
По полученному результату испытания
X и значению относительной погрешности

, приведенной в
таблице В.2, вычисляют абсолютную погрешность

.
Результат испытания представляют в виде

, мг/кг или %, при
P = 0,95.
В.4.3 За отсутствие бенз(a)пирена принимают значение ниже порога обнаружения методики, т.е. менее 0,0001 мг/кг.
В.5 Контроль точности результатов испытания
Внутренний оперативный контроль (ВОК) качества результатов испытания включает контроль повторяемости, воспроизводимости и точности результатов испытания.
В.5.1 Для каждой испытуемой пробы контролируют показатель повторяемости, используя контрольные нормативные значения повторяемости согласно
таблице В.2.
В.5.2 Для проведения контроля воспроизводимости используют рабочие пробы. Пробу делят на две равные части и проводят испытания в соответствии с методикой в разных лабораториях или в одной лаборатории, максимально варьируя условия проведения испытания, т.е. используют разные наборы мерной посуды, испытания выполняют в разные дни или два разных исполнителя.
Воспроизводимость контрольных испытаний признают удовлетворительной, если |
X1 -
X2| <= 0,01·
Rотн·
X, где
X1,
X2 и
X - результаты испытания одной и той же пробы, полученные в разных лабораториях или при варьируемых условиях в одной лаборатории, и их среднее арифметическое значение,
Rотн - значение норматива внутреннего оперативного контроля воспроизводимости. Значение норматива
Rотн приведено в
таблице В.2.
В.5.3 Для проведения контроля точности используют рабочие пробы с известной добавкой бенз(a)пирена. Пробу делят на две равные части, первую из которых анализируют в соответствии с методикой, а во вторую вводят известную добавку бенз(a)пирена и затем также анализируют в соответствии с методикой. Величина добавки должна составлять 50% - 150% содержания бенз(a)пирена в анализируемой пробе.
Точность контрольных испытаний признают удовлетворительной, если |X1 - X - c| <= K, где X1, X и c - результаты контрольных испытаний пробы с добавкой бенз(a)пирена, реальной пробы и величина добавки бенз(a)пирена соответственно; K - норматив оперативного контроля точности.
Норматив оперативного контроля точности вычисляют по формулам:
при проведении внутрилабораторного контроля (P = 0,90)

; (В.9)
при проведении внешнего контроля (P = 0,95)

, (В.10)
где

и

- значения характеристики погрешности, соответствующие массовой концентрации бенз(a)пирена в пробе с добавкой бенз(a)пирена и в реальной пробе;

и

,
где X1 и X - массовая концентрация бенз(a)пирена в пробе с добавкой и в реальной пробе, мг/кг или %.
Значения относительной погрешности

приведены в
таблице В.2.
При превышении нормативов оперативного внутреннего контроля точности проводят повторные испытания. При повторном превышении указанных нормативов испытания приостанавливают, выясняют причины, приводящие к неудовлетворительным результатам, и устраняют их.
В.6 Требования техники безопасности при проведении испытаний
В.6.1 При выполнении измерений необходимо соблюдать требования безопасности при работе с химическими реактивами по
ГОСТ 12.1.007, требования пожарной безопасности - по
ГОСТ 12.1.004 и требования электробезопасности - по
ГОСТ 12.1.019, а также требования безопасности при работе на спектрофлуориметре, жидкостном хроматографе, а также других приборах и оборудовании.
В.6.2 Помещение, в котором выполняют измерения, должно быть снабжено приточно-вытяжной вентиляцией. Работы необходимо проводить в вытяжном шкафу с использованием резиновых перчаток.
В.6.3 Растворы бенз(a)пирена, а также отработанные окись алюминия и ацетилированную целлюлозу после использования необходимо обработать крепким раствором марганцовокислого калия по
ГОСТ 5777 для окисления бенз(a)пирена, после чего раствор сливают в канализацию с большим количеством воды.
| | О безопасности упаковки |
| ISO 2859-1:1999 | Sampling procedures for inspection by attributes - Part 1: Sampling schemes indexed by acceptance quality limit (AQL) for lot-by-lot inspection |
(ИСО 2859-1:1999) | [Процедуры выборочного контроля по качественным признакам. Часть 1. Планы выборочного контроля с указанием приемлемого уровня качества (AQL) для последовательного контроля партий] |
УДК 665.772:006.354 | | |
Ключевые слова: парафины нефтяные твердые, технические условия |
--------------------------------
<*> Действует в Российской Федерации.