Главная // Актуальные документы // ГОСТ (Государственный стандарт)СПРАВКА
Источник публикации
В данном виде документ опубликован не был.
Первоначальный текст документа опубликован в издании
М.: Стандартинформ, 2015.
Информацию о публикации документов, создающих данную редакцию, см. в справке к этим документам.
Примечание к документу
Документ включен в Перечень международных и региональных (межгосударственных) стандартов (
п. п. 20,
53), а в случае их отсутствия - национальных (государственных) стандартов, содержащих правила и методы исследований (испытаний) и измерений, в том числе правила отбора образцов, необходимые для применения и исполнения требований технического
регламента Таможенного союза "О требованиях к смазочным материалам, маслам и специальным жидкостям" (ТР ТС 030/2012) и осуществления оценки соответствия объектов технического регулирования (
Решение Коллегии Евразийской экономической комиссии от 25.07.2023 N 109).
Документ включен в
Перечень международных и региональных (межгосударственных) стандартов, а в случае их отсутствия - национальных (государственных) стандартов, содержащих правила и методы исследований (испытаний) и измерений, в том числе правила отбора образцов, необходимые для применения и исполнения требований технического
регламента Евразийского экономического союза "О безопасности нефти, подготовленной к транспортировке и (или) использованию" (ТР ЕАЭС 045/2017) и осуществления оценки соответствия объектов технического регулирования (
Решение Коллегии Евразийской экономической комиссии от 24.07.2018 N 118).
Документ включен
Перечень стандартов, содержащих правила и методы исследований (испытаний) и измерений, в том числе правила отбора образцов, необходимые для применения и исполнения требований технического
регламента Таможенного союза "О требованиях к смазочным материалам, маслам и специальным жидкостям" (ТР ТС 030/2012) и осуществления оценки соответствия объектов технического регулирования (
Решение Коллегии Евразийской экономической комиссии от 02.10.2012 N 180).
Дата введения в действие на территории Российской Федерации перенесена на 01.01.2018
Приказом Росстандарта от 30.06.2016 N 759-ст.
Текст данного документа приведен с учетом
поправки, опубликованной в "ИУС", N 2, 2016;
поправки, введенной в действие с 09.01.2022, опубликованной в "ИУС", N 2, 2022.
Изменение N 2 введено в действие Приказом Росстандарта от 04.08.2020 N 449-ст с 01.07.2021.
Название документа
"ГОСТ 2477-2014. Межгосударственный стандарт. Нефть и нефтепродукты. Метод определения содержания воды"
(введен в действие Приказом Росстандарта от 21.05.2015 N 399-ст)
(ред. от 04.08.2020)
"ГОСТ 2477-2014. Межгосударственный стандарт. Нефть и нефтепродукты. Метод определения содержания воды"
(введен в действие Приказом Росстандарта от 21.05.2015 N 399-ст)
(ред. от 04.08.2020)
Введен в действие
по техническому регулированию
и метрологии
от 21 мая 2015 г. N 399-ст
МЕЖГОСУДАРСТВЕННЫЙ СТАНДАРТ
НЕФТЬ И НЕФТЕПРОДУКТЫ
МЕТОД ОПРЕДЕЛЕНИЯ СОДЕРЖАНИЯ ВОДЫ
Petroleum and petroleum products.
Method for determination of water content
ГОСТ 2477-2014
| | Список изменяющих документов Приказом Росстандарта от 03.10.2017 N 1311-ст, Приказом Росстандарта от 04.08.2020 N 449-ст) | |
| | Приказом Росстандарта от 30.06.2016 N 759-ст дата введения в действие на территории Российской Федерации перенесена на 01.01.2018. | |
Дата введения
1 июля 2016 года
Цели, основные принципы и основной порядок проведения работ по межгосударственной стандартизации установлены в
ГОСТ 1.0-92 "Межгосударственная система стандартизации. Основные положения" и
ГОСТ 1.2-2009 "Межгосударственная система стандартизации. Стандарты межгосударственные, правила и рекомендации по межгосударственной стандартизации. Правила разработки, принятия, применения, обновления и отмены"
1 РАЗРАБОТАН Межгосударственным техническим комитетом по стандартизации МТК 31 "Нефтяные топлива и смазочные материалы", Открытым акционерным обществом "Всероссийский научно-исследовательский институт по переработке нефти" (ОАО "ВНИИНП")
2 ВНЕСЕН Федеральным агентством по техническому регулированию и метрологии (Росстандарт)
3 ПРИНЯТ Межгосударственным советом по стандартизации, метрологии и сертификации (протокол от 14 ноября 2014 г. N 72-П)
За принятие проголосовали:
Краткое наименование страны по МК (ИСО 3166) 004-97 | Код страны по МК (ИСО 3166) 004-97 | Сокращенное наименование национального органа по стандартизации |
Армения | AM | Минэкономики Республики Армения |
Киргизия | KG | Кыргызстандарт |
Россия | RU | Росстандарт |
Таджикистан | TJ | Таджикстандарт |
4
Приказом Федерального агентства по техническому регулированию и метрологии от 21 мая 2015 г. N 399-ст межгосударственный стандарт ГОСТ 2477-2014 введен в действие в качестве национального стандарта Российской Федерации с 1 июля 2016 г.
5 Исключен с 1 января 2018 года. -
Изменение N 1, введенное в действие Приказом Росстандарта от 03.10.2017 N 1311-ст.
Информация об изменениях к настоящему стандарту публикуется в ежегодном информационном указателе "Национальные стандарты", а текст изменений и поправок - в ежемесячном информационном указателе "Национальные стандарты". В случае пересмотра (замены) или отмены настоящего стандарта соответствующее уведомление будет опубликовано в ежемесячном информационном указателе "Национальные стандарты". Соответствующая информация, уведомления и тексты размещаются также в информационной системе общего пользования - на официальном сайте Федерального агентства по техническому регулированию и метрологии в сети Интернет
Настоящий стандарт устанавливает метод определения содержания воды в нефтепродуктах (в том числе пластичных смазках, парафинах, церезинах, восках, гудронах и битумах), нефти и присадках.
(в ред.
Изменения N 1, введенного в действие Приказом Росстандарта от 03.10.2017 N 1311-ст,
Изменения N 2, введенного в действие Приказом Росстандарта от 04.08.2020 N 449-ст)
Стандарт не распространяется на битумные эмульсии.
В настоящем стандарте использованы нормативные ссылки на следующие межгосударственные стандарты:
ГОСТ 1770-74 (ИСО 1042-83, ИСО 4788-80) Посуда мерная лабораторная стеклянная. Цилиндры, мензурки, колбы, пробирки. Общие технические условия
(в ред.
Изменения N 1, введенного в действие Приказом Росстандарта от 03.10.2017 N 1311-ст)
Ссылка исключена с 1 января 2018 года. -
Изменение N 1, введенное в действие Приказом Росстандарта от 03.10.2017 N 1311-ст.
ГОСТ 4517-2016 Реактивы. Методы приготовления вспомогательных реактивов и растворов, применяемых при анализе
(в ред.
Изменения N 1, введенного в действие Приказом Росстандарта от 03.10.2017 N 1311-ст)
Ссылка исключена с 1 января 2018 года. -
Изменение N 1, введенное в действие Приказом Росстандарта от 03.10.2017 N 1311-ст.
(ссылка введена
Изменением N 2, введенным в действие Приказом Росстандарта от 04.08.2020 N 449-ст)
(ссылка введена
Изменением N 2, введенным в действие Приказом Росстандарта от 04.08.2020 N 449-ст)
ГОСТ 9147-80 Посуда и оборудование лабораторные фарфоровые. Технические условия
ГОСТ 25336-82 Посуда и оборудование лабораторные стеклянные. Типы, основные параметры и размеры
Примечание - При пользовании настоящим стандартом целесообразно проверить действие ссылочных стандартов в информационной системе общего пользования - на официальном сайте Федерального агентства по техническому регулированию и метрологии в сети Интернет или по ежегодному информационному указателю "Национальные стандарты", который опубликован по состоянию на 1 января текущего года, и по выпускам ежемесячного информационного указателя "Национальные стандарты" за текущий год. Если ссылочный стандарт заменен (изменен), то при пользовании настоящим стандартом следует руководствоваться заменяющим (измененным) стандартом. Если ссылочный стандарт отменен без замены, то положение, в котором дана ссылка на него, применяется в части, не затрагивающей эту ссылку.
Испытуемые нефтепродукт или нефть нагревают в колбе с холодильником в присутствии не смешивающегося с водой растворителя, который перегоняется вместе с водой, находящейся в образце. Конденсированный растворитель и вода постоянно разделяются в ловушке, причем вода остается в градуированном отсеке ловушки, а растворитель возвращается в дистилляционный сосуд.
(в ред.
Изменения N 1, введенного в действие Приказом Росстандарта от 03.10.2017 N 1311-ст)
4.1 Используют следующие безводные растворители:
(в ред.
Изменения N 1, введенного в действие Приказом Росстандарта от 03.10.2017 N 1311-ст,
Изменения N 2, введенного в действие Приказом Росстандарта от 04.08.2020 N 449-ст)
- бензин-растворитель для резиновой промышленности - нефрас - C2 - 80/120;
(в ред.
Изменения N 2, введенного в действие Приказом Росстандарта от 04.08.2020 N 449-ст)
- нефтяные дистилляты с пределами кипения от 100 °C до 200 °C и от 100 °C до 140 °C.
Растворитель выбирают в зависимости от испытуемых продуктов (в соответствии с
таблицей 1).
(в ред.
Изменения N 1, введенного в действие Приказом Росстандарта от 03.10.2017 N 1311-ст)
Для каждой новой партии растворителя проводят проверку на содержание воды в соответствии с настоящим методом, поместив в аппарат для перегонки такое количество растворителя, которое участвует в испытании образца, и проводят операции, приведенные в
8.4 -
8.8. При обнаружении воды растворитель обезвоживают любым способом.
(абзац введен
Изменением N 1, введенным в действие Приказом Росстандарта от 03.10.2017 N 1311-ст; в ред.
Изменения N 2, введенного в действие Приказом Росстандарта от 04.08.2020 N 449-ст)
4.2 Хромовая смесь, приготовленная по
ГОСТ 4517 (2.152).
4.3 Вода дистиллированная с pH 5,4 - 6,6 по
ГОСТ 6709.
(в ред.
Изменения N 2, введенного в действие Приказом Росстандарта от 04.08.2020 N 449-ст)
4.5 Пемза, или неглазурованные фаянс и фарфор, или запаянные с одного конца стеклянные капилляры, или олеин, или силиконовая жидкость.
Абзац исключен с 01.07.2021. -
Изменение N 2, введенное в действие Приказом Росстандарта от 04.08.2020 N 449-ст.
4.6 Водорастворимый индикатор, не растворимый в органических растворителях, например тимоловый синий.
(п. 4.6 введен
Изменением N 2, введенным в действие Приказом Росстандарта от 04.08.2020 N 449-ст)
4.7 Допускается применять реактивы квалификации не ниже указанной в настоящем стандарте.
(п. 4.7 введен
Изменением N 2, введенным в действие Приказом Росстандарта от 04.08.2020 N 449-ст)
5.1 Исключен с 1 января 2018 года. -
Изменение N 1, введенное в действие Приказом Росстандарта от 03.10.2017 N 1311-ст.
5.2 При определении содержания воды можно также применять:
- аппарат для количественного определения содержания воды в нефтяных, пищевых и других продуктах со стеклянным дистилляционным сосудом (аппарат АКОВ). Для сборки аппарата допускается использовать колбы типа К-1-500-29/32 ТС, К-1-1000-29/32 ТС, К-1-2000-45/40 ТС по
ГОСТ 25336;
(в ред.
Изменения N 1, введенного в действие Приказом Росстандарта от 03.10.2017 N 1311-ст)
- холодильник типа ХПТ по
ГОСТ 25336 с длиной кожуха не менее 300 мм;
- палочку стеклянную длиной примерно 500 мм с резиновым наконечником или металлическую проволоку такой же длины с утолщением на конце;
- приемники-ловушки номинальной вместимостью 25 см3 (при ожидаемом содержании воды более 10 см3), оснащенные запорным краном; номинальной вместимостью 2; 5 и 10 см3. Для испытаний образцов нефти используют ловушки с наименьшей ценой деления в начале шкалы (до 0,3 см3) не более 0,03 см3;
(в ред.
Изменения N 1, введенного в действие Приказом Росстандарта от 03.10.2017 N 1311-ст)
Абзацы шестой и седьмой исключены с 1 января 2018 года. -
Изменение N 1, введенное в действие Приказом Росстандарта от 03.10.2017 N 1311-ст.
- цилиндры и пробирки мерные стеклянные по
ГОСТ 1770;
(в ред.
Изменения N 1, введенного в действие Приказом Росстандарта от 03.10.2017 N 1311-ст)
- электрическое нагревательное устройство для нагрева дистилляционного сосуда;
(в ред.
Изменения N 1, введенного в действие Приказом Росстандарта от 03.10.2017 N 1311-ст)
Абзацы одиннадцатый и двенадцатый исключены с 1 января 2018 года. -
Изменение N 1, введенное в действие Приказом Росстандарта от 03.10.2017 N 1311-ст.
- секундомер;
- весы лабораторные с действительной ценой деления не более 0,01 г.
(в ред.
Изменения N 1, введенного в действие Приказом Росстандарта от 03.10.2017 N 1311-ст,
Изменения N 2, введенного в действие Приказом Росстандарта от 04.08.2020 N 449-ст)
Допускается использовать аппаратуру с характеристиками не хуже приведенных в настоящем стандарте и обеспечивающую получение достоверных результатов.
(в ред.
Изменения N 2, введенного в действие Приказом Росстандарта от 04.08.2020 N 449-ст)
Раздел 6 исключен с 1 января 2018 года. -
Изменение N 1, введенное в действие Приказом Росстандарта от 03.10.2017 N 1311-ст.
7 Отбор проб и подготовка к испытанию
7.2 Подготовка пробы
7.2.1 Пробу жидких испытуемых нефти или нефтепродукта хорошо перемешивают пятиминутным встряхиванием в пробоотборной емкости (контейнере, бутылке, канистре и т.д.), заполненной не более чем на 3/4 вместимости. Пробу, перемешивание которой при комнатной температуре не обеспечивает ее однородность, предварительно нагревают до температуры 40 °C - 50 °C, если температура начала кипения продукта позволяет нагревать пробу в данном диапазоне.
(п. 7.2.1 в ред.
Изменения N 1, введенного в действие Приказом Росстандарта от 03.10.2017 N 1311-ст, в ред.
Изменения N 2, введенного в действие Приказом Росстандарта от 04.08.2020 N 449-ст)
7.2.2 Твердые и хрупкие образцы для объединенной пробы (парафин, церезин, восковые составы и битумы) измельчают и тщательно перемешивают. Пробу для испытания отбирают от измельченных и перемешанных образцов, взятых из разных мест контейнера.
7.2.3 Удаляют шпателем с поверхности пробы испытуемой смазки верхний слой высотой не менее 10 мм. Затем не менее чем в трех точках ближе к центру контейнера отбирают пробы примерно равной массы. Отобранные пробы помещают в одну фарфоровую чашку и тщательно перемешивают.
(в ред.
Изменения N 1, введенного в действие Приказом Росстандарта от 03.10.2017 N 1311-ст)
7.3 Количество отбираемого образца для испытания зависит от предполагаемого содержания воды так, чтобы объем воды не превышал вместимость ловушки (если используют ловушку с краном, то избыток воды можно слить в мерный цилиндр или градуированную пробирку).
(п. 7.3 в ред.
Изменения N 1, введенного в действие Приказом Росстандарта от 03.10.2017 N 1311-ст)
7.4 Исключен с 1 января 2018 года. -
Изменение N 1, введенное в действие Приказом Росстандарта от 03.10.2017 N 1311-ст.
7.5 Подготовка оборудования
Для удаления поверхностных пленок и остатков, затрудняющих свободное стекание воды в испытательном аппарате и оказывающих влияние на точность настоящего метода, дистилляционный сосуд, приемник-ловушку и внутреннюю трубку холодильника промывают последовательно бензином или нефрасом, ацетоном, водопроводной водой, ополаскивают дистиллированной водой и сушат. При загрязнении стеклянные детали прибора промывают хромовой смесью, водопроводной водой, ополаскивают дистиллированной водой и сушат. Если природа испытуемых образцов приводит к устойчивому загрязнению, рекомендуется более частая очистка.
(в ред.
Изменения N 1, введенного в действие Приказом Росстандарта от 03.10.2017 N 1311-ст)
8.1 При испытании нефтепродуктов в дистилляционный сосуд (колбу) вводят (100,0 +/- 1,0) см3 или (100,00 +/- 1,00) г образца.
(в ред.
Изменения N 2, введенного в действие Приказом Росстандарта от 04.08.2020 N 449-ст)
При испытании нефтепродуктов массу или объем образца допускается выбирать таким образом, чтобы объем отогнанной воды не превышал номинальной вместимости ловушки.
Жидкие нефтепродукты отмеряют по объему мерным цилиндром так, чтобы не допустить захвата воздуха. При необходимости рассчитывают массу нефтепродукта. Затем тщательно смывают продукт со стенок цилиндра однократно (50 +/- 5) см3 растворителя (выбранного в соответствии с таблицей 1) и двумя порциями растворителя по (25 +/- 5) см3, общий объем растворителя должен быть равным 100 см3.
(в ред.
Изменения N 2, введенного в действие Приказом Росстандарта от 04.08.2020 N 449-ст)
Твердые или вязкие нефтепродукты взвешивают непосредственно в дистилляционном сосуде (колбе).
(п. 8.1 в ред.
Изменения N 1, введенного в действие Приказом Росстандарта от 03.10.2017 N 1311-ст)
Таблица 1
Растворитель для нефтепродукта
| Испытуемый нефтепродукт |
Толуол или ксилол | Битумы, битуминозные нефти, асфальты, гудроны, тяжелые остаточные котельные топлива |
Нефтяные дистилляты с пределами кипения от 100 °C до 200 °C или от 100 °C до 140 °C; толуол или ксилол | Нефть, присадки к смазочным маслам, жидкие битумы, мазуты, смазочные масла, нефтяное топливо и другие нефтепродукты |
(в ред. Изменения N 1, введенного в действие Приказом Росстандарта от 03.10.2017 N 1311-ст) |
Нефтяные дистилляты с пределами кипения от 100 °C до 140 °C, или изооктаны, или нефрас | Пластичные смазки |
8.2 При испытании нефти количество нефти и объем растворителя выбирают в соответствии с таблицей 2, исходя из ожидаемого содержания воды в образце нефти.
(в ред.
Изменения N 2, введенного в действие Приказом Росстандарта от 04.08.2020 N 449-ст)
Значение массы или объема образца нефти (рекомендуемое)
Ожидаемая массовая или объемная доля воды в образце, % | Объем нефти, см3 | Масса нефти, г | Объем растворителя, см3 |
До 5,0 включ. | 100,0 +/- 1,0 | 100,00 +/- 1,00 | 100,0 +/- 1,0 |
(в ред. Изменения N 2, введенного в действие Приказом Росстандарта от 04.08.2020 N 449-ст) |
Св. 5,0 до 10,0 включ. | 50,0 +/- 1,0 | 50,00 +/- 0,50 | 150,0 +/- 2,0 |
(в ред. Изменения N 2, введенного в действие Приказом Росстандарта от 04.08.2020 N 449-ст) |
Св. 10,0 до 25,0 включ. | 20,0 +/- 0,5 | 20,00 +/- 0,20 | 180,0 +/- 2,0 |
(в ред. Изменения N 2, введенного в действие Приказом Росстандарта от 04.08.2020 N 449-ст) |
Св. 25,0 | 10,0 +/- 0,5 | 10,00 +/- 0,10 | 190,0 +/- 2,0 |
(в ред. Изменения N 2, введенного в действие Приказом Росстандарта от 04.08.2020 N 449-ст) |
Образец нефти отбирают в мерный цилиндр до требуемого объема медленно, чтобы не допустить захвата воздуха, и переносят в перегонную колбу, промывая тремя порциями растворителя, общий объем которого должен соответствовать
таблице 2. Объем порции должен быть не менее 25 см
3.
(в ред.
Изменения N 2, введенного в действие Приказом Росстандарта от 04.08.2020 N 449-ст)
При отборе образца нефти по массе взвешивание проводят в дистилляционном сосуде (колбе), растворитель добавляют непосредственно в дистилляционный сосуд (колбу).
(в ред.
Изменения N 2, введенного в действие Приказом Росстандарта от 04.08.2020 N 449-ст)
8.3 Исключен с 1 января 2018 года. -
Изменение N 1, введенное в действие Приказом Росстандарта от 03.10.2017 N 1311-ст.
8.4 Тщательно перемешивают смесь до полного растворения испытуемого продукта. Для равномерного кипения во время испытания в дистилляционный сосуд опускают несколько кусочков неглазурованного фаянса, или фарфора, или несколько капилляров, или 1 - 2 г олеина, или несколько капель силиконовой жидкости.
(в ред.
Изменения N 1, введенного в действие Приказом Росстандарта от 03.10.2017 N 1311-ст)
8.5 Собирают аппарат в соответствии с паспортом на него (при наличии), обеспечивая герметичность всех соединений. Вместимость дистилляционного сосуда и приемника-ловушки выбирают в зависимости от предполагаемого содержания воды в испытуемом продукте.
(в ред.
Изменения N 2, введенного в действие Приказом Росстандарта от 04.08.2020 N 449-ст)
Абзац исключен с 1 января 2018 года. -
Изменение N 1, введенное в действие Приказом Росстандарта от 03.10.2017 N 1311-ст.
Трубка холодильника и ловушка должны быть чистыми и сухими. Верхний конец холодильника закрывают неплотным ватным тампоном для предотвращения конденсации атмосферной влаги внутри трубки холодильника. Включают приток холодной воды в кожух холодильника.
(в ред.
Изменения N 1, введенного в действие Приказом Росстандарта от 03.10.2017 N 1311-ст)
Примечание - При использовании аппарата АКОВ нижний край косо срезанного конца трубки холодильника должен находиться не ниже середины отводной трубки.
При отсутствии аппарата со шлифами соединения проводят, используя пробки, при этом скошенный конец отводной трубки приемника-ловушки должен опускаться в колбу на 1 - 20 мм, а нижний край косо срезанного конца трубки холодильника должен находиться не ниже середины отводной трубки холодильника.
(примечание в ред.
Изменения N 2, введенного в действие Приказом Росстандарта от 04.08.2020 N 449-ст)
8.6 Исключен с 1 января 2018 года. -
Изменение N 1, введенное в действие Приказом Росстандарта от 03.10.2017 N 1311-ст.
8.6.1 При испытании нефтепродуктов содержимое колбы доводят до кипения и затем нагревают так, чтобы скорость конденсации дистиллята в приемник была 2 - 5 капель в секунду.
Если при дистилляции происходит неустойчивое каплеобразование, увеличивают скорость дистилляции или останавливают на несколько минут приток охлаждающей воды в холодильник.
Перегонку нефтепродукта завершают после прекращения увеличения объема воды в приемнике-ловушке и получения абсолютно прозрачного верхнего слоя растворителя. Время перегонки должно быть не менее 30 мин и не более 60 мин.
8.6.2 В начале перегонки образец нефти нагревают медленно для исключения пульсирующего кипения и возможной потери воды из системы. Дистиллят должен поступать в ловушку со скоростью 2 - 5 капель в секунду. Перегонку нефти завершают, когда объем воды в ловушке не будет увеличиваться и верхний слой растворителя в ловушке станет совершенно прозрачным. Время перегонки должно быть не менее 30 мин и не более 60 мин.
(п. 8.6.2 в ред.
Изменения N 1, введенного в действие Приказом Росстандарта от 03.10.2017 N 1311-ст)
8.7 Если в конце перегонки нефти или нефтепродукта в трубке холодильника задерживаются капли воды, их смывают растворителем, повышая на короткое время интенсивность кипения. Если эта процедура не позволяет удалить капли воды со стенок, их сталкивают в ловушку стеклянной палочкой или металлической проволокой или используют другое приспособление для перемещения воды в ловушку.
(п. 8.7 в ред.
Изменения N 1, введенного в действие Приказом Росстандарта от 03.10.2017 N 1311-ст; в ред.
Изменения N 2, введенного в действие Приказом Росстандарта от 04.08.2020 N 449-ст)
8.8 После охлаждения колбы, растворителя и воды в приемнике-ловушке до температуры окружающей среды разбирают аппарат и перемещают стеклянной палочкой или проволокой капельки воды со стенок приемника-ловушки в кончик.
(в ред.
Изменения N 2, введенного в действие Приказом Росстандарта от 04.08.2020 N 449-ст)
Если в приемнике-ловушке со шкалой 25 см3 содержится более 25 см3 воды, излишки сливают в градуированную пробирку или мерный цилиндр.
Если в приемнике-ловушке накопился небольшой объем воды (до 0,3 см3) и при этом растворитель мутный, помещают приемник-ловушку на 20 - 30 мин в горячую воду для осветления растворителя и снова охлаждают до температуры окружающей среды.
Записывают объем воды в ловушке с точностью до ближайшего верхнего деления шкалы используемой ловушки, за исключением случая, описанного в
9.4. Показания считывают по нижнему краю мениска. Глаз наблюдателя должен быть на уровне мениска.
(в ред.
Изменения N 1, введенного в действие Приказом Росстандарта от 03.10.2017 N 1311-ст,
Изменения N 2, введенного в действие Приказом Росстандарта от 04.08.2020 N 449-ст)
Абзац исключен с 1 января 2018 года. -
Изменение N 1, введенное в действие Приказом Росстандарта от 03.10.2017 N 1311-ст.
8.9 Исключен с 1 января 2018 года. -
Изменение N 1, введенное в действие Приказом Росстандарта от 03.10.2017 N 1311-ст.
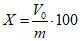
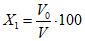
9.1 Массовую (X) или объемную (X1) долю воды в нефтепродуктах или нефти, %, вычисляют по формулам:

, (1)

, (2)

, (3)
Приказом Росстандарта от 04.08.2020 N 449-ст)
где V0 - объем воды в приемнике-ловушке, см3;
m - масса испытуемого образца, г;
V - объем образца, см3;

- плотность образца, измеренная при фактической температуре испытания, г/см
3.
(в ред.
Изменения N 2, введенного в действие Приказом Росстандарта от 04.08.2020 N 449-ст)
Примечание - Для упрощения вычисления плотность воды при комнатной температуре принимают за 1 г/см3, а числовое значение объема воды в см3 - за числовое значение массы воды в г; при массе нефти или нефтепродукта (100,00 +/- 0,10) г за массовую долю воды принимают объем воды, собравшийся в приемнике-ловушке, см3.
(п. 9.1 в ред.
Изменения N 1, введенного в действие Приказом Росстандарта от 03.10.2017 N 1311-ст)
9.2 Исключен с 1 января 2018 года. -
Изменение N 1, введенное в действие Приказом Росстандарта от 03.10.2017 N 1311-ст.
9.3 За результат испытаний принимают среднеарифметическое значение двух последовательных определений (см.
раздел 10).
(в ред.
Изменения N 2, введенного в действие Приказом Росстандарта от 04.08.2020 N 449-ст)
При испытаниях нефтепродуктов расчеты и оформление результатов проводят с точностью до второго десятичного знака.
(в ред.
Изменения N 2, введенного в действие Приказом Росстандарта от 04.08.2020 N 449-ст)
При испытании нефти с использованием приемников-ловушек вместимостью 5 см3 расчеты проводят с точностью до третьего десятичного знака, затем результаты округляют до второго десятичного знака.
(п. 9.3 в ред.
Изменения N 1, введенного в действие Приказом Росстандарта от 03.10.2017 N 1311-ст)
При испытании нефти для товарно-коммерческих операций с использованием приемников-ловушек вместимостью 10 см3 при содержании воды до 0,3 см3 включительно расчеты и оформление результатов проводят с точностью до второго десятичного знака.
(абзац введен
Изменением N 2, введенным в действие Приказом Росстандарта от 04.08.2020 N 449-ст)
9.4 При объеме воды менее 0,03 см
3 в приемнике-ловушке, имеющей наименьшую цену деления 0,03 см
3, содержание воды считают следами.
(в ред.
Изменения N 2, введенного в действие Приказом Росстандарта от 04.08.2020 N 449-ст)
За отсутствие воды в испытуемом продукте принимают отсутствие капель воды в нижней части приемника-ловушки.
При затруднениях в визуальной оценке содержания воды ее наличие определяют с помощью водорастворимого индикатора, несколько кристаллов которого вносят в приемник-ловушку. Изменение цвета содержимого приемника-ловушки указывает на наличие воды.
(в ред.
Изменения N 1, введенного в действие Приказом Росстандарта от 03.10.2017 N 1311-ст,
Изменения N 2, введенного в действие Приказом Росстандарта от 04.08.2020 N 449-ст)
9.5 Исключен с 1 января 2018 года. -
Изменение N 1, введенное в действие Приказом Росстандарта от 03.10.2017 N 1311-ст.
10.1 Для нефтепродуктов прецизионность метода определяли с использованием приемников-ловушек вместимостью 10 и 25 см
3. Прецизионность метода с использованием ловушек вместимостью 2 и 5 см
3 не установлена.
10.1.1 Повторяемость r
Расхождение между последовательными результатами испытаний, полученными одним и тем же оператором на одной и той же аппаратуре в постоянных рабочих условиях на идентичном испытуемом материале в течение длительного времени работы при нормальном и правильном выполнении метода, не должно превышать следующее значение:
(в ред.
Изменения N 2, введенного в действие Приказом Росстандарта от 04.08.2020 N 449-ст)
- 0,1% - при объеме воды в приемнике-ловушке, менее или равном 1,0 см3;
(в ред.
Изменения N 2, введенного в действие Приказом Росстандарта от 04.08.2020 N 449-ст)
- 0,1% или 2% среднего значения объема (в зависимости от того, какое значение больше) - при объеме воды в приемнике-ловушке более 1,0 см3.
(в ред.
Изменения N 2, введенного в действие Приказом Росстандарта от 04.08.2020 N 449-ст)
10.1.2 Воспроизводимость R
Расхождение между двумя единичными и независимыми результатами испытаний, полученными разными операторами, работающими в разных лабораториях на идентичном испытуемом материале в течение длительного времени работы при нормальном и правильном выполнении метода, не должно превышать следующую величину:
(в ред.
Изменения N 2, введенного в действие Приказом Росстандарта от 04.08.2020 N 449-ст)
- 0,2% - при объеме воды в приемнике-ловушке, менее или равном 1,0 см3;
(в ред.
Изменения N 2, введенного в действие Приказом Росстандарта от 04.08.2020 N 449-ст)
- 0,2% или 10% среднего значения объема (в зависимости от того, какое значение больше) - при объеме воды в приемнике-ловушке более 1,0 см3 до 10 см3;
(в ред.
Изменения N 2, введенного в действие Приказом Росстандарта от 04.08.2020 N 449-ст)
- 5% значения среднего результата - при объеме воды в приемнике-ловушке более 10 см3.
(в ред.
Изменения N 2, введенного в действие Приказом Росстандарта от 04.08.2020 N 449-ст)
10.2 Прецизионность настоящего метода при испытании нефти получена статистической обработкой результатов межлабораторных испытаний нефти с содержанием воды в пределах от 0,01% до 1,0% при использовании приемника-ловушки вместимостью 5 см3.
При испытании нефти с использованием приемника-ловушки объемом 10 см
3 с наименьшей ценой деления 0,03 см
3 допускается проведение расчетов как для нефтепродуктов
(9.3) и использование показателей прецизионности, приведенных в
10.1.
(п. 10.2 в ред.
Изменения N 1, введенного в действие Приказом Росстандарта от 03.10.2017 N 1311-ст)
10.2.1 Повторяемость r
Расхождение между последовательными результатами испытаний, полученными одним и тем же оператором на одной и той же аппаратуре в постоянных рабочих условиях на идентичном испытуемом материале в течение длительного времени работы при нормальном и правильном выполнении метода, может превышать указанные на рисунке 1 значения для диапазона содержания воды от 0,0% до 0,1% только в одном случае из двадцати.
(в ред.
Изменения N 1, введенного в действие Приказом Росстандарта от 03.10.2017 N 1311-ст,
Изменения N 2, введенного в действие Приказом Росстандарта от 04.08.2020 N 449-ст)
Приказом Росстандарта от 04.08.2020 N 449-ст)
Рисунок 1 - Прецизионность метода определения
воды в нефти для диапазона содержания воды от 0,0% до 0,1%
Приказом Росстандарта от 03.10.2017 N 1311-ст,
Приказом Росстандарта от 04.08.2020 N 449-ст)
При содержании воды более 0,1% - повторяемость равна 0,08%.
(в ред.
Изменения N 2, введенного в действие Приказом Росстандарта от 04.08.2020 N 449-ст)
10.2.2 Воспроизводимость R
Расхождение между двумя единичными и независимыми результатами испытаний, полученными разными операторами, работающими в разных лабораториях на идентичном испытуемом материале в течение длительного времени работы при нормальном и правильном выполнении метода, может превышать указанные на
рисунке 1 значения для диапазона содержания воды от 0,0% до 0,1% только в одном случае из двадцати.
(в ред.
Изменения N 1, введенного в действие Приказом Росстандарта от 03.10.2017 N 1311-ст,
Изменения N 2, введенного в действие Приказом Росстандарта от 04.08.2020 N 449-ст)
При содержании воды более 0,1% - воспроизводимость равна 0,11%.
(в ред.
Изменения N 2, введенного в действие Приказом Росстандарта от 04.08.2020 N 449-ст)
УДК 665.61 + 665.71:543.613.22:542.48:006.354 | |
Ключевые слова: нефть и нефтепродукты, метод определения содержания воды |
(в ред.
Изменения N 2, введенного в действие Приказом Росстандарта от 04.08.2020 N 449-ст)