Главная // Актуальные документы // ГОСТ (Государственный стандарт)СПРАВКА
Источник публикации
М.: ФГБУ "РСТ", 2021
Примечание к документу
Документ
введен в действие с 01.05.2022.
Взамен ГОСТ 13079-93.
Название документа
"ГОСТ 13079-2021. Межгосударственный стандарт. Силикат натрия растворимый. Технические условия"
(введен в действие Приказом Росстандарта от 14.09.2021 N 955-ст)
"ГОСТ 13079-2021. Межгосударственный стандарт. Силикат натрия растворимый. Технические условия"
(введен в действие Приказом Росстандарта от 14.09.2021 N 955-ст)
агентства по техническому
регулированию и метрологии
от 14 сентября 2021 г. N 955-ст
МЕЖГОСУДАРСТВЕННЫЙ СТАНДАРТ
СИЛИКАТ НАТРИЯ РАСТВОРИМЫЙ
ТЕХНИЧЕСКИЕ УСЛОВИЯ
Soluble sodium silicate. Specifications
ГОСТ 13079-2021
Дата введения
1 мая 2022 года
Цели, основные принципы и общие правила проведения работ по межгосударственной стандартизации установлены
ГОСТ 1.0 "Межгосударственная система стандартизации. Основные положения" и
ГОСТ 1.2 "Межгосударственная система стандартизации. Стандарты межгосударственные, правила и рекомендации по межгосударственной стандартизации. Правила разработки, принятия, обновления и отмены"
1 РАЗРАБОТАН Акционерным обществом "Институт стекла", Техническим комитетом по стандартизации ТК 041 "Стекло"
2 ВНЕСЕН Федеральным агентством по техническому регулированию и метрологии
3 ПРИНЯТ Межгосударственным советом по стандартизации, метрологии и сертификации (протокол от 14 июля 2021 г. N 59)
За принятие проголосовали:
Краткое наименование страны по МК (ИСО 3166) 004-97 | Код страны по МК (ИСО 3166) 004-97 | Сокращенное наименование национального органа по стандартизации |
Армения | AM | ЗАО "Национальный орган по стандартизации и метрологии" Республики Армения |
Беларусь | BY | Госстандарт Республики Беларусь |
Киргизия | KG | Кыргызстандарт |
Россия | RU | Росстандарт |
4
Приказом Федерального агентства по техническому регулированию и метрологии от 14 сентября 2021 г. N 955-ст межгосударственный стандарт ГОСТ 13079-2021 введен в действие в качестве национального стандарта Российской Федерации с 1 мая 2022 г.
5 ВЗАМЕН ГОСТ 13079-93
Информация о введении в действие (прекращении действия) настоящего стандарта и изменений к нему на территории указанных выше государств публикуется в указателях национальных стандартов, издаваемых в этих государствах, а также в сети Интернет на сайтах соответствующих национальных органов по стандартизации.
В случае пересмотра, изменения или отмены настоящего стандарта соответствующая информация будет опубликована на официальном интернет-сайте Межгосударственного совета по стандартизации, метрологии и сертификации в каталоге "Межгосударственные стандарты"
Настоящий стандарт распространяется на растворимый силикат натрия (далее - силикат натрия), выпускаемый в виде кусков или гранулята, предназначенный для изготовления стекла натриевого жидкого по
ГОСТ 13078.
В настоящем стандарте использованы нормативные ссылки на следующие межгосударственные стандарты:
ГОСТ 61 Реактивы. Кислота уксусная. Технические условия
ГОСТ 83 Реактивы. Натрий углекислый. Технические условия
ГОСТ 199 Реактивы. Натрий уксуснокислый 3-водный. Технические условия
ГОСТ 1277 Реактивы. Серебро азотнокислое. Технические условия
ГОСТ 1770 (ИСО 1042-83, ИСО 4788-80) Посуда мерная лабораторная стеклянная. Цилиндры, мензурки, колбы, пробирки. Общие технические условия
ГОСТ 2053 Реактивы. Натрий сернистый 9-водный. Технические условия
ГОСТ 3117 Реактивы. Аммоний уксуснокислый. Технические условия
ГОСТ 3118 Реактивы. Кислота соляная. Технические условия
ГОСТ 3760 Реактивы. Аммиак водный. Технические условия
ГОСТ 3765 Реактивы. Аммоний молибденовокислый. Технические условия
ГОСТ 3773 Реактивы. Аммоний хлористый. Технические условия
ГОСТ 3956 Силикагель технический. Технические условия
ГОСТ 4108 Реактивы. Барий хлорид 2-водный. Технические условия
ГОСТ 4165 Реактивы. Медь (II) сернокислая 5-водная. Технические условия
ГОСТ 4166 Реактивы. Натрий сернокислый. Технические условия
ГОСТ 4174 Реактивы. Цинк сернокислый 7-водный. Технические условия
ГОСТ 4204 Реактивы. Кислота серная. Технические условия
ГОСТ 4208 Реактивы. Соль закиси железа и аммония двойная сернокислая (соль Мора). Технические условия
ГОСТ 4233 Реактивы. Натрий хлористый. Технические условия
ГОСТ 4234 Реактивы. Калий хлористый. Технические условия
ГОСТ 4328 Реактивы. Натрия гидроокись. Технические условия
ГОСТ 4461 Реактивы. Кислота азотная. Технические условия
ГОСТ 4463 Реактивы. Натрий фтористый. Технические условия
ГОСТ 4478 Реактивы. Кислота сульфосалициловая 2-водная. Технические условия
ГОСТ 4517 Реактивы. Методы приготовления вспомогательных реактивов и растворов, применяемых при анализе
ГОСТ 4919.1 Реактивы и особо чистые вещества. Методы приготовления растворов индикаторов
ГОСТ 4919.2 Реактивы и особо чистые вещества. Методы приготовления буферных растворов
ГОСТ 5456 Реактивы. Гидроксиламина гидрохлорид. Технические условия
ГОСТ 6344 Реактивы. Тиомочевина. Технические условия
ГОСТ 6563 Изделия технические из благородных металлов и сплавов. Технические условия
ГОСТ 6709 <1> Вода дистиллированная. Технические условия
--------------------------------
ГОСТ 9147 Посуда и оборудование лабораторные фарфоровые. Технические условия
ГОСТ 9428 Реактивы. Кремний (IV) оксид. Технические условия
ГОСТ 10398 Реактивы и особо чистые вещества. Комплексонометрический метод определения основного вещества
ГОСТ 10484 Реактивы. Кислота фтористоводородная. Технические условия
ГОСТ 10652 Реактивы. Соль динатриевая этилендиамин-N, N, N', N'-тетрауксусной кислоты 2-водная (трилон Б). Технические условия
ГОСТ 12026 Бумага фильтровальная лабораторная. Технические условия
ГОСТ 13078 Стекло натриевое жидкое. Технические условия
ГОСТ 14919 Электроплиты, электроплитки и жарочные электрошкафы бытовые. Общие технические условия
ГОСТ 18300 <2> Спирт этиловый ректификованный технический. Технические условия
--------------------------------
<2> В Российской Федерации действует
ГОСТ Р 55878-2013 "Спирт этиловый технический гидролизный ректификованный. Технические условия".
ГОСТ 22867 Реактивы. Аммоний азотнокислый. Технические условия
ГОСТ 23932 Посуда и оборудование лабораторные стеклянные. Общие технические условия
ГОСТ 24363 Реактивы. Калия гидроокись. Технические условия
ГОСТ 25336 Посуда и оборудование лабораторные стеклянные. Типы, основные параметры и размеры
ГОСТ 29227 (ИСО 835-1-81) Посуда лабораторная стеклянная. Пипетки градуированные. Часть 1. Общие требования
ГОСТ 29251 (ИСО 385-1-84) Посуда лабораторная стеклянная. Бюретки. Часть 1. Общие требования
ГОСТ OIML R 76-1 Государственная система обеспечения единства измерений. Весы неавтоматического действия. Часть 1. Метрологические и технические требования. Испытания
ГОСТ OIML R 111-1 Государственная система обеспечения единства измерений. Гири классов E
1, E
2, F
1, F
2, M
1, M
1-2, M
2, M
2-3 и M
3. Часть 1. Метрологические и технические требования
Примечание - При пользовании настоящим стандартом целесообразно проверить действие ссылочных стандартов и классификаторов на официальном интернет-сайте Межгосударственного совета по стандартизации, метрологии и сертификации (www.easc.by) или по указателям национальных стандартов, издаваемым в государствах, указанных в предисловии, или на официальных сайтах соответствующих национальных органов по стандартизации. Если на документ дана недатированная ссылка, то следует использовать документ, действующий на текущий момент, с учетом всех внесенных в него изменений. Если заменен ссылочный документ, на который дана датированная ссылка, то следует использовать указанную версию этого документа. Если после принятия настоящего стандарта в ссылочный документ, на который дана датированная ссылка, внесено изменение, затрагивающее положение, на которое дана ссылка, то это положение применяется без учета данного изменения. Если ссылочный документ отменен без замены, то положение, в котором дана ссылка на него, применяется в части, не затрагивающей эту ссылку.
В настоящем стандарте применены следующие термины с соответствующими определениями:
3.1 градуировочный раствор: Раствор с известной концентрацией определяемого химического элемента, используемый для построения градуировочного графика в инструментальных методах анализа.
3.2 стандартный раствор: Раствор с известной концентрацией определяемого химического элемента.
3.3 градуировочный график: Зависимость оптической плотности раствора от концентрации растворенного вещества.
3.4 контрольный раствор (раствор сравнения): Раствор, составленный из применяемых в конкретном анализе реактивов и воды без анализируемой пробы.
3.5 контрольный опыт: Проведение всей процедуры анализа без анализируемой пробы.
3.6 массовая доля (процентная концентрация вещества): Отношение массы растворенного вещества к общей массе раствора.
3.7 буферные растворы: Растворы с определенной устойчивой концентрацией водородных ионов.
Примечание - pH буферных растворов мало изменяется при прибавлении к ним небольшого количества сильного основания или сильной кислоты, а также при разбавлении и концентрировании.
3.8 объемное соотношение раствора: Раствор в объемном соотношении 1:1, 1:2 и т.д., первые цифры обозначают объемные части кислоты, водного аммиака и т.д., а вторые - объемные части воды.
Примечание - Если концентрация или разбавление кислоты или водного раствора аммиака не указаны, то подразумевают концентрированную кислоту или раствор аммиака.
3.9 горячий раствор (горячая вода): Жидкость имеет температуру свыше 75 °C.
3.10 теплый раствор (теплая вода): Жидкость имеет температуру от 40 °C до 75 °C.
4.1.1 Силикат натрия изготавливают в соответствии с требованиями настоящего стандарта по технологической документации, утвержденной в установленном порядке.
4.1.2 Силикат натрия в зависимости от внешнего вида и физико-химических показателей подразделяют на марки СНР1 - СНР6, которые должны соответствовать требованиям, указанным в
таблице 1.
Нормы по химическому составу по маркам устанавливают в пересчете на прокаленное вещество.
Таблица 1
Требования для силиката натрия
Наименование показателя | Требования для силиката натрия марки |
СНР1 | СНР2 | СНР3 | СНР4 | СНР5 | СНР6 |
Внешний вид | Однородные прозрачные бесформенные куски без механических включений, видимых невооруженным глазом, со слабо-зеленым, желтоватым или голубоватым оттенком | Однородные прозрачные бесформенные куски без механических включений | Однородные прозрачные бесформенные куски без механических включений, видимых невооруженным глазом, со слабо-зеленым, желтоватым или голубоватым оттенком |
Массовая доля диоксида кремния, % | 70,7 - 73,4 | 71,7 - 73,1 | 71,7 - 73,8 | 70,4 - 74,1 | 73,4 - 75,7 | 75,8 - 77,6 |
Массовая доля оксидов железа и алюминия, %, не более, в т.ч. оксида железа, %, не более | 0,60 | 0,48 | 0,40 | 2,00 | 0,60 | 0,60 |
Не нормируется | 0,05 | Не нормируется |
Массовая доля оксида кальция, %, не более | 0,40 | 0,25 | 0,10 | 0,40 |
Массовая доля оксида серы, %, не более | 0,30 | 0,15 | 0,30 |
Массовая доля оксида натрия, %, не более | 25,3 - 28,1 | 26,0 - 27,4 | 25,5 - 28,2 | 23,2 - 26,9 | 23,0 - 26,3 | 22,0 - 22,9 |
Силикатный модуль | 2,6 - 3,0 | 2,7 - 2,9 | 2,6 - 3,0 | 2,7 - 3,3 | 2,7 - 3,4 | 3,4 - 3,7 |
Примечания 1 Рекомендуемая область применения в зависимости от марки силиката натрия приведена в приложении А. 2 Допускается устанавливать размеры кусков силиката натрия по согласованию изготовителя с потребителем. |
4.2.1 Силикат натрия поставляют насыпью без упаковки или в упаковке.
Вид упаковки и способ упаковывания согласовывают с потребителем и указывают в договоре поставки.
4.2.2 На каждую единицу тары наносят маркировку, в которой указывают:
- наименование и/или товарный знак изготовителя;
- наименование и марку силиката натрия;
- номер партии;
- идентификационные данные, позволяющие установить дату изготовления; срок хранения и др.;
- масса брутто и/или нетто;
- обозначение настоящего стандарта;
- дополнительную информацию (при необходимости).
4.2.3 Маркировку наносят любым способом таким образом, чтобы обеспечить ее сохранность при транспортировании и хранении.
4.2.4 Транспортную маркировку осуществляют по
ГОСТ 14192 с нанесением манипуляционного знака "Беречь от влаги".
4.3 Требования безопасности
4.3.1 Силикат натрия, соответствующий настоящему стандарту, является негорючим и пожаровзрывобезопасным материалом.
4.3.2 Предельно допустимые концентрации (ПДК) вредных веществ в воздухе рабочей зоны должны соответствовать требованиям гигиенических нормативов или других документов, утвержденных в установленном порядке.
5.1 Силикат натрия принимают партиями. Партией считают любое количество силиката натрия, оформленное одним документом о качестве по
5.6.
5.2 Для приемки партии силиката натрия на соответствие требованиям настоящего стандарта проводят отбор проб в соответствии с
6.1.
5.3 В каждой партии силиката натрия определяют: внешний вид, массовую долю диоксида кремния (SiO2), массовую долю оксида натрия (Na2O) и силикатный модуль (приемо-сдаточные испытания). Определение остальных показателей изготовитель проводит периодически в соответствии с правилами приемки, установленными у изготовителя, или по требованию потребителя.
5.4 Партию считают соответствующей требованиям настоящего стандарта, если результаты испытаний соответствуют требованиям
4.1.2.
5.5 При получении неудовлетворительных результатов испытаний хотя бы по одному из показателей проводят повторные испытания на удвоенной пробе, взятой от той же партии.
Результаты повторных испытаний распространяются на всю партию.
При получении неудовлетворительных результатов повторных испытаний партию бракуют и испытания по данному показателю переводят в приемо-сдаточные до получения положительных результатов на двух партиях подряд.
5.6 Каждую партию силиката натрия сопровождают документом о качестве, в котором указывают:
- наименование изготовителя, его товарный знак, адрес;
- наименование и марку силиката натрия;
- номер партии;
- дату изготовления;
- массу брутто и/или нетто;
- результаты проведенных испытаний;
- обозначение настоящего стандарта;
- дополнительную информацию (при необходимости).
6.1.1 Точечные пробы, примерно равные по массе, отбирают пробоотборником, изготовленным из материала, не реагирующего с силикатом натрия из трех разных мест партии общей массой не менее 2 кг. Отобранные точечные пробы соединяют, перемешивают и квартованием сокращают до получения объединенной пробы массой не менее 750 г.
6.1.2 Объединенную пробу делят на две равные части, одну из которых подвергают анализу, а другую помещают в чистую, сухую полиэтиленовую банку, закрывают крышкой или пробкой и хранят в течение трех месяцев на случай разногласий в оценке качества. На банку наклеивают этикетку с указанием наименования и марки продукта, номера партии, номера пробы и даты отбора.
6.1.3 Отобранную для испытаний часть пробы сокращают квартованием до массы от 20 до 25 г, обтирают или обмывают кусочки силиката натрия этиловым спиртом по
ГОСТ 18300 (от 1 до 2 см
3 на образец), быстро растирают в агатовой, халцедоновой или кварцевой ступке до состояния пудры, от 12 до 15 г которой помещают в стаканчик для взвешивания по
ГОСТ 25336, закрывают плотно крышкой и ставят в эксикатор по
ГОСТ 25336.
Допускается механическое истирание пробы. Полученный порошок предназначается для проведения всех последующих испытаний.
6.2 Общие требования к методам анализа
6.2.1 Для проведения анализа и приготовления водных растворов применяют дистиллированную воду по
ГОСТ 6709.
6.2.2 При приготовлении растворов и проведении анализов после каждого добавления реактива раствор перемешивают. При отсутствии указания о времени перемешивания перемешивание проводят в течение нескольких секунд.
6.2.3 Для взвешивания навесок анализируемых проб силиката натрия, остатков после высушивания и прокаливания, химических реактивов, используемых для приготовления стандартных и титрованных растворов, применяют лабораторные весы по
ГОСТ OIML R 76-1 с погрешностью не более 0,0002 г и используют набор гирь класса точности F
1 по
ГОСТ OIML R 111-1. Результат взвешивания записывают в граммах с точностью до четвертого десятичного знака, если нет других указаний в нормативных документах на метод определения.
6.2.4 Навески индикаторов для приготовления растворов или индикаторных смесей взвешивают в граммах на лабораторных весах по
ГОСТ OIML R 76-1 с погрешностью не более 0,001 г и используют набор гирь класса точности F
1 по
ГОСТ OIML R 111-1. Результат взвешивания записывают в граммах с точностью до третьего десятичного знака, если нет других указаний в нормативных документах на метод определения.
Требования приготовления растворов индикаторов - по
ГОСТ 4919.1.
6.2.5 Реактивы для приготовления буферных и вспомогательных растворов взвешивают в граммах на лабораторных весах по
ГОСТ OIML R 76-1 с погрешностью не более 0,01 г и используют набор гирь класса точности F
1 по
ГОСТ OIML R 111-1. Результат взвешивания записывают в граммах с точностью до второго десятичного знака, если нет других указаний в нормативных документах на метод определения.
Общие требования к приготовлению буферных растворов - по
ГОСТ 4919.2.
Приготовленные растворы тщательно перемешивают. pH буферных растворов проверяют на универсальном иономере или другом оборудовании с аналогичными характеристиками или не ниже указанных и при необходимости прибавляют кислоту, щелочь или водный аммиак для достижения соответствующего pH.
Допускается указывать конкретный способ проверки pH.
6.2.6 Расчет коэффициентов молярности в титрованных растворах и титров в стандартных растворах проводят до четвертой значащей цифры.
6.2.7 Титрование проводят с использованием бюретки 2-го класса точности вместимостью 50 см3 в конических колбах вместимостью от 250 до 750 см3.
6.2.8 Объемы титрованных растворов, а также взятую для анализа часть анализируемых растворов отмеряют с помощью пипеток или бюреток 2-го класса точности. Объемы растворов индикаторов отмеряют пипетками, объемы растворов реактивов - пипетками или цилиндрами, объемы воды - цилиндрами или мензурками.
6.2.9 Для приготовления растворов и проведения анализов применяют химические реактивы квалификации х. ч. - химически чистые или ч. д. а. - чистые для анализа.
6.2.10 Тигли, чашки с осадками определяемого компонента перед взвешиванием охлаждают в эксикаторе по
ГОСТ 23932,
ГОСТ 25336. В качестве осушающего вещества в эксикаторах используют силикагель по
ГОСТ 3956 или хлористый кальций по нормативным документам.
6.2.11 Для проведения анализа применяют мерную лабораторную посуду по
ГОСТ 1770 не ниже 2-го класса точности. Для измерения объемов аликвотных частей растворов проб, стандартных и титрованных растворов используют мерную лабораторную посуду (пипетки, бюретки).
Измерение вспомогательных растворов, кислот и щелочей проводят мерной лабораторной посудой по
ГОСТ 1770 (цилиндры, мензурки).
Допускается для измерения объемов растворов использовать другую мерную лабораторную посуду с метрологическими характеристиками не ниже указанных в
ГОСТ 1770.
Для сушки материалов в воздушной среде используют сушильные шкафы с терморегулятором.
6.2.12 При проведении анализов используют водяные, воздушные бани, термометры, колориметры фотоэлектрические, спектрофотоколориметры, pH-метры, ареометры.
6.2.13 При проведении анализов допускается применять другую посуду, лабораторное оборудование и приборы с метрологическими характеристиками не ниже указанных в настоящем стандарте.
6.2.14 Для построения градуировочных графиков требуется не менее пяти точек, которые должны быть равномерно распределены по диапазону измерений, при этом максимальное и минимальное значения измерений устанавливают пределы диапазона измерений.
Градуировочные графики проверяют не реже одного раза в 3 мес, а также при замене оборудования, светофильтров или осветителя фотоколориметра, реактивов.
6.2.15 При проведении анализа силиката натрия проводят не менее двух параллельных определений.
6.2.16 При проведении анализа для фильтрования применяют бумажные обеззоленные фильтры.
6.2.17 Точные концентрации растворов рассчитывают до четвертого десятичного знака по результатам не менее трех параллельных определений.
6.3 Контроль внешнего вида
6.3.1 Внешний вид силиката натрия контролируют визуально при освещенности не менее 300 лк.
6.3.2 Оценка результатов
Силикат натрия считают выдержавшим испытание, если внешний вид соответствует требованиям
4.1.2 таблицы 1.
6.4 Определение массовой доли потерь при прокаливании
6.4.1 Сущность метода
Метод основан на прокаливании навески силиката натрия при температуре от 400 °C до 420 °C и определении потери массы после прокаливания.
6.4.2 Средства измерений, аппаратура
Для проведения анализа применяют:
- печь муфельную с терморегулятором, обеспечивающую:
- температуру нагрева до 500 °C;
- поддержание температуры с точностью +/- 10 °C;
- тигли фарфоровые N 3 и N 4 с крышками по
ГОСТ 9147;
Допускается использование другого оборудования и средств измерения с характеристиками не ниже указанных.
6.4.3 Проведение анализа
6.4.3.1 В предварительно прокаленный и взвешенный фарфоровый тигель помещают навеску порошка силиката натрия массой от 0,8 до 1,0 г (m1) и взвешивают (m2). Тигель с навеской на 3/4 прикрывают крышкой (во избежание в дальнейшем разбрызгивания), прокаливают, постепенно повышая температуру, в муфельной печи и выдерживают при температуре от 400 °C до 420 °C в течение 30 - 40 мин.
6.4.3.2 Тигель с навеской охлаждают в эксикаторе и взвешивают. Повторяют прокаливание до постоянной массы (m3).
6.4.4 Обработка результатов
6.4.4.1 Массовую долю потерь при прокаливании X, %, вычисляют по формуле

, (1)
где m1 - масса навески силиката натрия, г;
m2 - масса тигля с навеской до прокаливания, г;
m3 - масса тигля с навеской после прокаливания, г.
6.4.4.2 За результат анализа принимают среднеарифметическое значение двух параллельных определений, допускаемое расхождение между которыми не должно превышать 0,3%.
Суммарная относительная погрешность анализа +/- 0,45% при доверительной вероятности P = 0,95.
6.5 Определение массовой доли диоксида кремния (гравиметрический метод)
6.5.1 Сущность метода
Метод основан на разложении пробы силиката натрия растворением в горячей воде, двойном обезвоживании кремниевой кислоты в солянокислой среде, выделении и прокаливании осадка, отгонке четырехфтористого кремния путем обработки фтористоводородной кислотой.
6.5.2 Средства измерений, аппаратура, реактивы и растворы
Для проведения анализа применяют:
- баню водяную, обеспечивающую температуру воды до 100 °C;
- лампу инфракрасного излучения по нормативному документу;
- печь муфельную с терморегулятором, обеспечивающую:
- температуру нагрева до 1200 °C;
- поддержание температуры с точностью +/- 10 °C;
- кислоту серную по
ГОСТ 4204, х. ч., разбавленную в объемном соотношении 1:1;
- кислоту соляную по
ГОСТ 3118, х. ч., разбавленную в объемном соотношении 1:99;
- кислоту фтористоводородную по
ГОСТ 10484, х. ч.;
- спирт этиловый ректификованный технический по
ГОСТ 18300;
- бумажный фильтр обеззоленный "белая лента" по нормативному документу.
Допускается использование другого оборудования и средств измерения с характеристиками не ниже указанных.
6.5.3.1 Навеску порошка силиката натрия массой от 0,8 до 1,0 г взвешивают в стаканчике для взвешивания и осторожно высыпают в фарфоровую чашку. Стаканчик для взвешивания тотчас же взвешивают и по разности масс вычисляют массу навески (m).
Навеску в чашке обрабатывают горячей водой объемом от 75 до 100 см3, помещают на электроплитку, прикрывают часовым стеклом и осторожно кипятят, помешивая в течение 15 - 30 мин до растворения силиката натрия.
При определении диоксида кремния в силикате натрия с низким силикатным модулем пробу допускается растворять в фарфоровой чашке на кипящей водяной бане.
6.5.3.2 Затем через носик чашки в раствор при частом перемешивании стеклянной палочкой вводят из капельницы 25 см3 соляной кислоты, при этом чашка должна быть накрыта часовым стеклом. Не снимая стекла, чашку с содержимым помещают на кипящую водяную баню на 10 - 15 мин, после чего часовое стекло снимают и обмывают его и края чашки водой. Полученный раствор общим объемом приблизительно 150 см3 вместе с выделившимся осадком геля кремниевой кислоты выпаривают почти досуха на кипящей водяной бане или под лампой инфракрасного излучения. Образовавшийся твердый осадок осторожно растирают до порошкообразного состояния пестикообразной стеклянной палочкой, которая должна находиться в чашке. Нагревание на водяной бане или под лампой инфракрасного излучения продолжают до полного исчезновения запаха хлористого водорода. Полноту удаления хлористого водорода проверяют также с помощью палочки, смоченной раствором аммиака. Для более полного обезвоживания кремниевой кислоты чашку держат на водяной бане еще в течение 2 ч.
6.5.3.3 Высушенный и охлажденный осадок смачивают от 3 до 4 см3 соляной кислоты и, прикрыв чашку часовым стеклом, выдерживают от 15 до 20 мин, после чего в нее приливают от 70 до 75 см3 горячей воды. Раствор вместе с осадком перемешивают стеклянной палочкой, дают осадку в чашке отстояться (не более 10 мин), а затем жидкость декантируют на обеззоленный фильтр "белая лента". Осадок промывают от трех до четырех раз декантацией небольшими порциями горячей воды, перенося его на фильтр, и затем на фильтре от восьми до десяти раз теплым раствором соляной кислоты, разбавленным в объемном соотношении 1:99.
6.5.3.4 Кремниевую кислоту выделяют вторично, выпаривая полученный фильтрат вместе с промывными водами в той же фарфоровой чашке на кипящей водяной бане досуха и повторяя при этом все предыдущие операции, за исключением промывания декантацией.
Оба фильтра с осадком кремниевой кислоты подсушивают до слегка влажного состояния, осторожно заворачивают внутрь края фильтров, закрывая этим осадок, и плотно укладывают конусом вверх в предварительно прокаленный и взвешенный платиновый тигель.
Содержимое тигля озоляют и прокаливают в муфельной печи при температуре от 1000 °C до 1100 °C до постоянной массы (m1).
6.5.3.5 Прокаленный осадок обрабатывают несколькими каплями разбавленной серной кислоты и от 5 до 7 см3 фтористоводородной кислоты. Полученную смесь выпаривают досуха на электроплитке. Затем сухой остаток солей прокаливают при постепенном повышении температуры до (1050 +/- 50) °C в муфельной печи в течение от 15 до 20 мин. После охлаждения в эксикаторе тигель с остатком солей взвешивают (m2).
6.5.4 Обработка результатов
6.5.4.1 Массовую долю диоксида кремния X1 %, вычисляют по формуле:

, (2)
где m1 - масса тигля с осадком диоксида кремния, г;
m2 - масса тигля с остатком солей после обработки фтористоводородной кислотой, г;
m - масса навески силиката натрия, г;
X - массовая доля потерь при прокаливании, % (см.
6.4).
6.5.4.2 За результат анализа принимают среднеарифметическое значение двух параллельных определений, допускаемое расхождение между которыми не должно превышать 0,3%.
Суммарная относительная погрешность анализа +/- 0,45% при доверительной вероятности P = 0,95.
6.6 Определение массовой доли диоксида кремния (комбинированный метод)
6.6.1 Сущность метода
Метод заключается в гравиметрическом определении основной массы диоксида кремния. В фильтрате определяют содержание диоксида кремния фотоколориметрически по синей окраске восстановленного кремнемолибденового комплекса. Массовую долю диоксида кремния определяют как сумму результатов гравиметрического и фотоколориметрического методов.
6.6.2 Средства измерений, аппаратура, реактивы и растворы
Для проведения анализа применяют:
- колбы 1(2)-100(250, 500, 1000)-2 по
ГОСТ 1770;
- колориметр фотоэлектрический или спектрофотоколориметр;
- печь муфельную с терморегулятором, обеспечивающую:
- температуру нагрева до 1100 °C;
- поддержание температуры с погрешностью +/- 10 °C;
- посуду полиэтиленовую по нормативному документу;
- тигли платиновые (изделия N 100-8) по
ГОСТ 6563;
- чашки платиновые (изделия N 118-3) по
ГОСТ 6563;
- шпатели платиновые (изделия N 209-11 или N 209-12) по
ГОСТ 6563;
- аммоний молибденовокислый по
ГОСТ 3765, раствор с массовой долей 5%;
- диоксид кремния (IV) по
ГОСТ 9428, ч. д. а.;
- кислоту аскорбиновую по нормативному документу, раствор с массовой долей 5% (свежеприготовленный);
- кислоту соляную по
ГОСТ 3118, раствор в объемном соотношении 1:1, раствор молярной концентрации c(HCl) = 0,5 моль/дм
3;
- медь (II) сернокислую 5-водную по
ГОСТ 4165, раствор с массовой долей 0,4%;
- натрий углекислый безводный по
ГОСТ 83;
- соль Мора по
ГОСТ 4208, раствор с массовой долей 4%;
- тиомочевину по
ГОСТ 6344, раствор с массовой долей 5%.
Допускается использование другого оборудования и средств измерения с характеристиками не ниже указанных.
6.6.3 Подготовка к анализу
6.6.3.1 Подготовка смеси восстановителей
Смесь восстановителей I: смешивают равные объемы растворов соли Мора и аскорбиновой кислоты. Смесь хранят в темном месте не более 7 сут.
Потемневший раствор к употреблению не пригоден.
Смесь восстановителей II: смешивают равные объемы растворов тиомочевины и сернокислой меди.
6.6.3.2 Приготовление стандартного раствора
Для приготовления стандартного раствора, содержащего 0,25 мг/см3 диоксида кремния (SiO2), взвешивают 0,0625 г тонко растертого диоксида кремния, предварительно прокаленного при температуре от 1000 °C до 1100 °C до постоянной массы, и сплавляют в платиновом тигле или платиновой чашке с безводным углекислым натрием массой 1 г. Расплав выщелачивают водой, полученный раствор помещают в мерную колбу вместимостью 250 см3, доливают водой до метки и перемешивают. После перемешивания раствор переносят в полиэтиленовую посуду и в ней хранят.
6.6.4.1 Основную массу диоксида кремния получают однократным выделением в соответствии с
6.5.3. Фильтрат с промывными водами собирают в мерную колбу вместимостью 250 см
3, объем доводят водой до метки и тщательно перемешивают. Аликвотную часть анализируемого раствора объемом 25 или 50 см
3 помещают в мерную колбу вместимостью 100 см
3, добавляют 10 см
3 дистиллированной воды и 4 см
3 раствора молибденовокислого аммония, перемешивают. Через 10 мин добавляют 20 см
3 соляной кислоты в объемном соотношении 1:1 и 2 см
3 раствора смеси восстановителей (I или II), тщательно перемешивают и доводят объем раствора водой до метки.
Контрольный раствор (раствор сравнения), не содержащий диоксид кремния, готовят одновременно с анализируемым. Растворы выдерживают 20 мин.
Оптическую плотность анализируемого раствора по отношению к раствору сравнения измеряют на фотоэлектроколориметре, пользуясь красным светофильтром (длина волны

), в кюветах с толщиной слоя 5 см. Содержание диоксида кремния определяют по градуировочному графику (
m3).
6.6.4.2 Построение градуировочного графика
В мерные колбы вместимостью 100 см3 отмеряют бюреткой стандартный раствор, содержащий 0,25; 0,5; 0,75; 1,0; 1,25 мг диоксида кремния. Одновременно готовят раствор сравнения, не содержащий диоксид кремния. В каждый раствор прибавляют по 20 см3 воды, 5 см3 раствора соляной кислоты молярной концентрации c(HCl) = 0,5 моль/дм3, 4 см3 раствора молибденовокислого аммония. Через 10 мин добавляют 20 см3 раствора соляной кислоты в объемном соотношении 1:1 и 2 см3 раствора смеси восстановителей. Доводят объем раствора до метки водой и тщательно перемешивают. Растворы выдерживают 20 мин.
Оптическую плотность растворов измеряют, как указано в
6.6.4.1. По полученным данным строят градуировочный график.
Для построения градуировочного графика берут среднеарифметическое значение результатов трех измерений оптической плотности каждого раствора.
По полученным средним значениям оптической плотности и известным содержаниям диоксида кремния строят градуировочный график.
6.6.5 Обработка результатов
6.6.5.1 Массовую долю диоксида кремния в фильтрате (после однократного осаждения) X2, %, вычисляют по формуле

, (3)
где m3 - масса диоксида кремния, найденная по градуировочному графику, мг;
m - масса навески силиката натрия, г.
V - общий объем раствора фильтрата, см3;
V1 - объем аликвотной части раствора, взятый для фотоколориметрирования, см3;
X - массовая доля потерь при прокаливании, % (см.
6.4).
Общую массовую долю диоксида кремния X3, %, вычисляют по формуле
X3 = X1 + X2, (4)
где
X1 - массовая доля диоксида кремния, вычисленная по
формуле (2).
6.6.5.2 За результат анализа принимают среднеарифметическое значение двух параллельных определений, допускаемое расхождение между которыми не должно превышать 0,3%.
Суммарная относительная погрешность анализа +/- 0,45% при доверительной вероятности P = 0,95.
6.7 Определение массовой доли диоксида кремния (объемный метод)
6.7.1 Сущность метода
Метод основан на титриметрическом определении количества гидроксида натрия (эквивалентного кремниевой кислоте), который образуется в нейтрализованном растворе после выделения осадка гексафторсиликата натрия в присутствии этилового спирта.
6.7.2 Средства измерений, аппаратура, реактивы и растворы
Для проведения анализа применяют:
- колбы 1(2)-100(200, 250, 1000)-2 по
ГОСТ 1770;
- печь муфельную с терморегулятором, обеспечивающую:
- температуру нагрева не менее 600 °C;
- поддержание температуры с погрешностью +/- 10 °C;
- чашку из стеклоуглерода по нормативной документации;
- шпатели платиновые (изделия N 209-2) по
ГОСТ 6563;
- кислоту соляную по
ГОСТ 3118, раствор молярной концентрации
c(HCl) = 0,1 моль/дм
3, раствор молярной концентрации
c(HCl) = 1 моль/дм
3;
- натрия гидроксид по
ГОСТ 4328, раствор молярной концентрации
c(NaOH) = 0,1 моль/дм
3, раствор молярной концентрации
c(NaOH) = 1 моль/дм
3;
- натрий фтористый по
ГОСТ 4463, обезвоженный при температуре 600 °C и охлажденный в эксикаторе;
- спирт этиловый ректификованный технический по
ГОСТ 18300, х. ч., и раствор с массовой долей 50%;
- раствор метиловый красный (индикатор), приготовленный по
ГОСТ 4919.1;
- фильтр бумажный обеззоленный "синяя лента".
Допускается использование другого оборудования и средств измерения с характеристиками не ниже указанных.
6.7.3 Проведение анализа
6.7.3.1 Навеску гидроксида натрия массой от 4 до 5 г взвешивают в чашке из стеклоуглерода, осторожно и быстро, от 3 до 5 мин, расплавляют и охлаждают.
Навеску порошка силиката натрия массой от 1,9 до 2,0 г взвешивают в стаканчике для взвешивания и осторожно высыпают в чашку на поверхность застывшего расплава, стараясь шпателем распределить навеску по всей поверхности гидроксида натрия. Стаканчик для взвешивания опять взвешивают и по разности масс определяют массу навески пробы (m). Чашку нагревают на электроплитке, непрерывно перемешивая смесь шпателем, и далее сплавляют в муфельной печи при температуре от 400 °C до 500 °C от 3 до 5 мин. Затем чашку охлаждают, плав растворяют в горячей воде и количественно переносят в стакан вместимостью от 300 до 400 см3. Стакан нагревают до полного растворения плава. Вводят в раствор несколько капель раствора метилового красного и подкисляют раствор соляной кислотой молярной концентрации c(HCl) = 0,1 моль/дм3, добавив одну-две капли в избыток, после чего раствор должен стать прозрачным.
6.7.3.2 Раствор охлаждают и переносят в мерную колбу вместимостью 250 см3, доводят объем раствора водой до метки и перемешивают. 50 см3 подготовленного раствора помещают в коническую колбу вместимостью 250 см3, добавляют 0,3 см3 раствора метилового красного и нейтрализуют раствором гидроксида натрия молярной концентрации c(NaOH) = 1 моль/дм3 до перехода красной окраски в желтую, а затем добавляют по каплям раствор соляной кислоты молярной концентрации c(HCl) = 0,1 моль/дм3 до перехода желтой окраски раствора в красную.
6.7.3.3 К нейтрализованному раствору добавляют (5,0 +/- 0,1) г фтористого натрия, перемешивают до растворения, добавляют отмеренный объем раствора соляной кислоты молярной концентрации c(HCl) = 0,1 моль/дм3 (V1) до перехода желтой окраски раствора в красную и еще избыток раствора соляной кислоты молярной концентрации c(HCl) = 0,1 моль/дм3 объемом 5 см3. Затем добавляют в раствор 50 см3 этилового спирта, перемешивают 1 мин, переносят в мерную колбу вместимостью 200 см3, разбавляют до метки этиловым спиртом с массовой долей 50% и снова перемешивают. Приблизительно 100 см3 полученного раствора фильтруют в сухой стакан вместимостью от 300 до 400 см3 через обеззоленный фильтр "синяя лента", отбросив первые 3 - 4 см3 раствора. 100 см3 фильтрата помещают в коническую колбу вместимостью 250 см3, добавляют 0,3 см3 раствора метилового красного и титруют избыток кислоты раствором гидроксида натрия молярной концентрации c(NaOH) = 1 моль/дм3 до перехода красной окраски раствора в желтую. Отмечают объем раствора гидроксида натрия, израсходованный на титрование (V2).
6.7.3.4 Контрольный опыт
В коническую колбу вместимостью 250 см3 наливают 70 см3 воды и навеску гидроксида натрия массой от 0,8 до 1,0 г. Растворяют, помешивая, прибавляют 0,3 см3 раствора метилового красного и нейтрализуют по каплям соляной кислотой до изменения желтой окраски раствора в красную. Затем добавляют сначала раствор гидроксида натрия молярной концентрации c(NaOH) = 1 моль/дм3 до появления желтой окраски раствора, а затем раствор соляной кислоты молярной концентрации c(HCl) = 0,1 моль/дм3 до появления красной окраски раствора.
К нейтрализованному раствору добавляют (5,0 +/- 0,1) г фтористого натрия, хорошо перемешивая до растворения, и добавляют точно отмеренный объем раствора соляной кислоты молярной концентрации c(NaOH) = 1 моль/дм3 (V3) до перехода желтой окраски раствора в красную и еще избыток раствора соляной кислоты молярной концентрации c(HCl) = 1 моль/дм3 объемом 5 см3. Затем добавляют 50 см3 этилового спирта, перемешивают в течение 1 мин, переносят в мерную колбу вместимостью 200 см3, разбавляют до метки этиловым спиртом с массовой долей 50% и снова перемешивают. Приблизительно 100 см3 полученного раствора фильтруют в сухой стакан вместимостью от 300 до 400 см3 через обеззоленный фильтр "синяя лента", отбросив первые 3 - 4 см3 раствора. 100 см3 фильтрата помещают в коническую колбу вместимостью 250 см3, добавляют 0,3 см3 раствора метилового красного и титруют избыток кислоты раствором гидроксида натрия молярной концентрации c(NaOH) = 1 моль/дм3 до перехода красной окраски раствора в желтую. Отмечают объем раствора гидроксида натрия, пошедший на титрование (V4).
6.7.4 Обработка результатов
6.7.4.1 Массовую долю диоксида кремния X1, %, вычисляют по формуле

, (5)
где V1 - объем раствора соляной кислоты молярной концентрации c(HCl) = 1 моль/дм3, добавленный для проведения определения, см3;
V2 - объем раствора гидроксида натрия молярной концентрации c(NaOH) = 1 моль/дм3, израсходованный на обратное титрование, см3;
V3 - объем раствора соляной кислоты молярной концентрации c(HCl) = 1 моль/дм3, добавленный в контрольном опыте, см3;
V4 - объем раствора гидроксида натрия молярной концентрации c(NaOH) = 1 моль/дм3, израсходованный на обратное титрование в контрольном опыте, см3;
0,01502 - масса диоксида кремния, соответствующая 1 см3 раствора соляной кислоты молярной концентрации c(HCl) = 1 моль/дм3, г;
m - масса навески, г.
X - массовая доля потерь при прокаливании, % (см.
6.4).
6.7.4.2 За результат анализа принимают среднеарифметическое значение результатов двух параллельных определений, допускаемое расхождение между которыми не должно превышать 0,6%.
При разногласиях в оценке массовой доли диоксида кремния анализ проводят гравиметрическим методом.
6.8 Определение массовой доли суммы оксида железа и оксида алюминия
6.8.1 Сущность метода
Метод основан на образовании комплексных соединений железа и алюминия с трилоном Б при условии его избытка. Избыток трилона Б титруют раствором сернокислого цинка в присутствии ацетатного буферного раствора при pH 5,2 - 5,8 с индикатором ксиленоловым оранжевым.
Пробу предварительно разлагают смесью фтористоводородной и серной кислот.
6.8.2 Средства измерений, аппаратура, реактивы и растворы
Для проведения анализа применяют:
- баню водяную, обеспечивающую температуру воды до 100 °C;
- колбы 1(2)-100(250, 500, 1000)-2 по
ГОСТ 1770;
- пипетки номинальной вместимостью 25 см
3 по
ГОСТ 29227;
- чашки платиновые (изделие N 118-3) по
ГОСТ 6563;
- шпатели платиновые (изделия N 209-11) по
ГОСТ 6563;
- аммиак водный по
ГОСТ 3760, раствор с массовой долей 25% и 10%;
- гидроксиламина гидрохлорид по
ГОСТ 5456, раствор с массовой долей 10%;
- кислоту фтористоводородную по
ГОСТ 10484, х. ч.;
- спирт этиловый ректификованный технический по
ГОСТ 18300;
- трилон Б (соль динатриевая этилендиамин-N, N, N', N'-тетрауксусной кислоты 2-водная по
ГОСТ 10652), раствор молярной концентрации
c(C
10H
14O
8N
2Na
2·2H
2O) = 0,025 моль/дм
3;
- цинк металлический гранулированный по нормативному документу;
- цинк сернокислый по
ГОСТ 4174, раствор молярной концентрации
c(1/2 ZnSO
4) = 0,025 моль/дм
3;
Допускается использование другого оборудования и средств измерения с характеристиками не ниже указанных.
6.8.3 Индикаторы
6.8.3.1 Для проведения анализа применяют:
- бумагу индикаторную конго красную по нормативному документу;
- эриохром черный Т, приготовленный по
ГОСТ 4919.1. Хранят в герметично закрытой банке из темного стекла;
- ксиленоловый оранжевый, приготовленный по
ГОСТ 4919.1. Хранят в герметично закрытой банке из темного стекла. Раствор годен 30 дней;
- кислотный хром темно-синий (2-(5-хлор-2-оксифения)-азо-1,8-диоксинафталин-3,6-дисульфокислоты динатриевая соль), готовят по 6.8.3.2.
6.8.3.2 Приготовление индикатора
Кислотный хром темно-синий (2-(5-хлор-2-оксифения)-азо-1,8-диоксинафталин-3,6-дисульфокислоты динатриевая соль) готовят следующим образом: 0,15 г индикатора растворяют в 5 см3 аммиачного буферного раствора, добавляют 20 см3 этилового спирта и перемешивают.
6.8.4 Буферные растворы
6.8.4.1 Приготовление буферного раствора с pH 5,2 - 5,8
Ацетатный буферный раствор с pH 5,2 - 5,8 готовят следующим образом: 100 г уксуснокислого аммония, взвешенного с погрешностью не более 0,01 г, растворяют в воде от 300 до 400 см3 (для лучшего растворения раствор подогревают). Фильтруют, добавляют 10 см3 уксусной кислоты, перемешивают и доводят объем раствора водой до 1000 см3. pH буферных растворов проверяют на pH-метре и при необходимости добавляют кислоты, аммиак или щелочь.
6.8.4.2 Приготовление буферного раствора с pH 9,5 - 10,0
Аммиачный буферный раствор с pH 9,5 - 10,0 готовят следующим образом: 54 г хлористого аммония растворяют в 200 см3 воды, к полученному раствору прибавляют 350 см3 аммиака, раствор с массовой долей 25%, и доводят объем раствора водой до 1000 см3.
6.8.5 Подготовка к анализу
6.8.5.1 Приготовление титрованных растворов проводят по
ГОСТ 10398.
6.8.5.2 Раствор трилона Б молярной концентрации
c(C
10H
14O
8N
2Na
2·2H
2O) = 0,025 моль/дм
3 готовят следующим образом: 9,31 г трилона Б растворяют в воде в мерной колбе вместимостью 1000 см
3 и доводят объем водой до 1000 см
3. Раствор хранят в полиэтиленовых или стеклянных, парафинированных изнутри, сосудах.
Допускается приготовление раствора из стандарт-титра трилона Б.
6.8.5.3 Раствор соли цинка молярной концентрации точно 0,025 моль/дм3 (для установки коэффициента поправки раствора трилона Б) готовят следующим образом: 1,6345 г цинка, свежеочищенного стальным ножом от оксида цинка, сразу же взвешивают с погрешностью не более 0,0002 г, помещают в фарфоровую чашку и растворяют при медленном нагревании на водяной бане в смеси 100 см3 воды и 15 см3 концентрированной азотной кислоты, накрыв чашку часовым стеклом, затем тщательно смывают стекло водой, собирая ее в ту же чашку, и упаривают раствор до объема от 3 до 4 см3. Остаток из чашки количественно переносят, смывая стенки чашки водой, в мерную колбу вместимостью 1000 см3 и доводят объем раствора водой до метки.
Раствор годен в течение 30 сут.
6.8.5.4 Коэффициент поправки раствора трилона Б молярной концентрации
c(C
10H
14O
8N
2Na
2·2H
2O) = 0,025 моль/дм
3 определяют по соли цинка следующим образом: 25 см
3 раствора соли цинка молярной концентрации 0,025 моль/дм
3 помещают в коническую колбу, прибавляют 5 см
3 буферного аммиачного раствора, 0,1 г индикаторной смеси эриохрома черного Т или от 10 до 12 капель раствора кислотного хрома темно-синего и 70 см
3 воды.
Раствор перемешивают и титруют из бюретки раствором трилона Б до перехода фиолетово-красной окраски в синюю (при применении индикаторной смеси эриохрома черного Т) или малиновой в неизменяющуюся синюю (при применении индикатора кислотного хрома темно-синего). Отмечают объем раствора трилона Б, израсходованный на титрование.
Коэффициент поправки K раствора трилона Б молярной концентрации c(C10H14O8N2Na2·2H2O) = 0,025 моль/дм3 вычисляют по формуле

, (6)
где V - объем раствора трилона Б молярной концентрации c(ди-Na-ЭДТА) = 0,025 моль/дм3, израсходованный на титрование, см3.
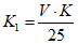
6.8.5.5 Раствор сернокислого цинка молярной концентрации c(1/2 ZnSO4) = 0,025 моль/дм3 готовят следующим образом: 7,2 г сернокислого цинка помещают в мерную колбу вместимостью 1000 см3, растворяют в воде и доводят объем раствора водой до метки.
Коэффициент соответствия K1 раствора определяют следующим образом: в коническую колбу для титрования отмеряют 25 см3 раствора сернокислого цинка молярной концентрации c(1/2 ZnSO4) = 0,025 моль/дм3, помещают в колбу для титрования, прибавляют 70 см3 воды, 5 см3 аммиачного буферного раствора, 0,1 г индикаторной смеси эриохрома черного Т и титруют раствором трилона Б молярной концентрации c(C10H14O8N2Na2·2H2O) = 0,025 моль/дм3 до перехода фиолетовой окраски в синюю. Отмечают объем раствора трилона Б, израсходованный на титрование.
Коэффициент соответствия K1 раствора сернокислого цинка молярной концентрации c(1/2 ZnSO4) = 0,025 моль/дм3 вычисляют по формуле

, (7)
где V - объем раствора трилона Б молярной концентрации c(C10H14O8N2Na2·2H2O) = 0,025 моль/дм3, израсходованный на титрование, см3;
K - коэффициент поправки раствора трилона Б молярной концентрации c(C10H14O8N2Na2·2H2O) = 0,025 моль/дм3, израсходованный на титрование, см3.
6.8.6 Приготовление анализируемого раствора
6.8.6.1 Навеску силиката натрия массой от 2,0 до 2,1 г взвешивают с погрешностью не более 0,0002 г в платиновой чашке. Параллельно проводят контрольный опыт на чистоту реактивов. Навеску смачивают водой от 1 до 2 см3, добавляют 2 см3 серной кислоты, от 7 до 10 см3 фтористоводородной кислоты и проводят тщательное перемешивание. Смесь выпаривают сначала на водяной бане до полного удаления фтористоводородной кислоты, затем переносят на электроплитку и нагревают до обильного выделения паров серной кислоты. Когда содержимое чашки превратится в сиропообразную массу, застывающую при охлаждении, нагревание прекращают.
6.8.6.2 После этого в чашку наливают от 10 до 15 см3 воды, от 3 до 4 см3 соляной кислоты и, помешивая стеклянной палочкой, полностью растворяют остаток солей при осторожном нагревании на водяной бане. Раствор переносят в мерную колбу вместимостью 100 или 250 см3, ополаскивают чашку не менее трех раз горячей водой, сливая воду каждый раз в ту же колбу. Затем колбу с содержимым охлаждают до комнатной температуры, доливают водой до метки и перемешивают.
6.8.7 Проведение анализа
6.8.7.1 Раствор (50 см
3), приготовленный по
6.8.6, переносят пипеткой в коническую колбу вместимостью 250 см
3, добавляют 15 см
3 раствора трилона Б, опускают индикаторную бумагу конго, добавляют от 30 до 35 см
3 воды, раствор нагревают до температуры 50 °C, прибавляют по каплям раствор аммиака с массовой долей 25% до покраснения индикаторной бумаги конго. Затем добавляют раствор аммиака с массовой долей 10% до появления ярко-красного цвета индикаторной бумаги конго.
6.8.7.2 Затем прибавляют 20 см3 ацетатного буферного раствора, 10 см3 раствора гидрохлорида гидроксиламина и кипятят от 1 до 2 мин, после чего сразу же титруют раствором сернокислого цинка с индикатором ксиленоловым оранжевым, 10 капель которого предварительно добавляют в раствор. Титрование продолжают до перехода желтой окраски раствора в фиолетово-красную. Отмечают объем раствора сернокислого цинка, израсходованный на титрование (V1).
Одновременно проводят контрольный опыт, отмечают объем раствора сернокислого цинка, израсходованный на титрование (V2), и при обработке результатов учитывают его результат.
6.8.8 Обработка результатов
6.8.8.1 Массовую долю суммы оксида железа и оксида алюминия в пересчете на оксид алюминия X4, в процентах вычисляют по формуле

, (8)
где V1 - объем раствора сернокислого цинка молярной концентрации c(1/2 ZnSO4) = 0,025 моль/дм3, израсходованный на обратное титрование, см3;
V2 - объем раствора сернокислого цинка молярной концентрации c(1/2 ZnSO4) = 0,025 моль/дм3, израсходованный на титрование контрольного опыта, см3;
K1 - коэффициент соответствия раствора сернокислого цинка молярной концентрации c(1/2 ZnSO4) = 0,025 моль/дм3;
V3 - общий объем анализируемого раствора, см3;
V4 - объем аликвотной части раствора, см3;
0,001275 - масса оксида алюминия, соответствующая 1 см3 раствора трилона Б молярной концентрации c(C10H14O8N2Na2·2H2O) = 0,025 моль/дм3, г;
m - масса навески, г;
X - массовая доля потерь при прокаливании, % (см.
6.4).
6.8.8.2 За результат анализа принимают среднеарифметическое значение результатов двух параллельных определений, допускаемое расхождение между которыми не должно превышать 0,05%.
Суммарная относительная погрешность анализа +/- 5% при доверительной вероятности P = 0,95.
6.9 Определение массовой доли оксида железа (III)
6.9.1 Сущность метода
Метод основан на образовании сульфосалицилата железа, окрашенного в аммиачной среде в желтый цвет (pH 8,0 - 11,5), и последующем фотоколориметрировании окрашенного раствора.
6.9.2 Средства измерений, аппаратура, реактивы и растворы
Для проведения анализа применяют:
- баню водяную, обеспечивающую температуру воды до 100 °C;
- колориметр фотоэлектрический типа или спектрофотоколориметр;
- мерную лабораторную стеклянную посуду (цилиндры, мензурки, колбы, пробирки) по
ГОСТ 1770;
- пипетки номинальной вместимостью 25 см
3 по
ГОСТ 29227;
- шкаф сушильный, обеспечивающий:
- температуру не менее 150 °C;
- поддержание температуры с погрешностью +/- 2 °C;
- аммиак водный по
ГОСТ 3760, раствор с массовой долей 10%;
- аммоний хлористый по
ГОСТ 3773, раствор молярной концентрации
c(NH
4Cl) = 1 моль/дм
3;
- аммоний азотнокислый по
ГОСТ 22867, раствор с массовой долей 2%;
- квасцы железоаммонийные по нормативному документу;
- кислоту соляную по
ГОСТ 3118, концентрированную, разбавленную в объемном соотношении 1:1;
- кислоту сульфосалициловую по
ГОСТ 4478, раствор с массовой долей 20%;
- раствор метиловый красный (индикатор), приготовленный по
ГОСТ 4919.1;
- фильтр бумажный обеззоленный "белая лента".
Допускается использование другого оборудования и средств измерения с характеристиками не ниже указанных.
6.9.3 Подготовка к анализу
6.9.3.1 Приготовление стандартных растворов оксида железа (III)
Раствор А - раствор массовой концентрации (c), равной 1 мг/см3 оксида железа (III), готовят следующим образом: железоаммонийные квасцы <1> (6,0399 г) помещают в стеклянную колбу вместимостью 1000 см3 и растворяют в 100 см3 воды, подкисленной 9 см3 раствора соляной кислоты. Объем раствора в колбе доводят водой до 1000 см3 и перемешивают.
--------------------------------
<1> Железоаммонийные квасцы предварительно необходимо проанализировать. В том случае, если они выветрились и содержание оксида железа изменилось, следует пересчитать массу навески.
Точную концентрацию раствора устанавливают гравиметрическим методом.
Для этого в три стакана вместимостью по 300 см3 отмеряют с помощью бюретки 10, 20 и 30 см3 стандартного раствора, доводят до 120 - 150 см3 водой, нагревают до кипения и осаждают гидроксид железа аммиаком в присутствии метилового красного. Полученный осадок фильтруют через обеззоленный фильтр "белая лента", промывают горячим раствором азотнокислого аммония, в который добавлено несколько капель аммиака. Фильтр с осадком помещают в предварительно прокаленный и взвешенный платиновый тигель, озоляют и прокаливают до постоянной массы при температуре до 850 °C. Тигель с прокаленным осадком охлаждают в эксикаторе, взвешивают и вычисляют массовую концентрацию раствора Fe2O3 (мг/см3).
Допускается готовить стандартные растворы из оксида железа (III).
Раствор А готовят следующим образом. Навеску оксида железа массой 1 г, высушенную при температуре (110 +/- 5) °C в течение 1 ч, помещают в коническую колбу вместимостью 500 см3, приливают 100 см3 соляной кислоты, разбавленной в объемном соотношении 1:1, и, накрыв колбу, нагревают на водяной бане до полного растворения. Затем раствор охлаждают, переносят в мерную колбу вместимостью 1000 см3, доводят водой до метки и перемешивают.
Раствор Б, содержащий 0,1 мг/см3 оксида железа (III), готовят разбавлением водой раствора А в 10 раз.
Раствор В, содержащий 0,01 мг/см3 оксида железа (III), готовят разбавлением водой раствора Б в 10 раз.
Растворы Б и В готовят непосредственно перед использованием.
6.9.3.2 Приготовление хлористого аммония
Хлористый аммоний массой 53,5 г растворяют в 1000 см3 воды. При необходимости раствор фильтруют.
6.9.4 Построение градуировочного графика
6.9.4.1 В мерные колбы вместимостью 100 см3 отмеряют бюреткой 1, 2, 3, 4, 5, 6, 7, 8, 9, 10 см3 стандартного раствора Б, содержащего 0,1 г/см3 оксида железа (III). В каждую колбу добавляют по 10 см3 раствора хлористого аммония молярной концентрации c(NH4Cl) = 1 моль/дм3, 15 см3 раствора сульфосалициловой кислоты и доливают по каплям раствор аммиака до появления устойчивой желтой окраски и сверх того добавляют еще 3 см3 раствора аммиака, доводят водой до метки и перемешивают.
Одновременно готовят контрольный раствор, не содержащий оксида железа (III).
Второй градуировочный график строят аналогично первому, но при этом берут раствор В, содержащий 0,01 мг/см3 оксида железа (III).
6.9.4.2 Оптическую плотность растворов измеряют на фотоэлектроколориметре, пользуясь синим светофильтром (длина волны

), в кюветах с толщиной слоя 30 мм. По полученным данным строят градуировочный график.
Значения оптической плотности откладывают по оси ординат, а соответствующее этим значениям содержание оксида железа (III) в миллиграммах - по оси абсцисс.
Для построения каждой точки градуировочного графика вычисляют среднеарифметическое значение оптической плотности трех параллельных определений.
6.9.5 Проведение анализа
В мерную колбу вместимостью 100 см
3 пипеткой переносят 25 см
3 исследуемого раствора, приготовленного по
6.8.6, приливают 10 см
3 раствора хлористого аммония молярной концентрации
c(NH
4Cl) = 1 моль/дм
3, 15 см
3 раствора сульфосалициловой кислоты и раствор аммиака до устойчивого желтого окрашивания и сверх того еще 3 см
3, после чего разбавляют водой до метки. Одновременно готовят контрольный раствор, не содержащий оксида железа (III).
6.9.6 Обработка результатов
6.9.6.1 По полученному значению оптической плотности, пользуясь градуировочным графиком, находят содержание оксида железа (III) в исследуемом растворе.
6.9.6.2 Массовую долю оксида железа (III) X5, %, вычисляют по формуле

, (9)
где m1 - содержание оксида железа (III), найденное по градуировочному графику, мг;
m - масса навески, г;
V - общий объем раствора, см3;
V1 - объем аликвотной части раствора, взятый для фотоколориметрирования, см3;
X - массовая доля потерь при прокаливании, % (см.
6.4).
6.9.6.3 При необходимости в результат определения вносят поправку на содержание оксида железа, определяемую контрольным опытом.
6.9.6.4 За результат анализа принимают среднеарифметическое двух параллельных определений, допускаемое расхождение между которыми не должно превышать 0,01%.
Суммарная относительная погрешность анализа +/- 5%, при доверительной вероятности P = 0,95.
6.10 Фотоколориметрический метод определения массовой доли оксида железа (III) с 1,10-фенантролином
6.10.1 Сущность метода
Метод основан на образовании оранжево-красного комплексного соединения ионов Fe
2+ с 1,10-фенантролином (длина волны

). Ионы Fe
3+ предварительно восстанавливаются до Fe
2+ солянокислым гидроксиламином.
6.10.2 Средства измерений, аппаратура, реактивы и растворы
6.10.2.1 Для проведения анализа применяют:
- колбы 1(2)-100(250, 500, 1000)-2 по
ГОСТ 1770;
- колориметр фотоэлектрический или спектрофотоколориметр;
- пипетки номинальной вместимостью 25 см
3 по
ГОСТ 29227;
- гидроксиламина гидрохлорид по
ГОСТ 5456, раствор с массовой долей 10%;
- натрий уксуснокислый по
ГОСТ 199, раствор массовой долей 40%;
- 1,10-фенантролин, спиртовой раствор массовой концентрации (
c), равной 10 г/дм
3, раствор готовят по
ГОСТ 4517;
- бумагу индикаторную универсальную по нормативному документу.
Допускается использование другого оборудования и средств измерения с характеристиками не ниже указанных.
6.10.2.2 Приготовление буферного раствора с pH 5,0
Ацетатный буферный раствор с pH 5,0 готовят следующим образом: 38 г уксуснокислого натрия, взвешенного с погрешностью не более 0,01 г, растворяют в 500 см3 воды, добавляют 6,7 см3 уксусной кислоты, доводят объем раствора водой до 1000 см3 и перемешивают. pH буферных растворов проверяют на pH-метре и при необходимости добавляют кислоты, аммиак или щелочь.
6.10.2.3 Стандартные растворы оксида железа (III) готовят, как указано в
6.9.3.
6.10.3 Проведение анализа
6.10.3.1 В мерную колбу вместимостью 100 см
3 переносят 25 см
3 анализируемого раствора, приготовленного по
6.8.6, приливают 3 см
3 раствора гидрохлорида гидроксиламина и добавляют по каплям раствор уксуснокислого натрия до pH 3,0 (pH контролируют с помощью универсальной индикаторной бумаги). Затем прибавляют 10 см
3 буферного раствора, 2 см
3 раствора 1,10-фенантролина, доливают водой до метки и перемешивают. Через 40 мин измеряют оптическую плотность раствора на фотоэлектроколориметре, используя зеленый светофильтр с длиной волны

в кюветах с толщиной слоя 30 мм. В качестве раствора сравнения используют контрольный раствор, приготовленный так же, как анализируемый раствор.
Массу оксида железа (III) в анализируемом растворе в миллиграммах находят по градуировочному графику.
6.10.3.2 Построение градуировочного графика
В мерные колбы вместимостью 100 см
3 приливают из бюретки 1, 2, 3, 4, 5, 6, 7, 8, 9, 10 см
3 стандартного раствора В массовой концентрации (
c), равной 0,01 мг/см
3 оксида железа (III). Одновременно готовят контрольный раствор, содержащий все реактивы, кроме раствора оксида железа (III). Далее поступают в соответствии с
6.10.3.1.
По полученным значениям оптических плотностей растворов и известным содержаниям оксида железа (III) строят градуировочный график. Второй градуировочный график строится аналогично первому с использованием стандартного раствора Б массовой концентрации (c), равной 0,1 мг/см3 оксида железа (III).
6.10.4 Обработка результатов - по
6.9.6.
При разногласиях в оценке массовой доли оксида железа анализ проводят фотоколориметрическим методом с 1,10-фенантролином.
6.11 Определение массовой доли оксида кальция комплексонометрическим методом
6.11.1 Сущность метода
Метод основан на прямом титровании трилоном Б анализируемого раствора при pH 12 с индикатором хромом темно-синим или флуорексоном после разложения силиката натрия смесью фтористоводородной и серной кислот и растворения остатка в разбавленной соляной кислоте.
6.11.2 Средства измерений, аппаратура, реактивы и растворы
6.11.2.1 Для проведения анализа применяют:
- колбы 1(2)-100(250, 500, 1000)-2 по
ГОСТ 1770;
- ступку фарфоровую;
- калия гидроксид по
ГОСТ 24363, раствор молярной концентрации
c(KOH) = 5 моль/дм
3;
- натрий сернистый (сульфид натрия) по
ГОСТ 2053, раствор с массовой долей 2% (свежеприготовленный);
- натрия гидроксид по
ГОСТ 4328, раствор молярной концентрации
c(NaOH) = 2 моль/дм
3;
- сахар белый по
ГОСТ 33222, раствор с массовой долей 2%;
- трилон Б (соль динатриевая этилендиамин-N, N, N', N'-тетрауксусной кислоты 2-водная по
ГОСТ 10652), раствор молярной концентрации
c(C
10H
14O
8N
2Na
2·2H
2O) = 0,025 моль/дм
3, раствор готовят по
6.8.5.2, коэффициент поправки трилона Б определяют по
6.8.5.4.
Допускается использование другого оборудования и средств измерения с характеристиками не ниже указанных.
6.11.2.2 Индикаторы
Для проведения анализа применяют:
- бумагу индикаторную конго красную по нормативному документу;
- кислотный хром темно-синий (2-(5-хлор-2-оксифения)-азо-1,8-диоксинафталин-3,6-дисульфокислоты динатриевая соль) готовят по
6.8.3.2;
- флуорексон;
- тимолфталеин;
- малахитовый зеленый, спиртовой раствор с массовой долей 0,2%.
Приготовление индикатора
Индикаторную смесь флуорексона готовят следующим образом: навеску массой 0,2 г флуорексона и 0,165 г тимолфталеина растирают в фарфоровой ступке с 20 г хлористого калия.
6.11.3 Проведение анализа
6.11.3.1 Раствор для определения оксида кальция готовят по
6.8.6. Полученный раствор переносят количественно в коническую колбу вместимостью 250 см
3, прибавляют 2 см
3 раствора сахара, доливают водой до объема от 85 до 90 см
3, опускают индикаторную бумагу конго, нейтрализуют раствором гидроксида натрия молярной концентрации
c(NaOH) = 2 моль/дм
3 до покраснения индикаторной бумаги конго. Затем добавляют 2 см
3 раствора сульфида натрия, перемешивают и прибавляют 5 см
3 раствора гидроксида натрия, выдерживают раствор от 1 до 2 мин, добавляют от восьми до десяти капель раствора кислотного хрома темно-синего и титруют при непрерывном помешивании раствором трилона Б молярной концентрации
c(C
10H
14O
8N
2Na
2·2H
2O) = 0,025 моль/дм
3 до перехода малиновой окраски раствора в неизменяющуюся синюю.
6.11.3.2 В случае применения индикаторной смеси флуорексона с тимолфталеином в коническую колбу для титрования вместимостью 250 см
3 помещают раствор, полученный в соответствии с
6.6.4, разбавляют водой до объема от 80 до 100 см
3, добавляют одну-две капли малахитового зеленого и приливают по каплям раствор гидроксида калия молярной концентрации
c(KOH) = 5 моль/дм
3 до обесцвечивания раствора; кроме того, добавляют его избыток в количестве 10 см
3. К полученному раствору добавляют от 30 до 50 мг индикаторной смеси флуорексона и тимолфталеина и титруют из бюретки раствором трилона Б молярной концентрации
c(C
10H
14O
8N
2Na
2·2H
2O) = 0,025 моль/дм
3 до резкого изменения зеленой флюоресценции раствора и перехода его окраски в фиолетовую. Титрование следует проводить на черном фоне. Отмечают объем трилона Б, израсходованный на титрование оксида кальция.
6.11.4 Обработка результатов
6.11.4.1 Массовую долю оксида кальция X6, %, вычисляют по формуле

, (10)
где V - объем раствора трилона Б молярной концентрации c(C10H14O8N2N2Na2·2H2O) = 0,025 моль/дм3, израсходованный на титрование, см3;
V1 - объем раствора трилона Б молярной концентрации c(C10H14O8N2Na2·2H2O) = 0,025 моль/дм3, израсходованный на титрование контрольного опыта, см3;
K - коэффициент поправки раствора трилона Б молярной концентрации c(C10H14O8N2Na2·2H2O) = 0,025 моль/дм3;
0,0014 - масса оксида кальция, соответствующая 1 см3 молярной концентрации c(C10H14O8N2Na2·2H2O) = 0,025 моль/дм3 раствора трилона Б, г;
V3 - общий объем анализируемого раствора, см3;
V4 - объем аликвотной части анализируемого раствора, см3;
m - масса навески, г;
X - массовая доля потерь при прокаливании, % (см.
6.4).
6.11.4.2 За результат анализа принимают среднеарифметическое значение двух параллельных определений, допускаемое расхождение между которыми не должно превышать 0,05%.
Суммарная относительная погрешность анализа +/- 2% при доверительной вероятности P = 0,95.
6.12 Определение массовой доли серного ангидрида (гравиметрический метод)
6.12.1 Сущность метода
Метод основан на осаждении сульфат-иона в виде сернокислого бария в слабокислой среде раствором хлористого бария.
6.12.2 Средства измерений, аппаратура, реактивы и растворы
Для проведения анализа применяют:
- баню водяную, обеспечивающую температуру воды до 100 °C;
- баню воздушную;
- печь муфельную с терморегулятором, обеспечивающую:
- температуру нагрева до 1000 °C;
- поддержание температуры с погрешностью +/- 10 °C;
- барий хлористый по
ГОСТ 4108, раствор с массовой долей 1%;
- кислоту серную по
ГОСТ 4204, разбавленную в объемном соотношении 1:1;
- кислоту соляную по
ГОСТ 3118, х. ч., раствор молярной концентрации
c(HCl) = 2 моль/дм
3;
- натрий углекислый безводный по
ГОСТ 83, х. ч., раствор с массовой долей 1%;
- серебро азотнокислое по
ГОСТ 1277, раствор с массовой долей 1%;
- раствор метиловый оранжевый (индикатор), приготовленный по
ГОСТ 4919.1;
- фильтр бумажный беззольный "синяя лента";
Допускается использование другого оборудования и средств измерения с характеристиками не ниже указанных.
6.12.3 Проведение анализа
6.12.3.1 Навеску силиката натрия массой от 1,0 до 1,1 г взвешивают в платиновом тигле, смешивают с 3 г безводного углекислого натрия, закрывают тигель крышкой и сплавляют в печи при температуре от 900 °C до 950 °C. Охлажденный сплав обрабатывают небольшими порциями горячей воды до 100 см3, раствор переносят в стакан вместимостью 400 см3. Стакан накрывают часовым стеклом и ставят на горячую водяную баню до осветления жидкости над осадком. После этого снимают часовое стекло, отстоявшуюся жидкость фильтруют в стакан вместимостью от 300 до 400 см3, декантируют три раза горячим раствором углекислого натрия, затем переносят осадок на фильтр и промывают его от двух до трех раз.
6.12.3.2 Допускается использовать также фильтрат после выделения диоксида кремния в соответствии с
6.5.3 или 100 см
3 раствора в соответствии с
6.6.4, из которого определяют диоксид кремния фотоколориметрически. Фильтрат разбавляют до 200 см
3 водой, добавляют от трех до пяти капель раствора метилового оранжевого, осторожно нейтрализуют соляной кислотой раствор молярной концентрации
c(HCl) = 2 моль/дм
3 до изменения желтой окраски раствора в красную, после чего добавляют еще кроме того от пяти до семи капель соляной кислоты. Операцию нейтрализации необходимо проводить при постоянном помешивании, периодически прикрывая стакан часовым стеклом.
6.12.3.3 Слабокислый раствор нагревают до кипения и кипятят от 5 до 10 мин при постоянном перемешивании, приливая 20 см3 горячего раствора хлористого бария, и оставляют на кипящей водяной бане в стакане, прикрытом часовым стеклом, на 2 и 12 ч при комнатной температуре. Осадок сернокислого бария отфильтровывают через двойной обеззоленный фильтр "синяя лента" и промывают горячей водой до отсутствия в промывных водах иона хлора (проба с азотнокислым серебром). Фильтр с осадком помещают в предварительно прокаленный и взвешенный платиновый тигель, осторожно подсушивают, озоляют, прокаливают в муфельной печи от 30 до 40 мин при температуре от 800 °C до 850 °C. Тигель с прокаленным осадком охлаждают в эксикаторе и взвешивают. Прокаливание повторяют до постоянной массы.
Полученный осадок обрабатывают одной-двумя каплями раствора серной кислоты и пятью-шестью каплями фтористоводородной кислоты. Смесь выпаривают на воздушной бане досуха. Сухой остаток прокаливают снова в муфельной печи от 30 до 40 мин при температуре от 800 °C до 850 °C, охлаждают в эксикаторе и затем тигель с осадком сернокислого бария взвешивают.
6.12.4 Обработка результатов
6.12.4.1 Массовую долю оксида серы X7, %, вычисляют по формуле

, (11)
где m - масса навески, г;
m1 - масса осадка сернокислого бария, г;
0,343 - коэффициент пересчета массы сернокислого бария на оксид серы;
X - массовая доля потерь при прокаливании, % (см.
6.4).
6.12.4.2 За результат анализа принимают среднеарифметическое значение результатов двух параллельных определений, допускаемое расхождение между которыми не должно превышать 0,05%.
Суммарная относительная погрешность анализа +/- 10% при доверительной вероятности P = 0,95.
6.13 Определение массовой доли оксида серы (VI) (фотоколориметрический метод)
6.13.1 Сущность метода
Метод основан на измерении опалесценции серно-кислого бария, образующегося при взаимодействии ионов бария с сульфат-ионами.
6.13.2 Средства измерений, аппаратура, реактивы и растворы
6.13.2.1 Для проведения анализа применяют:
- колбы 1(2)-100(250, 500, 1000)-2 по
ГОСТ 1770;
- колориметр фотоэлектрический или спектрофотоколориметр;
- глицерин по нормативному документу;
- стандартный раствор, содержащий сульфат-ион.
Допускается использование другого оборудования и средств измерения с характеристиками не ниже указанных.
6.13.2.2 Приготовление составного реагента
Навески хлористого натрия массой 60 г и хлористого бария массой 25 г растворяют в смеси 300 см3 воды и 300 см3 г глицерина, добавляют 5 см3 соляной кислоты и хорошо перемешивают.
6.13.2.3 Стандартный раствор
Стандартный раствор, содержащий сульфат-ион, готовят по
ГОСТ 4166. Перед применением готовят раствор концентрации 0,1 мг/см
3 соответствующим разбавлением исходного раствора.
6.13.3 Проведение анализа
6.13.3.1 В мерную колбу вместимостью 100 см
3 помещают 10 см
3 раствора составного реагента и доводят до метки фильтратом после выделения кремниевой кислоты в соответствии с
6.5.3 или
6.6.4. Одновременно готовят раствор сравнения, не содержащий сульфат-иона.
Через 30 мин измеряют оптическую плотность анализируемого раствора относительно раствора сравнения на фотоколориметре, пользуясь синим светофильтром с длиной волны

в кюветах с толщиной слоя 30 мм. По полученному значению оптической плотности, пользуясь градуировочным графиком, находят содержание сульфат-иона в миллиграммах.
6.13.3.2 Построение градуировочного графика
В мерные колбы вместимостью 100 см3 помещают растворы, содержащие 0,1; 0,2; 0,3; 0,4; 0,5 мг сульфат-иона, дистиллированной водой доводят объемы растворов до 25 см3 и перемешивают.
Одновременно готовят раствор сравнения, не содержащий сульфат-иона. К каждому раствору прибавляют 10 см3 составного реагента, доливают до метки водой и перемешивают.
Оптическую плотность растворов измеряют в соответствии с
6.13.3.1. По полученным данным строят градуировочный график.
6.13.4 Обработка результатов
6.13.4.1 Массовую долю оксида серы (VI) X8, %, вычисляют по формуле

, (12)
где m - масса навески, г;
m1 - масса сульфата-иона, найденная по градуировочному графику, мг;
0,833 - коэффициент пересчета массы сульфат-иона на оксид серы (VI);
V - общий объем раствора, см3;
V1 - объем аликвотной части анализируемого раствора, взятого для фотоколориметрирования, см3.
6.13.4.2 За результат анализа принимают среднеарифметическое значение результатов двух параллельных определений, допускаемое расхождение между которыми, не должно превышать 0,05%.
Суммарная относительная погрешность анализа +/- 10% при доверительной вероятности P = 0,95.
6.14 Определение массовой доли оксида натрия ацидиметрическим методом
6.14.1 Сущность метода
Метод основан на ацидиметрическом титровании раствора, полученного после многократной обработки силиката натрия горячей водой.
6.14.2 Средства измерений, аппаратура, реактивы и растворы
Для проведения анализа применяют:
- кислоту соляную по
ГОСТ 3118, раствор молярной концентрации
c(HCL) = 0,1 моль/дм
3;
- раствор метиловый оранжевый (индикатор), приготовленный по
ГОСТ 4919.1;
Допускается использование другого оборудования и средств измерения с характеристиками не ниже указанных.
6.14.3 Проведение анализа
6.14.3.1 Навеску силиката натрия массой от 0,19 до 0,21 г помещают в стакан вместимостью от 150 до 200 см3, обрабатывают 25 см3 нагретой до кипения водой и, прокипятив от 2 до 3 мин, дают отстояться.
Оставшийся в стакане осадок снова обрабатывают до полного растворения небольшими порциями горячей воды, по 10 см3. Снова кипятят и сливают прозрачный раствор в ту же коническую колбу. Полноту растворения массы навески проверяют по фенолфталеину.
6.14.3.2 После охлаждения жидкость в колбе титруют раствором соляной кислоты молярной концентрации c(HCL) = 0,1 моль/дм3 в присутствии трех-четырех капель раствора метилового оранжевого до перехода желтой окраски в бледно-розовую.
6.14.4 Обработка результатов
6.14.4.1 Массовую долю оксида натрия X9, %, вычисляют по формуле

, (13)
где V - объем раствора соляной кислоты молярной концентрации c(HCL) = 0,1 моль/дм3, израсходованный на титрование, см3;
m - масса навески, г;
0,0031 - масса оксида натрия, соответствующая 1 см3 раствора соляной кислоты молярной концентрации c(HCL) = 0,1 моль/дм3, г;
X - массовая доля потерь при прокаливании, % (см.
6.4).
6.14.4.2 За результат анализа принимают среднеарифметическое значение результатов двух параллельных определений, допускаемое расхождение между которыми не должно превышать 0,4%.
Суммарная относительная погрешность анализа +/- 5% при доверительной вероятности P = 0,95.
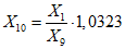
6.15 Определение силикатного модуля
Силикатный модуль - отношение числа грамм-молекул диоксида кремния к числу грамм-молекул оксида натрия.
6.15.1 Силикатный модуль X10 вычисляют по формуле

, (14)
где
X1 - массовая доля диоксида кремния, полученная по
6.5,
6.6 или
6.7;
X9 - массовая доля оксида натрия, полученная по
6.14;
1,0323 - отношение молекулярной массы оксида натрия к молекулярной массе диоксида кремния.
7 Рентгеноспектральный флуоресцентный метод анализа определения массовых долей диоксида кремния, оксида кальция, оксида железа (III), оксида серы, оксида натрия
7.1 Сущность метода состоит в использовании зависимости между интенсивностью вторичного флуоресцентного излучения элементов, содержащихся в силикате натрия, и концентрацией входящих в его состав диоксида кремния, оксида кальция, оксида железа (III), оксида серы, оксида натрия.
7.2 Средства измерений, оборудование, реактивы
7.2.1 Для проведения анализа применяют: рентгенофлуоресцентные спектрометры; обеспечивающие точность анализов не ниже установленных в
6.5.4,
6.8.8,
6.9.6,
6.11.4,
6.12.4,
6.13.4.
7.2.2 Допускается применение другой аппаратуры, оборудования и материалов, обеспечивающих точность анализа, предусмотренную настоящим стандартом.
7.3 Подготовка пробы для измерений (анализа)
7.3.1 Подготовку пробы для анализа проводят в соответствии с методикой пробоподготовки, утвержденной организацией (лабораторией), проводящей измерения (анализы).
7.3.2 Для проведения анализа готовят два образца-излучателя (таблетки).
7.4 Проведение измерений
7.4.1 Подготовку измерительной аппаратуры к работе проводят в соответствии с инструкцией по ее эксплуатации.
7.4.2 Измерения проводят в соответствии с инструкцией по эксплуатации спектрометра и методикой выполнения измерений, утвержденной организацией (лабораторией), проводящей измерения (анализы).
7.5 Обработка результатов измерений
Обработку и оценку результатов измерений проводят в соответствии с методикой выполнения измерений, утвержденной в установленном порядке.
8 Транспортирование и хранение
8.1 Силикат натрия перевозят автомобильным и железнодорожным транспортом в соответствии с правилами перевозки грузов, действующими на транспорте данного вида.
По согласованию с потребителем силикат натрия транспортируют в полувагонах и на платформах.
При транспортировании силиката натрия должны быть приняты меры по защите его от атмосферных осадков.
8.2 Силикат натрия следует хранить в сухих, крытых помещениях с твердым покрытием пола.
9.1 Изготовитель гарантирует соответствие силиката натрия требованиям настоящего стандарта при соблюдении условий транспортирования и хранения.
9.2 Гарантийный срок хранения силиката натрия растворимого - 3 мес со дня изготовления.
По истечении гарантийного срока силикат натрия перед использованием должен быть проверен на соответствие требованиям настоящего стандарта.
(рекомендуемое)
ОБЛАСТЬ ПРИМЕНЕНИЯ РАСТВОРИМОГО СИЛИКАТА НАТРИЯ ПО МАРКАМ
Область применения силиката натрия по маркам приведена в таблице А.1.
Таблица А.1
Марка | Рекомендуемая область применения |
СНР1 | Для изготовления замазок, литья, флотации |
СНР2 | Для катализаторов и адсорбентов, производства сварочных электродов |
СНР3 | Для СМС и химических производств, белой сажи |
СНР4 | Для строительства |
СНР5 | Для клеев, пропиток, покрытий |
СНР6 | Для бумажного производства |
Примечание - Допускается применение силиката натрия для других целей. |
УДК 661.683:006.354 | |
Ключевые слова: силикат натрия растворимый, диоксид кремния, методы анализа, обработка результатов |