Главная // Актуальные документы // ГОСТ (Государственный стандарт)СПРАВКА
Источник публикации
М.: ФГБУ "РСТ", 2021
Примечание к документу
Документ
введен в действие с 01.05.2022.
Название документа
"ГОСТ 13078-2021. Межгосударственный стандарт. Стекло натриевое жидкое. Технические условия"
(введен в действие Приказом Росстандарта от 21.09.2021 N 993-ст)
"ГОСТ 13078-2021. Межгосударственный стандарт. Стекло натриевое жидкое. Технические условия"
(введен в действие Приказом Росстандарта от 21.09.2021 N 993-ст)
агентства по техническому
регулированию и метрологии
от 21 сентября 2021 г. N 993-ст
МЕЖГОСУДАРСТВЕННЫЙ СТАНДАРТ
СТЕКЛО НАТРИЕВОЕ ЖИДКОЕ
ТЕХНИЧЕСКИЕ УСЛОВИЯ
Sodium silicate solute. Specifications.
ГОСТ 13078-2021
Дата введения
1 мая 2022 года
Цели, основные принципы и общие правила проведения работ по межгосударственной стандартизации установлены
ГОСТ 1.0 "Межгосударственная система стандартизации. Основные положения" и
ГОСТ 1.2 "Межгосударственная система стандартизации. Стандарты межгосударственные, правила и рекомендации по межгосударственной стандартизации. Правила разработки, принятия, обновления и отмены"
1 РАЗРАБОТАН Акционерным обществом "Институт стекла", Техническим комитетом по стандартизации ТК 041 "Стекло"
2 ВНЕСЕН Федеральным агентством по техническому регулированию и метрологии
3 ПРИНЯТ Межгосударственным советом по стандартизации, метрологии и сертификации (протокол от 14 июля 2021 г. N 59)
За принятие проголосовали:
Краткое наименование страны по МК (ИСО 3166) 004-97 | Код страны по МК (ИСО 3166) 004-97 | Сокращенное наименование национального органа по стандартизации |
Армения | AM | ЗАО "Национальный орган по стандартизации и метрологии" Республики Армения |
Беларусь | BY | Госстандарт Республики Беларусь |
Киргизия | KG | Кыргызстандарт |
Россия | RU | Росстандарт |
4
Приказом Федерального агентства по техническому регулированию и метрологии от 21 сентября 2021 г. N 993-ст межгосударственный стандарт ГОСТ 13078-2021 введен в действие в качестве национального стандарта Российской Федерации с 1 мая 2022 г.
Информация о введении в действие (прекращении действия) настоящего стандарта и изменений к нему на территории указанных выше государств публикуется в указателях национальных стандартов, издаваемых в этих государствах, а также в сети Интернет на сайтах соответствующих национальных органов по стандартизации.
В случае пересмотра, изменения или отмены настоящего стандарта соответствующая информация будет опубликована на официальном интернет-сайте Межгосударственного совета по стандартизации, метрологии и сертификации в каталоге "Межгосударственные стандарты"
Настоящий стандарт распространяется на жидкое натриевое стекло (далее - жидкое стекло), применяемое в мыловаренной, жировой, химической, машиностроительной, текстильной, бумажной промышленности, в т.ч. для производства картонной тары, в черной металлургии, для производства сварочных материалов, в качестве связующего материала при изготовлении форм и стержней в литейном производстве, в качестве флотационного реагента при обогащении полезных ископаемых и других целей.
В настоящем стандарте использованы нормативные ссылки на следующие межгосударственные стандарты:
ГОСТ 61 Реактивы. Кислота уксусная. Технические условия
ГОСТ 1277 Реактивы. Серебро азотнокислое. Технические условия
ГОСТ 1770 (ИСО 1042-83, ИСО 4788-80) Посуда мерная лабораторная стеклянная. Цилиндры, мензурки, колбы, пробирки. Общие технические условия
ГОСТ 2053 Реактивы. Натрий сернистый 9-водный. Технические условия
ГОСТ 2603 Реактивы. Ацетон. Технические условия
ГОСТ 3117 Реактивы. Аммоний уксуснокислый. Технические условия
ГОСТ 3118 Реактивы. Кислота соляная. Технические условия
ГОСТ 3760 Реактивы. Аммиак водный. Технические условия
ГОСТ 3773 Реактивы. Аммоний хлористый. Технические условия
ГОСТ 3956 Силикагель технический. Технические условия
ГОСТ 4108 Реактивы. Барий хлорид 2-водный. Технические условия
ГОСТ 4174 Реактивы. Цинк сернокислый 7-водный. Технические условия
ГОСТ 4204 Реактивы. Кислота серная. Технические условия
ГОСТ 4234 Реактивы. Калий хлористый. Технические условия
ГОСТ 4328 Реактивы. Натрия гидроокись. Технические условия
ГОСТ 4461 Реактивы. Кислота азотная. Технические условия
ГОСТ 4463 Реактивы. Натрий фтористый. Технические условия
ГОСТ 4478 Реактивы. Кислота сульфосалициловая 2-водная. Технические условия
ГОСТ 4919.1 Реактивы и особо чистые вещества. Методы приготовления растворов индикаторов
ГОСТ 4919.2 Реактивы и особо чистые вещества. Методы приготовления буферных растворов
ГОСТ 5456 Реактивы. Гидроксиламина гидрохлорид. Технические условия
ГОСТ 6563 Изделия технические из благородных металлов и сплавов. Технические условия
ГОСТ 6709 <1> Вода дистиллированная. Технические условия
--------------------------------
ГОСТ 9147 Посуда и оборудование лабораторные фарфоровые. Технические условия
ГОСТ 10398 Реактивы и особо чистые вещества. Комплексонометрический метод определения основного вещества
ГОСТ 10484 Реактивы. Кислота фтористоводородная. Технические условия
ГОСТ 10652 Реактивы. Соль динатриевая этилендиамин-N, N, N
', N
'-тетрауксусной кислоты 2-водная (трилон Б). Технические условия
ГОСТ 12026 Бумага фильтровальная лабораторная. Технические условия
ГОСТ 14919 Электроплиты, электроплитки и жарочные электрошкафы бытовые. Общие технические условия
ГОСТ 18300 Спирт этиловый ректификованный технический. Технические условия <2>
--------------------------------
<2> В Российской Федерации действует
ГОСТ Р 55878-2013 "Спирт этиловый технический гидролизный ректификованный. Технические условия".
ГОСТ 22524 Пикнометры стеклянные. Технические условия
ГОСТ 22867 Реактивы. Аммоний азотнокислый. Технические условия
ГОСТ 23932 Посуда и оборудование лабораторные стеклянные. Общие технические условия
ГОСТ 25336 Посуда и оборудование лабораторные стеклянные. Типы, основные параметры и размеры
ГОСТ 28498 Термометры жидкостные стеклянные. Общие технические требования. Методы испытаний
ГОСТ 29227 (ИСО 835-1-81) Посуда лабораторная стеклянная. Пипетки градуированные. Часть 1. Общие требования
ГОСТ 29251 (ИСО 385-1-84) Посуда лабораторная стеклянная. Бюретки. Часть 1. Общие требования
ГОСТ OIML R 76-1 Государственная система обеспечения единства измерений. Весы неавтоматического действия. Часть 1. Метрологические и технические требования. Испытания
ГОСТ OIML R 111-1 Государственная система обеспечения единства измерений. Гири классов E
1, E
2, F
1, F
2, M
1, M
1-2, M
2, M
2-3 и M
3. Часть 1. Метрологические и технические требования
Примечание - При пользовании настоящим стандартом целесообразно проверить действие ссылочных стандартов и классификаторов на официальном интернет-сайте Межгосударственного совета по стандартизации, метрологии и сертификации (www.easc.by) или по указателям национальных стандартов, издаваемым в государствах, указанных в предисловии, или на официальных сайтах соответствующих национальных органов по стандартизации. Если на документ дана недатированная ссылка, то следует использовать документ, действующий на текущий момент, с учетом всех внесенных в него изменений. Если заменен ссылочный документ, на который дана датированная ссылка, то следует использовать указанную версию этого документа. Если после принятия настоящего стандарта в ссылочный документ, на который дана датированная ссылка, внесено изменение, затрагивающее положение, на которое дана ссылка, то это положение применяется без учета данного изменения. Если ссылочный документ отменен без замены, то положение, в котором дана ссылка на него, применяется в части, не затрагивающей эту ссылку.
В настоящем стандарте применены следующие термины с соответствующими определениями:
3.1 градуировочный раствор: Раствор с известной концентрацией определяемого химического элемента, используемый для построения градуировочного графика в инструментальных методах анализа.
3.2 градуировочный график: Зависимость оптической плотности раствора от концентрации растворенного вещества.
3.3 контрольный раствор: Раствор, составленный из применяемых в конкретном анализе реактивов и воды без анализируемой пробы.
3.4 контрольный опыт: Проведение всей процедуры анализа без анализируемой пробы.
3.5 массовая доля (процентная концентрация вещества): Отношение массы растворенного вещества к общей массе раствора.
3.6 буферные растворы: Растворы с определенной устойчивой концентрацией водородных ионов.
Примечание - pH буферных растворов мало изменяется при прибавлении к ним небольшого количества сильного основания или сильной кислоты, а также при разбавлении и концентрировании.
3.7 объемное соотношение раствора: Раствор в объемном соотношении 1:1, 1:2 и т.д., первые цифры обозначают объемные части кислоты, водного аммиака и т.д., а вторые - объемные части воды.
Примечание - Если концентрация или разбавление кислоты или водного раствора аммиака не указаны, подразумевают концентрированную кислоту или раствор аммиака.
3.8 горячий раствор (горячая вода): Жидкость, имеющая температуру свыше 75 °C.
3.9 теплый раствор (теплая вода): Жидкость, имеющая температуру от 40 °C до 75 °C.
4.1.1 Жидкое стекло изготавливают в соответствии с требованиями настоящего стандарта по технологической документации, утвержденной в установленном порядке.
4.1.2 Жидкое стекло изготавливают автоклавным и безавтоклавным растворениями силиката натрия.
4.1.3 Жидкое стекло, в зависимости от физико-химических показателей, подразделяют на марки А, Б, СНЖ1 - СНЖ6, и оно должно соответствовать требованиям, указанным в таблице 1.
Таблица 1
Требования для жидкого стекла
Наименование показателя | Требования для жидкого стекла марки |
А | Б | СНЖ1 | СНЖ2 | СНЖ3 | СНЖ4 | СНЖ5 | СНЖ6 |
Внешний вид | Густая жидкость желтого или серого цвета без механических примесей и включений, видимых невооруженным глазом | Густая жидкость желтого или серого цвета |
Массовая доля диоксида кремния, % | 22,7 - 29,6 | 24,3 - 31,9 | 29,7 - 36,0 | 24,8 - 34,3 | 24,1 - 35,0 | 24,8 - 36,7 | 24,8 - 34,0 | 27,2 - 29,3 |
Массовая доля оксидов железа и алюминия, %, не более, в т.ч. оксида железа | 0,25 | 0,20 | 0,90 | 0,30 | 0,25 |
Не регламентируется | 0,05 | Не регламентируется |
Массовая доля оксида кальция, %, не более | 0,20 | 0,12 | 0,05 | 0,20 |
Массовая доля серного ангидрида, %, не более | 0,15 | 0,07 | 0,15 |
Массовая доля оксида натрия, % | 9,3 - 12,8 | 8,7 - 12,2 | 10,9 - 13,8 | 9,0 - 12,9 | 8,7 - 13,3 | 8,1 - 13,3 | 8,0 - 12,2 | 7,9 - 8,8 |
Силикатный модуль | 2,3 - 2,6 | 2,6 - 3,0 | 2,7 - 2,9 | 2,6 - 3,0 | 2,7 - 3,3 | 2,7 - 3,4 | 3,4 - 3,6 |
Плотность, г/см3 | 1,36 - 1,45 | 1,47 - 1,52 | 1,36 - 1,50 | 1,36 - 1,45 | 1,35 - 1,40 |
Примечания 1 Допускается выпадение осадка при хранении. 2 Рекомендуемая область применения в зависимости от марки жидкого стекла приведена в приложении А. |
4.1.4 Для производства сварочных материалов плотность жидкого стекла должна быть 1,47 - 1,52 г/см3.
4.1.5 Массовая доля нерастворимых в воде веществ для марки СНЖ3 должна быть не более 0,2%.
4.1.6 Допускается по согласованию с потребителем изготавливать жидкое стекло для марки СНЖ1 с силикатным модулем 2,31 - 2,60 и плотностью 1,47 - 1,52 г/см3, для марки СНЖ2 - с силикатным модулем 2,8 - 3,0.
4.2.1 Вид упаковки и способ упаковывания согласовывают с потребителем и указывают в договоре поставки.
4.2.2 На каждую единицу тары наносят маркировку, в которой указывают:
- наименование и/или товарный знак изготовителя;
- наименование и марку жидкого стекла;
- номер партии;
- дату изготовления; срок хранения и др.;
- массу брутто и нетто;
- обозначение настоящего стандарта;
- дополнительную информацию (при необходимости).
4.2.3 Маркировку на тару наносят любым способом таким образом, чтобы обеспечить ее сохранность при транспортировании и хранении.
4.2.4 Транспортную маркировку производят по
ГОСТ 14192, с нанесением манипуляционных знаков "Верх", "Беречь от влаги".
4.3 Требования безопасности
4.3.1 Жидкое стекло, соответствующее настоящему стандарту, является негорючим и пожаровзрывобезопасным материалом.
4.3.2 Предельно допустимые концентрации (ПДК) вредных веществ в воздухе рабочей зоны должны соответствовать требованиям гигиенических нормативов или других документов, утвержденных в установленном порядке.
5.1 Жидкое стекло принимают партиями. Партией считают любое количество жидкого стекла, оформленное одним документом о качестве по
5.6 и перевозимое на одном транспортном средстве.
Каждую железнодорожную цистерну считают партией.
5.2 Для приемки партии жидкого стекла на соответствие требованиям настоящего стандарта проводят отбор проб в соответствии с
6.1.
5.3 Жидкое стекло подвергают приемо-сдаточным и периодическим испытаниям. При проведении приемо-сдаточных испытаний жидкого стекла определяют: массовую долю диоксида кремния (SiO2), массовую долю оксида натрия (Na2O), силикатный модуль и плотность. Определение остальных показателей изготовитель проводит периодически в соответствии с правилами приемки, установленными у изготовителя, или по требованию потребителя.
5.4 Партию считают принятой, если результаты испытаний соответствуют требованиям
4.1.3 -
4.1.5.
5.5 При получении неудовлетворительных результатов испытаний хотя бы по одному из показателей проводят повторные испытания на удвоенной пробе, взятой от той же партии.
Результаты повторных испытаний распространяются на всю партию.
При получении неудовлетворительных результатов повторных испытаний партию бракуют и испытания по данному показателю переводят в приемо-сдаточные до получения положительных результатов на двух партиях подряд.
5.6 Каждую партию жидкого стекла сопровождают документом о качестве, в котором указывают:
- наименование изготовителя, его товарный знак, адрес;
- наименование и марку жидкого стекла;
- номер партии;
- дату изготовления;
- массу брутто и нетто;
- результаты проведенных испытаний;
- обозначение настоящего стандарта;
- дополнительную информацию (при необходимости).
6.1.1 Для проведения испытаний, за исключением определения нерастворимых в воде веществ, от партии при помощи чистых сухих латунных, медных или стеклянных трубок диаметром от 15 до 20 мм или с помощью пробоотборников, изготовленных из материала, не реагирующего с жидким стеклом, отбирают из верхнего, среднего и нижнего уровней три точечные пробы и соединяют в объединенную пробу объемом не менее 2 дм3.
6.1.2 Из цистерны отбирают из трех мест пробы равных объемов не менее 2 дм3. Пробы соединяют вместе, тщательно перемешивают.
6.1.3 Объединенную пробу делят на две части и помещают в чистые сухие банки с плотно закрывающимися крышками. На банки наклеивают этикетки с указанием наименования продукта, номера партии и даты отбора проб. Одну банку используют для проведения анализа, вторую сохраняют не менее 3 мес. Проба для анализа должна составлять не менее 1 дм3.
6.1.4 Определение нерастворимых в воде веществ для жидкого стекла марки СНЖ3 проводят на двух пробах, взятых из верхнего и среднего слоев емкости после отстаивания в течение 24 ч, объемом не менее 1 дм3.
6.2 Общие требования к методам анализа
6.2.1 Для проведения анализа и приготовления водных растворов применяют дистиллированную воду по
ГОСТ 6709.
6.2.2 При приготовлении растворов и проведении анализов после каждого добавления реактива раствор перемешивают. При отсутствии указания о времени перемешивания перемешивание проводят в течение нескольких секунд.
6.2.3 Навески индикаторов для приготовления растворов или индикаторных смесей взвешивают в граммах с погрешностью не более 0,001 г. Требования приготовления растворов индикаторов - по
ГОСТ 4919.1.
6.2.4 Для приготовления буферных и вспомогательных растворов навеску взвешивают с погрешностью не более 0,01 г. Общие требования к приготовлению буферных растворов - по
ГОСТ 4919.2.
Приготовленные растворы тщательно перемешивают. pH буферных растворов проверяют на универсальном иономере или другом оборудовании с характеристиками аналогичными или не ниже и при необходимости прибавляют кислоту, щелочь или водный аммиак для достижения соответствующего pH.
Допускается указывать конкретный способ проверки pH.
6.2.5 Расчет коэффициентов молярности в титрованных растворах и титров в стандартных растворах осуществляют до четвертой значащей цифры.
6.2.6 Титрование проводят с использованием бюретки 2-го класса точности вместимостью 50 см3 в конических колбах вместимостью от 250 до 750 см3.
6.2.7 Объемы титрованных растворов, а также взятую для анализа часть анализируемых растворов отмеряют с помощью пипеток или бюреток 2-го класса точности. Объемы растворов индикаторов отмеряют пипетками, объемы растворов реактивов - пипетками или цилиндрами, объемы воды - цилиндрами или мензурками.
6.2.8 Для приготовления растворов и проведения анализов применяют химические реактивы квалификации х. ч. - химически чистые или ч. д. а. - чистые для анализа.
6.2.9 Для взвешивания навесок анализируемых проб жидкого стекла и химических реактивов, используемых для приготовления растворов, применяют лабораторные весы по
ГОСТ OIML R 76-1 с погрешностью не более 0,0002 г и используют набор гирь класса точности F
1 по
ГОСТ OIML R 111-1. Результат взвешивания записывают в граммах с точностью до четвертого десятичного знака, если нет других указаний в нормативных документах на метод определения.
6.2.10 Тигли, чашки с осадками определяемого компонента перед взвешиванием охлаждают в эксикаторе по
ГОСТ 23932,
ГОСТ 25336. В качестве осушающего вещества в эксикаторах используют силикагель по
ГОСТ 3956 или хлористый кальций по нормативным документам.
6.2.11 Измерение вспомогательных растворов, кислот и щелочей проводят мерной лабораторной посудой по
ГОСТ 1770 (цилиндры, мензурки).
Допускается для измерения объемов растворов использовать другую мерную лабораторную посуду с метрологическими характеристиками не ниже указанных в
ГОСТ 1770.
Для сушки материалов в воздушной среде используют сушильные шкафы с терморегулятором.
6.2.12 При проведении анализов используют водяные, воздушные бани, термометры, колориметры фотоэлектрические, спектрофотоколориметры, pH-метры, ареометры.
6.2.13 При проведении анализов допускается применять другую посуду, лабораторное оборудование и приборы с метрологическими характеристиками не ниже указанных в настоящем стандарте.
6.2.14 Градуировочные графики проверяют не реже одного раза в 6 мес, а также при замене оборудования, светофильтров или осветителя фотоколориметра, реактивов.
6.2.15 При проведении анализа жидкого стекла проводят не менее двух параллельных определений.
6.3 Определение массовой доли диоксида кремния (гравиметрический метод)
6.3.1 Сущность метода
Метод основан на разложении жидкого стекла растворением в горячей воде, двойном обезвоживании кремниевой кислоты в солянокислой среде, выделении и прокаливании осадка, отгонке кремниевой кислоты в воде четырехфтористого кремния.
6.3.2 Средства измерений, аппаратура, реактивы и растворы
Для проведения анализа применяют:
- баню водяную, обеспечивающую температуру воды до 100 °C;
- баню воздушную;
- печь муфельную с терморегулятором, обеспечивающую:
- температуру нагрева до 1200 °C;
- поддержание температуры с точностью +/- 10 °C;
- кислоту серную по
ГОСТ 4204, х. ч., разбавленную в объемном соотношении 1:1;
- кислоту фтористоводородную по
ГОСТ 10484, х. ч.;
- серебро азотнокислое по
ГОСТ 1277, раствор с массовой долей 1%;
- спирт этиловый ректификованный технический по
ГОСТ 18300;
- раствор метиловый оранжевый (индикатор), спиртовой раствор с массовой долей 0,1%, приготовленный по
ГОСТ 4919.1;
- фильтр бумажный обеззоленный "белая лента" по нормативным документам.
Допускается использование другого оборудования и средств измерения с характеристиками не ниже указанных.
6.3.3.1 Навеску жидкого стекла массой от 1,5 до 2,0 г помещают на часовое стекло или в стаканчик для взвешивания (бюксу) и взвешивают с погрешностью не более 0,0002 г. Навеску многократно смывают горячей водой в фарфоровую чашку. В полученный раствор объемом от 100 до 120 см3 добавляют при помешивании стеклянной палочкой метилового оранжевого от двух до трех капель и соляную кислоту до покраснения раствора и сверх того еще от 3 до 4 см3. Чашку помещают на кипящую водяную баню и выпаривают при помешивании почти досуха. Образовавшийся твердый остаток солей осторожно растирают стеклянной палочкой до порошкообразного состояния. Нагревают на водяной бане до полного исчезновения запаха хлористого водорода. Полноту удаления хлористого водорода можно проверить также с помощью палочки, смоченной раствором аммиака. Для более полного обезвоживания кремниевой кислоты чашку держат на водяной бане еще 2 ч.
6.3.3.2 Высушенный и охлажденный осадок смачивают от 3 до 4 см3 соляной кислоты и, прикрыв чашку часовым стеклом, выдерживают от 15 до 20 мин и приливают в чашку от 70 до 75 см3 горячей воды. Раствор вместе с осадком перемешивают стеклянной палочкой, дают осадку в чашке раствориться (не более 10 мин). Затем жидкость декантируют на обеззоленный фильтр "белая лента". Осадок промывают три-четыре раза декантацией небольшими порциями горячей воды, переносят его на фильтр и продолжают промывание до полного удаления в промывных водах иона хлора (проба с азотнокислым серебром).
6.3.3.3 Кремниевую кислоту выделяют вторично, выпаривая полученный фильтрат вместе с промывными водами в той же фарфоровой чашке на кипящей водяной бане почти досуха, и повторяют при этом все предыдущие операции, за исключением промывания декантацией.
Оба фильтра с осадками кремниевой кислоты подсушивают до слегка влажного состояния, осторожно заворачивают внутрь края фильтра, закрывая им осадок, и плотно укладывают конусом вверх в предварительно прокаленный и взвешенный тигель.
6.3.3.4 Содержимое тигля осторожно озоляют и прокаливают в муфельной печи при температуре от 1000 °C до 1100 °C. Тигель с осадком охлаждают в эксикаторе, взвешивают и повторяют прокаливание до постоянной массы (m1).
6.3.3.5 Прокаленный осадок обрабатывают несколькими каплями разбавленной серной кислоты и от 5 до 7 см3 фтористоводородной кислоты. Полученную смесь выпаривают на воздушной бане досуха. Затем сухой остаток солей прокаливают при постепенном повышении температуры до (1050 +/- 50) °C в муфельной печи в течение 15 - 20 мин. После охлаждения в эксикаторе тигель с остатком взвешивают.
6.3.4 Обработка результатов
6.3.4.1 Массовую долю диоксида кремния X, %, вычисляют по формуле

, (1)
где m1 - масса тигля с осадком диоксида кремния до испытания на чистоту, г;
m2 - масса тигля с остатком после испытания на чистоту, г;
m - масса навески жидкого стекла, г.
6.3.4.2 За результат анализа принимают среднеарифметическое значение двух параллельных определений, допускаемое расхождение между которыми, при доверительной вероятности P = 0,95, не должно превышать 0,3%.
6.4 Определение массовой доли диоксида кремния (ускоренный метод)
Массовую долю диоксида кремния X1, %, вычисляют по формуле

, (2)
где M - силикатный модуль;
X6 - массовая доля оксида натрия, %;
K - отношение молекулярной массы щелочного оксида к молекулярной массе диоксида кремния, равное для натриевого жидкого стекла 1,0323.
При возникновении разногласий применяют метод по
6.3.
6.5 Определение массовой доли суммы оксида железа и оксида алюминия
6.5.1 Сущность метода
Метод основан на образовании комплексных соединений железа и алюминия с трилоном Б при условии его избытка. Избыток трилона Б титруют раствором сернокислого цинка в присутствии ацетатного буферного раствора при pH 5,2 - 5,8 с индикатором ксиленоловым оранжевым.
6.5.2 Средства измерений, аппаратура, реактивы и растворы
Для проведения анализа применяют:
- баню водяную, обеспечивающую температуру воды до 100 °C;
- баню воздушную;
- колбы 1(2)-100(250, 500, 1000)-2 по
ГОСТ 1770;
- пипетки номинальной вместимостью 25 см
3 по
ГОСТ 29227;
- чашки платиновые (изделие N 118-3) по
ГОСТ 6563;
- шпатели платиновые (изделие N 209-11) по
ГОСТ 6563;
- аммиак водный по
ГОСТ 3760, раствор с массовой долей 25% и 10%;
- гидроксиламина гидрохлорид по
ГОСТ 5456, раствор с массовой долей 10%;
- спирт этиловый ректификованный технический по
ГОСТ 18300;
- трилон Б (соль динатриевая этилендиамин-N, N, N
', N
'-тетрауксусной кислоты 2-водная по
ГОСТ 10652, раствор молярной концентрации
c(C
10H
14O
8N
2Na
2·2H
2O) = 0,025 моль/дм
3;
- цинк металлический гранулированный по нормативному документу;
- цинк сернокислый 7-водный по
ГОСТ 4174, раствор молярной концентрации
c(ZnSO
4·7H
2O) = 0,025 моль/дм
3;
Допускается использование другого оборудования и средств измерения с характеристиками не ниже указанных.
6.5.3 Индикаторы
6.5.3.1 Для проведения анализа применяют:
- бумагу индикаторную конго красную по нормативным документам;
- эриохром черный Т, приготовленный по
ГОСТ 4919.1. Хранят в герметично закрытой банке из темного стекла;
- ксиленоловый оранжевый; приготовленный по
ГОСТ 4919.1. Хранят в герметично закрытой банке из темного стекла. Раствор годен 30 дней;
- хром кислотный темно-синий (2-(5-хлор-2-оксифения)-азо-1,8-диоксинафталин-3,6-дисульфокислоты динатриевая соль), готовят по 6.5.3.2.
6.5.3.2 Приготовление индикаторов
Кислотный хром темно-синий (2-(5-хлор-2-оксифения)-азо-1,8-диоксинафталин-3,6-дисульфокислоты динатриевая соль) готовят следующим образом: 0,15 г индикатора растворяют в 5 см3 аммиачного буферного раствора, добавляют 20 см3 этилового спирта и перемешивают.
6.5.4 Буферные растворы
6.5.4.1 Приготовление буферного раствора с pH 5,2 - 5,8
Ацетатный буферный раствор с pH 5,2 - 5,8 готовят следующим образом: 100 г уксуснокислого аммония, взвешенного с погрешностью не более 0,01 г, растворяют в дистиллированной воде от 300 до 400 см3 (для лучшего растворения раствор подогревают). Фильтруют, добавляют 10 см3 уксусной кислоты, перемешивают и доводят объем раствора водой до 1000 см3. pH буферных растворов проверяют на pH-метре и при необходимости добавляют кислоты, аммиак или щелочь.
6.5.4.2 Приготовление буферного раствора с pH 9,5 - 10,0
Аммиачный буферный раствор с pH 9,5 - 10,0 готовят следующим образом: 54 г хлористого аммония растворяют в 200 см3 воды, к полученному раствору прибавляют 350 см3 раствора аммиака с массовой долей 25% и доводят объем раствора водой до 1000 см3.
6.5.5 Подготовка к анализу
6.5.5.1 Приготовление титрованных растворов проводят по
ГОСТ 10398.
6.5.5.2 Раствор трилона Б молярной концентрации c(C10H14O8N2Na2·2H2O) = 0,025 моль/дм3 готовят следующим образом: 9,31 г трилона Б растворяют в воде в мерной колбе вместимостью 1000 см3 и доводят объем водой до 1000 см3. Раствор хранят в полиэтиленовых или стеклянных, парафинированных изнутри, сосудах.
Допускается приготовление раствора из стандарт-титра трилона Б.
6.5.5.3 Раствор соли цинка молярной концентрации 0,025 моль/дм3 (для установки поправки к концентрации раствора трилона Б) готовят следующим образом: 1,6345 г цинка, свежеочищенного стальным ножом от оксида цинка, сразу же взвешивают с погрешностью не более 0,0002 г, помещают в фарфоровую чашку и растворяют при медленном нагревании на водяной бане в смеси 100 см3 воды и 15 см3 концентрированной азотной кислоты, накрыв чашку часовым стеклом, затем тщательно смывают стекло водой, собирая ее в ту же чашку, и упаривают раствор до объема от 3 до 4 см3. Остаток из чашки количественно переносят, смывая стенки чашки водой, в мерную колбу вместимостью 1000 см3 и доводят объем раствора водой до метки.
Раствор годен в течение 30 сут.
6.5.5.4 Поправка к концентрации раствора трилона Б молярной концентрации c(C10H14O8N2Na2·2H2O) = 0,025 моль/дм3 определяют по соли цинка следующим образом: 25 см3 раствора соли цинка молярной концентрации точно 0,025 моль/дм3 помещают в коническую колбу, прибавляют 5 см3 буферного аммиачного раствора, 0,1 г индикаторной смеси эриохрома черного Т или от 10 до 12 капель раствора кислотного хрома темно-синего и 70 см3 воды.
Раствор перемешивают и титруют из бюретки раствором трилона Б до перехода фиолетово-красной окраски в синюю (при применении эриохрома черного Т) или малиновой в неизменяющуюся синюю (при применении кислотного хрома темно-синего). Отмечают объем раствора трилона Б, израсходованный на титрование.
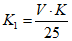
Коэффициент поправки K раствора трилона Б молярной концентрации c(C10H14O8N2Na2·2H2O) = 0,025 моль/дм3 K вычисляют по формуле

, (3)
где V - объем раствора трилона Б молярной концентрации c(ди-Na-ЭДТА) = 0,025 моль/дм3, израсходованный на титрование, см3.
6.5.5.5 Раствор сернокислого цинка молярной концентрации c(ZnSO4) = 0,025 моль/дм3 готовят следующим образом: 7,2 г сернокислого цинка помещают в мерную колбу вместимостью 1000 см3, растворяют в воде и доводят объем раствора водой до метки.
Коэффициент поправки определяют следующим образом: в коническую колбу для титрования отмеряют 25 см3 раствора сернокислого цинка молярной концентрации c(ZnSO4) = 0,025 моль/дм3, прибавляют 70 см3 воды, 5 см3 аммиачного буферного раствора, 0,1 г индикаторной смеси эриохрома черного Т и титруют раствором трилона Б молярной концентрации c(C10H14O8N2Na2·2H2O) = 0,025 моль/дм3 до перехода фиолетовой окраски в синюю. Отмечают объем раствора трилона Б, израсходованный на титрование.
Коэффициент поправки сернокислого цинка молярной концентрации c(ZnSO4·7H2O) = 0,025 моль/дм3 K1 вычисляют по формуле

, (4)
где V - объем раствора трилона Б молярной концентрации c(ди-Na-ЭДТА) = 0,025 моль/дм3, израсходованный на титрование, см3,
K - коэффициент поправки раствора трилона Б молярной концентрации c(C10H14O8N2Na2·2H2O) = 0,025 моль/дм3, израсходованный на титрование, см3.
6.5.5.6 Коэффициент поправки к концентрации раствора трилона Б молярной концентрации c(C10H14O8N2Na2·2H2O) = 0,025 моль/дм3 при его использовании для титрования оксида алюминия определяют следующим образом: в коническую колбу для титрования отмеряют бюреткой 10 см3 раствора трилона Б молярной концентрации c(C10H14O8N2Na2·2H2O) = 0,025 моль/дм3, подкисляют несколькими каплями соляной кислоты, прибавляют 70 см3 воды и нагревают до 50 °C. Опускают в раствор индикаторную бумагу конго и прибавляют водный раствор аммиака по каплям до покраснения бумаги. Затем добавляют 20 см3 ацетатного буферного раствора, нагревают до кипения, прибавляют 10 капель индикатора ксиленолова оранжевого и титруют раствором сернокислого цинка молярной концентрации c(ZnSO4·7H2O) = 0,025 моль/дм3 до перехода желтой окраски раствора в фиолетово-красную. Отмечают объем сернокислого цинка, израсходованный на титрование.
Коэффициент поправки K2 раствора трилона Б молярной концентрации c(C10H14O8N2Na2·2H2O) = 0,025 моль/дм3 вычисляют по формуле

, (5)
где V - объем раствора сернокислого цинка молярной концентрации c(ZnSO4·7H2O) = 0,025 моль/дм3, израсходованный на титрование, см3;
K1 - коэффициент поправки раствора сернокислого цинка молярной концентрации c(ZnSO4·7H2O) = 0,025 моль/дм3.
6.5.6 Приготовление исследуемого раствора
Навеску жидкого стекла массой 4 г взвешивают с погрешностью не более 0,0002 г в платиновой чашке. Параллельно проводят контрольный опыт на чистоту реактивов. Навеску смачивают водой от 1 до 2 см3, добавляют 2 см3 серной кислоты, от 7 до 10 см3 фтористоводородной кислоты и тщательно перемешивают. Смесь выпаривают сначала на водяной бане до полного удаления фтористоводородной кислоты, затем переносят на воздушную баню и нагревают до обильного выделения паров серной кислоты. Когда содержимое чашки превратится в сиропообразную массу, застывающую при охлаждении, нагревание прекращают и массу охлаждают. После этого в чашку наливают от 10 до 15 см3 воды, от 3 до 4 см3 соляной кислоты и, помешивая стеклянной палочкой, полностью растворяют остаток солей при осторожном нагревании на водяной бане. Раствор переносят в мерную колбу вместимостью 100 см3, ополаскивают чашку не менее трех раз горячей водой, сливая воду каждый раз в ту же колбу. Затем колбу с содержимым охлаждают до комнатной температуры, доливают водой до метки и перемешивают.
6.5.7 Проведение анализа
6.5.7.1 Раствор в объеме 50 см
3, приготовленный по
6.5.6, переносят пипеткой в коническую колбу вместимостью 250 см
3, добавляют 15 см
3 раствора трилона Б, опускают индикаторную бумагу конго, добавляют от 30 до 35 см
3 воды, раствор нагревают до температуры 50 °C. Прибавляют по каплям раствор аммиака с массовой долей 25% до покраснения индикаторной бумаги конго, а затем добавляют раствор аммиака с массовой долей 10% до появления ярко-красного цвета индикаторной бумаги конго.
6.5.7.2 Затем прибавляют 20 см3 ацетатного буферного раствора, 10 см3 раствора гидрохлорида гидроксиламина и кипятят от 1 до 2 мин. После чего сразу же титруют раствором сернокислого цинка молярной концентрации c(ZnSO4·7H2O) = 0,025 моль/дм3 с индикатором ксиленоловым оранжевым, 10 капель которого предварительно добавляют в раствор. Титрование продолжают до перехода желтой окраски раствора в фиолетово-красную. Отмечают объем раствора сернокислого цинка, израсходованный на титрование.
При обработке результатов учитывают результат контрольного опыта.
6.5.8 Обработка результатов
6.5.8.1 Массовую долю суммы оксида железа и оксида алюминия X2, %, вычисляют по формуле

, (6)
где V1 - объем раствора сернокислого цинка молярной концентрации c(ZnSO4·7H2O) = 0,025 моль/дм3, израсходованный на обратное титрование, см3;
V2 - объем раствора сернокислого цинка молярной концентрации c(ZnSO4·7H2O) = 0,025 моль/дм3, израсходованный на титрование контрольного опыта, см3;
K - коэффициент поправки раствора сернокислого цинка молярной концентрации c(ZnSO4·7H2O) = 0,025 моль/дм3;
V3 - общий объем анализируемого раствора, см3;
V4 - объем аликвотной части раствора, см3;
0,001275 - масса оксида алюминия, соответствующая 1 см3 молярной концентрации c(C10H14O8N2Na2·2H2O) = 0,025 моль/дм3 раствора трилона Б, г;
m - масса навески, г.
6.5.8.2 За результат анализа принимают среднеарифметическое значение результатов двух параллельных определений, допускаемое расхождение между которыми при доверительной вероятности P = 0,95 не должно превышать 0,05%.
6.6 Определение массовой доли оксида железа
6.6.1 Сущность метода
Метод основан на образовании сульфосалицилата железа, окрашенного в аммиачной среде в желтый цвет (pH 8,0 - 11,5), и последующем его фотоколориметрировании.
6.6.2 Средства измерений, аппаратура, реактивы и растворы
Для проведения анализа применяют:
- колориметр фотоэлектрический или спектрофотоколориметр;
- посуду стеклянную лабораторную мерную (цилиндры, мензурки, колбы, пробирки) по
ГОСТ 1770;
- пипетки номинальной вместимостью 25 см
3 по
ГОСТ 29227;
- печь муфельную с терморегулятором, обеспечивающую:
- температуру нагрева до 1000 °C,
- поддержание температуры с погрешностью +/- 10 °C;
- аммиак водный по
ГОСТ 3760, раствор с массовой долей 10%;
- аммоний хлористый по
ГОСТ 3773, раствор молярной концентрации
c(NH
4Cl) = 1 моль/дм
3;
- аммоний азотнокислый по
ГОСТ 22867, раствор с массовой долей 2%;
- квасцы железоаммонийные по нормативному документу;
- кислоту соляную по
ГОСТ 3118, концентрированную;
- кислоту сульфосалициловую по
ГОСТ 4478, раствор с массовой долей 20%;
- раствор метиловый красный (индикатор), приготовленный по
ГОСТ 4919.1;
- фильтр бумажный обеззоленный "белая лента".
Допускается использование другого оборудования и средств измерения с характеристиками не ниже указанных.
6.6.3 Подготовка к анализу
6.6.3.1 Приготовление стандартных растворов железоаммонийных квасцов
Раствор А - раствор массовой концентрации (c), равной 1 мг/см3 оксида железа (III), готовят следующим образом: навеску железоаммонийных квасцов <1> массой 6,0397 г помещают в стеклянную колбу вместимостью 1000 см3 и растворяют в 100 см3 воды, подкисленной 9 см3 раствора соляной кислоты. Объем раствора в колбе доводят водой до 1000 см3 и перемешивают. Титр раствора устанавливают гравиметрическим методом.
--------------------------------
<1> Железоаммонийные квасцы предварительно необходимо проанализировать. В том случае, если они выветрились и содержание оксида железа изменилось, следует пересчитать массу навески.
Для этого в три стакана вместимостью по 300 см3 отмеряют с помощью бюретки 10, 20 и 30 см3 стандартного раствора, доводят до объема от 120 до 150 см3 водой, нагревают до кипения и осаждают гидроксид железа аммиаком в присутствии метилового красного. Полученный осадок фильтруют через обеззоленный фильтр "белая лента", промывают горячим раствором азотнокислого аммония, в который добавлено несколько капель аммиака. Фильтр с осадком помещают в предварительно прокаленный и взвешенный платиновый тигель, озоляют и прокаливают до постоянной массы при температуре от 800 °C до 850 °C. Тигель с прокаленным осадком охлаждают в эксикаторе, взвешивают и вычисляют эмпирический титр Tэмп раствора по формуле

, (7)
где m - масса прокаленного оксида железа, мг;
V - объем раствора, взятый для осаждения, см3.
Раствор Б, содержащий 0,1 мг/см3 оксида железа (III), готовят разбавлением водой 100 см3 раствора А в мерной колбе до 1000 см3.
Раствор В, содержащий 0,01 мг/см3 оксида железа (III), готовят разбавлением водой 100 см3 раствора Б в мерной колбе до 1000 см3.
Растворы Б и В готовят непосредственно перед использованием.
6.6.3.2 Приготовление хлористого аммония
Навеску хлористого аммония массой 53,5 г растворяют в 1000 см3 воды. При необходимости раствор фильтруют.
6.6.4 Построение градуировочных графиков
6.6.4.1 В мерные колбы вместимостью 100 см3 отмеряют бюреткой 1, 2, 3, 4, 5, 6, 7, 8, 9, 10 см3 стандартного раствора Б, содержащего 0,1 г/см3 оксида железа (III). В каждую колбу добавляют по 10 см3 раствора хлористого аммония, 15 см3 раствора сульфосалициловой кислоты и доливают по каплям раствор аммиака до появления устойчивой желтой окраски и сверх того добавляют еще 3 см3 раствора аммиака, доводят водой до метки и перемешивают. Получают градуировочный раствор.
Одновременно готовят контрольный раствор, не содержащий оксида железа (III).
Второй градуировочный график строят аналогично первому градуировочному графику, но при этом берут раствор В, содержащий 0,01 мг/см3 оксида железа (III).
6.6.4.2 Оптическую плотность градуировочных растворов измеряют на фотоэлектроколориметре, используя синий светофильтр (длина волны

), в кюветах с толщиной поглощающего свет слоя 30 мм. По полученным данным строят градуировочный график.
Значение оптической плотности откладывают по оси ординат, а соответствующее этим значениям содержание оксида железа (III) в миллиграммах - по оси абсцисс.
Для построения каждой точки градуировочного графика вычисляют среднеарифметическое значение оптической плотности трех параллельных определений.
6.6.5 Проведение анализа
В мерную колбу вместимостью 100 см
3 пипеткой переносят 25 см
3 исследуемого раствора, приготовленного по
6.5.6, приливают 10 см
3 раствора хлористого аммония молярной концентрации
c(NH
4Cl) = 1 моль/дм
3, 15 см
3 раствора сульфосалициловой кислоты и раствор аммиака до устойчивого желтого окрашивания и сверх того еще 3 см
3, после чего разбавляют водой до метки. Одновременно готовят контрольный раствор, не содержащий оксида железа (III), и измеряют оптическую плотность растворов.
6.6.6 Обработка результатов
6.6.6.1 По полученному значению оптической плотности, пользуясь градуировочным графиком, находят содержание оксида железа (III) в исследуемом растворе.
6.6.6.2 Массовую долю оксида железа (III) X3, %, вычисляют по формуле

, (8)
где m1 - содержание оксида железа (III), найденное по градуировочному графику, мг;
m - масса навески, г;
V - общий объем раствора, см3;
V1 - объем аликвотной части раствора, взятый для фотоколориметрирования, см3.
6.6.6.3 При необходимости в результат определения вносят поправку на содержание оксида железа, определяемое контрольным опытом.
6.6.6.4 За результат анализа принимают среднеарифметическое значение двух параллельных определений, допускаемое расхождение между которыми, при доверительной вероятности P = 0,95, не должно превышать 0,01%.
6.7 Определение массовой доли оксида кальция комплексонометрическим методом
6.7.1 Сущность метода
Метод основан на прямом титровании трилоном Б катиона кальция в щелочной среде при pH 12 с индикатором хромом темно-синим.
6.7.2 Средства измерений, аппаратура, реактивы и растворы
6.7.2.1 Для проведения анализа применяют:
- колбы 1(2)-100(250, 500, 1000)-2 по
ГОСТ 1770;
- натрий сернистый (сульфид натрия) по
ГОСТ 2053, раствор с массовой долей 2% (свежеприготовленный);
- натрия гидроксид по
ГОСТ 4328, раствор молярной концентрации
c(NaOH) = 2 моль/дм
3;
- сахар белый по
ГОСТ 33222, раствор с массовой долей 2%;
- трилон Б (соль динатриевая этилендиамин-N, N, N
', N
'-тетрауксусной кислоты 2-водная по
ГОСТ 10652, раствор молярной концентрации
c(C
10H
14O
8N
2Na
2·2H
2O) = 0,025 моль/дм
3.
Допускается использование другого оборудования и средств измерения с характеристиками не ниже указанных.
6.7.2.2 Индикаторы
Для проведения анализа применяют:
- бумагу индикаторную конго красную по нормативным документам;
- кислотный хром темно-синий (2-(5-хлор-2-оксифения)-азо-1,8-диоксинафталин-3,6-дисульфокислоты динатриевая соль), готовят по
6.5.3.2.
6.7.3 Проведение анализа
Раствор для определения оксида кальция готовят по
6.5.6. Полученный раствор переносят количественно в коническую колбу вместимостью 250 см
3, прибавляют 2 см
3 раствора сахара, доливают водой до объема от 85 до 90 см
3, опускают индикаторную бумагу конго, нейтрализуют раствором гидроксида натрия молярной концентрации
c(NaOH) = 2 моль/дм
3 до покраснения индикаторной бумаги конго. Затем добавляют 2 см
3 раствора сульфида натрия, перемешивают и прибавляют 5 см
3 раствора гидроксида натрия, выдерживают раствор от 1 до 2 мин, добавляют от 8 до 10 капель раствора кислотного хрома темно-синего и титруют при непрерывном помешивании раствором трилона Б молярной концентрации
c(C
10H
14O
8N
2Na
2·2H
2O) = 0,025 моль/дм
3 до перехода малиновой окраски раствора в неизменяющуюся синюю.
Одновременно проводят контрольный опыт.
6.7.4 Обработка результатов
6.7.4.1 Массовую долю оксида кальция X4, %, вычисляют по формуле

, (9)
где V - объем раствора трилона Б молярной концентрации c(C10H14O8N2Na2·2H2O) = 0,025 моль/дм3, израсходованный на титрование оксида кальция, см3;
V2 - объем раствора трилона Б молярной концентрации c(C10H14O8N2Na2·2H2O) = 0,025 моль/дм3, израсходованный на титрование контрольного опыта, см3;
K - коэффициент поправки раствора трилона Б молярной концентрации c(C10H14O8N2Na2·2H2O) = 0,025 моль/дм3;
0,0014 - масса оксида кальция, соответствующая 1 см3 молярной концентрации c(C10H14O8N2Na2·2H2O) = 0,025 моль/дм3 раствора трилона Б, г;
V3 - общий объем анализируемого раствора, см3;
V4 - объем аликвотной части анализируемого раствора, см3;
m - масса навески, г.
6.7.4.2 За результат анализа принимают среднеарифметическое значение двух параллельных определений, допускаемое расхождение между результатами которых, при доверительной вероятности P = 0,95, не должно превышать 0,05%.
6.8 Определение массовой доли серного ангидрида гравиметрическим методом
6.8.1 Сущность метода
Метод основан на гравиметрическом определении общего количества серного ангидрида в виде сернокислого бария.
6.8.2 Средства измерений, аппаратура, реактивы и растворы
Для проведения анализа применяют:
- баню водяную, обеспечивающую температуру воды до 100 °C;
- баню воздушную;
- печь муфельную с терморегулятором, обеспечивающую:
- температуру нагрева до 1000 °C;
- поддержание температуры с погрешностью +/- 10 °C;
- барий хлористый по
ГОСТ 4108, раствор молярной концентрации
c(BaCl) = 0,5 моль/дм
3;
- кислоту серную по
ГОСТ 4204, разбавленную в объемном соотношении 1:1;
- серебро азотнокислое по
ГОСТ 1277, раствор с массовой долей 1%;
- раствор метиловый оранжевый (индикатор), приготовленный по
ГОСТ 4919.1;
- фильтр бумажный обеззоленный "синяя лента".
Допускается использование другого оборудования и средств измерения с характеристиками не ниже указанных.
6.8.3 Приготовление исследуемого раствора
Для приготовления исследуемого раствора применяют несколько способов.
Первый способ - используют фильтрат от выделенной кремниевой кислоты по
6.3.3.
Второй способ
Навеску жидкого стекла массой 1 г помещают на часовое стекло и взвешивают с погрешностью не более 0,0002 г. Навеску смывают горячей водой объемом от 75 до 100 см3 в стакан вместимостью 250 см3 и кипятят в течение 10 мин. Затем добавляют от трех до четырех капель метилового оранжевого и подкисляют соляной кислотой до перехода желтого цвета раствора в ярко-розовый. Далее содержимое стакана кипятят от 10 до 15 мин, после чего образовавшийся осадок кремниевой кислоты отфильтровывают на обеззоленный фильтр "синяя лента".
Осадок промывают горячей водой до полного удаления в промывных водах иона хлора (проба с раствором азотнокислого серебра).
6.8.4 Проведение анализа
Раствор, полученный любым способом, нагревают до кипения и приливают к нему от четырех до пяти капель соляной кислоты и при помешивании 20 см3 горячего раствора хлористого бария молярной концентрации c(BaCl) = 0,5 моль/дм3. Раствор с осадком оставляют на кипящей водяной бане на 2 ч (прикрыв стакан часовым стеклом) и на 12 ч при комнатной температуре. Осадок сернокислого бария отфильтровывают через двойной обеззоленный фильтр "синяя лента" и промывают горячей водой до полного удаления в промывных водах иона хлора (проба с раствором азотнокислого серебра).
Фильтр с осадком помещают в предварительно прокаленный и взвешенный платиновый тигель, осторожно подсушивают, озоляют, прокаливают в муфельной печи от 30 до 40 мин при температуре от 800 °C до 850 °C. Тигель с прокаленным осадком охлаждают в эксикаторе и взвешивают. Прокаливание повторяют до постоянной массы.
Для проверки чистоты полученного осадка (если раствор подготовлен по второму способу) его обрабатывают одной-двумя каплями раствора серной кислоты и пятью-шестью каплями фтористоводородной кислоты. Полученную смесь выпаривают на воздушной бане досуха. Сухой остаток прокаливают в муфельной печи от 30 до 40 мин при температуре от 800 °C до 850 °C. Тигель с прокаленным осадком сернокислого бария охлаждают в эксикаторе и взвешивают.
6.8.5 Обработка результатов
6.8.5.1 Массовую долю серного ангидрида X5, %, вычисляют по формуле

, (10)
где m - масса навески жидкого стекла, г;
m1 - масса осадка сернокислого бария, г;
0,343 - коэффициент пересчета массы сернокислого бария на серный ангидрид.
6.8.5.2 За результат анализа принимают среднеарифметическое результатов двух параллельных определений, допускаемое расхождение между которыми, при доверительной вероятности P = 0,95, не должно превышать 0,05%.
6.9 Определение массовой доли оксида натрия ацидиметрическим методом
6.9.1 Сущность метода
Метод основан на ацидиметрическом титровании раствора с применением метилового оранжевого.
6.9.2 Средства измерений, аппаратура, реактивы и растворы
Для проведения анализа применяют:
- кислоту соляную по
ГОСТ 3118, раствор молярной концентрации
c(HCl) = 0,1 моль/дм
3;
- раствор метиловый оранжевый (индикатор), приготовленный по
ГОСТ 4919.1.
Допускается использование другого оборудования и средств измерения с характеристиками не ниже указанных.
6.9.3 Проведение анализа
Навеску жидкого стекла массой 0,5 г помещают на часовое стекло и взвешивают с погрешностью не более 0,0002 г.
Навеску смывают горячей водой объемом от 75 до 100 см3 в коническую колбу вместимостью 250 см3 и кипятят при помешивании в течение 20 мин. Раствор охлаждают, добавляют от трех до четырех капель метилового оранжевого и титруют раствором соляной кислоты молярной концентрации c(HCl) = 0,1 моль/дм3 до перехода желтой окраски в бледно-розовую.
6.9.4 Обработка результатов
6.9.4.1 Массовую долю оксида натрия X6, %, вычисляют по формуле

, (11)
где V - объем раствора соляной кислоты молярной концентрации c(HCl) = 0,1 моль/дм3, израсходованный на титрование, см3;
m - масса навески жидкого стекла, г;
0,0031 - масса оксида натрия, соответствующая 1 см3 раствора соляной кислоты молярной концентрации c(HCl) = 0,1 моль/дм3, г.
6.9.4.2 За результат анализа принимают среднеарифметическое двух параллельных определений, допускаемое расхождение между которыми, при доверительной вероятности P = 0,95, не должно превышать 0,4%.
6.10 Определение силикатного модуля
Силикатный модуль - отношение числа грамм-молекул диоксида кремния к числу грамм-молекул оксида натрия.
6.10.1 Силикатный модуль M вычисляют по формуле

, (12)
где
X1 - массовая доля диоксида кремния, полученная по
6.3,
6.4;
X6 - массовая доля оксида натрия, полученная по
6.9;
1,0323 - отношение молекулярной массы оксида натрия к молекулярной массе диоксида кремния.
6.10.2 Определение силикатного модуля ускоренным методом
6.10.2.1 Сущность метода
Метод основан на последовательном титровании раствором соляной кислоты жидкого стекла и раствором гидроксида натрия до получения бесцветного раствора.
6.10.2.2 Средства измерений, аппаратура, реактивы и растворы
Для проведения анализа применяют:
- колбы 1(2)-100(250, 500, 1000, 2000)-2 по
ГОСТ 1770;
- колбы Кн-2-250 ТХС, Кн-2-500 ТХС, Кн-2-750 ТХС и Кн-2-1000 ТХС, Кн-2-2000 ТХС по
ГОСТ 23932,
ГОСТ 25336;
- кислоту соляную по
ГОСТ 3118, раствор молярной концентрации
c(HCl) = 0,5 моль/дм
3;
- натрия гидроксид по
ГОСТ 4328, раствор молярной концентрации
c(NaOH) = 0,5 моль/дм
3;
- спирт этиловый ректификованный технический по
ГОСТ 18300;
Допускается использование другого оборудования и средств измерения с характеристиками не ниже указанных.
6.10.2.3 Индикаторы
Для проведения анализа применяют смешанный кислотно-основной индикатор.
Индикатор получают смешиванием равных объемов спиртового раствора метилового красного с массовой долей 0,2% и спиртового раствора метиленового голубого с массовой долей 0,1%, приготовленного при слабом нагревании (см.
ГОСТ 4919.1,
ГОСТ 4919.2).
6.10.2.4 Подготовка к анализу
Приготовление растворов фтористого натрия и хлористого калия
Навески фтористого натрия массой 60 г и хлористого калия массой 100 г взвешивают с погрешностью не более 0,5 г, переносят в коническую колбу вместимостью 2000 см3 и добавляют из мерного цилиндра 1000 см3 дистиллированной воды.
После суточного отстаивания раствор фильтруют.
6.10.2.5 Проведение испытания
В коническую колбу вместимостью 250 см3 пипеткой добавляют от пяти до семи капель исследуемого раствора жидкого стекла, добавляют из мерного цилиндра от 70 до 80 см3 дистиллированной воды и от пяти до семи капель раствора смешанного кислотно-основного индикатора. Из бюретки, с ценой деления 0,01 см3 вместимостью 2 и 5 см3, титруют исследуемый раствор раствором соляной кислоты, молярной концентрации c(HCl) = 0,5 моль/дм3, до изменения зеленовато-голубой окраски в фиолетовую (V).
Затем добавляют из мерного цилиндра 50 см3 раствора смеси фтористого натрия и хлористого калия, после чего из бюретки, с ценой деления 0,1 см3 вместимостью 25 см3, добавляют раствор соляной кислоты, молярной концентрации c(HCl) = 0,5 моль/дм3, до изменения зеленовато-голубой окраски в устойчивую фиолетовую (V1).
Избыток кислоты оттитровывают раствором гидроксида натрия, молярной концентрации c(NaOH) = 0,5 моль/дм3, до перехода фиолетовой окраски в зеленовато-голубую (V2).
6.10.2.6 Обработка результатов
Силикатный модуль M вычисляют по формуле

, (13)
где V - объем раствора соляной кислоты молярной концентрации c(HCl) = 0,5 моль/дм3, израсходованный при титровании, см3;
V1 - объем добавленного раствора соляной кислоты молярной концентрации c(HCl) = 0,5 моль/дм3, добавленный, см3;
V2 - объем раствора гидроксида натрия молярной концентрации c(NaOH) = 0,5 моль/дм3, израсходованный при титровании, см3.
Проводят не менее двух параллельных анализов.
За результат анализа принимают среднеарифметическое результатов параллельных определений, допускаемое расхождение между которыми при доверительной вероятности P = 0,95 не должно превышать 1%.
6.11 Определение плотности ареометром
6.11.1 Сущность метода
Метод основан на определении плотности жидкого стекла с помощью ареометра.
6.11.2 Средства измерений
Для проведения анализа применяют:
- набор ареометров плотностью от 0,70 до 1,84 г/см3 с погрешностью измерения не более 0,001 г/см3;
- термометр по
ГОСТ 28498, цена деления шкалы 0,5 °C, класс точности I;
Допускается использование другого оборудования и средств измерения с характеристиками не ниже указанных.
6.11.3 Проведение испытания
Пробу жидкого стекла объемом около 500 см3 доводят до температуры (20,0 +/- 0,5) °C. Выливают в мерный цилиндр с термометром. Медленно погружают в раствор выбранный из набора ареометр. Проверяют, чтобы температура жидкого стекла составляла (20,0 +/- 0,5) °C, и удаляют термометр. Когда ареометр достигнет положения равновесия, слегка нажимают на него и дожидаются его возвращения в положение равновесия. Ареометр, погруженный в жидкое стекло, не должен касаться стенок цилиндра. Поэтому диаметр цилиндра должен быть больше диаметра ареометра на 3 - 4 см.
6.11.4 Обработка результатов
Плотность жидкого стекла определяют по шкале ареометра по верхнему краю мениска жидкости.
6.12 Определение плотности пикнометром
6.12.1 Сущность метода
Метод основан на определении плотности жидкого стекла с помощью пикнометра.
6.12.2 Средства измерений, аппаратура, реактивы
Для проведения анализа применяют:
- баню водяную, обеспечивающую температуру воды до 100 °C;
- термостат;
- спирт этиловый ректификованный технический по
ГОСТ 18300;
Допускается использование другого оборудования и средств измерения с характеристиками не ниже указанных.
6.12.3 Проведение испытания
6.12.3.1 Пикнометр вместимостью 50 см3 с пробкой промывают водой, обмывают внутренние стенки спиртом или ацетоном, дают просохнуть и взвешивают с погрешностью не более 0,0002 г. Открывают пробку, заполняют пикнометр до метки по верхнему краю мениска свежепрокипяченной водой температурой (20,0 +/- 0,5) °C, помещают в водяную баню или термостат, отрегулированные на температуру (20,0 +/- 0,5) °C, выдерживают не менее 10 мин, чтобы температура достигла равновесия, и вынимают пикнометр, держа его за верхнюю часть.
6.12.3.2 Выравнивают объем воды точно до метки, закрывают пробкой, обтирают снаружи и взвешивают с погрешностью не более 0,0002 г.
6.12.3.3 Освобождают пикнометр от содержимого, ополаскивают спиртом или ацетоном, дают просохнуть и заполняют до метки по верхнему краю мениска жидким стеклом, предварительно доведенным до температуры (20,0 +/- 0,5) °C, не допуская воздушных пузырьков, особенно, когда раствор имеет высокую вязкость. Помещают пикнометр с исследуемой пробой в водяную баню или термостат, отрегулированные на температуру (20,0 +/- 0,5) °C, выдерживают не менее 10 мин, вынимают, обтирают снаружи, выравнивают объем жидкого стекла точно по метке по верхнему краю мениска, плотно закрывают пробкой и взвешивают с погрешностью не более 0,0002 г.
6.12.4 Обработка результатов
Плотность жидкого стекла

, г/см
3, вычисляют по формуле

, (14)
где m2 - масса пикнометра с жидким стеклом, г;
m1 - масса пикнометра с водой, г;
m - масса пустого пикнометра, г;

- плотность воды при температуре 20 °C, равная 0,9982 г/см
3.
Погрешность измерения не должна превышать 0,001 г/см3.
6.13 Определение массовой доли нерастворимых в воде веществ
6.13.1 Сущность метода
Метод основан на растворении жидкого стекла при нагревании и гравиметрическом определении нерастворимого остатка.
6.13.2 Аппаратура, реактивы
Для проведения анализа применяют:
- насос водоструйный;
- шкаф сушильный;
Допускается использование другого оборудования и средств измерения с характеристиками не ниже указанных.
6.13.3 Проведение анализа
6.13.3.1 Навеску жидкого стекла массой 20 г взвешивают с погрешностью не более 0,01 г в стакане вместимостью 500 см3 и растворяют при перемешивании в 300 см3 воды при нагревании. Раствор фильтруют, используя водоструйный насос, через фильтрующий тигель, предварительно высушенный до постоянной массы и взвешенный с погрешностью не более 0,0002 г.
6.13.3.2 Нерастворимый остаток на фильтре промывают 50 см3 теплой воды и сушат в сушильном шкафу при температуре от 105 °C до 110 °C до постоянной массы. Затем остаток охлаждают в эксикаторе и взвешивают с погрешностью не более 0,0002 г.
6.13.4 Обработка результатов
6.13.4.1 Массовую долю нерастворимых в воде веществ X7, %, вычисляют по формуле

, (15)
где m - масса взятой навески жидкого стекла, г;
m1 - масса тигля с остатком, г;
m2 - масса пустого тигля, г.
6.13.4.2 За результат анализа принимают среднеарифметическое двух параллельных определений, допускаемое расхождение между которыми, при доверительной вероятности P = 0,95, не должно превышать 0,05%.
7 Транспортирование и хранение
7.1 Жидкое стекло перевозят всеми видами транспорта в соответствии с правилами перевозки грузов, действующими на транспорте данного вида.
По железной дороге жидкое стекло транспортируют наливом в железнодорожных цистернах. При транспортировании жидкого стекла в бочках они должны быть установлены так, чтобы исключить возможность их самопроизвольного перемещения и качения.
7.2 Жидкое стекло необходимо хранить в плотно закрытой таре, в закрытых помещениях. При хранении бочки устанавливают только в один ярус.
7.3 При транспортировании и хранении жидкого стекла при отрицательной температуре перед применением его температуру доводят до температуры производственного помещения.
8.1 Изготовитель гарантирует соответствие жидкого стекла требованиям настоящего стандарта при соблюдении условий транспортирования и хранения.
8.2 Гарантийный срок хранения жидкого стекла - один год со дня изготовления.
По истечении гарантийного срока хранения жидкое стекло перед использованием должно быть проверено на соответствие требованиям настоящего стандарта.
(рекомендуемое)
ОБЛАСТЬ ПРИМЕНЕНИЯ ЖИДКОГО СТЕКЛА ПО МАРКАМ
Область применения жидкого стекла по маркам приведена в таблице А.1.
Таблица А.1
Марка | Рекомендуемая область применения |
А | Жидкое стекло с силикатным модулем от 2,3 до 2,6 для укрепления грунта |
Б | Жидкое стекло с силикатным модулем от 2,6 до 3,0 для укрепления грунта |
СНЖ1 | Для литейного производства и замазок |
СНЖ2 | Для катализаторов, адсорбентов, электродов |
СНЖ3 | Для синтетических моющих средств и химических производств |
СНЖ4 | Для строительства и флотации |
СНЖ5 | Для клеев, пропиток |
СНЖ6 | Для бумажного производства |
Примечание - Допускается применение силиката натрия для других целей. |
УДК 661.683:006.354 | |
Ключевые слова: стекло натриевое жидкое, диоксид кремния, методы анализа, обработка результатов |