Скачать ГОСТ Р 53390-2009 Совместимость технических средств электромагнитная. Низковольтные источники питания постоянного тока. Требования и методы испытаний

Дата актуализации: 01.01.2021

ГОСТ Р 53390-2009

Совместимость технических средств электромагнитная. Низковольтные источники питания постоянного тока. Требования и методы испытаний

Обозначение: ГОСТ Р 53390-2009
Обозначение англ: GOST R 53390-2009
Статус:отменен
Название рус.:Совместимость технических средств электромагнитная. Низковольтные источники питания постоянного тока. Требования и методы испытаний
Название англ.:Electromagnetic compatibility of technical equipment. Low-voltage power supplies, d.c. output. Requirements and test methods
Дата добавления в базу:01.09.2013
Дата актуализации:01.01.2021
Дата введения:01.01.2010
Дата окончания срока действия:01.01.2014
Область применения:Стандарт устанавливает требования электромагнитной совместимости (ЭМС) к источникам питания с выходным напряжением постоянного тока до 200 В при уровне мощности до 30 кВт, подключаемым к источникам переменного и постоянного тока напряжением до 600 В. Источники питания предназначены для применения в качестве автономных устройств или компонентов другого оборудования при обеспечении адекватной электрической и механической защиты. Для некоторых специализированных источников питания, предназначенных для применения в промышленных зонах, например, на предприятиях химической или металлургической промышленности, могут быть разработаны отдельные стандарты ЭМС, распространяющиеся на группы однородной продукции. Целью стандарта является установление для источников питания требований ЭМС и соответствующих методов испытаний. Требования стандарта включают в себя нормы электромагнитных помех, создаваемых источниками питания, которые могут нарушать работу других электронных устройств (например радиоприемников, измерительных и вычислительных устройств).
Оглавление:1 Область применения и цель
2 Нормативные ссылки
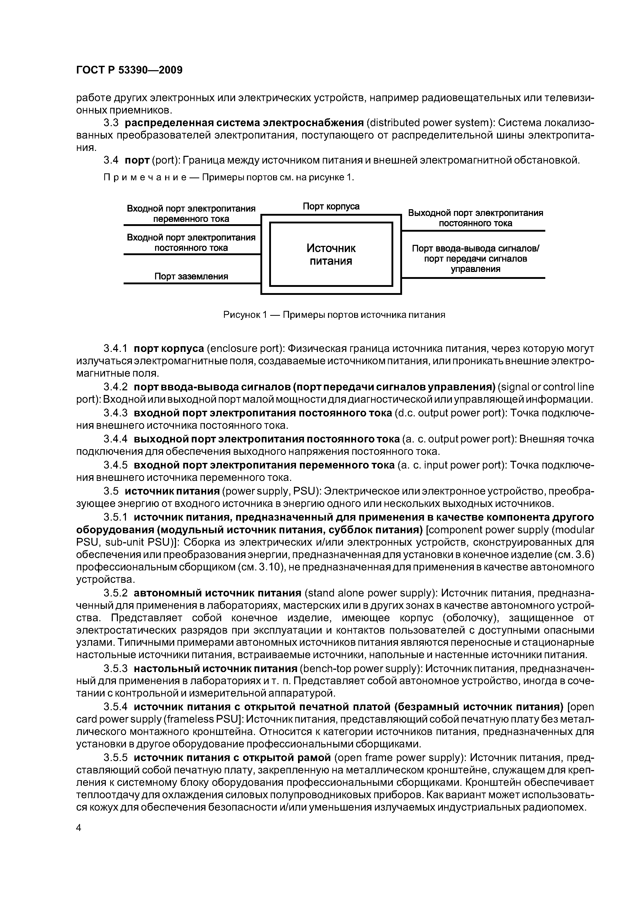
3 Термины и определения
4 Применимость требований ЭМС к различным источникам питания
5 Общие требования и условия испытаний
   5.1 Общие требования
   5.2 Условия испытаний
6 Нормы электромагнитной эмиссии
   6.1 Нормы для установленных зон применения
   6.2 Низкочастотные помехи (частота менее 9 кГц) (электропитание переменного тока)
   6.3 Кондуктивные индустриальные радиопомехи
   6.4 Излучаемые индустриальные радиопомехи
7 Требования устойчивости к электромагнитным помехам
   7.1 Критерии качества функционирования
   7.2 Основные требования помехоустойчивости, высокочастотные помехи
8 Конфигурации и комбинации источников питания
   8.1 Источники питания, представляющие собой отдельные модули
   8.2 Системы источников питания
   8.3 Установки с источниками питания
   8.4 Распределенные источники питания
   8.5 Параллельное и последовательное соединения источников питания
9 Семейство источников питания
10 Статистические аспекты
11 Аспекты безопасности
12 Протокол испытаний
Приложение А (обязательное) Руководство по классификации источников питания
Приложение В (справочное) Коммутационные провалы напряжения
Приложение С (справочное) Расчет и моделирование гармоник входного тока
Приложение D (справочное) Дополнительное обоснование требований для входных портов электропитания постоянного тока
Приложение Е (справочное) Критическая частота при измерении мощности индустриальных радиопомех
Приложение F (обязательное) Руководство по испытаниям семейств источников питания
Приложение G (справочное) Сводные данные по классификации зон применения и требований ... 25 Приложение Н (справочное) Нормы электромагнитной эмиссии
Приложение Н (справочное) Нормы электромагнитной эмиссии
Приложение I (справочное) Обоснование применения критерия качества функционирования В при воздействии непрерывных электромагнитных помех (см. 7.1)
Приложение J (справочное) Сведения о соответствии ссылочных международных стандартов национальным стандартам Российской Федерации, использованным в настоящем стандарте в качестве нормативных ссылок
Библиография
Разработан: ЗАО НИЦ САМТЭС
Утверждён:14.09.2009 Федеральное агентство по техническому регулированию и метрологии (330-ст)
Издан: Стандартинформ (2010 г. )
Заменяет собой:
Нормативные ссылки:
ГОСТ Р 53390-2009ГОСТ Р 53390-2009ГОСТ Р 53390-2009ГОСТ Р 53390-2009ГОСТ Р 53390-2009ГОСТ Р 53390-2009ГОСТ Р 53390-2009ГОСТ Р 53390-2009ГОСТ Р 53390-2009ГОСТ Р 53390-2009ГОСТ Р 53390-2009ГОСТ Р 53390-2009ГОСТ Р 53390-2009ГОСТ Р 53390-2009ГОСТ Р 53390-2009ГОСТ Р 53390-2009ГОСТ Р 53390-2009ГОСТ Р 53390-2009ГОСТ Р 53390-2009ГОСТ Р 53390-2009ГОСТ Р 53390-2009ГОСТ Р 53390-2009ГОСТ Р 53390-2009ГОСТ Р 53390-2009ГОСТ Р 53390-2009ГОСТ Р 53390-2009ГОСТ Р 53390-2009ГОСТ Р 53390-2009ГОСТ Р 53390-2009ГОСТ Р 53390-2009ГОСТ Р 53390-2009ГОСТ Р 53390-2009ГОСТ Р 53390-2009ГОСТ Р 53390-2009ГОСТ Р 53390-2009ГОСТ Р 53390-2009