Скачать СТБ 1666-2006 Мука пшеничная. Технические условия

Дата актуализации: 01.01.2021

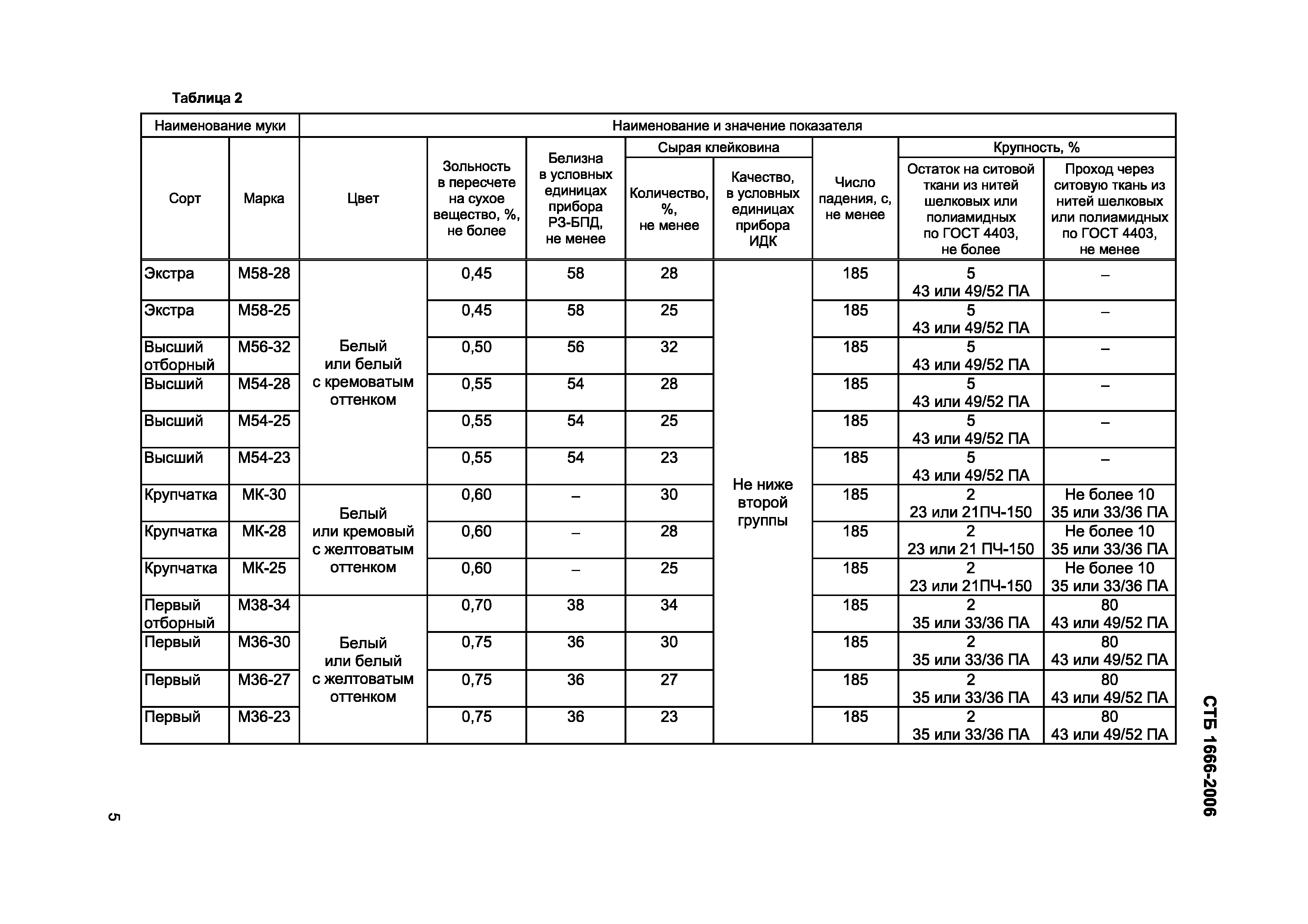
СТБ 1666-2006

Мука пшеничная. Технические условия

Обозначение: СТБ 1666-2006
Обозначение англ: 1666-2006
Статус:применяется в еаэс
Название рус.:Мука пшеничная. Технические условия
Название англ.:Wheat flour. General specifications
Дата добавления в базу:01.01.2021
Дата актуализации:01.01.2021
Дата введения:01.07.2020
Область применения:Стандарт распространяется на пшеничную муку, изготовленную из мягкой пшеницы, из мягкой пшеницы с примесью твердой пшеницы (дурум) до 20 % и предназначенную для производства хлебобулочных, мучных кондитерских, макаронных, кулинарных изделий и реализации на другие пищевые цели.
Оглавление:1 Область применения
2 Нормативные ссылки
3 Термины и определения
4 Классификация
5 Технические требования
6 Правила приемки
7 Методы контроля
8 Транспортирование и хранение
9 Гарантии изготовителя
Приложение А (справочное) Основные показатели пищевой ценности 100 г продукта
Приложение Б (обязательное) Перечень реквизитов удостоверения качества и безопасности
Библиография
Разработан: Государственное учреждение Центральная научно-исследовательская лаборатория хлебопродуктов
Утверждён:29.08.2006 Госстандарт Республики Беларусь (39)
Издан: БелГИСС (2013 г. )
Нормативные ссылки:
СТБ 1666-2006СТБ 1666-2006СТБ 1666-2006СТБ 1666-2006СТБ 1666-2006СТБ 1666-2006СТБ 1666-2006СТБ 1666-2006СТБ 1666-2006СТБ 1666-2006СТБ 1666-2006СТБ 1666-2006СТБ 1666-2006СТБ 1666-2006СТБ 1666-2006СТБ 1666-2006СТБ 1666-2006СТБ 1666-2006СТБ 1666-2006СТБ 1666-2006