Главная // Актуальные документы // Актуальные документы (обновление 2025.03.03-2025.03.29) // ПравилаСПРАВКА
Источник публикации
В данном виде документ опубликован не был.
Первоначальный текст документа опубликован в издании
М., 2020.
Информацию о публикации документов, создающих данную редакцию, см. в справке к этим документам.
Примечание к документу
Документ включен в
Перечень документов в области стандартизации, в результате применения которых на добровольной основе обеспечивается соблюдение требований Федерального
закона от 30.12.2009 N 384-ФЗ "Технический регламент о безопасности зданий и сооружений" (
Приказ Росстандарта от 02.04.2020 N 687).
Изменение N 5, утв.
Приказом Минстроя России от 17.01.2025 N 17/пр, введено в действие с даты опубликования. По информации, размещенной на официальном сайте Росстандарта https://protect.gost.ru/, изменение введено в действие с 25.02.2025.
Название документа
"СП 30.13330.2020. Свод правил. Внутренний водопровод и канализация зданий. СНиП 2.04.01-85*"
(утв. и введен в действие Приказом Минстроя России от 30.12.2020 N 920/пр)
(ред. от 17.01.2025)
"СП 30.13330.2020. Свод правил. Внутренний водопровод и канализация зданий. СНиП 2.04.01-85*"
(утв. и введен в действие Приказом Минстроя России от 30.12.2020 N 920/пр)
(ред. от 17.01.2025)
Утвержден и введен в действие
и жилищно-коммунального хозяйства
Российской Федерации
от 30 декабря 2020 г. N 920/пр
СВОД ПРАВИЛ
ВНУТРЕННИЙ ВОДОПРОВОД И КАНАЛИЗАЦИЯ ЗДАНИЙ
СНиП 2.04.01-85*
Internal water supply and sewerage of buildings
СП 30.13330.2020
| | Список изменяющих документов Минстроя России от 30.05.2022 N 430/пр, Минстроя России от 31.05.2022 N 434/пр, Минстроя России от 18.12.2023 N 935/пр, Минстроя России от 19.09.2024 N 630/пр, Минстроя России от 17.01.2025 N 17/пр) | |
| | Распоряжением Правительства РФ от 06.04.2021 N 887-р дата введения в действие данного документа установлена с 08.04.2021. | |
Дата введения
1 июля 2021 года
Сведения о своде правил
1 ИСПОЛНИТЕЛИ - НИИСФ РААСН, НП АВОК, ФГБОУ СПб ГАСУ, ООО "Спец Строй Проект", ООО "ХЛ-РУС", ПКП НПО "Мосспецавтоматика", ООО ППФ "АК"
2 ВНЕСЕН Техническим комитетом по стандартизации ТК 465 "Строительство"
3 ПОДГОТОВЛЕН к утверждению Департаментом градостроительной деятельности и архитектуры Министерства строительства и жилищно-коммунального хозяйства Российской Федерации (Минстрой России)
4 УТВЕРЖДЕН
приказом Министерства строительства и жилищно-коммунального хозяйства Российской Федерации от 30 декабря 2020 г. N 920/пр и введен в действие с 1 июля 2021 г.
5 ЗАРЕГИСТРИРОВАН Федеральным агентством по техническому регулированию и метрологии (Росстандарт). Пересмотр
СП 30.13330.2016 "СНиП 2.04.01-85* Внутренний водопровод и канализация зданий"
В случае пересмотра (замены) или отмены настоящего свода правил соответствующее уведомление будет опубликовано в установленном порядке. Соответствующая информация, уведомление и тексты размещаются также в информационной системе общего пользования - на официальном сайте разработчика (Минстрой России) в сети Интернет
Настоящий свод правил разработан в целях обеспечения требований Федерального закона от 30 декабря 2009 г.
N 384-ФЗ "Технический регламент о безопасности зданий и сооружений"
[5] с учетом требований федеральных законов от 27 декабря 2002 г.
N 184-ФЗ "О техническом регулировании"
[2], от 22 июля 2008 г.
N 123-ФЗ "Технический регламент о требованиях пожарной безопасности"
[3], от 23 ноября 2009 г.
N 261-ФЗ "Об энергосбережении и повышении энергетической эффективности и о внесении изменений в отдельные законодательные акты Российской Федерации"
[4], от 7 декабря 2011 г.
N 416-ФЗ "О водоснабжении и водоотведении"
[6].
Пересмотр
СП 30.13330.2016 "СНиП 2.04.01-85* Внутренний водопровод и канализация зданий" выполнен авторским коллективом: НИИСФ РААСН (канд. техн. наук
Д.Б. Фрог), НП АВОК
(А.Н. Колубков), ФГБОУ СПб ГАСУ (канд. техн. наук
А.В. Подпорин), ООО "Спец Строй Проект" (канд. техн. наук
А.А. Шипилов,
М.М. Глебов), ООО "ХЛ-РУС" (
С.М. Якушин), ПКП НПО "Мосспецавтоматика" (канд. техн. наук, проф.
Е.Е. Кирюханцев), ООО ППФ "АК"
(Л.Г. Народицкая,
С.Г. Никитин).
Изменение N 3 выполнено авторским коллективом НИИСФ РААСН (канд. техн. наук Д.Б. Фрог), НП АВОК (А.Н. Колубков), ООО "ХЛ-РУС" (С.М. Якушин), ПКП НПО "Мосспецавтоматика" (канд. техн. наук Е.Е. Кирюханцев), ООО ППФ "АК" (Л.Г. Народицкая, С.Г. Никитин, И.Б. Анашкин).
(абзац введен
Изменением N 3, утв. Приказом Минстроя России от 18.12.2023 N 935/пр)
1.1 Настоящий свод правил устанавливает требования к внутреннему водопроводу и канализации вновь строящихся и реконструируемых производственных, общественных высотой не более 50 м и жилых зданий высотой не более 75 м, включая многофункциональные здания и здания одного функционального назначения.
(в ред.
Изменения N 3, утв. Приказом Минстроя России от 18.12.2023 N 935/пр)
1.2 Настоящий свод правил не распространяется:
- на системы внутреннего водопровода и канализации, системы противопожарного водоснабжения защитных сооружений гражданской обороны; сооружений, предназначенных для работ с радиоактивными веществами, источниками ионизирующих излучений и помещений, в которых производятся, хранятся или применяются взрывчатые вещества;
- на здания и помещения сельскохозяйственного и производственного назначения, в которых требования к системам внутреннего водопровода и канализации задаются технологическими требованиями, а также на здания и сооружения, отнесенные к особо опасным объектам;
- внутридомовые вакуумные системы удаления отходов;
(в ред.
Изменения N 3, утв. Приказом Минстроя России от 18.12.2023 N 935/пр)
- установки обработки горячей воды;
- системы горячего водоснабжения для технологических нужд промышленных предприятий;
- системы специального производственного водоснабжения (деионизированной воды, глубокого охлаждения и др.);
- внутридомовые системы кондиционирования воды.
В настоящем своде правил использованы нормативные ссылки на следующие документы:
ГОСТ 9.005-72 Единая система защиты от коррозии и старения. Металлы, сплавы, металлические и неметаллические неорганические покрытия. Допустимые и недопустимые контакты с металлами и неметаллами
(ссылка введена
Изменением N 3, утв. Приказом Минстроя России от 18.12.2023 N 935/пр)
ГОСТ 12.1.003-2014 Система стандартов безопасности труда. Шум. Общие требования безопасности
ГОСТ 17.1.2.03-90 Охрана природы. Гидросфера. Критерии и показатели качества воды для орошения
ГОСТ Р 70628.2-2023 (ИСО 4427-2:2019) Трубопроводы из пластмасс для водоснабжения, дренажа и напорной канализации. Полиэтилен (ПЭ). Часть 2. Трубы
(в ред.
Изменения N 4, утв. Приказом Минстроя России от 19.09.2024 N 630/пр)
Ссылка исключена с 19.01.2024. -
Изменение N 3, утв. Приказом Минстроя России от 18.12.2023 N 935/пр
ГОСТ 21.601-2011 Система проектной документации для строительства. Правила выполнения рабочей документации внутренних систем водоснабжения и канализации
ГОСТ 27751-2014 Надежность строительных конструкций и оснований. Основные положения
ГОСТ Р 50193.1-92 (ИСО 4064/1-77) Измерение расхода воды в закрытых каналах. Счетчики холодной питьевой воды. Технические требования
ГОСТ Р 51232-98 Вода питьевая. Общие требования к организации и методам контроля качества
ГОСТ Р 51571-2000 Компенсаторы и уплотнения сильфонные металлические. Общие технические требования
ГОСТ Р 55023-2012 Арматура трубопроводная. Регуляторы давления квартирные. Общие технические условия
(ссылка введена
Изменением N 3, утв. Приказом Минстроя России от 18.12.2023 N 935/пр)
(ссылка введена
Изменением N 3, утв. Приказом Минстроя России от 18.12.2023 N 935/пр)
Ссылка исключена с 19.01.2024. -
Изменение N 3, утв. Приказом Минстроя России от 18.12.2023 N 935/пр
СП 8.13130.2020 "Системы противопожарной защиты. Наружное противопожарное водоснабжение. Требования пожарной безопасности" (с изменением N 1)
(в ред.
Изменения N 4, утв. Приказом Минстроя России от 19.09.2024 N 630/пр)
СП 10.13130.2020 Системы противопожарной защиты. Внутренний противопожарный водопровод. Нормы и правила проектирования
(ссылка введена
Изменением N 4, утв. Приказом Минстроя России от 19.09.2024 N 630/пр)
СП 21.13330.2012 "СНиП 2.01.09-91 Здания и сооружения на подрабатываемых территориях и просадочных грунтах" (с изменением N 1)
(ссылка введена
Изменением N 4, утв. Приказом Минстроя России от 19.09.2024 N 630/пр)
(в ред.
Изменения N 2, утв. Приказом Минстроя России от 31.05.2022 N 434/пр)
СП 32.13330.2018 "СНиП 2.04.03-85 Канализация. Наружные сети и сооружения" (с изменениями N 1, N 2, N 3)
(в ред.
Изменения N 4, утв. Приказом Минстроя России от 19.09.2024 N 630/пр)
СП 42.13330.2016 "СНиП 2.07.01-89* Градостроительство. Планировка и застройка городских и сельских поселений" (с изменениями N 1, N 2, N 3, N 4)
(в ред.
Изменения N 3, утв. Приказом Минстроя России от 18.12.2023 N 935/пр)
(в ред.
Изменения N 2, утв. Приказом Минстроя России от 31.05.2022 N 434/пр)
СП 51.13330.2011 "СНиП 23-03-2003 Защита от шума" (с изменениями N 1, N 2, N 3, N 4)
(в ред.
Изменения N 4, утв. Приказом Минстроя России от 19.09.2024 N 630/пр)
СП 54.13330.2022 "СНиП 31-01-2003 Здания жилые многоквартирные" (с изменением N 1)
(в ред.
Изменения N 5, утв. Приказом Минстроя России от 17.01.2025 N 17/пр)
СП 59.13330.2020 "СНиП 35-01-2001 Доступность зданий и сооружений для маломобильных групп населения" (с изменениями N 1, N 2, N 3)
(в ред.
Изменения N 5, утв. Приказом Минстроя России от 17.01.2025 N 17/пр)
СП 61.13330.2012 "СНиП 41-03-2003 Тепловая изоляция оборудования и трубопроводов" (с изменениями N 1, N 2)
(в ред.
Изменения N 4, утв. Приказом Минстроя России от 19.09.2024 N 630/пр)
СП 66.13330.2011 Проектирование и строительство напорных сетей водоснабжения и водоотведения с применением высокопрочных труб из чугуна с шаровидным графитом (с изменениями N 1, N 2)
СП 73.13330.2016 "СНиП 3.05.01-85 Внутренние санитарно-технические системы зданий" (с изменениями N 1, N 2)
(в ред.
Изменения N 4, утв. Приказом Минстроя России от 19.09.2024 N 630/пр)
СП 118.13330.2022 "СНиП 31-06-2009 Общественные здания и сооружения" (с изменениями N 1, N 2, N 3, N 4)
(в ред.
Изменения N 5, утв. Приказом Минстроя России от 17.01.2025 N 17/пр)
Ссылка исключена с 19.01.2024. -
Изменение N 3, утв. Приказом Минстроя России от 18.12.2023 N 935/пр
СП 131.13330.2020 "СНиП 23-01-99* Строительная климатология" (с изменениями N 1, N 2)
(в ред.
Изменения N 2, утв. Приказом Минстроя России от 31.05.2022 N 434/пр,
Изменения N 3, утв. Приказом Минстроя России от 18.12.2023 N 935/пр)
СП 136.13330.2012 Здания и сооружения. Общие положения проектирования с учетом доступности для маломобильных групп населения (с изменениями N 1, N 2)
(в ред.
Изменения N 3, утв. Приказом Минстроя России от 18.12.2023 N 935/пр)
СП 137.13330.2012 Жилая среда с планировочными элементами, доступными инвалидам. Правила проектирования (с изменениями N 1, N 2)
(в ред.
Изменения N 4, утв. Приказом Минстроя России от 19.09.2024 N 630/пр)
СП 148.13330.2012 Помещения в учреждениях социального и медицинского обслуживания. Правила проектирования (с изменением N 1)
СП 158.13330.2014 Здания и помещения медицинских организаций. Правила проектирования (с изменениями N 1, N 2, N 3, N 4)
(в ред.
Изменения N 4, утв. Приказом Минстроя России от 19.09.2024 N 630/пр)
СП 252.1325800.2016 Здания дошкольных образовательных организаций. Правила проектирования (с изменениями N 1, N 2)
(в ред.
Изменения N 3, утв. Приказом Минстроя России от 18.12.2023 N 935/пр)
(в ред.
Изменения N 5, утв. Приказом Минстроя России от 17.01.2025 N 17/пр)
(в ред.
Изменения N 4, утв. Приказом Минстроя России от 19.09.2024 N 630/пр)
СП 484.1311500.2020 Системы противопожарной защиты. Системы пожарной сигнализации и автоматизация систем противопожарной защиты. Нормы и правила проектирования
(ссылка введена
Изменением N 3, утв. Приказом Минстроя России от 18.12.2023 N 935/пр)
СП 486.1311500.2020 Системы противопожарной защиты. Перечень зданий, сооружений, помещений и оборудования, подлежащих защите автоматическими установками пожаротушения и системами пожарной сигнализации. Требования пожарной безопасности
(ссылка введена
Изменением N 3, утв. Приказом Минстроя России от 18.12.2023 N 935/пр)
Ссылка исключена с 19.01.2024. -
Изменение N 3, утв. Приказом Минстроя России от 18.12.2023 N 935/пр
Ссылка исключена с 19.01.2024. -
Изменение N 3, утв. Приказом Минстроя России от 18.12.2023 N 935/пр
Ссылка исключена с 31.05.2022. -
Изменение N 2, утв. Приказом Минстроя России от 31.05.2022 N 434/пр.
Ссылка исключена с 31.05.2022. -
Изменение N 2, утв. Приказом Минстроя России от 31.05.2022 N 434/пр.
Ссылка исключена с 31.05.2022. -
Изменение N 2, утв. Приказом Минстроя России от 31.05.2022 N 434/пр.
Ссылка исключена с 31.05.2022. -
Изменение N 2, утв. Приказом Минстроя России от 31.05.2022 N 434/пр.
Ссылка исключена с 31.05.2022. -
Изменение N 2, утв. Приказом Минстроя России от 31.05.2022 N 434/пр.
Ссылка исключена с 31.05.2022. -
Изменение N 2, утв. Приказом Минстроя России от 31.05.2022 N 434/пр.
Ссылка исключена с 31.05.2022. -
Изменение N 2, утв. Приказом Минстроя России от 31.05.2022 N 434/пр.
Ссылка исключена с 31.05.2022. -
Изменение N 2, утв. Приказом Минстроя России от 31.05.2022 N 434/пр.
Ссылка исключена с 31.05.2022. -
Изменение N 2, утв. Приказом Минстроя России от 31.05.2022 N 434/пр.
Примечание - При пользовании настоящим сводом правил целесообразно проверить действие ссылочных документов в информационной системе общего пользования - на официальном сайте федерального органа исполнительной власти в сфере стандартизации в сети Интернет или по ежегодному информационному указателю "Национальные стандарты", который опубликован по состоянию на 1 января текущего года, и по выпускам ежемесячного информационного указателя "Национальные стандарты" за текущий год. Если заменен ссылочный документ, на который дана недатированная ссылка, то рекомендуется использовать действующую версию этого документа с учетом всех внесенных в данную версию изменений. Если заменен ссылочный документ, на который дана датированная ссылка, то рекомендуется использовать версию этого документа с указанным выше годом утверждения (принятия). Если после утверждения настоящего свода правил в ссылочный документ, на который дана датированная ссылка, внесено изменение, затрагивающее положение, на которое дана ссылка, то это положение рекомендуется применять без учета данного изменения. Если ссылочный документ отменен без замены, то положение, в котором дана ссылка на него, рекомендуется применять в части, не затрагивающей эту ссылку. Сведения о действии сводов правил целесообразно проверить в Федеральном информационном фонде стандартов.
3 Термины, определения, обозначения и единицы измерения
3.1 Термины и определения
(подраздел 3.1 в ред.
Изменения N 3, утв. Приказом Минстроя России от 18.12.2023 N 935/пр)
В настоящем своде правил применены термины и определения по
ГОСТ 17.1.2.03,
ГОСТ 25150,
ГОСТ 25151,
ГОСТ Р 70214,
[5],
[6],
[8] -
[11],
[13] -
[15],
СП 31.13330,
СП 32.13330,
СП 118.13330,
СП 486.1311500, а также следующие термины с соответствующими определениями:
3.1.1 атмосферные сточные воды: Обеззараженные атмосферные осадки в виде дождевых и талых вод, собранные в резервуар технической воды системой водостока здания.
3.1.2 бытовая техническая вода: Атмосферные и серые сточные воды, прошедшие соответствующую очистку, допускающую их повторное использование на нужды водоснабжения систем и оборудования, в которых исключены питьевое применение и контакт с кожными покровами человека.
3.1.3 внутренняя система водопровода (внутренний водопровод): Система трубопроводов и устройств, обеспечивающая присоединение к наружным сетям, подачу воды к санитарно-техническим приборам, технологическому оборудованию и пожарным кранам в границах внешнего контура стен одного здания или группы зданий и сооружений и имеющая общее водоизмерительное устройство от наружных сетей водопровода поселения, городского округа или предприятия.
3.1.4 внутренняя система водоотведения (внутренняя канализация): Система трубопроводов и устройств в границах внешнего контура стен одного здания или группы зданий и сооружений, ограниченная выпусками до первого смотрового колодца, обеспечивающая отведение сточных, дождевых и талых вод в сеть водоотведения соответствующего назначения поселения или городского округа, или предприятия.
Примечание - Водосточные системы и элементы противопожарных систем могут располагаться за пределами внешнего контура стен.
3.1.5
водоотведение: Прием, транспортировка и очистка сточных вод с использованием централизованной системы водоотведения. |
3.1.6
водоснабжение: Водоподготовка, транспортировка и подача питьевой или технической воды абонентам с использованием централизованных или нецентрализованных систем холодного водоснабжения (холодное водоснабжение) или приготовление, транспортировка и подача горячей воды абонентам с использованием централизованных или нецентрализованных систем горячего водоснабжения (горячее водоснабжение). |
3.1.7 воздушный (вакуумный) клапан: Устройство, пропускающее воздух в одном направлении - вслед за движущейся в трубопроводе жидкостью и не пропускающее воздух в обратном направлении, предназначенное для увеличения пропускной способности невентилируемого канализационного стояка или предотвращения срыва гидрозатвора у санитарного прибора или приборов.
3.1.8 выпуск (канализационный): Участок отводного (горизонтального) трубопровода от раструба с внутренней стороны стены здания до первого приемного колодца.
3.1.9 гарантированный напор: Давление воды в точке подключения к коммунальным сетям водопровода, обеспечиваемое организацией водопроводно-канализационного хозяйства в период максимального водоразбора.
3.1.10
граница балансовой принадлежности: Линия раздела объектов централизованных систем холодного водоснабжения и (или) водоотведения, в том числе водопроводных и (или) канализационных сетей, между владельцами по признаку собственности или владения на ином законном основании. |
3.1.11 гидрозатвор: Запахозапирающее устройство гидравлического действия.
3.1.12
индивидуальный тепловой пункт; ИТП: Комплекс устройств для присоединения теплопотребляющей установки к тепловой сети, преобразования параметров теплоносителя и распределения его по видам тепловой нагрузки для одного здания, строения или сооружения. |
3.1.13 канализационный вентилируемый стояк: Стояк, имеющий вытяжную часть и через нее сообщение с атмосферой, способствующее воздухообмену в трубопроводах внутренней и наружной сети канализации.
3.1.14 канализационный невентилируемый стояк: Стояк, не имеющий сообщения с атмосферой.
Примечание - К невентилируемым стоякам относятся: стояк или группа стояков, объединенных поверху сборным трубопроводом, не имеющие вытяжной части или оборудованные воздушным (вакуумным) клапаном.
3.1.15 лимит водопотребления (водоотведения): Установленный абоненту предельный объем отпущенной (полученной) питьевой воды и принимаемых (сбрасываемых) сточных вод на определенный период времени.
3.1.16 напор: Давление воды при определенном расходе в сети водопровода, м вод. ст.
Примечание - Метр (миллиметр) водяного столба - внесистемная единица давления, применяемая в ряде отраслей техники и гидравлике. 9,807 килопаскалей (кПа) соответствуют гидростатическому давлению водяного столба высотой 1 м при наибольшей плотности воды при температуре 4 °C. Сокращение: "м вод. ст." и "мм вод. ст.".
3.1.17 номинальное (условное) давление PN: Наибольшее избыточное давление при температуре среды 293 К (20 °C), при котором допустима длительная работа труб, арматуры и деталей трубопровода, имеющих заданные размеры, обоснованные расчетом на прочность при выбранных материалах и характеристиках их прочности, соответствующих температуре 293 К (20 °C).
3.1.18
питьевая вода: Вода, за исключением бутилированной питьевой воды, предназначенная для питья, приготовления пищи и других хозяйственно-бытовых нужд населения, а также для производства пищевой продукции. |
3.1.19 пропускная способность: Максимальный объемный или весовой расход жидкости через поперечное сечение трубопровода или санитарно-технической арматуры в единицу времени.
3.1.20 рабочее давление: Наибольшее избыточное давление, при котором обеспечивается заданный режим эксплуатации труб, арматуры и деталей трубопровода.
3.1.21 расчетный расход воды: Обоснованное исследованиями и практикой эксплуатации значение расхода водопотребления с учетом основных влияющих факторов (числа потребителей, числа приборов, заселенности квартир жилых зданий, объема выпуска продукции и др.).
3.1.22 расчетный расход сточных вод: Обоснованное исследованиями и практикой эксплуатации значение расхода, прогнозируемого для объекта канализования в целом или его части с учетом влияющих факторов (числа потребителей, числа и характеристик санитарно-технических приборов, оборудования, емкости отводных трубопроводов и др.).
3.1.23 сборный отводной (горизонтальный) трубопровод: Трубопровод, предназначенный для транспортирования загрязненных стоков от стояка (стояков) из здания до первого приемного колодца.
3.1.24 серые сточные воды: Хозяйственно-бытовые сточные воды, поступающие от санитарно-технического и кухонного оборудования, не являющегося источником поступления фекальных включений.
3.1.25 сифон: Техническое устройство, позволяющее подключить санитарный прибор или приемник сточных вод (производственных стоков) к системе канализации, в конструкции которого может быть использован гидрозатвор или иной принцип защиты от канализационных газов, например: "сухой" сифон и т.п.
3.1.26 сифонно-вакуумная канализация: Кровельная водосточная система, использующая энергию столба жидкости в стояках.
3.1.27 срок службы оборудования, арматуры, материалов: Календарная продолжительность эксплуатации от ее начала или возобновления после ремонта до наступления состояния, при котором дальнейшая эксплуатация недопустима или нецелесообразна.
3.1.28 стояк серых сточных вод: Канализационный стояк, предназначенный для транспортирования серых сточных вод.
3.1.29 тепловая изоляция (трубопроводов): Теплоизоляционные материалы и конструкции для сокращения тепловых потерь трубопроводами или предотвращения образования конденсата на их поверхности.
3.1.30
техническая вода: Вода, подаваемая с использованием централизованной или нецентрализованной системы водоснабжения, не предназначенная для питья, приготовления пищи и других хозяйственно-бытовых нужд населения или для производства пищевой продукции. |
3.2 Обозначения и единицы измерения
В настоящем своде правил применены следующие обозначения и единицы измерения:
| - общий расход воды, л/с, санитарно-техническим прибором (арматурой), принимаемый согласно 5.2; |
| - расход горячей воды, л/с, санитарно-техническим прибором (арматурой), принимаемый согласно 5.2; |
| - расход холодной воды, л/с, санитарно-техническим прибором (арматурой), принимаемый согласно 5.2; |
| - расход стоков от санитарно-технического прибора, л/с, принимаемый согласно таблице А.1; |
qtot | - общий максимальный расчетный расход воды, л/с, принимаемый согласно 5.3; |
qh | - максимальный расчетный расход горячей воды, л/с, принимаемый согласно 5.3; |
qc | - максимальный расчетный расход холодной воды, л/с, принимаемый согласно 5.3; |
qs | - максимальный расчетный расход сточных вод для стояков, л/с, принимаемый согласно 5.5; |
qsL | - максимальный расчетный расход сточных вод для горизонтальных отводящих трубопроводов, л/с, принимаемый согласно 5.7; |
| - общий расход воды, л/ч, санитарно-техническим прибором, принимаемый согласно 5.8; |
| - расход горячей воды, л/ч, санитарно-техническим прибором, принимаемый согласно 5.8; |
| - расход холодной воды, л/ч, санитарно-техническим прибором, принимаемый согласно 5.8; |
| - общий расчетный расход воды, л, потребителем в час наибольшего водопотребления, принимаемый по таблице А.2; |
| - расчетный расход горячей воды, л, потребителем в час наибольшего водопотребления, принимаемый по таблице А.2; |
| - расчетный расход холодной воды, л, потребителем в час наибольшего потребления, принимаемый по таблице А.2; |
| - общий максимальный часовой расход воды, м 3, принимаемый согласно 5.10; |
| - максимальный часовой расход горячей воды, м 3, принимаемый согласно 5.10; |
| - максимальный часовой расход холодной воды, м 3, принимаемый согласно 5.10; |
| - средний за период водопотребления общий удельный часовой расход воды, отнесенный к одному прибору, л; |
| - средний за период водопотребления удельный часовой расход горячей воды, отнесенный к одному прибору, л; |
| - средний за период водопотребления удельный часовой расход холодной воды, отнесенный к одному прибору, л; |
| - общий средний часовой расход воды, м 3, принимаемый согласно 5.11; |
| - средний часовой расход горячей воды, м 3, принимаемый согласно 5.11; |
| - средний часовой расход холодной воды, м 3, принимаемый согласно 5.11; |
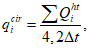
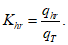
qcir | - расчетный циркуляционный расход горячей воды в системе, л/с; |
qh,cir | - расчетный расход горячей воды с учетом циркуляционного, л/с; |
| - общий расчетный расход воды потребителем в средние сутки, л, принимаемый по таблице А.2; |
исключено с 30.05.2022. - Изменение N 1, утв. Приказом Минстроя России от 30.05.2022 N 430/пр; |
| - расчетный расход холодной воды потребителем в средние сутки, л, принимаемый по таблице А.2; |
| - общий расход воды потребителем в сутки (смену) наибольшего водопотребления, л, принимаемый по таблице А.2; |
исключено с 30.05.2022. - Изменение N 1, утв. Приказом Минстроя России от 30.05.2022 N 430/пр; |
исключено с 30.05.2022. - Изменение N 1, утв. Приказом Минстроя России от 30.05.2022 N 430/пр; |
Q | - расчетный расход дождевых вод, л/с; |
qsp | - расход воды, подаваемой насосами, л/с (м3/ч); |
| - часовой расход воды, м3, подаваемой насосом; |
U | - число водопотребителей; |
N | - число санитарно-технических приборов; |
P | - вероятность действия санитарно-технических приборов согласно 5.4; |
Phr | - вероятность использования санитарно-технических приборов (возможность подачи прибором нормированного часового расхода воды) в течение расчетного часа в зданиях или сооружениях с одинаковыми водопотребителями согласно 5.9; |
i | - удельные потери напора по длине на трение при расчетном расходе, определяемые по таблицам для гидравлического расчета трубопроводов систем холодного и горячего водоснабжения; |
T | - расчетное время водопотребления воды (сутки, смена), ч; |
Hp | - напор, давление, м вод. ст., развиваемый насосной установкой; |
Hgeom | - геометрическая высота подачи воды, м, от оси насоса до диктующего санитарно-технического прибора; |
Hl | - потери напора, давления, м вод. ст., на расчетном участке трубопровода; |
Hl,tot | - сумма потерь напора на расчетном участке трубопровода; |
Hg | - наименьший гарантированный напор, давление, м вод. ст., в наружной водопроводной сети; |
исключено. - Изменение N 4, утв. Приказом Минстроя России от 19.09.2024 N 630/пр; |
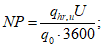
| - расход тепловой энергии, кВт, на приготовление горячей воды в течение часа максимального водопотребления; |
(в ред. Изменения N 3, утв. Приказом Минстроя России от 18.12.2023 N 935/пр) |
| - расход тепловой энергии, кВт, на приготовление горячей воды в течение среднего часа водопотребления; |
(в ред. Изменения N 3, утв. Приказом Минстроя России от 18.12.2023 N 935/пр) |
Qht | - потери тепловой энергии трубопроводами на расчетном участке, кВт; |
(в ред. Изменения N 3, утв. Приказом Минстроя России от 18.12.2023 N 935/пр) |
v | - скорость движения жидкости в трубопроводе, м/с; |
| - наполнение трубопровода; |
tc | - температура холодной воды, °C, в сети водопровода; при отсутствии данных ее следует принимать равной 5 °C; |
th | - температура горячей воды, °C, в местах водоразбора или на границе балансовой принадлежности (для предварительных расчетов допускается принимать 65 °C); |
kl | - коэффициент, учитывающий потери напора в местных сопротивлениях; |
n | - число включений насоса в 1 ч. |
4.1 Настоящий свод правил устанавливает требования к внутренним системам водопровода и канализации зданий для обеспечения комплексной безопасности согласно
[1],
[3],
[5], для обеспечения необходимого уровня сохранности зданий при различных природных явлениях и техногенных воздействиях, защиты жизни и здоровья человека при неблагоприятных воздействиях внешней среды (в том числе необходимых безопасных условий для проживания и пользования системами в зданиях и сооружениях в процессе эксплуатации), снижения экологического ущерба и эффективного использования энергоресурсов.
(в ред.
Изменения N 3, утв. Приказом Минстроя России от 18.12.2023 N 935/пр)
Для общественных зданий высотой более 50 м и жилых зданий высотой более 75 м требования настоящего свода правил применяются совместно с положениями
СП 253.1325800 в области проектирования инженерных систем высотных зданий.
4.2 Во всех типах зданий, возводимых в канализованных районах, следует предусматривать внутренние системы водоснабжения и водоотведения.
Районы поселений или городских округов, в пределах которых отсутствуют абоненты, подключенные к централизованным сетям водоотведения, транспортирующим сточные воды к очистным сооружениям, относятся к неканализованным.
Лимиты водопотребления и нормативы водоотведения и сброса загрязняющих веществ, контроль состава и свойств сточных вод определяются в соответствии с положениями
[8].
При составлении балансов водоснабжения и водоотведения для получения условий подключения (технологического присоединения) следует использовать среднесуточные расходы воды по потребителям в соответствии с
таблицей А.2 с добавлением сведений согласно
[9].
(абзац введен
Изменением N 3, утв. Приказом Минстроя России от 18.12.2023 N 935/пр)
Трубопроводы наружных сетей водопровода (в том числе наружного пожаротушения) и водоотведения, прокладываемые вне здания, должны соответствовать требованиям
СП 31.13330,
СП 32.13330 и
СП 8.13130.
4.3 В неканализованных районах поселений и городских округов внутренние системы водоснабжения с устройством индивидуальных и (или) коллективных систем доочистки питьевой воды и системы водоотведения, с устройством местных (локальных) очистных сооружений следует предусматривать в жилых зданиях, гостиницах, домах-интернатах, больницах, родильных домах, поликлиниках, амбулаториях, диспансерах, санэпидстанциях, санаториях, домах отдыха, пансионатах, физкультурно-оздоровительных организациях, дошкольных образовательных организациях, общеобразовательных организациях (в том числе с интернатами), образовательных организациях профессионального и высшего образования, кинотеатрах, клубных и досугово-развлекательных учреждениях, предприятиях общественного питания, спортивных сооружениях, банях и прачечных.
Примечание - Вне зданий допускается устройство накопительных емкостей, выгребов для сбора сточных вод перечисленных в
4.3 объектов, если вывоз жидких бытовых отходов предусмотрен на очистные сооружения поселения с учетом
СП 32.13330.
(примечание введено
Изменением N 3, утв. Приказом Минстроя России от 18.12.2023 N 935/пр)
4.4 В неканализованных районах поселений и городских округов при соблюдении положений
[17] допускается оборудовать люфт-клозетами, туалетными кабинами
[20] и уборными (для зданий, расположенных в климатических районах строительства I - III по
СП 131.13330)
[20] или биотуалетами одноквартирные жилые дома высотой 1 - 2 этажа.
(в ред.
Изменения N 2, утв. Приказом Минстроя России от 31.05.2022 N 434/пр,
Изменения N 3, утв. Приказом Минстроя России от 18.12.2023 N 935/пр)
Водоснабжение абонентов неканализованных районов осуществляется при наличии технической возможности через абонентские водомерные камеры (узлы учета) с подключением уличных водоразборных кранов без ввода водопровода в здания. Способы утилизации содержимого люфт-клозетов, туалетных кабин, уборных и биотуалетов, а также расположение и конструкция абонентских водомерных камер определяются проектной документацией и
[9],
[10].
(в ред.
Изменения N 3, утв. Приказом Минстроя России от 18.12.2023 N 935/пр)
4.5 Трубы, арматура, оборудование и материалы, санитарно-технические приборы, применяемые при устройстве внутренних систем водоснабжения и водоотведения зданий, должны соответствовать требованиям
[1],
[2],
[4],
[5],
[11],
[18] и настоящего свода правил.
(в ред.
Изменения N 2, утв. Приказом Минстроя России от 31.05.2022 N 434/пр,
Изменения N 3, утв. Приказом Минстроя России от 18.12.2023 N 935/пр)
Использование восстановленных и бывших в употреблении материалов, изделий и труб не допускается.
4.6 Трубы, арматура, оборудование и материалы, устройства и технические средства водоподготовки, предназначенные для использования в системах хозяйственно-питьевого водоснабжения, должны соответствовать
[14].
4.7 Качество холодной и горячей воды (санитарно-эпидемиологические показатели), подаваемой на хозяйственно-питьевые нужды, должно соответствовать требованиям
[17],
[18].
(в ред.
Изменения N 2, утв. Приказом Минстроя России от 31.05.2022 N 434/пр,
Изменения N 3, утв. Приказом Минстроя России от 18.12.2023 N 935/пр)
Организацию и методы контроля качества питьевой воды устанавливают согласно
ГОСТ Р 51232.
Температура горячей воды в местах водоразбора независимо от применяемой системы теплоснабжения должна быть не ниже 60 °C и не выше 75 °C.
4.8 В дошкольных образовательных организациях, в общеобразовательных организациях (для учащихся младших классов), комнатах матери и ребенка на вокзалах, в аэропортах и иных общественных зданиях, детских лечебно-профилактических учреждениях, в которых санитарно-техническое оборудование проектируется с учетом использования детьми дошкольного и младшего школьного возраста, температура горячей воды, подаваемой к водоразборной арматуре душей и умывальников, не должна превышать 37 °C.
4.9 Для предприятий общественного питания и для других водопотребителей, которым для технологических нужд требуется горячая вода с температурой выше указанной в
4.7, следует предусматривать местные водонагреватели.
Качество воды, подаваемой на производственные нужды, определяется технологическим заданием.
4.10 По заданию на проектирование допускается устройство в общественных зданиях, а при наличии дополнительно технико-экономического обоснования - и в жилых зданиях систем технического водоснабжения с учетом требований
[17],
[18]. При этом следует выполнять соответствующую маркировку стояков и трубопроводов атмосферных и серых сточных вод. При использовании серых сточных вод следует проектировать раздельные системы водоснабжения и водоотведения.
(п. 4.10 введен
Изменением N 3, утв. Приказом Минстроя России от 18.12.2023 N 935/пр)
5 Определение расчетных расходов воды, стоков и тепловой энергии на приготовление горячей воды
(в ред.
Изменения N 3, утв. Приказом Минстроя России от 18.12.2023 N 935/пр)
5.1 Системы водоснабжения и водоотведения зданий должны обеспечивать пропуск воды и отведение стоков с расходами, соответствующими расчетному числу водопотребителей или числу установленных санитарно-технических приборов.
При проектировании системы горячего водоснабжения, присоединяемой к закрытой системе теплоснабжения, расчетную температуру горячей воды на выходе из ИТП здания следует принимать равной 65 °C.
5.2 Расход воды
q0 (

,

,

), л/с, санитарно-техническим прибором (арматурой), отнесенный к одному прибору, следует определять:
- различными приборами для одинаковых водопотребителей на участке тупиковой сети - по
таблице А.2;
- различными приборами для разных водопотребителей - по формуле

(1)
где
Pi - вероятность действия санитарно-технических приборов, определяемая для каждой группы водопотребителей согласно
5.4;
q0i - расход воды (общий, горячей, холодной), л/с, санитарно-техническим прибором (арматурой), принимаемый по
таблице А.2 для каждой группы водопотребителей;
Ni - число санитарно-технических приборов.
Примечания
1 При устройстве кольцевой сети расход воды q0 следует определять для сети в целом и принимать одинаковым для всех ее участков.
2 В жилых и общественных зданиях, по которым отсутствуют сведения о расходах воды и технических характеристиках санитарно-технических приборов, допускается принимать:
5.3 Максимальный расчетный расход воды на расчетном участке сети
q (
qtot,
qh,
qc), л/с, следует определять по формуле
| | ИС МЕГАНОРМ: примечание. Формула дана в соответствии с официальным текстом документа. | |
где
q0 (

,

,

) - расход воды, л/с, значение которого следует определять согласно
5.2;

- коэффициент, определяемый по
приложению Б в зависимости от общего числа приборов
N на расчетном участке сети и вероятности их действия
P.
При этом
таблицей Б.1 следует руководствоваться при
P > 0,1 и
N <= 200; при других значениях
P и
N коэффициент

следует принимать по
таблице Б.2.
Примечания
1 Расход воды на концевых участках сети следует принимать по расчету, но не меньше максимального секундного расхода воды одним из установленных санитарно-технических приборов с наибольшим расходом.
2 Расход воды на технологические нужды промышленных предприятий следует определять, как наибольший из расходов воды: либо от единицы технологического оборудования, при полном несовпадении работы по времени; либо - как сумму расходов воды, совпадающих по времени работы единиц технологического оборудования.
3 Для вспомогательных зданий промышленных предприятий значение
q допускается определять, как сумму расходов воды на хозяйственно-питьевые нужды по
формуле (2) и душевые нужды - по числу установленных душевых сеток по
таблице А.1.
5.4 Вероятность действия санитарно-технических приборов
P (
Ptot,
Ph,
Pc) на участках сети следует определять по формулам:
а) при однотипных водопотребителях в здании, без учета изменения соотношения U/N

или

(3)
б) при отличающихся группах водопотребителей в здании

(4)
Минстроя России от 18.12.2023 N 935/пр)
Примечания
1 При отсутствии данных о числе санитарно-технических приборов в здании значение
P допускается определять по
формулам (3) и
(4), принимая
N = U.
2 При нескольких группах водопотребителей, для которых периоды наибольшего потребления воды не будут совпадать по времени суток, вероятность действия приборов для системы в целом допускается вычислять по
формулам (3) и
(4).
5.5 Для стояков системы внутреннего водоотведения максимальный расчетный расход стоков
qs, л/с, определяется как сумма общего максимального расчетного расхода стоков
qtot, л/с, согласно
5.3, не вызывающих срыва гидравлических затворов любых видов санитарно-технических приборов (приемников сточных вод) и максимального секундного расхода от прибора с максимальным водоотведением

, л/с, выбираемым по
таблице А.1, по формуле

(5)
5.6 Средние за расчетный период удельные часовые расходы воды
qn (

,

,

), л, на расчетном участке отнесенные к одному прибору, определяются по формуле

(6)
Минстроя России от 30.05.2022 N 430/пр)
где

- общий расчетный расход воды потребителем в средние сутки, л, принимаемый по
таблице А.2;
(в ред.
Изменения N 1, утв. Приказом Минстроя России от 30.05.2022 N 430/пр)
T - расчетное время, ч, потребления воды (за сутки);
U - число водопотребителей;
N - число санитарно-технических приборов.
Примечание - При неизвестном числе санитарно-технических приборов допускается принимать число приборов N равным числу потребителей U.
5.7 Для горизонтальных отводящих трубопроводов максимальным расчетным расходом является расход
qsL, л/с, значение которого вычисляется в зависимости от числа санитарно-технических приборов
N, присоединенных к расчетному участку трубопровода, и длины этого трубопровода
L, м, по формуле

(7)
где
- общий максимальный часовой расход воды, м
3, на расчетном участке;

- расход стоков, л/с, от присоединяемого прибора с максимальной емкостью, принимаемый по
таблице А.1.
N | Значения Ks при L, м, равном |
1 | 3 | 5 | 7 | 10 | 15 | 20 | 30 | 40 | 50 | 100 | 500 | 1000 |
4 | 0,61 | 0,51 | 0,46 | 0,43 | 0,40 | 0,36 | 0,34 | 0,31 | 0,27 | 0,25 | 0,23 | 0,15 | 0,13 |
8 | 0,63 | 0,53 | 0,48 | 0,45 | 0,41 | 0,37 | 0,35 | 0,32 | 0,28 | 0,26 | 0,24 | 0,16 | 0,13 |
12 | 0,64 | 0,54 | 0,49 | 0,46 | 0,42 | 0,39 | 0,36 | 0,33 | 0,29 | 0,26 | 0,24 | 0,16 | 0,14 |
16 | 0,65 | 0,55 | 0,50 | 0,47 | 0,43 | 0,39 | 0,37 | 0,33 | 0,30 | 0,27 | 0,25 | 0,17 | 0,14 |
20 | 0,66 | 0,56 | 0,51 | 0,48 | 0,44 | 0,40 | 0,38 | 0,34 | 0,30 | 0,28 | 0,25 | 0,17 | 0,14 |
24 | 0,67 | 0,57 | 0,52 | 0,48 | 0,45 | 0,41 | 0,38 | 0,35 | 0,31 | 0,28 | 0,26 | 0,17 | 0,15 |
28 | 0,68 | 0,58 | 0,53 | 0,49 | 0,46 | 0,42 | 0,39 | 0,36 | 0,31 | 0,29 | 0,27 | 0,18 | 0,15 |
32 | 0,68 | 0,59 | 0,53 | 0,50 | 0,47 | 0,43 | 0,40 | 0,36 | 0,32 | 0,30 | 0,27 | 0,18 | 0,15 |
36 | 0,69 | 0,59 | 0,54 | 0,51 | 0,47 | 0,43 | 0,40 | 0,37 | 0,33 | 0,30 | 0,28 | 0,19 | 0,16 |
40 | 0,70 | 0,60 | 0,55 | 0,52 | 0,48 | 0,44 | 0,41 | 0,37 | 0,33 | 0,31 | 0,28 | 0,19 | 0,16 |
100 | 0,77 | 0,69 | 0,64 | 0,60 | 0,56 | 0,52 | 0,49 | 0,45 | 0,40 | 0,37 | 0,34 | 0,23 | 0,20 |
500 | 0,95 | 0,92 | 0,89 | 0,88 | 0,86 | 0,83 | 0,81 | 0,77 | 0,73 | 0,70 | 0,66 | 0,50 | 0,44 |
1000 | 0,99 | 0,98 | 0,97 | 0,97 | 0,96 | 0,95 | 0,94 | 0,93 | 0,91 | 0,90 | 0,88 | 0,77 | 0,71 |
Примечание - За длину L принимают расстояние от последнего на расчетном участке стояка до ближайшего присоединения следующего стояка или, при отсутствии таких присоединений, до ближайшего канализационного колодца. |
5.8 Расход воды (стоков), л/ч, санитарно-техническим прибором
q0,hr (

,

,

) следует определять:
- при отличающихся водопотребителях - по формуле

(8)
Минстроя России от 18.12.2023 N 935/пр)
Примечание - В жилых и общественных зданиях, по которым отсутствуют сведения о числе и технических характеристиках санитарно-технических приборов, допускается принимать:
5.9 Вероятность использования санитарно-технических приборов
Phr для системы в целом следует определять по формуле
5.10 Максимальный часовой расход воды (стоков)
qhr (

,

,

), м
3/ч следует определять по формуле
(в ред.
Изменения N 3, утв. Приказом Минстроя России от 18.12.2023 N 935/пр)

(10)
где
- коэффициент, определяемый по
приложению Б в зависимости от общего числа приборов
N, обслуживаемых проектируемой системой, и вероятности их использования
Phr, вычисляемой согласно
5.9. При этом
таблицей Б.1 следует руководствоваться при
Phr > 0,1 и
N <= 200, при других значениях
Phr и
N коэффициент

следует принимать по
таблице Б.2.
Примечание - Для вспомогательных зданий промышленных предприятий значение qhr допускается определять, как сумму расходов воды на пользование душами и хозяйственно-питьевые нужды, принимаемых по числу водопотребителей в наиболее многочисленной смене.
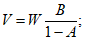
5.11 Средний часовой расход воды
qT (

,

,

), м
3/ч, за расчетное время водопотребления (сутки, смена)
T, ч, следует определять по формуле

(11)
Связь между максимальным и средним часовым расходами воды определяется соотношением qhr = qTKmax.
Максимальный коэффициент часовой неравномерности для оценочных расчетов по жилой застройке можно принять по данным таблицы 5.2.
Таблица 5.2
Количество жителей | 150 | 200 | 300 | 500 | 750 | 1000 | 1500 | 2500 | 4000 | 6000 | 7500 | 10000 | 20000 | 50000 |
| Общая вода |
Kmax | 3,75 | 3,43 | 3,05 | 2,68 | 2,45 | 2,31 | 2,13 | 2 | 1,9 | 1,83 | 1,8 | 1,77 | 1,71 | 1,65 |
| Горячая вода |
Kmax | 4,88 | 4,88 | 4,63 | 4,05 | 3,63 | 3,45 | 3,3 | 2,96 | 2,8 | 2,7 | 2,65 | 2,6 | 2,48 | 2,4 |
Примечание - При отсутствии данных о назначении встроенно-пристроенных помещений общественного назначения допускается при определении коэффициента часовой неравномерности условно принимать численность жителей с коэффициентом до 1,2. |
Минимальный часовой расход воды
qhr,min (общей

, горячей

или холодной

), м
3/ч, следует вычислять по формуле
qhr,min = qTKmin, (11а)
где
Kmin - минимальный коэффициент часовой неравномерности, определяемый по
таблице 5.3 в зависимости от максимального коэффициента часовой неравномерности;
qhr - максимальный часовой расход воды (общей

, горячей

или холодной

), м
3/ч;
qT - средний часовой расход воды (общей

, горячей

или холодной

), м
3/ч.
Kmax | 1,0 | 1,2 | 1,4 | 1,6 | 1,8 | 2,0 | 2,25 | 2,5 | 2,75 | 3,0 |
Kmin | 1,0 | 0,74 | 0,54 | 0,4 | 0,29 | 0,21 | 0,14 | 0,1 | 0,07 | 0,04 |
(п. 5.11 в ред.
Изменения N 3, утв. Приказом Минстроя России от 18.12.2023 N 935/пр)
5.12 Расход тепловой энергии

, кВт, на приготовление горячей воды с учетом потерь тепловой энергии подающими и циркуляционными трубопроводами
Qht следует определять:
(п. 5.11 в ред.
Изменения N 3, утв. Приказом Минстроя России от 18.12.2023 N 935/пр)
а) в течение среднего часа

(12)
б) в течение часа максимального водопотребления

(13)
где

и
- средний часовой и максимальный часовой расходы горячей воды, м
3/ч;
th - температура горячей воды в местах водоразбора или на границе балансовой принадлежности, для предварительных расчетов допускается принимать th = 65 °C;
tc - температура в системе холодного водоснабжения, при отсутствии данных следует принимать tc = 5 °C.
Примечание - На стадии разработки рабочей документации
Qht определяется расчетом в соответствии с
61.13330. В проектной документации значение
Qht ориентировочно принимают равным 30% - 40% (до 60% при двухзонном водоснабжении) от величины расхода тепла на приготовление горячей воды

для многоквартирных жилых домов, оборудованных водяными полотенцесушителями, присоединенными к системе горячего водоснабжения.
(примечание в ред.
Изменения N 3, утв. Приказом Минстроя России от 18.12.2023 N 935/пр)
5.13 Суточный расход воды следует определять суммированием расхода воды всеми потребителями с учетом расхода воды на поливку. Суточный расход стоков следует принимать равным водопотреблению без учета расхода воды на поливку.
5.14 В поселениях, городских округах и на предприятиях в целях экономии воды питьевого качества допускается подводить техническую воду к писсуарам и смывным бачкам унитазов. При этом следует предусматривать мероприятия, не допускающие возможность объединения систем водоснабжения питьевого и непитьевого качества (например, в разных шахтах и (или) с обязательной маркировкой цветом или любым иным способом, который позволит визуально определить различное назначение трубопроводов систем водоснабжения).
6 Системы холодного водоснабжения
6.1 В зданиях в зависимости от их назначения следует предусматривать внутренние системы холодного водоснабжения:
- хозяйственно-питьевого;
- производственного;
- противопожарного;
(в ред.
Изменения N 3, утв. Приказом Минстроя России от 18.12.2023 N 935/пр)
- технического (по заданию на проектирование).
(введено
Изменением N 3, утв. Приказом Минстроя России от 18.12.2023 N 935/пр)
Сети хозяйственно-питьевого водоснабжения при совпадении требований по качеству воды и рабочему давлению допускается объединять с производственным и противопожарным водопроводом. При этом в системе должны отсутствовать не имеющие циркуляции (застойные) участки.
Оборудование сетей производственного и противопожарного водопровода для использования в системах с водой питьевого качества должно отвечать требованиям
4.5.
6.2 Выбор системы холодного водоснабжения следует проводить из условий обеспечения пожарной безопасности, требований санитарно-эпидемиологических норм и правил, технико-экономической целесообразности, требований технологии производства, а также с учетом проектируемой (существующей) наружной системы водоснабжения.
6.3 При проектировании систем холодного водоснабжения необходимо предусматривать мероприятия по снижению потерь воды, шума и вибрации в помещениях в соответствии с положениями
ГОСТ 12.1.003,
СП 51.13330.
6.4 Системы производственного водоснабжения должны удовлетворять технологическим требованиям и не вызывать коррозии аппаратуры и трубопроводов, отложения солей и биологического обрастания труб и аппаратов.
6.5 В производственных и вспомогательных зданиях для сокращения расхода воды следует предусматривать системы оборотного и повторного использования воды.
7 Противопожарный водопровод
7.1 Противопожарный водопровод (ВПВ) следует выполнять в соответствии с настоящим разделом с учетом требований
СП 10.13130.
(в ред.
Изменения N 3, утв. Приказом Минстроя России от 18.12.2023 N 935/пр)
7.2 - 7.20 Исключены с 19.01.2024. -
Изменение N 3, утв. Приказом Минстроя России от 18.12.2023 N 935/пр.
8 Устройство систем холодного водоснабжения
8.1 Системы внутреннего холодного водоснабжения (хозяйственно-питьевого, производственного, противопожарного) включают: вводы в здания, водомерные узлы, разводящую сеть, стояки, подводки к санитарным приборам и технологическим установкам, водоразборную, смесительную, запорную и регулирующую арматуру. При необходимости в систему внутреннего водоснабжения следует включать насосные установки, запасные и регулирующие емкости.
Соединять трубопроводы системы холодного водоснабжения с трубопроводами, подающими воду на технологические нужды, не допускается.
(абзац введен
Изменением N 3, утв. Приказом Минстроя России от 18.12.2023 N 935/пр)
8.2 Сети водопроводов холодной воды следует принимать:
- тупиковыми, если допускается перерыв в подаче воды и при числе пожарных кранов менее 12;
- кольцевыми или с закольцованными вводами при двух тупиковых трубопроводах с ответвлениями к потребителям от каждого из них для обеспечения непрерывной подачи воды.
8.3 Кольцевые сети здания должны быть присоединены к различным участкам наружной кольцевой сети не менее чем двумя вводами. Между вводами на наружной сети водопровода следует предусмотреть запорную арматуру для обеспечения подачи воды в здание при аварии на одном из участков сети.
8.4 Два ввода и более следует предусматривать:
- для зданий, в которых установлено 12 пожарных кранов и более;
- жилых зданий с числом квартир более 400, клубов и досугово-развлекательных учреждений с эстрадой, кинотеатров с числом мест более 300;
- театров, клубов и досугово-развлекательных учреждений со сценой независимо от числа мест;
- зданий, оборудованных автоматическими установками пожаротушения (спринклерные, дренчерные системы), при числе узлов управления более трех;
- бань при числе мест 200 и более;
- прачечных на 2 т и более белья в смену.
8.5 При необходимости установки в здании насосов для повышения давления во внутренней сети вводы водопровода должны быть объединены перед насосами с установкой задвижки на соединительном трубопроводе для обеспечения подачи воды каждым насосом из любого ввода.
При устройстве на каждом вводе самостоятельных насосных установок объединения вводов не требуется.
8.6 Расстояние по горизонтали в свету между вводами хозяйственно-питьевого водопровода и выпусками канализации и водостоков следует принимать, м, не менее:
1,5 - при диаметре трубопровода ввода до 200 мм включительно;
3 - при диаметре трубопровода ввода более 200 мм.
Допускается совместная прокладка вводов водопровода различного назначения.
8.7 На трубопроводах вводов следует предусматривать упоры или неподвижные опоры на поворотах труб в вертикальной или горизонтальной плоскости, на плоском фланце с резиновым кольцом (ПФРК), когда возникающие усилия не могут быть восприняты соединениями труб. Следует предусматривать устройство упоров или неподвижных опор на всех вводах напорных трубопроводов при поворотах труб в вертикальной или горизонтальной плоскости.
(в ред.
Изменения N 3, утв. Приказом Минстроя России от 18.12.2023 N 935/пр)
8.8 Пересечение трубопроводами наружных стен подвала и фундамента здания следует выполнять под углом 90°, в сухих грунтах - с зазором вокруг трубы 0,2 м между трубопроводом и строительными конструкциями и заделкой отверстия в стене водо- и газонепроницаемым (в газифицированных районах) эластичным материалом, в мокрых грунтах - с установкой сальника.
8.9 Прокладку разводящих сетей водопровода холодной воды в жилых и общественных зданиях следует предусматривать в подпольях, подвалах, технических этажах и на "теплых" чердаках. В случае их отсутствия - в подпольных каналах на первом этаже совместно с трубопроводами отопления или под полом с устройством съемного перекрытия, а также по конструкциям зданий, по которым допускается открытая прокладка трубопроводов, или под потолком общего коридора.
Прокладку стояков и разводку внутреннего водопровода следует предусматривать в шахтах, открыто - по стенам душевых, кухонь, в монтажных нишах межквартирных коридоров с устройством специальных технических шкафов, обеспечивающих свободный доступ технического персонала к измерительным приборам и арматуре. Технические шкафы (включая лицевые панели) стояков входят в состав инженерного оборудования систем внутреннего водоснабжения и водоотведения зданий и должны быть включены в объем работ на строительство объекта.
В жилых зданиях с расположением этажных распределительных коллекторов в межквартирных коридорах допускается присоединение квартир к коллекторам холодной и горячей воды разводящими трубопроводами, проходящими в пространстве подшивного потолка общеквартирного коридора. При этом на присоединениях квартирных трубопроводов к коллекторам следует предусматривать запорную арматуру, обратные клапаны и приборы учета водопотребления. На присоединении коллекторов к стоякам следует устанавливать запорную арматуру, фильтр и этажный регулятор давления. Разводящие сети от коллекторов до квартир следует принимать с учетом обеспечения напора (давления) у приборов квартир согласно
8.21.
(в ред.
Изменения N 3, утв. Приказом Минстроя России от 18.12.2023 N 935/пр)
8.10 Прокладку сетей водопровода внутри производственных зданий допускается предусматривать открытой - по фермам, колоннам, стенам и под перекрытиями. При невозможности открытой прокладки допускается предусматривать размещение водопроводных сетей в общих каналах с другими трубопроводами, кроме трубопроводов, транспортирующих легковоспламеняющиеся, горючие или ядовитые жидкости и газы.
Специальные каналы для прокладки водопроводных сетей следует проектировать при обосновании и только в исключительных случаях. Трубопроводы, подводящие воду к технологическому оборудованию, допускается прокладывать в полу или под полом, за исключением подвальных помещений.
8.11 Сеть водопровода холодной воды при совместной прокладке в каналах с трубопроводами, транспортирующими горячую воду или пар, необходимо размещать не выше этих трубопроводов с устройством теплоизоляции.
8.12 Трубопроводы, кроме пожарных стояков, прокладываемые в каналах, шахтах, тоннелях, подпольях, подвалах, технических этажах и на "теплых" чердаках, следует изолировать от конденсации влаги и тепловых потерь согласно
СП 61.13330.
8.13 Скрытую прокладку трубопроводов (в плинтусах, штрабах, шахтах, каналах) следует предусматривать для помещений, к отделке которых предъявляются повышенные требования. Допускается открытая прокладка трубопроводов по подвалу, техническому этажу, коридорам нежилых помещений, в том числе подводок к санитарным приборам в местах, где исключаются механическое повреждение полимерных трубопроводов и ультрафиолетовое воздействие на них. Борозды в стенах следует заделывать штукатуркой или облицовкой, а в местах установки арматуры - предусматривать ниши с дверками.
(в ред.
Изменения N 3, утв. Приказом Минстроя России от 18.12.2023 N 935/пр)
Не следует предусматривать транзитную прокладку водопроводов холодного водоснабжения, горячего водоснабжения в полу, под потолком и скрыто в стенах жилых комнат.
(абзац введен
Изменением N 3, утв. Приказом Минстроя России от 18.12.2023 N 935/пр)
8.14 Скрытая прокладка трубопроводов, соединяемых на резьбе (за исключением розеток для присоединения настенной водоразборной арматуры), соединяемых с помощью других фитингов и подобных соединений, не имеющая доступа к стыковым соединениям, не допускается.
8.15 Не допускается прокладка трубопроводов внутренних систем водоснабжения в местах, где доступ к ним во время эксплуатации и при аварийных ситуациях связан с ослаблением несущих элементов и конструкций зданий и сооружений (под фундаментными плитами, в ограждающих конструкциях, в конструкции перекрытий).
8.16 Систему хозяйственно-питьевого водоснабжения встроенно-пристроенных помещений следует проектировать отдельно от жилой части. Допускается устройство общих разводящих магистралей с установкой узлов учета на ответвлениях к потребителям.
8.17 Прокладку сети водопровода холодной воды круглогодичного действия следует предусматривать в помещениях с температурой воздуха зимой выше 5 °C. При прокладке трубопроводов в помещениях с температурой воздуха ниже 5 °C следует предусматривать мероприятия, предотвращающие промерзание трубопроводов (электроподогрев, прокладка греющего спутника).
8.18 При возможности кратковременного снижения температуры в помещении ниже плюс 5 °C, а также при прокладке труб в зоне влияния наружного холодного воздуха (вблизи наружных входных дверей и ворот) следует предусматривать прокладку греющего спутника (электроподогрев).
(в ред.
Изменения N 3, утв. Приказом Минстроя России от 18.12.2023 N 935/пр)
8.19 Конструктивные схемы систем холодного водоснабжения следует принимать по одному из возможных вариантов:
- с нижней разводкой магистрали (подвал, технический этаж), с расположением водоразборных стояков в санузлах (кухнях, ванных комнатах) квартир;
- с верхней разводкой магистрали (технический этаж, "теплый" чердак), с главным подающим стояком в лестнично-лифтовом холле (общеквартирном коридоре) с водоразборными стояками в санузлах (кухнях, ванных комнатах) квартир;
- с расположением водоразборных стояков вне пределов квартир в конструктивных нишах лестнично-лифтового холла или общеквартирного коридора, с подключением к ним поэтажных коллекторов;
- с расположением водоразборных стояков вне пределов квартир в конструктивных нишах лестнично-лифтового холла или межквартирного коридора, с подключением к ним тупиковых полимерных трубопроводов, проложенных в пространстве подшивного потолка межквартирного коридора, к которым присоединяются трубопроводы подачи холодной воды в квартиры, проходящие в пространстве подшивного потолка.
Разводящие сети от коллекторов до квартир следует принимать с учетом обеспечения напора (давления) у приборов квартир согласно
8.21.
Возможность установки приборов учета на ответвлении от стояка под потолком коридора, в нише санузла или кухни квартиры определяется проектной документацией.
В верхних точках систем холодного водоснабжения следует предусматривать установку автоматических воздушных клапанов, исключающих образование разрежения при опорожнении стояков и удаление воздуха из верхней зоны стояков в режиме эксплуатации.
Возможны также иные проектные решения подключения потребителей.
8.20 При расчете систем хозяйственно-питьевого и производственного водопроводов следует обеспечивать необходимый напор (давление) воды у санитарных приборов и технологического оборудования, расположенных в самой высокой или удаленной от ввода части здания.
8.21 Свободный напор (давление) на отметке наиболее высоко расположенного санитарного прибора в зоне системы водоснабжения следует принимать не менее 20,0 м вод. ст. (0,2 МПа).
При проектировании в условиях сложившейся застройки по заданию на проектирование (при бюджетном финансировании строительства или реконструкции зданий до пяти этажей включительно) допускается принимать значение свободного напора по паспортным данным устанавливаемых приборов.
(абзац введен
Изменением N 3, утв. Приказом Минстроя России от 18.12.2023 N 935/пр)
8.22 Гидростатический напор (давление) в системе хозяйственно-питьевого водоснабжения на отметке наиболее низко расположенного санитарно-технического прибора следует принимать согласно
7.10. При расчетном напоре (давлении), превышающем 45 м вод. ст. (0,45 МПа), следует предусматривать регуляторы давления, снижающие его как при статическом, так и при динамическом режиме работы системы.
8.23 Гидравлический расчет сети водопровода, питаемой двумя вводами, следует проводить с учетом выключения одного из них.
При двух вводах в здание каждый из них должен быть рассчитан на 100%-ный пропуск расчетного расхода воды. При числе вводов три и более каждый ввод должен быть рассчитан на 50%-ный пропуск расчетного расхода воды.
Гидравлический расчет системы холодного водоснабжения следует проводить по максимальному секундному расходу воды.
8.24 Диаметры участков сети внутреннего водопровода следует определять гидравлическим расчетом с учетом максимального использования гарантированного напора (давления) воды в системе наружного водоснабжения.
(п. 8.24 в ред.
Изменения N 3, утв. Приказом Минстроя России от 18.12.2023 N 935/пр)
8.25 В душевых производственных предприятий и общественных зданий, с числом душевых сеток более трех, следует предусматривать коллекторную или кольцевую схему подачи холодной воды. Диаметр коллектора или диаметр кольцевого трубопровода следует определять по общему расходу воды на душевые сетки.
Продолжительность пользования душем в групповых душевых вспомогательных зданий и помещениях производственных предприятий следует принимать 45 мин после окончания смены.
8.26 Скорость движения воды в системе внутреннего водоснабжения следует принимать в зависимости от допустимого эквивалентного уровня шума в помещении:
а) выше 40 дБ - не более 1,5 м/с в общественных зданиях и помещениях; не более 2 м/с в административно-бытовых зданиях и помещениях; не более 3 м/с в производственных зданиях и помещениях;
8.27 Величину требуемого напора
Hтр, м вод. ст., необходимого для подачи воды потребителю, определяют по формуле

(14)
где Hgeom - геометрическая высота расположения диктующего санитарно-технического прибора (пожарного крана) над точкой подключения, м вод. ст.;

- сумма потерь напора на всех участках трубопровода диктующего направления, м вод. ст.;
Hпр - напор (давление) перед диктующим прибором, м вод. ст., принимают согласно
8.21;

- сумма потерь напора в узлах учета потребляемой воды (общем для жилого комплекса, общедомовом, индивидуальном), м вод. ст., принимают согласно
12.15;
Hтепл - потери напора в теплообменнике (водонагревателе), принимают ориентировочно - 0,03 МПа (3 м вод. ст.);

- потери напора на вводе/вводах водопровода, при пропуске расхода воды на хозяйственно-питьевые нужды и (или) противопожарного расхода воды, м вод. ст.
8.28 Потери напора на участках системы холодного водоснабжения, м вод. ст., следует определять с учетом шероховатости материала труб:
где i - удельные потери напора единицы длины трубопровода l, м, при температуре воды, равной 10 °C, принимаемые по таблицам для гидравлического расчета водопроводных труб, по расчетным формулам с учетом шероховатости материала труб или по данным предприятия - производителя труб;
kl - коэффициент, учитывающий потери напора в местных сопротивлениях, значения которого следует принимать: 0,2 - в сетях объединенных хозяйственно-противопожарных водопроводов жилых и общественных зданий, а также в сетях производственных водопроводов; 0,3 - в сетях хозяйственно-питьевых водопроводов жилых и общественных зданий; 0,15 - в сетях объединенных производственных противопожарных водопроводов; 0,1 - в сетях противопожарных водопроводов.
8.29 На сети хозяйственно-питьевого водоснабжения в каждой квартире следует предусматривать отдельный кран диаметром не менее 15 мм для присоединения шланга, оборудованного распылителем, для использования его в качестве первичного устройства внутриквартирного пожаротушения для ликвидации очага возгорания. Длина шланга должна обеспечивать возможность подачи воды в любую точку квартиры
(СП 54.13330).
(п. 8.29 введен
Изменением N 3, утв. Приказом Минстроя России от 18.12.2023 N 935/пр)
9 Системы горячего водоснабжения
9.1 В зависимости от объема и режима потребления горячей воды на хозяйственно-питьевые нужды, ее приготовление следует предусматривать централизованной системой теплоснабжения здания или местными установками. Выбор схемы подогрева и обработки воды для систем централизованного горячего водоснабжения следует предусматривать согласно
СП 510.1325800.
(в ред.
Изменения N 3, утв. Приказом Минстроя России от 18.12.2023 N 935/пр)
Для приготовления горячей воды допускается применение альтернативных источников теплоснабжения, работающих на природных возобновляемых источниках энергии (солнечные, ветровые, водные, геотермальные, твердотопливные и комбинированные в их сочетаниях). Оборудование и трубопроводы данных систем со стороны подачи воды в систему горячего водоснабжения должны соответствовать
[14].
Примечание - При необходимости подачи горячей воды питьевого качества на технологические нужды допускается подача горячей воды одновременно на хозяйственно-питьевые и технологические нужды.
9.2 Не допускается соединять трубопроводы системы горячего водоснабжения с трубопроводами, подающими горячую воду на технологические нужды, а также имеющими непосредственный контакт с технологическим оборудованием и установками приготовления горячей воды, подаваемой потребителю с возможным изменением ее качества.
9.3 К системе горячего водоснабжения допускается присоединять:
- нагревательные приборы в шкафах для сушки одежды детей в раздевальных дошкольных образовательных организаций;
- системы обогрева пола зала бассейна в дошкольных образовательных организациях с обеспечением температуры поверхности пола в пределах 26 °C - 30 °C.
Необходимо предусматривать устройства для отключения вышеуказанных нагревательных приборов и систем обогрева, оборудование и трубопроводы данных систем должны соответствовать требованиям
4.5 и
4.6.
(п. 9.3 в ред.
Изменения N 3, утв. Приказом Минстроя России от 18.12.2023 N 935/пр)
9.4 Выбор технологической схемы приготовления горячей воды и необходимость ее обработки следует определять в соответствии с требованиями проектирования тепловых пунктов.
9.5 Помещение ИТП с оборудованием для приготовления горячей воды располагают возможно ближе к центру ее потребления для упрощения процесса увязки потерь напора (давления) в циркуляционных кольцах.
(в ред.
Изменения N 3, утв. Приказом Минстроя России от 18.12.2023 N 935/пр)
9.6 В системе горячего водоснабжения следует предусматривать температуру горячей воды в местах водоразбора не ниже указанной в
4.7 (60 °C) за счет циркуляции горячей воды или иными методами и (или) их сочетанием.
9.7 Допускается не предусматривать циркуляцию в централизованной системе подачи горячей воды в местах с регламентированным по времени ее потреблением.
9.8 Полотенцесушители, устанавливаемые в ванных и совмещенных санузлах жилых домов для поддержания комфортной температуры воздуха, следует подключать к подающим или циркуляционным трубопроводам системы горячего водоснабжения по схеме, обеспечивающей постоянный проток через них горячей воды. С той же целью допускается оснащение ванных комнат электрическими полотенцесушителями, подключенными к системе электроснабжения потребителя.
Примечание - Использовать полотенцесушители (кроме электрических) вместо отопительных приборов при значительных теплопотерях в ванной комнате (например, при расположении ее у наружной стены здания) не допускается.
(п. 9.8 в ред.
Изменения N 3, утв. Приказом Минстроя России от 18.12.2023 N 935/пр)
9.9 В целях возможности замены полотенцесушителя в период эксплуатации здания (без отключения стояка горячей воды) полотенцесушитель допускается присоединять к отводящим патрубкам от водоразборного или циркуляционного стояка с установкой между ними перемычки на расстоянии не менее 0,1 м от стояка на один диаметр меньше диаметра стояка и запорной арматуры на патрубках за перемычкой. Увеличение сопротивления подающего водоразборного стояка при этом должно быть учтено при гидравлическом расчете.
(в ред.
Изменения N 3, утв. Приказом Минстроя России от 18.12.2023 N 935/пр)
9.10 При установке полотенцесушителей на водоразборных стояках следует выполнять поверочный расчет остывания воды в водоразборном стояке и в полотенцесушителях в целях недопущения остывания горячей воды в местах водоразбора ниже указанной в
4.7 (60 °C) у потребителей.
(п. 9.10 в ред.
Изменения N 3, утв. Приказом Минстроя России от 18.12.2023 N 935/пр)
9.11 Присоединение водоразборных приборов к циркуляционным стоякам и циркуляционным трубопроводам не допускается.
9.12 В душевых производственных предприятий и общественных зданий с числом душевых сеток более трех следует предусматривать коллекторную или кольцевую схему подачи горячей воды. Диаметр коллектора или диаметр кольцевого трубопровода следует определять по общему расходу воды на душевые сетки.
(в ред.
Изменения N 3, утв. Приказом Минстроя России от 18.12.2023 N 935/пр)
Продолжительность пользования душем в групповых душевых вспомогательных зданий и помещениях производственных предприятий следует принимать 45 мин после окончания смены.
9.13 В системах, имеющих блок автономного горячего водоснабжения, полотенцесушители следует размещать на отдельных стояках, отключаемых при работе данного блока.
9.14 По заданию на проектирование допускается использование теплонасосных систем горячего водоснабжения многоквартирных жилых домов. При этом для уменьшения потребления электрической энергии в часы пиковых нагрузок рекомендуется использовать аккумулирование горячей воды.
(п. 9.14 введен
Изменением N 3, утв. Приказом Минстроя России от 18.12.2023 N 935/пр)
10 Устройство систем горячего водоснабжения
10.1 Системы горячего водоснабжения следует проектировать с учетом требований, предъявляемых к системам водоснабжения согласно
разделам 8 и
9.
10.2 При прокладке магистральных и разводящих сетей водопровода горячей воды в жилых и общественных зданиях в подпольях, подвалах, технических этажах, под потолком общих коридоров и на чердаках следует предусматривать теплоизоляцию.
10.3 Тепловую изоляцию следует предусматривать для подающих и циркуляционных трубопроводов системы горячего водоснабжения, включая стояки, кроме подводок к водоразборным приборам. Толщина теплоизоляционного слоя должна обеспечивать допустимые потери тепла трубопроводами при расчете циркуляционного расхода. Теплопроводность теплоизоляционного материала следует принимать не более 0,05 Вт/(м·°С), а толщину теплоизоляции - не менее 10 мм.
10.4 При проектировании водопровода горячей воды следует предусматривать мероприятия по компенсации температурных удлинений трубопроводов за счет упругости самого трубопровода на участках с поворотами трубопровода (самокомпенсации) или за счет установки сильфонных компенсаторов с учетом требований
24.3.
10.5 В жилых и общественных зданиях при числе этажей свыше четырех группы водоразборных стояков (от двух до шести стояков) допускается объединять кольцующими перемычками в секционные узлы.
10.6 Конструктивные схемы систем горячего водоснабжения принимают по одному из возможных вариантов:
(в ред.
Изменения N 3, утв. Приказом Минстроя России от 18.12.2023 N 935/пр)
- с нижней разводкой подающей и циркуляционной магистралей (подвал, технический этаж), с расположением водоразборных и циркуляционных стояков в ванных комнатах, нишах санузлов (кухонь) квартир. В нижней части циркуляционные стояки объединяются в секционные узлы и подключаются к общему циркуляционному трубопроводу либо напрямую, либо сборными участками с установкой на них ручных балансировочных клапанов;
- с нижней разводкой подающей магистрали (подвал, технический этаж), с расположением водоразборных стояков в ванных комнатах, в нишах санузлов (кухонь) квартир и объединением их в секционный узел перемычкой (на техническом этаже, чердаке) с последующим присоединением к циркуляционному стояку, прокладываемому в общеквартирном коридоре с установкой на них ручных балансировочных клапанов;
(в ред.
Изменения N 3, утв. Приказом Минстроя России от 18.12.2023 N 935/пр)
- с верхней разводкой подающей магистрали (технический этаж, "теплый" чердак), с главным подающим стояком в лестнично-лифтовом холле (коридоре), водоразборными стояками в ванных комнатах, нишах санузлов (кухонь) квартир. В нижней части стояки подключаются к сборному циркуляционному трубопроводу либо объединяются в секционные узлы (от двух до шести стояков) и подключаются также к общему циркуляционному трубопроводу сборными участками с установкой на них ручных балансировочных клапанов;
- с расположением подающих и циркуляционных водоразборных стояков вне пределов квартир в конструктивных нишах лестнично-лифтового холла или общеквартирного коридора, с подключением к ним этажных коллекторов, к которым присоединяются трубопроводы подачи горячей воды в квартиры. При этом на поквартирных ответвлениях устанавливаются запорная арматура, обратные клапаны и приборы учета. Расчетный циркуляционный расход в циркуляционных стояках обеспечивается установкой ручного балансировочного клапана в месте подключения циркуляционного стояка к разводящей сборной магистрали;
(в ред.
Изменения N 3, утв. Приказом Минстроя России от 18.12.2023 N 935/пр)
- с расположением водоразборных и циркуляционных стояков вне пределов квартир в конструктивных нишах лестнично-лифтового холла или коридора, с подключением к ним кольцевых полимерных трубопроводов, проложенных в пространстве подшивного потолка общеквартирного коридора, к которым присоединяются трубопроводы подачи горячей воды в квартиры. Расчетный циркуляционный расход на этаже обеспечивается установкой ручного балансировочного клапана в месте подключения к циркуляционному стояку. На ответвлении от трубопровода к квартирам следует устанавливать запорную арматуру, фильтр, регулятор давления и прибор учета (при условии обеспечения расчетного допустимого давления у приборов по
8.22). Водоразборные и циркуляционные стояки при такой схеме не должны кольцеваться между собой.
(в ред.
Изменения N 3, утв. Приказом Минстроя России от 18.12.2023 N 935/пр)
Вариант установки фильтра, регулятора давления и прибора учета (на ответвлении от кольцевого трубопровода под потолком коридора или в нише санузла или кухни квартиры) определяется проектом.
В местах присоединения циркуляционных трубопроводов к сборным циркуляционным трубопроводам, магистралям и стоякам следует предусматривать установку ручных балансировочных клапанов.
(в ред.
Изменения N 3, утв. Приказом Минстроя России от 18.12.2023 N 935/пр)
При соответствующем обосновании допустимы иные варианты подключения потребителей.
10.7 При расположении водоразборных и циркуляционных стояков вне пределов квартир в конструктивных нишах лестнично-лифтового холла или межквартирного коридора подключение полотенцесушителей квартир допускается выполнять от кольцевого трубопровода, подключенного к водоразборному стояку и проложенного в пространстве подшивного потолка общеквартирного коридора, с установкой на вводе в квартиры запорной арматуры для каждого полотенцесушителя (группы полотенцесушителей) и ручного балансировочного клапана на обратной линии от полотенцесушителя квартиры. Объединение циркуляционных линий от полотенцесушителей в обособленную сборную магистраль, прокладываемую также под потолком коридора, следует выполнять по попутной схеме с установкой на этой сборной линии отдельного балансировочного клапана в месте подключения к циркуляционному стояку. Возможно использование общего трубопровода для водоразбора и подключения полотенцесушителей квартир. Водоразборные и циркуляционные стояки при такой схеме не должны закольцовываться между собой. Подача воды к полотенцесушителям по такой схеме должна осуществляться только после осмотра и приемки сети горячего водоснабжения квартиры службой эксплуатации.
10.8 Гидравлический расчет системы горячего водоснабжения следует проводить в режиме водоразбора - на пропуск расчетного расхода горячей воды и в режиме циркуляции (отсутствие водоразбора) на пропуск циркуляционного расхода воды.
10.9 В режиме водоразбора проводят определение расчетных секундных расходов воды на расчетных участках, подбор диаметров подающих трубопроводов, определение потерь напора (давления) в системе и требуемого напора.
Максимальный секундный расход горячей воды на расчетных участках сети
qh, л/с, следует определять по
формуле (2) и
5.3.
Величину требуемого напора, м вод. ст., необходимого для подачи воды потребителю и потери напора на участках системы горячего водоснабжения, следует определять по
формулам (14),
(15).
При расчете системы горячего водоснабжения следует обеспечивать необходимый напор (давление) воды у санитарных приборов согласно
8.21. Скорость движения горячей воды в трубопроводах следует принимать согласно
8.26.
10.10 В режиме циркуляции следует выполнить подбор диаметров циркуляционных трубопроводов, увязку потерь напора (давления) в циркуляционных кольцах, определить значения потерь тепла в трубопроводах системы горячего водоснабжения и величину циркуляционных расходов на участках сети.
(в ред.
Изменения N 3, утв. Приказом Минстроя России от 18.12.2023 N 935/пр)
Циркуляционный расход горячей воды должен компенсировать потери тепла подающими и циркуляционными трубопроводами системы для поддержания нормативной температуры воды у потребителей и соответствовать режиму работы циркуляционных насосов и оборудования в ИТП.
Определение циркуляционного расхода воды, компенсирующего потери тепла подающими и циркуляционными трубопроводами системы, следует проводить в увязке с подбором диаметров циркуляционных трубопроводов и потерь напора (давления) в циркуляционных кольцах.
Потери тепла подающими и циркуляционными трубопроводами системы горячего водоснабжения и ее оборудованием определяются расчетом в целях непревышения перепада температур 10 °C в системе в расчетном режиме циркуляции.
(абзац введен
Изменением N 3, утв. Приказом Минстроя России от 18.12.2023 N 935/пр)
Циркуляционный расход горячей воды в элементах системы

, л/с, следует определять по формуле

(16)
где

- потери тепла подающими и циркуляционными трубопроводами системы горячего водоснабжения, определяемые в соответствии с
СП 61.13330 и расчетом потерь тепла оборудованием, кВт;

- допустимая разность температур в трубопроводах системы от водонагревателя до точки подключения циркуляционного трубопровода в тепловом пункте, обеспечивающая температуру горячей воды у потребителя не ниже 60 °C;
4,2 - удельная теплоемкость воды, кДж/(кг·°C).
(в ред.
Изменения N 3, утв. Приказом Минстроя России от 18.12.2023 N 935/пр)
Для разветвленных систем горячего водоснабжения здания расчет циркуляционных расходов следует проводить по всем циркуляционным кольцам и выставлять их значение в литрах в секунду при наладке на балансировочных клапанах в месте присоединения циркуляционных трубопроводов к общему сборному трубопроводу и далее к циркуляционному насосу системы горячего водоснабжения в ИТП. При этом в зависимости от принятой конструктивной схемы горячего водоснабжения общий циркуляционный расход для подбора циркуляционного расхода определяется суммированием циркуляционных расходов в кольцах и ветках системы.
Для систем горячего водоснабжения здания с одним теплообменником в ИТП для нескольких зон по высоте общий циркуляционный расход следует определять, как сумму циркуляционных расходов каждой зоны.
Если при принятой в рабочей документации толщине изоляции перепад температур в системе превысит оптимальный, равный 10 °C, следует выполнить повторный расчет потерь тепла с применением большей толщины изоляционных конструкций поэлементно.
(в ред.
Изменения N 3, утв. Приказом Минстроя России от 18.12.2023 N 935/пр)
10.11 Максимальный секундный расход горячей воды на расчетных участках сети
qh, л/с, определенный по
формуле (2), следует корректировать с учетом циркуляционного расхода
qcir, л/с, определенного по
формуле (16), в зависимости от
qh/
qcir по
приложению Г:
qh,cir = qh(1 + kcir), (17)
где
kcir - коэффициент, принимаемый для водонагревателей и начальных участков системы горячей воды до последнего водоразборного стояка или наиболее удаленного прибора по
приложению Г, для остальных участков сети
kcir = 0.
10.12 Сумма потерь напора в подающих и циркуляционных трубопроводах каждого кольца системы горячего водоснабжения при пропуске циркуляционного расхода не должна отличаться для одной и разных веток более чем на 10% от потерь напора в самом удаленном кольце системы.
10.13 При невозможности увязки потерь напора (давлений) в циркуляционных кольцах сети горячего водопровода путем соответствующего подбора диаметров трубопроводов следует предусматривать установку ручных балансировочных клапанов на циркуляционных трубопроводах системы с подтверждением их настройки расчетом.
10.14 В сетях горячего водопровода, присоединяемых к закрытым системам теплоснабжения, потери напора (давления) в циркуляционных кольцах при расчетном циркуляционном расходе принимают 2 - 5 м вод. ст. (0,02 - 0,05 МПа).
(в ред.
Изменения N 3, утв. Приказом Минстроя России от 18.12.2023 N 935/пр)
11 Трубопроводы и арматура
11.1 Трубы, арматура, оборудование и материалы, применяемые при устройстве систем холодного и горячего водоснабжения, водоотведения и водостоков, должны соответствовать
[14] и требованиям настоящего свода правил.
11.2 Материал труб и соединительных деталей для систем холодного и горячего водоснабжения следует выбирать на основании технико-экономического и гидравлического расчетов, коррозионной агрессивности транспортируемой воды, а также условий обеспечения надежности, долговечности работы трубопроводов и требований к качеству воды. Срок службы систем водоснабжения при температуре воды 20 °C и нормативном давлении должен составлять не менее 50 лет, а при температуре 75 °C и нормативном давлении - не менее 25 лет.
11.3 Соединения полимерных трубопроводов, а также деталей и узлов из них следует выполнять диффузной сваркой через переходники-фитинги, с помощью пресс-фитингов, компрессионных фитингов. Соединяемые таким способом элементы должны быть из идентичного материала.
В системах с полимерными трубами следует применять соединительные детали и фитинги одного изготовителя.
(абзац введен
Изменением N 3, утв. Приказом Минстроя России от 18.12.2023 N 935/пр)
11.4 Оцинкованные трубы, узлы и детали следует соединять на резьбе с применением стальных оцинкованных соединительных частей или оцинкованных из ковкого чугуна, на накидных гайках, на фланцах (к арматуре и оборудованию), на пресс-фитингах или на грувлочных соединениях (разъемные фиксаторы с уплотнительной манжетой), специально предназначенных для использования в трубопроводных системах с прокатанными на трубе желобками, в которые заходит выступ корпуса фиксатора.
Допускается указанными способами соединять оцинкованные трубы, узлы и детали с трубами, узлами и деталями, выполненными из нержавеющей стали, и с арматурой, выполненной из латуни, с учетом требований
ГОСТ 9.005.
(абзац введен
Изменением N 3, утв. Приказом Минстроя России от 18.12.2023 N 935/пр)
11.5 В местах пересечения трубопроводами внутренних стен, перегородок, перекрытий следует предусматривать гильзы из полимерных или металлических труб. Внутренний диаметр гильз должен быть не менее чем на 5 - 10 мм больше наружного диаметра прокладываемой трубы. Зазор между трубой и гильзой следует заполнить негорючим гидрофобным материалом, допускающим перемещение трубы вдоль продольной оси.
(в ред.
Изменения N 3, утв. Приказом Минстроя России от 18.12.2023 N 935/пр)
При пересечении трубопроводами ограждающих конструкций с нормируемыми пределами огнестойкости или противопожарных преград с нормируемой огнестойкостью должны быть выполнены требования по огнестойкости узлов пересечения в соответствии с требованиями
[3].
(в ред.
Изменения N 3, утв. Приказом Минстроя России от 18.12.2023 N 935/пр)
11.6 На трубопроводах систем холодного и горячего водоснабжения следует устанавливать запорную, водоразборную, смесительную арматуру, обратные клапаны, регуляторы давления, ручные балансировочные клапаны, автоматические воздушные клапаны. Конструкция водоразборной и запорной арматуры должна обеспечивать плавное открывание и закрывание потока воды. Водоразборная, регулирующая и запорная арматура должны иметь подтверждение соответствия требованиям аналогично
4.5 и
4.6.
Конструкция регулятора давления должна включать защиту от протечек, исключающую разгерметизацию чувствительного элемента (мембраны или поршневого механизма) в соответствии с ГОСТ Р 55023-2012
(пункт 5.4.2).
(абзац введен
Изменением N 3, утв. Приказом Минстроя России от 18.12.2023 N 935/пр)
11.7 Установку обратных клапанов на вводах водопровода следует предусматривать, если на внутренней водопроводной сети имеется несколько вводов с измерительными устройствами, соединенных между собой трубопроводами внутри здания.
11.8 Установку запорной арматуры на сетях внутреннего водопровода следует предусматривать:
- на каждом вводе;
- на кольцевой разводящей сети для обеспечения возможности выключения на ремонт ее отдельных участков (расстояние не более 1/2 длины кольцевой сети);
- на кольцевой сети производственного водопровода холодной воды из расчета обеспечения двухсторонней подачи воды к оборудованию, не допускающему перерыва в подаче воды;
- у основания пожарных стояков;
- у основания подающих и циркуляционных стояков в зданиях и сооружениях;
- на ответвлениях, питающих пять водоразборных точек и более;
- на ответвлениях от магистральных линий водопровода;
- на ответвлениях в каждую квартиру или номер гостиницы, на подводках к смывным бачкам и водонагревательным колонкам, на ответвлениях к групповым душам и умывальникам;
- на ответвлениях трубопровода к секционным узлам;
- перед наружными поливочными кранами;
- перед приборами, аппаратами и оборудованием специального назначения - в случае необходимости.
Запорную арматуру следует предусматривать у основания и в верхней части закольцованных по вертикали стояков.
На кольцевых участках сети следует предусматривать арматуру, обеспечивающую пропуск воды в двух направлениях.
Запорную арматуру на водопроводных стояках, проходящих через встроенные магазины, столовые, рестораны и другие помещения, недоступные для осмотра в ночное время, следует устанавливать в подвале, подполье или в техническом этаже, к которым имеется постоянный доступ.
11.9 При расположении водопроводной арматуры диаметром 50 мм и более на высоте свыше 1,6 м от пола следует предусматривать стационарные площадки или мостики для ее обслуживания. При высоте расположения водопроводной арматуры до 3 м и диаметре до 150 мм допускается использовать передвижные вышки, стремянки и приставные лестницы с уклоном не более 60° для ее обслуживания при условии соблюдения правил техники безопасности.
11.10 Установку регуляторов давления на вводах водопровода холодной воды в здания следует предусматривать после задвижки, отключающей счетчик количества воды, или после хозяйственно-питьевых насосов без частотно-регулируемого привода, при этом после регулятора следует предусматривать установку запорной арматуры. Для контроля работы и возможности наладки регулятора давления до и после него должны быть установлены манометры.
Установку регулятора давления на вводе в квартиру следует предусматривать после запорной арматуры без манометров для контроля работы и возможности наладки регулятора.
11.11 В местах водоразбора следует предусматривать установку смесителей с раздельной подводкой холодной и горячей воды.
Допускается не предусматривать установку смесителей в системе горячего водоснабжения, если водоразбор осуществляется без смешения с холодной водой.
11.12 Установку обратных клапанов на водопроводах холодной и горячей воды следует предусматривать:
- на участках трубопроводов, подающих воду к групповым смесителям, для предотвращения гидроударов, возможных при определенном сочетании одновременно открытых и закрытых водоразборных кранов;
- на циркуляционном трубопроводе перед присоединением его к водонагревателю.
Примечание - Групповой смеситель - водоразборный смеситель, предназначенный для смешения холодной и горячей воды, подаваемой после смешения на группу санитарно-технических приборов, у которых может регулироваться только расход (групповые души, групповые умывальники и т.д.).
(п. 11.12 в ред.
Изменения N 3, утв. Приказом Минстроя России от 18.12.2023 N 935/пр)
11.13 В мусоросборных камерах жилых зданий для соблюдения норм
[17] следует устанавливать поливочный кран (смеситель) с подводкой холодной и горячей воды, соединительный штуцер с вентилями, ниппелем и шлангом длиной 2 - 3 м для санитарной обработки камеры и оборудования. Для стока моюще-дезинфицирующих водных растворов в полу камеры должен быть размещен трап, присоединенный к бытовой канализации здания.
(в ред.
Изменения N 2, утв. Приказом Минстроя России от 31.05.2022 N 434/пр,
Изменения N 3, утв. Приказом Минстроя России от 18.12.2023 N 935/пр)
Также мусоросборная камера должна быть защищена по всей площади спринклерными оросителями. Участок распределительного трубопровода оросителей должен быть кольцевым, подключенным к сети хозяйственно-питьевого водопровода или технического водопровода многоквартирного здания и оснащенным теплоизоляцией из негорючих материалов.
(в ред.
Изменения N 3, утв. Приказом Минстроя России от 18.12.2023 N 935/пр)
Конструкция верхней части ствола мусоропровода должна обеспечивать установку устройства для очистки, промывки и дезинфекции внутренней поверхности ствола. Устройство должно содержать узел прочистки, привод его перемещения, узел водоподачи, устройство для автоматического смешивания дезинфицирующего средства с водой и подачи в ствол, устройство автоматического пожаротушения в стволе, корпус с герметизированной дверью и замком в соответствии с требованиями
[16].
11.14 Установку поливочных кранов с подводкой холодной воды следует предусматривать:
- в гардеробах рабочей одежды загрязненных производств;
- в общественных уборных с тремя и более унитазами или писсуарами
[20];
(в ред.
Изменения N 3, утв. Приказом Минстроя России от 18.12.2023 N 935/пр)
- в умывальных помещениях с пятью умывальниками и более;
- в душевых помещениях с тремя душами и более;
- в помещениях, при необходимости мокрой уборки полов;
- в зонах загрузки и выгрузки предприятий общественного питания;
- в помещениях с жироотделителем.
Для зданий и сооружений, оборудованных системой горячего водоснабжения, к поливочным кранам следует предусматривать подводку холодной и горячей воды.
11.15 На присоединениях этажных коллекторов к подающим стоякам холодной и горячей воды и на присоединениях кольцевых трубопроводов к подающим стоякам следует предусматривать запорную арматуру, фильтр, этажный регулятор давления (при необходимости).
11.16 На присоединениях трубопроводов, подающих холодную и горячую воду в квартиры, к этажным коллекторам и на ответвлениях от кольцевого трубопровода к квартирам следует предусматривать запорную арматуру, приборы учета водопотребления, обратные клапаны.
11.17 В верхних точках подающих стояков систем холодного и горячего водоснабжения и циркуляционных стояков следует предусматривать установку автоматических воздушных клапанов (после запорной арматуры), исключающих образование разрежения при опорожнении системы и в режиме эксплуатации, удаление воздуха из стояков при заполнении системы. В нижних точках водоразборных и циркуляционных стояков следует предусматривать спускную арматуру. Воздухосборники с автоматическими воздухоотводчиками размещать внутри квартир не допускается.
(в ред.
Изменения N 3, утв. Приказом Минстроя России от 18.12.2023 N 935/пр)
11.18 На каждые 60 - 70 м периметра здания следует предусматривать по одному поливочному крану, размещаемому в коверах (небольшой колодец в земле для размещения поливочного крана) около здания или в нишах наружных стен здания. Для полива следует использовать воду с показателями качества воды для орошения не ниже первой группы в соответствии с
ГОСТ 17.1.2.03, подаваемую по отдельному техническому водопроводу.
Подача воды на полив от внутреннего водопровода с водой питьевого качества предусматривается только по заданию на проектирование.
Для зданий, расположенных в климатических подрайонах строительства IА, IБ и IГ по
СП 131.13330, а также на территории промышленных предприятий установку поливочных кранов следует предусматривать в зависимости от степени благоустройства, наличия зеленых насаждений и других местных условий, а также от способа полива.
11.19 Уклоны трубопроводов водопровода следует принимать не менее 0,002.
Разводящие трубопроводы водопровода допускается прокладывать без уклона в стесненных условиях, а также при скорости движения воды в трубопроводах, м/с, не менее:
0,25 - из стальных труб;
0,1 - из медных и полимерных труб.
На указанных трубопроводах необходимо предусматривать дополнительные штуцеры, направленные вверх со стороны, противоположной расположению спускного крана на данном участке, для возможности подключения компрессора для продувки трубопроводов сжатым воздухом при проведении ремонтных работ.
12 Устройства для измерения расхода воды
12.1 Для вновь строящихся, реконструируемых и капитально ремонтируемых зданий с системами холодного и горячего водоснабжения следует предусматривать приборы измерения водопотребления (счетчики холодной и горячей воды), параметры которых должны соответствовать метрологическому классу B по
ГОСТ Р 50193.1,
[10] и требованиям настоящего раздела.
12.2 Счетчики воды следует устанавливать на границе балансовой принадлежности сетей или на границе эксплуатационной ответственности абонента
[9], а также на вводах трубопроводов холодной воды в каждое здание и сооружение. Установка водомерных узлов не на границе эксплуатационной ответственности допускается при выполнении требований
[9].
В тепловых пунктах (центральных или индивидуальных) для измерения расхода потребляемой горячей воды счетчики следует устанавливать на трубопроводах, подающих холодную воду к водонагревателям.
12.3 На ответвлениях трубопроводов к отдельным помещениям, а также на подводках к отдельным санитарным приборам и технологическому оборудованию счетчики воды устанавливают по заданию на проектирование.
12.4 Перед счетчиками (по ходу движения воды) следует предусматривать установку механических или магнитно-механических фильтров.
12.5 В помещениях водомерного узла, тепловых пунктах, насосных и аналогичных помещениях со счетчиками холодной (горячей) воды должны быть предусмотрены естественное или искусственное освещение и отопление для поддержания температуры воздуха не ниже плюс 5 °C. Счетчики следует размещать на высоте 0,5 - 1,5 м от уровня пола. Необходимо обеспечить доступ к счетчикам для обслуживания и снятия показаний. Над счетчиками массой более 25 кг должно быть предусмотрено достаточное пространство для установки подъемного механизма.
(п. 12.5 в ред.
Изменения N 3, утв. Приказом Минстроя России от 18.12.2023 N 935/пр)
12.6 Счетчики воды должны быть защищены от вибрации. Счетчики не должны подвергаться механическим напряжениям под воздействием трубопроводов и запорной арматуры.
12.7 При невозможности размещения счетчиков холодной и (или) горячей воды в здании допускается устанавливать их вне здания в специальных камерах или колодцах только в том случае, если в паспорте счетчика указано, что он может работать в условиях затопления.
12.8 Счетчики холодной и горячей воды следует устанавливать на горизонтальных участках трубопроводов. Допускается установка счетчиков воды на вертикальных или наклонных участках трубопроводов, если такая установка предусмотрена паспортом счетчика. При размещении квартирных счетчиков холодной и горячей воды на вертикальных участках трубопроводов применяют счетчики, соответствующие метрологическому классу A по
ГОСТ Р 50193.1.
12.9 При конструировании трубной обвязки узлов установки счетчиков холодной и горячей воды следует:
- с каждой стороны счетчика предусматривать установку запорной арматуры, обеспечивающей отключение воды на участке с установленным счетчиком (шаровые краны, задвижки с обрезиненным клином); для квартир в жилых зданиях и для индивидуальных жилых зданий запорная арматура устанавливается только до счетчиков (по ходу движения воды);
- между счетчиком (кроме квартирных) и вторым (по ходу движения воды) запорным устройством предусматривать контрольный шаровой кран (с постоянно установленной заглушкой), предназначенный для подключения устройств метрологической поверки счетчиков. Такой же кран следует предусматривать на расстоянии не более 0,5 м после запорного устройства: для крыльчатых счетчиков воды (с диаметром до 50 мм) диаметр контрольных кранов - 15 мм, для турбинных (с диаметром более 50 мм) - 25 мм;
- с каждой стороны счетчиков предусматривать прямые участки трубопроводов, длина которых устанавливается в соответствии с требованиями паспортов приборов.
12.10 Обводную линию у счетчиков холодной воды (за исключением индивидуальных жилых зданий) следует предусматривать, если:
- имеется один ввод водопровода в здание;
- счетчик воды не рассчитан на пропуск расчетного расхода воды (с учетом расхода воды на пожаротушение).
12.11 Все запорные устройства узла установки водосчетчика должны быть в открытом состоянии, а запорное устройство на обводной линии - опломбировано в закрытом состоянии. В том случае, если при расходе воды на пожаротушение не выполняются требования
12.16, автоматизацию открытия запорного устройства на обводной линии следует осуществлять в соответствии с алгоритмом, изложенным в
СП 10.13130,
СП 484.1311500.
(п. 12.11 в ред.
Изменения N 3, утв. Приказом Минстроя России от 18.12.2023 N 935/пр)
12.12 В системах горячего водоснабжения устройство обводных линий у счетчиков не требуется. В системе раздельного противопожарного водоснабжения счетчики воды не устанавливают. При двух вводах водопровода допускается устанавливать счетчики воды на каждом вводе без обводных линий, если каждый из счетчиков соответствует требованиям
12.16, перечисление б), за исключением случаев установки общего водомерного узла с одним счетчиком воды.
(в ред.
Изменения N 3, утв. Приказом Минстроя России от 18.12.2023 N 935/пр)
12.13 Счетчики холодной и горячей воды, устанавливаемые в жилых и общественных зданиях (в том числе квартирные), должны иметь возможность дистанционной передачи данных.
Возможность передачи данных счетчиком (с наличием выхода импульсов, цифровой выход типа RS-485 или с выходом по радиоканалу) определяется проектом.
Счетчики холодной и горячей воды следует устанавливать на вводах в каждую квартиру жилых зданий. Перед домовыми и квартирными водосчетчиками на металлических трубопроводах следует устанавливать механические или магнитно-механические фильтры. После водосчетчика следует устанавливать обратный клапан.
12.14 Диаметр условного прохода счетчика воды следует выбирать исходя из среднечасового расхода воды за период потребления (сутки, смену), который не должен превышать эксплуатационный расход, принимаемый согласно паспорту водосчетчика. Предварительный подбор осуществляется по данным таблицы 12.1.
(в ред.
Изменения N 3, утв. Приказом Минстроя России от 18.12.2023 N 935/пр)
Таблица 12.1
Диаметр условного прохода счетчика, мм | Параметры |
Расход воды, м3/ч | Порог чувствительности, м3/ч, не более | Максимальный объем воды за сутки, м3 | Гидравлическое сопротивление счетчика S, |
Минимальный | Эксплуатационный | Максимальный |
15 | 0,03 | 1,2 | 3 | 0,015 | 45 | 14,5 |
20 | 0,05 | 2 | 5 | 0,025 | 70 | 5,18 |
25 | 0,07 | 2,8 | 7 | 0,035 | 100 | 2,64 |
32 | 0,1 | 4 | 10 | 0,05 | 140 | 1,3 |
40 | 0,16 | 6,4 | 16 | 0,08 | 230 | 0,5 |
50 | 0,3 | 12 | 30 | 0,15 | 450 | 0,143 |
65 | 1,5 | 17 | 70 | 0,6 | 610 | 810·10-5 |
80 | 2 | 36 | 110 | 0,7 | 1300 | 264·10-5 |
100 | 3 | 65 | 180 | 1,2 | 2350 | 76,6·10-5 |
150 | 4 | 140 | 350 | 1,6 | 5100 | 13·10-5 |
200 | 6 | 210 | 600 | 3 | 7600 | 3,5·10-5 |
250 | 15 | 380 | 1000 | 7 | 13700 | 1,8·10-5 |
12.15 Потери напора (давления) в счетчиках
h, м вод. ст., при максимальном расчетном расходе воды
q (
qtot,
qh,
qc), л/с, следует определять по формуле
h = Sq2, (18)
где S - гидравлическое сопротивление счетчика, принимаемое согласно паспорту водосчетчика.
(в ред.
Изменения N 3, утв. Приказом Минстроя России от 18.12.2023 N 935/пр)
12.16 Счетчик с диаметром условного прохода, выбранным в соответствии с требованиями
12.14, следует проверять:
(в ред.
Изменения N 3, утв. Приказом Минстроя России от 18.12.2023 N 935/пр)
а) на пропуск максимального (расчетного) секундного расхода воды; при этом потери напора (давления) в счетчиках холодной воды не должны превышать: 5 м вод. ст. (0,05 МПа) - для крыльчатых и 2,5 м вод. ст. (0,025 МПа) - для турбинных счетчиков;
б) на пропуск максимального (расчетного) секундного расхода воды с учетом подачи расчетного расхода воды на внутреннее пожаротушение; при этом потери давления в счетчике не должны превышать 10 м вод. ст. (0,1 МПа) - для крыльчатых и 5 м вод. ст. (0,05 МПа) - для турбинных счетчиков.
(в ред.
Изменения N 3, утв. Приказом Минстроя России от 18.12.2023 N 935/пр)
в) исключено с 19.01.2024. -
Изменение N 3, утв. Приказом Минстроя России от 18.12.2023 N 935/пр.
12.17 При необходимости измерения расхода воды и невозможности использовать для этой цели тахометрические счетчики воды следует применять расходомеры других типов.
Выбор диаметра условного прохода и установку расходомеров следует проводить согласно требованиям соответствующих технических условий на проектирование:
- нескольких счетчиков одинакового диаметра (устанавливаются параллельно), число которых определяется расчетом при условии выполнения требований
12.16.
(п. 12.17 в ред.
Изменения N 3, утв. Приказом Минстроя России от 18.12.2023 N 935/пр)
13.1 При постоянном или периодическом недостатке напора (давления) в системах холодного и горячего водоснабжения, а также при необходимости поддержания принудительной циркуляции в системе горячего водоснабжения следует предусматривать устройство насосных установок.
13.2 Тип насосной установки и режим ее работы следует определять на основании технико-экономического сравнения разработанных вариантов:
- непрерывно или периодически действующих насосов при отсутствии регулирующих емкостей;
- насосов производительностью, равной или превышающей максимальный часовой расход воды работающих в повторно-кратковременном режиме совместно с гидропневматическими водонапорными баками или баками мембранного типа;
- непрерывно или периодически действующих насосов производительностью менее максимального часового расхода воды, работающих совместно с аккумулирующей емкостью.
13.3 Насосные установки, подающие воду в здания на хозяйственно-питьевые нужды, допускается располагать в этих зданиях, а также в помещениях ИТП, бойлерных и котельных с учетом требований по защите от шума и вибраций в соответствии с требованиями
[18]. Насосные установки данных систем должны соответствовать требованиям
[11].
(в ред.
Изменения N 2, утв. Приказом Минстроя России от 31.05.2022 N 434/пр,
Изменения N 3, утв. Приказом Минстроя России от 18.12.2023 N 935/пр)
13.4 Исключен с 19.01.2024. -
Изменение N 3, утв. Приказом Минстроя России от 18.12.2023 N 935/пр.
13.5 Помещения с гидропневматическими баками не допускается располагать непосредственно (рядом, сверху, снизу) с помещениями, где возможно одновременное пребывание большого числа людей - 50 человек и более (зрительный зал, сцена, гардеробная и т.п.). Требования к расположению гидропневматических баков на технических этажах приведены в
[7].
13.6 Насосные установки и иные источники вибраций и шума следует размещать с учетом требований [
17,
пункт 137].
(п. 13.6 в ред.
Изменения N 3, утв. Приказом Минстроя России от 18.12.2023 N 935/пр)
13.7 Исключен с 19.01.2024. -
Изменение N 3, утв. Приказом Минстроя России от 18.12.2023 N 935/пр.
13.8 Насосные установки для производственных нужд размещают непосредственно в цехах, потребляющих воду. При необходимости следует предусматривать ограждение насосной установки.
(в ред.
Изменения N 3, утв. Приказом Минстроя России от 18.12.2023 N 935/пр)
13.9 Производительность хозяйственно-питьевых и производственных насосных установок следует принимать:
- при отсутствии регулирующей емкости - не менее максимального секундного расхода воды;
- при наличии водонапорного или гидропневматического бака (объемом согласно
14.8) и насосов, работающих в повторно-кратковременном режиме, - не менее максимального часового расхода воды;
(в ред.
Изменения N 3, утв. Приказом Минстроя России от 18.12.2023 N 935/пр)
- при максимальном использовании регулирующей емкости водонапорного бака или резервуара - согласно
разделу 14.
13.10 При нескольких зонах водоснабжения по высоте здания или при наличии потребителей с разными требуемыми напорами подачу воды в систему хозяйственно-питьевого водоснабжения следует предусматривать повысительными насосными установками отдельно для каждой зоны (потребителя), с учетом расхода воды на нужды холодного и горячего водоснабжения. Использовать каскадные схемы подключения насосных станций по высоте здания не допускается.
(п. 13.10 в ред.
Изменения N 3, утв. Приказом Минстроя России от 18.12.2023 N 935/пр)
13.11 Напор (давление) Hp, м вод. ст., развиваемый повысительной насосной установкой для систем водоснабжения, следует определять с учетом минимального гарантированного напора (давления) в наружной водопроводной сети

(19)
где Hgeom - геометрическая высота подачи воды от оси насоса до диктующего санитарно-технического прибора (пожарного крана), м;
- сумма потерь напора (давления) в сети водопровода холодной или горячей воды (в узле ввода, счетчиках, трубопроводах, арматуре) по диктующему направлению до диктующего санитарно-технического прибора (пожарного крана), м вод. ст., определяемых согласно
разделам 8,
10 и
12;
Hпр - напор (давление) перед прибором, м вод. ст., принимаемый согласно
8.21;
Hгар - минимальный гарантированный напор (давление) в наружной водопроводной сети, м вод. ст.
13.12 В централизованных системах горячего водоснабжения при недостаточном напоре (давлении) воды в наружной сети водопровода на подающем трубопроводе устанавливают циркуляционно-повысительные насосы.
(в ред.
Изменения N 3, утв. Приказом Минстроя России от 18.12.2023 N 935/пр)
13.13 Насосные агрегаты, устанавливаемые в местной повысительной насосной установке с переменной нагрузкой потребления и присоединяемые к наружной сети водопровода с колебаниями напора в ней более 0,1 МПа (10 м вод. ст.), следует предусматривать с частотно-регулируемым электроприводом. В зданиях с водонапорными или гидропневматическими баками насосные агрегаты допускается устанавливать без регулируемого электропривода.
13.14 При напоре (давлении) в наружной сети водопровода менее 5 м вод. ст. (0,05 МПа) перед насосной установкой следует предусматривать устройство приемного резервуара, емкость которого следует определять согласно
разделу 14.
13.15 Устройство насосных установок и определение числа резервных агрегатов следует принимать согласно
СП 31.13330 с учетом параллельной работы насосов. В насосных станциях, для группы насосов одного назначения, подающих воду в одну и ту же сеть, число резервных агрегатов следует принимать:
(в ред.
Изменения N 3, утв. Приказом Минстроя России от 18.12.2023 N 935/пр)
- в насосных станциях для категории водоснабжения I - 2 ед.;
- для категории водоснабжения II - 1 ед.
Абзац исключен с 19.01.2024. -
Изменение N 3, утв. Приказом Минстроя России от 18.12.2023 N 935/пр.
13.16 На напорной линии каждого насоса в насосной установке следует предусматривать обратный клапан, задвижку и манометр, а на всасывающей - задвижку и манометр. При работе насоса без подпора установка задвижки на всасывающей линии не требуется.
13.17 Насосные агрегаты следует устанавливать на виброизолирующих основаниях. На напорных и всасывающих линиях следует предусматривать установку виброизолирующих вставок. Трубопровод, присоединяемый к виброизолирующей вставке, должен быть жестко зафиксирован. Защиту виброизолирующих вставок на напорной части от гидроударов следует выполнять с помощью обратных клапанов, устанавливаемых не далее 1 м от них. Виброизолирующие основания и виброизолирующие вставки допускается не предусматривать:
(в ред.
Изменения N 3, утв. Приказом Минстроя России от 18.12.2023 N 935/пр)
- в производственных зданиях, где не требуется защита от шума;
- в противопожарных установках;
- в отдельно стоящих зданиях насосных станций при расстоянии от них до ближайшего здания более 25 м.
Насосные станции (установки) заводского изготовления, в которых предусмотрены изоляция шумов, вибраций и компенсация перемещений, могут быть установлены без выполнения указанных мероприятий.
13.18, 3.19 Исключены с 19.01.2024. -
Изменение N 3, утв. Приказом Минстроя России от 18.12.2023 N 935/пр.
13.20 Для насосных установок, подающих воду на хозяйственно-питьевые, производственные и противопожарные нужды, необходимо принимать следующую категорию надежности электроснабжения:
- особую - для насосных установок, перерыв в работе которых не допускается;
- вторую - для жилых зданий высотой более 28 м при суммарном расходе воды более 5 л/с, а также для насосных установок общественных и производственных зданий, для которых допускается кратковременный перерыв в работе на время, необходимое для ручного включения резервного питания;
- третью - для всех остальных насосных установок.
Категорию надежности электроснабжения насосных установок внутреннего противопожарного водопровода и совмещенного внутреннего противопожарного и питьевого водопровода принимают в соответствии с
СП 10.13130.
(п. 13.20 в ред.
Изменения N 3, утв. Приказом Минстроя России от 18.12.2023 N 935/пр)
13.21 Насосные установки систем холодного водоснабжения следует предусматривать с ручным, дистанционным или автоматическим управлением. При автоматическом управлении повысительной насосной установкой должны предусматриваться:
- автоматический пуск и отключение рабочих насосов в зависимости от требуемого давления в системе;
- автоматическое включение резервного насоса при аварийном отключении рабочего насоса;
- подача звукового или светового сигнала об аварийном отключении рабочего насоса.
Дистанционное и автоматическое управление следует осуществлять с диспетчерского узла управления.
При дистанционном пуске насосных установок совмещенного хозяйственно-питьевого и противопожарного водоснабжения пусковые кнопки следует устанавливать в пожарных шкафах или рядом с ними. При автоматическом пуске пожарных насосов ВПВ установка пусковых кнопок в шкафах у пожарных кранов не требуется.
13.22 При определении площади помещения с насосными установками ширину проходов следует принимать, м, не менее:
1 - между насосами/электродвигателями;
0,7 - между насосами/электродвигателями и стеной в заглубленных помещениях;
1 - в прочих помещениях, при этом ширина прохода со стороны двигателя должна быть достаточной для демонтажа ротора;
1,5 - между компрессорами или воздуходувками, 1 - между ними и стеной;
0,7 - между неподвижными выступающими частями оборудования;
2 - перед распределительным электрическим щитом.
Примечания
2 Для агрегатов с диаметром нагнетательного патрубка до 100 мм включительно допускаются: установка агрегатов у стены или на кронштейнах; установка двух агрегатов на одном фундаменте при расстоянии между выступающими частями агрегатов не менее 0,25 м с обеспечением вокруг сдвоенной установки проходов шириной не менее 0,7 м.
13.23 Для эксплуатации технологического оборудования, арматуры и трубопроводов в помещениях насосных установок следует предусматривать подъемно-транспортное оборудование.
13.24 При заборе воды из резервуара следует предусматривать установку насосов под залив и не менее двух всасывающих линий. Расчет каждой из них следует проводить на пропуск расчетного расхода воды, включая противопожарный. В случае размещения насосов выше уровня воды в резервуаре следует предусматривать устройства для заливки насосов или устанавливать самовсасывающие насосы.
Устройство одной всасывающей линии предусматривается при установке насосов без резервных агрегатов.
14 Запасные и регулирующие емкости
14.1 Запасные и регулирующие емкости (резервуары, гидропневматические баки, аккумуляторы тепловой энергии) должны содержать воду в объеме, достаточном для регулирования водопотребления.
(в ред.
Изменения N 3, утв. Приказом Минстроя России от 18.12.2023 N 935/пр)
Тип резервуара, целесообразность его устройства и место расположения следует определять проектом.
Гидропневматические баки допускается применять для хранения противопожарного запаса воды по заданию на проектирование.
14.2 Безнапорные баки-аккумуляторы в системах холодного и горячего водоснабжения предусматривают для создания запаса воды в банях, прачечных и у других потребителей, имеющих сосредоточенные кратковременные расходы воды.
(в ред.
Изменения N 3, утв. Приказом Минстроя России от 18.12.2023 N 935/пр)
14.3 В бытовых зданиях и помещениях промышленных предприятий с числом душевых сеток в групповых установках десять и более в случае невозможности обеспечения подачи необходимого расхода холодной/горячей воды следует устраивать безнапорные баки-аккумуляторы. Отказ от устройства баков-аккумуляторов должен быть обоснован.
14.4 Водонапорные и гидропневматические баки питьевой воды, а также баки-аккумуляторы должны быть из металла с наружной и внутренней антикоррозионной защитой; для внутренней антикоррозионной защиты следует применять материалы, удовлетворяющие
требованиям [14]. Для систем холодного питьевого водоснабжения допускается использовать баки-аккумуляторы из полимерных материалов при соответствии
требованиям [14].
14.5 Водонапорные баки и баки-аккумуляторы (безнапорные) следует устанавливать в вентилируемом и освещаемом помещении высотой не менее 2,2 м с положительной температурой. Несущие конструкции помещения следует выполнять из негорючих материалов. Расстояния между водонапорными баками и строительными конструкциями должны быть не менее 0,7 м; между баками и строительными конструкциями со стороны расположения поплавкового клапана - не менее 1 м; от верха бака до перекрытия - не менее 0,6 м. Под баками следует предусматривать поддоны. Расстояние от поддона до дна бака должно быть не менее 0,5 м.
14.6 Для водонапорных баков и баков-аккумуляторов (безнапорных) следует предусматривать трубопроводы:
- подающий, для подачи воды в бак с поплавковыми клапанами. Перед каждым поплавковым клапаном следует устанавливать запорный вентиль или задвижку;
- отводящий;
- переливной, присоединяемый на отметке максимально допустимого уровня воды в баке;
- спускной, присоединяемый к днищу бака и к переливному трубопроводу с вентилем или задвижкой на присоединяемом участке трубопровода;
- водоотводящий, для отведения воды из поддона;
- циркуляционный, для поддержания, при необходимости, постоянной температуры в баке-аккумуляторе во время перерывов при разборе горячей воды; с установкой обратного клапана, вентиля/задвижки;
- вентиляционный (диаметром 25 мм), соединяющий бак с атмосферой.
Кроме того, должны быть предусмотрены:
- устройства, обеспечивающие циркуляцию холодной воды в баках, предназначенных для хранения воды питьевого качества;
- датчики уровня воды в баках для включения и выключения насосных установок;
- указатели уровня воды в баках и устройства для передачи их показаний на пульт управления.
Примечания
1 Подающие и отводящие трубы могут быть объединены в одну. В этом случае на ответвлении подающей трубы к днищу бака следует предусматривать обратный клапан и задвижку или вентиль.
2 При отсутствии сигнализации уровня воды в водонапорном баке необходимо предусматривать сигнальную трубку диаметром 15 мм, присоединяемую к баку на 5 см ниже переливной трубы, с выводом ее в раковину дежурного помещения насосной установки.
14.7 Гидропневматические баки должны быть оборудованы подающим, отводящим и спускным трубопроводами, а также предохранительными клапанами, манометром, датчиками уровня и устройствами для регулирования и пополнения запаса воздуха.
14.8 Регулирующий объем емкости
W, м
3, следует определять по формулам:
а) для водонапорного или гидропневматического бака при производительности насоса или насосной установки, равной или превышающей максимальный часовой расход:

(20)
где n - допустимое число включений насосной установки за 1 ч, принимаемое для установок с открытым баком 2 - 4; для установок с гидропневматическим баком - 6 - 10. Большее число включений за 1 ч следует принимать для установок небольшой мощности (до 10 кВт);
б) для водонапорного бака или резервуара при производительности насосной установки меньше максимального часового расхода

(21)
в) для бака-аккумулятора теплоты в системе горячего водоснабжения при мощности водонагревателя (генератора теплоты), не обеспечивающего максимального часового потребления теплоты:

(22)
В
формулах (21) и
(22) 
- относительная величина регулирующего объема, определяемая в соответствии с
14.9.
Величины
T,

,
qT,
tc следует принимать в соответствии с
разделом 5.
Примечание - Необходимость установки баков-аккумуляторов систем горячего водоснабжения для жилых зданий следует определять по заданию на проектирование.
14.9 Относительную величину регулирующего объема

следует определять по формулам:
а) при непрерывной работе насосной установки (водонагревателя) с различной производительностью в течение расчетного периода (сутки, смена) наибольшего водопотребления (теплопотребления) или работе насосной установки в режиме долгосрочных включений

(23)
б) при равномерной и непрерывной работе насосной установки (водонагревателя или генератора теплоты) в части периода водопотребления (теплопотребления), включающей также часы наибольшего водопотребления (теплопотребления):

(24)
Примечания
1 При расчете аккумуляторов теплоты по
формулам (23) и
(24) вместо значений
Khr (

,

,

) и

следует принимать значения

и
.
14.10 Коэффициент часовой неравномерности потребления воды Khr в сутки (смену) максимального водопотребления определяют по формуле

(25)
14.11 Коэффициент часовой неравномерности подачи воды насосами

в сутки (смену) максимального водопотребления определяют по формуле

(26)
14.12 Коэффициент часовой неравномерности теплопотребления

системой горячего водоснабжения в период
T, ч (сутки, смена), максимального потребления определяют по формуле

(21)
14.13 Коэффициент часовой неравномерности подачи теплоты для приготовления горячей воды

в период
T, ч (сутки, смена), максимального потребления определяют по формуле

(28)
где Qsp - расчетная мощность водонагревателя, котла, кВт.
14.14 Запас воды в баках-аккумуляторах, устанавливаемых в бытовых помещениях промышленных предприятий, следует определять в зависимости от времени их заполнения в течение смены, принимаемого при числе душевых сеток:
0 - 20 - 2 ч;
21 - 30 - 3 ч;
31 и более - 4 ч.
14.15 Исключен с 19.01.2024. -
Изменение N 3, утв. Приказом Минстроя России от 18.12.2023 N 935/пр.
14.16 Полную вместимость емкостей V, м3, следует определять по формулам:
а) для гидропневматического бака

(29)
б) для водонапорного бака или резервуара
V = BW + W1; (30)
в) для аккумулятора теплоты
V = BW, (31)
где W1 - противопожарный объем воды, м3;
A - отношение абсолютного минимального давления к максимальному, значение которого следует принимать: 0,8 - для установок, работающих с подпором; 0,75 - для установок с напором до 50 м; 0,7 - для установок с напором свыше 50 м;
B - коэффициент запаса вместимости бака, принимаемый: 1,2 - 1,3 - при использовании насосных установок, работающих в повторно-кратковременном режиме; 1,1 - при производительности насосных установок менее максимального часового расхода воды; для аккумуляторов теплоты B = 1.
14.17 Высота расположения водонапорного бака (в том числе бака горячей воды) и минимальное давление в гидропневматическом баке должны обеспечивать необходимый напор воды перед водоразборной арматурой, а в системах противопожарного или объединенного водопровода - необходимый напор у внутренних пожарных кранов до полного израсходования противопожарного запаса воды.
Примечание - В системах централизованного горячего водоснабжения баки-аккумуляторы предусматривать не следует, за исключением случаев, когда они необходимы для создания запаса воды (в банях, прачечных, в душевых бытовых зданий производственных предприятий и т.п.).
14.18 Резервуары и емкости для сбора воды в системах оборотного водоснабжения и в системах с повторным использованием воды в зависимости от конструкции здания размещают:
- на этажах и в подвальных помещениях зданий - для серых сточных вод;
- в чердачных, подвальных помещениях и за пределами здания - для атмосферных сточных вод.
При размещении резервуаров следует руководствоваться
14.5. Обвязка емкостей и поддонов должна предусматривать улавливание или возможность циркуляции промывочных (санирующих) растворов.
Объем резервуара принимают с учетом суточного объема воды, требуемого для полива зеленых насаждений, и суточного объема воды, требуемого для смыва унитазов и писсуаров. Допускается хранение объема воды для использования воды в унитазах - не более 1 сут, для целей полива - не более 3 - 7 сут.
(п. 14.18 в ред.
Изменения N 3, утв. Приказом Минстроя России от 18.12.2023 N 935/пр)
15 Дополнительные требования к системам внутреннего водоснабжения в особых природных и климатических условиях
15.1 Просадочные грунты
15.1.1 Устройство водопроводных вводов и прокладку трубопроводов под полом внутри здания при грунтовых условиях типа II (по классификации
СП 21.13330) следует предусматривать в водонепроницаемых каналах с уклоном в сторону контрольных колодцев. Длину водонепроницаемых каналов на вводах водопровода в здания от наружного обреза фундамента здания до контрольного колодца следует принимать в зависимости от толщины слоя просадочных грунтов и диаметров трубопроводов по таблице 15.1.
Таблица 15.1
Толщина слоя просадочного грунта, м | Длина канала, м, при диаметре трубопровода, мм |
до 100 | от 100 до 300 | св. 300 |
До 5 | Принимается как для непросадочных грунтов |
От 5 до 12 | 5 | 7,5 | 10 |
Св. 12 | 7,5 | 10 | 15 |
15.1.2 Устройство водопроводных вводов и прокладку систем водоснабжения при возведении зданий в грунтовых условиях типа I, а также в грунтовых условиях типа II
(СП 21.13330) с полным устранением просадочных свойств грунтов по всей площади здания следует предусматривать, как для непросадочных грунтов.
15.1.3 В местах устройства водопроводных вводов фундаменты следует заглублять не менее чем на 0,5 м от низа трубопровода водопроводного ввода.
15.1.4 Трубопроводы систем внутреннего водоснабжения здания размещают выше уровня пола первого или подвального этажей открытой прокладкой, доступной для осмотра и ремонта.
(в ред.
Изменения N 3, утв. Приказом Минстроя России от 18.12.2023 N 935/пр)
15.1.5 Для контроля за утечкой воды из трубопроводов, проложенных в каналах, следует предусматривать устройство контрольных колодцев диаметром 1 м. Расстояние от дна канала до дна колодца следует принимать не менее 0,7 м. Стенки колодца на высоту 1,5 м и его днище должны иметь гидроизоляцию. При устройстве колодцев в грунтовых условиях типа II
(СП 21.13330) основания под колодцы необходимо уплотнять на глубину 1 м.
Контрольные колодцы следует оборудовать автоматической сигнализацией о появлении в них воды.
15.1.6 В местах примыкания каналов к фундаменту здания необходимо предусматривать устройства, предотвращающие возможность протекания воды из каналов в грунт, при этом следует обеспечивать свободную осадку несущих конструкций.
15.1.7 Присоединение вводов водопровода к внутренним сетям, укладываемым ниже уровня пола, следует предусматривать в водонепроницаемых приямках.
15.1.8 В фундаментах или стенах подвалов для прокладки трубопроводов следует предусматривать отверстия, обеспечивающие зазор между трубой и строительными конструкциями, равные 1/3 расчетного значения просадки основания здания, но не менее 0,2 м. Зазоры в проемах следует заполнять плотным эластичным водо- и газонепроницаемым материалом.
15.2 Сейсмические районы
15.2.1 При проектировании сетей и сооружений водоснабжения для районов с сейсмичностью 7 - 9 баллов следует предусматривать мероприятия по обеспечению подачи воды для тушения пожаров, которые могут возникнуть при землетрясении, бесперебойную подачу питьевой воды, а также подачу воды на неотложные нужды производства.
К таким мероприятиям могут относиться кольцевание систем водоснабжения, дополнительные источники электроснабжения, установка аварийных насосов, запасных и регулирующих емкостей.
15.2.2 Для зданий промышленных предприятий, размещаемых в районах с сейсмичностью 8 и 9 баллов, когда прекращение подачи воды может вызвать аварии или значительные материальные убытки, следует предусматривать два ввода с использованием двух независимых источников водоснабжения.
15.2.3 Жесткая заделка труб в кладке стен и фундаментах не допускается. Пропуск труб через стены и фундаменты следует выполнять с зазором не менее 0,2 м между трубопроводом и строительными конструкциями. Зазор должен заполняться эластичным негорючим водо- и газонепроницаемым материалом. Пропуск труб через стенки емкостных сооружений следует выполнять с устройством герметичной трубной проходки или с применением сальников, закладываемых в стены.
15.2.4 Укладку труб под фундаментами зданий следует предусматривать в футлярах из стальных труб, при этом расстояние между верхом футляра и подошвой фундамента должно быть не менее 0,2 м, или следует выполнять местное заглубление фундамента.
15.2.5 Внутри зданий в местах пересечения трубопроводами деформационных швов на трубопроводах следует предусматривать установку компенсаторов.
15.2.6 На вводах водопровода, перед измерительными устройствами, а также в местах присоединения трубопроводов к насосам и водонапорным бакам следует предусматривать гибкие соединения, допускающие угловые и продольные перемещения трубопроводов.
15.2.7 Вводы водопровода, внутренние водопроводные сети, трубопроводы насосных установок, установок очистки и подготовки воды, а также вертикальные трубопроводы (стояки) водонапорных баков следует выполнять из стальных, оцинкованных водогазопроводных или полимерных труб при соответствии их
требованиям [14].
Применять для этих целей чугунные, хризотилцементные, стеклянные, а также полиэтиленовые трубы легкого и среднего типов согласно
ГОСТ Р 70628.2 не допускается.
(в ред.
Изменения N 4, утв. Приказом Минстроя России от 19.09.2024 N 630/пр)
15.2.8 При выполнении сварочных работ по осуществлению стыков соединений стальных труб следует обеспечивать равнопрочность сварного соединения с телом трубы. Применять ручную газовую сварку не допускается. Сварные соединения трубопроводов, прокладываемых в районах с сейсмичностью 9 баллов, следует усиливать накладными муфтами на сварке.
15.3 Подрабатываемые территории
15.3.1 Для систем внутреннего водоснабжения в зданиях, строящихся в условиях подрабатываемых территорий, следует предусматривать мероприятия по защите их от воздействия деформаций грунта земной поверхности и элементов самих зданий в соответствии с
СП 21.13330.
15.3.2 Ожидаемые величины сдвигов и деформаций земной поверхности для назначения мероприятий по защите трубопроводов необходимо принимать по данным горно-геологического обоснования для проектируемого здания.
Величины перемещений отдельных отсеков здания и его элементов принимают по данным расчетов геологов.
15.3.3 Для уменьшения усилий в трубопроводах, вызванных перемещениями конструкций зданий вследствие подработки, следует увеличивать податливость трубопроводов за счет применения компенсирующих устройств, рационального размещения и выбора типа узлов крепления, пропуска труб вводов в здания.
15.3.4 Для вводов в здания следует применять все виды труб с учетом назначения водопровода, требуемой прочности труб, компенсационной способности стыков, а также результатов технико-экономических расчетов.
15.3.5 Стыковые соединения секционных узлов трубопроводов должны быть податливыми за счет применения уплотнительных упругих колец или герметиков.
15.3.6 На вводах водопровода в здания, строящиеся на подрабатываемых территориях групп I и II
(СП 21.13330), следует предусматривать компенсационные устройства. На вводах в здания, строящиеся на подрабатываемых территориях групп III и IV, установку компенсационных устройств следует предусматривать при длине ввода свыше 20 м.
На территории строящегося здания, где в результате подработок ожидается образование уступов, прокладку подземных вводов следует выполнять в каналах, при этом зазор между верхом трубы и перекрытием канала должен быть не менее расчетной высоты уступа.
15.3.7 Для трубопроводов внутреннего водопровода здания или его отдельных секций, защищаемых от воздействия подработок по жесткой конструктивной схеме, дополнительной защиты не требуется.
В зданиях, защищаемых по податливой конструктивной схеме, крепление трубопроводов к элементам зданий должно обеспечивать осевые и поперечные (горизонтальные, вертикальные) перемещения трубопровода.
В таких зданиях скрытая прокладка трубопроводов не допускается.
15.3.8 В зданиях, защищаемых путем выравнивания домкратами или другими устройствами, должны быть предусмотрены мероприятия, обеспечивающие нормальную эксплуатацию трубопроводов.
В таких зданиях в качестве мер защиты в местах подключения стояков к магистрали и крепления разводящих трубопроводов к элементам здания, расположенным над швом скольжения, следует предусматривать компенсаторы, обеспечивающие горизонтальные и вертикальные перемещения трубопроводов. Величина перемещений определяется расчетной податливостью зданий и температурными удлинениями трубопровода.
15.3.9 Для зданий, состоящих из нескольких отсеков, ввод водопровода следует предусматривать в каждый отсек. Допускается устройство одного ввода в один из отсеков при установке компенсаторов в местах пересечения трубопроводами деформационных швов. Вариант устройства вводов определяется технико-экономическими показателями.
15.3.10 При прокладке транзитных внутриквартальных сетей водопровода по техническим подпольям или подвалам зданий следует предусматривать мероприятия, исключающие силовое взаимодействие трубопроводов с конструкциями зданий.
Компенсаторы на таких трубопроводах необходимо располагать в местах пересечения деформационных швов и на ответвлениях от транзитного трубопровода к стоякам внутренней сети. Пересечение трубопроводами деформационных швов в пределах этажей зданий не допускается.
15.3.11 Внутри подполья или подвала здания трубопроводы допускается прокладывать на самостоятельных опорах и кронштейнах, прикрепляемых к стенам. Крепление трубопроводов к опорам должно допускать осевые и вертикальные перемещения труб.
15.3.12 Для зданий в зонах, где возможно выделение рудничного газа на поверхность земли, следует предусмотреть защиту вводов водопровода от проникания по ним газа в подвалы и подполья этих зданий.
15.3.13 При установке гибких компенсаторов их компенсирующую способность следует определять исходя из расчетных величин перемещений смежных отсеков здания и температурных удлинений трубопроводов.
15.3.14 Укладку труб под фундаментами зданий следует предусматривать в футлярах из стальных труб или выполнять местное заглубление фундамента.
Расчет на прочность футляров необходимо выполнять с учетом нагрузок от воздействия деформаций оснований.
15.3.15 Жесткая заделка трубопроводов в кладке стен и фундаментах зданий не допускается. Отверстия для пропуска труб через стены и фундаменты должны обеспечивать зазор между трубой и строительными конструкциями, равный расчетной величине деформаций основания здания. Зазоры в проемах фундаментов следует заполнять плотным эластичным водо- и газонепроницаемым материалом.
15.3.16 В местах примыкания каналов к фундаменту здания следует предусматривать устройства, предотвращающие возможность проникания воды из каналов в грунт. При этом необходимо обеспечивать свободную осадку несущих конструкций.
15.4 Многолетнемерзлые грунты
15.4.1 При проектировании вводов водопровода в здание необходимо учитывать возможность изменения температурного режима многолетнемерзлых грунтов, которые могут произойти в результате строительства и эксплуатации здания, а также предусматривать исключение теплового воздействия на грунты оснований соседних зданий и сооружений, которое может привести к недопустимым деформациям зданий и сооружений в нормальных и аварийных режимах работы трубопроводов.
15.4.2 При прокладке трубопроводов следует принимать меры, обеспечивающие исключение или ограничение механического воздействия многолетнемерзлых грунтов (просадки, пучения, термокарстовых провалов, солифлюкции, морозобойных трещин) на конструкции трубопроводов.
15.4.3 Вводы водопровода следует предусматривать надземной прокладкой или в вентилируемых каналах, совмещая с прокладкой других инженерных сетей. Следует максимально применять прокладку трубопроводов в подпольях зданий.
15.4.4 Наземную прокладку вводов следует предусматривать во всех случаях, когда требуется исключить тепловое воздействие трубопроводов на грунты оснований, учитывая относительно низкую стоимость и удобство в эксплуатации.
15.4.5 Наземную прокладку трубопроводов следует предусматривать:
а) на мачтах, эстакадах и по конструкциям зданий и сооружений. Приспособления для обслуживания трубопроводов (лестницы, площадки, мостики и т.д.) следует предусматривать с учетом эксплуатации трубопроводов в условиях низких температур, сильных зимних ветров и полярной ночи;
б) в проветриваемых подпольях зданий высотой не менее 1,2 м, предусматривая водоотводящие лотки.
15.4.6 Подземную прокладку трубопроводов следует производить только в случаях, когда наземная и надземная прокладки недопустимы. Подземную прокладку трубопроводов следует производить только в каналах или тоннелях.
Устойчивость трубопроводов, прокладываемых в просадочных многолетнемерзлых грунтах, следует обеспечивать сохранением грунтов оснований в мерзлом состоянии или заменой просадочных грунтов в основаниях в зоне возможного протаивания на непросадочные, а также поддержанием расчетного теплового режима трубопроводов.
15.4.7 Прокладку трубопроводов в районах с промерзанием свыше 3 - 4 м, а также в особо тяжелых грунтовых условиях (водонасыщенные и скальные грунты) допускается производить в зоне сезонного промерзания грунтов при условии выполнения требований, изложенных в
15.3.14 -
15.3.16.
15.4.8 Прокладку трубопроводов в подземных каналах следует применять при совместном размещении инженерных сетей различного назначения, при этом дно каналов следует выполнять с лотком, обеспечивающим удаление воды при минимальном тепловом воздействии на грунты оснований.
Установка на дне каналов под трубопроводом опор, препятствующих свободному стоку воды и удалению льда, не допускается.
15.4.9 Подземные каналы и тоннели следует предусматривать только в непросадочных грунтах или на коротких участках трасс - переходах через дороги, вводах в здания. Высоту каналов, обеспечивающую надежность водоотлива и вентиляции, следует увеличивать на 20% - 30% по сравнению с принимаемой для обычных условий.
15.4.10 Подземные каналы и тоннели необходимо оборудовать системой естественной вентиляции, обеспечивающей отрицательные значения среднегодовых температур воздуха внутри каналов и тоннелей.
Узлы управления системами инженерного оборудования зданий следует размещать в первых этажах, предусматривая устройство дополнительной местной тепло- и гидроизоляции цокольных перекрытий и трапов для стока воды в канализацию.
В местах перехода трубопроводов через конструкции зданий, а также в местах примыкания каналов и тоннелей к фундаментам и стенам зданий, рассчитываемых на возможную разность вертикальных перемещений трубопроводов, каналов, тоннелей и зданий, необходимо предусматривать устройство мягких сопряжений.
15.4.11 Установка на трубопроводах запорной и регулирующей арматуры сальниковых компенсаторов, спускных и воздушных кранов в пределах проветриваемых подполий зданий не допускается.
Следует минимально ограничивать число отводов и соединений труб, в частности сварных отводов и других фасонных частей.
15.4.12 При устройстве на сети колодцев следует применять меры противодействия негативному воздействию морозного пучения грунта.
15.4.13 При всех способах прокладки водопроводных сетей следует предусматривать мероприятия по предохранению воды от замерзания при нормальной эксплуатации в период нарушения расчетного теплового и гидравлического режима работы трубопроводов:
- применение схем, обеспечивающих непрерывное движение воды в трубопроводах с максимально допустимой скоростью;
- тепловую изоляцию трубопроводов;
- подогрев трубопроводов;
- применение специальной арматуры, устойчивой против замерзания и средств автоматической защиты.
15.4.14 Непрерывность движения воды следует обеспечивать:
- применением тупиковых схем подачи воды с сухими резервирующими перемычками;
- применением схем с циркуляцией воды;
- использованием автоматических выпусков, сбрасывающих водопроводную воду в канализацию, при прекращении или опасном понижении температуры воды на отдельных участках.
15.4.15 При прокладке трубопроводов в каналах следует применять теплоизоляцию с использованием волокнистых и (или) вспененных материалов, включая пенобетон, а также других синтетических материалов.
15.4.16 Подогрев трубопроводов необходимо предусматривать на участках, где наиболее вероятно замерзание воды вследствие снижения скорости и понижения температуры в нормальных и аварийных режимах.
Для подогрева трубопроводов следует применять совместную прокладку труб в общей теплоизоляции с трубопроводами тепловых сетей или саморегулируемый электрический кабель, укладываемый непосредственно на поверхность труб. Витковое расположение кабеля допускается только на вводах и в местах установки водопроводной арматуры. Электроснабжение систем подогрева труб следует организовывать от местной сети с устройством системы автоматического управления подогревом.
15.4.17 Диаметры труб на вводах водопровода в здание, независимо от расчета, следует принимать не менее 50 мм.
На вводах водопровода следует устанавливать арматуру, спускные и воздушные краны из бронзы или полимеров и применять гнутые компенсаторы и отводы.
15.4.18 Для возможности опорожнения трубопроводы следует прокладывать с уклоном не менее 0,002.
16.1 В зависимости от назначения здания и предъявляемых требований к сбору и отведению сточных вод следует предусматривать следующие системы внутренней канализации:
- бытовую - для отведения сточных вод от санитарных приборов и бытовой техники (унитазов, умывальников, ванн, душей, стиральных и посудомоечных машин);
- производственную - для отведения производственных сточных вод;
- дренажную - для отведения сточных вод от любого оборудования, в результате эксплуатации которого необходимо отведение условно чистых вод, а также для отведения огнетушащих веществ, пролитых при испытании или после тушения пожара;
(в ред.
Изменения N 3, утв. Приказом Минстроя России от 18.12.2023 N 935/пр)
- объединенную - для отведения бытовых и производственных сточных вод при условии возможности их совместного транспортирования и очистки;
- внутренние водостоки - для отведения дождевых и талых вод с кровли здания.
В производственных зданиях допускается предусматривать несколько систем канализации, предназначенных для отведения сточных вод, отличающихся по составу, агрессивности, температуре и другим показателям, с учетом которых смешение их недопустимо или нецелесообразно.
16.2 Раздельные системы производственной и бытовой канализации следует предусматривать:
- для производственных зданий, сточные воды которых требуют обработки или очистки;
- для зданий бань и прачечных при устройстве теплоуловителей или при наличии местных очистных сооружений;
- для многофункциональных зданий и комплексов, магазинов, предприятий общественного питания и предприятий по переработке пищевой продукции.
16.3 Производственные сточные воды, подлежащие совместному отведению и очистке с бытовыми водами, должны отвечать требованиям территориальных правил приема производственных сточных вод в сети канализации населенных пунктов.
17 Санитарно-технические приборы и приемники сточных вод
17.1 В зданиях следует устанавливать санитарные приборы и приемники сточных вод, виды, типы и число которых соответствует техническому заданию и проектной документации.
17.2 Санитарные приборы и приемники производственных стоков, в конструкции которых отсутствуют гидравлические затворы (сифоны), при присоединении к бытовой или производственной канализации следует оборудовать гидравлическими затворами, предотвращающими поступление в помещение запахов и вредных газов из сети канализации.
Примечания
1 Для группы умывальников (не более трех), устанавливаемых в одном помещении, или для мойки с двумя отделениями допускается устанавливать один общий сифон с ревизией диаметром 50 мм. От группы душевых поддонов допускается устанавливать общий сифон с ревизией.
2 Для каждой производственной мойки (моечной ванны) следует предусматривать отдельную приемную воронку с сифоном диаметром 50 мм для каждого отделения.
3 Присоединять два умывальника, расположенные с двух сторон общей стены разных помещений, к одному сифону не допускается.
17.3 Тип и число приемников производственных сточных вод определяются технологической частью проекта.
Для присоединения приемников сточных вод к канализационным стоякам поэтажные трубопроводы диаметром 40 - 50 мм следует прокладывать с уклоном 0,03, а диаметром 75 - 100 мм - с уклоном 0,02.
(абзац введен
Изменением N 3, утв. Приказом Минстроя России от 18.12.2023 N 935/пр)
17.4 В ванных комнатах жилых зданий предусматривают возможность подключения холодной воды для стиральных машин и установку сифонов для приема стоков.
(в ред.
Изменения N 3, утв. Приказом Минстроя России от 18.12.2023 N 935/пр)
17.5 В дошкольных образовательных организациях, в общеобразовательных организациях (для учащихся младших классов), комнатах матери и ребенка в вокзалах, аэропортах и иных общественных зданиях, детских лечебно-профилактических организациях санитарно-техническое оборудование должно проектироваться с учетом использования детьми дошкольного и младшего школьного возраста.
17.6 В помещениях личной гигиены женщин производственных и общественных зданий следует предусматривать установку гигиенических душей.
17.7 В душевых, располагаемых на междуэтажных перекрытиях, а также в бытовых помещениях промышленных предприятий и спортивных сооружений устанавливают душевые поддоны.
(в ред.
Изменения N 3, утв. Приказом Минстроя России от 18.12.2023 N 935/пр)
17.8 Трапы следует устанавливать:
- диаметром 50 мм - в душевых без душевых поддонов на 1 - 2 душа;
- диаметром 100 мм:
- в душевых без душевых поддонов на 3 - 4 душа;
- в душевых с душевыми поддонами;
- в полу общественных туалетов;
- в уборных с тремя и более унитазами;
- в уборных с тремя и более писсуарами;
- в умывальных с пятью и более умывальниками;
- в помещениях личной гигиены женщин;
- в мусоросборных камерах;
- в производственных помещениях при необходимости мокрой уборки
полов или для производственных целей;
- в помещениях уборочного инвентаря, при наличии ввода воды
с поливочным краном.
Примечания
1 В лотке душевого помещения допускается устанавливать один трап не более чем на четыре душа.
2 В ванных комнатах жилых зданий, гостиниц и пансионатов трапы не устанавливаются, за исключением случаев, когда в ванных комнатах жилых зданий, номерах гостиниц и пансионатов трапы или душевой лоток выполняют роль душевого поддона.
(п. 17.8 в ред.
Изменения N 3, утв. Приказом Минстроя России от 18.12.2023 N 935/пр)
17.9 Уклон пола в душевых помещениях следует принимать 0,01 - 0,02 в сторону лотка или трапа. Лоток должен иметь ширину не менее 200 мм и начальную глубину не менее 30 мм.
Пропускная способность лотка должна обеспечивать отвод расчетного расхода стоков, направляемых в лоток.
(абзац введен
Изменением N 3, утв. Приказом Минстроя России от 18.12.2023 N 935/пр)
17.10 Во всех помещениях жилых и общественных зданий, в которых предусматриваются ввод воды с водоразборной арматурой и установка приемников сточных вод, следует предусматривать гидроизоляцию пола для защиты ниже расположенных помещений от протечек.
(в ред.
Изменения N 3, утв. Приказом Минстроя России от 18.12.2023 N 935/пр)
18 Устройство систем водоотведения
18.1 Отведение сточных вод следует предусматривать самотеком по закрытым трубопроводам.
Производственные стоки, не имеющие неприятного запаха и не выделяющие вредные газы и пары, если это вызывается технологической необходимостью, допускается отводить самотеком по открытым лоткам с устройством общего гидравлического затвора.
18.2 Участки канализационной сети следует прокладывать прямолинейно с уклоном согласно
19.1. Изменение направления прокладки канализационного трубопровода и присоединение санитарных приборов следует выполнять с помощью соединительных (переходных) деталей и фасонных частей.
Применять на сборном отводном (горизонтальном) трубопроводе трубы из разных материалов (с разными гидравлическими характеристиками) не допускается.
Изменять уклон прокладки сборного отводного (горизонтального) трубопровода не допускается.
18.3 Канализационные стояки по всей длине должны быть прямолинейными. При невозможности выполнения данного условия допускается устройство отступов на канализационных стояках, ниже которых присоединяются санитарно-технические приборы, при условии, что гидравлические затворы этих приборов гарантированы от срыва:
- если часть стояка ниже отступа может работать как невентилируемый стояк, максимальную пропускную способность невентилируемой части стояка следует определять по соответствующим таблицам пропускной способности невентилируемых стояков в зависимости от диаметра и материала труб. При этом необходимо учитывать, что максимальный расчетный расход необходимо считать по всему стояку (учитывая все приборы на стояке: до и после отступа), а высотой невентилируемой части стояка является расстояние от точки перехода горизонтального трубопровода (отступа) в стояк до точки перехода стояка в сборный отводной (горизонтальный) трубопровод;
- если часть стояка ниже отступа может работать как невентилируемый стояк, оборудованный воздушным (вакуумным) клапаном. При этом максимальный расчетный расход по всему стояку не должен превышать значений, указанных в
[13]. Воздушный (вакуумный) клапан следует устанавливать ниже точки перехода горизонтального трубопровода (отступа) в стояк, над подключением санитарно-технических приборов к невентилируемой части стояка;
(в ред.
Изменения N 3, утв. Приказом Минстроя России от 18.12.2023 N 935/пр)
- если выполнить устройство вентиляционного трубопровода для вентиляции части стояка, расположенной ниже отступа. В этом случае следует соединить вентиляционным трубопроводом нижнюю часть стояка, расположенную над точкой перехода стояка в горизонтальный трубопровод (отступ) и верхнюю часть стояка под точкой перехода горизонтального трубопровода (отступа) в стояк до подключения санитарно-технических приборов к невентилируемой части стояка. Диаметр вентиляционного трубопровода следует принимать равным диаметру стояка, а пропускная способность канализационного стояка ниже отступа будет как у вентилируемого стояка того же диаметра.
18.4 Для присоединения к стояку отводных трубопроводов, располагаемых под потолком помещений в подвалах и технических подпольях, следует предусматривать косые крестовины и тройники.
При переходе стояка в сборный отводной (горизонтальный) трубопровод запрещается применять отвод 90° (87,5°). Нижний отвод стояка следует монтировать не менее чем из двух отводов по 45° или трех отводов по 30° или из четырех отводов по 22,5°. В необходимых случаях допускается применение отводов 45° + 30° или 45° + 22,5°, или 45° + 2° по 22,5°.
Запрещается присоединение стояков к горизонтальным транзитным трубопроводам с помощью тройника 90° (87,5°) (кроме чердака зданий и внутренних водостоков из стальных труб).
(в ред.
Изменения N 4, утв. Приказом Минстроя России от 19.09.2024 N 630/пр)
Узлы поворотов самотечных трубопроводов в горизонтальной плоскости следует выполнять не менее чем из двух фасонных частей (два отвода или более, тройник и отвод и т.д.).
Для зданий с числом этажей более 10 при расстоянии менее 1 м между подключением к стояку санитарных приборов нижнего этажа и точкой перехода стояка в отводной (горизонтальный) трубопровод эти приборы следует присоединять непосредственно к отводному (горизонтальному) трубопроводу самостоятельным (дополнительным) стояком. Дополнительный стояк следует присоединять: к основному стояку в пределах одного этажа выше места подключения канализуемых приборов под углом 45°; к отводному (горизонтальному) трубопроводу - сбоку (в горизонтальной плоскости) под углом 45° не менее чем из двух фасонных частей (два отвода или более, тройник и отвод и т.д.) и не ближе 1,5 м от точки перехода основного стояка в сборный отводной (горизонтальный) трубопровод.
(в ред.
Изменения N 3, утв. Приказом Минстроя России от 18.12.2023 N 935/пр)
18.5 Соединение чугунных и полимерных трубопроводов следует выполнять с использованием специальных переходных муфт в месте, удобном для обслуживания.
Присоединение стояков к сборному отводному (горизонтальному) трубопроводу следует выполнять только в горизонтальной плоскости под углом 45° не менее чем двумя фасонными частями (два отвода или более, тройник и отвод и т.д.).
Применять одноплоскостные прямые крестовины с номинальным углом присоединения 87,5° (90°) при расположении их в горизонтальной и вертикальной плоскостях не допускается (кроме чердака зданий). Допускается применение двухплоскостных крестовин с номинальным углом присоединения 87,5° (90°) для подключения к стояку поэтажных отводов.
(п. 18.5 в ред.
Изменения N 3, утв. Приказом Минстроя России от 18.12.2023 N 935/пр)
18.6 Двустороннее присоединение отводных трубопроводов от ванн к одному стояку на одной отметке допускается только при применении косых крестовин.
Присоединять санитарные приборы, расположенные в разных квартирах на одном этаже, к одному стояку или трубопроводу не допускается.
18.7 Трубы и соединительные детали для безнапорных и напорных систем бытовых сточных вод следует принимать из полимерных материалов, нержавеющей стали, чугунные, стальные с антикоррозионным внутренним и наружным покрытием на бессварных соединительных муфтах.
Применение стальных труб без внутреннего и наружного антикоррозионного покрытия не допускается.
18.8 Сети внутренней канализации зданий следует проектировать из канализационных труб, рассчитанных на транспортирование сточных вод с постоянной температурой не ниже 55 °C и кратковременно (не менее 1 мин) с температурой не менее 95 °C и расчетного периода эксплуатации не менее 25 лет.
Примечания
1 В системах безнапорной канализации для труб из полипропилена (ПП) и полиэтилена (ПЭ) допускается (при залповых расходах жидкости) кратковременное повышение температуры транспортируемой среды до 100 °C, в трубах из поливинилхлорида (ПВХ) - до 65 °C.
2 Срок службы фасонных частей должен соответствовать сроку службы труб, при этом применение фасонных частей и труб из различных полимерных материалов не допускается.
3 Способы соединения (разъемные и неразъемные), а также материалы, используемые для соединения труб и фасонных деталей (фланцы, уплотнительные кольца, клеевые составы и т.п.), не должны снижать расчетного периода эксплуатации систем канализации.
Выбор материала и типа труб (фасонных частей) следует производить с учетом срока службы, агрессивности транспортируемых стоков и условий работы трубопроводов. В системах безнапорной канализации для труб из ПП допускается температура транспортируемой среды до 95 °C, например при проектировании кухонных стояков и сифонов кухонных моек, приемников сточных вод и трубопроводов помещений общественного питания, прачечных, пунктов подготовки воды, и с температурой до 100 °C при проектировании котельных, тепловых пунктов и других помещений, в которых по условиям эксплуатации могут формироваться стоки (в том числе аварийные) с температурой 100 °C.
18.9 Прокладку трубопроводов систем внутренней канализации следует предусматривать:
- скрыто - с заделкой в строительной конструкции, под полом (в земле, подпольных каналах), панелях, бороздах стен, под облицовкой колонн (в приставных коробах у стен, колонн), в подшивных потолках, в санитарно-технических кабинах, в вертикальных шахтах, по полу вдоль стен в зашивке, в монтажных коммуникационных шахтах, штрабах, каналах, коробах, ограждающие конструкции которых выполняются из негорючих материалов, за исключением помещений санузлов жилых домов и подобных помещений, когда требуется обеспечить доступ локально к ревизиям и прочисткам на стояках и к арматуре, требующей обслуживания (изготовляется в виде дверцы из материалов, отнесенных к группе горючести не ниже Г2 по
[3] на лицевой панели зашивки). Напротив ревизий на стояках при скрытой прокладке следует предусматривать люки размерами не менее 0,3 x 0,4 м.
(в ред.
Изменения N 3, утв. Приказом Минстроя России от 18.12.2023 N 935/пр,
Изменения N 5, утв. Приказом Минстроя России от 17.01.2025 N 17/пр)
Допускается предусматривать напротив ревизий люки отличных размеров при обеспечении площади люков не менее 0,12 м2, а также удобства проведения работ, в том числе при использовании механизированных устройств для прочистки систем канализации;
(абзац введен
Изменением N 5, утв. Приказом Минстроя России от 17.01.2025 N 17/пр)
- открыто - в подпольях, подвалах зданий (кроме производственных складских и служебных помещений), технических этажах, в помещениях, предназначенных для размещения инженерных сетей, с креплением к конструкциям зданий (стенам, колоннам, потолкам, фермам, специальным опорам); в производственных и подсобных помещениях, коридорах, а также на чердаках, в санузлах жилых зданий.
В подпольных каналах совместная прокладка водопровода холодной (горячей воды) с сетями канализации исключается.
(абзац введен
Изменением N 3, утв. Приказом Минстроя России от 18.12.2023 N 935/пр)
18.10 Для систем внутренней канализации и водостоков необходимо соблюдать следующие условия:
а) прокладка трубопроводов систем внутренней канализации с трубами из полимерных материалов в земле, под полом здания допускается с учетом возможных нагрузок;
б) места прохода стояков через перекрытия должны быть заделаны цементным раствором <*> на всю толщину перекрытия;
(в ред.
Изменения N 3, утв. Приказом Минстроя России от 18.12.2023 N 935/пр)
--------------------------------
<*> Перед заделкой стояка раствором на трубы необходимо закрепить без зазора звукоизоляционный кожух из негорючего утеплителя толщиной 30 мм, имеющий гидроизоляционное или фольгированное покрытие с внешней стороны. Утеплитель должен выступать на 30 мм от перекрытия (пола) с каждой стороны. При применении пластиковых трубопроводов с установкой противопожарных манжет выступ на 30 мм от перекрытия вниз не устанавливают.
(сноска введена
Изменением N 3, утв. Приказом Минстроя России от 18.12.2023 N 935/пр)
в) участок стояка до горизонтального отводного трубопровода (но не более 5 - 8 см) следует защищать цементным раствором толщиной 2 - 3 см;
г) при пересечении трубопроводами ограждающих конструкций с нормируемыми пределами огнестойкости или противопожарных преград должны быть выполнены требования по огнестойкости узлов пересечения в соответствии с требованиями
[3];
(в ред.
Изменения N 3, утв. Приказом Минстроя России от 18.12.2023 N 935/пр)
д) не допускается прокладка систем внутренней канализации и водостоков с трубами из полимерных материалов через помещения отдельно стоящих и встроенно-пристроенных в здания стоянок автомобилей.
Примечание исключено с 19.01.2024. -
Изменение N 3, утв. Приказом Минстроя России от 18.12.2023 N 935/пр.
18.11 Прокладка трубопроводов внутренней канализации не допускается:
- под потолком, у стен, в стенах и в полу жилых комнат, спальных помещений дошкольных образовательных организаций, гостиниц, больничных палат, врачебных кабинетов, обеденных залов, рабочих комнат персонала общественных, административных и производственных зданий, залов заседаний, зрительных залов, библиотек, учебных аудиторий, электрощитовых и трансформаторных, пультов управления автоматики и производственных помещений, требующих особого санитарного режима;
(в ред.
Изменения N 3, утв. Приказом Минстроя России от 18.12.2023 N 935/пр)
- под потолком помещений предприятий общественного питания, кухонь, торговых залов, складов пищевых продуктов и ценных товаров, вестибюлей, помещений, имеющих ценное художественное оформление, производственных помещений в местах установки производственных печей, на которые не допускается попадание влаги, помещений, где производятся ценные товары и материалы, качество которых снижается от попадания на них влаги.
Примечания
1 К стоякам, расположенным на территории кухонь и обслуживающим санитарно-технические приборы кухонь (кухонным стоякам) в жилых зданиях, допускается подключать только кухонные мойки, посудомоечные машины и аналогичные устройства. Подключение оборудования санузлов к кухонным стоякам не допускается. Кухонные стояки следует размещать только скрыто - с заделкой в строительной конструкции, в каналах, панелях, штрабах, бороздах стен, в приставных коробах у стен, в вертикальных монтажных коммуникационных шахтах. Ревизии на этих стояках следует предусматривать в соответствии с
18.26, не выше борта кухонной мойки. Напротив ревизий следует предусматривать люки размерами не менее 0,3 x 0,4 м.
Допускается предусматривать напротив ревизий люки отличных размеров при обеспечении площади люков не менее 0,12 м2, а также удобства проведения работ, в том числе при использовании механизированных устройств для прочистки систем канализации.
(абзац введен
Изменением N 5, утв. Приказом Минстроя России от 17.01.2025 N 17/пр)
2 В помещениях приточного вентиляционного оборудования допускается прокладка водосточных и канализационных стояков и трубопроводов из чугунных безраструбных труб при размещении их вне зоны воздухозабора без установки прочисток и ревизий.
(в ред.
Изменения N 3, утв. Приказом Минстроя России от 18.12.2023 N 935/пр)
3 Трубопроводы внутренних систем бытовых и производственных сточных вод (канализации) прокладывать в шахтах с воздуховодами систем вентиляции, внутри воздуховодов, а также снаружи на расстоянии менее 100 мм от них не допускается. Пересечение воздуховодов трубопроводами бытовой и производственной канализации не допускается.
4 Допускается прокладка под потолком входных вестибюлей в жилые здания внутренних водостоков и отводящих трубопроводов от расположенных над ним санитарно-технических приборов квартир и апартаментов при условии прокладки их за подшивным потолком, допускающим легкий доступ для осмотра трубопровода. Прокладка трубопроводов должна выполняться из напорных труб (полимерных, стальных на бессварных муфтовых соединениях, чугунных безраструбных с усиливающими хомутами.
(примечание 4 в ред.
Изменения N 4, утв. Приказом Минстроя России от 19.09.2024 N 630/пр)
5 Отвод конденсата от внутренних и наружных блоков кондиционеров допускается прокладывать в штрабах стен и перегородок, в специальных пластиковых каналах к стояку канализации. При подключении к стояку канализации следует устраивать отвод с установкой сифона со специальным запахозапирающим устройством или капельной воронкой с разрывом струи. Следует устраивать только один сифон при подключении конденсатной линии к системе дренажной канализации. Допускаемый уклон - 0,01. Уклон следует соблюдать по всей длине трубопровода. Трубопроводы следует применять пластиковые или медные. При этом следует предусматривать возможность прочистки системы дренажной канализации. Допускается установка отдельных стояков и сборной сети для отвода конденсата со сбросом в наружную сеть водостока отдельным выпуском.
(примечание 5 введено
Изменением N 3, утв. Приказом Минстроя России от 18.12.2023 N 935/пр)
6 Допускается прокладывать канализационные трубопроводы от лабораторных столов в кабинетах физики, химии, биологии в полу учебных кабинетов.
(примечание 6 введено
Изменением N 3, утв. Приказом Минстроя России от 18.12.2023 N 935/пр)
18.12 К сети канализации следует предусматривать присоединение с разрывом струи не менее 20 мм от верха приемной воронки:
- технологического оборудования для приготовления и переработки пищевой продукции;
- оборудования для мойки посуды, устанавливаемого в общественных и производственных зданиях;
- спускных трубопроводов бассейнов.
Примечания
1 Присоединение отводящих трубопроводов от вентиляционного оборудования (воздухоохладителей, камер орошения, сплит-систем, водонагревателей и аналогичного оборудования) следует предусматривать с разрывом струи через гидрозатворы или устройства, препятствующие проникновению запаха в помещения.
2 Разрыв струи с гидрозатворами или устройствами, препятствующими проникновению канализационных газов в помещения, необходимо располагать как можно ближе к вентиляционному оборудованию во избежание образования застойных (мокрых) зон, способствующих развитию болезнетворных форм.
(примечания в ред.
Изменения N 3, утв. Приказом Минстроя России от 18.12.2023 N 935/пр)
18.13 Стояки бытовой канализации верхних этажей здания, проходящие через предприятия общественного питания и другие встроенные помещения, следует прокладывать в коммуникационных шахтах без установки ревизий.
18.14 Прокладку трубопроводов производственных сточных вод в производственных и складских помещениях предприятий общественного питания, в помещениях для приема, хранения и подготовки товаров к продаже и в подсобных помещениях магазинов допускается размещать в коробах без установки ревизий.
18.15 Выпуски бытовой канализации встроенно-пристроенных помещений следует предусматривать отдельно от выпусков жилой части здания.
От сетей производственных и бытовых сточных вод магазинов и предприятий общественного питания допускается присоединение двух раздельных выпусков к одному колодцу централизованной системы водоотведения.
Сети дренажной канализации и внутренних водостоков допускается присоединять двумя раздельными выпусками к одному колодцу ливневой системы водоотведения или к централизованным системам водоотведения с учетом требований
пункта 21.3.
(в ред.
Изменения N 3, утв. Приказом Минстроя России от 18.12.2023 N 935/пр)
18.16 Для взрывопожароопасных производств, сточные воды которых содержат горючие и легковоспламеняющиеся жидкости (ЛВЖ), следует предусматривать производственную канализацию с вентиляционными стояками, самостоятельными выпусками и гидрозатворами на каждом из них с учетом требований соответствующих технологических норм.
18.17 Производственную сеть канализации, транспортирующую сточные воды, содержащие горючие жидкости и ЛВЖ, присоединять к бытовой системе водоотведения и водостокам не допускается.
18.18 Вентиляцию сетей бытовой и производственной канализации, отводящих стоки в наружную канализационную сеть, следует предусматривать через вентилируемые стояки, присоединяемые к высшим точкам трубопроводов через направленный вверх патрубок косого тройника.
Вытяжная часть канализационного стояка выводится вертикально через кровлю или сборную вентиляционную шахту здания на высоту:
- 0,2 м от плоской неэксплуатируемой и скатной кровли;
- 0,1 м от обреза сборной вентиляционной шахты;
- не менее 3,0 м от плоской эксплуатируемой кровли при обязательном выполнении требований
18.22.
Выводимые выше кровли вытяжные части канализационных стояков следует размещать от открываемых окон и балконов на расстоянии не менее 4 м (по горизонтали).
18.19 Диаметр вытяжной части одиночного канализационного стояка должен быть равен диаметру его рабочей части. При применении пластиковых труб следует предусматривать защиту их частей на кровле от ультрафиолета (солнечного света).
(в ред.
Изменения N 3, утв. Приказом Минстроя России от 18.12.2023 N 935/пр)
18.20 При объединении группы стояков единой вытяжной частью ее диаметр и диаметр сборного вентиляционного трубопровода следует принимать равными наибольшему диаметру стояка из объединяемой группы. Участки сборного вентиляционного трубопровода следует прокладывать с уклоном в сторону присоединяемых стояков, обеспечивая сток конденсата. На холодных чердаках эти трубопроводы следует прокладывать в теплоизоляции. Требования к материалам и конструкциям теплоизоляции установлены в
СП 61.13330.
Допускается подключать вентиляционную часть от встроенных помещений к стоякам, идущим на кровлю от жилых помещений в пределах секции здания, с проверкой стояка на срыв сифонов у приборов (за исключением предприятий общественного питания и продовольственных магазинов).
(абзац введен
Изменением N 3, утв. Приказом Минстроя России от 18.12.2023 N 935/пр)
18.21 Установка в устье вытяжной части стояка сопротивлений в виде дефлекторов (флюгарка, простой колпак и т.п.) не допускается.
18.22 Вытяжная часть над эксплуатируемой кровлей высотой не менее 3 м, должна объединять не менее четырех канализационных стояков для предотвращения обмерзания вытяжной части канализационного стояка в зимний период. При невозможности выполнить это условие канализационные стояки не следует выводить выше кровли. В этом случае каждый стояк должен оканчиваться воздушным (вакуумным) клапаном (пропускающим воздух только в одну сторону - в стояк), устанавливаемым в устье стояка над полом верхнего этажа, выше борта самого высокорасположенного санитарно-технического прибора или оборудования в соответствии с
19.8,
19.9 и
[13].
(в ред.
Изменения N 3, утв. Приказом Минстроя России от 18.12.2023 N 935/пр)
Аналогичные решения следует принимать во всех случаях, когда канализационные газы от стояков необходимо отвести из зоны пребывания людей.
18.23 В зданиях допускается устройство невентилируемых канализационных стояков/группы стояков и (или) невентилируемых канализационных стояков/группы стояков с воздушными (вакуумными) клапанами. При проектировании в жилых или общественных зданиях систем внутренней канализации с невентилируемыми стояками должно быть выполнено условие сохранения режима вентиляции наружной сети канализации в соответствии с
18.25, к которой присоединяются выпуски из этих зданий.
(в ред.
Изменения N 3, утв. Приказом Минстроя России от 18.12.2023 N 935/пр)
18.24 При соответствующем обосновании допускается не устраивать вытяжную часть для объединяемой поверху группы из четырех канализационных стояков и более. При этом следует учитывать, что объединение поверху четырех стояков и более сборным вентиляционным трубопроводом, не имеющим вытяжной части, делает систему невентилируемой, но пропускная способность каждого невентилируемого стояка из объединяемой группы равна пропускной способности вентилируемого стояка того же диаметра.
18.25 Число
n канализационных стояков с вытяжной частью, обеспечивающих режим вентиляции наружной сети канализации (заданную кратность воздухообмена на расчетном участке наружной сети канализации), следует определять по формуле

(32)
где k - суточная кратность воздухообмена в сети канализации, k = 80 - 100 1/сут;
W - емкость расчетного (вновь проектируемого) участка наружной сети канализации (до подключения к существующим наружным сетям), обслуживающего данный объект, м3;
Q = 320 м3/сут - расчетный расход загрязненного воздуха, выходящего из вытяжной части одиночного вентилируемого стояка диаметром 100 мм.
Примечания
1 Под емкостью расчетного участка наружной сети следует понимать внутренний объем трубопроводов и колодцев на расчетном участке наружной сети.
2 При реконструкции зданий и сооружений отказ от части вентилируемых канализационных стояков или их замена на невентилируемые (с воздушными (вакуумными) клапанами или без них) возможны только после проверки обеспечения режима вентиляции наружной сети, обслуживающей объект реконструкции, на соответствие требованиям данного примечания.
(в ред.
Изменения N 3, утв. Приказом Минстроя России от 18.12.2023 N 935/пр)
3 При невозможности обеспечения заданной кратности воздухообмена режима вентиляции наружных сетей, обслуживающих объект, необходимо выполнить мероприятия для обеспечения заданной кратности воздухообмена в наружной сети (например, применение дополнительных "сухих" вентилируемых стояков, обеспечивающих только вентиляцию наружных сетей). Подключение рабочих стояков к дополнительным "сухим" вентиляционным стоякам не допускается.
(в ред.
Изменения N 3, утв. Приказом Минстроя России от 18.12.2023 N 935/пр)
4 При проектировании жилых зданий, частных домов на одну или несколько семей, коттеджей, таунхаусов и подобных зданий, внутренние сети канализации которых подключаются как к централизованной системе водоотведения, так и к септикам (сверхмалым аэрационным установкам), следует предусматривать не менее одного вентилируемого стояка на один выпуск без расчета.
18.26 На сетях бытовой и производственной канализации следует предусматривать установку ревизий или прочисток:
- на стояках при отсутствии на них отступов - на нижнем и верхнем этажах, а при наличии отступов - также и на вышерасположенных над отступами этажах;
- в жилых и общественных зданиях с числом этажей пять и более - не реже чем через три этажа;
- в начале участков (по движению стоков) отводных трубопроводов при числе присоединяемых приборов три и более, под которыми нет устройств для прочистки;
- на поворотах сети - при изменении направления движения стоков, если участки трубопровода не могут быть прочищены через другие участки;
- в проходных туннелях.
Вместо ревизии на подвесных трубопроводах сети канализации, прокладываемых под потолком, предусматривают установку прочисток, выводимых в вышерасположенный этаж, с устройством люка в полу или открыто в зависимости от назначения помещения. Ревизии и прочистки необходимо устанавливать в местах, удобных для их обслуживания.
(в ред.
Изменения N 3, утв. Приказом Минстроя России от 18.12.2023 N 935/пр)
Примечание - На трубопроводах внутренней бытовой канализации, проходящей через встроенные помещения, допускается не предусматривать установку ревизий и прочисток. При этом ревизии и прочистки должны быть размещены на стояках выше и ниже этих помещений.
18.27 На сети производственной канализации, отводящей сточные воды, не имеющие запаха и не выделяющие вредных газов и паров, допускается устройство смотровых колодцев внутри производственных зданий. На подземных трубопроводах сети канализации ревизии следует устанавливать в колодцах диаметром не менее 0,7 м. Днища колодцев должны иметь уклон не менее 0,05 к фланцу ревизий. На сети производственной канализации, выделяющей запахи, вредные газы и пары, возможность устройства колодцев и их конструкцию следует предусматривать по технологическим нормам.
18.28 Смотровые колодцы на сети производственной канализации следует предусматривать на поворотах трубопроводов, в местах присоединения ответвлений, а также на прямолинейных участках трубопроводов на расстояниях, приведенных в
18.27.
На сети бытовой канализации устройство смотровых колодцев внутри зданий не допускается.
18.29 Трубопроводы, прокладываемые в помещениях, где по условиям эксплуатации возможно их механическое повреждение, должны быть защищены, а для участков трубопроводов, эксплуатируемых при отрицательных температурах, следует предусматривать мероприятия, предотвращающие промерзание трубопроводов (электроподогрев, прокладка греющего спутника).
В бытовых помещениях допускается предусматривать прокладку труб на глубине 0,1 м от поверхности пола до верха трубы.
18.30 На горизонтальных участках сети канализации наибольшие допускаемые расстояния между ревизиями или прочистками следует принимать согласно таблице 18.1.
Таблица 18.1
Диаметр трубопровода, мм | Расстояние, м, между ревизиями и прочистками в зависимости от вида сточных вод | Вид устройства для проведения прочистки |
Производственные незагрязненные и водостоки | Бытовые и производственные, близкие к ним | Производственные, содержащие большое количество взвешенных веществ |
50 | 15 | 12 | 10 | Ревизия |
50 | 10 | 8 | 6 | Прочистка |
100 - 150 | 20 | 15 | 12 | Ревизия |
100 - 150 | 15 | 10 | 8 | Прочистка |
200 и более | 25 | 20 | 15 | Ревизия |
18.31 Помещения с санитарными приборами, борта которых расположены ниже уровня люка ближайшего смотрового колодца, должны быть защищены от подтопления в случае его переполнения. В таких случаях допускается присоединение санитарных приборов к системе водоотведения, изолированной от системы водоотведения вышерасположенных помещений, с устройством отдельного выпуска. На выпуске следует предусматривать устройство автоматизированной (электрифицированной) запорной арматуры (канализационный затвор) или автоматической насосной установки, управляемой по сигналу датчика, устанавливаемого на трубопроводе в подвале или вмонтированного в запорное устройство, и подачей аварийного сигнала в дежурное помещение или на диспетчерский пункт. Допускается отключать водоснабжение одновременно с подачей сигнала о подтоплении (кроме систем объединенного хозяйственно-противопожарного и производственно-противопожарного водопроводов).
(в ред.
Изменения N 3, утв. Приказом Минстроя России от 18.12.2023 N 935/пр)
За автоматизированной запорной арматурой ниже по течению стоков допускается подключение канализации вышерасположенных этажей, при этом устанавливать ревизии в подвале на стояке не допускается.
Все отводные трубопроводы (ревизии, прочистки), расположенные за автоматизированной запорной арматурой, в том числе прокладываемые ниже пола первого этажа, а также стояки вышерасположенных этажей следует рассчитывать на гидростатическое давление до уровня люка ближайшего смотрового колодца при засорах и переполнениях и жестко закреплять во избежание продольных и поперечных перемещений.
18.32 Допускается присоединять напорный трубопровод от малогабаритной насосной установки (расход от 2 - 4 приборов) в самотечный трубопровод канализации с устройством петли гашения напора.
18.33 Подвальные помещения с наличием санитарных приборов должны быть отделены глухими капитальными стенами от складских помещений для хранения продуктов или ценных товаров.
18.34 Диаметр и уклон выпуска следует определять расчетом. Конструктивно диаметр выпуска должен быть не меньше диаметра наибольшего из стояков, присоединяемых к выпуску.
18.35 На сборных отводных (горизонтальных) трубопроводах внутренних систем водоотведения допускается устройство перепадов с установкой прочистки или ревизии.
Перепад выполняется в виде стояка диаметром, равным диаметру подводящего трубопровода.
(абзац введен
Изменением N 3, утв. Приказом Минстроя России от 18.12.2023 N 935/пр)
18.36 Длина выпуска от ближайшего стояка или прочистки до оси смотрового колодца должна быть не более указанной в таблице 18.2.
Диаметр трубопровода, мм | 50 | 100 | 150 и более |
Длина выпуска от стояка или прочистки до оси смотрового колодца, м | 8 | 12 | 15 |
При длине выпуска более длины, указанной в
таблице 18.2, необходимо предусматривать устройство дополнительного смотрового колодца.
Длину выпуска незагрязненных сточных вод и водостоков при диаметре труб 100 мм и более допускается увеличивать до 20 м.
18.37 Пересечение трубопроводами систем водоотведения и водостоков наружных стен подвала или фундаментов здания следует выполнять в соответствии с
8.8.
18.38 Прокладка трубопроводов и стояков бытовой канализации снаружи здания не допускается.
Прокладка трубопроводов внутренних систем водоотведения и водостока и их выпусков в местах, где доступ к ним во время эксплуатации и при аварийных ситуациях связан с ослаблением несущих элементов и конструкций зданий и сооружений (под фундаментными плитами, в ограждающих конструкциях, в конструкции перекрытий), не допускается.
18.39 Выпуски самотечных систем из зданий с большой прогнозируемой осадкой следует размещать в проемах фундаментов, высота отверстий в которых над выпуском должна быть больше прогнозируемой величины осадки здания на 20 мм. Трассы самотечных систем должны присоединяться к выпускам через вертикальные участки с компенсирующей муфтой высотой, превышающей осадку здания.
(п. 18.39 введен
Изменением N 3, утв. Приказом Минстроя России от 18.12.2023 N 935/пр)
19 Расчет внутренней системы водоотведения
19.1 Гидравлический расчет отводных напорных и безнапорных (самотечных) горизонтальных трубопроводов (выпусков) следует выполнять по таблицам или формулам, с учетом шероховатости материала труб, вязкости жидкости и взаимозависимости средних скоростей течения стоков и гидравлических сопротивлений. Требования к проектированию и монтажу трубопроводов приведены в
[12],
[13] и
СП 66.13330.
Выбор расчетного уклона i, средней скорости сточной жидкости V, м/с, и наполнения h/d следует производить таким образом, чтобы было выполнено условие, характеризующее режим самоочищения в безнапорном трубопроводе:

(33)
где h - высота наполнения трубопровода сточной жидкостью;
K = 0,5 - для трубопроводов из полимерных материалов;
K = 0,6 - для трубопроводов из других материалов.
При этом средняя скорость движения стоков должна быть не менее 0,7 м/с (самоочищающая), а наполнение трубопроводов - не менее 0,3.
В тех случаях, когда выполнить условие (33) не представляется возможным из-за недостаточной величины расхода сточных вод, следует увеличить число стояков, присоединяемых к данному сборному отводному (горизонтальному) трубопроводу (выпуску) для увеличения величины расхода сточной жидкости, достаточного для обеспечения режимов самоочищения, и, только если такая возможность отсутствует, нерасчетные участки отводных горизонтальных трубопроводов следует прокладывать с уклоном 1/d.
В системах производственной канализации средняя скорость движения стоков и наполнение трубопроводов определяются необходимостью транспортирования загрязнений, содержащихся в производственных стоках.
19.2 Данные по пропускной способности вентилируемых и невентилируемых канализационных стояков из различных материалов приведены в
таблицах К.1 -
К.8 приложения К.
При расходе сточных вод, превышающем максимальные значения, приведенные в
таблицах К.1 -
К.8, следует либо увеличить диаметр стояка, либо рассредоточить расход по нескольким стоякам.
Допустимая величина разрежения

в вентилируемых и невентилируемых канализационных стояках не должна превышать 0,9
h3 (
h3 - высота наименьшего из гидравлических затворов санитарно-технических приборов, присоединенных к канализационному стояку).
Конструктивно диаметр канализационного стояка не может быть меньше диаметра поэтажных отводов, присоединенных к этому стояку.
19.3 При высоте гидравлических затворов 50 - 60 мм у приборов, присоединяемых к вентилируемому стояку внутренней системы водоотведения, его диаметр следует принимать в зависимости от материала труб и максимальной пропускной способности стояка по
таблицам К.1 -
К.4.
19.4 Максимальную пропускную способность вентилируемого канализационного стояка при другой высоте гидравлических затворов следует определять по формуле

(34)
где qs - расчетный расход стоков, м3/с;

- допустимая (максимальная) величина разрежения в стояке, мм вод. ст.;

;

- угол присоединения поэтажного отвода к стояку, градус;
Dст - внутренний диаметр стояка, м;
dотв - внутренний диаметр поэтажного отвода, м;
Lст - рабочая высота стояка, м.
Величину разрежения в вентилируемом стояке при расчетном расходе qs следует определять по формуле

(35)
19.5 Значения пропускной способности вентилируемых канализационных стояков, приведенные в
таблицах К.1 -
К.4, рассчитаны для стояков высотой
Lст >= 90
Dст.
При Lст >= 90Dст следует принимать Lст = 90Dст.
При высоте стояка
Lст < 90
Dст значения пропускной способности стояка, приведенные в
таблицах К.1 -
К.4, необходимо умножить на

.
19.6 При высоте гидравлических затворов 50 - 60 мм у приборов, присоединяемых к невентилируемому канализационному стояку, диаметр стояка следует принимать в зависимости от материала труб по
таблицам К.5 -
К.7.
При другой высоте гидравлических затворов величину разрежения в невентилируемом стояке следует определять по формуле

(36)
где

- допустимая (максимальная) величина разрежения в стояке, мм вод. ст.;

;
Vсм - скорость водовоздушной смеси, м/с, следует определять по формуле

(37)
здесь qs - расчетный расход стоков, м3/с;

- площадь сечения стояка, м
2;
Qв - расход воздуха, эжектируемого (увлекаемого) в стояк движущимися в нем сверху вниз стоками, м3/с, определяемый по формуле

(38)
19.7 В случае невозможности устройства вытяжной части стояка и при расходе стоков, превышающем максимальные значения, приведенные в
таблицах К.5 -
К.7, следует:
- увеличить диаметр стояка;
- рассредоточить расход сточных вод по нескольким невентилируемым стоякам;
- применить воздушный (вакуумный) клапан;
(в ред.
Изменения N 3, утв. Приказом Минстроя России от 18.12.2023 N 935/пр)
- объединить поверху не менее четырех канализационных стояков в соответствии с
18.22, при этом необходимо обеспечить вентиляцию наружной сети канализации в соответствии с
18.25.
19.8 При высоте гидравлических затворов 50 - 60 мм у приборов, присоединяемых к невентилируемому канализационному стояку, с установленным на нем воздушным (вакуумным) клапаном, диаметр стояка следует принимать в зависимости от материала труб по
таблице К.8. Установку воздушных (вакуумных) клапанов следует выполнять в соответствии с
18.23.
(в ред.
Изменения N 3, утв. Приказом Минстроя России от 18.12.2023 N 935/пр)
19.9 При другой высоте гидравлических затворов расход стоков в невентилируемом стояке с установленным на нем воздушным (вакуумным) клапаном следует определять по формуле
(в ред.
Изменения N 3, утв. Приказом Минстроя России от 18.12.2023 N 935/пр)

(39)
где

- эквивалентный диаметр воздушного (вакуумного) клапана, выраженный через площадь
.
(в ред.
Изменения N 3, утв. Приказом Минстроя России от 18.12.2023 N 935/пр)
20 Местные установки для очистки и перекачки сточных вод
20.1 Производственные сточные воды, не отвечающие нормативам состава сточных вод
[8], следует очищать до поступления их в централизованные системы водоотведения. Для этого в здании или около него следует предусматривать устройство локальных очистных сооружений. После очистки в локальных очистных сооружениях сточные воды должны соответствовать требованиям к составу и свойствам сточных вод для приема их в наружную канализационную сеть.
20.2 Установку жироуловителей на выпусках производственных стоков следует предусматривать для следующих предприятий общественного питания:
- работающих на полуфабрикатах - при числе мест в залах 500 и более;
- работающих на сырье - при числе мест в залах 200 и выпускающих более 600 блюд;
- пищеблоков в больницах на 1000 коек и более.
20.3 При отсутствии возможности установки жироуловителя на выпуске около здания размещение его внутри здания допускается при выполнении условий:
- размещение жироуловителя в отдельном помещении с приточно-вытяжной вентиляцией (отдельной от приточно-вытяжной вентиляции других помещений или здания), исключающей попадание в другие помещения неприятных запахов;
- наличия в очистной установке (жироуловителе) разрыва струи между водопроводом холодной воды и содержимым емкости установки (жироуловителя);
- возможности откачки жироуловителя без доступа утилизационной машины с цистерной внутрь здания;
- наличие ввода горячей и холодной воды с поливочным краном внутрь помещения с жироуловителем, а также трапа диаметром 100 мм для уборки помещения и технического обслуживания жироуловителя;
- наличие собственной вентиляции (отвод на корпусе жироуловителя для возможности монтажа вентилируемого стояка) для вентиляции корпуса очистной установки (жироуловителя).
При размещении жироуловителя в отдельном помещении внутри здания необходимо учитывать геометрические размеры проходов и проемов (после отделки) позволяющие, при необходимости, демонтаж и замену очистной установки (жироуловителя).
Помещение с установленным в нем жироуловителем должно отделяться от других помещений дверями с уплотнителями, исключающими возможность попадания в это помещение посторонних лиц.
Жироуловители необходимо размещать как можно ближе к источнику жиросодержащих стоков, канализационные трубопроводы, транспортирующие жиросодержащие стоки к жироуловителям, следует прокладывать с уклоном 0,02, чтобы предотвратить жировые отложения. Если выполнить эти условия невозможно по конструктивным и эксплуатационным причинам и (или) если требуются более длинные линии, необходимо принять соответствующие меры, чтобы предотвратить накопление и отложение жира (например, теплоизоляция трубопровода или сопутствующие обогрев, электроподогрев).
На канализационных трубопроводах, транспортирующих жиросодержащие стоки к жироуловителям, необходимо предусматривать только вентилируемые стояки, вытяжная часть которых выводится через кровлю в соответствии с
18.17:
- при длине трубопровода не более 5 м - один вентилируемый стояк;
- при длине трубопровода от 5 до 10 м включительно - два вентилируемых стояка, один из которых необходимо располагать в начале участка, другой - непосредственно перед подключением трубопровода к жироуловителю;
- при длине более 10 м - через каждые 5 м - дополнительный вентилируемый стояк.
На отводящем трубопроводе, при возможности естественного отведения стоков, непосредственно за жироуловителем следует предусматривать вентилируемый стояк для вентиляции отводящего трубопровода.
Вентилируемые стояки трубопроводов, транспортирующих жиросодержащие стоки, вентилируемый сток для собственной вентиляции жироуловителя, а также вентилируемый стояк на отводящем трубопроводе от жироуловителя, при необходимости, допускается объединять в группу единой вытяжной частью в соответствии с
18.20.
Объединение вентилируемых стояков (группы стояков) трубопроводов, транспортирующих жиросодержащие стоки, с вентилируемыми стояками (группой стояков), предназначенных для вентиляции канализационных трубопроводов другого назначения (например, бытовых), не допускается.
Установка внутри зданий бензоуловителей, уловителей ЛВЖ и любых продуктов, являющихся источником взрывопожароопасных паров (при температуре стоков от 0 °C до 100 °C и атмосферном давлении), не допускается.
20.4 Сброс в систему водоотведения технологических растворов, а также осадка технологических резервуаров при их очистке не допускается.
Спуск в систему водоотведения ядовитых продуктов и реагентов при эксплуатации в штатном режиме и при авариях запрещается. Эти продукты следует сбрасывать в специальные технологические емкости для дальнейшей утилизации или обезвреживания. Во всех случаях следует соблюдать требования территориальных правил приема производственных сточных вод в системы водоотведения поселения или городского округа.
20.5 Отработанные реактивы из лабораторий перед спуском их в систему водоотведения следует обезвреживать средствами лабораторий, при этом значение pH сточных вод должно быть от 6,5 до 8,5.
20.6 Очистку и обеззараживание сточных вод от больниц и других стационаров, в том числе инфекционных, следует выполнять в соответствии с
СП 158.13330.
20.7 Насосы и приемные резервуары для производственных стоков, не выделяющих ядовитые и неприятные запахи, газы и пары, а также пневматические насосные установки допускается располагать в производственных и общественных зданиях.
Насосы для перекачки бытовых и производственных стоков, имеющих в своем составе токсичные и быстро загнивающие загрязнения, а также выделяющие ядовитые и неприятные запахи, газы и пары, следует располагать в отдельно стоящем здании, подвале или изолированном помещении, а при отсутствии подвала - в отдельном отапливаемом помещении первого этажа, имеющем самостоятельный выход наружу или на лестничную клетку.
20.8 Помещение насосной станции следует оборудовать приточно-вытяжной вентиляцией. Приемные резервуары для указанных стоков необходимо располагать вне зданий или в изолированных помещениях совместно с насосами.
Примечание - Выход из насосной на лестничную клетку допускается устраивать в зданиях, к которым не предъявляются повышенные требования по звукоизоляции.
20.9 В канализационных насосных станциях следует предусматривать установку резервных насосов: при числе однотипных рабочих насосов до двух - один резервный; более двух - два резервных.
Число резервных насосов для перекачки кислых и шламосодержащих стоков следует принимать:
- при одном рабочем насосе - один резервный и один хранящийся на складе;
- при двух рабочих насосах и более - два резервных.
Примечание - В отдельных случаях при обосновании допускаются установка одного рабочего насоса и хранение запасного насоса на складе.
Насосные установки следует предусматривать с автоматическим, дистанционным и ручным управлением.
20.10 Для каждого канализационного насоса следует предусматривать всасывающую линию с контруклоном не менее 0,005.
20.11 На всасывающем и напорном трубопроводах каждого насоса следует устанавливать запорную арматуру, а на напорном трубопроводе, кроме того, - обратный клапан.
Примечание - При транспортировании стоков, содержащих взвешенные вещества (песок, шлам), приемные и обратные клапаны не предусматриваются.
20.12 Для перекачки стоков от санитарных приборов, устанавливаемых в подвалах зданий различного назначения, следует предусматривать герметичные насосные установки, работающие в автоматическом режиме и отвечающие требованиям
[18].
(в ред.
Изменения N 2, утв. Приказом Минстроя России от 31.05.2022 N 434/пр,
Изменения N 3, утв. Приказом Минстроя России от 18.12.2023 N 935/пр)
20.13 Для откачки дренажных вод из приямков в полу подвальных помещений, а также для удаления воды после пожара следует предусматривать дренажные насосы.
20.14 При устройстве в подземной части зданий различного назначения приямков для откачки вод следует устанавливать:
- для ИТП, насосных, помещений хранения автомобилей, узлов учета воды и тепловой энергии - один рабочий и один резервный дренажные насосы;
- для приточных венткамер - один рабочий дренажный насос;
- для технического подполья, эксплуатируемого подвала - один рабочий и один резервный дренажные насосы (допускается хранение резервного насоса на складе).
(в ред.
Изменения N 4, утв. Приказом Минстроя России от 19.09.2024 N 630/пр)
В межэтажных перекрытиях подземных стоянок автомобилей следует предусматривать устройства или трапы для отвода воды при тушении пожара на нижний уровень. На нижнем подземном уровне следует предусматривать лотки для отвода воды при тушении пожара в приемные резервуары для сбора воды вместимостью согласно расчету, но не менее 2 м3 (суммарный объем приямков) на каждый пожарный отсек стоянки. Уклон лотков следует принимать не менее 0,006.
(п. 20.14 в ред.
Изменения N 3, утв. Приказом Минстроя России от 18.12.2023 N 935/пр)
20.15 Напорные трубопроводы от дренажных насосов допускается присоединять отдельным выпуском к сети ливневой системы водоотведения или к централизованным системам водоотведения в соответствии с
18.15.
(п. 20.15 в ред.
Изменения N 3, утв. Приказом Минстроя России от 18.12.2023 N 935/пр)
21.1 Внутренние водостоки следует предусматривать для отведения дождевых и талых вод с кровель зданий и сооружений в наружную сеть поверхностного стока или систему общесплавного водоотведения. Рекомендуются сбор и использование дождевых и талых вод на поливомоечные и технические (технологические) нужды. При обосновании допускается отведение дождевых и талых вод в систему производственной канализации незагрязненных или повторно используемых сточных вод.
Для внутренних водосточных систем допускается применение напорной, самотечной и вакуумной (сифонно-вакуумной) схемы отвода дождевых стоков. Систему вакуумной канализации допускается предусматривать при отсутствии возможности организации нормируемых уклонов на горизонтальных участках водостоков в соответствии с
21.17 -
21.24.
(абзац введен
Изменением N 3, утв. Приказом Минстроя России от 18.12.2023 N 935/пр)
21.2 Отведение воды из внутренних водостоков в бытовую канализацию и присоединение к системе внутренних водостоков санитарных приборов не допускаются.
21.3 При отсутствии централизованной ливневой системы водоотведения выпуск дождевых вод из внутренних водостоков следует принимать в централизованную общесплавную или комбинированную систему водоотведения (канализационную сеть) или открыто в лотки около здания (кроме зданий дошкольных образовательных и общеобразовательных организаций). При этом следует предусматривать мероприятия, исключающие размыв поверхности земли около здания.
Примечание - При устройстве открытого выпуска на стояке внутри здания допускается предусматривать запорную арматуру (обратный клапан) и гидравлический затвор с отводом талых вод в зимний период года в бытовую канализацию.
21.4 При устройстве внутренних водостоков в неотапливаемых зданиях и сооружениях следует предусматривать мероприятия, обеспечивающие положительную температуру в трубопроводах и водосточных воронках при отрицательной температуре наружного воздуха (электроподогрев, обогрев с помощью пара и т.д.).
21.5 Водосточные воронки на кровле здания следует размещать с учетом ее рельефа, допускаемой площади водосбора на одну воронку и конструкции здания.
На плоской кровле здания и в одной ендове устанавливаются не менее двух водосточных воронок с расстоянием между ними не менее 1 м.
Максимальное расстояние между водосточными воронками при любых видах кровли не должно превышать 48 м.
Примечания
1 Водосточные воронки (при бесчердачном варианте) располагать над жилыми квартирами не допускается.
Для сбора ливневых вод с террас разноуровневых квартир допускается размещать водосточные воронки над вспомогательными помещениями квартиры (кроме кухонь и кухонь-столовых):
- при прокладке отводящего трубопровода от воронки до стояка водостока в конструкции покрытия эксплуатируемой кровли - террасы;
- защите водостоков от засорения в соответствии с
СП 17.13330;
- выполнении трубопроводов из стальных на бессварных муфтовых соединениях, чугунных безраструбных с усиливающими хомутами;
- применении водосточных воронок с электроподогревом;
- выполнении дополнительных мероприятий по обеспечению безопасности от возможных протечек соседних нижерасположенных помещений квартиры в соответствии с
СП 29.13330, при этом следует предусматривать не менее чем на два слоя гидроизоляции.
(абзац введен
Изменением N 4, утв. Приказом Минстроя России от 19.09.2024 N 630/пр)
2 На плоских кровлях секционных жилых зданий допускается устанавливать по одной водосточной воронке на каждую секцию.
(примечания в ред.
Изменения N 3, утв. Приказом Минстроя России от 18.12.2023 N 935/пр)
21.6 Присоединение к одному стояку воронок, расположенных на разных уровнях, допускается в случаях, когда общий расчетный расход по стояку в зависимости от его диаметра не превышает значений, приведенных в таблице 21.1, с коэффициентом 0,7.
Диаметр водосточного стояка, мм | 85 | 100 | 150 | 200 |
Расчетный расход дождевых вод на водосточный стояк, л/с | 10 | 20 | 50 | 80 |
21.7 Минимальные уклоны отводных трубопроводов следует принимать: для подвесных трубопроводов - 0,005, для других - в соответствии с требованиями
раздела 19.
21.8 Для прочистки сети внутренних водостоков следует предусматривать установку ревизий и прочисток с учетом требований
раздела 18.
При длине подвесных горизонтальных линий до 24 м прочистку в начале участка допускается не предусматривать.
21.9 Присоединение водосточных воронок к стоякам следует предусматривать с помощью компенсационных раструбов с эластичной заделкой.
Допускается выполнять присоединение без компенсационных патрубков при условии применения двухуровневых воронок с надставным раструбным элементом.
(абзац введен
Изменением N 3, утв. Приказом Минстроя России от 18.12.2023 N 935/пр)
21.10 Расчетный расход дождевых вод Q, л/с, с водосборной площади следует определять по формуле

(40)
где F - водосборная площадь, м2;
q5 - интенсивность дождя, л/с, с 1 га (для данной местности), продолжительностью 5 мин при периоде однократного превышения расчетной интенсивности, равной 1 году, определяемая по формуле
q5 = 4nq20, (41)
q20 - интенсивность дождя, л/с, с 1 га (для данной местности), продолжительностью 20 мин при периоде однократного превышения расчетной интенсивности, равной 1 году, принимаемая согласно
СП 32.13330.
21.11 При определении расчетной водосборной площади следует дополнительно учитывать 30% суммарной площади двух смежных вертикальных стен, примыкающих к кровле и возвышающихся над ней.
(в ред.
Изменения N 3, утв. Приказом Минстроя России от 18.12.2023 N 935/пр)
21.12 Расчетный расход дождевых вод, приходящийся на водосточный стояк, не должен превышать значений, приведенных в
таблице 21.1; приходящийся на водосточную воронку - определяется по паспортным данным принятого типа воронки.
21.13 Водосточные стояки, а также все отводные трубопроводы следует рассчитывать на гидростатическое давление при засорах и переполнениях и жестко закреплять во избежание продольных и поперечных перемещений.
21.14 Для внутренних водостоков следует применять только напорные трубы:
- из полимерных материалов;
- чугунные, в том числе безраструбные;
- стальные, имеющие внутреннее и наружное антикоррозионное покрытие на бессварных соединительных муфтах.
Примечания
1 Стальные трубы, имеющие внутреннее и наружное антикоррозионное покрытие, допускается применять на горизонтальных подвесных линиях при наличии вибрационных нагрузок.
2 Системы внутренних водостоков для зданий высотой до 10 м допускается выполнять из безнапорных труб.
21.15 Прокладку трубопроводов внутреннего водостока следует предусматривать в соответствии с
18.9 -
18.11. На стояках ревизии необходимо устанавливать в нижнем этаже зданий и далее с шагом 40 м, а при наличии отступов - над ними.
В пределах жилых квартир прокладка трубопроводов внутреннего водостока не допускается.
Для зданий с наклонной кровлей допускается прокладка водосточных стояков из чугунных безраструбных труб, в том числе отдельных стояков для отвода воды с открытых балконов/террас, отвода конденсата от наружных блоков кондиционеров в толщине утеплителя вентилируемого фасада с дальнейшим отведением в сеть ливневой канализации при условии обеспечения доступа для обслуживания и ремонта. При этом следует предусматривать устройство кабельного внутреннего электрообогрева указанных стояков.
(п. 21.15 в ред.
Изменения N 3, утв. Приказом Минстроя России от 18.12.2023 N 935/пр)
21.16 Запрещается прием поверхностного стока в подземную часть здания с поверхности дворовой части.
Поверхностный сток с покрытия стилобатной части здания может быть отведен в систему внутренних водостоков. При этом данная система должна иметь самостоятельный выпуск.
(п. 21.16 введен
Изменением N 3, утв. Приказом Минстроя России от 18.12.2023 N 935/пр)
21.17 Для систем сифонно-вакуумной канализации следует применять кровельные воронки диаметром от 75 мм до 160 мм, с отсекателем воздуха, препятствующим проникновению воздуха в трубопроводную сеть, закрепленным на корпусе разъемным соединением. Отсекатель и элементы разъемного соединения должны быть изготовлены из коррозионно-стойкого металла.
(п. 21.17 введен
Изменением N 3, утв. Приказом Минстроя России от 18.12.2023 N 935/пр)
21.18 Для внутренних водостоков сифонно-вакуумного типа следует применять напорные трубы из полимерных материалов. В системе вакуумной канализации следует применять стыковые сварные соединения, муфтовые сварные соединения и раструбные соединения. При этом допустимое внутреннее давление фитингов следует принимать не менее 0,5 МПа. Применение трубопроводов из различных материалов в одной системе сифонно-вакуумной канализации не допускается. Толщину стенки трубопровода определяют согласно прочностным характеристикам труб с учетом расчетного разрежения, при этом толщину стенки принимают не менее 3 мм.
(п. 21.18 введен
Изменением N 3, утв. Приказом Минстроя России от 18.12.2023 N 935/пр)
21.19 Горизонтальные участки трубопроводной сети внутреннего водостока сифонно-вакуумного типа прокладывают без уклона на одной отметке до следующего вертикального участка стояка или подключения кровельной воронки. В трубопроводной сети внутреннего водостока сифонно-вакуумного типа установка прочисток на горизонтальных участках не допускается.
(п. 21.19 введен
Изменением N 3, утв. Приказом Минстроя России от 18.12.2023 N 935/пр)
21.20 К трубопроводной сети внутреннего водостока сифонно-вакуумного типа подключать другие системы внутренней канализации, в том числе самотечные системы отвода дождевых стоков, не допускается.
(п. 21.20 введен
Изменением N 3, утв. Приказом Минстроя России от 18.12.2023 N 935/пр)
21.21 В трубопроводной сети внутреннего водостока сифонно-вакуумного типа применять отводы и тройники 90° (87,5°) не допускается. Для организации поворота на 90° применяют два отвода 45°. В трубопроводных сетях внутреннего водостока сифонно-вакуумного типа следует применять только эксцентрические переходы. При подключении системы водосточной сифонно-вакуумной канализации к водостоку или выпуску из здания самотечной системы отведения дождевых стоков необходимо учитывать переход на больший диаметр, обеспечивающий прохождение максимального расхода в соответствии с
таблицей 21.1 или гидравлическим расчетом внутриплощадочной сети ливневой канализации.
(п. 21.21 введен
Изменением N 3, утв. Приказом Минстроя России от 18.12.2023 N 935/пр)
21.22 Неподвижные опоры (хомуты с жесткими фиксаторами) для вертикальных стояков и горизонтальных трубопроводов внутренних водостоков сифонно-вакуумной канализации следует предусматривать:
- при изменении направления трубопроводов с каждой стороны (на поворотах и опусках);
- при изменении диаметра трубопроводов;
- в точках присоединения кровельных воронок;
- на прямолинейных участках для каждой четвертой опоры.
Крепление трубопроводов следует предусматривать посредством монтажной шины. На горизонтальных участках неподвижная опора должна быть установлена на расстоянии не более 300 мм от точки крепления монтажной шины к конструкциям здания.
(п. 21.22 введен
Изменением N 3, утв. Приказом Минстроя России от 18.12.2023 N 935/пр)
21.23 Аварийная система внутреннего водостока, дублирующая основную, предусматривается в местах кровли здания, где нет возможности организовать аварийные переливы в парапетах. Аварийные кровельные воронки устанавливают выше отметки основных на 50 - 60 мм.
(п. 21.23 введен
Изменением N 3, утв. Приказом Минстроя России от 18.12.2023 N 935/пр)
21.24 Для водостоков систем сифонно-вакуумной канализации следует предусматривать теплоизоляцию для защиты от образования конденсата, в соответствии с
СП 61.13330.
(п. 21.24 введен
Изменением N 3, утв. Приказом Минстроя России от 18.12.2023 N 935/пр)
22 Дополнительные требования к внутренним системам водоотведения и водостокам в особых природных и климатических условиях
22.1 Материал труб для канализационных трубопроводов, прокладываемых в зданиях и сооружениях в особых природных и климатических условиях
(СП 131.13330), следует принимать согласно
18.7.
22.2 Просадочные грунты
22.2.1 Прокладку напорных и самотечных трубопроводов канализации и их выпусков следует предусматривать с учетом
СП 21.13330 и требований к внутреннему водопроводу, приведенных в
разделе 15.
22.2.2 Стыковые соединения труб следует выполнять на резиновых уплотнительных кольцах.
22.2.3 Трубопроводы внутренних водостоков следует предусматривать подвесными. Если по требованиям технологии производства устройство подвесных водостоков невозможно, допускается принимать их прокладку в соответствии с
разделом 15.
22.2.4 При наличии в районе строительства наружной системы водоотведения поверхностного стока выпуски системы водостоков следует предусматривать согласно требованиям к выпускам системы водоотведения.
22.2.5 Прокладывать в одном канале выпуски водостока с другими системами водоотведения, кроме системы, отводящей незагрязненные сточные воды, не допускается.
22.2.6 При отсутствии в районе строительства систем водоотведения допускается предусматривать выпуск из внутренних водостоков в открытые водонепроницаемые лотки. Под лотками следует предусматривать уплотнение грунта на глубину 0,2 - 0,3 м.
Лотки под тротуарами и проезжей частью автомобильных дорог следует перекрывать железобетонными плитами.
22.3 Сейсмические районы
22.3.1 Жесткая заделка трубопровода в кладке стен и в фундаментах не допускается. При пропуске труб через стены и фундаменты зданий должен обеспечиваться зазор не менее 0,2 м. Зазор должен заполняться эластичным водо- и газонепроницаемым материалом.
22.3.2 Самотечные системы внутренней канализации и внутреннего водостока в каждой секции здания, ограниченной деформационными швами, следует предусматривать самостоятельными.
Внутри зданий в местах пересечения напорными трубопроводами внутренней канализации и внутреннего водостока деформационных швов на трубопроводах следует предусматривать установку компенсаторов, обеспечивающих компенсацию осевых, угловых, сдвиговых перемещений.
(в ред.
Изменения N 2, утв. Приказом Минстроя России от 31.05.2022 N 434/пр)
Укладку труб под фундаменты зданий следует предусматривать в футлярах из стальных труб, при этом расстояние между верхом футляра и подошвой фундамента должно быть не менее 0,2 м.
22.3.3 Для стыковых соединений раструбных труб и труб, соединяемых на муфтах, прокладываемых в районах с сейсмичностью 8 - 9 баллов, следует применять эластичные уплотнительные кольца, а также раструбы и патрубки, компенсирующие изменения положения труб при просадках здания.
22.3.4 В местах поворота стояков из вертикального в горизонтальное положение следует предусматривать упоры из бетона, железобетона или аналогичных материалов.
(в ред.
Изменения N 3, утв. Приказом Минстроя России от 18.12.2023 N 935/пр)
22.4 Подрабатываемые территории
22.4.1 При проектировании внутренних сетей водоотведения и водостоков следует соблюдать требования
15.3.1 -
15.3.6,
15.3.12,
15.3.14.
22.4.2 Выпуски канализации и водостоков из зданий и сооружений, возводимых на подрабатываемых территориях групп I - IV
(СП 21.13330), а также на территориях групп Iк - IVк следует выполнять из высокопрочного чугуна с шаровидным графитом и полимерных труб.
22.4.3 Уклоны выпусков и труб систем внутреннего водоотведения зданий следует назначать с учетом ожидаемой осадки земной поверхности.
22.4.4 Стыковые соединения трубопроводов системы внутреннего водоотведения следует выполнять подвижными за счет применения эластичных уплотнений. В зданиях, защищаемых по жесткой конструктивной схеме, допускается предусматривать жесткую заделку стыковых соединений.
22.4.5 Пересечение трубопроводами внутренней канализации деформационных швов зданий не допускается.
22.4.6 Скрытая прокладка труб системы внутреннего водоотведения в бороздах и штрабах стен здания, защищаемого по податливой конструктивной схеме, не допускается.
22.4.7 Для системы внутреннего водоотведения зданий предпочтение следует отдавать трубам и соединительным частям из полимерных материалов.
22.4.8 При защите здания в процессе его эксплуатации методом выравнивания трубопроводы системы внутреннего водоотведения, прокладываемые в подвалах или подпольях, не должны ограничивать выполнение работ по выравниванию здания.
22.5 Многолетнемерзлые грунты
22.5.1 Внутренние водостоки следует предусматривать с открытым выпуском.
22.5.2 Транспортируемые стоки следует предохранять от замерзания при эксплуатационных и аварийных режимах.
Подогрев канализационных стоков в случае необходимости допускается обеспечивать дополнительным сбросом водопроводной воды.
Примечание - Сброс водопроводной воды в системы внутреннего водоотведения у потребителей в концах тупиковых участков и на перемычках, не обеспечивающих надежной циркуляции, допускается на основании результатов технико-экономических расчетов, подтверждающих целесообразность такого решения, за счет увеличенного расхода воды.
22.5.3 Системы внутреннего водоотведения следует оснащать комплектом приборов, обеспечивающих систематический контроль и автоматическое регулирование температурного и гидравлического режимов работы трубопроводов, а также температурного режима грунтов в основаниях трубопроводов.
22.5.4 Число выпусков системы внутреннего водоотведения следует принимать минимальным при соблюдении следующих условий:
- уклоны труб и каналов необходимо направлять от здания;
- в местах непосредственного примыкания каналов свайные фундаменты зданий следует заглублять на 2 - 3 м ниже расчетной величины.
22.5.5 На выпусках системы внутреннего водоотведения, где не предусматриваются устройства подогрева, следует предусматривать дополнительный слой теплоизоляции из гидрофобных материалов.
23 Санитарно-эпидемиологические и гигиенические требования, требования охраны окружающей среды, предъявляемые к внутренним системам водоснабжения и водоотведения
23.1 Соответствие качества питьевой воды нормативам обеспечивается посредством:
- применения в системах холодного и горячего водоснабжения, совмещенного хозяйственно-питьевого и противопожарного водопровода, оборудования и материалов, соответствующих
[14];
- обеспечения в процессе эксплуатации потребителей достоверной и своевременной информацией о наличии отклонений от нормативов качества питьевой воды и сроках их действия, об отсутствии риска для здоровья, а также наличия рекомендаций по использованию питьевой воды;
(в ред.
Изменения N 3, утв. Приказом Минстроя России от 18.12.2023 N 935/пр)
23.2 Трубы, арматура, оборудование и материалы, санитарно-технические приборы, применяемые при устройстве внутренних систем водоснабжения и водоотведения зданий, должны соответствовать требованиям
4.5 и
4.6.
23.3 Технологическое оборудование, применяемое в системе внутреннего водоснабжения зданий, должно отвечать требованиям взрывобезопасности, пожарной и экологической безопасности независимо от того, используется ли оно автономно или в составе технологических комплексов и систем.
23.4 Технологические комплексы, системы и автономно используемое технологическое оборудование в сфере использования воды питьевого качества должны исключать возникновение пожаро- и взрывоопасных ситуаций при монтаже (демонтаже), вводе в эксплуатацию и эксплуатации оборудования, а также исключать влияние вредных и опасных производственных факторов на персонал.
23.5 При проектировании систем очистки атмосферных и серых сточных вод следует учитывать положения
СП 31.13330 и
СП 32.13330.
Комплекс технологических ступеней должен учитывать исходный и конечный состав сточных вод и включать:
- отстаивание и обеззараживание для атмосферных сточных вод;
- осветление (отстаивание/флотацию), биологическое окисление, сорбцию (биосорбцию) и обеззараживание для серых сточных вод.
(п. 23.5 введен
Изменением N 3, утв. Приказом Минстроя России от 18.12.2023 N 935/пр)
24 Обеспечение надежности и безопасности при эксплуатации. Долговечность и ремонтопригодность
24.1 Принятые конструктивные схемы внутреннего горячего водоснабжения должны соответствовать требованиям
ГОСТ 27751 в части надежности в работе, безопасности в использовании, обеспечении устойчивого режима циркуляции. При отсутствии водоразбора следует подтверждать гидравлическим расчетом устойчивость режима циркуляции.
24.2 Прокладка трубопроводов внутренних систем водоснабжения и водоотведения (включая водостоки) в местах, где доступ к ним во время эксплуатации и при аварийных ситуациях связан с ослаблением несущих элементов конструкций зданий и сооружений (оснований, фундаментов, фундаментных плит, ограждающих конструкций, конструкций перекрытий), не допускается.
24.3 Механическая прочность трубопроводов и арматуры систем холодного и горячего водоснабжения должна соответствовать расчетному рабочему давлению в системе. На трубопроводах из стальных оцинкованных труб для компенсации тепловых удлинений следует предусматривать сильфонные компенсаторы с присоединительными патрубками из нержавеющей стали в сочетании с направляющими опорами, исключающими боковое перемещение труб в месте его установки.
Сильфонные компенсаторы для систем из металлических трубопроводов, устанавливаемые в местах общего пользования, должны оснащаться внешним защитным кожухом. В местах присоединения защитного кожуха к патрубкам компенсатора должны предусматриваться отверстия для удаления конденсата.
При монтаже компенсаторов в закрытых строительных шахтах должны устанавливаться смотровые лючки, обеспечивающие осмотр и замену компенсатора. Применение однослойных компенсаторов и компенсаторов без стабилизатора сильфона не допускается.
Минимальная температура монтажа сильфонного компенсатора на стальных трубопроводах должна быть не менее минус 10 °C. Возможен монтаж при более низких температурах при наличии рекомендаций производителей труб, фитингов и компенсаторов, подтвержденных аккредитованными лабораториями, допущенными к осуществлению такой деятельности в порядке, установленном действующим законодательством Российской Федерации.
Осевой ход компенсатора при сжатии должен быть больше, чем максимальное тепловое удлинение компенсируемого участка.
Вероятность безотказной работы (ВБР) сильфонного компенсатора при осевом ходе при сжатии должна соответствовать 5 000 циклам срабатывания (испытания проводят по методике
ГОСТ Р 51571) и подтверждаются протоколами испытаний в аккредитованной лаборатории, допущенной к проведению таких испытаний в порядке, установленном действующим законодательством Российской Федерации.
24.4 Для повышения надежности систем внутреннего водоснабжения зданий, защиты строительных конструкций, а также снижения размеров ущерба при авариях в жилых и административных зданиях стояки следует оснащать современными системами контроля аварий (протечек), которые позволяют дистанционно оповещать и (или) отключать подачу воды на аварийных трубопроводах систем внутреннего водоснабжения.
(в ред.
Изменения N 3, утв. Приказом Минстроя России от 18.12.2023 N 935/пр)
Датчики (детекторы) протечки воды в зависимости от конструкции следует устанавливать на поверхности пола или непосредственно в пол санузла в местах, гарантирующих целевое срабатывание. Блоки питания системы контроля протечек устанавливают в доступных местах. Система контроля затопления должна иметь непрерывное электропитание и по сигналу датчиков (детекторов) управлять закрыванием электромагнитных клапанов на трубопроводе.
(в ред.
Изменения N 3, утв. Приказом Минстроя России от 18.12.2023 N 935/пр)
Устанавливать нормально открытые электромагнитные соленоидные запорные клапаны следует в дополнение к имеющейся запорной арматуре. Для обеспечения безопасности рекомендуемое напряжение электропитания клапанов следует принимать 12 В (при обосновании допускается установка нормально открытых электромагнитных соленоидных запорных клапанов с питанием 220 В).
24.5 При проектировании и реконструкции внутренних инженерных систем в зданиях узлы прохода стояков через межэтажные перекрытия следует выполнять в соответствии с
18.10.
(п. 24.5 в ред.
Изменения N 3, утв. Приказом Минстроя России от 18.12.2023 N 935/пр)
24.6 Насосное оборудование для систем водоснабжения и водоотведения должно резервироваться на случай аварии и ремонта. Требования по резервированию оборудования для приготовления горячей воды следует принимать в соответствии с требованиями действующих нормативных документов или по техническому заданию.
24.7 Допускается крепление санитарных приборов и трубопроводов непосредственно к межквартирным стенам и перегородкам (строительным конструкциям), ограждающим жилые комнаты при условии устройства двойных стен с устройством шумоизоляционного слоя между ними.
24.8 Следует предусматривать устройство уравнивания потенциалов между металлическим оборудованием (ванна, мойка и т.п.) и металлическими трубопроводами систем водоснабжения и водоотведения.
25 Порядок проведения монтажа и сдачи в эксплуатацию внутренних систем водоснабжения и водоотведения (включая апробацию, испытания, пусконаладку и контроль)
25.1 Монтаж систем водоснабжения и водоотведения должен осуществляться в строгом соответствии с проектной документацией на строительство объекта, выполняемой в соответствии с требованиями
ГОСТ 21.601 и
СП 48.13330.
25.2 Общие указания по проектной документации должны содержать:
- эксплуатационные требования, предъявляемые к проектируемому зданию или сооружению (при необходимости);
- перечень видов работ, которые оказывают влияние на безопасность здания или сооружения и для которых необходимо составлять акты освидетельствования скрытых работ, ответственных конструкций, участков внутренних систем водоснабжения и водоотведения, в том числе акты согласно требованиям
СП 48.13330 и
СП 73.13330.
25.3 Требования к составлению и формы актов (проведения монтажных работ, гидравлических испытаний систем внутреннего холодного и горячего водоснабжения, системы внутреннего водоотведения и водостоков) определяются положениями
СП 73.13330 и
СП 48.13330.
25.4 Состав пусконаладочных работ и программа их выполнения должны соответствовать правилам по охране труда и технике безопасности, пожарной безопасности.
25.5 Дефекты оборудования, выявленные в процессе индивидуальных испытаний и комплексного опробования оборудования, а также пусконаладочных работ, должны быть устранены в соответствии с требованиями
СП 48.13330 и
СП 73.13330.
25.6 Комплексное опробование оборудования внутренних систем водоснабжения, водоотведения и водостоков осуществляется в соответствии с
СП 48.13330 и
СП 73.13330.
26 Требования энергетической эффективности внутренних систем водоснабжения и водоотведения. Требования рационального использования водных ресурсов
26.1 При размещении, проектировании, строительстве и вводе в эксплуатацию новых и реконструированных предприятий, сооружений и других объектов, а также при внедрении новых технологических процессов должно быть обеспечено рациональное использование воды.
26.2 При проектировании должна определяться необходимость рационального использования воды путем выполнения технических и организационных мероприятий:
(в ред.
Изменения N 3, утв. Приказом Минстроя России от 18.12.2023 N 935/пр)
- совершенствование методов контроля и учета водопотребления, в том числе на увлажнение воздуха в системах механической вентиляции;
(в ред.
Изменения N 3, утв. Приказом Минстроя России от 18.12.2023 N 935/пр)
- установка современной водоразборной и наполнительной арматуры, обеспечивающей сокращение расхода питьевой воды (смесители двухвентильные с керамическими кранбуксами, однорычажные, сенсорные и смесители-термостаты);
(введено
Изменением N 3, утв. Приказом Минстроя России от 18.12.2023 N 935/пр)
- выполнение комплекса мероприятий по регулированию давления воды в системах водоснабжения жилых зданий путем установки балансировочных кранов и их регулировки в процессе пусконаладочных работ;
(введено
Изменением N 3, утв. Приказом Минстроя России от 18.12.2023 N 935/пр)
- оснащения квартир, находящихся в собственности поселения или городского округа, приборами учета;
- разработка и внедрение автоматизированных систем учета водопотребления;
- обеспечение оптимальных режимов работы оборудования тепловых пунктов в целях снижения всех видов используемых ресурсов (водных, тепловых, энергетических);
- установка антивандальной и водосберегающей санитарно-технической арматуры в культурно-бытовом секторе и бюджетных организациях;
- сокращение нерационального водопользования на предприятиях;
- разработка и внедрение инновационных технологий обнаружения утечек воды;
- замена воды питьевого качества на природную или частично очищенную воду для водопотребителей, у которых нет необходимости в этом качестве (при соответствующем технико-экономическом и санитарно-гигиеническом обосновании);
- необходимость выполнения мероприятий, влияющих на качество питьевой воды, подаваемой потребителям.
26.3 Требования по экономии энергоресурсов следует предусматривать в соответствии с положениями
[4].
26.4 Для обеспечения нормативных требований в части допустимых давлений воды у санитарно-технических приборов, рационального использования воды питьевого качества и энергетических ресурсов необходимо предусматривать:
- насосные агрегаты с регулируемым приводом (числом оборотов двигателя), что позволяет поддерживать требуемое расчетное давление воды после насосов независимо от колебаний давления в системе водоснабжения поселения или городского округа;
- однозонную схему водоснабжения с установкой поэтажных регуляторов давления в жилых домах с высотой зоны 54 м включительно (от перекрытия пола с установкой самого низко расположенного санитарно-технического прибора до перекрытия пола с установкой самого низко расположенного санитарно-технического прибора следующей зоны);
(в ред.
Изменения N 3, утв. Приказом Минстроя России от 18.12.2023 N 935/пр)
- зонное водоснабжение в жилых домах высотой более 54 м с установкой поэтажных регуляторов давления;
(в ред.
Изменения N 3, утв. Приказом Минстроя России от 18.12.2023 N 935/пр)
- установку современной водоразборной и наполнительной арматуры, обеспечивающей сокращение расхода питьевой воды (водоразборной арматуры с керамическими уплотнениями, смесителей с одной рукояткой, термостатических смесителей, полуавтоматической и автоматической арматуры);
- выполнение комплекса мероприятий по регулированию давления воды в системах водоснабжения жилых зданий путем установки балансировочных кранов и их регулировки в процессе пусконаладочных работ;
- регулирующие резервуары в системах холодного и горячего водоснабжения зданий.
Примечание - Применение регуляторов давления устанавливает практически одинаковое для всех этажей оптимальное расчетное давление (напор) воды, распределение потока по этажам, исключает вероятность сбоев в подаче холодной и горячей воды на верхние этажи в часы максимального водоразбора. В целях улучшения эксплуатации систем водоснабжения следует использовать комплектные изделия, включающие регулятор давления, фильтр и запорное устройство в одном корпусе (КФРД и аналоги).
(в ред.
Изменения N 3, утв. Приказом Минстроя России от 18.12.2023 N 935/пр)
26.5 При зонировании систем водопровода подачу воды в каждую зону следует предусматривать самостоятельными повысительными насосными установками. Водоразборные стояки каждой зоны следует прокладывать в монтажных нишах межквартирных коридоров с наличием транзитных участков, подающих воду потребителям вышерасположенной зоны.
26.6 В жилых домах повышенной комфортности допускается проектировать систему доочистки питьевой воды с системой раздачи только для питья и приготовления пищи.
26.7 В жилых домах с квартирами повышенной комфортности с двухзонным водоснабжением в целях исключения прокладки в квартирах горизонтальных трубопроводов, объединяющих стояки в секционные узлы (в месте раздела зон водоснабжения), целесообразно выполнять следующее:
- циркуляционные стояки 1-й зоны прокладывают рядом с водоразборными, при этом их объединение в секционные узлы осуществляется в техническом подполье, подвальном или промежуточном техническом этаже между жилой и нежилой частью здания;
- циркуляционные стояки 2-й зоны также прокладывают рядом со стояками 1-й зоны с их последующим объединением в секционные узлы в тех же помещениях, что и секционные узлы 1-й зоны.
В жилых домах с однозонным водоснабжением при отсутствии чердака или невозможности объединения стояков горячей воды в мансардных помещениях объединение стояков в секционные узлы следует выполнять по аналогии с решениями, указанными выше для двухзонных систем водоснабжения.
В зависимости от конкретных объемно-планировочных решений предусматривают другие схемы горячего водоснабжения.
26.8 Водосчетчики холодной и горячей воды, устанавливаемые на вводах водопровода в жилые дома и квартиры, следует предусматривать с импульсным выходом.
Установку водосчетчиков с импульсным выходом во встроенно-пристроенных помещениях общественного назначения предусматривают по заданию на проектирование.
Перед домовыми и квартирными водосчетчиками следует устанавливать механические или магнитно-механические фильтры.
26.9 В одноквартирных и блокированных жилых домах категории комфорта I согласно терминологии
СП 466.1325800 при устройстве бассейна выбор технологической схемы его водоснабжения и водоотведения (прямоточной или оборотной с очисткой) следует проводить в соответствии с объемами водопотребления и водоотведения.
26.10 Для тепловой изоляции трубопроводов систем водоснабжения и водоотведения зданий применяют полносборные или комплектные конструкции, а также трубы с тепловой изоляцией полной заводской готовности.
(в ред.
Изменения N 3, утв. Приказом Минстроя России от 18.12.2023 N 935/пр)
Для теплоизоляционного слоя трубопроводов холодного водоснабжения, обеспечивающего отсутствие конденсации водяного пара на их поверхности, следует применять изделия в виде полых цилиндров из вспененного полиэтилена и пенокаучуков без покровного слоя (при коэффициенте сопротивления диффузии не менее 3000).
26.11 В качестве теплоизоляционных материалов для изоляции трубопроводов различного назначения, следует применять материалы с теплопроводностью в сухом состоянии не выше 0,05 Вт/(м·°C) (при 20 °C). Толщину теплоизоляции трубопроводов следует определять по
10.3 и
СП 61.13330. При проектировании новых и реконструкции старых зданий следует использовать эффективные теплоизоляционные материалы.
26.12 Тепловая изоляция трубопроводов, расположенных в подземных стоянках автомобилей, при прокладке их в помещениях путей эвакуации, в технических этажах и на чердаках должна быть из материалов группы горючести не ниже Г1.
При пересечении трубопроводом противопожарной преграды следует предусматривать теплоизоляционные конструкции из негорючих материалов в пределах размера противопожарной преграды.
Теплоизоляционные конструкции из горючих материалов с теплоизоляционным слоем со степенью горючести выше Г1 на основе вспененных полиэтилена, полипропилена, каучука, полиуретана и др. не допускается предусматривать для трубопроводов, расположенных в зданиях, кроме зданий степеней огнестойкости IV и V, одно- и двухквартирных жилых домов.
(в ред.
Изменения N 4, утв. Приказом Минстроя России от 19.09.2024 N 630/пр)
Допускается применение теплоизоляционного слоя из горючих материалов для трубопроводов, расположенных в подвальных этажах, имеющих выходы только наружу зданий степеней огнестойкости I и II, при устройстве вставок длиной 3 м из негорючих материалов не менее чем через 30 м длины трубопровода.
(п. 26.12 в ред.
Изменения N 3, утв. Приказом Минстроя России от 18.12.2023 N 935/пр)
26.13 Проектом следует предусматривать устройство автоматизированной системы комплексного учета энергоресурсов, предусматривающей передачу основных параметров энергоресурсоснабжения на компьютеры объединенной диспетчерской системы и единых информационно-расчетных центров с перспективой контроля и оперативного регулирования параметров в зависимости от времени суток, температуры воздуха, интенсивности водоразбора и т.п.
26.14 После выполнения монтажных работ следует выполнить комплекс пусконаладочных работ с дорожными картами по эксплуатации систем горячего водоснабжения, оборотного водоснабжения, использования внутренних стоков дождевых и талых вод, очистных сооружений для крупных зданий многофункционального, промышленного назначения, торговых и общественно-деловых центров.
26.15 Для зданий (торгово-развлекательных, многофункциональных, промышленных и т.п.) следует предусматривать отбор дождевых стоков из системы внутренних водостоков в накопительные резервуары для ее повторного использования на нужды полива и для смыва в туалетах с уменьшением в балансе потребления воды питьевого качества не менее чем на 25%. При этом следует первый 5-минутный сток пропускать в наружную сеть, а затем заполнять резервуар. Резервуар должен быть защищен от переполнения, образования воздушных пробок и попадания в него грязи. Для этого следует применять фильтры механической очистки с сеткой размером ячейки от 0,3 до 1,8 мм. Следует осуществлять контроль за качеством накопленной воды и проводить периодическую чистку и дезинфекцию резервуара.
(в ред.
Изменения N 3, утв. Приказом Минстроя России от 18.12.2023 N 935/пр)
26.16 В климатических районах строительства III и IV по
СП 131.13330 возможно применение решений по сокращению энергопотребления в горячем водоснабжении за счет использования систем солнечных коллекторов для горячего водоснабжения.
(в ред.
Изменения N 3, утв. Приказом Минстроя России от 18.12.2023 N 935/пр)
26.17 В проектных решениях следует применять:
- теплонасосные системы утилизации тепла для систем горячего водоснабжения;
- кожухотрубные теплообменники для утилизации теплоты канализационных стоков;
- системы очистки атмосферных и серых сточных вод для повторного использования в качестве технической воды для холодоснабжения градирен (с показателями качества теплофикационной воды), мойки автомобилей, мойки тротуаров, полива зеленых насаждений с учетом требований
[17],
[18] и
[19];
- системы оборотного водоснабжения;
- замкнутые системы водного хозяйства промышленных предприятий;
- перевод технологических процессов промышленных предприятий на техническую воду с учетом требований технологической части проекта,
[17],
[18],
[19] и при наличии возможности подключения к централизованной системе технического водоснабжения или наличии локального источника водоснабжения и соответствующем технико-экономическом обосновании;
- замену воды питьевого качества на техническую воду для ряда потребителей при соответствующем технико-экономическом и санитарно-гигиеническом обосновании с учетом требований
[17],
[18];
- системы водоподготовки для адиабатического охлаждения наружного воздуха в камерах орошения и при применении форсунок высокого давления в системах приточной вентиляции;
- системы тонкого распыления воды перед входом наружного воздуха в конденсаторы и драйкулеры в системах автоматического управления климатическими системами зданий за счет адиабатического охлаждения наружного воздуха при входе в указанные теплообменные аппараты в теплый период года;
- использование тепла от систем холодоснабжения/кондиционирования воздуха жилых и общественных зданий, газопоршневых установок и аналогичного оборудования для предварительного нагрева воды на нужды горячего водоснабжения.
(п. 26.17 в ред.
Изменения N 3, утв. Приказом Минстроя России от 18.12.2023 N 935/пр)
РАСЧЕТНЫЕ РАСХОДЫ ВОДЫ
Таблица А.1
Расчетные расходы воды и стоков
для санитарно-технических приборов
Санитарные приборы | Секундный расход воды, л/с | Часовой расход воды, л/ч | Расход стоков от прибора, л/с | Минимальные диаметры условного прохода, мм |
общий  | холодной  | горячей  | общий  | холодной  | горячей  | | подводки | отвода |
1 Умывальник, рукомойник с водоразборным краном | 0,1 | 0,1 | - | 30 | 30 | - | 0,15 | 10 | 32 |
2 То же, со смесителем | 0,12 | 0,09 | 0,09 | 60 | 40 | 40 | 0,15 | 10 | 32 |
3 Раковина, мойка инвентарная с водоразборным краном и колонка лабораторная водоразборная | 0,15 | 0,15 | - | 50 | 50 | - | 0,3 | 10 | 40 |
4 Мойка (в том числе лабораторная) со смесителем | 0,12 | 0,09 | 0,09 | 80 | 60 | 60 | 1,0 | 10 | 40 |
5 Мойка (для предприятий общественного питания) со смесителем | 0,3 | 0,2 | 0,2 | 500 | 280 | 220 | 1,0 | 15 | 50 |
6 Ванна со смесителем (в том числе общим для ванн и умывальника) | 0,25 | 0,18 | 0,18 | 300 | 200 | 200 | 1,1 | 10 | 40 |
7 Ванна с водогрейной колонкой и смесителем | 0,22 | 0,22 | - | 300 | 300 | - | 1,1 | 15 | 40 |
8 Ванна медицинская со смесителем условным диаметром, мм: | | | | | | | | | |
20 | 0,4 | 0,3 | 0,3 | 700 | 460 | 460 | 2,3 | 20 | 50 |
25 | 0,6 | 0,4 | 0,4 | 750 | 500 | 500 | 3 | 25 | 75 |
32 | 1,4 | 1 | 1 | 1060 | 710 | 710 | 3 | 32 | 75 |
9 Ванна ножная со смесителем | 0,1 | 0,07 | 0,07 | 220 | 165 | 165 | 0,5 | 10 | 40 |
10 Душевая кабина с мелким душевым поддоном и смесителем | 0,12 | 0,09 | 0,09 | 100 | 60 | 60 | 0,2 | 10 | 40 |
11 Душевая кабина с глубоким душевым поддоном и смесителем | 0,12 | 0,09 | 0,09 | 115 | 80 | 80 | 0,6 | 10 | 40 |
12 Душ в групповой установке со смесителем | 0,2 | 0,14 | 0,14 | 500 | 270 | 230 | 0,2 | 10 | 50 |
13 Гигиенический душ (биде) со смесителем и аэратором | 0,08 | 0,05 | 0,05 | 75 | 54 | 54 | 0,15 | 10 | 32 |
14 Нижний восходящий душ | 0,3 | 0,2 | 0,2 | 650 | 430 | 430 | 0,3 | 15 | 40 |
15 Колонка в мыльне с водоразборным краном холодной или горячей воды | 0,4 | 0,4 | - | 1000 | 1000 | - | 0,4 | 20 | - |
16 Унитаз со смывным бачком | 0,1 | 0,1 | - | 83 | 83 | - | 1,6 | 8 | 85 |
17 Унитаз со смывным краном | 1,4 | 1,4 | - | 81 | 81 | - | 1,4 | | 85 |
18 Писсуар | 0,035 | 0,035 | - | 36 | 36 | - | 0,1 | 10 | 40 |
19 Писсуар с полуавтоматическим смывным краном | 0,2 | 0,2 | - | 36 | 36 | - | 0,2 | 15 | 40 |
20 Питьевой фонтанчик | 0,04 | 0,04 | - | 72 | 72 | - | 0,05 | 10 | 25 |
21 Поливочный кран | 0,3 | 0,3 | 0,2 | 1080 | 1080 | 720 | 0,3 | 15 | - |
22 Трап условным диаметром, мм: | | | | | | | | | |
50 | - | - | - | - | - | - | 0,7 | - | 50 |
100 | - | - | - | - | - | - | 1,1 | - | 100 |
23 Посудомоечная машина | 0,2 | 0,2 | - | 9 | 9 | - | 0,15 | 15 | 20 |
24 Стиральная машина | 0,2 | 0,2 | - | 60 | 60 | - | 1 | 15 | 20 |
Примечание - Для систем холодного и горячего водоснабжения при применении коллекторных подводок из полимерных труб к умывальникам, раковинам, мойкам, смесителям для ванн и умывальников, душевым кабинам, биде, унитазам со смывным бачком, писсуарам, питьевым фонтанчикам диаметр труб следует принимать с учетом 8.27 и приложения И. |
Таблица А.2
Расчетные расходы воды потребителями
Водопотребители | Единица измерения | Расчетные расходы воды, л | Расход воды прибором, л/с (л/ч) | T, ч |
среднесуточные | в час наибольшего водопотребления | общий (холодной и горячей)   | |
общий  | горячей  | общий  | горячей  |
1 Жилые дома квартирного типа: - с водопроводом и канализацией без ванн | 1 житель | 70 | - | 5,0 | - | 0,2 (50) | 0,2 (50) | 24 |
- с водопроводом, канализацией и ваннами с водонагревателями, работающими на твердом топливе | 110 | - | 8,1 | - | 0,3 (300) | 0,3 (300) | 24 |
- с водопроводом, канализацией и ваннами с газовыми водонагревателями | 120 | - | 8,7 | - | 0,3 (300) | 0,3 (300) | 24 |
- с централизованным горячим водоснабжением, оборудованные умывальниками, мойками и душами | 130 | 50 | 8,2 | 4,5 | 0,2 (100) | 0,14 (60) | 24 |
- с сидячими ваннами, оборудованными душами | 160 | 65 | 10,3 | 5,7 | 0,3 (300) | 0,2 (200) | 24 |
- с ваннами длиной от 1500 мм, оборудованными душами | 180 | 70 | 11,6 | 6,5 | 0,3 (300) | 0,2 (200) | 24 |
2 Общежития: | 1 человек | | | | | | | |
- с общими душевыми | 85 | 45 | 10,4 | 5,4 | 0,2 (100) | 0,14 (60) | 24 |
- с душами при всех жилых комнатах | 110 | 50 | 12,5 | 7,0 | 0,2 (100) | 0,14 (60) | 24 |
- с общими кухнями и блоками душевых на этажах при жилых комнатах в каждой секции здания | 120 | 70 | 10,2 | 6,38 | 0,2 (100) | 0,14 (60) | 24 |
3 Гостиницы, пансионаты и мотели: | 1 человек | | | | | | | |
- с общими ваннами и душами | 120 | 60 | 12,5 | 7,0 | 0,3 (300) | 0,2 (200) | 24 |
- с душами во всех отдельных номерах | 230 | 120 | 19 | 10,2 | 0,2 (115) | 0,14 (80) | 24 |
- с ваннами в отдельных номерах, % общего числа номеров: | | | | | | | |
до 25 | 200 | 85 | 22,4 | 8,8 | 0,3 (250) | 0,2 (180) | 24 |
до 75 | 250 | 130 | 28 | 12,8 | 0,3 (280) | 0,2 (190) | 24 |
до 100 | 300 | 160 | 30 | 13,6 | 0,3 (300) | 0,2 (200) | 24 |
4 Больницы: | 1 койка | | | | | | | |
- с общими ваннами и душевыми | 115 | 65 | 8,4 | 4,6 | 0,2 (100) | 0,14 (60) | 24 |
- с санузлами, приближенными к палатам | 200 | 75 | 12 | 6,55 | 0,3 (300) | 0,2 (200) | 24 |
- инфекционные | 240 | 95 | 14 | 8,1 | 0,2 (200) | 0,14 (120) | 24 |
5 Санатории и дома отдыха: | 1 место | | | | | | | |
- с общими душами | 130 | 55 | 12,5 | 7,0 | 0,2 (100) | 0,14 (60) | 24 |
- с душами при всех жилых комнатах | 150 | 65 | 12,5 | 7,0 | 0,2 (100) | 0,14 (60) | 24 |
- с ваннами при всех жилых комнатах | 200 | 100 | 10 | 4,2 | 0,3 (300) | 0,2 (200) | 24 |
6 Поликлиники и амбулатории | 1 больной в смену | 13 | 4,4 | 2,6 | 1,0 | 0,2 (80) | 0,14 (60) | 10 |
7 Дошкольные образовательные организации с дневным пребыванием детей: | 1 ребенок | | | | | | | |
- со столовыми, работающими на полуфабрикатах | 22 | 10 | 9,5 | 3,8 | 0,14 (100) | 0,1 (60) | 10 |
- со столовыми, работающими на сырье, и прачечными, оборудованными автоматическими стиральными машинами | 60 | 21 | 18 | 6,8 | 0,2 (100) | 0,14 (60) | 10 |
с круглосуточным пребыванием детей: | | | | | | | |
- со столовыми, работающими на полуфабрикатах | 40 | 20 | 10 | 3,8 | 0,14 (100) | 0,1 (60) | 24 |
- со столовыми, работающими на сырье, и прачечными, оборудованными автоматическими стиральными машинами | 90 | 25 | 18 | 6,8 | 0,2 (100) | 0,14 (60) | 24 |
8 Прачечные: | 1 кг сухого белья | | | | | | | |
- механизированные | 75 | 21,3 | 75 | 21,3 | По технологическим данным | - |
- немеханизированные | 40 | 12,8 | 40 | 12,8 | 0,3 (300) | 0,2 (200) | - |
9 Административные здания | 1 работающий | 12 | 4,5 | 4 | 1,7 | 0,14 (80) | 0,1 (60) | 8 |
10 Образовательные организации, организации профессионального и высшего образования с душевыми при гимнастических залах и буфетами, реализующими готовую продукцию | 1 учащийся и 1 преподаватель | 17,2 | 5 | 2,7 | 1,0 | 0,14 (100) | 0,1 (60) | 8 |
11 Лаборатории общеобразовательных организаций и организаций профессиональных и высшего образования | 1 прибор в смену | 220 | 95 | 43,2 | 18,4 | 0,2 (200) | 0,2 (200) | |
12 Общеобразовательные организации: | 1 учащийся и 1 преподаватель | | | | | | | |
- с душевыми при гимнастических залах и столовыми, работающими на полуфабрикатах | 10 | 2,5 | 3,1 | 0,85 | 0,14 (100) | 0,1 (60) | 8 |
- то же, с продленным днем | 12 | 2,9 | 3,1 | 0,85 | 0,14 (100) | 0,1 (60) | 8 |
(в ред. Изменения N 3, утв. Приказом Минстроя России от 18.12.2023 N 935/пр) |
13 Общеобразовательные организации - интернаты с помещениями: | | | | | | | | |
- учебными (с душевыми при гимнастических залах) | 1 учащийся и 1 преподаватель | 9 | 2,7 | 3,1 | 0,85 | 0,14 (100) | 0,1 (60) | 24 |
- спальными | 1 место | 70 | 30 | 9 | 5,1 | 0,14 (100) | 0,1 (60) | |
14 Аптеки: | 1 место | | | | | | | |
- торговый зал и подсобные помещения | 12 | 4 | 4 | 1,7 | 0,14 (60) | 0,1 (40) | 12 |
- лаборатория приготовления лекарств | 310 | 47 | 32 | 7,0 | 0,2 (300) | 0,2 (200) | 12 |
15 Предприятия общественного питания для приготовления пищи: | 1 условное блюдо, в т.ч. 2 л на мытье | | | | | | | |
- реализуемой в обеденном зале | 12 | 3,4 | 12 | 3,4 | 0,3 (300) | 0,2 (200) | - |
- продаваемой на дом | 10 | 2,6 | 10 | 2,6 | 0,3 (300) | 0,2 (200) | - |
16 Магазины: | | | | | | | | |
- продовольственные | 1 работающий в смену (20 м2 торгового зала) | 250 | 55 | 37 | 8,2 | 0,3 (300) | 0,2 (200) | 8 |
- промтоварные | 1 работающий в смену | 12 | 4 | 4 | 1,7 | 0,14 (80) | 0,1 (60) | 8 |
17 Парикмахерские | 1 рабочее место в смену | 56 | 28 | 9 | 4,0 | 0,14 (60) | 0,1 (40) | 12 |
18 Кинотеатры | 1 место | 4 | 1,3 | 0,5 | 0,17 | 0,14 (80) | 0,1 (50) | 4 |
19 Клубы | 8,6 | 2,2 | 0,9 | 0,34 | 0,14 (80) | 0,1 (50) | |
20 Театры: | | | | | | | | |
- для зрителей | 1 место | 10 | 4 | 0,9 | 0,26 | 0,14 (60) | 0,1 (40) | 4 |
- для артистов | 1 артист | 40 | 21 | 3,4 | 1,9 | 0,14 (80) | 0,1 (50) | 8 |
21 Стадионы и спортзалы: | | | | | | | | |
- для зрителей | 1 место | 3 | 0,85 | 0,3 | 0,09 | 0,14 (60) | 0,1 (40) | 4 |
(в ред. Изменения N 4, утв. Приказом Минстроя России от 19.09.2024 N 630/пр) |
- для физкультурников (с учетом приема душа) | 1 физкультурник | 50 | 25 | 4,5 | 2,5 | 0,2 (80) | 0,14 (50) | 11 |
- для спортсменов (с учетом приема душа) | 1 спортсмен | 100 | 51 | 9 | 4,3 | 0,2 (80) | 0,14 (50) | 11 |
(в ред. Изменения N 3, утв. Приказом Минстроя России от 18.12.2023 N 935/пр) |
22 Плавательные бассейны: | | | | | | | | |
- пополнение бассейна | % вместимости бассейна в сутки | 10 | - | - | - | - | - | 8 |
- для зрителей | 1 место | 3 | 0,85 | 0,3 | 0,09 | 0,14 (60) | 0,1 (40) | 6 |
- для спортсменов (с учетом приема душа) | 1 спортсмен (1 физкультурник) | 100 | 51 | 9 | 4,3 | 0,2 (80) | 0,14 (50) | 8 |
(в ред. Изменения N 3, утв. Приказом Минстроя России от 18.12.2023 N 935/пр) |
23 Бани: | | | | | | | | |
- для мытья в мыльной с тазами на скамьях и ополаскиванием в душе | 1 посетитель | 180 | 100 | 180 | 100 | 0,4 (180) | 0,4 (120) | 3 |
- то же, с приемом оздоровительных процедур и ополаскиванием в душе | 290 | 160 | 290 | 160 | 0,4 (290) | 0,4 (190) | 3 |
- душевая кабина | 360 | 200 | 360 | 200 | 0,2 (360) | 0,14 (240) | 3 |
- ванная кабина | 540 | 300 | 540 | 300 | 0,3 (540) | 0,2 (360) | 3 |
24 Душевые в бытовых помещениях промышленных предприятий | 1 душевая сетка в смену | 500 | 230 | 500 | 230 | 0,2 (500) | 0,14 (270) | - |
25 Цеха | 1 чел. в смену | | | | | | | |
- с тепловыделениями св. 84 кДж на 1 м3/ч | 45 | 20,4 | 14,1 | 7,1 | 0,14 (60) | 0,1 (40) | 6 |
- остальные цеха | 25 | 9,4 | 9,4 | 3,7 | 0,14 (60) | 0,1 (40) | 8 |
26 Расход воды на поливку: | 1 м2 | | | | | | | |
- травяного покрова | 3 | - | - | - | - | - | - |
- футбольного поля | 0,5 | - | - | - | - | - | - |
- остальных спортивных сооружений | 1,5 | - | - | - | - | - | - |
- совершенствованных покрытий, тротуаров, площадей, заводских проездов | 0,4 - 0,5 | - | - | - | - | - | - |
- зеленых насаждений, газонов и цветников | 3 - 6 | - | - | - | - | - | - |
27 Заливка поверхности катка | 0,5 | - | - | - | - | - | - |
Примечания 1 Расчетные расходы воды установлены для климатических районов I и II по СП 131.13330. Величина расчетного расхода воды может корректироваться в зависимости от мощности источника водоснабжения и качества воды, степени благоустройства, этажности застройки и местных условий. Расход воды для климатических районов III и IV следует принимать с учетом утвержденных региональными органами власти значений, которые являются приоритетными по отношению к приведенным в настоящей таблице. Конкретное значение величины удельного хозяйственно-питьевого водопотребления принимают на основании данных по оценке фактического удельного водопотребления по приборам учета. 2 Расчетные расходы воды, приведенные в настоящей таблице, включают все дополнительные расходы воды (обслуживающим персоналом, душевыми для обслуживания персонала, посетителями, на уборку помещения и т.п.). Потребление воды в групповых душевых и на ножные ванны в бытовых помещениях производственных предприятий, на стирку белья в прачечных, на приготовление пищи на предприятиях общественного питания (работающих на сырье), а также на водолечебные процедуры в водолечебницах, входящих в состав больниц, санаториев и поликлиник, следует учитывать дополнительно. Настоящие требования не распространяются на потребителей, для которых в настоящей таблице приведены расчетные расходы водопотребления, включающие расход воды на указанные нужды. 3 Для водопотребителей гражданских зданий, сооружений и помещений, не указанных в настоящей таблице, расчетные расходы воды следует принимать согласно настоящему приложению для потребителей, аналогичных по характеру водопотребления. 4 Расчетные расходы воды в медицинских организациях на технологические нужды следует принимать по СП 158.13330.2014 (таблица 7.8). 5 На предприятиях общественного питания число реализуемых блюд в час Uч и в сутки Uсут следует определять по формулам: Uч = 2,2nm и Uсут = UчTy, где n - число посадочных мест; m - число посадок, принимаемое для столовых открытого типа и кафе равным 2; для студенческих столовых и при промышленных предприятиях - 3; для ресторанов - 1,5; T - время работы предприятия общественного питания, ч; y - коэффициент неравномерности посадок на протяжении рабочего дня, принимаемый для столовых и кафе - 0,45; для ресторанов - 0,55; для других предприятий общественного питания при обосновании допускается принимать 1,0. Время работы предприятий общественного питания, с учетом приготовления пищи и мытья оборудования, определяется технологической частью проекта. В предприятиях общественного питания, где приготовление пищи не предусмотрено (буфеты, бутербродные и т.п.), расчетные расходы воды следует принимать как разницу между расчетными расходами в предприятиях, приготовляющих и реализующих пищу в обеденном зале и продающих на дом. Расчетный расход воды на 1 т продукции определяется технологической частью проекта. 6 Расходы воды на производственные нужды, не указанные в настоящей таблице, следует принимать в соответствии с технологическим заданием и указаниями по технологическому проектированию предприятий отдельных отраслей промышленности. При наличии в комплексе промышленного предприятия отдельно стоящего бытового корпуса для обслуживания работающих в одном или нескольких близлежащих производственных зданиях расчетный расход воды одним потребителем следует принимать с коэффициентом 0,6 для пользователей бытового корпуса и работающих на производстве. 7 При неавтоматизированных стиральных машинах в прачечных и при стирке белья со специфическими загрязнениями расчетный расход горячей воды на стирку 1 кг сухого белья допускается увеличивать до 30%. 8 Санитарно-технические устройства и расходы воды для служб приготовления пищи и прачечных следует принимать в соответствии с нормами по проектированию предприятий общественного питания и предприятий бытового обслуживания населения. 9 Число проживающих в квартире жилого многоквартирного дома для определения расчетных расходов воды при проектировании внутренних сетей водопровода и канализации следует принимать по формуле Nкв.жит = K + 1, где Nкв.жит - расчетное количество жителей в квартире; K - количество жилых комнат в квартире. 10 Расчетные расходы воды на поливку территории установлены из расчета одной поливки. Число поливок в сутки следует принимать в зависимости от климатических условий района строительства. |
(примечания в ред. Изменения N 3, утв. Приказом Минстроя России от 18.12.2023 N 935/пр) |
ЗНАЧЕНИЯ КОЭФФИЦИЕНТОВ
И
В ЗАВИСИМОСТИ ОТ ЧИСЛА
САНИТАРНО-ТЕХНИЧЕСКИХ ПРИБОРОВ N, ВЕРОЯТНОСТИ ИХ ДЕЙСТВИЯ P
И ИСПОЛЬЗОВАНИЯ Phr
Таблица Б.1
Значения коэффициентов
при P (Phr) > 0,1 и N <= 200
N | P (Phr) |
0,1 | 0,125 | 0,16 | 0,2 | 0,25 | 0,316 | 0,4 | 0,5 | 0,63 | 0,8 |
2 | 0,39 | 0,39 | 0,40 | 0,40 | 0,40 | 0,40 | 0,40 | 0,40 | 0,40 | 0,40 |
4 | 0,58 | 0,62 | 0,65 | 0,69 | 0,72 | 0,76 | 0,78 | 0,80 | 0,80 | 0,80 |
6 | 0,72 | 0,78 | 0,83 | 0,90 | 0,97 | 1,04 | 1,11 | 1,16 | 1,20 | 1,20 |
8 | 0,84 | 0,91 | 0,99 | 1,08 | 1,18 | 1,29 | 1,39 | 1,50 | 1,58 | 1,59 |
10 | 0,95 | 1,04 | 1,14 | 1,25 | 1,38 | 1,52 | 1,66 | 1,81 | 1,94 | 1,97 |
12 | 1,05 | 1,15 | 1,28 | 1,41 | 1,57 | 1,74 | 1,92 | 2,11 | 2,29 | 2,36 |
14 | 1,14 | 1,27 | 1,41 | 1,57 | 1,75 | 1,95 | 2,17 | 2,40 | 2,63 | 2,75 |
16 | 1,25 | 1,37 | 1,53 | 1,71 | 1,92 | 2,15 | 2,41 | 2,69 | 2,96 | 3,14 |
18 | 1,32 | 1,47 | 1,65 | 1,85 | 2,09 | 2,35 | 2,55 | 2,97 | 3,24 | 3,53 |
20 | 1,41 | 1,57 | 1,77 | 1,99 | 2,25 | 2,55 | 2,88 | 3,24 | 3,60 | 3,92 |
22 | 1,49 | 1,67 | 1,88 | 2,13 | 2,41 | 2,74 | 3,11 | 3,51 | 3,94 | 4,33 |
24 | 1,57 | 1,77 | 2,00 | 2,26 | 2,57 | 2,93 | 3,33 | 3,78 | 4,27 | 4,70 |
26 | 1,64 | 1,86 | 2,11 | 2,39 | 2,73 | 3,11 | 3,55 | 4,04 | 4,60 | 5,11 |
28 | 1,72 | 1,95 | 2,21 | 2,52 | 2,88 | 3,30 | 3,77 | 4,30 | 4,94 | 5,51 |
30 | 1,80 | 2,04 | 2,32 | 2,65 | 3,03 | 3,48 | 3,99 | 4,56 | 5,27 | 5,89 |
32 | 1,87 | 2,13 | 2,43 | 2,77 | 3,18 | 3,66 | 4,20 | 4,82 | 5,60 | 6,24 |
34 | 1,94 | 2,21 | 2,53 | 2,90 | 3,33 | 3,84 | 4,42 | 5,08 | 5,92 | 6,65 |
36 | 2,02 | 2,30 | 2,63 | 3,02 | 3,48 | 4,02 | 4,63 | 5,33 | 6,23 | 7,02 |
38 | 2,09 | 2,38 | 2,73 | 3,14 | 3,62 | 4,20 | 4,84 | 5,58 | 6,60 | 7,43 |
40 | 2,16 | 2,47 | 2,83 | 3,26 | 3,77 | 4,38 | 5,05 | 5,83 | 6,91 | 7,84 |
45 | 2,33 | 2,67 | 3,08 | 3,53 | 4,12 | 4,78 | 5,55 | 6,45 | 7,72 | 8,80 |
50 | 2,50 | 2,88 | 3,32 | 3,80 | 4,47 | 5,18 | 6,05 | 7,07 | 8,52 | 9,90 |
55 | 2,66 | 3,07 | 3,56 | 4,07 | 4,82 | 5,58 | 6,55 | 7,69 | 9,40 | 10,80 |
60 | 2,83 | 3,27 | 3,79 | 4,34 | 5,16 | 5,98 | 7,05 | 8,31 | 10,20 | 11,80 |
65 | 2,99 | 3,46 | 4,02 | 4,61 | 5,50 | 6,38 | 7,55 | 8,93 | 11,00 | 12,70 |
70 | 3,14 | 3,65 | 4,25 | 4,88 | 5,83 | 6,78 | 8,05 | 9,55 | 11,70 | 13,70 |
75 | 3,30 | 3,84 | 4,48 | 5,15 | 6,16 | 7,18 | 8,55 | 10,17 | 12,50 | 14,70 |
80 | 3,45 | 4,02 | 4,70 | 5,42 | 6,49 | 7,58 | 9,06 | 10,79 | 13,40 | 15,70 |
85 | 3,60 | 4,20 | 4,92 | 5,69 | 6,82 | 7,98 | 9,57 | 11,41 | 14,20 | 16,80 |
90 | 3,75 | 4,38 | 5,14 | 5,96 | 7,15 | 8,38 | 10,08 | 12,04 | 14,90 | 17,70 |
95 | 3,90 | 4,56 | 5,36 | 6,23 | 7,48 | 8,78 | 10,59 | 12,67 | 15,60 | 18,60 |
100 | 4,05 | 4,74 | 5,58 | 6,50 | 7,81 | 9,18 | 11,10 | 13,30 | 16,50 | 19,60 |
105 | 4,20 | 4,92 | 5,80 | 6,77 | 8,14 | 9,58 | 11,61 | 13,93 | 17,20 | 20,60 |
110 | 4,35 | 5,10 | 6,02 | 7,04 | 8,47 | 9,99 | 12,12 | 14,56 | 18,00 | 21,60 |
115 | 4,50 | 5,28 | 6,24 | 7,31 | 8,80 | 10,40 | 12,63 | 15,19 | 18,80 | 22,60 |
120 | 4,65 | 5,46 | 6,46 | 7,58 | 9,13 | 10,81 | 13,14 | 15,87 | 19,50 | 23,60 |
125 | 4,80 | 5,64 | 6,68 | 7,85 | 9,46 | 11,22 | 13,65 | 16,45 | 20,20 | 24,60 |
130 | 4,95 | 5,82 | 6,90 | 8,12 | 9,79 | 11,63 | 14,16 | 17,08 | 21,00 | 25,50 |
135 | 5,10 | 6,00 | 7,12 | 8,39 | 10,12 | 12,04 | 14,67 | 17,71 | 21,90 | 26,50 |
140 | 5,25 | 6,18 | 7,34 | 8,66 | 10,45 | 12,45 | 15,18 | 18,34 | 22,70 | 27,50 |
145 | 5,39 | 6,36 | 7,56 | 8,93 | 10,77 | 12,86 | 15,69 | 18,97 | 23,40 | 28,40 |
150 | 5,53 | 6,54 | 7,78 | 9,20 | 11,09 | 13,27 | 16,20 | 19,60 | 24,20 | 29,40 |
155 | 5,67 | 6,72 | 8,00 | 9,47 | 11,41 | 13,68 | 16,71 | 20,23 | 25,00 | 30,40 |
160 | 5,81 | 6,90 | 8,22 | 9,74 | 11,73 | 14,09 | 17,22 | 20,86 | 25,60 | 31,30 |
165 | 5,95 | 7,07 | 8,44 | 10,01 | 12,05 | 14,50 | 17,73 | 21,49 | 26,40 | 32,50 |
170 | 6,09 | 7,23 | 8,66 | 10,28 | 12,37 | 14,91 | 18,24 | 22,12 | 27,10 | 33,60 |
175 | 6,23 | 7,39 | 8,88 | 10,55 | 12,69 | 15,32 | 18,75 | 22,75 | 27,90 | 34,70 |
180 | 6,37 | 7,55 | 9,10 | 10,82 | 13,01 | 15,73 | 19,26 | 23,38 | 28,50 | 35,40 |
185 | 6,50 | 7,71 | 9,32 | 11,09 | 13,33 | 16,14 | 19,77 | 24,01 | 29,40 | 36,60 |
190 | 6,63 | 7,87 | 9,54 | 11,36 | 13,65 | 16,55 | 20,28 | 24,64 | 30,10 | 37,60 |
195 | 6,76 | 8,03 | 9,75 | 11,63 | 13,97 | 16,96 | 20,79 | 25,27 | 30,90 | 38,30 |
200 | 6,89 | 8,19 | 9,96 | 11,90 | 14,30 | 17,40 | 21,30 | 25,90 | 31,80 | 39,50 |
Таблица Б.2
Значения коэффициентов
при P (Phr) <= 0,1
и любом числе N, а также при P (Phr) > 0,1 и числе N > 200
NP или NPhr |  или  | NP или NPhr |  или  | NP или NPhr |  или  | NP или NPhr |  или  | NP или NPhr |  или  |
Менее 0,015 | 0,200 | 0,052 | 0,276 | 0,165 | 0,415 | 0,50 | 0,678 | 1,60 | 1,261 |
0,015 | 0,202 | 0,054 | 0,280 | 0,170 | 0,420 | 0,52 | 0,692 | 1,65 | 1,283 |
0,016 | 0,205 | 0,056 | 0,283 | 0,175 | 0,425 | 0,54 | 0,704 | 1,70 | 1,306 |
0,017 | 0,207 | 0,058 | 0,286 | 0,180 | 0,430 | 0,56 | 0,717 | 1,75 | 1,328 |
0,018 | 0,210 | 0,060 | 0,289 | 0,185 | 0,435 | 0,58 | 0,730 | 1,80 | 1,350 |
0,019 | 0,212 | 0,062 | 0,292 | 0,190 | 0,439 | 0,60 | 0,742 | 1,85 | 1,372 |
0,020 | 0,215 | 0,064 | 0,295 | 0,195 | 0,444 | 0,62 | 0,755 | 1,90 | 1,394 |
0,021 | 0,217 | 0,065 | 0,298 | 0,20 | 0,449 | 0,64 | 0,767 | 1,95 | 1,416 |
0,022 | 0,219 | 0,068 | 0,301 | 0,21 | 0,458 | 0,66 | 0,779 | 2,00 | 1,437 |
0,023 | 0,222 | 0,070 | 0,304 | 0,22 | 0,467 | 0,68 | 0,791 | 2,1 | 1,479 |
0,024 | 0,224 | 0,072 | 0,307 | 0,23 | 0,476 | 0,70 | 0,803 | 2,2 | 1,521 |
0,025 | 0,226 | 0,074 | 0,309 | 0,24 | 0,485 | 0,72 | 0,815 | 2,3 | 1,563 |
0,026 | 0,228 | 0,076 | 0,312 | 0,25 | 0,493 | 0,74 | 0,826 | 2,4 | 1,604 |
0,027 | 0,230 | 0,078 | 0,315 | 0,26 | 0,502 | 0,76 | 0,838 | 2,5 | 1,644 |
0,028 | 0,233 | 0,080 | 0,318 | 0,27 | 0,510 | 0,78 | 0,849 | 2,6 | 1,684 |
0,029 | 0,235 | 0,082 | 0,320 | 0,28 | 0,518 | 0,80 | 0,860 | 2,7 | 1,724 |
0,030 | 0,237 | 0,084 | 0,323 | 0,29 | 0,526 | 0,82 | 0,872 | 2,8 | 1,763 |
0,031 | 0,239 | 0,086 | 0,326 | 0,30 | 0,534 | 0,84 | 0,883 | 2,9 | 1,802 |
0,032 | 0,241 | 0,088 | 0,328 | 0,31 | 0,542 | 0,86 | 0,894 | 3,0 | 1,840 |
0,033 | 0,243 | 0,090 | 0,331 | 0,32 | 0,550 | 0,88 | 0,905 | 3,1 | 1,879 |
0,034 | 0,245 | 0,092 | 0,333 | 0,33 | 0,558 | 0,90 | 0,916 | 3,2 | 1,917 |
0,035 | 0,247 | 0,094 | 0,336 | 0,34 | 0,565 | 0,92 | 0,927 | 3,3 | 1,954 |
0,036 | 0,249 | 0,096 | 0,338 | 0,35 | 0,573 | 0,94 | 0,937 | 3,4 | 1,991 |
0,037 | 0,250 | 0,098 | 0,341 | 0,36 | 0,580 | 0,96 | 0,948 | 3,5 | 2,029 |
0,038 | 0,252 | 0,100 | 0,343 | 0,37 | 0,588 | 0,98 | 0,959 | 3,6 | 2,065 |
0,039 | 0,254 | 0,105 | 0,349 | 0,38 | 0,595 | 1,00 | 0,969 | 3,7 | 2,102 |
0,040 | 0,256 | 0,110 | 0,355 | 0,39 | 0,602 | 1,05 | 0,995 | 3,8 | 2,138 |
0,041 | 0,258 | 0,115 | 0,361 | 0,40 | 0,610 | 1,10 | 1,021 | 3,9 | 2,174 |
0,042 | 0,259 | 0,120 | 0,367 | 0,41 | 0,617 | 1,15 | 1,046 | 4,0 | 2,210 |
0,043 | 0,261 | 0,125 | 0,373 | 0,42 | 0,624 | 1,20 | 1,071 | 4,1 | 2,246 |
0,044 | 0,263 | 0,130 | 0,378 | 0,43 | 0,631 | 1,25 | 1,096 | 4,2 | 2,281 |
0,045 | 0,265 | 0,135 | 0,384 | 0,44 | 0,638 | 1,30 | 1,120 | 4,3 | 2,317 |
0,046 | 0,266 | 0,140 | 0,389 | 0,45 | 0,645 | 1,35 | 1,144 | 4,4 | 2,352 |
0,047 | 0,268 | 0,145 | 0,394 | 0,46 | 0,652 | 1,40 | 1,168 | 4,5 | 2,386 |
0,048 | 0,270 | 0,150 | 0,399 | 0,47 | 0,658 | 1,45 | 1,191 | 4,6 | 2,421 |
0,049 | 0,271 | 0,155 | 0,405 | 0,48 | 0,665 | 1,50 | 1,215 | 4,7 | 2,456 |
0,050 | 0,273 | 0,160 | 0,410 | 0,49 | 0,672 | 1,55 | 1,238 | 4,8 | 2,490 |
4,9 | 2,524 | 8,7 | 3,738 | 15,0 | 5,547 | 27,0 | 8,701 | 46,5 | 13,49 |
5,0 | 2,558 | 8,8 | 3,768 | 15,2 | 5,602 | 27,5 | 8,828 | 47,0 | 13,61 |
5,1 | 2,592 | 8,9 | 3,798 | 15,4 | 5,657 | 28,0 | 8,955 | 47,5 | 13,73 |
5,2 | 2,626 | 9,0 | 3,828 | 15,6 | 5,712 | 28,5 | 9,081 | 48,0 | 13,85 |
5,3 | 2,660 | 9,1 | 3,858 | 15,8 | 5,767 | 29,0 | 9,207 | 48,5 | 13,97 |
5,4 | 2,693 | 9,2 | 3,888 | 16,0 | 5,821 | 29,5 | 9,332 | 49,0 | 14,09 |
5,5 | 2,726 | 9,3 | 3,918 | 16,2 | 5,876 | 30,0 | 9,457 | 49,5 | 14,20 |
5,6 | 2,760 | 9,4 | 3,948 | 16,4 | 5,930 | 30,5 | 9,583 | 50 | 14,32 |
5,7 | 2,793 | 9,5 | 3,978 | 16,6 | 5,984 | 31,0 | 9,707 | 51 | 14,56 |
5,8 | 2,826 | 9,6 | 4,008 | 16,8 | 6,039 | 31,5 | 9,832 | 52 | 14,80 |
5,9 | 2,858 | 9,7 | 4,037 | 17,0 | 6,093 | 32,0 | 9,957 | 53 | 15,04 |
6,0 | 2,891 | 9,8 | 4,067 | 17,2 | 6,147 | 32,5 | 10,08 | 54 | 15,27 |
6,1 | 2,924 | 9,9 | 4,097 | 17,4 | 6,201 | 33,0 | 10,20 | 55 | 15,51 |
6,2 | 2,956 | 10,0 | 4,126 | 17,6 | 6,254 | 33,5 | 10,33 | 56 | 15,74 |
6,3 | 2,989 | 10,2 | 4,185 | 17,8 | 6,308 | 34,0 | 10,45 | 57 | 15,98 |
6,4 | 3,021 | 10,4 | 4,244 | 18,0 | 6,362 | 34,5 | 10,58 | 58 | 16,22 |
6,5 | 3,053 | 10,6 | 4,302 | 18,2 | 6,415 | 35,0 | 10,70 | 59 | 16,45 |
6,6 | 3,085 | 10,8 | 4,361 | 18,4 | 6,469 | 35,5 | 10,82 | 60 | 16,69 |
6,7 | 3,117 | 11,0 | 4,419 | 18,6 | 6,522 | 36,0 | 10,94 | 61 | 16,92 |
6,8 | 3,149 | 11,2 | 4,477 | 18,8 | 6,575 | 36,5 | 11,07 | 62 | 17,15 |
6,9 | 3,181 | 11,4 | 4,534 | 19,0 | 6,629 | 37,5 | 11,31 | 63 | 17,39 |
7,0 | 3,212 | 11,6 | 4,592 | 19,2 | 6,682 | 38,0 | 11,43 | 64 | 17,62 |
7,1 | 3,244 | 11,8 | 4,649 | 19,4 | 6,734 | 38,5 | 11,56 | 65 | 17,85 |
7,2 | 3,275 | 12,0 | 4,707 | 19,6 | 6,788 | 39,0 | 11,68 | 66 | 18,09 |
7,3 | 3,307 | 12,2 | 4,764 | 19,8 | 6,840 | 39,5 | 11,80 | 67 | 18,32 |
7,4 | 3,338 | 12,4 | 4,820 | 20,0 | 6,893 | 40,0 | 11,92 | 68 | 18,55 |
7,5 | 3,369 | 12,6 | 4,877 | 21,0 | 7,156 | 40,5 | 12,04 | 69 | 18,79 |
7,6 | 3,400 | 12,8 | 4,934 | 21,5 | 7,287 | 41,0 | 12,16 | 70 | 19,02 |
7,7 | 3,431 | 13,0 | 4,990 | 22,0 | 7,417 | 41,5 | 12,28 | 71 | 19,25 |
7,8 | 3,462 | 13,2 | 5,047 | 22,5 | 7,547 | 42,0 | 12,41 | 72 | 19,48 |
7,9 | 3,493 | 13,4 | 5,103 | 23,0 | 7,677 | 42,5 | 12,53 | 73 | 19,71 |
8,0 | 3,524 | 13,6 | 5,159 | 23,5 | 7,806 | 43,0 | 12,65 | 74 | 19,94 |
8,1 | 3,555 | 13,8 | 5,215 | 24,0 | 7,935 | 43,5 | 12,77 | 75 | 20,18 |
8,2 | 3,585 | 14,0 | 5,270 | 24,5 | 8,064 | 44,0 | 12,89 | 76 | 20,41 |
8,3 | 3,616 | 14,2 | 5,326 | 25,0 | 8,192 | 44,5 | 13,01 | 77 | 20,64 |
8,4 | 3,646 | 14,4 | 5,382 | 25,5 | 8,320 | 45,0 | 13,13 | 78 | 20,87 |
8,5 | 3,677 | 14,6 | 5,437 | 26,0 | 8,447 | 45,5 | 13,25 | 79 | 21,10 |
8,6 | 3,707 | 14,8 | 5,492 | 26,5 | 8,575 | 46,0 | 13,37 | 80 | 21,33 |
81 | 21,56 | 138 | 34,51 | 235 | 56,10 | 425 | 97,27 | 615 | 137,78 |
82 | 21,69 | 140 | 34,96 | 240 | 57,19 | 430 | 98,34 | 620 | 138,84 |
83 | 22,02 | 142 | 35,41 | 245 | 58,29 | 435 | 99,41 | 625 | 139,90 |
| | ИС МЕГАНОРМ: примечание. Значение в первой графе дано в соответствии с официальным текстом документа. | |
|
85 | 22,48 | 144 | 35,86 | 250 | 59,38 | 440 | 100,49 | 630 | 140,96 |
86 | 22,71 | 146 | 36,31 | 255 | 60,48 | 445 | 101,56 | 635 | 142,02 |
87 | 22,94 | 148 | 36,76 | 260 | 61,57 | 450 | 102,63 | 640 | 143,08 |
88 | 23,17 | 150 | 37,21 | 265 | 62,66 | 455 | 103,70 | 645 | 144,14 |
89 | 23,39 | 152 | 37,66 | 270 | 63,75 | 460 | 104,77 | 650 | 145,20 |
90 | 23,62 | 154 | 38,11 | 275 | 64,85 | 465 | 105,84 | 655 | 146,25 |
91 | 23,85 | 158 | 39,01 | 280 | 65,94 | 470 | 106,91 | 660 | 147,31 |
92 | 24,08 | 160 | 39,46 | 285 | 67,03 | 475 | 107,98 | 665 | 148,37 |
93 | 24,31 | 162 | 39,91 | 290 | 68,12 | 480 | 109,05 | 670 | 149,43 |
94 | 24,54 | 164 | 40,35 | 295 | 69,20 | 485 | 110,11 | 675 | 150,49 |
95 | 24,77 | 166 | 40,80 | 300 | 70,29 | 490 | 111,18 | 685 | 152,60 |
96 | 24,99 | 168 | 41,25 | 305 | 71,38 | 495 | 112,25 | 690 | 153,66 |
97 | 25,22 | 170 | 41,70 | 315 | 73,55 | 500 | 113,32 | 695 | 154,72 |
98 | 25,45 | 172 | 42,15 | 320 | 74,63 | 505 | 114,38 | 700 | 155,77 |
99 | 25,68 | 174 | 42,60 | 325 | 75,72 | 510 | 115,45 | 705 | 156,83 |
100 | 25,91 | 176 | 43,05 | 330 | 76,80 | 515 | 116,52 | 710 | 157,89 |
102 | 26,36 | 178 | 43,50 | 335 | 77,88 | 520 | 117,58 | 715 | 158,94 |
104 | 26,82 | 180 | 43,95 | 340 | 78,96 | 525 | 118,65 | 720 | 160,00 |
106 | 27,27 | 182 | 44,40 | 345 | 80,04 | 535 | 120,78 | 725 | 161,06 |
108 | 27,72 | 184 | 44,84 | 350 | 81,12 | 540 | 121,84 | 730 | 162,11 |
110 | 28,18 | 186 | 45,29 | 355 | 82,20 | 545 | 122,91 | 735 | 163,17 |
112 | 28,63 | 188 | 45,74 | 360 | 83,28 | 550 | 123,97 | 740 | 164,22 |
114 | 29,09 | 190 | 46,19 | 365 | 84,36 | 555 | 125,04 | 745 | 165,28 |
116 | 29,54 | 192 | 46,64 | 370 | 85,44 | 560 | 126,10 | 755 | 167,39 |
118 | 29,89 | 194 | 47,09 | 375 | 86,52 | 565 | 127,16 | 760 | 168,44 |
120 | 30,44 | 196 | 47,54 | 380 | 87,60 | 570 | 128,22 | 765 | 169,50 |
122 | 30,90 | 198 | 47,99 | 385 | 88,67 | 575 | 129,29 | 770 | 170,55 |
124 | 31,35 | 200 | 48,43 | 390 | 89,75 | 580 | 130,35 | 775 | 171,60 |
126 | 31,80 | 205 | 49,49 | 395 | 90,82 | 585 | 131,41 | 780 | 172,66 |
128 | 32,25 | 210 | 50,59 | 400 | 91,90 | 590 | 132,47 | 785 | 173,71 |
130 | 32,70 | 215 | 51,70 | 405 | 92,97 | 595 | 133,54 | 790 | 174,76 |
132 | 33,15 | 220 | 52,80 | 410 | 94,05 | 600 | 134,60 | 795 | 175,82 |
134 | 33,60 | 225 | 53,90 | 415 | 95,12 | 605 | 135,66 | 800 | 176,87 |
136 | 34,06 | 230 | 55,00 | 420 | 96,20 | 610 | 136,72 | 810 | 178,98 |
820 | 181,08 | 870 | 191,60 | 920 | 202,10 | 970 | 212,59 | 1600 | 343,90 |
830 | 183,19 | 880 | 193,70 | 930 | 204,20 | 980 | 214,68 | 2000 | 426,80 |
840 | 185,29 | 890 | 195,70 | 940 | 206,30 | 990 | 216,78 | | |
850 | 187,39 | 900 | 197,90 | 950 | 208,39 | 1000 | 218,87 | | |
860 | 189,49 | 910 | 200,00 | 960 | 210,49 | 1250 | 271,14 | | |
НОМОГРАММА ДЛЯ ОПРЕДЕЛЕНИЯ ДИАМЕТРОВ ОТВЕРСТИЙ ДИАФРАГМ,
УСТАНАВЛИВАЕМЫХ МЕЖДУ СОЕДИНИТЕЛЬНЫМИ ГОЛОВКАМИ
И ПОЖАРНЫМИ КРАНАМИ
Приложение В исключено. -
Изменение N 4, утв. Приказом Минстроя России от 19.09.2024 N 630/пр.
ЗНАЧЕНИЯ КОЭФФИЦИЕНТА kcir ДЛЯ СИСТЕМЫ
ГОРЯЧЕГО ВОДОСНАБЖЕНИЯ
| kcir | | kcir |
1,2 | 0,57 | 1,7 | 0,36 |
1,3 | 0,48 | 1,8 | 0,33 |
1,4 | 0,43 | 1,9 | 0,25 |
1,5 | 0,40 | 2,0 | 0,12 |
1,6 | 0,38 | 2,1 и более | 0,00 |
РЕГУЛИРУЮЩИЙ ОБЪЕМ РЕЗЕРВУАРА (АККУМУЛЯТОРА ТЕПЛОТЫ),
РАСХОД ВОДЫ (ТЕПЛОТЫ) ЗА ПЕРИОД ЕЕ ПОТРЕБЛЕНИЯ,
ПРИ ЗАДАННЫХ НЕРАВНОМЕРНОСТЯХ ПОДАЧИ И ПОТРЕБЛЕНИЯ
| Значения  , %, при коэффициентах часовой неравномерности Khr  |
1,2 | 1,4 | 1,6 | 1,8 | 2 | 2,5 | 3 | 4 | 5 | 6 |
1,0 | 6,7 | 12,3 | 17,1 | 21,2 | 25,0 | 32,6 | 38,5 | 47,2 | 53,5 | 58,2 |
1,1 | 2,0 | 7,2 | 12 | 16,6 | 20,8 | 28,6 | 34,6 | 43,8 | 50,4 | 55,2 |
1,2 | - | 3,3 | 7,9 | 12,3 | 16,0 | 24,1 | 30,6 | 40,3 | 47,2 | 52,5 |
1,3 | - | 1,2 | 4,6 | 8,6 | 12,4 | 21,2 | 27,0 | 37,2 | 44,2 | 49,8 |
1,4 | - | - | 2,2 | 5,8 | 9,4 | 17,2 | 24,0 | 34,2 | 41,4 | 47,2 |
1,5 | - | - | - | 3,1 | 6,3 | 14,0 | 20,7 | 31,1 | 38,8 | 44,7 |
1,6 | - | - | - | 1,2 | 4,6 | 11,4 | 18,2 | 28,8 | 36,6 | 43,2 |
1,7 | - | - | - | - | 2,4 | 9,0 | 15,8 | 26,2 | 34,0 | 40,4 |
1,8 | - | - | - | - | 0,8 | 6,8 | 13,0 | 24,0 | 31,8 | 38,2 |
1,9 | - | - | - | - | - | 4,8 | 10,8 | 21,4 | 29,6 | 36,0 |
2,0 | - | - | - | - | - | 3,4 | 8,9 | 19,1 | 27,2 | 33,8 |
2,2 | - | - | - | - | - | 0,6 | 5,6 | 15,2 | 23,6 | 30,2 |
2,4 | - | - | - | - | - | - | 3,1 | 11,8 | 19,8 | 26,5 |
2,6 | - | - | - | - | - | - | 1,2 | 9,0 | 16,8 | 23,2 |
2,8 | - | - | - | - | - | - | 0,6 | 6,4 | 13,8 | 20,2 |
3,0 | - | - | - | - | - | - | - | 4,4 | 11,2 | 17,6 |
3,5 | - | - | - | - | - | - | - | 0,4 | 6,0 | 12,0 |
4,0 | - | - | - | - | - | - | - | - | 2,6 | 7,4 |
РЕГУЛИРУЮЩИЙ ОБЪЕМ РЕЗЕРВУАРА (АККУМУЛЯТОРА ТЕПЛОТЫ),
РАСХОД ВОДЫ (ТЕПЛОТЫ) ЗА ПЕРИОД ЕЕ ПОТРЕБЛЕНИЯ,
ПРИ РАВНОМЕРНОЙ ПОДАЧЕ И НЕРАВНОМЕРНОМ ПОТРЕБЛЕНИИ
| Продолжительность равномерной подачи воды, % | Значения  , %, при коэффициентах часовой неравномерности |
1,2 | 1,4 | 1,6 | 1,8 | 2,0 | 2,5 | 3 | 4 | 5 | 6 |
1,00 | 100 | 6,7 | 12,3 | 17,1 | 21,3 | 25,0 | 32,6 | 38,5 | 47,5 | 53,5 | 58,2 |
1,09 | 92 | 7,3 | 10,5 | 14,4 | 18,0 | 21,4 | 28,8 | 34,8 | 44,0 | 50,6 | 55,6 |
1,20 | 84 | - | 11,5 | 13,6 | 16,1 | 18,8 | 25,3 | 31,1 | 40,3 | 47,2 | 52,5 |
1,33 | 75 | - | - | 14,4 | 15,6 | 17,5 | 22,4 | 27,5 | 36,4 | 43,4 | 48,9 |
1,50 | 67 | - | - | - | 16,9 | 17,4 | 20,4 | 24,4 | 32,4 | 29,2 | 44,9 |
1,71 | 58 | - | - | - | - | 19,4 | 19,8 | 22,2 | 28,5 | 34,8 | 40,3 |
2,00 | 50 | - | - | - | - | - | 21,1 | 21,4 | 25,3 | 30,4 | 35,4 |
2,40 | 42 | - | - | - | - | - | - | 23,0 | 23,4 | 26,6 | 30,5 |
3,00 | 33 | - | - | - | - | - | - | - | 24,2 | 24,4 | 26,4 |
4,00 | 25 | - | - | - | - | - | - | - | - | 26,4 | 25,2 |
6,00 | 17 | - | - | - | - | - | - | - | - | - | 33,5 |
РАСХОДЫ ВОДЫ НА ПОЖАРОТУШЕНИЕ
Приложение Ж исключено с 19.01.2024. -
Изменение N 3, утв. Приказом Минстроя России от 18.12.2023 N 935/пр.
ДОПУСТИМАЯ СКОРОСТЬ ДВИЖЕНИЯ ВОДЫ В ТРУБОПРОВОДАХ СИСТЕМ
ХОЛОДНОГО И ГОРЯЧЕГО ВОДОСНАБЖЕНИЯ
Допустимый эквивалентный уровень шума, дБ | Допустимая скорость движения воды, м/с, в трубопроводах при коэффициентах местных сопротивлений подключения санитарно-технических приборов или стояка с арматурой, приведенных к скорости воды в трубах |
Сопротивление |
до 5 | до 10 | до 15 | до 20 | до 30 |
25 | 1,5/1,5 | 1,1/0,7 | 0,9/0,55 | 0,75/0,5 | 0,6/0,4 |
30 | 1,5/1,5 | 1,5/1,2 | 1,2/1,0 | 1,0/0,8 | 0,85/0,65 |
35 | 1,5/1,5 | 1,5/1,5 | 1,5/1,1 | 1,2/0,95 | 1,0/0,8 |
40 | 1,5/1,5 | 1,5/1,5 | 1,5/1,5 | 1,5/1,5 | 1,3/1,2 |
Примечания 1 В числителе приведена допустимая скорость воды при применении кранов, в знаменателе - при применении вентилей. 2 Скорость движения воды в трубах, прокладываемых через несколько помещений, следует определять, принимая в расчет: - помещение с наименьшим допустимым эквивалентным уровнем шума; - арматуру с наибольшим коэффициентом местного сопротивления, устанавливаемую на любом участке трубопровода, прокладываемого через это помещение, при длине участка 30 м в обе стороны от помещения. 3 При применении арматуры с большим гидравлическим сопротивлением (балансировочные клапаны, регуляторы давления и др.) во избежание шумообразования рабочий перепад давления на арматуре следует ограничивать. |
ПРОПУСКНАЯ СПОСОБНОСТЬ КАНАЛИЗАЦИОННЫХ СТОЯКОВ
В
таблицах К.1 -
К.4 приведены данные по пропускной способности стояков для труб из ПВХ, ПП, чугунных раструбных SML.
(в ред.
Изменения N 3, утв. Приказом Минстроя России от 18.12.2023 N 935/пр)
Таблица К.1
Пропускная способность вентилируемых стояков из труб ПВХ
Наружный диаметр поэтажных отводов, мм | Угол присоединения поэтажных отводов к стояку, градус | Пропускная способность, л/с, стояков при диаметре труб, мм |
50 | 110 |
50 | 45 | 1,10 | 8,22 |
60 | 1,03 | 7,24 |
87,5 | 0,69 | 4,83 |
110 | 45 | - | 5,85 |
60 | - | 5,37 |
87,5 | - | 3,58 |
Таблица К.2
Пропускная способность вентилируемых стояков из труб ПП
Наружный диаметр поэтажных отводов, мм | Угол присоединения поэтажных отводов к стояку, градус | Пропускная способность, л/с, стояков при диаметре труб, мм |
50 | 110 |
40 | 45 | 1,23 | 8,95 |
60 | 1,14 | 8,25 |
87,5 | 0,76 | 5,50 |
50 | 45 | 1,10 | 8,40 |
60 | 1,03 | 7,80 |
87,5 | 0,69 | 5,20 |
110 | 45 | - | 5,90 |
60 | - | 5,40 |
87,5 | - | 3,60 |
Таблица К.3
Пропускная способность вентилируемых стояков
из чугунных раструбных труб
Наружный диаметр поэтажных отводов, мм | Угол присоединения поэтажных отводов к стояку, градус | Пропускная способность, л/с, стояков при диаметре труб, мм |
50 | 100 | 150 |
50 | 45 | 0,96 | 6,26 | 19,9 |
60 | 0,84 | 5,50 | 17,6 |
87,5 | 0,56 | 3,67 | 11,7 |
100 | 45 | - | 5,50 | 14,5 |
60 | - | 4,90 | 12,8 |
87,5 | - | 3,20 | 8,62 |
150 | 45 | - | - | 12,6 |
60 | - | - | 11,0 |
87,5 | - | - | 7,20 |
Таблица К.4
Пропускная способность вентилируемых стояков
из чугунных труб типа SML
Наружный диаметр поэтажных отводов, мм | Угол присоединения поэтажных отводов к стояку, градус | Пропускная способность, л/с, стояков при диаметре труб, мм |
DN 50 | DN 100 | DN 125 | DN 150 |
DN 50 | 45 | 1,42 | 7,79 | 12,94 | 20,01 |
60 | 1,25 | 6,85 | 11,37 | 17,58 |
87,5 | 0,87 | 4,76 | 7,91 | 12,23 |
DN 100 | 45 | - | 5,79 | 9,61 | 14,86 |
60 | - | 5,08 | 8,45 | 13,50 |
87,5 | - | 3,54 | 5,88 | 9,08 |
DN 125 | 45 | - | - | 8,80 | 13,01 |
60 | - | - | 7,73 | 11,43 |
87,5 | - | - | 5,38 | 7,95 |
DN 150 | 45 | - | - | - | 12,60 |
60 | - | - | - | 11,07 |
87,5 | - | - | - | 7,70 |
Таблица К.5
Пропускная способность невентилируемых стояков из труб ПВХ
Рабочая высота стояка, м | Угол присоединения поэтажных отводов к стояку, градус | Пропускная способность, л/с, стояков при диаметре труб, мм |
50 | 110 |
при диаметре поэтажных отводов, мм |
50 | 50 | 110 |
1 | 45 | 1,80 | 9,50 | 10,6 |
60 | 1,70 | 9,10 | 10,1 |
87,5 | 1,65 | 8,40 | 9,50 |
2 | 45 | 1,12 | 5,80 | 6,80 |
60 | 1,05 | 5,50 | 6,40 |
87,5 | 0,97 | 4,95 | 5,90 |
3 | 45 | 0,80 | 4,00 | 5,00 |
60 | 0,74 | 3,70 | 4,60 |
87,5 | 0,65 | 3,30 | 4,10 |
4 | 45 | 0,60 | 3,00 | 3,70 |
60 | 0,55 | 2,70 | 3,40 |
87,5 | 0,48 | 2,40 | 3,00 |
5 | 45 | 0,60 | 2,25 | 3,00 |
60 | 0,55 | 2,05 | 2,80 |
87,5 | 0,48 | 1,85 | 2,40 |
6 | 45 | 0,60 | 1,85 | 2,35 |
60 | 0,55 | 1,70 | 2,10 |
87,5 | 0,48 | 1,50 | 1,80 |
7 | 45 | 0,60 | 1,55 | 2,00 |
60 | 0,55 | 1,40 | 1,80 |
87,5 | 0,48 | 1,20 | 1,60 |
8 | 45 | 0,60 | 1,30 | 1,70 |
60 | 0,55 | 1,20 | 1,55 |
87,5 | 0,48 | 1,00 | 1,40 |
9 | 45 | 0,60 | 1,10 | 1,15 |
60 | 0,55 | 1,00 | 1,12 |
87,5 | 0,48 | 0,85 | 1,10 |
Таблица К.6
Пропускная способность невентилируемых стояков из труб ПП
Рабочая высота стояка, м | Угол присоединения поэтажных отводов к стояку, градус | Пропускная способность, л/с, стояков при диаметре труб, мм |
50 | 110 |
при диаметре поэтажных отводов, мм |
40 | 50 | 40 | 50 | 110 |
1 | 45 | 1,60 | 1,80 | 8,80 | 9,50 | 10,6 |
60 | 1,52 | 1,70 | 8,50 | 9,10 | 10,1 |
87,5 | 1,44 | 1,65 | 8,00 | 8,40 | 9,50 |
2 | 45 | 0,96 | 1,12 | 5,40 | 5,80 | 6,80 |
60 | 0,91 | 1,05 | 5,10 | 5,50 | 6,40 |
87,5 | 0,88 | 0,97 | 4,70 | 4,95 | 5,90 |
3 | 45 | 0,72 | 0,80 | 3,80 | 4,00 | 5,00 |
60 | 0,66 | 0,74 | 3,50 | 3,70 | 4,60 |
87,5 | 0,58 | 0,65 | 3,20 | 3,30 | 4,10 |
4 | 45 | 0,50 | 0,60 | 2,80 | 3,00 | 3,70 |
60 | 0,47 | 0,55 | 2,60 | 2,70 | 3,40 |
87,5 | 0,42 | 0,48 | 2,30 | 2,40 | 3,00 |
5 | 45 | 0,50 | 0,60 | 2,10 | 2,25 | 3,00 |
60 | 0,47 | 0,55 | 1,95 | 2,05 | 2,70 |
87,5 | 0,42 | 0,48 | 1,77 | 1,85 | 2,40 |
6 | 45 | 0,50 | 0,60 | 1,77 | 1,85 | 2,35 |
60 | 0,47 | 0,55 | 1,67 | 1,70 | 2,10 |
87,5 | 0,42 | 0,48 | 1,42 | 1,50 | 1,80 |
7 | 45 | 0,50 | 0,60 | 1,42 | 1,55 | 2,00 |
60 | 0,47 | 0,55 | 1,30 | 1,40 | 1,80 |
87,5 | 0,42 | 0,48 | 1,07 | 1,20 | 1,60 |
8 | 45 | 0,50 | 0,60 | 1,20 | 1,30 | 1,70 |
60 | 0,47 | 0,55 | 1,15 | 1,20 | 1,55 |
87,5 | 0,42 | 0,48 | 0,96 | 1,00 | 1,40 |
9 | 45 | 0,50 | 0,60 | 1,04 | 1,10 | 1,15 |
60 | 0,47 | 0,55 | 0,95 | 1,00 | 1,12 |
87,5 | 0,42 | 0,48 | 0,80 | 0,85 | 1,10 |
Таблица К.7
Пропускная способность невентилируемых стояков
из чугунных раструбных труб
Рабочая высота стояка, м | Угол присоединения поэтажных отводов к стояку, градус | Пропускная способность, л/с, стояков при диаметре труб, мм |
50 | 100 | 150 |
при диаметре поэтажных отводов, мм |
50 | 50 | 110 | 50 | 100 | 150 |
1 | 45 | 1,55 | 8,00 | 9,60 | 17,0 | 19,00 | 20,0 |
60 | 1,49 | 7,60 | 8,60 | 16,0 | 18,20 | 19,3 |
87,5 | 1,39 | 7,00 | 8,00 | 15,0 | 16,90 | 18,0 |
2 | 45 | 1,00 | 5,00 | 6,00 | 10,0 | 12,00 | 13,0 |
60 | 0,85 | 4,60 | 5,60 | 9,70 | 11,90 | 12,3 |
87,5 | 0,87 | 4,20 | 5,20 | 8,50 | 10,00 | 11,0 |
3 | 45 | 0,65 | 3,40 | 4,30 | 7,00 | 8,10 | 9,00 |
60 | 0,60 | 3,20 | 4,00 | 6,50 | 7,70 | 8,60 |
87,5 | 0,55 | 3,00 | 3,70 | 5,70 | 6,70 | 7,50 |
4 | 45 | 0,49 | 2,75 | 3,30 | 5,00 | 6,60 | 7,00 |
60 | 0,47 | 2,40 | 3,15 | 4,80 | 6,10 | 6,50 |
87,5 | 0,45 | 2,20 | 2,70 | 4,00 | 5,10 | 5,70 |
5 | 45 | 0,49 | 2,00 | 2,65 | 3,90 | 4,90 | 5,50 |
60 | 0,47 | 1,85 | 2,45 | 3,65 | 4,60 | 5,10 |
87,5 | 0,45 | 1,70 | 2,10 | 3,10 | 4,00 | 4,40 |
6 | 45 | 0,49 | 1,60 | 2,20 | 3,20 | 3,90 | 4,50 |
60 | 0,47 | 1,50 | 2,00 | 3,00 | 3,70 | 4,30 |
87,5 | 0,45 | 1,35 | 1,70 | 2,50 | 3,20 | 3,60 |
7 | 45 | 0,49 | 1,30 | 1,70 | 2,60 | 3,20 | 3,70 |
60 | 0,47 | 1,25 | 1,58 | 2,45 | 3,00 | 3,40 |
87,5 | 0,45 | 1,15 | 1,35 | 2,60 | 2,60 | 2,90 |
8 | 45 | 0,49 | 1,10 | 1,40 | 2,20 | 2,80 | 3,20 |
60 | 0,47 | 1,05 | 1,32 | 2,00 | 2,60 | 2,90 |
87,5 | 0,45 | 1,00 | 1,15 | 1,70 | 2,20 | 2,40 |
9 | 45 | 0,49 | 1,10 | 1,40 | 1,85 | 2,40 | 2,70 |
60 | 0,47 | 1,05 | 1,32 | 1,70 | 2,20 | 2,50 |
87,5 | 0,45 | 1,00 | 1,15 | 1,50 | 1,80 | 2,10 |
10 | 45 | 0,49 | 1,10 | 1,40 | 1,75 | 2,10 | 2,30 |
60 | 0,47 | 1,05 | 1,32 | 1,55 | 2,00 | 2,10 |
87,5 | 0,45 | 1,00 | 1,15 | 1,35 | 1,80 | 1,85 |
11 | 45 | 0,49 | 1,10 | 1,40 | 1,60 | 1,80 | 2,00 |
60 | 0,47 | 1,05 | 1,32 | 1,45 | 1,70 | 1,90 |
87,5 | 0,45 | 1,00 | 1,15 | 1,15 | 1,40 | 1,40 |
12 | 45 | 0,49 | 1,10 | 1,40 | 1,35 | 1,65 | 1,90 |
60 | 0,47 | 1,05 | 1,32 | 1,20 | 1,40 | 1,70 |
87,5 | 0,45 | 1,00 | 1,15 | 1,00 | 1,25 | 1,40 |
13 | 45 | 0,49 | 1,10 | 1,40 | 1,35 | 1,65 | 1,90 |
60 | 0,47 | 1,05 | 1,32 | 1,20 | 1,40 | 1,70 |
87,5 | 0,45 | 1,00 | 1,15 | 1,00 | 1,25 | 1,40 |
Таблица К.8
Пропускная способность невентилируемых стояков
с воздушным (вакуумным) клапаном
Минстроя России от 18.12.2023 N 935/пр)
Наружный диаметр поэтажных отводов, мм | Угол присоединения поэтажных отводов к стояку, градус | Пропускная способность, л/с, невентилируемых стояков с воздушным клапаном при диаметре поэтажных отводов, мм |
ПП | ПВХ | Чугун типа SML |
50 | 110 | 50 | 110 | 50 | 100 |
50 | 45 | 1,10 | 6,81 | 1,10 | 6,69 | 0,96 | 6,83 |
60 | 1,03 | 5,98 | 1,03 | 5,87 | 0,84 | 6,01 |
87,5 | 0,69 | 4,16 | 0,69 | 4,09 | 0,56 | 4,18 |
110 | 45 | - | 4,83 | - | 4,76 | - | 4,72 |
60 | - | 4,24 | - | 4,18 | - | 4,15 |
87,5 | - | 2,95 | - | 2,91 | - | 2,88 |
Примечание - Приведенные в настоящей таблице данные пропускной способности действительны только для клапанов с площадью живого сечения воздушного потока  равной: 1650 мм 2 - для диаметра стояков 50 мм и 3170 мм 2 - для диаметра стояков 110 (100) мм. |
ПОТЕРИ ТЕПЛА ТРУБОПРОВОДАМИ СИСТЕМЫ ГОРЯЧЕГО ВОДОСНАБЖЕНИЯ
Приложение Л исключено с 19.01.2024. -
Изменение N 3, утв. Приказом Минстроя России от 18.12.2023 N 935/пр.
[1]
ТР ЕАЭС 043/2017 Технический регламент Евразийского экономического союза "О требованиях к средствам обеспечения пожарной безопасности и пожаротушения"
[2] Федеральный
закон от 27 декабря 2002 г. N 184-ФЗ "О техническом регулировании"
[3] Федеральный
закон от 22 июля 2008 г. N 123-ФЗ "Технический регламент о требованиях пожарной безопасности"
[4] Федеральный
закон от 23 ноября 2009 г. N 261-ФЗ "Об энергосбережении и повышении энергетической эффективности и о внесении изменений в отдельные законодательные акты Российской Федерации"
[5] Федеральный
закон от 30 декабря 2009 г. N 384-ФЗ "Технический регламент о безопасности зданий и сооружений"
[6] Федеральный
закон от 7 декабря 2011 г. N 416-ФЗ "О водоснабжении и водоотведении"
[7]
Приказ Федеральной службы по экологическому, технологическому и атомному надзору от 15 декабря 2020 г. N 536 "Об утверждении федеральных норм и правил в области промышленной безопасности "Правила промышленной безопасности при использовании оборудования, работающего под избыточным давлением" (зарегистрирован в Министерстве юстиции Российской Федерации 31 декабря 2020 г., регистрационный N 61998)
(в ред.
Изменения N 2, утв. Приказом Минстроя России от 31.05.2022 N 434/пр)
[8]
Постановление Правительства Российской Федерации от 22 мая 2020 г. N 728 "Об утверждении Правил осуществления контроля состава и свойств сточных вод и о внесении изменений и признании утратившими силу некоторых актов Правительства Российской Федерации"
[9]
Постановление Правительства Российской Федерации от 29 июля 2013 г. N 644 "Об утверждении Правил холодного водоснабжения и водоотведения и о внесении изменений в некоторые акты Правительства Российской Федерации"
[10]
Постановление Правительства Российской Федерации от 4 сентября 2013 г. N 776 "Об утверждении Правил организации коммерческого учета воды, сточных вод"
[11] Федеральный
закон от 30 марта 1999 г. N 52-ФЗ "О санитарно-эпидемиологическом благополучии населения"
[12]
СП 40-102-2000 Проектирование и монтаж трубопроводов систем водоснабжения и канализации из полимерных материалов. Общие требования
[13]
СП 40-107-2003 Проектирование, монтаж и эксплуатация систем внутренней канализации из полипропиленовых труб
[14] Единые санитарно-эпидемиологические и гигиенические
требования к продукции (товарам), подлежащей санитарно-эпидемиологическому надзору (контролю) (утверждены Решением Комиссии Таможенного союза от 28 мая 2010 г. N 299)
[15]
Постановление Правительства Российской Федерации от 18 ноября 2013 г. N 1034 "О коммерческом учете тепловой энергии, теплоносителя"
[16]
СП 31-108-2002 Мусоропроводы жилых и общественных зданий и сооружений
[17]
СанПиН 2.1.3684-21 Санитарно-эпидемиологические требования к содержанию территорий городских и сельских поселений, к водным объектам, питьевой воде и питьевому водоснабжению, атмосферному воздуху, почвам, жилым помещениям, эксплуатации производственных, общественных помещений, организации и проведению санитарно-противоэпидемических (профилактических) мероприятий
(позиция введена
Изменением N 3, утв. Приказом Минстроя России от 18.12.2023 N 935/пр)
[18]
СанПиН 1.2.3685-21 Гигиенические нормативы и требования к обеспечению безопасности и (или) безвредности для человека факторов среды обитания
(позиция введена
Изменением N 3, утв. Приказом Минстроя России от 18.12.2023 N 935/пр)
(позиция введена
Изменением N 3, утв. Приказом Минстроя России от 18.12.2023 N 935/пр)
[20]
СП 2.1.3678-20 Санитарно-эпидемиологические требования к эксплуатации помещений, зданий, сооружений, оборудования и транспорта, а также условиям деятельности хозяйствующих субъектов, осуществляющих продажу товаров, выполнение работ или оказание услуг
(позиция введена
Изменением N 3, утв. Приказом Минстроя России от 18.12.2023 N 935/пр)