Главная // Актуальные документы // ПереченьСПРАВКА
Источник публикации
В данном виде документ опубликован не был.
Первоначальный текст документа опубликован в издании
М.: Минрегион России, 2011.
Информацию о публикации документов, создающих данную редакцию, см. в справке к этим документам.
Примечание к документу
О порядке применения данного документа при проверке соответствия проектной документации и (или) результатов инженерных изысканий, представленных на первичную или повторную государственную или негосударственную экспертизу, в целях обеспечения соблюдения требований Федерального
закона от 30.12.2009 N 384-ФЗ см.
п. 2 Постановления Правительства РФ от 28.05.2021 N 815.
Отдельные положения данного документа до 01.09.2022 были включены в
Перечень национальных стандартов и сводов правил (частей таких стандартов и сводов правил), в результате применения которых на обязательной основе обеспечивается соблюдение требований Федерального
закона "Технический регламент о безопасности зданий и сооружений" (
Постановление Правительства РФ от 28.05.2021 N 815).
Отдельные положения данного документа включены в
Перечень национальных стандартов и сводов правил (частей таких стандартов и сводов правил), в результате применения которых на обязательной основе обеспечивается соблюдение требований Федерального
закона "Технический регламент о безопасности зданий и сооружений" (
Постановление Правительства РФ от 04.07.2020 N 985).
Документ включен в
Перечень документов в области стандартизации, в результате применения которых на добровольной основе обеспечивается соблюдение требований Федерального
закона от 30.12.2009 N 384-ФЗ "Технический регламент о безопасности зданий и сооружений" (
Приказ Росстандарта от 02.04.2020 N 687).
Документ включен в
Перечень документов в области стандартизации, в результате применения которых на добровольной основе обеспечивается соблюдение требований Федерального
закона от 30.12.2009 N 384-ФЗ "Технический регламент о безопасности зданий и сооружений" (
Приказ Росстандарта от 17.04.2019 N 831).
Документ включен в
Перечень документов в области стандартизации, в результате применения которых на добровольной основе обеспечивается соблюдение требований Федерального
закона от 30.12.2009 N 384-ФЗ "Технический регламент о безопасности зданий и сооружений" (
Приказ Росстандарта от 30.03.2015 N 365).
Отдельные положения данного документа включены в
Перечень национальных стандартов и сводов правил (частей таких стандартов и сводов правил), в результате применения которых на обязательной основе обеспечивается соблюдение требований Федерального
закона от 30.12.2009 N 384-ФЗ "Технический регламент о безопасности зданий и сооружений" (
Постановление Правительства РФ от 26.12.2014 N 1521).
Текст документа приведен с учетом
опечатки, опубликованной в "Информационном бюллетене о нормативной, методической и типовой проектной документации", N 6, 2012;
опечатки, опубликованной в "Информационном бюллетене о нормативной, методической и типовой проектной документации", N 12, 2012.
Название документа
"СП 61.13330.2012. Свод правил. Тепловая изоляция оборудования и трубопроводов. Актуализированная редакция СНиП 41-03-2003"
(утв. Приказом Минрегиона России от 27.12.2011 N 608)
(ред. от 28.11.2023)
"СП 61.13330.2012. Свод правил. Тепловая изоляция оборудования и трубопроводов. Актуализированная редакция СНиП 41-03-2003"
(утв. Приказом Минрегиона России от 27.12.2011 N 608)
(ред. от 28.11.2023)
от 27 декабря 2011 г. N 608
СВОД ПРАВИЛ
ТЕПЛОВАЯ ИЗОЛЯЦИЯ ОБОРУДОВАНИЯ И ТРУБОПРОВОДОВ
Designing of thermal insulation of equipment and pipe lines
СП 61.13330.2012
| | Список изменяющих документов Минстроя России от 03.12.2016 N 882/пр, Минстроя России от 28.11.2023 N 850/пр) | |
Дата введения
1 января 2013 года
Цели и принципы стандартизации в Российской Федерации установлены Федеральным
законом от 27 декабря 2002 г. N 184-ФЗ "О техническом регулировании", а правила разработки -
Постановлением Правительства Российской Федерации от 19 ноября 2008 г. N 858 "О порядке разработки и утверждения сводов правил".
1 ИСПОЛНИТЕЛЬ - Московский государственный строительный университет (МГСУ) и группа специалистов
2 ВНЕСЕН Техническим комитетом по стандартизации ТК 465 "Строительство"
3 ПОДГОТОВЛЕН к утверждению Департаментом архитектуры, строительства и градостроительной политики
4 УТВЕРЖДЕН
Приказом Министерства регионального развития Российской Федерации (Минрегион России) от 27 декабря 2011 г. N 608 и введен в действие с 1 января 2013 года
5 ЗАРЕГИСТРИРОВАН Федеральным агентством по техническому регулированию и метрологии (Росстандарт). Пересмотр СП 61.13330.2010 "СНиП 41-03-2003. Тепловая изоляция оборудования и трубопроводов"
Информация об изменениях к настоящему своду правил публикуется в ежегодно издаваемом информационном указателе "Национальные стандарты", а текст изменений и поправок - в ежемесячно издаваемых информационных указателях "Национальные стандарты". В случае пересмотра (замены) или отмены настоящего свода правил соответствующее уведомление будет опубликовано в ежемесячно издаваемом информационном указателе "Национальные стандарты". Соответствующая информация, уведомление и тексты размещаются также в информационной системе общего пользования - на официальном сайте разработчика (Минрегион России) в сети Интернет
Настоящий свод правил разработан с учетом современных тенденций в проектировании промышленной тепловой изоляции и рекомендаций международных организаций по стандартизации и нормированию.
Нормативный документ содержит требования к теплоизоляционным материалам, изделиям и конструкциям, правила проектирования тепловой изоляции, нормы плотности теплового потока с изолируемых поверхностей оборудования и трубопроводов с положительными и отрицательными температурами при их расположении на открытом воздухе, в помещении, непроходных каналах и при бесканальной прокладке. В документе приведены методы расчета толщины тепловой изоляции оборудования и трубопроводов, расчетные характеристики теплоизоляционных материалов, правила определения объема и толщины уплотняющихся волокнистых теплоизоляционных материалов в зависимости от коэффициента уплотнения.
Актуализация выполнена авторским коллективом в составе: канд. техн. наук Б.М. Шойхет (руководитель работы), д-р техн. наук Б.М. Румянцев (МГСУ), В.Н. Якуничев (СПКБ АО "Фирма "Энергозащита"), В.Н. Крушельницкий (ОАО "Атомэнергопроект").
В работе принимали участие: А.И. Коротков, И.Б. Новиков (ОАО "ВНИПИэнергопром"), канд. техн. наук В.И. Кашинский (ООО "ПРЕДПРИЯТИЕ "Теплосеть-Сервис"), С.Л. Кац (ОАО "ВНИПИнефть"), Р.Ш. Виноградова (ОАО "Теплоэлектропроект"), Е.А. Никитина (ОАО "Атомэнергопроект").
Изменение N 2 выполнено авторским коллективом НИИСФ РААСН (руководитель разработки - канд. техн. наук П.П. Пастушков, исполнители - д-р техн. наук В.Г. Гагарин, канд. техн. наук Н.В. Павленко, канд. хим. наук С.И. Гутников).
(абзац введен
Изменением N 2, утв. Приказом Минстроя России от 28.11.2023 N 850/пр)
Настоящий свод правил следует соблюдать при проектировании тепловой изоляции наружной поверхности оборудования, трубопроводов, газоходов и воздуховодов, расположенных в зданиях, сооружениях и на открытом воздухе с температурой содержащихся в них веществ от минус 180 до 600 °C, в том числе трубопроводов тепловых сетей при всех способах прокладки и трубопроводов с обогревающими их паровыми и водяными спутниками.
(в ред.
Изменения N 1, утв. Приказом Минстроя России от 03.12.2016 N 882/пр)
Настоящие нормы не распространяются на проектирование тепловой изоляции оборудования и трубопроводов, содержащих и транспортирующих взрывчатые вещества, изотермических хранилищ сжиженных газов, зданий и помещений для производства и хранения взрывчатых веществ, атомных станций и установок.
Нормативные документы, на которые в тексте настоящего свода правил имеются ссылки, приведены в
приложении А.
Примечание - При пользовании настоящим сводом правил целесообразно проверить действие ссылочных стандартов и классификаторов в информационной системе общего пользования - на официальном сайте национальных органов Российской Федерации по стандартизации в сети Интернет или по ежегодно издаваемому информационному указателю "Национальные стандарты", который опубликован по состоянию на 1 января текущего года, и по соответствующим ежемесячно издаваемым информационным указателям, опубликованным в текущем году. Если ссылочный документ заменен (изменен), то при пользовании настоящим сводом правил следует руководствоваться замененным (измененным) документом. Если ссылочный документ отменен без замены, то положение, в котором дана ссылка на него, применяется в части, не затрагивающей эту ссылку.
В настоящем своде правил применены термины по
ГОСТ 31913, а также следующие термины с соответствующими определениями:
(в ред.
Изменения N 1, утв. Приказом Минстроя России от 03.12.2016 N 882/пр)
3.1
плотность теплоизоляционного материала,
, кг/м3: Величина, определяемая отношением массы материала ко всему занимаемому им объему, включая поры и пустоты;
3.2
коэффициент теплопроводности,
, Вт/(м·°C): Коэффициент пропорциональности между плотностью теплового потока и температурным градиентом, обусловливающим этот тепловой поток;
(в ред.
Изменения N 2, утв. Приказом Минстроя России от 28.11.2023 N 850/пр)
3.3 расчетная теплопроводность: Коэффициент теплопроводности теплоизоляционного материала в эксплуатационных условиях с учетом его температуры, влажности, монтажного уплотнения и наличия теплотехнических неоднородностей, который используется для расчетов толщины теплоизоляционного слоя;
(в ред.
Изменения N 2, утв. Приказом Минстроя России от 28.11.2023 N 850/пр)
3.4
паропроницаемость,
, мг/(м·ч·Па): Способность материала пропускать водяные пары, содержащиеся в воздухе, под действием разности их парциальных давлений на противоположных поверхностях слоя материала;
3.5 температуростойкость: Способность материала сохранять механические свойства при повышении или понижении температуры. Характеризуется предельными температурами применения, при которых в материале обнаруживаются неупругие деформации (при повышении температуры) или разрушение структуры (при понижении температуры) под сжимающей нагрузкой;
3.6 уплотнение теплоизоляционных материалов: Монтажная характеристика, определяющая плотность теплоизоляционного материала после его установки в проектное положение в конструкции. Уплотнение материалов характеризуется коэффициентом уплотнения, значение которого определяется отношением объема материала или изделия к его объему в конструкции;
3.7 теплоизоляционная конструкция: Конструкция, состоящая из одного или нескольких слоев теплоизоляционного материала (изделия), защитно-покровного слоя и элементов крепления. В состав теплоизоляционной конструкции могут входить пароизоляционный, предохранительный и выравнивающий слои;
3.8 многослойная теплоизоляционная конструкция: Конструкция, состоящая из двух и более слоев различных теплоизоляционных материалов;
3.9 покровный слой: Элемент конструкции, устанавливаемый по наружной поверхности тепловой изоляции для защиты от механических повреждений и воздействия окружающей среды;
3.10 пароизоляционный слой: Элемент теплоизоляционной конструкции оборудования и трубопроводов с температурой ниже температуры окружающей среды, предохраняющий теплоизоляционный слой от проникновения в нее паров воды вследствие разности парциальных давлений пара у холодной поверхности и в окружающей среде;
3.11 предохранительный слой: Элемент теплоизоляционный конструкции, входящий, как правило, в состав теплоизоляционной конструкции для оборудования и трубопроводов с температурой поверхности ниже температуры окружающей среды с целью защиты пароизоляционного слоя от механических повреждений;
3.12 температурные деформации: Тепловое расширение или сжатие изолируемой поверхности и элементов конструкции под воздействием изменения температурных условий при монтаже и эксплуатации изолируемого объекта;
3.13 выравнивающий слой: Элемент теплоизоляционной конструкции, выполняемый из упругих рулонных или листовых материалов, устанавливается под мягкий покровный слой (например из лакостеклоткани) для выравнивания формы поверхности;
3.14 паровые и водяные спутники: Трубопроводы малого диаметра, предназначенные для обогрева основного трубопровода и расположенные в общей с основным трубопроводом теплоизоляционной конструкции.
(п. 3.14 введен
Изменением N 1, утв. Приказом Минстроя России от 03.12.2016 N 882/пр)
4.1 Теплоизоляционная конструкция должна обеспечивать параметры теплохолодоносителя при эксплуатации, нормативный уровень тепловых потерь оборудованием и трубопроводами, безопасную для человека температуру их наружных поверхностей.
4.2 Конструкции тепловой изоляции трубопроводов и оборудования должны отвечать требованиям:
энергоэффективности - отношения полезного эффекта от использования теплоизоляционной конструкции к затратам энергетических и материальных ресурсов, произведенным в целях получения такого эффекта, при соблюдении требований к нормированной плотности теплового потока в соответствии с
В.2.1 приложения В;
безопасности для окружающей среды и обслуживающего персонала при эксплуатации и утилизации в соответствии с действующими санитарными, экологическими нормами, правилами техники безопасности и
В.2.3 приложения В;
эксплуатационной надежности и долговечности - соответствие требованиям к энергоэффективности и безопасности для окружающей среды и обслуживающего персонала при эксплуатационных, температурных, механических, химических и других воздействиях в течение расчетного срока эксплуатации.
(п. 4.2 в ред.
Изменения N 2, утв. Приказом Минстроя России от 28.11.2023 N 850/пр)
4.3 При выборе материалов и изделий, входящих в состав теплоизоляционных конструкций для поверхностей с положительными температурами теплоносителя (20 °C и выше), следует учитывать следующие факторы:
климатические параметры месторасположения изолируемого объекта (согласно
СП 131.13330);
(в ред.
Изменения N 2, утв. Приказом Минстроя России от 28.11.2023 N 850/пр)
температуру изолируемой поверхности;
температуру окружающей среды;
исключено с 29.12.2023. -
Изменение N 2, утв. Приказом Минстроя России от 28.11.2023 N 850/пр;
агрессивность окружающей среды или веществ, содержащихся в изолируемых объектах;
коррозионное воздействие;
материал поверхности изолируемого объекта;
допустимые нагрузки на изолируемую поверхность;
наличие вибрации и ударных воздействий;
требуемый срок эффективной эксплуатации теплоизоляционной конструкции;
(в ред.
Изменения N 2, утв. Приказом Минстроя России от 28.11.2023 N 850/пр)
санитарно-гигиенические требования;
температуру применения теплоизоляционного материала;
теплопроводность теплоизоляционного материала;
температурные деформации изолируемых поверхностей;
конфигурация и размеры изолируемой поверхности;
условия монтажа (стесненность, высотность, сезонность и др.);
условия демонтажа и утилизации.
Теплоизоляционная конструкция трубопроводов тепловых сетей подземной бесканальной прокладки должна выдерживать без разрушения:
воздействие грунтовых вод;
нагрузки от массы вышележащего грунта и проходящего транспорта.
При выборе теплоизоляционных материалов и конструкций для поверхностей с температурой теплоносителя 19 °C и ниже и отрицательной температурой дополнительно следует учитывать относительную влажность окружающего воздуха, а также влажность и паропроницаемость теплоизоляционного материала.
4.4 В состав конструкции тепловой изоляции для поверхностей с положительной температурой в качестве обязательных элементов должны входить:
теплоизоляционный слой;
покровный слой;
элементы крепления.
4.5 В состав конструкции тепловой изоляции для поверхностей с отрицательной температурой в качестве обязательных элементов должны входить:
теплоизоляционный слой;
пароизоляционный слой;
покровный слой;
элементы крепления.
Пароизоляционный слой следует предусматривать также при температуре изолируемой поверхности ниже 12 °C. Устройство пароизоляционного слоя при температуре выше 12 °C следует предусматривать для оборудования и трубопроводов с температурой ниже температуры окружающей среды, если расчетная температура изолируемой поверхности ниже температуры "точки росы" при расчетном давлении и влажности окружающего воздуха.
Необходимость установки пароизоляционного слоя в конструкции тепловой изоляции для поверхностей с переменным температурным режимом (от "положительной" к "отрицательной" и наоборот) определяется расчетом для исключения накопления влаги в теплоизоляционной конструкции.
Антикоррозионные покрытия изолируемой поверхности не входят в состав теплоизоляционных конструкций.
4.6 В зависимости от применяемых конструктивных решений в состав конструкции дополнительно могут входить:
выравнивающий слой;
предохранительный слой.
Предохранительный слой следует предусматривать при применении металлического покровного слоя для предотвращения повреждения пароизоляционных материалов.
5 Требования к материалам и конструкциям тепловой изоляции
5.1 В конструкциях теплоизоляции оборудования и трубопроводов с температурами содержащихся в них веществ в диапазоне от 20 до 300 °C для всех способов прокладки, кроме бесканальной, следует применять теплоизоляционные материалы и изделия с плотностью не более 200 кг/м3 и коэффициентом теплопроводности в сухом состоянии не более 0,06 Вт/(м·К) при средней температуре 25 °C. Допускается применение асбестовых шнуров для изоляции трубопроводов условным проходом до 50 мм включительно.
Выбор теплоизоляционного материала для конкретной конструкции осуществляется на основании технических требований, изложенных в техническом задании на проектирование тепловой изоляции.
5.2 В качестве первого теплоизоляционного слоя многослойных конструкций теплоизоляции оборудования и трубопроводов с температурами содержащихся в них веществ в диапазоне от 300 °C и более допускается применять теплоизоляционные материалы и изделия с плотностью не более 350 кг/м3 и коэффициентом теплопроводности при средней температуре 300 °C не более 0,12 Вт/(м·К).
5.3 В качестве второго и последующих теплоизоляционных слоев конструкций теплоизоляции оборудования и трубопроводов с температурой содержащихся в них веществ 300 °C и более для всех способов прокладки, кроме бесканальной, следует применять теплоизоляционные материалы и изделия с плотностью не более 200 кг/м3 и коэффициентом теплопроводности при средней температуре 125 °C не более 0,08 Вт/(м·К).
5.4 Для теплоизоляционного слоя трубопроводов с положительной температурой при бесканальной прокладке следует применять материалы с плотностью не более 400 кг/м3 и теплопроводностью не более 0,07 Вт/(м·К) при температуре материала 25 °C и влажности, указанной в соответствующих государственных стандартах или технических условиях.
5.5 Для теплоизоляционного слоя оборудования и трубопроводов с отрицательными температурами следует применять теплоизоляционные материалы и изделия с плотностью не более 200 кг/м3 и расчетной теплопроводностью в конструкции не более 0,05 Вт/(м·К) при температуре веществ минус 40 °C и выше и не более 0,04 Вт/(м·К) - при минус 40 °C.
При выборе материала теплоизоляционного слоя поверхности с температурой от 19 до 0 °C следует относить к поверхностям с отрицательными температурами.
5.6 Соответствие материалов, применяемых в качестве теплоизоляционного и покровного слоев в составе теплоизоляционных конструкций оборудования и трубопроводов, требованиям к качеству продукции, санитарно-гигиеническим требованиям должно быть подтверждено результатами испытаний.
(в ред.
Изменения N 2, утв. Приказом Минстроя России от 28.11.2023 N 850/пр)
5.7 Конструкция тепловой изоляции трубопроводов при бесканальной прокладке должна обладать прочностью на сжатие не менее 400 кПа.
(в ред.
Изменения N 2, утв. Приказом Минстроя России от 28.11.2023 N 850/пр)
При бесканальной прокладке тепловых сетей следует преимущественно применять предварительно изолированные в заводских условиях трубы с учетом допустимой температуры применения теплоизоляционного материала и температурного графика работы тепловых сетей.
Применение засыпной изоляции трубопроводов при подземной прокладке в каналах и бесканально не допускается.
5.8 При бесканальной прокладке стальные предварительно изолированные трубопроводы с изоляцией из пенополиуретана в полиэтиленовой оболочке должны быть снабжены системой оперативного дистанционного контроля влажности изоляции (ОДК).
(в ред.
Изменения N 2, утв. Приказом Минстроя России от 28.11.2023 N 850/пр)
5.9 Не допускается применять асбестосодержащие теплоизоляционные материалы для конструкций тепловой изоляции оборудования и трубопроводов с отрицательными температурами содержащихся в них веществ и для изоляции трубопроводов подземной прокладки в непроходных каналах.
5.10 При выборе теплоизоляционных материалов и покровных слоев следует учитывать стойкость элементов теплоизоляционной конструкции к химически агрессивным факторам окружающей среды, включая возможное воздействие веществ, содержащихся в изолируемом объекте.
Не допускается применение теплоизоляционных материалов, содержащих органические вещества, для изоляции конструкций оборудования и трубопроводов, содержащих сильные окислители (жидкий кислород).
Для металлических покрытий должна предусматриваться антикоррозионная защита или выбираться материал, не подверженный воздействию агрессивной среды.
5.11 Для оборудования и трубопроводов, подвергающихся ударным воздействиям и вибрации, рекомендуется применять теплоизоляционные изделия на основе базальтового супертонкого или хризотилового волокна или другие материалы, вибростойкость которых в условиях эксплуатации подтверждена результатами испытаний, выполненных аккредитованными организациями.
(в ред.
Изменения N 2, утв. Приказом Минстроя России от 28.11.2023 N 850/пр)
Для объектов, подвергающихся вибрации, при применении штукатурных защитных покрытий следует предусматривать оклейку штукатурного защитного покрытия с последующей окраской.
5.12 При проектировании объектов с повышенными санитарно-гигиеническими требованиями к содержанию пыли в воздухе помещений в конструкциях теплоизоляции не допускается применение материалов, загрязняющих воздух в помещениях.
Рекомендуется применение теплоизоляционных изделий на основе минеральной ваты с диаметром волокна не более 5 мкм, изделий из супертонкого стекловолокна в обкладках со всех сторон из стеклянной или кремнеземной ткани и под герметичным защитным покрытием или других материалов, соответствие которых указанным санитарно-гигиеническим требованиям подтверждено результатами испытаний, выполненных аккредитованными организациями.
5.13 В конструкциях тепловой изоляции, предназначенных для обеспечения заданной температуры на поверхности изоляции, в качестве покровного слоя рекомендуется применять материалы со степенью черноты не ниже 0,9 (с коэффициентом излучения не ниже

).
5.14 Не допускается применение металлического покровного слоя при подземной бесканальной прокладке и прокладке трубопроводов в непроходных каналах.
Покровный слой из тонколистового металла с наружным полимерным покрытием не допускается применять в местах, подверженных прямому воздействию солнечных лучей.
5.15 Покровный слой допускается не предусматривать в теплоизоляционных конструкциях на основе изделий из волокнистых материалов с покрытием (кэшированных) из алюминиевой фольги или стеклоткани (стеклохолста, стеклорогожи), вспененного синтетического каучука и вспененного полиэтилена для изолируемых объектов, расположенных в помещениях, тоннелях, подвалах и чердаках зданий, и при канальной прокладке трубопроводов.
(п. 5.15 в ред.
Изменения N 1, утв. Приказом Минстроя России от 03.12.2016 N 882/пр)
5.16 Число слоев пароизоляционного материала в теплоизоляционных конструкциях для оборудования и трубопроводов с отрицательными температурами содержащихся в них веществ рекомендуется принимать по приложению Б
(таблица Б.4).
(в ред.
Изменения N 1, утв. Приказом Минстроя России от 03.12.2016 N 882/пр)
Таблица 1 исключена с 4 июня 2017 года. -
Изменение N 1, утв. Приказом Минстроя России от 03.12.2016 N 882/пр.
5.17 При применении теплоизоляционных материалов из вспененных полимеров с закрытыми порами необходимость применения пароизоляционного слоя должна быть обоснована расчетом. При исключении пароизоляционного слоя следует предусматривать герметизацию стыков изделий материалами, не пропускающими водяные пары.
5.18 Теплоизоляционные конструкции из материалов с группой горючести Г3 и Г4 не допускается предусматривать для оборудования и трубопроводов, расположенных:
а) в зданиях, кроме зданий IV степени огнестойкости, одноквартирных жилых домов и охлаждаемых помещений холодильников;
б) в наружных технологических установках, кроме отдельно стоящего оборудования;
в) на эстакадах и галереях при наличии кабелей и трубопроводов, транспортирующих горючие вещества.
При этом допускается применение горючих материалов группы Г3 или Г4 для:
пароизоляционного слоя толщиной не более 2 мм;
слоя окраски или пленки толщиной не более 0,4 мм;
покровного слоя трубопроводов, расположенных в технических подвальных этажах и подпольях с выходом только наружу в зданиях I и II степеней огнестойкости при устройстве вставок длиной 3 м из негорючих материалов не более чем через 30 м длины трубопровода;
теплоизоляционного слоя из заливочного пенополиуретана при покровном слое из оцинкованной стали в наружных технологических установках.
Покровный слой из слабогорючих материалов группы Г1 и Г2, применяемых для наружных технологических установок высотой 6 м и более, должен быть на основе стеклоткани.
5.19 Для трубопроводов надземной прокладки при применении теплоизоляционных конструкций из горючих материалов группы Г3 и Г4 следует предусматривать:
вставки длиной 3 м из негорючих материалов не более чем через 100 м длины трубопровода;
участки теплоизоляционных конструкций из негорючих материалов на расстоянии не менее 5 м от технологических установок, содержащих горючие газы и жидкости.
(п. 5.19 в ред.
Изменения N 2, утв. Приказом Минстроя России от 28.11.2023 N 850/пр)
5.20 Для элементов оборудования и трубопроводов, требующих в процессе эксплуатации систематического наблюдения, следует предусматривать сборно-разборные съемные теплоизоляционные конструкции.
Съемные теплоизоляционные конструкции должны применяться для изоляции люков, фланцевых соединений, арматуры и компенсаторов трубопроводов, а также в местах измерений и проверки состояния изолируемых поверхностей.
5.21 Изделия из минеральной ваты (каменной ваты и стекловолокна), применяемые в качестве теплоизоляционного слоя для трубопроводов подземной канальной прокладки, должны быть гидрофобизированы.
Не допускается применение теплоизоляционных материалов, подверженных деструкции при взаимодействии с влагой (асбестосодержащая мастичная изоляция, изделия известково-кремнеземистые, перлитоцементные и совелитовые).
5.22 При проектировании тепловой изоляции следует учитывать возможность коррозионного воздействия теплоизоляционного материала или входящих в его состав химических веществ на металлические поверхности оборудования и трубопроводов в присутствии влаги. В зависимости от материала изолируемой поверхности (сталь углеродистая, сталь легированная, цветные металлы и сплавы) и вида коррозии (окисление, щелочная коррозия, растрескивание под напряжением) в техническом задании на проектирование следует указывать требования по ограничению содержания (не более указанных значений) в теплоизоляционном материале водорастворимых хлоридов, фторидов, силикатов, натрия, а также допустимый диапазон значений pH водной вытяжки из теплоизоляционного материала, определяемых по
ГОСТ 32302.
(в ред.
Изменения N 2, утв. Приказом Минстроя России от 28.11.2023 N 850/пр)
5.23 Тепловая изоляция трубопроводов с обогревающими их спутниками предусматривает их совместную прокладку в общей теплоизоляционной конструкции. Конструктивные решения тепловой изоляции определяются числом спутников и их расположением относительно трубопровода в конструкции. Применяются системы обогрева, предусматривающие частичный и полный обогрев трубопровода. Для повышения эффективности теплообмена между спутником и трубопроводом применяются конструктивные решения (распорки, подкладки), обеспечивающие максимальное использование теплоотдающей поверхности спутника и тепловоспринимающей поверхности трубопровода в пространстве, ограниченном теплоизоляционной конструкцией. Для снижения тепловых потерь через участок теплоизоляционной конструкции, контактирующий с воздухом в пространстве, ограниченном теплоизоляционной конструкцией, за счет уменьшения радиационной составляющей теплового потока, могут применяться внутренние обкладки (экраны) из алюминиевой фольги толщиной 0,1 мм или фольгированных листовых и рулонных материалов, с учетом допустимой температуры их применения.
(п. 5.23 введен
Изменением N 1, утв. Приказом Минстроя России от 03.12.2016 N 882/пр)
5.24 Температура изолируемых поверхностей оборудования и трубопроводов должна быть не более максимальной рабочей температуры используемых теплоизоляционных материалов, определяемых для матов и плит по методике
ГОСТ 32312, для цилиндров заводского изготовления - по методике
ГОСТ EN 14707.
(п. 5.24 введен
Изменением N 2, утв. Приказом Минстроя России от 28.11.2023 N 850/пр)
6 Проектирование тепловой изоляции
6.1 Расчет толщины теплоизоляционного слоя по нормированной плотности теплового потока
(в ред.
Изменения N 1, утв. Приказом Минстроя России от 03.12.2016 N 882/пр)
6.1.1 Нормы плотности теплового потока через изолированную поверхность объектов, расположенных в Европейском регионе России, следует принимать:
для оборудования и трубопроводов с положительными температурами, расположенных:
для оборудования и трубопроводов с отрицательными температурами, расположенных:
при прокладке в непроходных каналах:
для трубопроводов двухтрубных водяных тепловых сетей - по
таблицам 8 и
9;
для паропроводов с конденсатопроводами при их совместной прокладке в непроходных каналах - по
таблице 10;
для трубопроводов двухтрубных водяных тепловых сетей при бесканальной прокладке - по
таблицам 11 -
12.
Таблица 2
Нормы плотности теплового потока оборудования
и трубопроводов с положительными температурами
при расположении на открытом воздухе
и числе часов работы более 5000
Условный проход трубопровода, мм | Температура теплоносителя, °C |
20 | 50 | 100 | 150 | 200 | 250 | 300 | 350 | 400 | 450 | 500 | 550 | 600 |
Плотность теплового потока, Вт/м |
15 | 4 | 9 | 17 | 25 | 35 | 45 | 56 | 68 | 81 | 94 | 109 | 124 | 140 |
20 | 4 | 10 | 19 | 28 | 39 | 50 | 62 | 75 | 89 | 103 | 119 | 135 | 152 |
25 | 5 | 11 | 20 | 31 | 42 | 54 | 67 | 81 | 95 | 111 | 128 | 145 | 163 |
40 | 5 | 12 | 23 | 35 | 47 | 60 | 75 | 90 | 106 | 123 | 142 | 161 | 181 |
50 | 6 | 14 | 26 | 38 | 51 | 66 | 81 | 98 | 115 | 133 | 153 | 173 | 195 |
65 | 7 | 16 | 29 | 43 | 58 | 74 | 90 | 108 | 127 | 147 | 169 | 191 | 214 |
80 | 8 | 17 | 31 | 46 | 62 | 78 | 96 | 115 | 135 | 156 | 179 | 202 | 226 |
100 | 9 | 19 | 34 | 50 | 67 | 85 | 104 | 124 | 146 | 168 | 192 | 217 | 243 |
125 | 10 | 21 | 38 | 55 | 74 | 93 | 114 | 136 | 159 | 183 | 208 | 235 | 263 |
150 | 11 | 23 | 42 | 61 | 80 | 101 | 132 | 156 | 182 | 209 | 238 | 267 | 298 |
200 | 14 | 28 | 50 | 72 | 95 | 119 | 154 | 182 | 212 | 242 | 274 | 308 | 343 |
250 | 16 | 33 | 57 | 82 | 107 | 133 | 173 | 204 | 236 | 270 | 305 | 342 | 380 |
300 | 18 | 37 | 64 | 91 | 118 | 147 | 191 | 224 | 259 | 296 | 333 | 373 | 414 |
350 | 22 | 45 | 77 | 108 | 140 | 173 | 208 | 244 | 281 | 320 | 361 | 403 | 446 |
400 | 25 | 49 | 84 | 117 | 152 | 187 | 223 | 262 | 301 | 343 | 385 | 430 | 476 |
450 | 27 | 54 | 91 | 127 | 163 | 200 | 239 | 280 | 322 | 365 | 410 | 457 | 505 |
500 | 30 | 58 | 98 | 136 | 175 | 215 | 256 | 299 | 343 | 389 | 436 | 486 | 537 |
600 | 34 | 67 | 112 | 154 | 197 | 241 | 286 | 333 | 382 | 432 | 484 | 537 | 593 |
700 | 38 | 75 | 124 | 170 | 217 | 264 | 313 | 364 | 416 | 470 | 526 | 583 | 642 |
800 | 43 | 83 | 137 | 188 | 238 | 290 | 343 | 397 | 453 | 511 | 571 | 633 | 696 |
900 | 47 | 91 | 150 | 205 | 259 | 315 | 372 | 430 | 490 | 552 | 616 | 681 | 749 |
1000 | 52 | 100 | 163 | 222 | 281 | 340 | 400 | 463 | 527 | 592 | 660 | 729 | 801 |
1400 | 70 | 133 | 215 | 291 | 364 | 439 | 514 | 591 | 670 | 750 | 833 | 918 | 1098 |
Более 1400 и плоские поверхности | Плотность теплового потока, Вт/м2 |
15 | 27 | 41 | 54 | 66 | 77 | 89 | 100 | 110 | 134 | 153 | 174 | 192 |
Примечание - Промежуточные значения норм плотности теплового потока следует определять интерполяцией. |
Таблица 3
Нормы плотности теплового потока оборудования
и трубопроводов с положительными температурами
при расположении на открытом воздухе
и числе часов работы 5000 и менее
Условный проход трубопровода, мм | Температура теплоносителя, °C |
20 | 50 | 100 | 150 | 200 | 250 | 300 | 350 | 400 | 450 | 500 | 550 | 600 |
Плотность теплового потока, Вт/м |
15 | 4 | 10 | 18 | 28 | 38 | 49 | 61 | 74 | 87 | 102 | 117 | 133 | 150 |
20 | 5 | 11 | 21 | 31 | 42 | 54 | 67 | 81 | 96 | 112 | 128 | 146 | 164 |
25 | 5 | 12 | 23 | 34 | 46 | 59 | 73 | 88 | 104 | 120 | 138 | 157 | 176 |
40 | 6 | 14 | 26 | 39 | 52 | 67 | 82 | 99 | 116 | 135 | 154 | 174 | 196 |
50 | 7 | 16 | 29 | 43 | 57 | 73 | 90 | 107 | 126 | 146 | 167 | 189 | 212 |
65 | 8 | 18 | 33 | 48 | 65 | 82 | 100 | 120 | 141 | 162 | 185 | 209 | 234 |
80 | 9 | 20 | 36 | 52 | 69 | 88 | 107 | 128 | 150 | 172 | 197 | 222 | 248 |
100 | 10 | 22 | 39 | 57 | 76 | 96 | 116 | 139 | 162 | 187 | 212 | 239 | 267 |
125 | 12 | 25 | 44 | 63 | 84 | 113 | 137 | 162 | 189 | 216 | 245 | 276 | 307 |
150 | 13 | 27 | 48 | 70 | 92 | 123 | 149 | 176 | 205 | 235 | 266 | 298 | 332 |
200 | 16 | 34 | 59 | 83 | 109 | 146 | 176 | 207 | 240 | 274 | 310 | 347 | 385 |
250 | 19 | 39 | 67 | 95 | 124 | 166 | 199 | 234 | 270 | 307 | 346 | 387 | 429 |
300 | 22 | 44 | 76 | 106 | 138 | 184 | 220 | 258 | 297 | 338 | 380 | 424 | 469 |
350 | 27 | 54 | 92 | 128 | 164 | 202 | 241 | 282 | 324 | 368 | 413 | 460 | 508 |
400 | 30 | 60 | 100 | 139 | 178 | 219 | 260 | 304 | 349 | 395 | 443 | 493 | 544 |
450 | 33 | 65 | 109 | 150 | 192 | 235 | 280 | 326 | 373 | 422 | 473 | 526 | 580 |
500 | 36 | 71 | 118 | 162 | 207 | 253 | 300 | 349 | 399 | 451 | 505 | 561 | 618 |
600 | 42 | 82 | 135 | 185 | 235 | 285 | 338 | 391 | 447 | 504 | 563 | 624 | 686 |
700 | 47 | 91 | 150 | 204 | 259 | 314 | 371 | 429 | 489 | 551 | 614 | 679 | 746 |
800 | 53 | 102 | 166 | 226 | 286 | 346 | 407 | 470 | 535 | 602 | 670 | 740 | 812 |
900 | 59 | 112 | 183 | 248 | 312 | 377 | 443 | 511 | 581 | 652 | 725 | 800 | 877 |
1000 | 64 | 123 | 199 | 269 | 339 | 408 | 479 | 552 | 626 | 702 | 780 | 860 | 941 |
1400 | 87 | 165 | 264 | 355 | 444 | 532 | 621 | 712 | 804 | 898 | 995 | 1092 | 1193 |
Более 1400 и плоские поверхности | Плотность теплового потока, Вт/м2 |
19 | 35 | 54 | 70 | 85 | 99 | 112 | 125 | 141 | 158 | 174 | 191 | 205 |
Примечание - Промежуточные значения норм плотности теплового потока следует определять интерполяцией. |
Таблица 4
Нормы плотности теплового потока для оборудования
и трубопроводов с положительными температурами
при расположении в помещении и числе часов работы более 5000
Условный проход трубопровода, мм | Температура теплоносителя, °C |
50 | 100 | 150 | 200 | 250 | 300 | 350 | 400 | 450 | 500 | 550 | 600 |
Плотность теплового потока, Вт/м |
15 | 6 | 14 | 23 | 33 | 43 | 54 | 66 | 79 | 93 | 107 | 122 | 138 |
20 | 7 | 16 | 26 | 37 | 48 | 60 | 73 | 87 | 102 | 117 | 134 | 151 |
25 | 8 | 18 | 28 | 40 | 52 | 65 | 79 | 94 | 110 | 126 | 144 | 162 |
40 | 9 | 21 | 32 | 45 | 59 | 73 | 89 | 105 | 122 | 141 | 160 | 180 |
50 | 10 | 23 | 36 | 50 | 64 | 80 | 96 | 114 | 133 | 152 | 173 | 194 |
65 | 12 | 26 | 41 | 56 | 72 | 89 | 107 | 127 | 147 | 169 | 191 | 214 |
80 | 13 | 28 | 44 | 60 | 77 | 95 | 114 | 135 | 156 | 179 | 202 | 227 |
100 | 14 | 31 | 48 | 65 | 84 | 103 | 124 | 146 | 169 | 193 | 218 | 244 |
125 | 16 | 35 | 53 | 72 | 92 | 113 | 136 | 159 | 184 | 210 | 237 | 265 |
150 | 18 | 38 | 58 | 79 | 100 | 123 | 147 | 172 | 199 | 226 | 255 | 285 |
200 | 22 | 46 | 70 | 93 | 118 | 144 | 172 | 200 | 230 | 262 | 294 | 328 |
250 | 26 | 53 | 79 | 106 | 134 | 162 | 193 | 224 | 257 | 291 | 327 | 364 |
300 | 29 | 60 | 88 | 118 | 148 | 179 | 212 | 246 | 281 | 318 | 357 | 396 |
350 | 33 | 66 | 97 | 129 | 161 | 195 | 230 | 267 | 305 | 344 | 385 | 428 |
400 | 36 | 72 | 106 | 139 | 174 | 210 | 247 | 286 | 326 | 368 | 411 | 456 |
450 | 39 | 78 | 114 | 150 | 187 | 225 | 264 | 305 | 348 | 392 | 437 | 484 |
500 | 43 | 84 | 123 | 161 | 200 | 241 | 282 | 326 | 370 | 417 | 465 | 514 |
600 | 49 | 96 | 139 | 181 | 225 | 269 | 315 | 363 | 412 | 462 | 515 | 569 |
700 | 55 | 107 | 153 | 200 | 247 | 295 | 344 | 395 | 448 | 502 | 558 | 616 |
800 | 61 | 118 | 169 | 220 | 270 | 322 | 376 | 431 | 487 | 546 | 606 | 668 |
900 | 67 | 130 | 185 | 239 | 294 | 350 | 407 | 466 | 527 | 589 | 653 | 718 |
1000 | 74 | 141 | 201 | 259 | 318 | 377 | 438 | 501 | 565 | 631 | 699 | 768 |
1400 | 99 | 187 | 263 | 337 | 411 | 485 | 561 | 638 | 716 | 797 | 880 | 964 |
Более 1400 и плоские поверхности | Плотность теплового потока, Вт/м2 |
23 | 41 | 56 | 69 | 82 | 94 | 106 | 118 | 130 | 141 | 153 | 165 |
Примечание - Промежуточные значения норм плотности теплового потока следует определять интерполяцией. |
Таблица 5
Нормы плотности теплового потока для оборудования
и трубопроводов с положительными температурами
при расположении в помещении и числе часов работы
5000 и менее
Условный проход трубопровода, мм | Температура теплоносителя, °C |
50 | 100 | 150 | 200 | 250 | 300 | 350 | 400 | 450 | 500 | 550 | 600 |
Плотность теплового потока, Вт/м |
15 | 6 | 16 | 25 | 35 | 46 | 58 | 71 | 85 | 99 | 114 | 130 | 147 |
20 | 7 | 18 | 28 | 40 | 52 | 65 | 79 | 93 | 109 | 126 | 143 | 161 |
25 | 8 | 20 | 31 | 43 | 56 | 70 | 85 | 101 | 118 | 136 | 154 | 174 |
40 | 10 | 23 | 36 | 49 | 64 | 80 | 96 | 114 | 132 | 152 | 172 | 194 |
50 | 11 | 25 | 40 | 54 | 70 | 87 | 105 | 124 | 144 | 165 | 187 | 210 |
65 | 13 | 29 | 45 | 62 | 79 | 98 | 118 | 139 | 161 | 184 | 208 | 233 |
80 | 14 | 32 | 49 | 66 | 85 | 105 | 126 | 148 | 171 | 195 | 221 | 247 |
100 | 16 | 35 | 54 | 73 | 93 | 115 | 137 | 161 | 186 | 212 | 239 | 267 |
125 | 18 | 39 | 60 | 81 | 103 | 126 | 151 | 176 | 203 | 231 | 261 | 291 |
150 | 21 | 44 | 66 | 89 | 113 | 138 | 164 | 192 | 221 | 251 | 282 | 315 |
200 | 26 | 53 | 80 | 107 | 134 | 163 | 194 | 225 | 258 | 292 | 328 | 365 |
250 | 30 | 62 | 92 | 122 | 153 | 185 | 218 | 253 | 290 | 327 | 366 | 407 |
300 | 34 | 70 | 103 | 136 | 170 | 205 | 241 | 279 | 319 | 359 | 402 | 446 |
350 | 38 | 77 | 113 | 149 | 186 | 224 | 263 | 304 | 347 | 391 | 436 | 483 |
400 | 42 | 85 | 123 | 162 | 201 | 242 | 284 | 328 | 373 | 419 | 467 | 517 |
450 | 46 | 92 | 134 | 175 | 217 | 260 | 305 | 351 | 398 | 448 | 498 | 551 |
500 | 51 | 100 | 144 | 189 | 233 | 279 | 327 | 375 | 426 | 478 | 532 | 587 |
600 | 58 | 114 | 164 | 214 | 263 | 314 | 367 | 420 | 476 | 533 | 592 | 652 |
700 | 65 | 127 | 182 | 236 | 290 | 345 | 402 | 460 | 520 | 582 | 645 | 710 |
800 | 73 | 141 | 202 | 261 | 320 | 379 | 441 | 504 | 568 | 635 | 703 | 772 |
900 | 81 | 156 | 221 | 285 | 349 | 413 | 479 | 547 | 616 | 687 | 760 | 834 |
1000 | 89 | 170 | 241 | 309 | 378 | 447 | 518 | 590 | 663 | 739 | 816 | 896 |
1400 | 120 | 226 | 318 | 406 | 492 | 580 | 668 | 758 | 850 | 943 | 1038 | 1136 |
Более 1400 и плоские поверхности | Плотность теплового потока, Вт/м2 |
26 | 46 | 63 | 78 | 92 | 105 | 119 | 132 | 145 | 158 | 171 | 190 |
Примечание - Промежуточные значения норм плотности теплового потока следует определять интерполяцией. |
Таблица 6
Нормы плотности теплового потока для оборудования
и трубопроводов с отрицательными температурами
при расположении на открытом воздухе
Условный проход трубопровода, мм | Температура теплоносителя, °C |
0 | -10 | -20 | -40 | -60 | -80 | -100 | -120 | -140 | -160 | -180 |
Плотность теплового потока, Вт/м |
20 | 3 | 3 | 4 | 6 | 7 | 9 | 10 | 12 | 14 | 16 | 17 |
25 | 3 | 4 | 5 | 6 | 8 | 9 | 11 | 12 | 15 | 17 | 18 |
40 | 4 | 5 | 5 | 7 | 9 | 10 | 12 | 13 | 16 | 18 | 19 |
50 | 5 | 5 | 6 | 8 | 9 | 11 | 13 | 14 | 16 | 19 | 20 |
65 | 6 | 6 | 7 | 9 | 10 | 12 | 14 | 15 | 17 | 20 | 21 |
80 | 6 | 6 | 8 | 10 | 11 | 13 | 15 | 16 | 18 | 21 | 22 |
100 | 7 | 7 | 9 | 11 | 13 | 14 | 17 | 18 | 20 | 22 | 23 |
125 | 8 | 8 | 9 | 12 | 14 | 16 | 18 | 20 | 21 | 23 | 25 |
150 | 8 | 9 | 10 | 13 | 16 | 17 | 20 | 21 | 23 | 25 | 27 |
200 | 10 | 10 | 12 | 16 | 18 | 20 | 23 | 25 | 27 | 29 | 31 |
250 | 11 | 12 | 14 | 18 | 20 | 23 | 26 | 27 | 30 | 33 | 35 |
300 | 12 | 13 | 16 | 20 | 23 | 25 | 28 | 30 | 34 | 36 | 39 |
350 | 14 | 15 | 18 | 22 | 24 | 27 | 30 | 33 | 36 | 38 | 41 |
400 | 16 | 16 | 20 | 23 | 26 | 29 | 32 | 34 | 38 | 40 | 43 |
450 | 17 | 18 | 21 | 26 | 28 | 31 | 34 | 37 | 39 | 42 | 45 |
500 | 19 | 21 | 23 | 27 | 30 | 33 | 36 | 38 | 41 | 44 | 46 |
Более 500 | Плотность теплового потока, Вт/м2 |
11 | 12 | 12 | 13 | 14 | 15 | 15 | 16 | 17 | 18 | 19 |
Примечание - Промежуточные значения норм плотности теплового потока следует определять интерполяцией. |
Таблица 7
Нормы плотности теплового потока для оборудования
и трубопроводов с отрицательными температурами
при расположении в помещении
Условный проход трубопровода, мм | Температура теплоносителя, °C |
0 | -10 | -20 | -40 | -60 | -80 | -100 | -120 | -140 | -160 | -180 |
Плотность теплового потока, Вт/м |
20 | 5 | 6 | 6 | 7 | 8 | 9 | 10 | 10 | 11 | 13 | 14 |
25 | 6 | 7 | 7 | 8 | 9 | 10 | 11 | 14 | 16 | 17 | 20 |
40 | 7 | 7 | 8 | 9 | 11 | 12 | 13 | 16 | 17 | 19 | 21 |
50 | 7 | 8 | 9 | 10 | 12 | 13 | 15 | 17 | 19 | 20 | 22 |
65 | 8 | 9 | 9 | 11 | 13 | 14 | 16 | 18 | 20 | 21 | 23 |
80 | 9 | 9 | 10 | 12 | 13 | 15 | 17 | 19 | 20 | 22 | 24 |
100 | 10 | 10 | 11 | 13 | 14 | 16 | 18 | 20 | 21 | 23 | 25 |
125 | 11 | 11 | 12 | 14 | 16 | 18 | 20 | 21 | 23 | 26 | 27 |
150 | 12 | 13 | 13 | 16 | 17 | 20 | 21 | 23 | 25 | 27 | 30 |
200 | 15 | 16 | 16 | 19 | 21 | 23 | 25 | 27 | 30 | 31 | 34 |
250 | 16 | 17 | 19 | 20 | 23 | 26 | 27 | 30 | 33 | 36 | 38 |
300 | 19 | 20 | 21 | 23 | 26 | 29 | 31 | 34 | 37 | 39 | 41 |
350 | 21 | 22 | 23 | 26 | 29 | 31 | 34 | 36 | 38 | 41 | 44 |
400 | 23 | 24 | 26 | 28 | 30 | 34 | 36 | 38 | 41 | 44 | 46 |
450 | 25 | 27 | 28 | 30 | 33 | 35 | 37 | 40 | 42 | 45 | 48 |
500 | 28 | 29 | 30 | 33 | 35 | 37 | 40 | 42 | 45 | 47 | 49 |
Более 500 | Плотность теплового потока, Вт/м2 |
15 | 16 | 17 | 18 | 19 | 19 | 20 | 21 | 22 | 22 | 23 |
Примечание - Промежуточные значения норм плотности теплового потока следует определять интерполяцией. |
Нормы плотности теплового потока через поверхность изоляции
трубопроводов двухтрубных водяных сетей при подземной
канальной прокладке
Таблица 8
Нормы плотности теплового потока для трубопроводов
двухтрубных водяных сетей при подземной канальной прокладке
и продолжительности работы в год более 5000 ч
Условный проход трубопровода, мм | Среднегодовая температура теплоносителя (подающий/обратный), °C |
65/50 | 90/50 | 110/50 |
Суммарная линейная плотность теплового потока, Вт/м |
25 | 19 | 24 | 28 |
32 | 21 | 26 | 30 |
40 | 22 | 28 | 32 |
50 | 25 | 30 | 35 |
65 | 29 | 35 | 40 |
80 | 31 | 37 | 43 |
100 | 34 | 40 | 46 |
125 | 39 | 46 | 52 |
150 | 42 | 50 | 57 |
200 | 52 | 61 | 70 |
250 | 60 | 71 | 80 |
300 | 67 | 79 | 90 |
350 | 75 | 88 | 99 |
400 | 81 | 96 | 108 |
450 | 89 | 104 | 117 |
500 | 96 | 113 | 127 |
600 | 111 | 129 | 145 |
700 | 123 | 144 | 160 |
800 | 137 | 160 | 177 |
900 | 151 | 176 | 197 |
1000 | 166 | 192 | 212 |
1200 | 195 | 225 | 250 |
1400 | 221 | 256 | 283 |
1 Расчетные среднегодовые температуры воды в водяных тепловых сетях 65/50, 90/50 и 110/50 °C соответствуют температурным графикам 95 - 70, 150 - 70 и 180 - 70 °C. 2 Промежуточные значения норм плотности теплового потока следует определять интерполяцией. |
Таблица 9
Нормы плотности теплового потока для трубопроводов
двухтрубных водяных сетей при подземной канальной прокладке
и продолжительности работы в год 5000 ч и менее
Условный проход трубопровода, мм | Среднегодовая температура теплоносителя (подающий/обратный), °C |
65/50 | 90/50 | 110/50 |
Суммарная линейная плотность теплового потока, Вт/м |
25 | 21 | 26 | 31 |
32 | 24 | 29 | 33 |
40 | 25 | 31 | 35 |
50 | 29 | 34 | 39 |
65 | 32 | 39 | 45 |
80 | 35 | 42 | 48 |
100 | 39 | 47 | 53 |
125 | 44 | 53 | 60 |
150 | 49 | 59 | 66 |
200 | 60 | 71 | 81 |
250 | 71 | 83 | 94 |
300 | 81 | 94 | 105 |
350 | 89 | 105 | 118 |
400 | 98 | 115 | 128 |
450 | 107 | 125 | 140 |
500 | 118 | 137 | 152 |
600 | 134 | 156 | 174 |
700 | 151 | 175 | 194 |
800 | 168 | 195 | 216 |
900 | 186 | 216 | 239 |
1000 | 203 | 234 | 261 |
1200 | 239 | 277 | 305 |
1400 | 273 | 316 | 349 |
|
Таблица 10
Нормы плотности теплового потока через поверхность изоляции
паропроводов с конденсатопроводами при их совместной
прокладке в непроходных каналах
Условный проход трубопроводов, мм | Паропровод | Конденсатопровод | Паропровод | Конденсатопровод | Паропровод | Конденсатопровод | Паропровод | Конденсатопровод | Паропровод | Конденсатопровод | Паропровод | Конденсатопровод |
Расчетная температура теплоносителя, °C |
115 | 100 | 150 | 100 | 200 | 100 | 250 | 100 | 300 | 100 | 350 | 100 |
25 | 25 | 22 | 18 | 30 | 18 | 41 | 18 | 51 | 18 | 64 | 18 | 79 | 18 |
32 | 25 | 23 | 18 | 32 | 18 | 43 | 18 | 54 | 18 | 69 | 18 | 83 | 18 |
40 | 25 | 25 | 18 | 33 | 18 | 45 | 18 | 58 | 18 | 73 | 18 | 88 | 18 |
50 | 25 | 27 | 18 | 36 | 18 | 52 | 18 | 64 | 18 | 79 | 18 | 95 | 18 |
65 | 32 | 31 | 21 | 43 | 21 | 58 | 21 | 71 | 21 | 88 | 20 | 103 | 20 |
80 | 40 | 35 | 23 | 46 | 23 | 62 | 23 | 81 | 22 | 98 | 22 | 117 | 21 |
100 | 40 | 38 | 23 | 49 | 23 | 66 | 23 | 81 | 22 | 98 | 22 | 117 | 21 |
125 | 50 | 42 | 24 | 53 | 24 | 72 | 24 | 88 | 23 | 107 | 23 | 126 | 23 |
150 | 65 | 45 | 27 | 58 | 27 | 78 | 27 | 94 | 26 | 115 | 26 | 142 | 26 |
200 | 80 | 52 | 27 | 68 | 27 | 89 | 27 | 108 | 28 | 131 | 28 | 153 | 28 |
250 | 100 | 58 | 31 | 75 | 31 | 99 | 31 | 119 | 31 | 147 | 31 | 172 | 31 |
300 | 125 | 64 | 33 | 83 | 33 | 110 | 33 | 133 | 33 | 159 | 33 | 186 | 33 |
350 | 150 | 70 | 38 | 90 | 38 | 118 | 38 | 143 | 37 | 171 | 37 | 200 | 34 |
400 | 180 | 75 | 42 | 96 | 42 | 127 | 42 | 153 | 41 | 183 | 41 | 213 | 41 |
450 | 200 | 81 | 44 | 103 | 44 | 134 | 44 | 162 | 44 | 193 | 43 | 224 | 43 |
500 | 250 | 86 | 50 | 110 | 50 | 143 | 50 | 173 | 49 | 207 | 49 | 239 | 48 |
600 | 300 | 97 | 55 | 123 | 55 | 159 | 55 | 190 | 54 | 227 | 54 | 261 | 53 |
700 | 300 | 105 | 55 | 133 | 55 | 172 | 55 | 203 | 54 | 243 | 53 | 280 | 53 |
800 | 300 | 114 | 55 | 143 | 55 | 185 | 55 | 220 | 54 | - | - | - | - |
Примечание - Промежуточные значения норм плотности теплового потока следует определять интерполяцией. |
Нормы плотности теплового потока через поверхность изоляции
трубопроводов двухтрубных водяных сетей при подземной
бесканальной прокладке
Таблица 11
Нормы плотности теплового потока для трубопроводов
при подземной бесканальной прокладке и продолжительности
работы в год более 5000 ч
Условный проход трубопровода, мм | Среднегодовая температура теплоносителя (подающий/обратный), °C |
65/50 | 90/50 | 110/50 |
Суммарная линейная плотность теплового потока, Вт/м |
25 | 27 | 32 | 36 |
32 | 29 | 35 | 39 |
40 | 31 | 37 | 42 |
50 | 35 | 41 | 47 |
65 | 41 | 49 | 54 |
80 | 45 | 52 | 59 |
100 | 49 | 58 | 66 |
125 | 56 | 66 | 73 |
150 | 63 | 73 | 82 |
200 | 77 | 93 | 100 |
250 | 92 | 106 | 117 |
300 | 105 | 121 | 133 |
350 | 118 | 135 | 148 |
400 | 130 | 148 | 163 |
450 | 142 | 162 | 177 |
500 | 156 | 176 | 194 |
600 | 179 | 205 | 223 |
700 | 201 | 229 | 249 |
800 | 226 | 257 | 279 |
900 | 250 | 284 | 308 |
1000 | 275 | 312 | 338 |
1200 | 326 | 368 | 398 |
1400 | 376 | 425 | 461 |
|
Таблица 12
Нормы плотности теплового потока для трубопроводов
при подземной бесканальной прокладке и продолжительности
работы в год 5000 ч и менее
Условный проход трубопровода, мм | Среднегодовая температура теплоносителя (подающий/обратный), °C |
65/50 | 90/50 | 110/50 |
Суммарная линейная плотность теплового потока, Вт/м |
25 | 30 | 35 | 40 |
32 | 32 | 38 | 43 |
40 | 35 | 41 | 47 |
50 | 40 | 47 | 53 |
65 | 46 | 55 | 60 |
80 | 51 | 60 | 66 |
100 | 57 | 67 | 74 |
125 | 65 | 76 | 84 |
150 | 74 | 86 | 94 |
200 | 93 | 107 | 117 |
250 | 110 | 125 | 138 |
300 | 126 | 144 | 157 |
350 | 140 | 162 | 177 |
400 | 156 | 177 | 194 |
450 | 172 | 196 | 213 |
500 | 189 | 214 | 232 |
600 | 219 | 249 | 269 |
700 | 247 | 290 | 302 |
800 | 278 | 312 | 341 |
900 | 310 | 349 | 380 |
1000 | 341 | 391 | 414 |
1200 | 401 | 454 | 491 |
1400 | 467 | 523 | 567 |
|
Нормы плотности теплового потока для толстостенных металлических трубопроводов следует принимать по условному диаметру, соответствующему стандартным трубам того же наружного диаметра.
При проектировании тепловой изоляции для технологических трубопроводов, прокладываемых в каналах и бесканально, нормы плотности теплового потока следует принимать как для трубопроводов, прокладываемых на открытом воздухе.
6.1.2 При расположении изолируемых объектов в других регионах страны следует учитывать изменение стоимости теплоты в зависимости от района строительства и способа прокладки трубопровода (места установки оборудования):
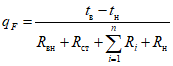
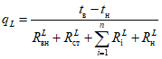
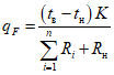
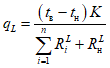
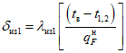
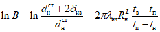
нормы плотности теплового потока для плоской и цилиндрической поверхностей с условным проходом более 1400 мм,

, определяются по формуле

, (1)
нормы плотности теплового потока для цилиндрической поверхности с условным проходом 1400 мм и менее,

, определяются по формуле

, (2)
где
q - нормированная поверхностная плотность теплового потока, Вт/м
2, принимаемая по
таблицам 2 -
7;

- нормированная линейная плотность теплового потока (на 1 м длины цилиндрического объекта), Вт/м, принимаемая по
таблицам 2 -
12;
K - коэффициент, учитывающий изменение стоимости теплоты и теплоизоляционной конструкции в зависимости от района строительства и способа прокладки трубопровода (места установки оборудования) (см. таблицу 13).
Таблица 13
Район строительства | Коэффициент K |
Способ прокладки трубопроводов и месторасположение оборудования |
на открытом воздухе | в помещении, тоннеле | в непроходном канале | бесканальный |
Европейская часть России | 1,0 | 1,0 | 1,0 | 1,0 |
Урал | 0,98 | 0,98 | 0,95 | 0,94 |
Западная Сибирь | 0,98 | 0,98 | 0,95 | 0,94 |
Восточная Сибирь | 0,98 | 0,98 | 0,95 | 0,94 |
Дальний Восток | 0,96 | 0,96 | 0,92 | 0,9 |
Районы Крайнего Севера и приравненные к ним местности | 0,96 | 0,96 | 0,92 | 0,9 |
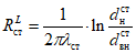
6.1.3 Расчетные характеристики теплоизоляционных материалов и изделий, применяемых для изоляции оборудования и трубопроводов надземной и подземной прокладок следует принимать с учетом плотности в конструкции, влажности в условиях эксплуатации, влияния швов и других теплотехнических неоднородностей.
(в ред.
Изменения N 2, утв. Приказом Минстроя России от 28.11.2023 N 850/пр)
Расчетную теплопроводность уплотняющихся материалов при оптимальной плотности в конструкции следует определять по методике
ГОСТ 31912 или принимать по данным, приведенным в
приложении Б.
(в ред.
Изменения N 2, утв. Приказом Минстроя России от 28.11.2023 N 850/пр)
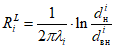
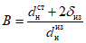
6.1.4 При бесканальной прокладке трубопроводов теплопроводность основного слоя теплоизоляционной конструкции,

, определяется по формуле

, (3)
где

- теплопроводность материала в сухом состоянии, Вт/(м·К);
(в ред.
Изменения N 2, утв. Приказом Минстроя России от 28.11.2023 N 850/пр)
K - коэффициент, учитывающий увеличение теплопроводности от увлажнения, принимаемый в зависимости от вида теплоизоляционного материала и типа грунта по таблице 14.
Таблица 14
Материал теплоизоляционного слоя | Коэффициент увлажнения K |
|
маловлажный | влажный | насыщенный водой |
Пенополиуретан | 1,0 | 1,0 | 1,0 |
Армопенобетон | 1,05 | 1,05 | 1,1 |
Пенополимерминерал | 1,05 | 1,05 | 1,1 |
6.1.5 За расчетную температуру окружающей среды при расчетах по нормированной плотности теплового потока следует принимать:
а) для изолируемых поверхностей, расположенных на открытом воздухе:
для технологического оборудования и трубопроводов - среднюю за год;
для трубопроводов тепловых сетей при круглогодичной работе - среднюю за год;
для трубопроводов тепловых сетей, работающих только в отопительный период, - среднюю за период со среднесуточной температурой наружного воздуха 8 °C и ниже;
б) для изолируемых поверхностей, расположенных в помещении, - 20 °C;
в) для трубопроводов, расположенных в тоннелях, - 40 °C;
г) для подземной прокладки в каналах или при бесканальной прокладке трубопроводов - среднюю за год температуру грунта на глубине заложения оси трубопровода. При величине заглубления верхней части перекрытия канала (при прокладке в каналах) или верха теплоизоляционной конструкции трубопровода (при бесканальной прокладке) 0,7 м и менее за расчетную температуру окружающей среды должна приниматься та же температура наружного воздуха, что и при надземной прокладке.
6.1.6 Температуру теплоносителя технологического оборудования и трубопроводов при расчетах по нормированной плотности теплового потока следует принимать в соответствии с заданием на проектирование.
Для трубопроводов тепловых сетей за расчетную температуру теплоносителя принимают:
а) для водяных тепловых сетей:
для подающего трубопровода при постоянной температуре сетевой воды и количественном регулировании - максимальную температуру теплоносителя;
для подающего трубопровода при переменной температуре сетевой воды и качественном регулировании - в соответствии с таблицей 15;
для обратных трубопроводов водяных тепловых сетей 50 °C;
б) для паровых сетей - максимальную температуру пара среднюю по длине рассматриваемого участка паропровода;
в) для конденсатных сетей и сетей горячего водоснабжения - максимальную температуру конденсата или горячей воды.
Таблица 15
Температурные режимы водяных тепловых сетей, °C | 95 - 70 | 150 - 70 | 180 - 70 |
Расчетная температура теплоносителя tw, °C | 65 | 90 | 110 |
6.1.7 При определении температуры грунта в температурном поле подземного трубопровода тепловых сетей температуру теплоносителя следует принимать:
для водяных тепловых сетей - по температурному графику регулирования при среднемесячной температуре наружного воздуха расчетного месяца;
для паровых сетей - максимальную температуру пара в рассматриваемом месте паропровода (с учетом падения температуры пара по длине трубопровода);
для конденсатных сетей и сетей горячего водоснабжения - максимальную температуру конденсата или воды.
6.2 Определение толщины изоляции по заданной величине теплового потока
При расчете толщины тепловой изоляции по заданной величине теплового потока расчетные температуры теплоносителя и окружающего воздуха принимают в соответствии с пунктами
6.1.5 и
6.1.6.
(п. 6.2 в ред.
Изменения N 1, утв. Приказом Минстроя России от 03.12.2016 N 882/пр)
6.3 Определение толщины тепловой изоляции по технологическим требованиям
(в ред.
Изменения N 1, утв. Приказом Минстроя России от 03.12.2016 N 882/пр)
При расчете толщины тепловой изоляции оборудования и трубопроводов с положительными температурами, расположенных на открытом воздухе, в качестве расчетной температуры окружающего воздуха принимается средняя температура наиболее холодной пятидневки с обеспеченностью 0,92;
При расчете толщины тепловой изоляции оборудования и трубопроводов с отрицательными температурами, расположенных на открытом воздухе, в качестве расчетной температуры окружающего воздуха принимается средняя максимальная температура наиболее жаркого месяца.
Для оборудования и трубопроводов, расположенных в помещении, расчетная температура окружающего воздуха принимается в соответствии с заданием на проектирование, а при отсутствии указаний о температуре окружающего воздуха, принимается равной 20 °C.
Расчетная температура теплоносителя принимается в соответствии с заданием на проектирование.
(п. 6.3 в ред.
Изменения N 1, утв. Приказом Минстроя России от 03.12.2016 N 882/пр)
6.4 Определение толщины тепловой изоляции по заданному снижению (повышению) температуры вещества, транспортируемого трубопроводами (паропроводами)
При расчете толщины тепловой изоляции по заданному снижению (повышению) температуры вещества, транспортируемого трубопроводами, расчетную температуру окружающей среды следует принимать для трубопроводов, расположенных:
на открытом воздухе и в помещении - в соответствии с
6.3;
в тоннелях - 40 °C;
в каналах или при бесканальной прокладке трубопроводов - минимальную среднемесячную температуру грунта на глубине заложения оси трубопровода.
Расчетную температуру теплоносителя принимают в соответствии с заданием на проектирование.
(п. 6.4 в ред.
Изменения N 1, утв. Приказом Минстроя России от 03.12.2016 N 882/пр)
6.5 Определение толщины тепловой изоляции по заданному количеству конденсата в паропроводах
При расчете толщины тепловой изоляции паропроводов перегретого и насыщенного пара расчетную температуру окружающего воздуха следует принимать в соответствии с
6.3.
Расчетные параметры пара принимают в соответствии с заданием на проектирование.
(п. 6.5 в ред.
Изменения N 1, утв. Приказом Минстроя России от 03.12.2016 N 882/пр)
6.6 Определение толщины тепловой изоляции по заданному времени приостановки движения жидкого вещества в трубопроводах в целях предотвращения его замерзания или увеличения вязкости
При расчете толщины тепловой изоляции по заданному времени приостановки движения жидкости в трубопроводах в целях предотвращения его замерзания или увеличения вязкости расчетные параметры окружающего воздуха и теплоносителя следует принимать в соответствии с
6.3 и заданием на проектирование.
(п. 6.6 в ред.
Изменения N 1, утв. Приказом Минстроя России от 03.12.2016 N 882/пр)
6.7 Расчет толщины тепловой изоляции по заданной температуре на поверхности изоляции
(в ред.
Изменения N 1, утв. Приказом Минстроя России от 03.12.2016 N 882/пр)
6.7.1 Температуру на поверхности тепловой изоляции следует принимать не более, °C:
а) для изолируемых поверхностей, расположенных в рабочей или обслуживаемой зонах помещений и содержащих вещества с температурой:
выше 500 °C............................................... 55
от 150 до 500 °C.......................................... 45
150 °C и ниже............................................. 40
вспышки паров ниже 45 °C.................................. 35;
б) для изолируемых поверхностей, расположенных на открытом воздухе в рабочей или обслуживаемой зоне:
при металлическом покровном слое.......................... 55
для других видов покровного слоя.......................... 60.
Температура на поверхности тепловой изоляции трубопроводов, расположенных за пределами рабочей или обслуживаемой зоны, не должна превышать температурных пределов применения материалов покровного слоя, но не выше 75 °C.
6.7.2 Расчетную температуру окружающего воздуха следует принимать для поверхностей, расположенных:
на открытом воздухе - среднюю максимальную наиболее жаркого месяца;
в помещении - в соответствии с
6.3.
6.7.3 При необходимости одновременного выполнения требований
6.1 -
6.5 и
6.7 принимается большее значение расчетной толщины изоляции.
6.8 Расчет толщины тепловой изоляции с целью предотвращения конденсации влаги из окружающего воздуха на покровном слое тепловой изоляции оборудования и трубопроводов, содержащих вещества с температурой ниже температуры окружающего воздуха
Данный расчет следует выполнять только для изолируемых поверхностей, расположенных в помещении.
Расчетная температура и относительная влажность воздуха принимаются в соответствии с заданием на проектирование.
Для изолируемых поверхностей с отрицательными температурами, расположенных в помещении, толщина теплоизоляционного слоя, определенная по условиям
6.1,
6.2, должна быть проверена по 6.8. В результате сравнения принимается большее значение толщины слоя.
(п. 6.8 в ред.
Изменения N 1, утв. Приказом Минстроя России от 03.12.2016 N 882/пр)
6.9 При расчете толщины тепловой изоляции с целью предотвращения конденсации влаги на внутренних поверхностях газоходов, транспортирующих газы, содержащие водяные пары или водяные пары и газы, которые при растворении в сконденсировавшихся водяных парах могут привести к образованию агрессивных продуктов, расчетную температуру окружающей среды следует принимать в соответствии с
6.3.
Расчетные параметры газов принимают в соответствии с заданием на проектирование.
(п. 6.9 в ред.
Изменения N 1, утв. Приказом Минстроя России от 03.12.2016 N 882/пр)
6.10 При расчете тепловой изоляции трубопроводов с обогревающими их паровыми или водяными спутниками расчетную температуру окружающего воздуха следует принимать:
на открытом воздухе - среднюю наиболее холодной пятидневки или в соответствии с заданием на проектирование;
в помещении - в соответствии с заданием на проектирование, а при отсутствии указаний о температуре окружающего воздуха - 20 °C;
в тоннелях - 40 °C;
Расчетную температуру теплоносителя в трубопроводе и обогревающем его спутнике принимают в соответствии с заданием на проектирование.
(п. 6.10 в ред.
Изменения N 1, утв. Приказом Минстроя России от 03.12.2016 N 882/пр)
6.11 Теплоизоляционную конструкцию с теплоизоляционным слоем из однородного материала, установленного в несколько слоев, при расчетах рассматривают как однослойную.
Расчет толщины теплоизоляционного слоя конструкции, состоящей из двух и более слоев разнородных материалов, следует проводить исходя из того, что межслойная температура не превышает максимальную температуру применения теплоизоляционного материала последующих слоев. Толщину каждого слоя рассчитывают отдельно.
6.12 Расчетную толщину теплоизоляционного слоя в конструкциях тепловой изоляции на основе волокнистых материалов и изделий (матов, плит, холстов) следует округлять до значений, кратных 10 мм.
В конструкциях на основе минераловатных цилиндров, жестких ячеистых материалов, материалов из вспененного синтетического каучука, полиэтилена и пенопластов следует принимать ближайшую к расчетной толщину изделий по нормативным документам на соответствующие материалы.
Если расчетная толщина теплоизоляционного слоя не совпадает с номенклатурной толщиной выбранного материала, следует принимать по действующей номенклатуре ближайшую более высокую толщину теплоизоляционного материала.
Допускается принимать ближайшую более низкую толщину теплоизоляционного слоя в случаях расчета по температуре на поверхности изоляции и нормам плотности теплового потока, если разница между расчетной и номенклатурной толщиной не превышает 3 мм.
6.13 Расчетная толщина теплоизоляционного слоя не может быть меньше минимального значения. Минимальную толщину теплоизоляционного слоя следует принимать:
при изоляции цилиндрами из волокнистых материалов (в том числе при комбинации разных видов материалов) - равной минимальной толщине, декларируемой производителем;
при изоляции тканями, стекловолокнистым полотном, шнурами - 20 мм;
при изоляции изделиями из волокнистых уплотняющихся материалов - 20 мм;
при изоляции жесткими материалами, изделиями из вспененных полимеров - равной минимальной толщине, декларируемой производителем.
(п. 6.13 в ред.
Изменения N 2, утв. Приказом Минстроя России от 28.11.2023 N 850/пр)
6.14 Предельная толщина теплоизоляционного слоя в конструкциях тепловой изоляции трубопроводов приведена в
приложении Г.
Если расчетная толщина больше, чем может обеспечить в соответствии с
приложением Г выбранный теплоизоляционный материал, следует применить более эффективный теплоизоляционный материал.
Применение конструкций с большей толщиной теплоизоляционного слоя требует технического обоснования.
6.15 Толщину теплоизоляционного слоя в конструкциях тепловой изоляции приварной, муфтовой и несъемной фланцевой арматуры следует принимать равной толщине изоляции трубопровода.
Толщину теплоизоляционного слоя в съемных теплоизоляционных конструкциях фланцевых соединений и фланцевой арматуры с положительной и отрицательной температурой транспортируемых веществ следует принимать равной толщине изоляции трубопровода.
6.16 Для поверхностей с температурой выше 300 °C и ниже минус 60 °C не допускается применение однослойных конструкций. При многослойной конструкции последующие слои должны перекрывать швы предыдущего.
6.17 Толщину и объем теплоизоляционных изделий из уплотняющихся материалов следует определять по
приложению Д.
(п. 6.17 в ред.
Изменения N 2, утв. Приказом Минстроя России от 28.11.2023 N 850/пр)
6.18 Толщину металлических и композиционных материалов, применяемых в качестве покровного слоя, в зависимости от наружного диаметра трубопровода или конфигурации теплоизоляционной конструкции следует принимать по приложению Б (
таблицы Б.2 и
Б.3).
(п. 6.18 в ред.
Изменения N 1, утв. Приказом Минстроя России от 03.12.2016 N 882/пр)
Таблица 16 исключена с 4 июня 2017 года. -
Изменение N 1, утв. Приказом Минстроя России от 03.12.2016 N 882/пр.
6.19 В качестве покровного слоя теплоизоляционных конструкций диаметром изоляции более 1600 мм и плоских, расположенных в помещении с неагрессивными и слабоагрессивными средами, допускается применять металлические листы и ленты толщиной 0,7 - 0,8 мм, а для трубопроводов диаметром изоляции более 600 до 1600 мм - 0,6 мм.
6.20 Листы и ленты из алюминия и алюминиевых сплавов толщиной 0,25 - 0,3 мм рекомендуется применять гофрированными.
6.21 Штукатурный покровный слой теплоизолированной поверхности, расположенной в помещении, должен быть оклеен тканью. Толщину штукатурного покрытия при укладке по жестким или волокнистым материалам в зависимости от диаметра изолируемого объекта следует принимать по таблице 17.
(в ред.
Изменения N 2, утв. Приказом Минстроя России от 28.11.2023 N 850/пр)
Таблица 17
Вид изоляционного материала (основание) | Толщина штукатурного покрытия, мм |
Вид изолируемого объекта |
трубопроводы наружным диаметром, мм | оборудование |
до 133 вкл. | 159 и более |
Жесткие изделия | 10 | 15 | 20 |
Волокнистые изделия | 15 | 15 - 20 | 20 - 25 |
6.22 Для теплоизоляционных конструкций, подвергающихся воздействию агрессивных сред, следует предусматривать защиту металлических покрытий от коррозии.
При использовании в качестве покровного слоя стали тонколистовой оцинкованной толщина цинкового покрытия выбирается с учетом степени агрессивного воздействия среды и предполагаемого срока службы покровного слоя, но не менее 20 мкм.
При применении в качестве покровного слоя листов и лент из алюминия и алюминиевых сплавов и теплоизоляционного слоя в стальной неокрашенной сетке или при устройстве каркаса следует предусматривать установку под покровный слой прокладки из рулонного материала или окраску покровного слоя изнутри битумным лаком.
6.23 Под покровный слой из неметаллических материалов в помещениях хранения и переработки пищевых продуктов следует предусматривать установку сетки стальной из проволоки диаметром не менее 1 мм с ячейками размером не более 12 x 12 мм.
6.24 Конструкция тепловой изоляции должна исключать ее деформацию и сползание теплоизоляционного слоя в процессе эксплуатации. В составе теплоизоляционных конструкций оборудования и трубопроводов следует предусматривать опорные элементы и разгружающие устройства, обеспечивающие механическую прочность и эксплуатационную надежность конструкций.
На вертикальных участках трубопроводов и оборудования опорные конструкции следует предусматривать через каждые 3 - 4 м по высоте.
6.25 В конструкциях тепловой изоляции оборудования и трубопроводов с отрицательными температурами веществ не следует применять металлические крепежные детали, проходящие через всю толщину теплоизоляционного слоя. Крепежные детали или их части следует предусматривать из материалов с теплопроводностью не более 0,23 Вт/(м·°C).
Деревянные крепежные детали должны быть обработаны антипиреном и антисептическим составом.
Элементы крепления, изготовленные из углеродистой стали, должны иметь антикоррозийное покрытие.
6.26 Размещение крепежных деталей на изолируемых поверхностях следует принимать в соответствии с
ГОСТ 17314.
6.27 Детали, предусматриваемые для крепления теплоизоляционной конструкции на поверхности с отрицательными температурами, должны иметь антикоррозионное покрытие или изготавливаться из коррозионно-стойких материалов.
Крепежные детали, соприкасающиеся с изолируемой поверхностью, следует предусматривать:
для поверхностей с температурой от минус 40 до 400 °C - из углеродистой стали;
для поверхностей с температурой выше 400 и ниже минус 40 °C - из того же материала, что и изолируемая поверхность.
Элементы крепления теплоизоляционного и покровного слоев теплоизоляционных конструкций оборудования и трубопроводов, расположенных на открытом воздухе в районах с расчетной температурой окружающего воздуха ниже минус 40 °C, следует применять из легированной стали или алюминия.
6.28 Конструкция покровного слоя тепловой изоляции должна допускать возможность компенсации температурных деформаций изолируемого объекта и теплоизоляционной конструкции.
Температурные швы в защитных покрытиях горизонтальных трубопроводов следует предусматривать у компенсаторов, опор и поворотов, а на вертикальных трубопроводах - в местах установки опорных конструкций.
При изоляции жесткими формованными изделиями следует предусматривать вставки из волокнистых материалов в местах устройства температурных швов.
6.29 Выбор материала для покровного слоя теплоизоляционных конструкций оборудования и трубопроводов, расположенных на открытом воздухе в районах с расчетной температурой окружающего воздуха минус 40 °C и ниже, следует производить с учетом температурных пределов применения материалов по действующим нормативным документам.
6.30 Конструкция крепления покровного слоя тепловой изоляции оборудования и трубопроводов с отрицательными температурами веществ должна исключать возможность повреждения пароизоляционного слоя в процессе эксплуатации.
6.31 Для оборудования и трубопроводов с отрицательными температурами при применении пароизоляционного слоя из рулонных материалов без сплошной наклейки следует предусматривать герметизацию швов пароизоляционного слоя; при температуре изолируемой поверхности ниже минус 60 °C следует также предусматривать герметизацию швов покровного слоя герметиками или пленочными клеящимися материалами.
6.32 Для бесканальной прокладки трубопроводов тепловых сетей в сухих грунтах (с влажностью менее 5%) допускается применение изоляции из штучных формованных изделий (скорлупы, сегменты) из пенополиуретана или полимербетона с водонепроницаемым покровным слоем, при этом теплоизоляционные изделия следует укладывать на водостойких и температуростойких мастиках или клеях.
(в ред.
Изменения N 2, утв. Приказом Минстроя России от 28.11.2023 N 850/пр)
6.33 При расчете тепловой изоляции трубопроводов со спутниками расчетную температуру окружающей среды t0 следует принимать:
на открытом воздухе - среднюю наиболее холодной пятидневки или в соответствии с заданием на проектирование;
в помещении - в соответствии с заданием на проектирование, а при отсутствии данных о температуре окружающего воздуха - 20 °C;
в тоннелях - 40 °C;
Расчетную температуру теплоносителя в трубопроводе и обогревающем его спутнике принимают в соответствии с заданием на проектирование тепловой изоляции.
(п. 6.33 введен
Изменением N 1, утв. Приказом Минстроя России от 03.12.2016 N 882/пр)
6.34 Для полимерных трубопроводов и изоляционных материалов, подверженных деструкции при прямом воздействии солнечных лучей, на открытом воздухе обязательно применение покровного слоя, устойчивого к воздействию ультрафиолетового излучения.
(п. 6.34 введен
Изменением N 2, утв. Приказом Минстроя России от 28.11.2023 N 850/пр)
6.35 При расчете толщины тепловой изоляции оборудования и трубопроводов следует использовать уточненные зависимости теплопроводности от средней температуры в виде экспоненциальной функции (не линейной), приведенные в
таблице Б.5. Для материалов и изделий, не представленных в
таблице Б.5, допускается использовать линейные зависимости теплопроводности от средней температуры, приведенные в
таблице Б.1.
(п. 6.35 введен
Изменением N 2, утв. Приказом Минстроя России от 28.11.2023 N 850/пр)
6.36 Отслоение теплоизоляционного слоя от поверхности трубопроводов в течение срока эксплуатации, установленного нормативными документами, не допускается.
(п. 6.36 введен
Изменением N 2, утв. Приказом Минстроя России от 28.11.2023 N 850/пр)
6.37 Тепловые потери через стенку и стыковые соединения трубопроводов (в том числе полимерных) должны определяться на основании данных, приведенных в
таблице Б.5, или на основании измеренной величины теплопроводности по
ГОСТ 32025. Для полимерных трубопроводов тепловые потери через стенку и стыковые соединения следует определять с учетом термического сопротивления стенки трубопровода.
(п. 6.37 введен
Изменением N 2, утв. Приказом Минстроя России от 28.11.2023 N 850/пр)
6.38 При бесканальной прокладке трубопроводы заводского изготовления в пенополиуретановой теплоизоляции с полиэтиленовой оболочкой должны соответствовать
ГОСТ 30732,
ГОСТ Р 54468,
ГОСТ Р 56730, трубопроводы заводского изготовления в пенополимерминеральной изоляции -
ГОСТ Р 56227. Тепловые потери через стенку и стыковые соединения для таких трубопроводов следует определять на основании данных, приведенных в
таблице Б.5, или на основании измеренной величины теплопроводности по
ГОСТ 32025.
(п. 6.38 введен
Изменением N 2, утв. Приказом Минстроя России от 28.11.2023 N 850/пр)
(обязательное)
ПЕРЕЧЕНЬ НОРМАТИВНЫХ ДОКУМЕНТОВ,
НА КОТОРЫЕ ИМЕЮТСЯ ССЫЛКИ В ТЕКСТЕ
Минстроя России от 28.11.2023 N 850/пр)
ГОСТ 12.1.004-91 Система стандартов безопасности труда. Пожарная безопасность. Общие требования
ГОСТ 7076-99 Материалы и изделия строительные. Метод определения теплопроводности и термического сопротивления при стационарном тепловом режиме
ГОСТ 17177-94 Материалы и изделия строительные теплоизоляционные. Методы испытаний
ГОСТ 17314-81 Устройства для крепления тепловой изоляции стальных сосудов и аппаратов. Конструкция и размеры. Технические требования
ГОСТ 25898-2020 Материалы и изделия строительные. Методы определения паропроницаемости и сопротивления паропроницанию
ГОСТ 30244-94 Материалы строительные. Методы испытаний на горючесть
ГОСТ 30732-2020 Трубы и фасонные изделия стальные с тепловой изоляцией из пенополиуретана с защитной оболочкой. Технические условия
ГОСТ 31912-2011 (EN ISO 23993:2008) Изделия теплоизоляционные, применяемые для инженерного оборудования зданий и промышленных установок. Определение расчетной теплопроводности
ГОСТ 31913-2022 (ISO 9229:2020) Материалы и изделия теплоизоляционные. Термины и определения
ГОСТ 32025-2012 (EN ISO 8497:1996) Тепловая изоляция. Метод определения характеристик теплопереноса в цилиндрах заводского изготовления при стационарном тепловом режиме
ГОСТ 32302-2011 (EN 13468:2001) Изделия теплоизоляционные, применяемые для инженерного оборудования зданий и промышленных установок. Методы определения остаточного количества ионов водорастворимых хлоридов, фторидов, силикатов, натрия и pH
ГОСТ 32312-2011 (EN 14706:2005) Изделия теплоизоляционные, применяемые для инженерного оборудования зданий и промышленных установок. Метод определения максимальной рабочей температуры
ГОСТ EN 14707-2011 Изделия теплоизоляционные, применяемые для инженерного оборудования зданий и промышленных установок. Метод определения максимальной рабочей температуры цилиндров заводского изготовления
ГОСТ Р 54468-2011 Трубы гибкие с тепловой изоляцией для систем теплоснабжения, горячего и холодного водоснабжения. Общие технические условия
ГОСТ Р 56227-2014 Трубы и фасонные изделия стальные в пенополимерминеральной изоляции. Технические условия
ГОСТ Р 56730-2015 Трубы полимерные гибкие с тепловой изоляцией для систем теплоснабжения. Общие технические условия
СП 131.13330.2020 "СНиП 23-01-99* Строительная климатология" (с изменениями N 1, N 2)
(справочное)
ТЕХНИЧЕСКИЕ ХАРАКТЕРИСТИКИ ТЕПЛОИЗОЛЯЦИОННЫХ,
ЗАЩИТНО-ПОКРОВНЫХ И ПАРОИЗОЛЯЦИОННЫХ МАТЕРИАЛОВ И ИЗДЕЛИЙ
Минстроя России от 03.12.2016 N 882/пр)
Минстроя России от 03.12.2016 N 882/пр)
Наименование материала, изделия | Средняя плотность в конструкции, кг/м3 | Теплопроводность материала (изделия) в конструкции  , Вт/(м·°C), дм поверхностей с температурой, °C | Температура применения, °C | Группа горючести |
20 и выше | 19 и ниже |
Маты из минеральной ваты прошивные теплоизоляционные, в том числе в обкладке из металлической сетки, базальтовой и кремнеземной ткани | 100 | 0,038 + 0,00021tm | 0,038 - 0,027 | От минус 180 до 700 | НГ |
125 | 0,038 + 0,0002tm | 0,038 - 0,027 |
Маты из минеральной ваты прошивные теплоизоляционные в обкладке из стеклосетки, стеклоткани, стеклохолста | 100 | 0,038 + 0,00021tm | 0,038 - 0,027 | От минус 180 до 450 | НГ |
125 | 0,038 + 0,0002tm | 0,038 - 0,027 |
Маты из минеральной ваты прошивные гофрированной структуры | 80 | 0,036 + 0,00022tm | 0,035 - 0,027 | От минус 180 до 700 | НГ |
100 | 0,038 + 0,00021tm | 0,038 - 0,027 |
Маты из минеральной ваты рулонированные на синтетическом связующем | 60 - 80 | 0,036 + 0,00022tm | 0,035 - 0,027 | От минус 60 до 400 | НГ |
Плиты из минеральной ваты на синтетическом связующем теплоизоляционные мягкие | 60 - 80 | 0,038 + 0,00029tm | 0,038 - 0,029 | От минус 60 до 400 | НГ - Г1 |
Плиты из минеральной ваты на синтетическом связующем теплоизоляционные полужесткие | 90 | 0,039 + 0,00022tm | 0,039 - 0,030 | От минус 60 до 400 | НГ - Г1 |
Плиты из минеральной ваты на синтетическом связующем теплоизоляционные жесткие | 100 - 140 | 0,039 + 0,00021tm | 0,039 - 0,029 |
Цилиндры, полуцилиндры и сегменты минераловатные | 80 | 0,044 + 0,00022tm | 0,043 - 0,032 | От минус 180 до 400 | НГ |
100 | 0,049 + 0,00021tm | 0,048 - 0,036 |
150 | 0,050 + 0,0002tm | 0,049 - 0,035 |
(в ред. Изменения N 2, утв. Приказом Минстроя России от 28.11.2023 N 850/пр) |
Маты и вата из супертонкого базальтового волокна без связующего | 40 - 60 | 0,032 + 0,00019tm | 0,031 - 0,024 | От минус 180 до 700 | НГ |
Шнур теплоизоляционный из минеральной ваты | 200 | 0,056 + 0,00019tm | 0,055 - 0,04 | От минус 180 до 600 | НГ - Г1 |
Шнур асбестовый | 100 - 160 | 0,093 + 0,00019tm | - | От плюс 20 до 220 | Г1 |
Маты прошивные гофрированной структуры из стеклянного штапельного волокна, в том числе в обкладке из металлической сетки | 50 | 0,036 + 0,0002tm | 0,037 - 0,03 | От минус 60 до 450 | НГ |
Маты и вата из супертонкого стеклянного волокна без связующего | 40 - 60 | 0,033 + 0,00014tm | 0,032 - 0,024 | От минус 180 до 400 | НГ |
Теплоизоляционные изделия из пеностекла | 130 | 0,005 + 0,0002tm | 0,005 - 0,038 | От минус 150 до 350 | НГ |
Армопенобетон | 200 - 300 | 0,055 + 0,00021tm | 0,055 | От минус 60 до 300 | НГ |
Песок перлитовый, вспученный, мелкий | 110 | 0,052 + 0,00012tm | 0,051 - 0,038 | От минус 200 до 875 | НГ |
150 | 0,055 + 0,00012tm | 0,054 - 0,04 |
225 | 0,058 + 0,00012tm | 0,057 - 0,042 |
Теплоизоляционные изделия из пенополистирола | 17 | 0,039 + 0,00018tm | 0,038 - 0,025 | От минус 100 до 80 | Г3 - Г4 |
25 | 0,036 + 0,00018tm | 0,035 - 0,029 |
Теплоизоляционные изделия из пенополиуретана | 40 | 0,030 + 0,00015tm | 0,029 - 0,024 | От минус 180 до 140 | Г2 - Г4 |
50 | 0,032 + 0,00015tm | 0,031 - 0,025 |
70 | 0,037 + 0,00015tm | 0,036 - 0,027 |
Пенополимерминерал | 270 | 0,036 + 0,0002tm | 0,041 | От минус 60 до 150 | Г2 - Г4 |
Теплоизоляционные изделия из вспененного каучука | 60 - 80 | 0,034 + 0,0002tm | 0,033 | От минус 60 до 125 | Г1 - Г3 |
Теплоизоляционные изделия из пенополиэтилена | 20 | 0,039 + 0,0002tm | 0,035 | От минус 70 до 70 | Г1 - Г4 |
50 | 0,035 - 10,00018tm | 0,033 |
Маты иглопробивные из базальтовых волокон | 100 - 140 | 0,038 + 0,00013tm | 0,037 | От минус 260 до 800 | НГ |
Картон из базальтового волокна | 50 - 80 | 0,032 - 0,00012tm | 0,031 | От минус 200 до 800 | НГ |
Примечания 1 Средняя температура теплоизоляционного слоя, °C: tm = (tв + 40)/2 - на открытом воздухе в летнее время, в помещении, в каналах, тоннелях, технических подпольях, на чердаках и в подвалах зданий; tm = tв/2 - на открытом воздухе, воздухе в зимнее время, где tв - температура среды внутри изолируемого оборудования (трубопровода). 2 Большее значение расчетной теплопроводности теплоизоляционного материала в конструкции для поверхностей с температурой 19 °C и ниже относится к температуре изолируемой поверхности от минус 60 °C до 19 °C, меньшее - к температуре минус 61 °C и ниже. |
Таблица Б.2
Толщина металлических листов для покровного
слоя тепловой изоляции
Минстроя России от 03.12.2016 N 882/пр)
Наименование материала покровного слоя | Толщина листа, мм, при диаметре изоляции, мм |
350 и менее | св. 350 до 600 | св. 600 до 1600 | св. 1600 и плоские поверхности |
Листы и ленты из нержавеющей стали | 0,35 - 0,5 | 0,5 | 0,5 - 0,1 | 0,8 |
Сталь тонколистовая оцинкованная с непрерывных линий | 0,35 - 0,5 | 0,5 - 0,8 | 0,8 | 1,0 |
Листы из тонколистовой стали, в том числе с полимерным покрытием | 0,35 - 0,5 | 0,5 - 0,8 | 0,8 | 1,0 |
Листы из алюминия и алюминиевых сплавов | 0,3 | 0,5 - 0,8 | 0,8 | 1,0 |
Ленты из алюминия и алюминиевых сплавов | 0,25 - 0,3 | 0,5 - 0,8 | 0,8 | 1,0 |
Таблица Б.3
Композиционные рулонные материалы для покровного
слоя тепловой изоляции
Минстроя России от 03.12.2016 N 882/пр)
Наименование материала | Толщина, мм | Группа горючести |
Рулонный стеклопластик | 0,30 - 0,50 | Г1 - Г2 |
Стеклоткань, дублированная алюминиевой фольгой | 0,15 - 0,5 | Г1 |
Фольга алюминиевая дублированная для теплоизоляционных конструкций | 0,25 - 1,5 | Г1 |
Таблица Б.4
Количество слоев пароизоляционного материала в зависимости
от температуры изолируемой поверхности и срока эксплуатации
Минстроя России от 03.12.2016 N 882/пр)
Наименование пароизоляционного материал | Толщина, мм | Сопротивление паропроницанию, (м2·ч·Па)/мг | Число слоев пароизоляционного материала при температуре |
от минус 60 до 19 °C | от минус 61 до минус 100 °C | ниже минус 100 °C |
при сроке эксплуатации |
8 лет | 12 лет | 8 лет | 12 лет | 8 лет | 12 лет |
Полиэтиленовая пленка | 0,15 - 0,2 | 7 - 9 | 2 | 2 | 2 | 2 | 3 | - |
Полиэтиленовая пленка термоусадочная | 0,21 - 0,3 | 9 - 13 | 1 | 1 | 1 | 1 | 2 | 2 |
Фольга алюминиевая | 0,06 - 0,1 | 5 - 10 | 1 | 2 | 2 | 2 | 2 | 2 |
Рубероид | 1 | 0,5 | 3 | - | - | - | - | - |
1,5 | 1,1 | 2 | 3 | 3 | - | - | - |
Примечания 1 Допускается применение других материалов, обеспечивающих уровень сопротивления паропроницанию не ниже, чем у приведенных в таблице. 2 Для материалов с закрытой пористостью, имеющих коэффициент паропроницаемости менее 0,01 мг/(м·ч·Па), во всех случаях принимается один пароизоляционный слой. 3 Сопротивление паропроницанию определяется по ГОСТ 25898. |
Таблица Б.5
Расчетные теплофизические характеристики
теплоизоляционных материалов и изделий
Минстроя России от 28.11.2023 N 850/пр)
Материал, изделие | Плотность,  , кг/м 3 | Зависимость теплопроводности,  , Вт/(м·°C), от средней температуры, tср, °C | Максимальная рабочая температура, °C |
Маты из минеральной ваты прошивные и без прошивки теплоизоляционные, в том числе в обкладке из металлической сетки, базальтовой и кремнеземной ткани | 40 - 60 | | 450 |
60 - 80 | | 550 |
80 - 100 | | 600 |
100 - 120 | | 650 |
Плиты из минеральной ваты на синтетическом связующем теплоизоляционные | Менее 50 | | 550 |
50 - 75 | | 600 |
75 - 100 | | 650 |
100 - 125 | | 680 |
125 - 150 | | 700 |
Теплоизоляционные изделия из вспененного синтетического каучука | 25 - 50 | | 100 |
50 - 75 | | 120 |
Материалы рулонные на основе аэрогеля | 150 - 200 | | 650 |
200 - 250 | | 650 |
Плиты из пенополиизоцианурата | 30 - 45 | | 150 |
Плиты из пеностекла | 110 - 150 | | 450 |
Примечание - Средняя температура теплоизоляционного слоя, tср, °C, определяется следующим образом: tср = (tв + 40)/2 - на открытом воздухе в летнее время, в помещении, в каналах, тоннелях, технических подпольях, на чердаках и в подвалах зданий, tср = tв/2 - на открытом воздухе, на открытом воздухе в зимнее время, где tв - температура среды внутри изолируемого трубопровода (оборудования). |
(рекомендуемое)
МЕТОДЫ РАСЧЕТА ТЕПЛОВОЙ ИЗОЛЯЦИИ
ОБОРУДОВАНИЯ И ТРУБОПРОВОДОВ
В.1 Расчетные формулы стационарной теплопередачи
в теплоизоляционных конструкциях
Поверхностная плотность теплового потока через плоские поверхности рассчитывается по формулам:
однослойная плоская стенка

; (В.1)
многослойная плоская стенка из n слоев

. (В.2)
Линейная плотность теплового потока через цилиндрические поверхности рассчитывается по формулам:
однослойная цилиндрическая стенка

; (В.3)
многослойная цилиндрическая стенка из n слоев

; (В.4)
где

- поверхностная плотность теплового потока через плоскую теплоизоляционную конструкцию, Вт/м
2;

- температура среды внутри изолируемого объекта, °C;

- температура окружающей среды, °C;

- сопротивление теплоотдаче на внутренней поверхности стенки изолируемого объекта, м
2·°C/Вт;

- то же, на наружной поверхности теплоизоляции, м
2·°C/Вт;

- термическое сопротивление стенки изолируемого объекта, м
2·°C/Вт;

- то же, плоского слоя изоляции, м
2·°C/Вт;

- полное термическое сопротивление
n-слойной плоской изоляции;

- термическое сопротивление
i-го слоя, м
2·°C/Вт;

- линейная плотность теплового потока через цилиндрическую теплоизоляционную конструкцию, Вт/м;

- линейное термическое сопротивление теплоотдаче внутренней стенки изолируемого объекта, м·°C/Вт;

- то же, наружной изоляции, м·°C/Вт;

- линейное термическое сопротивление цилиндрической стенки изолируемого объекта, м·°C/Вт;

- то же, цилиндрического слоя изоляции, м·°C/Вт;

- полное линейное термическое сопротивление
n-слойной цилиндрической изоляции;

- линейное термическое сопротивление
i-го слоя, м·°C/Вт.
В
уравнениях (В.1) -
(В.4) сопротивления теплоотдаче и термические сопротивления стенок определяются по формулам:

;

; (В.7)
где

,

- коэффициенты теплоотдачи внутренней поверхности стенки изолируемого объекта и наружной поверхности изоляции, Вт/(м
2·°C);

,

,

- коэффициенты теплопроводности соответственно материала стенки изолируемого объекта, однослойной изоляции, изоляции
i-го слоя
n-слойной изоляции, Вт/(м·°C);

,

,

, - толщина соответственно стенки изолируемого объекта, однослойной изоляции,
i-го слоя
n-слойной изоляции, м;

,

- внутренний и наружный диаметры стенки изолируемого объекта, м;

- наружный диаметр изоляции, м;

,

- наружный и внутренний диаметры
i-го слоя
n-слойной изоляции, м.
Распределение температур в многослойной изоляции рассчитывается по формулам:
температуры на внутренней и наружной поверхностях стенки изолируемого объекта плоской формы:

;

; (В.8)
температура

на наружной поверхности первого слоя изоляции, на границе первого и второго слоев

; (В.9)
и далее, начиная со второго слоя, на границах (i - 1)-го и i-го слоев

; (В.10)
температура на наружной поверхности i-слоя n-слойной стенки:

. (В.11)
Распределение температур в цилиндрических многослойных изоляционных конструкциях рассчитывается по формулам:

;

; (В.12)

; (В.13)

; (В.14)

. (В.15)
Значения поверхностной и линейной плотности тепловых потоков, входящих в
формулы (В.8) - (В.15), определяются по
(В.1) -
(В.4), а термические сопротивления - по
(В.5) -
(В.7).
При расчете многослойных конструкций по
формулам (В.2),
(В.4) необходимо знать коэффициенты теплопроводности изоляционных слоев. Поскольку они зависят от температуры, должны быть известны средние температуры каждого слоя, для определения которых необходимо знать температуры на границах слоев. Для их расчета используется метод последовательных приближений, предусматривающий проведение нескольких расчетных операций.
| | ИС МЕГАНОРМ: примечание. В официальном тексте документа, видимо, допущена опечатка: формула (4) отсутствует. | |
На первом этапе для всех слоев средняя температура изоляции принимается равной полусумме температур внутренней и наружной среды, при этой температуре определяется теплопроводность всех теплоизоляционных слоев. Затем, по
(2), (4) определяют значения

или

и по
(В.8) -
(В.11) для плоской и по
(В.12) -
(В.15) цилиндрической стенок рассчитывают температуры на границах слоев и средние температуры каждого слоя.
На втором этапе по найденным на первом этапе средним температурам слоев вновь определяют теплопроводность всех слоев, затем находят плотности потоков тепла и снова рассчитывают послойные температуры, и так далее до требуемой точности расчета. Например, до тех пор, пока послойные температуры на k-м и (k - 1)-м шаге будут отличаться не более чем на 5%. В практических расчетах для этой цели необходимо проведение не более 3 - 4 расчетных операций.
В.2 Расчет тепловой изоляции оборудования и трубопроводов
В практических расчетах тепловой изоляции принимается ряд допущений, позволяющих использовать упрощенные расчетные формулы.
Сопротивление теплоотдаче от внутренней среды к внутренней поверхности стенки изолируемого объекта для жидких и газообразных сред является пренебрежимо малым в сравнении с термическим сопротивлением теплоизоляционного слоя и в практических расчетах может не учитываться.
Теплопроводность стенок изолируемого оборудования и трубопроводов, изготовленных из металла, в десятки раз превышает теплопроводность изоляции, поэтому термическим сопротивлением стенки также можно пренебречь без заметного снижения точности расчета.
С учетом указанных допущений в практических расчетах для определения теплового потока через изолированные стенки трубопроводов и оборудования используются следующие формулы:
для плоских поверхностей и цилиндрических диаметром более 2 м

; (В.16)
для трубопроводов диаметром менее 2 м

, (В.17)
где K - коэффициент дополнительных потерь, учитывающий теплопотери через теплопроводные включения в теплоизоляционных конструкциях, обусловленных наличием в них крепежных деталей и опор (таблица В.1).
Значения коэффициента дополнительных потерь
для оборудования и трубопроводов
Минстроя России от 28.11.2023 N 850/пр)
Тип изолируемого объекта | Коэффициент K |
Оборудование и трубопроводы на открытом воздухе, в непроходных каналах, тоннелях и помещениях: | |
а) стальные на подвижных опорах, условным проходом, мм: | |
до 150 | 1,2 |
150 и более | 1,15 |
б) стальные на подвесных опорах | 1,05 |
в) неметаллические на подвижных и подвесных опорах | 1,7 |
Трубопроводы бесканальной прокладки | 1,15 |
Термическое сопротивление слоев тепловой изоляции и сопротивление внешней теплоотдаче в
(В.16),
(В.17) определяется по
формулам (В.5),
(В.6), в которых теплопроводность изоляции принимается по
приложению Б, а коэффициент теплоотдачи на поверхности изоляции - по таблице В.2.
Значения коэффициента теплоотдачи
, Вт/(м2·°C)
Минстроя России от 28.11.2023 N 850/пр)
Температура изолируемой поверхности, °C | Изолируемая поверхность | Вид расчета изоляции | Коэффициент теплоотдачи  , Вт/(м 2·°C), при расположении изолируемых поверхностей <1> |
в помещениях, тоннелях для покровных слоев с коэффициентом излучения <2> C | на открытом воздухе, для покровных слоев с коэффициентом излучения <2> C |
малым | высоким | малым | высоким |
Выше 20 | Плоская поверхность, оборудование, вертикальные трубопроводы | По заданной температуре на поверхности покровного слоя | 6 | 11 | 6 | 11 |
Остальные виды расчетов | 7 | 12 | | |
Горизонтальные трубопроводы | По заданной температуре на поверхности покровного слоя | 6 | 10 | 6 | 10 |
Остальные виды расчетов | 6 | 11 | | |
19 и ниже | Все виды изолируемых объектов | Предотвращение конденсации влаги из окружающего воздуха на поверхности покровного слоя | 5 | 7 | - | - |
Остальные виды расчетов | 6 | 11 | | |
<1> Для трубопроводов, прокладываемых в каналах, коэффициент теплоотдачи  . Коэффициент теплоотдачи от воздуха в канале к стенке канала допускается принимать  . <2> К покровным слоям с малым коэффициентом излучения C относятся покрытия с C <= 2,33 Вт/(м 2·К 4), в том числе из тонколистовой оцинкованной стали, листов из алюминия и алюминиевых сплавов, а также других материалов, окрашенных алюминиевой краской. К покрытиям с высоким коэффициентом излучения относятся покрытия с C > 2,33 Вт/(м 2·К 4), в том числе стеклопластики и прочие материалы на основе синтетических и природных полимеров, хризотилцементные листы, штукатурки, покровные слои, окрашенные различными красками (кроме алюминиевой). <3> Коэффициент теплоотдачи  при известной скорости ветра, равной 5, 10, 15 м/с, принимают равным 26, 35, 52 Вт/(м 2·°C) соответственно. <4> Коэффициент теплоотдачи  при известной скорости ветра, равной 5, 10, 15 м/с, принимают равным 20, 26, 35 Вт/(м 2·°C) соответственно. |
При расчете тепловой изоляции объектов, расположенных под землей, учитывается их тепловое взаимодействие с массивом окружающего грунта.
Плотность теплового потока через теплоизоляционные конструкции, граничащие с грунтом, определяется по
формулам (В.1) -
(В.4), в которых термические сопротивления внешней теплоотдаче

и

заменяются термическим сопротивлением грунта.
В общем случае термическое сопротивление грунта зависит от конфигурации и расположения изолируемого объекта в массиве грунта, его температуры и теплопроводности, что влияет на распределение температур и тепловых потоков в теплоизоляционном слое.
В инженерных расчетах принимается допущение об одномерности температурного поля в теплоизоляционном слое, что позволяет с достаточной для практики точностью использовать
формулы (В.5) -
(В.7) для расчета термического сопротивления плоских и цилиндрических теплоизоляционных конструкций подземных объектов.
В.2.1 Расчет толщины тепловой изоляции
по нормированной плотности теплового потока
Расчет толщины тепловой изоляции по нормированной плотности теплового потока -

,

для однослойных конструкций выполняется по следующим формулам.
Для плоских и цилиндрических поверхностей с диаметром 1,4 м и более используется формула
(в ред.
Изменения N 1, утв. Приказом Минстроя России от 03.12.2016 N 882/пр)

. (В.18)
Таблица В.3
Ориентировочные значения
, м·°C/Вт
Условный диаметр трубы, мм | Внутри помещений | На открытом воздухе |
Для поверхностей с малым коэффициентом излучения | Для поверхностей с высоким коэффициентом излучения |
при температуре теплоносителя, °C | |
100 | 300 | 500 | 100 | 300 | 500 | 100 | 300 | 500 |
32 | 0,50 | 0,35 | 0,30 | 0,33 | 0,22 | 0,17 | 0,12 | 0,09 | 0,07 |
40 | 0,45 | 0,30 | 0,25 | 0,29 | 0,20 | 0,15 | 0,10 | 0,07 | 0,05 |
50 | 0,40 | 0,25 | 0,20 | 0,25 | 0,17 | 0,13 | 0,09 | 0,06 | 0,04 |
100 | 0,25 | 0,19 | 0,15 | 0,15 | 0,11 | 0,10 | 0,07 | 0,05 | 0,04 |
125 | 0,21 | 0,17 | 0,13 | 0,13 | 0,10 | 0,09 | 0,05 | 0,04 | 0,03 |
150 | 0,18 | 0,15 | 0,11 | 0,12 | 0,09 | 0,08 | 0,05 | 0,04 | 0,03 |
200 | 0,16 | 0,13 | 0,10 | 0,10 | 0,08 | 0,07 | 0,04 | 0,03 | 0,03 |
250 | 0,13 | 0,10 | 0,09 | 0,09 | 0,07 | 0,06 | 0,03 | 0,03 | 0,02 |
300 | 0,11 | 0,09 | 0,08 | 0,08 | 0,07 | 0,06 | 0,03 | 0,02 | 0,02 |
350 | 0,10 | 0,08 | 0,07 | 0,07 | 0,06 | 0,05 | 0,03 | 0,02 | 0,02 |
400 | 0,09 | 0,07 | 0,06 | 0,06 | 0,05 | 0,04 | 0,02 | 0,02 | 0,02 |
500 | 0,075 | 0,065 | 0,06 | 0,05 | 0,045 | 0,04 | 0,02 | 0,02 | 0,016 |
600 | 0,062 | 0,055 | 0,05 | 0,043 | 0,038 | 0,035 | 0,017 | 0,015 | 0,014 |
700 | 0,055 | 0,051 | 0,045 | 0,038 | 0,035 | 0,032 | 0,015 | 0,013 | 0,012 |
800 | 0,048 | 0,045 | 0,042 | 0,034 | 0,031 | 0,029 | 0,013 | 0,012 | 0,011 |
900 | 0,044 | 0,041 | 0,038 | 0,031 | 0,028 | 0,026 | 0,012 | 0,011 | 0,010 |
1000 | 0,040 | 0,037 | 0,034 | 0,028 | 0,026 | 0,024 | 0,011 | 0,010 | 0,009 |
2000 | 0,022 | 0,020 | 0,017 | 0,015 | 0,014 | 0,013 | 0,006 | 0,006 | 0,005 |
Примечания 1 Для промежуточных значений диаметров и температуры величина  определяется интерполяцией. 2 Для температуры теплоносителя ниже 100 °C принимаются данные, соответствующие 100 °C. |
Для однослойных цилиндрических поверхностей с диаметром менее 1,4 м используется формула
(в ред.
Изменения N 1, утв. Приказом Минстроя России от 03.12.2016 N 882/пр)

. (В.19)
Коэффициент дополнительных тепловых потерь K через опоры трубопроводов в расчете толщины тепловой изоляции по нормативной плотности теплового потока принимается равным 1.
где

. Приближенные значения

принимаются по
таблице В.3.
Затем находят величину B и определяют требуемую толщину изоляции по формуле

. (В.20)
Для двухслойных теплоизоляционных конструкций расчет толщины слоев по нормированной плотности теплового потока производится в следующей последовательности.
В случае, когда максимальная температура применения одного из выбранных теплоизоляционных материалов ниже температуры стенки изолируемого объекта в двухслойных теплоизоляционных конструкциях в качестве первого слоя на изолируемую поверхность устанавливается материал с более высокой допустимой температурой применения.
Толщина первого слоя определяется из условия, чтобы температура между обоими слоями

,

не превышала максимальной температуры применения основного изоляционного материала.
Для плоской стенки и цилиндрических объектов с диаметром 2 м и более для расчета толщины первого слоя применяется формула

. (В.21)
Для второго слоя применяется
формула (В.18), в которую вместо значения

подставляется

.
При расчете цилиндрических объектов с диаметром менее 2 м - аналогично однослойной конструкции по уравнению

, (В.22)
в котором

, определяют величину

, затем находят

и толщину первого слоя, м:

.
Толщина второго слоя определяется с помощью
формулы (В.19), в которой вместо значения

подставляется значение

, а вместо
B -


.
Определив

находят

, а затем толщину изоляции второго слоя, м:

. (В.23)
Расчет требуемой толщины тепловой изоляции по нормативной плотности теплового потока может быть выполнен методом последовательных приближений. Последовательность расчета для однослойной цилиндрической конструкции следующая.
Задаваясь начальным значением толщины изоляции

, м, определяемой требуемой точностью расчета, например, 0,001 м, с помощью последовательных шагов 1, 2, 3, 4,...,
i для толщины изоляции:

;

;

,...,

производят вычисление линейной плотности тепловых потоков

;

;...;

по уравнению

. (В.24)
На каждом шаге вычислений
i производится сравнение

с заданным значением нормативного удельного потока

. При выполнении условия

(В.25)
вычисления заканчиваются, а найденная величина

является искомой, обеспечивающей заданную величину тепловых потерь.
Расчетные параметры при определении толщины изоляции по нормируемой плотности теплового потока следует принимать по
6.1.1 -
6.1.6 настоящего свода правил.
В.2.2 Расчет толщины изоляции по заданному
снижению (повышению) температуры вещества,
транспортируемого трубопроводами
Требуемое полное термическое сопротивление изоляции

трубопровода длиной
l, м, для обеспечения заданного снижения температуры транспортируемого по нему вещества от начальной

до конечной

при расходе вещества
G, кг/ч, теплоемкостью
C, кДж/(кг·°C) определяется из выражений:
при

,

; (В.26)
при

,

, (В.27)
где

- расчетная температура окружающей среды, °C.
Для определения требуемой толщины изоляции

, м, по найденным значениям

и

используется формула

. (В.28)
Принимая приближенные значения

по
таблице В.3 и определяя по формуле (В.28) ln
B, находят величину
B и затем по
формуле (В.20) толщину изоляции

.
Расчетные параметры при определении толщины тепловой изоляции по заданной величине снижения (повышения) температуры транспортируемого вещества принимаются по
6.4 настоящего свода правил.
В.2.3 Расчет толщины тепловой изоляции
по заданной температуре наружной поверхности
Определение толщины изоляции по заданной температуре ее наружной поверхности

производится в том случае, когда изоляция нужна как средство, предохраняющее обслуживающий персонал от ожогов.
Расчет толщины тепловой изоляции выполняется по формулам:
для плоских теплоизоляционных конструкций

; (В.29)
для цилиндрических

, (В.30)
где ориентировочное значение

принимается по
таблице В.3.

.
Рассмотренный метод является приближенным. Более точные результаты могут быть получены методом последовательных приближений.
Расчет выполняется по формуле

. (В.31)
Задаваясь начальным значением толщины изоляции

, м, определяемым требуемой точностью расчета, например, 0,001 м, последовательными шагами 1, 2, 3,...,
i для толщин изоляции:

;

;

,...,

производится вычисление величин:

;

;

;...;

по уравнению (В.31).
На каждом шаге вычислений
i производится сравнение

с заданным значением

. При выполнении условия

(В.32)
вычисления заканчиваются, а найденная величина

является с точностью до 1 мм заданной, обеспечивающей требуемую температуру поверхности изоляции.
Расчетные параметры при расчете толщины тепловой изоляции по заданной температуре поверхности принимаются по
6.7.
В.2.4 Расчет толщины изоляции, предотвращающей конденсацию
влаги из воздуха на ее поверхности
Данный расчет производится для изолированных объектов, расположенных в помещениях и содержащих вещества с температурой ниже температуры окружающего воздуха.
В этом случае изоляция должна обеспечивать требуемый расчетный перепад между температурами наружного воздуха и поверхностью изоляции

, при котором исключается конденсация влаги из воздуха (таблица В.4).
Таблица В.4
Расчетный перепад 
tн, °C | Относительная влажность воздуха  , % |
40 | 50 | 60 | 70 | 80 | 90 |
10 | 13,4 | 10,4 | 7,8 | 5,5 | 3,5 | 1,6 |
15 | 14,2 | 10,9 | 9,1 | 5,7 | 3,6 | 1,7 |
20 | 14,8 | 11,3 | 8,4 | 5,9 | 3,7 | 1,8 |
25 | 15,3 | 11,7 | 8,7 | 6,1 | 3,8 | 1,9 |
30 | 15,9 | 12,2 | 9,0 | 6,3 | 4,0 | 2,0 |
Расчет выполняется по формулам:
для плоской поверхности

;

; (В.33)
для цилиндрической поверхности

;

. (В.34)
Требуемая толщина изоляции определяется по методике, изложенной в
В.2.3.
В расчетах температуру наружной среды

следует принимать равной температуре воздуха в помещении.
Температуру внутренней среды

и относительную влажность воздуха в помещении

принимают в соответствии с техническим заданием на проектирование.
| | ИС МЕГАНОРМ: примечание. В официальном тексте документа, видимо, допущена опечатка: примечание к таблице В.2 отсутствует. Возможно, имеются в виду сноски к таблице В.2. | |
Коэффициент теплоотдачи к наружной поверхности изоляции

принимается для поверхностей с низким коэффициентом излучения - 5 Вт/(м
2·°C), для поверхностей с высоким коэффициентом излучения - 7 Вт/(м
2·°C) (см.
примечание к таблице В.2).
В.2.5 Расчет тепловой изоляции паропроводов
по заданным параметрам пара
Минстроя России от 03.12.2016 N 882/пр)
Для паропроводов насыщенного пара заданными параметрами являются давление, температура и допустимая доля конденсата в паропроводе. Толщина тепловой изоляции рассчитывается по следующей формуле

, (В.34а)
где Кконд - допустимое количество конденсата по длине паропровода, кг/с;
Lрасч - расчетная длина паропровода, принимаемая с учетом тепловых потерь через опоры, арматуру и фланцевые соединения, м;
rконд - скрытая теплота конденсации, кДж/кг.
Для паропроводов перегретого пара заданными параметрами являются начальные и конечные температура и давление пара и допустимое падение температуры по длине паропровода. Требуемая толщина тепловой изоляции определяется по следующей формуле

, (В.34б)
где

- средняя температура пара в паропроводе, равная среднеарифметическому значению начальной и конечной температуры пара, °C;
iнач, iкон - удельная энтальпия пара, соответственно, в начале и конце паропровода, определяемая по таблицам термодинамических свойств воды и водяного пара при заданных температуре и давлении перегретого пара в начале и конце паропровода, кДж/кг;
Gпар - массовый расход пара в паропроводе, кг/с;

- внутренний диаметр паропровода, м.
Уравнения
(В.34а),
(В.34б) решаются методом последовательных приближений. Толщина изоляции

вычисляется по формуле
(В.20).
В.2.6 Расчет тепловой изоляции с целью предотвращения
конденсации влаги на внутренних поверхностях газоходов
Минстроя России от 03.12.2016 N 882/пр)
Для газоходов прямоугольного сечения и цилиндрических, диаметром более 2 м, расчет требуемой толщины изоляции выполняется по формуле

, (В.34в)
где

- температура внутренней поверхности стенки газохода, °C;

- коэффициент теплоотдачи от газа к внутренней поверхности стенки газохода, Вт/(м
2·°C);
Для газоходов диаметром менее 2 м, расчет выполняется по формуле

. (В.34г)
где

- внутренний диаметр стенки газохода.
Температура внутренней стенки газохода устанавливается в техническом задании на проектирование тепловой изоляции в зависимости от температуры и влажности транспортируемого газа. Выпадение конденсата из газа, протекающего в газоходе, происходит при условии, что температура внутренней стенки газохода оказывается ниже, чем температура конденсации влаги из газа ("точка росы") при заданной его температуре и влажности. Поэтому расчетная температура внутренней стенки газохода

принимается на 2 °C - 3 °C выше температуры конденсации ("точки росы")
tконд при заданной температуре и влажности транспортируемого газа.
Коэффициент теплоотдачи

рассчитывается по эмпирическим (критериальным) формулам теплообмена при вынужденном движении газа (жидкости) в трубах и каналах прямоугольного сечения в зависимости от температуры и скорости движения газа и режима течения, определяемого отношением длины газохода к его диаметру.
При турбулентном режиме движения газа в газоходе расчет

выполняется по формуле
Nu = 0,021·Re0,8·Pr0,43, (В.34д)
где

- критерий Нуссельта;

- критерий Рейнольдса;

- критерий Прандтля;
w - скорость движения газа в газоходе, м/с;
d - диаметр трубопровода или эквивалентный диаметр канала, м;

,

,

- соответственно, коэффициент теплопроводности [Вт/(м·К)], кинематическая вязкость (м
2/с) и коэффициент температуропроводности газа (м
2/с), принимаемые по таблицам физических свойств газов.
При ламинарном и переходном режимах течения газа (при отношении длины газохода к его диаметру -
l/
d менее 50), к коэффициенту теплоотдачи

вводится поправочный множитель

при значении

и

при значении

.
Уравнение
(В.34г) решается методом последовательных приближений. Толщина изоляции

вычисляется по формуле
(В.20).
В.2.7 Расчет тепловой изоляции трубопроводов
с целью предотвращения замерзания содержащейся
в них жидкости при остановке ее движения
Минстроя России от 03.12.2016 N 882/пр)
Расчет толщины изоляции трубопровода по заданному времени отсутствия движения жидкости Z основан на уравнении теплового баланса, в соответствии с которым тепло, аккумулированное в жидкости, и тепло, выделяющееся при замерзании некоторой части жидкости (25% сечения трубопровода), приравнивается количеству тепла, отдаваемого изолированным трубопроводом в окружающую среду за период остановки движения жидкости.
Процесс теплообмена при охлаждении и замерзании жидкости в трубопроводе является нестационарным. Расчет требуемой в этом случае толщины тепловой изоляции с достаточной для инженерной практики степенью точности выполняется по формулам стационарного теплообмена.
Толщина изоляционного слоя определяется по формуле

(В.34е)
где tв - температура жидкости до остановки ее движения, °C;
tз - температура замерзания жидкости, °C;
tн - температура окружающего воздуха °C;
Z - заданное время остановки движения жидкости, ч;
Vж - объем жидкости, м3;

- плотность жидкости, кг/м
3;
cж - удельная теплоемкость жидкости, кДж/(кг·°C);
Vст - объем материала стенки трубопровода, м3;

- плотность материала стенки, кг/м
3;
cст - удельная теплоемкость материала стенки, кДж/(кг·°C);
0,25 - допустимая доля замерзания жидкости (25% от объема);
rж - скрытая теплота замерзания жидкости, кДж/кг;
К - коэффициент, учитывающий потери тепла через опоры.
Уравнение
(В.34 е) решается методом последовательных приближений. Толщина изоляции

вычисляется по формуле
(В.20).
В.3 Расчет тепловой изоляции трубопроводов тепловых сетей
В.3.1 Надземная прокладка
Тепловые потери через изолированную поверхность подающих и обратных трубопроводов тепловых сетей при надземной прокладке, при известной толщине изоляции

, м, следует определять по
формуле (В.17), а термические сопротивления, входящие в эту формулу, - по
(В.6). В качестве температур внутренней и наружной сред

и

принимают расчетные температуры теплоносителя и окружающего воздуха, а коэффициент теплоотдачи

- по
таблице В.2.
При определении толщины изоляции трубопроводов тепловых сетей по нормированным значениям плотности тепловых потоков от подающих и обратных теплопроводов используется методика расчетов, изложенная в
разделе В.2.1. При этом расчетные температуры теплоносителя в подающем и обратном трубопроводе принимают по таблице В.5.
Таблица В.5
Среднегодовые температуры теплоносителя
в водяных тепловых сетях, °C
Трубопровод | Расчетные температурные режимы, °C |
95 - 70 | 150 - 70 | 180 - 70 |
Подающий | 65 | 90 | 110 |
Обратный | 50 | 50 | 50 |
Расчетную температуру наружной среды принимают: при круглогодичной работе тепловой сети - среднегодовую температуру наружного воздуха, при работе только в отопительный период - среднюю температуру отопительного периода. Расчетный коэффициент теплоотдачи

- по
таблице В.2.
В.3.2 Подземная прокладка в непроходных каналах
Тепловые потери через изолированную поверхность двухтрубных тепловых сетей, прокладываемых в непроходном канале шириной b и высотой h, м, на глубине H, м, от поверхности земли до оси канала определяются по формуле

. (В.35)
Температура воздуха в канале

определяется по формуле

, (В.36)
где

;

; (В.37)

;

; (В.38)

, (В.39)
здесь

,

- линейные плотности теплового потока от подающего и обратного трубопроводов, Вт/м;

,

- наружные диаметры подающего и обратного трубопроводов, м;

,

- температуры подающего и обратного трубопроводов, °C;

,

- термические сопротивления изоляции подающего и обратного трубопроводов, м·°C/Вт;

,

- термические сопротивления теплоотдаче от поверхности изоляции подающего и обратного трубопроводов, м·°C/Вт;

- термическое сопротивление теплоотдаче от воздуха к поверхности канала, м·°C/Вт;
h, b - высота и ширина канала, соответственно, м;

- коэффициент теплоотдачи в канале, принимается равным 11 Вт/(м
2·°C);

- теплопроводность изоляции в конструкции, Вт/(м·°C);

,

- толщины изоляции подающего и обратного трубопроводов, м;

- термическое сопротивление грунта, Вт/(м·°C), определяется по формуле

; (В.40)

- теплопроводность грунта, Вт/(м·°C), таблица В.6.
H - глубина заложения, расстояние от оси трубы до поверхности земли, м.
Таблица В.6
Теплопроводность грунта
Вид грунта | Средняя плотность, кг/м3 | Весовое влагосодержание грунта, % | Коэффициент теплопроводности, Вт/(м·°C) |
Песок | 1480 | 4 | 0,86 |
1600 | 5 | 1,11 |
15 | 1,92 |
23,8 | 1,92 |
Суглинок | 1100 | 8 | 0,71 |
15 | 0,9 |
1200 | 8 | 0,83 |
15 | 1,04 |
1300 | 8 | 0,98 |
15 | 1,2 |
1400 | 8 | 1,12 |
15 | 1,36 |
20 | 1,63 |
1500 | 8 | 1,27 |
15 | 1,56 |
20 | 1,86 |
1600 | 8 | 1,45 |
15 | 1,78 |
2000 | 5 | 1,75 |
10 | 2,56 |
11,5 | 2,68 |
Глинистый | 1300 | 8 | 0,72 |
18 | 1,08 |
40 | 1,66 |
1500 | 8 | 1,0 |
18 | 1,46 |
40 | 2,0 |
1600 | 8 | 1,13 |
27 | 1,93 |
Расчет требуемой толщины тепловой изоляции по нормированной плотности теплового потока в зависимости от технических требований может выполняться в двух вариантах:
а) по нормативным линейным плотностям теплового

потока и

, заданным отдельно для подающего и обратного трубопровода, в этом случае определяется толщина изоляции для каждого трубопровода;
б) по суммарной нормативной линейной плотности теплового потока от подающего и обратного трубопровода -

, в этом случае определяется толщина изоляции, одинаковая для обоих трубопроводов.
Расчет толщины изоляции по нормативным линейным плотностям теплового потока, заданным отдельно для подающего -

и обратного -

трубопроводов, выполняется в следующей последовательности.
На первом этапе рассчитывают температуру в канале по формуле

. (В.41)
Затем для каждого трубопровода вычисляются значения

и

по формулам:

; (В.42)

, (В.43)
где приближенные значения

и

принимаются по
таблице В.3.
Далее, после вычисления

и

, по
формуле (В.20) рассчитывают требуемые толщины изоляции для подающего и обратного трубопроводов, обеспечивающие нормативные линейные потери тепла:

;

.
Расчет толщины изоляции подающего и обратного трубопроводов по суммарной нормативной линейной плотности теплового потока -

, Вт/м, выполняется методом последовательных приближений (методом подбора).
На первом этапе задаются начальным значением толщины изоляции

, одинаковой для подающего и обратного трубопроводов, и по
формулам (В.36) -
(В.39) рассчитывают температуру в канале. Затем по
формуле (В.35) вычисляют суммарную линейную плотность теплового потока

.
Полученное расчетное значение сравнивают с нормативной линейной плотностью теплового потока по
таблицам 8,
9.
На втором этапе увеличивают или уменьшают толщину изоляции в зависимости от результата сравнения и повторяют расчет в той же последовательности до получения нового расчетного значения -

.
Расчет повторяют до тех пор, пока расчетное значение плотности теплового потока -

будет отличаться от нормативного значения -

на заданную степень точности расчета, например, не более чем на 1%. Последнее значение

принимается в качестве расчетной толщины тепловой изоляции для подающего и обратного трубопроводов.
При расчете тепловой изоляции двухтрубных тепловых сетей в непроходных каналах расчетную температуру теплоносителя в подающих и обратных трубопроводах принимают по
таблице В.5.
Расчетную температуру наружной среды принимают равной среднегодовой температуре грунта на глубине заложения трубопровода.
Коэффициент дополнительных тепловых потерь K при расчете толщины изоляции по нормированной плотности теплового потока принимается равным 1.
При расстоянии от поверхности грунта до перекрытия канала 0,7 м и менее за расчетную температуру наружной среды должна приниматься та же температура наружного воздуха, что и при надземной прокладке.
В.3.3 Подземная бесканальная прокладка
Тепловые потери трубопроводов двухтрубных тепловых сетей бесканальной прокладки, расположенных в грунте на одинаковом расстоянии от поверхности до оси труб H, м, определяются по формулам:

; (В.44)

; (В.45)

, (В.46)
где

- термическое сопротивление грунта при бесканальной прокладке, м·°C/Вт, определяется по формуле

, (В.47)
где
d - наружный диаметр изолированного трубопровода, м; подающего -

, обратного -

;

- теплопроводность грунта, Вт/(м·°C);
H - глубина заложения (расстояние от оси труб до поверхности земли), м;

- термическое сопротивление, обусловленное тепловым взаимодействием двух труб, м·°C/Вт, определяется из выражения

, (В.48)
где

расстояния между осями труб по горизонтали, м.
Также как при прокладке двухтрубных тепловых сетей в проходных каналах расчет требуемой толщины тепловой изоляции по нормированной плотности теплового потока в зависимости от технических требований может выполняться в двух вариантах:
а) по нормативным значениям линейной плотности теплового потока

и

, заданным отдельно для подающего и обратного трубопроводов;
б) по суммарной нормативной линейной плотности теплового потока от подающего и обратного трубопроводов -

.
Расчет толщины изоляции трубопроводов тепловых сетей бесканальной прокладки по нормативным значениям линейной плотности теплового потока, заданным отдельно для подающего

и обратного

трубопровода выполняют по формулам:

; (В.49)

. (В.50)
Определив с помощью
(В.49), (В.50) значения

и

, вычисляют толщины изоляции так же, как и для канальной прокладки в
разделе В.3.2.
Расчет толщины изоляции подающего и обратного трубопроводов двухтрубных тепловых сетей бесканальной прокладки по суммарной нормативной линейной плотности теплового потока

, Вт/м, выполняется методом последовательных приближений (методом подбора).
На первом этапе задаются начальным значением толщины изоляции

, одинаковой для подающего и обратного трубопроводов, и по
формулам (В.44) -
(В.46) рассчитывают суммарную линейную плотность теплового потока

.
Полученное расчетное значение сравнивают с нормативной линейной плотностью теплового потока

(по
таблицам 11,
12).
На втором этапе увеличивают или уменьшают толщину изоляции в зависимости от результата сравнения и повторяют расчет в той же последовательности до получения нового расчетного значения

.
Расчет повторяют до тех пор, пока расчетное значение плотности теплового потока

будет отличаться от нормативного значения

на заданную степень точности расчета, например, не более чем на 1%. Последнее значение

принимается в качестве расчетной толщины тепловой изоляции для подающего и обратного трубопроводов.
Расчетные параметры теплоносителя и наружной среды для расчета изоляции трубопроводов двухтрубных тепловых сетей бесканальной прокладки принимаются такими же, как и в непроходных каналах.
В.4 Расчет тепловой изоляции трубопроводов, обогреваемых
паровыми или водяными спутниками
Минстроя России от 03.12.2016 N 882/пр)
В.4.1 Общие положения
В.4.1.1 Проектирование системы обогрева трубопроводов с паровыми и водяными спутниками осуществляется на основании технологических требований к конкретному объекту и технико-экономических расчетов.
Выбор числа и диаметров обогревающих спутников, системы их теплоснабжения и схемы подключения осуществляется на основании результатов теплового и гидравлического расчета системы обогрева с учетом вида теплоносителя, протяженности обогреваемого участка, располагаемого давления в системе теплоснабжения и других факторов.
Проектирование тепловой изоляции трубопроводов со спутниками выполняется на основании технологических требований с учетом расположения объекта, конструктивных и технологических параметров обогреваемого трубопровода и обогревающих его спутников, расчетных параметров окружающей среды.
В.4.2 Расчет тепловой изоляции трубопроводов, обогреваемых паровыми или водяными спутниками
В.4.2.1 Тепловая изоляция предназначена для обеспечения заданной температуры теплоносителя в любом сечении по длине трубопровода при условии безостановочного движения теплоносителя.
Методика расчета реализует следующую физическую модель теплообмена спутника с трубопроводом и теплоизоляционной конструкции с окружающей средой:
- тепло от спутника передается воздуху в пространстве, ограниченном теплоизоляционной конструкцией;
- тепло от воздуха в пространстве, ограниченном теплоизоляционной конструкцией, передается теплоносителю через поверхность трубопровода, контактирующую с воздухом в пространстве и наружному воздуху через поверхность теплоизоляционной конструкции, контактирующей с воздухом в пространстве;
- количество тепла, передаваемого через поверхность теплоизоляционной конструкции, контактирующей с трубопроводом, наружному воздуху равно количеству тепла, получаемого трубопроводом от воздуха в конструкции.
Указанная модель описывается двумя уравнениями теплового баланса:
где Q1 - удельный тепловой поток от спутника к воздуху в пространстве, ограниченном тепловой изоляцией, Вт/м;
Q2 - удельный тепловой поток от воздуха в пространстве, ограниченном тепловой изоляцией, через теплоизоляционный слой к окружающему воздуху, Вт/м;
Q3 - удельный тепловой поток от обогреваемого трубопровода к окружающему воздуху через теплоизоляционный слой в части, контактирующей с трубопроводом, Вт/м;
Q4 - удельный тепловой поток от воздуха в пространстве, ограниченном тепловой изоляцией, к трубопроводу, Вт/м.

(В.53)

(В.54)
где tтр - температура трубопровода, °C;
t0 - температура окружающего воздуха, °C;
tв - температура воздуха в пространстве, ограниченном изоляцией, °C;
R1 - удельное термическое сопротивление теплоотдаче от спутника к воздуху в пространстве, ограниченном тепловой изоляцией, (м·°C)/Вт;
R2 - термическое сопротивление теплоизоляционного слоя, в части, контактирующей с воздухом в пространстве, ограниченном тепловой изоляцией, (м·°C)/Вт;
R3 - термическое сопротивление теплоизоляционного слоя, в части, контактирующей с трубопроводом, (м·°C)/Вт;
R4 - удельное термическое сопротивление теплоотдаче от воздуха в пространстве, ограниченном тепловой изоляцией к трубопроводу, (м·°C)/Вт.
В.4.2.2 Требуемая толщина тепловой изоляции рассчитывается путем совместного решения уравнений
(В.53),
(В.54) методом последовательных приближений. Расчет выполняется в следующей последовательности.
На первом этапе рассчитываются термические сопротивления R1, R2, R3, R4.
Далее, решением уравнения
(В.53) определяется температура воздуха в пространстве, ограниченном теплоизоляционной конструкцией -
tв.
При найденном значении
tв уравнение
(В.54) решается методом последовательных приближений относительно ln(
dиз/
dтр).
В.4.2.3 Температура спутника tсп в расчетах принимается:
- при обогреве паром - равной температуре насыщения при заданном давлении пара в спутнике;
- при обогреве водой - вычисляется по формуле

, (В.55)
где

- температура воды на входе в спутник, °C;

- температура воды на выходе из спутника, °C.
В.4.2.4 Удельное термическое сопротивление теплоотдаче от спутника к воздуху в пространстве, ограниченном тепловой изоляцией, (м·°C)/Вт, следует вычислять по формуле

, (В.56)
где n - число спутников;

- коэффициент теплоотдачи спутника, Вт/(м
2·°C);
dсп - наружный диаметр спутника, м.
Коэффициент теплоотдачи от спутника в пространство, ограниченное изоляцией, определяется по формуле

, (В.57)
где Nuэф - эффективный критерий Нуссельта;

- коэффициент теплопроводности воздуха, Вт/(м·К).
Критерий Nuэф является функцией произведения (Gr·Pr) и рассчитывается по эмпирической формуле
Nuэф = 0,25·10-2·(Gr·Pr)0,78, (В.58)
где

- критерий Грасгофа;

- критерий Прандтля.
Произведение критериев Грасгофа и Прандтля (Gr·Pr) рассчитывается по формуле

; (В.59)
где g - ускорение свободного падения, равное 9,807 м/с2;

- коэффициент объемного расширения воздуха, равный 3,664·10
-3 1/К;
a - коэффициент температуропроводности воздуха, м2/с;

- кинематическая вязкость воздуха, м
2/с.
Физические параметры сухого воздуха -

,

,
a,

принимаются по таблице В.7 при средней температуре воздуха в конструкции, определяемой по формуле

. (В.60)
Таблица В.7
Физические свойства сухого воздуха при давлении 0,1 МПа
t, °C |  , кг/м 3 | cp, кДж/(кг·К) |  , Вт/(м·К) |  , м 2/с | a·106, м2/с | Pr |
0 | 1,293 | 1,005 | 2,44 | 13,28 | 18,8 | 0,707 |
10 | 1,247 | 1,005 | 2,51 | 14,16 | 20,0 | 0,705 |
20 | 1,205 | 1,005 | 2,59 | 15,06 | 21,4 | 0,703 |
30 | 1,165 | 1,005 | 2,67 | 16,00 | 22,9 | 0,701 |
40 | 1,128 | 1,005 | 2,76 | 16,96 | 24,3 | 0,699 |
50 | 1,093 | 1,005 | 2,83 | 17,95 | 25,7 | 0,698 |
60 | 1,060 | 1,005 | 2,90 | 18,97 | 26,2 | 0,696 |
70 | 1,029 | 1,009 | 2,96 | 20,02 | 28,6 | 0,694 |
80 | 1,000 | 1,009 | 3,05 | 21,09 | 30,2 | 0,692 |
90 | 0,972 | 1,009 | 3,13 | 22,10 | 31,9 | 0,690 |
100 | 0,946 | 1,009 | 3,21 | 23,13 | 33,6 | 0,688 |
120 | 0,898 | 1,009 | 3,34 | 25,45 | 36,8 | 0,686 |
140 | 0,854 | 1,013 | 3,49 | 27,80 | 40,3 | 0,684 |
160 | 0,815 | 1,017 | 3,64 | 30,09 | 43,9 | 0,682 |
180 | 0,779 | 1,022 | 3,78 | 32,49 | 47,5 | 0,681 |
200 | 0,746 | 1,026 | 3,93 | 34,85 | 51,4 | 0,680 |
250 | 0,674 | 1,038 | 4,27 | 40,61 | 61,0 | 0,677 |
300 | 0,615 | 1,047 | 4,60 | 48,33 | 71,6 | 0,674 |
В.4.2.5 Термическое сопротивление теплоизоляционного слоя R2, (м2·°C)/Вт, рассчитывается по формуле теплопередачи через плоскую стенку:

, (В.61)
где

- толщина изоляции, м;

- длина внутренней образующей изоляции, м;

- длина наружной образующей изоляции, м;

. (В.62)
При расчете
R2 принимается приближенное значение толщины изоляции

.
Геометрические характеристики конструкции

,

рассчитываются в зависимости от вида конструкции (рисунок В.1) с использованием соотношений элементарной геометрии и тригонометрических функций.
| | ИС МЕГАНОРМ: примечание. В официальном тексте документа, видимо, допущена опечатка: формула (В.68) отсутствует. Возможно, имеется в виду формула (В.62). | |
1 - диаметр обогреваемого трубопровода; 2 - диаметр
спутника; 3 - толщина теплоизоляционного слоя; 4 - длина
линейного участка образующей в конструкции m1; 5 - длина
и с двумя спутниками; 6 - угол

- в конструкции с одним
спутником; угол

- в конструкции с двумя спутниками:
7 - угол

- в конструкции с одним спутником; угол

- в конструкции с двумя спутниками; 8 - длина линейного
участка образующей в конструкции с двумя спутниками m2;
Рисунок В.1 - Конструкции тепловой изоляции трубопроводов
с обогревающими их паровыми и водяными спутниками:
а) - с одним спутником; б) - с двумя спутниками
Коэффициент теплопроводности изделий в конструкции

, Вт/(м·К), принимается по
таблице Б.1 приложения Б при средней температуре слоя:

. (В.63)
Коэффициент теплоотдачи от воздуха внутри пространства, ограниченного изоляцией, к внутренней поверхности изоляции

следует принимать равным 11,6 Вт/м
2·°C.
Коэффициент теплоотдачи от наружной поверхности изоляции в окружающий воздух

, Вт/(м
2·°C), следует принимать по
таблице В.2.
В.4.2.6 Термическое сопротивление изоляционного слоя R3, (м2·°C)/Вт, вычисляется по формуле

, (В.64)
где

- угол, характеризующий геометрию теплоизоляционной конструкции
(рисунок В.1), радиан.
В.4.2.7 Удельное термическое сопротивление теплоотдаче от воздуха внутри пространства, ограниченного изоляцией, к трубопроводу, (м·°C)/Вт, следует вычислять по формуле

, (В.65)
где

- угол, характеризующий геометрию теплоизоляционной конструкции
(рисунок В.1), радиан.
Коэффициент теплоотдачи

от воздуха внутри пространства, ограниченного изоляцией, к трубопроводу следует принимать равным 17,4 т/(м
2·°C).
В.4.2.8 Расчет толщины теплоизоляционного слоя выполняется по формуле

, (В.66)
Формула (В.66) решается методом последовательных приближений. Первое приближение толщины изоляции принимается равным принятому при расчете термического сопротивления
R2. Толщина изоляции

вычисляется по формуле
(В.20).
В.4.2.9 Расчетную толщину изоляции вычисляют по формуле

, (В.67)
где К - коэффициент, учитывающий дополнительные тепловые потери через опоры и арматуру. Для трубопроводов, расположенных в помещении и тоннелях, К = 1,15 - 1,2; для трубопроводов, расположенных на открытом воздухе, К = 1,25 - 1,3;

- поправочный коэффициент. При расчетах теплоизоляционных конструкций с естественным углом обогрева без подкладки
(рисунок В.1) вводится

.
В.4.2.10 При использовании экрана из алюминиевой фольги, укладываемой в качестве подстилающего слоя под теплоизоляционный слой, расчетную толщину изоляции следует уменьшать на 20%.
(рекомендуемое)
Таблица Г.1
Предельные толщины теплоизоляционных конструкций
для оборудования и трубопроводов
Наружный диаметр, мм | Способ прокладки трубопровода |
надземный | в тоннеле | в непроходном канале |
Предельная толщина теплоизоляционного слоя, мм, при температуре, °C |
19 и ниже | 20 и более | 19 и ниже | 20 и более | до 150 вкл. | 151 и более |
18 | 80 | 80 | 80 | 80 | 50 | 60 |
25 | 120 | 120 | 100 | 100 | 60 | 80 |
32 | 140 | 140 | 120 | 100 | 80 | 100 |
45 | 140 | 140 | 120 | 100 | 80 | 100 |
57 | 150 | 150 | 140 | 120 | 90 | 120 |
76 | 160 | 160 | 160 | 140 | 90 | 140 |
89 | 180 | 170 | 180 | 160 | 100 | 140 |
108 | 180 | 180 | 180 | 160 | 100 | 160 |
133 | 200 | 200 | 180 | 160 | 100 | 160 |
159 | 220 | 220 | 200 | 160 | 120 | 180 |
219 | 230 | 230 | 200 | 180 | 120 | 200 |
273 | 240 | 230 | 220 | 180 | 120 | 200 |
325 | 240 | 240 | 240 | 200 | 120 | 200 |
377 | 260 | 240 | 260 | 200 | 120 | 200 |
426 | 280 | 250 | 280 | 220 | 140 | 220 |
476 | 300 | 250 | 300 | 220 | 140 | 220 |
530 | 320 | 260 | 320 | 220 | 140 | 220 |
630 | 320 | 280 | 320 | 240 | 140 | 220 |
720 | 320 | 280 | 320 | 240 | 140 | 220 |
820 | 320 | 300 | 320 | 240 | 140 | 220 |
920 | 320 | 300 | 320 | 260 | 140 | 220 |
1020 и более | 320 | 320 | 320 | 260 | 140 | 220 |
Примечания 1 Для трубопроводов, расположенных в каналах, толщина изоляции указана для положительных температур транспортируемых веществ. Для трубопроводов с отрицательными температурами транспортируемых веществ предельные толщины следует принимать такими же, как при прокладке в тоннелях. 2 В случае, если расчетная толщина изоляции больше предельной, следует принимать более эффективный теплоизоляционный материал и ограничиться предельной толщиной тепловой изоляции, если это допустимо по условиям технологического процесса. |
(справочное)
ОПРЕДЕЛЕНИЕ ТОЛЩИНЫ И ОБЪЕМА ТЕПЛОИЗОЛЯЦИОННЫХ ИЗДЕЛИЙ
ИЗ УПЛОТНЯЮЩИХСЯ МАТЕРИАЛОВ
Д.1 Толщину теплоизоляционного изделия из уплотняющихся материалов до установки на изолируемую поверхность следует определять с учетом коэффициента уплотнения

по формулам:
для цилиндрической поверхности

, (Д.1)
для плоской поверхности

, (Д.2)
где

,

- толщина теплоизоляционного изделия до установки на изолируемую поверхность (без уплотнения), м;

- расчетная толщина теплоизоляционного слоя с уплотнением в конструкции, м;
d - наружный диаметр изолируемого оборудования, трубопровода, м;

- коэффициент уплотнения теплоизоляционных изделий, принимаемый по
таблице Д.1.
Примечания
1 В случае, если в
формуле (Д.1) произведение

меньше единицы, оно должно приниматься равным единице.
2 При многослойной изоляции толщину изделия до его уплотнения следует определять отдельно для каждого слоя. При определении толщины последующего теплоизоляционного слоя за наружный диаметр (d) принимают диаметр изоляции предыдущего слоя.
3 Объем теплоизоляционных изделий из уплотняющихся материалов для теплоизоляционного слоя до уплотнения следует определять по формуле

, (Д.3)
где V - объем теплоизоляционного материала или изделия до уплотнения, м3;

- объем теплоизоляционного материала или изделия в конструкции с учетом уплотнения, м
3.
Теплоизоляционные материалы и изделия | Коэффициент уплотнения, Kc |
Маты минераловатные прошивные сжимаемостью не более 55% | 1,2 |
Маты и холсты из супертонкого базальтового волокна при укладке на трубопроводы и оборудование условным проходом, мм: | |
Ду < 800 при средней плотности 23 кг/м3 | 3,0 |
То же, при средней плотности 50 - 60 кг/м3 | 1,5 |
Ду >= 800 при средней плотности 23 кг/м3 | 2,0 |
То же, при средней плотности 50 - 60 кг/м3 | 1,5 |
Изделия вертикально-слоистые (ламелла-маты), маты прошивные гофрированной структуры из стеклянного волокна и каменной ваты сжимаемостью: | |
не более 30% | 1,0 - 1,1 |
Маты минераловатные рулонированные сжимаемостью не более 55% | 1,35 - 1,2 |
Маты рулонированные из стеклянного штапельного волокна сжимаемостью: | |
не более 55% | 1,4 - 1,6 |
55 - 70% | 1,6 - 2,6 |
более 70% | 2,6 - 3,6 |
Плиты минераловатные на синтетическом связующем марки: | |
35, 50 | 1,5 |
75 | 1,2 |
100 | 1,1 |
125 | 1,05 |
Плиты из стеклянного штапельного волокна марки: | |
П-30 | 1,1 |
П-15, П-17 и П-20 | 1,2 |
Песок перлитовый вспученный мелкий марки 75, 100, 150 | 1,5 |
Примечание - Сжимаемость - относительная деформация материала под нагрузкой 2 кПа, определяется по ГОСТ 17177. |
(примечание введено Изменением N 1, утв. Приказом Минстроя России от 03.12.2016 N 882/пр) |
УДК [69 + 699.8] (083.74) | |
Ключевые слова: изоляция тепловая, оборудование, трубопровод, проектирование. |