Главная // Актуальные документы // ГОСТ (Государственный стандарт)СПРАВКА
Источник публикации
М.: Стандартинформ, 2014
Примечание к документу
Документ
введен в действие с 1 ноября 2013 года.
Название документа
"ГОСТ 31912-2011 (EN ISO 23993:2008). Межгосударственный стандарт. Изделия теплоизоляционные, применяемые для инженерного оборудования зданий и промышленных установок. Определение расчетной теплопроводности"
(введен в действие Приказом Росстандарта от 27.12.2012 N 2070-ст)
"ГОСТ 31912-2011 (EN ISO 23993:2008). Межгосударственный стандарт. Изделия теплоизоляционные, применяемые для инженерного оборудования зданий и промышленных установок. Определение расчетной теплопроводности"
(введен в действие Приказом Росстандарта от 27.12.2012 N 2070-ст)
агентства по техническому
регулированию и метрологии
от 27 декабря 2012 г. N 2070-ст
МЕЖГОСУДАРСТВЕННЫЙ СТАНДАРТ
ИЗДЕЛИЯ ТЕПЛОИЗОЛЯЦИОННЫЕ, ПРИМЕНЯЕМЫЕ ДЛЯ ИНЖЕНЕРНОГО
ОБОРУДОВАНИЯ ЗДАНИЙ И ПРОМЫШЛЕННЫХ УСТАНОВОК
ОПРЕДЕЛЕНИЕ РАСЧЕТНОЙ ТЕПЛОПРОВОДНОСТИ
Thermal insulating products for building equipment
and industrial installations. Determination of design
thermal conductivity
(EN ISO 23993:2008, MOD)
ГОСТ 31912-2011
(EN ISO 23993:2008)
Дата введения
1 ноября 2013 года
Цели, основные принципы и основной порядок проведения работ по межгосударственной стандартизации установлены
ГОСТ 1.0-92 "Межгосударственная система стандартизации. Основные положения" и
ГОСТ 1.2-2009 "Межгосударственная система стандартизации. Стандарты межгосударственные, правила и рекомендации по межгосударственной стандартизации. Правила разработки, принятия, применения, обновления и отмены".
1. Подготовлен Некоммерческим партнерством "Производители современной минеральной изоляции "Росизол".
2. Внесен Техническим комитетом по стандартизации ТК 465 "Строительство".
3. Принят Межгосударственной научно-технической комиссией по стандартизации, техническому нормированию и оценке соответствия в строительстве (МНТКС) (Протокол от 8 декабря 2011 г. N 39).
За принятие проголосовали:
Краткое наименование страны по МК (ИСО 3166) 004-97 | Код страны по МК (ИСО 3166) 004-97 | Сокращенное наименование национального органа государственного управления строительством |
Азербайджан | AZ | Государственный комитет градостроительства и архитектуры |
Армения | AM | Министерство градостроительства |
Казахстан | KZ | Агентство по делам строительства и жилищно-коммунального хозяйства |
Киргизия | KG | Госстрой |
Молдова | MD | Министерство строительства и регионального развития |
Россия | RU | Министерство регионального развития |
Таджикистан | TJ | Агентство по строительству и архитектуре при Правительстве |
Узбекистан | UZ | Госархитектстрой |
Украина | UA | Министерство регионального развития, строительства и жилищно-коммунального хозяйства |
4. Настоящий стандарт модифицирован по отношению к европейскому региональному стандарту EN ISO 23993:2008. Thermal insulating products for building equipment and industrial installations - Determination of design thermal conductivity (Изделия теплоизоляционные, применяемые для инженерного оборудования зданий и промышленных установок. Определение расчетной теплопроводности) путем исключения из текста стандарта ссылок на стандарты ISO 10456, ISO 15758, ISO 7345, ISO 12572, ISO 12241, не принятые в качестве межгосударственных, и дополнения текста стандарта ссылкой на
ГОСТ 7076-99.
Перевод с английского языка (en).
Сведения о соответствии ссылочных межгосударственных стандартов европейским региональным стандартам приведены в дополнительном
Приложении ДА.
Степень соответствия - модифицированная (MOD).
5.
Приказом Федерального агентства по техническому регулированию и метрологии от 27 декабря 2012 г. N 2070-ст межгосударственный стандарт ГОСТ 31912-2011 (EN ISO 23993:2008) введен в действие в качестве национального стандарта Российской Федерации с 1 ноября 2013 г.
6. Введен впервые.
Информация об изменениях к настоящему стандарту публикуется в ежегодном информационном указателе "Национальные стандарты", а текст изменений и поправок - в ежемесячном информационном указателе "Национальные стандарты". В случае пересмотра (замены) или отмены настоящего стандарта соответствующее уведомление будет опубликовано в ежемесячном информационном указателе "Национальные стандарты". Соответствующая информация, уведомление и тексты размещаются также в информационной системе общего пользования - на официальном сайте Федерального агентства по техническому регулированию и метрологии в сети Интернет.
Настоящий стандарт устанавливает методы определения расчетной теплопроводности теплоизоляционных изделий, используемой в расчетах энергоэффективности инженерного оборудования зданий и промышленных установок, на основе декларируемой теплопроводности.
Методы, приведенные в настоящем стандарте, применяют для изделий, эксплуатирующихся в диапазоне температур от минус 200 °C до плюс 1000 °C.
Поправки к теплопроводности, установленные для различных условий, действительны в диапазонах температур, указанных в настоящем стандарте или Приложениях к нему.
В настоящем стандарте использованы нормативные ссылки на следующие межгосударственные стандарты:
ГОСТ 7076-99. Материалы и изделия строительные. Метод определения теплопроводности и термического сопротивления при стационарном тепловом режиме
ГОСТ EN 12088-2011. Изделия теплоизоляционные, применяемые в строительстве. Метод определения диффузионного влагопоглощения в течение длительного времени
ГОСТ EN 29053-2011. Материалы акустические. Методы определения сопротивления продуванию потоком воздуха
ГОСТ 31911-2011 (EN ISO 13787:2003). Изделия теплоизоляционные, применяемые для инженерного оборудования зданий и промышленных установок. Определение декларируемой теплопроводности
ГОСТ 31913-2011 (EN ISO 9229:2007). Материалы и изделия теплоизоляционные. Термины и определения
ГОСТ 31925-2011 (EN 12667:2001). Материалы и изделия строительные с высоким и средним термическим сопротивлением. Методы определения термического сопротивления на приборах с горячей охранной зоной и оснащенных тепломером
ГОСТ 32025-2012 (EN ISO 8497:1996). Тепловая изоляция. Метод определения характеристик теплопереноса в цилиндрах заводского изготовления при стационарном тепловом режиме.
Примечание. При пользовании настоящим стандартом целесообразно проверить действие ссылочных стандартов в информационной системе общего пользования - на официальном сайте Федерального агентства по техническому регулированию и метрологии в сети Интернет или по ежегодному информационному указателю "Национальные стандарты", который опубликован по состоянию на 1 января текущего года, и по выпускам ежемесячного информационного указателя "Национальные стандарты" за текущий год. Если ссылочный стандарт заменен (изменен), то при пользовании настоящим стандартом следует руководствоваться заменяющим (измененным) стандартом. Если ссылочный стандарт отменен без замены, то положение, в котором дана ссылка на него, применяется в части, не затрагивающей эту ссылку.
В настоящем стандарте применены термины в соответствии с
ГОСТ 31913, а также следующие термины с соответствующими определениями:
3.1. Декларируемая теплопроводность: ожидаемое значение теплопроводности материала или изделия, применяемого для инженерного оборудования здания и промышленных установок.
Декларируемая теплопроводность должна быть:
- основана на экспериментальных данных, полученных при испытании материала или изделия при соответствующих температуре и влажности;
- задана как максимальное значение, определенное в соответствии с
ГОСТ 31911;
- взаимоувязана с обоснованными ожиданиями срока службы изделия в условиях эксплуатации.
3.2. Расчетная теплопроводность: значение теплопроводности материала или изделия, рассчитанное для определенных внешних и внутренних условий, которые могут быть приняты в качестве типовых условий применения материала или изделия, предназначенных для инженерного оборудования зданий и промышленных установок.
4. Обозначения и единицы измерения
В настоящем стандарте использованы обозначения и единицы измерения характеристик, приведенные в таблице 1.
Таблица 1
Обозначения и единицы измерения характеристик
Обозначение | Наименование характеристики | Единица измерения |
| Коэффициент сжимаемости | м3/(кг·К) |
D | Внутренний диаметр слоя | м |
d | Толщина слоя | м |
| Толщина теплоизоляционной системы, включая воздушный зазор | м |
F | Общая поправка к теплопроводности | - |
| Поправка к теплопроводности, учитывающая старение | - |
| Поправка к теплопроводности, учитывающая сжимаемость | - |
| Поправка к теплопроводности, учитывающая конвективный теплоперенос | - |
| Поправка к теплопроводности, учитывающая толщину | - |
| Коэффициент влияния толщины | - |
| Поправка к теплопроводности, учитывающая влияние крепежных элементов | - |
| Поправка к теплопроводности, учитывающая влияние влаги | - |
| Коэффициент влияния объемной влаги | м3/м3 |
| Поправка к теплопроводности, учитывающая разность температур | - |
u | Массовое содержание влаги | кг/кг |
N | Число распорных элементов на 1 м2 | - |
| Температура по Цельсию | °C |
| Декларируемая теплопроводность | Вт/(м·К) |
| Расчетная теплопроводность | Вт/(м·К) |
| Среднее значение теплопроводности | Вт/(м·К) |
| Дополнительная теплопроводность вследствие влияния тепловых мостиков (например, распорных элементов) в теплоизоляционной системе | Вт/(м·К) |
| Плотность | кг/м3 |
| Объемное содержание влаги | м3/м3 |
5. Определение декларируемой теплопроводности
Декларируемую теплопроводность изделий определяют в соответствии с
ГОСТ 31911.
Для определения декларируемой теплопроводности должны быть известны следующие данные, идентифицирующие изделие: вид материала, из которого изготовлено изделие, тип обкладки (при ее наличии), вид пенообразователя, толщина и другие параметры, которые могут повлиять на теплопроводность.
Декларируемая теплопроводность должна определяться на образцах достаточно большой толщины для обеспечения минимальной погрешности или на образцах меньшей толщины при условии проведения прямых измерений теплопроводности для этих толщин.
6. Определение расчетной теплопроводности
Расчетная теплопроводность должна определяться на основании декларируемой теплопроводности, определенной в соответствии с
ГОСТ 31911 при условиях, соответствующих условиям эксплуатации изделия. Данные условия должны включать в себя:
- среднюю рабочую температуру изделия с учетом температур горячей и холодной поверхностей;
- среднее нормальное содержание влаги в материале изделия в условиях эксплуатации (температура и относительная влажность воздуха окружающей среды);
Примечание. Влияние старения материала изделия в зависимости от области применения должно учитываться в случае, если данное условие не было учтено при назначении декларируемой теплопроводности.
- сжимающую нагрузку на изделие в конструкции;
- влияние конвекции;
- влияние толщины;
- влияние открытых стыков между частями изделия;
- влияние тепловых мостиков (участки, являющиеся составной частью теплоизоляционной системы, например, распорные элементы), учитываемые параметром

.
Расчетную теплопроводность

определяют:
- на основании значений декларируемой теплопроводности

с учетом условий эксплуатации по формуле

, (1)
где

- дополнительное значение теплопроводности вследствие влияния тепловых мостиков (например, распорных элементов) в теплоизоляции (определяют в соответствии с
7.9);
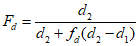
F - общая поправка к теплопроводности, рассчитываемая по формуле

; (2)
- при непосредственном измерении теплопроводности в условиях эксплуатации.
Примечание. Приблизительные значения общей поправки F приведены в
Приложении C.
7. Расчет поправок к теплопроводности
Значения поправок к теплопроводности отдельных видов теплоизоляционных материалов с учетом условий эксплуатации, применяемые для пересчета, приведены в
Приложении A.
Поправки, полученные на основе прямых измерений теплопроводности методами, приведенными в
ГОСТ 7076, ГОСТ 32025 или
ГОСТ 31925, могут быть использованы вместо значений, приведенных в
Приложении A. Для материалов и изделий, не приведенных в
Приложении A, или для условий эксплуатации, отличающихся от указанных в данном Приложении, поправки должны определяться на основании значений, полученных при прямых измерениях теплопроводности.
7.2. Поправка для учета разности температур
Пересчет не проводят

, если расчетную теплопроводность определяют при средней температуре и температурах горячей и холодной поверхностей, заданных для декларируемого значения теплопроводности, или если измерения были проведены на оборудовании, предназначенном для испытания теплоизоляционных цилиндров во всем диапазоне температур

.
Допускается применять интерполяцию при коэффициенте корреляции R >= 0,98, если значения декларируемой теплопроводности приведены при одних температурах, а значения расчетной теплопроводности необходимо определить при других температурах.
Если расчетную теплопроводность определяют для такой же средней температуры, что и декларируемую, но при других значениях температур горячей и холодной поверхностей испытуемого образца, то поправка

должна определяться в соответствии с
A.1 Приложения A.
Если измерения были проведены во всем диапазоне температур, то

. Если измерения были проведены при значениях

не более 50 К, то следует учитывать нелинейную зависимость теплопроводности от температуры.
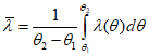
Если расчетную теплопроводность определяют при средней температуре и температурах горячей и холодной поверхностей образца, отличных от тех, при которых определялась декларируемая теплопроводность, то необходимо применять процедуру, описанную выше. Нелинейную зависимость теплопроводности от температуры учитывают путем интегрирования измеренной ранее кривой по уравнению

. (3)
Поправку для учета влияния разности температур горячей и холодной поверхностей

определяют по формуле

, (4)
где

- значение теплопроводности, найденное по кривой при исходной температуре.
Поправку к теплопроводности, учитывающую влияние влаги в материале изделия,

определяют по формуле

, (5)
где

- коэффициент влияния содержания влаги по объему;

- содержание влаги по объему, принятое для определения декларируемой теплопроводности;

- содержание влаги по объему в условиях эксплуатации.
Содержание влаги по объему в условиях эксплуатации может определяться:
- прямым измерением в условиях, аналогичных условиям эксплуатации,
- расчетами по официально принятым методикам.
Примечание. Метод определения содержания влаги в образце приведен в
ГОСТ EN 12088. Продолжительность испытания образца, указанная в данном стандарте, может быть увеличена, если это необходимо исходя из условий эксплуатации.
Значения коэффициента

для некоторых видов теплоизоляционных материалов приведены в
A.2 Приложения A.
Старение изделия зависит от вида материала, из которого изготовлено это изделие, покрытия, структуры, примененного пенообразователя, температуры, при которой применяют изделие, и толщины материала. Для определенных видов материалов эффект старения может учитываться с помощью теоретических моделей, подтвержденных экспериментальными данными (соответствующая процедура может быть приведена в стандартах на изделия конкретных видов).
Пересчет теплопроводности для учета влияния старения не проводят, если при назначении декларируемой теплопроводности эффект старения был учтен, или когда эффект старения определялся в условиях, аналогичных условиям эксплуатации.
Если эффект старения определяют в условиях, которые значительно отличаются от предполагаемых условий эксплуатации, то необходимо провести испытания для определения расчетной теплопроводности в данных условиях.
Если для пересчета применяют поправку

, то эффект влияния старения на теплопроводность рассчитывают на срок не менее половины срока службы изделия в условиях эксплуатации.
Примечания
1. Срок службы строительных материалов, как правило, принимают равным 50 годам.
2. В настоящем стандарте не приведены значения коэффициентов влияния старения для расчета поправки

.
Для изделий из минеральной ваты, керамических волокон, волокон из кальций-магниевого силиката, силиката кальция, упругой резиновой пены и ячеистого стекла не применяют коэффициент, учитывающий влияние старения.
Для сжимаемых теплоизоляционных материалов, средняя плотность которых может меняться при воздействии нагрузки, влияние сжимаемости должно учитываться введением поправки

, рассчитываемой в соответствии с
A.3 Приложения A.
Влияние конвективного переноса тепла в изделии, установленном вертикально, должно учитываться поправкой

, рассчитываемой в соответствии с
A.4 Приложения A.
Влияние толщины учитывают для изделий, теплопроводность которых меняется с увеличением толщины вследствие влияния излучения. Если расчетную теплопроводность определяют для изделий толщиной, отличной от толщины, для которой назначалась декларируемая теплопроводность, то вводят поправку

, рассчитываемую в соответствии с
A.5 Приложения A.
7.8. Влияние крепежных элементов
Влияние крепежных элементов на расчетную теплопроводность изделия должно учитываться поправкой

, рассчитываемой в соответствии с
A.6 Приложения A.
Поправка

должна применяться в случае, если теплопроводность была измерена по
ГОСТ 32025 с использованием испытательной трубы с меньшим числом крепежных элементов, чем в условиях эксплуатации.
7.9. Влияние стыков и соединений
7.9.1. Общие положения
Влияние стыков и соединений, создающих тепловые мостики в теплоизоляционном слое (например, элементов каркаса), учитывают введением дополнительного значения теплопроводности

к теплопроводности

смонтированного изделия [см.
формулу (1)].
Тепловые мостики, возникающие вследствие особенностей конструкции системы (например, наличие крепежных и опорных элементов труб, каркаса, отделочных элементов) или при повреждении теплоизоляции, должны учитываться при определении дополнительных тепловых потерь.
7.9.2. Влияние опорных элементов
7.9.2.1. Опорные кольца трубопроводов с металлической оболочкой
Приведенные ниже дополнительные значения теплопроводности

являются приблизительными и могут применяться для теплоизоляционных изделий толщиной от 100 до 300 мм и простых теплоизоляционных систем.
Примечания |
1. Значение  при наличии стальных опорных колец ............... | 0,010 Вт/(м·К); |
" " " " опорных колец из аустенитной стали .. | 0,004 Вт/(м·К); |
" " " " керамических опорных колец .......... | 0,003 Вт/(м·К). |
2. Приведенные значения могут быть также использованы для изделий толщиной от 50 до 200 мм. |
7.9.2.2. Каркас для металлических обшивок стен
Значение

для учета влияния стальных элементов в виде плоского прямоугольника размером:
30 x 3 мм - 0,0035 Вт/(м·К)/(элемент/м2);
40 x 4 мм - 0,0060 Вт/(м·К)/(элемент/м2);
50 x 5 мм - 0,0085 Вт/(м·К)/(элемент/м2).
Дополнительная теплопроводность

для учета влияния крепления металлических обшивок стен зависит от числа креплений на 1 м2 и рассчитывается по формуле

, (6)
где N - число креплений на 1 м2;

- теплопроводность, вносимая одним креплением на 1 м2.
7.9.3. Механические крепежные элементы, проходящие через теплоизоляционный слой
Значение

для учета влияния крепежных элементов в зависимости от их числа на 1 м2 и размеров вычисляют по формуле

, (7)
где

- дополнительное значение теплопроводности, вносимое крепежными элементами.
Для стальных крепежных элементов диаметром 4 мм в количестве 9 шт./м2

.
Для крепежных элементов из аустенитной стали диаметром 4 мм в количестве 9 шт./м2

.
(обязательное)
ПОПРАВКИ К ТЕПЛОПРОВОДНОСТИ
A.1. Поправка для учета нелинейной зависимости теплопроводности от температуры
В случае если результаты прямых измерений теплопроводности или расчеты не применяют, следует учитывать нелинейную зависимость теплопроводности от температуры путем введения поправки

, значения которой приведены в таблице A.1.
Таблица A.1
Значения поправки

для учета влияния разности температур
Наименование изделия (материала) | Средняя плотность, кг/м3 |  при разности температур <a>, К |
100 | 250 | 450 |
Изделия из каменной ваты: | | | | |
- маты | 50 - 70 | 1,04 | 1,08 | 1,12 |
- плиты | 80 - 120 | 1,02 | 1,05 | 1,1 |
| 130 - 150 | 1,00 | 1,02 | 1,05 |
| > 160 | 1,00 | 1,00 | 1,02 |
- ламельный мат | 30 - 40 | 1,02 | 1,10 | 1,15 |
| 50 - 60 | 1,01 | 1,08 | 1,12 |
Изделия из стеклянной ваты: | | | | |
- маты | 30 - 45 | 1,03 | 1,06 | 1,10 |
- плиты | 50 - 75 | 1,01 | 1,04 | 1,07 |
- ламельный мат | 30 | 1,00 | 1,08 | - |
Изделия из кальциево-магниевого силиката: | | | | |
- маты | 80 - 110 | 1,02 | 1,06 | 1,10 |
- плиты | | | | |
Ячеистое стекло | 120 - 200 | 1,02 | 1,04 | 1,06 |
Вспученный перлит | 60 - 80 | 1,01 | 1,02 | 1,05 |
Силикат кальция | 100 - 200 | 1,01 | 1,02 | 1,05 |
Теплоизоляция с микропорами | 300 | 1,00 | 1,01 | 1,02 |
<a> Если необходимо, применяют линейную интерполяцию. Примечание. В случае линейной зависимости  . В случае если график зависимости теплопроводности от температуры имеет экстремум, необходимо использовать интегральное значение. |
A.2. Коэффициент влияния влаги
Коэффициент влияния влаги на теплопроводность приведен в таблице A.2. Приведенные значения соответствуют остаточному количеству влаги в изделии.
Данные, приведенные в таблице A.2, не учитывают эффект массопереноса воды или водяного пара в изделиях.
Таблица A.2
Коэффициент влияния влаги
Наименование материала | Содержание влаги  , м3/м3 | Коэффициент влияния влаги  , м3/м3 |
Минеральная вата | < 0,15 | 4 |
Вспененный полистирол | < 0,10 | 4 |
Экструдированный вспененный полистирол | < 0,10 | 2,5 |
Эластичная вспененная резина | < 0,10 | 3,5 |
Вспененный полиуретан | < 0,15 | 6 |
Фенольный пенопласт | < 0,15 | 5 |
Вспененный поливинилхлорид | < 0,15 | 8 |
Пробка | < 0,10 | 6 |
Ячеистое стекло | 0,00 | 0 |
Жесткие плиты на основе вспученного перлита, волокон и связующего | От 0 до 0,04 | 0,8 |
Коэффициент влияния влаги не применяют, если расчетная температура выше 100 °C.
A.3. Поправка для учета влияния сжимаемости
Сжимаемость плоских изделий C, применяемых для теплоизоляции плоских поверхностей, определяют по формуле

, (A.1)
где

- номинальная толщина изделия;

- толщина изделия в сжатом состоянии (в зависимости от условий эксплуатации).
Схема сжатия плоских теплоизоляционных изделий приведена на рисунке A.1.
Рисунок A.1. Схема сжатия плоских изделий
Сжимаемость плоских изделий C, применяемых для теплоизоляции труб, определяют по формуле

, (A.2)
где d - толщина слоя теплоизоляции;
D - внутренний диаметр слоя теплоизоляции (наружный диаметр трубы).
Схема сжатия теплоизоляции труб приведена на рисунке A.2.
Рисунок A.2. Схема сжатия теплоизоляции труб
Поправку

(например, для изделий из минеральной ваты) определяют по формуле

, (A.3)
где

- коэффициент сжимаемости (значения приведены в
таблице A.3);

- плотность теплоизоляционного изделия;

- средняя температура;
Таблица A.3
Коэффициент

для изделий из минеральной ваты
при температурах от 50 °C до 600 °C
Плотность  , кг/м3 | Коэффициент  , м3/(кг·К) |
30 | 55 |
45 | 35 |
60 | 20 |
80 | 11 |
100 | 9 |
150 | 5 |
A.4. Поправка для учета влияния конвекции в материале
A.4.1. Общие положения
Эффект конвективного переноса тепла в теплоизоляционных изделиях из воздухопроницаемых материалов, например в изделиях из минеральной ваты, расположенных вертикально, следует учитывать, используя значение сопротивления продуванию воздушным потоком теплоизоляционного слоя. Если сопротивление продуванию воздушным потоком, измеренное в соответствии с
ГОСТ EN 29053, больше, чем 50 кПа·с/м2, то влияние конвекции пренебрежимо мало для большинства случаев.
Виды систем теплоизоляции с различными вариантами расположения теплоизоляционного слоя приведены на рисунке A.3.
1 - теплоизоляция; 2 - воздушный зазор
Рисунок A.3. Виды систем теплоизоляции
Формулы и графики для определения значений поправки

, учитывающей влияния конвекции, разработаны на основании компьютерных расчетов и экспериментальных данных.
Исходные данные для расчета:
- толщина теплоизоляции d, м;
Примечание. Толщина d включает в себя толщину возможных внутренних воздушных прослоек, теплоизоляционного слоя и возможных внешних воздушных прослоек

в метрах.
- средняя температура теплоизоляции, °C;
- разность температур на граничных поверхностях системы, К;
- теплопроводность системы при средней температуре (находится в пределах значений, указанных в таблице A.4);
- толщина теплоизоляционной системы H, м.
Таблица A.4
Параметры, используемые для определения влияния конвекции
как функции сопротивления продуванию потоком воздуха
Номер кривой на диаграммах | Температура на теплой поверхности, °C | Средняя температура, °C | Теплопроводность, Вт/(м·К) |
1 | 180 | 100 | 0,050 |
2 | 440 | 230 | 0,075 |
3 | 580 | 300 | 0,100 |
Определяемые параметры:
-

- параметр, учитывающий вид теплоизоляционной системы;
-

- параметр, учитывающий возможное использование фольги в качестве пароизоляционного слоя;
-

- удельное сопротивление теплоизоляционного слоя продуванию потоком воздуха, Па·с/м, измеренное в соответствии с
ГОСТ EN 29053;
r - удельное сопротивление теплоизоляционного слоя потоку, Па·с/м2.
Удельное сопротивление продуванию

определяют по формуле

. (A.4)
Поправку для учета влияния конвекции

определяют по формуле

, (A.5)
Примечание. Расчетные параметры:

;

;

;

(Па·с/м2);
y = Nu*.
Рисунок A.4. Диаграмма для теплоизоляционной системы
общей толщиной

Примечание. Расчетные параметры:

;

;

;
x = W (Па·с/м2);
y = Nu*.
Рисунок A.5. Диаграмма для теплоизоляционной системы
общей толщиной

Примечание. Расчетные параметры:

;

;

;
x = W (Па·с/м2);
y = Nu*.
Рисунок A.6. Диаграмма для теплоизоляционной системы
общей толщиной

Таблица A.5
Значения параметра

для определения влияния конвекции
в реальных условиях эксплуатации
Номер системы | Описание теплоизоляционной системы | Схема | Приблизительные значения параметра  |
1 | Заполняющая пространство Теплоизоляция без покрытия; обе поверхности изоляционного материала касаются изолируемых поверхностей | | 0 |
2 | Повторяющая изгибы Теплоизоляция повторяет контур поверхности с локальными полостями | | 1 |
3 | С воздушным зазором Теплоизоляция не покрыта с одной из сторон (теплой или холодной) | | От 2 до 3 |
4 | Установленная в полости Теплая и холодная поверхности теплоизоляции не касаются других поверхностей | | От 4 до 6 |
Таблица A.6
Значения параметра

для определения влияния слоя фольги
Номер системы | Описание теплоизоляционной системы | Схема | Приблизительные значения параметра  |
1 | Фольга как воздухонепроницаемый слой между слоями материала | | От 5 до 7 |
2 | Фольга как заводское покрытие одной из поверхностей материала, или фольга плотно прилегает ко всей поверхности | | От 9 до 10 |
3 | Без фольги | - | 0 |
Примечание. 1 - фольга. |
A.4.2. Расчет поправки для учета конвекции
A.4.2.1. Общие положения
Сопротивление продуванию теплоизоляционного слоя воздушным потоком

должно определяться с учетом удельного сопротивления потоку воздуха и толщины по
формуле (A.4).
График выбирают из приведенных на
рисунках A.4 -
A.6 в зависимости от общей толщины теплоизоляционного слоя

.
На основании значений сопротивления продуванию воздушным потоком

(горизонтальная ось) и кривой средней температуры теплой поверхности и соответствующей средней температуры теплоизоляционного слоя определяют измененный критерий Нуссельта Nu*. Если исходные данные находятся между двумя графиками, то проводят интерполяцию.
Для какой-либо известной теплоизоляционной системы с учетом воздухонепроницаемого слоя, например фольги, выбирают значения

из
таблицы A.5 и значения

из
таблицы A.6.
A.4.2.2. Пример расчета для теплоизоляционной системы без воздухонепроницаемого слоя
Вертикальный слой минеральной ваты теплопроводностью, приведенной в
таблице A.4, имеет толщину 0,1 м. Материал входит в теплоизоляционную систему с внутренним и наружным воздушными зазорами, имеющую общую толщину 0,2 м, высоту - 2 м.
Удельное сопротивление потоку воздуха r = 20000 Па·с/м2.
Средняя температура теплоизоляционного слоя 300 °C, температура горячей поверхности 580 °C, холодной - 20 °C.
Воздухонепроницаемый слой отсутствует.
Расчетные данные:
d = 0,10 м;

;
H = 2 м;
r =20000 Па·с/м2.
По
формуле (A.4) определяют удельное сопротивление теплоизоляционного слоя продуванию потоком воздуха:

.
На кривой 3
рисунка A.4 по значению

находят значение измененного критерия Нуссельта Nu*, Nu* = 1,11.

.
A.4.2.3. Пример расчета для теплоизоляционной системы с воздухонепроницаемым слоем
Расчет для теплоизоляционной системы с воздухонепроницаемым слоем из фольги выполняют, используя данные, приведенные в
A.4.2.2, и значение

, приведенное в
таблице A.6.

.
A.4.2.4. Пример расчета для теплоизоляционной системы без воздухонепроницаемого слоя для определения влияния толщины и высоты теплоизоляционной системы
Расчетные данные:
d = 0,20 м;

;
H = 3 м;
r = 20000 Па·с/м2.
По
формуле (A.4) определяют удельное сопротивление теплоизоляционного слоя продуванию потоком воздуха:

.
На кривой 3
рисунка A.5 по значению

находят значение измененного критерия Нуссельта Nu*, Nu* = 1,2.

.
A.4.2.5. Пример расчета для теплоизоляционной системы с воздухонепроницаемым слоем - фольгой (влияние воздухонепроницаемого слоя значительное)
Для установления влияния фольги как воздухонепроницаемого слоя для расчета принимают

по
таблице A.6:

.
A.5. Поправка для учета влияния толщины материала
Поправку к теплопроводности для учета влияния толщины слоя теплоизоляционного материала

определяют по формуле

, (А.6)
где

- толщина, для которой была измерена теплопроводность;

- толщина теплоизоляционного слоя в условиях эксплуатации;

- коэффициент влияния толщины, определяемый по таблице A.7.
Таблица A.7
Коэффициент влияния толщины

материала, проницаемого
для инфракрасного излучения (температура от 20 °C до 60 °C)
Плотность материала <a>  , кг/м3 | Толщина материала  , мм |
20 | 40 | 60 | 80 | 100 |
20 | 0,92 | 0,93 | 0,94 | 0,96 | 0,98 |
40 | 0,93 | 0,94 | 0,96 | 0,98 | 0,99 |
60 | 0,94 | 0,96 | 0,98 | 0,99 | 0,99 |
80 | 0,96 | 0,98 | 0,99 | 0,99 | 1,00 |
100 | 0,98 | 0,99 | 0,99 | 1,00 | 1,00 |
120 | 0,99 | 0,99 | 1,00 | 1,00 | 1,00 |
<a> Приведенные значения справедливы в указанных диапазонах плотности минеральной ваты и других теплоизоляционных материалов с малыми порами. В материалах с большими порами, например в перлите, влияние инфракрасного излучения на теплопроводность велико и при большой плотности. |
A.6. Коэффициент учета влияния отрытых стыков
Эффект влияния отрытых стыков вследствие разных коэффициентов теплового расширения теплоизоляции и основания (например, выполненного из стали) должен учитываться введением следующих поправок:
- для теплоизоляции в один слой

;
- для теплоизоляции в два слоя

;
- для теплоизоляции в три и более слоев

.
Примечание. Значения перечисленных поправок приведены со значительным запасом.
(справочное)
ПРИМЕР ОПРЕДЕЛЕНИЯ РАСЧЕТНОЙ ТЕПЛОПРОВОДНОСТИ
B.1. Теплоизоляционные изделия
Рассматриваются три вида теплоизоляционных изделий с различной теплопроводностью, предназначенные для одной конструкции.
Теплоизоляционное изделие N 1: прошивной мат из минеральной ваты плотностью

.
Таблица B.1
Декларируемая теплопроводность, полученная на основании
результатов испытания изделия толщиной 50 мм на приборе
Температура, °C | 50 | 100 | 150 | 200 | 250 | 300 | 400 | 500 |
Теплопроводность, Вт/(м·К) | 0,038 | 0,045 | 0,053 | 0,062 | 0,075 | 0,090 | 0,125 | 0,60 |
Теплоизоляционное изделие N 2: ламельный мат из минеральной ваты плотностью

.
Таблица B.2
Декларируемая теплопроводность, полученная на основании
результатов испытания изделия толщиной 60 мм на приборе
Температура, °C | 50 | 100 | 150 | 200 | 250 | 300 | 400 | 500 |
Теплопроводность, Вт/(м·К) | 0,043 | 0,053 | 0,064 | 0,079 | 0,098 | 0,116 | 0,168 | 0,238 |
Теплоизоляционное изделие N 3: цилиндр из минеральной ваты плотностью

.
Таблица B.3
Декларируемая теплопроводность, полученная на основании
результатов испытания цилиндра толщиной стенки 100 мм
Температура, °C | 50 | 100 | 150 | 200 | 250 | 300 |
Теплопроводность, Вт/(м·К) | 0,036 | 0,044 | 0,054 | 0,066 | 0,080 | 0,097 |
B.2. Условия
Пример расчета приведен для следующих условий:
- область применения: теплоизоляция трубы диаметром

;
- температура теплоносителя

;
- температура окружающей среды

.
Конструктивное решение теплоизоляции:
- число слоев - 1;
- толщина слоя - 100 мм.
Таблица B.4
Теплоизоляция с опорным кольцом и без него
Необходимость использования опорных колец для теплоизоляционного изделия |
Прошивной мат с обкладкой из стальной сетки | Ламельный мат | Цилиндр из минеральной ваты |
Да | Нет | Нет |
Оболочка: стальной гальванизированный лист.
B.3. Определение поправок и дополнительной теплопроводности

a) Определение средней температуры теплоизоляции:
Требуемая температура на поверхности теплоизоляции

.

.
b) Параметры для расчета поправок:

: разность температур

.

: влияние влаги не учитывают:

.

: влияние старения не учитывают.

: сжимаемость

.

: влияние конвективного теплопереноса тепла не учитывают.

: коэффициент влияния толщины

принимают по
таблице A.7:
- для прошивного мата

;
- для ламельного мата

;
- для цилиндра

.

: для однослойной теплоизоляционной системы принимают по таблице B.5.
Таблица B.5
Поправки к теплопроводности теплоизоляционного изделия
для данной области применения
Теплоизоляционное изделие | Поправка |
| | | | | | | F |
Прошивной мат | 1,05 | 1,0 | 1,0 | 0,94 | 1,0 | 1,01 | 1,1 | 1,10 |
Ламельный мат | 1,08 | 1,0 | 1,0 | 0,90 | 1,0 | 1,01 | 1,1 | 1,08 |
Цилиндр | 1,0 | 1,0 | 1,0 | 1,0 | 1,0 | 1,0 | 1,0 | 1,0 |
c) Для прошивного мата рассчитанное в соответствии с
7.9 и учитывающее влияние опорных колец значение

.
Декларируемое значение теплопроводности

при температуре 150 °C принято по
таблицам B.1 -
B.3:
- для прошивного мата 0,053 Вт/(м·К);
- для ламельного мата 0,064 Вт/(м·К);
- для цилиндра 0,054 Вт/(м·К).
Результаты определения расчетных значений теплопроводности приведены в таблице B.6.
Таблица B.6
Расчетные значения
Теплоизоляционное изделие | Расчетная теплопроводность  , Вт/(м·К) |
Прошивной мат | |
Ламельный мат | |
Цилиндр | |
(справочное)
СПРАВОЧНЫЕ ЗНАЧЕНИЯ ПОПРАВОК
Справочные значения поправок F для различных теплоизоляционных изделий, применяемые для преобразования декларируемых значений теплопроводности в расчетные, приведены в таблице C.1. Указанные значения могут быть использованы, если детальный расчет инженерного оборудования здания и промышленных установок не требуется.
Таблица C.1
Справочные значения поправки F
Область применения | Труба горизонтальная/вертикальная | Поверхность горизонтальная/вертикальная, пустоты заполнены без зазоров или установлен воздухонепроницаемый барьер <i> | Вертикальная поверхность, воздушный зазор с одной стороны, воздухонепроницаемый барьер отсутствует <i> | Вертикальная поверхность без воздухонепроницаемого барьера <i>; воздушный зазор с теплой стороны |
Вид применяемой изоляции | | | | |
Минеральная вата | Теплоизоляция |
Отношение  | - | Сопротивление продуванию воздушным потоком 30 кПа·с/м2 |
Прошивной мат Плита (только при применении на плоских поверхностях) | Слои | Средняя температура | Слои | Средняя температура | Слои | Средняя температура | Слои | Средняя температура |
50 °C | 300 °C | 50 °C | 300 °C | 50 °C | 300 °C | 50 °C | 300 °C |
| 1,10 | 1,05 | | 1,10 | 1,20 | | 1,20 | 1,25 | | 1,80 | 1,40 |
| - | 1,05 | | - | 1,15 | | - | 1,25 | | - | 1,60 |
| - | 1,00 | | - | 1,10 | | - | 1,30 | | - | 1,60 |
Отношение  | - | Сопротивление продуванию воздушным потоком 50 кПа·с/м2 |
Слои | Средняя температура | Слои | Средняя температура | Слои | Средняя температура |
50 °C | 300 °C | 50 °C | 300 °C | 50 °C | 300 °C |
| 1,10 | 1,10 | | 1,15 | 1,20 | | 1,40 | 1,30 |
| - | 1,10 | | - | 1,20 | | - | 1,40 |
| - | 1,05 | | - | 1,20 | | - | 1,35 |
| - | Сопротивление продуванию воздушным потоком 70 кПа·с/м2 |
Слои | Средняя температура | Слои | Средняя температура |
50 °C | 300 °C | 50 °C | 300 °C |
| 1,15 | 1,20 | | 1,30 | 1,30 |
| - | 1,20 | | - | 1,30 |
| - | 1,15 | | - | 1,25 |
Цилиндр | 1,00 | - | - |
Ламельный мат | Отношение  |
Слои | Средняя температура | Слои | Средняя температура |
50 °C | 150 °C | 50 °C | 150 °C |
Один | 1,10 | 1,10 | | 1,10 | 1,15 |
Два | 1,05 | 1,15 | | 1,05 | 1,10 |
Отношение  | |
Слои | Средняя температура | - |
50 °C | 150 °C |
Один | 1,10 | 1,10 |
Два | 1,05 | 1,10 |
Волокна из кальциево-магниевого силиката | Теплоизоляция |
Цилиндры и плиты (для применения на плоских поверхностях) | 1,00 | - | Сопротивление продуванию воздушным потоком 70 кПа·с/м2 |
Слои | Средняя температура | Слои | Средняя температура | Слои | Средняя температура |
250 °C | 500 °C | 50 °C | 300 °C | 50 °C | 300 °C |
| 1,10 | 1,20 | | 1,15 | 1,20 | | 1,30 | 1,30 |
| 1,15 | 1,15 | | - | 1,20 | | - | 1,30 |
| 1,00 | 1,10 | | - | 1,15 | | - | 1,25 |
Силикат кальция | Теплоизоляция |
Цилиндры и плиты (для применения на плоских поверхностях) | 1,00 | Слои | Средняя температура | Слои | Средняя температура | - |
250 °C | 500 °C | 250 °C | 500 °C |
Один | 1,15 | 1,20 | | 1,10 | 1,20 |
Два | 1,05 | 1,15 | | 1,05 | 1,15 |
Несколько | 1,00 | 1,10 | | 1,00 | 1,10 |
Теплоизоляционный материал с микропорами | Теплоизоляция |
Цилиндры и плиты (для применения на плоских поверхностях), гибкие плиты <h> | 1,00 | Слои | Средняя температура | Слои | Средняя температура | - |
250 °C | 500 °C | 250 °C | 500 °C |
Один | 1,10 | 1,15 | Один | 1,10 | 1,15 |
Два | 1,05 | 1,10 | Два | 1,05 | 1,10 |
Несколько | 1,00 | 1,05 | Несколько | 1,00 | 1,05 |
ППУ, ВППС, ЕППС | Теплоизоляция |
Цилиндры Плиты | - | Слои | Средняя температура | - |
50 °C |
Один | 1,10 |
Два | 1,05 |
Теплоизоляция при отрицательных температурах с пароизоляционным слоем <e> | - |
1,10 |
Ячеистое стекло | Теплоизоляция |
Цилиндры Плиты | 1,00 | Слои | Средняя температура | Слои | Средняя температура | - |
50 °C | 250 °C | 50 °C | 250 °C |
Один | 1,10 | 1,20 | Один | 1,10 | 1,20 |
Два | 1,05 | 1,10 | Два | 1,05 | 1,10 |
Теплоизоляция при низких температурах |
- | Слои | Средняя температура | - | - |
Минус 100 °C | 0 °C |
Один | 1,10 | 1,10 |
Два | 1,05 | 1,05 |
Полиэтилен | Теплоизоляция |
Цилиндры Гибкие плиты | 1,00 | Толщина слоя изоляции/число слоев <k> | Средняя температура | Толщина слоя изоляции/число слоев <k> | Средняя температура | - |
10 °C | 40 °C | 10 °C | 40 °C |
10/1 | 1,10 | 1,10 | 10/1 | 1,10 | 1,10 |
20/2 | 1,15 | 1,15 | 20/2 | 1,15 | 1,15 |
30/3 | 1,15 | 1,20 | 30/3 | 1,15 | 1,20 |
Теплоизоляция при низких температурах |
Цилиндры Гибкие плиты | g | - |
- | d | | - | d | |
3000 | 5000 | 7000 | 3000 | 5000 | 7000 |
Срок службы 5 лет | 13 | 1,07 | 1,04 | 1,03 | Срок службы 5 лет | 13 | 1,03 | 1,02 | 1,01 |
19 | 1,04 | 1,02 | 1,01 | 19 | 1,01 | 1,01 | 1,00 |
32 | 1,02 | 1,00 | 1,00 | 32 | 1,00 | 1,00 | 1,00 |
Срок службы 10 лет | 13 | 1,17 | 1,09 | 1,06 | Срок службы 10 лет | 13 | 1,07 | 1,04 | 1,03 |
19 | 1,09 | 1,05 | 1,03 | 19 | 1,03 | 1,02 | 1,01 |
32 | 1,04 | 1,02 | 1,02 | 32 | 1,01 | 1,00 | 1,00 |
Гибкий вспененный эластомер | Теплоизоляция |
Цилиндры Гибкие плиты | 1,00 | 1,00 |
Теплоизоляция при низких температурах |
g | - |
- | d | | - | d | |
3000 | 5000 | 7000 | 3000 | 5000 | 7000 |
Срок службы 5 лет | 13 | 1,07 | 1,04 | 1,03 | Срок службы 5 лет | 13 | 1,03 | 1,02 | 1,01 |
19 | 1,04 | 1,02 | 1,01 | 19 | 1,01 | 1,01 | 1,00 |
32 | 1,02 | 1,00 | 1,00 | 32 | 1,00 | 1,00 | 1,00 |
Срок службы 10 лет | 13 | 1,17 | 1,09 | 1,06 | Срок службы 10 лет | 13 | 1,07 | 1,04 | 1,03 |
19 | 1,09 | 1,05 | 1,03 | 19 | 1,03 | 1,02 | 1,01 |
32 | 1,04 | 1,02 | 1,02 | 32 | 1,01 | 1,00 | 1,02 |
Пенополиуретан, уложенный на месте производства работ | Теплоизоляция |
Средняя температура 50 °C | - |
1,05 |
Теплоизоляция с пароизоляционным слоем <e> при отрицательных температурах |
|
Перлит | Теплоизоляция |
Слои | Средняя температура |
50 °C | 250 °C |
1,10 | 1,15 |
Теплоизоляция с двойной оболочкой при отрицательных температурах |
Слои | Минус 50 °C | 0 °C |
1,10 | 1,10 |
<a> Эквивалент слоя изоляции толщиной 100 мм. <b> Эквивалент слоя изоляции толщиной 200 мм. <c> Эквивалент слоя изоляции толщиной 300 мм. <d> Эквивалент слоя изоляции толщиной 50 мм. <e> Паробарьер, выполненный из паронепроницаемых материалов. <f> Равно 1,5% - 4% по объему влаги в изоляции. <g>  , средняя температура 0 °C, окружающая среда: 23 °C/50%. <h> При применении гибких плит на трубах следует применять коэффициенты, принятые для плоских поверхностей. <i> При использовании воздухонепроницаемой изоляции. <k> Следует учитывать эффект толщины, начиная с полиэтиленовой плиты толщиной 10 мм. Примечание. d - толщина стенки трубы;  - номинальный диаметр цилиндра;  - направление теплового потока. |
(справочное)
СВЕДЕНИЯ О СООТВЕТСТВИИ ЕВРОПЕЙСКИХ РЕГИОНАЛЬНЫХ СТАНДАРТОВ
ССЫЛОЧНЫМ МЕЖГОСУДАРСТВЕННЫМ СТАНДАРТАМ
Таблица ДА.1
Обозначение и наименование европейского регионального стандарта | Степень соответствия | Обозначение и наименование межгосударственного стандарта |
EN 12667:2001. Теплофизические показатели строительных материалов и изделий - Определение термического сопротивления методами горячей охранной зоны и тепломера - Изделия с высоким и средним термическим сопротивлением | MOD | ГОСТ 31925-2011 (EN 12667:2001). Материалы и изделия строительные с высоким и средним термическим сопротивлением. Методы определения термического сопротивления на приборах с горячей охранной зоной и оснащенных тепломером |
EN ISO 8497:1996. Теплоизоляция. Определение характеристик теплопереноса в цилиндрах заводского изготовления при стационарном режиме | MOD | ГОСТ 32025-2011 (EN ISO 8497:1996). Теплоизоляция. Методы определения характеристик теплопереноса в цилиндрах заводского изготовления при стационарном тепловом режиме |
EN ISO 9229:2004. Теплоизоляция - Определение терминов | MOD | ГОСТ 31913-2011 (EN ISO 9229:2007). Материалы и изделия теплоизоляционные. Термины и определения |
EN 29053:1993. Акустика - Материалы, применяемые в акустике - Определение сопротивления продуванию потоком воздуха | IDT | ГОСТ EN 29053-2011. Материалы акустические. Методы определения сопротивления продуванию потоком воздуха |
EN ISO 13787:2003. Изделия теплоизоляционные, применяемые для инженерного оборудования зданий и промышленных установок - Определение декларируемой теплопроводности | MOD | ГОСТ 31911-2011 (EN ISO 13787:2003). Изделия теплоизоляционные, применяемые для инженерного оборудования зданий и промышленных установок. Метод определения декларируемой теплопроводности |
EN 12088:1997. Теплоизоляционные изделия, применяемые в строительстве - Определение абсорбционного влагопоглощения путем диффузии в течение длительного времени | IDT | ГОСТ EN 12088-2011. Изделия теплоизоляционные, применяемые в строительстве. Метод определения диффузионного влагопоглощения в течение длительного времени |