Главная // Актуальные документы // ГОСТ (Государственный стандарт)СПРАВКА
Источник публикации
М.: Стандартинформ, 2012
Примечание к документу
Текст данного документа приведен с учетом
поправки, опубликованной в "ИУС", N 2, 2023.
Документ
введен в действие с 01.09.2012.
Название документа
"ГОСТ EN 29053-2011. Межгосударственный стандарт. Материалы акустические. Методы определения сопротивления продуванию потоком воздуха"
(введен в действие Приказом Росстандарта от 17.04.2012 N 47-ст)
"ГОСТ EN 29053-2011. Межгосударственный стандарт. Материалы акустические. Методы определения сопротивления продуванию потоком воздуха"
(введен в действие Приказом Росстандарта от 17.04.2012 N 47-ст)
агентства по техническому
регулированию и метрологии
от 17 апреля 2012 г. N 47-ст
МЕЖГОСУДАРСТВЕННЫЙ СТАНДАРТ
МАТЕРИАЛЫ АКУСТИЧЕСКИЕ
МЕТОДЫ ОПРЕДЕЛЕНИЯ СОПРОТИВЛЕНИЯ ПРОДУВАНИЮ ПОТОКОМ ВОЗДУХА
Acoustical materials.
Methods for determination of airflow resistance
(EN 29053:1993, IDT)
ГОСТ EN 29053-2011
Дата введения
1 сентября 2012 года
Цели, основные принципы и основной порядок проведения работ по межгосударственной стандартизации установлены
ГОСТ 1.0-92 "Межгосударственная система стандартизации. Основные положения" и МСН 1.01-01-2009 "Система межгосударственных нормативных документов в строительстве. Основные положения".
1. Подготовлен Некоммерческим партнерством "Производители современной минеральной изоляции "Росизол" на основе аутентичного перевода на русский язык европейского регионального стандарта, указанного в
пункте 4.
2. Внесен Техническим комитетом по стандартизации ТК 465 "Строительство".
3. Принят Межгосударственной научно-технической комиссией по стандартизации, техническому нормированию и оценке соответствия в строительстве (МНТКС) (дополнение N 1 к приложению Д протокола N 38 от 18 марта 2011 г.).
За принятие стандарта проголосовали:
Краткое наименование страны по МК (ISO 3166) 004-97 | Код страны по МК (ISO 3166) 004-97 | Сокращенное наименование национального органа государственного управления строительством |
Азербайджан | AZ | Госстрой |
Армения | AM | Министерство градостроительства |
Казахстан | KZ | Агентство по делам строительства и жилищно-коммунального хозяйства |
Киргизия | KG | Госстрой |
Молдова | MD | Министерство строительства и регионального развития |
Российская Федерация | RU | Департамент регулирования градостроительной деятельности Министерства регионального развития |
Туркмения | TM | Главгосслужба "Туркменстандартлары" |
Украина | UA | Министерство регионального развития строительства и жилищно-коммунального хозяйства |
4. Настоящий стандарт идентичен европейскому региональному стандарту EN 29053:1993 Acoustics - Materials for acoustical applications - Determination of airflow resistance (Акустика. Материалы, применяемые в акустике. Определение сопротивления продуванию потоком воздуха).
Наименование настоящего стандарта изменено относительно наименования европейского регионального стандарта для приведения в соответствие с ГОСТ 1.5
(подраздел 3.6).
Перевод с английского языка (en).
Степень соответствия - идентичная (IDT).
5.
Приказом Федерального агентства по техническому регулированию и метрологии от 17 апреля 2012 г. N 47-ст межгосударственный стандарт ГОСТ EN 29053-2011 введен в действие в качестве национального стандарта Российской Федерации с 1 сентября 2012 г.
6. Введен впервые.
Информация о введении в действие (прекращении действия) настоящего стандарта и изменений к нему публикуется в указателе "Национальные стандарты".
Информация об изменениях к настоящему стандарту публикуется в указателе (каталоге) "Национальные стандарты", а текст изменений - в информационных указателях "Национальные стандарты". В случае пересмотра или отмены настоящего стандарта соответствующая информация будет опубликована в информационном указателе "Национальные стандарты"
Настоящий стандарт применяют, если заключенные контракты или другие согласованные условия предусматривают применение теплоизоляционных материалов с характеристиками, гармонизированными с требованиями европейских региональных стандартов, а также в случаях, когда это технически и экономически целесообразно.
Настоящий стандарт распространяется на акустические пористые материалы и устанавливает требования к средствам и методике проведения испытаний по определению сопротивления продуванию потоком воздуха образцов, вырезанных из изделий, изготовленных из этих материалов.
Примечание. Публикации о характеристиках продувания материалов потоком воздуха в ламинарных и турбулентных условиях см. в
библиографии.
В настоящем стандарте применены следующие термины с соответствующими определениями:
2.1. Сопротивление продуванию потоком воздуха (airflow resistance) R, Па x с/м3: отношение разности давлений с двух сторон образца пористого материала к объемной скорости потока воздуха через образец, определяемое по формуле

,
где

- разность между давлением воздуха, проходящего через образец, и давлением атмосферного воздуха, Па;

- объемная скорость потока воздуха, проходящего через образец, м3/с.
2.2. Удельное сопротивление продуванию потоком воздуха (specific airflow resistance)

: отношение разности давлений с двух сторон образца пористого материала к линейной скорости потока воздуха через образец, определяемое по формуле

,
где R - сопротивление продуванию потоком воздуха образца, Па x с/м3;
A - площадь поперечного сечения образца, перпендикулярного к направлению потока воздуха, м2.
2.3. Удельное сопротивление потоку (для однородных материалов) (airflow resistivity) r, Па x с/м2: отношение удельного сопротивления продуванию потоком воздуха к толщине образца, определяемое по формуле

,
где

- удельное сопротивление продуванию потоком воздуха, Па x с/м;
d - толщина образца в направлении потока воздуха, м.
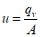
2.4. Линейная скорость потока воздуха (linear airflow velocity) u, м/с: величина, определяемая по формуле

,
где

- объемная скорость потока воздуха, проходящего через образец, м3/с;
A - площадь поперечного сечения образца, м2.
3.1. Метод определения сопротивления продуванию постоянным потоком воздуха (метод A)
Метод заключается в прохождении регулируемого однонаправленного потока воздуха через образец, имеющий форму кругового цилиндра или прямоугольного параллелепипеда, и измерении перепада давления между двумя свободными лицевыми поверхностями образца (см. рисунок 1).
Рисунок 1. Схема определения сопротивления
продуванию постоянным потоком воздуха
3.2. Метод определения сопротивления продуванию переменным потоком воздуха (метод B)
Метод заключается в прохождении медленно меняющегося потока воздуха через образец, имеющий форму кругового цилиндра или прямоугольного параллелепипеда, и измерении переменной составляющей давления в испытательном объеме, ограниченном образцом (см. рисунок 2).
Рисунок 2. Схема определения сопротивления продуванию
переменным потоком воздуха
(метод B) - основной принцип
4.1. Средства испытания, применяемые в
методе A
a) Измерительная камера, в которую помещают образец для испытания.
b) Устройство, создающее постоянный поток воздуха.
c) Прибор для измерения объемной скорости потока воздуха.
d) Прибор для измерения разности давлений воздуха, проходящего через образец.
e) Прибор для измерения толщины образца, помещенного в измерительную камеру. Схема установки для проведения испытания по
методу A приведена на рисунке 3.
Рисунок 3. Схема установки с цилиндрической измерительной
камерой для определения сопротивления продуванию по
методу A
4.1.1. Измерительная камера
Измерительная камера должна иметь форму кругового цилиндра или прямоугольного параллелепипеда. Схема установки с цилиндрической измерительной камерой приведена на
рисунке 3.
Если поперечное сечение камеры имеет форму круга, то ее внутренний диаметр должен превышать 95 мм.
Поперечное сечение камеры, имеющей форму прямоугольного параллелепипеда, должно быть предпочтительно квадратное. В этом случае длина стороны квадрата должна быть не менее 90 мм.
Полная высота камеры должна быть такой, чтобы в ней создавался ламинарный однонаправленный поток воздуха, входящий в образец и выходящий из него.
Высота камеры должна быть не менее чем на 100 мм больше толщины образца.
Образец должен располагаться внутри измерительной камеры (если необходимо, то на перфорированном держателе) достаточно высоко над ее основанием. Перфорированный держатель должен иметь равномерно распределенные отверстия, суммарная площадь которых должна быть не менее 50% площади держателя. Диаметр отверстий в держателе должен быть не менее 3 мм.
Примечание. Допускается в отдельных случаях увеличивать суммарную площадь отверстий, чтобы не ограничивать поток воздуха, проходящий через образец.
Места соединения приборов для измерения давления и объемной скорости потока воздуха с камерой должны быть герметичными, не допускать утечек воздуха и располагаться ниже перфорированного держателя.
4.1.2. Устройство, создающее поток воздуха
Рекомендуется использовать устройства, позволяющие создавать пониженное давление воздуха, например, водоструйный или вакуумный насос.
Допускается использовать системы нагнетания, создающие повышенное давление (воздушный компрессор и т.д.), при условии, что они не будут загрязнять воздух, поступающий в образец.
Устройство, создающее поток воздуха, должно обеспечивать регулирование потока воздуха и его стабильность в нижней части измерительной камеры.
Устройство должно также обеспечивать такую интенсивность потока воздуха, чтобы его скорость была достаточно низкой для обеспечения измерения сопротивления продуванию независимо от скорости.
Рекомендуется использовать устройство, обеспечивающее снижение скорости потока воздуха не более

.
4.1.3. Прибор для измерения объемной скорости потока воздуха
Прибор для измерения объемной скорости потока воздуха устанавливают между устройством, создающим поток, и образцом, находящимся внутри измерительной камеры, как можно ближе к образцу.
Прибор должен обеспечивать измерение объемной скорости потока воздуха с погрешностью +/- 5% установленного значения.
4.1.4. Прибор для измерения разности давлений
Прибор должен обеспечивать измерение снижения разности давлений до минимального значения, равного 0,1 Па, с погрешностью +/- 5% установленного значения.
4.2. Средства испытания, применяемые в
методе B
a) Измерительная камера, в которую помещают образец.
b) Устройство, создающее переменный поток воздуха.
c) Прибор для измерения переменной составляющей давления в испытательном объеме, ограниченном образцом.
d) Прибор для измерения толщины образца, помещенного в измерительную камеру.
Примеры измерительных камер с разными держателями для образцов приведены на рисунках 4 и
5.
Рисунок 4. Измерительная камера, снабженная держателем
для образца, изготовленного из волокнистого, сыпучего
материала или материала плотной структуры
(метод B)
Рисунок 5. Измерительная камера с держателем
4.2.1. Измерительная камера
Измерительная камера должна состоять из двух частей:
a) держателя для образца;
Обе части измерительной камеры должны иметь форму кругового цилиндра или прямоугольного параллелепипеда.
Если поперечное сечение держателя для образца имеет форму круга, то его внутренний диаметр должен быть более 95 мм.
Поперечное сечение прямоугольного держателя для образца должно быть предпочтительно квадратным. Длина стороны квадрата должна быть не менее 90 мм.
Площадь поперечного сечения испытательного объема должна быть равна площади поперечного сечения держателя для образца.
Образец должен находиться внутри держателя (или на перфорированной опоре, если необходимо). Нижняя лицевая поверхность образца должна ограничивать испытательный объем измерительной камеры. Держатель для образца (если применяется) должен иметь равномерно распределенные отверстия суммарной площадью не менее 50% площади опоры. Диаметр отверстий в держателе должен быть не менее 3 мм.
Примечание. В отдельных случаях необходимо увеличивать суммарную площадь отверстий, чтобы не ограничивать поток воздуха, проходящий через образец. В этом случае сопротивление продуванию потоком воздуха держателя (измеренное при расходе воздуха, превышающем максимальный расход воздуха при испытании образца) должно быть менее 1% значения сопротивления продуванию испытуемого образца.
4.2.2. Устройство, создающее переменный поток воздуха
Переменный поток воздуха создают поршнем, совершающим синусоидальные колебания частотой примерно 2 Гц. Среднеквадратическое значение объемной скорости переменного потока воздуха

, м3/с, определяют по формуле

, (1)
где f - частота колебания поршня, Гц;
h - ход поршня (двойная амплитуда смещения), м;

- площадь поперечного сечения поршня, м2.
Среднеквадратическое значение линейной скорости потока воздуха

, м/с, определяют по формуле

, (2)
где

- среднеквадратическое значение объемной скорости переменного потока воздуха, м3/с;
A - площадь поперечного сечения образца, м2.
Рекомендуется использовать диапазон значений

от 0,5 до 4 мм/с.
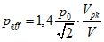
Переменное давление под держателем с образцом измеряют с помощью конденсаторного микрофона, соединенного с измерительным прибором. Измерительный прибор калибруют с помощью поршневого калибратора, соединенного с испытательным объемом, в который помещен образец. При калибровании держатель с образцом герметизируют. При проведении измерений держатель с образцом и соединение поршневого калибратора с испытательным объемом герметизируют. Переменное давление, создаваемое поршневым калибратором

, Па, определяют по формуле

, (3)
где

- атмосферное давление, Па;

- произведение амплитуды на площадь поперечного сечения поршневого калибратора, м3;
V - объем измерительной камеры, м3.
Измерительный прибор калибруют в абсолютных единицах давления. При постоянной амплитуде колебаний поршня шкала показывает непосредственно удельное сопротивление продуванию потоком воздуха, Па x с/см.
Диаметр поршня калибратора должен быть равен приблизительно 10 мм, а его ход - 5 мм.
Примечание. Сравнение результатов испытания образца с известным удельным сопротивлением продуванию показывает, что при колебаниях поршня с частотой 2 Гц давление в измерительной камере изменяется почти адиабатически.
4.3. Прибор для измерения толщины образца
Держатель образца должен быть снабжен микрометром или другим индикаторным прибором, обеспечивающим измерение толщины образца с погрешностью +/- 2,5% измеренного значения.
5.1. Форма образцов
Образцы могут иметь форму кругового цилиндра или прямоугольного параллелепипеда в зависимости от типа применяемой измерительной камеры.
5.2. Размеры образцов
5.2.1. Поперечные размеры
При испытании мягких сжимаемых материалов, таких как волокнистые материалы или мягкие пенопласты, подготовку образцов к испытанию следует проводить так, чтобы снизить вероятность утечки воздуха вдоль боковых граней образца. В этих случаях поперечные размеры образцов должны слегка превышать внутренние поперечные размеры измерительной камеры.
Размеры образцов из жестких материалов должны быть такими же, что и размеры измерительной камеры.
Примечание. При проведении испытания не допускается нарушение формы образца.
5.2.2. Толщина
Толщину образцов выбирают такой, чтобы полученные перепады давления могли быть измерены. Толщина образцов должна быть соизмеримой с высотой измерительной камеры.
Если толщина образцов не достаточна для создания соответствующего перепада давления, то используют составные образцы, изготовленные не более чем из пяти образцов, наложенных друг на друга.
5.3. Число образцов
Для изготовления образцов отбирают не менее трех изделий; из каждого изделия вырезают по три образца.
6. Методика проведения испытания
6.1. Образец, подготовленный в соответствии с
разделом 5, помещают в измерительную камеру.
6.2. Герметизируют зазоры между боковыми гранями образца и стенками измерительной камеры. Для герметизации жестких образцов допускается использовать вазелин.
6.3. Прибор для измерения толщины образцов приводят в соприкосновение с верхней поверхностью образца, слегка сжимая его (если необходимо).
6.4. Измеряют толщину образца и результат измерения используют для определения объема и плотности образца в свободном или сжатом состоянии.
6.5. Акустические материалы, удельное сопротивление продуванию которых увеличивается при увеличении линейной скорости потока воздуха, следует испытывать при наименьшей возможной скорости потока воздуха. Нижний предел линейной скорости потока воздуха u рекомендуется принимать равным

. Данное значение скорости соответствует звуковому давлению 0,2 Па (80 дБ относительно опорного значения

).
При испытании по
методу A перепад давления

измеряют или при

или ступенчато снижая до нижнего предела линейную скорость потока воздуха.
Удельное сопротивление продуванию потоком воздуха определяют в соответствии с
2.2.
В случае ступенчатого снижения скорости потока воздуха для каждого образца строят график зависимости удельного сопротивления продуванию от линейной скорости потока воздуха. По графику определяют удельное сопротивление продуванию при

методом графического усреднения или (если необходимо) экстраполированием до указанного значения.
При испытании по
методу В удельное сопротивление продуванию определяют, как правило, при среднеквадратической скорости

, равной

. В других случаях следует использовать
метод A, применяя ступенчатое снижение линейной скорости потока воздуха до нижнего предела.
Для установления точности применяемых методов предполагается проведение межлабораторных испытаний.
Отчет об испытаниях, кроме результатов, полученных для образцов в соответствии с
6.5, их средних и других статистических параметров (значение среднеквадратического отклонения и т.д.) (если они необходимы в соответствии со стандартом на конкретное изделие), должен содержать:
a) ссылку на настоящий стандарт;
b) сведения о материале, из которого изготовлено изделие, его плотность с указанием стандарта на метод определения плотности;
c) применяемый метод и минимальное значение линейной скорости потока воздуха при определении сопротивления продуванию;
d) условия испытания, например, форму и размеры измерительной камеры;
e) методику подготовки образца к испытанию;
f) число образцов и размеры их поперечного сечения;
g) размещение оси образца по отношению к направлению осей изделия, из которого вырезан образец (если необходимо);
h) наличие и вид покрытия;
i) толщину и плотность образцов в процессе испытания;
j) любые отклонения от требований, приведенных в настоящем стандарте, которые могли бы повлиять на результаты испытания.
[1] | ISO 4638:1984 Polymeric materials, cellular flexible - Determination of air flow permeability |
[2] | Gremer, L., Die wissenschaftlichen Grundlangen der Raumakustik (The scientific fundamental principles of room acoustics), vol. 3, Leipzig: S. Hirzel Verlag, 1950 |
[3] | Kraak, W., Der dynamische  kurzer  . Hochfreguenztechnik und Elektroakustik, 65 (10), 1956: p. 46 |
[4] | Reichardt, W., Grundlagen der Elektroakustik, 2nd ed., Leipzig: Akademische Verlagsgesellschaft Geest & Portig, 1954 |
[5] | Weber, K., Apparaturzur Messung kleiner  , Diplomarbeit am Institutfur Elektround Bauakustik der Technischen Hochschule, Dresden, 1957 |
[6] | James, E.A.J., Gas dynamics, Boston: Allyn and Bacon, 1969 |
[7] | Zwikker, C., and Kosten, C.W., Sound absorbing materials, Amsterdam: Elsevier, 1949 |
[8] | Brown, R.L. and Bolt, The measurement of flow resistance of porous acoustic material. J. Acoust. Soc. Am., 13(4), 1942: pp. 337 - 344 |