Главная // Актуальные документы // ГОСТ (Государственный стандарт)СПРАВКА
Источник публикации
М.: Стандартинформ, 2014
Примечание к документу
Текст данного документа приведен с учетом
поправки, опубликованной в "ИУС", N 2, 2023.
Документ
введен в действие с 01.11.2013.
Название документа
"ГОСТ 31925-2011 (EN 12667:2001). Межгосударственный стандарт. Материалы и изделия строительные с высоким и средним термическим сопротивлением. Методы определения термического сопротивления на приборах с горячей охранной зоной и оснащенных тепломером"
(введен в действие Приказом Росстандарта от 17.06.2013 N 160-ст)
"ГОСТ 31925-2011 (EN 12667:2001). Межгосударственный стандарт. Материалы и изделия строительные с высоким и средним термическим сопротивлением. Методы определения термического сопротивления на приборах с горячей охранной зоной и оснащенных тепломером"
(введен в действие Приказом Росстандарта от 17.06.2013 N 160-ст)
агентства по техническому
регулированию и метрологии
от 17 июня 2013 г. N 160-ст
МЕЖГОСУДАРСТВЕННЫЙ СТАНДАРТ
МАТЕРИАЛЫ И ИЗДЕЛИЯ СТРОИТЕЛЬНЫЕ
С ВЫСОКИМ И СРЕДНИМ ТЕРМИЧЕСКИМ СОПРОТИВЛЕНИЕМ
МЕТОДЫ ОПРЕДЕЛЕНИЯ ТЕРМИЧЕСКОГО СОПРОТИВЛЕНИЯ
НА ПРИБОРАХ С ГОРЯЧЕЙ ОХРАННОЙ ЗОНОЙ
И ОСНАЩЕННЫХ ТЕПЛОМЕРОМ
Building materials and products of high and medium thermal
resistance. Methods of determination of thermal resistance
by means of guarded hot plate and heat flow meter
(EN 12667:2001, MOD)
ГОСТ 31925-2011
(EN 12667:2001)
Дата введения
1 ноября 2013 года
Цели, основные принципы и основной порядок проведения работ по межгосударственной стандартизации установлены
ГОСТ 1.0-92 "Межгосударственная система стандартизации. Основные положения" и
ГОСТ 1.2-2009 "Межгосударственная система стандартизации. Стандарты межгосударственные, правила и рекомендации по межгосударственной стандартизации. Правила разработки, принятия, применения, обновления и отмены".
1. Подготовлен Некоммерческим партнерством "Производители современной минеральной изоляции "Росизол" на основе аутентичного перевода на русский язык европейского регионального стандарта, указанного в
пункте 4.
2. Внесен Техническим комитетом по стандартизации ТК 465 "Строительство".
3. Принят Межгосударственной научно-технической комиссией по стандартизации, техническому нормированию и оценке соответствия в строительстве (Протокол N 39 от 8 декабря 2011 г., приложение Д).
За принятие стандарта проголосовали:
Краткое наименование страны по МК (ИСО 3166) 004-97 | Код страны по МК (ИСО 3166) 004-97 | Сокращенное наименование национального органа государственного управления строительством |
Азербайджан | AZ | Государственный комитет градостроительства и архитектуры |
Армения | AM | Министерство градостроительства |
Казахстан | KZ | Агентство по делам строительства и жилищно-коммунального хозяйства |
Киргизия | KG | Госстрой |
Молдова | MD | Министерство строительства и регионального развития |
Россия | RU | Министерство регионального развития |
Таджикистан | TJ | Агентство по строительству и архитектуре при Правительстве |
Туркмения | TM | Главгосслужба "Туркменстандартлары" |
Узбекистан | UZ | Госархитектстрой |
Украина | UA | Министерство регионального развития, строительства и жилищно-коммунального хозяйства |
4. Настоящий стандарт модифицирован по отношению к европейскому региональному стандарту EN 12667:2001. Thermal performance of building materials and products - Determination of thermal resistance by means of guarded hot plate and heat flow meter methods - Products of high and medium thermal resistance (Теплофизические показатели строительных материалов и изделий. Определение термического сопротивления методами горячей охранной зоны и тепломера. Изделия с высоким и средним термическим сопротивлением) путем внесения изменений, сведения о которых приведены во введении к настоящему стандарту.
Наименование настоящего стандарта изменено относительно наименования европейского регионального стандарта для приведения в соответствие с ГОСТ 1.5-2001
(подраздел 3.6).
Перевод с английского языка (en).
Степень соответствия - модифицированная (MOD).
Структура настоящего стандарта изменена по отношению к указанному европейскому региональному стандарту. Сравнение структуры настоящего стандарта со структурой европейского регионального стандарта приведено в дополнительном Приложении ДА.
5.
Приказом Федерального агентства по техническому регулированию и метрологии от 17 июня 2013 г. N 160-ст межгосударственный стандарт ГОСТ 31925-2011 введен в действие в качестве национального стандарта Российской Федерации с 1 ноября 2013 года.
6. Введен впервые.
Информация об изменениях к настоящему стандарту публикуется в ежегодном информационном указателе "Национальные стандарты", а текст изменений и поправок - в ежемесячном информационном указателе "Национальные стандарты". В случае пересмотра (замены) или отмены настоящего стандарта соответствующее уведомление будет опубликовано в ежемесячном информационном указателе "Национальные стандарты". Соответствующая информация, уведомление и тексты размещаются также в информационной системе общего пользования - на официальном сайте Федерального агентства по техническому регулированию и метрологии в сети Интернет.
Показатели, характеризующие процесс теплопереноса через строительные материалы и изделия, могут быть определены различными стандартизованными методами, выбор которых зависит от характеристик образцов, изготовленных из этих материалов и изделий. В настоящем стандарте приведены два метода определения теплофизических характеристик: на приборах с горячей охранной зоной и на оснащенных тепломером при проведении испытаний с учетом однородности структуры образцов, ограничений по толщине и других требований, приведенных в настоящем стандарте.
Настоящий стандарт содержит общую информацию о применяемых приборах, требования к конструктивным решениям приборов, а также требования к порядку проведения испытаний образцов материалов с высоким и средним термическим сопротивлением (не менее 0,5 (м2·К)/Вт).
Настоящий стандарт модифицирован по отношению к европейскому региональному стандарту путем:
- исключения из
раздела "Нормативные ссылки" и текста европейского стандарта ссылок на следующие международные и европейские стандарты, не принятые в качестве межгосударственных стандартов: ISO 8301:1991, ISO 8302:1991, EN 1946-2:1999, EN 1946-3:1999, EN 12664, ISO 7345;
- дополнения
раздела "Нормативные ссылки" и включения в текст стандарта ссылки на
ГОСТ 31924 (ЕН 12939:2000);
- замены ссылки на ISO 7345 терминами, применяемыми в области теплотехнических испытаний. Термины с соответствующими определениями выделены в тексте стандарта рамкой из тонких линий;
- исключения из текста европейского стандарта
раздела A.1 Приложения A, который носит справочный характер и не содержит конкретных требований к процедуре испытаний;
- внесения в текст настоящего стандарта дополнительных требований для уточнения отдельных положений европейского стандарта, выделенных в тексте стандарта курсивом.
Сопоставление структуры настоящего стандарта со структурой примененного европейского стандарта приведено в дополнительном
Приложении ДА.
Настоящий стандарт распространяется на строительные материалы и изделия с термическим сопротивлением не менее 0,5 (м2·К)/Вт и устанавливает основные принципы и порядок проведения испытаний по определению термического сопротивления на приборах с горячей охранной зоной или оснащенных тепломером в диапазоне от минимальной температуры холодильника минус 100 °C до максимальной температуры нагревателя плюс 100 °C.
Настоящий стандарт устанавливает требования к техническим характеристикам и конструктивным решениям приборов, применяемых для определения теплофизических показателей строительных материалов и изделий.
Требования настоящего стандарта при условии их выполнения могут быть использованы для испытания любого (не строительного) материала.
Настоящий стандарт не распространяется на влажные изделия, обладающие любым термическим сопротивлением, или изделия большой толщины с высоким и средним термическим сопротивлением.
В настоящем стандарте использована ссылка на следующий межгосударственный стандарт:
ГОСТ 31924-2011 (EN 12939:2000). Материалы и изделия строительные большой толщины с высоким и средним термическим сопротивлением. Методы определения термического сопротивления на приборах с горячей охранной зоной и оснащенных тепломером (EN 12939:2000 "Теплофизические показатели строительных материалов и изделий - Определение термического сопротивления методом горячей охранной зоны и методом тепломера - Изделия большой толщины, обладающие высоким и средним термическим сопротивлением", MOD).
Примечание. При пользовании настоящим стандартом целесообразно проверить действие ссылочных стандартов в информационной системе общего пользования - на официальном сайте Федерального агентства по техническому регулированию и метрологии в сети Интернет или по ежегодному информационному указателю "Национальные стандарты", который опубликован по состоянию на 1 января текущего года, и по выпускам ежемесячного информационного указателя "Национальные стандарты" за текущий год. Если ссылочный стандарт заменен (изменен), то при пользовании настоящим стандартом следует руководствоваться заменяющим (измененным) стандартом. Если ссылочный стандарт отменен без замены, то положение, в котором дана ссылка на него, применяется в части, не затрагивающей эту ссылку.
3. Термины, определения и обозначения
3.1. Термины и определения
В настоящем стандарте применены следующие термины с соответствующими определениями:
3.1.1. Термическое сопротивление: отношение разности температур поверхностей лицевых граней образца к плотности теплового потока, проходящего через образец в условиях стационарного теплового режима. 3.1.2. Удельное термическое сопротивление: величина, определяемая соотношением grad T = -rq. 3.1.3. Теплоемкость: количество теплоты, передаваемое массе материала при повышении его температуры на 1 °C. 3.1.4. Удельная теплоемкость: отношение теплоемкости материала к его массе. 3.1.5. Тепловой поток: количество теплоты, проходящее через конструкцию или среду в единицу времени. 3.1.6. Плотность теплового потока: количество теплоты, проходящее через единицу площади образца. 3.1.7. Контактное термическое сопротивление: термическое сопротивление, возникающее на границе рабочих поверхностей плит прибора и испытуемого образца вследствие неплотного прилегания. |
Термины, применяемые при описании процедуры измерения теплофизических показателей изделий с высоким и средним термическим сопротивлением, приведены в
Приложении A.
3.2. Обозначения и единицы измерения
Обозначения характеристик и единицы измерения приведены в таблице 1.
Таблица 1
Обозначения характеристик и единицы измерения
Обозначение | Характеристика | Единица измерения |
A | Общая площадь зоны измерения | м2 |
| Площадь дефекта | м2 |
| Площадь зоны измерения без учета площади дефектов | м2 |
R | Термическое сопротивление | м2·К/Вт |
J | Коэффициент теплопередачи | Вт/(м·К) |
| Температура горячей лицевой грани образца | К |
| Температура холодной лицевой грани образца | К |
| Средняя температура образца в процессе испытания  | К |
V | Объем | м3 |
c | Удельная теплоемкость | Дж/(кг·К) |
d | Толщина; средняя толщина образца | м |
e | Соотношение температур у боковых граней образца | - |
| Выходное напряжение тепломера | мВ |
f | Градуировочный коэффициент тепломера | Вт/(мВ·м2) |
m | Масса (образца) | кг |
q | Плотность теплового потока | Вт/м2 |
r | Удельное термическое сопротивление | К·м/Вт |
| Приращение термического сопротивления | м2·К/Вт |
| Разность температур  | К |
| Приращение толщины | м |
| Относительное изменение массы | - |
| Временной интервал | с |
Ф | Тепловой поток | Вт |
| Теплопроводность | Вт/(м·К) |
| Коэффициент теплопропускания | Вт/(м·К) |
| Пористость | - |
| Локальная пористость | - |
| Плотность | кг/м3 |
4.1. Сущность методов заключается в определении плотности постоянного однонаправленного теплового потока, проходящего через однородный образец, имеющий форму прямоугольного параллелепипеда с плоскими параллельными лицевыми гранями, на приборе с горячей охранной зоной или оснащенном тепломером.
При испытании все измерения проводят в центральной части рабочих плит прибора (зоне измерения), окруженной охранной зоной.
4.2. Плотность теплового потока q определяют после установления в зоне измерения стационарного теплового режима на основании результатов измерения теплового потока Ф и общей площади зоны измерения A, через которую проходит тепловой поток.
4.3. Разность температур лицевых граней испытуемого образца

измеряют с помощью датчиков температуры, установленных на рабочих поверхностях плит прибора, которые соприкасаются с лицевыми гранями образца, и/или на лицевых гранях самого образца.
4.4. Термическое сопротивление R или коэффициент теплопередачи J вычисляют на основании значений плотности теплового потока q, общей площади зоны измерения A и разности температур лицевых граней образца, если выполнены условия, изложенные в
A.2.1 -
A.2.3 Приложения A.
Для определения коэффициента теплопередачи дополнительно измеряют толщину образца d.
4.5. Среднее значение теплопроводности

или коэффициента теплопропускания

вычисляют при условии выполнения требований, изложенных в
A.3.3 Приложения A.
4.6. Прибор, применяемый для проведения испытаний, должен поддерживать однонаправленную, постоянную во времени и равномерную по площади плотность теплового потока, проходящего через образец, а также обеспечивать измерение мощности, температуры и размеров образца с требуемой точностью (см.
Приложение A).
4.7. При одновременном испытании двух образцов должны выполняться требования к геометрической форме, идентичности по толщине и структуре, плоскостности и параллельности лицевых граней образцов (см.
Приложение A).
4.8. Общая погрешность определения термического сопротивления

методами, приведенными в настоящем стандарте, не должна превышать +/- 5%.
5.1. Для определения термического сопротивления применяют прибор с горячей охранной зоной или оснащенный тепломером. Технические характеристики прибора с горячей охранной зоной и условия испытаний должны соответствовать требованиям, приведенным в
Приложении B; прибора, оснащенного тепломером, - в
Приложении C.
Примеры конструктивных решений приборов приведены в
Приложении D. Если конструктивное решение применяемого прибора соответствует приведенному в
Приложении D, анализ погрешностей измерений допускается не проводить.
5.2. Прибор с горячей охранной зоной
5.2.1. При проведении испытаний на приборе с горячей охранной зоной плотность теплового потока, проходящего через образец, определяют на основании результатов измерения мощности, поступающей на нагреватель зоны измерения. Общие схемы прибора с горячей охранной зоной и с установленными в нем образцами показаны на
рисунке 1.
a) Прибор для одновременного испытания двух образцов
b) Прибор для испытания одного образца
A - нагреватель зоны измерения;
B - плиты нагревателя зоны измерения;
C - нагреватель охранной зоны;
D - плиты нагревателя охранной зоны;
E - холодильник;

- плиты холодильника;
F - дифференциальные термопары;
G - термопары, установленные на поверхности плит нагревателя;
H - термопары, установленные на поверхности плит холодильника;
I - испытуемый образец;
L - охранная плита;
M - теплоизоляция охранной плиты;
N - дифференциальные термопары, установленные на охранной плите
1 - охранная зона; 2 - зона измерения
Примечание. Зазор разделяет зоны измерения (A и B) и охранные зоны (C и D).
Рисунок 1. Общие схемы прибора
с горячей охранной зоной
Для испытаний могут применяться два типа прибора с горячей охранной зоной:
- прибор для одновременного испытания двух образцов [с центральным нагревателем, см.
рисунок 1 a)];
5.2.2. Прибор для одновременного испытания двух образцов должен быть оборудован нагревателем, состоящим из нагревательного элемента и металлических плит круглой или квадратной формы и расположенным между двумя идентичными образцами, и двумя холодильниками, представляющими собой плоские круглые или квадратные плиты с изотермичными рабочими поверхностями.
5.2.3. Прибор для испытания одного образца является модификацией прибора для одновременного испытания двух образцов, в котором один из образцов заменен сборным элементом, состоящим из слоя теплоизоляционного материала и охранной плиты. Разность температур поверхностей слоя теплоизоляционного материала должна быть равна нулю.
После завершения испытаний в отчете об испытаниях должно быть отмечено, что измерения выполнены методом горячей охранной зоны на приборе с одним образцом.
5.2.4. Нагреватель прибора с горячей охранной зоной должен создавать однонаправленный, постоянный во времени тепловой поток однородной плотности, проходящий через центральную зону измерения, окруженную охранной зоной, отделенной от центральной зоны узким зазором.
5.2.5. Зона измерения - центральная часть образца, ограниченная линиями (см.
рисунок 1), проходящими посредине зазора между центральной и охранной зонами нагревателя.
Толщина образцов, испытываемых в соответствии с требованиями настоящего стандарта, должна не менее чем в десять раз превышать ширину зазора.
5.2.6. Если измерения проводят при температуре выше или ниже комнатной, должны быть предусмотрены дополнительная теплоизоляция боковых граней образца и (или) дополнительные охранные зоны.
5.2.7. Размеры плит холодильников должны быть не меньше суммы размеров плит нагревателя зоны измерения и плит нагревателя охранной зоны. Плиты холодильников должны быть изготовлены из металла, при этом температура рабочей поверхности плит холодильников должна быть постоянной во времени и равномерной.
5.2.8. Погрешность измерения теплофизических показателей изделий с высоким и средним термическим сопротивлением на приборе с горячей охранной зоной не должна превышать +/- 2%, если требования к техническим характеристикам прибора и условиям испытаний соответствуют требованиям настоящего стандарта, в том числе приведенным в
Приложении B.
Повторяемость результатов последовательных измерений, проведенных на приборе с горячей охранной зоной при постоянных условиях испытания на одном и том же образце, который не извлекался из прибора, должна быть лучше чем +/- 0,5%.
Повторяемость результатов последовательных измерений, проведенных на приборе с горячей охранной зоной при постоянных условиях испытания на одном и том же образце, который после первого измерения извлекался из прибора и затем вторично помещался в прибор, должна быть лучше чем +/- 1%.
Примечание. Ухудшение повторяемости может быть вызвано незначительными изменениями условий испытания, например изменением давления плит прибора на образец, относительной влажности воздуха вокруг образца.
5.3. Прибор, оснащенный тепломером
5.3.1. При проведении испытаний на приборе, оснащенном тепломером, плотность теплового потока измеряют одним или двумя тепломерами, которые контактируют с лицевыми гранями образца(ов).
Основными элементами прибора являются: нагреватель, один или два тепломера (в зависимости от числа одновременно испытываемых образцов) и холодильник (см.
рисунок 2). Испытания на приборе, оснащенном тепломером, могут проводиться по схемам, представленным на
рисунке 2:
2 a) - асимметричная схема для испытания одного образца. Тепломер расположен так, что он соприкасается или с нагревателем, или с холодильником;
2 b) - симметричная схема для испытания одного образца;
2 c) - симметричная схема для одновременного испытания двух образцов. Испытуемые образцы должны быть идентичными;
2 d) - схема с двумя тепломерами для одновременного испытания двух образцов;
2 e) - схема с двумя тепломерами для одновременного испытания четырех образцов.
U', U" - холодильники и нагреватели; H, H', H" - тепломеры;
S, S', S" - образцы
Рисунок 2. Типовые схемы испытания на приборе,
оснащенном тепломером (тепломерами)
Результаты испытаний по приведенным схемам считают эквивалентными, если выполнены все требования настоящего стандарта к процедуре испытаний.
5.3.2. Тепломеры, применяемые для измерения плотности теплового потока, проходящего через образец(цы), состоят из слоя однородного материала, датчика разности температур лицевых граней этого слоя (термоэлектрические батареи) и датчика(ов) температуры лицевых граней тепломера. Зона тепломера, в которой расположен датчик разности температур его лицевых граней, является зоной измерения.
Плотность теплового потока q, Вт/м2, проходящего через зону измерения тепломера, вычисляют по формуле

, (1)
где f - калибровочный коэффициент (коэффициент пропорциональности между выходным напряжением тепломера

и плотностью теплового потока q);

- выходное напряжение тепломера, мВ.
Примечание. Калибровочный коэффициент f не является строго постоянной величиной и зависит от температуры лицевых граней тепломера и плотности теплового потока.
5.3.3. Калибровку тепломера проводят с помощью стандартного(ых) образца(ов), измеряя термическое сопротивление испытуемого(ых) образца(ов) и стандартного образца и вычисляя отношение между измеренными величинами, при условии, что в процессе калибровки прибора и испытания образцов плотность теплового потока, проходящего через зону измерения, разность температур

лицевых граней и средняя температура

каждого образца будут постоянными во времени, при этом выполняется соотношение

, (2)
где

- термическое сопротивление испытуемого(ых) образца(ов), м2·К/Вт;

- термическое сопротивление стандартного(ых) образца(ов), м2·К/Вт;

- тепловой поток, проходящий через стандартный(ые) образец(ы), Вт;

- тепловой поток, проходящий через испытуемый(ые) образец(цы), Вт.
Примечание. В качестве стандартных образцов могут применяться образцы, изготовленные из оптического кварцевого или органического стекла, минеральной ваты и др.
Погрешность калибровки прибора, оснащенного тепломером, в зависимости от погрешности определения теплофизических показателей стандартных образцов не должна превышать +/- 2%.
Примечание. Погрешность калибровки может быть обусловлена погрешностью измерений теплофизических показателей стандартных образцов, которые были проведены на приборе с горячей охранной зоной.
5.3.4. При проведении испытаний на приборе с тепломером значение плотности теплового потока через образец должно находиться в пределах диапазона, в котором выполнена градуировка.
В случае если установлена зависимость калибровочного коэффициента f от температуры, экстраполирование этой зависимости не допускается.
5.3.5. Погрешность измерений теплофизических показателей на приборе, оснащенном тепломером, выполненных при средней температуре образца, приблизительно равной комнатной температуре, не должна превышать +/- 3% при условии выполнения требований, изложенных в
Приложении C.
Повторяемость результатов последовательных измерений, проведенных на приборе, оснащенном тепломером, при постоянных условиях испытания на одном и том же образце, который не извлекался из прибора, должна быть лучше чем +/- 0,5%.
Повторяемость результатов последовательных измерений, проведенных на приборе, оснащенном тепломером, при постоянных условиях испытания на образце, который после первого измерения извлекался из прибора и затем вторично помещался в прибор через значительный интервал времени, должна быть лучше чем +/- 1%.
6.1. Общие положения
Процедура проведения испытаний включает в себя подготовку образцов к испытаниям и измерения в соответствии с требованиями
раздела 7.
Решения о возможности измерения теплофизической характеристики на имеющемся приборе, порядке подготовки образцов к испытанию и условиях испытания должны приниматься до начала испытаний (см.
A.4 Приложения A).
6.2. Отбор и размеры образцов
Для проведения испытаний из каждой выборки изделий отбирают один или два образца в зависимости от типа применяемого прибора (см.
5.2.2 или
5.2.3 для прибора с горячей охранной зоной,
5.3.1 - для прибора, оснащенного тепломером).
Образец(цы) должен(ны) соответствовать требованиям, изложенным в
A.2 и
A.3 Приложения A. При одновременном испытании двух образцов образцы должны быть (по возможности) идентичными, разность между значениями толщин образцов не должна превышать 2%.
Размеры лицевых граней образца(ов) должны быть такими, чтобы образец(цы) полностью закрывал(и) рабочие поверхности плит нагревателя (включая охранную зону). Линейные размеры образца(ов) не должны превышать соответствующих размеров рабочих поверхностей плит нагревателя или тепломера более чем на 3%. Толщина(ны) образца(ов) должна(ны) соответствовать толщине изделия, указанной в стандарте или технических условиях на это изделие.
Соотношение между толщиной образца и размерами плит нагревателя должно быть таким, чтобы сумма погрешности, вызванной разбалансом (только для прибора с горячей охранной зоной), и погрешности, возникающей вследствие боковых теплопотерь, не превышала 0,5%. Максимальные и минимальные допустимые значения толщины образцов приведены в
таблице A.1 Приложения A.
6.3. Подготовка образцов к испытанию
6.3.1. Подготовка образцов к испытанию должна проводиться в соответствии с требованиями стандарта или технических условий на изделие конкретного вида. Если в стандарте или технических условиях на изделие отсутствуют указания по подготовке образцов к испытанию, то должны быть выполнены требования
6.3.2 и
6.3.3 настоящего стандарта.
6.3.2. Подготовка к испытанию образцов всех материалов (кроме сыпучих)
6.3.2.1. Поверхности лицевых граней испытуемых образцов должны быть выровнены, например обработкой наждачной бумагой, на токарном станке, шлифованием или с помощью тонких листов, помещенных между лицевыми гранями образца и рабочими поверхностями плит прибора, для обеспечения плотного контакта лицевых граней образца с рабочими поверхностями плит прибора. Максимальная допустимая толщина воздушного зазора между рабочими поверхностями плит прибора и лицевыми гранями образца приведена в
таблице A.2 Приложения A.
6.3.2.2. Лицевые грани образцов, изготовленных из жестких материалов, должны быть параллельными. Отклонение от параллельности граней не должно быть более 2% толщины образца.
6.3.2.3. Лицевые грани образцов, контактирующие с рабочими поверхностями плит прибора, должны быть такими же плоскими, как и поверхности плит прибора, что должно обеспечивать погрешность измерения толщины образца не более 0,5%.
Отклонение лицевых граней образцов от плоскостности измеряют поверочной линейкой, помещенной на поверхность лицевой грани образца так, чтобы источник света находился за линейкой и свет падал по касательной к поверхности лицевой грани (отклонение кромки поверочной линейки от прямой линии не должно быть более 0,01 мм). Видимыми являются отклонения 25 мкм и более. Отклонения 25 мкм и более измеряют толщиномером и поверочной линейкой. При измерении поверочная линейка должна опираться на две жесткие пластины толщиной не более 1 мм, помещенные у каждого края поверхности образца, подлежащей измерению. Измерения проводят вдоль четырех кромок лицевой грани образца, двух диагоналей и двух взаимно перпендикулярных линий, проходящих через середину грани образца параллельно ее кромкам. Отклонение от плоскостности образца измеряют для каждой лицевой грани образца. Приведенная выше процедура измерения может быть также применена для измерения отклонения от плоскости рабочих поверхностей плит прибора.
6.3.2.4. При наличии на обработанных поверхностях образцов ячеистых материалов или материалов с заполнителями царапин, отколов, других аналогичных дефектов и неровностей естественного происхождения влиянием дефектов на результаты испытаний можно пренебречь, если выполняется условие

. Испытание допускается проводить, если

, при этом в отчете об испытаниях должна быть приведена информация об имеющихся дефектах.
В приведенных выше соотношениях:

- суммарная площадь поперечных сечений всех дефектов, м;

- площадь зоны измерения без учета площади дефектов, м;

- термическое сопротивление слоя воздуха, толщина которого равна максимальной глубине любого дефекта, м2·К/Вт;
R - термическое сопротивление образца, м2·К/Вт.
6.3.3. Подготовка к испытанию образцов сыпучих материалов
Толщина образца сыпучего материала должна не менее чем в 10 раз превышать средний размер гранул, зерен, чешуек и т.п., из которых состоит этот материал. Процедура подготовки образца(ов) сыпучего материала должна быть описана в стандарте или технических условиях на этот материал, в котором должны быть указаны: порядок изготовления специальных каркасов и тонких листов для образца, меры предосторожности при кондиционировании и установке образца в прибор, порядок изготовления одного образца (двух образцов) требуемой плотности, порядок получения требуемой плотности образца(ов), массы образца(ов) до и после кондиционирования, если необходимо.
7. Порядок проведения испытаний
7.1. Испытания по определению теплофизической характеристики образца, подготовленного в соответствии с
6.3, проводят в два этапа:
- этап 1 - кондиционирование образца перед испытанием в соответствии с
7.2;
- этап 2 - измерения на приборе с горячей охранной зоной или приборе, оснащенном тепломером, в соответствии с
7.3.
7.2. Кондиционирование образцов до постоянной массы проводят после определения массы образца(ов).
Примечание. Кондиционирование включает в себя высушивание образцов в вентилируемом сушильном шкафу или высушивание и последующее приведение образцов в термодинамическое равновесие с воздухом лабораторного помещения. Образец может быть помещен в паронепроницаемую оболочку для исключения поглощения или потери влаги во время испытания <*>.
--------------------------------
<*> Температура сушки образцов должна быть указана в стандарте или технических условиях на изделие конкретного вида, из которого вырезаны образцы.
Относительное изменение массы вычисляют по значениям массы образца до и после его высушивания.
Если необходимо сократить продолжительность испытания, образцы могут быть кондиционированы до температуры, равной средней температуре образца при испытании, непосредственно перед установкой в прибор.
7.3.1. Массу образца(ов) определяют с погрешностью не более 0,5% перед установкой образца(ов) в прибор взвешиванием на весах, обеспечивающих указанную погрешность.
7.3.2. Толщину образца(ов) измеряют во время испытания при заданной температуре и степени сжатия или до начала проведения испытания измерительным инструментом, создающим на образец давление, равное давлению на него во время испытания, как указано в стандарте или технических условиях на изделие, из которого вырезаны образцы.
Примечание. Для образцов изделий, поставляемых в виде рулонов, указывают, как правило, толщину образцов.
Для измерения толщины образца, находящегося внутри прибора, применяют мерные шпильки, имеющие шкалу с делениями и устанавливаемые в четырех наружных углах плиты холодильника (или нагревателя и холодильника прибора для испытания одного образца) или вдоль взаимно перпендикулярных осей, проходящих через центр плиты. Толщину образца вычисляют как среднюю разность между отсчетами по шкале мерных шпилек в двух положениях:
- первое - образец находится в приборе;
- второе - образец удален из прибора, а плиты прибора прижаты друг к другу с той же силой, что и при первом положении.
По результатам измерения линейных размеров, толщины и определения массы кондиционированного образца вычисляют плотность образца во время испытания.
7.3.3. Разность температур лицевых граней образца в процессе испытания должна соответствовать приведенной в
A.2.10 Приложения A настоящего стандарта и в стандарте или технических условиях на изделие конкретного вида.
7.3.4. Если необходимо определить теплофизические показатели в условиях, когда образец окружен воздухом (или другим газом), то точка росы воздуха (или другого газа) должна быть на 5 К ниже температуры плиты холодильника. При испытании образца в паронепроницаемой оболочке должны быть приняты меры, исключающие выпадение конденсата на поверхности оболочки, контактирующей с холодной лицевой гранью образца.
Примечание. Паронепроницаемую оболочку применяют в целях предотвращения увлажнения или высушивания образца во время испытания.
7.3.5. Измерение теплового потока
7.3.5.1. Для определения плотности теплового потока, проходящего через образец при проведении испытаний на приборе с горячей охранной зоной, измеряют среднее значение электрической мощности, подаваемой на нагреватель зоны измерения, с погрешностью не более +/- 0,1%.
Колебания или изменения температуры рабочих поверхностей плит нагревателя во время испытания, обусловленные случайными колебаниями или изменениями входной мощности, не должны превышать 0,3% разности температур рабочих поверхностей плит нагревателя и холодильника.
Входная мощность, поступающая на нагреватель охранной зоны, должна регулироваться и поддерживаться постоянной предпочтительно с помощью автоматической системы контроля для достижения уровня температурного равновесия между зоной измерения и охранной зоной, при которой сумма погрешностей, вызываемых разбалансом и боковыми теплопотерями, не превышает 0,5%.
7.3.5.2. Для определения плотности теплового потока, проходящего через образец при проведении испытаний на приборе, оснащенном тепломером, измеряют среднюю температуру и электродвижущую силу на выходе тепломера, среднюю температуру испытуемого образца и разность температур его лицевых граней.
Во время испытания случайные колебания температуры рабочей поверхности тепломера (как функции времени) не должны вызывать колебания напряжения на его выходе более чем на 2%.
Диапазон изменения плотности теплового потока должен быть таким, чтобы погрешность определения градуировочного коэффициента f и погрешность измерения электрического напряжения на выходе тепломера соответствовали бы требованиям, приведенным в
5.3.5 и
Приложении C.
7.3.6. При одновременном испытании двух образцов на приборе с горячей охранной зоной температуру рабочих поверхностей плит холодильников или плит нагревателя регулируют так, чтобы соотношение между разностью температур лицевых граней одного образца и разностью температур лицевых граней другого образца не превышала 2%.
7.3.7. Температуру рабочих поверхностей плит нагревателя и холодильника, температурный баланс между центральной и охранной зонами (для прибора с горячей охранной зоной) измеряют методами, гарантирующими такие повторяемость и точность результатов измерения, которые обеспечивают выполнение всех требований, предъявляемых к прибору с горячей охранной зоной, приведенных в
Приложении B, или требований, предъявляемых к прибору, оснащенному тепломером, приведенных в
Приложении C.
7.3.8. Для определения момента установления стационарного теплового режима проводят ряд последовательных измерений в соответствии с требованиями
7.3.5 и
7.3.7 через интервалы времени между измерениями, приведенные в
A.2.13 Приложения A, в течение времени, в четыре раза или более превышающего время

, рассчитываемое в соответствии с
A.2.13 Приложения A. Измерения проводят до тех пор, пока значения термического сопротивления, вычисленные по результатам последовательных измерений, не будут отличаться друг от друга не более чем на 1%, при этом эти значения не должны монотонно возрастать или убывать.
Если невозможно точно определить время, необходимое для достижения стационарного теплового режима, или если у оператора нет достаточного опыта испытания образцов на том же приборе и при тех же условиях испытания (например, при начале текущих испытаний изделия нового вида), то измерения проводят по меньшей мере еще в течение 24 ч с момента установления стационарного теплового режима.
Примечание. Для визуального определения момента достижения стационарного теплового режима результаты проведенных измерений могут быть представлены графически.
7.3.9. После завершения измерений, выполненных в соответствии с
7.3.8, определяют массу и измеряют толщину образца(ов). Любые изменения объема образца(ов) должны быть указаны в отчете об испытаниях.
8. Обработка результатов испытаний
8.1. Определение изменения плотности и массы
8.1.1. Плотность сухого образца

, кг/м3, и (или) плотность образца, кондиционированного до начала испытания

, кг/м3, вычисляют по формулам:

, (3)

, (4)
где

- масса образца после сушки, кг;

- масса образца после кондиционирования, кг;
V - объем образца после сушки или кондиционирования, м3.
8.1.2. Относительное изменение массы образца после сушки

, кг, или после кондиционирования

, кг, вычисляют по формулам:

, (5)

, (6)
где

- первоначальная масса образца, предназначенного для испытания, кг;
Относительное изменение массы образца

, кондиционированного после сушки, если это требуется стандартом или техническими условиями на изделие конкретного вида или необходимо для оценки условий испытания, вычисляют по формуле

. (7)
Относительное изменение массы образца

во время испытания по отношению к его массе перед испытанием вычисляют по формуле

, (8)
где

- масса образца после испытания, кг;

- масса высушенного или кондиционированного образца перед испытанием (

или

), кг.
8.2. Определение теплофизических показателей
8.2.1. Для определения теплофизических показателей используют средние значения результатов измерений, проведенных после достижения стационарного теплового режима, в соответствии с
7.3.8. Допускается использовать результаты других измерений, проведенных при стационарном тепловом режиме, если значения теплофизических показателей, вычисленные по результатам этих измерений, отличаются от значений теплофизических показателей, вычисленных по результатам измерений, описанных в
7.3.8, не более чем на 1%.
8.2.2. Термическое сопротивление R, м2·К/Вт, при испытании на приборе с горячей охранной зоной вычисляют по формуле

, (9)
коэффициент теплопередачи J, Вт/(м·К), - по формуле

, (10)
где Ф - средняя электрическая мощность, подаваемая на нагреватель зоны измерения, Вт;
A - площадь зоны измерения (см.
5.2.5), м2; для прибора, предназначенного для испытания двух образцов, значение площади зоны измерения умножают на два;

- средняя температура горячей лицевой грани образца(ов), К;

- средняя температура холодной лицевой грани образца(ов), К;
d - средняя толщина образца(ов), м.
Если выполняются условия, приведенные в
A.2.2 -
A.2.4 и
A.3.3 Приложения A, то коэффициент теплопропускания

или теплопроводность

вычисляют по формуле

. (11)
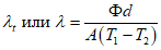
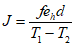
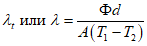
8.2.3. При испытании одного образца на приборе с одним тепломером вычисляют термическое сопротивление R, м2·К/Вт, по формуле

, (12)
где f - калибровочный коэффициент тепломера;

- выходное напряжение тепломера, мВ;
или вычисляют коэффициент теплопередачи J, Вт/(м·К), по формуле

, (13)
Если выполняются условия, приведенные в
A.2.2 -
A.2.4 и
A.3.3 Приложения A, то коэффициент теплопропускания

или теплопроводность

(или удельное термическое сопротивление

) вычисляют по формуле

, (14)
где Ф, A,

,

и d - по
8.2.2.
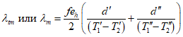
8.2.4. При испытании одного образца на приборе с двумя тепломерами теплофизические показатели определяют по
формулам (12) -
(14), заменяя

на

, где индексы 1 и 2 относятся к первому и второму тепломерам (температуры рабочих поверхностей которых равны соответственно

и

).
8.2.5. При испытании двух образцов на приборе с одним тепломером общее термическое сопротивление

, м2·К/Вт, вычисляют по формуле

. (15)
Если выполняются условия, приведенные в
A.2.2 -
A.2.4 и
A.3.3 Приложения A, то среднее значение коэффициента теплопропускания

или теплопроводности

, Вт/(м·К), вычисляют по формуле

, (16)
где обозначения характеристик - по
8.2.3;
' - верхний индекс, соответствующий характеристикам первого образца;
" - верхний индекс, соответствующий характеристикам второго образца.
Результаты испытаний, проведенных в соответствии с требованиями настоящего стандарта, должны быть приведены в отчете.
В отчете каждого испытания должны быть приведены следующие сведения (приводимые значения должны представлять собой средние значения для двух одновременно испытанных образцов или значения для одного образца, если прибор предназначен для испытания только одного образца):
a) Примененный метод испытания [метод горячей охранной зоны или метод тепломера, тип примененного прибора (прибор для испытания одного образца или одновременного испытания двух образцов)] и идентификация прибора. Меры, принятые для уменьшения боковых теплопотерь. Температура воздуха в процессе испытания в помещении, в котором установлен прибор. Стандарт или технические условия на изделие, из которого изготовлен(ы) испытанный(е) образец(цы).
b) Наименование и любая другая информация, идентифицирующие материал образца(ов), включая его (их) описание, предоставленные изготовителем.
c) Описание образцов и ссылка на стандарт или технические условия, в соответствии с которыми проводились отбор и подготовка образцов к испытанию.
d) Толщина образцов, м, с указанием метода измерения.
e) Методика и температура кондиционирования.
f) Плотность кондиционированных образцов в процессе испытания.
g) Относительное изменение массы образца после сушки и (или) кондиционирования (см.
8.1).
h) Относительное изменение массы образца в процессе испытания (см.
8.1). Изменения толщины (и объема) образца в процессе испытания (см.
7.3.9).
i) Средняя разность температур лицевых граней образца(ов) в процессе испытания, К (см.
7.3.3).
j) Средняя температура образца(ов) в процессе испытания, К или °C.
k) Плотность теплового потока, проходящего через образец в процессе испытания (q = Ф/A для прибора с горячей охранной зоной или

для прибора, оснащенного тепломером, см.
8.2).
l) Термическое сопротивление или коэффициент теплопередачи образца(ов). Если возможно или необходимо, то указывают удельное термическое сопротивление, теплопроводность или коэффициент теплопропускания. Диапазон толщин, в котором были измерены указанные характеристики или в котором применяют измеренные значения характеристик (см. ГОСТ 31925), если такая информация требуется в соответствии со стандартом или техническими условиями на изделие конкретного вида.
m) Дата окончания испытания; полная продолжительность испытания и продолжительность стационарного теплового режима, если такая информация требуется в соответствии со стандартом или техническими условиями на изделие конкретного вида.
Для прибора, оснащенного тепломером, указывают: дату последней градуировки тепломера, тип или типы стандартных образцов, использованных при градуировке, их термическое сопротивление, дату сертификации образцов-эталонов, организацию, выдавшую сертификат, срок действия сертификата и номер сертификата образцов-эталонов.
n) Ориентация прибора: вертикальная, горизонтальная или любая другая. Если прибор предназначен для испытания одного образца и образец не расположен вертикально, то указывают расположение горячей лицевой грани образца: вверху, внизу или иное.
o) Если в процессе испытания образец находился в паронепроницаемой оболочке, то необходимо указать материал, из которого сделана оболочка, и ее толщину.
p) Графическое представление результатов испытания, если это требуется стандартом или техническими условиями на изделие конкретного вида. Графики зависимости строят для каждой теплофизической характеристики, откладывая ее значения по оси ординат, от средней температуры испытуемого образца, откладывая ее значения по оси абсцисс. Графики зависимости термического сопротивления или коэффициента теплопередачи от толщины образца строят, если это требуется стандартом или техническими условиями на изделие конкретного вида.
q) Предел допускаемой погрешности измерения теплофизической характеристики, если выполнены все требования настоящего стандарта. Если при испытании не выполнено одно или более требований настоящего стандарта, то рекомендуется включать в отчет об испытаниях полную оценку погрешности или погрешностей измерения теплофизической характеристики.
| | ИС МЕГАНОРМ: примечание. Обозначение пунктов дано в соответствии с официальным текстом документа. | |
v) Если испытания проведены с какими-либо отступлениями от требований настоящего стандарта, то в отчете об испытаниях должны быть приведены соответствующие объяснения. Рекомендуемая формулировка: "Испытание проведено в соответствии с требованиями ГОСТ 31925, за исключением... (полный перечень исключений)".
s) Фамилия и инициалы оператора, проводившего испытание.
(обязательное)
УСЛОВИЯ ВЫПОЛНЕНИЯ ИЗМЕРЕНИЙ ТЕПЛОФИЗИЧЕСКИХ ПОКАЗАТЕЛЕЙ
A.1. Термины и определения
A.1.1. Теплопроводность

в точке P: величина, устанавливаемая в каждой точке среды P, теплоперенос через которую осуществляется только кондукцией, и определяемая следующим соотношением между векторами q и grad(T):

.
Примечание. В общем случае теплопроводность представляет собой тензор, состоящий из девяти элементов, и не является постоянной величиной.
A.1.2. Термически однородная среда: среда, в которой теплопроводность не является функцией координаты точки внутри среды, но может зависеть от направления теплового потока, времени выхода на стационарный тепловой режим и средней температуры испытаний.
A.1.3. Пористость

: отношение объема пор пористой среды к общему объему среды (пористая среда является неоднородной вследствие наличия, например, волокон, ячеек, зерен). Локальная пористость

в точке P, расположенной внутри образца, - средняя пористость, определяемая в элементе среды, окружающем точку P, если объем этого элемента мал по сравнению с объемом образца, но достаточно велик для того, чтобы полученное среднее значение пористости имело смысл.
A.1.4. Однородная пористая среда: среда, в которой локальная пористость не зависит от координат точки, в которой вычисляют ее значение.
Примечание.

часть материалов с высоким и средним термическим сопротивлением представляет собой пористую среду, т.е. является неоднородной (см. A.1.3) и, следовательно, не является термически однородной.
A.1.5. Термически изотропная среда: среда, в которой теплопроводность не зависит от направления теплового потока, но может зависеть от координат точки внутри среды, времени выхода на стационарный тепловой режим и средней температуры испытаний.
Примечание. Теплопроводность изотропной среды задается одним значением в каждой точке, а не матрицей значений.
A.1.6. Термически стабильная среда: среда, в которой теплопроводность не зависит от времени, но может зависеть от координат, температуры испытаний и направления теплового потока.
A.1.7. Средняя теплопроводность образца: показатель, определяемый при стационарном тепловом режиме на образце, который имеет форму плиты, ограниченной двумя параллельными плоскими изотермическими лицевыми гранями и адиабатическими боковыми гранями, перпендикулярными к лицевым граням. Образец изготовляют из термически однородного, изотропного материала (или анизотропного материала, ось симметрии которого перпендикулярна к лицевым граням образца).
Примечание. Теплопроводность материала образца стабильна только в пределах точности измерения и времени, необходимого для проведения измерения, и не зависит или линейно зависит от температуры.
A.1.8. Коэффициент теплопередачи образца J: величина, определяемая по формуле

. (A.1)
Коэффициент теплопередачи характеризует образец, через который проходит тепловой поток, представляющий собой сочетание кондукционного и радиационного потоков.
Примечание. Определение термина может быть применено для описания результата любого испытания, проведенного при стационарном тепловом режиме на приборе с горячей охранной зоной или на приборе, оснащенном тепломером, на образце материала, тепловой поток через который представляет собой сочетание кондукционного, конвекционного и радиационного потоков. Коэффициент теплопередачи образца зависит от условий испытания, например от разности температур его лицевых граней, излучательной способности рабочих поверхностей плит прибора и толщины образца.
A.1.9. Коэффициент теплопропускания материала

: величина, значение которой определяется по формуле

, (A.2)
если отношение

не зависит от толщины d.
Примечание. Коэффициент теплопропускания не зависит от условий испытания и является теплофизическим показателем теплоизоляционного материала, тепловой поток через который представляет собой сочетание кондукционного и радиационного потоков. Коэффициент теплопропускания материала можно рассматривать как предельное значение коэффициента теплопередачи слоя материала большой толщины, через который проходит тепловой поток, представляющий собой сочетание кондукционного и радиационного потоков. Коэффициент теплопропускания может быть представлен как эквивалентная, кажущаяся или эффективная теплопроводность материала.
A.1.10. Теплофизический показатель при стационарном тепловом режиме: общий термин, под которым подразумевается один из следующих показателей: термическое сопротивление, коэффициент теплопередачи, теплопроводность, удельное термическое сопротивление, коэффициент теплопропускания, тепловая проводимость, средняя теплопроводность.
A.1.11. Промежуток времени, по истечении которого через образец устанавливается стационарный тепловой поток: продолжительность промежутка времени, по истечении которого значения измеряемого теплофизического показателя, вычисленные по результатам последовательных измерений, будут отличаться друг от друга менее чем на 1%, при этом эти значения не будут монотонно возрастать или убывать.
A.1.12. Жесткий образец: образец материала, не изменяющий заметно свою форму под воздействием давления, которое создается плитами нагревателя и холодильника в целях обеспечения равномерного теплового контакта рабочих поверхностей этих плит с лицевыми гранями образца.
A.1.13. Температура помещения: общий термин, применяемый для обозначения средней температуры испытуемого образца, при которой человек чувствует себя комфортно в помещении, если температура в помещении равна этой температуре.
A.1.14. Температура окружающей среды: общий термин, применяемый для обозначения температуры у боковых граней образца или прибора.
Примечание. Температура окружающей среды - температура внутри кожуха прибора или температура воздуха в лаборатории, в которой находится прибор, если он не оснащен кожухом.
A.1.15. Оператор: лицо, ответственное за проведение испытания и представление результатов в отчете об испытаниях.
A.1.16. Пользователь данными: лицо, применяющее полученные результаты испытания в целях оценки теплофизических показателей материала или всей системы, частью которой является этот материал.
A.1.17. Конструктор: лицо, разрабатывающее конструктивное решение прибора с заданными техническими характеристиками при определенных условиях испытаний, а также методику проверки соответствия технических характеристик прибора требованиям технического задания на его разработку.
A.2. Условия и принципы выполнения измерений
A.2.1. В настоящем разделе приведены условия, при которых требования к проведению измерений на имеющемся приборе, приведенные в настоящем стандарте, могут быть выполнены.
A.2.2. Образцы, подвергаемые испытанию в соответствии с требованиями настоящего стандарта, должны иметь однородную пористую структуру. Наибольший размер пор, зерен или любых других неоднородностей не должен быть более 1/10 толщины образца.
A.2.3. Для неоднородных образцов, состоящих из отдельных слоев, средняя теплопроводность каждого слоя не должна превышать среднюю теплопроводность любого другого слоя образца более чем в два раза. Измерение теплопроводности каждого слоя не является обязательным при условии, что погрешность измерения близка прогнозируемой погрешности измерения теплофизических показателей однородных образцов.
A.2.4. Анизотропные образцы, удовлетворяющие критериям однородности, могут быть испытаны в соответствии с требованиями настоящего стандарта, если их теплопроводность, измеренная в направлении, параллельном лицевым граням образца, отличается от теплопроводности, измеренной в направлении, перпендикулярном лицевым граням образца, и наоборот, не более чем в два раза.
A.2.5. Если выполняется условие 0,25 <= e <= 0,75 с учетом боковых теплопотерь, то максимальная толщина образца, боковые грани которого не теплоизолированы, не должна превышать значений, приведенных в
графе 4 таблицы A.1, при указанных в данной таблице размерах плит прибора.
Температурное соотношение e у боковых граней образца определяют по формуле

, (A.3)
где

- температура боковых граней образца (предположительно одинаковая по всем граням);

и

- температура горячей и холодной лицевых граней образца соответственно.
Примечания
1. При значении e = 0,25 и разности температур горячей и холодной лицевых граней образца, равной 20 К, температура боковых граней испытуемого образца должна быть на 5 К ниже средней температуры образца.
2. Погрешность, обусловленная боковыми теплопотерями, равна нулю для однородных изотропных образцов, если значение e близко к 0,5. Погрешность максимальна при e = 0,25 в диапазоне 0,25 <= e <= 0,75. При любом другом значении e до 0,75 включительно погрешность, обусловленная боковыми теплопотерями образца, меньше.
При наличии теплоизоляции между боковыми гранями образца и кожухом прибора, соприкасающегося с воздухом лаборатории, температура боковых граней образца равна температуре воздуха лаборатории. Если температура воздуха лаборатории значительно отличается от средней температуры образца, то значение температурного соотношения e может заметно выходить за пределы интервала 0,25 - 0,75.
3. Если средняя температура образца равна 50 °C, разность температур горячей и холодной лицевых граней образца 20 °C, температура воздуха лаборатории 20 °C, то температурное соотношение e = -1. В этом случае данные, приведенные в таблице A.1, не могут быть использованы.
Таблица A.1
Минимальные и максимальные допускаемые значения
толщины образца
Размеры в миллиметрах
Размер стороны плит прибора в плане | Размер стороны зоны измерения в плане | Ширина охранной зоны | Максимальная допустимая толщина образца (значение, определяемое с учетом боковых теплопотерь) | Максимальное допускаемое отклонение от плоскостности плит прибора (0,025%) | Минимальная допустимая толщина образца (значение, определяемое допускаемым отклонением от плоскостности плит прибора) | Максимальная ширина зазора | Минимальная допустимая толщина образца <1> (значение, определяемое максимальной шириной зазора) |
1 | 2 | 3 | | 5 | | | |
200 | 100 | 50 | 30 | 0,05 | 10,0 | 1,25 | 12,5 |
300 | 200 | 50 | 35 | 0,08 | 15,0 | 2,50 | 25,0 |
300 | 150 | 75 | 45 | 0,08 | 15,0 | 1,88 | 18,8 |
400 | 200 | 100 | 60 | 0,10 | 20,0 | 2,50 | 25,0 |
400 | 100 | 150 | 80 | 0,10 | 20,0 | 1,25 | 12,5 |
500 | 300 | 100 | 65 | 0,13 | 25,0 | 3,75 | 37,5 |
500 | 250 | 125 | 75 | 0,13 | 25,0 | 3,13 | 31,3 |
500 | 200 | 150 | 85 | 0,13 | 25,0 | 2,50 | 25,0 |
600 | 300 | 150 | 90 | 0,15 | 30,0 | 3,75 | 37,5 |
800 | 500 | 150 | 100 | 0,20 | 40,0 | 6,25 | 62,5 |
800 | 400 | 200 | 120 | 0,20 | 40,0 | 5,00 | 50,0 |
1000 | 500 | 250 | 150 | 0,25 | 50,0 | 6,25 | 62,5 |
<1> Приведенные минимальные допустимые значения толщин соответствуют значениям ширины зазора, указанным в графе 7 данной таблицы; при зазорах меньшей ширины - см. 5.2.5. |
При наличии в приборе с горячей охранной зоной дополнительной наружной плоской охранной зоны максимальное допустимое значение толщины образца определяют исходя из условия, что внешняя граница горячей охранной зоны должна совпадать с внешней границей дополнительной охранной зоны.
Для приборов, оснащенных охранной зоной градиентного типа или системой теплоизоляции боковых граней образца, значение погрешности вследствие боковых теплопотерь определяют на основании расчетов или систематических экспериментальных исследований на приборах данного типа.
Для прибора, оснащенного тепломером, предназначенного для испытания одного образца по симметричной схеме, максимальная допустимая толщина образца может быть увеличена на 50%, если теплоперенос через образец является чисто кондукционным.
Для материалов низкой плотности (менее 20 кг/м3), для которых доля радиационного теплового потока в общем тепловом потоке значительна, не рекомендуется увеличивать максимальную допустимую толщину образца.
A.2.6. Минимальная допускаемая толщина нежестких образцов, определяемая допускаемым отклонением рабочих поверхностей плит прибора от плоскостности, приведена в
графе 6 таблицы A.1.
Минимальная допустимая толщина образцов при испытании на приборе с горячей охранной зоной должна в 10 или более раз превышать ширину зазора между нагревателем и охранной зоной. Площадь зазора должна составлять не более 5% площади зоны измерения. Значения максимальной ширины зазора и соответствующие значения минимальной допустимой толщины образца приведены в
графах 7 и
8 таблицы A.1.
A.2.7. Верхний предел значений термического сопротивления, которые могут быть измерены, ограничивается стабильностью источника электрической энергии, подаваемой на нагреватель зоны измерения, погрешностью измерения электрической мощности, подаваемой на нагреватель зоны измерения, и уровнем теплопотерь или теплопоступлений вследствие нарушения температурного баланса между зоной измерения и охранной зоной прибора.
A.2.8. При испытании образцов (особенно жестких образцов с небольшим термическим сопротивлением) максимальное допустимое значение контактного термического сопротивления и максимальная эквивалентная толщина воздушных прослоек между лицевыми гранями образца и рабочими поверхностями плит нагревателя и холодильника прибора не должны превышать значений, приведенных в
таблице A.2.
Примечание. При расчете максимальной эквивалентной толщины воздушных прослоек теплопроводность воздуха принимают равной 0,025 Вт/(м x К), что соответствует его теплопроводности при комнатной температуре.
Таблица A.2
Максимальное допустимое контактное термическое сопротивление
в зависимости от термического сопротивления образца
Термическое сопротивление образца, (м2·К)/Вт | Максимальное допустимое контактное термическое сопротивление, (м2·К)/Вт | Максимальная эквивалентная толщина воздушной прослойки (плита прибора - образец), мм |
0,3 | 0,0015 | 0,04 |
0,4 | 0,0020 | 0,05 |
0,5 | 0,0025 | 0,06 |
0,6 | 0,0030 | 0,08 |
0,8 | 0,0040 | 0,10 |
1,0 | 0,0050 | 0,13 |
1,5 | 0,0075 | 0,19 |
A.2.9. Максимальное допустимое отклонение от параллельности лицевых граней образца должно быть таким, чтобы толщина образца отличалась от ее среднего значения не более чем на 2% (см.
B.4 таблицы B.1 Приложения B).
A.2.10. Разность температур лицевых граней образца при проведении испытаний рекомендуется устанавливать в интервале 10 - 50 К.
A.2.11. При назначении максимальной рабочей температуры нагревателя и холодильника следует учитывать процессы окисления, температурные напряжения и другие факторы, вызывающие отклонение от плоскостности рабочих поверхностей плит нагревателя и холодильника, а также изменения электрического сопротивления электроизоляции, влияющие на точность электрических измерений.
A.2.12. Для испытания образцов, которые могут коробиться под воздействием градиента температуры, рекомендуется разработать специальный прибор.
A.2.13. При определении времени, необходимого для достижения стационарного теплового режима, следует учитывать:
a) теплоемкость плит холодильника и нагревателя прибора; характеристики системы контроля температуры рабочей поверхности плит холодильника (холодильников) прибора с горячей охранной зоной и характеристики системы контроля температуры рабочих поверхностей плит нагревателя и холодильника прибора, оснащенного тепломером;
b) теплоемкость плиты нагревателя зоны измерения и характеристики системы контроля температуры ее рабочей поверхности; теплоемкость плиты нагревателя охранной зоны и характеристики системы контроля температуры ее рабочей поверхности (только для прибора с горячей охранной зоной);
c) теплоизоляцию прибора;
d) температуропроводность и паропроницаемость материала, из которого изготовлен образец, и толщину образца;
e) среднюю температуру образца и характеристики среды, окружающей прибор в процессе испытания;
f) температуру и влажность образца(ов) в начале испытания.
Если не представляется возможным точно определить продолжительность времени, необходимого для достижения стационарного теплового режима, или отсутствует опыт испытания подобных образцов на таком же приборе при таких же условиях испытания, то значение временного интервала

вычисляют по формуле

, (A.4)
где

- плотность металла, из которого изготовлена плита нагревателя прибора с горячей охранной зоной, или плотность металла, из которого изготовлены плиты нагревателя или холодильника прибора, оснащенного тепломером, кг/м3;

- удельная теплоемкость металла, из которого изготовлена плита нагревателя прибора с горячей охранной зоной, или плотность металла, из которого изготовлены плиты нагревателя или холодильника прибора, оснащенного тепломером, Дж/(кг·К);

- толщина плиты нагревателя прибора с горячей охранной зоной или толщина плиты нагревателя или холодильника прибора, оснащенного тепломером, м;

- плотность материала, из которого изготовлен образец, кг/м3;

- удельная теплоемкость материала, из которого изготовлен образец, Дж/(кг·К);

- толщина образца, м;
R - термическое сопротивление образца, м2·К/Вт.
Если применяются системы автоматического контроля, например контроля электрических нагревательных элементов нагревателей, то интервал времени

может быть уменьшен.
Время достижения стационарного теплового режима, как правило, в пять раз больше, чем интервал времени

с погрешностью менее 1%. Измерения рекомендуется проводить через интервалы времени, не превышающие 0,25%

.
A.3. Ограничения на возможность измерения теплофизических показателей
A.3.1. При определении значимости результатов испытаний должны учитываться ограничения, связанные с возможностью измерения теплофизического показателя на имеющемся приборе.
A.3.2. Термическое сопротивление, тепловая проводимость или коэффициент теплопередачи могут быть представлены как результат одного измерения, проведенного на одном образце при заданных условиях испытаний, если соблюдены критерии однородности, приведенные в
A.2.2 -
A.2.4.
A.3.3. При определении среднего значения теплопроводности или коэффициента теплопропускания образца (если он необходим) должны быть соблюдены критерии однородности образцов, приведенные в
A.2.2, при этом термическое сопротивление испытуемого образца при любой средней температуре не должно зависеть от разности температур лицевых граней образца. Если указанные критерии не соблюдаются, то в отчете об испытаниях следует привести только термическое сопротивление образца при заданных условиях испытания.
A.3.4. При определении теплопроводности или коэффициента теплопропускания материала (если он необходим) должны учитываться требования, приведенные в
A.3.2. Выборка изделий должна гарантировать, что испытуемый материал изделий является однородным или однородным пористым, а результаты испытаний могут быть отнесены ко всему материалу, всем изделиям или всем системам.
Значение толщины испытуемых образцов должно превышать значение, начиная с которого при дальнейшем увеличении толщины коэффициент теплопередачи материала, изделия или системы изменяется не более чем на 2%.
A.3.5. Для оценки влияния толщины образца на коэффициент теплопередачи следует руководствоваться рекомендациями, приведенными в
ГОСТ 31924 и стандартах или технических условиях на изделия конкретного вида.
A.4. Предварительные решения
Если установлена возможность получения при проведении измерений достоверных значений теплофизических показателей, то с учетом ограничений, приведенных в настоящем приложении, до начала измерений должно быть принято решение о том, какой теплофизический показатель по результатам прямых измерений (например, теплопроводность или термическое сопротивление) или какую корреляционную зависимость измеряемого теплофизического показателя (например, зависимость теплопроводности от температуры или теплопроводности от плотности при заданной температуре) необходимо или желательно определить.
При принятии решения следует учитывать:
a) Размер и форму плит прибора, который имеется в наличии или необходим для проведения измерений. Прибор с конкретными размерами плит может быть непригоден для проведения измерений теплофизических показателей всех подлежащих испытанию образцов различных толщин. Прибор должен обеспечивать проведение измерений в требуемом диапазоне температур и при требуемых характеристиках окружающей среды.
b) Размеры и число образцов, необходимых для определения теплофизических показателей изделия в соответствии с требованиями стандарта или технических условий на изделие конкретного вида.
c) Необходимость или желательность помещения образца при испытании в тонкую паронепроницаемую оболочку в соответствии со стандартом или техническими условиями на изделие конкретного вида.
d) Необходимость в устройствах, которые в процессе испытания фиксируют толщину образца или давление на образец.
(обязательное)
ТРЕБОВАНИЯ К ТЕХНИЧЕСКИМ ХАРАКТЕРИСТИКАМ ПРИБОРА
С ГОРЯЧЕЙ ОХРАННОЙ ЗОНОЙ И УСЛОВИЯМ ИСПЫТАНИЙ
В настоящем приложении приведены обязательные требования к техническим характеристикам прибора с горячей охранной зоной и условиям испытаний (см. таблицу B.1).
Таблица B.1
Технические характеристики прибора с горячей охранной зоной
Характеристика | Значение |
B.1. Точность, повторяемость, стабильность, однородность |
Пределы допускаемой основной погрешности прибора с горячей охранной зоной при комнатной температуре | +/- 2% |
Пределы допускаемой основной погрешности прибора с горячей охранной зоной во всем температурном диапазоне | +/- 5% |
Повторяемость (два измерения проведены на одном и том же образце, после первого измерения образец был извлечен из прибора и затем вторично помещен в прибор) | +/- 1% |
Предельно допускаемая погрешность вследствие температурного разбаланса | +/- 0,5% |
Предельно допускаемое значение суммы погрешностей вследствие температурного разбаланса и боковых теплопотерь | +/- 0,5% |
Требуемая однородность температуры рабочей поверхности плиты нагревателя по отношению к разности температур лицевых граней образца | +/- 2% |
Предельно допускаемое отклонение заданной разности между средними температурами рабочих поверхностей противоположных плит нагревателя | +/- 0,2 К |
Предельно допускаемое отклонение заданной температуры рабочей поверхности плиты нагревателя вследствие колебаний электрической мощности, подаваемой на нагреватель (по отношению к разности температур рабочих поверхностей плит нагревателя и холодильника) | +/- 0,3% |
Требуемая долговременная стабильность температуры рабочей поверхности плиты холодильника по отношению к разности температур лицевых граней образца | 0,5% |
Требуемый верхний предел колебаний температуры рабочей поверхности плиты холодильника по отношению к разности температур лицевых граней образца | 2% |
Требуемая стабильность температуры рабочей поверхности плиты холодильника по отношению к разности температур лицевых граней образца | 2% |
Предельно допускаемая погрешность измерения разности температур рабочих поверхностей плит нагревателя и холодильника | +/- 1% |
Предельно допускаемое отклонение разности температур лицевых граней двух образцов, установленных в приборе, предназначенном для одновременного испытания двух образцов | +/- 2% |
Допускаемые среднеквадратичные погрешности измерения температур с помощью термопар | |
Допускаемая среднеквадратичная погрешность измерения температур с помощью термопар в диапазоне от 21 до 170 К | 1% |
Погрешность измерения разности температур лицевых граней образца, причина возникновения которой - коробление образца | Исключена |
Предельно допускаемая погрешность измерения толщины образца | +/- 0,5% |
Максимальная допустимая разность толщин двух образцов, одновременно испытываемых на приборе, предназначенном для испытания двух образцов | 2% |
Максимальная неопределенность измеренного значения толщины нежестких образцов, обусловленная отклонениями их лицевых граней от плоскости | 0,5% |
Предельно допускаемое отклонение от плоскостности рабочих поверхностей плит прибора или лицевых граней жестких образцов | +/- 0,025% |
Предельно допускаемая погрешность электрических измерений температуры при помощи датчиков температуры по отношению к разности температур лицевых граней образца | +/- 0,2% |
Предельно допускаемая погрешность измерения средней электрической мощности, подаваемой на нагреватель зоны измерения | +/- 0,1% |
Предельно допускаемая погрешность измерения электрической мощности | +/- 0,1% |
Предельно допускаемая погрешность определения массы образца | +/- 0,5% |
Максимальная вероятная погрешность по отношению к общей погрешности | 50% - 75% |
B.2. Рекомендуемые размеры плит прибора |
Рекомендуемые размеры рабочих поверхностей плит прибора | 0,3; 0,5 м |
Рекомендуемые размеры рабочих поверхностей плит прибора (только для испытания однородных материалов) | 0,2 м |
Рекомендуемые размеры рабочих поверхностей плит прибора (только для оценки эффекта толщины) | 1 м |
Минимальная допустимая полная полусферическая излучательная способность любой поверхности, соприкасающейся с лицевыми гранями образца | 0,8 |
B.3. Требования к техническим характеристикам прибора |
Предельно допускаемое отклонение от плоскостности рабочих поверхностей плит нагревателя и холодильника или поверхностей лицевых граней жестких образцов | +/- 0,025% |
Максимальное допустимое отношение площади зазора к площади зоны измерения | 5% |
Максимальное допустимое отношение расстояния датчиков дисбаланса от зазора к длине боковой стороны или диаметру зоны измерения | 5% |
Максимальное допустимое отношение теплового потока, проходящего через провода, к тепловому потоку, проходящему через образец | 10% |
Требуемая однородность температуры рабочей поверхности плиты нагревателя по отношению к разности температур лицевых граней образца | 2% |
Максимальная допускаемая разность между средними температурами рабочих поверхностей противоположных плит нагревателя | 0,2 К |
Максимальные допустимые колебания температуры рабочей поверхности плиты нагревателя, причинами возникновения которых являются колебания подаваемой на него электрической мощности, по отношению к разности температур рабочих поверхностей плит нагревателя и холодильника | 0,3% |
Требуемая долговременная стабильность температуры рабочей поверхности плиты холодильника по отношению к разности температур лицевых граней образца | 0,5% |
Требуемая стабильность температуры рабочей поверхности плиты холодильника по отношению к разности температур лицевых граней образца | 2% |
Требуемый верхний предел колебаний температуры рабочей поверхности плиты холодильника по отношению к разности температур лицевых граней образца | 2% |
Максимальная допустимая разность температур между средними температурами рабочих поверхностей противоположных плит нагревателя по отношению к минимальной разности температур лицевых граней образца при стационарном тепловом режиме | 1% |
Максимальное допустимое отношение разности температуры боковой грани образца и средней температуры образца к разности температур лицевых граней образца (для меньшей погрешности) | 0,1 (0,02) |
Максимальный допустимый диаметр проводов термопар, устанавливаемых на рабочих поверхностях плит нагревателя и холодильника в целях измерения разности температур этих поверхностей | 0,6 мм |
Рекомендуемый максимальный диаметр проводов термопар, устанавливаемых на рабочих поверхностях плит нагревателя и холодильника в целях измерения разности температур этих поверхностей, если длина боковой грани или диаметр плит меньше 0,5 м | 0,2 мм |
Рекомендуемый максимальный диаметр проводов термопар, предназначенных для измерения температурного разбаланса | 0,3 мм |
Минимальное допустимое число датчиков температуры на каждой стороне зоны измерения (наибольшее число из двух указанных) |  или 2 |
Минимальное допустимое электрическое сопротивление между неэкранированными датчиками температуры и металлическими плитами прибора | 100 МОм |
Минимальная требуемая разность между температурой плиты холодильника и точкой росы | 5 К |
Рекомендуемый диапазон разности между температурой плиты холодильника и точкой росы при проведении межлабораторных сопоставительных испытаний | 5 К - 10 К |
Максимальное рекомендуемое давление, оказываемое плитами прибора на образец, для большинства теплоизоляционных материалов | 2,5 кПа |
B.4. Характеристики образца |
Минимальное термическое сопротивление, которое может быть измерено на приборе с горячей охранной зоной | 0,1 м2·К/Вт |
Минимальное термическое сопротивление, которое может быть измерено на приборе с горячей охранной зоной, если допускается увеличение погрешности измерения | 0,02 м2·К/Вт |
Максимальное термическое сопротивление жестких образцов, при испытании которых необходимо применять специальные методы измерения температур их лицевых граней | 0,3 м2·К/Вт |
Минимальное термическое сопротивление нежестких образцов, разность температур лицевых граней которых определяется с помощью датчиков температуры, стационарно установленных на рабочих поверхностях плит нагревателя и холодильника | 0,5 м2·К/Вт |
Максимальное допустимое суммарное контактное термическое сопротивление, причиной возникновения которого является неидеальный контакт лицевых граней жесткого образца с рабочими поверхностями плит нагревателя и холодильника, по отношению к термическому сопротивлению образца | 0,5% |
Минимальное допустимое термическое сопротивление жесткого образца, при котором возможно измерение разности температур его лицевых граней с помощью термопар, установленных на плитах прибора | 0,3 м2·К/Вт |
Дополнительная неопределенность измерения разности температур лицевых граней жестких образцов с термическим сопротивлением более 0,1 м2·К/Вт при использовании контактных прокладок и (или) датчиков температуры, установленных на лицевых гранях образца | 0,5% |
Дополнительная неопределенность измерения разности температур лицевых граней жестких образцов с термическим сопротивлением от 0,1 до 0,02 м2·К/Вт при использовании контактных прокладок и (или) датчиков температуры, установленных на лицевых гранях образца | От 0,5% до 4% |
Минимальное допустимое отношение толщины образца к ширине зазора | 10 |
Максимальная допустимая разность толщин двух образцов, одновременно испытываемых на приборе, предназначенном для испытания двух образцов | 2% |
Предельно допускаемое отклонение от плоскостности рабочих поверхностей плит нагревателя и холодильника или лицевых граней жестких образцов | +/- 0,025% |
Максимальная допустимая неопределенность измерения толщины нежестких образцов, обусловленная отклонениями их лицевых граней от плоскостности | 0,5% |
Максимальное значение произведения  , при котором допускается не учитывать влияния дефектов на лицевых гранях образца | 0,0005 |
Предельно допускаемое отклонение от параллельности лицевых граней образца по отношению к его толщине | +/- 2% |
Максимальный допустимый размер неоднородностей по отношению к толщине образца | 1/10 |
Минимальное рекомендуемое отношение толщины образца к среднему размеру зерен, гранул, чешуек и т.д. | 10 |
Изменение термического сопротивления образцов, содержащих теплопроводные включения, при испытании которых следует применять контактные прокладки большей толщины | 1% |
Минимальное различие измеренных значений теплофизических показателей, на основании которого образец можно считать неоднородным | 2% |
Максимальное допустимое отношение теплопроводности двух любых слоев в слоистых образцах | 2 |
Максимальное допустимое отношение теплопроводности анизотропных образцов в направлениях, перпендикулярных или параллельных его лицевым граням | 2 |
Предел изменений значений коэффициента теплопередачи при изменении толщины, при котором теплофизическим показателем материала следует считать коэффициент теплопропускания | 2% |
Максимальное различие значений коэффициента теплопередачи при изменении толщины, при котором этот коэффициент можно считать равным коэффициенту теплопропускания | 2% |
Предельно допускаемое отклонение измеренных значений термического сопротивления образцов различной толщины от прямой линии, представляющей собой график зависимости термического сопротивления от толщины, при котором можно вычислить тангенс угла наклона этой прямой | +/- 1% |
Максимальная допустимая толщина пластиковых листов при измерении термического сопротивления образцов сыпучих материалов | 50 мкм |
Минимальная толщина листов из тонкоизмельченной пробки, используемых для разрыва теплопроводных мостиков | 0,002 м |
B.5. Условия испытаний |
Минимальное термическое сопротивление, которое может быть измерено на приборе с горячей охранной зоной | 0,1 м2·К/Вт |
Минимальное термическое сопротивление, которое может быть измерено на приборе с горячей охранной зоной, если допускается увеличение погрешности измерения | 0,02 м2·К/Вт |
Максимальное термическое сопротивление жестких образцов, при испытании которых необходимо применять специальные методы измерения температур их лицевых граней | 0,3 м2·К/Вт |
Нижний предел разности температур, измеряемых раздельно | 5 К |
Рекомендуемый нижний предел разности температур лицевых граней образца | 10 К |
Нижний рекомендуемый предел разности температур лицевых граней образца при определении зависимости теплофизического показателя от температуры | 5 К |
Верхний рекомендуемый предел разности температур лицевых граней образца при определении неизвестной зависимости теплофизического показателя от температуры | 10 К |
Максимальная допустимая разница между разностями температур лицевых граней двух образцов, установленных в приборе, предназначенном для испытания двух образцов | 2% |
Минимальное число термопар на каждой стороне образца (наибольшее число из двух указанных) |  или 2 |
Минимальная требуемая разность между температурой плиты холодильника и точкой росы | 5 К |
Рекомендуемый диапазон разности между температурой плиты холодильника и точкой росы при проведении межлабораторных сравнительных испытаний | 5 - 10 К |
Предельно допускаемое значение суммы погрешностей вследствие температурного разбаланса и боковых теплопотерь | +/- 0,5% |
Максимальное допустимое отношение разности температуры боковой грани образца и средней температуры образца к разности температур лицевых граней образца (при меньшей погрешности) | 0,1 (0,02) |
Минимальное допустимое отношение толщины образца к ширине зазора | 10 |
Максимальная допустимая разность толщин двух образцов, одновременно испытываемых на приборе, который предназначен для испытания двух образцов | 2% |
Максимальное рекомендуемое давление, оказываемое плитами прибора на образец для большинства теплоизоляционных материалов | 2,5 кПа |
Максимальное допустимое термическое сопротивление контактных прокладок, помещаемых между лицевыми гранями образцов и рабочими поверхностями плит нагревателя и холодильника | Наименьшее совместимое |
Рекомендуемая стандартная температура воздуха в лаборатории, в которой образец выдерживается для достижения им равновесия с воздухом помещения | (296 +/- 1) К |
Рекомендуемая стандартная относительная влажность воздуха в лаборатории, в которой образец выдерживается для достижения им равновесия с воздухом помещения | (50 +/- 10)% |
Максимальное изменение результатов четырех последовательных измерений термического сопротивления, при котором можно считать, что стационарный тепловой режим установился | 1% |
Минимальный период времени от момента установления стационарного теплового режима до окончания испытания при неизвестных условиях испытания | 24 ч |
Таблица B.2
Пределы погрешности термопар
Тип термопары | Диапазон температур | Пределы погрешности (холодный спай 0 °C) |
стандартные | специальные |
T | 0 °C - 350 °C | 1 °C или 0,75% | 0,5 °C или 0,4% |
J | 0 °C - 750 °C | 2,2 °C или 0,75% | 1,1 °C или 0,4% |
E | 0 °C - 900 °C | 1,7 °C или 0,5% | 1,0 °C или 0,4% |
K | 0 °C - 1250 °C | 2,2 °C или 0,75% | 1,1 °C или 0,4% |
R или S | 0 °C - 1450 °C | 1,5 °C или 0,25% | 0,6 °C или 0,1% |
B | 800 °C - 1700 °C | 0,5% | - |
T | -200 °C - 0 °C | 1 °C или 1,5% | - |
E | -200 °C - 0 °C | 1,7 °C или 1% | - |
K | -200 °C - +6 °C | 2,2 °C или 2% | - |
(обязательное)
ТРЕБОВАНИЯ К ТЕХНИЧЕСКИМ ХАРАКТЕРИСТИКАМ ПРИБОРА,
ОСНАЩЕННОГО ТЕПЛОМЕРОМ, И УСЛОВИЯМ ИСПЫТАНИЙ
В настоящем приложении приведены обязательные требования к техническим характеристикам прибора, оснащенного тепломером, и к условиям испытаний.
Таблица C.1
Технические характеристики прибора, оснащенного тепломером
Характеристика | Значение |
C.1. Точность, повторяемость, стабильность, однородность |
Предельно допускаемая основная погрешность прибора, оснащенного тепломером (если средняя температура испытуемого образца приблизительно равна комнатной температуре) | +/- 3% |
Повторяемость (два измерения проведены на одном образце, образец не извлекался из прибора после первого измерения) | Не более +/- 1% |
Повторяемость (два измерения проведены на одном образце, образец извлекался из прибора после первого измерения и по истечении длительного интервала времени вторично помещен в прибор) | Не более +/- 1% |
Погрешность калибровки прибора, оснащенного тепломером (если средняя температура испытуемого образца приблизительно равна комнатной температуре) | +/- 2% |
Максимальное допустимое изменение калибровочного коэффициента | +/- 1% |
Рекомендуемые интервалы времени между калибровкой прибора, оснащенного тепломером, и проведением измерения | 24 ч до или после испытания |
Рекомендуемый интервал времени между двумя калибровками прибора, если было подтверждено, что изменение калибровочного коэффициента тепломера за короткий и длительный сроки не превышает 1% | 15 - 30 сут |
Рекомендуемый максимальный срок действия аттестата стандартного образца, применяемого для калибровки прибора | 5 лет |
Предельно допускаемая погрешность вследствие боковых теплопотерь | 0,5% |
Максимальная допустимая неоднородность температурного поля рабочих поверхностей плит нагревателя и холодильника по отношению к разности температур лицевых граней образца | 1% |
Максимальное допустимое изменение температуры рабочих поверхностей плит нагревателя и холодильника во время испытания по отношению к разности температур лицевых граней образца | 0,5% |
Максимальное допустимое изменение температуры рабочей поверхности тепломера, контактирующей с лицевой гранью образца, по отношению к разности температур лицевых граней образца | Менее 0,5% |
Предельно допускаемая погрешность измерения разности температур рабочих поверхностей плит нагревателя и холодильника, контактирующих с образцом | 1% |
Предельно допускаемая погрешность измерения разности температур лицевых граней образца вследствие коробления образца | Исключено |
Предельно допускаемая погрешность измерения теплового потока (если рабочая поверхность тепломера контактирует с рабочей поверхностью плиты нагревателя или холодильника) вследствие неоднородности температурного поля рабочих поверхностей плиты нагревателя или холодильника | 0,5% |
Максимальные допустимые колебания выходного сигнала тепломера вследствие колебаний температуры рабочей поверхности тепломера | 2% |
Предельно допускаемая погрешность измерения толщины образца | 0,5% |
Максимальная неопределенность измеренного значения толщины нежестких образцов, обусловленная отклонениями их лицевых граней от плоскостности | 0,5% |
Предельно допускаемое отклонение от плоскостности рабочих поверхностей плит нагревателя и холодильника | 0,025% |
Предельно допускаемая погрешность электрических измерений разности температур лицевых граней образца(ов) | +/- 0,5% |
Предельно допускаемая погрешность измерения электрического сигнала термобатареи | +/- 0,6% |
Минимальная требуемая чувствительность электроизмерительных устройств прибора при минимальном выходном сигнале датчика разности температур | 0,15% |
Предельно допускаемая погрешность вследствие нелинейности характеристик электроизмерительных устройств прибора во всем предполагаемом диапазоне изменения сигнала датчика разности температур | +/- 0,1% |
Предельно допускаемая погрешность измерения электрических сигналов, причиной возникновения которой является значение входного импеданса при любых возможных условиях измерения | +/- 0,1% |
Предельно допускаемая погрешность показания любого электроизмерительного устройства прибора в течение стандартного промежутка времени между двумя калибровками прибора или в течение 30 сут (в течение наибольшего из двух указанных сроков) | +/- 0,2% |
Максимальное допустимое значение квадратного корня из среднего квадрата шумов значений разности температур и выходного сигнала термобатареи при наличии системы защиты от помех | 0,1% |
Предельно допускаемая погрешность определения массы образца | 0,5% |
C.2. Требования к техническим характеристикам прибора | |
Минимальная полная полусферическая излучательная способность любой поверхности, контактирующей с лицевыми гранями образца | 0,8 |
Минимальная полная полусферическая излучательная способность любой поверхности, контактирующей с лицевыми гранями образца, при ее рабочей температуре | 0,8 |
Предельно допускаемое отклонение от плоскостности рабочих поверхностей плит нагревателя и холодильника | +/- 0,025% |
Предельно допускаемое отклонение от плоскостности зоны измерения тепломера | +/- 0,025% |
Предельно допускаемое отклонение от плоскостности рабочих поверхностей плит прибора или лицевых граней жестких образцов | +/- 0,025% |
Требуемое отношение площади зоны измерения тепломера к общей площади его рабочей поверхности | 10% <= A <= 40% |
Рекомендуемое отношение длины зоны измерения тепломера к максимальной толщине образца | 4 |
Рекомендуемое отношение длины боковой грани тепломера к максимальной толщине образца | 8 |
Требуемая однородность температурных полей рабочих поверхностей плит нагревателя и холодильника по отношению к разности температур лицевых граней образца | 1% |
Требуемая стабильность температуры рабочей поверхности плит нагревателя и холодильника в процессе измерения по отношению к разности температур лицевых граней образца | 0,5% |
Требуемая стабильность температуры рабочей поверхности тепломера, контактирующей с лицевой гранью образца, по отношению к разности температур лицевых граней образца | Менее 0,5% |
Предельно допускаемая погрешность измерения теплового потока (если рабочая поверхность тепломера соприкасается с рабочей поверхностью плиты нагревателя или холодильника) вследствие неоднородности температурного поля рабочих поверхностей плиты нагревателя или холодильника | +/- 0,5% |
Максимальные допустимые колебания выходного сигнала тепломера вследствие колебаний температуры рабочей поверхности тепломера | 2% |
Максимальное допустимое изменение сигнала тепломера с течением времени по отношению к его среднему значению | 1,5% |
Рекомендуемый диаметр проводов термопар (датчиками температуры поверхности тепломера) | 0,2 мм |
Максимальный диаметр проводов термопар, устанавливаемых на рабочих поверхностях плит нагревателя и холодильника для измерения разности температур этих поверхностей | 0,6 мм |
Рекомендуемый максимальный диаметр проводов термопар, устанавливаемых на рабочих поверхностях плит нагревателя и холодильника для измерения разности температур этих поверхностей, если длина боковой грани или диаметр плит менее 0,5 м | 0,2 мм |
Минимальное число термопар на каждой рабочей поверхности плит нагревателя и холодильника |  или 2 |
Максимальная площадь участка поверхности, на котором можно поместить только одну термопару | 0,04 м2 |
Площадь центральной части тепломера, на которой следует сконцентрировать датчики разности температур, от общей площади тепломера | 40% |
Минимальное сопротивление слоя электроизоляции между термопарами и металлическими плитами прибора | 1 МОм |
Рекомендуемый максимальный диаметр поперечного сечения проводов термобатареи | 0,2 мм |
Минимальный выходной сигнал тепломера, при котором можно не принимать специальных мер по предотвращению возникновения посторонних ЭДС в подводящих проводах в схеме измерения и в самом тепломере | 0,0002 В |
Рекомендуемая толщина металлической или неметаллической фольги, используемой для облицовки зоны измерения тепломера | 80 мкм |
Минимальная требуемая разность между температурой плиты холодильника и точкой росы | 5 К |
Максимальное рекомендуемое давление, оказываемое плитами прибора на образец, для большинства теплоизоляционных материалов | 2,5 кПа |
C.3. Характеристики образца | |
Минимальное термическое сопротивление, которое может быть измерено на приборе, оснащенном тепломером | 0,1 м2·К/Вт |
Максимальное увеличение толщины образца, который может быть испытан на приборе, предназначенном для испытания одного образца, по сравнению с толщиной образца, который может быть испытан на приборе, предназначенном для одновременного испытания двух образцов | 50% |
Максимальное термическое сопротивление жестких образцов, при испытании которых необходимо применять специальные методы измерения температуры их лицевых граней | 0,3 м2·К/Вт |
Минимальное термическое сопротивление нежестких образцов, разность температур лицевых граней которых можно определить по показаниям датчиков температуры, стационарно установленных на рабочих поверхностях плит нагревателя и холодильника | 0,5 м2·К/Вт |
Максимальное допустимое контактное термическое сопротивление (по обеим лицевым граням образца) вследствие неполного контакта лицевых граней жестких образцов и рабочих поверхностей плит прибора по отношению к термическому сопротивлению образца | 0,5% |
Минимальное термическое сопротивление жестких образцов, при котором не требуется применение тонких контактных прокладок или датчиков температуры, устанавливаемых на лицевых гранях образца для измерения разности температур этих граней | 0,3 м2·К/Вт |
Дополнительная неопределенность измерения разности температур лицевых граней жесткого образца при применении тонких контактных прокладок и (или) датчиков температуры, устанавливаемых на лицевых гранях образца | 0,5% |
Рекомендуемое отношение длины стороны тепломера к максимальной толщине образца | 8 |
Максимальная разность толщин двух образцов, одновременно испытываемых на приборе, предназначенном для одновременного испытания двух образцов | 2% |
Предельно допускаемое отклонение от плоскостности рабочих поверхностей плит нагревателя и холодильника или лицевых граней жестких образцов | +/- 0,025% |
Максимальная неопределенность измерения толщины нежестких образцов, обусловленная отклонениями их лицевых граней от плоскостности | 0,5% |
Максимальное допустимое значение произведения  , при котором можно не учитывать влияние дефектов на лицевых гранях образца | 0,0005 |
Максимальное допустимое отклонение от параллельности лицевых граней образца по отношению к его толщине | 2% |
Максимальный допустимый размер любых неоднородностей по отношению к толщине образца | 1/10 |
Минимальное рекомендуемое отношение толщины образца к среднему размеру зерен, гранул, чешуек и т.д. | 10 |
Изменение термического сопротивления образцов, содержащих теплопроводные включения, при испытании которых следует применять контактные прокладки большей толщины | 1% |
Минимальное различие измеренных значений теплофизических показателей, которое дает основание считать образец неоднородным | 2% |
Максимальное приемлемое различие значений коэффициента теплопередачи при изменении толщины, при котором теплофизическим показателем материала следует считать теплопроводность или коэффициент теплопропускания | 2% |
Максимальное различие значений коэффициента теплопередачи при изменении толщины, при котором этот коэффициент можно считать равным коэффициенту теплопропускания | 2% |
Предельно допускаемое отклонение измеренных значений термического сопротивления образцов различной толщины от прямой линии, представляющей собой график зависимости термического сопротивления от толщины, при котором можно вычислить тангенс угла наклона этой прямой | +/- 1% |
Максимальная толщина пластиковых листов при измерении термического сопротивления образцов сыпучих материалов | 50 мкм |
C.4. Условия испытаний |
Минимальное термическое сопротивление, которое может быть измерено на приборе, оснащенном тепломером | 0,1 м2·К/Вт |
Максимальное термическое сопротивление жестких образцов, при испытании которых необходимо применять специальные методы измерения температур их лицевых граней | 0,3 м2·К/Вт |
Нижний предел разности температур лицевых граней образца при определении неизвестной зависимости теплофизического показателя от температуры | 5 К |
Верхний рекомендуемый предел разности температур лицевых граней образца при определении неизвестной зависимости теплофизического показателя от температуры | 10 К |
Максимальная допустимая разность температур рабочих поверхностей плит нагревателя и холодильника при калибровке прибора с помощью стандартного образца | 20 - 40 К |
Рекомендуемый максимальный диаметр проводов термопар, заделываемых внутрь лицевых граней образца или устанавливаемых на эти поверхности | 0,2 мм |
Минимальное число термопар на каждой лицевой грани образца (наибольшее число из двух указанных) |  или 2 |
Минимальная требуемая разность между температурой плиты холодильника и точкой росы | 5 К |
Максимальная допускаемая погрешность вследствие боковых теплопотерь | 0,5% |
Максимальное увеличение толщины образца, испытываемого на приборе, предназначенном для испытания одного образца, по сравнению с толщиной образца, испытываемого на собранном по симметричной схеме приборе, предназначенном для испытания двух образцов | 50% |
Максимальная разность толщин двух образцов, одновременно испытываемых на приборе, предназначенном для испытания двух образцов | 2% |
Максимальное рекомендуемое давление, оказываемое плитами прибора на образец, для большинства теплоизоляционных материалов | 2,5 кПа |
Максимальное термическое сопротивление контактных прокладок | Наименьшее совместимое |
Рекомендуемая стандартная температура воздуха в лаборатории, в которой образец выдерживают для достижения им равновесного состояния с воздухом помещения | (296 +/- 1) К |
Рекомендуемая стандартная относительная влажность воздуха в лаборатории, в которой образец выдерживают для достижения им равновесного состояния с воздухом помещения | (50 +/- 10)% |
Максимальное изменение результатов пяти последовательных измерений термического сопротивления, при котором можно считать, что стационарный тепловой режим установился | 1% |
Максимальное допустимое изменение выходного сигнала тепломера с течением времени по отношению к его среднему значению | 1,5% |
Минимальная толщина листов из тонкоизмельченной пробки, используемых для разрыва теплопроводных мостиков | 0,002 м |
(обязательное)
КОНСТРУКТИВНЫЕ РЕШЕНИЯ ПРИБОРОВ
D.1. Варианты конструктивных решений прибора с горячей охранной зоной и прибора, оснащенного тепломером, приведены в
D.2 и
D.3.
Примечание. Все измерения в диапазоне условий испытания, указанном в
ГОСТ 31924, можно проводить на приборе с горячей охранной зоной, выполненном по варианту C (см.
таблицу D.1), и на приборе, оснащенном тепломером, выполненном по варианту B (см.
таблицу D.6).
D.2. Прибор с горячей охранной зоной
Варианты конструктивного решения прибора с горячей охранной зоной приведены в таблице D.1.
Таблица D.1
Варианты конструктивного решения прибора
с горячей охранной зоной
Характеристика | Вариант |
| | |
Размер плит прибора в плане, мм | 300 | 500 | 800 |
Ширина зоны измерения (расстояние между центрами зазоров), мм | 150 | 250 | 500 |
Ширина охранной зоны (от центра зазора до наружной кромки охранной зоны), мм | 75 | 125 | 150 |
Ширина зазора, мм | 2 | 3 | 4 |
Минимальная допустимая теплопроводность образца, Вт/(м·К) | 0,015 | 0,015 | 0,015 |
Максимальная допустимая теплопроводность образца, Вт/(м·К) | 0,5 | 0,5 | 0,5 |
Минимальное допустимое термическое сопротивление образца, м2·К/Вт | 0,3 | 0,3 | 0,3 |
Максимальное допустимое термическое сопротивление образца, м2·К/Вт | 3,0 | 5,0 | 6,7 |
Максимальная допустимая толщина образца, мм | 45 | 75 | 100 |
Минимальная допустимая толщина образца, мм | 20 | 30 | 40 |
Предельно допускаемое отклонение от плоскостности лицевых граней образца, мм | 0,08 | 0,13 | 0,20 |
Толщина металлической пластины нагревателя, мм [алюминий: 150 Вт/(м·К)] | 5 | 8 | 12 |
Общая толщина нагревательного элемента нагревателя, мм | 3 | 3 | 3 |
Минимальная допускаемая разность температур лицевых граней образца, К (для образцов, термическое сопротивление которых меньше, чем 1 м2·К/Вт) | 10 | 10 | 10 |
Стандартная разность температур лицевых граней образца, К | 20 | 20 | 20 |
Максимальная допускаемая разность температур лицевых граней образца, К | 40 | 40 | 40 |
Максимальный допускаемый тепловой поток, проходящий через зону измерения двух образцов (при максимальной допустимой разности температур лицевых граней образца и минимальном термическом сопротивлении образца), Вт | 6 | 17 | 67 |
Минимальная допускаемая чувствительность ноль-индикатора (уравновешивающая термобатарея, состоящая из 32 элементов, термоэлектродвижущая сила каждого из которых равна 40 мкВ/К), мкВ | 0,5 | 1,1 | 3,1 |
Примечания 1. Для прибора, относящегося к варианту B, полный размер плит может быть увеличен до 600 мм за счет установки второй охранной зоны, отделенной от основной охранной зоны зазором шириной 5 мм, при этом другие размеры прибора остаются неизменными. Максимальная толщина испытуемого образца может быть увеличена до 100 мм. 2. Минимальная толщина образца должна превышать ширину зазора в 10 раз. При уменьшении проектировщиком ширины зазора возрастут погрешности измерений при возникновении температурного разбаланса. 3. Минимальное допускаемое термическое сопротивление образца, подвергаемого испытанию в соответствии с требованиями настоящего стандарта, должно быть равно 0,5 м2·К/Вт. Если минимальное допустимое термическое сопротивление образца равно 0,3 м2·К/Вт, то прибор, относящийся к варианту C, можно использовать для испытаний в соответствии с ГОСТ 31924. 4. Для нежестких образцов указанные выше допустимые отклонения от плоскостности обеспечивают точное измерение толщины образцов при минимальных допустимых значениях толщины и полный контакт лицевых граней образца с рабочими поверхностями плит прибора. Для жестких образцов указанные выше допустимые отклонения от плоскостности обеспечивают необходимое ограничение контактных термических сопротивлений при термическом сопротивлении образца, превышающем 0,6 м2·К/Вт, для приборов, относящихся к варианту A, при термическом сопротивлении образца, превышающем 1,0 м2·К/Вт, - для приборов, относящихся к варианту B, при термическом сопротивлении образца, превышающем 1,6 м2 x К/Вт, - для приборов, относящихся к варианту C. |
Нагревательный элемент нагревателя состоит из двух фототравленных пластин толщиной ~= 1 мм с токопроводящим слоем (см. полужирные линии на
рисунке D.1), отделенных друг от друга электроизолирующей пластиной толщиной ~= 1 мм [см. рисунок D.1 a)], или из пластины толщиной ~= 1 мм, с двух сторон которой нанесены токопроводящие слои, отделенной от металлических плит нагревателя двумя электроизолирующими пластинами толщиной ~= 1 мм [см. рисунок D.1 b)].
Примечание. Полужирными линиями показаны фототравленные пластины
Рисунок D.1. Нагревательный элемент нагревателя
Для исключения образования воздушных зазоров между металлическими плитами нагревателя и пластинами нагревательного элемента применяют силиконовую смазку или другие хорошо проводящие тепло компаунды [предпочтительной является схема, представленная на
рисунке D.1 a)]. Нагреватель может быть также собран с помощью винтов; число винтов должно быть минимальным (например, вдоль осей и по диагоналям). Поверхности головок винтов после крепления должны быть обработаны так, чтобы поверхности плит нагревателя, контактирующие с лицевыми гранями образцов, были плоскими.
Спаи уравновешивающих термобатарей должны быть размещены в зазоре, как показано на
рисунке D.2. Точки A и C должны быть расположены на расстоянии (0,2 +/- 0,05)l и (0,7 +/- 0,05)l соответственно от оси нагревателя, где l - половина ширины зоны измерения. Провода термобатареи должны быть размещены параллельно зазору в соответствующем пазе металлических пластин нагревателя на расстоянии не менее 15 мм от спая (см.
рисунок D.3).
Рисунок D.2. Расположение спейсера (прокладки)
и спаев проводов уравновешивающей термобатареи
Н - нагревательный элемент;
М - металлические плиты нагревателя; S - датчик
Рисунок D.3. Конструктивное решение зазора
Конструктивное решение зазора, представленное на рисунке D.3 a), может быть применено в приборах, предназначенных для испытания образцов с теплопроводностью до 1,5 Вт/(м x К). Конструктивное решение зазора, схема которого представлена на
рисунке D.3 b), может быть применено в приборах, предназначенных для испытания образцов с теплопроводностью до 0,5 Вт/(м·К), при условии, что слой теплопроводящего компаунда, толщина которого не более 0,02 мм, а теплопроводность - не менее 0,4 Вт/(м·К), расположен между металлической плитой нагревателя и прикреплен с помощью винтов алюминиевой пластиной.
Приблизительное расположение спейсера (прокладки) показано в точке B на
рисунке D.2. Расстояние от этой точки до оси нагревательного блока (0,4 +/- 0,05)l, где l - половина ширины зоны измерения.
Если фототравленные пластины пересекают зазор, то при расчете не следует учитывать значения площади сечений медных проводов, по которым ток подается на нагреватель центральной зоны, и площади сечений медных проводов потенциометра нагревателя центральной зоны. Суммарная площадь сечений немедных проводов может превышать 6 мм2. В этом случае необходимо проверить общую тепловую проводимость медных и немедных проводов. Максимальная площадь сечений медных и немедных проводов приведена в таблице D.2.
Таблица D.2
Максимальная площадь общего сечения
медных и немедных проводов
Характеристика | Вариант |
A | B | C |
Максимальная площадь общего сечения медных проводов [400 Вт/ (м·К)], пересекающих зазор, мм2 | 6 | 6 | 6 |
Максимальная площадь общего сечения немедных проводов [100 Вт/(м·К)], пересекающих зазор, мм2 | 6 | 6 | 6 |
Примечание. Максимальная площадь общего сечения медных проводов может включать в себя: - площадь сечений соединительных проводов от 32 пар спаев уравновешивающей термобатареи из медноконстантановых термопар, диаметр проводов которых равен 0,25 мм (1,6 мм2); - площадь сечений не более чем шести медноконстантановых термопар диаметром проводов 0,55 мм, установленных на каждой поверхности, контактирующей с лицевой гранью образца (2,8 мм2); - площадь сечений двух проводов (1,5 мм2), по которым ток подается на нагреватель центральной зоны; - площадь сечений двух проводов потенциометра (0,1 мм2) нагревателя центральной зоны. |
Максимальная площадь общего сечения прокладок приведена в таблице D.3.
Таблица D.3
Максимальная площадь общего сечения прокладок
Характеристика | Вариант |
A | B | C |
Максимальная площадь общего сечения прокладок [0,3 Вт/(м·К) в зазоре, мм2 (в скобках указаны размеры восьми прокладок, мм, для каждого варианта прибора)] | 832 (8 x 13) | 1520 (10 x 19) | 3240 (15 x 27) |
При градуировке прибора должны применяться специально градуированные термопары типа T, которые устанавливают в пазах металлических плит нагревателя и холодильника, как показано на
рисунке D.4. В приборах, относящихся к варианту A, термопары располагают в точках A и B; в приборах, относящихся к варианту B, - в точках A, B и C; в приборах, относящихся к варианту C, - во всех точках, указанных на рисунке D.4. Точки на рисунке D.4 указывают на примерное расположение термопар на рабочих поверхностях плит нагревателя и холодильника, обращенных друг к другу, окружности - на примерное расположение термопар, расположенных на противоположных поверхностях. Параметры градуировки термопар приведены в
таблице D.4.
Рисунок D.4. Расположение термопар на рабочих
поверхностях плит нагревателя и холодильника
Таблица D.4
Параметры градуировки термопар
Характеристики | Вариант прибора |
A | B | C |
Максимальная допустимая погрешность измерения электрической мощности, % | 0,2 | 0,2 | 0,2 |
Механические допуски на размер боковой стороны зоны измерения, % | 0,1 | 0,1 | 0,1 |
Погрешность градуировки термопар по отношению к разности температур, % | 0,4 | 0,4 | 0,4 |
Погрешность измерения ЭДС термопар цифровым вольтметром, % | 0,2 | 0,2 | 0,2 |
Граница
рисунка D.4 обозначает границу зоны измерения. На участке, соответствующем охранной зоне, дополнительные термопары допускается не устанавливать. Электрические соединения термопар, установленных на нагревателе и холодильнике, должны быть выполнены в соответствии с рисунком D.5 a или D.5 b).
Н - нагреватель;

,

- спаи термопар, установленных
на нагревателе; C - холодильник;

,

- спаи термопар,
установленных на холодильнике; R - эталонный термостат
(точка плавления льда); A - корпус прибора;
E - окружающая среда (лаборатория)
Рисунок D.5. Соединения термопар
Холодильники выполняют из алюминиевых пластин, которые охлаждаются жидкостью, циркулирующей по трубке (см.
рисунок D.6). Трубка наклеена на поверхность алюминиевой пластины, не контактирующей с лицевой гранью образца, при помощи эпоксидной смолы, импрегнированной металлом.
Рекомендуемое конструктивное решение трубки холодильника представлено на рисунке D.6 c.
Рисунок D.6. Схемы конструктивных решений
трубок холодильника
Характеристики холодильника приведены в таблице D.5.
Таблица D.5
Характеристики холодильника
Характеристика | Вариант |
A | B | C |
Толщина алюминиевой охлаждающей плиты, мм | 15 | 25 | 40 |
Толщина теплоизоляционного слоя на поверхности плиты холодильника, не контактирующей с лицевой гранью образца [теплопроводность 0,04 Вт/(м·К) или менее], мм | 30 | 50 | 80 |
Требуемый расход жидкости с удельной теплоемкостью 3300 Дж/(кг·К) или более, кг/с | 0,023 | 0,059 | 0,14 |
Корпус прибора с горячей охранной зоной должен быть паронепроницаемым. Температура воздуха внутри корпуса не должна отличаться от средней температуры испытуемого образца более чем на 2,5 К. Это условие может быть выполнено кондиционированием воздуха внутри корпуса. Точка росы воздуха должна быть ниже температуры холодной плиты не менее чем на 5 К.
Все провода (провода источника питания, термопар, выходные провода термобатареи и т.д.), выходящие из нагревателя, должны быть закреплены с помощью зажима на расстоянии примерно 100 мм от поверхности нагревателя, при этом длина металлического блока должна быть не менее 100 мм, а его диаметр - не менее 30 мм. Температура блока должна поддерживаться постоянной с помощью электронагревателя и не должна отличаться от температуры нагревателя более чем на 0,5 К. Для прибора, выполненного по варианту B, выполнение приведенного выше условия необязательно, если полный размер плиты прибора увеличен до 600 мм за счет дополнительной охранной зоны.
D.3. Прибор, оснащенный тепломером
Конструктивные решения прибора, оснащенного тепломером, основные технические характеристики прибора приведены в таблицах D.6 и
D.7.
Таблица D.6
Варианты конструктивных решений прибора,
оснащенного тепломером
Вариант A | Асимметричная схема прибора для испытания одного образца |
Вариант B | Симметричная схема прибора для испытания одного образца |
Вариант C | Симметричная схема прибора для испытания одного образца |
Таблица D.7
Характеристика | Вариант |
A | B | C |
Полный размер плит прибора, мм | 300 | 500 | 600 |
Ширина зоны измерения, мм | 150 | 200 | 300 |
Тепломер должен быть изготовлен из пластины вулканизованного каучука толщиной от 5 до 8 мм. На участке пластины, который соответствует зоне измерения, внутри пластины размещают термобатарею так, чтобы спаи термопар располагались на противоположных поверхностях пластины. Для прибора, выполненного по варианту A, минимальное число термопар термобатареи должно быть 64, для прибора, выполненного по варианту B, - 100, для прибора, выполненного по варианту C, - 144. Спаи термопар должны быть расположены, как показано на рисунке D.7 c) или D.7 b). Не допускается располагать спаи по схеме, приведенной на рисунке D.7 a).

- металл А;

- металл Б;

- спаи
Рисунок D.7. Примеры расположения
спаев термопар термобатареи
Наружные поверхности тепломера должны быть защищены тонкими листами резины, толщина которых не должна превышать 1 мм.
В таблице D.8 приведены требования к образцам, предназначенным для испытания на приборе, оснащенном тепломером.
Таблица D.8
Характеристики образцов
Характеристика | Вариант |
| | |
Минимальная теплопроводность образца, Вт/(м·К) | 0,015 | 0,015 | 0,015 |
Максимальная теплопроводность образца, Вт/(м·К) | 0,4 | 0,4 | 0,4 |
Минимальное термическое сопротивление образца, м2·К/Вт | 0,1 | 0,1 | 0,1 |
Максимальное термическое сопротивление образца, м2·К/Вт | 3,0 | 5,0 | 6,7 |
Максимальная толщина образца, мм | 50 | 140 | 100 |
Минимальная допустимая толщина образца, мм | 15 | 25 | 30 |
Предельно допускаемое отклонение образца от плоскостности, мм | 0,08 | 0,13 | 0,15 |
Минимальная допустимая разность температур лицевых граней образца, К (для образцов с термическим сопротивлением меньше, чем 1 м2·К/Вт) | 10 | 10 | 10 |
Стандартная разность температур лицевых граней образца, К | 20 | 20 | 20 |
Минимальная допустимая плотность теплового потока (при стандартной разности температур лицевых граней образца и максимальном допустимом термическом сопротивлении образца), Вт/м2 | 6,67 | 4,0 | 3,0 |
Минимальный допустимый выходной сигнал термобатареи при минимальной плотности теплового потока (при термоэлектродвижущей силе одного элемента 40 мкВ/К), мкВ | 430 | 400 | 430 |
Погрешность градуировки термопар по отношению к разности температур, % | 0,4 | 0,4 | 0,4 |
Погрешность измерения ЭДС термопар цифровым вольтметром, % | 0,2 | 0,2 | 0,2 |
Примечания 1. Только приборы, относящиеся к варианту B, могут быть применены во всем диапазоне условий испытания, приведенном в ГОСТ 31924, при этом максимальная допустимая толщина образца должна быть уменьшена со 140 до 125 мм. 2. Ширина зоны измерения прибора, выполненного по варианту B, может отличаться от 250 мм; при этом необходимо уменьшить максимальную допустимую толщину образца со 140 до 130 мм и со 125 до 115 мм. 3. Для нежестких образцов приведенное максимальное допустимое отклонение от плоскостности обеспечивает точное измерение минимальной допустимой толщины образца и хороший контакт лицевых граней образца с рабочими поверхностями плит прибора и тепломера. Для жестких образцов приведенное максимальное допустимое отклонение от плоскостности обеспечивает предельно допустимые значения контактных термических сопротивлений для образцов с термическим сопротивлением более 0,6 м2·К/Вт, если прибор относится к варианту A; для образцов с термическим сопротивлением более 1,0 м2·К/Вт, если прибор относится к варианту B; для образцов с термическим сопротивлением более 1,2 м2·К/Вт, если прибор относится к варианту C. |
Для градуировки прибора, оснащенного тепломером, должны применяться специально градуированные термопары типа T, диаметр проводов которых должен быть не более 0,55 мм. Термопары должны быть установлены в пазах металлических плит нагревателя или холодильника, контактирующих с лицевыми гранями образца, или в пазах дополнительной резиновой прокладки толщиной не более 2 мм, установленной между рабочей поверхностью тепломера и лицевой гранью образца. Спаи термопар, установленных на резиновых прокладках, должны быть приварены к поверхности тонкой медной пластины, которая контактирует с резиновой прокладкой и не контактирует с лицевой гранью образца. Противоположная поверхность медной пластины должна быть расположена заподлицо с поверхностью резиновой прокладки, которая контактирует с лицевой гранью образца. Площадь медных пластин должна быть от 250 до 400 мм2. Спаи термопар, соприкасающиеся с лицевой гранью образца, должны быть расположены так, как показано точками на
рисунке D.4. В приборах, относящихся к варианту A, термопары расположены в точках A и B; в приборах, относящихся к вариантам B и C, термопары расположены в точках A, B и C. Граница
рисунка D.4 означает границу зоны измерения. Устанавливать дополнительные термопары на участке, соответствующем охранной зоне, необязательно. Для измерения средней температуры на поверхности тепломера, которая не контактирует с лицевой гранью образца, должно быть установлено не менее двух дополнительных термопар.
Электрическое соединение всех термопар на рабочих поверхностях нагревателя и холодильника (контактирующих или не контактирующих с лицевыми гранями образца) должно быть выполнено в соответствии с
рисунком D.5 a) или
D.5 b).
Холодильники выполняют из алюминиевых пластин, которые охлаждаются жидкостью, циркулирующей по трубке. Трубка наклеена на поверхность алюминиевой пластины, не соприкасающейся с лицевой гранью образца, с помощью эпоксидной смолы, импрегнированной металлом. Рекомендуемое конструктивное решение трубки холодильника представлено на
рисунке D.6 [конструктивное решение путем применения трубки соответствующего размера позволяет снизить расход охлаждающей жидкости по сравнению с другими конструктивными решениями, показанными на
рисунках D.6 a) и
D.6 b)].
Холодильники и нагреватели должны обеспечивать создание тепловых потоков, значения которых приведены в таблице D.9.
Таблица D.9
Значения создаваемых тепловых потоков
Характеристика | Вариант |
A | B | C |
Максимальный тепловой поток через образец (при стандартной разности температур лицевых граней образца, равной 20 К, и минимальном термическом сопротивлении образца), Вт | 18 | 50 | 72 |
Тепловой поток через теплоизоляционный слой нагревателя или холодильника, Вт | 1,8 | 3,0 | 3,6 |
Характеристики холодильника приведены в таблице D.10.
Таблица D.10
Характеристики холодильника
Характеристика | Вариант |
A | B | C |
Толщина алюминиевой охлаждающей пластины, мм | 15 | 25 | 40 |
Требуемый расход жидкости с удельной теплоемкостью 3300 Дж/(кг·К) или более, кг/с | 0,030 | 0,080 | 0,12 |
Толщина теплоизоляционного слоя на поверхности нагревателя или холодильника, не контактирующей с лицевой гранью образца [теплопроводность 0,04 Вт/(м·К) или менее], должна быть, мм:
для приборов, относящихся к варианту A, - 30;
" " " B - 50;
" " " C - 60.
Корпус прибора должен быть паронепроницаемым. Температура воздуха внутри корпуса не должна отличаться от средней температуры испытуемого образца более чем на 2,5 К. Указанное условие может быть выполнено кондиционированием воздуха внутри корпуса прибора. Точка росы воздуха должна быть ниже температуры холодной плиты не менее чем на 5 К.
Провода (провода термопар, выходные провода термобатареи и т.д.), выходящие из нагревателя и тепломера, контактирующего с нагревателем (если это целесообразно), до вывода их из прибора должны быть закреплены с помощью зажимов на участке боковой поверхности нагревателя, длина которого должна быть не менее 20 см. Требование распространяется на все провода, выходящие из холодильника и тепломера, контактирующего с холодильником (если это целесообразно).
(справочное)
СРАВНЕНИЕ СТРУКТУРЫ НАСТОЯЩЕГО СТАНДАРТА
СО СТРУКТУРОЙ ЕВРОПЕЙСКОГО РЕГИОНАЛЬНОГО СТАНДАРТА
Таблица ДА.1
Структура европейского регионального стандарта | Структура настоящего стандарта |
Раздел | Пункт | Подпункт | Раздел | Пункт | Подпункт |
- | 6.3.2 | - | - | | |
- | - | - | |
- | - | - | |
- | - | - | |
- | 8.2.3 | - | - | | - |
- | 8.2.3.1 | - | - |
- | 8.2.3.1.1 | - | - |
- | - | 8.2.3.1.2 | - | | - |
- | - | 8.2.3.2 | - | | - |
A.2 | - | - | | - | - |
A.3 | - | - | | - | - |
A.4 | - | - | | - | - |
A.5 | - | - | | - | - |
(справочное)
ТЕКСТ АУТЕНТИЧНОГО ПЕРЕВОДА РАЗДЕЛА A.1 ПРИЛОЖЕНИЯ A
ЕВРОПЕЙСКОГО РЕГИОНАЛЬНОГО СТАНДАРТА, НЕ ВКЛЮЧЕННОГО
В ТЕКСТ НАСТОЯЩЕГО СТАНДАРТА
A.1. Введение: теплоперенос и измеряемые показатели
При испытании изделий с высоким и средним термическим сопротивлением тепловой поток, проходящий через изделия, может представлять собой сочетание трех взаимосвязанных тепловых потоков:
- радиационного;
- кондукционного через матрицу и газ в порах материала;
- конвекционного (при определенных условиях испытания).
Теплоперенос через изделия, особенно предварительно увлажненные, сопровождается массопереносом. При этом теплофизический показатель, ошибочно называемый "теплопроводность", значение которого вычисляют путем подстановки в формулу экспериментально измеренных значений теплового потока разности температур и размеров образца, может не являться свойством материала, т.к. данный показатель может зависеть от условий испытания. В этом случае теплофизический показатель следует называть "коэффициентом теплопередачи" (вместо термина "коэффициент теплопередачи" применяют термин "кажущаяся теплопроводность" или "эффективная теплопроводность"). Коэффициент теплопередачи может в значительной мере зависеть от толщины образца и (или) от разности температур поверхностей его лицевых граней при постоянной средней температуре образца, а также от излучательной способности рабочих поверхностей плит прибора, с которыми контактируют лицевые грани образца.
Примечание. При испытании образцов, толщина которых превышает значение толщины, максимально допускаемое для испытания на имеющемся приборе, или образцов, для которых имеет место "эффект толщины", следует выполнять требования EN 12939.
Из сказанного следует, что термическое сопротивление и коэффициент теплопередачи являются показателями, которые описывают процесс теплопереноса через образец в конкретных условиях испытания. Если существует вероятность возникновения конвекционного теплового потока через испытуемый образец (например, через образец, вырезанный из минераловатной плиты малой плотности), то ориентация образца в пространстве, его толщина и разность температур его лицевых граней могут оказать влияние на коэффициент теплопередачи и термическое сопротивление.
При измерении теплофизического показателя большого числа образцов, изготовленных из одного и того же материала, измеренные значения этого показателя могут:
1) варьироваться вследствие изменчивости состава материала или выборки;
2) зависеть от влажности образцов или других факторов;
3) изменяться со временем;
4) изменяться при изменении средней температуры образцов;
5) зависеть от теплового воздействия, которое ранее оказывалось на каждый из образцов.
Определение теплофизического показателя, характеризующего материал при конкретном варианте его применения, должно проводиться при применении соответствующей схемы испытания образцов, условий испытания и правил преобразования измеренных значений (см. также
A.4).