Главная // Актуальные документы // ПравилаСПРАВКА
Источник публикации
В данном виде документ опубликован не был.
Первоначальный текст документа опубликован в издании
М., 2016.
Информацию о публикации документов, создающих данную редакцию, см. в справке к этим документам.
Примечание к документу
Документ утратил силу полностью с 01.09.2021 в связи признанием утратившим силу
Постановления Правительства РФ от 04.07.2020 N 985.
Документ утратил силу с 08.04.2021, за исключением пунктов, включенных в
Перечень национальных стандартов и сводов правил (частей таких стандартов и сводов правил), в результате применения которых на обязательной основе обеспечивается соблюдение требований Федерального
закона "Технический регламент о безопасности зданий и сооружений", утвержденный
Постановлением Правительства РФ от 04.07.2020 N 985, до внесения соответствующих изменений в указанный Перечень, в связи с изданием
Приказа Минстроя России от 30.12.2020 N 920/пр, утвердившего новый Свод правил
СП 30.13330.2020.
Отдельные положения данного документа включены в
Перечень национальных стандартов и сводов правил (частей таких стандартов и сводов правил), в результате применения которых на обязательной основе обеспечивается соблюдение требований Федерального
закона "Технический регламент о безопасности зданий и сооружений" (
Постановление Правительства РФ от 04.07.2020 N 985).
Документ был включен в
Перечень документов в области стандартизации, в результате применения которых на добровольной основе обеспечивается соблюдение требований Федерального
закона от 30.12.2009 N 384-ФЗ "Технический регламент о безопасности зданий и сооружений" (
Приказ Росстандарта от 02.04.2020 N 687).
Документ включен в
Перечень документов в области стандартизации, в результате применения которых на добровольной основе обеспечивается соблюдение требований Федерального
закона от 30.12.2009 N 384-ФЗ "Технический регламент о безопасности зданий и сооружений" (
Приказ Росстандарта от 17.04.2019 N 831).
Изменение N 1, утв.
Приказом Минстроя России от 24.01.2019 N 33/пр, введено в действие с 25 июля 2019 года.
Название документа
"СП 30.13330.2016. Свод правил. Внутренний водопровод и канализация зданий. СНиП 2.04.01-85*"
(утв. и введен в действие Приказом Минстроя России от 16.12.2016 N 951/пр)
(ред. от 24.01.2019)
"СП 30.13330.2016. Свод правил. Внутренний водопровод и канализация зданий. СНиП 2.04.01-85*"
(утв. и введен в действие Приказом Минстроя России от 16.12.2016 N 951/пр)
(ред. от 24.01.2019)
Утвержден и введен в действие
и жилищно-коммунального хозяйства
Российской Федерации
от 16 декабря 2016 г. N 951/пр
СВОД ПРАВИЛ
ВНУТРЕННИЙ ВОДОПРОВОД И КАНАЛИЗАЦИЯ ЗДАНИЙ
Domestic water supply and drainage systems in buildings
СП 30.13330.2016
| | Список изменяющих документов Минстроя России от 24.01.2019 N 33/пр) | |
Дата введения
17 июня 2017 года
Сведения о своде правил
1 ИСПОЛНИТЕЛИ - ООО "СанТехПроект", ОАО "СантехНИИпроект", ООО "Группа Компаний Элита", ЗАО "ИСЗС-Консалт"
2 ВНЕСЕН Техническим комитетом по стандартизации ТК 465 "Строительство"
3 ПОДГОТОВЛЕН к утверждению Департаментом градостроительной деятельности и архитектуры Министерства строительства и жилищно-коммунального хозяйства Российской Федерации (Минстрой России)
4 УТВЕРЖДЕН
приказом Министерства строительства и жилищно-коммунального хозяйства Российской Федерации от 16 декабря 2016 г. N 951/пр и введен в действие с 17 июня 2017 г.
5 ЗАРЕГИСТРИРОВАН Федеральным агентством по техническому регулированию и метрологии (Росстандарт). Пересмотр СП 30.13330.2010 "СНиП 2.04.01-85* Внутренний водопровод и канализация зданий"
В случае пересмотра (замены) или отмены настоящего свода правил соответствующее уведомление будет опубликовано в установленном порядке. Соответствующая информация, уведомление и тексты размещаются также в информационной системе общего пользования - на официальном сайте разработчика (Минстрой России) в сети Интернет
Настоящий свод правил разработан в соответствии с требованиями технических регламентов: Федерального
закона "О техническом регулировании"
[1], Федерального
закона "Технический регламент о требованиях пожарной безопасности"
[2], Федерального закона "Об энергосбережении и о повышении энергетической эффективности и о внесении изменений в отдельные законодательные акты Российской Федерации"
[3], Федерального
закона "Технический регламент о безопасности зданий и сооружений"
[4], Федерального
закона "О водоснабжении и водоотведении"
[5].
Актуализация СНиП выполнена авторским коллективом:
ООО "СанТехПроект" (канд. техн. наук А.Я. Шарипов, инж. Е.В. Чирикова),
ОАО "СантехНИИпроект" (инж. Т.И. Садовская),
ООО "Группа Компаний Элита" (инж. А.А. Варламов, инж. И.В. Горюнов).
Изменение N 1 к настоящему своду правил выполнено авторским коллективом федерального государственного бюджетного учреждения "Научно-исследовательский институт строительной физики Российской академии архитектуры и строительных наук" (канд. техн. наук Д.Б. Фрог, канд. техн. наук П.Л. Карасев), АО "МосводоканалНИИпроект (д-р техн. наук О.Г. Примин).
(абзац введен
Изменением N 1, утв. Приказом Минстроя России от 24.01.2019 N 33/пр)
| | Применение на обязательной основе разд. 1 обеспечивает соблюдение требований Федерального закона от 30.12.2009 N 384-ФЗ "Технический регламент о безопасности зданий и сооружений" (Постановление Правительства РФ от 04.07.2020 N 985). | |
1.1 Настоящий свод правил распространяется на проектирование внутренних систем водопровода холодной и горячей воды, водоотведения (канализации) и водостоков в строящихся и реконструируемых производственных зданиях, общественных зданиях высотой до 50 м и в жилых зданиях высотой не более 75 м, включая многофункциональные здания и здания одного функционального назначения.
(в ред.
Изменения N 1, утв. Приказом Минстроя России от 24.01.2019 N 33/пр)
1.2 Настоящие нормы и правила не распространяются на:
- системы противопожарного водопровода предприятий, производящих или хранящих взрывчатые, легковоспламеняющиеся, горючие вещества, а также других объектов, требования к внутреннему противопожарному водопроводу которых установлены соответствующими нормативными документами;
(в ред.
Изменения N 1, утв. Приказом Минстроя России от 24.01.2019 N 33/пр)
- системы автоматического водяного пожаротушения;
- установки обработки горячей водой;
- системы горячего водоснабжения, подающие воду на лечебные процедуры, технологические нужды промышленных предприятий и системы водоснабжения в пределах технологического оборудования;
- системы специального производственного водоснабжения (деионизированной воды, глубокого охлаждения и др.).
Минстроя России от 24.01.2019 N 33/пр)
В настоящем своде правил использованы нормативные ссылки на следующие документы:
ГОСТ 12.1.003-2014 Система стандартов безопасности труда. Шум. Общие требования безопасности
ГОСТ 17.1.2.03-90 Охрана природы. Гидросфера. Критерии и показатели качества воды для орошения
ГОСТ 19185-73 Гидротехника. Основные понятия. Термины и определения
ГОСТ 27751-2014 Надежность строительных конструкций и оснований. Основные положения
ГОСТ Р 50193.1-92 Измерение расхода воды в закрытых каналах. Счетчики холодной питьевой воды. Технические требования
ГОСТ Р 51232-98 Вода питьевая. Общие требования к организации и методам контроля качества
СП 5.13130.2009 Системы противопожарной защиты. Установки пожарной сигнализации и пожаротушения автоматические. Нормы и правила проектирования (с изменением N 1)
СП 10.13130.2009 Системы противопожарной защиты. Внутренний противопожарный водопровод. Требования пожарной безопасности (с изменением N 1)
СП 21.13330.2012 "СНиП 2.01.09-91 Здания и сооружения на подрабатываемых территориях и просадочных грунтах" (с изменением N 1)
СП 31.13330.2012 "СНиП 2.04.02-84* Водоснабжение. Наружные сети и сооружения" (с изменениями N 1, N 2, N 3, N 4)
СП 60.13330.2016 "СНиП 41-01-2003 Отопление, вентиляция и кондиционирование воздуха" (с изменением N 1)
СП 61.13330.2012 "СНиП 41-03-2003 Тепловая изоляция оборудования и трубопроводов" (с изменением N 1)
СП 66.13330.2011 Проектирование и строительство напорных сетей водоснабжения и водоотведения с применением высокопрочных труб из чугуна с шаровидным графитом (с изменениями N 1, N 2)
СП 73.13330.2016 "СНиП 3.05.01-85 Внутренние санитарно-технические системы зданий"
СанПиН 2.1.2.2645-10 Санитарно-эпидемиологические требования к условиям проживания в жилых зданиях и помещениях
СанПиН 2.1.4.1074-01 Питьевая вода. Гигиенические требования к качеству воды централизованных систем питьевого водоснабжения. Контроль качества. Гигиенические требования к обеспечению безопасности систем горячего водоснабжения
СанПиН 2.1.4.2652-10 Гигиенические требования безопасности материалов, реагентов, оборудования, используемых для водоочистки и водоподготовки. Изменение N 3 в СанПиН 2.1.4.1074-01
СанПиН 2.1.4.2496-09 Гигиенические требования к обеспечению безопасности систем горячего водоснабжения. Изменение к СанПиН 2.1.4.1074-01
Примечание - При пользовании настоящим сводом правил целесообразно проверить действие ссылочных документов в информационной системе общего пользования - на официальном сайте федерального органа исполнительной власти в сфере стандартизации в сети Интернет или по ежегодному информационному указателю "Национальные стандарты", который опубликован по состоянию на 1 января текущего года, и по выпускам ежемесячного информационного указателя "Национальные стандарты" за текущий год. Если заменен ссылочный документ, на который дана недатированная ссылка, то рекомендуется использовать действующую версию этого документа с учетом всех внесенных в данную версию изменений. Если заменен ссылочный документ, на который дана датированная ссылка, то рекомендуется использовать версию этого документа с указанным выше годом утверждения (принятия). Если после утверждения настоящего свода правил в ссылочный документ, на который дана датированная ссылка, внесено изменение, затрагивающее положение, на которое дана ссылка, то это положение рекомендуется применять без учета данного изменения. Если ссылочный документ отменен без замены, то положение, в котором дана ссылка на него, рекомендуется применять в части, не затрагивающей эту ссылку. Сведения о действии сводов правил целесообразно проверить в Федеральном информационном фонде стандартов.
3. Термины, определения, обозначения и единицы измерения
3.1. Термины и определения
В настоящем своде правил применены термины по
ГОСТ 19185,
ГОСТ 25151, а также следующие термины с соответствующими определениями:
(в ред.
Изменения N 1, утв. Приказом Минстроя России от 24.01.2019 N 33/пр)
3.1.1 абонент: Физическое либо юридическое лицо, заключившее или обязанное заключить договор горячего водоснабжения, холодного водоснабжения и (или) договор водоотведения, единый договор холодного водоснабжения и водоотведения.
3.1.2 авария инженерных систем: Повреждение или выход из строя систем водоснабжения, устройств, повлекшие либо существенное снижение объемов водопотребления и водоотведения, качества питьевой воды или причинение ущерба окружающей среде, имуществу юридических или физических лиц и здоровью населения.
3.1.3 бак-аккумулятор: Резервуар для накопления и хранения объема воды, достаточного для регулирования неравномерности водопотребления.
3.1.4 баланс водопотребления и водоотведения: документ, содержащий сведения о среднесуточном объеме воды, полученной абонентом из всех источников водоснабжения, и (или) об объеме сточных вод, сброшенных абонентом в централизованную систему водоотведения, в том числе сведения о распределении объема сточных вод по канализационным выпускам.
(п. 3.1.4 в ред.
Изменения N 1, утв. Приказом Минстроя России от 24.01.2019 N 33/пр)
3.1.5 внутренняя система водопровода (внутренний водопровод): Система трубопроводов и устройств, обеспечивающая присоединение к наружным сетям, подачу воды к санитарно-техническим приборам, технологическому оборудованию и пожарным кранам в границах внешнего контура стен одного здания или группы зданий и сооружений и имеющая общее водоизмерительное устройство от наружных сетей водопровода поселения, городского округа или предприятия.
(в ред.
Изменения N 1, утв. Приказом Минстроя России от 24.01.2019 N 33/пр)
3.1.6 внутренняя система водоотведения (внутренняя канализация): Система трубопроводов и устройств, в границах внешнего контура здания и сооружений, ограниченная выпусками до первого смотрового колодца, обеспечивающая отведение сточных, дождевых и талых вод в сеть водоотведения соответствующего назначения поселения или городского округа или предприятия.
(п. 3.1.6 в ред.
Изменения N 1, утв. Приказом Минстроя России от 24.01.2019 N 33/пр)
3.1.7 водоотведение: Прием, транспортировка и очистка сточных вод с использованием централизованной системы водоотведения.
3.1.8 водопотребление: Использование воды абонентом (субабонентом) на удовлетворение своих нужд или нужд потребителей услуг, жильцов.
3.1.9 водопроводные и канализационные устройства и сооружения для присоединения к системам водоснабжения и канализации (водопроводный ввод или канализационный выпуск): Устройства и сооружения, через которые абонент получает питьевую воду из системы водоснабжения и (или) сбрасывает сточные воды в систему водоотведения.
(в ред.
Изменения N 1, утв. Приказом Минстроя России от 24.01.2019 N 33/пр)
3.1.10 водопроводная сеть: Комплекс технологически связанных между собой инженерных сооружений, предназначенных для транспортировки воды.
3.1.11 водоснабжение: Водоподготовка, транспортировка и подача питьевой или технической воды абонентам с использованием централизованных или нецентрализованных систем холодного водоснабжения или приготовление, транспортировка и подача горячей воды абонентам с использованием централизованных или нецентрализованных систем горячего водоснабжения.
3.1.12 гарантированное давление: Давление на вводе абонента, которое гарантированно обеспечивает водоснабжающая организация по техническим условиям.
3.1.13 гарантирующая организация: Организация, осуществляющая холодное водоснабжение и (или) водоотведение, определенная решением органа местного самоуправления поселения, городского округа, которая обязана заключить договор холодного водоснабжения, договор водоотведения, единый договор холодного водоснабжения и водоотведения с любым обратившимся к ней лицом, чьи объекты подключены (технологически присоединены) к централизованной системе холодного водоснабжения и (или) водоотведения.
3.1.14 граница балансовой принадлежности: Линия раздела объектов централизованных систем холодного водоснабжения и (или) водоотведения, в том числе водопроводных и (или) водоотводящих сетей, между владельцами по признаку собственности или владения на ином законном основании.
(в ред.
Изменения N 1, утв. Приказом Минстроя России от 24.01.2019 N 33/пр)
3.1.15 канализационная сеть: Комплекс технологически связанных между собой инженерных сооружений, предназначенных для транспортировки сточных вод.
3.1.16 канализационный вентилируемый стояк: Стояк, имеющий вытяжную часть и через нее - сообщение с атмосферой, способствующее воздухообмену в трубопроводах канализационной сети.
3.1.17 канализационный невентилируемый стояк: Стояк, не имеющий сообщения с атмосферой. К невентилируемым стоякам относятся: стояк, не имеющий вытяжной части или оборудованный воздушным (противовакуумным) клапаном; группа (до трех включительно) стояков, объединенных поверху сборным трубопроводом, оборудованным воздушным (противовакуумным) клапаном; группа (не менее четырех) стояков, объединенных поверху сборным трубопроводом, без устройства вытяжной части.
(п. 3.1.17 в ред.
Изменения N 1, утв. Приказом Минстроя России от 24.01.2019 N 33/пр)
3.1.18 квартирный прибор учета воды: Прибор учета, установленный на вводах систем горячего и холодного водоснабжения в жилое или нежилое помещение здания.
3.1.19 клапан воздушный (противовакуумный): Устройство, пропускающее воздух в одном направлении - вслед за движущейся в трубопроводе жидкостью и не пропускающее воздух в обратном направлении.
3.1.20 коммерческий учет воды и сточных вод (далее - коммерческий учет): Определение количества поданной (полученной) за определенный период воды, принятых (отведенных) сточных вод с помощью средств измерений (далее - приборы учета) или расчетным способом.
3.1.21 локальные очистные сооружения: Сооружения и устройства, предназначенные для очистки сточных вод абонента (субабонента) перед сбросом (приемом) в систему водоотведения или для использования в системе оборотного водоснабжения.
(в ред.
Изменения N 1, утв. Приказом Минстроя России от 24.01.2019 N 33/пр)
3.1.22 лимит водопотребления (водоотведения): Установленный абоненту техническими условиями предельный объем отпущенной (полученной) питьевой воды и принимаемых (сбрасываемых) сточных вод за определенный период времени.
3.1.23 общедомовый прибор учета воды: Прибор учета, установленный на вводах систем горячего и холодного водоснабжения в жилом здании.
3.1.24 питьевая вода: Вода после подготовки или в естественном состоянии, отвечающая гигиеническим требованиям санитарных норм и предназначенная для питьевых и бытовых нужд населения и (или) производства пищевой продукции.
3.1.25 поверхностные сточные воды: Принимаемые в централизованную систему водоотведения дождевые, талые, инфильтрационные, поливомоечные, дренажные сточные воды.
3.1.26 пропускная способность устройства или сооружения для присоединения: Возможность водопроводного ввода (канализационного выпуска) пропустить расчетное количество воды (сточных вод) при заданном режиме за определенное время.
3.1.27 расчетные расходы воды: Расходы воды, определяемые расчетом с учетом основных влияющих факторов (числа потребителей, количества приборов, заселенности квартир жилых зданий, объема выпуска продукции и др.).
Примечание - Расчетные расходы воды и нормы потребления не могут быть использованы для определения коммерческого расчета.
3.1.28 расчетные расходы стоков: Обоснованные исследованиями и практикой эксплуатации значения расходов, прогнозируемых для объекта канализования в целом или его части с учетом влияющих факторов (числа потребителей, количества и характеристик санитарно-технических приборов и оборудования, емкости отводных трубопроводов и др.).
3.1.29 разрешительная документация: Разрешение на присоединение к системам водоснабжения (водоотведения), выдаваемое органами местного самоуправления по согласованию с местными службами Роспотребнадзора в части обеспечения санитарно-гигиенического благополучия населения, и технические условия на присоединение, выдаваемые организацией водопроводно-канализационного хозяйства.
(в ред.
Изменения N 1, утв. Приказом Минстроя России от 24.01.2019 N 33/пр)
3.1.30 режим отпуска (получения) питьевой воды: Гарантированный расход (часовой, секундный) и свободный напор при заданном характерном водопотреблении на нужды абонента.
3.1.31 система водоснабжения: Комплекс инженерных сооружений, обеспечивающих забор воды из источников водоснабжения, ее очистку до нормативных показателей, транспортировку и подачу воды абонентам.
3.1.32 система водоотведения: Комплекс инженерных сооружений, обеспечивающий прием бытовых и производственных стоков абонентов с последующей очисткой, отведением в водные объекты и обработкой осадков сточных вод.
(в ред.
Изменения N 1, утв. Приказом Минстроя России от 24.01.2019 N 33/пр)
3.1.33 система горячего водоснабжения открытая: Отбор воды для горячего водопотребления, осуществляемый непосредственно из сети теплоснабжения.
3.1.34 система горячего водоснабжения закрытая: Подогрев воды для горячего водопотребления, осуществляемый в теплообменниках и водонагревателях.
3.1.35 система оборотного водоснабжения: Повторное использование воды для технологических нужд после их очистки на локальных очистных сооружениях.
3.1.36 состав и свойства сточных вод: Совокупность показателей, характеризующих физические, химические, бактериологические и другие свойства сточных вод, в том числе концентрацию загрязняющих веществ, иных веществ и микроорганизмов в сточных водах.
3.1.37 сточные воды: Стоки, образующиеся в результате деятельности человека (бытовые стоки), после использования воды в технологических процессах (производственные), дождевые.
3.1.38 срок службы оборудования, арматуры, материалов: Продолжительность работы до достижения состояния, при котором дальнейшая их эксплуатация невозможна из-за снижения надежности и безопасности.
3.1.39 техническая вода: Вода, не предназначенная для питья, приготовления пищи и других хозяйственно-бытовых нужд населения или для производства пищевой продукции.
3.1.40 узел учета потребляемой воды и сбрасываемых стоков (узел учета): Совокупность приборов и устройств, обеспечивающих учет количества потребляемой (получаемой) воды и сбрасываемых (принимаемых) стоков.
3.1.41 централизованная система холодного водоснабжения: Комплекс технологически связанных между собой инженерных сооружений, предназначенных для водоподготовки, транспортировки и подачи питьевой и (или) технической воды абонентам.
3.1.42 этажность здания: Число этажей здания, включая все надземные этажи, а также технический и цокольный этаж, если верх его перекрытия находится выше средней планировочной отметки земли не менее чем на 2 м.
3.1.43 энергетический ресурс: Носитель энергии, энергия которого используется или может быть использована при осуществлении хозяйственной и иной деятельности, а также вид энергии (атомная, тепловая, электрическая, электромагнитная энергия или другой вид энергии).
3.1.44 энергосбережение: Реализация организационных, правовых, технических, технологических, экономических и иных мер, направленных на уменьшение объема используемых энергетических ресурсов при сохранении соответствующего полезного эффекта от их использования (в том числе объема произведенной продукции, выполненных работ, оказанных услуг).
3.2. Обозначения и единицы измерения
В настоящем своде правил используются следующие обозначения и единицы измерения
Обозначение | Наименование величины | Единица измерения |
| Общий расход воды санитарно-техническим прибором (арматурой) | л/с |
| Расход горячей воды санитарно-техническим прибором (арматурой) | л/с |
| Расход холодной воды санитарно-техническим прибором (арматурой) | л/с |
| Расход стоков от санитарно-технического прибора | л/с |
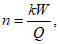
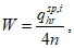
qtot | Общий максимальный расчетный расход воды | л/с |
qh | Максимальный расчетный расход горячей воды | л/с |
qc | Максимальный расчетный расход холодной воды | л/с |
qs | Максимальный расчетный расход сточных вод | л/с |
| Общий расход воды санитарно-техническим прибором | л/ч |
| Расход горячей воды санитарно-техническим прибором | л/ч |
| Расход холодной воды санитарно-техническим прибором, принимаемый согласно приложению А | л/ч |
| Общая норма расхода воды потребителем в час наибольшего водопотребления | л |
| Норма расхода горячей воды потребителем в час наибольшего водопотребления | л |
| Норма расхода холодной воды потребителем в час наибольшего потребления | л |
| Общий максимальный часовой расход воды | м3 |
| Максимальный часовой расход горячей воды | м3 |
| Максимальный часовой расход холодной воды | м3 |
| Общий средний часовой расход воды | м3 |
| Средний часовой расход горячей воды | м3 |
| Средний часовой расход холодной воды | м3 |
qcir | Расчетный циркуляционный расход горячей воды в системе | л/с |
qh,cir | Расчетный расход горячей воды с учетом циркуляционного | л/с |
| Общий расход воды потребителем в сутки (смену) | л |
| Расход горячей воды потребителем в сутки (смену) | л |
| Расход холодной воды потребителем в сутки (смену) | л |
| Расчетный удельный (средний за год) суточный расход горячей воды | л/сут |
| Расчетный удельный (средний за год) общий (в том числе горячей воды) суточный расход воды | л/сут |
qst,w | Расчетный расход дождевых вод | л/с |
qsp | Расход воды, подаваемой насосами | л/с (м3/ч) |
| Часовой расход воды, подаваемой насосом | м3 |
U | Количество водопотребителей | чел. |
N | Количество санитарно-технических приборов | шт. |
P | Вероятность действия санитарно-технических приборов | - |
Phr | Вероятность использования санитарно-технических приборов (возможность подачи прибором нормированного часового расхода воды) в течение расчетного часа в зданиях или сооружениях с одинаковыми водопотребителями | - |
T | Расчетное время потребления воды (сутки, смена) | ч |
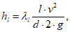
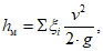
Hp | Напор (давление), развиваемый насосной установкой | МПа |
Hgeom | Геометрическая высота подачи воды от оси насоса до требуемого санитарно-технического прибора | м |
Hl | Потери напора (давления) на расчетном участке трубопровода | МПа |
Hl,tot | Сумма потерь напора на расчетном участке трубопровода | МПа |
Hg | Наименьший гарантированный напор (давление) в наружной водопроводной сети | МПа |
Hcp | Избыточный напор (давление), который следует погасить диафрагмой | МПа |
| Тепловой поток на нужды горячего водоснабжения в течение часа максимального водопотребления | кВт |
(в ред. Изменения N 1, утв. Приказом Минстроя России от 24.01.2019 N 33/пр) |
| Тепловой поток на нужды горячего водоснабжения в течение среднего часа водопотребления | кВт |
(в ред. Изменения N 1, утв. Приказом Минстроя России от 24.01.2019 N 33/пр) |
Qht | Теплопотери на расчетном участке | кВт |
(в ред. Изменения N 1, утв. Приказом Минстроя России от 24.01.2019 N 33/пр) |
v | Скорость движения жидкости в трубопроводе | м/с |
| Наполнение трубопровода | - |
tc | Температура холодной воды в сети водопровода; при отсутствии данных ее следует принимать равной 5 °C | °C |
| Разность температур в подающих трубопроводах системы горячей воды | °C |
n | Количество включений насоса в течение одного часа | ед. |
M | Количество групп водопотребителей | шт. |
4.1 Трубопроводы внутриплощадочных сетей водопровода (в том числе наружного пожаротушения) и водоотведения, прокладываемые вне здания, должны соответствовать требованиям
СП 31.13330 и
СП 32.13330.
(п. 4.1 в ред.
Изменения N 1, утв. Приказом Минстроя России от 24.01.2019 N 33/пр)
4.2 Качество сточных вод после очистки в локальных установках должно соответствовать условиям приема их в сети наружной канализации.
4.3 В неканализованных районах поселений и городских округов системы внутреннего водопровода с устройством местных поквартирных и/или коллективных систем доочистки питьевой воды и системы водоотведения с устройством местных очистных сооружений следует предусматривать: в жилых зданиях высотой более двух этажей, гостиницах, домах-интернатах для инвалидов и престарелых, больницах, родильных домах, поликлиниках, амбулаториях, диспансерах, санэпидстанциях, санаториях, домах отдыха, пансионатах, физкультурно-оздоровительных учреждениях, дошкольных образовательных учреждениях, школах-интернатах, учреждениях начального и среднего профессионального образования, общеобразовательных школах, кинотеатрах, клубных и досугово-развлекательных учреждениях, предприятиях общественного питания, спортивных сооружениях, банях и прачечных.
(в ред.
Изменения N 1, утв. Приказом Минстроя России от 24.01.2019 N 33/пр)
В зданиях, оборудованных внутренним хозяйственно-питьевым или производственным водопроводом, следует предусматривать систему внутренней канализации с устройством локальных очистных сооружений.
Примечание - По заданию на проектирование допускается устройство системы внутреннего водоснабжения и канализации для одно- и двухэтажных жилых зданий с устройством местных систем доочистки питьевой воды и местных очистных сооружений сточных вод.
4.4 В неканализованных районах поселений и городских округов при согласовании с местными органами Роспотребнадзора, в части обеспечения санитарно-гигиенического благополучия населения, допускается оборудовать люфт-клозетами, туалетными кабинами и уборными с соблюдением требований
СанПиН 42-128-4690 (для зданий, расположенных в климатических районах I - III) или биотуалетами следующие здания:
(в ред.
Изменения N 1, утв. Приказом Минстроя России от 24.01.2019 N 33/пр)
- производственные и вспомогательные здания промышленных предприятий при числе работающих до 25 человек в смену;
- жилые здания высотой один-два этажа;
- общежития высотой один-два этажа, не более чем на 50 человек;
- объекты физкультурного и физкультурно-досугового назначения не более чем на 240 мест, используемые только в летнее время;
- клубные и досугово-развлекательные учреждения;
- открытые плоскостные спортивные сооружения;
- предприятия общественного питания не более чем на 25 посадочных мест.
Устройство вводов водопровода в этих зданиях не предусматривается, способы утилизации содержимого люфт-клозетов, туалетных кабин, уборных и биотуалетов определяются проектом и техническими условиями местных коммунальных служб.
(в ред.
Изменения N 1, утв. Приказом Минстроя России от 24.01.2019 N 33/пр)
4.5 Необходимость устройства внутренних водостоков устанавливается в архитектурно-строительной части проекта.
| | Применение на обязательной основе п. 4.6 обеспечивает соблюдение требований Федерального закона от 30.12.2009 N 384-ФЗ "Технический регламент о безопасности зданий и сооружений" (Постановление Правительства РФ от 04.07.2020 N 985). | |
4.6 Трубы, арматура, оборудование и материалы, применяемые при устройстве внутренних систем холодного и горячего водопровода, водоотведения и водостоков, должны соответствовать требованиям настоящих норм, национальных стандартов, санитарно-эпидемиологических норм и других документов, утвержденных в установленном порядке.
(в ред.
Изменения N 1, утв. Приказом Минстроя России от 24.01.2019 N 33/пр)
Для транспортирования и хранения воды питьевого качества следует применять трубы, материалы и антикоррозионные покрытия, имеющие соответствующие разрешения на применение в порядке, установленном в Российской Федерации в области технического регулирования и санитарно-эпидемиологического благополучия населения.
Использование восстановленных стальных и других труб, а также бывших в употреблении видов металлоконструкций (профилей, листов, полос, шпунтов и др.) не допускается.
4.7 При проектировании и реконструкции инженерных сетей в жилых и административных зданиях узлы прохода стояков через межэтажные перекрытия следует заполнять современными эластичными герметизирующими материалами, при этом трубопровод стояка должен быть заключен в кожух из минераловатных изделий группы горючести НГ.
(п. 4.7 введен
Изменением N 1, утв. Приказом Минстроя России от 24.01.2019 N 33/пр)
5.1. Качество и температура воды
| | Применение на обязательной основе п. п. 5.1.1 - 5.1.4 обеспечивает соблюдение требований Федерального закона от 30.12.2009 N 384-ФЗ "Технический регламент о безопасности зданий и сооружений" (Постановление Правительства РФ от 04.07.2020 N 985). | |
(в ред.
Изменения N 1, утв. Приказом Минстроя России от 24.01.2019 N 33/пр)
Организация и методы контроля качества питьевой воды устанавливают согласно
ГОСТ Р 51232.
(в ред.
Изменения N 1, утв. Приказом Минстроя России от 24.01.2019 N 33/пр)
Требование настоящего пункта не распространяется на места водоразбора на производственные (технологические) нужды, а также на места водоразбора на нужды обслуживающего персонала указанных учреждений. Качество воды, подаваемой на производственные нужды, определяется заданием на проектирование (технологическими требованиями).
5.1.3 В помещениях детских дошкольных учреждений температура горячей воды, подаваемой к водоразборной арматуре душей и умывальников, не должна превышать 37 °C.
5.1.4 В системах горячего водопровода предприятий общественного питания и других потребителей, которым необходима вода с температурой выше указанной в
5.1.2, следует предусматривать местные водонагреватели.
5.1.5 В поселениях, городских округах и на предприятиях, с целью экономии воды питьевого качества, при технико-экономическом обосновании и по согласованию с органами Роспотребнадзора, в части обеспечения санитарно-гигиенического благополучия населения, допускается подводить воду непитьевого качества к писсуарам и смывным бачкам унитазов.
(в ред.
Изменения N 1, утв. Приказом Минстроя России от 24.01.2019 N 33/пр)
5.2. Расчетные расходы воды и тепла
5.2.1.1 Системы холодного и горячего водопровода должны обеспечивать подачу воды (расход), соответствующую расчетному числу водопотребителей или установленных санитарно-технических приборов.
Для гидравлического расчета водопроводов и выбора оборудования следует использовать следующие расчетные расходы горячей или холодной воды:
максимальный секундный расход воды (общий, горячей или холодной), л/с;
максимальный часовой расход воды (общий, горячей или холодной), м3/ч;
средний часовой расход воды (общий, горячей или холодной), м3/ч;
минимальный часовой расход воды (общий, горячей или холодной), м3/ч;
расход воды в сутки со средним за год водопотреблением (общий, горячей или холодной), м3/сут.
5.2.1.2 Расчетные расходы воды в водопроводах холодной и горячей воды следует определять в зависимости от:
а) секундного расхода воды, величина которого принимается:
- для отдельных приборов - по
А.1;
- для различных приборов, обслуживающих одинаковых водопотребителей - по
таблице А.2;
- для различных приборов, используемых разными водопотребителями - в зависимости от вероятности действия санитарно-технических приборов для каждой группы водопотребителей;
б) часового расхода воды:
- для одинаковых водопотребителей - по
А.2;
- для различных водопотребителей - в зависимости от вероятности использования санитарно-технических приборов для каждой группы водопотребителей;
в) норм расхода воды разными видами потребителей в сутки со средним за год водопотреблением - по
А.2;
г) вида и общего числа потребителей воды и/или от вида и общего числа санитарно-технических приборов (для водопровода в целом или для отдельных участков расчетной схемы сети водопровода). При неизвестном числе санитарно-технических приборов (мест водоразбора) допускается принимать число приборов равным числу потребителей.
5.2.2. Расчетные расходы воды
5.2.2.1 Секундный расход воды (общий, горячей или холодной), л/с, водоразборной арматурой (прибором), отнесенный к одному прибору, следует определять:
- для отдельных приборов - в соответствии с
таблицей А.1 приложения А;
- для различных приборов, обслуживающих одинаковых водопотребителей на расчетном участке тупиковой сети, - в соответствии с
таблицей А.2 приложения А;
- для различных приборов, используемых разными водопотребителями, на расчетном участке тупиковой сети, - по формуле

(1)
где N - количество санитарно-технических приборов;
m - количество групп водопотребителей;
Pi - вероятность действия санитарно-технических приборов, определяемая для каждой группы водопотребителей согласно
5.2.2.7;
q0i - секундный расход воды (общий

, горячей

или холодной

), л/с, водоразборной арматурой (прибором), принимаемый для каждой группы водопотребителей в соответствии с
таблицей А.2. При устройстве кольцевой сети расход воды
q0 следует определять для сети в целом и принимать одинаковый расход воды для всех ее участков.
В жилых и общественных зданиях, по которым отсутствуют данные о расходах воды и технических характеристиках санитарно-технических приборов, секундные расходы воды допускается принимать равными:

;

.
5.2.2.2 Максимальный секундный расход воды на расчетном участке сети q, л/с, следует вычислять по формуле

(2)
где
q0 - секундный расход воды (общий

, горячей

или холодной

), л/с, водоразборной арматурой (прибором), величина которого принимается согласно
формуле (1);

- коэффициент, определяемый в соответствии с
таблицами Б.1 и
Б.2 в зависимости от общего числа приборов
N и вероятности их действия
P на расчетном участке.
Расход воды на концевых участках сети следует принимать по расчету, но не меньше максимального секундного расхода воды одним из установленных санитарно-технических приборов.
Расход воды на технологические нужды промышленных предприятий следует определять как сумму расходов воды технологическим оборудованием при условии совпадения работы оборудования по времени.
Примечание - Для вспомогательных зданий промышленных предприятий значение
q допускается определять, как сумму расходов воды на хозяйственно-питьевые нужды по
формуле (2) и расходов воды на душевые - по числу установленных душевых сеток в соответствии с
таблицей А.1 приложения А.
(в ред.
Изменения N 1, утв. Приказом Минстроя России от 24.01.2019 N 33/пр)
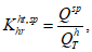
5.2.2.3 Максимальный часовой расход воды
qhr (общий

, горячей

или холодной

), м
3/ч, следует вычислять по формуле

(3)
где
q0,hr - часовой расход воды (общий

, горячей

или холодной

), величина которого принимается:
- при одинаковых водопотребителях - в соответствии с
таблицей А.1 приложения А, для каждой группы водопотребителей;
- при различных водопотребителях - по формуле

(4)
где Ni - число санитарно-технических приборов для каждой группы водопотребителей;
m - количество групп водопотребителей;
Phr,i - вероятность использования санитарно-технических приборов, определяемая для каждой группы водопотребителей согласно
5.2.2.7;
q0,hr,i - часовой расход воды санитарно-техническим прибором для каждой группы водопотребителей, принимаемый в соответствии с
таблицей А.1;

- коэффициент, определяемый в соответствии с
таблицами Б.1 и
Б.2 в зависимости от общего числа приборов
N и вероятности их действия
P на расчетном участке.
| | ИС МЕГАНОРМ: примечание. Обозначения даны в соответствии с официальным текстом документа. | |
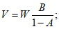
5.2.2.4 Средний часовой расход воды
qT (общий

, горячей

или холодной

), м
3/ч, за период (сутки, смена) водопотребления вычисляют по формуле

(5)
где
Qсут,m - расчетный (средний за год) суточный расход воды (общий

, горячей

или холодной

), м
3/ч;
T - период водопотребления воды (сутки, смена), ч.
5.2.2.5 Минимальный часовой расход воды
qhr,min (общий

, горячей

или холодной

), м
3/ч, следует вычислять по формуле
qhr,min = qTKmin, (6)
где Kmin - минимальный коэффициент часовой неравномерности, определяемый по таблице 1 в зависимости от максимального коэффициента часовой неравномерности.
Таблица 1
Kmax | 1,0 | 1,2 | 1,4 | 1,6 | 1,8 | 2,0 | 2,25 | 2,5 | 2,75 | 3,0 |
Kmin | 1,0 | 0,74 | 0,54 | 0,4 | 0,29 | 0,21 | 0,14 | 0,1 | 0,07 | 0,04 |
Максимальный коэффициент часовой неравномерности вычисляют по формуле

(7)
где
qhr - максимальный часовой расход воды (общий

, горячей

или холодной

), м
3/ч;
| | ИС МЕГАНОРМ: примечание. Обозначения к формуле даны в соответствии с официальным текстом документа. | |
qT - средний часовой расход воды (общий

, горячей

или холодной

), м
3/ч.
5.2.2.6 Суточный расход воды со средним за год водопотреблением
Qсут,m (общий

, горячей

или холодной

), м
3/сут, на хозяйственно-питьевые нужды в населенном пункте следует вычислять по формуле

(8)
| | ИС МЕГАНОРМ: примечание. Обозначения к формуле даны в соответствии с официальным текстом документа. | |
где
qm,u,i - норма расхода воды водопотребителем (общий

, горячей

или холодной

) в сутки (смену), л, принимается по нормам, установленным региональными органами власти. При отсутствии региональных норм - по
таблице А.2;
m - количество групп водопотребителей;
Ui - число водопотребителей различного типа.
Суточный расход воды следует определять с учетом расходов воды всеми потребителями, а также расхода воды на полив территории, если для полива используют воду из системы водоснабжения.
5.2.2.7 Вероятность действия санитарно-технических приборов
P (расход воды общий
Ptot, горячей
Ph, или холодной
Pc) на участках сети вычисляют по формулам:
- при одинаковых водопотребителях

(9)
- при разных водопотребителях

(10)
- при отсутствии данных о числе санитарно-технических приборов при одинаковых водопотребителях для определения коэффициента

используется значение
NPi (расход воды общий
NPtot, горячей
NPh или холодной
NPc), вычисляемое по формуле
(в ред.
Изменения N 1, утв. Приказом Минстроя России от 24.01.2019 N 33/пр)

(11)
Минстроя России от 24.01.2019 N 33/пр)
- при отсутствии данных о числе санитарно-технических приборов при разных водопотребителях для определения коэффициента

используется значение
NP (
NPtot,
NPh,
NPc), вычисляемое по формуле

(12)
Вероятность использования санитарно-технических приборов
Phr (расход воды общий

, горячей

или холодной

) для системы в целом вычисляют по формуле

(13)
При отсутствии данных о числе санитарно-технических приборов для определения коэффициента

используют значение
NPhr, вычисляемое по формуле

(14)
5.2.2.8 Расчет циркуляционного расхода в системе ГВС с учетом теплопотерь подающих и циркуляционных трубопроводов приведен в
приложении В.
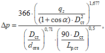
5.2.3. Расчетный расход тепла
| | ИС МЕГАНОРМ: примечание. Обозначения даны в соответствии с официальным текстом документа. | |
Расход тепла для нагрева горячей воды

, кВт, на нужды горячего водоснабжения с учетом теплопотерь подающих и циркуляционных трубопроводов и оборудования (полотенцесушителей, водоподогревателей и др.),
Qht следует вычислять по формулам:
а) в течение среднего часа

(15)
б) в течение часа максимального потребления горячей воды

(16)
где
th - температура горячей воды в местах водоразбора, °C, согласно
5.1;
tc - температура холодной воды на входе в водонагреватель, °C. При отсутствии данных следует принимать tc = 5 °C;
Qht - потери теплоты подающим и циркуляционным трубопроводами и оборудования системы горячего водоснабжения, кВт.
5.3.1.1 В зданиях (сооружениях) в зависимости от их назначения следует предусматривать системы внутренних водопроводов:
- хозяйственно-питьевого;
- горячего;
- противопожарного согласно
5.3.4;
- оборотного;
- производственного.
5.3.1.2 Системы внутреннего водопровода (хозяйственно-питьевого, горячего, производственного, противопожарного) включают вводы в здания, узлы учета потребления холодной и горячей воды, разводящую сеть, стояки, подводки к санитарно-техническим приборам и технологическим установкам, водоразборную, смесительную, запорную и регулирующую арматуру. В зависимости от местных условий, технологии производства в системах внутреннего водопровода следует предусматривать запасные и регулирующие емкости согласно
5.3.4 и
7.4.
5.3.1.3 Систему горячего водоснабжения следует принимать с закрытым водоразбором, приготовлением горячей воды в теплообменниках и водонагревателях (водо-водяных, газовых, электрических, солнечных и др.). По заданию на проектирование допускается предусматривать устройство в здании системы горячего водоснабжения с открытым (непосредственно из тепловой сети) водоразбором.
5.3.1.4 Системы хозяйственно-питьевого или производственного водопровода здания допускается объединять с системой противопожарного водопровода при условии обеспечения требований
СП 10.13130 и настоящего свода правил:
- хозяйственно-питьевой водопровод с противопожарным водопроводом (хозяйственно-противопожарный водопровод);
- производственный водопровод с противопожарным водопроводом (производственно-противопожарный водопровод).
| | Применение на обязательной основе п. 5.3.1.5 обеспечивает соблюдение требований Федерального закона от 30.12.2009 N 384-ФЗ "Технический регламент о безопасности зданий и сооружений" (Постановление Правительства РФ от 04.07.2020 N 985). | |
5.3.1.5 Сети систем холодного и горячего хозяйственно-питьевого водопровода не допускается объединять с сетями систем водопроводов, подающих воду непитьевого качества.
5.3.1.6 Гидростатическое давление в системе хозяйственно-питьевого или хозяйственно-противопожарного водопровода должно быть:
а) на отметке наиболее низко расположенного санитарно-технического прибора не более 0,45 МПа (для зданий, проектируемых в сложившейся застройке, не более 0,6 МПа).
В системе хозяйственно-противопожарного водопровода на время тушения пожара допускается повышать давление до 0,6 МПа на отметке наиболее низко расположенного санитарно-технического прибора.
В двухзонной системе хозяйственно-противопожарного водопровода (в схемах с верхней разводкой трубопроводов), в которой пожарные стояки используются для подачи воды к потребителям второй зоны, гидростатическое давление не должно превышать 0,45 МПа на отметке наиболее низко расположенного санитарно-технического прибора потребителей второй зоны и 0,9 МПа на отметке наиболее низко расположенного пожарного крана.
(в ред.
Изменения N 1, утв. Приказом Минстроя России от 24.01.2019 N 33/пр)
Перед пожарными кранами предусматривается установка диафрагм или регуляторов давления для снижения избыточного напора до 0,4 МПа.
(в ред.
Изменения N 1, утв. Приказом Минстроя России от 24.01.2019 N 33/пр)
При расчетном давлении в сети противопожарного водопровода, превышающем 0,45 МПа, необходимо предусматривать устройство раздельной сети противопожарного водопровода.
5.3.1.7 При расчетном давлении в сети, превышающем указанное в
5.3.1.6, необходимо предусматривать регуляторы давления, устанавливаемые в системе хозяйственно-питьевого водопровода, обеспечивающие после себя расчетное давление как при статическом, так и при динамическом режиме работы системы. В зданиях, где расчетное давление воды у санитарно-технических приборов, водоразборной и смесительной арматуры превышает допустимые величины, указанные в
5.3.1.6, допускается применение арматуры со встроенными регуляторами расхода воды.
(в ред.
Изменения N 1, утв. Приказом Минстроя России от 24.01.2019 N 33/пр)
5.3.2. Системы водопровода холодной воды
5.3.2.1 Системы холодного водопровода подразделяют на централизованные или местные. Системы внутреннего водопровода здания следует предусматривать с учетом санитарно-гигиенических и противопожарных требований, требований технологии производства, а также с учетом принятой (существующей) схемы наружного водоснабжения.
5.3.2.2 Системы водопровода холодной воды следует проектировать, обеспечивая санитарно-гигиенические требования водопотребителей, с учетом качества воды проектируемой (существующей) системы наружного водоснабжения, требований технологии производства; предусматривая мероприятия по снижению непроизводительных расходов воды, шума и вибрации согласно
ГОСТ 12.1.003;
СП 51.13330.
5.3.2.3 В системах производственного водопровода для сокращения расхода воды следует предусматривать системы оборотного и повторного использования воды. При этом системы оборотного водопровода для охлаждения воды, технологических растворов, продукции и оборудования следует проектировать без разрыва струи с подачей воды на охладители, используя остаточное давление.
| | Применение на обязательной основе п. 5.3.2.4 обеспечивает соблюдение требований Федерального закона от 30.12.2009 N 384-ФЗ "Технический регламент о безопасности зданий и сооружений" (Постановление Правительства РФ от 04.07.2020 N 985). | |
5.3.2.4 Трубопроводы системы холодного водопровода (кроме тупиковых пожарных стояков), прокладываемые в каналах, шахтах, санитарно-технических кабинах, тоннелях, а также в помещениях с повышенной влажностью, для предотвращения конденсации влаги следует изолировать согласно
СП 61.13330.
5.3.3. Системы водопровода горячей воды
5.3.3.1 Выбор схемы подогрева и обработки воды для систем централизованного горячего водоснабжения следует предусматривать согласно
СП 124.13330.
5.3.3.2 В системах централизованного горячего водопровода для поддержания в местах водоразбора температуры воды, не ниже указанной в
5.1.2, следует предусматривать систему циркуляции горячей воды в период отсутствия водоразбора.
5.3.3.3 Для поддержания заданной температуры воздуха в ванных и душевых комнатах полотенцесушители следует подключать:
а) при условии установки отключающей арматуры и замыкающего участка к подающим трубопроводам системы горячего водоснабжения или при обосновании - к циркуляционным трубопроводам системы горячего водоснабжения;
(в ред.
Изменения N 1, утв. Приказом Минстроя России от 24.01.2019 N 33/пр)
б) к системе электроснабжения потребителя.
5.3.3.4 В зданиях высотой до четырех этажей, а также в зданиях, в которых отсутствует возможность прокладки кольцующих перемычек, допускается устанавливать полотенцесушители на циркуляционных стояках системы горячего водопровода, а также на стояках систем отопления ванных комнат круглогодичного действия при условии установки отключающей арматуры и замыкающего участка.
| | Применение на обязательной основе п. п. 5.3.3.5, 5.3.3.6 обеспечивает соблюдение требований Федерального закона от 30.12.2009 N 384-ФЗ "Технический регламент о безопасности зданий и сооружений" (Постановление Правительства РФ от 04.07.2020 N 985). | |
5.3.3.5 В системе горячего водопровода присоединение водоразборных устройств к циркуляционным трубопроводам не допускается.
5.3.3.6 Трубопроводы систем горячего водопровода (подающие и циркуляционные, кроме подводок к приборам) следует изолировать для защиты от потерь тепла согласно
СП 61.13330.
5.3.3.7 В системах горячего водопровода с регламентированным по времени потреблением горячей воды циркуляцию горячей воды допускается не предусматривать, если температура ее в местах водоразбора не будет снижаться ниже установленной
5.1.2.
5.3.4. Системы противопожарного водопровода
| | Применение на обязательной основе п. 5.3.4.1 обеспечивает соблюдение требований Федерального закона от 30.12.2009 N 384-ФЗ "Технический регламент о безопасности зданий и сооружений" (Постановление Правительства РФ от 04.07.2020 N 985). | |
5.3.4.1 Для жилых, общественных, административно-бытовых зданий промышленных предприятий, а также для производственных и складских зданий необходимость устройства внутреннего противопожарного водопровода и минимальный расход воды на пожаротушение следует определять согласно сводам правил по пожарной безопасности, обеспечивающим выполнение требований
[2].
5.3.4.2 Объединение системы противопожарного водопровода в зданиях с хозяйственно-питьевым или производственным водопроводами следует выполнять в соответствии с
5.3.1.4.
| | Применение на обязательной основе п. 5.3.4.3 обеспечивает соблюдение требований Федерального закона от 30.12.2009 N 384-ФЗ "Технический регламент о безопасности зданий и сооружений" (Постановление Правительства РФ от 04.07.2020 N 985). | |
5.3.4.3 Для объединенных систем хозяйственно-противопожарного водопровода сети трубопроводов следует рассчитывать по наибольшему расчетному расходу и давлению воды:
- на водопотребление согласно настоящему своду правил;
- на пожаротушение согласно сводам правил по пожарной безопасности, обеспечивающим выполнение требований
[2].
5.3.4.4 Гидростатическое давление в системе хозяйственно-противопожарного водопровода следует принимать с учетом требований
5.3.1.6.
5.4. Сети водопровода холодной воды
5.4.1 Сети водопроводов холодной воды следует принимать:
- тупиковыми, если допускается перерыв в подаче воды и при числе пожарных кранов менее 12;
- кольцевыми или с закольцованными вводами при двух тупиковых трубопроводах с ответвлениями к потребителям от каждого из них для обеспечения непрерывной подачи воды;
(в ред.
Изменения N 1, утв. Приказом Минстроя России от 24.01.2019 N 33/пр)
- кольцевыми пожарными стояками при объединенной системе хозяйственно-противопожарного водопровода в зданиях высотой шесть этажей и более. При этом для обеспечения сменности воды в здании следует предусматривать кольцевание пожарных стояков с одним или несколькими водоразборными стояками с установкой запорной арматуры.
(в ред.
Изменения N 1, утв. Приказом Минстроя России от 24.01.2019 N 33/пр)
5.4.2 Кольцевые сети здания должны быть присоединены к различным участкам наружной кольцевой сети не менее чем двумя вводами. Между вводами на наружной сети водопровода следует предусмотреть запорную арматуру, для обеспечения подачи воды в здание при аварии на одном из участков сети.
5.4.3 Два ввода и более следует предусматривать для зданий:
- жилых с числом квартир более 400, клубов и досугово-развлекательных учреждений с эстрадой, кинотеатров с числом мест более 300;
- театров, клубов и досугово-развлекательных учреждений со сценой независимо от числа мест;
- бань при числе мест 200 и более;
- прачечных на 2 и более тонны белья в смену;
- зданий, в которых установлено 12 и более пожарных кранов;
- с кольцевыми сетями холодной воды или с закольцованными вводами;
- зданий, оборудованных спринклерными и дренчерными системами согласно
СП 5.13130 при числе узлов управления более трех.
5.4.4 При наличии двух вводов и необходимости повышения давления вводы следует объединить до насосов.
При устройстве на каждом вводе отдельной насосной установки объединение вводов не требуется.
5.4.5 На вводах водопровода необходимо предусматривать установку обратных клапанов, если на внутренней водопроводной сети устанавливают несколько вводов, имеющих измерительные устройства и соединенных между собой трубопроводами внутри здания.
5.4.6 Расстояние по горизонтали в свету между вводами хозяйственно-питьевого водопровода и выпусками канализации или водостоков следует принимать не менее: 1,5 м - при диаметре трубопровода ввода до 200 мм включительно; 3 м - при диаметре трубопровода ввода более 200 мм. Допускается совместная прокладка вводов водопровода различного назначения.
5.4.7 На трубопроводах вводов следует предусматривать упоры на поворотах труб в вертикальной или горизонтальной плоскости, когда возникающие усилия воспринимают соединениями труб.
5.4.8 Пересечение трубопровода ввода со стенами здания следует выполнять:
в сухих грунтах - с зазором 0,2 м между трубопроводом и строительными конструкциями и заделкой отверстия в стене водонепроницаемыми и газонепроницаемыми (в газифицированных районах) эластичными материалами;
в мокрых грунтах - с установкой сальников.
5.4.9 Прокладку разводящих сетей внутреннего водопровода в жилых и общественных зданиях следует предусматривать в подпольях, подвалах, технических этажах и чердаках. В случае отсутствия чердаков - на первом этаже в подпольных каналах совместно с трубопроводами отопления или под полом с устройством съемного покрытия, а также по конструкциям зданий, по которым допускается открытая прокладка трубопроводов, или под потолком нежилых помещений верхнего этажа.
5.4.10 Водопроводные стояки и вводы воды в квартиры и другие помещения, а также - запорную арматуру, измерительные приборы, регуляторы следует размещать в коммуникационных шахтах с устройством специальных технических шкафов, обеспечивающих свободный доступ к ним технического персонала.
Прокладку стояков и разводки следует предусматривать в шахтах, открыто - по стенам душевых, кухонь и других аналогичных помещений с учетом размещения необходимых запорных, регулирующих и измерительных устройств. В жилых зданиях допускается присоединение водоразборной арматуры автономными подводками к квартирному коллектору.
Для помещений, к отделке которых предъявляют повышенные требования, и для всех сетей с трубопроводами из полимерных материалов (кроме трубопроводов в санитарных узлах) следует предусматривать скрытую прокладку.
Скрытая прокладка стальных трубопроводов, соединяемых на резьбе (за исключением угольников для присоединения настенной водоразборной арматуры) без доступа к стыковым соединениям, не допускается.
5.4.11 Прокладку сетей водопровода внутри производственных зданий следует предусматривать открытой - по фермам, колоннам, стенам и под перекрытиями. Допускается предусматривать размещение водопроводов в общих каналах с другими трубопроводами, кроме трубопроводов, транспортирующих легковоспламеняющиеся, горючие или ядовитые жидкости и газы.
5.4.12 Совместную прокладку хозяйственно-питьевых водопроводов с канализационными трубопроводами допускается предусматривать только в проходных каналах, при этом трубопроводы канализации следует размещать ниже водопровода.
По заданию на проектирование допускается прокладывать водопроводы в специальных каналах.
Трубопроводы, подводящие воду к технологическому оборудованию, допускается прокладывать в полу или под полом, за исключением подвальных помещений.
5.4.13 При совместной прокладке в каналах с трубопроводами, транспортирующими горячую воду или пар, сеть холодного водопровода необходимо размещать ниже этих трубопроводов с устройством теплоизоляции.
5.4.14 Прокладку сетей внутреннего водопровода следует предусматривать с уклоном не менее 0,002.
5.4.15 При стесненных условиях допускается прокладка сетей внутреннего водопровода с уклоном не менее 0,001.
| | Применение на обязательной основе п. 5.4.16 обеспечивает соблюдение требований Федерального закона от 30.12.2009 N 384-ФЗ "Технический регламент о безопасности зданий и сооружений" (Постановление Правительства РФ от 04.07.2020 N 985). | |
5.4.16 Прокладку внутреннего холодного водопровода круглогодичного действия следует предусматривать в помещениях с температурой воздуха зимой выше 2 °C. При прокладке трубопроводов в помещениях с температурой воздуха ниже 2 °C следует предусматривать мероприятия по предохранению трубопроводов от замерзания (электроподогрев или тепловое сопровождение).
При возможности кратковременного снижения температуры в помещении до 0 °C и ниже, а также при прокладке труб в зоне влияния наружного холодного воздуха (вблизи наружных входных дверей и ворот) следует предусматривать тепловую изоляцию труб.
5.5. Сети водопровода горячей воды
5.5.1 Сети водопровода горячей воды следует проектировать с учетом требований
5.4.
5.5.2 Устройства для выпуска воздуха и слива системы следует предусматривать согласно
7.1.12.
(в ред.
Изменения N 1, утв. Приказом Минстроя России от 24.01.2019 N 33/пр)
| | Применение на обязательной основе п. п. 5.5.3 - 5.5.5 обеспечивает соблюдение требований Федерального закона от 30.12.2009 N 384-ФЗ "Технический регламент о безопасности зданий и сооружений" (Постановление Правительства РФ от 04.07.2020 N 985). | |
5.5.3 В жилых и общественных зданиях высотой более четырех этажей водоразборные стояки системы горячего водопровода следует объединять кольцующими перемычками в секционные узлы с присоединением каждого водоразборного узла одним циркуляционным трубопроводом к сборному циркуляционному трубопроводу системы.
В секционные узлы следует объединять от трех до семи водоразборных стояков. Кольцующие перемычки следует прокладывать:
- по теплому чердаку;
- по холодному чердаку при условии теплоизоляции труб в районах с расчетной температурой минус 40 °C и ниже (параметры Б согласно
СП 60.13330);
- под потолком верхнего этажа при подаче воды в водоразборные стояки снизу;
- по подвалу при подаче воды в стояки сверху.
5.5.4 При проектировании сетей горячего водопровода следует предусматривать мероприятия по компенсации температурного изменения длины труб.
5.5.5 Тепловую изоляцию следует предусматривать для подающих и циркуляционных трубопроводов систем горячего водопровода, кроме подводок к водоразборным приборам. Расчет изоляции следует выполнять согласно
СП 61.13330.
5.6. Расчет сети водопровода холодной воды
| | Применение на обязательной основе п. 5.6.1 обеспечивает соблюдение требований Федерального закона от 30.12.2009 N 384-ФЗ "Технический регламент о безопасности зданий и сооружений" (Постановление Правительства РФ от 04.07.2020 N 985). | |
5.6.1 Гидравлический расчет сетей водопроводов холодной воды следует проводить по максимальному секундному расходу воды.
Гидравлический расчет водопроводов холодной воды включает подбор диаметров подающих трубопроводов, кольцующих перемычек и стояков, потерь давления и установления свободного напора у точек водоразбора.
5.6.2 Сети объединенного хозяйственно-противопожарного и производственно-противопожарного водопроводов должны быть проверены на пропуск расчетного расхода воды на пожаротушение при расчетном максимальном секундном расходе ее на хозяйственно-питьевые и производственные нужды. При этом расходы воды на пользование душами, мытье полов, поливку территории не учитывают.
Гидравлический расчет сетей водоснабжения проводят для расчетных схем кольцевых сетей без исключения каких-либо участков сети, стояков или оборудования.
Примечание - Для районов жилой застройки на время пожаротушения и ликвидации аварии допускается отключение подачи воды в закрытую систему горячего водоснабжения.
| | Применение на обязательной основе п. п. 5.6.3 - 5.6.6 обеспечивает соблюдение требований Федерального закона от 30.12.2009 N 384-ФЗ "Технический регламент о безопасности зданий и сооружений" (Постановление Правительства РФ от 04.07.2020 N 985). | |
5.6.3 При расчете хозяйственно-питьевых, производственных сетей водопровода, в том числе совмещенных с пожарным водопроводом, следует обеспечить необходимое давление воды у приборов, расположенных наиболее высоко и в наибольшем отдалении от ввода.
5.6.4 Гидравлический расчет водопроводных сетей, питаемых несколькими вводами, следует проводить с учетом выключения одного из них.
При двух вводах каждый из них должен быть рассчитан на 100%-ный расход воды, а при большем количестве вводов - на 50%-ный пропуск расчетного расхода воды.
5.6.5 Гидравлический расчет трубопроводов приведен в
приложении Г.
5.6.6 Диаметры трубопроводов внутренних водопроводных сетей следует принимать из условия максимального использования гарантированного давления воды в наружной водопроводной сети. Расчет диаметров трубопроводов ведется по максимальным секундным расходам воды. При расчете диаметров рекомендуемая скорость движения воды в трубопроводах 1,2 м/с. Максимальная скорость движения воды в трубопроводах внутренних сетей не должна превышать 1,5 м/с. Для трубопроводов объединенных хозяйственно-противопожарных и производственно-противопожарных систем при пожаротушении скорость движения воды в трубопроводах не должна превышать 3 м/с. Минимальная скорость воды в трубопроводах 0,2 м/с.
5.7. Расчет сети водопровода горячей воды
5.7.1 Систему водопровода горячей воды следует проектировать с учетом двух режимов работы:
- в режиме водоразбора - определение расчетного секундного расхода горячей воды согласно
5.2.2, подбор диаметров подающих трубопроводов, определение потерь давления в системе - по
приложению Г;
- в режиме циркуляции - определение необходимого циркуляционного расхода воды в системе - по
приложению В, компенсирующего потери тепла подающими трубопроводами системы; подбор диаметров циркуляционных трубопроводов и увязка давлений по отдельным кольцам.
5.7.2 Увязку циркуляционных стояков необходимо проводить путем подбора их диаметра, применения балансировочных вентилей, автоматических регулирующих устройств и дросселирующих диафрагм (с диаметром отверстия не менее 10 мм).
5.7.3 При наличии кольцующей перемычки между водоразборными стояками при расчете теплопотерь водоразборного узла учитывают теплопотери трубопроводов кольцующей перемычки.
5.7.4 Потери давления в режиме циркуляции в отдельных ветвях системы горячего водоснабжения (включая циркуляционные трубопроводы) не должны отличаться для разных ветвей более чем на 10%.
| | Применение на обязательной основе разд. 6 (за исключением пунктов 6.1.2, 6.1.6, 6.1.10, 6.3.9, 6.3.11, 6.4.7, 6.4.15, 6.4.16) обеспечивает соблюдение требований Федерального закона от 30.12.2009 N 384-ФЗ "Технический регламент о безопасности зданий и сооружений" (Постановление Правительства РФ от 04.07.2020 N 985). | |
6. Дополнительные требования к сетям внутреннего
водопровода в особых природных и климатических условиях
6.1.1 Трубопроводы внутренних систем водопровода следует размещать в здании выше уровня пола первого или подвального этажа в местах, доступных для осмотра и ремонта.
6.1.2 Устройство водопроводных вводов и прокладку трубопроводов под полом внутри здания при грунтовых условиях типа II следует предусматривать в водонепроницаемых каналах с уклоном в сторону контрольных колодцев. Минимальную длину водонепроницаемых каналов на вводах в здание (от наружного обреза фундамента здания до контрольного колодца) необходимо принимать в зависимости от толщины слоя просадочного грунта и диаметра трубопроводов водопроводного ввода по таблице 2.
Толщина слоя просадочного грунта, м | Минимальная длина канала, м, при диаметре трубопровода, мм |
до 100 | от 100 до 300 | свыше 300 |
До 5 | Принимается как для непросадочных грунтов |
От 5 до 12 | 5 | 7,5 | 10 |
От 12 и более | 7,5 | 10 | 15 |
Примечание - Допускается устройство вводов водопровода в водонепроницаемых футлярах с уклоном в сторону контрольного колодца при выполнении следующих условий:
ввод водопровода и футляр выполняются из полимерных труб;
соединение полимерных трубопроводов выполняется путем сварки;
использование раструбных труб с фиксацией продольного перемещения в качестве футляров не допускается;
диаметр футляра принимается на 10% - 15% больше внешнего диаметра водопровода;
трубопровод в футляре с установкой объемно-фиксирующих устройств (объемная центровка и т.п.). Шаг расстановки объемно-фиксирующих устройств определяется в проекте;
длина футляра на вводах в здание (сооружение) от внешнего обреза фундамента здания (сооружения) до контрольного колодца должна приниматься по
таблице 2;
обеспечение возможности монтажа/демонтажа водопроводной трубы из внутреннего пространства здания (сооружения) путем протаскивания трубы в футляре. При этом допускается заталкивание трубы путем последовательной сварки отдельных частей трубопровода с обязательной установкой объемно-фиксирующих устройств.
6.1.3 Устройство водопроводных вводов и прокладку водопроводов при возведении зданий в грунтовых условиях типа I или типа II с полным устранением просадочных свойств грунтов по всей площади здания следует проектировать как для непросадочных грунтов.
6.1.4 Прокладка водопроводных вводов ниже подошвы фундаментов не допускается.
6.1.5 В местах устройства водопроводных вводов фундаменты следует заглублять не менее чем на 0,5 м ниже лотка трубопровода.
6.1.6 Для контроля утечек воды из трубопроводов, проложенных в каналах или футлярах, следует предусматривать устройство контрольных колодцев диаметром 1 м. Расстояние от дна канала или лотка трубы футляра до дна колодца следует принимать не менее 0,7 м. Стенки колодца на высоту 1,5 м и его днище должны иметь гидроизоляцию. При устройстве колодцев в грунтовых условиях типа II основания под колодцы необходимо уплотнять на глубину 1 м.
Контрольные колодцы следует оборудовать автоматической сигнализацией о появлении в них воды.
При использовании водонепроницаемых каналов допускается устройство контрольных колодцев рядом с вводом водопровода путем сброса аварийных утечек из канала трубками (диаметр и количество трубок определяется расчетом, но не менее двух трубок). Переход из канала в трубки выполняется с перепадом на величину внутреннего диаметра трубок, при этом место выхода трубок из канала тщательно герметизируется.
6.1.7 В местах примыкания каналов или футляров к фундаменту здания необходимо предусматривать устройства, предотвращающие возможность протекания воды из каналов или футляров в грунт, при этом следует обеспечивать свободную осадку несущих конструкций.
6.1.8 Присоединение вводов к внутренним сетям, укладываемым ниже уровня пола, следует предусматривать в водонепроницаемых приямках.
6.1.9 В фундаментах или стенах подвалов для прокладки трубопроводов следует предусматривать отверстия, обеспечивающие зазор между трубопроводом и строительными конструкциями, равный 1/3 расчетной величины просадки основания здания, но не менее 0,2 м.
Зазоры в проемах следует заполнять плотным эластичным водо- и газонепроницаемым материалом.
6.1.10 В грунтовых условиях типа I с частичной или полной ликвидацией просадочных свойств допускается прокладка транзитных трубопроводов внутреннего водопровода в подвальных этажах зданий и через подземные помещения производственных зданий (технологические подвалы, приямки, тоннели и т.д.) без нарушения технологического процесса и при условиях выполнения требований техники безопасности.
6.1.11 В грунтовых условиях типа II транзитные водонесущие коммуникации, прокладываемые ниже отметки пола первого этажа, не должны пересекать помещений подземного хозяйства цехов, приямков с технологическим оборудованием, тоннелей, а также лестничных клеток, машинных отделений лифтов, подъемников, мусоропроводов и т.п.
6.2.1 При проектировании сетей и сооружений водоснабжения для районов с сейсмичностью 7 - 9 баллов следует предусматривать специальные мероприятия:
устройство в допустимых местах аварийных насосов, электрических установок по обеспечению подачи воды для тушения пожаров, возникающие при землетрясении, сейсмозащиту насосных и электрических установок, устройство кольцевых систем водоснабжения, бесперебойную подачу питьевой воды, а также подачу воды на неотложные нужды производства, создание допустимых дополнительных запасных и регулирующих баков.
6.2.2 Для зданий промышленных предприятий, размещаемых в районах с сейсмичностью 8 и 9 баллов, когда прекращение подачи воды может вызвать аварии или значительные материальные убытки, следует предусматривать два ввода с использованием двух независимых источников водоснабжения.
6.2.3 Жесткая заделка трубопроводов в кладке стен и в фундаментах зданий и сооружений не допускается. Отверстия для пропусков трубопроводов через стены и фундаменты должны иметь размеры, обеспечивающие в кладке зазор вокруг трубопровода не менее 0,2 м. Зазор следует заполнять эластичным несгораемым материалом. Пропуск трубопроводов через стены баков следует осуществлять с применением сальников, закладываемых в стены.
6.2.4 Укладку трубопроводов под фундаменты зданий следует предусматривать в футлярах из стальных или железобетонных труб, при этом расстояние между верхом футляра и подошвой фундамента должно быть не менее 0,2 м.
6.2.5 Внутри зданий в местах пересечения деформационных швов на трубопроводах следует предусматривать установку компенсаторов.
6.2.6 На вводах перед измерительными устройствами, а также в местах присоединения трубопроводов к насосам и бакам необходимо предусматривать гибкие соединения, допускающие угловые и продольные перемещения концов трубопроводов.
6.2.7 Вводы водопровода, внутренние водопроводные сети, трубопроводы насосных установок, установок очистки и подготовки воды, а также вертикальные трубопроводы (стояки) водонапорных баков следует выполнять из стальных труб или полимерных труб, имеющих соответствующие разрешения, установленные законодательством Российской Федерации в области технического регулирования и санитарно-эпидемиологического благополучия населения.
Применять для этих целей чугунные, хризотилцементные, стеклянные, а также полиэтиленовые трубы легкого и среднего типа не допускается.
(в ред.
Изменения N 1, утв. Приказом Минстроя России от 24.01.2019 N 33/пр)
6.2.8 При выполнении сварочных работ по осуществлению стыков соединений стальных труб следует обеспечивать равнопрочность сварного соединения с телом трубы. Не допускается применять ручную газовую сварку. Сварные соединения трубопроводов, прокладываемых в районах с сейсмичностью 9 баллов, следует усиливать накладными муфтами на сварке.
6.3. Подрабатываемые территории
6.3.1 При проектировании систем внутреннего водопровода холодной и горячей воды в зданиях, строящихся в условиях подрабатываемых территорий, следует предусматривать мероприятия по защите от воздействия деформаций грунта земной поверхности и элементов самих зданий в соответствии с
СП 21.13330.
6.3.2 Ожидаемые величины сдвигов и деформаций земной поверхности для назначения мероприятий по защите трубопроводов следует принимать по данным горно-геологического обоснования для проектируемого здания.
Величины перемещений отдельных отсеков здания и его элементов принимают по данным расчетов геологов.
6.3.3 Для уменьшения усилий в трубопроводах, вызванных перемещениями конструкций зданий вследствие подработки, следует увеличивать податливость трубопроводов за счет применения компенсирующих устройств, рационального размещения и выбора типа узлов крепления и пропуска труб на вводе.
6.3.4 Для вводов в здания следует применять все виды труб с учетом назначения водопровода, требуемой прочности труб, компенсационной способности стыков, а также результатов технико-экономических расчетов.
6.3.5 Стыковые соединения секционных трубопроводов должны быть податливыми за счет применения уплотнительных упругих колец или герметиков.
6.3.6 На вводах водопровода холодной воды в здания, строящиеся на подрабатываемых территориях групп I и II, следует предусматривать компенсационные устройства. На вводах в здания, строящиеся на подрабатываемых территориях групп III и IV, установку компенсационных устройств следует предусматривать при длине ввода свыше 20 м.
На территории строящегося здания, где в результате подработок ожидается образование уступов, прокладку подземных вводов следует осуществлять в каналах, при этом зазор между верхом трубы и перекрытием канала должен быть не меньше расчетной высоты уступа.
6.3.7 Для трубопроводов внутреннего водопровода здания или его отдельных секций, защищаемых от воздействия подработок по жесткой конструктивной схеме, дополнительной защиты не требуется.
В зданиях, защищаемых по податливой конструктивной схеме, крепление трубопроводов к элементам зданий должно обеспечивать осевые и поперечные (горизонтальные, вертикальные) перемещения трубопровода.
В таких зданиях скрытая прокладка трубопроводов не допускается.
6.3.8 В зданиях, защищаемых путем выравнивания домкратами или другими устройствами, должны быть предусмотрены мероприятия, обеспечивающие нормальную эксплуатацию трубопроводов.
В таких зданиях в качестве мер защиты в местах подключения стояков к магистрали и крепления разводящих трубопроводов к элементам здания, расположенных над швом скольжения, следует предусматривать компенсаторы, обеспечивающие горизонтальные и вертикальные перемещения трубопроводов. Величина перемещений определяется расчетной податливостью зданий и температурными удлинениями трубопровода.
6.3.9 Вводы в здания, состоящие из нескольких отсеков, следует предусматривать самостоятельными на каждый отсек. Допускается устройство одного ввода в один из отсеков при установке компенсаторов в местах пересечения трубопроводами деформационных швов.
Вариант устройства вводов определяется технико-экономическими показателями.
6.3.10 При прокладке транзитных внутриквартальных сетей водоснабжения по техническим подпольям или подвалам зданий следует предусматривать мероприятия, исключающие силовое взаимодействие трубопроводов с конструкциями зданий.
Компенсаторы на таких трубопроводах необходимо располагать в местах пересечения деформационных швов и на ответвлениях от транзитного трубопровода к стоякам внутренней сети. Не допускается пересечение трубопроводами деформационных швов в пределах этажей зданий.
6.3.11 Внутри подполья или подвала зданий трубопроводы допускается прокладывать на самостоятельных опорах и кронштейнах, прикрепляемых к стенам. Крепление трубопроводов к опорам должно допускать осевые и вертикальные перемещения труб.
6.3.12 Для зданий в зонах, где возможно выделение рудничного газа на поверхность земли, следует предусмотреть защиту вводов водопровода от проникания по ним газа в подвалы и подполья этих зданий.
6.3.13 При установке гибких компенсаторов их компенсирующую способность следует определять исходя из расчетных величин перемещений смежных отсеков здания и температурных удлинений трубопроводов.
6.3.14 Укладку труб под фундаментами зданий следует предусматривать в футлярах из стальных труб. Расчет на прочность футляров необходимо выполнять с учетом нагрузок от воздействия деформаций оснований.
6.3.15 Жесткая заделка трубопроводов в кладке стен и фундаментах зданий не допускается.
Отверстия для пропуска труб через стены и фундаменты должны обеспечивать зазор между трубой и строительными конструкциями, равный расчетной величине деформаций основания здания. Зазоры в проемах фундаментов следует заполнять плотным эластичным водо- и газонепроницаемым материалом.
6.3.16 В местах примыкания каналов к фундаменту здания следует предусматривать устройства, предотвращающие возможность проникания воды из каналов в грунт. При этом необходимо обеспечивать свободную осадку несущих конструкций.
6.4. Многолетнемерзлые грунты
(в ред.
Изменения N 1, утв. Приказом Минстроя России от 24.01.2019 N 33/пр)
6.4.1 При устройстве вводов в здание необходимо:
учитывать возможность изменения температурного режима многолетнемерзлых грунтов, происходящего в результате строительства и эксплуатации здания;
(в ред.
Изменения N 1, утв. Приказом Минстроя России от 24.01.2019 N 33/пр)
предусматривать исключение теплового воздействия на грунты оснований соседних зданий и сооружений, которое может привести к недопустимым деформациям зданий и сооружений в нормальных и аварийных режимах работы трубопроводов.
6.4.2 При прокладке трубопроводов следует принимать меры, обеспечивающие исключение или ограничение механического воздействия многолетнемерзлых грунтов (просадки, пучения, термокарстовых провалов, солифлюкции, морозобойных трещин и т.д.) на конструкции трубопроводов.
(в ред.
Изменения N 1, утв. Приказом Минстроя России от 24.01.2019 N 33/пр)
6.4.3 Прокладку вводов следует предусматривать надземной или в вентилируемых каналах, совмещая с прокладкой различных инженерных сетей. Следует максимально применять прокладку трубопроводов в подпольях зданий.
6.4.4 Наземную прокладку вводов следует предусматривать во всех случаях, когда требуется исключить тепловое воздействие трубопроводов на грунты оснований, учитывая ее относительно низкую стоимость и удобство в эксплуатации.
6.4.5 Наземную прокладку трубопроводов следует предусматривать:
а) на мачтах, эстакадах и по конструкциям зданий и сооружений. Специальные устройства для обслуживания трубопроводов (лестницы, площадки, мостики и т.д.) следует предусматривать с учетом эксплуатации трубопроводов в условиях низких температур, сильных зимних ветров и полярной ночи;
б) в проветриваемых подпольях зданий высотой не менее 1,2 м, предусматривая водоотводящие лотки.
6.4.6 Подземную прокладку трубопроводов следует проводить только в случаях, когда наземная и надземная прокладки недопустимы. Подземную прокладку трубопроводов следует проводить только в каналах или тоннелях.
Устойчивость трубопроводов, прокладываемых в просадочных многолетнемерзлых грунтах, следует обеспечивать сохранением грунтов оснований в мерзлом состоянии или заменой просадочных грунтов в основаниях в зоне возможного протаивания на непросадочные, а также поддержанием расчетного теплового режима трубопроводов.
(в ред.
Изменения N 1, утв. Приказом Минстроя России от 24.01.2019 N 33/пр)
6.4.7 Прокладку трубопроводов в районах с промерзанием свыше 3 - 4 м, а также в особо тяжелых грунтовых условиях (водонасыщенные и скальные грунты) допускается проводить в зоне сезонного промерзания грунтов при условии выполнения требований, изложенных в
6.3.15;
6.3.16;
6.4.1.
6.4.8 Прокладку трубопроводов в подземных каналах следует применять при совместном размещении инженерных сетей различного назначения, при этом дно каналов следует выполнять с лотком, обеспечивающим удаление воды при минимальном тепловом воздействии на грунты оснований.
Установка на дне каналов под трубопроводом опор, препятствующих свободному стоку воды и удалению льда, не допускается.
6.4.9 Подземные каналы и тоннели следует предусматривать только в непросадочных грунтах или на коротких участках трасс - переходах через дороги, вводах в здания и др. Высоту каналов, обеспечивающую надежность водоотлива и вентиляции, следует увеличивать на 20% - 30% по сравнению с принимаемой для обычных условий.
6.4.10 Подземные каналы и тоннели необходимо оборудовать системой естественной вентиляции, обеспечивающей отрицательные значения среднегодовых температур воздуха внутри каналов и тоннелей.
Узлы управления системами инженерного оборудования зданий следует размещать в первых этажах, предусматривая устройство дополнительной местной тепло- и гидроизоляции цокольных перекрытий и трапов для стока воды в систему водоотведения.
(в ред.
Изменения N 1, утв. Приказом Минстроя России от 24.01.2019 N 33/пр)
В местах перехода трубопроводов через конструкции зданий, а также в местах примыкания каналов и тоннелей к фундаментам и стенам зданий, рассчитываемых на возможную разность вертикальных перемещений трубопроводов, каналов, тоннелей и зданий, необходимо предусматривать устройство мягких сопряжений.
6.4.11 Установка на трубопроводах запорной и регулирующей арматуры, сальниковых компенсаторов, спускных и воздушных кранов в пределах проветриваемых подполий зданий не допускается.
Следует минимально ограничивать число отводов и соединений труб, в частности сварных отводов и других фасонных частей.
6.4.12 Для колодцев водопровода и системы водоотведения следует предусматривать соблюдение мер против морозного пучения грунта.
(в ред.
Изменения N 1, утв. Приказом Минстроя России от 24.01.2019 N 33/пр)
6.4.13 При всех способах прокладки трубопроводов следует предусмотреть следующие мероприятия по предохранению жидкостей от замерзания при нормальной эксплуатации в период нарушения расчетного теплового и гидравлического режима трубопроводов:
- применение схем трубопроводов, обеспечивающих непрерывное движение жидкостей в трубах с максимально допустимой скоростью;
- тепловую изоляцию трубопроводов;
- подогрев трубопроводов;
- применение специальной арматуры, устойчивой против замерзания, и средств автоматической защиты.
6.4.14 Для обеспечения непрерывности движения водопроводной воды необходимо применять циркуляционные схемы водоснабжения, тупиковые схемы подачи воды с сухими резервирующими перемычками, а также использовать автоматические выпуски, сбрасывающие водопроводную воду в систему водоотведения, при прекращении протока воды или опасном понижении температуры воды на отдельных участках.
(в ред.
Изменения N 1, утв. Приказом Минстроя России от 24.01.2019 N 33/пр)
6.4.15 При прокладке трубопроводов в каналах следует применять термоизоляцию с использованием синтетических материалов на базе стекловолокна и пенопластов, а также пенобетонов. Допускается применение для этой цели других синтетических материалов, допущенных для использования в порядке, установленном законодательством Российской Федерации в области технического регулирования и санитарно-эпидемиологического благополучия населения.
Применять минераловатные термоизоляционные материалы не допускается.
Для защитного слоя кольцевой теплоизоляции следует применять хризотилцементную штукатурку по проволочной сетке и многослойное покрытие из рулонных материалов.
Применять толь, мешковину и другие ткани с масляной окраской не допускается.
6.4.16 Подогрев трубопроводов необходимо предусматривать на участках, где наиболее вероятно замерзание воды вследствие снижения скорости и понижения температуры в нормальных и аварийных режимах.
Для подогрева трубопроводов следует применять совместную прокладку труб в общей теплоизоляции с трубопроводами тепловых сетей или греющий электрокабель, укладываемый непосредственно на поверхность труб. Витковое расположение кабеля допускается только на вводах и в местах установки водопроводной арматуры. Система подогрева труб обеспечивается электроэнергией от местной сети и снабжается системой автоматического управления.
6.4.17 Диаметры труб на вводах водопровода в здание независимо от расчета следует принимать не менее 50 мм.
На вводах водопровода следует устанавливать незамерзающую арматуру, спускные и воздушные краны из бронзы и применять гнутые компенсаторы и отводы.
6.4.18 Для опорожнения труб трубопроводы должны предусматриваться с уклоном не менее 0,002.
7. Инженерное оборудование систем водопровода
7.1. Трубопроводы и арматура
| | Применение на обязательной основе п. п. 7.1.1, 7.1.2 обеспечивает соблюдение требований Федерального закона от 30.12.2009 N 384-ФЗ "Технический регламент о безопасности зданий и сооружений" (Постановление Правительства РФ от 04.07.2020 N 985). | |
7.1.1 Трубы, арматура, оборудование и материалы, применяемые при устройстве внутренних систем холодного и горячего водоснабжения должны соответствовать требованиям настоящего свода правил, национальных стандартов, государственным санитарно-эпидемиологическим и другим документам, утвержденным в установленном порядке.
7.1.2 Трубопроводы систем водопровода холодной и горячей воды следует выполнять из труб и соединительных деталей, срок службы которых при температуре воды 20 °C и нормативном давлении составляет не менее 50 лет, а при температуре 75 °C и нормативном давлении - не менее 25 лет.
7.1.3 В объединенных системах хозяйственно-противопожарного водопровода трубопроводы, предназначенные для подачи воды на пожаротушение, вводы и сети водопровода в подвалах, чердаках, технических этажах, противопожарные стояки и т.п., следует выполнять из металлических труб (кроме чугунных), а также из полимерных материалов, допущенных для использования в установленном законодательством Российской Федерации порядке, а стояки и квартирные разводки, подающие воду на хозяйственно-питьевые нужды, в соответствии с
7.1.1.
Систему раздельного противопожарного водопровода (вводы, сети, стояки) следует выполнять из металлических труб (кроме чугунных).
| | Применение на обязательной основе п. п. 7.1.4, 7.1.5 обеспечивает соблюдение требований Федерального закона от 30.12.2009 N 384-ФЗ "Технический регламент о безопасности зданий и сооружений" (Постановление Правительства РФ от 04.07.2020 N 985). | |
7.1.4 На сетях хозяйственно-питьевого водопровода следует устанавливать запорную, водоразборную, смесительную и термосмесительную арматуру, обратные клапаны, регуляторы давления, регуляторы расхода воды, ручные балансировочные клапаны, автоматические воздушные клапаны. Конструкция водоразборной и запорной арматуры должна обеспечивать плавное открывание и закрывание потока воды. Область соответствия водоразборной, регулирующей и запорной арматуры подтверждается в установленном порядке.
7.1.5 Установку запорной арматуры на внутренних водопроводных сетях следует предусматривать:
на каждом вводе;
на кольцевой разводящей сети для обеспечения возможности выключения на ремонт ее отдельных участков (не более чем полукольца);
на кольцевой сети производственного водопровода холодной воды из расчета обеспечения двусторонней подачи воды к агрегатам, не допускающим перерыва в подаче воды;
у основания пожарных стояков с числом пожарных кранов пять и более;
у основания стояков хозяйственно-питьевой или производственной сети в зданиях высотой три этажа и более;
на ответвлениях, питающих пять водоразборных точек и более;
на ответвлениях от магистральных линий водопровода;
на ответвлениях в каждую квартиру или номер гостиницы, на подводках к смывным бачкам и водонагревательным колонкам, на ответвлениях к групповым душам и умывальникам;
у оснований подающих и циркуляционных стояков в зданиях и сооружениях высотой три этажа и более;
на ответвлениях трубопровода к секционным узлам;
перед наружными поливочными кранами;
перед приборами, аппаратами и агрегатами специального назначения (производственными, лечебными, опытными и др.) по технологическому заданию;
в схемах водомерных узлов учета.
Запорную арматуру следует предусматривать у основания и на верхних концах закольцованных по вертикали стояков.
На кольцевых участках необходимо предусматривать арматуру, обеспечивающую пропуск воды в двух направлениях.
Запорную арматуру на водопроводных стояках, проходящих через встроенные магазины, столовые, рестораны и другие помещения, недоступные для осмотра в ночное время, следует устанавливать в подвале, подполье или техническом этаже, к которым имеется постоянный доступ.
7.1.6 При расположении водопроводной арматуры диаметром 50 мм и более на высоте более 1,6 м от пола следует предусматривать стационарные площадки или мостики для ее обслуживания.
При высоте расположения водопроводной арматуры до 3 м и диаметре до 150 мм допускается использовать передвижные вышки, стремянки и приставные лестницы с уклоном не более 60° для ее обслуживания при условии соблюдения правил техники безопасности.
| | Применение на обязательной основе п. 7.1.7 обеспечивает соблюдение требований Федерального закона от 30.12.2009 N 384-ФЗ "Технический регламент о безопасности зданий и сооружений" (Постановление Правительства РФ от 04.07.2020 N 985). | |
7.1.7 Установку регуляторов давления на вводах систем водоснабжения в здания следует предусматривать после запорной арматуры, отключающей счетчик количества воды, или после насосов хозяйственно-питьевого водоснабжения, при этом после регулятора следует предусматривать установку запорной арматуры. Для контроля за работой и наладкой регулятора давления до и после него должны быть установлены манометры.
При установке насосов с регулируемым приводом регуляторы давления предусматривать не следует.
Установку регулятора давления на вводе в квартиру следует предусматривать после запорной арматуры и фильтра перед водосчетчиком без манометров для контроля за работой и возможности наладки регулятора.
7.1.8 В точках водоразбора с холодной и горячей водой следует устанавливать смесители с раздельной подводкой холодной и горячей воды.
Если в точке водоразбора используется горячая вода без подмешивания холодной, то установка смесителей не требуется.
| | Применение на обязательной основе п. п. 7.1.9, 7.1.10 обеспечивает соблюдение требований Федерального закона от 30.12.2009 N 384-ФЗ "Технический регламент о безопасности зданий и сооружений" (Постановление Правительства РФ от 04.07.2020 N 985). | |
7.1.9 Установку обратных клапанов в системах водоснабжения следует предусматривать:
- на участках трубопроводов, подающих воду к групповым смесителям;
- на циркуляционном трубопроводе перед присоединением его к водонагревателю.
7.1.10 Установку поливочных кранов (смесителей) следует предусматривать:
- в гардеробах рабочей одежды загрязненных производств;
- в общественных уборных;
- в умывальных помещениях с пятью умывальниками и более;
- в душевых помещениях с тремя душами и более;
- в помещениях с мокрой уборкой полов.
Для зданий и сооружений, оборудованных системой горячего водоснабжения, к поливочным кранам следует предусматривать подведение холодной и горячей воды.
Примечание - В мусоросборных камерах жилых зданий следует предусматривать: поливочный кран (смеситель) с подводом холодной и горячей воды; установку спринклера на трубопроводе подачи холодной воды, а также сигнализатор протока жидкости, размещая его до спринклерных головок на трубопроводе подачи воды и подключая к системе диспетчеризации.
| | Применение на обязательной основе п. 7.1.11 обеспечивает соблюдение требований Федерального закона от 30.12.2009 N 384-ФЗ "Технический регламент о безопасности зданий и сооружений" (Постановление Правительства РФ от 04.07.2020 N 985). | |
7.1.11 На каждые 60 - 70 м периметра здания следует предусматривать по одному поливочному крану, размещаемому в коверах (небольшой колодец в земле для размещения поливочного крана) около здания или в нишах наружных стен здания. Для полива следует использовать воду с показателями качества воды для орошения не ниже первой группы в соответствии с
ГОСТ 17.1.2.03, подаваемую по отдельному техническому водопроводу.
Подача воды на полив от внутреннего водопровода с водой питьевого качества предусматривается только по заданию на проектирование.
Для зданий, расположенных в климатических подрайонах IА, IБ и IГ, а также на территории промышленных предприятий установку поливочных кранов следует предусматривать в зависимости от степени благоустройства, наличия зеленых насаждений и других местных условий, а также способа полива.
7.1.12 В верхних точках систем водопровода холодной и горячей воды следует предусматривать автоматические воздушные клапаны. Допускается использовать водоразборную арматуру верхних этажей. В нижних точках системы следует предусматривать спускную арматуру. Допускается использовать водоразборную арматуру нижних этажей.
7.1.13 На поэтажных ответвлениях от водоразборных стояков холодной и горячей воды предусматривается установка шарового крана, фильтра и регулятора давления.
На ответвлениях от этажного коллектора к каждой квартире предусматривается установка шарового крана, обратного клапана и счетчика с импульсным выходом с учетом требований
7.2.10.
На ответвлении от водоразборных стояков холодной воды допустима установка крана первичного пожаротушения после счетчика с учетом требований
СП 5.13130 и
СП 54.13330.
(п. 7.1.13 в ред.
Изменения N 1, утв. Приказом Минстроя России от 24.01.2019 N 33/пр)
7.2. Устройства для измерения водопотребления
| | Применение на обязательной основе п. 7.2.1 обеспечивает соблюдение требований Федерального закона от 30.12.2009 N 384-ФЗ "Технический регламент о безопасности зданий и сооружений" (Постановление Правительства РФ от 04.07.2020 N 985). | |
7.2.1 Для вновь строящихся, реконструируемых и капитально ремонтируемых зданий с горячим и/или холодным водопроводом следует предусматривать водомерные узлы путем установки счетчиков холодной и горячей воды, параметры которых должны соответствовать метрологическому классу B по
ГОСТ Р 50193.1 и требованиям настоящего раздела. Проекты узлов учета должны соответствовать требованиям настоящего раздела с учетом требований
5.4.10, техническим условиям и разрешительной документации гарантирующей организации.
Счетчики воды следует устанавливать на вводах трубопроводов холодного и горячего водопровода в каждое здание и сооружение, в каждую квартиру жилых зданий и на ответвлениях трубопроводов в любые нежилые помещения, встроенные или пристроенные к жилым, общественным или производственным зданиям. На ответвлениях трубопроводов к отдельным помещениям, а также на подводках к отдельным санитарно-техническим приборам и к технологическому оборудованию счетчики воды устанавливают по заданию на проектирование.
Должен быть обеспечен раздельный учет водоразбора в системах водопроводов холодной и горячей воды.
Счетчики горячей воды (для воды с температурой до 90 °C) следует устанавливать на подающем и циркуляционном трубопроводах горячего водоснабжения с установкой обратного клапана на циркуляционном трубопроводе.
Перед счетчиками (по ходу движения воды) следует предусматривать установку механических или магнитно-механических фильтров. Потери давления в фильтре не должны превышать 50% потерь давления в счетчиках.
7.2.2 Счетчики на вводах холодной (горячей) воды в здания и сооружения следует устанавливать в помещении с искусственным или естественным освещением и температурой воздуха не ниже 5 °C.
Счетчики необходимо размещать так, чтобы к ним был доступ для считывания показаний, обслуживания, снятия и разборки на месте установки, для метрологической поверки. Для счетчиков с массой более 25 кг должно быть предусмотрено достаточное пространство над счетчиками для установки подъемного механизма. Пол помещения для установки счетчиков должен быть ровным и жестким.
7.2.3 При невозможности размещения счетчиков холодной и/или горячей воды в здании допускается устанавливать их вне здания, в специальных колодцах только в том случае, если в паспорте счетчика указано, что он может работать в условиях затопления.
7.2.4 Счетчики воды должны быть защищены от вибрации (допустимые параметры вибрации принимаются в соответствии с данными паспортов приборов). Счетчики не должны подвергаться механическим напряжениям под воздействием трубопроводов и запорной арматуры и должны быть смонтированы на подставке или кронштейнах.
| | Применение на обязательной основе п. 7.2.5 обеспечивает соблюдение требований Федерального закона от 30.12.2009 N 384-ФЗ "Технический регламент о безопасности зданий и сооружений" (Постановление Правительства РФ от 04.07.2020 N 985). | |
7.2.5 В тепловых пунктах (центральных или индивидуальных) для измерения потребления горячей воды следует устанавливать счетчики на трубопроводах холодного водопровода, подающих воду к водонагревателям. При непосредственном разборе горячей воды из тепловой сети (открытые системы теплоснабжения) в зданиях и сооружениях счетчики горячей воды следует устанавливать на вводе, перед смесительными узлами и на общем циркуляционном (обратном) трубопроводе.
7.2.6 Счетчики горячей и холодной воды устанавливают на горизонтальных, вертикальных или наклонных участках трубопроводов, если такая установка предусмотрена паспортом счетчика.
При размещении квартирных счетчиков холодной и горячей воды на вертикальных участках трубопроводов применяются счетчики, соответствующие метрологическому классу A по
ГОСТ Р 50193.1.
7.2.7 При конструировании трубной обвязки узлов установки счетчиков холодной и горячей воды следует:
- с каждой стороны счетчика предусматривать установку запорной арматуры, обеспечивающей отключение воды на участке с установленным счетчиком (шаровые краны, вентили с керамическими шайбами, задвижки с обрезиненным клином и т.п.); для квартирных счетчиков воды запорную арматуру устанавливают только до счетчиков (по ходу движения воды);
- между счетчиком (кроме квартирных) и вторым (по ходу движения воды) запорным устройством устанавливать контрольное запорное устройство (с постоянно установленной заглушкой), предназначенное для подключения устройств метрологической поверки счетчиков; такое же устройство следует устанавливать на расстоянии не более 0,5 м после запорного устройства; для крыльчатых счетчиков воды (с диаметром до 50 мм) диаметр контрольных кранов равен 15 мм, для турбинных (с диаметром более 50 мм) - 25 мм;
- с каждой стороны счетчиков предусматривать прямые участки трубопроводов, длина которых устанавливается в соответствии с требованиями паспортов приборов.
7.2.8 Обводную линию для общедомовых счетчиков холодной воды следует устраивать, если:
- имеется один ввод хозяйственно-питьевого или объединенного хозяйственно-противопожарного водопровода в здание или сооружение;
- счетчик воды не рассчитан на пропуск расчетного максимального секундного расхода воды (с учетом расхода на пожаротушение).
Все запорные устройства узлов установки счетчиков должны быть опломбированы в открытом состоянии, а запорное устройство на обводной линии - в закрытом состоянии.
7.2.9 Запорное устройство на обводной линии счетчиков воды следует оборудовать электроприводом с пуском от кнопок, установленных у пожарных кранов, или от устройств (систем) противопожарной автоматики. При недостаточном для пожаротушения давлении воды в водопроводной сети здания или сооружения должно обеспечиваться открытие запорного устройства на обводной линии одновременно с пуском противопожарных насосов.
В сетях горячего водопровода устройство обводных линий у счетчиков воды не требуется.
На противопожарных водопроводах счетчики воды не устанавливают.
При двух вводах водопровода и установке счетчиков воды на каждом вводе, обводные линии на счетчиках воды не предусматриваются.
7.2.10 Счетчики холодной и горячей воды, устанавливаемые в жилых и общественных зданиях, должны иметь устройства формирования электрических импульсов, а также съемные или стационарные датчики электрических импульсов.
Счетчики холодной и горячей воды, устанавливаемые в квартирах, при наличии диспетчерской системы учета водопотребления, должны иметь электронные устройства формирования, считывания и передачи учетной информации, кроме радиопередатчиков.
7.2.11 Использование квартирных счетчиков воды в комплекте со встроенным обратным клапаном и дополнительной защиты от манипулирования показаниями счетчиков устанавливают по требованию организации, осуществляющей отпуск воды непосредственно абоненту, и согласовывают с органами местного самоуправления.
7.2.12 Диаметр условного прохода счетчика воды следует выбирать по среднечасовому расходу воды за период потребления (сутки, смену), который не должен превышать эксплуатационный расход по паспорту.
7.2.13 Счетчик с предварительно принятым в соответствии с 7.2.12 диаметром условного прохода следует проверять:
а) на пропуск расчетного максимального часового или максимального секундного расхода; при этом потери давления в счетчиках воды не должны превышать для крыльчатых счетчиков 0,05 МПа, а для турбинных 0,025 МПа;
б) на пропуск расчетного максимального часового или максимального секундного расхода воды с учетом подачи расчетного противопожарного расхода воды; при этом потери давления в счетчике не должны превышать для крыльчатых счетчиков 0,1 МПа, а для турбинных 0,05 МПа;
в) на возможность измерения расчетных минимальных часовых расходов воды; при этом минимальный расход воды для выбранного счетчика (по паспорту прибора в зависимости от метрологического класса) не должен превышать расчетный минимальный часовой расход воды.
7.2.14 Если выбранный счетчик не соответствует условиям
7.2.13 а) или
б), то к установке следует принимать счетчик с ближайшим большим диаметром.
Если выбранный счетчик воды не соответствует условию
7.2.13 в), то к установке следует принимать счетчик с ближайшим меньшим диаметром.
Если счетчик не соответствует одновременно условиям
7.2.13 а) и
в) или
7.2.13 б) и
в), то следует предусматривать установку:
комбинированного счетчика (объединенного турбинного и крыльчатого счетчика со встроенным переключающим поток воды клапаном);
счетчика метрологического класса C (по действующему стандарту на водосчетчики);
нескольких счетчиков одинакового диаметра (устанавливаемых параллельно), число которых определяется расчетом при условии выполнения требований
7.2.12.
7.2.15 Потери давления в счетчике hсч, м, при расчетном секундном расходе воды q (qtot, qc, qh), л/с, следует вычислять по формуле
hсч = Sq2, (17)
где S - гидравлическое сопротивление счетчика, м/(л/с)2, при расчетном секундном расходе воды,
или по формуле:

(18)
Минстроя России от 24.01.2019 N 33/пр)
где

- расчетный максимальный часовой расход, определяемый по секундному расходу, м
3/ч;

- максимальный расход счетчика по паспорту, при давлении 0,1 МПа, м
3/ч;
101,97 - коэффициент перевода МПа в м вод. ст.
(в ред.
Изменения N 1, утв. Приказом Минстроя России от 24.01.2019 N 33/пр)
| | Применение на обязательной основе п. 7.3.1 обеспечивает соблюдение требований Федерального закона от 30.12.2009 N 384-ФЗ "Технический регламент о безопасности зданий и сооружений" (Постановление Правительства РФ от 04.07.2020 N 985). | |
7.3.1 Для повышения гидростатического давления выше гарантированного на вводе в здание или сооружение, а также для поддержания принудительной циркуляции в централизованной системе горячего водоснабжения следует предусматривать устройство насосных установок.
7.3.2 Требуемый напор повысительной насосной установки Hp, м, следует вычислять по формуле

(19)
Минстроя России от 24.01.2019 N 33/пр)
где Hgeom - геометрическая высота подачи воды, от оси насоса до наиболее высоко расположенного водоразборного прибора, м;

- сумма потерь давления в сети водопровода холодной или горячей воды (в узле ввода, счетчиках, оборудовании, арматуре трубопроводов) по диктующему направлению до наиболее высоко расположенного водоразборного прибора, м вод. ст.;
Hf - свободный напор (давление на изливе) санитарно-технического прибора принятый по паспорту производителя, м вод. ст.;
(в ред.
Изменения N 1, утв. Приказом Минстроя России от 24.01.2019 N 33/пр)
Hg - наименьшее гарантированное давление в наружной водопроводной сети на вводе в здание, м вод. ст.;
1,2 - коэффициент запаса.
7.3.3 Насосные установки и режим их работы следует определять на основании технико-экономического сравнения разработанных вариантов:
непрерывно или периодически действующих насосов при отсутствии регулирующих баков;
насосов производительностью, равной или превышающей максимальный часовой расход воды, работающих в повторно-кратковременном режиме совместно с гидропневматическими водонапорными баками или баками мембранного типа;
непрерывно или периодически действующих насосов производительностью меньше максимального часового расхода воды, работающих совместно с аккумулирующим баком.
| | Применение на обязательной основе п. 7.3.4 обеспечивает соблюдение требований Федерального закона от 30.12.2009 N 384-ФЗ "Технический регламент о безопасности зданий и сооружений" (Постановление Правительства РФ от 04.07.2020 N 985). | |
7.3.4 Насосные установки, подающие воду на хозяйственно-питьевые, противопожарные и циркуляционные нужды, следует располагать в этих зданиях, а также в помещениях тепловых пунктов, бойлерных и котельных и отдельно стоящих насосных, обеспечивая в помещениях зданий допустимые уровни шума и вибрации в соответствии с
СанПиН 2.1.2.2645.
7.3.5 При проектировании гидропневматических баков следует учитывать требования
[6]. Гидропневматические баки допускается располагать в технических этажах. Помещения с гидропневматическими баками, поднадзорными правилам Ростехнадзора, не допускается располагать непосредственно (рядом, сверху, снизу) с помещениями, где возможно одновременное пребывание большого количества людей, 50 человек и более (зрительный зал, сцена, гардеробная и т.п.).
7.3.6 Насосные установки, располагаемые в жилых зданиях, детских или дошкольных организациях, гостиницах, санаториях, больницах, домах отдыха должны обеспечивать снижение шума и вибрации по нормам
СанПиН 2.1.2.2645.
7.3.7 Устройство зон санитарной охраны не требуется для насосных установок, подающих воду на хозяйственно-питьевые или хозяйственно-противопожарные нужды, работающих без разрыва струи.
7.3.8 Насосные установки для производственных нужд следует размещать непосредственно в цехах, потребляющих воду, предусматривая ограждение насосной установки.
| | Применение на обязательной основе п. п. 7.3.9, 7.3.10 обеспечивает соблюдение требований Федерального закона от 30.12.2009 N 384-ФЗ "Технический регламент о безопасности зданий и сооружений" (Постановление Правительства РФ от 04.07.2020 N 985). | |
7.3.9 Производительность хозяйственно-питьевых и производственных насосных установок следует принимать:
- при отсутствии регулирующего бака - не меньше максимального секундного расхода воды;
- при наличии водонапорного или гидропневматического бака и насосов, работающих в повторно-кратковременном режиме, - не меньше максимального часового расхода воды;
- при максимальном использовании регулирующего бака, водонапорного бака или резервуара.
7.3.10 В закрытых системах горячего водоснабжения при недостаточном давлении воды в городском водопроводе в качестве дополнительных повысительных насосов следует использовать циркуляционные насосы, устанавливаемые на подающем трубопроводе, при этом насос должен обеспечить работу системы горячего водоснабжения в циркуляционном режиме при минимальном водоразборе.
7.3.11 Насосные агрегаты, устанавливаемые в местной повысительной насосной установке с переменной нагрузкой потребления, следует предусматривать с частотно-регулируемым электроприводом. В зданиях с водонапорными или гидропневматическими баками насосные агрегаты следует устанавливать без частотно-регулируемого электропривода.
| | Применение на обязательной основе п. 7.3.12 обеспечивает соблюдение требований Федерального закона от 30.12.2009 N 384-ФЗ "Технический регламент о безопасности зданий и сооружений" (Постановление Правительства РФ от 04.07.2020 N 985). | |
7.3.12 При расчетных давлениях у всасывающих патрубков насосов менее 0,05 МПа следует перед насосной установкой предусматривать устройство приемного резервуара.
7.3.13 Проектирование насосных установок и определение числа резервных агрегатов следует выполнять согласно
СП 31.13330 с учетом параллельной или последовательной работы насосов в каждой ступени.
| | Применение на обязательной основе п. 7.3.14 обеспечивает соблюдение требований Федерального закона от 30.12.2009 N 384-ФЗ "Технический регламент о безопасности зданий и сооружений" (Постановление Правительства РФ от 04.07.2020 N 985). | |
7.3.14 На напорной линии у каждого насоса следует предусматривать обратный клапан, запорное устройство и манометр, а на всасывающей - запорное устройство и манометр.
При работе насоса без подпора не требуется устанавливать запорную арматуру на всасывающей линии.
7.3.15 Насосные агрегаты следует устанавливать на виброизолирующих основаниях. На напорных и всасывающих линиях следует предусматривать установку виброизолирующих вставок.
Виброизолирующие основания и виброизолирующие вставки допускается не предусматривать:
в производственных зданиях, где не требуется защита от шума;
в отдельно стоящих зданиях центральных тепловых пунктов при расположении их до ближайшего здания более 25 м.
7.3.16 Насосные установки с гидропневматическими баками следует проектировать с переменным давлением. Пополнение запаса воздуха в баке следует осуществлять компрессорами с автоматическим или ручным пуском или от общезаводской компрессорной станции.
7.3.17 Для насосных установок, подающих воду на хозяйственно-питьевые и производственные нужды, необходимо принимать следующую категорию надежности электроснабжения:
I - для насосных установок, перерыв в работе которых не допускается;
II - для жилых зданий высотой более 10 этажей при суммарном расходе воды более 5 л/с, а также для насосных установок, допускающих кратковременный перерыв в работе на время, необходимое для ручного включения резервного питания.
| | ИС МЕГАНОРМ: примечание. Текст дан в соответствии с официальным текстом документа. | |
Примечания
1 При невозможности осуществить питание насосных установок категории I от двух независимых источников электроснабжения допускается осуществлять их питание от одного источника при условии подключения к разным линиям напряжением 0,4 кВт и к разным трансформаторам двухтрансформаторной подстанции или трансформаторам двух ближайших однотрансформаторных подстанций (с устройством АВР).
2 При невозможности обеспечения необходимой надежности электроснабжения насосных установок допускается устанавливать резервные насосы с приводом от двигателей внутреннего сгорания. При этом не допускается размещать их в помещениях подземных этажей.
| | Применение на обязательной основе п. 7.3.18 обеспечивает соблюдение требований Федерального закона от 30.12.2009 N 384-ФЗ "Технический регламент о безопасности зданий и сооружений" (Постановление Правительства РФ от 04.07.2020 N 985). | |
7.3.18 Насосные установки систем холодного водопровода, циркуляционные и циркуляционно-повысительные насосные системы горячего водопровода следует проектировать с местным, дистанционным или автоматическим управлением.
При автоматическом управлении повысительной насосной установкой должны предусматриваться:
- автоматический пуск и отключение рабочих насосов с частотно-регулируемым электроприводом в зависимости от требуемого давления в системе;
- автоматическое включение резервного насоса при аварийном отключении рабочего насоса;
- подача звукового или светового сигнала об аварийном отключении рабочего насоса.
Дистанционное и автоматическое управление следует осуществлять с диспетчерского узла управления.
| | Применение на обязательной основе п. п. 7.3.19, 7.3.20 обеспечивает соблюдение требований Федерального закона от 30.12.2009 N 384-ФЗ "Технический регламент о безопасности зданий и сооружений" (Постановление Правительства РФ от 04.07.2020 N 985). | |
7.3.19 При заборе воды из резервуара следует предусматривать установку насосов "под залив". В случае размещения насосов выше уровня воды в резервуаре следует предусматривать устройства для заливки насосов или устанавливать самовсасывающие насосы.
7.3.20 При заборе воды насосами из резервуаров следует предусматривать не менее двух всасывающих линий. Расчет каждой из них следует проводить на пропуск расчетного расхода воды, включая противопожарный.
Устройство одной всасывающей линии предусматривается при установке насосов без резервных агрегатов.
7.3.21 Для пожаротушения допускается использовать насосы питьевого водоснабжения в соответствии с требованиями
СП 31.13330 и
СП 10.13130.
(п. 7.3.21 в ред.
Изменения N 1, утв. Приказом Минстроя России от 24.01.2019 N 33/пр)
7.4. Запасные и регулирующие резервуары
7.4.1 Запасные и регулирующие резервуары (водонапорные башни, резервуары, гидропневматические баки, аккумуляторы теплоты и др.) должны содержать воду в объеме, достаточном для регулирования водопотребления.
При наличии противопожарных устройств указанные резервуары холодного водопровода должны содержать неприкосновенный противопожарный запас воды. Для обеспечения сохранности неприкосновенного противопожарного запаса воды и исключения возможности его использования на другие нужды следует предусматривать специальные устройства.
В резервуаре должен сохраняться минимальный объем воды, обеспечивающий включение пожарных насосов от датчиков уровня или давления.
Тип резервуара, целесообразность его устройства и место расположения следует определять на основании технико-экономических расчетов.
Гидропневматические баки допускается применять для хранения противопожарного запаса воды по заданию на проектирование.
7.4.2 Безнапорные баки-аккумуляторы в системах холодного водоснабжения и емкостные водонагреватели в системах горячего водоснабжения следует предусматривать для создания запаса воды в банях, прачечных и у других потребителей, имеющих кратковременные расходы воды.
7.4.3 В административно-бытовых зданиях и помещениях промышленных предприятий с числом душевых сеток в групповых установках 10 и более необходимо устанавливать:
- при закрытых схемах теплоснабжения - емкостные подогреватели;
- при открытой схеме теплоснабжения - безнапорные баки-аккумуляторы для создания запаса воды, в случае невозможности обеспечения подачи необходимого расхода воды наружными сетями и сооружениями. Отказ от устройства баков-аккумуляторов должен быть обоснован.
7.4.4 Расчет регулирующего объема вместимости резервуара и баков-аккумуляторов в системах водопровода холодной и горячей воды следует выполнять:
а) для водонапорного или пневматического бака при производительности насосов, равной или превышающей максимальный часовой расход;
б) для водонапорного бака или резервуара при производительности насосной установки меньше максимального часового расхода;
в) для бака-аккумулятора теплоты в системе горячего водоснабжения при мощности водонагревателя (генератора теплоты), не обеспечивающего максимального часового потребления теплоты.
Расчет регулирующего объема резервуаров и баков-аккумуляторов в системах водопровода холодной и горячей воды приведен в
приложении Д.
7.4.5 Высота расположения водонапорного бака (в том числе бака горячей воды) и минимальное давление в гидропневматическом баке должны обеспечивать:
- необходимое давление воды перед водоразборной арматурой;
- необходимое давление у внутренних пожарных кранов до полного израсходования противопожарного запаса воды в системах объединенного водопровода.
7.4.6 Водонапорные и гидропневматические баки питьевой воды, а также баки-аккумуляторы следует изготавливать из металла с наружной и внутренней антикоррозионной защитой; при этом для внутренней антикоррозионной защиты следует применять материалы, прошедшие санитарно-эпидемиологическую экспертизу и имеющие соответствующее разрешение.
Для баков-аккумуляторов систем горячего водоснабжения тепловую изоляцию следует предусматривать по расчету.
| | Применение на обязательной основе п. 7.4.7 обеспечивает соблюдение требований Федерального закона от 30.12.2009 N 384-ФЗ "Технический регламент о безопасности зданий и сооружений" (Постановление Правительства РФ от 04.07.2020 N 985). | |
7.4.7 Водонапорные баки и баки-аккумуляторы (безнапорные) следует устанавливать в вентилируемом, отапливаемом и освещаемом помещении, высотой не менее 2,2 м.
Несущие конструкции помещения следует выполнять из негорючих материалов. Расстояния между водонапорными баками и строительными конструкциями должны быть не менее 0,7 м; между баками и строительными конструкциями со стороны расположения поплавкового клапана - не менее 1 м; от верха бака до перекрытия - не менее 0,6 м.
Под баками следует предусматривать поддоны. Расстояние от поддона до дна бака должно быть не менее 0,5 м.
| | Применение на обязательной основе п. 7.4.8 обеспечивает соблюдение требований Федерального закона от 30.12.2009 N 384-ФЗ "Технический регламент о безопасности зданий и сооружений" (Постановление Правительства РФ от 04.07.2020 N 985). | |
7.4.8 Для водонапорных баков и баков-аккумуляторов (безнапорных) следует предусматривать:
а) трубу для подачи воды в бак с поплавковыми клапанами. Перед каждым поплавковым клапаном следует устанавливать запорное устройство;
б) отводящую трубу;
в) переливную трубу, присоединяемую на высоте наивысшего допустимого уровня воды в баке;
г) спускную трубу, присоединяемую к днищу бака и к переливной трубе с запорным устройством на присоединяемом участке трубопровода;
д) водоотводную трубу для отвода воды из поддона;
е) устройства, обеспечивающие циркуляцию холодной воды в баках, предназначенных для хранения воды питьевого качества;
ж) циркуляционную трубу для поддержания постоянной температуры в емкостном подогревателе (бойлере) во время перерывов при разборе горячей воды; на циркуляционной трубе следует предусматривать установку обратного клапана с запорным устройством и клапаном-регулятором;
и) воздушную трубу диаметром не менее 25 мм, соединяющую бак с атмосферой;
к) датчики уровня воды в баках для включения и выключения насосных установок;
л) указатели уровня воды в баках и устройства для передачи их показаний на пульт управления.
При объединении подающей и отводящей трубы в одну на ответвлении подающей трубы к днищу бака следует предусматривать обратный клапан и запорную арматуру.
При отсутствии сигнализации уровня воды в водонапорном баке необходимо предусматривать сигнальную трубку диаметром 15 мм, присоединяемую к баку на 5 см ниже переливной трубы, с выводом ее в раковину дежурного помещения насосной установки.
| | Применение на обязательной основе п. п. 7.4.9, 7.4.10 обеспечивает соблюдение требований Федерального закона от 30.12.2009 N 384-ФЗ "Технический регламент о безопасности зданий и сооружений" (Постановление Правительства РФ от 04.07.2020 N 985). | |
7.4.9 Гидропневматические баки должны быть оборудованы подающей, отводящей и спускной трубами, а также предохранительными клапанами, манометром, датчиками уровня и устройствами для пополнения и регулирования запаса воздуха.
7.4.10 Гидропневматические баки надлежит устанавливать в помещениях, обеспечивая расстояние от верха баков до перекрытия и между баками и до стен помещения - не менее 0,6 м.
7.4.11 Запас воды в баках-аккумуляторах, устраиваемых в бытовых зданиях и помещениях промышленных предприятий, следует определять в зависимости от времени их заполнения в течение смены, принимаемого при количестве душевых сеток:
10 - 20 - 2 ч; 21 - 30 - 3 ч; 31 и более - 4 ч.
7.4.12 Неприкосновенный противопожарный запас воды при ручном, дистанционном или автоматическом включении насосов следует принимать из расчета 10-минутной продолжительности тушения пожара из внутренних пожарных кранов, при одновременном наибольшем расходе воды на производственные и хозяйственно-питьевые нужды.
При гарантированном автоматическом включении пожарных насосов неприкосновенный противопожарный запас допускается не предусматривать.
7.4.13 Резервуары для сбора воды в системах оборотного водоснабжения и в системах с повторным использованием воды допускается размещать внутри и вне зданий. Резервуары следует предусматривать в соответствии с правилами на наружные сети и сооружения водоснабжения.
Минстроя России от 24.01.2019 N 33/пр)
8.1.1 В зависимости от назначения здания и сооружения и предъявляемых требований к отведению сточных вод необходимо предусматривать следующие системы внутренней канализации:
бытовую - для отведения сточных вод от санитарно-технических приборов (унитазов, умывальников, ванн, душей и др.);
производственную - для отведения производственных сточных вод, в том числе отвод стоков после тушения пожара с учетом требований
СП 5.13130;
(в ред.
Изменения N 1, утв. Приказом Минстроя России от 24.01.2019 N 33/пр)
объединенную - для отведения бытовых и производственных сточных вод (одна или несколько в зависимости от состава и количества сточных вод);
внутренние водостоки - для отведения дождевых и талых вод с кровли здания в наружную сеть.
В производственных и многофункциональных зданиях предусматривают несколько систем водоотведения, предназначенных для отвода сточных вод, отличающихся по составу, агрессивности, температуре и другим показателям, не допускающих их смешение, а при разделении сокращающих расходы воды питьевого качества.
(в ред.
Изменения N 1, утв. Приказом Минстроя России от 24.01.2019 N 33/пр)
| | Применение на обязательной основе п. 8.1.2 обеспечивает соблюдение требований Федерального закона от 30.12.2009 N 384-ФЗ "Технический регламент о безопасности зданий и сооружений" (Постановление Правительства РФ от 04.07.2020 N 985). | |
8.1.2 Раздельные системы водоотведения производственных и бытовых сточных вод следует предусматривать:
(в ред.
Изменения N 1, утв. Приказом Минстроя России от 24.01.2019 N 33/пр)
для производственных зданий, производственные сточные воды которых требуют очистки или обработки и организации производственного оборотного водоснабжения;
для зданий бань и прачечных при устройстве теплоутилизирующих установок или при наличии местных очистных сооружений;
для крупных многофункциональных зданий и комплексов, магазинов, предприятий общественного питания и предприятий по переработке пищевой продукции.
| | Применение на обязательной основе п. 8.1.3 обеспечивает соблюдение требований Федерального закона от 30.12.2009 N 384-ФЗ "Технический регламент о безопасности зданий и сооружений" (Постановление Правительства РФ от 04.07.2020 N 985). | |
8.1.3 Производственные сточные воды, подлежащие совместному отведению и очистке с бытовыми водами, должны отвечать требованиям территориальных правил приема производственных сточных вод в системы водоотведения поселений и городских округов и требованиям
СП 32.13330.
(п. 8.1.3 в ред.
Изменения N 1, утв. Приказом Минстроя России от 24.01.2019 N 33/пр)
8.1.4 Необходимо проводить расчет баланса водопотребления и водоотведения, рассчитывая экономически обоснованный объем сброса сточных вод, с учетом максимально возможного использования оборотного водоснабжения, сбора, очистки и использования дождевых стоков и талых вод.
8.2. Расчетные расходы стоков
8.2.1 Для стояков системы внутренней канализации расчетным расходом является максимальный секундный расход стоков qs, л/с, от присоединенных к стояку санитарно-технических приборов и не вызывающий у них срыва гидравлических затворов.
Максимальный секундный расход стояков
qs следует рассчитывать как сумму максимального секундного расхода воды
qtot (согласно
5.2.2) и максимального секундного расхода стоков

от прибора с максимальным водоотведением по формуле

(20)
| | ИС МЕГАНОРМ: примечание. Обозначение к формуле дано в соответствии с официальным текстом документа. | |
где qs,1 - максимальный секундный расход стоков от прибора с максимальным водоотведением от смывного бачка унитаза, равный 1,6 л/с.
8.2.2 Для горизонтальных отводных трубопроводов системы водоотведения (канализации) расчетным расходом является расход qsL, л/с, значение которого вычисляют в зависимости от числа санитарно-технических приборов N, присоединенных к проектируемому участку сети, и длины этого участка трубопровода L, м, по формуле
(в ред.
Изменения N 1, утв. Приказом Минстроя России от 24.01.2019 N 33/пр)

(21)
где Ks - коэффициент, принимаемый по таблице 3.
Для жилого здания

принимают равным 1,1 л/с - расход от заполненной ванны емкостью 150 - 180 л с выпуском диаметром 40 - 50 мм.
Таблица 3
N | Значения Ks при L, м |
1 | 3 | 5 | 7 | 10 | 15 | 20 | 30 | 40 | 50 | 100 | 500 | 1000 |
4 | 0,61 | 0,51 | 0,46 | 0,43 | 0,40 | 0,36 | 0,34 | 0,31 | 0,27 | 0,25 | 0,23 | 0,15 | 0,13 |
8 | 0,63 | 0,53 | 0,48 | 0,45 | 0,41 | 0,37 | 0,35 | 0,32 | 0,28 | 0,26 | 0,24 | 0,16 | 0,13 |
12 | 0,64 | 0,54 | 0,49 | 0,46 | 0,42 | 0,39 | 0,36 | 0,33 | 0,29 | 0,26 | 0,24 | 0,16 | 0,14 |
16 | 0,65 | 0,55 | 0,50 | 0,47 | 0,43 | 0,39 | 0,37 | 0,33 | 0,30 | 0,27 | 0,25 | 0,17 | 0,14 |
20 | 0,66 | 0,56 | 0,51 | 0,48 | 0,44 | 0,40 | 0,38 | 0,34 | 0,30 | 0,28 | 0,25 | 0,17 | 0,14 |
24 | 0,67 | 0,57 | 0,52 | 0,48 | 0,45 | 0,41 | 0,38 | 0,35 | 0,31 | 0,28 | 0,26 | 0,17 | 0,15 |
28 | 0,68 | 0,58 | 0,53 | 0,49 | 0,46 | 0,42 | 0,39 | 0,36 | 0,31 | 0,29 | 0,27 | 0,18 | 0,15 |
32 | 0,68 | 0,59 | 0,53 | 0,50 | 0,47 | 0,43 | 0,40 | 0,36 | 0,32 | 0,30 | 0,27 | 0,18 | 0,15 |
36 | 0,69 | 0,59 | 0,54 | 0,51 | 0,47 | 0,43 | 0,40 | 0,37 | 0,33 | 0,30 | 0,28 | 0,19 | 0,16 |
40 | 0,70 | 0,60 | 0,55 | 0,52 | 0,48 | 0,44 | 0,41 | 0,37 | 0,33 | 0,31 | 0,28 | 0,19 | 0,16 |
100 | 0,77 | 0,69 | 0,64 | 0,60 | 0,56 | 0,52 | 0,49 | 0,45 | 0,40 | 0,37 | 0,34 | 0,23 | 0,20 |
500 | 0,95 | 0,92 | 0,89 | 0,88 | 0,86 | 0,83 | 0,81 | 0,77 | 0,73 | 0,70 | 0,66 | 0,50 | 0,44 |
1000 | 0,99 | 0,98 | 0,97 | 0,97 | 0,96 | 0,95 | 0,94 | 0,93 | 0,91 | 0,90 | 0,88 | 0,77 | 0,71 |
Примечание - За длину L принимают расстояние от последнего на расчетном участке стояка до ближайшего присоединения следующего стояка или, при отсутствии таких присоединений, до ближайшего канализационного колодца. |
8.2.3 Суточный расход стоков,

, м
3/сут, следует принимать равным суточному расходу воды без учета на поливку территории.
8.3. Сети внутреннего водоотведения (внутренней канализации)
(в ред.
Изменения N 1, утв. Приказом Минстроя России от 24.01.2019 N 33/пр)
| | Применение на обязательной основе п. п. 8.3.1, 8.3.2 обеспечивает соблюдение требований Федерального закона от 30.12.2009 N 384-ФЗ "Технический регламент о безопасности зданий и сооружений" (Постановление Правительства РФ от 04.07.2020 N 985). | |
8.3.1 Отведение сточных вод следует предусматривать по закрытым самотечным трубопроводам системы внутреннего водоотведения.
(в ред.
Изменения N 1, утв. Приказом Минстроя России от 24.01.2019 N 33/пр)
Производственные сточные воды, не имеющие неприятного запаха и не выделяющие вредные газы и пары, при технологической совместимости следует отводить по открытым самотечным лоткам с устройством общего гидравлического затвора.
8.3.2 Участки канализационной сети следует прокладывать прямолинейно. Изменять направление прокладки и присоединять санитарно-технические приборы следует с помощью соединительных деталей (отводы прямые и косые, тройники и крестовины, муфты и др.).
Применять на отводном (горизонтальном) трубопроводе трубы из разных материалов без применения соединительных (переходных) деталей не допускается.
(абзац введен
Изменением N 1, утв. Приказом Минстроя России от 24.01.2019 N 33/пр)
Изменять уклон прокладки на участке отводного (горизонтального) трубопровода не допускается.
8.3.3 Устройство отступов на канализационных стояках, ниже которых присоединяются санитарно-технические приборы, допускается, при условии:
- гидравлические затворы этих приборов гарантированы от срыва (если расположенный ниже отступа участок стояка может работать как невентилируемый, а также устройство вентиляционного трубопровода с вентиляционным (противовакуумным) клапаном и т.п.).
| | Применение на обязательной основе п. 8.3.4 обеспечивает соблюдение требований Федерального закона от 30.12.2009 N 384-ФЗ "Технический регламент о безопасности зданий и сооружений" (Постановление Правительства РФ от 04.07.2020 N 985). | |
8.3.4 Для присоединения к стояку отводных трубопроводов, располагаемых под потолком помещений, в подвалах и технических подпольях, следует предусматривать косые крестовины и тройники. Исключение составляют двухплоскостные крестовины.
8.3.5 В лечебных учреждениях двустороннее присоединение отводных трубопроводов от ванн к одному стояку на одной отметке допускается только при применении косых крестовин.
Присоединять санитарно-технические приборы, расположенные в разных квартирах на одном этаже, к одному трубопроводу не допускается.
| | Применение на обязательной основе п. 8.3.6 обеспечивает соблюдение требований Федерального закона от 30.12.2009 N 384-ФЗ "Технический регламент о безопасности зданий и сооружений" (Постановление Правительства РФ от 04.07.2020 N 985). | |
8.3.6 Применять прямые крестовины при расположении их в горизонтальной плоскости не допускается.
8.3.7 Безнапорные и напорные трубопроводы систем водоотведения следует выполнять из труб и соединительных деталей, срок службы которых не менее 25 лет.
(в ред.
Изменения N 1, утв. Приказом Минстроя России от 24.01.2019 N 33/пр)
8.3.8 Трубы и соединительные детали для внутренней сети бытовой канализации следует принимать из полимерных материалов, чугунные, хризотилцементные, стеклянные. Применение стальных труб не допускается.
(в ред.
Изменения N 1, утв. Приказом Минстроя России от 24.01.2019 N 33/пр)
8.3.9 Прокладку канализационных сетей следует предусматривать:
открыто - в подпольях, подвалах, цехах, подсобных и вспомогательных помещениях, коридорах, технических этажах и в специальных помещениях, предназначенных для размещения сетей, с креплением к конструкциям зданий (стенам, колоннам, потолкам, фермам и др.), а также на специальных опорах;
скрыто - с заделкой в строительной конструкции, под полом (в земле, каналах), панелях, бороздах стен, под облицовкой колонн (в приставных коробах у стен, колонн), в подшивных потолках, в санитарно-технических кабинах, в вертикальных шахтах, за плинтусом в полу.
8.3.10 При применении труб из полимерных материалов для систем внутренней канализации и водостоков необходимо соблюдать следующие условия:
а) прокладка трубопроводов систем внутренней канализации с трубами из полимерных материалов в земле, под полом здания допускается с учетом возможных нагрузок;
б) прокладка стояков предусматривается скрытая в коммуникационных шахтах, штрабах, каналах и коробах, ограждающие конструкции которых выполняются из негорючих материалов, за исключением лицевой панели, обеспечивающей доступ к стоякам;
в) лицевую панель изготавливают в виде двери из горючих материалов (группы горючести не ниже Г2);
г) прокладку канализационных и водосточных трубопроводов допускается предусматривать открыто - в подвалах зданий при отсутствии в них производственных, складских и служебных помещений, а также на чердаках и в санузлах жилых зданий;
д) места прохода стояков через перекрытия должны быть выполнены в соответствии с
п. 4.7;
(в ред.
Изменения N 1, утв. Приказом Минстроя России от 24.01.2019 N 33/пр)
е) участок стояка выше перекрытия на 8 - 10 см (до горизонтального отводного трубопровода) следует защищать цементным раствором толщиной 2 - 3 см;
ж) перед заделкой стояка раствором на трубы необходимо закрепить без зазора звукоизоляционный кожух из негорючего утеплителя толщиной 30 мм, имеющего гидроизоляционное или фольгированное покрытие с внешней стороны;
(в ред.
Изменения N 1, утв. Приказом Минстроя России от 24.01.2019 N 33/пр)
з) при пересечении трубопроводами ограждающих конструкций с нормируемой огнестойкостью должны быть выполнены условия по огнестойкости узлов пересечения в соответствии с
[2].
(перечисление "з" введено
Изменением N 1, утв. Приказом Минстроя России от 24.01.2019 N 33/пр)
8.3.11 Открытая или скрытая прокладка внутренних канализационных сетей не допускается:
под потолком, в стенах и в полу:
- жилых комнат;
- кухонь;
- спальных помещений детских учреждений, гостиниц, больничных палат;
- лечебных кабинетов;
- обеденных залов;
- рабочих и офисных комнат зданий административных и общественного назначения;
- залов заседаний, зрительных залов, библиотек, учебных аудиторий;
- помещений электрощитовых и трансформаторных, пультов управления автоматики;
- помещений для приточного вентиляционного оборудования;
- производственных помещений, требующих особого санитарного режима;
под потолком:
- помещений предприятий общественного питания;
- торговых залов, складов пищевых продуктов и ценных товаров;
- вестибюлей;
- помещений, имеющих ценное художественное оформление;
- производственных помещений в местах установки производственного оборудования, на которое не допускается попадание влаги;
- помещений, где производятся ценные товары и материалы, качество которых снижается от попадания на них влаги.
Примечание - В помещениях приточного вентиляционного оборудования вне зоны воздухозабора допускается прокладка:
- водосточных стояков;
- канализационных трубопроводов на хомутовых безраструбных соединениях.
(в ред.
Изменения N 1, утв. Приказом Минстроя России от 24.01.2019 N 33/пр)
8.3.12 Трубопроводы производственных сточных вод в производственных и складских помещениях предприятий общественного питания, в помещениях для приема, хранения и подготовки товаров к продаже и в подсобных помещениях магазинов допускается размещать в коробах без установки ревизий.
От сетей производственной и бытовой канализации магазинов и предприятий общественного питания допускается присоединение двух раздельных выпусков к одному колодцу наружной канализационной сети.
От всех встроенных помещений в жилые и общественные здания следует предусматривать самостоятельные выпуски канализации.
Сети противопожарной (аварийной) канализации и внутренних водостоков допускается присоединять двумя раздельными выпусками к одному колодцу наружной сети поверхностного водостока.
(в ред.
Изменения N 1, утв. Приказом Минстроя России от 24.01.2019 N 33/пр)
| | Применение на обязательной основе п. п. 8.3.13, 8.3.14 обеспечивает соблюдение требований Федерального закона от 30.12.2009 N 384-ФЗ "Технический регламент о безопасности зданий и сооружений" (Постановление Правительства РФ от 04.07.2020 N 985). | |
8.3.13 При скрытой прокладке систем водоотведения и против ревизий следует предусматривать люки размером не менее 0,1 м2.
(в ред.
Изменения N 1, утв. Приказом Минстроя России от 24.01.2019 N 33/пр)
8.3.14 Для взрывопожароопасных цехов следует предусматривать отдельную производственную канализацию с самостоятельными выпусками, вентиляционными стояками с гидрозатворами на каждом из них, с учетом требований правил техники безопасности, приведенных в технологических нормах.
Вентиляцию сети необходимо предусматривать через вентиляционные стояки, присоединяемые к высшим точкам трубопроводов.
Производственную канализацию, транспортирующую сточные воды, содержащие горючие и легковоспламеняющиеся жидкости, не допускается присоединять к сети бытовой канализации и водостокам.
| | Применение на обязательной основе п. п. 8.3.15 - 8.3.18 обеспечивает соблюдение требований Федерального закона от 30.12.2009 N 384-ФЗ "Технический регламент о безопасности зданий и сооружений" (Постановление Правительства РФ от 04.07.2020 N 985). | |
8.3.15 Вытяжная часть канализационного стояка выводится через кровлю или сборную вентиляционную шахту здания на высоту:
- 0,2 м от плоской неэксплуатируемой и скатной кровли;
- 0,1 м от обреза сборной вентиляционной шахты.
Шахта должна быть удалена не менее чем на 4 м от открываемых окон и балконов.
8.3.16 Диаметр вытяжной части одиночного стояка должен быть равен диаметру его сточной части.
8.3.17 При объединении группы стояков в один вытяжной стояк ее диаметр общего стояка и диаметры присоединяемых участков следует принимать равными наибольшему диаметру стояка из объединяемой группы. Участки сборного вентиляционного трубопровода следует прокладывать с уклоном в стороны присоединяемых стояков, обеспечивая сток конденсата. В неотапливаемых чердаках объединяемые трубопроводы следует теплоизолировать.
8.3.18 Установка в устье вытяжной части стояка сопротивлений в виде дефлектора, флюгарки, простого колпака и т.п. не допускается.
8.3.19 При соответствующем обосновании допускается не устраивать вытяжную часть для объединяемой поверху группы из четырех стояков и более. При этом, следует учитывать, что объединение поверху четырех и более канализационных стояков сборным вентиляционным трубопроводом, не имеющим вытяжки, делает систему невентилируемой. Пропускная способность каждого невентилируемого стояка из объединяемой группы равна пропускной способности вентилируемого стояка того же диаметра.
(п. 8.3.19 в ред.
Изменения N 1, утв. Приказом Минстроя России от 24.01.2019 N 33/пр)
| | Применение на обязательной основе п. 8.3.20 обеспечивает соблюдение требований Федерального закона от 30.12.2009 N 384-ФЗ "Технический регламент о безопасности зданий и сооружений" (Постановление Правительства РФ от 04.07.2020 N 985). | |
8.3.20 Высота вытяжной части вентилируемого стояка над кровлей приведена в [
10,
пункт 4.8]. Если стояк не выводится выше кровли, он должен быть оборудован воздушным противовакуумным клапаном (пропускающим воздух только в одну сторону - в стояк), устанавливаемым в устье стояка над полом верхнего этажа, оснащенного санитарно-техническими приборами и оборудованием.
(в ред.
Изменения N 1, утв. Приказом Минстроя России от 24.01.2019 N 33/пр)
Аналогичные решения следует принимать во всех случаях, когда канализационные газы от стояков необходимо отвести из зоны пребывания людей.
8.3.21 В зданиях и сооружениях допускается устройство невентилируемых канализационных стояков и невентилируемых канализационных стояков с воздушными (противовакуумными) клапанами при условии сохранения режима вентиляции наружной канализационной сети, к которой присоединяются выпуски из этих зданий и сооружений.
Количество n вытяжных канализационных стояков, обеспечивающее режим вентиляции наружной канализационной сети (заданную кратность воздухообмена на расчетном участке наружной сети канализации), следует вычислять по формуле

(22)
где k - суточная кратность воздухообмена в канализационной сети, k = 80 - 100, 1/сут;
W - емкость расчетного участка канализационной сети, м3;
Q - расчетный расход загрязненного воздуха, выходящего из вытяжной части одиночного канализационного стояка диаметром 100 мм, равный 320 м3/сут.
| | Применение на обязательной основе п. 8.3.22 обеспечивает соблюдение требований Федерального закона от 30.12.2009 N 384-ФЗ "Технический регламент о безопасности зданий и сооружений" (Постановление Правительства РФ от 04.07.2020 N 985). | |
8.3.22 На сетях внутренней бытовой и производственной канализации следует предусматривать установку ревизий или прочисток:
- на всех стояках - в нижнем и верхнем этажах, а при наличии отступов на стояках - также и в вышерасположенных над отступами этажах;
- в жилых зданиях высотой пять этажей и более - не реже чем через три этажа;
- в начале участков (по движению стоков) отводных труб при числе присоединяемых приборов три и более, под которыми нет устройств для прочистки;
- на поворотах сети - при изменении направления движения стоков, если участки трубопровода не могут быть прочищены через другие участки;
- в проходных туннелях.
8.3.23 На горизонтальных участках сети канализации наибольшие допускаемые расстояния между ревизиями или прочистками следует принимать согласно таблице 4.
Таблица 4
Диаметр трубопровода, мм | Расстояние, м, между ревизиями и прочистками в зависимости от вида сточных вод | Вид прочистного устройства |
Производственные незагрязненные и водостоки | Бытовые и производственные, близкие к ним | Производственные, содержащие большое количество взвешенных веществ |
50 | 15 | 12 | 10 | Ревизия |
50 | 10 | 8 | 6 | Прочистка |
100 - 150 | 20 | 15 | 12 | Ревизия |
100 - 150 | 15 | 10 | 8 | Прочистка |
200 и более | 25 | 20 | 15 | Ревизия |
Вместо ревизии на подвесных линиях сетей канализации, прокладываемых под потолком, следует предусматривать установку прочисток, выводимых на вышерасположенный этаж в зависимости от назначения помещения, с устройством люка в полу или открыто.
Ревизии и прочистки необходимо устанавливать в местах, удобных для их обслуживания.
На подземных трубопроводах канализации ревизии следует устанавливать в колодцах диаметром не менее 0,7 м. Днища колодцев должны иметь уклон не менее 0,05 к фланцу ревизий.
| | Применение на обязательной основе п. 8.3.24 обеспечивает соблюдение требований Федерального закона от 30.12.2009 N 384-ФЗ "Технический регламент о безопасности зданий и сооружений" (Постановление Правительства РФ от 04.07.2020 N 985). | |
8.3.24 Наименьшую глубину заложения канализационных труб следует принимать из условия предохранения труб от разрушения под действием постоянных и временных нагрузок.
Канализационные трубопроводы, прокладываемые в помещениях, где по условиям эксплуатации возможно их механическое повреждение, должны быть защищены, а участки сети, эксплуатируемые при отрицательных температурах, утеплены.
В бытовых помещениях допускается предусматривать прокладку труб на глубине 0,1 м от поверхности пола до верха трубы.
8.3.25 На сетях производственной канализации, отводящих сточные воды, не имеющие запаха и не выделяющие вредные газы и пары, допускается устройство смотровых колодцев внутри производственных зданий.
Для сетей внутренней производственной канализации диаметром 100 мм и более следует предусматривать смотровые колодцы на поворотах трубопроводов, в местах присоединения ответвлений, а также на длинных прямолинейных участках трубопроводов на расстояниях, приведенных в
СП 32.13330.
На сетях бытовой канализации устройство смотровых колодцев внутри зданий не допускается.
На сетях производственной канализации, в которых выделяются запахи, вредные газы и пары, устройство колодцев и их конструкцию следует предусматривать по технологическим нормам.
8.3.26 Санитарно-технические приборы, борта которых расположены ниже уровня люка ближайшего смотрового колодца, должны быть защищены от подтопления сточной жидкостью в случае его переполнения. В таких случаях следует присоединять соответствующие санитарно-технические приборы к отдельной системе канализации (изолированной от системы канализации вышерасположенных помещений) с устройством отдельного выпуска и установкой на нем автоматизированной запорной арматуры (канализационный затвор и т.п.) или автоматической насосной установки, управляемых по сигналу датчика, установленного на трубопроводе в канализуемом подвале или вмонтированного в запорную арматуру, и подачей аварийного сигнала в дежурное помещение или на диспетчерский пункт.
За автоматизированной запорной арматурой ниже по течению стоков допускается подключение канализации вышерасположенных этажей, при этом устанавливать ревизии в подвале на стояке не допускается.
Все отводные трубопроводы (ревизии, прочистки), расположенные за автоматизированной запорной арматурой, в том числе прокладываемые ниже пола первого этажа, а также канализационные стояки вышерасположенных этажей, следует рассчитывать на гидростатическое давление до уровня люка ближайшего смотрового колодца при засорах и переполнениях и жестко закреплять во избежание продольных и поперечных перемещений.
Канализируемые подвальные помещения должны быть отделены глухими капитальными стенами от складских помещений для хранения продуктов или ценных товаров.
8.3.27 Длина выпуска от стояка или прочистки до оси смотрового колодца должна быть не более указанной в таблице 5.
Таблица 5
Диаметр трубопровода, мм | 50 | 100 | 150 и более |
Длина выпуска от стояка или прочистки до оси смотрового колодца, м | 8 | 12 | 15 |
При длине выпуска больше указанной в таблице необходимо предусматривать устройство дополнительного смотрового колодца.
Длину выпуска незагрязненных сточных вод и водостоков при диаметре труб 100 мм и более допускается увеличивать до 20 м.
| | Применение на обязательной основе п. 8.3.28 обеспечивает соблюдение требований Федерального закона от 30.12.2009 N 384-ФЗ "Технический регламент о безопасности зданий и сооружений" (Постановление Правительства РФ от 04.07.2020 N 985). | |
8.3.28 Диаметр и уклон выпуска следует определять расчетом. Диаметр трубопровода канализационного выпуска должен быть не менее диаметра наибольшего из стояков, присоединяемых к данному выпуску.
8.3.29 На выпуске канализации допускается устройство перепадов:
до 0,5 м - путем слива в смотровом колодце;
свыше 0,5 м - в виде стояка согласно
пункту 6.4.1 СП 32.13330.2012.
(п. 8.3.29 в ред.
Изменения N 1, утв. Приказом Минстроя России от 24.01.2019 N 33/пр)
8.3.30 При пересечении трубопроводами выпусков стен подвала или фундамента здания следует выполнять требования
5.4.8.
(в ред.
Изменения N 1, утв. Приказом Минстроя России от 24.01.2019 N 33/пр)
8.4. Расчет канализационных сетей
8.4.1 Гидравлический расчет отводных напорных и безнапорных (самотечных) трубопроводов следует выполнять с учетом шероховатости материала труб и вязкости жидкости. Требования к проектированию и монтажу трубопроводов приведены в
СП 66.13330 и
[9].
(п. 8.4.1 в ред.
Изменения N 1, утв. Приказом Минстроя России от 24.01.2019 N 33/пр)
8.4.2 Выбор расчетного уклона
i, средней скорости сточной жидкости
V, м/с, и наполнения
h/d следует производить таким образом, чтобы было выполнено условие, характеризующее режим самоочищения в безнапорном трубопроводе:
(в ред.
Изменения N 1, утв. Приказом Минстроя России от 24.01.2019 N 33/пр)

(23)
где K = 0,5 - для трубопроводов с использованием труб из полимерных материалов;
K = 0,6 - для трубопроводов из других материалов.
Средняя скорость движения жидкости должна быть не менее 0,7 м/с, а наполнение трубопроводов - не менее 0,3.
(в ред.
Изменения N 1, утв. Приказом Минстроя России от 24.01.2019 N 33/пр)
В тех случаях, когда выполнить условие (23) не представляется возможным из-за недостаточной величины расхода сточных вод, безрасчетные участки самотечных трубопроводов следует прокладывать с уклоном не менее 1/D, где D - наружный диаметр трубопровода в мм.
В системах производственной канализации скорость движения и наполнение трубопроводов определяются необходимостью транспортирования производственных сточных вод.
8.4.3 Расчет пропускной способности канализационного стояка при различной высоте гидрозатворов в зависимости от рабочей высоты стояка, диаметра диктующего поэтажного отвода и угла входа жидкости в стояк приведен в
приложении Е.
8.5. Санитарно-технические приборы и приемники сточных вод
8.5.1 В зданиях и сооружениях следует устанавливать санитарно-технические приборы и приемники сточных вод, виды, типы и количество которых указываются в архитектурно-строительной или технологической части проекта.
8.5.2 Санитарно-технические приборы и приемники сточных вод должны быть оборудованы гидравлическими затворами-сифонами, предотвращающими поступление канализационных газов в помещения.
Примечания
1 Для группы умывальников (не более 6 шт.), устанавливаемых в одном помещении, или для мойки с несколькими отделениями допускается устанавливать один общий сифон с ревизией диаметром 50 мм.
От группы душевых поддонов допускается устанавливать общий сифон с ревизией.
Для каждой производственной мойки (моечной ванны) следует предусматривать отдельный сифон диаметром 50 мм для каждого отделения.
Не допускается присоединять два умывальника, расположенные с двух сторон общей стены разных помещений, к одному сифону.
2 Допускается не предусматривать гидравлические затворы для приемников производственных стоков, не загрязненных в процессе производства или загрязненных механическими примесями (окалиной, шламом), при выпуске их в самостоятельную канализационную сеть.
8.5.3 Трапы следует устанавливать:
диаметром 50 мм - в душевых на один-два душа, диаметром 100 мм - на три-четыре душа;
диаметром 50 мм - в полу общественных туалетов при номерах гостиниц, санаториев, кемпингов, турбаз, в общественных туалетах с тремя и более унитазами и писсуарами;
в общественных умывальных - с пятью умывальниками и более;
диаметром 100 мм - в мусорокамерах жилых зданий;
в производственных помещениях - при необходимости мокрой уборки полов или для производственных целей;
в помещениях личной гигиены женщин.
Примечания
1 В лотке душевого помещения допускается устанавливать один трап не более чем на восемь душей.
2 В ванных и душевых комнатах жилых зданий и номерах гостиниц, пансионатов трапы не устанавливают.
8.5.4 Уклон пола в общественных душевых помещениях следует принимать 0,01 - 0,02 в сторону лотка или трапа. Лоток должен иметь ширину не менее 200 мм и начальную глубину не менее 30 мм.
8.6. Местные установки для очистки и перекачки сточных вод
8.6.1 Оборудование и схему локальных очистных сооружений и устройств следует проектировать в зависимости от концентраций загрязняющих веществ, содержащихся в сточных водах, и требований к качеству воды в системе оборотного водоснабжения.
| | Применение на обязательной основе п. п. 8.6.2, 8.6.3 обеспечивает соблюдение требований Федерального закона от 30.12.2009 N 384-ФЗ "Технический регламент о безопасности зданий и сооружений" (Постановление Правительства РФ от 04.07.2020 N 985). | |
8.6.2 Производственные сточные воды, содержащие взвешенные вещества, жиры, масла, кислоты и другие вещества, нарушающие нормальную работу или вызывающие разрушения сетей и очистных сооружений, а также содержащие ценные отходы производства, следует очищать до поступления их в наружную сеть водоотведения.
(в ред.
Изменения N 1, утв. Приказом Минстроя России от 24.01.2019 N 33/пр)
Для очистки в здании или около него следует предусматривать устройство местных очистных установок.
8.6.3 Не допускается спуск в канализацию технологических растворов, а также осадка технологических резервуаров при их очистке.
Спуск в канализацию ядовитых продуктов и реагентов при нормальной эксплуатации и при авариях запрещается. Эти продукты следует сбрасывать в специальные технологические емкости для дальнейшей утилизации или обезвреживания. Во всех случаях следует соблюдать требования территориальных правил приема производственных сточных вод в системы водоотведения поселений и городских округов.
(в ред.
Изменения N 1, утв. Приказом Минстроя России от 24.01.2019 N 33/пр)
| | Применение на обязательной основе п. п. 8.6.4 - 8.6.7 обеспечивает соблюдение требований Федерального закона от 30.12.2009 N 384-ФЗ "Технический регламент о безопасности зданий и сооружений" (Постановление Правительства РФ от 04.07.2020 N 985). | |
8.6.4 Не допускается установка внутри зданий отстойников, а также уловителей для легковоспламеняющихся и горючих жидкостей.
8.6.5 В уловителях для очистки стоков от горючих жидкостей следует предусматривать на подводящих трубопроводах гидравлические затворы и вытяжную вентиляцию.
8.6.6 Сточные воды, поступающие в бензоуловитель, следует предварительно очищать в грязеотстойниках. Очистка грязеотстойников от шлама должна быть механизирована.
8.6.7 Проектирование и расчет решеток, песколовок, отстойников, маслонефтеуловителей, нейтрализационных и других установок для очистки сточных вод, а также насосных установок для перекачки бытовых и производственных стоков следует проводить с учетом технических характеристик используемого оборудования в соответствии с
СП 32.13330.
8.6.8 Насосы и приемные резервуары для производственных сточных вод, не выделяющих ядовитые и неприятные запахи, газы и пары, а также пневматические насосные установки допускается располагать в производственных и общественных зданиях.
Резервуары для сбора стоков воды, в том числе сливных, в системах оборотного водоснабжения и в системах с повторным использованием воды допускается размещать внутри и вне зданий вместе с локальными очистными устройствами. Резервуары следует предусматривать в соответствии с правилами проектирования наружных сетей и сооружений водоснабжения.
Насосы для перекачки бытовых и производственных стоков, имеющих в своем составе токсичные и быстро загнивающие загрязнения, а также для перекачки стоков, выделяющих ядовитые и неприятные запахи, газы и пары, следует располагать в отдельно стоящем здании, подвале или изолированном помещении, а при отсутствии подвала - в отдельном отапливаемом помещении первого этажа, имеющем самостоятельный выход наружу или на лестничную клетку. Помещение насосной станции следует оборудовать приточно-вытяжной вентиляцией. Приемные резервуары для указанных стоков необходимо располагать вне зданий или в изолированных помещениях совместно с насосами.
Примечание - Выход из помещения насосной на лестничную клетку допускается устраивать в тех зданиях, к которым не предъявляются повышенные требования к звукоизоляции.
8.6.9 В канализационных насосных станциях следует предусматривать установку рабочих и резервных насосов в соответствии с
СП 32.13330.
8.6.10 Насосные установки следует предусматривать с автоматическим и ручным управлением.
8.6.11 Для каждого канализационного насоса следует предусматривать отдельную всасывающую линию, проложенную с уклоном к насосу не менее 0,005.
8.6.12 На всасывающем и напорном трубопроводах каждого насоса следует устанавливать запорное устройство, а на напорном трубопроводе, кроме того, обратный клапан.
Примечание - При транспортировании стоков, содержащих взвешенные вещества (песок, шлам), приемные и обратные клапаны не предусматриваются.
8.6.13 Для перекачки сточной жидкости от санитарно-технических приборов, устанавливаемых в подвалах зданий различного назначения, допускается предусматривать модулярные насосные установки, работающие в автоматическом режиме и отвечающие требованиям санитарных норм
СП 32.13330,
[7],
[8].
8.7. Внутренние водостоки
8.7.1 Внутренние водостоки должны обеспечивать отвод дождевых и талых вод с кровель зданий и сооружений.
При устройстве внутренних водостоков в неотапливаемых зданиях и сооружениях следует предусматривать мероприятия, обеспечивающие положительную температуру в трубопроводах и водосточных воронках при отрицательной температуре наружного воздуха (электрообогрев, обогрев с помощью пара и т.д.) с целью предотвращения накопления и обрушения наледи.
| | Применение на обязательной основе п. 8.7.2 обеспечивает соблюдение требований Федерального закона от 30.12.2009 N 384-ФЗ "Технический регламент о безопасности зданий и сооружений" (Постановление Правительства РФ от 04.07.2020 N 985). | |
8.7.2 Внутренние водостоки следует отводить в наружные сети дождевой или общесплавной канализации.
Не допускается присоединять внутренние водостоки к бытовой канализации, а также присоединять санитарно-технические приборы к системе внутренних водостоков.
8.7.3 При отсутствии сети поверхностного стока выпуск дождевых вод из внутренних водостоков следует принимать открыто в лотки около здания (открытый выпуск); при этом следует предусматривать мероприятия, исключающие размыв поверхности земли около здания.
(в ред.
Изменения N 1, утв. Приказом Минстроя России от 24.01.2019 N 33/пр)
Примечание - При устройстве открытого выпуска на стояке внутри здания следует предусматривать гидравлический затвор с отводом талых вод в зимний период года в бытовую канализацию.
8.7.4 На плоской кровле здания и в одной ендове необходимо устанавливать не менее двух водосточных воронок.
Водосточные воронки на кровле следует размещать с учетом ее рельефа, допускаемой площади водосбора на одну воронку и конструкции здания.
Максимальное расстояние между водосточными воронками при любых видах кровли не должно превышать 48 м.
Примечания
1 При устройстве открытого выпуска на стояке внутри здания следует предусматривать гидравлический затвор с отводом талых вод в зимний период года в бытовую канализацию.
2 Водосточные воронки (при бесчердачной конструкции кровли здания) располагать над жилыми квартирами не допускается.
(примечания в ред.
Изменения N 1, утв. Приказом Минстроя России от 24.01.2019 N 33/пр)
8.7.5 Присоединение к одному стояку воронок, расположенных на разных уровнях, допускается в случаях, когда общий расчетный расход по стояку в зависимости от его диаметра не превышает величин, приведенных в таблице 7.
| | ИС МЕГАНОРМ: примечание. Нумерация таблиц дана в соответствии с официальным текстом документа. | |
Диаметр водосточного стояка, мм | 85 | 100 | 150 | 200 |
Расчетный расход дождевых вод на водосточный стояк, л/с | 10 | 20 | 50 | 80 |
8.7.6 Минимальные уклоны отводных трубопроводов следует принимать: для подвесных трубопроводов 0,005, во всех остальных случаях - в соответствии с требованиями
8.4.2.
8.7.7 Для прочистки сети внутренних водостоков следует предусматривать установку ревизий, прочисток и смотровых колодцев с учетом требований
8.3. На стояках ревизии необходимо устанавливать в нижнем этаже зданий, а при наличии отступов - над ними.
Примечание - При длине подвесных горизонтальных линий до 24 м прочистку в начале участка допускается не предусматривать.
8.7.8 Присоединение водосточных воронок к стоякам следует предусматривать при помощи компенсационных раструбов с эластичной заделкой.
8.7.9 Расчетный расход дождевых вод Q, л/с, с водосборной площади следует вычислять по формулам:
- для кровель с уклоном до 1,5% включительно

(24)
- для кровель с уклоном свыше 1,5%

(25)
где F - водосборная площадь, м2;
q20 - интенсивность дождя, л/с с 1 га (для данной местности), продолжительностью 20 мин при периоде однократного превышения расчетной интенсивности, равной одному году (принимаемая согласно
СП 32.13330);
q5 - интенсивность дождя, л/с с 1 га (для данной местности), продолжительностью 5 мин при периоде однократного превышения расчетной интенсивности, равной одному году, вычисляемая по формуле
q5 = 4n·q20, (26)
8.7.10 Расчетный расход дождевых вод, приходящийся на водосточный стояк, не должен превышать величин, приведенных в
таблице 7, а на водосточную воронку определяется по паспортным данным принятого типа воронки.
8.7.11 При определении расчетной водосборной площади следует дополнительно учитывать 30% суммарной площади вертикальных стен, примыкающих к кровле и возвышающихся над ней.
8.7.12 Водосточные стояки, а также все отводные трубопроводы, в том числе прокладываемые ниже пола первого этажа, следует рассчитывать на гидростатическое давление при засорах и переполнениях и жестко закреплять во избежание продольных и поперечных перемещений.
8.7.13 Для внутренних водостоков следует применять напорные трубы из полимерных материалов, хризотилцементные или чугунные. Допускается применение стальных труб, имеющих антикоррозионное покрытие внутренней и наружной поверхностей.
(в ред.
Изменения N 1, утв. Приказом Минстроя России от 24.01.2019 N 33/пр)
На горизонтальных подвесных линиях при наличии вибрационных нагрузок следует применять стальные трубы.
| | Применение на обязательной основе п. 8.7.14 обеспечивает соблюдение требований Федерального закона от 30.12.2009 N 384-ФЗ "Технический регламент о безопасности зданий и сооружений" (Постановление Правительства РФ от 04.07.2020 N 985). | |
8.7.14 Прокладка водосточных трубопроводов в пределах жилых квартир не допускается.
| | Применение на обязательной основе разд. 9 (за исключением п. п. 9.1.3, 9.1.7, 9.3.2, 9.3.4, 9.4.2) обеспечивает соблюдение требований Федерального закона от 30.12.2009 N 384-ФЗ "Технический регламент о безопасности зданий и сооружений" (Постановление Правительства РФ от 04.07.2020 N 985). | |
9. Дополнительные требования к сетям внутренней
канализации и водостокам в особых природных
и климатических условиях
Материал труб для канализационных трубопроводов, прокладываемых в зданиях и сооружениях в особых природных и климатических условиях, следует принимать согласно
8.3.7.
9.1.1 Прокладку напорных и самотечных трубопроводов и их выпусков следует предусматривать с учетом требований, приведенных в
6.1.1 -
6.1.9.
9.1.2 Стыковые соединения труб следует выполнять на резиновых уплотнительных кольцах.
9.1.3 Внутренние водостоки промышленных зданий следует предусматривать подвесными. Когда по требованиям технологии производства устройство подвесных водостоков невозможно, допускается принимать их прокладку в соответствии с требованиями
6.1.1 -
6.1.9.
9.1.4 При наличии в районе строительства наружной сети поверхностного стока выпуски водосточных систем следует предусматривать согласно требованиям к выпускам канализации.
(в ред.
Изменения N 1, утв. Приказом Минстроя России от 24.01.2019 N 33/пр)
9.1.5 Не допускается прокладывать в одном канале выпуски водостока с другими системами водоотведения (канализации), кроме системы, отводящей незагрязненные сточные воды.
(в ред.
Изменения N 1, утв. Приказом Минстроя России от 24.01.2019 N 33/пр)
9.1.6 При отсутствии дождевой или общесплавной канализации следует предусматривать выпуск воды из внутренних водостоков в открытые водонепроницаемые лотки.
Под лотками следует предусматривать уплотнение грунта на глубину 0,2 - 0,3 м. Лотки под тротуарами и проезжей частью автомобильных дорог следует перекрывать железобетонными плитами.
9.1.7 В грунтовых условиях типа I с частичной или полной ликвидацией просадочных свойств допускается прокладка транзитных сетей канализации (выпуски в канализацию выше уровня пола) в подвальных этажах зданий и через подземные хозяйства производственных зданий (технологические подвалы, приямки, тоннели и т.д.) без нарушения технологического процесса и выполнения требований техники безопасности.
9.1.8 В грунтовых условиях типа II не допускается пересечение канализационными трубопроводами деформационных швов между смежными отсеками зданий и сооружений.
9.2.1 Жесткая заделка трубопровода в кладке стен и в фундаментах не допускается. При пропуске труб через стены и фундаменты должен обеспечиваться зазор не менее 0,2 м. Зазор должен заполняться эластичными негорючими, водо- и газонепроницаемыми материалами.
9.2.2 Не допускается пересечение трубопроводами деформационных швов зданий.
9.2.3 Стыковые соединения раструбных труб и труб, соединяемых на муфтах, прокладываемых в районах с сейсмичностью 8 - 9 баллов, должны обеспечивать герметичность при возможных просадках, для чего следует применять резиновые уплотнительные кольца.
9.2.4 В местах поворота стояка из вертикального в горизонтальное положение следует предусматривать бетонные упоры.
9.2.5 Насосы, устанавливаемые на системах перекачки сточных вод и местных очистных сооружений, должны присоединяться к трубопроводам через виброизолирующие устройства и арматуру.
9.3. Подрабатываемые территории
9.3.1 Для сетей водоотведения (канализации) и водостоков следует соблюдать соответствующие требования раздела 6 для подрабатываемых территорий.
(в ред.
Изменения N 1, утв. Приказом Минстроя России от 24.01.2019 N 33/пр)
9.3.2 Выпуски канализации и водостоков из зданий и сооружений, возводимых на подрабатываемых территориях групп I - IV, а также на территориях групп Ik - IVk, допускается выполнять из труб из полимерных материалов, чугунных или хризотилцементных труб.
9.3.3 Уклоны выпусков и труб внутренней канализационной сети зданий следует назначать с учетом ожидаемой осадки земной поверхности.
9.3.4 Стыковые соединения трубопроводов внутренней канализации следует выполнять подвижными за счет применения эластичных заделок. В зданиях, защищаемых по жесткой конструктивной схеме, допускается предусматривать жесткую заделку стыковых соединений.
9.3.5 Не допускается пересечение трубопроводами деформационных швов зданий.
9.3.6 Не допускается скрытая прокладка труб внутренней канализации в бороздах и штрабах стен здания, защищаемого по податливой конструктивной схеме.
9.3.7 Для внутренней канализации зданий следует использовать трубы и соединительные части из полимерных материалов.
9.3.8 При защите здания в процессе его эксплуатации методом выравнивания трубопроводы канализации, прокладываемые в подвалах или подпольях, не должны затруднять выполнение работ по выравниванию здания.
9.4. Многолетнемерзлые грунты
(в ред.
Изменения N 1, утв. Приказом Минстроя России от 24.01.2019 N 33/пр)
9.4.1 Внутренние водостоки следует предусматривать с открытым выпуском.
9.4.2 Транспортируемую жидкость следует предохранять от замерзания при расчетных эксплуатационных и аварийных режимах.
Подогрев канализационных стоков допускается обеспечивать дополнительным сбросом водопроводной воды.
Примечание - Сброс водопроводной воды в канализацию в концах тупиковых участков и на перемычках, не обеспечивающих надежной циркуляции, допускается на основании результатов технико-экономических расчетов, подтверждающих целесообразность такого решения за счет увеличенного расхода воды.
9.4.3 Системы водоотведения (канализации) следует оснащать комплектом приборов, обеспечивающих систематический контроль и по возможности автоматическое регулирование температурного и гидравлического режимов трубопроводов, а также температурного режима грунтов в основаниях трубопроводов.
(в ред.
Изменения N 1, утв. Приказом Минстроя России от 24.01.2019 N 33/пр)
9.4.4 Количество выпусков канализации необходимо принимать минимальным и соблюдать при этом следующие условия:
уклоны труб и каналов необходимо направлять от здания;
воздух, вентилирующий каналы, должен забираться из проветриваемых подполий зданий;
в местах непосредственного примыкания каналов свайные фундаменты зданий следует заглублять на 2 - 3 м ниже расчетной величины.
9.4.5 На выпусках канализации, где не предусматривается тепловое сопровождение, наряду с термоизоляцией следует предусматривать дополнительный изоляционный слой из эффективных теплоизоляционных материалов меньшей теплопроводности.
10. Энергоресурсосбережение
| | Применение на обязательной основе п. 10.1 обеспечивает соблюдение требований Федерального закона от 30.12.2009 N 384-ФЗ "Технический регламент о безопасности зданий и сооружений" (Постановление Правительства РФ от 04.07.2020 N 985). | |
10.1 Требования повышения энергетической эффективности должны соблюдаться в соответствии с положениями
СП 60.13330.
(абзац введен
Изменением N 1, утв. Приказом Минстроя России от 24.01.2019 N 33/пр)
Для обеспечения нормативных требований в части допустимых давлений воды у санитарно-технических приборов, рационального использования воды питьевого качества и энергетических ресурсов необходимо предусматривать:
насосные агрегаты с регулируемым приводом (числом оборотов двигателя), что позволяет поддерживать требуемое расчетное давление воды после насосов независимо от колебаний давления в городском водопроводе;
однозонную схему водоснабжения с установкой квартирных регуляторов давления (КРД) в жилых домах высотой 54 м включительно для поэтажного (поквартирного) регулирования напоров воды в системах холодного и горячего водоснабжения у санитарно-технических приборов;
зонное водоснабжение в жилых домах высотой 54 м и выше, в том числе с установкой в нижних этажах зон КРД;
установку современной водоразборной и наполнительной арматуры, обеспечивающей сокращение расхода питьевой воды (водоразборной арматуры с керамическими уплотнениями, смесителей с одной рукояткой, термостатических смесителей, полуавтоматической и автоматической арматуры);
выполнение комплекса мероприятий по регулированию давления воды в системах водоснабжения жилых зданий путем установки балансировочных кранов и их регулировки в процессе пусконаладочных работ;
регулирующие резервуары для водоснабжения зданий при условии обеспечения контроля качества воды эксплуатационными службами и органами санитарно-эпидемиологического надзора.
Примечание - Применение КРД устанавливает практически одинаковое для всех этажей оптимальное расчетное давление воды, улучшает распределение потока по этажам, исключает вероятность сбоев в подаче холодной и горячей воды на верхние этажи в часы максимального водоразбора.
С целью улучшения эксплуатации систем водоснабжения используются комплектные изделия, включающие КРД, фильтр и запорное устройство в одном корпусе.
| | Применение на обязательной основе п. 10.2 обеспечивает соблюдение требований Федерального закона от 30.12.2009 N 384-ФЗ "Технический регламент о безопасности зданий и сооружений" (Постановление Правительства РФ от 04.07.2020 N 985). | |
10.2 Зонирование систем водоснабжения следует предусматривать путем установки насосного и другого оборудования, обеспечивающего выход раздельных трубопроводов для каждой зоны водоснабжения с установкой регуляторов давления.
10.3 В жилых домах повышенной комфортности допускается проектировать систему доочистки питьевой воды с системой раздачи только для питья и приготовления пищи.
10.4 В жилых домах с квартирами повышенной комфортности с двухзонным водоснабжением в целях исключения прокладки в квартирах горизонтальных трубопроводов, объединяющих стояки в секционные узлы (в месте раздела зон водоснабжения), целесообразно выполнять следующее:
циркуляционные стояки 1-й зоны прокладывать рядом с водоразборными, при этом их объединение в секционные узлы осуществлять в техническом подполье, подвальном или промежуточном техническом этаже между жилой и нежилой частью здания; циркуляционные стояки 2-й зоны также прокладываются рядом со стояками 1-й зоны с их последующим объединением в секционные узлы в тех же помещениях, что и секционные узлы первой зоны.
В жилых домах с однозонным водоснабжением при отсутствии чердака или невозможности объединения стояков горячей воды в мансардных помещениях объединение стояков в секционные узлы следует выполнять по аналогии с решениями, указанными выше для двухзонных систем водоснабжения.
В зависимости от конкретных объемно-планировочных решений предусматривают другие схемы горячего водоснабжения.
10.5 В целях улучшения гидравлических характеристик системы горячего водоснабжения и возможности замены полотенцесушителей в период эксплуатации жилых зданий (без отключения стояков горячей воды) полотенцесушители следует подсоединять к сплошному по вертикали водоразборному стояку с установкой запорной арматуры в местах подключения.
Для затекания горячей воды в полотенцесушители диаметр стояка (патрубка) между подсоединениями к полотенцесушителю целесообразно уменьшать на один диаметр или предусматривать "сжим". Принятые конструктивные решения должны быть проверены гидравлическим расчетом.
10.6 Водосчетчики холодной и горячей воды, устанавливаемые на вводах водопровода в жилые дома и квартиры, следует предусматривать с импульсным выходом.
Установку водосчетчиков с импульсным выходом во встроенно-пристроенных помещениях общественного назначения предусматривают по заданию на проектирование.
Перед домовыми и квартирными водосчетчиками следует устанавливать механические или магнитно-механические фильтры.
10.7 В одноквартирных и блокированных жилых домах (жилища категории комфорта I) при устройстве бассейна выбор технологической схемы его водоснабжения (прямоточной или оборотной с очисткой) следует проводить в соответствии с объемами водопотребления и водоотведения, согласованными с местными гарантирующими организациями.
| | Применение на обязательной основе п. 10.8 обеспечивает соблюдение требований Федерального закона от 30.12.2009 N 384-ФЗ "Технический регламент о безопасности зданий и сооружений" (Постановление Правительства РФ от 04.07.2020 N 985). | |
10.8 Толщину теплоизоляции трубопроводов следует определять по
СП 61.13330. При проектировании новых и реконструкции старых зданий следует использовать эффективные теплоизоляционные материалы с меньшей теплопроводностью.
10.9 Проектом следует предусматривать устройство автоматизированной системы комплексного учета энергоресурсов, предусматривающей передачу основных параметров энергоресурсоснабжения на компьютеры объединенной диспетчерской системы (ОДС) и единых информационно-расчетных центров (ЕИРЦ) с перспективой контроля и оперативного регулирования параметров в зависимости от времени суток, температуры воздуха, интенсивности водоразбора и т.п.
10.10 После выполнения монтажных работ следует выполнить комплекс пусконаладочных работ с дорожными картами по эксплуатации систем горячего водоснабжения, оборотного водоснабжения, использования внутренних стоков дождевых и талых вод, очистных сооружений для крупных зданий многофункционального, промышленного назначения, торговых и общественно-деловых центров. Баланс водопотребления и водоотведения для таких зданий должен устанавливаться местными гарантирующими организациями при выдаче разрешительной документации и технических условий лимитов на водопотребление и сброса стоков.
10.11 Для крупных зданий (торгово-развлекательных, многофункциональных, промышленных и т.д.) необходимо проводить расчет дождевых стоков с целью отвода воды из системы внутренних водостоков в систему повторно используемых сточных вод с уменьшением в балансе потребления воды питьевого качества не менее чем на 25%.
11. Обеспечение надежности и безопасности при эксплуатации.
Долговечность и ремонтопригодность
11.1 При проектировании внутренних систем водоснабжения и водоотведения следует руководствоваться положениями
ГОСТ 27751.
(абзац введен
Изменением N 1, утв. Приказом Минстроя России от 24.01.2019 N 33/пр)
Не допускается прокладка трубопроводов внутренних систем водоснабжения, водоотведения (канализации) и водостоков в местах, где доступ к ним во время эксплуатации и при аварийных ситуациях связан с ослаблением несущих элементов и конструкций зданий и сооружений (оснований, фундаментов, ограждающих конструкций и конструкций перекрытий).
(в ред.
Изменения N 1, утв. Приказом Минстроя России от 24.01.2019 N 33/пр)
Прокладку трубопроводов сетей водопровода и горячей воды в зданиях и устройство вводов необходимо выполнять с учетом требований
5.7.4.
11.2 Системы внутреннего холодного и горячего водоснабжения должны быть испытаны гидростатическим или манометрическим методом в соответствии с требованиями
СП 73.13330.
11.3 Трубопроводы и арматура сетей холодного и горячего водоснабжения должны иметь соответствующие качественные характеристики, и их механическая прочность должна соответствовать расчетному давлению в системе.
11.4 Насосное оборудование холодного и горячего водоснабжения, оборудование для приготовления горячей воды должны резервироваться на случай аварии и ремонта в соответствии с требованиями
7.3.13.
11.5 Гидравлические испытания систем внутренней канализации и внутренних водостоков следует проводить в соответствии с требованиями
СП 73.13330.
11.6 Санитарно-технические устройства должны иметь соответствующие качественные характеристики, допускающие их применение в порядке, установленном законодательством Российской Федерации в области технического регулирования и санитарно-эпидемиологического благополучия населения.
11.7 В паспортах и технической документации заводов - изготовителей трубопроводов, арматуры, санитарно-технических устройств и оборудования должны быть указаны гарантированные сроки службы и эксплуатации, соответствующие требованиям настоящего свода правил.
11.8 Следует предусматривать установку уравнителей потенциалов между металлической ванной, мойкой и т.п. и стальными трубопроводами системы водоснабжения.
12. Обеспечение санитарно-эпидемиологических требований
12.1 Соответствие питьевой воды нормативам качества питьевой воды обеспечивается посредством:
- осуществления государственного надзора за соблюдением требований настоящего Федерального закона к качеству питьевой воды, к системам питьевого водоснабжения, а также к источникам питьевого водоснабжения;
- разработки и выполнения программ производственного контроля при эксплуатации систем питьевого водоснабжения.
Временные отклонения от установленных нормативов качества питьевой воды, подаваемой через системы водоснабжения, допускаются только в случаях:
- действия сезонных, климатических факторов, возникновения чрезвычайных ситуаций природного или техногенного характера, аварий, при которых не может быть обеспечено надлежащее качество питьевой воды;
- согласования с органами государственного санитарно-эпидемиологического надзора временных допустимых отклонений от нормативов качества питьевой воды;
- ограниченного срока действия временных допустимых отклонений от нормативов качества питьевой воды;
- отсутствия угрозы здоровью населения в период действия временных допустимых отклонений от нормативов качества питьевой воды;
- обеспечения населения достоверной и своевременной информацией о наличии отклонений от нормативов качества питьевой воды и сроках их действия, об отсутствии риска для здоровья, а также наличия рекомендаций по использованию питьевой воды.
12.2 Применение всех видов материалов, реагентов, оборудования в системах питьевого водоснабжения допускается в порядке, установленном законодательством Российской Федерации в области технического регулирования и санитарно-гигиенического благополучия населения.
12.3 Технологическое оборудование, применяемое в системе питьевого водоснабжения, должно отвечать требованиям взрывобезопасности, пожарной и экологической безопасности независимо от того, используется ли оно автономно или в составе технологических комплексов и систем.
12.4 Технологические комплексы, системы и автономно используемое технологическое оборудование в сфере питьевого водоснабжения должны быть снабжены документацией, устанавливающей эксплуатационные правила, исключающие возникновение пожароопасных и взрывоопасных ситуаций при монтаже (демонтаже), вводе в эксплуатацию и эксплуатации оборудования, а также действие вредных и опасных производственных факторов на персонал.
РАСЧЕТНЫЕ РАСХОДЫ ВОДЫ И СТОКОВ
Таблица А.1
Расчетные расходы воды и стоков
для санитарно-технических приборов
Санитарно-технические приборы | Секундный расход воды, л/с | Часовой расход воды, л/ч | Расход стоков от прибора  , л/с | Минимальный диаметр условного прохода, мм |
общий  | холодной  | горячей  | общий  | холодной  | горячей  | подводки | отвода |
1 Умывальник, рукомойник с водоразборным краном | 0,1 | 0,1 | - | 30 | 30 | - | 0,15 | 10 | 32 |
2 То же, со смесителем | 0,12 | 0,09 | 0,09 | 60 | 40 | 40 | 0,15 | 10 | 32 |
3 Раковина, мойка инвентарная с водоразборным краном и колонка лабораторная водоразборная | 0,15 | 0,15 | - | 50 | 50 | - | 0,3 | 10 | 40 |
4 Мойка (в том числе лабораторная) со смесителем | 0,12 | 0,09 | 0,09 | 80 | 60 | 60 | 0,6 | 10 | 40 |
5 Мойка (для предприятий общественного питания) со смесителем | 0,3 | 0,2 | 0,2 | 500 | 220 | 280 | 0,6 | 15 | 50 |
6 Ванна со смесителем (в том числе общим для ванн и умывальника) | 0,25 | 0,18 | 0,18 | 300 | 200 | 200 | 0,8 | 10 | 40 |
7 Ванна с водогрейной колонкой и смесителем | 0,22 | 0,22 | - | 300 | 300 | - | 1,1 | 15 | 40 |
8 Ванна медицинская со смесителем условным диаметром, мм: | | | | | | | | | |
Ду 20 | 0,4 | 0,3 | 0,3 | 700 | 460 | 460 | 2,3 | 20 | 50 |
Ду 25 | 0,6 | 0,4 | 0,4 | 750 | 500 | 500 | 3 | 25 | 75 |
Ду 32 | 1,4 | 1 | 1 | 1060 | 710 | 710 | 3 | 32 | 75 |
9 Ванна ножная со смесителем | 0,1 | 0,07 | 0,07 | 220 | 165 | 165 | 0,5 | 10 | 40 |
10 Душевая кабина с мелким душевым поддоном и смесителем | 0,12 | 0,09 | 0,09 | 100 | 60 | 60 | 0,2 | 10 | 40 |
11 Душевая кабина с глубоким душевым поддоном и смесителем | 0,12 | 0,09 | 0,09 | 115 | 80 | 80 | 0,6 | 10 | 40 |
12 Душ в групповой установке со смесителем | 0,2 | 0,14 | 0,14 | 500 | 270 | 230 | 0,2 | 10 | 50 |
13 Гигиенический душ (биде) со смесителем и аэратором | 0,08 | 0,05 | 0,05 | 75 | 54 | 54 | 0,15 | 10 | 32 |
14 Нижний восходящий душ | 0,3 | 0,2 | 0,2 | 650 | 430 | 430 | 0,3 | 15 | 40 |
15 Колонка в мыльне с водоразборным краном холодной или горячей воды | 0,4 | 0,4 | - | 1000 | 1000 | - | 0,4 | 20 | - |
16 Унитаз со смывным бачком | 0,1 | 0,1 | - | 83 | 83 | - | 1,6 | 8 | 85 |
17 Унитаз со смывным краном | 1,4 | 1,4 | - | 81 | 81 | - | 1,4 | - | 85 |
18 Писсуар | 0,035 | 0,035 | - | 36 | 36 | - | 0,1 | 10 | 40 |
19 Писсуар с полуавтоматическим смывным краном | 0,2 | 0,2 | - | 36 | 36 | - | 0,2 | 15 | 40 |
20 Питьевой фонтанчик | 0,04 | 0,04 | - | 72 | 72 | - | 0,05 | 10 | 25 |
21 Поливочный кран | 0,3 | 0,3 | 0,2 | 1080 | 1080 | 720 | 0,3 | 15 | - |
22 Трап условным диаметром, мм: | | | | | | | | | |
Ду 50 | - | - | - | - | - | - | 0,7 | - | 50 |
Ду 100 | - | - | - | - | - | - | 2,1 | - | 100 |
23 Посудомоечная машина | 0,2 | 0,2 | - | 9 | 9 | - | 0,15 | 15 | 20 |
(позиция введена Изменением N 1, утв. Приказом Минстроя России от 24.01.2019 N 33/пр) |
24 Стиральная машина | 0,2 | 0,2 | - | 60 | 60 | - | 1 | 15 | 20 |
(позиция введена Изменением N 1, утв. Приказом Минстроя России от 24.01.2019 N 33/пр) |
Таблица А.2
Нормы расхода воды в зданиях жилых, общественного
и промышленного назначения
Потребители | Измеритель | Повышающий коэффициент для климатических районов III и IV | Норма расхода воды, л | Расход воды прибором, л/с (л/ч) |
в сутки со средним за год водопотреблением | в час наибольшего водопотребления |
общая (в том числе горячей)  | горячей  при th = 65 °C | общая (в том числе горячей)  | горячей  при th = 65 °C | общий (холодной и горячей)  | |
1 Жилые здания |
оборудованные внутренним водопроводом и канализацией, с ванными и местными водонагревателями | 1 житель | 1,15 | 180 | 70,0 | 10,3 | 5,8 | 0,3 (300) | 0,2 (200) |
То же, с централизованным горячим водоснабжением | 1,15 | 210 | 75,0 | 11,6 | 6,5 | 0,3 (300) | 0,2 (200) |
(в ред. Изменения N 1, утв. Приказом Минстроя России от 24.01.2019 N 33/пр) |
2 Общежития |
с общими душевыми | 1 житель | 1,1 | 90 | 42,5 | 10,4 | 5,4 | 0,2 (100) | 0,14 (60) |
с душами при всех жилых комнатах | 1,15 | 140 | 68,0 | 12,5 | 7,0 | 0,12 - 0,2 (100) | 0,14 (60) |
3 Гостиницы, пансионаты и мотели |
с общими ваннами и душами | 1 житель | 1,1 | 120 | 59,5 | 12,5 | 7,0 | 0,3 (300) | 0,2 (200) |
с душами во всех номерах | 1,15 | 230 | 119,0 | 19 | 10,2 | 0,2 (115) | 0,14 (80) |
с ваннами во всех номерах | 1,15 | 300 | 153,0 | 30 | 13,6 | 0,3 (300) | 0,2 (200) |
4 Больницы |
с общими ваннами и душами | 1 койка | 1,1 | 120 | 63,8 | 8,4 | 4,5 | 0,2 (100) | 0,14 (60) |
с санитарными узлами, приближенными к палатам | 1,1 | 200 | 76,5 | 12 | 6,5 | 0,3 (300) | 0,2 (200) |
инфекционные | 1,1 | 240 | 93,5 | 14 | 8,1 | 0,2 (200) | 0,14 (120) |
5 Санатории и дома отдыха |
с общими душами | 1 место | 1,15 | 130 | 55,3 | 12,5 | 7,0 | 0,2 (100) | 0,14 (60) |
с ваннами при всех жилых комнатах | 1,15 | 200 | 85,0 | 10 | 4,2 | 0,3 (300) | 0,2 (200) |
с душами при всех жилых комнатах | 1,15 | 150 | 63,8 | 12,5 | 7,0 | 0,2 (100) | 0,14 (60) |
6 Физкультурно-оздоровительные учреждения |
| | ИС МЕГАНОРМ: примечание. Значение в графе 6 дано в соответствии с официальным текстом документа. | |
|
со столовыми на полуфабрикатах, без стирки белья | 1 место | 1,15 | 60 | 25,5 | 10* | 3,8 | 0,3 (300) | 0,2 (200) |
со столовыми, работающими на сырье, и прачечными | 1,1 | 200 | 85,0 | 18 | 6,8 | 0,3 (300) | 0,2 (200) |
7 Дошкольные образовательные учреждения и школы-интернаты: |
с дневным пребыванием детей: |
со столовыми, работающими на полуфабрикатах | 1 ребенок | 1,1 | 40 | 17,0 | 9,5 | 3,8 | 0,14 (100) | 0,1 (60) |
со столовыми, работающими на сырье, и прачечными, оборудованными автоматическими стиральными машинами | 1,1 | 80 | 25,5 | 18 | 6,8 | 0,2 (100) | 0,14 (60) |
с круглосуточным пребыванием детей: |
со столовыми, работающими на полуфабрикатах | 1 ребенок | 1,15 | 60 | 25,5 | 10 | 3,8 | 0,14 (100) | 0,1 (60) |
со столовыми, работающими на сырье, и прачечными, оборудованными автоматическими стиральными машинами | 1,15 | 120 | 34,0 | 18 | 6,8 | 0,2 (100) | 0,14 (60) |
8 Учебные заведения с душевыми при гимнастических залах и столовыми, работающими на полуфабрикатах | 1 учащийся и 1 преподаватель | 1,1 | 20 | 6,8 | 3,5 | 1,2 | 0,14 (100) | 0,1 (60) |
9 Административные здания | 1 работник | 1,2 | 15 | 5,1 | 4 | 1,7 | 0,14 (80) | 0,1 (60) |
10 Предприятия общественного питания с приготовлением пищи, реализуемой в обеденном зале | 1 блюдо | 1,0 | 12 | 3,4 | 12 | 3,4 | 0,3 (300) | 0,2 (200) |
11 Магазины |
Продовольственные (без холодильных установок) | 1 работник в смену или 20 м2 торгового зала | 1,1 | 30 | 10,2 | 4 | 1,7 | 0,3 (300) | 0,2 (200) |
Промтоварные | 1 работник в смену | 1,1 | 20 | 6,8 | 4 | 1,7 | 0,14 (80) | 0,1 (60) |
12 Поликлиники и амбулатории | 1 больной | 1,1 | 10 | 3,4 | 2,6 | 1,0 | 0,2 (80) | 0,14 (60) |
1 работник в смену | 1,0 | 30 | 10,2 | 4 | 1,7 | 0,2 (80) | 0,14 (60) |
13 Аптеки |
торговый зал и подсобные помещения | 1 работник | 1,0 | 30 | 10,2 | 4 | 1,7 | 0,14 (60) | 0,1 (40) |
лаборатория приготовления лекарств | 1,0 | 310 | 46,8 | 32 | 7,0 | 0,2 (300) | 0,2 (200) |
14 Парикмахерские | 1 рабочее место в смену | 1,1 | 56 | 28,1 | 9 | 4,0 | 0,14 (60) | 0,1 (40) |
15 Кинотеатры, театры, клубы и досугово-развлекательные учреждения |
для зрителей | 1 человек | 1,0 | 8 | 2,6 | 0,9 | 0,3 | 0,14 (80) | 0,1 (50) |
для артистов | 1,0 | 40 | 21,3 | 3,4 | 1,9 | 0,14 (80) | 0,1 (50) |
16 Стадионы и спортзалы |
для зрителей | 1 человек | 1,0 | 3 | 0,9 | 0,3 | 0,1 | 0,14 (60) | 0,1 (40) |
для физкультурников (с учетом приема душа) | 1,15 | 50 | 25,5 | 4,5 | 2,1 | 0,2 (80) | 0,14 (50) |
для спортсменов | 1,15 | 100 | 51,0 | 9 | 4,3 | 0,2 (80) | 0,14 (50) |
17 Плавательные бассейны |
пополнение бассейна | % вместимости бассейна в сутки | 1,0 | 10 | - | - | - | - | - |
для зрителей | 1 место | 1,0 | 3 | 0,9 | 0,3 | 0,1 | 0,14 (60) | 0,1 (40) |
для спортсменов (с учетом приема душа) | 1 человек | 1,0 | 100 | 51,0 | 9 | 4,3 | 0,2 (80) | 0,14 (50) |
18 Бани |
для мытья в мыльной и ополаскиванием в душе | 1 посетитель | 1,0 | 180 | 102,0 | 180 | 102 | 0,4 (180) | 0,4 (120) |
то же, с приемом оздоровительных процедур | 1,0 | 290 | 161,5 | 290 | 161,5 | 0,4 (290) | 0,4 (190) |
душевая кабина | 1,0 | 360 | 204,0 | 360 | 204 | 0,2 (360) | 0,14 (240) |
ванная кабина | 1,0 | 540 | 306,0 | 540 | 306 | 0,3 (540) | 0,2 (360) |
19 Прачечные |
механизированные | 1 кг сухого белья | 1,0 | 75 | 21,3 | 75 | 21,3 | По технологическим данным |
немеханизированные | 1,0 | 40 | 12,8 | 40 | 12,8 | 0,3 (300) | 0,2 (200) |
20 Производственные цехи |
обычные | 1 чел. в смену | 1,15 | 25 | 9,4 | 9,4 | 3,7 | 0,14 (60) | 0,1 (40) |
с тепловыделениями свыше 84 кДж на 1 м3/ч | 1,0 | 45 | 20,4 | 14,1 | 7,1 | 0,14 (60) | 0,1 (40) |
21 Душевые в бытовых помещениях промышленных предприятий | 1 душевая сетка в смену | 1,1 | 500 | 229,5 | 500 | 229,5 | 0,2 (500) | 0,14 (270) |
22 Расход воды на поливку |
травяного покрова | 1 м2 | 1,2 | 3 | - | - | - | - | - |
футбольного поля | 1,2 | 0,5 | - | - | - | - | - |
остальных спортивных сооружений | 1,2 | 1,5 | - | - | - | - | - |
усовершенствованных покрытий, тротуаров, площадей, заводских проездов | 1,2 | 0,4 - 0,5 | - | - | - | - | - |
зеленых насаждений, газонов и цветников | 1,2 | 3 - 6 | - | - | - | - | - |
23 Заливка поверхности катка | 1 м2 | 1,0 | 0,5 | - | - | - | - | - |
Примечания 1 Нормы расхода воды установлены для климатических районов I и II. Нормы расхода воды для климатических районов III и IV следует принимать с учетом коэффициента в графе "Повышающий коэффициент для климатических районов III и IV". Нормы расхода воды, утвержденные региональными органами власти, являются приоритетными по отношению к нормам расхода воды, приведенным в таблице А.2. 2 Нормы расхода воды установлены для основных потребителей и включают все дополнительные расходы (обслуживающим персоналом, душевыми для обслуживающего персонала, посетителями, на уборку помещений и т.п.). 3 Потребление воды в групповых душевых и на ножные ванны в бытовых помещениях производственных предприятий, на стирку белья в прачечных и приготовление пищи на предприятиях общественного питания, а также на водолечебные процедуры в водолечебницах и приготовление пищи, входящих в состав больниц, санаториев и поликлиник, следует учитывать дополнительно. 4 При неавтоматизированных стиральных машинах в прачечных и при стирке белья со специфическими загрязнениями расчетный расход горячей воды допускается увеличивать на 30%. 5 Приведенные расчетные расходы воды на поливку установлены из расчета на одну поливку. Число поливок в сутки следует принимать в зависимости от климатических и других местных условий. 6 Расходы воды на производственные нужды, не указанные в таблице, следует принимать в соответствии с технологическими заданиями и указаниями по строительному проектированию предприятий отдельных отраслей промышленности. 7 Для водопотребителей гражданских зданий, сооружений и помещений, не указанных в таблице, нормы расхода воды следует принимать согласно настоящему приложению для потребителей, аналогичных по характеру водопотребления. 8 На предприятиях общественного питания количество блюд ( U), реализуемых за один рабочий день, допускается определять по формуле  , где n - количество посадочных мест; m - количество посадок, принимаемых для столовых открытого типа и кафе - 2; для столовых студенческих и при промышленных предприятиях - 3; для ресторанов - 1,5; T - время работы предприятия общественного питания, ч;  - коэффициент неравномерности посадок на протяжении рабочего дня, принимаемый для столовых и кафе - 0,45; для ресторанов - 0,55; для других предприятий общественного питания при обосновании допускается принимать 1,0. |
ЗНАЧЕНИЯ КОЭФФИЦИЕНТОВ

И

Таблица Б.1
Значения коэффициентов
и
в зависимости от числа
санитарно-технических приборов N, вероятности их действия P
и использования Phr при P (Phr) > 0,1 и N <= 200
N | P (Phr) |
0,1 | 0,125 | 0,16 | 0,2 | 0,25 | 0,316 | 0,4 | 0,5 | 0,63 | 0,8 |
2 | 0,39 | 0,39 | 0,4 | 0,4 | 0,4 | 0,4 | 0,4 | 0,4 | 0,4 | 0,4 |
4 | 0,58 | 0,62 | 0,65 | 0,69 | 0,72 | 0,76 | 0,78 | 0,8 | 0,8 | 0,8 |
6 | 0,72 | 0,78 | 0,83 | 0,9 | 0,97 | 1,04 | 1,11 | 1,16 | 1,2 | 1,2 |
8 | 0,84 | 0,91 | 0,99 | 1,08 | 1,18 | 1,29 | 1,39 | 1,5 | 1,58 | 1,59 |
10 | 0,95 | 1,04 | 1,14 | 1,25 | 1,38 | 1,52 | 1,66 | 1,81 | 1,94 | 1,97 |
12 | 1,05 | 1,15 | 1,28 | 1,41 | 1,57 | 1,74 | 1,92 | 2,11 | 2,29 | 2,36 |
14 | 1,14 | 1,27 | 1,41 | 1,57 | 1,75 | 1,95 | 2,17 | 2,4 | 2,63 | 2,75 |
16 | 1,25 | 1,37 | 1,53 | 1,71 | 1,92 | 2,15 | 2,41 | 2,69 | 2,96 | 3,14 |
18 | 1,32 | 1,47 | 1,65 | 1,85 | 2,09 | 2,35 | 2,55 | 2,97 | 3,24 | 3,53 |
20 | 1,41 | 1,57 | 1,77 | 1,99 | 2,25 | 2,55 | 2,88 | 3,24 | 3,6 | 3,92 |
22 | 1,49 | 1,67 | 1,88 | 2,13 | 2,41 | 2,74 | 3,11 | 3,51 | 3,94 | 4,33 |
24 | 1,57 | 1,77 | 2 | 2,26 | 2,57 | 2,93 | 3,33 | 3,78 | 4,27 | 4,7 |
26 | 1,64 | 1,86 | 2,11 | 2,39 | 2,73 | 3,11 | 3,55 | 4,04 | 4,6 | 5,11 |
28 | 1,72 | 1,95 | 2,21 | 2,52 | 2,88 | 3,3 | 3,77 | 4,3 | 4,94 | 5,51 |
30 | 1,8 | 2,04 | 2,32 | 2,65 | 3,03 | 3,48 | 3,99 | 4,56 | 5,27 | 5,89 |
32 | 1,87 | 2,13 | 2,43 | 2,77 | 3,18 | 3,66 | 4,2 | 4,82 | 5,6 | 6,24 |
34 | 1,94 | 2,21 | 2,53 | 2,9 | 3,33 | 3,84 | 4,42 | 5,08 | 5,92 | 6,65 |
36 | 2,02 | 2,3 | 2,63 | 3,02 | 3,48 | 4,02 | 4,63 | 5,33 | 6,23 | 7,02 |
38 | 2,09 | 2,38 | 2,73 | 3,14 | 3,62 | 4,2 | 4,84 | 5,58 | 6,6 | 7,43 |
40 | 2,16 | 2,47 | 2,83 | 3,26 | 3,77 | 4,38 | 5,05 | 5,83 | 6,91 | 7,84 |
45 | 2,33 | 2,67 | 3,08 | 3,53 | 4,12 | 4,78 | 5,55 | 6,45 | 7,72 | 8,8 |
50 | 2,5 | 2,83 | 3,32 | 3,8 | 4,47 | 5,18 | 6,05 | 7,07 | 8,52 | 9,9 |
55 | 2,66 | 3,07 | 3,56 | 4,07 | 4,82 | 5,58 | 6,55 | 7,69 | 9,4 | 10,8 |
60 | 2,83 | 3,27 | 3,79 | 4,34 | 5,16 | 5,98 | 7,05 | 8,31 | 10,2 | 11,8 |
65 | 2,99 | 3,46 | 4,02 | 4,61 | 5,5 | 6,38 | 7,55 | 8,93 | 11 | 12,7 |
70 | 3,14 | 3,65 | 4,25 | 4,88 | 5,83 | 6,78 | 8,05 | 9,55 | 11,7 | 13,7 |
75 | 3,3 | 3,84 | 4,48 | 5,15 | 6,16 | 7,18 | 8,55 | 10,17 | 12,5 | 14,7 |
80 | 3,45 | 4,02 | 4,7 | 5,42 | 6,49 | 7,58 | 9,06 | 10,79 | 13,4 | 15,7 |
85 | 3,6 | 4,2 | 4,92 | 5,69 | 6,82 | 7,98 | 9,57 | 11,41 | 14,2 | 16,8 |
90 | 3,75 | 4,38 | 5,14 | 5,96 | 7,15 | 8,38 | 10,08 | 12,04 | 14,9 | 17,7 |
95 | 3,9 | 4,56 | 5,36 | 6,23 | 7,48 | 8,78 | 10,59 | 12,67 | 15,6 | 18,6 |
100 | 4,05 | 4,74 | 5,58 | 6,5 | 7,81 | 9,18 | 11,1 | 13,3 | 16,5 | 19,6 |
105 | 4,2 | 4,92 | 5,8 | 6,77 | 8,14 | 9,58 | 11,61 | 13,93 | 17,2 | 20,6 |
110 | 4,35 | 5,1 | 6,02 | 7,04 | 8,47 | 9,99 | 12,12 | 14,56 | 18 | 21,6 |
115 | 4,5 | 5,28 | 6,24 | 7,31 | 8,8 | 10,4 | 12,63 | 15,19 | 18,8 | 22,6 |
120 | 4,65 | 5,46 | 6,46 | 7,58 | 9,13 | 10,81 | 13,14 | 15,87 | 19,5 | 23,6 |
125 | 4,8 | 5,64 | 6,68 | 7,85 | 9,46 | 11,22 | 13,65 | 16,45 | 20,2 | 24,6 |
130 | 4,95 | 5,82 | 6,9 | 8,12 | 9,79 | 11,63 | 14,16 | 17,08 | 21 | 25,5 |
135 | 5,1 | 6 | 7,12 | 8,39 | 10,12 | 12,04 | 14,67 | 17,71 | 21,9 | 26,5 |
140 | 5,25 | 6,18 | 7,34 | 8,66 | 10,45 | 12,45 | 15,18 | 18,34 | 22,7 | 27,5 |
145 | 5,39 | 6,36 | 7,56 | 8,93 | 10,77 | 12,86 | 15,69 | 18,97 | 23,4 | 28,4 |
150 | 5,53 | 6,54 | 7,78 | 9,2 | 11,09 | 13,27 | 16,2 | 19,6 | 24,2 | 29,4 |
155 | 5,67 | 6,72 | 8 | 9,47 | 11,41 | 13,68 | 16,71 | 20,23 | 25 | 30,4 |
160 | 5,81 | 6,9 | 8,22 | 9,74 | 11,73 | 14,09 | 17,22 | 20,86 | 25,6 | 31,3 |
165 | 5,95 | 7,07 | 8,44 | 10,01 | 12,05 | 14,5 | 17,73 | 21,49 | 26,4 | 32,5 |
170 | 6,09 | 7,23 | 8,66 | 10,28 | 12,37 | 14,91 | 18,24 | 22,12 | 27,1 | 33,6 |
175 | 6,23 | 7,39 | 8,88 | 10,55 | 12,69 | 15,32 | 18,75 | 22,75 | 27,9 | 34,7 |
180 | 6,37 | 7,55 | 9,1 | 10,82 | 13,01 | 15,73 | 19,26 | 23,38 | 28,5 | 35,4 |
185 | 6,5 | 7,71 | 9,32 | 11,09 | 13,33 | 16,14 | 19,77 | 24,01 | 29,4 | 36,6 |
190 | 6,63 | 7,87 | 9,54 | 11,36 | 13,65 | 16,55 | 20,28 | 24,64 | 30,1 | 37,6 |
195 | 6,76 | 8,03 | 9,75 | 11,63 | 13,97 | 16,96 | 20,79 | 25,27 | 30,9 | 38,3 |
200 | 6,89 | 8,19 | 9,96 | 11,9 | 14,3 | 17,4 | 21,3 | 25,9 | 31,8 | 39,5 |
Таблица Б.2
Значения коэффициентов
и
в зависимости от числа
санитарно-технических приборов N, вероятности их действия P
и использования Phr при P (Phr) <= 0,1 и любом числе N,
а также при P (Phr) > 0,1 и числе N > 200
N·P (Phr) | | N·P (Phr) | | N·P (Phr) | | N·P (Phr) | | N·P (Phr) | |
0 | 0,2 | 0,64 | 0,767 | 10 | 4,126 | 58 | 16,22 | 330 | 76,8 |
0,015 | 0,202 | 0,66 | 0,779 | 10,2 | 4,185 | 59 | 16,45 | 335 | 77,88 |
0,016 | 0,205 | 0,68 | 0,791 | 10,4 | 4,244 | 60 | 16,69 | 340 | 78,96 |
0,017 | 0,207 | 0,7 | 0,803 | 10,6 | 4,302 | 61 | 16,92 | 345 | 80,04 |
0,018 | 0,21 | 0,72 | 0,815 | 10,8 | 4,361 | 62 | 17,15 | 350 | 81,12 |
0,019 | 0,212 | 0,74 | 0,826 | 11 | 4,419 | 63 | 17,39 | 355 | 82,2 |
0,02 | 0,215 | 0,76 | 0,838 | 11,2 | 4,477 | 64 | 17,62 | 360 | 83,28 |
0,021 | 0,217 | 0,78 | 0,849 | 11,4 | 4,534 | 65 | 17,85 | 365 | 84,36 |
0,022 | 0,219 | 0,8 | 0,86 | 11,6 | 4,592 | 66 | 18,09 | 370 | 85,44 |
0,023 | 0,222 | 0,82 | 0,872 | 11,8 | 4,649 | 67 | 18,32 | 375 | 86,52 |
0,024 | 0,224 | 0,84 | 0,883 | 12 | 4,707 | 68 | 18,55 | 380 | 87,6 |
0,025 | 0,226 | 0,86 | 0,894 | 12,2 | 4,764 | 69 | 18,79 | 385 | 88,67 |
0,026 | 0,228 | 0,88 | 0,905 | 12,4 | 4,82 | 70 | 19,02 | 390 | 89,75 |
0,027 | 0,23 | 0,9 | 0,916 | 12,6 | 4,877 | 71 | 19,25 | 395 | 90,82 |
0,028 | 0,233 | 0,92 | 0,927 | 12,8 | 4,934 | 72 | 19,48 | 400 | 91,9 |
0,029 | 0,235 | 0,94 | 0,937 | 13 | 4,99 | 73 | 19,71 | 405 | 92,97 |
0,03 | 0,237 | 0,96 | 0,948 | 13,2 | 5,047 | 74 | 19,94 | 410 | 94,05 |
0,031 | 0,239 | 0,98 | 0,959 | 13,4 | 5,103 | 75 | 20,18 | 415 | 95,12 |
0,032 | 0,241 | 1 | 0,969 | 13,6 | 5,159 | 76 | 20,41 | 420 | 96,2 |
0,033 | 0,243 | 1,05 | 0,995 | 13,8 | 5,215 | 77 | 20,64 | 425 | 97,27 |
0,034 | 0,245 | 1,1 | 1,021 | 14 | 5,27 | 78 | 20,87 | 430 | 98,34 |
0,035 | 0,247 | 1,15 | 1,046 | 14,2 | 5,326 | 79 | 21,1 | 435 | 99,41 |
0,036 | 0,249 | 1,2 | 1,071 | 14,4 | 5,382 | 80 | 21,33 | 440 | 100,49 |
0,037 | 0,25 | 1,25 | 1,096 | 14,6 | 5,437 | 81 | 21,56 | 445 | 101,56 |
0,038 | 0,252 | 1,3 | 1,12 | 14,8 | 5,492 | 82 | 21,69 | 450 | 102,63 |
0,039 | 0,254 | 1,35 | 1,144 | 15 | 5,547 | 83 | 22,02 | 455 | 103,7 |
0,04 | 0,256 | 1,4 | 1,168 | 15,2 | 5,602 | 84 | 22,25 | 460 | 104,77 |
0,041 | 0,258 | 1,45 | 1,191 | 15,4 | 5,657 | 85 | 22,48 | 465 | 105,84 |
0,042 | 0,259 | 1,5 | 1,215 | 15,6 | 5,712 | 86 | 22,71 | 470 | 106,91 |
0,043 | 0,261 | 1,55 | 1,238 | 15,8 | 5,767 | 87 | 22,94 | 475 | 107,98 |
0,044 | 0,263 | 1,6 | 1,261 | 16 | 5,821 | 88 | 23,17 | 480 | 109,05 |
0,045 | 0,265 | 1,65 | 1,283 | 16,2 | 5,876 | 89 | 23,39 | 485 | 110,11 |
0,046 | 0,266 | 1,7 | 1,306 | 16,4 | 5,93 | 90 | 23,62 | 490 | 111,18 |
0,047 | 0,268 | 1,75 | 1,328 | 16,6 | 5,984 | 91 | 23,85 | 495 | 112,25 |
0,048 | 0,27 | 1,8 | 1,35 | 16,8 | 6,039 | 92 | 24,08 | 500 | 113,32 |
0,049 | 0,271 | 1,85 | 1,372 | 17 | 6,093 | 93 | 24,31 | 505 | 114,38 |
0,05 | 0,273 | 1,9 | 1,394 | 17,2 | 6,147 | 94 | 24,54 | 510 | 115,45 |
0,052 | 0,276 | 1,95 | 1,416 | 17,4 | 6,201 | 95 | 24,77 | 515 | 116,52 |
0,054 | 0,28 | 2 | 1,437 | 17,6 | 6,254 | 96 | 24,99 | 520 | 117,58 |
0,056 | 0,283 | 2,1 | 1,479 | 17,8 | 6,308 | 97 | 25,22 | 525 | 118,65 |
0,058 | 0,286 | 2,2 | 1,521 | 18 | 6,362 | 98 | 25,45 | 530 | 119,71 |
0,06 | 0,289 | 2,3 | 1,563 | 18,2 | 6,415 | 99 | 25,68 | 535 | 120,78 |
0,062 | 0,292 | 2,4 | 1,604 | 18,4 | 6,469 | 100 | 25,91 | 540 | 121,84 |
0,064 | 0,295 | 2,5 | 1,644 | 18,6 | 6,522 | 102 | 26,36 | 545 | 122,91 |
0,065 | 0,298 | 2,6 | 1,684 | 18,8 | 6,575 | 104 | 26,82 | 550 | 123,97 |
0,068 | 0,301 | 2,7 | 1,724 | 19 | 6,629 | 106 | 27,27 | 555 | 125,04 |
0,07 | 0,304 | 2,8 | 1,763 | 19,2 | 6,682 | 108 | 27,72 | 560 | 126,1 |
0,072 | 0,307 | 2,9 | 1,802 | 19,4 | 6,734 | 110 | 28,18 | 565 | 127,16 |
0,074 | 0,309 | 3 | 1,84 | 19,6 | 6,788 | 112 | 28,63 | 570 | 128,22 |
0,076 | 0,312 | 3,1 | 1,879 | 19,8 | 6,84 | 114 | 29,09 | 575 | 129,29 |
0,078 | 0,315 | 3,2 | 1,917 | 20 | 6,893 | 116 | 29,54 | 580 | 130,35 |
0,08 | 0,318 | 3,3 | 1,954 | 20,5 | 7,025 | 118 | 29,89 | 585 | 131,41 |
0,082 | 0,32 | 3,4 | 1,991 | 21 | 7,156 | 120 | 30,44 | 590 | 132,47 |
0,084 | 0,323 | 3,5 | 2,029 | 21,5 | 7,287 | 122 | 30,9 | 595 | 133,54 |
0,086 | 0,326 | 3,6 | 2,065 | 22 | 7,417 | 124 | 31,35 | 600 | 134,6 |
0,088 | 0,328 | 3,7 | 2,102 | 22,5 | 7,547 | 126 | 31,8 | 605 | 135,66 |
0,09 | 0,331 | 3,8 | 2,138 | 23 | 7,677 | 128 | 32,25 | 610 | 136,72 |
0,092 | 0,333 | 3,9 | 2,174 | 23,5 | 7,806 | 130 | 32,7 | 615 | 137,78 |
0,094 | 0,336 | 4 | 2,21 | 24 | 7,935 | 132 | 33,15 | 620 | 138,84 |
0,096 | 0,338 | 4,1 | 2,246 | 24,5 | 8,064 | 134 | 33,6 | 625 | 139,9 |
0,098 | 0,341 | 4,2 | 2,281 | 25 | 8,192 | 136 | 34,06 | 630 | 140,96 |
0,1 | 0,343 | 4,3 | 2,317 | 25,5 | 8,32 | 138 | 34,51 | 635 | 142,02 |
0,105 | 0,349 | 4,4 | 2,352 | 26 | 8,447 | 140 | 34,96 | 640 | 143,08 |
0,11 | 0,355 | 4,5 | 2,386 | 26,5 | 8,575 | 142 | 35,41 | 645 | 144,14 |
0,115 | 0,361 | 4,6 | 2,421 | 27 | 8,701 | 144 | 35,86 | 650 | 145,2 |
0,12 | 0,367 | 4,7 | 2,456 | 27,5 | 8,828 | 146 | 36,31 | 655 | 146,25 |
0,125 | 0,373 | 4,8 | 2,49 | 28 | 8,955 | 148 | 36,76 | 660 | 147,31 |
0,13 | 0,378 | 4,9 | 2,524 | 28,5 | 9,081 | 150 | 37,21 | 665 | 148,37 |
0,135 | 0,384 | 5 | 2,558 | 29 | 9,207 | 152 | 37,66 | 670 | 149,43 |
0,14 | 0,389 | 5,1 | 2,592 | 29,5 | 9,332 | 154 | 38,11 | 675 | 150,49 |
0,145 | 0,394 | 5,2 | 2,626 | 30 | 9,457 | 156 | 38,56 | 680 | 151,55 |
0,15 | 0,399 | 5,3 | 2,66 | 30,5 | 9,583 | 158 | 39,01 | 685 | 152,6 |
0,155 | 0,405 | 5,4 | 2,693 | 31 | 9,707 | 160 | 39,46 | 690 | 153,66 |
0,16 | 0,41 | 5,5 | 2,726 | 31,5 | 9,832 | 162 | 39,91 | 695 | 154,72 |
0,165 | 0,415 | 5,6 | 2,76 | 32 | 9,957 | 164 | 40,35 | 700 | 155,77 |
0,17 | 0,42 | 5,7 | 2,793 | 32,5 | 10,08 | 166 | 40,8 | 705 | 156,83 |
0,175 | 0,425 | 5,8 | 2,826 | 33 | 10,2 | 168 | 41,25 | 710 | 157,89 |
0,18 | 0,43 | 5,9 | 2,858 | 33,5 | 10,33 | 170 | 41,7 | 715 | 158,94 |
0,185 | 0,435 | 6 | 2,891 | 34 | 10,45 | 172 | 42,15 | 720 | 160 |
0,19 | 0,439 | 6,1 | 2,924 | 34,5 | 10,58 | 174 | 42,6 | 725 | 161,06 |
0,195 | 0,444 | 6,2 | 2,956 | 35 | 10,7 | 176 | 43,05 | 730 | 162,11 |
0,2 | 0,449 | 6,3 | 2,989 | 35,5 | 10,82 | 178 | 43,5 | 735 | 163,17 |
0,21 | 0,458 | 6,4 | 3,021 | 36 | 10,94 | 180 | 43,95 | 740 | 164,22 |
0,22 | 0,467 | 6,5 | 3,053 | 36,5 | 11,07 | 182 | 44,4 | 745 | 165,28 |
0,23 | 0,476 | 6,6 | 3,085 | 37 | 11,19 | 184 | 44,84 | 750 | 166,33 |
0,24 | 0,485 | 6,7 | 3,117 | 37,5 | 11,31 | 186 | 45,29 | 755 | 167,39 |
0,25 | 0,493 | 6,8 | 3,149 | 38 | 11,43 | 188 | 45,74 | 760 | 168,44 |
0,26 | 0,502 | 6,9 | 3,181 | 38,5 | 11,56 | 190 | 46,19 | 765 | 169,5 |
0,27 | 0,51 | 7 | 3,212 | 39 | 11,68 | 192 | 46,64 | 770 | 170,55 |
0,28 | 0,518 | 7,1 | 3,244 | 39,5 | 11,8 | 194 | 47,09 | 775 | 171,6 |
0,29 | 0,526 | 7,2 | 3,275 | 40 | 11,92 | 196 | 47,54 | 780 | 172,66 |
0,3 | 0,534 | 7,3 | 3,307 | 40,5 | 12,04 | 198 | 47,99 | 785 | 173,71 |
0,31 | 0,542 | 7,4 | 3,338 | 41 | 12,16 | 200 | 48,43 | 790 | 174,76 |
0,32 | 0,55 | 7,5 | 3,369 | 41,5 | 12,28 | 205 | 49,49 | 795 | 175,82 |
0,33 | 0,558 | 7,6 | 3,4 | 42 | 12,41 | 210 | 50,59 | 800 | 176,87 |
0,34 | 0,565 | 7,7 | 3,431 | 42,5 | 12,53 | 215 | 51,7 | 810 | 178,98 |
0,35 | 0,573 | 7,8 | 3,462 | 43 | 12,65 | 220 | 52,8 | 820 | 181,08 |
0,36 | 0,58 | 7,9 | 3,493 | 43,5 | 12,77 | 225 | 53,9 | 830 | 183,19 |
0,37 | 0,588 | 8 | 3,524 | 44 | 12,89 | 230 | 55 | 840 | 185,29 |
0,38 | 0,595 | 8,1 | 3,555 | 44,5 | 13,01 | 235 | 56,1 | 850 | 187,39 |
0,39 | 0,602 | 8,2 | 3,585 | 45 | 13,13 | 240 | 57,19 | 860 | 189,49 |
0,4 | 0,61 | 8,3 | 3,616 | 45,5 | 13,25 | 245 | 58,29 | 870 | 191,6 |
0,41 | 0,617 | 8,4 | 3,646 | 46 | 13,37 | 250 | 59,38 | 880 | 193,7 |
0,42 | 0,624 | 8,5 | 3,677 | 46,5 | 13,49 | 255 | 60,48 | 890 | 195,7 |
0,43 | 0,631 | 8,6 | 3,707 | 47 | 13,61 | 260 | 61,57 | 900 | 197,9 |
0,44 | 0,638 | 8,7 | 3,738 | 47,5 | 13,73 | 265 | 62,66 | 910 | 200 |
0,45 | 0,645 | 8,8 | 3,768 | 48 | 13,85 | 270 | 63,75 | 920 | 202,1 |
0,46 | 0,652 | 8,9 | 3,798 | 48,5 | 13,97 | 275 | 64,85 | 930 | 204,2 |
0,47 | 0,658 | 9 | 3,828 | 49 | 14,09 | 280 | 65,94 | 940 | 206,3 |
0,48 | 0,665 | 9,1 | 3,858 | 49,5 | 14,2 | 285 | 67,03 | 950 | 208,39 |
0,49 | 0,672 | 9,2 | 3,888 | 50 | 14,32 | 290 | 68,12 | 960 | 210,49 |
0,5 | 0,678 | 9,3 | 3,918 | 51 | 14,56 | 295 | 69,2 | 970 | 212,59 |
0,52 | 0,692 | 9,4 | 3,948 | 52 | 14,8 | 300 | 70,29 | 980 | 214,68 |
0,54 | 0,704 | 9,5 | 3,978 | 53 | 15,04 | 305 | 71,38 | 990 | 216,78 |
0,56 | 0,717 | 9,6 | 4,008 | 54 | 15,27 | 310 | 72,46 | 1000 | 218,87 |
0,58 | 0,73 | 9,7 | 4,037 | 55 | 15,51 | 315 | 73,55 | 1250 | 271,14 |
0,6 | 0,742 | 9,8 | 4,067 | 56 | 15,74 | 320 | 74,63 | 1600 | 343,9 |
0,62 | 0,755 | 9,9 | 4,097 | 57 | 15,98 | 325 | 75,72 | 2000 | 426,8 |
ЦИРКУЛЯЦИОННЫЙ РАСХОД ГОРЯЧЕЙ ВОДЫ
В СИСТЕМЕ ГОРЯЧЕГО ВОДОСНАБЖЕНИЯ
В.1 Циркуляционный расход горячей воды Qц, л/с, вычисляют по формуле

(В.1)
где Qht - потери тепла трубопроводами системы ГВС, Вт;
| | ИС МЕГАНОРМ: примечание. В официальном тексте документа, видимо, допущена опечатка: приложение А.7 отсутствует. Возможно, имеется в виду приложение А. | |
с - удельная теплоемкость воды, кДж/(кг·°C);
t1 - температура воды на входе в участок трубопровода или системы, °C;
t2 - температура воды на выходе из участка трубопровода или системы, °C.
В.2 Потери тепла трубопроводами системы ГВС вычисляют по формуле

(В.2)

(В.3)
где

- теплопотери отдельных участков системы ГВС, Вт;
k - линейный коэффициент теплопередачи, Вт/(м·°C);
dT - температурный напор, °C;
Tср - средняя температура воды в трубопроводе, °C;
Tнар - температура окружающего воздуха, °C;
l - длина участка трубопровода, м.
В.3 Расчет потерь температуры в трубопроводах системы ГВС

(В.4)
где Qуч - расчетный расход участка трубопровода, л/с;

- теплопотери участка трубопровода с учетом изоляции, Вт;
T1 - начальная температура, °C;
(1/1163) - коэффициент перевода. 1 Ватт = 1163 Мкал.
(в ред.
Изменения N 1, утв. Приказом Минстроя России от 24.01.2019 N 33/пр)
В.4 Расчет диаметров трубопроводов проводят по максимальным секундным расходам воды.
ГИДРАВЛИЧЕСКИЙ РАСЧЕТ ТРУБОПРОВОДОВ
Г.1 Потери давления на участках трубопроводов, в том числе при объединении стояков в водопроводные узлы, следует определять с учетом шероховатости материала труб и вязкости воды.
Общие потери напора определяют путем суммирования потерь напора по длине и потерь местными сопротивлениями

(Г.1)
Г.2 Потери напора по длине hl, м, вычисляют по формуле

(Г.2)
где

- коэффициент гидравлического трения;
l - длина трубы, м;
v - средняя скорость потока, м/с;
d - внутренний диаметр трубы, м;
g - ускорение свободного падения 9,80665 м/с2.
Г.3 Потери напора на местных сопротивлениях hм, м, вычисляют по формуле

(Г.3)
где

- коэффициент местного сопротивления каждого из элементов системы (поворотов, тройников и т.п.);
v - средняя скорость потока за местным сопротивлением, м/с;
g - ускорение свободного падения 9,80665 м/с2.
РЕГУЛИРУЮЩИЙ ОБЪЕМ ЕМКОСТЕЙ, РЕЗЕРВУАРОВ
И БАКОВ-АККУМУЛЯТОРОВ
Д.1 Регулирующий объем емкости W, м3, следует вычислять:
а) для водонапорного или гидропневматического бака при производительности насоса или насосной установки, равной или превышающей максимальный часовой расход

, м
3/ч, по формуле

(Д.1)
где n - допустимое число включений насосной установки в 1 ч, принимается для установок с открытым баком 2 - 4; для установок с гидропневматическим баком - 6 - 10. Большее число включений в 1 ч следует принимать для установок небольшой мощности (до 10 кВт);
б) для водонапорного бака или резервуара при производительности насосной установки менее максимального часового расхода по формуле

(Д.2)
в) для бака-аккумулятора теплоты в системе горячего водоснабжения при мощности водонагревателя (генератора теплоты), не обеспечивающего максимального часового потребления теплоты по формуле

(Д.3)
Величины
T,

,
qT,
th,
tc следует принимать в соответствии с
5.2.
Д.2 Относительную величину регулирующего объема

,

следует определять:
а) при непрерывной работе насосной установки (водонагревателя) с различной производительностью в течение расчетного периода (сутки, смена) наибольшего водопотребления (теплопотребления) или работе насосной установки в режиме долгосрочных включений по формуле

(Д.4)
б) при равномерной и непрерывной работе насосной установки (водонагревателя или генератора теплоты) в части периода водопотребления (теплопотребления), включающей также часы наибольшего водопотребления (теплопотребления) по формуле

(Д.5)
При расчете аккумуляторов теплоты по
формулам (Д.4) и
(Д.5) вместо значений
Khr 
и

следует принимать значения

и

.
(в ред.
Изменения N 1, утв. Приказом Минстроя России от 24.01.2019 N 33/пр)
Д.3 Коэффициент часовой неравномерности потребления воды Khr в сутки (смену) максимального водопотребления для системы следует вычислять по формуле

(Д.6)
Д.4 Коэффициент часовой неравномерности подачи воды насосами

в сутки (смену) максимального водопотребления следует вычислять по формуле

(Д.7)
Д.5 Коэффициент часовой неравномерности теплопотребления

системой горячего водоснабжения в период
T, ч (сутки, смена), максимального потребления горячей воды следует вычислять по формуле

(Д.8)
Д.6 Коэффициент часовой неравномерности подачи теплоты для нужд горячего водоснабжения

в период
T, ч (сутки, смена), максимального потребления горячей воды следует вычислять по формуле

(Д.9)
где Qsp - расчетная мощность водонагревателя, котла и тому подобного оборудования системы горячего водоснабжения, кВт.
Д.7 Полную вместимость емкостей V, м3, следует вычислять по формулам:
а) для гидропневматического бака

(Д.10)
б) для водонапорного бака или резервуара
V = BW + W1; (Д.11)
в) для аккумулятора теплоты
V = BW. (Д.12)
W1 - противопожарный объем воды, м3;
A - отношение абсолютного минимального давления к максимальному, значение которого следует принимать: 0,8 - для установок, работающих с подпором; 0,75 - для установок с напором до 50 м; 0,7 - для установок с напором свыше 50 м;
B - коэффициент запаса вместимости бака, принимаемый: 1,2 - 1,3 - при использовании насосных установок, работающих в повторно-кратковременном режиме, 1,1 - при производительности насосных установок менее максимального часового расхода воды; для аккумуляторов теплоты B = 1.
Таблица Д.1
Регулирующий объем резервуара (аккумулятора теплоты),
% расхода воды (теплоты) за период ее потребления,
при заданных неравномерностях подачи и потребления
| | ИС МЕГАНОРМ: примечание. Шапка таблицы дана в соответствии с официальным текстом документа. | |
| Значения  , %, при коэффициентах часовой неравномерности Khr  |
1,2 | 1,4 | 1,6 | 1,8 | 2 | 2,5 | 3 | 4 | 5 | 6 |
1,0 | 6,7 | 12,3 | 17,1 | 21,2 | 25,0 | 32,6 | 38,5 | 47,2 | 53,5 | 58,2 |
1,1 | 2,0 | 7,2 | 12 | 16,6 | 20,8 | 28,6 | 34,6 | 43,8 | 50,4 | 55,2 |
1,2 | - | 3,3 | 7,9 | 12,3 | 16,0 | 24,1 | 30,6 | 40,3 | 47,2 | 52,5 |
1,3 | - | 1,2 | 4,6 | 8,6 | 12,4 | 21,2 | 27,0 | 37,2 | 44,2 | 49,8 |
1,4 | - | - | 2,2 | 5,8 | 9,4 | 17,2 | 24,0 | 34,2 | 41,4 | 47,2 |
1,5 | - | - | - | 3,1 | 6,3 | 14,0 | 20,7 | 31,1 | 38,8 | 44,7 |
1,6 | - | - | - | 1,2 | 4,6 | 11,4 | 18,2 | 28,8 | 36,6 | 43,2 |
1,7 | - | - | - | - | 2,4 | 9,0 | 15,8 | 26,2 | 34,0 | 40,4 |
1,8 | - | - | - | - | 0,8 | 6,8 | 13,0 | 24,0 | 31,8 | 38,2 |
1,9 | - | - | - | - | - | 4,8 | 10,8 | 21,4 | 29,6 | 36,0 |
2,0 | - | - | - | - | - | 3,4 | 8,9 | 19,1 | 27,2 | 33,8 |
2,2 | - | - | - | - | - | 0,6 | 5,6 | 15,2 | 23,6 | 30,2 |
2,4 | - | - | - | - | - | - | 3,1 | 11,8 | 19,8 | 26,5 |
2,6 | - | - | - | - | - | - | 1,2 | 9,0 | 16,8 | 23,2 |
2,8 | - | - | - | - | - | - | 0,6 | 6,4 | 13,8 | 20,2 |
3,0 | - | - | - | - | - | - | - | 4,4 | 11,2 | 17,6 |
3,5 | - | - | - | - | - | - | - | 0,4 | 6,0 | 12,0 |
4,0 | - | - | - | - | - | - | - | - | 2,6 | 7,4 |
Таблица Д.2
Регулирующий объем резервуара (аккумулятора теплоты),
% расхода воды (теплоты) за период ее потребления,
при равномерной подаче и неравномерном потреблении
| Продолжительность равномерной подачи воды, % | Значения  , %, при коэффициентах часовой неравномерности |
1,2 | 1,4 | 1,6 | 1,8 | 2,0 | 2,5 | 3 | 4 | 5 | 6 |
1,00 | 100 | 6,7 | 12,3 | 17,1 | 21,3 | 25,0 | 32,6 | 38,5 | 47,5 | 53,5 | 58,2 |
1,09 | 92 | 7,3 | 10,5 | 14,4 | 18,0 | 21,4 | 28,8 | 34,8 | 44,0 | 50,6 | 55,6 |
1,20 | 84 | - | 11,5 | 13,6 | 16,1 | 18,8 | 25,3 | 31,1 | 40,3 | 47,2 | 52,5 |
1,33 | 75 | - | - | 14,4 | 15,6 | 17,5 | 22,4 | 27,5 | 36,4 | 43,4 | 48,9 |
1,50 | 67 | - | - | - | 16,9 | 17,4 | 20,4 | 24,4 | 32,4 | 29,2 | 44,9 |
1,71 | 58 | - | - | - | - | 19,4 | 19,8 | 22,2 | 28,5 | 34,8 | 40,3 |
2,00 | 50 | - | - | - | - | - | 21,1 | 21,4 | 25,3 | 30,4 | 35,4 |
2,40 | 42 | - | - | - | - | - | - | 23,0 | 23,4 | 26,6 | 30,5 |
3,00 | 33 | - | - | - | - | - | - | - | 24,2 | 24,4 | 26,4 |
4,00 | 25 | - | - | - | - | - | - | - | - | 26,4 | 25,2 |
6,00 | 17 | - | - | - | - | - | - | - | - | - | 33,5 |
РАСЧЕТ ПРОПУСКНОЙ СПОСОБНОСТИ КАНАЛИЗАЦИОННОГО СТОЯКА
| | ИС МЕГАНОРМ: примечание. Текст дан в соответствии с официальным текстом документа. | |
Е.1.1 При высоте гидравлических затворов 50 - 60 мм у приборов, присоединяемых к вентилируемому канализационному стояку, его диаметр надлежит принимать в зависимости от материала труб по
таблицам Е.1.
При расходе сточных вод, превышающем максимальные значения, приведенные в
таблице Е.1, следует либо увеличить диаметр стояка, либо рассредоточить расход по нескольким стоякам.
Е.1.2 Пропускную способность вентилируемого стояка при другой заданной высоте гидравлического затвора и диаметра присоединения поэтажного отвода к стояку вычисляют по формуле

(Е.1)
где

- максимальная пропускная способность стояка, м
3/с;

- угол присоединения поэтажного отвода к стояку, градусы;

- величина разрежения в стояке, мм вод. ст.
Допустимая величина разрежения в вентилируемых и невентилируемых канализационных стояках не должна превышать

;

- высота наименьшего из гидравлических затворов санитарно-технических приборов, присоединенных к канализационному стояку;
Dвн - внутренний диаметр стояка, м;
dвн - внутренний диаметр присоединения поэтажного отвода, м;
Lр.ст - рабочая высота стояка, м.
Рабочую высоту при Lр.ст >= 90Dвн следует принимать равной 90Dвн.
Допустимую величину разрежения в вентилируемом канализационном стояке при расчетном расходе qs вычисляют по формуле

(Е.2)
где

- величина разрежения в стояке, мм вод. ст.;
qs - расчетный расход стоков, м3/с;

- угол присоединения поэтажного отвода к стояку, градусы;
Dст - внутренний диаметр стояка, м;
| | ИС МЕГАНОРМ: примечание. Обозначение дано в соответствии с официальным текстом документа. | |
Dотв - внутренний диаметр присоединения поэтажного отвода, м;
Lр.ст - рабочая высота стояка, м.
Рабочую высоту при Lр.ст >= 90Dст следует принимать равной 90Dст.
Е.2 Невентилируемые стояки
Е.2.1 При высоте гидравлических затворов 50 - 60 мм у приборов, присоединяемых к невентилируемому канализационному стояку, его диаметр надлежит принимать в зависимости от материала труб по
таблицам Е.2 -
Е.4.
В случае невозможности устройства вытяжной части стояка и при расходе сточных вод, превышающем максимальные значения, следует либо увеличить диаметр стояка, либо рассредоточить расход сточных вод по нескольким невентилируемым стоякам, либо применить вентиляционный клапан, либо объединить поверху не менее четырех канализационных стояков.
Е.2.2 При другой высоте затворов диаметр невентилируемого стояка следует определять расчетом.
Расход воздуха, эжектируемого (увлекаемого) в стояк движущимися в нем сверху вниз стоками, м3/с, при расчетном расходе qs вычисляют по формуле
(в ред.
Изменения N 1, утв. Приказом Минстроя России от 24.01.2019 N 33/пр)

(Е.3)
где qs - расчетный расход стоков, м3/с;

- угол присоединения поэтажного отвода к стояку, градусы;
Dст - внутренний диаметр стояка, м;
| | ИС МЕГАНОРМ: примечание. Обозначение дано в соответствии с официальным текстом документа. | |
Dотв - внутренний диаметр присоединения поэтажного отвода, м;
Lр.ст - рабочая высота стояка, м.
Рабочую высоту при Lр.ст >= 90Dст следует принимать равной 90Dст.
Расчет скорости воздушной смеси по формуле

(Е.4)
где Qв - расход воздуха, эжектируемого (увлекаемого) в стояк движущимися в нем сверху вниз стоками, м3/с;
qs - расчетный расход стоков, м3/с;

- площадь сечения стояка, м
2.
Величину разрежения в невентилируемом канализационном стояке вычисляют по формуле

(Е.5)
Таблица Е.1
Пропускная способность вентилируемых стояков
Наружный диаметр поэтажных отводов, мм | Угол присоединения поэтажных отводов к стояку, град | Пропускная способность, л/с, стояков при диаметре труб, мм |
из полиэтиленовых труб низкого и высокого давления (ПНД и ПВД) | из поливинилхлоридных труб (ПВХ) | из полипропиленовых труб (ПП) | из чугунных труб |
50 | 90 | 110 | 50 | 110 | 50 | 110 | 50 | 100 | 150 |
40 | 45 | - | - | - | - | - | 1,23 | 8,95 | - | - | - |
60 | 1,14 | 8,25 |
87,5 | 0,76 | 5,50 |
50 | 45 | 1,07 | 5,10 | 8,40 | 1,10 | 8,22 | 1,07 | 8,40 | 0,96 | 6,26 | 19,9 |
60 | 1,00 | 4,80 | 7,80 | 1,03 | 7,24 | 1,00 | 7,30 | 0,84 | 5,50 | 17,6 |
87,5 | 0,66 | 3,20 | 5,20 | 0,69 | 4,83 | 0,66 | 5,20 | - | - | - |
90 | - | - | - | - | - | - | - | 0,56 | 3,67 | 11,7 |
90 | 45 | - | 3,90 | 6,40 | - | - | - | - | - | - | - |
60 | 3,60 | 5,90 |
87,5 | 2,40 | 3,95 |
100 | 45 | - | - | - | - | - | - | - | - | 5,50 | 14,5 |
60 | 4,90 | 12,8 |
90 | 3,20 | 8,62 |
110 | 45 | - | - | 5,90 | - | 5,85 | - | 5,90 | - | - | - |
60 | 5,40 | 5,37 | 5,40 |
87,5 | 3,60 | 3,58 | 3,60 |
150 | 45 | - | - | - | - | - | - | - | - | - | 12,6 |
60 | 11,0 |
90 | 7,20 |
Таблица Е.2
Пропускная способность невентилируемых стояков
из полиэтиленовых труб низкого давления,
поливинилхлоридных труб и полиэтиленовых труб
высокого давления (ПНД, ПВХ, ПВД)
Рабочая высота стояка, м | Угол присоединения поэтажных отводов к стояку, град | Пропускная способность, л/с, стояков при наружном диаметре труб из ПНД и ПВХ, мм | Пропускная способность, л/с, стояков при наружном диаметре труб из ПВД, мм |
50 | 90 | 110 | 50 | 90 | 110 |
при внутреннем диаметре поэтажных отводов, мм |
50 | 50 | 90 | 50 | 110 | 50 | 50 | 90 | 50 | 110 |
1 | 45 | 1,80 | 6,50 | 7,10 | 9,50 | 10,6 | 1,80 | 6,00 | 6,50 | 8,80 | 9,80 |
60 | 1,70 | 6,10 | 6,80 | 9,00 | 10,1 | 1,75 | 5,70 | 6,20 | 8,40 | 9,30 |
87,5 | 1,65 | 5,76 | 6,30 | 8,40 | 9,50 | 1,65 | 5,30 | 5,80 | 7,80 | 8,70 |
2 | 45 | 1,12 | 4,00 | 4,50 | 5,80 | 6,80 | 1,12 | 3,70 | 4,15 | 5,40 | 6,20 |
60 | 1,05 | 3,70 | 4,20 | 5,50 | 6,40 | 1,05 | 3,50 | 3,90 | 5,00 | 5,80 |
87,5 | 0,97 | 3,40 | 3,85 | 4,95 | 5,90 | 0,97 | 3,15 | 3,55 | 4,60 | 5,30 |
3 | 45 | 0,80 | 2,75 | 3,20 | 4,00 | 5,00 | 0,80 | 2,50 | 3,00 | 3,70 | 4,50 |
60 | 0,74 | 2,50 | 2,90 | 3,70 | 4,60 | 0,74 | 2,30 | 2,80 | 3,40 | 4,20 |
87,5 | 0,65 | 2,25 | 2,60 | 3,30 | 4,10 | 0,65 | 2,00 | 2,45 | 3,00 | 3,70 |
4 | 45 | 0,60 | 2,10 | 2,35 | 3,00 | 3,70 | 0,60 | 1,90 | 2,20 | 2,80 | 3,30 |
60 | 0,55 | 1,90 | 2,20 | 2,80 | 3,40 | 0,55 | 1,75 | 2,16 | 2,50 | 3,00 |
87,5 | 0,48 | 1,65 | 1,95 | 2,40 | 3,00 | 0,48 | 1,50 | 2,10 | 2,20 | 2,70 |
5 | 45 | 0,60 | 1,57 | 1,9 | 2,25 | 3,00 | 0,60 | 1,42 | 1,80 | 2,10 | 2,65 |
60 | 0,55 | 1,40 | 1,75 | 2,10 | 2,80 | 0,55 | 1,30 | 1,60 | 1,90 | 2,40 |
87,5 | 0,48 | 1,27 | 1,50 | 1,85 | 2,40 | 0,48 | 1,15 | 1,40 | 1,70 | 2,10 |
6 | 45 | 0,60 | 1,27 | 1,50 | 1,85 | 2,35 | 0,60 | 1,15 | 1,40 | 1,70 | 2,30 |
60 | 0,55 | 1,18 | 1,40 | 1,70 | 2,10 | 0,55 | 1,05 | 1,30 | 1,50 | 2,00 |
87,5 | 0,48 | 1,00 | 1,16 | 1,50 | 1,80 | 0,48 | 0,90 | 1,08 | 1,30 | 1,70 |
7 | 45 | 0,60 | 1,05 | 1,30 | 1,55 | 2,00 | 0,60 | 0,95 | 1,16 | 1,40 | 1,70 |
60 | 0,55 | 1,00 | 1,20 | 1,40 | 1,80 | 0,55 | 0,85 | 1,03 | 1,25 | 1,55 |
87,5 | 0,48 | 0,82 | 1,00 | 1,20 | 1,60 | 0,48 | 0,75 | 0,91 | 1,10 | 1,35 |
8 | 45 | 0,60 | 1,05 | 1,30 | 1,30 | 1,70 | 0,60 | 0,95 | 1,16 | 1,20 | 1,10 |
60 | 0,55 | 0,95 | 1,20 | 1,20 | 1,60 | 0,55 | 0,85 | 1,03 | 1,05 | 1,05 |
87,5 | 0,48 | 0,82 | 1,00 | 1,00 | 1,40 | 0,48 | 0,75 | 0,91 | 0,90 | 1,15 |
9 | 45 | 0,60 | 1,05 | 1,30 | 1,10 | 1,15 | 0,60 | 0,95 | 1,16 | 1,10 | 1,10 |
60 | 0,55 | 0,95 | 1,20 | 1,00 | 1,15 | 0,55 | 0,85 | 1,03 | 1,00 | 1,05 |
87,5 | 0,48 | 0,82 | 1,00 | 0,85 | 1,16 | 0,48 | 0,75 | 0,91 | 0,95 | 1,15 |
Таблица Е.3
Пропускная способность невентилируемых стояков
из полипропиленовых труб (ПП)
Рабочая высота стояка, м | Угол присоединения поэтажных отводов к стояку, град | Пропускная способность, л/с, стояков при наружном диаметре труб из ПП, мм |
50 | 110 |
при внутреннем диаметре поэтажных отводов, мм |
40 | 50 | 40 | 50 | 110 |
1 | 45 | 1,60 | 1,80 | 8,80 | 9,50 | 10,6 |
60 | 1,52 | 1,70 | 8,50 | 9,10 | 10,1 |
87,5 | 1,44 | 1,65 | 8,00 | 8,40 | 9,50 |
2 | 45 | 0,96 | 1,12 | 5,40 | 5,80 | 6,80 |
60 | 0,91 | 1,05 | 5,10 | 5,50 | 6,40 |
87,5 | 0,88 | 0,97 | 4,70 | 4,95 | 5,90 |
3 | 45 | 0,72 | 0,80 | 3,80 | 4,00 | 5,00 |
60 | 0,66 | 0,74 | 3,50 | 3,70 | 4,60 |
87,5 | 0,58 | 0,65 | 3,20 | 3,30 | 4,10 |
4 | 45 | 0,50 | 0,60 | 2,80 | 3,00 | 3,70 |
60 | 0,47 | 0,55 | 2,60 | 2,70 | 3,40 |
87,5 | 0,42 | 0,48 | 2,30 | 2,40 | 3,00 |
5 | 45 | 0,50 | 0,60 | 2,10 | 2,25 | 3,00 |
60 | 0,47 | 0,55 | 1,95 | 2,05 | 2,70 |
87,5 | 0,42 | 0,48 | 1,77 | 1,85 | 2,40 |
6 | 45 | 0,50 | 0,60 | 1,77 | 1,85 | 2,35 |
60 | 0,47 | 0,55 | 1,67 | 1,70 | 2,10 |
87,5 | 0,42 | 0,48 | 1,42 | 1,50 | 1,80 |
7 | 45 | 0,50 | 0,60 | 1,42 | 1,55 | 2,00 |
60 | 0,47 | 0,55 | 1,30 | 1,40 | 1,80 |
87,5 | 0,42 | 0,48 | 1,07 | 1,20 | 1,60 |
8 | 45 | 0,50 | 0,60 | 1,20 | 1,30 | 1,70 |
60 | 0,47 | 0,55 | 1,15 | 1,20 | 1,55 |
87,5 | 0,42 | 0,48 | 0,96 | 1,00 | 1,40 |
9 | 45 | 0,50 | 0,60 | 1,04 | 1,10 | 1,15 |
60 | 0,47 | 0,55 | 0,95 | 1,00 | 1,12 |
87,5 | 0,42 | 0,48 | 0,80 | 0,85 | 1,10 |
Таблица Е.4
Пропускная способность невентилируемых
стояков из чугунных труб
Рабочая высота стояка, м | Угол присоединения поэтажных отводов к стояку, град | Пропускная способность, л/с, стояков при внутреннем диаметре труб, мм |
50 | 100 | 150 |
при внутреннем диаметре поэтажных отводов, мм |
50 | 50 | 110 | 50 | 100 | 150 |
1 | 45 | 1,55 | 8,00 | 9,60 | 17,0 | 19,00 | 20,0 |
60 | 1,49 | 7,60 | 8,60 | 16,0 | 18,20 | 19,3 |
90 | 1,39 | 7,00 | 8,00 | 15,0 | 16,90 | 18,0 |
2 | 45 | 1,00 | 5,00 | 6,00 | 10,0 | 12,00 | 13,0 |
60 | 0,85 | 4,60 | 5,60 | 9,70 | 11,90 | 12,3 |
90 | 0,87 | 4,20 | 5,20 | 8,50 | 10,00 | 11,0 |
3 | 45 | 0,65 | 3,40 | 4,30 | 7,00 | 8,10 | 9,00 |
60 | 0,60 | 3,20 | 4,00 | 6,50 | 7,70 | 8,60 |
90 | 0,55 | 3,00 | 3,70 | 5,70 | 6,70 | 7,50 |
4 | 45 | 0,49 | 2,75 | 3,30 | 5,00 | 6,60 | 7,00 |
60 | 0,47 | 2,40 | 3,15 | 4,80 | 6,10 | 6,50 |
90 | 0,45 | 2,20 | 2,70 | 4,00 | 5,10 | 5,70 |
5 | 45 | 0,49 | 2,00 | 2,65 | 3,90 | 4,90 | 5,50 |
60 | 0,47 | 1,85 | 2,45 | 3,65 | 4,60 | 5,10 |
90 | 0,45 | 1,70 | 2,10 | 3,10 | 4,00 | 4,40 |
6 | 45 | 0,49 | 1,60 | 2,20 | 3,20 | 3,90 | 4,50 |
60 | 0,47 | 1,50 | 2,00 | 3,00 | 3,70 | 4,30 |
90 | 0,45 | 1,35 | 1,70 | 2,50 | 3,20 | 3,60 |
7 | 45 | 0,49 | 1,30 | 1,70 | 2,60 | 3,20 | 3,70 |
60 | 0,47 | 1,25 | 1,58 | 2,45 | 3,00 | 3,40 |
90 | 0,45 | 1,15 | 1,35 | 2,60 | 2,60 | 2,90 |
8 | 45 | 0,49 | 1,10 | 1,40 | 2,20 | 2,80 | 3,20 |
60 | 0,47 | 1,05 | 1,32 | 2,00 | 2,60 | 2,90 |
90 | 0,45 | 1,00 | 1,15 | 1,70 | 2,20 | 2,40 |
9 | 45 | 0,49 | 1,10 | 1,40 | 1,85 | 2,40 | 2,70 |
60 | 0,47 | 1,05 | 1,32 | 1,70 | 2,20 | 2,50 |
90 | 0,45 | 1,00 | 1,15 | 1,50 | 1,80 | 2,10 |
10 | 45 | 0,49 | 1,10 | 1,40 | 1,75 | 2,10 | 2,30 |
60 | 0,47 | 1,05 | 1,32 | 1,55 | 2,00 | 2,10 |
90 | 0,45 | 1,00 | 1,15 | 1,35 | 1,80 | 1,85 |
11 | 45 | 0,49 | 1,10 | 1,40 | 1,60 | 1,80 | 2,00 |
60 | 0,47 | 1,05 | 1,32 | 1,45 | 1,70 | 1,90 |
90 | 0,45 | 1,00 | 1,15 | 1,15 | 1,40 | 1,40 |
12 | 45 | 0,49 | 1,10 | 1,40 | 1,35 | 1,65 | 1,90 |
60 | 0,47 | 1,05 | 1,32 | 1,20 | 1,40 | 1,70 |
90 | 0,45 | 1,00 | 1,15 | 1,00 | 1,25 | 1,40 |
13 | 45 | 0,49 | 1,10 | 1,40 | 1,35 | 1,65 | 1,90 |
60 | 0,47 | 1,05 | 1,32 | 1,20 | 1,40 | 1,70 |
90 | 0,45 | 1,00 | 1,15 | 1,00 | 1,25 | 1,40 |
Таблица Е.5
Пропускная способность невентилируемых стояков
с воздушным клапаном
Наружный диаметр поэтажных отводов, мм | Угол присоединения поэтажных отводов к стояку, град | Пропускная способность, л/с, невентилируемых стояков с воздушным клапаном при наружном диаметре поэтажных отводов, мм |
ПП | ПВХ | Чугун |
50 | 110 | 50 | 110 | 50 | 100 |
50 | 45 | 1,1 | 6,81 | 1,1 | 6,69 | 0,96 | 6,83 |
60 | 1,03 | 5,98 | 1,03 | 5,87 | 0,84 | 6,01 |
87,5 | 0,69 | 4,16 | 0,69 | 4,09 | 0,56 | 4,18 |
110 | 45 | | 4,83 | | 4,76 | | 4,72 |
60 | | 4,24 | | 4,18 | | 4,15 |
87,5 | | 2,95 | | 2,91 | | 2,88 |
Примечание - Приведенные в таблице данные пропускной способности действительны только для клапанов с площадью живого сечения воздушного потока равной: 1650 мм2 - для диаметра стояков 50 мм и 3170 мм2 - для диаметра стояков 110 (100) мм. |
Минстроя России от 24.01.2019 N 33/пр)
[1] Федеральный
закон от 27 декабря 2002 г. N 184-ФЗ "О техническом регулировании"
[2] Федеральный
закон от 22 июля 2008 г. N 123-ФЗ "Технический регламент о требованиях пожарной безопасности"
[3] Федеральный
закон от 23 ноября 2009 г. N 261-ФЗ "Об энергосбережении и повышении энергетической эффективности и о внесении изменений в отдельные законодательные акты Российской Федерации"
[4] Федеральный
закон от 30 декабря 2009 г. N 384-ФЗ "Технический регламент о безопасности зданий и сооружений"
[5] Федеральный
закон от 7 декабря 2011 г. N 416-ФЗ "О водоснабжении и водоотведении"
[6] Федеральные
нормы и правила в области промышленной безопасности "Правила промышленной безопасности опасных производственных объектов, на которых используется оборудование, работающее под избыточным давлением"
[7]
СН 2.2.4/2.1.8.562-96 Шум на рабочих местах, в помещениях жилых, общественных зданий и на территории жилой застройки
[9]
СП 40-102-2000 Проектирование и монтаж трубопроводов систем водоснабжения и канализации из полимерных материалов. Общие требования
[10]
СП 40-107-2003 Проектирование, монтаж и эксплуатация систем внутренней канализации из полипропиленовых труб