Главная // Актуальные документы // ПриказСПРАВКА
Источник публикации
М., 2023
Примечание к документу
Текст документа приведен в соответствии с публикацией на сайте https://www.minstroyrf.ru/ по состоянию на 13.02.2024.
Документ
введен в действие с 19.01.2024.
Название документа
"Изменение N 3 к СП 30.13330.2020 "СНиП 2.04.01-85* Внутренний водопровод и канализация зданий"
(утв. и введено в действие Приказом Минстроя России от 18.12.2023 N 935/пр)
"Изменение N 3 к СП 30.13330.2020 "СНиП 2.04.01-85* Внутренний водопровод и канализация зданий"
(утв. и введено в действие Приказом Минстроя России от 18.12.2023 N 935/пр)
Утверждено и введено в действие
и жилищно-коммунального хозяйства
Российской Федерации
(Минстрой России)
от 18 декабря 2023 г. N 935/пр
ИЗМЕНЕНИЕ N 3 К СП 30.13330.2020
"СНиП 2.04.01-85* ВНУТРЕННИЙ ВОДОПРОВОД
И КАНАЛИЗАЦИЯ ЗДАНИЙ"
Дата введения
19 января 2024 года
Содержание
Раздел 5. Наименование. Заменить слово: "тепла" на "тепловой энергии".
Приложение Ж. Наименование. Исключить.
Приложение Л. Наименование. Исключить.
Введение
Дополнить четвертым абзацем в следующей редакции:
"Изменение N 3 выполнено авторским коллективом НИИСФ РААСН (канд. техн. наук Д.Б. Фрог), НП АВОК (А.Н. Колубков), ООО "ХЛ-РУС" (С.М. Якушин), ПКП НПО "Мосспецавтоматика" (канд. техн. наук Е.Е. Кирюханцев), ООО ППФ "АК" (Л.Г. Народицкая, С.Г. Никитин, И.Б. Анашкин).".
1 Область применения
Пункт 1.1. Заменить слова: "к проектированию внутренних систем водоснабжения и водоотведения во" на "к внутреннему водопроводу и канализации"; "зданиях" на "зданий".
2 Нормативные ссылки
"
СП 54.13330.2016 "СНиП 31-01-2003 Здания жилые многоквартирные" (с изменениями N 1, N 2, N 3)" на "
СП 54.13330.2022 "СНиП 31-01-2003 Здания жилые многоквартирные";
"
СП 118.13330.2012 "СНиП 31-06-2009 Общественные здания и сооружения" (с изменениями N 1, N 2, N 3, N 4)" на "
СП 118.13330.2022 "СНиП 31-06-2009 Общественные здания и сооружения" (с изменениями N 1, N 2, N 3)".
Дополнить раздел наименованиями ссылочных документов в следующей редакции:
"
ГОСТ 9.005-72 Единая система защиты от коррозии и старения. Металлы, сплавы, металлические и неметаллические неорганические покрытия. Допустимые и недопустимые контакты с металлами и неметаллами";
| | ИС МЕГАНОРМ: примечание. При публикации в официальном издании М., 2020 ссылка на ГОСТ Р 51571-2000 уже была учтена. | |
"
ГОСТ Р 51571-2000 Компенсаторы и уплотнения сильфонные металлические. Общие технические требования";
"
ГОСТ Р 55023-2012 Арматура трубопроводная. Регуляторы давления квартирные. Общие технические условия";
"
СП 484.1311500.2020 Системы противопожарной защиты. Системы пожарной сигнализации и автоматизация систем противопожарной защиты. Нормы и правила проектирования";
"
ГОСТ 19185-73 Гидротехника. Основные понятия. Термины и определения";
"
СП 2.13130.2020 "Системы противопожарной защиты. Обеспечение огнестойкости объектов защиты";
"
СанПиН 1.2.3685-21 Гигиенические нормативы и требования к обеспечению безопасности и (или) безвредности для человека факторов среды обитания";
"
СанПиН 2.1.3684-21 Санитарно-эпидемиологические требования к содержанию территорий городских и сельских поселений, к водным объектам, питьевой воде и питьевому водоснабжению, атмосферному воздуху, почвам, жилым помещениям, эксплуатации производственных, общественных помещений, организации и проведению санитарно-противоэпидемических (профилактических) мероприятий".
3 Термины и определения
"В настоящем своде правил применены термины и определения по
ГОСТ 17.1.2.03,
ГОСТ 25150,
ГОСТ 25151,
ГОСТ Р 70214, [5], [6], [8] - [11], [13] - [15],
СП 31.13330,
СП 32.13330,
СП 118.13330,
СП 486.1311500, а также следующие термины с соответствующими определениями:
3.1.1 атмосферные сточные воды: Обеззараженные атмосферные осадки в виде дождевых и талых вод, собранные в резервуар технической воды системой водостока здания.
3.1.2 бытовая техническая вода: Атмосферные и серые сточные воды, прошедшие соответствующую очистку, допускающую их повторное использование на нужды водоснабжения систем и оборудования, в которых исключены питьевое применение и контакт с кожными покровами человека.
3.1.3 внутренняя система водопровода (внутренний водопровод): Система трубопроводов и устройств, обеспечивающая присоединение к наружным сетям, подачу воды к санитарно-техническим приборам, технологическому оборудованию и пожарным кранам в границах внешнего контура стен одного здания или группы зданий и сооружений и имеющая общее водоизмерительное устройство от наружных сетей водопровода поселения, городского округа или предприятия.
3.1.4 внутренняя система водоотведения (внутренняя канализация): Система трубопроводов и устройств в границах внешнего контура стен одного здания или группы зданий и сооружений, ограниченная выпусками до первого смотрового колодца, обеспечивающая отведение сточных, дождевых и талых вод в сеть водоотведения соответствующего назначения поселения или городского округа, или предприятия.
Примечание - Водосточные системы и элементы противопожарных систем могут располагаться за пределами внешнего контура стен.
3.1.5
водоотведение: Прием, транспортировка и очистка сточных вод с использованием централизованной системы водоотведения. |
3.1.6
водоснабжение: Водоподготовка, транспортировка и подача питьевой или технической воды абонентам с использованием централизованных или нецентрализованных систем холодного водоснабжения (холодное водоснабжение) или приготовление, транспортировка и подача горячей воды абонентам с использованием централизованных или нецентрализованных систем горячего водоснабжения (горячее водоснабжение). |
3.1.7 воздушный (вакуумный) клапан: Устройство, пропускающее воздух в одном направлении - вслед за движущейся в трубопроводе жидкостью и не пропускающее воздух в обратном направлении, предназначенное для увеличения пропускной способности невентилируемого канализационного стояка или предотвращения срыва гидрозатвора у санитарного прибора или приборов.
3.1.8 выпуск (канализационный): Участок отводного (горизонтального) трубопровода от раструба с внутренней стороны стены здания до первого приемного колодца.
3.1.9 гарантированный напор: Давление воды в точке подключения к коммунальным сетям водопровода, обеспечиваемое организацией водопроводно-канализационного хозяйства в период максимального водоразбора.
3.1.10
граница балансовой принадлежности: Линия раздела объектов централизованных систем холодного водоснабжения и (или) водоотведения, в том числе водопроводных и (или) канализационных сетей, между владельцами по признаку собственности или владения на ином законном основании. |
3.1.11 гидрозатвор: Запахозапирающее устройство гидравлического действия.
3.1.12
индивидуальный тепловой пункт; ИТП: Комплекс устройств для присоединения теплопотребляющей установки к тепловой сети, преобразования параметров теплоносителя и распределения его по видам тепловой нагрузки для одного здания, строения или сооружения. |
3.1.13 канализационный вентилируемый стояк: Стояк, имеющий вытяжную часть и через нее сообщение с атмосферой, способствующее воздухообмену в трубопроводах внутренней и наружной сети канализации.
3.1.14 канализационный невентилируемый стояк: Стояк, не имеющий сообщения с атмосферой.
Примечание - К невентилируемым стоякам относятся: стояк или группа стояков, объединенных поверху сборным трубопроводом, не имеющие вытяжной части или оборудованные воздушным (вакуумным) клапаном.
3.1.15 лимит водопотребления (водоотведения): Установленный абоненту предельный объем отпущенной (полученной) питьевой воды и принимаемых (сбрасываемых) сточных вод на определенный период времени.
3.1.16 напор: Давление воды при определенном расходе в сети водопровода, м вод. ст.
Примечание - Метр (миллиметр) водяного столба - внесистемная единица давления, применяемая в ряде отраслей техники и гидравлике. 9,807 килопаскалей (кПа) соответствуют гидростатическому давлению водяного столба высотой 1 м при наибольшей плотности воды при температуре 4 °C. Сокращение: "м вод. ст." и "мм вод. ст.".
3.1.17 номинальное (условное) давление PN: Наибольшее избыточное давление при температуре среды 293 К (20 °C), при котором допустима длительная работа труб, арматуры и деталей трубопровода, имеющих заданные размеры, обоснованные расчетом на прочность при выбранных материалах и характеристиках их прочности, соответствующих температуре 293 К (20 °C).
3.1.18
питьевая вода: Вода, за исключением бутилированной питьевой воды, предназначенная для питья, приготовления пищи и других хозяйственно-бытовых нужд населения, а также для производства пищевой продукции. |
3.1.19 пропускная способность: Максимальный объемный или весовой расход жидкости через поперечное сечение трубопровода или санитарно-технической арматуры в единицу времени.
3.1.20 рабочее давление: Наибольшее избыточное давление, при котором обеспечивается заданный режим эксплуатации труб, арматуры и деталей трубопровода.
3.1.21 расчетный расход воды: Обоснованное исследованиями и практикой эксплуатации значение расхода водопотребления с учетом основных влияющих факторов (числа потребителей, числа приборов, заселенности квартир жилых зданий, объема выпуска продукции и др.).
3.1.22 расчетный расход сточных вод: Обоснованное исследованиями и практикой эксплуатации значение расхода, прогнозируемого для объекта канализования в целом или его части с учетом влияющих факторов (числа потребителей, числа и характеристик санитарно-технических приборов, оборудования, емкости отводных трубопроводов и др.).
3.1.23 сборный отводной (горизонтальный) трубопровод: Трубопровод, предназначенный для транспортирования загрязненных стоков от стояка (стояков) из здания до первого приемного колодца.
3.1.24 серые сточные воды: Хозяйственно-бытовые сточные воды, поступающие от санитарно-технического и кухонного оборудования, не являющегося источником поступления фекальных включений.
3.1.25 сифон: Техническое устройство, позволяющее подключить санитарный прибор или приемник сточных вод (производственных стоков) к системе канализации, в конструкции которого может быть использован гидрозатвор или иной принцип защиты от канализационных газов, например: "сухой" сифон и т.п.
3.1.26 сифонно-вакуумная канализация: Кровельная водосточная система, использующая энергию столба жидкости в стояках.
3.1.27 срок службы оборудования, арматуры, материалов: Календарная продолжительность эксплуатации от ее начала или возобновления после ремонта до наступления состояния, при котором дальнейшая эксплуатация недопустима или нецелесообразна.
3.1.28 стояк серых сточных вод: Канализационный стояк, предназначенный для транспортирования серых сточных вод.
3.1.29 тепловая изоляция (трубопроводов): Теплоизоляционные материалы и конструкции для сокращения тепловых потерь трубопроводами или предотвращения образования конденсата на их поверхности.
3.1.30
техническая вода: Вода, подаваемая с использованием централизованной или нецентрализованной системы водоснабжения, не предназначенная для питья, приготовления пищи и других хозяйственно-бытовых нужд населения или для производства пищевой продукции. |
".
3.2 Обозначения и единицы измерения
Обозначения "

", "

", "
Qht". Заменить слово: "тепла" на "тепловой энергии".
4 Общие положения
"4.1 Настоящий свод правил устанавливает требования к внутренним системам водопровода и канализации зданий для обеспечения комплексной безопасности согласно [1], [3], [5], для обеспечения необходимого уровня сохранности зданий при различных природных явлениях и техногенных воздействиях, защиты жизни и здоровья человека при неблагоприятных воздействиях внешней среды (в том числе необходимых безопасных условий для проживания и пользования системами в зданиях и сооружениях в процессе эксплуатации), снижения экологического ущерба и эффективного использования энергоресурсов.".
"При составлении балансов водоснабжения и водоотведения для получения условий подключения (технологического присоединения) следует использовать среднесуточные расходы воды по потребителям в соответствии с таблицей А.2 с добавлением сведений согласно [9].".
Пункт 4.3. Дополнить примечанием в следующей редакции:
"Примечание - Вне зданий допускается устройство накопительных емкостей, выгребов для сбора сточных вод перечисленных в 4.3 объектов, если вывоз жидких бытовых отходов предусмотрен на очистные сооружения поселения с учетом
СП 32.13330.".
Заменить слова: "туалетными кабинами" на "туалетными кабинами [20]".
Второй абзац. Дополнить слова: "водомерные камеры" словами: "(узлы учета)".
Пункт 4.5. Заменить ссылки: "
СанПиН 1.2.3685, [1], [2], [4], [5], [11]" на "[1], [2], [4], [5], [11], [18]".
Пункт 4.9. Дополнить пунктом 4.10 в следующей редакции:
"4.10 По заданию на проектирование допускается устройство в общественных зданиях, а при наличии дополнительно технико-экономического обоснования - и в жилых зданиях систем технического водоснабжения с учетом требований [17], [18]. При этом следует выполнять соответствующую маркировку стояков и трубопроводов атмосферных и серых сточных вод. При использовании серых сточных вод следует проектировать раздельные системы водоснабжения и водоотведения.".
5 Определение расчетных расходов воды, стоков и тепла на приготовление горячей воды
Наименование. Заменить слово: "тепла" на "тепловой энергии".
"

(4)".
"

(8)".
Пункт 5.10. Заменить единицу измерения: "м
3" на "м
3/ч".
"5.11 Средний часовой расход воды
qT (

,

,

), м
3/ч, за расчетное время водопотребления (сутки, смена)
T, ч, следует определять по формуле

(11)
Связь между максимальным и средним часовым расходами воды определяется соотношением qhr = qTKmax.
Максимальный коэффициент часовой неравномерности для оценочных расчетов по жилой застройке можно принять по данным таблицы 5.2.
Таблица 5.2
Количество жителей | 150 | 200 | 300 | 500 | 750 | 1000 | 1500 | 2500 | 4000 | 6000 | 7500 | 10000 | 20000 | 50000 |
| Общая вода |
Kmax | 3,75 | 3,43 | 3,05 | 2,68 | 2,45 | 2,31 | 2,13 | 2 | 1,9 | 1,83 | 1,8 | 1,77 | 1,71 | 1,65 |
| Горячая вода |
Kmax | 4,88 | 4,88 | 4,63 | 4,05 | 3,63 | 3,45 | 3,3 | 2,96 | 2,8 | 2,7 | 2,65 | 2,6 | 2,48 | 2,4 |
Примечание - При отсутствии данных о назначении встроенно-пристроенных помещений общественного назначения допускается при определении коэффициента часовой неравномерности условно принимать численность жителей с коэффициентом до 1,2. |
Минимальный часовой расход воды
qhr,min (общей

, горячей

или холодной

), м
3/ч, следует вычислять по формуле
qhr,min = qTKmin, (11а)
где Kmin - минимальный коэффициент часовой неравномерности, определяемый по таблице 5.3 в зависимости от максимального коэффициента часовой неравномерности;
qhr - максимальный часовой расход воды (общей

, горячей

или холодной

), м
3/ч;
qT - средний часовой расход воды (общей

, горячей

или холодной

), м
3/ч.
Таблица 5.3
Kmax | 1,0 | 1,2 | 1,4 | 1,6 | 1,8 | 2,0 | 2,25 | 2,5 | 2,75 | 3,0 |
Kmin | 1,0 | 0,74 | 0,54 | 0,4 | 0,29 | 0,21 | 0,14 | 0,1 | 0,07 | 0,04 |
".
Пункт 5.12. Заменить слово: "тепла" на "тепловой энергии".
"Примечание - На стадии разработки рабочей документации
Qht определяется расчетом в соответствии с
61.13330. В проектной документации значение
Qht ориентировочно принимают равным 30% - 40% (до 60% при двухзонном водоснабжении) от величины расхода тепла на приготовление горячей воды

для многоквартирных жилых домов, оборудованных водяными полотенцесушителями, присоединенными к системе горячего водоснабжения.".
6 Системы холодного водоснабжения
Дополнить перечислением в следующей редакции:
"- технического (по заданию на проектирование).".
7 Противопожарный водопровод
8 Устройство систем холодного водоснабжения
Пункт 8.1. Дополнить вторым абзацем в следующей редакции:
"Соединять трубопроводы системы холодного водоснабжения с трубопроводами, подающими воду на технологические нужды, не допускается.".
Второе предложение. Дополнить слова: "Допускается открытая прокладка" словами: "трубопроводов по подвалу, техническому этажу, коридорам нежилых помещений, в том числе".
Дополнить вторым абзацем в следующей редакции:
"Не следует предусматривать транзитную прокладку водопроводов холодного водоснабжения, горячего водоснабжения в полу, под потолком и скрыто в стенах жилых комнат.".
Пункт 8.18. Заменить слова: "в помещении до 0 °C и ниже" на "в помещении ниже плюс 5 °C".
Пункт 8.21. Дополнить абзацем в следующей редакции:
"При проектировании в условиях сложившейся застройки по заданию на проектирование (при бюджетном финансировании строительства или реконструкции зданий до пяти этажей включительно) допускается принимать значение свободного напора по паспортным данным устанавливаемых приборов.".
"8.24 Диаметры участков сети внутреннего водопровода следует определять гидравлическим расчетом с учетом максимального использования гарантированного напора (давления) воды в системе наружного водоснабжения.".
Пункт 8.28. Дополнить пунктом 8.29 в следующей редакции:
"8.29 На сети хозяйственно-питьевого водоснабжения в каждой квартире следует предусматривать отдельный кран диаметром не менее 15 мм для присоединения шланга, оборудованного распылителем, для использования его в качестве первичного устройства внутриквартирного пожаротушения для ликвидации очага возгорания. Длина шланга должна обеспечивать возможность подачи воды в любую точку квартиры
(СП 54.13330).".
9 Системы горячего водоснабжения
"9.3 К системе горячего водоснабжения допускается присоединять:
- нагревательные приборы в шкафах для сушки одежды детей в раздевальных дошкольных образовательных организаций;
- системы обогрева пола зала бассейна в дошкольных образовательных организациях с обеспечением температуры поверхности пола в пределах 26 °C - 30 °C.
Необходимо предусматривать устройства для отключения вышеуказанных нагревательных приборов и систем обогрева, оборудование и трубопроводы данных систем должны соответствовать требованиям 4.5 и 4.6.".
Пункт 9.5. Заменить слова: "рекомендуется предусматривать" на "располагают".
"9.8 Полотенцесушители, устанавливаемые в ванных и совмещенных санузлах жилых домов для поддержания комфортной температуры воздуха, следует подключать к подающим или циркуляционным трубопроводам системы горячего водоснабжения по схеме, обеспечивающей постоянный проток через них горячей воды. С той же целью допускается оснащение ванных комнат электрическими полотенцесушителями, подключенными к системе электроснабжения потребителя.
Примечание - Использовать полотенцесушители (кроме электрических) вместо отопительных приборов при значительных теплопотерях в ванной комнате (например, при расположении ее у наружной стены здания) не допускается.".
Пункт 9.9. Дополнить слова: "патрубкам от водоразборного" словами: "или циркуляционного".
"9.10 При установке полотенцесушителей на водоразборных стояках следует выполнять поверочный расчет остывания воды в водоразборном стояке и в полотенцесушителях в целях недопущения остывания горячей воды в местах водоразбора ниже указанной в 4.7 (60 °C) у потребителей.".
Пункт 9.13. Дополнить пунктом 9.14 в следующей редакции:
"9.14 По заданию на проектирование допускается использование теплонасосных систем горячего водоснабжения многоквартирных жилых домов. При этом для уменьшения потребления электрической энергии в часы пиковых нагрузок рекомендуется использовать аккумулирование горячей воды.".
10 Устройство систем горячего водоснабжения
Второе перечисление. Дополнить слова: "общеквартирном коридоре" словами: "с установкой на них ручных балансировочных клапанов".
Четвертое перечисление. Заменить слова: "Расчетная циркуляция в" на "Расчетный циркуляционный расход в циркуляционных".
Пятое перечисление. Заменить слово: "Циркуляция" на "Расчетный циркуляционный расход". Заменить ссылку: "по 8.24" на "по 8.22".
Третий абзац. Дополнить слова: "к сборным циркуляционным" словом: "трубопроводам,".
Пункт 10.10. Первый абзац. Дополнить слова: "определить значения" словами: "потерь тепла в трубопроводах системы горячего водоснабжения и величину".
"Потери тепла подающими и циркуляционными трубопроводами системы горячего водоснабжения и ее оборудованием определяются расчетом в целях непревышения перепада температур 10 °C в системе в расчетном режиме циркуляции.".
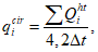
"Циркуляционный расход горячей воды в элементах системы

, л/с, следует определять по формуле

(16)
где

- потери тепла подающими и циркуляционными трубопроводами системы горячего водоснабжения, определяемые в соответствии с
СП 61.13330 и расчетом потерь тепла оборудованием, кВт;

- допустимая разность температур в трубопроводах системы от водонагревателя до точки подключения циркуляционного трубопровода в тепловом пункте, обеспечивающая температуру горячей воды у потребителя не ниже 60 °C;
4,2 - удельная теплоемкость воды, кДж/(кг·°C).".
"Для разветвленных систем горячего водоснабжения здания расчет циркуляционных расходов следует проводить по всем циркуляционным кольцам и выставлять их значение в литрах в секунду при наладке на балансировочных клапанах в месте присоединения циркуляционных трубопроводов к общему сборному трубопроводу и далее к циркуляционному насосу системы горячего водоснабжения в ИТП. При этом в зависимости от принятой конструктивной схемы горячего водоснабжения общий циркуляционный расход для подбора циркуляционного расхода определяется суммированием циркуляционных расходов в кольцах и ветках системы.
Для систем горячего водоснабжения здания с одним теплообменником в ИТП для нескольких зон по высоте общий циркуляционный расход следует определять, как сумму циркуляционных расходов каждой зоны.
Если при принятой в рабочей документации толщине изоляции перепад температур в системе превысит оптимальный, равный 10 °C, следует выполнить повторный расчет потерь тепла с применением большей толщины изоляционных конструкций поэлементно.".
Пункт 10.14. Заменить слова: "рекомендуется принимать" на "принимают".
11 Трубопроводы и арматура
Пункт 11.3. Дополнить абзацем в следующей редакции:
"В системах с полимерными трубами следует применять соединительные детали и фитинги одного изготовителя.".
Пункт 11.4 Дополнить абзацем в следующей редакции:
"Допускается указанными способами соединять оцинкованные трубы, узлы и детали с трубами, узлами и деталями, выполненными из нержавеющей стали, и с арматурой, выполненной из латуни, с учетом требований
ГОСТ 9.005.".
Второй абзац. Дополнить слова: "конструкций с" словами: "нормируемыми пределами огнестойкости или противопожарных преград с".
Пункт 11.6. Дополнить вторым абзацем в следующей редакции:
"Конструкция регулятора давления должна включать защиту от протечек, исключающую разгерметизацию чувствительного элемента (мембраны или поршневого механизма) в соответствии с ГОСТ Р 55023-2012
(пункт 5.4.2).".
"11.12 Установку обратных клапанов на водопроводах холодной и горячей воды следует предусматривать:
- на участках трубопроводов, подающих воду к групповым смесителям, для предотвращения гидроударов, возможных при определенном сочетании одновременно открытых и закрытых водоразборных кранов;
- на циркуляционном трубопроводе перед присоединением его к водонагревателю.
Примечание - Групповой смеситель - водоразборный смеситель, предназначенный для смешения холодной и горячей воды, подаваемой после смешения на группу санитарно-технических приборов, у которых может регулироваться только расход (групповые души, групповые умывальники и т.д.).".
"Также мусоросборная камера должна быть защищена по всей площади спринклерными оросителями. Участок распределительного трубопровода оросителей должен быть кольцевым, подключенным к сети хозяйственно-питьевого водопровода или технического водопровода многоквартирного здания и оснащенным теплоизоляцией из негорючих материалов.".
"- в общественных уборных с тремя и более унитазами или писсуарами [20],".
12 Устройства для измерения расхода воды
"12.5 В помещениях водомерного узла, тепловых пунктах, насосных и аналогичных помещениях со счетчиками холодной (горячей) воды должны быть предусмотрены естественное или искусственное освещение и отопление для поддержания температуры воздуха не ниже плюс 5 °C. Счетчики следует размещать на высоте 0,5 - 1,5 м от уровня пола. Необходимо обеспечить доступ к счетчикам для обслуживания и снятия показаний. Над счетчиками массой более 25 кг должно быть предусмотрено достаточное пространство для установки подъемного механизма.".
"12.11 Все запорные устройства узла установки водосчетчика должны быть в открытом состоянии, а запорное устройство на обводной линии - опломбировано в закрытом состоянии. В том случае, если при расходе воды на пожаротушение не выполняются требования 12.16, автоматизацию открытия запорного устройства на обводной линии следует осуществлять в соответствии с алгоритмом, изложенным в
СП 10.13130,
СП 484.1311500.".
Пункт 12.12. Дополнить слова: "перечисление б)" словами: ", за исключением случаев установки общего водомерного узла с одним счетчиком воды".
Пункт 12.14. Заменить слова: "который не должен превышать эксплуатационный, принимаемый по таблице 12.1, и проверять согласно указаниям 12.16 или по паспорту водосчетчика" на "который не должен превышать эксплуатационный расход, принимаемый согласно паспорту водосчетчика. Предварительный подбор осуществляется по данным таблицы 12.1.".
Пункт 12.15. Заменить слова: "по таблице 12.1" на "согласно паспорту водосчетчика".
"12.16 Счетчик с диаметром условного прохода, выбранным в соответствии с требованиями 12.14, следует проверять:".
"12.17 При необходимости измерения расхода воды и невозможности использовать для этой цели тахометрические счетчики воды следует применять расходомеры других типов.
Выбор диаметра условного прохода и установку расходомеров следует проводить согласно требованиям соответствующих технических условий на проектирование:
- нескольких счетчиков одинакового диаметра (устанавливаются параллельно), число которых определяется расчетом при условии выполнения требований 12.16.".
13 Насосные установки
"13.6 Насосные установки и иные источники вибраций и шума следует размещать с учетом требований [17,
пункт 137]."
Пункт 13.8. Заменить слова: "рекомендуется размещать" на "размещают".
"- при наличии водонапорного или гидропневматического бака (объемом согласно 14.8) и насосов, работающих в повторно-кратковременном режиме, - не менее максимального часового расхода воды;".
"13.10 При нескольких зонах водоснабжения по высоте здания или при наличии потребителей с разными требуемыми напорами подачу воды в систему хозяйственно-питьевого водоснабжения следует предусматривать повысительными насосными установками отдельно для каждой зоны (потребителя), с учетом расхода воды на нужды холодного и горячего водоснабжения. Использовать каскадные схемы подключения насосных станций по высоте здания не допускается.".
Пункт 13.12. Заменить слова: "рекомендуется установка циркуляционно-повысительных насосов, устанавливаемых на подающем трубопроводе." на "на подающем трубопроводе устанавливают циркуляционно-повысительные насосы.".
"Трубопровод, присоединяемый к виброизолирующей вставке, должен быть жестко зафиксирован. Защиту виброизолирующих вставок на напорной части от гидроударов следует выполнять с помощью обратных клапанов, устанавливаемых не далее 1 м от них.".
"13.20 Для насосных установок, подающих воду на хозяйственно-питьевые, производственные и противопожарные нужды, необходимо принимать следующую категорию надежности электроснабжения:
- особую - для насосных установок, перерыв в работе которых не допускается;
- вторую - для жилых зданий высотой более 28 м при суммарном расходе воды более 5 л/с, а также для насосных установок общественных и производственных зданий, для которых допускается кратковременный перерыв в работе на время, необходимое для ручного включения резервного питания;
- третью - для всех остальных насосных установок.
Категорию надежности электроснабжения насосных установок внутреннего противопожарного водопровода и совмещенного внутреннего противопожарного и питьевого водопровода принимают в соответствии с
СП 10.13130.".
14 Запасные и регулирующие емкости
Пункт 14.1. Заменить слово: "теплоты" на "тепловой энергии".
Пункт 14.2. Заменить слова: "рекомендуется предусматривать" на "предусматривают".
"14.18 Резервуары и емкости для сбора воды в системах оборотного водоснабжения и в системах с повторным использованием воды в зависимости от конструкции здания размещают:
- на этажах и в подвальных помещениях зданий - для серых сточных вод;
- в чердачных, подвальных помещениях и за пределами здания - для атмосферных сточных вод.
При размещении резервуаров следует руководствоваться 14.5. Обвязка емкостей и поддонов должна предусматривать улавливание или возможность циркуляции промывочных (санирующих) растворов.
Объем резервуара принимают с учетом суточного объема воды, требуемого для полива зеленых насаждений, и суточного объема воды, требуемого для смыва унитазов и писсуаров. Допускается хранение объема воды для использования воды в унитазах - не более 1 сут, для целей полива - не более 3 - 7 сут.".
15 Дополнительные требования к системам внутреннего водоснабжения в особых природных и климатических условиях
15.1 Просадочные грунты
Пункт 15.1.4. Заменить слова: "рекомендуется размещать" на "размещают".
16 Системы водоотведения
17 Санитарно-технические приборы и приемники сточных вод
Пункт 17.3. Дополнить абзацем в следующей редакции:
"Для присоединения приемников сточных вод к канализационным стоякам поэтажные трубопроводы диаметром 40 - 50 мм следует прокладывать с уклоном 0,03, а диаметром 75 - 100 мм - с уклоном 0,02.".
Пункт 17.4. Заменить слова: "рекомендуется отдельно предусматривать места подключения" на "предусматривают возможность подключения".
Пункт 17.7. Заменить слова: "рекомендуется устанавливать" на "устанавливают".
"17.8 Трапы следует устанавливать:
- диаметром 50 мм - в душевых без душевых поддонов на 1 - 2 душа;
- диаметром 100 мм:
- в душевых без душевых поддонов на 3 - 4 душа;
- в душевых с душевыми поддонами;
- в полу общественных туалетов;
- в уборных с тремя и более унитазами;
- в уборных с тремя и более писсуарами;
- в умывальных с пятью и более умывальниками;
- в помещениях личной гигиены женщин;
- в мусоросборных камерах;
- в производственных помещениях при необходимости мокрой уборки
полов или для производственных целей;
- в помещениях уборочного инвентаря, при наличии ввода воды
с поливочным краном.
Примечания
1 В лотке душевого помещения допускается устанавливать один трап не более чем на четыре душа.
2 В ванных комнатах жилых зданий, гостиниц и пансионатов трапы не устанавливаются, за исключением случаев, когда в ванных комнатах жилых зданий, номерах гостиниц и пансионатов трапы или душевой лоток выполняют роль душевого поддона.".
Пункт 17.9. Дополнить абзацем в следующей редакции:
"Пропускная способность лотка должна обеспечивать отвод расчетного расхода стоков, направляемых в лоток.".
18 Устройство систем водоотведения
"18.5 Соединение чугунных и полимерных трубопроводов следует выполнять с использованием специальных переходных муфт в месте, удобном для обслуживания.
Присоединение стояков к сборному отводному (горизонтальному) трубопроводу следует выполнять только в горизонтальной плоскости под углом 45° не менее чем двумя фасонными частями (два отвода или более, тройник и отвод и т.д.).
Применять одноплоскостные прямые крестовины с номинальным углом присоединения 87,5° (90°) при расположении их в горизонтальной и вертикальной плоскостях не допускается (кроме чердака зданий). Допускается применение двухплоскостных крестовин с номинальным углом присоединения 87,5° (90°) для подключения к стояку поэтажных отводов.".
"- скрыто - с заделкой в строительной конструкции, под полом (в земле, подпольных каналах), панелях, бороздах стен, под облицовкой колонн (в приставных коробах у стен, колонн), в подшивных потолках, в санитарно-технических кабинах, в вертикальных шахтах, по полу вдоль стен в зашивке, в монтажных коммуникационных шахтах, штрабах, каналах, коробах, ограждающие конструкции которых выполняются из негорючих материалов, за исключением помещений санузлов жилых домов и подобных помещений, когда требуется обеспечить доступ локально к ревизиям и прочисткам на стояках и к арматуре, требующей обслуживания (изготовляется в виде дверцы из материалов, отнесенных к группе горючести не ниже Г2 по [3] на лицевой панели зашивки). Напротив ревизий на стояках при скрытой прокладке следует предусматривать люки размерами не менее 0,3 x 0,4 м;".
Дополнить
пункт 18.9 вторым абзацем в следующей редакции:
"В подпольных каналах совместная прокладка водопровода холодной (горячей воды) с сетями канализации исключается.".
"<*> Перед заделкой стояка раствором на трубы необходимо закрепить без зазора звукоизоляционный кожух из негорючего утеплителя толщиной 30 мм, имеющий гидроизоляционное или фольгированное покрытие с внешней стороны. Утеплитель должен выступать на 30 мм от перекрытия (пола) с каждой стороны. При применении пластиковых трубопроводов с установкой противопожарных манжет выступ на 30 мм от перекрытия вниз не устанавливают.".
Перечисление г). Заменить слова: "с нормируемой огнестойкостью" на "с нормируемыми пределами огнестойкости или противопожарных преград".
Пункт 18.11. Первое перечисление. Заменить слова: "рабочих комнат административных зданий" на "рабочих комнат персонала общественных, административных и производственных зданий".
Примечание 2. Дополнить слова: "зоны воздухозабора" словами: "без установки прочисток и ревизий.".
Примечание 4. Дополнить примечаниями 5 и 6 в следующей редакции:
"5 Отвод конденсата от внутренних и наружных блоков кондиционеров допускается прокладывать в штрабах стен и перегородок, в специальных пластиковых каналах к стояку канализации. При подключении к стояку канализации следует устраивать отвод с установкой сифона со специальным запахозапирающим устройством или капельной воронкой с разрывом струи. Следует устраивать только один сифон при подключении конденсатной линии к системе дренажной канализации. Допускаемый уклон - 0,01. Уклон следует соблюдать по всей длине трубопровода. Трубопроводы следует применять пластиковые или медные. При этом следует предусматривать возможность прочистки системы дренажной канализации. Допускается установка отдельных стояков и сборной сети для отвода конденсата со сбросом в наружную сеть водостока отдельным выпуском.
6 Допускается прокладывать канализационные трубопроводы от лабораторных столов в кабинетах физики, химии, биологии в полу учебных кабинетов.".
"Примечания
1 Присоединение отводящих трубопроводов от вентиляционного оборудования (воздухоохладителей, камер орошения, сплит-систем, водонагревателей и аналогичного оборудования) следует предусматривать с разрывом струи через гидрозатворы или устройства, препятствующие проникновению запаха в помещения.
2 Разрыв струи с гидрозатворами или устройствами, препятствующими проникновению канализационных газов в помещения, необходимо располагать как можно ближе к вентиляционному оборудованию во избежание образования застойных (мокрых) зон, способствующих развитию болезнетворных форм.".
Пункт 18.15. Третий абзац. Заменить слова: "сети поверхностного водостока" на "ливневой системы водоотведения или к централизованным системам водоотведения с учетом требований пункта 21.3.".
Пункт 18.19. Дополнить предложением в следующей редакции:
"При применении пластиковых труб следует предусматривать защиту их частей на кровле от ультрафиолета (солнечного света).".
"Допускается подключать вентиляционную часть от встроенных помещений к стоякам, идущим на кровлю от жилых помещений в пределах секции здания, с проверкой стояка на срыв сифонов у приборов (за исключением предприятий общественного питания и продовольственных магазинов).".
Пункт 18.22. Дополнить слово: "воздушным" словом: "(вакуумным)".
Пункт 18.23. Дополнить слово: "воздушными" словом: "(вакуумными)".
"Подключение рабочих стояков к дополнительным "сухим" вентиляционным стоякам не допускается.".
Пункт 18.26. Заменить слова: "рекомендуется предусматривать" на "предусматривают".
"Допускается отключать водоснабжение одновременно с подачей сигнала о подтоплении (кроме систем объединенного хозяйственно-противопожарного и производственно-противопожарного водопроводов).".
Пункт 18.35. Дополнить вторым абзацем в следующей редакции:
"Перепад выполняется в виде стояка диаметром, равным диаметру подводящего трубопровода.".
Пункт 18.38. Дополнить пунктом 18.39 в следующей редакции:
"18.39 Выпуски самотечных систем из зданий с большой прогнозируемой осадкой следует размещать в проемах фундаментов, высота отверстий в которых над выпуском должна быть больше прогнозируемой величины осадки здания на 20 мм. Трассы самотечных систем должны присоединяться к выпускам через вертикальные участки с компенсирующей муфтой высотой, превышающей осадку здания.".
19 Расчет внутренней системы водоотведения
20 Местные установки для очистки и перекачки сточных вод
"20.14 При устройстве в подземной части зданий различного назначения приямков для откачки вод следует устанавливать:
- для ИТП, стоянок автомобилей, узлов учета воды и тепловой энергии - один рабочий и один резервный дренажные насосы;
- для насосных, приточных венткамер - один рабочий дренажный насос;
- для технического подполья - один рабочий и один резервный дренажные насосы (допускается хранение резервного насоса на складе).
В межэтажных перекрытиях подземных стоянок автомобилей следует предусматривать устройства или трапы для отвода воды при тушении пожара на нижний уровень. На нижнем подземном уровне следует предусматривать лотки для отвода воды при тушении пожара в приемные резервуары для сбора воды вместимостью согласно расчету, но не менее 2 м3 (суммарный объем приямков) на каждый пожарный отсек стоянки. Уклон лотков следует принимать не менее 0,006.".
"20.15 Напорные трубопроводы от дренажных насосов допускается присоединять отдельным выпуском к сети ливневой системы водоотведения или к централизованным системам водоотведения в соответствии с 18.15.".
21 Внутренние водостоки
Пункт 21.1. Дополнить абзацем в следующей редакции:
"Для внутренних водосточных систем допускается применение напорной, самотечной и вакуумной (сифонно-вакуумной) схемы отвода дождевых стоков. Систему вакуумной канализации допускается предусматривать при отсутствии возможности организации нормируемых уклонов на горизонтальных участках водостоков в соответствии с 21.17 - 21.24.".
"Примечания
1 Водосточные воронки (при бесчердачном варианте) располагать над жилыми квартирами не допускается.
2 На плоских кровлях секционных жилых зданий допускается устанавливать по одной водосточной воронке на каждую секцию.".
Пункт 21.9. Дополнить вторым абзацем в следующей редакции:
"Допускается выполнять присоединение без компенсационных патрубков при условии применения двухуровневых воронок с надставным раструбным элементом.".
Пункт 21.11. Дополнить слова: "суммарной площади" словами: "двух смежных".
"21.15 Прокладку трубопроводов внутреннего водостока следует предусматривать в соответствии с 18.9 - 18.11. На стояках ревизии необходимо устанавливать в нижнем этаже зданий и далее с шагом 40 м, а при наличии отступов - над ними.
В пределах жилых квартир прокладка трубопроводов внутреннего водостока не допускается.
Для зданий с наклонной кровлей допускается прокладка водосточных стояков из чугунных безраструбных труб, в том числе отдельных стояков для отвода воды с открытых балконов/террас, отвода конденсата от наружных блоков кондиционеров в толщине утеплителя вентилируемого фасада с дальнейшим отведением в сеть ливневой канализации при условии обеспечения доступа для обслуживания и ремонта. При этом следует предусматривать устройство кабельного внутреннего электрообогрева указанных стояков.".
Дополнить пунктами 21.16 - 21.24 в следующей редакции:
"21.16 Запрещается прием поверхностного стока в подземную часть здания с поверхности дворовой части.
Поверхностный сток с покрытия стилобатной части здания может быть отведен в систему внутренних водостоков. При этом данная система должна иметь самостоятельный выпуск.
21.17 Для систем сифонно-вакуумной канализации следует применять кровельные воронки диаметром от 75 мм до 160 мм, с отсекателем воздуха, препятствующим проникновению воздуха в трубопроводную сеть, закрепленным на корпусе разъемным соединением. Отсекатель и элементы разъемного соединения должны быть изготовлены из коррозионно-стойкого металла.
21.18 Для внутренних водостоков сифонно-вакуумного типа следует применять напорные трубы из полимерных материалов. В системе вакуумной канализации следует применять стыковые сварные соединения, муфтовые сварные соединения и раструбные соединения. При этом допустимое внутреннее давление фитингов следует принимать не менее 0,5 МПа. Применение трубопроводов из различных материалов в одной системе сифонно-вакуумной канализации не допускается. Толщину стенки трубопровода определяют согласно прочностным характеристикам труб с учетом расчетного разрежения, при этом толщину стенки принимают не менее 3 мм.
21.19 Горизонтальные участки трубопроводной сети внутреннего водостока сифонно-вакуумного типа прокладывают без уклона на одной отметке до следующего вертикального участка стояка или подключения кровельной воронки. В трубопроводной сети внутреннего водостока сифонно-вакуумного типа установка прочисток на горизонтальных участках не допускается.
21.20 К трубопроводной сети внутреннего водостока сифонно-вакуумного типа подключать другие системы внутренней канализации, в том числе самотечные системы отвода дождевых стоков, не допускается.
21.21 В трубопроводной сети внутреннего водостока сифонно-вакуумного типа применять отводы и тройники 90° (87,5°) не допускается. Для организации поворота на 90° применяют два отвода 45°. В трубопроводных сетях внутреннего водостока сифонно-вакуумного типа следует применять только эксцентрические переходы. При подключении системы водосточной сифонно-вакуумной канализации к водостоку или выпуску из здания самотечной системы отведения дождевых стоков необходимо учитывать переход на больший диаметр, обеспечивающий прохождение максимального расхода в соответствии с таблицей 21.1 или гидравлическим расчетом внутриплощадочной сети ливневой канализации.
21.22 Неподвижные опоры (хомуты с жесткими фиксаторами) для вертикальных стояков и горизонтальных трубопроводов внутренних водостоков сифонно-вакуумной канализации следует предусматривать:
- при изменении направления трубопроводов с каждой стороны (на поворотах и опусках);
- при изменении диаметра трубопроводов;
- в точках присоединения кровельных воронок;
- на прямолинейных участках для каждой четвертой опоры.
Крепление трубопроводов следует предусматривать посредством монтажной шины. На горизонтальных участках неподвижная опора должна быть установлена на расстоянии не более 300 мм от точки крепления монтажной шины к конструкциям здания.
21.23 Аварийная система внутреннего водостока, дублирующая основную, предусматривается в местах кровли здания, где нет возможности организовать аварийные переливы в парапетах. Аварийные кровельные воронки устанавливают выше отметки основных на 50 - 60 мм.
21.24 Для водостоков систем сифонно-вакуумной канализации следует предусматривать теплоизоляцию для защиты от образования конденсата, в соответствии с
СП 61.13330.".
22 Дополнительные требования к внутренним системам водоотведения и водостокам в особых природных и климатических условиях
22.3 Сейсмические районы
Пункт 22.3.4. Заменить слова: "бетонные упоры" на "упоры из бетона, железобетона или аналогичных материалов".
23 Санитарно-эпидемиологические и гигиенические требования, требования охраны окружающей среды, предъявляемые к внутренним системам водоснабжения и водоотведения
"- выполнения требований [17] и [18].".
Пункт 23.4. Дополнить пунктом 23.5 в следующей редакции:
"23.5 При проектировании систем очистки атмосферных и серых сточных вод следует учитывать положения
СП 31.13330 и
СП 32.13330.
Комплекс технологических ступеней должен учитывать исходный и конечный состав сточных вод и включать:
- отстаивание и обеззараживание для атмосферных сточных вод;
- осветление (отстаивание/флотацию), биологическое окисление, сорбцию (биосорбцию) и обеззараживание для серых сточных вод.".
24 Обеспечение надежности и безопасности при эксплуатации. Долговечность и ремонтопригодность
Заменить слова: "ликвидировать аварии на" на "отключать подачу воды на аварийных".
Второй абзац. Заменить слова: "рекомендуется устанавливать" на "устанавливают".
"24.5 При проектировании и реконструкции внутренних инженерных систем в зданиях узлы прохода стояков через межэтажные перекрытия следует выполнять в соответствии с 18.10.".
26 Требования энергетической эффективности внутренних систем водоснабжения и водоотведения. Требования рационального использования водных ресурсов
Пункт 26.2. Исключить слова: "рекомендуется разработка предложений по обеспечению рационального водопотребления, где".
"- совершенствование методов контроля и учета водопотребления, в том числе на увлажнение воздуха в системах механической вентиляции;".
"- установка современной водоразборной и наполнительной арматуры, обеспечивающей сокращение расхода питьевой воды (смесители двухвентильные с керамическими кранбуксами, однорычажные, сенсорные и смесители-термостаты);
- выполнение комплекса мероприятий по регулированию давления воды в системах водоснабжения жилых зданий путем установки балансировочных кранов и их регулировки в процессе пусконаладочных работ;".
"- однозонную схему водоснабжения с установкой поэтажных регуляторов давления в жилых домах с высотой зоны 54 м включительно (от перекрытия пола с установкой самого низко расположенного санитарно-технического прибора до перекрытия пола с установкой самого низко расположенного санитарно-технического прибора следующей зоны);
- зонное водоснабжение в жилых домах высотой более 54 м с установкой поэтажных регуляторов давления;".
Примечание. Заменить слова: "рекомендуется использование комплектных изделий, включающих" на "следует использовать комплектные изделия, включающие".
"26.12 Тепловая изоляция трубопроводов, расположенных в подземных стоянках автомобилей, при прокладке их в помещениях путей эвакуации, в технических этажах и на чердаках должна быть из материалов группы горючести не ниже Г1.
При пересечении трубопроводом противопожарной преграды следует предусматривать теплоизоляционные конструкции из негорючих материалов в пределах размера противопожарной преграды.
Теплоизоляционные конструкции из горючих материалов с теплоизоляционным слоем на основе вспененных полиэтилена, полипропилена, каучука, полиуретана и др. не допускается предусматривать для трубопроводов, расположенных в зданиях, кроме зданий степеней огнестойкости IV и V, одно- и двухквартирных жилых домов.
Допускается применение теплоизоляционного слоя из горючих материалов для трубопроводов, расположенных в подвальных этажах, имеющих выходы только наружу зданий степеней огнестойкости I и II, при устройстве вставок длиной 3 м из негорючих материалов не менее чем через 30 м длины трубопровода.".
Пункт 26.15. Заменить слова: "рекомендуется предусматривать отвод" на "следует предусматривать отбор".
Пункт 26.16. Заменить слова: "следует предусматривать решения по" на "возможно применение решений по".
"26.17 В проектных решениях следует применять:
- теплонасосные системы утилизации тепла для систем горячего водоснабжения;
- кожухотрубные теплообменники для утилизации теплоты канализационных стоков;
- системы очистки атмосферных и серых сточных вод для повторного использования в качестве технической воды для холодоснабжения градирен (с показателями качества теплофикационной воды), мойки автомобилей, мойки тротуаров, полива зеленых насаждений с учетом требований [17], [18] и [19];
- системы оборотного водоснабжения;
- замкнутые системы водного хозяйства промышленных предприятий;
- перевод технологических процессов промышленных предприятий на техническую воду с учетом требований технологической части проекта, [17], [18], [19] и при наличии возможности подключения к централизованной системе технического водоснабжения или наличии локального источника водоснабжения и соответствующем технико-экономическом обосновании;
- замену воды питьевого качества на техническую воду для ряда потребителей при соответствующем технико-экономическом и санитарно-гигиеническом обосновании с учетом требований [17], [18];
- системы водоподготовки для адиабатического охлаждения наружного воздуха в камерах орошения и при применении форсунок высокого давления в системах приточной вентиляции;
- системы тонкого распыления воды перед входом наружного воздуха в конденсаторы и драйкулеры в системах автоматического управления климатическими системами зданий за счет адиабатического охлаждения наружного воздуха при входе в указанные теплообменные аппараты в теплый период года;
- использование тепла от систем холодоснабжения/кондиционирования воздуха жилых и общественных зданий, газопоршневых установок и аналогичного оборудования для предварительного нагрева воды на нужды горячего водоснабжения.".
Приложение А Расчетные расходы воды
Графа "горячей

". Заменить значение: "5" на "2,5".
Графа "общий

". Заменить значение: "3,5" на "3,1".
Графа "горячей

". Заменить значение: "1,2" на "0,85".
Графа "горячей

". Заменить значение: "0,85" на "0,09".
Графа "горячей

". Заменить значение: "25" на "2,5".
"- для спортсменов (с учетом приема душа)".
Графа "общий

". Заменить значение: "100" на "9".
Графа "горячей

". Заменить значение: "51" на "4,3".
Графа "горячей

". Заменить значение: "51" на "4,3".
"Примечания
1 Расчетные расходы воды установлены для климатических районов I и II по
СП 131.13330.
Величина расчетного расхода воды может корректироваться в зависимости от мощности источника водоснабжения и качества воды, степени благоустройства, этажности застройки и местных условий.
Расход воды для климатических районов III и IV следует принимать с учетом утвержденных региональными органами власти значений, которые являются приоритетными по отношению к приведенным в настоящей таблице. Конкретное значение величины удельного хозяйственно-питьевого водопотребления принимают на основании данных по оценке фактического удельного водопотребления по приборам учета.
2 Расчетные расходы воды, приведенные в настоящей таблице, включают все дополнительные расходы воды (обслуживающим персоналом, душевыми для обслуживания персонала, посетителями, на уборку помещения и т.п.).
Потребление воды в групповых душевых и на ножные ванны в бытовых помещениях производственных предприятий, на стирку белья в прачечных, на приготовление пищи на предприятиях общественного питания (работающих на сырье), а также на водолечебные процедуры в водолечебницах, входящих в состав больниц, санаториев и поликлиник, следует учитывать дополнительно.
Настоящие требования не распространяются на потребителей, для которых в настоящей таблице приведены расчетные расходы водопотребления, включающие расход воды на указанные нужды.
3 Для водопотребителей гражданских зданий, сооружений и помещений, не указанных в настоящей таблице, расчетные расходы воды следует принимать согласно настоящему приложению для потребителей, аналогичных по характеру водопотребления.
4 Расчетные расходы воды в медицинских организациях на технологические нужды следует принимать по СП 158.13330.2014
(таблица 7.8).
5 На предприятиях общественного питания число реализуемых блюд в час Uч и в сутки Uсут следует определять по формулам:
Uч = 2,2nm и Uсут = UчTy,
где n - число посадочных мест;
m - число посадок, принимаемое для столовых открытого типа и кафе равным 2; для студенческих столовых и при промышленных предприятиях - 3; для ресторанов - 1,5;
T - время работы предприятия общественного питания, ч;
y - коэффициент неравномерности посадок на протяжении рабочего дня, принимаемый для столовых и кафе - 0,45; для ресторанов - 0,55; для других предприятий общественного питания при обосновании допускается принимать 1,0.
Время работы предприятий общественного питания, с учетом приготовления пищи и мытья оборудования, определяется технологической частью проекта.
В предприятиях общественного питания, где приготовление пищи не предусмотрено (буфеты, бутербродные и т.п.), расчетные расходы воды следует принимать как разницу между расчетными расходами в предприятиях, приготовляющих и реализующих пищу в обеденном зале и продающих на дом. Расчетный расход воды на 1 т продукции определяется технологической частью проекта.
6 Расходы воды на производственные нужды, не указанные в настоящей таблице, следует принимать в соответствии с технологическим заданием и указаниями по технологическому проектированию предприятий отдельных отраслей промышленности.
При наличии в комплексе промышленного предприятия отдельно стоящего бытового корпуса для обслуживания работающих в одном или нескольких близлежащих производственных зданиях расчетный расход воды одним потребителем следует принимать с коэффициентом 0,6 для пользователей бытового корпуса и работающих на производстве.
7 При неавтоматизированных стиральных машинах в прачечных и при стирке белья со специфическими загрязнениями расчетный расход горячей воды на стирку 1 кг сухого белья допускается увеличивать до 30%.
8 Санитарно-технические устройства и расходы воды для служб приготовления пищи и прачечных следует принимать в соответствии с нормами по проектированию предприятий общественного питания и предприятий бытового обслуживания населения.
9 Число проживающих в квартире жилого многоквартирного дома для определения расчетных расходов воды при проектировании внутренних сетей водопровода и канализации следует принимать по формуле
Nкв.жит = K + 1,
где Nкв.жит - расчетное количество жителей в квартире;
K - количество жилых комнат в квартире.
10 Расчетные расходы воды на поливку территории установлены из расчета одной поливки. Число поливок в сутки следует принимать в зависимости от климатических условий района строительства.".
Приложение В Номограмма для определения диаметров отверстий диафрагм, устанавливаемых между соединительными головками и пожарными кранами
"Hср - перепад давления (величина срезки давления) на диафрагме, м вод. ст.; d50, d70 - диаметры отверстий диафрагм к пожарным кранам диаметром 50, 65 (70) мм; q - расчетный расход воды через диафрагму, л/с".
Приложение Ж Расходы воды на пожаротушение
Приложение К Пропускная способность канализационных стояков
"В таблицах К.1 - К.4 приведены данные по пропускной способности стояков для труб из ПВХ, ПП, чугунных раструбных SML.".
Приложение Л Потери тепла трубопроводами системы горячего водоснабжения
Библиография
Дополнить библиографическими позициями [17] - [20] в следующей редакции:
"[17]
СанПиН 2.1.3684-21 Санитарно-эпидемиологические требования к содержанию территорий городских и сельских поселений, к водным объектам, питьевой воде и питьевому водоснабжению, атмосферному воздуху, почвам, жилым помещениям, эксплуатации производственных, общественных помещений, организации и проведению санитарно-противоэпидемических (профилактических) мероприятий
[18]
СанПиН 1.2.3685-21 Гигиенические нормативы и требования к обеспечению безопасности и (или) безвредности для человека факторов среды обитания
[20]
СП 2.1.3678-20 Санитарно-эпидемиологические требования к эксплуатации помещений, зданий, сооружений, оборудования и транспорта, а также условиям деятельности хозяйствующих субъектов, осуществляющих продажу товаров, выполнение работ или оказание услуг".