Главная // Актуальные документы // ПравилаСПРАВКА
Источник публикации
В данном виде документ опубликован не был.
Первоначальный текст документа опубликован в издании
М.: Стандартинформ, 2017.
Информацию о публикации документов, создающих данную редакцию, см. в справке к этим документам.
Примечание к документу
Документ включен в
Перечень документов в области стандартизации, в результате применения которых на добровольной основе обеспечивается соблюдение требований Федерального
закона от 30.12.2009 N 384-ФЗ "Технический регламент о безопасности зданий и сооружений" (
Приказ Росстандарта от 02.04.2020 N 687).
Название документа
"СП 100.13330.2016. Свод правил. Мелиоративные системы и сооружения. Актуализированная редакция СНиП 2.06.03-85"
(утв. Приказом Минстроя России от 16.12.2016 N 953/пр)
(ред. от 18.12.2023)
"СП 100.13330.2016. Свод правил. Мелиоративные системы и сооружения. Актуализированная редакция СНиП 2.06.03-85"
(утв. Приказом Минстроя России от 16.12.2016 N 953/пр)
(ред. от 18.12.2023)
и жилищно-коммунального хозяйства
Российской Федерации
от 16 декабря 2016 г. N 953/пр
СВОД ПРАВИЛ
МЕЛИОРАТИВНЫЕ СИСТЕМЫ И СООРУЖЕНИЯ
АКТУАЛИЗИРОВАННАЯ РЕДАКЦИЯ
The reclamation systems and construction
СП 100.13330.2016
| | Список изменяющих документов Минстроя России от 01.02.2019 N 74/пр, Минстроя России от 18.12.2023 N 936/пр) | |
Дата введения
17 июня 2017 года
Сведения о своде правил
1 ИСПОЛНИТЕЛЬ - ФГБНУ "РосНИИПМ"
2 ВНЕСЕН Техническим комитетом по стандартизации ТК 465 "Строительство"
3 ПОДГОТОВЛЕН К УТВЕРЖДЕНИЮ Департаментом градостроительной деятельности и архитектуры Министерства строительства и жилищно-коммунального хозяйства Российской Федерации (Минстрой России)
4 УТВЕРЖДЕН
Приказом Министерства строительства и жилищно-коммунального хозяйства Российской Федерации от 16 декабря 2016 г. N 953/пр и введен в действие с 17 июня 2017 г.
5 ЗАРЕГИСТРИРОВАН Федеральным агентством по техническому регулированию и метрологии (Росстандарт). Пересмотр СП 100.13330.2011 "СНиП 2.06.03-85 Мелиоративные системы и сооружения"
В случае пересмотра (замены) или отмены настоящего свода правил соответствующее уведомление будет опубликовано в установленном порядке. Соответствующая информация, уведомление и тексты размещаются также в информационной системе общего пользования - на официальном сайте разработчика (Минстрой России) в сети Интернет
Настоящий свод правил разработан с учетом требований Федерального
закона от 30 декабря 2009 г. N 384-ФЗ "Технический регламент о безопасности зданий и сооружений"
[1], Федерального
закона от 10 января 1996 г. N 4-ФЗ "О мелиорации земель"
[2], Федерального
закона от 27 декабря 2002 г. N 184-ФЗ "О техническом регулировании"
[3], положений действующих строительных норм и сводов правил.
Актуализация выполнена авторским коллективом ФГБНУ "РосНИИПМ": д-р техн. наук, проф., акад. РАН В.Н. Щедрин, докт. техн. наук, доц. С.М. Васильев, канд. техн. наук В.В. Слабунов, канд. с.-х. наук О.В. Воеводин, канд. техн. наук А.С. Штанько, канд. техн. наук А.В. Акопян, канд. техн. наук А.Л. Кожанов, канд. техн. наук С.Л. Жук.
В настоящем своде правил учтен опыт исследований в данной области специалистов: Б.Б. Шумакова, Б.С. Маслова, М.С. Григорова, И.П. Кружилина, В.Д. Гостищева, И.П. Айдарова, В.И. Ольгаренко, Ю.П. Полякова, П.Г. Фиалковского, Е.И. Кормыша, Г.И. Неугодова, Р.М. Фильрозе, П.А. Полад-Заде, А.Я. Олейника, А.И. Голованова, Н.Г. Пивовара, Л.В. Кирейчевой, В.Г. Насонова и др.
(в ред.
Изменения N 1, утв. Приказом Минстроя России от 01.02.2019 N 74/пр)
Изменение N 1 к СП 100.13330.2016 "СНиП 2.06.03-85 Мелиоративные системы и сооружения" выполнено специалистами ФГБНУ "РосНИИПМ": д-р техн. наук, доц. С.М. Васильев, д-р техн. наук, проф., акад. РАН В.Н. Щедрин, канд. техн. наук В.В. Слабунов, канд. техн. наук А.Л. Кожанов, канд. с.-х. наук О.В. Воеводин, канд. техн. наук А.С. Штанько, канд. техн. наук С.Л. Жук.
(абзац введен
Изменением N 1, утв. Приказом Минстроя России от 01.02.2019 N 74/пр)
Изменение N 2 к СП 100.13330.2016 "СНиП 2.06.03-85 Мелиоративные системы и сооружения" выполнено авторским коллективом федерального государственного бюджетного учреждения "Научно-исследовательский институт строительной физики Российской академии архитектуры и строительных наук" (НИИСФ РААСН) (ответственные исполнители: д-р техн. наук И.Л. Шубин, канд. техн. наук Е.С. Гогина, канд. техн. наук Е.И. Зайцева, канд. техн. наук И.А. Аверкеев, И.П. Сафронова).
(абзац введен
Изменением N 2, утв. Приказом Минстроя России от 18.12.2023 N 936/пр)
1.1 Настоящий свод правил устанавливает общие требования к проектированию вновь строящихся и реконструируемых мелиоративных систем и сооружений.
1.2 При проектировании мелиоративных систем и сооружений, предназначенных для строительства в северной строительно-климатической зоне, на просадочных, набухающих, пучинистых и многолетнемерзлых грунтах, на площадях, подверженных оползням и селям, а также на подрабатываемых территориях, в сейсмических районах надлежит учитывать дополнительные требования действующих нормативных документов.
(в ред.
Изменения N 2, утв. Приказом Минстроя России от 18.12.2023 N 936/пр)
(раздел 2 в ред.
Изменения N 1, утв. Приказом Минстроя России от 01.02.2019 N 74/пр)
В настоящем своде правил приведены нормативные ссылки на следующие документы:
ГОСТ 9.602-2016 Единая система защиты от коррозии и старения. Сооружения подземные. Общие требования к защите от коррозии
ГОСТ 17.1.2.03-90 Охрана природы. Гидросфера. Критерии и показатели качества воды для орошения
ГОСТ 34.201-2020 Информационные технологии. Комплекс стандартов на автоматизированные системы. Виды, комплектность и обозначение документов при создании автоматизированных систем
(в ред.
Изменения N 2, утв. Приказом Минстроя России от 18.12.2023 N 936/пр)
ГОСТ 8020-2016 Конструкции бетонные и железобетонные для колодцев канализационных, водопроводных и газопроводных сетей. Технические условия
ГОСТ 8267-93 Щебень и гравий из плотных горных пород для строительных работ. Технические условия
ГОСТ 8411-74 Трубы керамические дренажные. Технические условия
(в ред.
Изменения N 2, утв. Приказом Минстроя России от 18.12.2023 N 936/пр)
Ссылка исключена с 19.01.2024. -
Изменение N 2, утв. Приказом Минстроя России от 18.12.2023 N 936/пр.
ГОСТ 21509-76 Лотки железобетонные оросительных систем. Технические условия
ГОСТ 22930-87 Плиты железобетонные предварительно напряженные для облицовки оросительных каналов мелиоративных систем. Технические условия
ГОСТ 23732-2011 Вода для бетонов и строительных растворов. Технические условия
ГОСТ 23899-79 Колонны железобетонные под параболические лотки. Технические условия
ГОСТ 23972-80 Фундаменты железобетонные для параболических лотков. Технические условия
ГОСТ 32413-2013 Трубы и фасонные части из непластифицированного поливинилхлорида для систем наружной канализации. Технические условия
(ссылка введена
Изменением N 2, утв. Приказом Минстроя России от 18.12.2023 N 936/пр)
ГОСТ 32415-2013 Трубы напорные из термопластов и соединительные детали к ним для систем водоснабжения и отопления. Общие технические условия
(ссылка введена
Изменением N 2, утв. Приказом Минстроя России от 18.12.2023 N 936/пр)
ГОСТ Р 21.101-2020 Система проектной документации для строительства. Основные требования к проектной и рабочей документации
(в ред.
Изменения N 2, утв. Приказом Минстроя России от 18.12.2023 N 936/пр)
ГОСТ Р 22.1.12-2005 Безопасность в чрезвычайных ситуациях. Структурированная система мониторинга и управления инженерными системами зданий и сооружений. Общие требования
ГОСТ Р 51613-2000 Трубы напорные из непластифицированного поливинилхлорида. Технические условия
(ссылка введена
Изменением N 2, утв. Приказом Минстроя России от 18.12.2023 N 936/пр)
ГОСТ Р 51657.2-2000 Водоучет на гидромелиоративных и водохозяйственных системах. Методы измерения расхода и объема воды. Классификация
ГОСТ Р 51657.3-2000 Водоучет на гидромелиоративных и водохозяйственных системах. Гидрометрические сооружения и устройства. Классификация
ГОСТ Р 51657.4-2002 Водоучет на гидромелиоративных и водохозяйственных системах. Измерение расходов воды с использованием водосливов с треугольными порогами. Общие технические требования
ГОСТ Р 54475-2011 Трубы полимерные со структурированной стенкой и фасонные части к ним для систем наружной канализации. Технические условия
ГОСТ Р 56927-2016 Трубы из ориентированного непластифицированного поливинилхлорида для водоснабжения. Технические условия
(ссылка введена
Изменением N 2, утв. Приказом Минстроя России от 18.12.2023 N 936/пр)
ГОСТ Р 57997-2017 Арматурные и закладные изделия сварные, соединения сварные арматуры и закладных изделий железобетонных конструкций. Общие технические условия
(ссылка введена
Изменением N 2, утв. Приказом Минстроя России от 18.12.2023 N 936/пр)
(ссылка введена
Изменением N 2, утв. Приказом Минстроя России от 18.12.2023 N 936/пр)
ГОСТ Р 58331.1-2018 Системы и сооружения мелиоративные. Каналы оросительные. Поперечные сечения
(ссылка введена
Изменением N 2, утв. Приказом Минстроя России от 18.12.2023 N 936/пр)
ГОСТ Р 58331.2-2019 Системы и сооружения мелиоративные. Машины самоходные дождевальные. Общие требования
(ссылка введена
Изменением N 2, утв. Приказом Минстроя России от 18.12.2023 N 936/пр)
ГОСТ Р 58331.3-2019 Системы и сооружения мелиоративные. Водопотребность для орошения сельскохозяйственных культур. Общие требования
(ссылка введена
Изменением N 2, утв. Приказом Минстроя России от 18.12.2023 N 936/пр)
ГОСТ Р 58376-2022 Мелиоративные системы и гидротехнические сооружения. Эксплуатация. Общие требования
(ссылка введена
Изменением N 2, утв. Приказом Минстроя России от 18.12.2023 N 936/пр)
ГОСТ Р 58801-2020 Системы и сооружения мелиоративные. Каналы осушительные. Поперечные сечения
(ссылка введена
Изменением N 2, утв. Приказом Минстроя России от 18.12.2023 N 936/пр)
(ссылка введена
Изменением N 2, утв. Приказом Минстроя России от 18.12.2023 N 936/пр)
(ссылка введена
Изменением N 2, утв. Приказом Минстроя России от 18.12.2023 N 936/пр)
(ссылка введена
Изменением N 2, утв. Приказом Минстроя России от 18.12.2023 N 936/пр)
ГОСТ Р 70566-2022 Системы и сооружения мелиоративные. Правила обследования и мониторинга технического состояния
(ссылка введена
Изменением N 2, утв. Приказом Минстроя России от 18.12.2023 N 936/пр)
ГОСТ Р 70567-2022 Системы и сооружения мелиоративные. Насосные станции на польдерных системах. Нормы проектирования
(ссылка введена
Изменением N 2, утв. Приказом Минстроя России от 18.12.2023 N 936/пр)
ГОСТ Р 70568-2022 Системы и сооружения мелиоративные. Инженерные почвенно-мелиоративные и ботанико-культуртехнические изыскания. Общие положения
(ссылка введена
Изменением N 2, утв. Приказом Минстроя России от 18.12.2023 N 936/пр)
ГОСТ Р 70611-2022 Мелиорация земель. Методика оценки дистанционными методами технического и экологического состояния
(ссылка введена
Изменением N 2, утв. Приказом Минстроя России от 18.12.2023 N 936/пр)
ГОСТ Р 70613-2022 Мелиорация земель. Методика определения бонитета почв мелиорированных земель. Общие требования
(ссылка введена
Изменением N 2, утв. Приказом Минстроя России от 18.12.2023 N 936/пр)
ГОСТ ИСО 9261-2004 Оборудование сельскохозяйственное оросительное. Трубопроводы для полива. Технические требования и методы испытаний
СП 22.13330.2016 "СНиП 2.02.01-83* Основания зданий и сооружений" (с изменениями N 1, N 2, N 3, N 4)
(в ред.
Изменения N 2, утв. Приказом Минстроя России от 18.12.2023 N 936/пр)
СП 23.13330.2018 "СНиП 2.02.02-85* Основания гидротехнических сооружений" (с изменением N 1)
(в ред.
Изменения N 2, утв. Приказом Минстроя России от 18.12.2023 N 936/пр)
СП 28.13330.2017 "СНиП 2.03.11-85 Защита строительных конструкций от коррозии" (с изменениями N 1, N 2, N 3)
(в ред.
Изменения N 2, утв. Приказом Минстроя России от 18.12.2023 N 936/пр)
(в ред.
Изменения N 2, утв. Приказом Минстроя России от 18.12.2023 N 936/пр)
(в ред.
Изменения N 2, утв. Приказом Минстроя России от 18.12.2023 N 936/пр)
(в ред.
Изменения N 2, утв. Приказом Минстроя России от 18.12.2023 N 936/пр)
СП 38.13330.2018 "СНиП 2.06.04-82* Нагрузки и воздействия на гидротехнические сооружения (волновые, ледовые и от судов)" (с изменением N 1)
(в ред.
Изменения N 2, утв. Приказом Минстроя России от 18.12.2023 N 936/пр)
СП 39.13330.2012 "СНиП 2.06.05-84* Плотины из грунтовых материалов" (с изменениями N 1, N 2, N 3)
(в ред.
Изменения N 2, утв. Приказом Минстроя России от 18.12.2023 N 936/пр)
СП 40.13330.2012 "СНиП 2.06.06-85 Плотины бетонные и железобетонные" (с изменениями N 1, N 2)
(в ред.
Изменения N 2, утв. Приказом Минстроя России от 18.12.2023 N 936/пр)
СП 41.13330.2012 "СНиП 2.06.08-87 Бетонные и железобетонные конструкции гидротехнических сооружений" (с изменением N 1)
(в ред.
Изменения N 2, утв. Приказом Минстроя России от 18.12.2023 N 936/пр)
СП 47.13330.2016 "СНиП 11-02-96 Инженерные изыскания для строительства. Основные положения" (с изменением N 1)
(в ред.
Изменения N 2, утв. Приказом Минстроя России от 18.12.2023 N 936/пр)
(в ред.
Изменения N 2, утв. Приказом Минстроя России от 18.12.2023 N 936/пр)
СП 58.13330.2019 "СНиП 33-01-2003 Гидротехнические сооружения. Основные положения" (с изменениями N 1, N 2)
(в ред.
Изменения N 2, утв. Приказом Минстроя России от 18.12.2023 N 936/пр)
(ссылка введена
Изменением N 2, утв. Приказом Минстроя России от 18.12.2023 N 936/пр)
СП 99.13330.2016 "СНиП 2.05.11-83 Внутрихозяйственные автомобильные дороги в колхозах, совхозах и других сельскохозяйственных предприятиях и организациях"
СП 101.13330.2023 "СНиП 2.06.07-87 Подпорные стены, судоходные шлюзы, рыбопропускные и рыбозащитные сооружения"
(в ред.
Изменения N 2, утв. Приказом Минстроя России от 18.12.2023 N 936/пр)
СП 104.13330.2016 "СНиП 2.06.15-85 Инженерная защита территории от затопления и подтопления" (с изменением N 1)
(в ред.
Изменения N 2, утв. Приказом Минстроя России от 18.12.2023 N 936/пр)
(ссылка введена
Изменением N 2, утв. Приказом Минстроя России от 18.12.2023 N 936/пр)
(в ред.
Изменения N 2, утв. Приказом Минстроя России от 18.12.2023 N 936/пр)
Ссылка исключена с 19.01.2024. -
Изменение N 2, утв. Приказом Минстроя России от 18.12.2023 N 936/пр.
Ссылка исключена с 19.01.2024. -
Изменение N 2, утв. Приказом Минстроя России от 18.12.2023 N 936/пр.
СП 317.1325800.2017 Инженерно-геодезические изыскания для строительства. Общие правила производства работ (с изменением N 1)
(ссылка введена
Изменением N 2, утв. Приказом Минстроя России от 18.12.2023 N 936/пр)
СП 399.1325800.2018 Системы водоснабжения и канализации наружные из полимерных материалов. Правила проектирования и монтажа (с изменением N 1)
(ссылка введена
Изменением N 2, утв. Приказом Минстроя России от 18.12.2023 N 936/пр)
(ссылка введена
Изменением N 2, утв. Приказом Минстроя России от 18.12.2023 N 936/пр)
СП 446.1325800.2019 Инженерно-геологические изыскания для строительства. Общие правила производства работ (с изменением N 1)
(ссылка введена
Изменением N 2, утв. Приказом Минстроя России от 18.12.2023 N 936/пр)
СП 481.1325800.2020 Информационное моделирование в строительстве. Правила применения в экономически эффективной проектной документации повторного использования и при ее привязке
(ссылка введена
Изменением N 2, утв. Приказом Минстроя России от 18.12.2023 N 936/пр)
СП 482.1325800.2020 Инженерно-гидрометеорологические изыскания для строительства. Общие правила производства работ
(ссылка введена
Изменением N 2, утв. Приказом Минстроя России от 18.12.2023 N 936/пр)
СП 502.1325800.2021 Инженерно-экологические изыскания для строительства. Общие правила производства работ
(ссылка введена
Изменением N 2, утв. Приказом Минстроя России от 18.12.2023 N 936/пр)
СП 503.1325800.2021 Трубопроводы из непластифицированного поливинилхлорида самотечных систем водоотведения. Правила проектирования, строительства и эксплуатации
(ссылка введена
Изменением N 2, утв. Приказом Минстроя России от 18.12.2023 N 936/пр)
СанПиН 2.1.3684-21 Санитарно-эпидемиологические требования к содержанию территорий городских и сельских поселений, к водным объектам, питьевой воде и питьевому водоснабжению, атмосферному воздуху, почвам, жилым помещениям, эксплуатации производственных, общественных помещений, организации и проведению санитарно-противоэпидемических (профилактических) мероприятий
(ссылка введена
Изменением N 2, утв. Приказом Минстроя России от 18.12.2023 N 936/пр)
СанПиН 1.2.3685-21 Гигиенические нормативы и требования к обеспечению безопасности и (или) безвредности для человека факторов среды обитания.
(ссылка введена
Изменением N 2, утв. Приказом Минстроя России от 18.12.2023 N 936/пр)
Примечание - При пользовании настоящим сводом правил целесообразно проверить действие ссылочных документов в информационной системе общего пользования - на официальном сайте федерального органа исполнительной власти в сфере стандартизации в сети Интернет или по ежегодному информационному указателю "Национальные стандарты", который опубликован по состоянию на 1 января текущего года, и по выпускам ежемесячного информационного указателя "Национальные стандарты" за текущий год. Если заменен ссылочный документ, на который дана недатированная ссылка, то рекомендуется использовать действующую версию этого документа с учетом всех внесенных в данную версию изменений. Если заменен ссылочный документ, на который дана датированная ссылка, то рекомендуется использовать версию этого документа с указанным выше годом утверждения (принятия). Если после утверждения настоящего свода правил в ссылочный документ, на который дана датированная ссылка, внесено изменение, затрагивающее положение, на которое дана ссылка, то это положение рекомендуется применять без учета данного изменения. Если ссылочный документ отменен без замены, то положение, в котором дана ссылка на него, рекомендуется применять в части, не затрагивающей эту ссылку. Сведения о действии сводов правил целесообразно проверить в Федеральном информационном фонде стандартов.
В настоящем своде правил применены термины по
ГОСТ Р 70523, а также следующие термины с соответствующими определениями:
(в ред.
Изменения N 2, утв. Приказом Минстроя России от 18.12.2023 N 936/пр)
3.1 аппарат дождевальный: Устройство с подвижными частями для получения и распределения искусственного дождя по площади полива.
3.2 борозда мелиоративная: Временный канал мелиоративной сети, прокладываемый на поле и проходимый для сельскохозяйственных машин.
3.3 исключен с 19.01.2024. -
Изменение N 2, утв. Приказом Минстроя России от 18.12.2023 N 936/пр.
3.4 исключен с 19.01.2024. -
Изменение N 2, утв. Приказом Минстроя России от 18.12.2023 N 936/пр.
3.5 дождевание импульсное: Дождевание в импульсном режиме.
3.6 - 3.13 исключены с 19.01.2024. -
Изменение N 2, утв. Приказом Минстроя России от 18.12.2023 N 936/пр.
3.14
дренажные воды: Воды, отвод которых осуществляется дренажными сооружениями для сброса в водные объекты
[4].
3.15 дренажный сток при осушении земель: Сток дренажных вод по осушительной сети.
3.16 земли орошаемые: Земли сельскохозяйственного назначения, на которых имеется временная или постоянная оросительная сеть, связанная с источником орошения, водные ресурсы которого обеспечивают полив этих земель.
3.17 земли осушенные: Земли, имеющие осушительную сеть, обеспечивающую оптимальный водно-воздушный режим для произрастания на них сельскохозяйственных культур, насаждений.
3.18 исключен с 19.01.2024. -
Изменение N 2, утв. Приказом Минстроя России от 18.12.2023 N 936/пр.
3.19 коэффициент полезного действия оросительной системы: Отношение объема воды, поданной на орошение, к объему воды, изъятой из водоисточника в оросительную сеть.
3.20 машина дождевальная: Машина с рабочими органами для дождевания, оборудованная техническими средствами для перемещения.
3.21 мелиоративная система: Комплекс взаимосвязанных гидротехнических и других сооружений и устройств, включая земельные участки в границах полосы отвода мелиоративной системы или гидротехнического сооружения, обеспечивающих создание благоприятного водного, воздушного и теплового режимов почв и микроклимата на мелиорированных землях.
3.22
мелиорированные земли: Земли, на которых проведены мелиоративные мероприятия
[2].
3.23 норма оросительная: Объем воды, подаваемый на единицу площади нетто поливного участка в течение вегетационного сезона.
3.24 норма осушения: Расстояние от поверхности земли до поверхности почвенных или грунтовых вод, обеспечивающее благоприятные условия для выращивания сельскохозяйственных культур.
3.25 исключен с 19.01.2024. -
Изменение N 2, утв. Приказом Минстроя России от 18.12.2023 N 936/пр.
3.26 орошение земель: Комплекс мелиоративных мероприятий по проведению поливов, направленных на создание благоприятного водного, воздушного и теплового режимов почв и микроклимата на мелиорированных землях.
3.27 исключен с 19.01.2024. -
Изменение N 2, утв. Приказом Минстроя России от 18.12.2023 N 936/пр.
3.28 орошение поверхностное: Орошение земель с распределением воды по их поверхности.
3.29 осушение земель: Мелиорация путем отвода воды из почвогрунта и (или) с его поверхности.
3.30 период оросительный: Часть вегетационного периода сельскохозяйственных культур от начала первого полива до окончания последнего.
3.31 полив: Разовое искусственное увлажнение орошаемых земель и (или) приземного слоя воздуха.
3.32 полив промывной: Полив, обеспечивающий перемещение вредоносного вещества в подпочвенные горизонты.
3.33 поливная полоса: Обвалованная полоса земли, имеющая продольный уклон и горизонтальная в поперечном сечении, затапливаемая водным потоком с одновременным просачиванием в почву.
3.34 режим орошения: Совокупность норм и сроков поливов.
3.35 - 3.41 исключены с 19.01.2024. -
Изменение N 2, утв. Приказом Минстроя России от 18.12.2023 N 936/пр.
3.42
сточные воды: Дождевые, талые, инфильтрационные, поливомоечные, дренажные воды, сточные воды централизованной системы водоотведения и другие воды, отведение (сброс) которых в водные объекты осуществляется после их использования или сток которых осуществляется с водосборной площади
[4].
3.43 исключен с 19.01.2024. -
Изменение N 2, утв. Приказом Минстроя России от 18.12.2023 N 936/пр.
3.44 техника поливная: Совокупность машин, механизмов и орудия для осуществления полива.
3.45 чек поливной: Обвалованная часть поливного участка, затапливаемая водой с последующим просачиванием ее в почву и сбросом излишней воды за пределы чека.
3.46
кротование земель: Мелиоративное мероприятие, заключающееся в устройстве в почве круглых полостей в целях увеличения ее водопроницаемости и влагоемкости, регулирования водно-воздушного, теплового и пищевого режимов, активизации микробиологических процессов, уменьшения водной эрозии. |
(п. 3.46 введен
Изменением N 2, утв. Приказом Минстроя России от 18.12.2023 N 936/пр)
3.47 синхронная импульсная дождевальная оросительная система: Тип оросительной системы, обеспечивающий единовременное распределение воды искусственным дождем посредством работы системы дождевателей в импульсном режиме на всей площади орошаемого участка.
(п. 3.47 введен
Изменением N 2, утв. Приказом Минстроя России от 18.12.2023 N 936/пр)
4 Обозначения и сокращения
A - мелиорируемая площадь;
Ac - площадь, поливаемая дождевальной машиной за сезон (сезонная нагрузка);
Ant - мелиорируемая площадь нетто;
Abr - мелиорируемая площадь брутто;
B - ширина канала (для оросительных - по урезу воды, для осушительных - по верху канала);
E - испарение;
Ea - коэффициент полезного использования воды на оросительной системе;
Et - коэффициент полезного действия сети;
Eb - коэффициент полезного действия канала;
ETcrop - эвапотранспирация;
Jn - оросительная норма;
Jnnt - оросительная норма нетто;
Jmnt - средневзвешенная оросительная норма нетто;
Jnd - осушительная норма;
Pe - эффективные осадки;
Qnt - расход воды нетто;
Qntmax - расход воды нетто максимальный;
Qntmin - расход воды нетто минимальный;
Kf - коэффициент форсирования расхода;
Qbr - расход воды брутто;
Qbrmax - расход воды брутто максимальный;
(в ред.
Изменения N 2, утв. Приказом Минстроя России от 18.12.2023 N 936/пр)
Qbrmin - расход воды брутто минимальный;
(в ред.
Изменения N 2, утв. Приказом Минстроя России от 18.12.2023 N 936/пр)
Qef - фильтрационные потери;
Qsd - расход воды дождевальной машины;
Qht - расход трубчатого увлажнителя;
Qcol - расчетный расход;
Qh - расход увлажнительного трубопровода;
R - гидравлический радиус;
S - площадь живого сечения;
Vus - объем полезно используемой воды;
Vw - объем забираемой воды;
Vl - потери воды из сети на фильтрацию;
Vlt - технические потери воды на поле;
Vls - технологические сбросы воды из оросительной сети;
Vr - объем воды, подлежащий отводу;
VlR - слой воды на промывку;
T - водопроводимость пласта;
b - ширина канала по дну;
Bcr - ширина канала по урезу воды при критической глубине воды;
ad - расстояние между дренами;
dd - глубина до оси дрены;
dwb - дефицит влаги в водном балансе;
dwbm - средневзвешенный дефицит влаги в водном балансе;
dmw - среднесуточный дефицит водопотребления;
dc - глубина наполнения канала;
H - глубина канала;
Hl - глубина лотка;
dl - глубина наполнения лотка;
dcr - критическая глубина;
hinf - слой воды у нижней дамбы;
hm - средний слой затопления;
hsup - слой воды у верхней дамбы;

- превышение бровки бермы (дамбы) над уровнем воды;
hf - гидравлические потери;
Lnot - средний уклон местности;
icr - критический уклон;
L - расстояние между дамбами лиманов;
m - коэффициент заложения откоса;
ns - число импульсных дождевателей;
nst - число импульсных дождевателей на системе;
nh - число одновременно работающих увлажнителей;
hd - расстояние от оси дрены до водоупора;
lh - длина увлажнителя;
q - удельный расход воды (гидромодуль);
qi - величина впитывания воды почвой;
qp - подпитывание расчетного слоя почвы подземными водами;

- относительная влажность воздуха;
r - радиус закругления канала;
va - расчетная скорость ветра;
vm - средняя скорость ветра;

- смоченный периметр;
t - толщина покрытия;
(в ред.
Изменения N 1, утв. Приказом Минстроя России от 01.02.2019 N 74/пр)
n - коэффициент шероховатости;
C - коэффициент Шези;
Kul - коэффициент земельного использования;
Kday - коэффициент использования рабочего времени суток;

- коэффициент, учитывающий потери рабочего времени по метеорологическим условиям;
КПД - коэффициент полезного действия;
КЗИ - коэффициент земельного использования;
НВ - наименьшая влагоемкость.
5.1 Оросительная система должна включать комплекс взаимосвязанных сооружений, зданий и устройств, обеспечивающий в условиях недостаточного естественного увлажнения поддержание в корнеобитаемом слое почвы орошаемого массива оптимального водно-солевого режима для получения высоких и устойчивых урожаев сельскохозяйственных культур.
Состав и классификацию оросительных систем принимают в соответствии с
ГОСТ Р 58330.1.
(в ред.
Изменения N 2, утв. Приказом Минстроя России от 18.12.2023 N 936/пр)
5.2 Осушительная система должна включать комплекс взаимосвязанных сооружений, зданий и устройств, обеспечивающий оптимальный водно-воздушный режим переувлажненных земель и надлежащие условия производства сельскохозяйственных работ для получения высоких и устойчивых урожаев сельскохозяйственных культур.
Состав и классификацию осушительных систем принимают в соответствии с
ГОСТ Р 58330.1.
(в ред.
Изменения N 2, утв. Приказом Минстроя России от 18.12.2023 N 936/пр)
В условиях периодических дефицитов влаги в корнеобитаемом слое в составе осушительных систем должны предусматриваться сооружения и устройства, обеспечивающие искусственное увлажнение почв в засушливые периоды. Искусственное увлажнение почв должно быть обосновано водно-балансовыми и технико-экономическими расчетами.
(в ред.
Изменения N 2, утв. Приказом Минстроя России от 18.12.2023 N 936/пр)
5.3 Мелиоративные системы необходимо проектировать в комплексе с мероприятиями по сельскохозяйственному освоению мелиорируемых земель.
Классификацию мелиоративных мероприятий и работ в области мелиорации земель сельскохозяйственного назначения принимают по
ГОСТ Р 58330.2.
(абзац введен
Изменением N 2, утв. Приказом Минстроя России от 18.12.2023 N 936/пр)
Проведение культуртехнических работ на землях сельскохозяйственного назначения должно соответствовать требованиям
ГОСТ Р 70525.
(абзац введен
Изменением N 2, утв. Приказом Минстроя России от 18.12.2023 N 936/пр)
Обследование и мониторинг технического состояния гидротехнических сооружений мелиоративных систем проводят согласно
ГОСТ Р 70566.
(абзац введен
Изменением N 2, утв. Приказом Минстроя России от 18.12.2023 N 936/пр)
Определение эколого-экономического эффекта и обоснование необходимости развития мелиорации в конкретных природно-климатических зонах проводят по ГОСТ Р 70613.
(абзац введен
Изменением N 2, утв. Приказом Минстроя России от 18.12.2023 N 936/пр)
5.4 На основании технико-экономических сравнений вариантов должны быть обоснованы:
- границы и размеры мелиорируемой площади и полей севооборота;
- земельный фонд хозяйств, изменения в составе сельскохозяйственных угодий в результате осуществления мелиоративных мероприятий, площади трансформированных в пашни современных пастбищ или других угодий;
- размеры хозяйств, осваивающих мелиорируемые земли;
- изменение и упорядочение границ существующих хозяйств, в том числе смежных с территорией системы;
- сельскохозяйственное использование мелиорируемых земель;
- требуемый водно-солевой режим почв;
- проектная урожайность сельскохозяйственных культур;
- способы орошения и осушения;
- создание новых или расширение существующих эксплуатационных водохозяйственных организаций;
- строительство производственных, жилых и культурно-бытовых зданий, сооружений, инженерных коммуникаций, необходимых для службы эксплуатации мелиоративных систем.
С целью повышения стойкости мелиоративных систем к воздействию разных видов коррозии, а также увеличения сроков эксплуатации допускается применять полимерные трубы и соединительные детали, изготовленные по
ГОСТ 32415,
ГОСТ Р 51613,
ГОСТ Р 56927, с учетом требований документов по стандартизации, утвержденных в установленном порядке, а также
СП 399.1325800 и
СП 503.1325800.
(абзац введен
Изменением N 2, утв. Приказом Минстроя России от 18.12.2023 N 936/пр)
Допускается применять полиэтиленовые трубы, изготовленные по техническим условиям, если механические и физические характеристики таких труб соответствуют требованиям документов по стандартизации, утвержденных в установленном порядке.
(абзац введен
Изменением N 2, утв. Приказом Минстроя России от 18.12.2023 N 936/пр)
5.5 Технические решения по схемам подачи и сброса воды, конструкциям основных сооружений следует принимать на основе сравнения технико-экономических показателей вариантов. При этом должны быть обеспечены:
- получение проектной продукции растениеводства;
- экономное использование водных, земельных и топливно-энергетических ресурсов;
- использование высокопроизводительной сельскохозяйственной техники при обработке мелиорируемых земель;
- высокая производительность труда при эксплуатации сооружений и мелиоративной системы в целом;
- комплексная автоматизация технологических процессов, при этом степень автоматизации должна быть обоснована технико-экономическими расчетами;
- соблюдение требований охраны окружающей природной среды, санитарно-гигиенических требований;
- возможность внесения удобрений, химмелиорантов и гербицидов с оросительной водой.
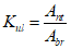
5.6 При проектировании мелиоративных систем степень использования мелиорируемых земель должна определяться коэффициентом земельного использования Kul по формуле

, (1)
где Ant и Abr - мелиорируемая площадь, соответственно нетто и брутто, га.
К орошаемой площади нетто относится орошаемая площадь, занятая продуктивными посадками, посевами или естественными лугами и пастбищами и обеспечивающая получение проектной продукции растениеводства.
К осушаемой площади нетто относятся осушаемая площадь, занятая продуктивными посадками, посевами или естественными лугами и пастбищами, а также расположенные внутри осушаемых земель и примыкающие суходольные участки площадью до 10 га (имеющие вытянутую или сложную криволинейную форму), обработка и полноценное использование которых возможно только после осушения окружающих земель.
Орошаемая или осушаемая площадь брутто включает орошаемые или осушаемые площади нетто и площади всех видов отчуждений под сооружения мелиоративных систем.
Технико-экономические показатели мелиоративной системы следует определять на 1 га мелиорированной (орошаемой или осушаемой) площади нетто и на единицу проектной продукции растениеводства.
5.7 Абзац исключен с 19.01.2024. -
Изменение N 2, утв. Приказом Минстроя России от 18.12.2023 N 936/пр.
Таблица 1 - Исключена с 19.01.2024. -
Изменение N 2, утв. Приказом Минстроя России от 18.12.2023 N 936/пр.
(в ред.
Изменения N 2, утв. Приказом Минстроя России от 18.12.2023 N 936/пр)
5.8 Класс нагорных каналов следует принимать равным классу защищаемого сооружения. Расчетную обеспеченность расходов воды необходимо принимать в зависимости от класса нагорных каналов. Для нагорных каналов IV класса расчетную обеспеченность расходов воды следует принимать для систем:
- оросительных - 10%;
- осушительных - 5 - 10% в зависимости от требований
7.4.5.1.
5.9 Величину расчетных расходов и уровней воды в водоисточниках, водоприемниках, осушительных каналах необходимо определять согласно требованиям, приведенным в
[10], с учетом особенностей формирования стока на водосборной площади.
5.11 Расположение в плане проектируемых линейных сооружений (каналов, дорог, линий электропередач) необходимо принимать с учетом рельефа, инженерно-геологических и гидрогеологических условий, требований рациональной организации сельскохозяйственного производства, существующих дорог, подземных и наземных инженерных коммуникаций.
(в ред.
Изменения N 2, утв. Приказом Минстроя России от 18.12.2023 N 936/пр)
Границы землепользования и севооборотных участков надлежит предусматривать по возможности прямолинейными с учетом существующих и проектируемых каналов, трубопроводов, линий электропередач, дорог; поля севооборотов должны иметь прямоугольную форму. Отступление от этих требований допускается в условиях сложного рельефа местности и примыкания к естественным границам (реки, озера, овраги). При необходимости допускается изменять границы землепользования, при этом должен быть разработан проект нового межхозяйственного землеустройства.
(в ред.
Изменения N 2, утв. Приказом Минстроя России от 18.12.2023 N 936/пр)
5.12 Для контроля за мелиоративным состоянием земель необходимо предусматривать сеть наблюдательных скважин (из расчета одна скважина на 100 га) и средства измерения расходов воды. При площади мелиоративной системы более 20 тыс. га дополнительно следует организовывать лаборатории по контролю за влажностью и засолением почв, качеством оросительных и дренажных вод со средствами автоматической обработки информации, а также метеорологические станции и водно-балансовые площадки.
5.13 Производственные здания и сооружения эксплуатационных водохозяйственных организаций и жилые здания для работников службы эксплуатации необходимо располагать в населенных пунктах, находящихся в пределах или вблизи мелиоративных систем.
Производственные базы эксплуатационных организаций следует размещать на общей площадке с блокированием основных зданий с едиными вспомогательными зданиями, сооружениями и коммуникациями.
(в ред.
Изменения N 2, утв. Приказом Минстроя России от 18.12.2023 N 936/пр)
(п. 5.14 в ред.
Изменения N 2, утв. Приказом Минстроя России от 18.12.2023 N 936/пр)
5.15 Проектная документация на вновь строящиеся и (или) реконструируемые мелиоративные системы должна соответствовать требованиям
ГОСТ Р 21.101, действующего законодательства
[2].
(в ред.
Изменения N 2, утв. Приказом Минстроя России от 18.12.2023 N 936/пр)
Порядок приемки в эксплуатацию мелиоративных систем и сооружений, законченных строительством, реконструкцией и капитальным ремонтом, должен соответствовать
ГОСТ Р 70524,
[27].
(абзац введен
Изменением N 2, утв. Приказом Минстроя России от 18.12.2023 N 936/пр)
Методику оценки дистанционными методами показателей технического и экологического состояния эксплуатируемого мелиоративного объекта выполняют согласно
ГОСТ Р 70611.
(абзац введен
Изменением N 2, утв. Приказом Минстроя России от 18.12.2023 N 936/пр)
6.1 Основные требования к оросительным системам
6.1.1 Основные требования по проектированию сооружений оросительной системы различных классов, их отдельных конструкций и оснований, а также эксплуатационным дорогам следует принимать согласно положениям
раздела 5 настоящего свода правил.
6.1.2 Выбор источника орошения должен быть выполнен на основе оценки необходимых объемов и пригодности воды для орошения, в частности:
- по опасности ухудшения плодородия почв (осолонцевание, засоление, обесструктуривание, выщелачивание почв);
(в ред.
Изменения N 2, утв. Приказом Минстроя России от 18.12.2023 N 936/пр)
- по солеустойчивости сельскохозяйственных культур.
Оценку качества оросительной воды следует проводить согласно требованиям
ГОСТ 17.1.2.03.
6.1.3 Гидрологический режим источника орошения и пропускная способность сети и сооружений оросительной системы должны обеспечивать своевременную подачу воды на орошаемые земли в среднесухой год 75% обеспеченности.
6.1.4 Нормативы водопотребности для орошения сельскохозяйственных культур по субъектам Центрального, Северо-Западного, Приволжского, Уральского, Сибирского, Дальневосточного, Южного и Северо-Кавказского федеральных округов (нетто, брутто и средневзвешенные на структурный гектар) и методика определения показателей тепло-, влагообеспеченности территории и количественных параметров режимов орошения должны соответствовать ГОСТ Р 58331.3.
(п. 6.1.4 в ред.
Изменения N 2, утв. Приказом Минстроя России от 18.12.2023 N 936/пр)
6.1.5 Величины эвапотранспирации и подпитывания почвы подземными водами следует принимать по фактическим данным 20 - 30-летних наблюдений. При отсутствии таких данных допускается использовать эмпирические формулы, действующие для конкретных климатических зон.
6.1.6 При наличии засоленных почв промывные нормы во вневегетационный период, а также увеличение оросительных норм для создания промывного режима при поливе сельскохозяйственных культур следует определять на основании прогноза водно-солевого режима почв.
6.1.7 Величину технических потерь на поле
Vlt необходимо принимать:
а) при поверхностном поливе - на основании расчета или при отсутствии фактических региональных данных, согласно данным, приведенным в
приложении А;
б) при поливе с помощью дождевальной оросительной системы:
(в ред.
Изменения N 2, утв. Приказом Минстроя России от 18.12.2023 N 936/пр)
- на инфильтрацию и поверхностный сброс - не более 10% дефицита водопотребления сельскохозяйственных культур;
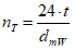
- на испарение в зоне дождевого облака E - в % водоподачи, определяемой за расчетный период по формуле

, (5)
где t - максимальная температура воздуха при дождевании, °C;

- относительная влажность воздуха при дождевании, %;
va - расчетная скорость ветра, приведенная к высоте флюгера и определяемая по формуле
va = 0,7·vm, (6)
где vm - средняя скорость ветра за расчетный период (декаду, месяц) на высоте флюгера, м/с.
Климатические параметры следует принимать среднесуточными за расчетный период по данным метеорологических наблюдений, проводимых гидрометеорологическими службами.
6.1.8 Общий объем воды, забираемой из источника орошения, Vw определяется по формуле
Vw = Jmnt·Ant + Vl + Vls, (7)
где Jmnt - средневзвешенная оросительная норма нетто сельскохозяйственных культур, м3/га, определяемая по формуле

, (8)
где ai - доля культуры в севообороте;
Ant - орошаемая площадь нетто, га;
Vl - потери воды из оросительной сети на фильтрацию, м3;
Vls - технологические сбросы воды из оросительной сети, м3.
Схемы и степень автоматизации водораспределения должны обеспечивать сокращение технологических сбросов до величин, которые не должны превышать 5% водопотребления нетто оросительной системы.
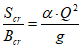
6.1.9 Коэффициент полезного использования воды на оросительной системе
Ea необходимо определять как отношение объема полезно используемой воды на покрытие дефицита влаги в водном балансе сельскохозяйственных культур
Vus к разности объемов забираемой воды из водоисточника
Vw и вторично используемой воды на системе
Vru, с учетом требований
6.1.7 и
6.1.10:

, (9)
Vus = dwb·Ant. (10)
6.1.10 Расход воды брутто
Qbr, забираемой на орошение, следует определять путем суммирования расхода воды нетто и потерь воды в оросительной сети на фильтрацию.
Расход воды нетто Qnt необходимо рассчитывать как произведение ординаты укомплектованного графика гидромодуля на орошаемую площадь нетто при поверхностном поливе или как сумму расходов одновременно работающих дождевальных устройств при поливе с применением дождевальной оросительной системы.
(в ред.
Изменения N 2, утв. Приказом Минстроя России от 18.12.2023 N 936/пр)
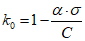
Коэффициент полезного действия оросительной сети определяют по формуле
(в ред.
Изменения N 2, утв. Приказом Минстроя России от 18.12.2023 N 936/пр)

(11)
и должен быть не менее 0,9.
6.1.11 Расчет и построение графиков гидромодуля и полива севооборотов следует проводить на основе интегральных кривых дефицитов водопотребления сельскохозяйственных культур, исходя из норм и сроков полива каждой культуры, с учетом почвенно-мелиоративных условий и параметров поливной, дождевальной техники.
Для снижения непродолжительных (не более 5 сут) пиков водопотребления допускается комплектование графиков путем сдвига поливов на более ранние сроки (2 - 3 сут) с корректировкой поливной нормы в сторону ее уменьшения.
6.1.12 Границы допускаемых пределов иссушения и глубину расчетного слоя почвы по фенологическим фазам развития сельскохозяйственных культур следует принимать по данным исследований, при их отсутствии - по данным, приведенным в
приложениях Б,
В.
6.2.1 Оросительная сеть состоит из магистрального канала (трубопровода, лотка), его ветвей, распределителей различных порядков и оросителей. Оросители являются низшим звеном сети, подающим воду к дождевальным (поливным) машинам, дождевальным аппаратам и поливным устройствам (поливным трубопроводам, лоткам, шлангам).
6.2.2 Плановое расположение оросительной сети следует принимать с учетом требований
5.11 и обеспечения своевременной подачи необходимого объема воды из условия проведения круглосуточного полива в пик водопотребления в соответствии с расчетным режимом орошения.
6.2.3 Оросительную сеть следует проектировать закрытой (в виде трубопроводов) или открытой (в виде каналов и лотков).
Выбор оптимальной конструкции оросительной сети должен проводиться на основе сравнения технико-экономических показателей вариантов сети.
При поверхностном поливе на уклонах местности более 0,003 следует предусматривать самотечно-напорную трубчатую оросительную сеть.
(в ред.
Изменения N 2, утв. Приказом Минстроя России от 18.12.2023 N 936/пр)
6.2.4 Расчет магистральных каналов, их ветвей, распределителей различных порядков следует выполнять:
- для определения гидравлических элементов каналов - на максимальный расход по максимальной ординате графика водоподачи;
- для определения превышения дамб и берм над уровнем воды в каналах и проверки их на неразмываемость - на форсированный расход, равный максимальному, увеличенному на коэффициент форсирования;
- для проверки уровней воды, обеспечивающих водозабор из каналов, определения местоположения водоподпорных сооружений и проверки каналов на незаиляемость - на минимальный расход.
(п. 6.2.4 в ред.
Изменения N 1, утв. Приказом Минстроя России от 01.02.2019 N 74/пр)
6.2.5 В случае совпадения периода максимальной мутности воды в источниках с временем работы каналов с расчетными расходами следует выполнять расчеты на незаиляемость.
6.2.6 Форсированный расход необходимо принимать равным максимальному, увеличенному на коэффициент форсирования
Kf, значения которого приведены в таблице 2.
Таблица 2
Коэффициент форсирования
Максимальный расход, м3/с | Коэффициент форсирования |
Менее 1 | 1,20 |
От 1 до 10 | 1,15 |
От 10 до 50 | 1,10 |
От 50 до 100 | 1,05 |
Св. 100 | 1,00 |
6.2.7 Оросители (каналы, трубопроводы, лотки) следует проектировать только на максимальный расход воды брутто.
6.2.8 Расход оросителей при поверхностном поливе следует определять по максимальной поливной норме в пиковый период водопотребления и орошаемой площади нетто с учетом коэффициента полезного действия оросителя.
При этом должен быть обеспечен за сутки полив площади, равный суточной производительности сельскохозяйственных машин на послеполивной обработке пропашных культур.
В случае применения поливных машин максимальный расход оросителя должен быть равен сумме максимальных расходов одновременно работающих поливных машин с учетом коэффициента полезного действия оросителя.
6.2.9 При поливе с помощью дождевальной оросительной системы максимальный расход оросителя брутто следует определять по графику полива, учитывающему максимальное число и расход одновременно работающих дождевальных машин с учетом коэффициента полезного действия оросителя.
(в ред.
Изменения N 2, утв. Приказом Минстроя России от 18.12.2023 N 936/пр)
6.2.10 Максимальный расход брутто распределителя низшего порядка должен быть равен сумме максимальных расходов одновременно работающих оросителей с учетом коэффициента полезного действия распределителя.
6.2.11 Максимальный расход брутто распределителя высшего порядка, а также магистрального канала, его ветвей должен быть равен сумме максимальных расходов подсоединенных к нему одновременно работающих распределителей низшего порядка с учетом коэффициента полезного действия распределителя (магистрального канала, его ветвей).
6.2.12 В зависимости от значений ординат графика гидромодуля получают расход воды нетто максимальный и минимальный:
Qntmax = qmax·Ant; (12)
Qntmin = qmin·Ant; (13)
где qmax и qmin - соответственно максимальная и минимальная ординаты графика гидромодуля, л/(с·га), при условии qmin > 0,4·qmax.
При поливе с помощью дождевальной оросительной системы минимальный расход распределителя должен быть равен расходу воды минимального числа дождевальной техники, одновременно получающей из него воду на основании графика полива, с учетом коэффициента полезного действия распределителя.
(в ред.
Изменения N 2, утв. Приказом Минстроя России от 18.12.2023 N 936/пр)
6.2.13 Коэффициент полезного действия магистрального канала
Eb, распределителя, оросителя или их участков следует определять как отношение максимального расходы воды нетто
Qntmax, забираемого из канала, к максимальному расходу воды брутто
Qbrmax в начале канала с учетом потерь воды на фильтрацию и испарение по его трассе:

. (14)
Коэффициенты полезного действия магистрального канала, его ветвей должны быть не менее 0,90, а распределителей различных порядков и оросителей - не менее 0,93.
6.2.14 Вдоль магистральных каналов и их ветвей, оросительной сети следует предусматривать устройство эксплуатационных дорог, по границам полей севооборотов - полевые дороги, согласно требованиям
5.10.
6.3 Системы поверхностного полива
6.3.1 Оросительные системы поверхностного полива следует проектировать в полупустынной и пустынных зонах, а также в районах, где использование дождевальной оросительной системы не обеспечивает требуемого водного режима почв.
(в ред.
Изменения N 2, утв. Приказом Минстроя России от 18.12.2023 N 936/пр)
6.3.2 Поверхностный полив необходимо предусматривать по бороздам, полосам, чекам.
6.3.3 По бороздам следует поливать пропашные культуры и многолетние насаждения при уклонах местности не более 0,05.
6.3.4 При поливе по бороздам в зависимости от природных условий следует применять продольную и поперечную схемы полива.
При продольной схеме полива направление борозд совпадает с направлением оросителя и уклона местности, при поперечной схеме борозды направлены поперек основного уклона (вдоль горизонталей местности) перпендикулярно оросителям.
Условия применения схем полива приведены в приложении Г.
6.3.5 Расстояния между оросителями при продольной схеме полива следует принимать в зависимости от длины поливных устройств, при поперечной схеме - от длины борозд.
Расстояния между водовыпусками в поливные устройства (между гидрантами) необходимо принимать равными длине борозд при продольной схеме и длине поливного устройства - при поперечной.
При применении поливных машин расстояние между оросителями и гидрантами должно определяться техническими характеристиками применяемых машин.
6.3.6 Длина борозд и расходы поливных струй должны определяться с учетом уклона поверхности земли, водно-физических свойств почв и обеспечивать подачу заданной поливной нормы при минимальных поверхностном и глубинном сбросах, равномерность увлажнения по длине борозды, высокую производительность труда на поливе. Значения элементов техники полива при переменном или постоянном расходе воды в борозду следует определять по
приложениям Д,
Е или по данным специальных исследований.
6.3.7 Расстояние между поливными бороздами зависит от свойств почвы и возделываемых культур. На легких почвах расстояние между осями борозд с учетом вида возделываемых культур принимают 0,4 - 0,6 м, на средних почвах - 0,6 - 0,8 м, на тяжелых почвах - 0,7 - 0,9 м.
6.3.8 Распределение воды по бороздам должно производиться с применением поливных трубопроводов (передвижных, стационарных), лотков, каналов, машин.
Передвижные поливные трубопроводы (жесткие и гибкие), в т.ч. армированные термопластичные (плоскосворачиваемые) поливные рукава, допускается применять на спланированных территориях с уклонами в пределах 0,003 - 0,006 при поперечной и продольной схемах полива.
(в ред.
Изменения N 2, утв. Приказом Минстроя России от 18.12.2023 N 936/пр)
Жесткие трубопроводы следует применять при поперечной схеме полива.
(в ред.
Изменения N 2, утв. Приказом Минстроя России от 18.12.2023 N 936/пр)
Полив из стационарных поливных трубопроводов надлежит применять при продольной схеме полива преимущественно для полива садов и виноградников при уклонах более 0,008.
6.3.9 Диаметр поливного трубопровода надлежит определять из условия обеспечения подачи расчетного расхода воды в борозды при соблюдении допустимой скорости течения воды в голове поливного трубопровода. Напор по всей длине трубопровода должен обеспечить истечение расчетного расхода воды из водовыпуска в борозду.
6.3.10 Поливные лотки (каналы) с непосредственным выпуском воды в борозды должны применяться на массивах с уклонами до 0,003 и с почвами средней и слабой степени водопроницаемости, на которых возможно проведение полива по бороздам длиной 300 - 400 м.
Поливные лотки (каналы) следует применять при поперечной схеме полива.
(в ред.
Изменения N 2, утв. Приказом Минстроя России от 18.12.2023 N 936/пр)
6.3.11 Полив по полосам следует применять для орошения сельскохозяйственных культур в основном сплошного сева (зерновые, травы) на спланированных участках при уклонах поверхности земли: поперечных - не более 0,002, продольных (в направлении полива) - не более 0,015, при глубоком залегании грунтовых вод.
(в ред.
Изменения N 2, утв. Приказом Минстроя России от 18.12.2023 N 936/пр)
6.3.12 Ширина полосы принимается кратной захвату сеялки. Узкие полосы шириной до 3,6 м и длиной 200 - 400 м следует применять при поперечных уклонах местности 0,001 - 0,002. Широкие полосы шириной более 3,6 м и длиной до 600 м следует применять на спланированной поверхности с продольным уклоном не более 0,003 при отсутствии поперечных уклонов. Подача воды в полосы должна производиться с применением сифонов, поливных машин и водовыпусков поливного трубопровода. Элементы техники полива по узким полосам следует определять по
приложениям Ж,
И или по материалам специальных исследований.
6.3.13 Земляные валики, ограничивающие полосы, следует устраивать риджером, полосообразователем или другими орудиями, работающими всвал. Высота земляных валиков должна составлять 10 - 20 см, а заложение откосов валиков для узких полос - 1:1, для широких - 1:4.
6.3.14 Полив затоплением поливных чеков следует применять при промывках, влагозарядке почвы, орошении риса на массивах с уклонами менее 0,001.
6.3.15 Проектирование поливных чеков следует вести согласно требованиям 6.4.
6.4 Рисовые оросительные системы
6.4.1 Рисовые оросительные системы следует размещать: в районах, имеющих сумму положительных температур в вегетационный период не менее 2500 °C, достаточные водные ресурсы, малопроницаемые почвы; на землях с общими уклонами поверхности не более 0,005.
Не допускается размещение рисовых оросительных систем на болотных почвах с мощностью пласта торфа в естественном состоянии более 0,5.
6.4.2 В состав рисовой оросительной системы кроме элементов, перечисленных в
5.1, должны входить: поливные (рисовые) карты, состоящие из отдельных чеков (горизонтальных площадок), картовые оросители, картовые сбросы, сбросы-оросители, при необходимости оградительные дрены и дамбы.
6.4.3 Поливная (рисовая) карта должна быть ограничена по периметру каналами низшего звена оросительной, сбросной и дренажной сети и являться частью поля рисового севооборота. Площадь поля севооборота, включающего смежные поливные карты, должна быть 50 - 150 га.
6.4.4 Картовые оросители, картовые сбросы, сбросы-оросители с сооружениями, являющиеся низшим звеном оросительной, сбросной и дренажной сети следует проектировать с автоматизированным регулированием глубины воды в чеках.
(в ред.
Изменения N 2, утв. Приказом Минстроя России от 18.12.2023 N 936/пр)
Оросительная норма риса должна включать:
- суммарную величину испарения с поверхности рисового поля и транспирации растений;
- объем оросительной воды, расходуемой на первоначальное насыщение почвенного слоя и создание слоя затопления;
- объем боковой и вертикальной фильтрации;
- объем воды, расходуемой на создание проточности или на периодическую смену воды в чеках;
- объем поверхностных сбросов;
- объем технических потерь на утечку воды через водовыпуски.
В районах Дальнего Востока следует учитывать осадки за вегетационный период (по году 75-процентной обеспеченности). При этом коэффициент использования осадков следует принимать равным 0,3 - 0,5.
6.4.5 Продолжительность периода первоначального затопления рисовых посевов в целом по хозяйству должна составлять не более 10 сут на Дальнем Востоке и 12 - 16 сут - во всех остальных районах рисосеяния.
6.4.6 Значение КПД картовых оросителей при двустороннем обслуживании рисовых карт принимается равным 1,0, при одностороннем обслуживании КПД следует определять расчетом, методом ЭГДА или с помощью математического моделирования.
(п. 6.4.6 в ред.
Изменения N 1, утв. Приказом Минстроя России от 01.02.2019 N 74/пр)
6.4.7 При определении максимального расхода каналов оросительной сети на рисовой оросительной системе необходимо дополнительно вводить коэффициент запаса и коэффициент водооборота, а также учитывать долю риса в общей площади севооборота.
Коэффициент запаса, учитывающий увеличение водоподачи в период первоначального затопления рисовых карт, следует принимать равным 1,1 для всех каналов, за исключением картовых оросителей.
Для картовых и участковых оросителей, а также для каналов, обслуживающих часть полей севооборота, долю содержания риса в севообороте необходимо принимать равной 1,0, для остальных оросительных каналов высшего порядка - 0,75.
Коэффициент водооборота, равный отношению времени первоначального затопления рисовых карт на всей оросительной системе ко времени первоначального затопления обслуживаемой данным каналом площади, приведен в таблице 3.
Таблица 3
Коэффициент водооборота
Каналы рисовой оросительной системы | Продолжительность затопления всех посевов риса на оросительной системе, сут |
10 | 12 | 16 |
Картовые оросители и участковые каналы, обслуживающие поле севооборота, состоящее из 2 - 3 карт | 3,0 | 4,0 | 5,0 |
Участковые каналы при 4 картах в поле севооборота | 1,0 | 1,0 | 1,3 |
Участковые каналы при 5 картах в поле севооборота | 1,0 | 1,0 | 1,0 |
Участковые каналы (при числе карт в поле севооборота более 5) и все остальные (высшие) каналы рисовой оросительной системы | 1,0 | 1,0 | 1,0 |
6.4.8 Минимальный расход оросительных каналов следует определять с учетом содержания риса в севообороте.
Максимальный расход каналов водосборно-сбросной сети всех порядков необходимо определять с учетом содержания риса в севообороте и коэффициента запаса. Содержание риса в севообороте для картовых дрен - сбросов, а также для коллекторов, обслуживающих часть полей севооборота, следует принимать равным 1,0, для коллекторов высшего порядка - 0,75. Коэффициент запаса при определении максимального расхода воды в водосборно-сбросной сети следует принимать 1,5, для районов Дальнего Востока - 1,2.
(в ред.
Изменения N 2, утв. Приказом Минстроя России от 18.12.2023 N 936/пр)
Пропускную способность каналов водосборно-сбросной сети необходимо проверять на пропуск ливневых расходов 10-процентной обеспеченности. Минимальный расход каналов водосборно-сбросной сети всех порядков следует определять с учетом содержания риса в севообороте.
6.4.9 При обосновании дренажные и сбросные воды рисовых оросительных систем, имеющие показатели качества по
ГОСТ 17.1.2.03, допускается использовать для орошения повторно.
(п. 6.4.9 в ред.
Изменения N 2, утв. Приказом Минстроя России от 18.12.2023 N 936/пр)
6.4.10 По конструкции рисовые карты в зависимости от способа подачи, отвода воды и числа чеков необходимо проектировать:
- с раздельной подачей и сбросом воды, когда вдоль одной из длинных сторон рисовой карты расположен картовый ороситель, выполненный в насыпи двустороннего командования, а вдоль другой - картовый сбросной канал (карты краснодарского типа). Длину рисовой карты необходимо принимать 400 - 1200 м, ширину - 150 - 250 м в зависимости от фильтрационных свойств почв. Рисовая карта должна делиться поперечными валиками на чеки. Площадь чека должна быть 2 - 6 га, число чеков на карте 4 - 5;
(в ред.
Изменения N 2, утв. Приказом Минстроя России от 18.12.2023 N 936/пр)
- с раздельной подачей и сбросом воды и двумя чеками площадью 6 га каждый (карты кубанского типа). Длина рисовых карт должна быть 400 - 600 м, ширина - 200 - 300 м;
- с совмещенной функцией подачи и сброса воды - карта широкого фронта подачи и сброса воды (КШФ), когда подача воды осуществляется за счет переполнения заглубленного канала (сброса-оросителя). Длину поливных карт широкого фронта следует принимать не более 1200 м. Площадь чека или карты-чека в этом случае принимают от 6 до 12 га. При разбивке карт широкого фронта на отдельные чеки необходимо в местах примыкания поперечных валиков к сбросу-оросителю предусматривать на последнем водоподпорные сооружения.
(в ред.
Изменения N 2, утв. Приказом Минстроя России от 18.12.2023 N 936/пр)
Карты широкого фронта подачи и сброса воды надлежит применять при уклонах местности до 0,001 и располагать длинной стороной вдоль горизонтальной местности, с планированием каждой карты под одну отметку (карты-чеки).
(в ред.
Изменения N 2, утв. Приказом Минстроя России от 18.12.2023 N 936/пр)
Выбор конструкции рисовых карт следует проводить на основании сопоставления технико-экономических показателей вариантов.
6.4.11 Каналы и дрены рисовых оросительных систем должны обеспечивать:
- первоначальное затопление отдельной рисовой карты не более чем за 3 сут, а посевов риса в целом по хозяйству - 12 - 16 сут, для районов Дальнего Востока - не более чем 10 сут;
- поддержание расчетного слоя воды в чеках в требуемые агротехнические сроки;
- нисходящие токи влаги на затопленном поле. Интенсивность оттока следует определять по данным опытов в аналогичных природных условиях;
- сброс воды и снижение уровня подземных вод для просушки чеков перед уборкой;
- понижение уровня грунтовых вод в неполивной период на глубину, обеспечивающую аэрацию плодородного слоя почвы;
- условия нормального сельскохозяйственного производства на прилегающих к системе землях и на не занятых рисом полях рисового севооборота (поддержание подземных вод на требуемом уровне, устранение заболачивания и засоления).
6.4.12 Картовые оросители следует проектировать с отметками уровней воды, обеспечивающими затопление самого высокого чека расчетным слоем воды.
При проектировании планировочных работ разность отметок поверхности соседних чеков должна быть не более 0,4 м.
6.4.13 По периметру чеков необходимо устраивать канавки трапецеидального или треугольного сечения глубиной 0,5 - 0,8 м.
6.4.14 На рисовых оросительных системах необходимо предусматривать перепады уровней воды не менее:
- 15 - 20 см - на водовыпусках с расходом до 1 м3/с;
- 20 - 25 см - на регулирующих сооружениях с расходом более 1 м3/с.
6.4.15 Каждое поле севооборота должно иметь самостоятельный подвод воды и отдельный водоотвод. При этом должна быть обеспечена одновременная подача воды во все подразделения (отделения, бригады) хозяйства и рисоводческие звенья.
(в ред.
Изменения N 2, утв. Приказом Минстроя России от 18.12.2023 N 936/пр)
6.5 Дождевальные оросительные системы
(в ред.
Изменения N 2, утв. Приказом Минстроя России от 18.12.2023 N 936/пр)
6.5.1 Дождевальные оросительные системы следует применять:
(в ред.
Изменения N 2, утв. Приказом Минстроя России от 18.12.2023 N 936/пр)
- на незасоленных и промытых почвах со средней интенсивностью искусственного дождя, не превышающей впитывающей способности почвы в конце полива;
- при глубине залегания слабо- и среднеминерализованных подземных вод не менее 2,5 м, что должно быть обеспечено естественным оттоком подземных вод или дренажем;
- в климатических зонах, где потери воды на испарение в зоне дождевого облака не превышают 15%;
(в ред.
Изменения N 2, утв. Приказом Минстроя России от 18.12.2023 N 936/пр)
- при повторяемости ветра в поливной период со скоростью, превышающей допускаемую для применяемого типа дождевальной техники, не более 20%;
- при поливных нормах не более 600 м3/га.
(в ред.
Изменения N 2, утв. Приказом Минстроя России от 18.12.2023 N 936/пр)
6.5.2 Содержание взвешенных частиц в поливной воде и их крупность регламентируются техническими условиями дождевальной техники.
6.5.3 Для полива с помощью дождевальной оросительной системы необходимо применять следующую дождевальную технику:
(в ред.
Изменения N 2, утв. Приказом Минстроя России от 18.12.2023 N 936/пр)
- широкозахватные многоопорные дождевальные машины с фронтальным перемещением, работающие в движении, с водозабором из открытой и закрытой оросительной сети;
- дождевальные машины кругового действия, работающие в движении, с водозабором из закрытой оросительной сети или непосредственно из скважин;
- дождевальные машины позиционного действия с фронтальным перемещением и водозабором из закрытой оросительной сети;
- дальнеструйные дождевальные машины позиционного действия с водозабором из закрытой или открытой оросительной сети;
- дождевальные машины с фронтальным перемещением и водозабором из открытой оросительной сети;
- шлейфы позиционного действия с водозабором из закрытой оросительной сети;
- полосовые шланговые дождеватели, работающие в движении, с водозабором из закрытой оросительной сети;
- средне- и дальнеструйные дождевальные аппараты с водозабором из закрытой оросительной сети на стационарных системах и в комплектах ирригационного оборудования.
Дождевальную технику следует применять для проведения влагозарядковых, предпосевных, вегетационных, освежительных, посадочных, противозаморозковых поливов, а также для внесения минеральных удобрений и микроэлементов с поливной водой.
Дождевальная техника должна соответствовать требованиям ГОСТ Р 58331.2.
(абзац введен
Изменением N 2, утв. Приказом Минстроя России от 18.12.2023 N 936/пр)
6.5.4 Системы с дождевальными машинами кругового действия, широкозахватными многоопорными с фронтальным перемещением и водозабором из открытой и закрытой оросительной сети, позиционного действия с фронтальным перемещением и водозабором из закрытой оросительной сети следует применять для поливов зерновых, зернобобовых, технических, овощных, бахчевых и кормовых культур. Дождевальные машины с фронтальным перемещением и водозабором из закрытой оросительной сети необходимо применять и для поливов сенокосов и культурных пастбищ.
Шлейфы следует применять для поливов кормовых культур, сенокосов, культурных пастбищ, садов, виноградников и ягодников.
Применение полосовых шланговых дождевателей следует предусматривать для поливов овощных и кормовых культур, сенокосов, культурных пастбищ, садов и ягодников.
(в ред.
Изменения N 2, утв. Приказом Минстроя России от 18.12.2023 N 936/пр)
Средне- и дальнеструйные дождевальные аппараты (на стационарных системах) следует использовать для поливов садов, виноградников, чайных и цитрусовых плантаций, ягодников и овощных культур.
6.5.5 Выбор дождевальной техники необходимо производить с учетом климатических, почвенных, геоморфологических, гидрологических, биологических, хозяйственных, водохозяйственных и экономических факторов, на основании технических характеристик дождевальных машин согласно техническим условиям фирм-производителей.
6.5.6 Конфигурация орошаемой площади должна соответствовать следующим требованиям:
(в ред.
Изменения N 2, утв. Приказом Минстроя России от 18.12.2023 N 936/пр)
- для дождевальных машин кругового действия размеры сторон поля севооборота должны быть кратными длине водопроводящего трубопровода и иметь соотношение 1:1 или 1:2;
- для дождевальных машин с фронтальным перемещением, работающих в движении, с водозабором из открытой оросительной сети, позиционного действия с фронтальным перемещением и водозабором из закрытой и открытой оросительной сети и шлейфов - одна сторона поля должна быть кратной ширине захвата искусственным дождем.
Дальнеструйные дождевальные машины позиционного действия с водозабором из закрытой или открытой оросительной сети, полосовые шланговые дождеватели, средне- и дальнеструйные дождевальные аппараты (на стационарных системах) могут применяться на орошаемых площадях любой конфигурации.
6.5.7 Дождевальные машины кругового действия, широкозахватные многоопорные машины с фронтальным перемещением, машины позиционного действия с водозабором из закрытой оросительной сети следует применять для культур высотой надземной части в поливной период не более 2,5 м.
Дождевальные машины с фронтальным перемещением и водозабором из открытой оросительной сети необходимо применять для культур высотой 1,6 м.
Дальнеструйные дождевальные машины позиционного действия с водозабором из закрытой оросительной сети, шлейфы, средне- и дальнеструйные дождевальные аппараты (на стационарных системах) следует применять для культур высотой до 5 м.
6.5.8 Для систем с дождевальными машинами с фронтальным перемещением и дальнеструйных машин позиционного действия с забором воды из открытых оросителей в земляном русле уклон дна оросителей должен быть не более 0,007.
6.5.9 Дальнеструйные машины не следует применять на легкозаплывающих почвах.
6.5.10 При использовании дождевальной оросительной системы полив охранной зоны воздушных линий электропередачи напряжением до 220 кВ включительно допускается водой с удельным сопротивлением не менее 700 Ом·см. При этом крайние капли струи при максимально допускаемом для работы дождевальной техники ветре не должны попадать за ось трассы линии электропередачи.
(в ред.
Изменения N 2, утв. Приказом Минстроя России от 18.12.2023 N 936/пр)
При удельном сопротивлении воды менее 700 Ом·см расстояние от конца струи дождевальных аппаратов до проекции на поверхность земли крайних проводов линий электропередачи должно быть не менее для линий электропередачи:
- до 20 кВ включительно - 10 м (5 м - для линий с самонесущими изолированными или защищенными проводами);
- до 35 кВ включительно - 15 м;
- до 110 кВ включительно - 20 м;
- от 150 до 220 кВ включительно - 25 м;
- от 330 до 750 кВ включительно - 30 м.
Перенос линий электропередач следует обосновывать технико-экономическими расчетами.
6.5.11 При вводе в оборот земель сельскохозяйственного назначения площадь поля севооборота следует предусматривать равной площади, обслуживаемой дождевальной машиной, или кратной ей.
(п. 6.5.11 в ред.
Изменения N 2, утв. Приказом Минстроя России от 18.12.2023 N 936/пр)
6.6 Капельные оросительные системы
(в ред.
Изменения N 2, утв. Приказом Минстроя России от 18.12.2023 N 936/пр)
6.6.1 Капельные оросительные системы применяют в различных по климатическим условиям районах как с влажным, так и с аридным климатом. Экономическими расчетами должна быть подтверждена целесообразность применения данного способа орошения с учетом его преимуществ и недостатков.
(в ред.
Изменения N 2, утв. Приказом Минстроя России от 18.12.2023 N 936/пр)
6.6.2 Капельные оросительные системы применяют для поливов виноградников, садов, полевых культур (таких как кукуруза, соя, сахарная свекла, семенная люцерна), лекарственных культур, лесозащитных полос, овощных культур, тепличных культур, а также ландшафтных систем.
(в ред.
Изменения N 2, утв. Приказом Минстроя России от 18.12.2023 N 936/пр)
Водоснабжение теплиц и парников должно соответствовать требованиям
СП 107.13330.
(абзац введен
Изменением N 2, утв. Приказом Минстроя России от 18.12.2023 N 936/пр)
6.6.3 Расширение площадей под капельную оросительную систему допускается за счет полей неправильной формы; на площадях, которые можно орошать из малодебитных источников водоснабжения и с использованием местного стока.
(в ред.
Изменения N 2, утв. Приказом Минстроя России от 18.12.2023 N 936/пр)
6.6.4 Применение капельной оросительной системы внутри почвы допускается для полива сточными водами городских и животноводческих стоков. Санитарно-гигиенические требования к качеству сточных вод и их осадков, используемых для орошения и удобрения земель, устанавливаются в соответствии с
СанПиН 2.1.3684,
СанПиН 1.2.3685.
(в ред.
Изменения N 1, утв. Приказом Минстроя России от 01.02.2019 N 74/пр,
Изменения N 2, утв. Приказом Минстроя России от 18.12.2023 N 936/пр)
6.6.5 В состав капельной оросительной системы, входят следующие элементы:
(в ред.
Изменения N 2, утв. Приказом Минстроя России от 18.12.2023 N 936/пр)
- источник водоснабжения;
- водозаборное сооружение;
- насосная станция;
- фильтрационное оборудование;
- узел подготовки и внесения химикатов и удобрений;
- магистральный трубопровод;
- распределительный трубопровод, в т.ч. плоскосворачиваемый рукав;
(в ред.
Изменения N 2, утв. Приказом Минстроя России от 18.12.2023 N 936/пр)
- поливные трубопроводы капельного орошения, в т.ч. ленты капельного орошения;
(в ред.
Изменения N 2, утв. Приказом Минстроя России от 18.12.2023 N 936/пр)
- регуляторы давления;
- клапаны высвобождения воздуха;
- соединительная и запорная арматура;
- контрольно-измерительные приборы, системы управления поливом и водоучета.
(п. 6.6.5 в ред.
Изменения N 1, утв. Приказом Минстроя России от 01.02.2019 N 74/пр)
6.6.6 При расчете элементов режима капельной оросительной системы следует использовать уравнение водного баланса, графоаналитический способ или математическое моделирование.
(в ред.
Изменения N 1, утв. Приказом Минстроя России от 01.02.2019 N 74/пр,
Изменения N 2, утв. Приказом Минстроя России от 18.12.2023 N 936/пр)
6.6.7 Основные гидравлические параметры капельных оросительных систем (диаметры трубопроводов, скорости движения воды и потери напора) следует определять гидравлическим расчетом при напорном режиме работы трубопроводов.
(в ред.
Изменения N 1, утв. Приказом Минстроя России от 01.02.2019 N 74/пр,
Изменения N 2, утв. Приказом Минстроя России от 18.12.2023 N 936/пр)
6.6.8 Расчетный суточный расход воды, подаваемой на капельную оросительную систему, следует определять по формуле
(в ред.
Изменения N 2, утв. Приказом Минстроя России от 18.12.2023 N 936/пр)
Q = tQu + Qlt, (15)
где t - продолжительность полива, ч;
Qu - максимальный часовой расход воды на полив, м3/ч;
Qlt - расход воды, м3/сут, на собственные нужды узла очистки (на промывки сеток, зернистых загрузок, на мойку территории станции, полив зеленых насаждений вокруг станции) определяется по формуле
(в ред.
Изменения N 2, утв. Приказом Минстроя России от 18.12.2023 N 936/пр)
Qlt = ktQu, (16)
где k - коэффициент, учитывающий расход воды на собственные нужды узла очистных сооружений, принимается 0,01 - 0,03.
6.6.9 Требования к источнику водоснабжения и водозаборным сооружениям
6.6.9.1 Качество воды в источнике водоснабжения должно соответствовать требованиям, приведенным в таблице 4. Использование воды иного качества допускается при надлежащем обосновании с применением оборудования для дополнительной очистки или подготовки.
Таблица 4
Показатели пригодности воды по степени влияния
на элементы капельной оросительной системы
Минстроя России от 18.12.2023 N 936/пр)
Показатель | Степень пригодности воды |
пригодна | условно пригодна | непригодна |
Общая минерализация, мг/л | < 500 | 500 - 2000 | > 2000 |
pH | 6 - 7 | 7 - 8 | > 8 |
Содержание марганца, мг/л | < 0,1 | 0,1 - 1,5 | > 1,5 |
Содержание железа, мг/л | < 0,2 | 0,2 - 1,5 | > 1,5 |
Содержание сероводорода, мг/л | < 0,2 | 0,2 - 2,0 | > 2,0 |
Количество популяций бактерий | < 10·106 | 10·106 - 50·106 | > 50·106 |
6.6.9.2 Водозабор при необходимости должен быть обеспечен сооружениями и оборудованием для забора воды из открытого водотока, водоема или подземного источника. Забор воды должен обеспечивать наименьшую нагрузку на фильтрационное оборудование. Применение подземных водных источников для капельной оросительной системы должно соответствовать требованиям
[4] и определяется обоснованием из условий пригодности воды согласно
п. 6.6.9.1.
(в ред.
Изменения N 1, утв. Приказом Минстроя России от 01.02.2019 N 74/пр,
Изменения N 2, утв. Приказом Минстроя России от 18.12.2023 N 936/пр)
6.6.10 Требования к насосным станциям
6.6.10.1 При выборе с идентичными напорно-расходными характеристиками насосного оборудования для капельных оросительных систем следует применять насосы с наибольшим коэффициентом полезного действия.
(пп. 6.6.10.1 в ред.
Изменения N 2, утв. Приказом Минстроя России от 18.12.2023 N 936/пр)
6.6.10.2 Силовую установку насосной станции оборудуют электродвигателем или двигателем внутреннего сгорания.
(пп. 6.6.10.2 в ред.
Изменения N 2, утв. Приказом Минстроя России от 18.12.2023 N 936/пр)
6.6.10.3 Выбор насоса по производительности осуществляется с учетом потерь напора в фильтрационном оборудовании, трубопроводной сети, применяемой арматуре, требуемого напора для работы капельниц, а также с учетом потери напора на подъем и запаса производительности насоса (не менее 10%).
6.6.10.4 Расчетная подача воды насосной станции на оросительных системах определяется максимальной ординатой укомплектованного графика гидромодуля и коэффициентом форсирования. Минимальная производительность насосной станции должна соответствовать водопотреблению культуры и составлять не менее 30 - 80 м3/га в сутки в зависимости от зоны и условий применения.
6.6.10.5 При выборе типа здания насосной станции следует учитывать возможность открытой или полуоткрытой установки оборудования, а также применение блочно-комплектных конструкций.
6.6.10.6 Резервные агрегаты на насосных станциях допускается проектировать при надлежащем обосновании.
6.6.10.7 Проектирование насосных станций следует осуществлять с учетом требований по эксплуатации в соответствии с
ГОСТ Р 58376,
СП 421.1325800.
(пп. 6.6.10.7 введен
Изменением N 2, утв. Приказом Минстроя России от 18.12.2023 N 936/пр)
6.6.11 Требования к фильтрационному оборудованию
6.6.11.1 На входе системы капельной оросительной системы должен быть предусмотрен сороудерживающий элемент.
(в ред.
Изменения N 2, утв. Приказом Минстроя России от 18.12.2023 N 936/пр)
6.6.11.2 Уровень очистки воды при фильтрации должен соответствовать качеству в зависимости от типа применяемых капельниц. Размер твердых фракций в оросительной воде не должен превышать 10% от минимального размера водовыпускного отверстия капельницы.
(в ред.
Изменения N 1, утв. Приказом Минстроя России от 01.02.2019 N 74/пр)
6.6.12 Требования к оборудованию подготовки и внесения химикатов и удобрений
6.6.12.1 Оборудование для внесения химикатов и удобрений должно состоять из емкости для подготовки маточных растворов, насоса-дозатора и вспомогательной арматуры.
6.6.12.2 Оборудование для внесения химикатов и удобрений должно выполняться из химически стойких материалов или иметь антикоррозионное покрытие.
6.6.12.3 Емкость для подготовки маточного раствора может быть напорная или безнапорная. Емкость должна иметь загрузочный люк, штуцера для подвода и отвода жидкости, сливной штуцер. Безнапорная емкость должна быть оснащена воздушным клапаном или отверстием, сеткой-фильтром, оборудованием для перемешивания раствора.
(п. 6.6.12.3 в ред.
Изменения N 1, утв. Приказом Минстроя России от 01.02.2019 N 74/пр)
6.6.12.4 Насос-дозатор должен обеспечивать пропорциональную подачу маточного раствора химикатов или удобрений в поток оросительной воды.
6.6.12.5 Вспомогательная арматура должна обеспечивать возможность подключения, включения-выключения насоса, регулировку потока.
6.6.12.6 Допустимая концентрация химикатов или удобрительных веществ в оросительной воде не должна превышать 5%.
6.6.13 Требования к магистральным и распределительным трубопроводам
6.6.13.1 Оросительная сеть должна позволять проводить на участке механизированные работы по обработке почвы и растений - пахоту, культивацию, опрыскивание и др.
6.6.13.2 При монтаже допускаются различные способы укладки труб. В одних случаях трубопроводы прокладываются по поверхности земли, в других - ниже поверхности земли в (грунте), реже - в мелких бороздах.
При наземной прокладке трубопровода допускается применять полиэтиленовые трубы, наружный слой которых устойчив к ультрафиолетовому излучению.
(абзац введен
Изменением N 2, утв. Приказом Минстроя России от 18.12.2023 N 936/пр)
6.6.13.3 Расположение трубопроводов в плане оросительной сети должно приниматься в увязке с рельефом местности, инженерно-геологическими условиями, принятыми способом и техникой полива и требованиями организации орошаемой территории.
6.6.13.4 Оросительную сеть необходимо проектировать из условий осуществления круглосуточного полива.
6.6.13.5 Трубопроводы оросительной сети должны быть изготовлены из стойких к коррозии материалов.
Допускается применение поливных полимерных рукавов, армированных полиэфирными нитями, материал которых стойкий к ультрафиолетовому излучению.
(абзац введен
Изменением N 2, утв. Приказом Минстроя России от 18.12.2023 N 936/пр)
6.6.14 Требования к поливным трубопроводам капельной оросительной системы
(в ред.
Изменения N 2, утв. Приказом Минстроя России от 18.12.2023 N 936/пр)
6.6.14.1 В зависимости от орошаемой культуры, схемы посадки и типа почвы допускается применение поливных капельниц типа: наружные, интегрированные (встроенные), компенсированные или некомпенсированные по давлению.
| | ИС МЕГАНОРМ: примечание. Нумерация пунктов дана в соответствии с официальным текстом документа. | |
6.6.16.2 Для шпалерного размещения садовых культур следует использовать поливные трубопроводы капельной оросительной системы с большим сроком службы, а для овощных культур, картофеля - с малым сроком службы или одноразового использования.
(в ред.
Изменения N 2, утв. Приказом Минстроя России от 18.12.2023 N 936/пр)
6.6.14.3 При подпочвенном размещении поливных трубопроводов глубина заложения принимается в зависимости от физических свойств почвы, выбранных технологий обработки почвы и применяемых механизмов.
6.6.14.4 При выборе поливных трубопроводов следует учитывать необходимые параметры контуров увлажнения, обеспечивающие возможность подачи влаги к основной массе корневой системы растений. Параметры контуров увлажнения зависят от водно-физических свойств почвы, расходов капельниц, поливной нормы и предполивной влажности почвы.
6.6.14.5 Подключение поливных трубопроводов к распределительным следует предусматривать как одно- или двухстороннее.
6.6.14.6 Поливные трубопроводы капельной оросительной системы должны соответствовать техническим требованиям ГОСТ ИСО 9261.
(в ред.
Изменения N 2, утв. Приказом Минстроя России от 18.12.2023 N 936/пр)
6.6.15 Требования к соединительной и запорной арматуре
6.6.15.1 Арматура должна отвечать требованиям безопасности
ГОСТ 12.2.063 и выполняться из стойких к коррозии материалов.
6.6.15.2 Арматура должна обеспечивать технические характеристики (давление, расход), иметь полнопроходное сечение (пулевые краны), предотвращать протечки, обеспечивать опорожнение оросительной сети.
(в ред.
Изменения N 2, утв. Приказом Минстроя России от 18.12.2023 N 936/пр)
6.6.15.3 Применяемая запорно-регулирующая арматура может быть ручного, полуавтоматического и автоматического типа.
6.6.15.4 Запорно-регулирующая арматура должна обеспечивать поддержание давления в заданных пределах, предохранение сети от гидродинамических ударов, переключение потоков воды, автоматизацию процессов.
6.6.15.5 На напорных трубопроводах в качестве запорной арматуры допускается применять чугунные или полимерные задвижки в бесколодезном исполнении, с выводом узла управления через телескопический удлинитель штока под ковер с опорной плитой или под люк, а также полимерный кран с врезкой в седловом отводе.
(пп. 6.6.15.5 введен
Изменением N 2, утв. Приказом Минстроя России от 18.12.2023 N 936/пр)
6.6.15.6 Размещать запорно-регулирующую арматуру и приборы учета, в т.ч. расходомеры, датчики давления и температуры, в колодцах (камерах) следует с учетом инструкций их изготовителей.
Допускается размещение запорно-регулирующей арматуры и приборов учета в полимерных резервуарах, выполненных в заводских условиях по техническим условиям изготовителей. Разрешается в состав технических условий включать типовые схемы размещения запорно-регулирующей арматуры в емкостях.
(пп. 6.6.15.6 введен
Изменением N 2, утв. Приказом Минстроя России от 18.12.2023 N 936/пр)
6.6.16 Требования к контрольно-измерительным приборам и системам управления
6.6.16.1 Контрольно-измерительные приборы должны быть промышленного производства и соответствовать утвержденным нормативным документам на данную продукцию.
6.6.16.2 Система управления капельной оросительной системы может быть ручной, с элементами автоматического управления и полностью автоматизированной с гидравлическим, электрическим, пневматическим и смешанным приводом механизмов.
(в ред.
Изменения N 2, утв. Приказом Минстроя России от 18.12.2023 N 936/пр)
6.6.16.3 Программное устройство должно обеспечивать автоматическое управление капельной оросительной системой по заранее введенной программе.
(в ред.
Изменения N 2, утв. Приказом Минстроя России от 18.12.2023 N 936/пр)
6.6.16.4 Средства автоматизации должны обеспечивать:
(в ред.
Изменения N 2, утв. Приказом Минстроя России от 18.12.2023 N 936/пр)
- автоматическое, программное (по времени и по внешним метеорологическим факторам и внутренним параметрам) регулирование и управление заданными параметрами;
- периодическую регистрацию значений параметров;
- аварийную сигнализацию и регистрацию аварийных значений контролируемых параметров;
- возможность ручного, дистанционного управления исполнительными механизмами системы, растворного узла;
(в ред.
Изменения N 2, утв. Приказом Минстроя России от 18.12.2023 N 936/пр)
- отображение и регистрацию положений всех исполнительных механизмов системы, энергопунктов, растворного узла минеральных удобрений.
(в ред.
Изменения N 2, утв. Приказом Минстроя России от 18.12.2023 N 936/пр)
6.7 Синхронные импульсные дождевальные оросительные системы
(в ред.
Изменения N 2, утв. Приказом Минстроя России от 18.12.2023 N 936/пр)
6.7.1 Синхронные импульсные дождевальные оросительные системы следует применять:
(в ред.
Изменения N 2, утв. Приказом Минстроя России от 18.12.2023 N 936/пр)
- для полива многолетних насаждений, кормовых культур без образования поверхностного стока;
- при расчлененном рельефе и уклонах поверхности от 0,05 до 0,3;
- на незасоленных почвах любой водопроницаемости, в том числе на маломощных.
6.7.2 Импульсные дождевальные оросительные системы должны выполняться стационарными с подземной укладкой трубопроводов.
Допускается наземная прокладка полимерных труб при условии предотвращения негативных воздействий на трубопроводы, которые приводят к их повреждению (механические, тепловые, ультрафиолетовое излучение).
(п. 6.7.2 в ред.
Изменения N 2, утв. Приказом Минстроя России от 18.12.2023 N 936/пр)
6.7.3 Импульсную дождевальную оросительную систему следует проектировать из модульных участков площадью 10 га с разделением участков орошения на отдельные зоны (ярусы) с перепадами высот (отметок местности) между ними не более 25 м.
(в ред.
Изменения N 2, утв. Приказом Минстроя России от 18.12.2023 N 936/пр)
При перепаде высот на орошаемом участке более 25 м следует устанавливать усилители командных сигналов на каждом ярусе.
В случае использования импульсной дождевальной оросительной системы на существующей закрытой напорной оросительной сети необходимо применять генераторы командных сигналов с дождевателями.
(в ред.
Изменения N 2, утв. Приказом Минстроя России от 18.12.2023 N 936/пр)
6.7.4 Трубопроводы оросительной сети синхронной импульсной дождевальной оросительной системы следует располагать таким образом, чтобы подача воды по трубопроводам за генератором командных сигналов осуществлялась по горизонтали или снизу вверх по рельефу. Допускается подача воды сверху вниз по рельефу не более чем на 10 м. Поливные трубопроводы следует располагать параллельно горизонталям местности. Длина поливных трубопроводов должна быть не более 250 м, число дождевателей на поливном трубопроводе - не более 6.
(в ред.
Изменения N 2, утв. Приказом Минстроя России от 18.12.2023 N 936/пр)
6.7.5 Материал труб для проводящей оросительной сети следует выбирать в соответствии с
6.14.9.
6.7.6 Расстояния между поливными трубопроводами и импульсными дождевателями на поливном трубопроводе следует устанавливать в соответствии с техническими характеристиками применяемого оборудования.
6.7.7 Запорно-регулирующая и измерительная аппаратура, генераторы и усилители командных сигналов должны устанавливаться в колодцах.
(в ред.
Изменения N 2, утв. Приказом Минстроя России от 18.12.2023 N 936/пр)
6.7.8 Для синхронной импульсной дождевальной оросительной системы следует применять оборудование для внесения вместе с поливной водой растворимых удобрений.
(в ред.
Изменения N 2, утв. Приказом Минстроя России от 18.12.2023 N 936/пр)
Расход поливного трубопровода Qr, л/с, следует определять по формуле
Qr = rQg, (17)
где r - число импульсных дождевателей, обслуживаемых трубопроводом;
Qg - расчетный расход заполнения импульсного дождевателя, л/с.
Расчетный расход заполнения импульсного дождевателя, л/с, следует определять по формуле

, (18)
где V' - объем выплеска импульсного дождевателя за цикл, л;
t - время заполнения гидропневмоаккумуляторов всех импульсных дождевателей на системе, с.
6.7.9 Время заполнения гидропневмоаккумуляторов всех импульсных дождевателей на системе t, с, обеспечивающее расчетный режим орошения сельскохозяйственных культур, определяется по формуле:

, (19)
где ng - число импульсных дождевателей системы;
Qp - расчетный расход оросительной системы, л/с;
tb - время выплеска воды всеми импульсными дождевателями системы следует принимать 5 - 8 с.
6.8 Внутрипочвенные оросительные системы
(в ред.
Изменения N 2, утв. Приказом Минстроя России от 18.12.2023 N 936/пр)
6.8.1 Внутрипочвенные оросительные системы следует применять для увлажнения капиллярным путем через подземные увлажнители корнеобитаемого слоя почвы, в степных, полупустынных и пустынных зонах при остром дефиците воды, для полива высокорентабельных сельскохозяйственных культур, а также вблизи населенных пунктов и животноводческих комплексов при использовании для орошения подготовленных городских сточных вод и животноводческих стоков.
(в ред.
Изменения N 2, утв. Приказом Минстроя России от 18.12.2023 N 936/пр)
6.8.2 Внутрипочвенные оросительные системы применяют с соблюдением следующих требований:
(в ред.
Изменения N 2, утв. Приказом Минстроя России от 18.12.2023 N 936/пр)
- рельеф участка должен иметь уклоны не более 0,01;
- почвы должны быть незасоленные, легкого, среднего и тяжелого механического состава со скоростью капиллярного поднятия не менее 0,5 мм/мин.
6.8.3 Вода для полива, сточные воды и животноводческие стоки должны удовлетворять следующим требованиям:
- размер твердых частиц - не более 1 мм;
- мутность - не более 0,04 г/дм3;
- минерализация - не более 1 г/дм3.
При необходимости следует предусматривать отстойники или очистные сооружения.
Для внутрипочвенной оросительной системы подготовку животноводческих стоков следует проводить согласно
6.10.
(в ред.
Изменения N 2, утв. Приказом Минстроя России от 18.12.2023 N 936/пр)
6.8.4 Распределительная сеть должна выполняться закрытой из неметаллических труб, с учетом назначения и условий работы.
(в ред.
Изменения N 2, утв. Приказом Минстроя России от 18.12.2023 N 936/пр)
6.8.5 При проектировании увлажнительной сети необходимо соблюдать условия:
- уклон местности по длине увлажнителей должен быть не более 0,01;
- глубина закладки увлажнителей в грунт - от 0,4 до 0,6 м;
- максимальная длина увлажнителя - до 250 м.
6.8.6 Расстояние между увлажнителями для культур сплошного сева следует принимать, м: 1,0 - на легких, 1,5 - на средних и 2,0 - на тяжелых по гранулометрическому составу почвах.
Расстояние между увлажнителями для садов и виноградников зависит от расстояния между рядами посадок:
- для новых насаждений следует закладывать один-два увлажнителя в ряду сада или виноградника;
(в ред.
Изменения N 2, утв. Приказом Минстроя России от 18.12.2023 N 936/пр)
- в существующих садах и виноградниках увлажнитель следует закладывать на расстоянии 1,5 - 2,0 м от оси ряда.
6.8.7 Перфорация увлажнителей должна обеспечить требуемый расход воды на единицу длины увлажнителя при расчетном напоре. Выбор увлажнителей осуществляется согласно техническим характеристикам заводов-изготовителей.
6.8.8 Сбросные трубопроводы, предназначенные для промывки и опорожнения сети, следует проектировать с глубиной заложения не менее 0,5 м. Сбросные трубопроводы необходимо оборудовать смотровыми и опорожняющими колодцами.
6.8.9 Расчетные расходы увлажнителя должны быть увязаны с величиной установившегося впитывания. Расход увлажнительного трубопровода Qh, м3/с, следует определять по формуле
Qh = qilh, (20)
где qi - величина впитывания воды почвой на 1 м увлажнителя, определяемая по специальным исследованиям или анализам, м2/с;
lh - длина увлажнителя, м.
6.8.10 Трубчатые оросители следует рассчитывать на равномерную раздачу воды по длине оросителя. Ороситель по всей длине должен закладываться в почву с уклоном, параллельным пьезометрической линии напоров.
Расчетный расход трубчатого увлажнителя Qht, м3/с, надлежит рассчитывать по формуле
Qht = qhnh, (21)
где qh - расход трубчатого увлажнителя, м3/с;
nh - число одновременно работающих увлажнителей, питаемых от рассчитываемого оросителя.
6.8.11 Разность напоров в оросительном и увлажнительном трубопроводах не должна превышать 30%.
6.8.12 Расчет режима орошения внутрипочвенной оросительной системы приведен в
приложении К и включает в себя определение поливной нормы и продолжительности поливного периода.
(п. 6.8.12 в ред.
Изменения N 2, утв. Приказом Минстроя России от 18.12.2023 N 936/пр)
6.8.13. Системы кротово-внутрипочвенного орошения
6.8.13.1 Системы кротово-внутрипочвенного орошения следует применять с соблюдением следующих требований:
- размер твердых частиц в подготовленных сточных водах не превышает 3,0 мм;
- количество взвешенных веществ в подготовленных сточных водах не превышает 1 г/дм3.
6.8.13.2 Систему кротового орошения устраивают по открытой или закрытой схеме. При открытой схеме воду из участкового канала подают во временный ороситель, выводные борозды, из которых она распределяется по кротовым увлажнителям.
6.8.13.3 При закрытой сети вода в кротовины поступает из оросительного трубопровода. Сопряжение оросительного трубопровода с кротовыми увлажнителями осуществляется через пористую засыпку. В качестве пористой засыпки следует использовать щебень, гравий или керамзит размером фракции 3 - 5 см. Мощность слоя пористой засыпки над оросительным трубопроводом не должна превышать 0,25 - 0,30 м. Ороситель укладывается в траншею, покрытую по периметру полиэтиленовой пленкой.
(в ред.
Изменения N 1, утв. Приказом Минстроя России от 01.02.2019 N 74/пр)
6.8.13.4 Оросительный трубопровод следует изготавливать из неметаллических труб с устройством в верхней части труб водовыпусков в виде круглых отверстий. Расстояние между ними должно соответствовать половине расстояния между кротовыми увлажнителями. Уклон оросительного трубопровода принимают не более 0,001, длину оросительных трубопроводов - 100 - 150 м, расстояние между ними - 150 - 180 м, а между распределительными трубопроводами - 20 - 300 м.
6.8.13.5 Расстояние между кротовыми увлажнителями определяется из условия смыкания контуров увлажнения и в зависимости от способа нарезки увлажнителей допускается в пределах 0,8 - 1,2 м, расход в них - 0,2 - 0,5 л/с.
(в ред.
Изменения N 2, утв. Приказом Минстроя России от 18.12.2023 N 936/пр)
6.8.13.6 Для закрепления кротовых увлажнителей используется полимерный крепитель (раствор полимера с водой). Расход крепителя зависит от фактической влажности почвы.
Доза и концентрация раствора полимера при устройстве кротовых увлажнителей на тяжелосуглинистых и глинистых почвах представлена в таблице 5.
Таблица 5
Доза и концентрация раствора полимера при устройстве
кротовых увлажнителей в зависимости от их влажности
Полимер | Исходная влажность полуметрового слоя почвы, % НВ |
50 - 65 | 65 - 80 | 80 - 95 |
Полиакриламид | | | |
К-4 | | | |
К-9 | | | |
К-9, в животноводческих стоках | | | |
Примечание - Доза раствора полимера на 1 м погонной длины кротового увлажнителя (числитель); концентрация % к массе раствора полимера (знаменатель). |
6.9 Системы лиманного орошения
6.9.1 Системы лиманного орошения следует проектировать в районах неустойчивого увлажнения, когда использование местного поверхностного стока для регулярного орошения по природным условиям технически невозможно или экономически нецелесообразно. Лиманное орошение необходимо предусматривать в малонаселенных районах при использовании степных участков, речных долин, пойм рек, замкнутых котловин, склонов под естественные сенокосы, кормовые (многолетние и однолетние травы, кукуруза и подсолнечник на силос, кормовая свекла), зерновые и зернобобовые культуры, с уклоном местности до 0,005, с хорошо одернованной поверхностью на незасоленных и слабозасоленных почвах.
6.9.2 В зависимости от водоисточника, способа регулирования и глубины затопления лиманы следует подразделять на типы и виды согласно таблице 6.
Таблица 6
Типы и виды лиманов
Типы лиманов в зависимости от источника орошения | Виды лиманов |
по способу регулирования воды | по глубине затопления |
Пойменные, затопляемые паводковыми водами рек | Многоярусные с регулированием длительности затопления | Мелководные Среднего затопления Глубоководные |
Проточные с регулированием длительности затопления | Мелководные и глубоководные |
Комбинированные | - |
Затопляемые талыми водами, стекающими с вышерасположенных территорий | Одноярусные | - |
Многоярусные раздельного или последовательного затопления | Мелководные и глубоководные |
Подпитываемые из каналов обводнительных или оросительных систем | Многоярусные раздельного или последовательного затопления | Мелководные |
6.9.3 По глубине наполнения лиманы подразделяются на:
- мелководные, глубина затопления - 15 - 40 см;
- среднего затопления, глубина затопления - 40 - 70 см;
- глубоководные, глубина затопления - более 70 см.
6.9.4 В зависимости от рельефа и источника водного питания лиманы классифицируются:
- на лиманы водораздельного плато;
- лиманы, устраиваемые на пологих склонах;
- лиманы замкнутых понижений;
- лиманы потяжин и лощин;
- лиманы, питаемые сбросными водами из водохранилищ и прудов;
- лиманы, использующие сток степных рек и их притоков;
- пойменные лиманы;
- лиманы, питаемые водами оросительно-обводнительной системы.
Основные особенности каждой разновидности лиманов приведены в таблице 7, а схемы систем лиманного орошения - в
приложении Л.
Таблица 7
Классификация систем лиманного орошения
Название лиманов | Характеристика рельефа, уклон | Глубина затопления | Число ярусов |
Лиманы водораздельного плато | Водораздельное плато, слабоволнистый рельеф, i = 0,0003 - 0,001 | Мелкого (до 0,5 м) затопления | Одноярусные и многоярусные |
Лиманы, устраиваемые на пологих склонах | Склоны водосборных бассейнов от водораздельного плато пойменных террас, i = 0,0003 - 0,001 | Мелкого (до 0,5 м) затопления | Одноярусные и многоярусные |
Лиманы замкнутых понижений | Склоны замкнутого понижения, пониженная чаша, i = 0,0003 - 0,001 | Мелкого (до 0,5 м) затопления | Одноярусные и многоярусные, кольцевой формы |
Лиманы потяжин и лощин | Склоны, потяжины и лощины с тальвегами, i = 0,0003 - 0,001 | Мелкого (до 0,5 м) и глубокого (> 0,5 м) затопления | Одноярусные и многоярусные |
Лиманы, питаемые сбросными водами из водохранилищ и прудов | Склоны, поймы и пойменные террасы i = 0,0003 - 0,001 | Мелкого (до 0,5 м) и глубокого (> 0,5 м) затопления | Многоярусные |
Лиманы, использующие сток степных рек и их притоков | Пойменные и надпойменные террасы прилегающей степи, достаточно выровненные, i = 0,0003 - 0,001 | Глубокого (> 0,5 м) затопления | Многоярусные |
Пойменные лиманы | Поймы рек, i = 0,0003 - 0,001 | Глубокого (> 0,5 м) затопления | Многоярусные |
Лиманы, питаемые водами оросительно-обводнительной системы | Пологие склоны, расположенные ниже трассы оросительно-обводнительного канала, i = 0,0003 - 0,001 | Мелкого (< 0,5 м) затопления | Многоярусные |
6.9.5 При проектировании лиманов расчетную обеспеченность стока следует принимать на основании технико-экономических расчетов.
6.9.6 Площадь лимана нетто Antl, га, определяется по формуле

, (22)
где Vl - объем стока расчетной обеспеченности с 1 км2, тыс. м3;
Al - водосборная площадь, км2;
| | ИС МЕГАНОРМ: примечание. Обозначение дано в соответствии с официальным текстом документа. | |
Jnbl - средневзвешенная норма лиманного орошения брутто, тыс. м3/га, определяемая по данным специальных исследований.
Средневзвешенная норма лиманного орошения для мелководных лиманов принимается 2,6 - 3,5 тыс. м3/га, для глубоководных - до 5 тыс. м3/га.
6.9.7 Пойменные системы лиманного орошения следует применять в долинах рек или на широких выровненных участках поймы. Пойменные лиманы следует заполнять водами речных паводков. Техническую схему лиманов необходимо выбирать в зависимости от условий пропуска максимальных паводковых расходов реки: через территорию орошаемого массива, по отдельным трактам или в обход лиманов. Выбор оптимального варианта должен быть обоснован технико-экономическим расчетом.
(в ред.
Изменения N 2, утв. Приказом Минстроя России от 18.12.2023 N 936/пр)
6.9.8 Глубоководные лиманы необходимо проектировать на поймах и подпойменных участках первой террасы. Лиманы среднего и мелкого затопления следует располагать на понижениях пойменных террас.
(в ред.
Изменения N 2, утв. Приказом Минстроя России от 18.12.2023 N 936/пр)
Мелководные лиманы на склонах следует устраивать на выровненных участках, пригодных для лиманного орошения по почвенным условиям с уклоном местности не более 0,002.
6.9.9 При уклонах поверхности менее 0,001 необходимо предусматривать одноярусные лиманы, при уклонах более 0,001 следует устраивать многоярусные лиманы; число ярусов, их размеры и конфигурация должны устанавливаться из условия рационального использования весеннего стока, наименьшего объема работ. При этом должны быть обеспечены равномерное увлажнение лиманов и нормальные условия проведения сельскохозяйственных работ.
6.9.10 Расстояние между дамбами (ширину яруса лимана) L необходимо определять по формуле

, (23)
где hinf - слой воды у нижней дамбы, м;
hsup - слой воды у верхней дамбы, принимается не менее 0,05 м;
inot - средний уклон местности.
Слой воды у нижней дамбы назначается из условия обеспечения равномерного увлажнения почвы. При этом средняя глубина затопления лимана должна быть равна норме лиманного орошения, выраженной слоем воды в метрах.
6.9.11 При проектировании многоярусных лиманов верхний ярус допускается предусматривать глубоководным распределительным для обеспечения подачи воды во все нижележащие ярусы.
6.9.12 Дамбы лиманов должны быть постоянными и не препятствовать механизированным сельскохозяйственным работам. Коэффициент заложения откосов дамб должен быть 5 - 6, строительная высота дамб - не более 1 м, превышение гребня дамб над максимальным уровнем воды в лимане - не менее 0,3 м. Ширину дамб по верху следует принимать 0,5 - 1,5 м.
(в ред.
Изменения N 2, утв. Приказом Минстроя России от 18.12.2023 N 936/пр)
6.9.13 Перепуск воды из яруса в ярус должен производиться через водовыпуски, расположенные в наиболее низких местах лиманов или по водообходам, создаваемым путем устройства системы земляных распределительных и направляющих дамб. Концы дамб необходимо доводить до отметки земли, соответствующей расчетному уровню воды в лимане.
6.9.14 При недостаточной обеспеченности площади лиманного орошения стоком с ее водосбора необходимо предусматривать устройство водосборных валов, направляющих сток в лиман с примыкающих водосборных площадей, а также подпитывание лиманов из оросительных и обводнительных каналов.
6.9.15 При проектировании лиманов с подпитыванием из оросительных и обводнительных каналов следует рассчитывать величину подаваемого в лиманы расхода воды.
Удельный расход q, л/с на 1 га, определяется по формуле

, (24)
где n - коэффициент, равный 0,68;
vm - средняя скорость впитывания, определяемая по методу заливаемых площадок, см/ч;
hm - средний слой затопления, см;
t - продолжительность подачи воды, ч.
6.9.16 Необходимо предусматривать регулирование глубины и продолжительности затопления, в том числе в отдельных понижениях, при помощи сети водосборно-сбросных каналов.
Водосборно-сбросная сеть каналов в плане должна проходить по пониженным местам и иметь минимальную протяженность.
6.9.17 Размеры поперечных сечений водосборных каналов внутри лиманов, предназначенных для отвода воды с пониженных участков, допускается принимать без расчета: ширина по дну - 1 м, коэффициент заложения откосов - 4, глубина - 0,5 м. Превышение бровки каналов над расчетным уровнем воды в канале должно быть не менее 0,2 м.
Расчетный расход водосборно-сбросных каналов следует устанавливать в зависимости от объема воды, подлежащего сбросу после влагозарядки, и допускаемой продолжительности стояния воды в лимане.
6.10 Оросительные системы с использованием животноводческих стоков
(в ред.
Изменения N 2, утв. Приказом Минстроя России от 18.12.2023 N 936/пр)
6.10.2 Оросительные системы, предназначенные для утилизации подготовленных к орошению стоков животноводческих комплексов, должны проектироваться из условия приема всего годового объема стоков для полива в теплый период года. Круглогодовое орошение допускается предусматривать в условиях отсутствия сезонного промерзания почв.
6.10.3 Технологическая линия подготовки, хранения и использования животноводческих стоков включает в себя
(рисунок 1):
- навозоприемник (приемный резервуар);
- аварийный резервуар;
- промежуточную насосную станцию для перекачки жидкого навоза или навозных стоков в цех разделения;
- цех разделения жидкого навоза или навозных стоков на твердую и жидкую фракции;
- площадку хранения твердой фракции;
- 3-секционный карантинный резервуар-дегельминтизатор;
- секционный накопитель для хранения жидкой фракции;
- узел смешивания стоков с водой;
- насосную станцию подачи природной воды в узел смешивания;
- мелиоративную насосную станцию;
- поля орошения.
1 - животноводческое предприятие; 2 - навозоприемник
(приемный резервуар); 3 - аварийный резервуар;
4 - промежуточная насосная станция; 5 - цех разделения;
6 - площадка хранения твердой фракции; 7 - карантинный
резервуар; 8 - секционный накопитель; 9 - узел смешивания
стоков с водой; 10 - насосная станция; 11 - водный объект;
12 - мелиоративная насосная станция; 13 - поля орошения
[18]
Рисунок 1 - Технологическая линия подготовки, хранения
и использования животноводческих стоков
6.10.4 Для использования стоков на орошение необходима их предварительная подготовка, которая должна обеспечить их дегельминтизацию и карантинирование, влажность не менее 98%, размер твердых фракций в стоках должен быть не более 10 мм.
При поливе дождевальными машинами с гидравлическим приводом влажность стоков должна быть не менее 99%, размер твердых фракций - не более 2,5 мм.
6.10.5 Минимальную требуемую площадь оросительной системы для использования стоков необходимо рассчитывать по содержанию годового количества вносимых со стоками биогенных элементов (азота, фосфора, калия) с учетом выноса питательных веществ урожаем и их исходного содержания в почве.
6.10.6 При размещении оросительных систем с использованием животноводческих стоков следует предусматривать водоохранные и санитарно-защитные зоны согласно
[4],
СанПиН 2.1.3684,
СанПиН 1.2.3685. Требования к водоохранным и санитарно-защитным зонам приведены в
[18].
(в ред.
Изменения N 1, утв. Приказом Минстроя России от 01.02.2019 N 74/пр,
Изменения N 2, утв. Приказом Минстроя России от 18.12.2023 N 936/пр)
6.10.7 При обосновании способов орошения и техники полива стоками в зависимости от рельефных и почвенных условий необходимо руководствоваться требованиями, предъявляемыми к оросительным системам с поливом водой, а также учитывать химический и фракционный составы стоков, время проведения поливов (поливы вегетационные или круглогодовые), состав выращиваемых сельскохозяйственных культур.
6.10.8 При использовании стоков на орошение в зоне достаточного и избыточного увлажнения коэффициент фильтрации подпахотных слоев почв должен быть более 0,3 м/сут, при меньшем его значении следует проводить глубокое рыхление.
6.10.9 Расчет оросительных норм при поливе стоками следует выполнять по дефициту влаги для сельскохозяйственных культур на год расчетной обеспеченности. При этом должна быть определена годовая норма внесения подготовленных стоков по балансу вносимых в почву и выносимых с планируемым урожаем питательных веществ.
6.10.10 Концентрация общего азота в поливной воде при использовании стоков должна устанавливаться в зависимости от климатических условий и состава возделываемых культур.
В зоне достаточного и избыточного увлажнения в вегетационный период концентрация общего азота в поливной воде не должна превышать, г/дм3:
- 1,5 - для многолетних злаковых трав второго и последующих лет произрастания;
- 1,0 - для многолетних злаковых трав спустя два месяца после всходов, а также для люцерны, клевера, смеси однолетних трав без бобовых компонентов;
- 0,8 - для кукурузы и зерновых;
- 0,5 - для корнеплодов и подсолнечника.
В зоне недостаточного увлажнения концентрацию азота допускается применять в два раза меньше или использовать данные специальных исследований.
6.10.11 Оросительная сеть для полива стоками должна быть закрытой тупиковой.
(в ред.
Изменения N 2, утв. Приказом Минстроя России от 18.12.2023 N 936/пр)
6.10.12 Конструкция оросительной сети должна обеспечивать промывку водой трубопроводов, арматуры на сети, дождевальной техники после каждого полива с использованием стоков.
6.11 Оросительные системы с использованием сточных вод
6.11.1 Оросительные системы с использованием сточных вод проектируются с учетом требований подраздела 6.11, а также требований, приведенных в
СП 317.1325800,
СП 482.1325800,
[19].
(в ред.
Изменения N 2, утв. Приказом Минстроя России от 18.12.2023 N 936/пр)
6.11.2 Оросительные системы с использованием подготовленных сточных вод следует применять для орошения и удобрения земель, а также для доочистки сточных вод в естественных биологических условиях.
6.11.3 Для орошения следует использовать подготовленные хозяйственно-бытовые, производственные и смешанные сточные воды, требования к которым приведены в
[19].
(п. 6.11.3 в ред.
Изменения N 1, утв. Приказом Минстроя России от 01.02.2019 N 74/пр)
6.11.4 Оросительные системы с использованием сточных вод следует проектировать:
- с круглогодовым приемом сточных вод в пруды-накопители и с последующим использованием их для орошения только в вегетационный период;
- с круглогодовым приемом и круглогодовым поливом;
- с частичным, в том числе сезонным, приемом и с использованием сточных вод для орошения.
В составе оросительных систем кроме сооружений, указанных в
5.1, при необходимости следует предусматривать пруды-накопители, регулирующие емкости, средства контроля за состоянием окружающей природной среды.
Вариант конструкции оросительной системы в зависимости от технологии использования сточных вод должен быть обоснован технико-экономическими расчетами.
6.11.5 При размещении оросительных систем с использованием сточных вод необходимо соблюдать санитарно-гигиенические и ветеринарные требования, требования
СанПиН 2.1.3684,
СанПиН 1.2.3685.
(в ред.
Изменения N 2, утв. Приказом Минстроя России от 18.12.2023 N 936/пр)
Между границами оросительной системы, жилыми и производственными зданиями, автомобильными и железными дорогами необходимо предусматривать санитарно-защитные и водоохранные зоны.
6.11.6 Оросительные системы с использованием сточных вод не допускается устраивать:
- в пределах первого и второго поясов зоны санитарной охраны источников хозяйственно-питьевого водоснабжения;
- на территориях, расположенных в пределах области питания действующих и проектируемых водозаборов, эксплуатирующих незащищенные водоносные горизонты, залегающие близко от поверхности;
- на территории с выходом на поверхность трещиноватых и карстовых пород, а также песчаных гравийно-галечных отложений, не перекрытых водоупорным слоем;
- в пределах первой и второй зон округов санитарной (горносанитарной) охраны лечебно-оздоровительных местностей и курортов;
- в границах водоохранных зон поверхностных водных объектов;
- на территории с сильно расчлененным рельефом, сильной каменистостью и завалуненностью, выходами плотных слабовыветриваемых пород; на сильнозасоленных и солонцеватых почвах.
Не рекомендуется устраивать оросительные системы с использованием сточных вод в местах с напорным грунтовым питанием и на периодически затопляемых поймах рек.
Не следует устраивать оросительные системы с использованием сточных вод в местах с напорным грунтовым питанием и на периодически затопляемых поймах рек.
(абзац введен
Изменением N 2, утв. Приказом Минстроя России от 18.12.2023 N 936/пр)
6.11.7 Расчетную оросительную норму необходимо определять в зависимости от дефицита влаги для сельскохозяйственных культур года расчетной обеспеченности, а также в зависимости от химического состава сточных вод с учетом баланса внесения и выноса биогенных веществ урожаем.
6.11.8 При обосновании способов орошения и техники полива сточными водами надлежит руководствоваться требованиями, предъявляемыми к оросительным системам с поливом водой.
6.11.9 На орошаемых сточными водами землях следует предусматривать возделывание кормовых (ведущая культура - многолетние травы), зернофуражных, технических культур.
6.12 Водосборно-сбросная сеть
6.12.1 Водосборно-сбросную сеть каналов следует проектировать для организованного сбора и отвода с территории оросительной системы:
- поверхностного стока (ливневых и талых вод);
- воды из распределителей и оросителей при технологических сбросах и опорожнении, а также при авариях;
- сбросной воды с полей при поверхностном поливе или с применением дождевальной оросительной системы.
(в ред.
Изменения N 2, утв. Приказом Минстроя России от 18.12.2023 N 936/пр)
6.12.2 Водосборно-сбросная сеть должна:
- обеспечивать своевременный отвод воды в водоприемник без нарушения режима работы сооружений оросительной системы и затопления орошаемых земель;
- обеспечивать двухсторонний прием сбросной воды;
(в ред.
Изменения N 2, утв. Приказом Минстроя России от 18.12.2023 N 936/пр)
- иметь минимальные протяженность и число пересечений с оросительной и коллекторно-дренажной сетью, коммуникациями.
6.12.3 Водосборно-сбросная сеть должна быть расположена по границам поливных участков, полей севооборотов по пониженным местам с максимальным использованием тальвегов, лощин, оврагов.
(в ред.
Изменения N 2, утв. Приказом Минстроя России от 18.12.2023 N 936/пр)
При использовании тальвегов, лощин, оврагов в качестве водосбросных трактов следует проверять их пропускную способность и возможность размыва.
При плановом размещении сбросной сети надлежит предусматривать ее совмещение с кюветами проектируемой дорожной сети оросительной системы.
6.12.4 При наличии на оросительной системе коллекторно-дренажной сети необходимо рассматривать возможность ее использования в качестве сбросной сети.
6.12.5 Водосборную сеть надлежит проектировать открытой в земляном русле. Сбросную сеть следует проектировать открытой (каналы, лотки) и закрытой (трубопроводы).
(в ред.
Изменения N 2, утв. Приказом Минстроя России от 18.12.2023 N 936/пр)
6.12.6 За расчетный расход воды в каналах водосборно-сбросной сети (в зависимости от расположения и порядка канала) должен приниматься наибольший из расходов поверхностного стока с территории орошаемого участка или поверхностного сброса при поливах.
6.12.7 За расчетный расход поверхностного стока от ливневых и талых вод надлежит принимать паводковые расходы 10-процентной обеспеченности.
6.12.8 Расчетный расход водосборных каналов, предусматриваемых для приема сбросных вод с оросительной сети при поливах, не должен превышать 30% суммы расчетных расходов одновременно действующих оросительных каналов, сбрасывающих в него воду.
Для опорожнения открытых и закрытых распределителей и оросителей, а также для промывки трубопроводов закрытой оросительной сети следует предусматривать концевые сбросные каналы.
6.12.9 Расчетный расход концевого сбросного канала следует принимать в пределах 25 - 50% расчетного расхода воды оросительного канала (трубопровода) на концевом участке.
Расчетный расход должен также обеспечивать создание транспортирующей скорости для удаления наносов из трубопровода.
6.12.10 При возможности опорожнения через оросительную сеть низшего порядка сбросная сеть для канала высшего порядка (трубопровода) не предусматривается. Расчетный сбросной расход при этом следует принимать равным расходу канала, по которому намечен сброс воды.
6.12.11 Коэффициент шероховатости каналов сбросной сети в земляном русле следует принимать по данным, приведенным в
приложении М.
6.12.12 Уровень воды в водосборно-сбросном канале высшего порядка должен быть ниже уровня воды в канале низшего порядка на величину не менее 0,05 м.
Уровень воды в водосборных каналах при расчетных расходах должен быть на 0,15 - 0,20 м ниже поверхности земли.
6.12.13 Водоприемники сбросных вод, такие как естественные и искусственные водотоки и водоемы, должны обеспечивать отвод и аккумуляцию расчетных объемов сбросных вод без создания подпора уровней воды в водоотводящих каналах (трубопроводах).
(в ред.
Изменения N 2, утв. Приказом Минстроя России от 18.12.2023 N 936/пр)
6.13.1 Параметры и конструкции каналов оросительной сети должны назначаться, исходя из условий обеспечения:
- минимальных потерь воды на фильтрацию и сбросы;
- минимальной площади отчуждения земель;
- сохранности прилегающих земель;
- комплексной механизации строительных работ;
- минимальных эксплуатационных затрат.
6.13.2 Трассу канала необходимо выбирать в соответствии с требованиями
5.11. Проектировать каналы необходимо в выемке или полувыемке-полунасыпи. Устройство каналов в насыпи допускается при пересечении местных понижений рельефа и при необходимости самотечной подачи воды на орошаемую площадь.
(в ред.
Изменения N 2, утв. Приказом Минстроя России от 18.12.2023 N 936/пр)
С целью уменьшения потерь воды, связанных с ее испарением в ходе транспортирования до места назначения, а также сокращения эксплуатационных затрат на прочистку и восстановление поврежденных участков из железобетонных материалов, допускается проектировать каналы, выполненные из полимерных труб, расположенных в выемке, насыпи или полувыемке-полунасыпи на уровне поверхности земли.
(абзац введен
Изменением N 2, утв. Приказом Минстроя России от 18.12.2023 N 936/пр)
6.13.3 При прохождении трассы канала по косогору его сечение следует принимать полностью в выемке.
Допускается устройство каналов на косогорах в полувыемке, при этом линия поверхности земли с низовой стороны косогора должна проходить через точку пересечения откоса канала с уровнем воды при расчетном расходе. В этом случае сопряжение дамбы с основанием следует принимать ступенчатым.
6.13.4 Формы поперечных сечений и расчет геометрических параметров оросительных каналов должны соответствовать требованиям
ГОСТ Р 58331.1.
(в ред.
Изменения N 2, утв. Приказом Минстроя России от 18.12.2023 N 936/пр)
В зависимости от геологических условий и способа производства работ допускается применять сечения полигональной, параболической или прямоугольной формы.
6.13.5 Каналы оросительных систем следует проектировать с применением противофильтрационных покрытий. Устройство каналов без противофильтрационных покрытий допускается при обеспечении коэффициента полезного действия канала в соответствии с
6.2.13. Для каналов из полимерных труб устройство противофильтрационных покрытий не требуется. Тип противофильтрационного покрытия следует назначать на основании сравнения технико-экономических показателей вариантов и с учетом требований подраздела
6.18. Выбор типа покрытия должен осуществляться, исходя из следующих условий:
(в ред.
Изменения N 2, утв. Приказом Минстроя России от 18.12.2023 N 936/пр)
- обеспечение минимальных потерь воды на фильтрацию и высокого коэффициента полезного действия оросительного канала;
- экономное использование водных, земельных и топливно-энергетических ресурсов;
- использование высокопроизводительной техники и технологий строительства;
- снижение капитальных затрат на строительство и эксплуатацию противофильтрационных покрытий оросительных каналов;
- комплексная автоматизация технологических процессов, при этом степень автоматизации должна быть обоснована технико-экономическими расчетами;
- соблюдение требований охраны окружающей природной среды и санитарно-гигиенических требований при строительстве и эксплуатации.
(п. 6.13.5 в ред.
Изменения N 1, утв. Приказом Минстроя России от 01.02.2019 N 74/пр)
6.13.6 При проектировании противофильтрационных покрытий следует учитывать все виды нагрузок, действующих на покрытие в процессе ее возведения и эксплуатации, в том числе:
(в ред.
Изменения N 1, утв. Приказом Минстроя России от 01.02.2019 N 74/пр)
- нагрузки от смерзания покрытия по контакту с ложем канала;
(в ред.
Изменения N 1, утв. Приказом Минстроя России от 01.02.2019 N 74/пр)
- гидростатические нагрузки от воды;
- гидродинамические нагрузки от воздействия волн;
- ледовые нагрузки;
- температурно-усадочные деформации в бетоне при укладке в покрытие;
(в ред.
Изменения N 1, утв. Приказом Минстроя России от 01.02.2019 N 74/пр)
- воздействие напора воды в канале со стороны грунтовых вод;
- воздействие на покрытие канала при замерзании водонасыщенных пучинистых грунтов (по
СП 22.13330).
(абзац введен
Изменением N 1, утв. Приказом Минстроя России от 01.02.2019 N 74/пр)
6.13.7 Ширину дамб каналов по верху или ширину берм необходимо принимать из условий производства работ и удобства эксплуатации.
Превышения гребней дамб и бровок берм каналов над максимальным уровнем воды следует назначать в соответствии с таблицей 8. Максимальный уровень следует принимать из условия принятой схемы автоматизированного водораспределения.
Таблица 8
Превышения гребней дамб и бровок берм
в зависимости от расхода воды в канале
Расход воды в канале, м3/с | Превышения гребней дамб и бровок берм канала, см |
без покрытия и с грунтово-пленочным экраном | с покрытием |
До 1 | 20 | 15 |
Св. 1 до 10 | 30 | 20 |
Св. 10 до 30 | 40 | 30 |
Св. 30 до 50 | 50 | 35 |
Св. 50 до 100 | 60 | 40 |
(в ред.
Изменения N 1, утв. Приказом Минстроя России от 01.02.2019 N 74/пр)
При расходе воды в канале свыше 100 м
3/с превышение гребней дамб должно определяться в соответствии с
СП 39.13330.
6.13.8 При глубине каналов до 5 м коэффициенты заложения откосов следует назначать по
таблице П.1 приложения П. Заложение откосов каналов с противофильтрационными покрытиями принимают с учетом конструкции покрытия и устойчивости откосов земляного русла.
(п. 6.13.8 в ред.
Изменения N 1, утв. Приказом Минстроя России от 01.02.2019 N 74/пр)
6.13.9 Расстояние между подошвой откоса дамбы и бровкой выработки грунта резерва надлежит устанавливать в зависимости от способа производства работ и устойчивости откоса дамбы, но не менее 1,5 м при глубине выработки грунта 0,5 м и 3 м при глубине выработки более 0,5 м.
Расстояние от бровки выемки до подошвы отвала следует принимать при глубине выемки: до 2,5 м - 3 м; от 2,5 до 5 м - 5 м; более 5 м - по расчету устойчивости откоса.
Расстояние от бровки выемки до подошвы отвала допускается увеличивать при обосновании в зависимости от условий производства работ.
(в ред.
Изменения N 2, утв. Приказом Минстроя России от 18.12.2023 N 936/пр)
Откосы и дно выработок вдоль каналов должны быть спланированы и покрыты плодородным слоем почвы.
6.13.10 В каналах, проходящих в глубоких (более 5 м) выемках, необходимо выше максимального уровня воды через каждые 5 м по высоте предусматривать бермы. Первую берму следует устраивать на высоте

от дна канала, где
h - максимальная глубина воды в канале, а

- превышение бровки бермы над уровнем воды, принимаемое по
таблице 8.
6.13.11 Радиус закругления канала необходимо назначать с учетом параметров канала (площади сечения, режима работы, типа противофильтрационного покрытия).
(в ред.
Изменения N 2, утв. Приказом Минстроя России от 18.12.2023 N 936/пр)
Для каналов, проходящих в земляном русле, минимальное значение радиуса закругления r, м, следует принимать по формуле

, (25)
где vm - средняя скорость течения воды в канале, м/с;
S - площадь живого сечения, м2.
Для каналов с монолитными бетонными, сборными железобетонными и асфальтобетонными покрытиями радиус закругления следует определять по формуле
(в ред.
Изменения N 1, утв. Приказом Минстроя России от 01.02.2019 N 74/пр,
Изменения N 2, утв. Приказом Минстроя России от 18.12.2023 N 936/пр)
r = 5B, (26)
где B - ширина канала по урезу воды.
6.13.12 На магистральных каналах и крупных распределителях с расходом воды более 5 м3/с должны быть предусмотрены концевые сбросные сооружения. При возможности опорожнения канала через распределители низшего порядка сбросные сооружения допускается предусматривать только на этих распределителях.
6.13.13 На магистральных каналах и распределителях следует предусматривать аварийные водосбросные сооружения, устраиваемые в местах пересечений с балками, оврагами, местными понижениями, водоемами.
Величину аварийного расхода следует определять в зависимости от схемы водораспределения, уровня автоматизации технологических процессов, аккумулирующей способности распределительной сети, допускаемого времени ликвидации аварий.
6.13.14 Для защиты магистральных каналов, их ветвей и распределителей первого порядка, расположенных поперек склона, от размыва должны устраиваться нагорные каналы (или дамбы) и сооружения для пропуска дождевых и талых вод. Расчетный расход воды нагорных каналов следует определять в соответствии с
5.9.
6.13.15 Гидравлический расчет каналов в зависимости от принятой схемы водораспределения необходимо производить для установившегося (равномерного или неравномерного) или нестационарного режима движения воды в соответствии с
6.2.4 и данными, приведенным в
приложении Р.
6.13.16 Отношение ширины по дну каналов трапецеидальной формы к глубине их наполнения

следует принимать в зависимости от коэффициента заложения откосов
m (таблица 9).
Таблица 9
Отношение ширины по дну каналов трапецеидальной
формы к глубине их наполнения в зависимости
от коэффициента заложения откосов
m | |
1,0 | 0,8 - 3,0 |
1,5 | 0,6 - 3,1 |
2,0 | 0,5 - 3,4 |
2,5 | 0,4 - 3,8 |
Для коэффициентов заложения откосов более 2,5 это отношение следует определять по расчету или по данным аналогов.
6.13.17 Уклон канала должен обеспечивать средние скорости воды в пределах:
v1 < vm < v2, (27)
где vm - средняя скорость воды в канале, м/с;
v1 - допускаемая незаиляющая скорость воды, м/с;
v2 - допускаемая неразмывающая скорость воды, м/с.
6.13.18 Допускаемые неразмывающие скорости для каналов в земляном русле и с грунтово-пленочным экраном при расходах до 50 м
3/с следует принимать в соответствии с
приложением С.
Допускаемые средние скорости для каналов с монолитными бетонными, сборными железобетонными и асфальтобетонными покрытиями следует принимать по
таблице С.6 приложения С.
(в ред.
Изменения N 1, утв. Приказом Минстроя России от 01.02.2019 N 74/пр)
Для каналов в земляном русле и с грунтово-пленочными экранами с расходом более 50 м3/с допускаемые средние скорости необходимо принимать на основании специальных исследований или по аналогам.
Для каналов, выполненных их полимерных труб, скорость течения потока определяется в соответствии с
СП 399.1325800.
(абзац введен
Изменением N 2, утв. Приказом Минстроя России от 18.12.2023 N 936/пр)
6.13.19 Для связных грунтов, содержащих равномерно залегающие включения гальки и гравия в количестве более 20% (по объему), допускаемая неразмывающая скорость должна определяться как для несвязных грунтов, исходя из преобладающих размеров включений. При меньшем объеме включений и при слоистом их расположении допускаемую скорость следует определять как для основного грунта.
Для каналов водосборно-сбросной сети величину допускаемой скорости разрешается увеличить на 10%, а для периодически действующих сбросных каналов - на 20% относительно допускаемой неразмывающей скорости для каналов оросительной сети.
(в ред.
Изменения N 2, утв. Приказом Минстроя России от 18.12.2023 N 936/пр)
6.13.20 Проверка незаиляемости канала должна осуществляться по транспортирующей способности канала или по незаиляющей скорости воды в канале, приведенной в
приложении Т.
6.13.21 При скоростях воды в каналах более 2 м/с следует ограничивать доступ в них абразивных наносов с диаметром частиц более 0,25 мм.
(в ред.
Изменения N 2, утв. Приказом Минстроя России от 18.12.2023 N 936/пр)
6.13.22 Расчет фильтрационных потерь воды из каналов следует определять по методике, приведенной в
приложении У.
6.13.23 Фильтрационные потери воды через дамбы надлежит определять для каналов с расходом свыше 10 м
3/с, проходящих в насыпи или полунасыпи при подпорной фильтрации. Фильтрационные расчеты дамб следует проводить, как для низконапорных плотин из грунтовых материалов, согласно
СП 39.13330.
(в ред.
Изменения N 2, утв. Приказом Минстроя России от 18.12.2023 N 936/пр)
6.13.24 Ширину полос земель, отводимых в бессрочное (постоянное) и во временное (на период строительства) пользование для мелиоративных каналов (оросительных, осушительных, водосборно-сбросных, коллекторно-дренажных) с пропускной способностью воды не более 10 м
3/с, определяют в соответствии с нормами, приведенными в
[16].
Ширина полос земель, отводимых для каналов с пропускной способностью воды более 10 м3/с, каналов, разрабатываемых взрывным методом, а также проходящих в районах, подверженных оползням и селям, и в населенных пунктах, покрытых ценными лесными насаждениями, должна определяться проектом, утвержденным в установленном порядке.
6.13.25 Для оросительных систем, с целью уменьшения потерь воды, связанных с ее испарением при транспортировании до места назначения, допускается применять трубопроводный канал, выполненный из полимерных труб диаметром свыше 600 мм.
(п. 6.13.25 введен
Изменением N 2, утв. Приказом Минстроя России от 18.12.2023 N 936/пр)
6.14.1 Трубчатая сеть классифицируется:
(в ред.
Изменения N 2, утв. Приказом Минстроя России от 18.12.2023 N 936/пр)
- по устройству - закрытой с подземной или надземной укладкой труб и разборной с надземной укладкой труб;
- по способу создания напора - с механической подачей, самотечной напорной и безнапорной;
- по назначению - магистральной, распределительной и поливной;
- по схеме - тупиковой, попарно закольцованной и полностью закольцованной.
6.14.2 При проектировании трубчатой сети в плане необходимо учитывать требования
5.11. Трубчатую сеть следует предусматривать тупиковой. Применение кольцевой сети должно быть обосновано.
(в ред.
Изменения N 2, утв. Приказом Минстроя России от 18.12.2023 N 936/пр)
Коэффициент полезного действия трубопровода принимается не менее 0,98.
При проектировании стальных трубопроводов использование стальных труб, соединительных деталей, запорной арматуры, бывших в употреблении (эксплуатации), не допускается.
При проектировании полимерной трубчатой сети необходимо учитывать требования
СП 399.1325800.
(абзац введен
Изменением N 2, утв. Приказом Минстроя России от 18.12.2023 N 936/пр)
6.14.3 При уклонах местности более 0,003 для производства поверхностных поливов необходимо применять самотечную трубчатую сеть. Подача воды насосами в таких условиях должна быть обоснована.
6.14.4 Трубчатую сеть следует рассчитывать на пропуск расчетного расхода с учетом материала труб и местных потерь напора.
6.14.5 Внутренний диаметр оросительной трубчатой сети необходимо выбирать:
- для поливных трубопроводов - из условия пропуска воды для одной дождевальной или поливной машины (установки);
- для распределительного трубопровода - из условия суммарного расхода воды максимального числа одновременно работающих на орошаемом массиве дождевальных или поливных машин (установок);
- для магистрального трубопровода - из условия суммарного пропуска воды в одновременно работающих распределительных трубопроводах.
6.14.6 За рабочее давление в трубчатой сети следует принимать наибольшее возможное по условиям эксплуатации внутреннее давление, возникающее при установившемся режиме движения воды в наиболее неблагоприятных условиях подключения дождевальных машин, установок, аппаратов.
6.14.7 Трубопроводы необходимо проверять на возможность возникновения гидравлического удара. При необходимости следует предусматривать установку противоударной арматуры (обратные клапаны, гидравлические затворы - обратные клапаны, водонапорные колонны). Выбор типа арматуры и места ее установки определяется расчетом. За внутреннее давление воды при гидравлическом ударе следует принимать максимальное давление, возникающее при нестационарном режиме движения воды с учетом действия противоударной арматуры.
6.14.8 Расчет трубопроводов на прочность необходимо выполнять при следующих сочетаниях нагрузок:
- давления грунта и транспорта на опорожненный трубопровод;
- рабочего давления воды в трубопроводе, давления грунта и транспорта;
- давления воды в трубопроводе при гидравлическом ударе (или вакууме) и давления грунта.
Расчет на прочность полимерных трубопроводов следует проводить по методике, приведенной в
СП 399.1325800.
(абзац введен
Изменением N 2, утв. Приказом Минстроя России от 18.12.2023 N 936/пр)
Допускается применять напорные полиэтиленовые трубы с соэкструзионными слоями на участках с расчетным внутренним давлением до 2,5 МПа в соответствии с требованиями документов по стандартизации, утвержденных в установленном порядке.
(абзац введен
Изменением N 2, утв. Приказом Минстроя России от 18.12.2023 N 936/пр)
6.14.9 Для трубчатой оросительной сети следует применять напорные неметаллические трубы. Применение стальных труб допускается:
(в ред.
Изменения N 2, утв. Приказом Минстроя России от 18.12.2023 N 936/пр)
- на участках с расчетным внутренним давлением более 1,5 МПа;
- при устройстве переходов под железными и автомобильными дорогами, через водные преграды и овраги;
- при прокладке трубопроводов по автодорожным и городским мостам, по опорам эстакад и в туннелях.
Стальные трубы следует использовать экономичных сортаментов, со стенкой, толщину которой необходимо принимать по расчету.
6.14.10 При подземной укладке трубопроводов глубину заложения необходимо принимать не более 2 м, считая от верха трубы.
(в ред.
Изменения N 2, утв. Приказом Минстроя России от 18.12.2023 N 936/пр)
При прокладке трубопроводов в зоне отрицательных температур материал труб и элементов стыковых соединений должен быть морозостойким.
При надземной укладке трубопроводов материал труб должен быть стойким к воздействию солнечного тепла и ультрафиолетовому излучению.
(абзац введен
Изменением N 2, утв. Приказом Минстроя России от 18.12.2023 N 936/пр)
Во внесезонный период разборная трубчатая сеть должна храниться в специально отведенных для этого местах, исключающих воздействия дождя, снега и ветра, согласно требованиям, предъявляемым к условиям хранения материалов, из которых состоит данная трубчатая сеть.
(абзац введен
Изменением N 2, утв. Приказом Минстроя России от 18.12.2023 N 936/пр)
6.14.11 Трубопроводы, испытывающие воздействие наземного транспорта, надлежит укладывать на глубину не менее 1 м.
При укладке полимерных трубопроводов, испытывающих воздействие наземного транспорта, следует руководствоваться требованиями
СП 399.1325800.
(абзац введен
Изменением N 2, утв. Приказом Минстроя России от 18.12.2023 N 936/пр)
6.14.12 Укладку трубопроводов следует предусматривать на грунт ненарушенной структуры. При этом дно траншеи должно быть предварительно выровнено или спрофилировано. При прокладке трубопроводов в скальных грунтах необходимо предусматривать выравнивание основания грунтом без твердых включений и его уплотнение.
Толщина слоя уплотненного грунта должна быть не менее 10 см.
При проектировании подземных трубопроводов следует предусматривать послойное уплотнение грунта засыпки между стенками трубы и траншеи.
Укладку полимерных трубопроводов следует проводить согласно
СП 399.1325800. Полиэтиленовые трубопроводы, смонтированные из труб с внутренним соэкструзионным слоем из ПЭ100-RC или имеющие удаляемый (защитный) слой, допускается укладывать на выровненное дно траншеи.
(абзац введен
Изменением N 2, утв. Приказом Минстроя России от 18.12.2023 N 936/пр)
6.14.13 Трубчатая оросительная сеть должна быть оборудована:
- гидрантами-водовыпусками для подключения поливной или дождевальной техники;
- поворотными затворами (задвижками), устанавливаемыми в начале каждого оросительного трубопровода;
- поворотными затворами (задвижками), устанавливаемыми на ответвлениях, через которые предусматривается сброс воды при опорожнении ремонтных участков;
- вантузами для удаления воздуха, которые устанавливаются в повышенных переломных точках профиля и в концевых или начальных точках оросительных трубопроводов (в зависимости от рельефа местности);
- противоударной арматурой и клапанами для впуска и выпуска воздуха;
- предохранительными сбросными устройствами, устанавливаемыми в концевых точках распределительных (оросительных) трубопроводов, предохраняющих от повышения давления в сети вследствие сокращения водоотбора;
- регуляторами давления.
6.14.14 На трубопроводах диаметром 500 мм и более при технико-экономическом обосновании допускается устанавливать затворы на один типоразмер меньше.
6.14.15 При жесткой установке арматуры на сварных трубопроводах и в условиях возможной просадки грунта по трассе трубопровода арматуру необходимо устанавливать с монтажными компенсаторами (вставками).
На зимний период трубопроводы следует опорожнять. Опорожнение следует предусматривать самотечным, если иное не предусмотрено проектом. Уклон трубопроводов к месту опорожнения должен быть не менее 0,001. Допускается опорожнение трубопроводов с помощью насосов при невозможности устройства самотечного опорожнения.
(в ред.
Изменения N 2, утв. Приказом Минстроя России от 18.12.2023 N 936/пр)
6.14.16 При проектировании стальных и железобетонных трубопроводов необходимо разрабатывать мероприятия по их защите от почвенной коррозии и коррозии, вызываемой блуждающими токами. Выбор методов защиты должен быть обоснован данными о коррозионных свойствах грунта и о возможности коррозии, вызываемой блуждающими токами.
6.14.17 Защиту наружной поверхности стальных трубопроводов от коррозии следует предусматривать в соответствии с
ГОСТ 9.602.
Для защиты от коррозии внутренней поверхности стальных труб независимо от коррозионной активности транспортируемой воды необходимо предусматривать изоляционные покрытия: цементно-песчаные, цементно-полимерные, лакокрасочные, цинковые и другие, разрешенные для применения в хозяйственно-питьевом водоснабжении.
6.14.18 Защиту от воздействия сульфат-ионов на бетон железобетонных труб, включая трубы со стальным сердечником, а также от коррозии, вызываемой блуждающими токами, следует осуществлять в соответствии с
СП 28.13330.
Электрохимическую защиту трубопроводов из железобетонных труб со стальным сердечником, имеющих наружный слой бетона проницаемостью ниже нормальной с допускаемой шириной раскрытия трещин при расчетных нагрузках 0,2 мм, необходимо предусматривать при концентрации хлор-ионов в грунтах более 150 мг/л, при нормальной проницаемости бетона и допускаемой ширине раскрытия трещин 0,1 мм - более 300 мг/л.
6.14.19 Для железобетонных виброгидропрессованных труб с пропиткой модифицированным петролатумом в грунтах средней и сильной степени агрессивности, а также железобетонных труб со стальным сердечником, пропитанных модифицированным петролатумом в грунтах с содержанием хлор-ионов до 500 мг/л, электрохимическую защиту трубопроводов допускается не предусматривать.
6.14.20 При проектировании электрохимической защиты трубопроводов из стальных и железобетонных труб всех типов необходимо предусматривать мероприятия, обеспечивающие непрерывную электрическую проводимость трубопроводов.
6.14.21 Катодную поляризацию железобетонных труб со стальным сердечником надлежит проектировать так, чтобы создаваемые на поверхности металла защитные поляризационные потенциалы были не ниже 0,85 В и не выше 1,2 В по медно-сульфатному электроду сравнения.
6.14.22 При электрохимической защите железобетонных труб со стальным сердечником с помощью протекторов величину поляризационного потенциала следует определять по отношению к медно-сульфатному электроду сравнения, установленному на поверхности трубы, а при защите с помощью катодных станций - по отношению к медно-сульфатному электроду, расположенному в грунте.
6.15.1 Оросительную сеть из лотков (лотковые каналы) необходимо предусматривать в случаях:
- сложных топографических и геологических условий;
- на участках, где каналы должны проходить в насыпи;
- на участках со скальными, с сильно фильтрующими и просадочными грунтами;
- на косогорных участках, подверженных оползневым явлениям.
Коэффициент полезного действия лоткового канала следует принимать не менее 0,95.
Оптимальными условиями применения лотковой сети следует считать уклон поверхности земли от 0,0005 до 0,003 и подачу воды от 100 до 500 л/с. При уклонах поверхности земли более 0,003 и менее 0,0005 применение лотковой сети должно подтверждаться соответствующим технико-экономическим обоснованием.
6.15.2 Лотковую сеть надлежит прокладывать по наибольшему уклону местности. Выбор конструкций лотковых каналов принимается на основе сравнения технико-экономических показателей вариантов с учетом топографических, геологических и климатических условий.
(в ред.
Изменения N 2, утв. Приказом Минстроя России от 18.12.2023 N 936/пр)
6.15.3 Сопряжение лотков с различной глубиной следует предусматривать путем совмещения дна смежных лотков. Подошвы стоек лотковых опор должны быть расположены на глубине не менее глубины промерзания грунтов основания.
6.15.4 Расчетные отметки поверхности воды в лотковой сети необходимо устанавливать в точках выпуска воды из старших лотковых каналов в младшие при соблюдении следующих условий:
- при выпуске воды из старших лотков в младшие превышение отметок воды должно быть не менее размера потерь воды в водовыпуске, конструктивно принимается равным 5 - 10 см;
- превышение отметок воды в младших лотках над поверхностью земли должно обеспечивать подачу необходимого расхода воды в зависимости от принятой техники полива, типа водовыпуска, длины оросителей и уклона местности;
- при подаче воды из лотков в оросительную сеть превышение уровней воды в них должно обеспечивать подачу (пропуск) через водовыпуски необходимых расходов воды;
- для сифонных водовыпусков во временную оросительную сеть превышение уровней воды в них не должно быть менее 0,5 м;
- при подаче воды из лоткового канала в передвижные гибкие и жесткие или стационарные трубопроводы уровень воды в лотке должен обеспечивать подачу в трубопровод заданного расхода воды с необходимым напором;
- максимальная скорость течения воды в лотках не должна превышать 6 м/с, минимальную скорость необходимо назначать из условия обеспечения транспортирования наносов.
6.15.5 Глубину лотка для каждого участка канала следует назначать из условия превышения бортов лотка над максимальным горизонтом воды не менее чем на 10 см.
При использовании на лотковой сети автоматических регуляторов уровня глубина лотка Hl, см, должна удовлетворять условию:
Hl >= dl + hf + a1, (28)
где dl - глубина наполнения лотка при пропуске расчетного расхода, см;
hf - гидравлические потери в автоматическом регуляторе при пропуске расчетного расхода, см;
a1 - превышение борта лотка над максимальным уровнем воды, принимается равным 5 см.
6.15.6 Гидравлический расчет лотковых каналов следует проводить по формулам равномерного, неравномерного и нестационарного движения потока, приведенным в
приложении Р.
6.15.7 Максимальная скорость течения воды в лотковых каналах не должна превышать 6 м/с. Минимальная скорость должна назначаться из условия обеспечения транспортирования наносов.
6.15.8 Форма, основные параметры и размеры железобетонных лотков оросительных систем должны соответствовать требованиям
ГОСТ 21509.
6.15.9 Основные параметры и размеры железобетонных колонн и фундаментов под параболические лотки должны соответствовать требованиям
ГОСТ 23899 и
ГОСТ 23972.
6.15.10 Форма, основные параметры и размеры полимерных лотков оросительных систем должны соответствовать требованиям технических условий изготовителя, зарегистрированных в установленном законодательстве порядке в Федеральном информационном фонде стандартов. Допускается проектирование полимерных лотков в соответствии с технической спецификацией (отчетом), зарегистрированной в установленном законодательстве порядке в Федеральном информационном фонде стандартов.
(п. 6.15.10 введен
Изменением N 2, утв. Приказом Минстроя России от 18.12.2023 N 936/пр)
6.16 Регулирование водораспределения
6.16.1 Для предотвращения непроизводительных сбросов воды из каналов следует предусматривать аккумулирующие емкости.
Гидротехнические сооружения должны оборудоваться регуляторами автоматического действия.
На автоматизированных гидротехнических сооружениях следует предусматривать гидравлические перепады, обеспечивающие работоспособность автоматических регуляторов.
Головные водозаборные узлы, водовыделы в хозяйства и каналы сбросной сети необходимо оборудовать средствами водоучета.
6.17 Дренаж на орошаемых землях
(подраздел 6.17 в ред.
Изменения N 1, утв. Приказом Минстроя России от 01.02.2019 N 74/пр)
6.17.1 Основные положения
6.17.1.1 Дренаж на орошаемых землях должен обеспечивать отвод избытка солей из корнеобитаемого слоя почв, а также поддерживать уровень подземных вод, исключающий возможность вторичного засоления и заболачивания почв.
6.17.1.2 Необходимость устройства дренажа следует обосновывать с помощью анализа водно-солевого режима почв объекта мелиорации и прилегающей территории в существующих и проектных условиях с учетом биологических особенностей сельскохозяйственных культур и требований охраны окружающей природной среды. При составлении прогнозов водно-солевого режима следует использовать аналитические методы расчета, аналоговое и математическое моделирование.
6.17.1.3 Дренаж в комплексе с мелиоративными и агромелиоративными мероприятиями должен обеспечивать уровень содержания подвижных солей в корнеобитаемом слое засоленных почв на уровне, не превышающем показателей, приведенных в
приложении Ф.
6.17.1.4 При проектировании водного режима почв, подверженных осолонцеванию, необходимо учитывать пределы регулирования водного и солевого режима орошаемых земель.
(пп. 6.17.1.4 в ред.
Изменения N 2, утв. Приказом Минстроя России от 18.12.2023 N 936/пр)
6.17.1.5 С целью прогнозирования направленности мелиоративных процессов и выявления источников поступления солей составляются общие и частные водные и солевые балансы для регионов, массивов, участков с учетом характерных периодов их мелиоративного освоения.
(в ред.
Изменения N 2, утв. Приказом Минстроя России от 18.12.2023 N 936/пр)
6.17.1.6 Водный и солевой баланс, а также расчет водно-солевого режима следует составлять для каждой выделенной по гидрогеологическому и почвенно-мелиоративному районированию территории с учетом природно-хозяйственных условий, техники и режима орошения, состава основных сельскохозяйственных культур.
6.17.1.7 Солевой баланс следует составлять для типовых балансовых участков с целью выявления основных источников поступления солей и определения направленности процессов солепереноса в активном слое почвы (1 - 3 м). Составляющие солевого баланса должны определяться на основе водного баланса, по результатам натурных исследований солевого режима балансового участка, а также на основании солевых съемок.
6.17.1.8 Прогноз водно-солевого режима зоны аэрации и интенсивности инфильтрационного питания подземных вод выполняются с учетом вегетационного, невегетационного и годового расчетных периодов на срок не менее двух ротаций полевого севооборота. Водно-солевой прогноз должен составляться на период не менее двух ротаций полевого севооборота.
(в ред.
Изменения N 2, утв. Приказом Минстроя России от 18.12.2023 N 936/пр)
6.17.1.9 По результатам прогноза водного режима должны быть установлены значения восходящих и нисходящих скоростей движения влаги в зоне аэрации и величина интенсивности инфильтрационного питания.
(в ред.
Изменения N 2, утв. Приказом Минстроя России от 18.12.2023 N 936/пр)
6.17.1.10 Для засоленных и подверженных засолению почв пустынной зоны при невысокой емкости ионного обмена почвенного поглощающего комплекса (ППК <= 10 мг-экв/100 г почвы) прогноз солевого режима следует выполнять по ионам хлора, натрия или сумме токсичных солей (карбонаты и гидрокарбонаты калия и натрия, хлориды и сульфаты калия, натрия и магния, хлориды кальция, а также нитраты и нитриты щелочных и щелочно-земельных металлов).
6.17.1.11 Для орошаемых земель в степной и сухостепной зонах, почвы которых обладают высоким содержанием гумуса и емкостью ионного обмена (ППК > 10 - 15 мг-экв/100 г почвы) и склонны к осолонцеванию, прогноз выполняется по ионам хлора и натрия, магния и кальция с учетом ионно-обменных процессов между почвенным раствором и ППК. По результатам прогноза должны обосновываться мелиоративные режимы и рассчитываться нагрузка на дренаж и модуль дренажного стока.
6.17.1.12 Модуль дренажного стока (м3/сут с 1 м2) за расчетный период следует определять по формуле

(27а)
где
W - нагрузка на дренаж, определяемая согласно [
14, приложение 2,
формула (9)], м
3/га;
t - продолжительность расчетного периода, сут;
W = V1 +/- Vv,a +/- Vv, (27а.1)
где V1 - фильтрационные потери оросительной воды из каналов, м3/га;
Vv,a - вертикальный водообмен между водами аэрации и подземными водами, м3/га;
Vv - вертикальный водообмен балансового слоя с нижележащими водоносными слоями (подпитывание подземных вод напорными подземными водами или перетекание подземных вод вниз), м3/га.
(пп. 6.17.1.12 в ред.
Изменения N 2, утв. Приказом Минстроя России от 18.12.2023 N 936/пр)
6.17.1.14 Допускаемая глубина залегания подземных вод, обеспечивающая оптимальный водно-солевой режим почв, должна устанавливаться для каждой природно-климатической зоны на основании специальных исследований, имеющегося опыта эксплуатации мелиоративных систем и прогноза водно-солевого режима почв.
6.17.1.15 На ранее не поливаемых площадях ввод земель в орошаемое земледелие должен предусматриваться после окончания строительства постоянного дренажа, если по прогнозу водно-солевого режима потребность в дренаже возникает в период до 10 лет от начала освоения. При сроке подъема грунтовых вод более 10 лет освоение земель должно опережать строительство дренажа.
6.17.1.16 При проектировании дренажа необходимо предусматривать использование дренажных вод на орошение, промывки и другие нужды. Невозможность или нецелесообразность их использования должна быть обоснована.
6.17.1.17 При проектировании дренажа должны учитываться режим орошения, техника полива, плановое расположение оросительной сети, рельеф, агротехника сельскохозяйственных культур.
6.17.1.18 Обоснование повторного использования дренажных вод следует устанавливать на основе прогноза минерализации дренажных стоков.
(в ред.
Изменения N 2, утв. Приказом Минстроя России от 18.12.2023 N 936/пр)
6.17.1.19 В случае невозможности сброса дренажного стока в существующие водоприемники следует предусматривать устройство искусственных сооружений или емкостей по аккумуляции дренажных вод.
6.17.1.20 В зависимости от природных условий территории, нуждающейся в дренировании, на основании технико-экономических расчетов необходимо предусматривать следующие виды дренажа:
- систематический - дрены или скважины вертикального дренажа расположены равномерно на орошаемых землях;
- выборочный - дрены или скважины приурочены к отдельным участкам орошаемых земель с неудовлетворительным мелиоративным состоянием;
- линейный - дрены или скважины расположены по фронту питания подземных вод.
6.17.1.21 Тип дренажа на орошаемых землях (горизонтальный, вертикальный или комбинированный) выбирается исходя из природных и хозяйственных условий на основании технико-экономического сравнения вариантов.
6.17.1.22 Дренаж на орошаемых землях на весь период эксплуатации надлежит проектировать постоянным (горизонтальным, вертикальным или комбинированным). Для проведения капитальных промывок постоянный дренаж допускается дополнять временным открытым.
(в ред.
Изменения N 2, утв. Приказом Минстроя России от 18.12.2023 N 936/пр)
6.17.1.23 Для повышения эффективности дренажа при промывках на слабопроницаемых почвах следует предусматривать их глубокое рыхление и внесение мелиорантов для оструктуривания почв.
6.17.1.24 Совмещение дренажной и сбросной функции для закрытых коллекторов и дрен не допускается. При поступлении в открытый коллектор поверхностных и сбросных оросительных вод сопряжение дрен с коллекторами осуществляется при помощи устьевого сооружения в соответствии с
6.17.2.23 -
6.17.2.27.
6.17.1.25 При проектировании дренажа на засоленных или склонных к засолению землях следует предусматривать промывной режим орошения. Интенсивность питания подземных вод следует определять на основании прогноза водно-солевого режима почв мелиорируемой территории и использования опыта эксплуатации существующих дренажных систем на объектах-аналогах.
6.17.1.26 Основные параметры труб для закрытого дренажа рекомендуется принимать для:
- железобетонных безнапорных труб - по
ГОСТ 6482;
(в ред.
Изменения N 2, утв. Приказом Минстроя России от 18.12.2023 N 936/пр)
6.17.1.27 Параметры постоянного горизонтального, вертикального и комбинированного дренажа следует рассчитывать на среднегодовую нагрузку периода постоянной эксплуатации мелиоративной системы.
Параметры временного дренажа определяются исходя из обеспечения заданной скорости отвода промывных вод в период капитальных промывок с учетом работы постоянного дренажа.
6.17.1.28 Глубину заложения дрен и расстояние между ними следует рассчитывать в зависимости от гидрогеологических условий объекта и требуемого водно-солевого режима по формулам установившегося режима фильтрации с проверкой динамики подземных вод в характерные периоды (вегетационный, предпосевной) по формулам неустановившегося режима фильтрации.
(в ред.
Изменения N 2, утв. Приказом Минстроя России от 18.12.2023 N 936/пр)
6.17.1.29 В сложной гидрогеологической и почвенно-мелиоративной обстановке, при отсутствии аналогов для обоснования параметров дренажа следует предусматривать исследования на моделях или опытно-производственных участках с типичными природно-хозяйственными условиями.
6.17.1.30 Для контроля за мелиоративным состоянием земель и работой дренажа следует предусматривать сеть наблюдательных скважин и гидрометрических постов с контрольно-измерительными устройствами с учетом расположения региональной и внутрихозяйственной сети, типа дренажа и обеспечения необходимого объема информации.
6.17.1.31 Допускается применять полимерные колодцы, изготовленные по
ГОСТ 32972. Характеристики полимерных колодцев, изготовленных по другим нормативным документам, должны быть не ниже установленных в ГОСТ 32972-2014
(раздел 5).
Разрешается в состав технических условий изготовителей полимерных колодцев включать типовые схемы размещения полимерных колодцев.
Монтаж и проектирование полимерных колодцев должны соответствовать требованиям
СП 399.1325800.
(пп. 6.17.1.31 введен
Изменением N 2, утв. Приказом Минстроя России от 18.12.2023 N 936/пр)
6.17.2 Горизонтальный гидромелиоративный дренаж
(в ред.
Изменения N 2, утв. Приказом Минстроя России от 18.12.2023 N 936/пр)
6.17.2.1 Постоянные горизонтальные дрены проектируются закрытыми из труб с водоприемными отверстиями и защитным фильтром или из пористых труб (трубофильтров).
Коллекторы для приема воды из дрен и отвода ее за пределы мелиорируемой территории следует проектировать как закрытыми, так и открытыми, при этом внутрихозяйственные коллекторы должны быть закрытыми. Коллекторы, проходящие через населенные пункты, следует проектировать только закрытыми.
(в ред.
Изменения N 2, утв. Приказом Минстроя России от 18.12.2023 N 936/пр)
6.17.2.2 На коллекторно-дренажной сети (КДС) следует предусматривать сооружения, обеспечивающие:
- самотечный отвод дренажных и сбросных вод с мелиорируемой территории в водоприемник или их перекачку;
- сопряжение бьефов и устранение опасности размыва;
- проезд транспорта вдоль и через открытые коллекторы;
- пересечение КДС с оросительной сетью;
- постоянный надзор за работой сети;
- учет количества и качества отводимых дренажных вод.
6.17.2.3 При невозможности самотечного отвода дренажных вод местоположение и число дренажных насосных станций должно быть обосновано технико-экономическим расчетом.
6.17.2.4 Для закрытого горизонтального дренажа следует применять безнапорные неметаллические трубы и колодцы, которые должны выдерживать давление грунта, временную нагрузку от сельскохозяйственных машин и быть стойкими к воздействию агрессивной среды.
(в ред.
Изменения N 2, утв. Приказом Минстроя России от 18.12.2023 N 936/пр)
6.17.2.5 Проектирование регулирующей и проводящей сети горизонтального дренажа на оросительных системах следует выполнять в соответствии с требованиями данного раздела и
подразделов 7.3 и
7.4. Схемы расположения дренажной сети представлены в
приложении Ш.
6.17.2.6 Расположение коллекторов и дрен в зоне фильтрационного потока из оросительных каналов допускается в следующих случаях:
- оросительный канал должен иметь противофильтрационные устройства;
- коллектор предусмотрен в виде трубопровода без перфорации ("глухим");
- ороситель выполнен в виде трубопровода или лотка;
- расстояние между оросительными каналами и дреной (коллектором) превышает 10dd, где dd - глубина заложения дрены.
В местах пересечения с постоянными оросительными каналами, дорогами и лесополосами закрытые дрены (коллекторы) устраиваются в виде трубы без перфорации на длине не менее ld = 10b, где b - ширина канала поверху.
6.17.2.7 При проектировании устьевых сооружений закрытых дрен следует предусматривать конструкцию, обеспечивающую надежность их работы при очистке открытых коллекторов от заиления и сорной растительности (задвигающиеся устья, "карманы").
(в ред.
Изменения N 2, утв. Приказом Минстроя России от 18.12.2023 N 936/пр)
6.17.2.8 Конструкцию водоприемной части закрытого горизонтального дренажа следует выбирать исходя из литологического строения и гидрогеологических условий, а также наличия местных строительных материалов и средств механизации. При выборе материалов и конструкций водоприемной части следует учитывать, что эксплуатационный срок службы закрытого дренажа должен быть не менее 30 лет.
6.17.2.9 Расчет конструктивных элементов водоприемной части должен осуществляться по максимальному дренажному расходу, характеристикам дренируемых грунтов в зоне заложения дрен (гранулометрический состав, коэффициент фильтрации, объемная и удельная масса, границы текучести и раскатывания, число пластичности).
Если дренажная линия прорезает грунты различной категории, расчет конструктивных элементов следует производить на наихудшие условия. Расчетом должны быть определены внутренний диаметр и перфорация дренажных труб, толщина и материал фильтра, а также фильтрационные сопротивления.
6.17.2.10 Размеры водоприемных отверстий следует принимать при их равномерном расположении на поверхности трубы по
таблице 9а, при расположении в нижней половине трубы - по
таблице 9б.
Таблица 9а
Размеры водоприемных отверстий при их равномерном
расположении на поверхности трубы
Форма водоприемного отверстия | Диаметр или ширина отверстия |
Круглое | Не менее 3ds,50, но не более 5 мм |
Щель или зазор в стыке | Не менее 1,5ds,50, но не более 4 мм |
Таблица 9б
Размеры водоприемных отверстий при их расположении
в нижней половине трубы
Форма водоприемного отверстия | Диаметр или ширина отверстия |
Круглое | Не менее 10ds,50, но не более 10 мм |
Щель | Не менее 5ds,50, но не более 5 мм |
Примечание - ds,50 - эффективный диаметр частиц фильтровой обсыпки или грунта, мм. |
6.17.2.11 Для защиты водоприемных отверстий дренажных труб от заиления и увеличения водоприемной способности дренажа следует применять сыпучие и/или волокнистые защитно-фильтрующие материалы.
Допускается применять полимерные трубы со структурированной стенкой типа B по
ГОСТ Р 54475, обмотанные нетканым фильтрующим полотном.
(абзац введен
Изменением N 2, утв. Приказом Минстроя России от 18.12.2023 N 936/пр)
6.17.2.12 При устройстве дренажа в водонасыщенных грунтах необходимо устройство объемного фильтра из сыпучего материала. Допускается применение других конструкций фильтра при наличии специальных исследований или опыта эксплуатации.
(в ред.
Изменения N 2, утв. Приказом Минстроя России от 18.12.2023 N 936/пр)
В сухих и слабопроницаемых грунтах конструкция фильтра (из сыпучих или волокнистых материалов) определяется на основании технико-экономического сравнения вариантов.
(в ред.
Изменения N 2, утв. Приказом Минстроя России от 18.12.2023 N 936/пр)
6.17.2.13 При расчете параметров дренажа с фильтром из минерально-волокнистых материалов (без дополнительной подсыпки) и при строительстве его способами, производящими нарушение естественного сложения грунта вблизи дрены, следует дополнительно учитывать фильтрационное сопротивление, обусловленное экранирующим действием обратной засыпки грунта и уплотнением придренной зоны. Это фильтрационное сопротивление определяется исследованиями на опытно-производственных участках или принимается по данным объекта-аналога.
6.17.2.14 Толщину объемного фильтра из сыпучего материала следует принимать не менее 0,08 м. Общая потребность в объемных фильтрующих материалах на 1 м дрены должна определяться на основании принятой технологии строительства, с учетом формы дренажной полости в грунте, образуемой рабочим органом экскаватора-дреноукладчика.
(в ред.
Изменения N 2, утв. Приказом Минстроя России от 18.12.2023 N 936/пр)
6.17.2.15 При проектировании закрытого дренажа из трубофильтров объемный фильтр не предусматривается, если пористые стенки выполняют роль фильтра. В противном случае следует предусмотреть укладку трубофильтров на подсыпку из несортированной песчано-гравийной смеси или песка толщиной 0,1 м.
(в ред.
Изменения N 2, утв. Приказом Минстроя России от 18.12.2023 N 936/пр)
6.17.2.16 Коллекторы старшего порядка рассчитывают на пропуск расхода дренажного стока, равного сумме расходов, впадающих в него коллекторов и дрен.
6.17.2.17 Расчетный дренажный сток следует определять при значении среднегодового дренажного модуля стока в период постоянной эксплуатации.
6.17.2.18 Пропускную способность дрен и коллекторов следует проверять по максимальному дренажному модулю стока, образуемому при производстве влагозарядковых и промывных поливов.
Значения расходов воды в дренах следует устанавливать по площади, обслуживаемой дреной, и расчетному модулю дренажного стока.
6.17.2.19 Расчетный диаметр дренажного трубопровода определяют из условий пропуска максимального расхода при полном заполнении его полости и принимают по значениям внутренних диаметров труб, перечисленных в
6.17.1.26, и назначают равным ближайшему в сторону большего значению. При превышении расчетного внутреннего диаметра дренажного трубопровода над стандартными значениями индустриально выпускаемых труб на 10 и менее процентов возможно использование труб с диаметром меньше расчетного, при этом допускается кратковременный (до 5 суток) напорный режим работы дрен.
Расчетный диаметр полимерного дренажного трубопровода или его пропускную способность следует определять в соответствии с
СП 399.1325800.
(абзац введен
Изменением N 2, утв. Приказом Минстроя России от 18.12.2023 N 936/пр)
6.17.2.20 Параметры закрытых коллекторов и дрен, расстояния между дренами и глубина их заложения определяются на основе гидравлического расчета.
(пп. 6.7.2.20 в ред.
Изменения N 2, утв. Приказом Минстроя России от 18.12.2023 N 936/пр)
6.17.2.21 Гидравлический расчет открытых коллекторов следует проводить при расходах воды более 0,5 м
3/с, а также при меньших расходах, когда уклон превышает 0,0005 для песчаных, 0,003 для суглинистых и 0,005 для глинистых грунтов, по формулам равномерного движения воды по
приложениям М,
П,
Р,
С. Расчетный расход воды в открытых коллекторах следует определять как сумму расходов, впадающих в него коллекторов или дрен низшего порядка. Гидравлический расчет дрен следует производить по участкам, отличающимся величиной расхода и уклона, влияющего на диаметр трубопровода.
6.17.2.22 Смотровые колодцы следует устанавливать в истоках дрен, в местах поворота дрен и коллекторов, изменения уклона и диаметра труб, впадения дрен в закрытые коллекторы, а также в местах, необходимых для промывки дренажных линий.
6.17.2.23 Сопряжение закрытых дрен с закрытыми и открытыми коллекторами должно обеспечивать отвод дренажных вод без образования подпоров в дренах.
6.17.2.24 Уклон устьевой трубы в сторону водоприемника не должен быть меньше уклона нижней части коллектора.
6.17.2.25 Дренажные устья должны:
- углубляться на 0,2 - 0,3 м в откос канала;
- располагаться на высоте не ниже чем на 0,5 м над дном русла неукрепленного водоприемника и на 0,3 м - укрепленного;
- выступать из откоса не более 10 - 20 см.
6.17.2.26 Устья не следует располагать ближе 5 м от места возможного стока поверхностных вод в водоприемник. Для предохранения устья от стока поверхностных вод над ним следует устраивать земляной валик.
6.17.2.27 Устьевую часть дренажной трубы следует укладывать на длине до 4,0 м не перфорированной, стык дренажной трубы на длине не менее 0,4 м должен быть заделан плотной глиной или суглинком в виде замка или покрыт защитно-фильтрующим материалом.
Укладка и монтаж дренажных полимерных трубопроводов должны проводиться с учетом требований
СП 399.1325800.
(абзац введен
Изменением N 2, утв. Приказом Минстроя России от 18.12.2023 N 936/пр)
6.17.2.28 Во избежание подпора воды в дренажной системе впадающие в колодец коллекторные трубы следует располагать выше выходящих не менее чем на 5 см. Если смотровой колодец используется и как отстойник, его дно следует делать на 0,4 - 0,6 м ниже выходящей трубы.
6.17.2.29 Минимальные уклоны дренажных линий для труб диаметром до 300 мм - 0,001, для больших диаметров - 0,0005.
6.17.2.30 Для защиты орошаемой территории от подтопления со стороны рек, водохранилищ и вышерасположенной территории следует предусматривать береговые и головные дрены.
(в ред.
Изменения N 2, утв. Приказом Минстроя России от 18.12.2023 N 936/пр)
6.17.2.31 С целью экономии фильтрующего материала и трудовых затрат при расчете параметров дренажной сети следует также учитывать дренирующее действие открытых и закрытых фильтрующих коллекторов.
(в ред.
Изменения N 2, утв. Приказом Минстроя России от 18.12.2023 N 936/пр)
6.17.2.32 Сопряжение дрен с коллекторами в вертикальной плоскости осуществляется следующим образом: закрытую дрену с закрытым коллектором - при помощи смотровых колодцев с соблюдением условия, чтобы низ трубы дрены был выше дна трубы коллектора не менее чем на 0,8Dint, где Dint - внутренний диаметр коллектора; закрытую дрену с открытым коллектором - при помощи устьевого сооружения с учетом, чтобы расчетный уровень воды в коллекторе был не менее чем на 0,3 м ниже низа устьевой трубы дрены, а максимальный расчетный уровень воды в коллекторе не подтоплял устье дрены.
6.17.2.33 В проектной документации следует предусматривать строительство коллекторно-дренажной сети после ввода в действие насосной станции.
6.17.3 Вертикальный гидромелиоративный дренаж
(в ред.
Изменения N 2, утв. Приказом Минстроя России от 18.12.2023 N 936/пр)
6.17.3.1 Вертикальный дренаж следует проектировать в виде водозаборных скважин, оборудованных электропогружными насосами. Вертикальный дренаж следует применять при дренировании грунтов проводимостью более 100 м2/сут и в случае, когда слабопроницаемые грунты подстилаются пластами с напорными водами.
6.17.3.2 Размещение скважин систематического вертикального дренажа в зависимости от увязки с оросительной сетью следует выполнять в виде сетки с равномерным или неравномерным шагом скважин в двух взаимно перпендикулярных направлениях. При этом скважины не должны располагаться у каналов без противофильтрационной "одежды".
6.17.3.3 Плановое расположение скважин вертикального дренажа необходимо увязывать с геологическим и гидрогеологическим строением, рельефом, границами мелиорируемого участка. Для уменьшения капитальных вложений на строительство энергообеспечивающих систем скважин и уменьшения эксплуатационных затрат скважины следует размещать по возможности вблизи существующих линий электропередачи и трансформаторных подстанций с соблюдением требований
СП 76.13330.
6.17.3.4 При выборе конструкций скважин вертикального дренажа следует учитывать гидрогеологические условия, требуемое понижение уровня грунтовых вод, дебит, технологию бурения и параметры насосно-силового оборудования. При проектировании скважин следует предусматривать применение неметаллических труб.
(в ред.
Изменения N 2, утв. Приказом Минстроя России от 18.12.2023 N 936/пр)
6.17.3.5 Расчет вертикального дренажа должен включать:
- определение параметров всей системы (количество скважин, расстояние между ними);
- расчет параметров скважин (дебита, понижения в скважине и в характерных точках массива, радиуса влияния) и их конструктивных элементов (диаметра и глубины скважин, длины и диаметра фильтра, толщины и состава обсыпки).
6.17.3.6 Параметры систематического вертикального дренажа и линейных систем скважин устанавливаются расчетом в соответствии с
[14]. Расчет линейных систем дренажа следует проводить при заданном понижении воды в скважине или известном дебите.
(в ред.
Изменения N 2, утв. Приказом Минстроя России от 18.12.2023 N 936/пр)
6.17.3.7 В сложных природных условиях при перераспределении потоков подземных вод, изменении напорного питания в результате работы дренажа, взаимодействии крупных дренажных систем следует использовать математическое моделирование.
6.17.3.8 Конструкция скважин вертикального дренажа должна определяться:
- литологическим строением водоносного комплекса и химическим составом вод каптируемого пласта;
- эксплуатационными параметрами - дебитом и требуемым понижением уровня воды в скважине;
- методами производства строительных работ и оборудования скважин;
- схемой и объемом автоматизации;
- требованиями к производству ремонтных работ.
6.17.3.9 Водоприемная часть скважин должна удовлетворять следующим требованиям:
- диаметр фильтрового каркаса должен позволять свободный монтаж и демонтаж электропогружного насоса и приборов автоматизации;
- обеспечивать максимальный водозабор, долголетнюю и бесперебойную работу скважин.
6.17.3.10 Проектирование вертикального дренажа без систем автоматизации не допускается.
6.17.3.11 При проектировании вертикального дренажа определяют следующие параметры скважин: глубину, диаметр скважины, длину и диаметр фильтра, скважность, размер и форму проходных отверстий фильтра и механический состав гравийной обсыпки определяют расчетами.
6.17.3.12 Диаметр бурения скважин вертикального дренажа принимают не менее 600 мм. Глубина скважины, определяемая глубиной залегания и мощностью водосодержащих грунтов, не должна превышать 100 м. Длину отстойника следует принимать не более 1 м.
6.17.3.13 Диаметр скважины определяют по формуле
Dc = Dk + 2·ts, (27в)
где Dk - диаметр фильтрового каркаса, м;
ts - толщина гравийного фильтра, м.
6.17.3.14 Глубину скважины следует определять по формуле
dc = lsl + lk + lt, (27г)
где dc - глубина скважины, м;
lsl - длина эксплуатационной колонны, м;
lk - длина фильтровой колонны, м;
lt - длина отстойника, м.
Длину эксплуатационной колонны следует определять исходя из гидрогеологических условий, величины понижения, местоположения насоса и условия его работы.
6.17.3.15 Длину фильтра-каркаса следует выбирать с учетом стандартной длины звена заводского изготовления и мощности водоносного пласта. Если мощность водоносного пласта менее 10 м, то длина фильтра принимается равной его мощности. При мощности водоносного пласта более 10 м длину фильтра следует принимать 70 - 80% от мощности пласта, но не более 25 м. Скважность фильтра должна составлять:
- 30% - из стальных материалов;
- 25% - из хризотилцементных и полимерных материалов.
(в ред.
Изменения N 2, утв. Приказом Минстроя России от 18.12.2023 N 936/пр)
Увеличение скважности должно быть обосновано расчетами фильтров на прочность.
6.17.3.16 Диаметр фильтрового каркаса следует подбирать из условия пропуска максимального расхода и обеспечения свободного монтажа и демонтажа насосно-силового оборудования, размещения средств автоматизации.
6.17.3.17 Диаметр фильтрового каркаса следует рассчитывать по формуле:

(27д)
где Qmax - максимальный дебит скважины, м3/сут;

- скважность фильтрового каркаса, %.
Допустимую скорость движения воды в прифильтровой зоне следует определять по формуле

(27е)
где Recr - критическое число Рейнольдса;
ls - коэффициент пористости гравийной обсыпки (0,30 - 0,40);
k - коэффициент фильтрации водоносного грунта, м/сут.
Скорость движения воды в фильтровой колонне и водоподъемных трубах не должна превышать 2 м/с.
6.17.3.18 Размеры и форму проходных отверстий следует подбирать в зависимости от фракционного состава фильтровой обсыпки. Размеры проходных отверстий при устройстве фильтров с гравийно-песчаной обсыпкой определяют по формулам:
- для круглой перфорации dk = (1,2 - 1,5)·ds,50;
- для щелевой перфорации bkd = (0,75 - 1,0)·ds,50; lkd = (25 - 35)·ds,50,
где ds,50 - средний диаметр фракции гравийно-песчаной обсыпки, мм;
bkd и lkd - ширина и длина щелей соответственно, мм.
Круглые отверстия на фильтровом каркасе следует располагать в шахматном порядке, а щелевые - винтообразно с углом наклона 15°.
Число отверстий, соответствующее заданной скважности фильтрового каркаса на 1 м его длины, определяют по формулам:
- для круглой перфорации:

(27ж)
- для щелевой:

(27и)
6.17.3.19 Расчет фильтровой обсыпки скважин вертикального дренажа приведен в
[14].
6.17.3.20 В прифильтровой зоне скважины следует предусматривать однослойную фильтровую обсыпку. В качестве обсыпки следует применять отсортированные гравийные смеси. Толщина обсыпки должна быть не менее 15 см.
6.17.3.21 При разработке проектной документации на строительство системы вертикального дренажа необходимо предусматривать, чтобы устройство линий электропередач производилось одновременно или опережало строительство скважин.
6.17.3.22 Проектный режим работы системы скважин вертикального дренажа должен быть разработан на основании данных мелиоративного состояния орошаемых земель в увязке с графиком нагрузок на энергосистеме, планами текущих и капитальных ремонтов скважин и насосно-силового оборудования.
6.17.3.23 Вокруг скважин вертикального дренажа следует предусматривать ограждаемую площадку не более 150 м2, располагаемую на 0,3 м выше отметки окружающей территории.
6.17.3.24 Работа насосных агрегатов на скважинах вертикального дренажа должна быть автоматизирована по уровню воды в скважинах.
6.17.3.25 Электропогружной насос следует располагать над фильтром. Если по геолого-структурным условиям невозможно установить насос над фильтром, то его следует располагать в отстойнике или в фильтре (при условии перекрытия этой части фильтра "глухой" трубой).
(в ред.
Изменения N 2, утв. Приказом Минстроя России от 18.12.2023 N 936/пр)
6.17.3.26 Станция управления насосными агрегатами, средства автоматизации, контрольно-измерительная аппаратура должны располагаться в специальном шкафу или здании.
6.17.3.27 Водоотводящая сеть скважин вертикального дренажа должна быть выполнена из труб, лотков, каналов с противофильтрационными покрытиями или в земляном русле. В последнем случае участок водоотвода длиной 40 - 50 м от скважины должен быть "глухим" (труба, лоток).
Отводящие трубопроводы должны быть оборудованы задвижками и водовыпусками в водоприемник. Стенки и дно водоприемников в месте сброса дренажных вод должны быть надежно защищены от размыва.
6.17.3.28 Режим работы системы вертикального дренажа должен составляться отдельно для периодов освоения и эксплуатационного. Для эксплуатационного периода коэффициент полезной работы скважин допускается принимать 0,7 - 0,8 (отношение продолжительности фактической работы к календарному времени в году).
6.17.3.29 Каждая скважина или группа скважин должна оборудоваться контрольно-измерительной аппаратурой, позволяющей измерять:
- количество откачиваемой воды;
- положение динамического уровня воды в скважине;
- минерализацию воды;
- количество затраченной электроэнергии;
- напряжение и силу тока в цепи.
6.17.4 Комбинированный дренаж
6.17.4.1 Комбинированный дренаж следует предусматривать при двухслойном или многослойном строении водоносного пласта, когда верхний слабопроницаемый слой мощностью до 15 м подстилается водонапорным пластом мощностью не более 15 м.
Расчет комбинированного дренажа следует проводить согласно требованиям, приведенным в
[14].
6.17.4.2 Расчет линейного (отсечного) комбинированного дренажа должен выполняться по формулам для линейного горизонтального дренажа (п.
6.17.2), в которых вместо фильтрационных сопротивлений горизонтального дренажа используются фильтрационные сопротивления комбинированного дренажа.
6.17.4.3 Сопряжение скважин комбинированного дренажа с горизонтальными дренами должно обеспечивать свободный (без подпора) отвод дренажных вод. Подключение скважин к закрытым коллекторам и дренам должно быть закрытого типа.
6.17.4.4 Подключение скважин-усилителей к горизонтальным дренам должно обеспечивать возможность контроля работы скважин при их эксплуатации. Для этого следует предусматривать:
- подключение водоотводящей трубы скважин к смотровому колодцу выше уровня воды в колодце или верха дренажных труб не менее чем на 0,6 - 0,8 ее диаметра;
- подключение скважин-усилителей к открытой коллекторной сети на уровне расчетного горизонта воды, соответствующего пропуску средневегетационного расхода.
6.17.4.5 Длину фильтровой части скважин-усилителей следует принимать равной мощности водоносного пласта, но не более 10 м.
6.18 Противофильтрационные покрытия каналов
(подраздел 6.18 введен
Изменением N 1, утв. Приказом Минстроя России от 01.02.2019 N 74/пр)
6.18.1 Общие положения
6.18.1.1 Противофильтрационные покрытия устраиваются на оросительных каналах в водопроницаемых грунтах, а также на участках каналов в насыпи.
6.18.1.2 Тип противофильтрационного покрытия следует назначать на основании сравнения технико-экономических показателей рассматриваемых конструктивных вариантов. Основные типы и конструкции противофильтрационных покрытий мелиоративных каналов приведены в приложении Ю (
рисунки Ю.1,
Ю.2,
Ю.3,
Ю.4).
6.18.1.3 При выборе типа покрытия мелиоративных каналов следует учитывать следующие требования:
- обеспечение минимальных потерь воды на фильтрацию и высокого коэффициента полезного действия оросительного канала;
- экономное использование водных, земельных и топливно-энергетических ресурсов;
- использование высокопроизводительной техники и технологий строительства;
- высокая производительность труда при эксплуатации противофильтрационных покрытий оросительных каналов;
- комплексная автоматизация технологических процессов, при этом степень автоматизации должна быть обоснована технико-экономическими расчетами;
- соблюдение требований охраны окружающей природной среды и санитарно-гигиенических требований.
6.18.1.4 При проектировании противофильтрационных покрытий следует учитывать все виды нагрузок, действующих на покрытие в процессе ее возведения и эксплуатации, в том числе:
- нагрузки от смерзания покрытия по контакту с ложем канала;
- гидростатические нагрузки от воды;
- гидродинамические нагрузки от воздействия волн;
- ледовые нагрузки;
- температурно-усадочные деформации в бетоне при укладке в покрытие;
- воздействие напора воды в канале со стороны грунтовых вод.
6.18.1.5 Противофильтрационные покрытия мелиоративных каналов должны удовлетворять следующим условиям:
- соответствовать требованиям нормативно-технической документации;
- обеспечивать безотказную работу в течение нормативного срока службы.
6.18.1.6 При проектировании противофильтрационных покрытий следует учитывать наличие в водах загрязнений и механической или химической суффозии грунтов подстилающего слоя и основания.
6.18.1.7 При изысканиях грунты основания канала должны быть охарактеризованы в отношении водопроницаемости, засоленности, просадочности, суффозионной устойчивости, набухаемости и склонности к морозному пучению в соответствии с требованиями
СП 47.13330.
6.18.1.8 В зависимости от типа покрытия, геологических, гидрогеологических и других местных условий для качественной подготовки основания в проектной документации следует предусмотреть выполнение следующих видов подготовительных работ:
- замачивание просадочных грунтов;
- уплотнение насыпных и рыхлых грунтов;
- планировка откосов и дна канала;
- обработка основания гербицидами.
6.18.1.9 Плотность подстилающих грунтов должна соответствовать значениям, приведенным в таблице 9в.
Таблица 9в
Значения плотности подстилающих грунтов
Грунты основания | Плотность, кг/м3 |
Суглинок | 1600 - 1700 |
Супесь | 1550 - 1600 |
Глина | 1600 - 1800 |
Песчаник | 1900 - 2000 |
Гравий (галечник) | 2100 - 2200 |
6.18.1.10 Монолитные покрытия следует укладывать на спланированный грунт оснований, сложенных прочными (устойчивыми) грунтами.
(пп. 6.18.1.10 в ред.
Изменения N 2, утв. Приказом Минстроя России от 18.12.2023 N 936/пр)
6.18.1.11 При проектировании сборных покрытий по основанию, сложенному устойчивыми связанными грунтами, следует предусматривать выравнивающую подготовку из песчаных грунтов толщиной до 10 см для обеспечения надежного прилегания покрытия к основанию.
6.18.1.12 При проектировании противофильтрационного покрытия на мелиоративных каналах, проходящих в дресвяных, гравийных, галечниковых грунтах, содержащих частицы размером 20 мм и более, предусматривается подготовка из суглинка толщиной 10 - 15 см.
6.18.1.13 В процессе проектирования противофильтрационного покрытия мелиоративных каналов в основаниях, сложенных глинистыми и суглинистыми комковатыми грунтами, следует предусмотреть укатку для раздробления сухих комков, уборку камней, корней и других предметов, способных повредить покрытие.
6.18.1.14 При создании противофильтрационных покрытий на каналах, проходящих в глубоких выемках с бермами, следует предусматривать мероприятия по отводу паводкового и ливневого стока со склонов выемки и берм, которые должны быть выполнены с уклоном 0,02 - 0,03 в сторону канала. Конструкция покрытий при этом должна исключать попадание поверхностных вод под покрытие канала.
6.18.1.15 При проектировании сооружений для пропуска паводковых и ливневых вод под насыпями, в местах пересечения каналов с временными водотоками их следует рассчитывать на безнапорный режим работы и обеспечивать качественную заделку стыков в сборных элементах сооружений, чтобы исключить замачивание основания из насыпных грунтов под покрытием каналов.
6.18.2 Бетонные и железобетонные покрытия
6.18.2.1 При проектировании бетонных и железобетонных покрытий необходимо соблюдать требования настоящего свода правил и
СП 58.13330,
СП 41.13330.
6.18.2.2 Выбор типа бетонных и железобетонных покрытий (монолитных, сборно-монолитных, сборных) должен производиться исходя из условий их применения в конкретных условиях строительства с учетом максимального снижения материалоемкости, энергоемкости, трудоемкости и стоимости строительства. Конструктивные схемы бетонных и железобетонных покрытий мелиоративных каналов приведены в приложении
Ю.2.
6.18.2.3 При проектировании бетонных и железобетонных покрытий в зависимости от условий работы необходимо устанавливать требуемые показатели качества бетона:
а) класс бетона по прочности на сжатие, которые отвечают значению гарантированной прочности бетона, с обеспеченностью P = 0,95;
б) класс бетона по прочности на осевое растяжение;
в) марка бетона по морозостойкости;
г) марка бетона по водонепроницаемости.
6.18.2.4 Бетон для бетонных и железобетонных покрытий должен удовлетворять требованиям
ГОСТ 26633 и указаниям настоящего раздела.
6.18.2.5 Марку бетона по водонепроницаемости для покрытий каналов следует назначать в зависимости от градиента напора, определяемого как отношение максимального напора, м, к толщине покрытия, с учетом требований
СП 28.13330.
6.18.2.6 Марку бетона по морозостойкости следует назначать в зависимости от климатических условий и числа расчетных циклов попеременного замораживания и оттаивания в течение года (по данным долгосрочных наблюдений) с учетом эксплуатационных условий, а также с учетом требований
СП 41.13330.
6.18.2.7 Марка цемента назначается в зависимости от требуемых прочностных показателей бетона покрытия с учетом требований
ГОСТ 31108,
ГОСТ 22266. При сульфатной агрессии применяются сульфатостойкие портландцементы в соответствии с
ГОСТ 22266.
(в ред.
Изменения N 2, утв. Приказом Минстроя России от 18.12.2023 N 936/пр)
Выбор вида цемента должен производиться с учетом климатических условий района строительства, периода года, условий эксплуатации сооружений. При агрессивном воздействии водной среды вид цемента выбирается по
СП 28.13330 в зависимости от показателей и степени агрессивности.
(в ред.
Изменения N 2, утв. Приказом Минстроя России от 18.12.2023 N 936/пр)
6.18.2.8 Выбор мелкого заполнителя для бетона определяется требованиями
ГОСТ 26633,
ГОСТ 8736. С целью снижения водопотребности бетонной смеси допускается применять крупные и среднезернистые пески с модулем крупности не менее 2,0.
(в ред.
Изменения N 2, утв. Приказом Минстроя России от 18.12.2023 N 936/пр)
Содержание в песке глинистых и пылевидных частиц должно быть не более 1%, в том числе глинистых частиц - не более 0,5%. В песке не допускаются наличие опала и других аморфных видоизменений кремнезема.
6.18.2.9 Выбор крупного заполнителя определяется в соответствии с требованиями
ГОСТ 26633,
ГОСТ 8267. Для снижения водопотребности и повышения долговечности покрытия в крупном заполнителе содержание зерен слабых пород не должно быть более 5%, а игловатых и лещадных зерен - 15%. Содержание пылевидных, илистых и глинистых частиц в щебне и гравии допускается не более 0,5%.
6.18.2.10 Максимальная крупность зерен щебня и гравия выбирается с учетом размеров сечения покрытия (не более 1/3 толщины), но не более 40 мм. Зерновой состав смеси крупных заполнителей допускается подбирать экспериментально по наибольшей плотности (объемной насыпной массе). Применение гравийно-песчаной смеси или рядового щебня (гравия) допускается после переработки и разделения на фракции в соответствии с
ГОСТ 26633.
(в ред.
Изменения N 2, утв. Приказом Минстроя России от 18.12.2023 N 936/пр)
6.18.2.11 Для обеспечения требуемых характеристик бетонной смеси допускается применение добавок
[24],
[25] согласно требованиям
СП 41.13330.
(в ред.
Изменения N 2, утв. Приказом Минстроя России от 18.12.2023 N 936/пр)
6.18.2.12 Вода для приготовления рабочих растворов химических добавок, бетонных смесей с добавками должна отвечать требованиям
ГОСТ 23732.
6.18.2.13 Для армирования железобетонных покрытий следует применять арматурную сталь в соответствии с
ГОСТ Р 57997.
6.18.2.14 При выборе элементов сборных покрытий следует использовать предварительно напряженные конструкции из высокопрочных бетонов и арматуры в соответствии с требованиями
ГОСТ 22930.
6.18.2.15 Основные размеры элементов бетонных покрытий оросительных каналов, а также степень насыщения железобетонных плит арматурой следует принимать на основании сравнения технико-экономических показателей вариантов.
6.18.2.16 Для предотвращения образования трещин или уменьшения их раскрытия в монолитных бетонных и железобетонных покрытиях необходимо предусматривать постоянные температурно-усадочные и осадочные швы.
6.18.2.17 Для уменьшения температурно-усадочных напряжений, а также влияния неравномерных осадок основания на прочность покрытия допускается устраивать временные расширенные швы, заполняемые бетоном после выравнивания температур и стабилизации осадок.
6.18.2.18 Расстояние между постоянными и временными швами следует назначать в зависимости от климатических и геологических условий, конструктивных особенностей сооружения и последовательности производства работ.
6.18.2.19 Конструктивное решение швов с герметизирующими материалами обосновывается в проектной документации в зависимости от покрытия канала, условий эксплуатации и технико-экономических показателей.
6.18.2.20 При проектировании деформационных швов противофильтрационных покрытий следует исходить из условий возможной деформации подстилающих грунтов, строительной глубины оросительного канала и условий его эксплуатации.
6.18.2.21 При проектировании покрытий с швами, уплотняемыми герметизирующими прокладками, следует чередовать швы расширения и швы сжатия. Расстояние между швами сжатия принимается в пределах 3 - 5 м; расстояние между швами расширения 9 - 15 м. Фиксация стыков осуществляется за счет соединения граничащих сборных элементов между собой путем их сварки по монтажным петлям.
6.18.2.22 В качестве заполнителя полости шва следует использовать уплотняющие прокладки, обладающие упруго-пластическими свойствами. Применяемый материал должен обеспечить проектный размер зазора деформационного шва при ведении бетонных работ и свободное сжатие/раскрытие шва, без возникновения напряжений в сопрягаемых элементах покрытия, при эксплуатации.
6.18.2.23 Перед герметизацией стыков бетонных и железобетонных элементов противофильтрационных покрытий следует в проектной документации предусмотреть специальные виды работ по нанесению грунтовочных составов (грунтовки).
6.18.2.24 Заполнитель полости шва в сборных железобетонных покрытиях следует крепить клеевым составом. Применяемый клеевой состав должен иметь хорошую адгезию к склеиваемым материалам и не вызывать их разрушения.
6.18.2.25 В качестве клеевого состава допускается использовать герметики, мастики или клеи холодного применения на полиуретановой, полисульфидной (тиоколовой), бутилкаучуковой, эпоксидной или другой основе.
(в ред.
Изменения N 2, утв. Приказом Минстроя России от 18.12.2023 N 936/пр)
6.18.2.26 Для замоноличивания стыков элементов сборных покрытий, подвергающихся в процессе эксплуатации воздействию отрицательных температур наружного воздуха или воздействию агрессивной воды, следует применять бетоны проектных марок по морозостойкости и водонепроницаемости не ниже принятых для стыкуемых элементов.
(в ред.
Изменения N 2, утв. Приказом Минстроя России от 18.12.2023 N 936/пр)
6.18.2.27 Для сборных, в том числе предварительно напряженных конструкций, прочность бетона на сжатие следует принимать не менее 70% прочности принятого класса бетона.
6.18.2.28 При сопряжении одежды откосов канала с поверхностью земли (с бермами) следует устраивать бетонные заплечники:
(в ред.
Изменения N 2, утв. Приказом Минстроя России от 18.12.2023 N 936/пр)
- для каналов с расходом от 3 м3/с или глубиной воды от 1 м: ширина заплечника - 0,5 м и устройство земляного экрана из местных грунтов, на прилегающей к заплечникам полосе, шириной 1,0 м;
- для каналов с расходом менее 3 м3/с или глубиной воды менее 1 м: заплечники устраиваются в виде бордюра шириной 10 - 25 см для сопряжения с уплотненной и спланированной грунтовой бермой.
6.18.2.29 При изменении инженерно-геологических условий по длине трассы канала допускается изменять тип одежды, но при условии не менее 200 м по длине канала.
(в ред.
Изменения N 2, утв. Приказом Минстроя России от 18.12.2023 N 936/пр)
На границах с разными по водопроницаемости типами покрытий менее водопроницаемое покрытие продолжается на смежном участке на длине не менее четырех глубин канала или на границе смежных участков делается зуб на глубину не менее 1/2 глубины канала.
6.18.3 Покрытия на основе асфальтобетона
6.18.3.1 Покрытия на основе асфальтобетона в качестве противофильтрационной защиты на оросительных каналах применяются при технико-экономическом обосновании.
(в ред.
Изменения N 2, утв. Приказом Минстроя России от 18.12.2023 N 936/пр)
6.18.3.2 Для устройства противофильтрационных покрытий оросительных каналов на основе асфальтобетона, применяется плотный гидротехнический асфальтобетон (песчаный или мелкозернистый), в том числе с добавлением полимерных добавок. Допускается применение как горячих, так и холодных асфальтобетонов.
6.18.3.3 Покрытия на основе асфальтобетона выполняют монолитными и сборно-монолитными способами.
(в ред.
Изменения N 2, утв. Приказом Минстроя России от 18.12.2023 N 936/пр)
6.18.3.4 Запрещается устройство асфальтобетонных покрытий на откосах при модуле деформации грунта основания менее 10 МПа.
6.18.3.5 Проектный состав асфальтобетона устанавливается в каждом отдельном случае в зависимости от толщины слоя и характеристик исходных материалов.
6.18.3.6 Для оросительных каналов асфальтобетонные покрытия проектируют однослойными, но при технико-экономическом обосновании - двух- или трехслойными. Основные конструктивные решения асфальтобетонного противофильтрационного покрытия оросительных каналов приведены в приложении
Ю.3.
(в ред.
Изменения N 2, утв. Приказом Минстроя России от 18.12.2023 N 936/пр)
6.18.3.7 Заложение откосов каналов с асфальтобетонными покрытиями должно быть не менее 1:1,5.
6.18.3.8 Толщину слоя асфальтобетонного покрытия при проектировании следует принимать: для каналов глубиной до 1,5 м - не менее 5,0 см; от 1,5 до 3,0 м - 6 см; от 3,0 до 5,0 м - 8,0 см.
(в ред.
Изменения N 2, утв. Приказом Минстроя России от 18.12.2023 N 936/пр)
6.18.3.9 При проектировании асфальтобетонных покрытий в случае, когда уровень грунтовых вод выше дна канала, следует предусмотреть щебеночную подготовку по дну и откосам толщиной 10 см.
6.18.3.10 При двух- и трехслойном покрытии, промежуточные слои устраиваются из сортированного гравия или щебня слоем 15 - 20 см с крупностью фракции 10 - 40 мм, покрытых битумом (черный щебень), или пористого асфальтобетона.
6.18.3.11 Деформационные и температурные швы при проектировании асфальтобетонных покрытий не предусматриваются.
6.18.3.12 Армирование асфальтобетонных покрытий проектируется в местах сопряжений с жесткими и массивными сооружениями.
6.18.3.13 При проектировании асфальтобетонных покрытий необходимо предусмотреть поверхностную обработку асфальтобетона путем нанесения защитного слоя.
6.18.3.14 При проектировании асфальтобетонных покрытий в районах с жарким климатом, где возможен нагрев покрытия до +60 °C, следует предусматривать поверхностную обработку светлыми органическими или минеральными вяжущими красителями.
6.18.4 Покрытия с применением геосинтетических материалов
6.18.4.1 Противофильтрационные покрытия мелиоративных каналов с использованием геосинтетических материалов применяются для снижения фильтрационных потерь, увеличения коэффициента полезного действия, повышения допустимых скоростей воды и защиты русел каналов от размыва и зарастания.
6.18.4.2 Противофильтрационные покрытия мелиоративных каналов с использованием геосинтетических материалов применяют на каналах любого профиля, проходящих в сильнофильтрующих, суффозионно-неустойчивых, набухающих, пучинистых и просадочных грунтах. Для устройства противофильтрационных покрытий мелиоративных каналов применяются геомембраны и полиэтиленовые пленки.
(в ред.
Изменения N 2, утв. Приказом Минстроя России от 18.12.2023 N 936/пр)
6.18.4.3 Схема конструкции противофильтрационного покрытия мелиоративных каналов с применением геосинтетических материалов приведена в приложении Ю (
рисунок Ю.1 в). Конструктивные решения противофильтрационных покрытий с использованием геосинтетических материалов приведены в приложении Ю
(рисунок Ю.2).
6.18.4.4 Конструкции покрытий с применением геосинтетических материалов и защитным покрытием из сборного или монолитного бетона (железобетона) (приложение Ю,
рисунок Ю.4 а,
б) устраиваются на каналах в непросадочных и непучинистых грунтах с величиной просадки (деформации) до 0,5 м.
6.18.4.5 Конструкции покрытий с применением геосинтетических материалов и защитным покрытием из каменной наброски (приложение Ю,
рисунок Ю.4 в - е) применяются на каналах в средне- и сильнопросадочных грунтах с величиной просадки (деформации) до 0,7 м.
6.18.4.6 Конструкции покрытий с применением геосинтетических материалов и защитным покрытием из габионов и георешетки (приложение Ю,
рисунок Ю.4 ж,
и) применяются на каналах в средне- и сильнопросадочных грунтах с величиной просадки (деформации) до 0,7 м.
6.18.4.7 Выбор защитного покрытия производится на основе технико-экономического сравнения вариантов в зависимости от назначения канала, геологических условий, скорости течения воды, условий эксплуатации и наличия местных строительных материалов.
6.18.4.8 Марка, размеры и характеристики геомембран и полиэтиленовых пленок, применяемых для устройства противофильтрационных покрытий мелиоративных каналов, принимаются в соответствии с указаниями
ГОСТ Р 56586 и
ГОСТ 10354 соответственно. Требования к расчету параметров полиэтиленовой пленки, применяемой в противофильтрационных покрытиях мелиоративных каналов приведены в
[26].
6.18.4.9 Для покрытий с использованием геосинтетических материалов с защитным покрытием из железобетонных плит и монолитного бетона характеристики бетона и железобетона устанавливаются в зависимости от типа конструкции в соответствии с требованиями
СП 41.13330.
6.18.4.10 Соединение геосинтетических материалов и пленок в полотнища осуществляется путем их сварки. При проектировании экранов из геосинтетических материалов на непросадочных грунтах в неблагоприятных для сварки полотнищ погодных условиях допускается устройство стыков (кроме продольных стыков на откосах) в виде скруток пленки в валик или внахлест с использованием для склейки битумной, битумно-полимерной, битумно-резиновой или полимерной мастики, проливаемой полоской на край нижнего полотна и образующей после наложения и прикатывания верхнего полотнища герметичный шов. Прочность сварного и склеенного шва должна быть не ниже 80% прочности основного материала.
7.1 Основные требования к осушительным системам
7.1.1 При проектировании осушительных систем должны быть установлены причины избыточного увлажнения территории и величина каждой из составляющих водного баланса во время весеннего, летне-осеннего дождевого паводков и в посевной период.
7.1.2 В зависимости от причин избыточного увлажнения на осушаемом массиве необходимо предусматривать:
- защиту от поступления поверхностных вод с окружающей водосборной площади;
- защиту от затопления паводковыми водами водоемов и водотоков;
- отвод поверхностного стока на осушаемом массиве;
- перехват и понижение уровней подземных вод на осушаемом массиве;
- защиту от подтопления фильтрационными водами из водоемов и водотоков.
7.1.3 Способы осушения и конструктивные решения осушительных систем должны обеспечивать создание на осушаемом массиве необходимого водно-воздушного режима почв с учетом изменения во времени приходных элементов водного баланса. Принципиальная схема осушительной системы приведена в
приложении Х.
7.1.4 В зависимости от класса каналов по основному рассчитанному варианту необходимо принимать расчетную обеспеченность расходов воды. Класс каналов принимается равным классу защищаемого сооружения.
Таблица 10
Методы и способы осушения
Тип водного питания | Метод осушения земель | Способ осушения земель |
Грунтовый | Понижение уровней грунтовых вод | Открытые каналы (осушители), закрытый дренаж (систематический или выборочный), вертикальный дренаж, кротовый и щелевой дренажи, углубление естественных дрен (реки, ручьи), кольматаж поверхности |
Перехват потока грунтовых вод | Ловчие каналы и дрены, береговой дренаж, вертикальный дренаж |
Уменьшение притока грунтовых вод | Антифильтрационные завесы, мероприятия по ограничению питания грунтовых вод (борьба с потерями в каналах), биологический дренаж |
(в ред. Изменения N 2, утв. Приказом Минстроя России от 18.12.2023 N 936/пр) |
Грунтово-напорный | Понижение пьезометрических уровней: - на объекте | Глубокий горизонтальный (открытый и закрытый) дренаж, вертикальный дренаж, разгрузочные скважины - усилители горизонтального дренажа |
- за его пределами | Устройство водозаборов подземных вод, мероприятия по ограничению питания напорного водоносного горизонта |
Атмосферный | Ускорение поверхностного стока | Открытые каналы (собиратели), искусственные ложбины, закрытые собиратели, планировка поверхности, агромелиоративные мероприятия (глубокое рыхление почвы, выборочное бороздование, профилирование, грядование и гребневание поверхности, узкозагонная вспашка, вспашка вдоль склона) |
Атмосферный | Повышение инфильтрационной и аккумулирующей способности почв | Кротовый и щелевой дренажи, агромелиоративные мероприятия (глубокое рыхление, глубокая вспашка, рыхление подпахотного горизонта, кротование, глубокое мульчирование почвы, известкование почвы, обработка почвы химическими мелиорантами, пескование торфов, мероприятия по уменьшению глубины промерзания и ускорению оттаивания почвы) |
Склоновый | Перехват на границе объекта склонового поверхностного стока | Нагорные каналы и ложбины, перехватывающие дрены, защитные дамбы |
Уменьшение притока поверхностных вод со стороны | Комплекс противоэрозионных мероприятий на склоне (создание прудов, лиманов, лесонасаждение, вспашка зяби и пахота поперек склона, лункование почвы, повышение агротехники и интенсивности использования земель, оструктуривания почв) |
Намывной | Ускорение руслового паводкового стока | Регулирование рек-водоприемников (спрямление, углубление, уширение, расчистка русла) |
Защита территории от затопления | Обвалование рек, озер, нагорно-ловчих каналов |
Разгрузка реки (озера) системой мероприятий по регулированию стока | Устройство водохранилищ на реке и ее притоках. Переброска части стока в бассейн другой реки, перехват притоков реки (озера) каналом со сбросом воды ниже объекта |
Примечание - Способ осушения определяет принципиальную схему и конструкцию основного элемента осушительной системы - регулирующей части. |
Таблица 11
Расчетная обеспеченность расходов воды и условия
их пропуска для проводящих каналов и водоприемников
осушительных систем площадью до 2 тыс. га
Сельскохозяйственное использование осушаемых земель | Расчетные расходы воды | Условия пропуска расчетных расходов воды | Обеспеченность, % |
Полевые севообороты с озимыми культурами (вне поймы) | Весеннего половодья | В бровках | 10 |
Летне-осеннего паводка | С запасом от бровок 0,3 м |
Полевые севообороты без озимых культур | Предпосевной | С запасом от бровок 0,6 м |
Пастбища | Летне-осеннего паводка | С запасом от бровок 0,3 м |
Сенокосы | Летне-осеннего паводка | В бровках |
Овощные севообороты | Предпосевной | С запасом от бровок 0,8 м | 5 |
Летне-осеннего паводка | С запасом от бровок 0,5 м |
Сады | Весеннего половодья | В бровках |
Летне-осеннего паводка | С запасом от бровок 0,5 м |
Для всех видов использования земель | Средне-меженный | Обеспечение бесподпорной работы впадающей сети | 50 |
Поймы | Средне-меженный | Обеспечение бесподпорной работы впадающей сети | 30 - 40 |
7.1.5 Значения расчетных уровней и расходов воды в осушительных каналах, водоприемниках и водоисточниках осушительных систем необходимо определять в соответствии с требованиями, приведенными в
[10], с учетом формирования стока на водосборной площади.
7.1.6 Защиту осушаемого массива от поступления поверхностных вод со склонов следует обеспечивать путем устройства нагорных каналов, регулирования стока вод со склонов в водоемах на тальвегах.
7.1.7 Защита территории от затопления паводковыми водами водотоков и водоемов должна обеспечиваться путем устройства оградительных дамб, зарегулирования паводковых вод в водоемах, увеличения пропускной способности русел рек, перераспределения стока между соседними водосборными площадями. При защите от затопления необходимо соблюдать также требования
СП 104.13330.
7.1.8 Защита территории от поступления фильтрационных вод из рек, озер, водохранилищ должна обеспечиваться путем устройства береговых дрен или линейной системы скважин вертикального дренажа с учетом требований
СП 104.13330.
7.1.9 Осушительную сеть необходимо проектировать в сочетании с мероприятиями по организации поверхностного стока и повышению фильтрационной способности грунтов.
7.1.10 Для перехвата подземных вод, поступающих с прилегающего водосбора, следует предусматривать устройство ловчих каналов или дрен, линейной системы скважин вертикального дренажа, учащение систематического горизонтального дренажа. Для понижения уровней подземных вод на осушаемом массиве необходимо применять закрытую осушительную сеть.
(в ред.
Изменения N 2, утв. Приказом Минстроя России от 18.12.2023 N 936/пр)
7.1.11 Тип осушительных систем с самотечным отводом воды или с ее откачкой насосами должен выбираться в зависимости от требований охраны окружающей природной среды и гидрологического режима водоприемника.
7.1.12 Обвалование осушаемого массива оградительными дамбами (устройство польдеров) необходимо применять:
- на приморских, затапливаемых приливом или нагоном волны равнинах;
- в поймах рек, подверженных затоплению весенними и летне-осенними паводками на сроки, превышающие допускаемые для данного вида сельскохозяйственного использования земель;
- на приозерных заболоченных низменностях и на затапливаемых территориях, примыкающих к водохранилищам, для ликвидации зон мелководья.
7.1.13 Осушительные системы без устройства оградительных дамб с откачкой воды насосами следует применять:
- на безуклонных территориях, подтапливаемых водами морей, рек, озер, водохранилищ;
- при осушении замкнутых впадин во избежание строительства глубоких проводящих каналов;
- на участках вдоль железных и автомобильных дорог при экономической нецелесообразности переустройства существующих водопропускных сооружений.
7.1.14 Для осушения сельскохозяйственных земель следует применять горизонтальный дренаж. Вертикальный дренаж допускается применять при осушении территории, сложенной однородными песками, торфяниками любой мощности, супесями и легкими суглинками мощностью до 2 м, которые подстилаются водоносными пластами с проводимостью более 150 м
2/сут.
Линейную систему вертикального дренажа для защиты сельскохозяйственных угодий от подтопления фильтрационными водами рек, водохранилищ, озер или для перехвата поступающих на объект подземных вод следует применять при проводимости подстилающих пород не менее 300 м2/сут.
7.1.15 На осушительных системах с увлажнением за счет повышения уровня подземных вод должно обеспечиваться равномерное по площади увлажнение почвы в допускаемые для сельскохозяйственных культур сроки.
Подпочвенное увлажнение применяется в грунтах с коэффициентом фильтрации более 0,5 м/сут, при уклонах поверхности до 0,005 с использованием мелиорируемых земель под полевые севообороты и сенокосы.
7.1.16 Осушительные системы с увлажнением (орошением) через дождевальную оросительную систему допускается проектировать при любой водопроницаемости почв и уклонах поверхности, позволяющих применять дождевальную технику.
(в ред.
Изменения N 2, утв. Приказом Минстроя России от 18.12.2023 N 936/пр)
7.1.17 Водозабор из подземных водоносных пластов необходимо предусматривать только для увлажнения с применением дождевальной оросительной системы. При осушении земель вертикальным дренажем в качестве водозаборных следует использовать скважины вертикального дренажа.
(в ред.
Изменения N 2, утв. Приказом Минстроя России от 18.12.2023 N 936/пр)
7.1.18 Режим увлажнения (орошения) сельскохозяйственных культур на осушаемых землях следует определять в соответствии с
разделом 6.
7.1.19 Внутрихозяйственные дороги на осушительных системах следует проектировать в соответствии с
СП 99.13330.
7.1.20 Трубопроводные каналы гидромелиоративного дренажа, выполненные из полимерных труб, следует применять при реконструкции для сбора дренажных вод и транспортировании их до водоприемника. Профиль трубопроводных каналов гидромелиоративного дренажа определяется рельефом местности.
(п. 7.1.20 введен
Изменением N 2, утв. Приказом Минстроя России от 18.12.2023 N 936/пр)
7.2 Требования к водно-воздушному режиму почв
7.2.1 При осушении земель водно-воздушный режим почвы (режим осушения) должен обеспечивать получение проектной урожайности. Режим осушения характеризуется следующими показателями: влажностью и аэрацией почвы, продолжительностью затопления почвы и подтопления ее верхних слоев в различные периоды вегетации, глубиной залегания подземных вод.
7.2.2 Осушительная система должна обеспечивать:
- проходимость сельскохозяйственной техники при проведении полевых работ;
- влажность почвы в корнеобитаемом слое в вегетационный период: для зерновых культур - 55 - 75% полной влагоемкости; для овощей, картофеля и корнеплодов - 60 - 80%; для трав - 65 - 85%;
- норму осушения (оптимальную глубину залегания подземных вод) в соответствии с таблицей 12.
Таблица 12
Нормы осушения, в зависимости
от сельскохозяйственного использования земель
Сельскохозяйственное использование земель | Нормы осушения, см |
период предпосевной обработки и уборки урожая | первый месяц вегетации | в среднем за вегетацию |
Полевые, кормовые, овощные севообороты | 40 - 60 | - | 90 - 110 |
Пастбища | - | 70 - 90 | 90 - 110 |
Сенокосы | - | 40 - 60 | 60 - 80 |
Примечание - Меньшие значения норм осушения принимаются для песчаных и супесчаных почв, большие - для связных минеральных почв и торфяников. |
Допускается уточнять приведенные значения норм осушения на основании водно-балансовых расчетов.
7.2.3 Допускаемая продолжительность затопления осушаемых земель при использовании их в севооборотах без озимых культур устанавливается, исходя из обеспечения оптимальных сроков сева.
Осушаемые земли в системе севооборотов с озимыми культурами не должны затапливаться водами весенних паводков.
7.2.4 Предельные сроки весеннего затопления луговых трав следует принимать по таблице 13. Допускается использовать данные региональных исследований.
Таблица 13
Предельные сроки весеннего затопления луговых трав
Травы | Предельные сроки затопления, сут |
Клевер красный, клевер белый, ежа сборная, овсяница красная | 10 |
Люцерна, клевер розовый | 15 |
Тимофеевка луговая, мятлик луговой, овсяница луговая, полевица белая | 30 |
Костер безостый, лисохвост луговой, бекмания обыкновенная, пырей ползучий | 45 |
Канареечник тростниковидный | 60 |
7.2.5 Отвод поверхностных вод с осушаемых земель в период летне-осенних дождей должен обеспечиваться в течение, сут:
- 0,5 - для зерновых культур;
- 0,8 - для овощей, силосных культур, корнеплодов;
- 1,0 - для многолетних трав.
7.2.6 Сроки отвода избыточной влаги из корнеобитаемого слоя в период летне-осенних дождей следует принимать по таблице 14. Допускается использовать данные региональных исследований.
Таблица 14
Сроки отвода избыточной влаги из корнеобитаемого слоя
Сельскохозяйственное использование земель | Максимальная продолжительность стояния уровней грунтовых вод, сут |
в пахотном слое | в корнеобитаемом слое |
Полевые, кормовые, овощные севообороты, пастбища | 1,5 | 5 |
Сенокосы | 3 | 7 |
7.3.1 Регулирующая сеть должна обеспечивать отвод поверхностных вод и понижение уровня подземных вод на осушаемом массиве в следующие расчетные периоды:
- от прохождения пика весеннего паводка до начала полевых работ;
- от прохождения пика весеннего паводка до начала вегетации трав (для пастбищ и сенокосов);
- в период выпадения летне-осенних дождей и уборки урожая.
7.3.2 Регулирующая сеть по принципу действия подразделяется на: закрытые дрены и открытые осушители, понижающие уровень подземных вод в требуемые сроки; закрытые и открытые собиратели, отводящие в расчетное время избыточные поверхностные воды.
Выбор конструкции регулирующей сети в конкретных природных условиях должен быть обоснован водно-балансовыми расчетами, опытом эксплуатации существующих осушительных систем или специальными исследованиями.
7.3.3 Глубину заложения закрытой и открытой регулирующей сети необходимо определять в зависимости от требуемой нормы осушения с учетом водопроницаемости грунтов по глубине, осадки и сработки торфа.
Минимальную глубину заложения закрытой и открытой регулирующей сети следует принимать: в минеральных грунтах - 1,1 м; в торфяных (после осадки) - 1,3 м. Увеличение глубины заложения регулирующей сети более 1,5 м должно быть обосновано.
(в ред.
Изменения N 2, утв. Приказом Минстроя России от 18.12.2023 N 936/пр)
7.3.4 Расстояние между дренами, осушителями, открытыми и закрытыми собирателями, скважинами необходимо устанавливать для расчетных периодов в соответствии с
7.3.5 с учетом типа водного питания и изменения элементов водного баланса в процессе сельскохозяйственного использования осушаемых земель.
При расчете регулирующей сети допускается пользоваться формулами, приведенными в
приложении Ц.
7.3.5 Расстояние между дренами на осушительных системах с подпочвенным увлажнением следует определять:
- при использовании вод только с собственной водосборной площади - как при расчете сети в режиме осушения;
- при использовании внешних источников - как при расчете сети в режимах осушения и увлажнения, причем из полученных значений расстояний принимается меньшее.
На осушительных системах с использованием дождевальной оросительной системы расстояния между дренами следует определять как при расчете сети в режиме осушения.
(в ред.
Изменения N 2, утв. Приказом Минстроя России от 18.12.2023 N 936/пр)
7.3.6 Регулирующая сеть должна быть закрытой, если иное не предусмотрено проектом. Закрытая регулирующая сеть является обязательным способом осушения земель под полевые и овощекормовые севообороты, технические культуры, сады, ягодники, пастбища.
(в ред.
Изменения N 2, утв. Приказом Минстроя России от 18.12.2023 N 936/пр)
7.3.7 Открытую сеть допускается применять:
- для предварительного осушения массива в период строительства закрытого дренажа;
- в грунтах с содержанием в верхнем метровом слое камня размером свыше 30 см в количестве 2% и более;
- при осушении сенокосов, торфовыработок карьерного типа с последующей рекультивацией для сельскохозяйственного использования, площадей с интенсивным питанием грунтовыми водами, территории для заготовки торфа на удобрение, лесов;
- при содержании закисного железа в грунтовых водах осушаемого массива более 14 мг/дм3;
- в случаях, когда расстояние между каналами регулирующей сети по расчету составляет не менее 100 м;
- при залегании на глубине менее 1 м скальных и других равных им по трудности разработки грунтов;
- на первом этапе осушения - в соответствии с
7.3.11.
7.3.8 Регулирующую сеть следует располагать перпендикулярно основному направлению потока поверхностных вод (поперечная схема). При уклонах местности менее 0,005 допускается располагать закрытые дрены и открытые осушители вдоль уклона местности (продольная схема). Закрытые и открытые собиратели следует устраивать только по поперечной схеме. Примеры схем расположения закрытой регулирующей сети в плане представлены в
приложении Ш.
7.3.9 Регулирующая сеть не должна пересекать дороги, подземные коммуникации, лесонасаждения. При пересечении с линиями электропередач и телефонными линиями расстояния до их опор следует принимать в соответствии с действующими правилами охранных зон.
7.3.10 Предварительное осушение открытой сетью каналов следует проектировать при необходимости улучшения условий проведения культуртехнических работ и строительства закрытого дренажа.
Каналы предварительного осушения следует проектировать в увязке с постоянной осушительной сетью. Каналы предварительного осушения не должны пересекать трасс закрытой осушительной сети.
(в ред.
Изменения N 2, утв. Приказом Минстроя России от 18.12.2023 N 936/пр)
7.3.11 Болота с торфом мощностью пласта более 1,5 м, мерзлотные почвы с термокарстовыми проявлениями, торфяные выработки карьерного типа, а также заросшие кустарником и лесом земли необходимо осваивать в два этапа:
- на первом этапе следует проектировать осушение открытой сетью каналов до завершения основной осадки торфяной залежи, вытайки подземного льда, а также сводки древесно-кустарниковой растительности. На первом этапе необходимо предусматривать первичное окультуривание и сельскохозяйственное использование территории;
- на втором этапе следует осуществлять реконструкцию сети путем проектирования на топографической основе, полученной после первого этапа, мероприятий, обеспечивающих наиболее эффективное использование осушаемых земель (строительство закрытого дренажа, оросительной сети, планировка поверхности).
(в ред.
Изменения N 2, утв. Приказом Минстроя России от 18.12.2023 N 936/пр)
7.3.12 Закрытая регулирующая сеть
7.3.12.1 Материал труб для закрытой регулирующей сети принимают в соответствии с
7.4.6.2.
(п. 7.3.12.1 в ред.
Изменения N 1, утв. Приказом Минстроя России от 01.02.2019 N 74/пр)
7.3.12.2 Закрытую регулирующую сеть следует проектировать из безнапорных неметаллических труб, основные параметры которых следует принимать в соответствии с
6.17.1.26.
(в ред.
Изменения N 1, утв. Приказом Минстроя России от 01.02.2019 N 74/пр,
Изменения N 2, утв. Приказом Минстроя России от 18.12.2023 N 936/пр)
7.3.12.3 Минимальный диаметр труб для закрытой регулирующей сети необходимо принимать 50 мм. Уклоны дрен и закрытых собирателей при минимальном диаметре должны быть 0,003 и более. Допускается увеличение диаметра дрен на безуклонных равнинах (при невозможности обеспечить минимально допускаемый уклон), в условиях притока подземных вод, при повышенном содержании в подземных водах закисного железа, на осушительных системах с подпочвенным увлажнением.
(в ред.
Изменения N 2, утв. Приказом Минстроя России от 18.12.2023 N 936/пр)
7.3.12.4 При минимальном диаметре длину дрен и закрытых собирателей следует принимать не более 250 м, а в мелкозернистых водонасыщенных песках и илах - не более 150 м. При осушении окраин массива длина дрен принимается не менее 50 м.
7.3.12.5 При проектировании закрытого дренажа на слабопроницаемых почвах необходимо предусматривать устройство объемных фильтров (обсыпок) толщиной не менее 20 см, если иное не предусмотрено проектом. При проектировании закрытых собирателей объемный фильтр должен быть выполнен до подошвы пахотного горизонта.
(в ред.
Изменения N 2, утв. Приказом Минстроя России от 18.12.2023 N 936/пр)
7.3.12.6 В качестве материала объемного фильтра необходимо использовать местные естественные или искусственные материалы: песчано-гравийную смесь, крупнозернистый песок с содержанием частиц диаметром более 0,5 мм не менее 40% (по массе), гравий, щебень, шлак, измельченную древесно-кустарниковую растительность, опилки, керамзит, торф со степенью разложения не более 15%, вынутый из дренажной траншеи и оструктуренный химическими мелиорантами грунт. Коэффициент фильтрации объемного фильтра должен быть не менее 1 м/сут.
(в ред.
Изменения N 2, утв. Приказом Минстроя России от 18.12.2023 N 936/пр)
7.3.12.7 Стыки и перфорацию дренажных труб допускается защищать рулонными защитно-фильтрующими материалами на основе минеральных, синтетических или полимерных волокон (стеклохолст, полиэтиленхолст, полотно нетканое мелиоративное).
(п. 7.3.12.7 в ред.
Изменения N 1, утв. Приказом Минстроя России от 01.02.2019 N 74/пр)
7.3.12.8 При осушении торфяников мощностью более 1,5 м, а также при прокладке дренажа в оплывающих грунтах керамические дренажные трубы необходимо соединять муфтами с водоприемными отверстиями или укладывать трубы на сбиваемые между собой деревянные основания (стеллажи).
7.3.12.9 Подключение закрытой регулирующей сети к коллекторам следует проектировать впритык с использованием соединительной арматуры или внахлестку. При подключении впритык дрены должны сопрягаться с коллекторами под углом 60 - 90°.
(в ред.
Изменения N 2, утв. Приказом Минстроя России от 18.12.2023 N 936/пр)
Подключение дрен к коллекторам диаметром 175 мм и более следует предусматривать через вспомогательные коллекторы меньшего диаметра, объединяющие ряд дрен.
7.3.12.10 Применение закрытой регулирующей сети, устраиваемой бестраншейным способом, допускается:
- на минеральных почвах и предварительно осушенных торфяниках с коэффициентом фильтрации 0,1 м/сут и более;
- на почвах с коэффициентом фильтрации менее 0,1 м/сут с заполнением дренажной щели фильтрующими материалами, обеспечивающими гидравлическую связь дрены с поверхностными водами;
- при содержании валунов в верхнем метровом слое грунта не более 150 м3/га; валунов диаметрами 30 - 60 см - 120 м3/га; более 60 см - 30 м3/га;
- при содержании пней не более 3%;
- при содержании погребенной древесины диаметром более 10 см 1% и менее.
7.3.12.11 При содержании в подземных водах осушаемой территории до 3 мг/дм3 закисного железа мероприятия по защите закрытого дренажа от заиления железистыми соединениями допускается не предусматривать.
7.3.12.12 При содержании закисного железа в подземных водах осушаемой территории 3 - 8 мг/дм3 необходимо предусматривать:
- ловчие каналы для перехвата потока ожелезненных вод;
- проектирование дренажных систем с прямолинейными закрытыми коллекторами одного порядка;
- устройство потайных смотровых колодцев;
- исключение циркуляции воздуха в дренах;
- насыщение грунтов воздухом за счет глубокого рыхления;
- увеличение уклонов устьевых участков дрен на длине 5 - 10 м до 0,01 и более;
- увеличение или обеспечение постоянства скоростей движения воды в коллекторе вниз по течению;
- применение объемных органических фильтров из древесно-кустарниковой растительности.
7.3.12.13 При содержании закисного железа 8 - 14 мг/дм3 дополнительно необходимо предусматривать одно из следующих мероприятий:
- увеличение минимальных уклонов коллекторов до 0,003, дрен - до 0,006;
- увеличение диаметров дрен до 75 - 100 мм на минеральных и до 100 - 150 мм на торфяных почвах;
- устройство дрен, впадающих в открытую проводящую сеть;
- устройство подтопления устьевой части коллектора;
- внесение ингибиторов;
- гидравлическую промывку закрытых коллекторов и дрен.
7.3.12.14 Расчетные расстояния между дренами необходимо уменьшить на 10% при содержании закисного железа в грунтовых водах 3 - 8 мг/дм3 и на 20% - при содержании его 8 - 14 мг/дм3. При содержании закисного железа более 14 мг/дм3 следует проектировать открытую сеть с последующей ее реконструкцией на закрытую сеть после уменьшения содержания в грунтовых водах закисного железа.
7.3.12.15 Допускается применение других способов защиты закрытого дренажа от заиления железистыми соединениями, обоснованных специальными исследованиями или опытом эксплуатации.
7.3.13 Открытая регулирующая сеть
7.3.13.1 Проектирование открытой регулирующей сети в плане необходимо вести с учетом следующих основных требований:
- каналы систематической регулирующей сети должны быть параллельны между собой, увязаны с границами землепользования и полей севооборотов;
(в ред.
Изменения N 2, утв. Приказом Минстроя России от 18.12.2023 N 936/пр)
- длина каналов должна быть 700 - 1500 м; допускается уменьшение длины при осушении окраин массива;
- сопряжение каналов регулирующей сети с проводящими каналами следует назначать под прямым или близким к нему углом;
- при осушении затапливаемых речных пойм каналы следует располагать по направлению потока паводковых вод;
- выборочную регулирующую сеть (тальвеговые каналы) необходимо проектировать по наиболее низким местам поверхности и минерального дна болота.
7.3.13.2 Формы поперечных сечений и параметры осушительных каналов должны соответствовать требованиям
ГОСТ Р 58801.
(в ред.
Изменения N 2, утв. Приказом Минстроя России от 18.12.2023 N 936/пр)
Глубину каналов, проходящих по тальвегам, необходимо назначать 1 - 1,5 м.
7.3.13.3 Проектирование открытой регулирующей сети в вертикальной плоскости необходимо вести с учетом следующих требований:
- уклон дна каналов должен быть не менее 0,0003 и не более 0,0005 - для песчаных, 0,003 - для суглинистых и 0,005 - для глинистых грунтов;
(в ред.
Изменения N 2, утв. Приказом Минстроя России от 18.12.2023 N 936/пр)
- дно регулирующих каналов, впадающих в гидравлически нерассчитываемые каналы (с расходом воды до 0,5 м3/с), должно быть выше дна принимающего канала на 10 см, а дно регулирующих каналов, впадающих в гидравлически рассчитываемые каналы (с расходом воды более 0,5 м3/с), допускается располагать ниже уровня меженных вод в них не более чем на 10 см.
7.3.14 Организация поверхностного стока и повышение эффективности действия регулирующей сети
7.3.14.1 При проектировании осушительной сети необходимо предусматривать следующие мероприятия:
- планировку поверхности поля с засыпкой ям, карьеров, ликвидируемых каналов, западин, понижений, староречий, сети предварительного осушения, срезку крутых переходов от вновь осваиваемых к старопахотным землям с сохранением или восстановлением гумусового слоя почвы, устройство искусственных ложбин, колодцев-поглотителей, закрытых собирателей, поглотительных колонок на дренах, глубокое рыхление и кротование почв, сгущение дренажа;
- складирование грунта при устройстве каналов на низовую сторону.
Разравнивание вынутого из каналов грунта необходимо выполнять слоем не более 15 см с устройством в понижениях рельефа прорезей в откосах (воронок) для сброса поверхностных вод.
7.3.14.2 Ликвидацию замкнутых понижений местности глубиной более 0,25 м необходимо производить путем их частичной засыпки и устройства ложбин для стока воды из понижения по естественному уклону. При этом нарушенный гумусовый слой почвы должен быть восстановлен. При плоском рельефе замкнутые понижения местности следует ликвидировать путем сочетания мероприятий по засыпке, нарезке ложбин, устройству колодцев-поглотителей, закрытых собирателей, поглотительных колонок на дренах.
7.3.14.3 При проектировании искусственных ложбин должны соблюдаться следующие требования:
- глубина ложбин должна быть 0,4 - 0,6 м;
- заложение откосов ложбин следует принимать не менее 1:5 на сенокосах и 1:10 на пашне;
- длина ложбин при безуклонном рельефе не должна превышать 400 м;
- уклон ложбин следует принимать не менее 0,001;
- гумусовый слой должен быть сохранен;
- вдоль бровок ложбин необходимо проектировать закрытые дрены;
- гидравлический расчет ложбин необходимо выполнять при расходе воды более 20 л/с и уклоне более 0,005. Если скорость воды превышает допускаемую на размыв, следует предусматривать другие мероприятия по ускорению поверхностного стока.
7.3.14.4 Колодцы-поглотители следует проектировать при водосборной площади замкнутого понижения 3 га и более. При меньшей площади и невозможности устройства искусственных ложбин необходимо предусматривать устройство закрытых собирателей или дрен с пунктирной засыпкой дренажной траншеи до пахотного слоя фильтрующими материалами (поглотительные колонки), сгущение дренажа.
7.3.14.5 Глубокое рыхление следует применять на минеральных почвах с коэффициентом фильтрации подпахотных горизонтов менее 0,2 м/сут и при отсутствии в зоне рыхления камней размером более 30 см. Рыхление необходимо выполнять на глубину 0,6 - 0,8 м, как правило, с внесением извести для нейтрализации кислотности почв в зоне рыхления и их оструктуривания. Допускается применение других оструктуривающих мелиорантов.
7.3.14.6 Кротование слабопроницаемых почв необходимо применять при отсутствии камней. Глубину кротовин следует принимать 0,5 - 0,7 м, расстояние между кротовинами - 1 - 1,5 м, диаметр - 0,05 - 0,07 м.
7.3.14.7 Кротование допускается применять при осушении болот без погребенной древесины при степени разложения торфа менее 45% и мощности пласта торфа более 0,8 м.
Диаметр кротовин на торфяниках должен быть 0,12 - 0,15 м, глубина заложения - 0,7 - 0,8 м, расстояние между кротовинами при закрытом дренаже - 6 - 10 м, при открытой сети - 8 - 12 м при их длине до 150 м с выходом в открытую сеть.
7.3.14.8 Кротование и глубокое рыхление почв следует предусматривать под углом 60 - 90° по отношению к регулирующей сети.
7.3.14.9 Щелевание следует проводить при предварительном осушении болот, в том числе с наличием погребенной древесины, при степени разложения торфа менее 45% и мощности торфяной залежи более 1,2 м.
Нарезку щелей следует предусматривать по перекрестной схеме. Щели-собиратели, имеющие выход в открытую сеть, необходимо нарезать перпендикулярно осушительным каналам через 100 - 150 м. Их длина должна быть не более 500 м. Параллельно открытой сети следует нарезать щели-осушители через 8 - 10 м. Глубина щелей - 1 м.
(в ред.
Изменения N 2, утв. Приказом Минстроя России от 18.12.2023 N 936/пр)
7.4.1 Открытую и закрытую проводящие сети при осушении минеральных почв необходимо размещать по наиболее низким отметкам поверхности, а при осушении болот - по наиболее низким отметкам минерального дна болота.
7.4.2 Проводящую сеть следует проектировать прямолинейной с минимальным числом пересечений существующих и проектируемых дорог, подземных коммуникаций, линий электропередач. Пересечение каналов и закрытых коллекторов с различными коммуникациями должно быть под прямым или близким к нему углом (от 75 до 90°), отступление от данного правила возможно только по обоснованным причинам, к числу которых относятся условия рельефа, застроенность прилегающей территории, направление канала. Протяженность каналов и закрытых коллекторов всех порядков должна быть минимальной.
(в ред.
Изменения N 2, утв. Приказом Минстроя России от 18.12.2023 N 936/пр)
7.4.3 Глубину проводящей сети следует устанавливать минимально допустимой в зависимости от величины и условий пропуска расчетного расхода воды и глубины впадающей открытой и закрытой регулирующей сети. Строительную глубину проводящей сети, проходящей по болотам, следует принимать с учетом осадки и сработки торфа.
7.4.4 При подаче воды на увлажнение по каналам и закрытым коллекторам проводящей осушительной сети должен быть обеспечен требуемый режим осушения. Параметры каналов и закрытых коллекторов следует устанавливать гидравлическим расчетом на больший из расходов при работе сети в режиме осушения или увлажнения.
7.4.5 Открытая проводящая сеть
7.4.5.1 Расчет каналов проводящей сети и естественных водотоков, являющихся водоприемниками осушительных систем, следует выполнять в зависимости от характера использования сельскохозяйственных земель.
Расчетную обеспеченность расхода воды следует принимать на основании технико-экономического сравнения вариантов. При площади осушаемых земель до 2 тыс. га допускается проводить расчет проводящей сети на пропуск расходов 10-процентной обеспеченности при использовании земель под полевые севообороты, пастбища и сенокосы, 5-процентной обеспеченности - при использовании земель под овощные севообороты и многолетние насаждения.
7.4.5.2 Расчетными периодами являются: при использовании осушаемых земель под полевые севообороты с озимыми и многолетние насаждения - весенний и летне-осенний паводки; под овощные и полевые севообороты без озимых - предпосевной период и летне-осенний паводок; под пастбища и сенокосы - летне-осенний паводок; под все виды сельскохозяйственного использования земель - меженный период.
7.4.5.3 В случае, когда расчетным периодом является весенний паводок, расчет каналов следует выполнять из условия пропуска расчетных расходов воды без затопления осушаемых земель.
7.4.5.4 Расчет каналов на предпосевной период и летне-осенний паводок следует выполнять в увязке с работой регулирующей сети по созданию требуемого водно-воздушного режима почв с учетом своевременного освобождения ее от подпора.
7.4.5.5 Гидравлический расчет каналов следует проводить при расходах воды более 0,5 м
3/с, а также при меньших расходах, когда уклон канала превышает: 0,0005 - для песчаных, 0,003 - для суглинистых и 0,005 - для глинистых грунтов.
7.4.5.6 Гидравлический расчет каналов необходимо выполнять по формулам равномерного движения воды для следующих створов: устье канала, выше впадения каждого гидравлически рассчитываемого канала, при переломе уклонов (для обоих уклонов), на участках с постоянными уклонами при изменении площади водосбора более чем на 20%.
Уклон поверхности воды в каналах при пропуске максимального расчетного расхода должен быть близким уклону местности.
Расчет каналов следует выполнять согласно данным, приведенным в
приложениях М,
П,
Р,
С.
7.4.5.7 Уклон дна гидравлически нерассчитываемых каналов следует принимать не менее 0,0003, при осушении безуклонных территорий - допускается 0,0002.
(в ред.
Изменения N 2, утв. Приказом Минстроя России от 18.12.2023 N 936/пр)
7.4.5.8 Параметры поперечных сечений каналов проводящей сети с расходом до 10 м
3/с следует принимать согласно
ГОСТ Р 58801. При расходе воды более 10 м
3/с параметры поперечных сечений каналов следует определять расчетом в зависимости от геотехнических свойств грунтов и гидрогеологических условий.
(в ред.
Изменения N 2, утв. Приказом Минстроя России от 18.12.2023 N 936/пр)
7.4.5.9 Сопряжение в плане магистральных каналов с водоприемниками и проводящих каналов между собой необходимо назначать под углом менее 90°. Водоприемник на участке сопряжения необходимо предохранять от заиления или размыва.
7.4.5.10 Сопряжение в вертикальной плоскости каналов между собой и водоприемниками следует проектировать по уровням воды с учетом следующих требований для каналов:
- гидравлически рассчитываемых - уровень в уровень;
- гидравлически нерассчитываемых (для дна) - не более чем на 0,1 м ниже меженного уровня в принимающем гидравлически рассчитываемом канале;
- гидравлически нерассчитываемых - дно в дно.
7.4.5.11 Радиусы поворотов гидравлически нерассчитываемых каналов должны быть не менее 20 м, гидравлически рассчитываемых с расходом до 5 м
3/с - не менее 5
B, где
B - ширина канала по урезу воды при максимальном расчетном расходе воды.
7.4.6 Закрытая проводящая сеть
7.4.6.1 Закрытая проводящая сеть предназначена в периоды избыточного увлажнения для сбора и транспортирования в открытые каналы воды, собираемой регулирующей сетью и поглощающими сооружениями, в засушливые периоды - для подачи в регулирующую сеть воды для увлажнения мелиорируемых земель.
7.4.6.2 Для закрытой проводящей сети следует применять безнапорные неметаллические трубы и колодцы, которые должны выдерживать давление грунта, временную нагрузку от сельскохозяйственных машин и быть стойкими к воздействию агрессивной среды. Основные параметры труб принимают в соответствии с
6.17.1.26, колодцев в соответствии с
ГОСТ 32972,
ГОСТ 8020.
(в ред.
Изменения N 1, утв. Приказом Минстроя России от 01.02.2019 N 74/пр,
Изменения N 2, утв. Приказом Минстроя России от 18.12.2023 N 936/пр)
7.4.6.3 При проектировании закрытых коллекторов в плане следует избегать пересечения отдельных понижений с наличием плывунов, сапропелей, илистых грунтов. Трассы закрытых коллекторов, проходящих по тальвегам, следует располагать на 0,2 - 0,3 м выше дна тальвегов. Закрытые коллекторы не должны проходить по руслам существующих каналов.
7.4.6.4 Трассы закрытых коллекторов следует проектировать на расстоянии от древесных и кустарниковых насаждений, не менее указанного в таблице 15.
Таблица 15
Минимальные расстояния закладки закрытых коллекторов
от древесных и кустарниковых насаждений
Растительность | Минимальное расстояние, м |
Лиственные деревья | 20 |
Хвойные деревья | 30 |
Фруктовые деревья | 7 |
Ольха, ива, шиповник, смородина | 15 |
Кустарники других пород | 10 |
7.4.6.5 При пересечении закрытыми коллекторами древесных и кустарниковых насаждений должен быть предусмотрен глухой участок, длину которого следует определять с учетом требований к величине минимальных расстояний до древесных и кустарниковых насаждений, указанных в
таблице 15.
7.4.6.6 Сопряжение коллекторов между собой необходимо проектировать внахлестку, с применением соединительных деталей, колодцев-перепадов при разнице в глубинах сопрягаемых коллекторов более 0,3 м, колодцев-отстойников, когда скорость воды во впадающем коллекторе превышает скорость воды в принимающем более чем на 30%, а также в пылеватых грунтах. При угле поворота коллекторов в плане более 60° допускается устройство смотровых колодцев.
7.4.6.7 Сопряжение регулирующей сети с коллекторами диаметром 175 мм и более следует выполнять в соответствии с
7.3.12.9.
7.4.6.8 Закрытые коллекторы должны быть оборудованы смотровыми колодцами или колодцами-отстойниками:
- в местах подключения к закрытому коллектору высшего порядка двух и более коллекторов низшего порядка;
- через каждые 500 м при длине коллектора 1 км и более;
- при подключении к коллектору диаметром 200 мм и более одного или нескольких коллекторов низшего порядка;
- в местах изменения уклона коллектора с большего на меньший (в направлении течения воды) при снижении скорости течения воды менее 0,3 м/с.
7.4.6.9 Сопряжения коллекторов с каналами и водоприемниками необходимо производить при помощи устьевых сооружений, располагаемых на участках, не подверженных размыву и заилению. Низ устьевой трубы коллекторов следует проектировать не менее чем на 10 см выше расчетного меженного уровня в принимающем канале или водоприемнике, но не менее 50 см выше их дна.
7.4.6.10 На осушительно-увлажнительных и осушительно-оросительных системах при пересечении закрытых коллекторов с оросительными каналами предусматривают заглубление верха коллектора под дно канала не менее чем на 0,3 м, изоляция стыков коллектора на всей полосе пересечения и крепление русла оросительного канала в полосе пересечения на длине 10 - 15 м.
(в ред.
Изменения N 2, утв. Приказом Минстроя России от 18.12.2023 N 936/пр)
7.4.6.11 При пересечениях коллекторов с оросительными трубопроводами расстояние между ними в свету должно быть не менее 0,3 м, при меньшем расстоянии следует устанавливать потайные колодцы.
7.4.6.12 На участках пересечения коллекторов с дорогами, включая полосы отчуждения, следует применять стыковые соединения (за исключением сварных) труб бетонировать или перекрывать глухими муфтами.
(в ред.
Изменения N 2, утв. Приказом Минстроя России от 18.12.2023 N 936/пр)
7.4.6.13 В плывунах и торфяниках следует укладывать коллекторы из керамических труб на сбиваемые между собой деревянные основания (стеллажи).
(в ред.
Изменения N 2, утв. Приказом Минстроя России от 18.12.2023 N 936/пр)
7.4.6.14 Уклоны коллекторов необходимо принимать не менее 0,002 при диаметре до 200 мм и не менее 0,0005 при диаметре более 200 мм.
(в ред.
Изменения N 2, утв. Приказом Минстроя России от 18.12.2023 N 936/пр)
7.4.6.15 Диаметр коллекторов следует определять гидравлическим расчетом по формулам равномерного движения как для безнапорных труб при полном заполнении их водой.
7.4.6.16 Скорость течения воды в коллекторах при пропуске расчетных расходов и полном заполнении их водой необходимо принимать в пределах 0,3 - 1,5 м/с для керамических и хризотилцементных труб, 0,3 - 3,0 м/с - для полимерных труб.
При скоростях движения воды более максимальных значений необходимо изолировать стыки раструбных соединений труб, применять конструкции труб с глухими соединениями, неперфорированные трубы, круговую обвертку дренажных труб водонепроницаемыми материалами, устраивать колодцы-перепады или применять другие технические решения для снижения скорости воды.
7.4.6.17 Гидравлический расчет коллекторов следует выполнять в местах подсоединения дрен и изменения уклона, в местах соединения коллекторов различных порядков, в створе впуска поверхностных вод из фильтров-поглотителей.
7.5.1 Нагорные каналы для перехвата поверхностных вод надлежит проектировать вдоль верховой границы осушаемой территории, а при осушении болот - совмещать с линией нулевой залежи торфа.
(в ред.
Изменения N 2, утв. Приказом Минстроя России от 18.12.2023 N 936/пр)
Глубину нагорных каналов следует принимать не менее 1 м, а форму поперечного сечения с уположенным верховым откосом принимать по
ГОСТ Р 58801.
(в ред.
Изменения N 2, утв. Приказом Минстроя России от 18.12.2023 N 936/пр)
7.5.2 Ловчие каналы и дрены для перехвата подземных вод необходимо проектировать параллельно гидроизогипсам или гидроизопьезам по линии выклинивания или наиболее близкого залегания водоносного пласта. Трассы ловчих каналов или дрен по возможности следует намечать в границах залегания грунтов, не подверженных оплыванию.
7.5.3 При осушении притеррасных болот грунтово-напорного водного питания следует предусматривать устройство разгрузочных самоизливающихся скважин; условия применения линейной системы скважин с откачкой воды насосами приведены в
7.1.14.
7.5.4 Минимальную глубину ловчих каналов и дрен следует назначать из условия их вреза под уровень грунтовых вод или в напорный водоносный пласт не менее чем на 0,3 - 0,5 м.
Максимальную глубину ловчих каналов и дрен необходимо определять с учетом их влияния на прилегающую к осушаемому массиву территорию.
7.5.5 Параметры поперечных сечений ловчих каналов при глубине до 3,5 м следует принимать по
ГОСТ Р 58801. А при глубине более 3,5 м - на основании расчетов, с учетом геотехнических свойств грунтов и гидрогеологических условий.
(в ред.
Изменения N 2, утв. Приказом Минстроя России от 18.12.2023 N 936/пр)
7.5.6 Ловчие дрены следует проектировать диаметром не менее 125 мм с устройством кругового гравийного фильтра толщиной 20 - 25 см.
(в ред.
Изменения N 2, утв. Приказом Минстроя России от 18.12.2023 N 936/пр)
7.5.7 Нагорные каналы должны рассчитываться на пропуск в бровках расходов воды расчетной обеспеченности в соответствии с
7.4.5.1.
7.5.8 Расход подземных вод при проектировании ловчих каналов и дрен определяется на основании фильтрационных расчетов с учетом гидрогеологических условий осушаемой территории.
7.5.9 Ловчие каналы при глубине до 3 м допускается совмещать с нагорными. При глубине ловчего канала более 3 м нагорный канал необходимо проектировать выше по уклону на расстоянии, необходимом для проезда экскаватора при ремонте ловчего канала.
7.5.10 На распаханных водосборах каналы оградительной сети следует проектировать ниже подошвы склона на 30 - 50 м и создавать вдоль внешних бровок задернованные или лесные полосы.
7.6 Водоприемники осушительных систем
7.6.1 Реки, каналы, озера, балки, овраги и другие водотоки и водоемы в естественном состоянии допускается использовать в качестве водоприемников для сброса воды самотеком или с помощью механического водоподъема.
(в ред.
Изменения N 2, утв. Приказом Минстроя России от 18.12.2023 N 936/пр)
7.6.2 Водоприемники, используемые в естественном состоянии или отрегулированном, должны:
а) обеспечить сброс воды с осушительной сети без подпора во все расчетные периоды без ущерба для других целей хозяйственного использования водотока или водоема;
б) не вызывать ухудшения водного режима земель, расположенных ниже по течению от массивов осушения, после сброса в них дренажных вод;
в) не затапливать осушаемые земли летне-осенними паводками, а при затоплении - не превышать допускаемый срок для намечаемых к посевам культур;
г) иметь емкость или пропускную способность, позволяющую своевременно принимать или отводить избыточные воды с осушаемой площади в соответствии с расчетными требованиями;
д) иметь устойчивое русло и прочные берега;
е) иметь гидрометрические створы, водомерные посты и знаки береговой обстановки.
Если водоприемник не отвечает требованиям
а),
б),
в),
г), следует предусматривать откачку воды насосами, устройство при необходимости оградительных дамб. Понижение уровня воды в водоприемнике допускается в случаях, когда это не противоречит требованиям охраны окружающей природной среды.
7.6.3 При регулировании водоприемников необходимо:
- предусматривать выделение водоохранных зон и природоохранных прибрежных полос в соответствии с действующими нормами;
- на участках, расположенных недалеко от населенных пунктов, предусматривать благоустройство мест отдыха населения, сохраняя или улучшая по возможности естественное состояние водоприемника и прилегающий ландшафт;
- при прохождении регулируемого водоприемника по землям сельскохозяйственного использования предусматривать благоустройство прирусловых полос (берм) шириной 2,0 м, прилегающих к обеим бровкам;
- сохранять с соответствующими охранными зонами памятники природы и археологии, места обитания животных и произрастания растений, занесенных в Красную книгу, нерестилища.
7.6.4 Регулирование рек путем спрямления не допускается при ширине поймы менее 400 м независимо от ее природных особенностей. При разработке проектов осушения спрямление рек применяется для сильно заболоченных пойм с коэффициентом извилистости русел более 1,5, имеющих длину до 50 км и небольшие размеры поперечного сечения (ширина по верху - до 25 м, глубина - до 2 м) с меженным расходом не более 2,0 м3/с, и уклоном свободной поверхности потока i <= 0,0001. Спрямление русел применяется в сочетании с комплексом природоохранных мероприятий. Реки и ручьи, имеющие коэффициент извилистости русла менее 1,5, устойчивые и достаточные параметры русла для пропуска расчетных расходов, следует оставлять в естественном состоянии или спрямлять частично отдельно излучины при обосновании.
(в ред.
Изменения N 2, утв. Приказом Минстроя России от 18.12.2023 N 936/пр)
7.6.5 Для защиты водоприемников в естественном состоянии от заиления и загрязнения необходимо проектировать следующие сооружения:
- отстойники для очистки вод, загрязненных взвешенными веществами;
- биологические пруды, пруды-отстойники с посадкой высшей водной растительности, ботанические площадки для биологической очистки вод, загрязненных биогенными веществами сверх предельно допустимых концентраций.
7.6.6 Трасса водоприемника проектируется по наиболее низким отметкам рельефа и минерального дна торфяной залежи параллельно к коренным берегам поймы. При этом не допускаются отклонения более 30% от основного направления движения весеннего потока по пойме и от существующего русла.
7.6.7 Пересечение проектной трассы водоприемника с существующими и вновь проектируемыми подземными коммуникациями, железными и шоссейными дорогами следует предусматривать под прямым углом или под углом, близким к прямому. Не допускается пересечение трассы водоприемника с существующими мелкими озерами. Связь водоприемника с озером необходимо предусматривать с помощью водоподводящих и водоотводящих каналов и регулирующих сооружений.
7.6.8 Проектирование водоприемников в вертикальной плоскости проводится на основании гидравлических расчетов в увязке с уровенным режимом регулирующей и проводящей осушительной сети.
7.6.9 Гидравлический расчет для проверки пропускной способности водотоков следует выполнять по формулам неравномерного движения для следующих створов:
- в устье, при проведении регулировочно-выправительных работ на части реки - в замыкающем створе;
- выше и ниже каждого впадающего притока или канала, расчетный расход которого превышает 10% расчетного расхода водотока;
- на бесприточных участках - в створах, где площадь водосброса отличается от площади водосбора вышележащего расчетного створа на 20%;
- при резком изменении формы поперечного сечения русла и поймы;
- в створах сооружений, создающих подпор, в начале и конце оградительной дамбы - при польдерном осушении.
7.6.10 Расчет уровенного режима воды в водоприемнике для сопряжения с проводящей сетью следует выполнять для расходов воды в расчетные периоды в соответствии с
7.4.5.1,
7.4.5.2.
7.6.11 Глубину водоприемника проектируют в пределах от 2,5 до 3,0 м из условия сопряжения осушительной сети в вертикальной плоскости и учитывая ожидаемую деформацию глубины в результате осушения (осадки торфа). Глубина водоприемника более 3,0 м должна быть экологически и экономически обоснована.
7.6.12 Минимально допустимый уклон дна водоприемника принимается равным 0,0002. Допускается уменьшать его до 0,00015 для водоприемников с водосборной площадью более 2000 км2, обеспечивая при этом минимально допустимую незаиляющую скорость бытовых расходов не менее 0,25 м/с.
7.6.13 Для предотвращения обрушения откосов или размыва русла водоприемника следует предусматривать специальные мероприятия, если:
- русло врезается в водонасыщенные неустойчивые грунты;
- уклон дна превышает максимально допустимый на размыв.
7.6.14 Для защиты русла от размыва применяются крепления, типы и параметры которых назначаются с учетом глубины потока и скорости течения воды при пропуске расчетного расхода. Следует уделять внимание устойчивости русла в зонах подпора и спада уровней воды выше и ниже сооружений, на поворотах, а также в песчаных, супесчаных, плывунных и илистых грунтах. Допускаемые неразмывающие скорости течения воды принимаются согласно
приложению С.
7.6.15 Типы, виды и параметры креплений для защиты откосов от обрушения принимаются по результатам инженерных изысканий.
7.6.16 При наличии на откосе водоприемника в песчаных грунтах выклинивания вод необходимо предусматривать следующие мероприятия:
- устройство приоткосного дренажа для снижения фильтрационного давления;
- уполаживание откоса до двух раз по сравнению с откосом при отсутствии выклинивания грунтовых вод;
- устройство пригрузки из фильтрующих материалов (пористые бетонные плиты, щебень, гравий).
(в ред.
Изменения N 2, утв. Приказом Минстроя России от 18.12.2023 N 936/пр)
7.6.17 При проектировании креплений для защиты русла от размыва в качестве расчетных расходов принимаются максимальные расходы весеннего половодья:
- для капитальных креплений (железобетонные плиты, каменная отмостка и наброска в клетках) на судоходных водоприемниках - максимум весеннего половодья обеспеченностью 3%, на несудоходных - 5%;
- для прочих видов креплений - максимум весеннего половодья обеспеченностью 10%.
При поступлении расходов воды указанной обеспеченности на пойму в качестве расчетного принимается расход, проходящий в водоприемнике с учетом надпойменных расходов в пределах его ширины поверху.
7.6.18 Для засыпки староречий и понижений, отсыпки дорог, дамб, перемычек, выправительных сооружений используется грунт, вынутый при регулировании водоприемника.
(в ред.
Изменения N 2, утв. Приказом Минстроя России от 18.12.2023 N 936/пр)
7.6.19 Неиспользуемый грунт разравнивается слоем 0,1 - 0,2 м на прилегающей территории. При прохождении водоприемника по стесненным местам неиспользуемый грунт благоустраивается в кавальерах высотой не более 1,5 м, при этом расстояние от бровки канала до подошвы кавальера должно быть не менее 5,0 м. Кавальер не должен способствовать подтоплению прилегающих площадей поверхностными водами.
7.6.20 Воронки открытого или закрытого типа следует предусматривать в пониженных местах для сброса поверхностных вод в водоприемник.
7.7.1 Польдерные системы мелиоративного комплекса должны удовлетворять требованиям
ГОСТ Р 70567.
(п. 7.7.1 в ред.
Изменения N 2, утв. Приказом Минстроя России от 18.12.2023 N 936/пр)
7.7.2 Принципиальные схемы польдерных систем приведены в
приложении Э.
(п. 7.7.2 в ред.
Изменения N 2, утв. Приказом Минстроя России от 18.12.2023 N 936/пр)
7.7.3 - 7.7.9 Исключены с 19.01.2024. -
Изменение N 2, утв. Приказом Минстроя России от 18.12.2023 N 936/пр.
7.7.10 Затапливаемые польдеры допускается проектировать в поймах рек при соблюдении следующих условий:
- максимальные уровни летне-осенних паводков ниже весенних;
- осушаемые земли предусматривается использовать под сельскохозяйственную культуру, допустимая продолжительность весеннего затопления которой больше проектной;
- на периодически затапливаемой территории польдерной системы отсутствуют жилые и производственные постройки;
- необходимо сохранить весеннее затопление поймы реки по экологическим соображениям (например, для нереста рыбы).
При прочих условиях пойменные и низинные польдерные системы проектируют незатапливаемыми независимо от вида использования земель.
7.7.11 Исключен с 19.01.2024. -
Изменение N 2, утв. Приказом Минстроя России от 18.12.2023 N 936/пр.
7.7.12.1 Оградительные дамбы следует размещать с использованием прирусловых валов и возвышенных участков поймы. На заболоченных участках трассы дамб прокладываются в местах с наименьшей мощностью торфа.
7.7.12.2 Оградительные дамбы польдерных систем допускается возводить на любых разновидностях биогенных грунтов (заторфованных, торфах, сапропелях) и илах.
7.7.12.3 При выборе грунта для возведения оградительной дамбы польдерной системы необходимо руководствоваться следующими положениями:
- использование одного вида грунта;
(в ред.
Изменения N 2, утв. Приказом Минстроя России от 18.12.2023 N 936/пр)
- использование двух и более типов грунтов допускается только при обосновании;
(в ред.
Изменения N 2, утв. Приказом Минстроя России от 18.12.2023 N 936/пр)
- для возведения дамб рекомендуется использовать суглинистые или песчаные грунты;
- возведение дамб из глинистых грунтов допускается только при невозможности или экономической нецелесообразности использования других грунтов.
7.7.12.4 Дамбы высотой до 2 м допускается возводить из торфа и торфо-минеральных смесей. Более высокие дамбы при использовании торфа должны устраиваться из двух слоев. Нижняя часть должна быть из торфяного грунта, верхняя - из минерального грунта. Толщина торфяного слоя должна быть не более величины осадки основания дамбы.
7.7.12.5 Величина осадки дамб, возводимых на биогенных грунтах и илах, зависит от мощности этих грунтов в основании, их свойств и высоты дамб, которые изменяются по трассе. Для определения объемов работ по отсыпке дамб при проектировании необходимо рассчитывать осадку на каждом пикете.
7.7.12.6 Основным типом крепления откосов дамб является биологический (одерновка, посев многолетних трав). Крепление внешних откосов дамб камнем, железобетонными или бетонными плитами допускается, если высота волны, воздействующей на дамбу, превышает или равна 1 м или при длительном волновом воздействии на дамбу (более двух месяцев в год).
7.7.13 Для уменьшения объема откачки воды с польдера и производительности насосной станции необходимо предусматривать перехват стока с прилегающей к польдеру части водосбора нагорными, ловчими и нагорно-ловчими каналами и отвод его самотеком в водоприемник с внешней стороны оградительных дамб. Проектирование оградительной сети производится в соответствии с
7.4.
7.7.14 Проектирование оросительной сети на польдерных системах производится в соответствии с требованиями
раздела 6.
| | ИС МЕГАНОРМ: примечание. Текст дан в соответствии с официальным текстом документа. | |
7.7.15 При проектировании насосных станций польдерных систем необходимо руководствоваться требованиями
раздела 9 настоящего свода правил
СП 58.13330,
ГОСТ Р 70567.
(в ред.
Изменения N 2, утв. Приказом Минстроя России от 18.12.2023 N 936/пр)
7.7.15.1 Насосные станции польдерных систем следует проектировать согласно требованиям
ГОСТ 70567.
(в ред.
Изменения N 2, утв. Приказом Минстроя России от 18.12.2023 N 936/пр)
7.7.15.2 Узел сооружений насосной станции следует располагать в наиболее низкой части польдерной системы (в устье магистрального канала или закрытого коллектора). На безуклонной территории - в средней части польдера у оградительной дамбы. При этом глубина магистрального канала не должна превышать 3 - 3,5 м.
7.7.15.3 Расчет производительности и напора на насосной станции выполняется согласно требованиям
ГОСТ 70567.
(пп. 7.7.15.3 в ред.
Изменения N 2, утв. Приказом Минстроя России от 18.12.2023 N 936/пр)
7.7.15.4 Исключен с 19.01.2024. -
Изменение N 2, утв. Приказом Минстроя России от 18.12.2023 N 936/пр.
7.7.15.5 Тип и количество насосных агрегатов следует выбирать из условия соблюдения расчетного режима уровней в канале, допустимых скоростей сработки уровней в проводящей сети для сохранения устойчивости откосов каналов.
7.7.15.6 Если для откачки воды применяются погружные или капсуальные электронасосы, то машинный зал может отсутствовать. При этом электротехническое оборудование управления откачкой проектируется в отдельном помещении, шкафу или блоке-боксе.
7.7.16 Проектирование проводящей сети на польдерных системах осуществляется в соответствии с требованиями
7.2.
7.7.16.1 Плановое расположение магистрального канала и его параметры следует принимать с учетом формы и площади польдерной системы, уклона поверхности и зоны влияния насосной станции.
7.7.16.2 При уклонах местности внутри польдера >= 0,0003 длина магистрального канала не ограничивается, а продольный уклон принимается близким к уклону местности. На безуклонных территориях длину магистрального канала следует принимать не более 3,5 км или определять гидравлическим расчетом с учетом кривой спада.
(в ред.
Изменения N 2, утв. Приказом Минстроя России от 18.12.2023 N 936/пр)
7.7.16.3 В целях предупреждения зарастания канала его глубину допускается назначить на 1,5 - 2,0 м больше минимального эксплуатационного уровня. В таких случаях дно канала предусматривается без уклона.
(в ред.
Изменения N 2, утв. Приказом Минстроя России от 18.12.2023 N 936/пр)
7.7.16.4 При проектировании магистрального канала польдерной системы необходимо проводить следующие дополнительные расчеты:
- расчет пропускной способности на периоды весеннего половодья и летне-осеннего паводка;
- расчет устойчивости грунта канала на размыв;
- расчет местной устойчивости откосов в устье магистрального канала;
- расчет минимального цикла работы насосных агрегатов.
7.7.16.5 Установление параметров магистрального канала следует осуществлять последовательным приближением. Вначале параметры канала (уклон дна, глубина, ширина по дну, заложение откосов, длина и плановое положение) устанавливаются, исходя из общих требований (см.
7.2). При этом в первом приближении искусственный регулирующий бассейн не предусматривается, его необходимость и параметры определяются только в том случае, если регулирующей емкости магистрального канала окажется недостаточно, а расширение его по экономическим показателям нецелесообразно. В последующих приближениях проверяется выполнение требований
7.7.16.1 -
7.7.16.4 и при необходимости параметры канала корректируются.
7.7.17 Водосборные регулирующие бассейны проектируются на месте естественных углублений или водоемов, старых карьеров, староречья, проток, озер, расположенных вблизи насосной станции. Для таких бассейнов допускается устраивать специально отрытые емкости или расширять, или углублять устьевые части магистральных каналов.
7.7.17.1 Объем бассейна подразделяется на регулирующую емкость и мертвый запас.
7.7.17.2 Полезный объем регулирующей емкости бассейна определяют по формуле
Wп = Wтр - Wмк, (30)
где Wп - полезный объем регулирующей емкости, м3;
Wтр - требуемая полезная емкость, м3;
Wмк - регулирующая емкость магистрального и проводящих каналов, м3.
7.7.17.3 Регулирующая емкость магистрального и проводящих каналов определяется как объем, заключенный между свободными поверхностями воды при верхнем и нижнем эксплуатационных горизонтах, определяемых гидравлическим расчетом для бытового периода 50-процентной обеспеченности при цикличной откачке наименьшим по производительности насосом.
7.7.17.4 Минимальная глубина мертвого запаса должна приниматься не менее 0,5 м. Минимальная глубина определяется как сумма расчетной глубины, определенной из условия пропуска расхода меньшего по производительности насоса при неразмывающих скоростях, и запаса на заиление.
7.7.17.5 Заложение откосов водосборного бассейна следует проверять на устойчивость от воздействия гидродинамического давления фильтрационного потока, возникающего в приоткосной зоне при снижении уровней воды в бассейне.
7.7.17.6 Дно регулирующего бассейна следует проектировать без уклона или с минимальным уклоном 0,0001 - 0,0003, а ширину по дну следует принимать, исходя из условий полной очистки отстойника от ила экскаватором, установленным на берегах бассейна.
7.7.18 Проектирование регулирующей сети в придамбовой зоне следует производить с учетом дополнительного водного питания от фильтрации воды через тело и основание дамбы, на остальной территории - по общим правилам в соответствии с требованиями
7.3.
7.7.18.1 В целях предотвращения переувлажнения придамбовой зоны польдера в результате фильтрации воды со стороны водоприемника необходимо предусматривать устройство противофильтрационных мероприятий, придамбовых каналов или сгущенной сети закрытого дренажа (решение следует принимать на основании технико-экономических расчетов).
7.7.18.2 Расчет противофильтрационных мероприятий и придамбовых каналов выполняется в соответствии с требованиями
СП 39.13330 и
СП 104.13330.
7.7.19 Дороги на территории польдерных систем следует проектировать на основе общих требований, предусмотренных
СП 99.13330.
7.7.19.1 Эксплуатационные дороги вдоль оградительной дамбы устраивают с внутренней стороны. В отдельных случаях для круглогодичного обслуживания сооружений, устроенных в теле дамбы, допускается проектировать дороги по гребню оградительной дамбы.
7.7.19.2 Конструкции внутрипольдерных дорог на незатапливаемых польдерных системах аналогичны конструкциям дорог на осушительных системах.
7.7.19.3 На затапливаемых польдерных системах полотно дорог необходимо проектировать на одном уровне с окружающей территорией или выше ее на толщину покрытия. В местах пересечения дорог с сосредоточенным потоком паводковых вод предусматривается твердое покрытие или устройство бетонного бордюра.
7.7.19.4 Удельная протяженность дорог на польдерных системах должна составлять:
- при выращивании многолетних трав - не менее 1 км на 100 га;
- при возделывании пропашных культур - не менее 1,5 км на 100 га.
7.7.20 Трассы линий электропередач следует проектировать вдоль дорог, каналов, по границам полей, а также по участкам, не имеющим сельскохозяйственного назначения.
7.7.21 Проектирование автоматизации процессов водоотведения и водоподачи на польдерных системах следует выполнять в соответствии с требованиями
раздела 11,
ГОСТ Р 70567.
(в ред.
Изменения N 2, утв. Приказом Минстроя России от 18.12.2023 N 936/пр)
8 Сооружения на оросительных и осушительных сетях
(в ред.
Изменения N 2, утв. Приказом Минстроя России от 18.12.2023 N 936/пр)
Сооружения должны обеспечивать:
- регулирование водоподачи и уровней, плановое водораспределение (водовыпуски, вододелители, водомерные сооружения, перегораживающие сооружения);
- сопряжение бьефов (быстротоки, перепады);
- возможность пересечения каналами (лотками) дорог, коллекторов, водотоков, оврагов (трубчатые переезды, дюкеры, акведуки);
- регулирование качества воды (отстойники, песколовки, бассейны-смесители);
- недопущение переполнения каналов и лотков, опорожнение трубопроводов (сбросные сооружения);
- рыбозащиту.
8.2 Местоположение, компоновку и тип сооружений следует выбирать в зависимости от их назначения, природных условий района строительства, наличия строительных материалов, условий и способов производства работ и эксплуатации.
Следует использовать типовые проекты сооружений. При отсутствии типовых проектов допускается применять имеющиеся экономичные или разрабатывать индивидуальные проекты с максимальным использованием типовых решений отдельных узлов сооружений.
(в ред.
Изменения N 2, утв. Приказом Минстроя России от 18.12.2023 N 936/пр)
Типы конструкций сетевых сооружений в зависимости от пропускной способности следует определять по таблице 16.
(в ред.
Изменения N 2, утв. Приказом Минстроя России от 18.12.2023 N 936/пр)
Таблица 16
Типы конструкций сетевых сооружений и их повторяемость
на 1000 га в зависимости от пропускной способности
Пропускная способность, м3/с | Ориентировочная повторяемость, штук на 1000 га | Конструкции сооружений |
До 0,5 | 200,0 | Трубчатые диаметром 20 - 30 см |
0,5 - 5 | 20,0 | Трубчатые диаметром 40 - 160 см |
5 - 20 | 2,0 | Трубчатые прямоугольные или открытые |
20 - 150 | 0,2 | Открытые |
Более 150 | Индивидуальные | Открытые |
8.3 При проектировании сооружений должны быть обеспечены заданные гидравлические условия как в пределах самого сооружения, так и на примыкающих к нему участках верхнего и нижнего бьефов:
- устойчивость и прочность сооружения в целом и отдельных его частей;
- фильтрационная прочность грунтов основания;
- надежность и удобство в эксплуатации, возможность осмотра и ремонта сооружения;
- выполнение требований по охране окружающей природной среды;
- высокий уровень индустриализации строительства;
- экономное расходование дефицитных строительных материалов;
- широкое применение местных строительных материалов.
8.4 Расчетную обеспеченность расходов воды и селевых потоков при проектировании сооружений для пропуска талых, дождевых вод и селевых потоков под (или над) оросительными каналами необходимо принимать в зависимости от класса защищаемых оросительных каналов.
8.5 Расчет сооружений на осушительных каналах следует выполнять на расход воды, пропускаемый каналом при полном его заполнении в створе сооружения, но не более расхода воды расчетной обеспеченности, определяемой в зависимости от класса сооружения по
СП 58.13330 (основной расчетный случай).
8.6 Расчетную обеспеченность максимальных расходов воды при проектировании мостов и трубчатых переездов при пересечениях осушительных каналов с железными и автомобильными дорогами следует определять согласно
СП 119.13330 и
СП 34.13330.
8.7 Превышение верха стен и откосов сооружения над уровнем воды в канале при пропуске через сооружение расчетного расхода воды следует принимать по
таблице 8 как для каналов с покрытием.
(в ред.
Изменения N 1, утв. Приказом Минстроя России от 01.02.2019 N 74/пр)
8.8 При аэрации потока и наличии сбойного течения превышение стен и откосов сооружения над расчетным уровнем воды с учетом аэрации воды следует принимать по таблице 17.
Таблица 17
Превышение верха стен и откосов
в зависимости от расхода воды
Расчетный расход воды, м3/с | Превышение верха стен и откосов, см |
До 1 | 20 |
1 - 10 | 30 |
10 - 30 | 40 |
30 - 50 | 50 |
50 - 100 | 60 |
Примечание - В быстротоках трапецеидального сечения с заложением откосов более 1:1,5 приведенные данные надлежит увеличивать на 15%. |
8.9 Для сооружений, устраиваемых в ограждающих дамбах, а также при расходах воды в каналах более 100 м3/с превышение верха стен и откосов над расчетным уровнем воды необходимо устанавливать с учетом ветрового нагона воды и высоты наката ветровых волн в верхнем бьефе.
8.10 Превышение низа пролетного строения акведука и открытых шлюзов-регуляторов с переездами над максимальным расчетным уровнем воды в водотоке, определенным в зависимости от классов этих сооружений, должно быть не менее 0,5 м.
8.11 Опоры акведука, пересекающего водоток, следует защищать от воздействия льда. Глубину заложения опор акведука следует назначать с учетом возможного максимального размыва русла.
8.12 Гидравлический расчет дюкера надлежит производить, исходя из обеспечения скорости воды в трубопроводе не менее, чем в канале при пропуске расчетного расхода. Окончательно параметры поперечного сечения дюкера следует выбирать с учетом технологии его очистки.
8.13 Водосбросные сооружения на оросительных каналах следует проектировать автоматического действия.
(в ред.
Изменения N 2, утв. Приказом Минстроя России от 18.12.2023 N 936/пр)
8.14 Конструкцию и габариты переездов через каналы (совмещенных и несовмещенных с гидротехническими сооружениями) следует принимать в соответствии с
СП 34.13330,
СП 99.13330,
СП 35.13330.
8.15 При проектировании сооружений на закрытой оросительной сети должны быть учтены требования
СП 31.13330.
8.16 Водозаборные сооружения, подающие воду в трубчатую сеть, должны быть оборудованы средствами водоучета или стабилизаторами расхода. Компоновка этих сооружений и их конструкция должны исключать поступление в трубопровод плавающих предметов, донных наносов и воздуха.
8.17 Для обеспечения возможности регулирования напора и расхода гидранты и водовыпуски из трубопроводов в поливные и дождевальные устройства оборудуют арматурой.
(п. 8.17 в ред.
Изменения N 2, утв. Приказом Минстроя России от 18.12.2023 N 936/пр)
8.18 Водовыпуски для опорожнения и промывки трубопроводов следует устанавливать в пониженных местах и в конце трассы трубопроводов в увязке с планом оросительной и водосбросной сети.
8.19 Ширину берм и горизонтальных площадок у сооружений необходимо устанавливать в зависимости от общей компоновки сооружений, условий удобства их эксплуатации, при этом размер должен быть не менее 3 м.
8.20 Высоту засыпки грунта над трубами в местах переезда следует принимать по расчету.
9.1.1 При проектировании мелиоративных насосных станций необходимо соблюдать требования
ГОСТ Р 70567,
СП 58.13330 и настоящего раздела.
(в ред.
Изменения N 2, утв. Приказом Минстроя России от 18.12.2023 N 936/пр)
9.1.2 Расчетную подачу воды насосных станций следует определять по максимальной ординате графика водопотребления с учетом коэффициентов форсирования, принимаемых в соответствии с
6.2.6, или по максимальному количеству и параметрам одновременно работающих дождевальных машин, а на осушительных системах - по максимальной ординате графика откачки с учетом использования регулирующих емкостей.
9.1.3 Категории насосных станций по надежности подачи (откачки) воды определяют согласно ГОСТ Р 70567-2022
(пункт 5.2).
(п. 9.1.3 в ред.
Изменения N 2, утв. Приказом Минстроя России от 18.12.2023 N 936/пр)
9.2 Расчетные уровни воды
За максимальный расчетный уровень воды следует принимать:
- при заборе воды из каналов - уровень воды с учетом возможного появления положительной волны при включении (отключении) последнего агрегата насосной станции, ветровой волны и нагона;
- при заборе воды из водохранилищ и рек - на основании таблицы 18.
Таблица 18
Обеспеченность расчетных уровней воды в зависимости
от категории надежности насосных станций
Расчетный уровень | Обеспеченность расчетного максимального и минимального уровней воды в зависимости от категории надежности насосных станций, % |
I | II | III |
Максимальный | 1 | 3 | 5 |
Минимальный - из условия обеспечения водозабора | 97 | 95 | 90 |
9.3 Подбор насосных агрегатов
9.3.1 Тип и число насосных агрегатов следует выбирать из условия наиболее точного обеспечения графика водоподачи на основании технико-экономических сравнений вариантов.
Число насосных агрегатов на насосных станциях принимают по таблице 19.
(в ред.
Изменения N 2, утв. Приказом Минстроя России от 18.12.2023 N 936/пр)
Таблица 19
Число насосных агрегатов в зависимости от подачи воды
Подача воды, м3/с | Число насосных агрегатов, шт. |
До 1 | 2 - 4 |
1 - 5 | 3 - 5 |
5 - 30 | 4 - 6 |
Св. 30 | 5 - 9 |
Число агрегатов допускается увеличивать при установке в одном здании нескольких групп насосов с разными напорами, а также при отсутствии освоенного оборудования.
Число агрегатов допускается уменьшать, если насосные станции подают воду в открытые водоемы, имеющие регулирующие емкости, достаточные для остановки насосов на срок до одних суток.
(в ред.
Изменения N 2, утв. Приказом Минстроя России от 18.12.2023 N 936/пр)
9.3.2 Допускается применение различных типов насосного оборудования при технико-экономическом обосновании.
(в ред.
Изменения N 2, утв. Приказом Минстроя России от 18.12.2023 N 936/пр)
9.3.3 Для более точного обеспечения графика водоподачи следует рассматривать необходимость установки в сочетании с основными насосными агрегатами агрегатов с подачей воды, равной 20 - 30% основного насоса. Число агрегатов с меньшей подачей принимается в соответствии с графиком водоподачи и наличием регулирующей емкости; их подача должна входить в суммарную подачу насосной станции, напор соответствовать напору основных насосов.
9.3.4 Число резервных агрегатов следует принимать при категории надежности:
- I - один резервный агрегат при числе рабочих до шести включительно, два резервных агрегата при числе рабочих семь и более;
- II - один резервный агрегат при числе рабочих до восьми включительно, два резервных агрегата при числе рабочих девять и более;
- III - резервный агрегат не предусматривается.
При обосновании резервный агрегат разрешается хранить на складе.
(в ред.
Изменения N 2, утв. Приказом Минстроя России от 18.12.2023 N 936/пр)
Число основных резервных агрегатов допускается увеличивать при работе насосных станций в тяжелых условиях: при перекачке агрессивных вод, а также вод, содержащих абразивные взвеси, при большой загрузке насосов (более 5500 ч в году).
(в ред.
Изменения N 2, утв. Приказом Минстроя России от 18.12.2023 N 936/пр)
9.3.5 Необходимое насосно-силовое оборудование следует подбирать на основании технико-экономического сравнения вариантов различных насосных агрегатов в зависимости от их подачи, КПД при средневзвешенном напоре, допускаемой высоты всасывания, наличия насосов данного типа на оросительной системе, возможности наиболее точного обеспечения графика водоподачи и работы насосов в диапазоне колебаний напоров без регулирования подачи задвижкой, эксплуатационных и конструктивных преимуществ.
9.3.6 Для закрытых оросительных систем с дождевальными машинами, работающими в движении, на насосных станциях с насосами, имеющими нестабильные рабочие характеристики (
Hmax при

) устанавливаются два вспомогательных насоса с суммарной подачей 3 - 5% расчетного расхода закрытой сети плюс расход воды одной дождевальной машины.
На насосных станциях с насосами, имеющими стабильные рабочие характеристики, необходимо предусматривать два вспомогательных насоса с подачей каждого, равной 3 - 5% расчетного расхода сети.
9.3.7 Для закрытых оросительных систем с дождевальными машинами позиционного действия при определении числа насосных агрегатов следует учитывать многократные пуски и остановки агрегатов и продолжительность остывания электродвигателей.
9.3.8 Для насосных станций осушительных систем типоразмер и количество рабочих агрегатов следует выбирать в соответствии с ГОСТ Р 70567-2022
(пункт 5.5.7).
(п. 9.3.8 в ред.
Изменения N 2, утв. Приказом Минстроя России от 18.12.2023 N 936/пр)
9.3.9 Исключен с 19.01.2024. -
Изменение N 2, утв. Приказом Минстроя России от 18.12.2023 N 936/пр.
9.3.10 Осушительные насосные станции следует проектировать автоматическими с пуском в зависимости от уровня воды в нижнем бьефе.
9.3.11 В качестве приводов насосов допускается применять двигатели внутреннего сгорания при специальном обосновании (отсутствие источника электроснабжения и нецелесообразность строительства линий электропередач).
9.4 Водозаборные сооружения насосных станций
9.4.1 Конструкция водозаборных сооружений должна обеспечивать:
- забор воды с минимальными гидравлическими потерями, задержание мусора и взвешенных частиц в случае подачи воды в дождевальные машины, рыбозащиту;
- очистку решеток и сеток рыбозащитных или сороудерживающих устройств.
9.4.2 Водозаборные сооружения насосных станций I и II категорий надежности следует проектировать незатопляемыми, для насосных станций III категории надежности допускается затопление водозаборов кратковременными паводками, если время прохождения паводка не совпадает с временем работы насосных станций.
9.4.3 Водозаборные сооружения следует проектировать с учетом руслоформирующих процессов в сочетании с русловыправительными сооружениями.
9.4.4 Параметры основных элементов водозабора (входные окна, сетки, трубы, каналы, камеры) необходимо определять гидравлическими расчетами при максимальной подаче воды и минимальных уровнях в водоисточнике.
(в ред.
Изменения N 2, утв. Приказом Минстроя России от 18.12.2023 N 936/пр)
9.4.5 Открытые и закрытые водоводы должны обеспечивать пропуск воды в соответствии с графиком водоподачи, откачки и режимами уровней воды в водоисточнике. Размеры каналов следует определять с запасом 5 - 6% по сравнению с расчетной подачей насосной станции.
9.4.6 Конструкция и компоновка элементов всасывающих трубопроводов насосов должны исключать возможность засасывания воздуха и образования воздушных мешков. Всасывающий трубопровод должен иметь непрерывный подъем к насосу с уклоном не менее 0,005. Все соединения всасывающих трубопроводов должны быть герметичными.
9.4.7 При длине всасывающего трубопровода более 30 м и диаметре более 500 мм экономичный диаметр трубопровода необходимо определять на основании технико-экономических расчетов.
9.4.8 Число всасывающих трубопроводов должно быть равно числу насосов, при обосновании допускается устройство общего всасывающего трубопровода (коллектора).
9.4.9 Диаметры всасывающих трубопроводов длиной до 50 м следует принимать по допускаемым скоростям воды: для трубопроводов диаметром 300 - 500 мм рекомендуемая скорость 1 - 1,5 м/с, диаметром 500 - 800 мм - 1,5 - 1,9 м/с и диаметром более 800 мм - 2 м/с. При этом диаметр трубопровода должен быть не менее диаметра входного патрубка насоса.
9.4.10 Поворот трассы подводящего канала следует выполнять на расстоянии не менее 10B (B - ширина канала по урезу воды, м). В стесненных условиях поворот трассы канала, в том числе в пределах аванкамеры, допускается при условии применения направляющих стен. При проектировании аванкамеры следует принимать центральный угол конусности не более 45°, уклон дна в сторону водоприемного устройства - не более 0,4, скорость подхода воды к водоприемным отверстиям - не более 1 м/с.
(в ред.
Изменения N 1, утв. Приказом Минстроя России от 01.02.2019 N 74/пр,
Изменения N 2, утв. Приказом Минстроя России от 18.12.2023 N 936/пр)
9.4.11 Рыбозащитные устройства на водозаборных сооружениях проектируются в соответствии с требованиями
СП 101.13330.
9.4.12 При наличии в забираемой воде взвешенных частиц допускается предусматривать устройства отстойников перед водозаборами.
(в ред.
Изменения N 2, утв. Приказом Минстроя России от 18.12.2023 N 936/пр)
9.5 Здания насосных станций
9.5.1 Здание насосной станции должно обеспечивать оптимальный режим работы оборудования, защиту обслуживающего персонала и оборудования от атмосферных воздействий, а также наибольшие удобства и надежность эксплуатации при минимальных капиталовложениях и сроках строительства.
9.5.2 Объемно-планировочные и конструктивные решения зданий насосных станций следует принимать в соответствии с требованиями
ГОСТ Р 70567,
СП 56.13330.
(в ред.
Изменения N 2, утв. Приказом Минстроя России от 18.12.2023 N 936/пр)
9.5.3 Габаритные размеры подземной части здания должны быть наименьшими из условия размещения и удобств эксплуатации оборудования, а также прочности и устойчивости самого сооружения. Вспомогательное оборудование, подсобные помещения, в том числе монтажные площадки, по возможности следует выносить в наземную часть здания.
9.5.4 Для сбора фильтрационных вод в зданиях насосных станций предусматриваются дренажные колодцы. Рабочая емкость колодцев и подача дренажных насосов должны быть подобраны так, чтобы соотношение времени работы насоса к нерабочему времени (затопление регулирующей емкости колодца) было не более 1:10. Время работы дренажного насоса должно быть не менее 2 мин.
9.5.5 При проектировании следует предусматривать применение блочно-комплектных насосных станций (в т.ч. из полимерных материалов) после заводского изготовления.
Насосные станции из полимерных материалов следует проектировать с учетом требований
СП 399.1325800.
(п. 9.5.5 в ред.
Изменения N 2, утв. Приказом Минстроя России от 18.12.2023 N 936/пр)
9.5.6 Число ниток напорного трубопровода длиной до 100 м следует принимать равным числу насосов. При длине трубопровода 100 - 300 м объединение нескольких ниток в одну должно быть обосновано технико-экономическими расчетами, а при длине более 300 м такое объединение обязательно. Число насосов, подключаемых к одной нитке напорного трубопровода, необходимо определять технико-экономическим расчетом.
9.6 Водовыпускные сооружения
9.6.1 Водовыпускное сооружение должно обеспечивать: плавное сопряжение напорных трубопроводов с отводящим каналом; автоматическое предотвращение обратного тока воды при включении агрегатов; возможность распределения воды, если от сооружения отходят несколько каналов.
9.6.2 Типы водопропускных сооружений принимают согласно ГОСТ Р 70567-2022
(пункт 5.6.5.2).
(п. 9.6.2 в ред.
Изменения N 2, утв. Приказом Минстроя России от 18.12.2023 N 936/пр)
9.6.3 Местоположение водовыпускного сооружения на тракте водоподачи следует принимать в точке пересечения поверхности земли с дном отводящего канала при уклонах местности менее 0,05. При просадочных и сильно фильтрующих грунтах, а также при уклонах поверхности земли более 0,15 водовыпускное сооружение рекомендуется располагать полностью в выемке. Во всех остальных случаях место водовыпускного сооружения необходимо определять конструктивными решениями.
(в ред.
Изменения N 2, утв. Приказом Минстроя России от 18.12.2023 N 936/пр)
9.6.4 Превышение верха сифона над максимальным уровнем воды с учетом ветровых волн, волн пуска и остановки агрегатов и потерь напора в успокоительном колодце и переходном участке следует принимать не менее 0,2 м.
9.6.5 Аварийные сбросы следует рассчитывать на разницу между максимальной расчетной производительностью станции и тем расходом, пропуск которого по отводящему каналу гарантирован в аварийных случаях.
Запас гребня дамб над максимальным горизонтом воды при устройстве сброса воды допускается уменьшать на 40%.
(в ред.
Изменения N 2, утв. Приказом Минстроя России от 18.12.2023 N 936/пр)
9.6.6 Запас по высоте стен и камер, а также дамб обвалования в пределах водовыпускного сооружения следует принимать на 0,2 м больше, чем для магистральных каналов.
9.6.7 Водовыпускные сооружения следует оборудовать запорными устройствами для автоматического отключения напорных трубопроводов: быстропадающими, дисковыми, обратными клапанами или захлопками. На сифонных оголовках должны быть установлены клапаны срыва вакуума механического или гидравлического действия.
Для ремонта затворов следует предусматривать установку ремонтных заграждений.
В случаях, когда на напорных трубопроводах насосов запорные органы имеют независимые приводы, допускается при специальном обосновании совмещать в одном затворе функции ремонтного и аварийного.
9.6.8 На водовыпускном сооружении с затвором следует предусматривать воздухоподводящие трубы (для выпуска и впуска воздуха).
9.6.9 Сопряжение водовыпускного сооружения с отводящим каналом должно быть плавным. Дно и борта переходного участка должны быть с противофильтрационным покрытием. При сопряжении водовыпускного сооружения с отводящим каналом покрытие переходного участка следует выполнять из бетонных или железобетонных плит с искусственной шероховатостью или из камня.
(п. 9.6.9 в ред.
Изменения N 1, утв. Приказом Минстроя России от 01.02.2019 N 74/пр)
9.7 Гидравлический расчет водоводов насосных станций
9.7.1 Гидравлический расчет водоводов необходимо выполнять после выбора их форм, напорных коммуникаций и диаметров труб согласно
СП 31.13330. При расчете должны учитываться все варианты работы насосов (включая и аварийные), колебания уровней воды в водовыпуске и водоприемном устройстве или давления в закрытой сети, повышение шероховатости стенок во время эксплуатации.
(в ред.
Изменения N 1, утв. Приказом Минстроя России от 01.02.2019 N 74/пр,
Изменения N 2, утв. Приказом Минстроя России от 18.12.2023 N 936/пр)
Гидравлический расчет водоводов из полимерных труб следует производить с учетом требований
СП 399.1325800.
(абзац введен
Изменением N 2, утв. Приказом Минстроя России от 18.12.2023 N 936/пр)
9.7.2 При гидравлическом анализе работы насосов следует учитывать: величины обточки их рабочих колес или углы разворота лопаток, допускаемые высоты всасывания; при этом должен быть составлен водно-энергетический расчет и даны рекомендации по эксплуатации насосных агрегатов для всех вариантов их работы и геометрических напоров.
10.1 При проектировании оградительных дамб должны соблюдаться требования
5.7.
10.2 Оградительные дамбы в зависимости от сельскохозяйственного использования земель подразделяются на затопляемые или незатопляемые. При выращивании на обвалованной территории озимых культур, многолетних насаждений необходимо проектировать незатопляемые дамбы, защищающие территорию от затопления в течение всего года. В остальных случаях выбор типа дамб (затопляемые или незатопляемые) следует устанавливать на основании технико-экономического сравнения вариантов.
(в ред.
Изменения N 2, утв. Приказом Минстроя России от 18.12.2023 N 936/пр)
Затопляемые дамбы, защищающие от затопления в период летне-осенних дождей при подъеме воды в водотоке или водоеме, надлежит проектировать с учетом воздействия весеннего паводка на почву, дороги, осушительную сеть.
10.3 Расположение дамб в плане следует назначать на основании гидрологических и гидравлических расчетов водотоков с учетом топографических особенностей местности и требований охраны окружающей природной среды.
10.4 При проектировании дамб расчетное значение максимальных уровней воды необходимо принимать в зависимости от расчетной обеспеченности расходов воды для данного класса дамбы.
Для незатопляемых дамб расчетным является максимальный паводок в течение года (весенний или летне-осенний), для затопляемых - летне-осенний паводок.
10.5 Превышение гребня дамб над уровнем воды для основного расчетного случая следует определять согласно
СП 39.13330 с учетом стеснения потока реки оградительными дамбами, ветрового нагона и высоты наката волны, а также осадки тела дамбы и основания. Величину запаса по высоте незатопляемых дамб необходимо принимать равной 0,5 м, а затопляемых - 0,3 м.
Отметка гребня дамбы должна быть не менее отметки уровня воды при прохождении расхода воды расчетной обеспеченности, соответствующей поверочному расчетному случаю.
10.6 Отсыпку тела дамб следует предусматривать из местных грунтов, отвечающих требованиям
СП 39.13330. Допускается применение плодородного слоя почвы и торфа со степенью разложения 50% и более. Откосы и гребень дамб из торфа необходимо покрывать защитным слоем минерального грунта толщиной не менее 0,5 м.
(в ред.
Изменения N 2, утв. Приказом Минстроя России от 18.12.2023 N 936/пр)
10.7 Резервы грунта для отсыпки дамб надлежит располагать с внешней стороны польдера на расстоянии двойной высоты дамб на глинистых грунтах и четырехкратной высоты на легких минеральных и торфяных грунтах.
10.8 Ширину гребня оградительных дамб следует принимать из условия производства строительных работ и эксплуатации. При высоте дамб более 1,5 м ширина гребня должны быть не менее 3 м.
10.9 Эксплуатационную дорогу необходимо предусматривать вдоль дамб со стороны обвалованной площади. При обосновании допускается располагать эксплуатационную дорогу по гребню дамб с устройством съездов и разъездов не более чем через 0,5 км.
(в ред.
Изменения N 2, утв. Приказом Минстроя России от 18.12.2023 N 936/пр)
10.10 Откосы дамб должны быть защищены от размывающего воздействия атмосферных осадков, потока, волны, сбойного течения на поворотах, ледохода.
10.11 Заложение откосов дамб при напоре до 3 м следует принимать по таблице 20 с учетом физико-механических свойств грунтов тела дамб и технологии производства работ, при напоре более 3 м - в соответствии с
СП 39.13330.
Таблица 20
Заложения откосов дамб при напоре до 3 м
Грунты | Заложение откосов |
верхового | низового |
Глинистые | От 1:1,5 до 1:2,5 | От 1:1,5 до 1:2,5 |
Песчаные | От 1:2 до 1:3 | От 1:1,5 до 1:3 |
Торфяные | От 1:2,5 до 1:3 | От 1:2 до 1:2,5 |
10.12 В затопляемых дамбах необходимо предусматривать устройство шлюзов-регуляторов или водосливов для выравнивания уровней воды в верхнем и нижнем бьефах в период прохождения паводка. Порог водослива следует назначать на отметке максимального уровня летне-осеннего паводка расчетной обеспеченности.
11 Средства управления и автоматизации
11.1 Для управления процессами водоподачи, водоотведения, водораспределения на мелиорированных землях следует предусматривать автоматизацию оросительных и осушительных систем.
11.2 Средства управления и автоматизации оросительной или осушительной системой следует подразделять на группы сложности:
- I группа - локальная (местная) автоматизация с ручным управлением;
- II группа - комплексная автоматизация с управлением через диспетчера;
- III группа - комплексная автоматизация с управлением через диспетчера с применением ЭВМ;
- IV группа - полная автоматизация с управлением через растение (по потребности растения в воде).
Выбор группы автоматизации оросительной системы должен быть обоснован.
11.3 Автоматизированное водораспределение подразделяется на три вида:
(в ред.
Изменения N 2, утв. Приказом Минстроя России от 18.12.2023 N 936/пр)
- при недостаточной водообеспеченности и условии, что транспортирующая сеть водоводов выполнена без резервных емкостей при наличии бассейнов-накопителей суточного регулирования, - нормированное;
- при полной водообеспеченности и условии, что транспортирующие каналы выполнены с требуемым для бесперебойного водопотребления резервными емкостями, - ненормированное;
- при ограниченной водообеспеченности с устройством резервных емкостей на транспортирующих каналах (объем необходимо определять на основе технико-экономических расчетов) - смешанное.
11.4 Для предотвращения непроизводительных сбросов воды из каналов следует предусматривать аккумулирующие емкости.
11.5 Гидротехнические сооружения оросительной и осушительной системы должны оборудоваться регуляторами автоматического действия.
11.6 Водозаборные узлы, водовыделы в хозяйства, каналы сбросной сети необходимо оборудовать средствами водоучета в соответствии с требованиями ГОСТ Р 51657.3.
11.7 Для контроля мелиоративного состояния земель необходимо предусматривать сеть наблюдательных скважин и средства измерений расходов воды согласно требованиям ГОСТ Р 51657.3, ГОСТ Р 51657.4, ГОСТ Р 51657.2. При площади мелиоративной системы более 20 тыс. га дополнительно следует организовывать лаборатории по контролю влажности и засоления почв, качества дренажных вод со средствами автоматической обработки информации, а также метеорологические станции и водно-балансовые площадки.
11.8 Степень и схемы автоматизации водораспределения должны обеспечивать сокращение технологических сбросов до величин, не превышающих 5% водопотребления нетто оросительной системы.
11.9 Для элементов оросительных и осушительных систем, относящихся к I и II классам, следует предусматривать мероприятия комплексного обеспечения безопасности и антитеррористической защищенности в соответствии с требованиями
ГОСТ Р 22.1.12.
11.10 Приборное обеспечение систем автоматизации должно быть унифицированным по видам средств измерений, метрологическим и эксплуатационным характеристикам и соответствовать требованиям
СП 77.13330,
ГОСТ 34.201.
12 Охрана окружающей природной среды
12.1 При проектировании мелиоративных систем и сооружений необходимо соблюдать следующие требования:
- размещать мелиоративные системы и сооружения с учетом экологической значимости природных объектов осваиваемого района;
- повторно использовать сбросные и дренажные воды с качеством в соответствии с требованиями
12.11.5;
(в ред.
Изменения N 1, утв. Приказом Минстроя России от 01.02.2019 N 74/пр)
- создавать специальные инженерные сооружения или устройства и проводить необходимые мероприятия (водоочистные, противоэрозионные, лесозащитные, рыбозащитные, рыбопропускные, переходы для животных через каналы и проходящие по поверхности трубопроводы) с учетом технологии сельскохозяйственного производства;
- сброс вод с мелиоративных систем должен проводиться в соответствии с требованиями, приведенными в
[4] и
[5].
12.2 Границы мелиоративной системы, строительных площадок, трасс, места расположения водозаборных, водосбросных сооружений следует назначать с учетом:
- территориальных комплексных схем охраны окружающей природной среды, схем охраны вод малых рек;
- границ имеющихся заповедников, заказников, территорий (акваторий) обитания особо охраняемых видов флоры и фауны, памятников природы и статуса их охраны;
- данных по местам обитания и миграциям ценных, редких, исчезающих, особо охраняемых видов флоры и фауны и статуса их охраны;
- данных по местам обитания, массовой концентрации (мест размножения, нагула, зимовки), миграциям промысловых и хозяйственно ценных видов флоры и фауны.
12.3 Природные объекты (вода, почва, воздух, флора, фауна), подлежащие защите, должны устанавливаться на основании:
- зоогеографической, охотохозяйственной, геоботанической, почвенной, лесохозяйственной, гидрогеологической характеристик места расположения мелиоративной системы и прилегающих территорий в пределах зоны понижения, повышения уровня грунтовых вод;
- ихтиологической, рыбохозяйственной, гидрологической, гидробиологической, гидрохимической характеристик акватории (в размере зоны 2000 м выше и 2000 м ниже створа водозаборного, водосбросного сооружения) водоисточника, водоприемника;
- сведений о санитарно-эпидемиологической обстановке;
- данных об особо охраняемых видах флоры и фауны, о памятниках природы, заповедниках, находящихся в зоне влияния мелиоративной системы и сооружений.
12.4 Состав и тип природоохранных мероприятий, сооружений и устройств следует назначать на основе данных, характеризующих современное и прогнозируемое состояние (по физическим, химическим, биологическим показателям) природных объектов в увязке с типом, параметрами, режимом работы мелиоративной системы и сооружений.
12.5 Конструкцию, типоразмер, режим работы сооружения или устройства следует выбирать в соответствии с
8.2 и с учетом биологических особенностей флоры и фауны.
12.6 Мероприятия по охране окружающей среды должны соответствовать основным принципам, приведенным в
[5].
12.7 Рыбозащитные мероприятия и устройства
12.7.1 При проектировании водозаборов на рыбохозяйственных водоемах необходимо предусматривать установку специальных приспособлений для предохранения рыбы от попадания в водозаборные сооружения.
(в ред.
Изменения N 2, утв. Приказом Минстроя России от 18.12.2023 N 936/пр)
12.7.3 При размещении, проектировании, строительстве и вводе в эксплуатацию новых, реконструкции и расширении существующих мелиоративных объектов на рыбохозяйственных водоемах необходимо предусматривать мероприятия по сохранению рыбных запасов, а при строительстве плотин - и мероприятия по полному использованию водохранилищ под рыбное хозяйство.
(в ред.
Изменения N 2, утв. Приказом Минстроя России от 18.12.2023 N 936/пр)
12.7.4 Исключен с 19.01.2024. -
Изменение N 2, утв. Приказом Минстроя России от 18.12.2023 N 936/пр.
12.8 Защитные лесные насаждения
12.8.1 На мелиоративных системах следует предусматривать защитные лесные насаждения.
12.8.2 В зависимости от природных условий защитные лесные полосы (лесополосы) надлежит проектировать следующего назначения: полезащитные, водоохранные, почвозащитные, озеленительные.
12.8.3 Площадь, предусматриваемая под создание полезащитных лесополос, должна составлять не более 4% площади орошения. Площадь лесополос вдоль магистральных и распределительных каналов следует устанавливать в зависимости от длины лесов и ширины лесополосы с учетом создания свободного доступа к каналам для очистки и ремонта. Длину лесополосы необходимо принимать не менее 60% длины канала.
Площадь для остальных групп лесополос (вдоль дорог, вокруг прудов, у поселков, насосных станций, на не использованных в сельском хозяйстве землях) следует назначать, исходя из конкретных условий объекта.
(в ред.
Изменения N 2, утв. Приказом Минстроя России от 18.12.2023 N 936/пр)
12.8.4 Полезащитные лесные полосы надлежит располагать в двух взаимно перпендикулярных направлениях:
- продольном (основные) - поперек преобладающих в данной местности ветров (суховейных, вызывающих пыльные бури, метелистых);
- поперечном (вспомогательные) - перпендикулярно продольным.
При проектировании организации территории орошаемых земель следует предусматривать, чтобы поля севооборотов и отдельные поливные участки длинной стороной располагались поперек направления преобладающих ветров или с отклонением от него не более чем на 30°.
12.8.5 На подверженных водной эрозии склонах крутизной более 1,5° продольные почвозащитные и водоохранные лесные полосы необходимо располагать поперек склонов, по горизонталям в увязке с общей организацией территории, агротехническими и гидротехническими противоэрозионными мероприятиями.
12.8.6 Расстояние между полезащитными лесополосами необходимо принимать в зависимости от:
- типа почв (черноземные, каштановые, сероземные, полупустынные, пустынные) и степени подверженности их эрозии;
- расчетной высоты древесных пород H и дальности их эффективного влияния 30H на ветровой режим;
- способов и техники полива. При этом расстояние между продольными лесными полосами не должно превышать 800 м, поперечными - 2000 м, а на песчаных почвах - 1000 м.
12.8.7 Продольные полезащитные лесополосы надлежит предусматривать трех-, а поперечные двухрядными. Водоохранные лесные насаждения для защиты магистральных каналов и их ветвей необходимо проектировать трехрядными с одной стороны канала и двухрядными с каждой стороны. Вдоль одной стороны открытых коллекторов следует предусматривать лесные полосы из трех рядов. Вдоль крупных магистральных каналов и коллекторов лесные полосы надлежит принимать из 4 - 5 рядов с одной или обеих сторон.
12.8.8 При проектировании каналов вне орошаемых земель или по их границе лесные полосы следует создавать с опушкой из кустарников со стороны степи.
12.8.9 Крайний ряд насаждений вдоль каналов следует размещать на расстоянии не менее 3 м от подошвы дамбы или откоса выемки. При высоте дамбы (глубине выемки) более 3 м это расстояние следует увеличивать до 4 - 5 м.
(в ред.
Изменения N 2, утв. Приказом Минстроя России от 18.12.2023 N 936/пр)
Ряд лесных насаждений следует предусматривать на расстоянии от края лотков 2,5 - 3 м, от трубопроводов - 2 м.
Расстояние между закрытыми коллекторами (дренами) и лесополосами следует принимать в соответствии с
7.4.6.4.
12.8.10 Защитные лесные полосы по границам орошаемых земель с участками интенсивной эрозии почвы следует предусматривать многорядными (4 - 5 рядов).
12.8.11 Защитные лесные насаждения вокруг прудов и водоемов следует проектировать из одного, двух или трех поясов. Первый пояс (берегоукрепительный) необходимо располагать в зоне расчетного подпорного уровня из двух и более рядов кустарников ив. Второй пояс посадок (ветроломные и дренирующие) из тополей и древовидных ив следует размещать между отметками расчетного и форсированного подпорных уровней. Третий пояс (противоэрозионный) надлежит предусматривать выше форсированного уровня из засухоустойчивых пород деревьев.
12.8.12 На обвалованных площадях в поймах рек следует предусматривать создание защитных лесных полос комплексного назначения из 2 - 4 рядов древесных пород (например, тополей), размещаемых по границам участков, а также каналов проводящей осушительной сети.
(в ред.
Изменения N 2, утв. Приказом Минстроя России от 18.12.2023 N 936/пр)
12.8.13 Защитные лесные полосы в питомниках, садах, виноградниках, на чайных, цитрусовых плантациях следует размещать в виде сети взаимодействующих лесных полос: по внешним границам орошаемой территории - из 2 - 3 рядов, внутри орошаемой территории - из 1 - 2 рядов. Расстояние между первым рядом деревьев сада или других насаждений и лесополосой должно быть не менее принятой в саду (плантации) ширины междурядья.
12.8.14 Лесополосы вдоль дорог необходимо размещать на расстоянии 2,5 - 3 м от бровки кювета. Размещение лесополос вдоль линий электропередач и связи должно выполняться в соответствии с действующими нормативами по их строительству и эксплуатации.
12.8.15 Способы и технику полива защитных лесных насаждений следует предусматривать такими же, как и для орошаемых сельскохозяйственных угодий. Допускается создание дополнительной оросительной сети и применение поливной техники только для полива лесополос.
12.8.16 При использовании дождевальной техники для полива сельскохозяйственных культур необходимо использовать ее и для полива лесополос.
12.8.17 Ликвидация существующих лесных, кустарниковых полос и насаждений допускается только при технико-экономическом обосновании с учетом их экологического значения.
12.9 Охрана животных
12.9.1 На линейных сооружениях (каналах, трубопроводах) следует предусматривать специальные переходы для диких животных. Конструкцию и число переходов необходимо принимать на основании данных о путях миграций в зависимости от количества, видовых морфометрических и поведенческих особенностей мигрирующих животных.
12.9.2 Для водопоя и выхода попавших в каналы копытных животных следует предусматривать на трассе магистральных каналов через каждые 800 м уположенные участки.
12.9.3 Не допускается уничтожение древесно-кустарниковой растительности химическими способами в местах массового обитания животных.
12.10 Противоэрозионные сооружения
12.10.1 Противоэрозионные гидротехнические сооружения в зависимости от назначения надлежит проектировать:
- водозадерживающие - валы-каналы, валы-террасы, запруды, полузапруды;
- водонаправляющие - нагорные каналы, валы и каналы для рассредоточения концентрированных потоков воды;
- водосбросные (сопрягающие) - быстротоки, перепады.
12.10.2 Противоэрозионные сооружения в комплексе с другими мероприятиями на орошаемых и осушаемых землях должны обеспечивать прекращение развития овражной сети, уменьшать и в дальнейшем создавать условия для прекращения эрозионных процессов на всем орошаемом или осушаемом массиве.
12.10.3 Проектирование противоэрозионных гидротехнических сооружений необходимо вести с учетом минимального отвода земель под сооружения, сохранения конфигурации полей севооборотов, удобной для обработки. Допускается совмещать сооружения различного назначения. Тип и конструкцию противоэрозионных гидротехнических сооружений следует назначать с учетом требований
8.2.
12.10.4 Класс противоэрозионных сооружений, защищающих орошаемые или осушаемые земли, следует определять в соответствии с
5.7. Расчетные максимальные расходы воды должны определяться в соответствии с требованиями
СП 58.13330.
12.11 Охрана вод
12.11.1 Мероприятия и требования по охране водных и связанных с ними природных ресурсов при проектировании мелиоративных систем должны определяться на основе схем комплексного использования и охраны водных ресурсов и схем развития мелиорации бассейна, региона.
12.11.2 При проектировании в составе мелиоративной системы водохранилищ как источников водозабора или приемников возвратных вод мероприятия по охране вод должны определяться в соответствии с
СП 31.13330.
12.11.3 На мелиоративных системах и прилегающих к ним территориях необходимо предусматривать мероприятия по охране вод от истощения, изменения водного режима охраняемых природных комплексов, а также по сохранению или улучшению водного режима и условий водопользования.
12.11.4 Лесомелиоративными мероприятиями для охраны вод от загрязнения необходимо предусматривать создание водоохранных лесных зон и лесополос, соответствующих общей системе защитного лесоразведения. Водоохранные зоны следует создавать по берегам водоемов, водохранилищ с сохранением естественной растительности и включением в них деревьев и кустарников, имеющих хозяйственную ценность и высокий водоохранный эффект.
12.11.5 Санитарно-гигиенические мероприятия следует предусматривать для обеспечения санитарных требований к режиму (расходы, запасы, уровни поверхностных и подземных вод) и качеству вод, определяемых в
СанПиН 2.1.3684,
СанПиН 1.2.3685. При использовании водных объектов мелиоративной системы или источников, находящихся в зоне ее влияния, для хозяйственно-питьевого водоснабжения требования к охране источника и водопроводных сооружений определяются в соответствии с
СП 31.13330.
(в ред.
Изменения N 2, утв. Приказом Минстроя России от 18.12.2023 N 936/пр)
(в ред.
Изменения N 1, утв. Приказом Минстроя России от 01.02.2019 N 74/пр)
ПОТЕРИ ВОДЫ НА ИСПАРЕНИЕ, ИНФИЛЬТРАЦИЮ
И ПОВЕРХНОСТНЫЙ СБРОС ПРИ ПОЛИВЕ ПО БОРОЗДАМ
Таблица А.1
Потери воды на испарение, инфильтрацию
и поверхностный сброс при поливе по бороздам
Уклон | Степень водопроницаемости почвы | Потери воды, % |
испарение | инфильтрация | сброс |
0,05 - 0,02 | Сильная | 1,5 | 23,0 | 5,9 |
Средняя | 2,1 | 11,4 | 10,8 |
Слабая | 6,0 | 12,2 | 11,8 |
0,02 - 0,01 | Сильная | 1,6 | 16,8 | 14,7 |
Средняя | 2,7 | 6,5 | 19,8 |
Слабая | 4,0 | 6,2 | 22,9 |
0,01 - 0,005 | Сильная | 1,1 | 11,5 | 15,0 |
Средняя | 2,0 | 4,4 | 21,6 |
Слабая | 4,5 | 3,0 | 23,6 |
0,005 - 0,001 | Сильная | 0,7 | 15,8 | 9,4 |
Средняя | 1,7 | 11,0 | 10,5 |
Слабая | 5,9 | 8,8 | 12,4 |
Примечание - Степень водопроницаемости характеризуется удельным впитыванием воды, л/с на 100 м борозды, определяемым при водно-физических изысканиях на типовых участках: - сильная - 0,4 - 0,2; - средняя - 0,2 - 0,1; - слабая - 0,1. |
(в ред.
Изменения N 1, утв. Приказом Минстроя России от 01.02.2019 N 74/пр)
НИЖНЯЯ ГРАНИЦА (ПОРОГ) ДОПУСКАЕМЫХ ПРЕДЕЛОВ ИССУШЕНИЯ
ПОЧВЫ ПО ОСНОВНЫМ ФАЗАМ ВЕГЕТАЦИИ СЕЛЬСКОХОЗЯЙСТВЕННЫХ
КУЛЬТУР В ЗАВИСИМОСТИ ОТ МЕХАНИЧЕСКОГО СОСТАВА ПОЧВ,
% ОТ НАИМЕНЬШЕЙ ВЛАГОЕМКОСТИ
Таблица Б.1
Нижняя граница (порог) допускаемых пределов иссушения почвы
по основным фазам вегетации сельскохозяйственных культур
в зависимости от механического состава почв,
% от наименьшей влагоемкости
Сельскохозяйственная культура | Почвы |
супеси | легкие суглинки | средние суглинки | тяжелые суглинки |
Сахарная свекла | 65, 65, 65, 60 | 70, 70, 70, 65 | 70, 75, 70, 70 | 75, 80, 75, 75 |
Кукуруза | 65, 65, 65, 60 | 70, 70, 70, 65 | 70, 75, 75, 70 | 75, 80, 80, 75 |
Озимые | 65, 65, 65, 60 | 70, 70, 70, 65 | 70, 75, 70, 70 | 75, 80, 75, 75 |
Яровые | 65, 65, 65, 60 | 70, 70, 70, 65 | 70, 75, 70, 70 | 75, 80, 80, 75 |
Томаты | 65, 65, 65, 60 | 70, 70, 70, 65 | 70, 75, 75, 70 | 75, 80, 80, 75 |
Картофель | 65, 65, 65, 60 | 70, 70, 70, 65 | 70, 75, 75, 70 | 75, 80, 80, 75 |
Люцерна | 65, 65, 65, 60 | 70, 70, 65, 65 | 70, 75, 70, 70 | 75, 80, 75, 75 |
Примечание - Пороги иссушения соответствуют основным фазам, приведенным в приложении В. |
(в ред.
Изменения N 1, утв. Приказом Минстроя России от 01.02.2019 N 74/пр)
ГЛУБИНА РАСЧЕТНОГО СЛОЯ ПОЧВЫ ПО КУЛЬТУРАМ
И ФЕНОЛОГИЧЕСКИМ ФАЗАМ
Таблица В.1
Глубина расчетного слоя почвы по культурам
и фенологическим фазам
Сельскохозяйственная культура | Основные фенологические фазы (над чертой), глубина расчетного слоя H (под чертой), см |
Сахарная свекла | | | | |
Кукуруза | | | | |
Озимая пшеница | | | | |
Яровая пшеница | | | | | |
Томаты | | | | |
Картофель | | | | |
Люцерна второго-третьего года | | | | - |
Яблоня | | | | - |
Виноград | | | | - |
(в ред.
Изменения N 1, утв. Приказом Минстроя России от 01.02.2019 N 74/пр)
УСЛОВИЯ ПРИМЕНЕНИЯ ПРОДОЛЬНОЙ И ПОПЕРЕЧНОЙ СХЕМ ПОЛИВА
Таблица Г.1
Условия применения продольной и поперечной схем полива
Уклон поливных борозд | Степень водопроницаемости почвы |
сильная | средняя | слабая |
0,0500 - 0,0250 | | | |
0,0250 - 0,0075 | | | |
0,0075 - 0,0025 | | | |
0,0025 - 0,0010 | | | |
Менее 0,001 | | | |
Примечания 1 Степень водопроницаемости почв определяется согласно примечанию приложения А. 2 Над чертой знак "плюс" означает необходимость применения продольной схемы полива, знак "минус" - нецелесообразность применения данной схемы. Под чертой - аналогично для поперечной схемы. |
(в ред.
Изменения N 1, утв. Приказом Минстроя России от 01.02.2019 N 74/пр)
ЭЛЕМЕНТЫ ТЕХНИКИ ПОЛИВА ПРИ ПЕРЕМЕННОМ
РАСХОДЕ ВОДЫ В БОРОЗДУ
Таблица Д.1
Элементы техники полива при переменном
расходе воды в борозду
Степень водопроницаемости почвы | Показатель | Уклон поливных борозд i |
0,05 - 0,03 | 0,02 | 0,01 | 0,005 | 0,003 - 0,002 | менее 0,001 |
Сильная | l | 50 | 80 | 110 | 200 | 250 | 200 |
q1 | 0,3 | 0,48 | 0,63 | 1,20 | 2,00 | 1,6 |
q2 | 0,2 | 0,32 | 0,42 | 0,80 | 1,00 | 0,8 |
Средняя | l | 90 | 140 | 190 | 320 | 350 | 300 |
q1 | 0,14 | 0,21 | 0,30 | 0,48 | 0,70 | 0,60 |
q2 | 0,09 | 0,14 | 0,19 | 0,32 | 0,35 | 0,30 |
Слабая | l | 150 | 200 | 250 | 400 | 450 | 400 |
q1 | 0,07 | 0,09 | 0,12 | 0,18 | 0,28 | 0,24 |
q2 | 0,05 | 0,06 | 0,08 | 0,12 | 0,14 | 0,12 |
Обозначения, принятые в таблице: q1 - добегающая струя, л/с; q2 - доувлажняющая струя, л/с; при i = 0,005, ..., 0,04  ; при i = 0,003  ; l - длина борозд, м. Примечание - Степень водопроницаемости почв определяется согласно приложению А. |
(в ред.
Изменения N 1, утв. Приказом Минстроя России от 01.02.2019 N 74/пр)
ЭЛЕМЕНТЫ ТЕХНИКИ ПОЛИВА ПРИ ПОСТОЯННОМ
РАСХОДЕ ВОДЫ В БОРОЗДУ
Таблица Е.1
Элементы техники полива при постоянном
расходе воды в борозду
Степень водопроницаемости почвы (установившееся удельное впитывание), л/с на 100 м | Показатель | Уклон поливных борозд i |
0,05 - 0,03 | 0,02 | 0,01 | 0,005 | 0,003 - 0,002 | менее 0,001 |
Сильная | l | 50 | 80 | 110 | 180 | 200 | 150 |
q | 0,22 | 0,35 | 0,50 | 0,80 | 0,90 | 0,70 |
Средняя | l | 110 | 135 | 160 | 260 | 300 | 250 |
q | 0,13 | 0,15 | 0,18 | 0,30 | 0,35 | 0,30 |
Слабая | l | 150 | 180 | 210 | 350 | 400 | 350 |
q | 0,05 | 0,06 | 0,08 | 0,12 | 0,15 | 0,12 |
Примечание - Степень водопроницаемости почв определяется согласно примечанию приложения А. |
(в ред.
Изменения N 1, утв. Приказом Минстроя России от 01.02.2019 N 74/пр)
ЭЛЕМЕНТЫ ТЕХНИКИ ПОЛИВА ПО УЗКИМ КОРОТКИМ ПОЛОСАМ
Таблица Ж.1
Элементы техники полива по узким коротким полосам
Почвы | Уклон поливного участка | Длина полос, м | Удельный расход поливной струи, л/с на 1 м ширины полосы |
Супеси и легкие суглинки | 0,002 - 0,005 | 60 | 3 - 4 |
0,005 - 0,007 | 70 | 2,5 - 3,5 |
0,007 - 0,015 | 80 | 2,5 - 3,5 |
Средние суглинки | 0,002 - 0,005 | 70 | 2,5 - 3,5 |
0,005 - 0,007 | 90 | 2,0 - 3,0 |
0,007 - 0,015 | 120 | 1,8 - 2,8 |
Тяжелые суглинки | 0,002 - 0,005 | 80 | 2,0 - 2,5 |
0,005 - 0,007 | 100 | 2,0 - 2,5 |
0,007 - 0,015 | 150 | 1,5 - 2,0 |
Глины | 0,002 - 0,005 | 90 | 2,0 - 2,5 |
0,005 - 0,007 | 120 | 2,0 - 2,5 |
0,007 - 0,015 | 200 | 1,5 - 2,0 |
(в ред.
Изменения N 1, утв. Приказом Минстроя России от 01.02.2019 N 74/пр)
ЭЛЕМЕНТЫ ТЕХНИКИ ПОЛИВА ПО УЗКИМ ДЛИННЫМ ПОЛОСАМ
Таблица И.1
Элементы техники полива по узким длинным полосам
Степень водопроницаемости почвы (средняя) за 1-й час впитывания, см/ч | Уклон поливного участка | Длина полосы, м | Удельный расход поливной струи, л/с на 1 м ширины полосы |
Сильная (более 18) | 0,002 - 0,004 | 150 - 200 | 12 - 10 |
0,004 - 0,007 | 200 - 250 | 10 - 8 |
0,007 - 0,010 | 250 - 300 | 8 - 6 |
Средняя (9 - 18) | 0,002 - 0,004 | 200 - 250 | 10 - 8 |
0,004 - 0,007 | 250 - 300 | 8 - 6 |
0,007 - 0,010 | 300 - 350 | 6 - 5 |
Слабая (менее 9) | 0,002 - 0,004 | 250 - 300 | 8 - 6 |
0,004 - 0,007 | 300 - 350 | 6 - 5 |
0,007 - 0,010 | 350 - 400 | 5 - 4 |
(в ред.
Изменения N 1, утв. Приказом Минстроя России от 01.02.2019 N 74/пр)
РАСЧЕТ РЕЖИМА ОРОШЕНИЯ ВНУТРИПОЧВЕННОЙ ОРОСИТЕЛЬНОЙ СИСТЕМЫ
Минстроя России от 18.12.2023 N 936/пр)
К.1 Основные элементы режима орошения - поливная норма и продолжительность поливного периода.
К.2 Единичная поливная норма - это количество воды, необходимое для создания в почвогрунте контура увлажнения расчетных параметров в пределах единицы длины увлажнителя, л на 1 м увлажнителя, и определяется по формуле

, (К.1)
где 0,785 - числовое значение, отражающее эллипсоидную форму контура увлажнения почвогрунта;

- коэффициент, учитывающий неравномерность распределения влаги в расчетном слое почвогрунта до и после полива, равен 0,8;
h - расчетная глубина промачивания, м;
B - средняя ширина полосы увлажнения почвогрунта, м;
WFC - запасы влаги в 1 м3 почвогрунта при наименьшей влагоемкости, м3;
W0 - запасы влаги в 1 м3 почвогрунта при предполивной влажности, м3, W0 = (0,7 - 0,8)·WFC.
К.3 Поливная норма, м3/га, определяется по формуле

, (К.2)
где l - длина увлажнителя, м;
n - число увлажнителей на 1 га, зависит от длины увлажнителя и средней ширины полосы увлажнения, то есть

.
Значения l, h, B приведены в таблице К.1.
Таблица К.1
Рекомендуемые параметры контуров увлажнения
в зависимости от механического состава почв
Механический состав почв по Н.А. Качинскому | B, м | h, м | l, м |
Суглинки: | | | |
легкие | 0,8/0,8 | 1,5/1,5 | 1,0/0,8 |
средние | 1,0/0,9 | 1,4/1,4 | 1,2/0,9 |
тяжелые | 1,1/1,0 | 1,3/1,3 | 1,3/1,1 |
Глины | 1,3/1,1 | 1,2/1,3 | 1,5/1,2 |
Примечания 1 Числитель - для трубчатых увлажнителей, знаменатель - для кротовых. 2 При использовании ленточного экрана под увлажнителями расчетные параметры зоны увлажнения изменяются: ширина контура и расстояние между увлажнителями увеличивается на 15 - 20%, глубина контура уменьшается на 20%. 3 Для широкорядных культур необходимо предусматривать по одному-два увлажнителя на один ряд. Сточными водами допускается поливать только полевые культуры. |
К.4 Продолжительность полива ч, определяется по формуле

, (К.3)
где hw - условный слой воды, необходимый для насыщения элементарной почвенной колонки расчетной глубины, м;

- средняя скорость впитывания воды почвогрунтом (за период от 1 до 12 ч), м/ч; определяют по кривой впитывания, построенной по данным водно-физических исследований почвогрунта при напорах воды до 1 м.
Условный слой воды, мм, определяется по формуле

, (К.4)
где

- коэффициент, зависящий от механического состава почвогрунта (при конструкции увлажнителя без подстилающего экрана

, при наличии экрана значение коэффициента увеличивают на 10%).
К.5 Число тактов водоподачи, обеспечивающее проведение одного полива, расчетной нормой, определяется по формуле

, (К.5)
где t - продолжительность полива, ч;
dmW - среднесуточный дефицит водопотребления, мм/сут.
К.6 Площадь, поливаемая за один такт, определяется по формуле

, (К.6)
где AT - площадь поливного участка, требующая полива за один прием, га.
(в ред.
Изменения N 1, утв. Приказом Минстроя России от 01.02.2019 N 74/пр)
СХЕМЫ СИСТЕМ ЛИМАННОГО ОРОШЕНИЯ
1 - земляные водоудерживающие валы; 2 - водоперехватывающие
и направляющие валики; 3 - площади лиманного орошения;
прерывистые линии - границы затопления; I - VI - секции
лиманов;

,

- замкнутые естественные понижения;
а, б, в - перехватывающие и водонаправляющие валики
Рисунок Л.1 - Система лиманов на водораздельном плато
1 - земляные водоудерживающие валы; 2 - водоперехватывающие
и направляющие валики; 3 - площадь лиманного орошения;
I - V - секции лиманов
Рисунок Л.2 - Система мелкоярусных лиманов,
устроенная на пологом склоне
1 - вал распределительного яруса; 2 - водоудерживающие валы
ярусов; 3 - распределительные каналы; 4 - направляющие
валики; 5 - водосливы-автоматы; 6 - водообходы;
7 - водозаборные водосливы; I - V - секции лиманов
Рисунок Л.3 - Система мелкоярусных лиманов,
устраиваемая у подножья больших склонов
1 - водоудерживающие валы; 2 - водосливы-автоматы;
I - V - секции лиманов
Рисунок Л.4 - Система ярусных лиманов мелкого слоя
затопления, устраиваемая в замкнутом понижении
1 - водоудерживающие валы; 2 - водообходы;
3 - границы затопления; I - VI - ярусы
Рисунок Л.5 - Система ярусных лиманов мелкого слоя
затопления, устраиваемая на потяжинах
1 - водоудерживающие валы; 2 - водообходы;
3 - сооружения, предназначенные для опорожнения ярусов
глубокого затопления; 4 - границы затопления
Рисунок Л.6 - Система ярусных лиманов глубокого слоя
затопления, устраиваемая на потяжинах
1 - земляная плотина; 2 - сбросной тракт;
3 - сопрягающие сооружения; 4 - канал лиманного орошения;
5 - система мелкоярусных лиманов; 6 - насосная станция;
7 - системы регулярного орошения; 8 - граница затопления
Рисунок Л.7 - Система ярусных лиманов мелкого слоя
затопления, питаемая сбросными водами из водохранилища
1 - земляная плотина; 2 - донный водовыпуск;
3 - паводковый сбросной канал; 4 - сопрягающее сооружение;
5 - земляные валы лиманов; 6 - лиманные водовыпуски;
7 - участок регулярного орошения; 8 - оросительная насосная
станция; 9 - граница затопления; НПУ - нормальный подпорный
уровень; УМО - уровень мертвого объема
Рисунок Л.8 - Система ярусных глубоководных лиманов,
питаемая сбросными водами из водохранилища
1 - земляная водоподъемная плотина; 2 - земляные валы
лиманного орошения; 3 - водовыпуски для опорожнения лиманов;
4 - струенаправляющие валики; 5 - водообходы; 6 - участок
регулярного орошения; 7 - насосная станция
Рисунок Л.9 - Система ярусных лиманов глубокого слоя
затопления, использующая сток степной реки
1 - разборная водоподъемная плотина; 2 - валы лиманного
орошения; 3 - пропускные шлюзы-регуляторы
Рисунок Л.10 - Система пойменных лиманов
глубокого слоя затопления
1 - магистральный канал оросительно-обводнительной системы;
2 - сбросной тракт; 3 - земляной вал; 4 - распределительный
канал; 5 - ливнепровод; 6 - водовыпускное сооружение;
7 - подпорное сооружение
Рисунок Л.11 - Система ярусных лиманов
комбинированного питания
(в ред.
Изменения N 1, утв. Приказом Минстроя России от 01.02.2019 N 74/пр)
КОЭФФИЦИЕНТЫ ШЕРОХОВАТОСТИ КАНАЛОВ И ЕСТЕСТВЕННЫХ ВОДОТОКОВ
Таблица М.1
Коэффициенты шероховатости оросительных каналов
в земляном русле
Расход воды в канале, м3/с | Коэффициенты шероховатости n оросительных каналов в земляном русле |
в связных и песчаных грунтах | в гравелисто-галечниковых грунтах |
Более 25 | 0,0200 | 0,0225 |
1 - 25 | 0,0225 | 0,0250 |
Менее 1 | 0,0250 | - |
Каналы постоянной сети периодического действия | 0,0275 | - |
Оросители | 0,030 | - |
Примечания 1 Для каналов водосборно-сбросной сети значение коэффициента шероховатости повышается на 10% по сравнению со значением того же коэффициента для оросительных каналов и округляется до ближайшего принятого в таблице значения. 2 Для каналов, выполняемых взрывным способом, значение коэффициента шероховатости повышается на 10 - 20% в зависимости от размеров принимаемой доработки сечений канала. |
Таблица М.2
Коэффициенты шероховатости оросительных каналов в скале
Характеристика поверхности ложа канала | Коэффициенты шероховатости n каналов в скале |
Хорошо обработанная поверхность | 0,02 - 0,025 |
Посредственно обработанная поверхность без выступов | 0,03 - 0,035 |
То же, с выступами | 0,04 - 0,045 |
Таблица М.3
Коэффициенты шероховатости оросительных каналов с облицовкой
Облицовка | Коэффициенты шероховатости n каналов с облицовкой |
Бетонная хорошо отделанная | 0,012 - 0,014 |
Бетонная грубая | 0,015 - 0,017 |
Сборные железобетонные лотки | 0,012 - 0,015 |
Покрытия из асфальтобитумных материалов | 0,013 - 0,016 |
Одернованное русло | 0,03 - 0,035 |
Таблица М.4
Коэффициенты шероховатости естественных водотоков
Характеристика русла | Коэффициенты шероховатости n естественных водотоков |
Естественное русло в благоприятных условиях (чистое, прямое, незасоренное, земляное, со свободным течением) | 0,025 - 0,033 |
То же, с камнями | 0,03 - 0,04 |
Периодические потоки (большие и малые) при хорошем состоянии поверхности и формы ложа | 0,033 |
Земляные русла сухих логов в относительно благоприятных условиях | 0,04 |
Русла периодических водотоков, несущих во время паводка заметное количество наносов с крупногалечниковым или покрытым растительностью ложем, периодические водотоки, сильно засоренные и извилистые | 0,05 |
Чистое извилистое ложе с небольшим числом промоин и отмелей | 0,033 - 0,045 |
То же, но слегка заросшее и с камнями | 0,035 - 0,05 |
Заросшие участки рек с очень медленным течением и глубокими промоинами | 0,05 - 0,08 |
Заросшие участки рек болотного типа (заросли, кочки, во многих местах почти стоячая вода) | 0,075 - 0,15 |
(в ред. Изменения N 2, утв. Приказом Минстроя России от 18.12.2023 N 936/пр) |
Поймы больших и средних рек, сравнительно разработанные, покрытые растительностью (трава, кустарники) | 0,05 |
Значительно заросшие поймы со слабым течением и большими глубокими промоинами | 0,08 |
То же, с неправильным косоструйным течением и большими заводями | 0,1 |
(в ред. Изменения N 2, утв. Приказом Минстроя России от 18.12.2023 N 936/пр) |
Поймы лесистые со значительными мертвыми пространствами, местными углублениями, озерами | 0,133 |
(в ред. Изменения N 2, утв. Приказом Минстроя России от 18.12.2023 N 936/пр) |
Глухие поймы, сплошные заросли (лесные, таежного типа) | 0,2 |
(в ред.
Изменения N 1, утв. Приказом Минстроя России от 01.02.2019 N 74/пр)
ФОРМЫ ПОПЕРЕЧНОГО СЕЧЕНИЯ ОРОСИТЕЛЬНЫХ КАНАЛОВ
Приложение Н исключено с 19.01.2024. -
Изменение N 2, утв. Приказом Минстроя России от 18.12.2023 N 936/пр.
(в ред.
Изменения N 1, утв. Приказом Минстроя России от 01.02.2019 N 74/пр)
КОЭФФИЦИЕНТЫ ЗАЛОЖЕНИЯ ОТКОСОВ КАНАЛОВ И ДАМБ
Таблица П.1
Коэффициенты заложения откосов каналов
в зависимости от грунта, слагающего русло
Грунт | Коэффициент заложения откосов |
подводных | надводных |
Скальный | 0,00 - 0,50 | 0,00 - 0,25 |
Полускальный | 0,50 - 1,00 | 0,50 |
Галечник и гравий с песком | 1,25 - 1,50 | 1,00 |
Глина, суглинок тяжелый и средний, торф мощностью пласта до 0,7 м, подстилаемый этими грунтами | 1,00 - 1,50 | 0,50 - 1,00 |
Суглинок легкий, супесь или торф мощностью пласта до 0,7 м, подстилаемый этими грунтами | 1,25 - 2,00 | 1,00 - 1,50 |
Песок мелкий или торф мощностью пласта до 0,7 м, подстилаемый этими грунтами | 1,50 - 2,50 | 1,00 - 2,00 |
Песок пылеватый | 3,00 - 3,50 | 2,50 |
Торф со степенью разложения до 50% | 1,25 - 1,75 | 1,25 |
Торф со степенью разложения более 50% | 1,50 - 2,00 | 1,50 |
Примечания 1 Первое значение заложения для каналов с расходом воды менее 0,5 м3/с, второе - с расходом воды более 10 м3/с. 2 Значения заложения внутренних и наружных откосов каналов могут быть увеличены по сравнению с указанными в таблице, если это необходимо по условиям применения прогрессивных методов производства строительных работ. |
Таблица П.2
Коэффициенты заложения m наружных откосов дамб каналов,
устраиваемых в насыпи или полунасыпи в зависимости от грунта
Грунт | Коэффициенты заложения m |
Глина, суглинок тяжелый и средний | 0,75 - 1,0 |
Суглинок легкий | 1,0 - 1,25 |
Супесь | 1,0 - 1,5 |
Песок | 1,25 - 2,0 |
Примечания 1 Первое значение заложения для каналов с расходом воды менее 0,5 м3/с, второе - с расходом воды более 10 м3/с. 2 Значения заложения внутренних и наружных откосов каналов могут быть увеличены по сравнению с указанными в таблице, если это необходимо по условиям применения прогрессивных методов производства строительных работ. |
(в ред.
Изменения N 1, утв. Приказом Минстроя России от 01.02.2019 N 74/пр)
ГИДРАВЛИЧЕСКИЙ РАСЧЕТ КАНАЛОВ
Р.1 При равномерном движении воды в каналах расход Q, м3/с, следует определять по формуле

, (Р.1)
где S - площадь живого сечения, м2;
v - скорость течения воды, м/с;
C - коэффициент Шези, м0,5/с;
R - гидравлический радиус, м;
i - гидравлический уклон.
Для каналов с гидравлическим радиусом R <= 5 м коэффициент Шези следует определять по формуле
(в ред.
Изменения N 2, утв. Приказом Минстроя России от 18.12.2023 N 936/пр)

, (Р.2)

, (Р.3)
где
n - коэффициент шероховатости, определяемый по
таблицам М.1 -
М.4 приложения М.
Допускается определять коэффициент Шези по формуле

. (Р.4)
Для практических расчетов значение коэффициента Шези в
формуле (Р.2) допускается принимать по гидравлическим справочникам.
Для приближенных расчетов допускается использование формулы

. (Р.5)
Для каналов с гидравлическим радиусом R > 5 м коэффициент Шези следует определять по каналам, работающим в аналогичных условиях.
Р.2 При неравномерном движении воды в каналах необходимо определять соотношение бытовой h0 и критической dcr глубин, при которых возможны кривые подпора или спада.
Критическую глубину dcr, м, следует определять подбором по уравнению

, (Р.6)
где Scr - площадь живого сечения, соответствующая критической глубине, м2;
Bcr - ширина канала по урезу воды при критической глубине, м;

- коэффициент, вводимый для учета кинетической энергии и равный 1,1;
Q - расход воды в канале, м3/с;
g - ускорение свободного падения, м/с2.
Критическую глубину dcr, м, для каналов трапецеидальной формы следует определять по формуле
dcr = k·dcrf, (Р.7)
где

; (Р.8)

, (Р.9)
где dcrf - критическая глубина в условном прямоугольном сечении, ширина по дну которого равна ширине по дну рассчитываемого канала трапецеидального сечения, м;
b - ширина трапецеидального канала по дну, м;
m - коэффициент заложения откоса.
Критическую глубину в условном прямоугольном русле следует определять по формуле

, (Р.10)
где Q - расход, равный расходу рассчитываемого канала трапецеидальной формы, м3/с;

.
Критический уклон icr следует определять по формуле

, (Р.11)
где Ccr - коэффициент Шези для канала с критической глубиной dcr;

- смоченный периметр канала при критической глубине, м;
Исходя из полученных значений dcr и icr, назначаются значения глубины наполнения и уклона дна канала.
Околокритический режим работы канала не допускается.
Р.3 Параметры каналов с нестационарным движением воды при автоматизированном водораспределении следует устанавливать с учетом динамических характеристик автоматических регуляторов и потребителей.
Параметры нестационарного движения воды необходимо определять по специальным номограммам и графикам с окончательной проверкой методами численного интегрирования системы дифференциальных уравнений или приближенными инженерными методами, базирующимися на применении электронной вычислительной машины.
(в ред.
Изменения N 1, утв. Приказом Минстроя России от 01.02.2019 N 74/пр)
ДОПУСКАЕМЫЕ НЕРАЗМЫВАЮЩИЕ СКОРОСТИ
Таблица С.1
Допускаемые неразмывающие средние скорости
потока для однородных несвязных грунтов в зависимости
от средних размеров частиц грунта
Средний размер частиц грунта, мм | Допускаемые неразмывающие средние скорости потока для однородных несвязных грунтов при содержании в них глинистых частиц менее 0,1 кг/м3, м/с, при глубине потока, м |
0,5 | 1 | 3 | 5 |
0,05 | 0,52 | 0,55 | 0,60 | 0,62 |
0,15 | 0,36 | 0,38 | 0,42 | 0,44 |
0,25 | 0,37 | 0,39 | 0,41 | 0,45 |
0,37 | 0,38 | 0,41 | 0,46 | 0,48 |
0,50 | 0,41 | 0,44 | 0,50 | 0,52 |
0,75 | 0,47 | 0,51 | 0,57 | 0,59 |
1,00 | 0,51 | 0,55 | 0,62 | 0,65 |
2,00 | 0,64 | 0,70 | 0,79 | 0,83 |
2,50 | 0,69 | 0,75 | 0,86 | 0,90 |
3,00 | 0,73 | 0,80 | 0,91 | 0,96 |
5,00 | 0,87 | 0,96 | 1,10 | 1,17 |
10,00 | 1,10 | 1,23 | 1,42 | 1,51 |
15,00 | 1,26 | 1,42 | 1,65 | 1,76 |
20,00 | 1,37 | 1,55 | 1,84 | 1,96 |
25,00 | 1,46 | 1,65 | 1,93 | 2,12 |
30,00 | 1,56 | 1,76 | 2,10 | 2,26 |
40,00 | 1,68 | 1,93 | 2,32 | 2,50 |
75,00 | 2,01 | 2,35 | 2,89 | 3,14 |
100,00 | 2,15 | 2,54 | 3,14 | 3,46 |
150,00 | 2,35 | 2,84 | 3,62 | 3,96 |
200,00 | 2,47 | 3,03 | 3,92 | 4,31 |
300,00 | 2,90 | 3,32 | 4,40 | 4,94 |
Примечание - В таблицах С.1 - С.4 величины допускаемых неразмывающих скоростей приведены для грунтов, имеющих плотность  , при коэффициенте условий работы Kc = 1. При другой плотности грунтов и иных значениях коэффициента условий работы допускаемые неразмывающие скорости определяются путем умножения величин, указанных в таблицах С.1 - С.4, на коэффициент, равный  . |
Таблица С.2
Допускаемые неразмывающие средние скорости потока
для неоднородных несвязных грунтов в зависимости
от глубины потока и средних размеров частиц грунта
Средний размер частиц грунта, мм | Допускаемые неразмывающие средние скорости потока для неоднородных несвязных грунтов, м/с, при глубине размыва до 5% глубины наполнения канала и при коэффициенте однородности грунта, слагающего ложе канала k0 |
k0 = 0,5 | k0 = 0,3 | k0 = 0,2 | k0 = 0,15 |
При глубине потока, м |
0,5 | 1 | 3 | 5 | 0,5 | 1 | 3 | 5 | 0,5 | 1 | 3 | 5 | 0,5 | 1 | 3 | 5 |
0,25 | 0,44 | 0,47 | 0,52 | 0,55 | 0,53 | 0,58 | 0,64 | 0,68 | 0,62 | 0,67 | 0,76 | 0,80 | 0,65 | 0,75 | 0,85 | 0,89 |
0,37 | 0,48 | 0,52 | 0,58 | 0,61 | 0,59 | 0,64 | 0,72 | 0,75 | 0,65 | 0,75 | 0,84 | 0,89 | 0,66 | 0,83 | 0,94 | 1,00 |
0,50 | 0,53 | 0,57 | 0,64 | 0,67 | 0,63 | 0,70 | 0,79 | 0,83 | 0,67 | 0,81 | 0,92 | 0,97 | 0,66 | 0,86 | 1,03 | 1,09 |
0,75 | 0,59 | 0,65 | 0,73 | 0,77 | 0,68 | 0,79 | 0,89 | 0,94 | 0,70 | 0,87 | 1,05 | 1,11 | 0,66 | 0,88 | 1,17 | 1,24 |
1,00 | 0,63 | 0,70 | 0,79 | 0,83 | 0,71 | 0,83 | 0,96 | 1,02 | 0,70 | 0,89 | 1,13 | 1,20 | 0,66 | 0,87 | 1,26 | 1,34 |
2,00 | 0,79 | 0,89 | 1,04 | 1,10 | 0,83 | 1,01 | 1,26 | 1,34 | 0,76 | 0,99 | 1,41 | 1,56 | 0,70 | 0,93 | 1,44 | 1,72 |
2,50 | 0,84 | 0,96 | 1,13 | 1,20 | 0,87 | 1,06 | 1,36 | 1,46 | 0,78 | 1,02 | 1,48 | 1,70 | 0,71 | 0,94 | 1,48 | 1,79 |
3,00 | 0,88 | 1,02 | 1,21 | 1,28 | 0,90 | 1,11 | 1,44 | 1,56 | 0,80 | 1,04 | 1,54 | 1,78 | 0,73 | 0,96 | 1,51 | 1,84 |
5,00 | 1,01 | 1,18 | 1,45 | 1,56 | 0,98 | 1,23 | 1,67 | 1,86 | 0,86 | 1,11 | 1,68 | 1,98 | 0,78 | 1,01 | 1,58 | 1,95 |
10,00 | 1,18 | 1,42 | 1,82 | 2,00 | 1,00 | 1,38 | 1,97 | 2,26 | 0,95 | 1,21 | 1,83 | 2,22 | 0,86 | 1,10 | 1,67 | 2,07 |
15,00 | 1,29 | 1,57 | 2,05 | 2,28 | 1,17 | 1,48 | 2,13 | 2,48 | 1,02 | 1,29 | 1,92 | 2,34 | 0,93 | 1,17 | 1,74 | 2,14 |
20,00 | 1,38 | 1,68 | 2,22 | 2,48 | 1,23 | 1,55 | 2,24 | 2,64 | 1,07 | 1,35 | 1,99 | 2,42 | 0,98 | 1,23 | 1,80 | 2,20 |
25,00 | 1,44 | 1,76 | 2,36 | 2,65 | 1,28 | 1,61 | 2,33 | 2,75 | 1,11 | 1,40 | 2,05 | 2,48 | 1,01 | 1,27 | 1,85 | 2,25 |
30,00 | 1,50 | 1,83 | 2,47 | 2,79 | 1,32 | 1,66 | 2,40 | 2,84 | 1,15 | 1,44 | 2,10 | 2,54 | 1,04 | 1,31 | 1,90 | 2,30 |
40,00 | 1,59 | 1,95 | 2,64 | 3,01 | 1,39 | 1,74 | 2,52 | 2,99 | 1,20 | 2,52 | 2,19 | 2,63 | 1,07 | 1,38 | 1,99 | 2,38 |
75,00 | 1,79 | 2,22 | 3,05 | 3,51 | 1,51 | 1,94 | 2,79 | 3,31 | 1,28 | 1,68 | 2,43 | 2,88 | 1,13 | 1,51 | 2,20 | 2,62 |
100,00 | 1,87 | 2,35 | 3,24 | 3,75 | 1,56 | 2,02 | 2,93 | 3,48 | 1,30 | 1,74 | 2,55 | 3,02 | - | - | - | - |
150,00 | 1,98 | 2,52 | 3,54 | 4,09 | 1,60 | 2,14 | 3,14 | 3,71 | - | - | - | - | - | - | - | - |
Примечания 1 k0 = dm/d95. |
Таблица С.3
Допускаемые неразмывающие средние скорости потока
для связных грунтов при содержании легкорастворимых солей
менее 0,2% массы грунта в зависимости от глубины потока
и расчетного удельного сцепления
Расчетное удельное сцепление, 105 Па | Допускаемые неразмывающие средние скорости потока для связных грунтов при содержании легкорастворимых солей менее 0,2% массы грунта, м/с, при глубине потока, м |
0,5 | 1 | 3 | 5 |
0,005 | 0,39 | 0,43 | 0,49 | 0,52 |
0,01 | 0,44 | 0,48 | 0,55 | 0,58 |
0,02 | 0,52 | 0,57 | 0,65 | 0,69 |
0,03 | 0,59 | 0,64 | 0,74 | 0,78 |
0,04 | 0,65 | 0,71 | 0,81 | 0,86 |
0,05 | 0,71 | 0,77 | 0,89 | 0,98 |
0,075 | 0,83 | 0,91 | 1,04 | 1,10 |
0,10 | 0,96 | 1,04 | 1,20 | 1,27 |
0,125 | 1,03 | 1,13 | 1,30 | 1,37 |
0,15 | 1,13 | 1,23 | 1,41 | 1,49 |
0,175 | 1,21 | 1,33 | 1,52 | 1,60 |
0,20 | 1,28 | 1,40 | 1,60 | 1,69 |
0,225 | 1,36 | 1,48 | 1,70 | 1,80 |
0,25 | 1,42 | 1,55 | 1,78 | 1,88 |
0,30 | 1,54 | 1,69 | 1,94 | 2,04 |
0,35 | 1,67 | 1,83 | 2,09 | 2,21 |
0,40 | 1,79 | 1,96 | 2,25 | 2,38 |
0,45 | 1,88 | 2,06 | 2,35 | 2,49 |
0,50 | 1,99 | 2,17 | 2,05 | 2,63 |
0,60 | 2,16 | 2,38 | 2,72 | 2,83 |
2 Расчетное удельное сцепление должно определяться как произведение нормативного удельного сцепления на коэффициент однородности этого грунта. За нормативное удельное сцепление должно приниматься среднее значение сцепления, полученное по данным испытаний (не менее 25). Коэффициент однородности глинистого грунта определяется по формуле  , где  - коэффициент, характеризующий вероятность минимального сцепления и равный: для магистральных каналов - 2,65; для распределителей первого порядка - 2,5; для распределителей последующих порядков - 2;  - стандарт кривой распределения (средняя квадратичная ошибка); C - нормативное удельное сцепление грунта. Для распределителей низких порядков, каналов водосборно-сбросной и коллекторно-дренажной сети при отсутствии данных значения расчетного удельного сцепления допускается принимать по СП 22.13330 и СП 23.13330. |
Таблица С.4
Допускаемые неразмывающие средние скорости потока
для связных засоленных грунтов при содержании
легкорастворимых солей 0,2 - 3,0% в зависимости
от глубины потока и расчетного удельного сцепления
Расчетное удельное сцепление, 105 Па | Допускаемые неразмывающие средние скорости потока для связных засоленных грунтов при содержании легкорастворимых солей 0,2 - 3,0% массы грунта, м/с, и при глубине потока, м |
0,5 | 1 | 3 | 5 |
0,005 | 0,36 | 0,40 | 0,46 | 0,49 |
0,01 | 0,39 | 0,43 | 0,49 | 0,52 |
0,02 | 0,41 | 0,45 | 0,52 | 0,55 |
0,03 | 0,43 | 0,48 | 0,55 | 0,59 |
0,04 | 0,46 | 0,51 | 0,58 | 0,62 |
0,05 | 0,48 | 0,53 | 0,61 | 0,65 |
0,075 | 0,51 | 0,56 | 0,64 | 0,69 |
0,10 | 0,55 | 0,61 | 0,70 | 0,75 |
0,125 | 0,60 | 0,67 | 0,76 | 0,81 |
0,15 | 0,65 | 0,72 | 0,82 | 0,88 |
0,175 | 0,70 | 0,77 | 0,89 | 0,94 |
0,20 | 0,75 | 0,82 | 0,93 | 1,00 |
0,225 | 0,80 | 0,88 | 1,00 | 1,07 |
0,25 | 0,82 | 0,91 | 1,04 | 1,10 |
0,30 | 0,90 | 0,99 | 1,12 | 1,20 |
0,35 | 0,97 | 1,06 | 1,22 | 1,30 |
0,40 | 1,03 | 1,15 | 1,31 | 1,40 |
0,45 | 1,09 | 1,20 | 1,39 | 1,46 |
0,50 | 1,26 | 1,28 | 1,46 | 1,56 |
0,60 | 1,27 | 1,38 | 1,60 | 1,70 |
Примечания 1 При содержании в связных грунтах легкорастворимых солей более 3% допускаемые неразмывающие скорости должны устанавливаться на основании специальных исследований. |
Таблица С.5
Допускаемые неразмывающие средние скорости потока для торфов
Торф | Допускаемые неразмывающие средние скорости потока (при R = 1 м) |
Древесный | 0,4 |
Хвощевой | 0,8 |
Осоково-гипновый хорошо разложившийся (более 55%) | 0,6 |
Осоково-гипновый слабо разложившийся (до 35%) | 0,9 |
Сфагновый хорошо разложившийся (более 55%) | 0,7 |
Сфагновый слабо разложившийся (до 35%) | 1,2 |
Сфагновый пушицевый слабо разложившийся (до 35%) | 1,5 |
Примечание - Для других значений R значение допускаемой скорости следует определять умножением приведенных значений на R0,66. |
Таблица С.6
Допускаемые средние скорости потока для каналов
с облицовками в зависимости от глубины потока
и проектной марки материала облицовки по прочности
Проектная марка материала облицовки по прочности | Допускаемые средние скорости потока для каналов с монолитными бетонными, сборными железобетонными и асфальтобетонными облицовками, м/с, при глубине потока, м |
0,5 | 1,0 | 3,0 | 5,0 |
50 | 9,6 | 10,6 | 12,3 | 13,0 |
75 | 11,2 | 12,4 | 14,3 | 15,2 |
100 | 12,5 | 13,8 | 16,0 | 17,0 |
150 | 14,0 | 15,6 | 18,0 | 19,1 |
200 | 15,6 | 17,3 | 20,0 | 21,2 |
300 | 19,2 | 21,2 | 24,6 | 26,1 |
Таблица С.7
Коэффициент условий работы Kc для каналов в связных
и несвязных грунтах при содержании в потоке глинистых частиц
0,1 кг/м3 и более в зависимости от грунта русла канала
Грунт русла канала | Коэффициент условий работы Kc для каналов в связных и несвязных грунтах при содержании в потоке глинистых частиц 0,1 кг/м3 и более |
для магистральных каналов и их ветвей | для распределителей высоких порядков | для распределителей низких порядков |
Песок: | | | |
мелкий и средней крупности | 1,3 | 1,4 | 1,5 |
крупный и гравелистый | 1,5 | 1,6 | 1,7 |
Гравий: | | | |
мелкий | 1,5 | 1,6 | 1,7 |
средний | 1,4 | 1,5 | 1,6 |
крупный | 1,2 | 1,3 | 1,4 |
Галька | 1,1 | 1,2 | 1,3 |
Глинистые грунты при наличии: | | | |
наносов в коллоидном состоянии | 1,30 | 1,40 | 1,60 |
донных корродирующих наносов | 0,75 | 0,8 | 0,85 |
Дно и откосы покрыты растительностью | 1,1 | 1,15 | 1,2 |
При длительных перерывах работы каналов для районов: | | | |
недостаточного увлажнения | 0,2 | 0,22 | 0,25 |
с влажным климатом | 0,6 | 0,7 | 0,8 |
Примечания 1 Длительным считается перерыв, в течение которого происходит пересыхание грунтов, вызывающее снижение их сопротивляемости размыву. 2 Периодичность работы не учитывается, и допускаемые скорости не уменьшаются для тех каналов, в которых размывы не препятствуют нормальной эксплуатации (каналы водосборно-сбросной сети, редко действующие сбросы и т.д.). 3 К районам недостаточного увлажнения относится территория, расположенная между изолиниями 0,0 и 0,5 л/с с 1 км2 на картах изолиний годового стока рек Российской Федерации. |
(в ред.
Изменения N 1, утв. Приказом Минстроя России от 01.02.2019 N 74/пр)
ОПРЕДЕЛЕНИЕ ТРАНСПОРТИРУЮЩЕЙ СПОСОБНОСТИ КАНАЛА
И НЕЗАИЛЯЮЩИХ СКОРОСТЕЙ
Транспортирующую способность канала

, г/м
3, следует определять по формулам:
- при 2 < W < 8 мм/с

; (Т.1)
- при 0,4 < W < 2 мм/с

, (Т.2)
где
W - гидравлическая крупность частиц среднего диаметра, принимаемая по
таблице С.1;
v - скорость течения воды в канале, м/с;
R - гидравлический радиус канала, м;
i - уклон дна канала.
Величину незаиляющей скорости vs, м/с, следует вычислять по формуле
vs = 0,3·R0,25, (Т.3)
где R - гидравлический радиус канала, м.
Таблица Т.1
Гидравлическая крупность частиц среднего диаметра
в зависимости от диаметра частиц
Диаметр частиц d, мм | Гидравлическая крупность частиц среднего диаметра W, мм/с |
0,005 | 0,0175 |
0,01 | 0,0692 |
0,02 | 0,277 |
0,03 | 0,623 |
0,04 | 1,11 |
0,05 | 1,73 |
0,06 | 2,49 |
0,07 | 3,39 |
0,08 | 4,43 |
0,09 | 5,61 |
0,10 | 6,92 |
0,125 | 10,81 |
0,150 | 15,60 |
0,175 | 18,90 |
0,20 | 21,60 |
0,225 | 24,30 |
0,25 | 27,00 |
0,275 | 29,90 |
Допускается определять незаиляющую скорость по формуле
vs = AQ0,2, (Т.4)
где A - эмпирический коэффициент;
A = 0,33 для

;
A = 0,44 для

;
A = 0,55 для

;

- средневзвешенная гидравлическая крупность наносов, мм/с;
Q - расчетный расход, м3/с.
(в ред.
Изменения N 1, утв. Приказом Минстроя России от 01.02.2019 N 74/пр)
ОПРЕДЕЛЕНИЕ ФИЛЬТРАЦИОННЫХ ПОТЕРЬ ВОДЫ ИЗ КАНАЛОВ
Расчет фильтрационных потерь из каналов непрерывного действия в земляном русле при установившейся свободной фильтрации следует выполнять по следующим зависимостям:
а) для каналов полигональной и параболической формы:
Qf = 0,0116·kf(B + 2dc); (У.1)
б) для каналов трапецеидальной формы:
при


; (У.2)
при

Qf = 0,0116·kf(B + Adc), (У.3)
где Qf - расход фильтрационных потерь, м3/с, на 1 км длины канала;
kf - коэффициент фильтрации грунтов ложа канала, м/сут;
B - ширина канала по урезу воды, м;
b - ширина канала по дну, м;
dc - глубина воды в канале, м;

и
A - коэффициенты, определяемые по таблице У.1.
Таблица У.1
Коэффициенты

и
A в зависимости от

| m = 1 | m = 1,5 | m = 2 |
A | | A | | A | |
2 | - | 0,98 | - | 0,78 | - | 0,62 |
3 | - | 1,00 | - | 0,98 | - | 0,82 |
4 | - | 1,14 | - | 1,04 | - | 0,94 |
5 | 3,0 | - | 2,5 | - | 2,1 | - |
6 | 3,2 | - | 2,7 | - | 2,3 | - |
7 | 3,4 | - | 3,0 | - | 2,7 | - |
10 | 3,7 | - | 3,2 | - | 2,9 | - |
15 | 4,0 | - | 3,6 | - | 3,3 | - |
20 | 4,2 | - | 3,9 | - | 3,6 | - |
При многослойном основании коэффициент фильтрации следует определять по формуле

, (У.4)
где t1, ..., tn - мощность слоя грунта, м;
k1, ..., kn - коэффициент фильтрации этого слоя грунта, м/сут.
Расчет фильтрационных потерь из облицованного канала, м3/с на 1 км, при облицовке одинаковой толщины на дне и откосах при установившейся свободной фильтрации выполняют по формуле
(в ред.
Изменения N 2, утв. Приказом Минстроя России от 18.12.2023 N 936/пр)

, (У.5)
где ks - коэффициент фильтрации экрана, м/сут;
t - толщина облицовки, м;
b - ширина канала по дну, м;
dc - глубина наполнения канала при расчетном расходе, м;
m - коэффициент заложения откосов.
Усредненные коэффициенты фильтрации противофильтрационных покрытий каналов (с учетом фильтрации через швы) следует принимать по таблице У.2.
Таблица У.2
Усредненный коэффициент фильтрации в зависимости
от противофильтрационного покрытия
Противофильтрационное покрытие | Усредненный коэффициент фильтрации, м/сут |
Бетонные монолитные облицовки, качество швов удовлетворительное | 0,0007 - 0,0003 |
Бетонные монолитные облицовки со швами, герметизированными профильными прокладками типа "констоп" | 0,0002 |
Железобетонные сборные облицовки, швы герметизированы пороизолом и битумно-полимерными мастиками | 0,0007 - 0,0003 |
Железобетонные сборные облицовки, швы герметизированы тиоколовыми мастиками | 0,0004 - 0,00025 |
Сборные бетонопленочные облицовки | 0,0003 - 0,00025 |
Монолитные бетонопленочные облицовки | 0,0003 - 0,00025 |
Асфальтобетонные облицовки | 0,0004 - 0,0002 |
Грунтово-пленочные экраны, поверхностные экраны из полимерных пленок | 0,00035 - 0,00025 |
Потери при подпорной фильтрации следует определять по зависимости

, (У.6)
где Qf - фильтрационные потери при свободной фильтрации, м3/с;

- коэффициент, характеризующий влияние подпора грунтовых вод на величину потерь

в зависимости от превышения канала над зеркалом грунтовых вод и определяемый по таблице У.3.
Таблица У.3
Глубина залегания грунтовых вод
в зависимости от расхода воды
Расход воды в канале, м3/с | Глубина залегания грунтовых вод, м |
до 3 | 3 | 5 | 7,5 | 10 | 15 | 20 | 25 |
1 | 0,63 | 0,79 | - | - | - | - | - | - |
3 | 0,50 | 0,63 | 0,82 | - | - | - | - | - |
10 | 0,41 | 0,50 | 0,65 | 0,79 | 0,91 | - | - | - |
20 | 0,36 | 0,45 | 0,57 | 0,71 | 0,82 | - | - | - |
30 | 0,35 | 0,42 | 0,54 | 0,66 | 0,77 | 0,94 | - | - |
50 | 0,32 | 0,37 | 0,49 | 0,60 | 0,69 | 0,84 | 0,97 | - |
100 | 0,28 | 0,33 | 0,42 | 0,52 | 0,58 | 0,73 | 0,84 | 0,94 |
(в ред.
Изменения N 1, утв. Приказом Минстроя России от 01.02.2019 N 74/пр)
ВЕРХНИЙ ПРЕДЕЛ ДОПУСКАЕМОГО СОДЕРЖАНИЯ СОЛЕЙ В ПОЧВЕ
В ЗАВИСИМОСТИ ОТ ТИПА ЗАСОЛЕНИЯ, % НА СУХУЮ НАВЕСКУ
(ПО ДАННЫМ АНАЛИЗА ВОДНОЙ ВЫТЯЖКИ 1:5)
Таблица Ф.1
Верхний предел допускаемого содержания солей в почве
Характеристика солей | Тип засоления |
хлоридный | сульфатно-хлоридный | хлоридно-сульфатный | сульфатный | хлоридно-содовый и содово-хлоридный | сульфатно-содовый и содово-сульфатный | сульфатно-хлоридно-гидрокарбонатный |
Общее содержание солей (плотный остаток) | 0,15 | 0,20 | 0,4 (0,6) | 0,6 (1,2) | 0,20 | 0,25 | 0,40 |
Сумма токсичных солей | 0,10 | 0,12 | 0,25 | 0,30 | 0,15 | 0,25 | 0,30 |
Токсичный сульфат-ион | 0,02 | 0,04 | 0,11 | 0,14 | - | 0,07 | 0,10 |
Хлор-ион | 0,03 | 0,03 | 0,03 | 0,03 | 0,02 | - | 0,03 |
Подвижный натрий-ион | 0,046 | 0,046 | 0,046 | 0,046 | 0,046 | 0,046 | 0,046 |
Гидрокарбонат-ион | 0,08 | 0,08 | 0,08 | 0,08 | 0,10 | 0,10 | 0,10 |
pH в суспензии 1:2,5 | 8,3 | 8,3 | 8,3 | 8,3 | 8,5 | 8,5 | 8,5 |
Поглощенный натрий | В высокогумусных и малогумусных почвах верхний предел не должен превышать соответственно 10 и 5% суммы катионов |
Примечания 1 Цифры без скобок соответствуют содержанию гипса в почвах не более 0,5%, в скобках - более 0,5%. 2 Содержание солей не должно превышать величин любого из приведенных показателей. |
(в ред.
Изменения N 1, утв. Приказом Минстроя России от 01.02.2019 N 74/пр)
ПРИНЦИПИАЛЬНАЯ СХЕМА ОСУШИТЕЛЬНОЙ СИСТЕМЫ
1 - дорожная сеть; 2 - мост; 3 - магистральный канал;
4 - транспортирующий собиратель; 5 - граница; 6 - открытая
регулирующая сеть; 7 - оградительная сеть; 8 - смотровые
колодцы; 9 - трубы-переезды; 10 - закрытые коллекторы;
11 - устьевые сооружения; 12 - закрытая регулирующая сеть;
13 - водоприемник; 14 - лесополоса
Рисунок Х.1 - Принципиальная схема осушительной системы
(в ред.
Изменения N 1, утв. Приказом Минстроя России от 01.02.2019 N 74/пр)
РАСЧЕТЫ МЕЖДРЕННЫХ РАССТОЯНИЙ
При обосновании параметров закрытой и открытой регулирующей осушительной сети необходимо использовать материалы фактических наблюдений на объектах-аналогах, а также апробированные в данном регионе методы, основанные на фильтрационных расчетах или учете генетических особенностей почв.
(в ред.
Изменения N 2, утв. Приказом Минстроя России от 18.12.2023 N 936/пр)
Ц.1 Фильтрационные расчеты горизонтального дренажа в однородных грунтах при атмосферном и грунтовом водном питании следует проводить по формулам:
- для случая


; (Ц.1)
для случая


, (Ц.2)
где hd - расстояние от оси дрены до водоупора, м;
ad - расстояние между дренами, м;
Lf - общие фильтрационные сопротивления по степени и характеру вскрытия пласта, м;
H - расчетный напор, м;
T - проводимость пласта, м2/сут;
q - интенсивность инфильтрационного питания (средний за расчетный период приток к закрытым дренам, каналам), м/сут;
kf - коэффициент фильтрации грунта, м/сут;
Li - фильтрационные сопротивления по характеру вскрытия пласта, м;
D - наружный диаметр дрены, м.
Общие фильтрационные сопротивления определяются по формуле

, (Ц.3)
где

- число Пи;
h0 = 0,5·H.
Расчетный напор следует определять по формуле
H = dd - 0,6·Jnd, (Ц.4)
где Jnd - норма осушения, м;
dd - глубина до оси дрены, м,
а проводимость пласта по формуле
T = kf(h0 + hd). (Ц.5)
Интенсивность инфильтрационного питания определяется на основании региональных данных или находится по формуле

, (Ц.6)
где W - количество (слой) воды, подлежащей отводу, м;
t - время понижения уровня грунтовых вод до нормы осушения, сут.
Количество (слой) воды, подлежащей отводу, определяется по формуле

, (Ц.7)
где hs - слой воды, оставшийся на поверхности после схода весенних или ливневых вод. С учетом мероприятий по организации поверхностного стока hs следует принимать 0,01 м;

- коэффициент водоотдачи, определяемый при изысканиях;
P - осадки, выпавшие за расчетный период, м, принимаются для пашни и пастбищ 10-процентной и сенокосов 25-процентной обеспеченности;
E - суточный слой испарения за расчетный период в год 10-процентной обеспеченности для пашни и пастбищ и 25-процентной для сенокосов.
Фильтрационные сопротивления по характеру вскрытия пласта Li в зависимости от конструкции дрен следует принимать по таблице Ц.1.
Таблица Ц.1
Фильтрационные сопротивления
в зависимости от конструкции дрен
Конструкция дрены | Фильтрационное сопротивление |
Керамические трубы без фильтра | 8 |
То же, с оберткой стыков рулонными защитно-фильтрующими материалами | 3 |
То же, со сплошной оберткой | 1 |
Гофрированные пластмассовые трубы без фильтра | 4 |
То же, с оберткой рулонными защитно-фильтрующими материалами | 0,5 |
При устройстве объемных фильтров толщиной 20 см и более | 0,0 |
Для расчета расстояний между открытыми каналами следует принимать

, где

- смоченный периметр канала,
Li = 0, величины
H,
dd,
hd необходимо отсчитывать от уровня воды в канале.
Ц.2 Расстояние между дренами при совместном атмосферном и грунтово-напорном водном питании для случая

определяется по формуле

, (Ц.8)
где

; (Ц.9)

; (Ц.10)

; (Ц.11)

, (Ц.12)
где

- превышение пьезометрического напора над осью дрены, м;

- усредненное фильтрационное сопротивление, м;

- усредненное превышение пьезометрического напора над осью дрены, м;

- пьезометрический напор над осью дрены после осушения, м;
D* - расчетный диаметр дрены, м.

; (Ц.13)

; (Ц.14)

.
Остальные условные обозначения приведены выше.
Ц.3 Расчет расстояний между дренами при подпочвенном увлажнении следует определять по
формуле (Ц.1). При этом:

; (Ц.15)
H = H0 - 0,4·h1 - 0,6·h2; (Ц.16)
h0 = H0 - 0,5·H, (Ц.17)
где H0 - напор воды в дрене, м;
h1 - расстояние от оси дрены до уровня грунтовых вод перед увлажнением в середине между дренами, м;
h2 - то же, после увлажнения;
t - время увлажнения, сут;

- коэффициент водоотдачи, определяемый при изысканиях;
E - суточный слой испарения за расчетный период в год расчетной обеспеченности, м/сут;
P - среднесуточное количество осадков за расчетный период в год расчетной обеспеченности, м/сут.
Ц.4 Расстояние между открытыми каналами при их расчете на отвод поверхностного стока следует определять по формуле

, (Ц.18)
где t - время отвода поверхностных вод, ч;
n - шероховатость поверхности, принимается по опытным данным, а при их отсутствии равная: для борозд вдоль уклона на вспаханной поверхности - 0,05; для ровной укатанной поверхности - 0,08; для вспаханной поперек уклона поверхности без борозд - 0,12; для поверхности с высоким травостоем - 2,3;

- коэффициент поверхностного стока; при отсутствии данных принимается по
таблице Ц.2;
i - уклон поверхности;
h - слой осадков, мм, выпавших за время ta, ч.
Таблица Ц.2
Коэффициенты поверхностного стока в зависимости от уклона
водосборной площади и водопроницаемости грунтов
Водопроницаемость грунтов | Коэффициенты поверхностного стока при |
коэффициенте фильтрации, м/сут | уклоне водосборной площади |
слабом (менее 0,1) | среднем (0,01 - 0,05) | большом (св. 0,05) |
Хорошая | 2,0 | 0,1 - 0,2 | 0,15 - 0,25 | 0,2 - 0,3 |
Средняя | 1,0 | 0,15 - 0,25 | 0,2 - 0,3 | 0,25 - 0,4 |
Ниже средней | 0,5 | 0,2 - 0,3 | 0,25 - 0,45 | 0,35 - 0,6 |
Слабая | 0,1 | 0,25 - 0,4 | 0,3 - 0,6 | 0,5 - 0,75 |
Мерзлый грунт | - | 0,3 - 0,6 | 0,4 - 0,75 | 0,8 - 0,95 |
(в ред.
Изменения N 1, утв. Приказом Минстроя России от 01.02.2019 N 74/пр)
СХЕМЫ РАСПОЛОЖЕНИЯ ЗАКРЫТОЙ РЕГУЛИРУЮЩЕЙ СЕТИ В ПЛАНЕ
а) - поперечная; б) - продольная; 1 - закрытые дрены;
2, 3 - закрытые коллекторы различных порядков;
4 - устье коллектора; 5 - проводящий (магистральный)
осушительный канал
Рисунок Ш.1 - Схемы расположения закрытой
регулирующей сети в плане
а) - одностороннего подсоединения; б) - двустороннего
подсоединения; 1 - закрытые дрены; 2 - закрытый коллектор;
3 - устье коллектора; 4 - проводящий (магистральный)
осушительный канал
Рисунок Ш.2 - Схемы подсоединения дрен к коллекторам
а) - поочередное подключение дрен к соседним коллекторам;
б) - сгущенное расположение истоковых участков дрен;
1 - закрытый коллектор; 2 - устье коллектора; 3 - проводящий
(магистральный) осушительный канал; 4 - закрытые дрены;
ad - расстояние между дренами; lд - длина дрены
Рисунок Ш.3 - Схемы расположения дрен
при малоуклонном рельефе
(в ред.
Изменения N 1, утв. Приказом Минстроя России от 01.02.2019 N 74/пр)
ФОРМЫ ПОПЕРЕЧНОГО СЕЧЕНИЯ ОСУШИТЕЛЬНЫХ КАНАЛОВ
Приложение Щ исключено с 19.01.2024. -
Изменение N 2, утв. Приказом Минстроя России от 18.12.2023 N 936/пр.
(в ред.
Изменения N 1, утв. Приказом Минстроя России от 01.02.2019 N 74/пр)
ПРИНЦИПИАЛЬНЫЕ СХЕМЫ ПОЛЬДЕРНЫХ СИСТЕМ
1 - внешняя оградительная дамба; 2 - внутренняя
разделительная дамба; 3 - насосная станция; 4 - регулирующий
бассейн; 5 - магистральный канал; 6 - водопроводящий канал;
7 - осушители; 8 - канал самотечного водоотвода;
9 - водосбросный канал; 10 - водоприемник;
11 - водорегулирующее сооружение; 12 - нагорно-ловчий
канал; 13 - надпойменная терраса
Рисунок Э.1 - Схема незатапливаемой польдерной
системы с механическим водоотводом
1 - оградительная дамба; 2 - магистральный канал; 3 -
водопроводящий канал; 4 - осушители; 5 - водорегулирующее
сооружение; 6 - водоприемник; 7 - надпойменная терраса;
8 - граница осушения; 9 - водосбросный канал
Рисунок Э.2 - Схема осушительной самотечной
польдерной системы
1 - оградительная дамба; 2 - насосная станция;
3 - регулирующий бассейн; 4 - магистральный канал;
5 - водопроводящий канал; 6 - осушители; 7 - водоприемник;
8 - дюкер; 9 - надпойменная терраса; 10 - водосбросный канал
Рисунок Э.3 - Схема польдерной системы,
пересекаемой притоком реки
1 - оградительная дамба; 2 - насосная станция;
3 - регулирующий бассейн; 4 - магистральный канал;
5 - водопроводящий канал; 6 - осушители; 7 - водосбросный
канал; 8 - водоприемник; 9 - отстойник; 10 - водовыпуск
Рисунок Э.4 - Схема низинного польдера
ТИПЫ И КОНСТРУКТИВНЫЕ СХЕМЫ ПРОТИВОФИЛЬТРАЦИОННЫХ ПОКРЫТИЙ
ОРОСИТЕЛЬНЫХ КАНАЛОВ
Минстроя России от 01.02.2019 N 74/пр)
а - бетонные и железобетонные; б - асфальтобетонные;
в - с применением геосинтетических материалов;
1 - защитное покрытие; 2 - подстилающий слой;
3 - противофильтрационный экран из геосинтетических
материалов
Рисунок Ю.1 - Типы противофильтрационных покрытий
оросительных каналов
1а - 1в - однослойные покрытия;
2а - 2г - двухслойные покрытия;
3а - 3в - трехслойные покрытия;
1 - бетон гидротехнический; 2 - подготовленное основание;
3 - арматура; 4 - малоцементный бетон; 5 - торкретный слой
по металлической сетке; 6 - гидроизоляционный слой;
7 - гравелистый дренирующий слой (применяется при устройстве
дренажа по оси канала); 8 - грунтовый водоупорный экран
Рисунок Ю.2 - Конструктивные схемы бетонных
и железобетонных покрытий
а - ж, и - н, п - с - виды конструктивных решений;
1 - поверхностная обработка; 2 - асфальтобетонное покрытие;
3 - слой, обработанный гербицидом; 4 - гравелистый
и песчано-гравелистый грунт основания;
5 - песчаный грунт основания; 6 - пористый асфальтобетон
или черный щебень; 7 - слой битумно-песчаной смеси,
устраиваемой методом смешивания на месте, или смеси,
изготовленной в смесителе; 8 - слой щебня, отсева
или гравия; 9 - слой песка; 10 - связной грунт основания
(глина, суглинок, супесчаный грунт);
11 - армирующий рулонный материал
Рисунок Ю.3 - Конструктивные схемы асфальтобетонных покрытий
а, б - с защитным покрытием из бетона; в - е - с защитным
покрытием из каменной наброски; ж - с защитным покрытием
из габионов, и - с защитным покрытием из георешетки;
1 - защитное покрытие; 2 - защитная прокладка
из геотекстиля; 3 - противофильтрационный элемент
из геосинтетических материалов; 4 - защитный слой из песка;
5 - дренажный элемент из геокомпозита; 6 - георешетка
Рисунок Ю.4 - Конструктивные схемы противофильтрационных
покрытий оросительных каналов с использованием
геосинтетических материалов
| Федеральный закон от 30 декабря 2009 г. N 384-ФЗ "Технический регламент о безопасности зданий и сооружений" |
| Федеральный закон от 10 января 1996 г. N 4-ФЗ "О мелиорации земель" |
| Федеральный закон от 27 декабря 2002 г. N 184-ФЗ "О техническом регулировании" |
| Водный кодекс Российской Федерации от 3 июня 2006 г. N 74-ФЗ |
| Федеральный закон от 10 января 2002 г. N 7-ФЗ "Об охране окружающей среды" |
[6] - [9] Исключены с 19.01.2024. - Изменение N 2, утв. Приказом Минстроя России от 18.12.2023 N 936/пр. |
| | Определение основных расчетных гидрологических характеристик |
[11] - [13] Исключены с 19.01.2024. - Изменение N 2, утв. Приказом Минстроя России от 18.12.2023 N 936/пр. |
| | Мелиоративные системы и сооружения. Дренаж на орошаемых землях. Нормы проектирования |
[15] Ссылка исключена с 19.01.2024. - Изменение N 2, утв. Приказом Минстроя России от 18.12.2023 N 936/пр. |
| | Нормы отвода земель для мелиоративных каналов |
[17] Ссылка исключена с 19.01.2024. - Изменение N 2, утв. Приказом Минстроя России от 18.12.2023 N 936/пр. |
| | Методические рекомендации по технологическому проектированию оросительных систем с использованием животноводческих стоков |
(в ред. Изменения N 2, утв. Приказом Минстроя России от 18.12.2023 N 936/пр) |
| | Нормы технологического проектирования оросительных систем с использованием сточных вод |
| | Методические рекомендации по технологическому проектированию систем удаления и подготовки к использованию навоза и помета |
(в ред. Изменения N 2, утв. Приказом Минстроя России от 18.12.2023 N 936/пр) |
| ВСП "Ветеринарно-санитарные правила по использованию животноводческих стоков для орошения и удобрения пастбищ" от 18 октября 1993 г. |
[22], [23] Исключены с 19.01.2024. - Изменение N 2, утв. Приказом Минстроя России от 18.12.2023 N 936/пр. |
| | Инструкция по применению химических добавок в бетонах и растворах для сельского строительства |
(ссылка введена Изменением N 1, утв. Приказом Минстроя России от 01.02.2019 N 74/пр) |
| Пособие по применению химических добавок при производстве сборных железобетонных конструкций и изделий. - М.: Стройиздат, 1989 |
(ссылка введена Изменением N 1, утв. Приказом Минстроя России от 01.02.2019 N 74/пр) |
| | Инструкция по проектированию и строительству противофильтрационных устройств из полиэтиленовой пленки для искусственных водоемов |
(ссылка введена Изменением N 1, утв. Приказом Минстроя России от 01.02.2019 N 74/пр) |
| Приказ Министерства сельского хозяйства Российской Федерации от 2 апреля 2020 N 175 "Об утверждении Порядка приемки в эксплуатацию мелиоративных систем, отдельно расположенных гидротехнических сооружений и защитных лесных насаждений" |
(ссылка введена Изменением N 2, утв. Приказом Минстроя России от 18.12.2023 N 936/пр) |
УДК 626.82 | |
Ключевые слова: проектирование, оросительная система, оросительная капельная система, оросительная дождевальная система, осушительная система, сооружения на сети, дренаж, насосная станция, польдерная система, дамба, канал, лотковая система, дорога, водоприемник |
(в ред. Изменения N 2, утв. Приказом Минстроя России от 18.12.2023 N 936/пр) |