Главная // Актуальные документы // ГОСТ Р (Государственный стандарт)СПРАВКА
Источник публикации
М.: Стандартинформ, 2020
Примечание к документу
Документ
введен в действие с 01.07.2020.
Название документа
"ГОСТ Р 58801-2020. Национальный стандарт Российской Федерации. Системы и сооружения мелиоративные. Каналы осушительные. Поперечные сечения"
(утв. и введен в действие Приказом Росстандарта от 04.02.2020 N 28-ст)
"ГОСТ Р 58801-2020. Национальный стандарт Российской Федерации. Системы и сооружения мелиоративные. Каналы осушительные. Поперечные сечения"
(утв. и введен в действие Приказом Росстандарта от 04.02.2020 N 28-ст)
Утвержден и введен в действие
агентства по техническому
регулированию и метрологии
от 4 февраля 2020 г. N 28-ст
НАЦИОНАЛЬНЫЙ СТАНДАРТ РОССИЙСКОЙ ФЕДЕРАЦИИ
СИСТЕМЫ И СООРУЖЕНИЯ МЕЛИОРАТИВНЫЕ
КАНАЛЫ ОСУШИТЕЛЬНЫЕ
ПОПЕРЕЧНЫЕ СЕЧЕНИЯ
Reclamation systems and structures. Drainage canals.
Cross sections
ГОСТ Р 58801-2020
Дата введения
1 июля 2020 года
1 РАЗРАБОТАН Федеральным государственным бюджетным научным учреждением "Российский научно-исследовательский институт проблем мелиорации" (ФГБНУ "РосНИИПМ")
2 ВНЕСЕН Техническим комитетом по стандартизации ТК 151 "Мелиорация"
3 УТВЕРЖДЕН И ВВЕДЕН В ДЕЙСТВИЕ
Приказом Федерального агентства по техническому регулированию и метрологии от 4 февраля 2020 г. N 28-ст
4 ВВЕДЕН ВПЕРВЫЕ
Правила применения настоящего стандарта установлены в статье 26 Федерального закона от 29 июня 2015 г. N 162-ФЗ "О стандартизации в Российской Федерации". Информация об изменениях к настоящему стандарту публикуется в ежегодном (по состоянию на 1 января текущего года) информационном указателе "Национальные стандарты", а официальный текст изменений и поправок -
в ежемесячном информационном указателе "Национальные стандарты". В случае пересмотра (замены) или отмены настоящего стандарта соответствующее уведомление будет опубликовано в ближайшем выпуске ежемесячного информационного указателя "Национальные стандарты". Соответствующая информация, уведомление и тексты размещаются также в информационной системе общего пользования -
на официальном сайте Федерального агентства по техническому регулированию и метрологии в сети Интернет (www.gost.ru)
Настоящий стандарт устанавливает требования к формам поперечного сечения и его параметрам при проектировании новых и реконструкции существующих осушительных каналов мелиоративных систем.
В настоящем стандарте использованы нормативные ссылки на следующие документы:
ГОСТ 10650 Торф. Методы определения степени разложения
СП 100.13330 "СНиП 2.06.03-85 Мелиоративные системы и сооружения"
Примечание - При пользовании настоящим стандартом целесообразно проверить действие ссылочных документов в информационной системе общего пользования - на официальном сайте Федерального агентства по техническому регулированию и метрологии в сети Интернет или по ежегодному информационному указателю "Национальные стандарты", который опубликован по состоянию на 1 января текущего года, и по выпускам ежемесячного информационного указателя "Национальные стандарты" за текущий год. Если заменен ссылочный документ, на который дана недатированная ссылка, то рекомендуется использовать действующую версию этого документа с учетом всех внесенных в данную версию изменений. Если заменен ссылочный документ, на который дана датированная ссылка, то рекомендуется использовать версию этого документа с указанным выше годом утверждения (принятия). Если после утверждения настоящего стандарта в ссылочный документ, на который дана датированная ссылка, внесено изменение, затрагивающее положение, на которое дана ссылка, то это положение рекомендуется применять без учета данного изменения. Если ссылочный документ отменен без замены, то положение, в котором дана ссылка на него, рекомендуется применять в части, не затрагивающей эту ссылку. Сведения о действии сводов правил целесообразно проверить в Федеральном информационном фонде стандартов.
В настоящем стандарте применены термины по
[1], а также следующие термины с соответствующими определениями:
3.1
берма: Уступы на откосах гидротехнических сооружений: земляных и каменных плотинах, каналов, укрепленных берегов и т.д., служащие для придания устойчивости вышележащих частей сооружений, а также улучшения условий их эксплуатации. |
3.2
геометрический параметр: Линейная или угловая величина. |
3.3
грунт: Любые горные породы, почвы, осадки и техногенные образования, рассматриваемые как многокомпонентные динамичные системы и как часть геологической среды и изучаемые в связи с инженерно-хозяйственной деятельностью человека. |
3.4
канал: Искусственный открытый водоток в земляной выемке, полувыемке-полунасыпи или насыпи. |
3.5 канал осушительный: Канал, применяемый при осушении земель, который в зависимости от назначения входит в состав проводящей, регулирующей и оградительной сети.
3.6 коэффициент заложения откоса: Параметр, характеризующий крутизну откоса и численно равный отношению проекции длины откоса на горизонтальную плоскость к высоте откоса.
3.7
несвязный грунт: Дисперсный грунт, обладающий механическими структурными связями и сыпучестью в сухом состоянии. |
3.8
откос: Наклонная поверхность, являющаяся частью грунтового массива или конструкции. |
3.9
поперечное сечение: Сечение под прямым углом к продольной оси. |
3.10
связный грунт: Дисперсный грунт с физическими и физико-химическими структурными связями. |
3.11
система осушительная: Мелиоративная система для осушения земель. |
3.12 строительная глубина канала: Глубина канала, равная сумме максимальной глубины наполнения канала и превышения бровки бермы над максимальным уровнем.
3.13 ширина канала по дну: Ширина донной прямолинейной части канала.
4.1 Каналы осушительных систем должны иметь устойчивое русло, обеспечивающее пропуск расчетных расходов воды.
4.2 Форму и геометрические параметры поперечного сечения осушительных каналов принимают в зависимости от назначения канала, вида грунтов, в которых прокладывают канал, величины расхода воды, топографических условий местности и применяемых для строительства машин и механизмов.
4.3 По назначению осушительные каналы подразделяются на каналы проводящей, регулирующей и оградительной сети (рисунок 1).
┌─────────────────────────────────┐
│ Открытая осушительная сеть │
└────────────────┬────────────────┘
│
┌───────────────────────────┼───────────────────────────┐
v v v
┌──────────────────┐ ┌───────────────────────────────┐ ┌──────────────────┐
│ Проводящая сеть │ │ Регулирующая сеть │ │Оградительная сеть│
└────────┬─────────┘ └───────────────┬───────────────┘ └─────────┬────────┘
v v v
┌──────────┐ ┌───────┬───────┬───────┐ ┌──────────┐
v v v v v v v v
┌──────┐ ┌─────────┐ ┌──────┐ ┌──────┐ ┌────┐ ┌──────┐ ┌────────┐ ┌──────┐
│Магис-│ │Транспор-│ │Откры-│ │Таль- │ │Лож-│ │Откры-│ │Нагорные│ │Ловчие│
│траль-│ │тирующие │ │тые │ │вего- │ │бины│ │тые │ │ каналы │ │каналы│
│ные │ │собира- │ │соби- │ │вые │ │ │ │осуши-│ │ │ │ │
│каналы│ │тели │ │ратели│ │каналы│ │ │ │тели │ │ │ │ │
└──────┘ └─────────┘ └──────┘ └──────┘ └────┘ └──────┘ └────────┘ └──────┘
Рисунок 1 - Виды осушительных каналов по назначению
4.4 В несвязных грунтах следует увеличивать ширину канала по дну и коэффициент заложения откосов с целью уменьшения скорости потока для предотвращения размыва и увеличения устойчивости откосов.
4.5 В связных грунтах необходимо использовать сечение, наиболее близкое к гидравлически наивыгоднейшему и удовлетворяющее требованию устойчивости откосов канала.
4.6 Для каналов с малыми расходами воды следует использовать более глубокие сечения. При проектировании магистральных каналов с большими расходами воды задают уширенное сечение.
4.7 Форма поперечного сечения осушительных каналов должна быть согласована со способом производства работ при строительстве канала.
4.8 Гидравлический расчет параметров поперечных сечений каналов (при необходимости) выполняется согласно
СП 100.13330.
4.9 При строительстве каналов в просадочных, набухающих и пучинистых грунтах (по классификации
ГОСТ 25100) параметры поперечных сечений должны назначаться с учетом инженерных мероприятий, обеспечивающих их устойчивость и эксплуатационную надежность.
4.10 При прохождении каналов в выемке, глубина которой превышает строительную глубину, первая берма устраивается на отметке строительной глубины канала. Отметки последующих берм и коэффициенты заложения откосов выемки определяются расчетом.
4.11 Расстояние по высоте между бермами не должно превышать 5 м. Ширину берм следует принимать в зависимости от назначения берм, рабочих характеристик машин, применяемых при строительстве и эксплуатации каналов, но не менее 3 м.
5 Форма и геометрические параметры поперечного сечения каналов проводящей сети
5.1 Подбор формы поперечного сечения каналов проводящей сети проводят в зависимости от вида грунта, в котором прокладывают канал, величины расхода воды и глубины канала по таблице 1,
[2]. Формы поперечного сечения каналов представлены на
рисунках 2 -
6.
Таблица 1
Формы поперечного сечения каналов проводящей сети
Грунты | Расход воды Q, м3/с | Глубина H, м | Форма поперечного сечения |
Пески и супеси любого гранулометрического состава, торф со степенью разложения >= 50% | < 10 | <= 2,5 | |
Связные грунты (глины, суглинки, торф со степенью разложения < 50%), песчаные грунты с наличием крупнозернистой фракции d >= 1 - 2 мм не менее 15% по массе | <= 25 | <= 3,5 | |
Песчаные мелкозернистые и среднезернистые грунты, в которых фракция d >= 1 - 2 мм в количестве 15% не содержится, торф со степенью разложения >= 50% | 10 - 25 | < 2,0 | |
Те же | 10 - 25 | > 2,0 | |
Песчаные и супесчаные грунты, легкие суглинки, торф со степенью разложения >= 50% | > 25 | > 2,0 | |
Глины, средние и тяжелые суглинки, торф со степенью разложения < 50% | > 25 | > 2,0 | |
Слоистые грунты (торф, глины, суглинки, подстилаемые среднезернистыми и крупнозернистыми песками, супесями) | < 25 | > 1,5 | |
Слоистые грунты (торф, глины, суглинки, подстилаемые мелкозернистыми и пылеватыми песками) | < 25 | > 1,5 | Комбинированная (нижняя часть на 0,2 м выше залегания неустойчивых грунтов - параболическая, верхняя - трапецеидальная) (рисунок 5) |

B - ширина поверху, м; b - ширина канала по дну, м;
h - глубина воды в канале, м; H - глубина канала, м;
m - коэффициент заложения откоса (

,

- угол наклона откоса)
Рисунок 2 - Трапецеидальная форма поперечного сечения
каналов проводящей сети
B - ширина поверху, м; H - глубина канала, м;
h - глубина воды в канале, м
Рисунок 3 - Параболическая форма поперечного сечения
каналов проводящей сети
b - ширина канала по дну, м; B - ширина поверху, м;
B1 - ширина канала у подножья верхних откосов, м;
B2 - ширина канала у подножья средних откосов; h1 - глубина
верхней части канала без учета запаса превышения бровки
над уровнем воды, м; h2 - глубина средней части канала, м;
h3 - глубина донной части канала, м; m1 - заложение верхних
откосов; m2 - заложение средних откосов; m3 - заложение
донных откосов;

- угол наклона верхних откосов;

- угол
наклона средних откосов;

- угол наклона донных откосов
Рисунок 4 - Полигональная форма поперечного сечения
каналов проводящей сети
B - ширина поверху, м; H - глубина канала, м; Bп - ширина
канала у подножья верхних откосов, м; h - глубина воды
в канале, м; hп - глубина параболической части канала, м
Рисунок 5 - Комбинированная форма поперечного сечения
каналов проводящей сети
B - ширина поверху, м; H - глубина канала, м; h - глубина
воды в канале, м; b - ширина канала по дну, м; b1 - ширина
ветви параболы на глубине h, м
Рисунок 6 - Параболическая форма поперечного сечения
каналов проводящей сети с донной вставкой
5.2 Параметры поперечного сечения каналов проводящей сети на расходы воды более 0,5 м
3/с, а также при меньших расходах воды, когда уклон канала, проходящего в песчаных грунтах более 0,0005, в суглинистых грунтах более 0,003 и глинистых грунтах более 0,005 должны устанавливаться гидравлическими расчетами с учетом физико-механических свойств грунтов, гидрогеологических условий, рабочих характеристик землеройных машин и корректироваться до ближайших значений, указанных в
приложении А.
5.3 Параметры поперечных сечений каналов проводящей сети на расходы воды до 0,5 м
3/с уклонами менее 0,0005 в песчаных, 0,003 в суглинистых и 0,005 в глинистых грунтах, должны устанавливаться конструктивно согласно
приложению А с учетом тех же условий.
5.4 Определение значений элементов живого сечения каналов производится по зависимостям, представленным в таблицах 2 -
6.
Таблица 2
Определение элементов живого сечения
канала трапецеидальной формы
Элемент живого сечения | Расчетная формула |
Ширина поверху B, м | |
Ширина средняя bm, м | |
Глубина средняя hm, м | |
Площадь сечения  , м 2 | |
Смоченный периметр  , м | |
Гидравлический радиус R, м | |
Примечание - b - ширина канала по дну, м; h - глубина воды в канале, м;  - относительная ширина по дну  ; m - коэффициент заложения откоса (  ,  - угол наклона откоса). |
Таблица 3
Определение элементов живого сечения канала
параболической формы
Элемент живого сечения | Расчетная формула |
Ширина поверху B, м | |
Глубина средняя hm, м | hm = 2h/3 |
Характеристика живого сечения | |
Площадь сечения  , м 2 | |
Смоченный периметр  , м | |
Гидравлический радиус R, м | |
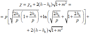
Примечание - h - глубина воды в канале, м; p - параметр параболы;  - характеристика живого сечения;  - функция параболического сечения. |
Таблица 4
Определение элементов живого сечения канала
полигональной формы
Элемент живого сечения | Расчетная формула |
Ширина поверху B, м | B = b + 2 (m1h1 + m2h2 + m3h3) |
Ширина относительная  | |
Относительная глубина средней части  | |
Относительная глубина донной части  | |
Глубина средней части h2, м | |
Глубина донной части h3, м | |
Площадь сечения  , м 2 | |
Смоченный периметр  , м | |
Гидравлический радиус R, м | |
Примечание - b - ширина канала по дну, м; h - глубина воды в канале, м;  - относительная ширина по дну  ; m - коэффициент заложения откоса (  ,  - угол наклона откоса); B1 - ширина канала у подножья верхних откосов, м; B2 - ширина канала у подножья средних откосов, м; h1 - глубина верхней части канала без учета запаса превышения бровки над уровнем воды, м; h2 - глубина средней части канала, м; h3 - глубина донной части канала, м; m1 - заложение верхних откосов; m2 - заложение средних откосов; m3 - заложение донных откосов. |
Таблица 5
Определение элементов живого сечения канала комбинированной
формы (нижняя часть - парабола, верхняя - трапеция)
Элемент живого сечения | Расчетная формула |
Ширина поверху B, м | B = Bп + 2m(h - hп) |
Площадь сечения  , м 2 | |
Смоченный периметр  , м | |
Гидравлический радиус R, м | |
Примечание - h - глубина воды в канале, м; hп - глубина параболической части канала, м; Bп - ширина поверху параболической части канала, м; p - параметр параболы; m - заложение откосов трапецеидальной части канала. |
Таблица 6
Определение элементов живого сечения канала
параболической формы с донной вставкой
Элемент живого сечения | Расчетная формула |
Ширина поверху B, м | B = b + 2b1 |
Глубина средняя hm, м | |
Площадь сечения  , м 2 | |
Смоченный периметр  , м | |
Гидравлический радиус R, м | |
Примечание - h - глубина воды в канале, м; b - ширина донной вставки, м; p - параметр параболы; b1 - ширина ветви параболы на глубине h  , м. |
5.5 При строительстве каналов проводящей сети в грунтах, имеющих угол внутреннего трения в водонасыщенном состоянии менее 20°, или при скоростях течения воды в канале, превышающих допустимые, а также при высоте выклинивания грунтовых вод выше допустимых, параметры поперечных сечений необходимо принимать согласно требованиям
5.2 и
5.3 с креплением дна и откосов.
6 Форма и геометрические параметры поперечного сечения каналов регулирующей сети
6.1 Поперечные сечения каналов открытой регулирующей сети принимают трапецеидальной формы и расчетом не определяют. Их параметры (кроме искусственных ложбин) устанавливают конструктивно в зависимости от типов почвогрунтов (таблица 7) и используемых механизмов
[2].
Таблица 7
Конструктивные размеры поперечных сечений
открытых регулирующих каналов
Почвогрунт | Глубина H, м | Ширина по дну b, м | Коэффициент заложения откосов m |
Торф мощностью 0,7 м и более (независимо от типа и степени заложения) | 1,5 | 0,4 - 0,6 | 1,0 - 1,5 |
Глина, тяжелый и средний суглинок, торф мощностью до 0,7 м, подстилаемый этими почвогрунтами | 1,0 - 1,2 | 0,4 - 0,6 | 1,0 - 1,5 |
Легкий суглинок, торф мощностью до 0,7 м, подстилаемый этим почвогрунтом | 1,2 | 0,4 - 0,6 | 1,0 - 1,5 |
Супесь, мелкозернистый (частиц от 0,25 до 1,1 мм более 50%) песок, торф мощностью до 0,7 м, подстилаемый этими почвогрунтами | 1,2 | 0,4 - 0,6 | 1,5 - 2,5 |
Крупнозернистый песок (частиц 0,5 - 2,0 мм более 50%), мощностью до 0,7 м, подстилаемый этими почвогрунтами | 1,2 | 0,4 - 0,6 | 1,5 - 2,0 |
Мелкозернистый песок и пылеватый суглинок (частиц 0,005 - 0,05 мм более 50%) | 1,2 | 0,8 - 1,0 | 2,5 - 4,0 |
6.2 Принятые по
таблице 7 размеры поперечных сечений каналов регулирующей сети округляются до значений, доступных для разработки общестроительными и специализированными мелиоративными машинами, приведенных в
приложении А.
6.3 Ложбины устраиваются в виде неглубоких - от 0,1 м в истоке и до 0,5 м в устье - каналов с заложением откосов 1/8 - 1/10. Длина ложбин 400 - 500 м, минимальные уклоны их дна составляют 0,0008 - 0,004. Поперечное сечение ложбин принимают трапецеидальным или треугольным. Форма русла ложбин не должна препятствовать переезду через них сельскохозяйственных машин.
7 Форма и геометрические параметры поперечного сечения каналов оградительной сети
7.1 Поперечные сечения каналов оградительной сети глубиной более 2,5 м, проходящих:
- в торфяниках со степенью разложения более 50% (определяется по
ГОСТ 10650), смешанных, легких, иловатых и разжиженных грунтах, должны иметь параболическую форму;
- в торфяниках со степенью разложения до 50% (определяется по
ГОСТ 10650), в суглинистых и глинистых грунтах и других условиях - трапецеидальную форму.
7.2 Параметры поперечных сечений каналов оградительной сети при строительной глубине более 3,5 м должны устанавливаться гидравлическими расчетами с учетом физико-механических свойств грунтов, гидрогеологических условий, рабочих характеристик общестроительных и специализированных мелиоративных машин и корректироваться до ближайших значений, указанных в
приложении А.
7.3 Параметры поперечных сечений каналов оградительной сети при строительной глубине менее 3,5 м должны устанавливаться конструктивно согласно
приложению А с учетом тех же условий.
7.4 Коэффициент заложения откосов каналов оградительной сети трапецеидальной формы с нагорной стороны должен быть увеличен на 0,5.
7.5 Определение значений элементов живого сечения каналов осуществляется как для каналов проводящей сети по
таблицам 2 и
3.
(рекомендуемое)
ГЕОМЕТРИЧЕСКИЕ ПАРАМЕТРЫ ТРАПЕЦЕИДАЛЬНОГО ПОПЕРЕЧНОГО
СЕЧЕНИЯ КАНАЛОВ, РАЗРАБАТЫВАЕМЫХ ОБЩЕСТРОИТЕЛЬНЫМИ
И СПЕЦИАЛИЗИРОВАННЫМИ МЕЛИОРАТИВНЫМИ МАШИНАМИ
Таблица А.1
Геометрические параметры трапецеидального поперечного
сечения каналов, разрабатываемых общестроительными
и специализированными мелиоративными машинами
Наименование показателя | Глубина H, м | Ширина по дну b, м | Коэффициент заложения откосов m |
Каналы регулирующей, оградительной и проводящей сетей, выполняемые общестроительными машинами | От 0,8 до 1,5 включ. | 0,4; 0,6; 0,8; 1,0 | 1,0; 1,25; 1,5; 1,75; 2,0 |
Св. 1,5 до 2,5 включ. | 0,6; 0,8; 1,0; 1,5 | 1,5; 1,75; 2,0; 2,25; 2,5 |
Св. 2,5 до 3,5 включ. | 0,6; 0,8; 1,0; 1,5; 2,0 | 1,5; 1,75; 2,0; 2,25; 2,5 |
Каналы регулирующей сети, выполняемые специализированными машинами | От 0,8 до 1,0 включ. | 0,25 | 1,0 |
Св. 1,0 до 1,2 включ. | 0,25 | 1,0 |
Св. 1,2 до 1,7 включ. | 0,25 | 1,0 |
| Градостроительный кодекс Российской Федерации от 29 декабря 2004 г. N 190-ФЗ. |
| Мелиорация и водное хозяйство. Осушение: справочник/Б.С. Маслов [и др.]; под ред. Б.С. Маслова. - М.: Агропромиздат, 2001. - 608 с. |
УДК 626.861.1:006.354 | |
Ключевые слова: канал осушительный, проводящая сеть, регулирующая сеть, оградительная сеть, проектирование, поперечное сечение |