Главная // Актуальные документы // ГОСТ Р (Государственный стандарт)СПРАВКА
Источник публикации
М.: Стандартинформ, 2019
Примечание к документу
Документ
введен в действие с 1 июля 2019 года.
Название документа
"ГОСТ Р 58331.1-2018. Национальный стандарт Российской Федерации. Системы и сооружения мелиоративные. Каналы оросительные. Поперечные сечения"
(утв. и введен в действие Приказом Росстандарта от 25.12.2018 N 1144-ст)
"ГОСТ Р 58331.1-2018. Национальный стандарт Российской Федерации. Системы и сооружения мелиоративные. Каналы оросительные. Поперечные сечения"
(утв. и введен в действие Приказом Росстандарта от 25.12.2018 N 1144-ст)
Утвержден и введен в действие
агентства по техническому
регулированию и метрологии
от 25 декабря 2018 г. N 1144-ст
НАЦИОНАЛЬНЫЙ СТАНДАРТ РОССИЙСКОЙ ФЕДЕРАЦИИ
СИСТЕМЫ И СООРУЖЕНИЯ МЕЛИОРАТИВНЫЕ
КАНАЛЫ ОРОСИТЕЛЬНЫЕ
ПОПЕРЕЧНЫЕ СЕЧЕНИЯ
Reclamation systems and structures.
Irrigation canals. Cross sections
ГОСТ Р 58331.1-2018
Дата введения
1 июля 2019 года
1 РАЗРАБОТАН Федеральным государственным бюджетным научным учреждением "Российский научно-исследовательский институт проблем мелиорации" (ФГБНУ "РосНИИПМ")
2 ВНЕСЕН Техническим комитетом по стандартизации ТК 151 "Мелиорация"
3 УТВЕРЖДЕН И ВВЕДЕН В ДЕЙСТВИЕ
Приказом Федерального агентства по техническому регулированию и метрологии от 25 декабря 2018 г. N 1144-ст
4 ВВЕДЕН ВПЕРВЫЕ
Правила применения настоящего стандарта установлены в статье 26 Федерального закона от 29 июня 2015 г. N 162-ФЗ "О стандартизации в Российской Федерации". Информация об изменениях к настоящему стандарту публикуется в ежегодном (по состоянию на 1 января текущего года) информационном указателе "Национальные стандарты", а официальный текст изменений и поправок -
в ежемесячном информационном указателе "Национальные стандарты". В случае пересмотра (замены) или отмены настоящего стандарта соответствующее уведомление будет опубликовано в ближайшем выпуске информационного указателя "Национальные стандарты". Соответствующая информация, уведомление и тексты размещаются также в информационной системе общего пользования -
на официальном сайте Федерального агентства по техническому регулированию и метрологии в сети Интернет (www.gost.ru)
Настоящий стандарт распространяется на каналы оросительных систем и устанавливает требования к расчету геометрических параметров поперечных сечений оросительных каналов.
В настоящем стандарте использованы нормативные ссылки на следующие документы:
ГОСТ 21778-81 Система обеспечения точности геометрических параметров в строительстве. Основные положения
СП 81.13330 "СНиП 3.07.03-85* Мелиоративные системы и сооружения"
СП 100.13330 "СНиП 2.06.03-85 Мелиоративные системы и сооружения"
Примечание - При пользовании настоящим стандартом целесообразно проверить действие ссылочных документов в информационной системе общего пользования - на официальном сайте Федерального агентства по техническому регулированию и метрологии в сети Интернет или по ежегодному информационному указателю "Национальные стандарты", который опубликован по состоянию на 1 января текущего года, и по выпускам ежемесячного информационного указателя "Национальные стандарты" за текущий год. Если заменен ссылочный документ, на который дана недатированная ссылка, то рекомендуется использовать действующую версию этого документа с учетом всех внесенных в данную версию изменений. Если заменен ссылочный документ, на который дана датированная ссылка, то рекомендуется использовать версию этого документа с указанным выше годом утверждения (принятия). Если после утверждения настоящего стандарта в ссылочный документ, на который дана датированная ссылка, внесено изменение, затрагивающее положение, на которое дана ссылка, то это положение рекомендуется применять без учета данного изменения. Если ссылочный документ отменен без замены, то положение, в котором дана ссылка на него, рекомендуется применять в части, не затрагивающей эту ссылку. Сведения о действии сводов правил целесообразно проверить в Федеральном информационном фонде стандартов.
В настоящем стандарте применены следующие термины с соответствующими определениями:
3.1 берма: Уступы на откосах гидротехнических сооружений: земляных и каменных плотин, каналов, укрепленных берегов и т.д., служащие для придания устойчивости вышележащих частей сооружений, а также улучшения условий их эксплуатации.
3.2
геометрический параметр: Линейная или угловая величина. |
3.3
грунт: Любые горные породы, почвы, осадки и техногенные образования, рассматриваемые как многокомпонентные динамичные системы и как часть геологической среды и изучаемые в связи с инженерно-хозяйственной деятельностью человека. |
3.4 дамба: Гидротехническое сооружение в виде насыпи для защиты территорий, ограждения искусственных водоемов и водотоков, направленного отклонения потока воды в естественных и искусственных водотоках.
3.5 канал: Искусственный открытый водоток в земляной выемке, полувыемке-полунасыпи или насыпи.
3.6 облицовка: Покрытие каналов, сооружений, зданий, выполненное из природных или искусственных материалов, отличающихся по своему качеству от основных материалов.
3.7 откос: Наклонная поверхность, являющаяся частью грунтового массива или конструкции.
3.8 поперечное сечение: Сечение под прямым углом к продольной оси.
3.9 противофильтрационное устройство: Элемент гидротехнических сооружений, предназначенный для уменьшения фильтрационного расхода через сооружение и его основание, а также для снижения фильтрационного давления на отдельные части сооружения и кривой депрессии, уменьшения градиентов напора фильтрационного потока в наиболее опасных зонах.
4.1 Выбор геометрических параметров сечения канала следует проводить в каждом конкретном случае на основании гидравлического расчета и расчета устойчивости откоса с учетом типа канала, налагаемых на него специальных мелиоративных задач, гидрогеологических и грунтовых условий.
4.2 Ширину берм или дамб (по гребню) назначают в соответствии с техническими характеристиками машин и технологией проведения работ при строительстве и эксплуатации канала. Минимальную ширину дамбы назначают из условия проезда механизмов. При использовании гребня дамбы в качестве проезжей части эксплуатационной автодороги расчет устойчивости откоса следует проводить с учетом массы эксплуатационной техники, перевозимого груза и динамической нагрузки при ее прохождении.
4.3 При прохождении оросительных и водосборно-сборных каналов в выемке, глубина которой превышает строительную глубину, первую берму устраивают на отметке строительной глубины канала. Расположение последующих берм определяют геотехническим расчетом. Строительную глубину канала принимают согласно
[1].
При определении превышения отметки бермы канала над уровнем воды следует руководствоваться требованиями
СП 100.13330.
4.4 Заложение внешних откосов дамб следует назначать в зависимости от свойств грунта и условий фильтрации воды из канала
(приложение А).
4.5 При прохождении каналов в сложных геологических условиях геометрические параметры сечения назначают с учетом мероприятий по стабилизации русла канала. В сложных геологических условиях при основании с грунтами легкого механического состава заложение откосов назначают на основании геотехнических расчетов.
4.6 Отклонение русла канала по строительной глубине и параметру сечения не должно превышать допустимых значений. При устройстве земляного русла оросительного канала для последующей укладки защитных и противофильтрационных покрытий допускается увеличение строительной глубины канала согласно требованиям
СП 81.13330.
4.7 При назначении геометрических параметров поперечного сечения канала следует учитывать технические характеристики строительных машин.
5.1 Трапецеидальное сечение
Для трапецеидальных сечений относительную ширину по дну

(отношение ширины канала по дну к глубине его наполнения) вычисляют по формуле

(1)
где b - ширина канала по дну, м;
h - глубина воды в канале, м;
Q - расход воды в канале, м3/с;
m - коэффициент заложения откоса (

,

- угол наклона откоса к горизонтали).
Значения отношения ширины канала по дну к глубине его наполнения приведены также в таблице 1.
Таблица 1
Значения отношения ширины канала по дну к глубине
его наполнения
m | 1,0 | 1,5 | 2,0 | 2,5 |
| 0,8 - 3,0 | 0,6 - 3,1 | 0,5 - 3,4 | 0,4 - 3,8 |
Примечание - При m > 2,5 величину  назначают по расчету или по данным аналогов. |
Схема оросительных каналов трапецеидального сечения представлена на рисунке 1.
B - ширина поверху; b - ширина канала по дну; h - глубина
воды в канале; m - коэффициент заложения откоса
(
,

- угол наклона откоса)
Рисунок 1 - Схема оросительного канала
трапецеидального сечения
Расчетные формулы для определения элементов живого сечения канала трапецеидальной формы представлены в таблице 2.
Таблица 2
Определение элементов живого сечения канала
трапецеидальной формы
Элемент живого сечения | Расчетная формула |
Ширина поверху B, м | |
Ширина средняя bm, м | |
|
Глубина средняя hm, м | |
Площадь сечения  , м 2 | |
Смоченный периметр , м | |
Гидравлический радиус R, м | |
Примечание - b - ширина канала по дну, м; h - глубина воды в канале, м;  - относительная ширина по дну (  ); m - коэффициент заложения откоса (  ,  - угол наклона откоса);  - безразмерная характеристика живого сечения (  ) . |
5.2 Прямоугольное сечение
Прямоугольное сечение русла представляет собой частный случай трапецеидального, где коэффициент заложения откоса m = 0.
Схема оросительных каналов прямоугольного сечения представлена на рисунке 2.
b - ширина канала по дну; h - глубина воды в канале
Рисунок 2 - Схема оросительного канала
прямоугольного сечения
Расчетные формулы для определения элементов живого сечения канала прямоугольной формы представлены в таблице 3.
Таблица 3
Определение элементов живого сечения канала прямоугольной формы
Элемент живого сечения | Расчетная формула |
Ширина поверху B, м | B = b |
Площадь сечения  , м 2 | |
Смоченный периметр , м | |
Гидравлический радиус R, м | |
Примечание - b - ширина канала по дну, м; h - глубина воды в канале, м. |
5.3 Параболическое сечение
Для параболического сечения очертание поверхности каналов принято по параболе с шириной bh (ширина канала на глубине h), м, определяемой по формуле

(2)
где p - параметр параболы;
h - глубина канала, м.
Схема оросительных каналов параболического сечения представлена на рисунке 3.
B - ширина поверху; h - глубина воды в канале
Рисунок 3 - Схема оросительного канала
параболического сечения
Расчетные формулы для определения элементов живого сечения канала параболической формы представлены в таблице 4.
Таблица 4
Определение элементов живого сечения канала
параболической формы
Элемент живого сечения | Расчетная формула |
Ширина поверху B, м | |
Глубина средняя hm, м | |
Площадь сечения  , м 2 | |
Смоченный периметр  , м | |
Гидравлический радиус R, м | |
Примечания 1 h - глубина воды в канале, м; p - параметр параболы;  - характеристика живого сечения;  - функция параболического сечения. 2 Для параболических русел заложение откоса дается на уровне воды. |
5.4 Круговое (сегментное) сечение
Круговое сечение русла описывается радиусом сечения оросительного канала.
Схема оросительных каналов кругового сечения представлена на рисунке 4.
B - ширина поверху; h - глубина воды в канале; r - радиус
живого сечения;

- центральный угол сечения
Рисунок 4 - Схема оросительного канала кругового сечения
Расчетные формулы для определения элементов живого сечения канала круговой формы представлены в таблице 5.
Таблица 5
Определение элементов живого сечения канала круговой формы
Элемент живого сечения | Расчетная формула |
Ширина поверху B, м | |
Глубина h, м | |
Глубина средняя hm, м | |
Площадь сечения  , м 2 | |
Смоченный периметр , м | |
Гидравлический радиус R, м | |
Примечание - h - глубина воды в канале, м; r - радиус живого сечения, м;  - центральный угол сечения. |
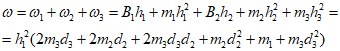
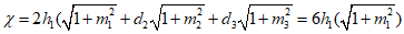
5.5 Полигональное сечение
Полигональное сечение представляет собой составное русло канала, профиль которого состоит из основания сечения (b - ширина канала по дну), имеющего форму трапеции (треугольника), и расположенных над ним ряда участков (пары симметричных откосов - m1, m2, m3), имеющих трапецеидальную форму. Характеристики верхней части обозначены через m1 и h1; средней части - m2, h2 и нижней части m3 и h3. Все параметры сечения канала выражены через глубину h1 верхней части сечения (без учета запаса превышения бровки и над уровнем воды) (рисунок 5).
b - ширина канала по дну; B - ширина поверху; B1 - ширина
канала у подножья верхних откосов, м; B2 - ширина канала
у подножья средних откосов; h1 - глубина верхней части
канала без учета запаса превышения бровки над уровнем воды,
м; h2 - глубина средней части канала, м; h3 - глубина
донной части канала, м; m1 - заложение верхних
откосов; m2 - заложение средних откосов;
m3 - заложение донных откосов
Рисунок 5 - Схема оросительного канала
полигонального сечения
Расчетные формулы для определения элементов живого сечения канала полигональной формы представлены в таблице 6.
Таблица 6
Определение элементов живого сечения канала
полигональной формы
Элемент живого сечения | Расчетная формула |
Ширина поверху B, м | |
Ширина относительная  | |
Относительная глубина средней части d2 | |
Относительная глубина донной части d3 | |
Глубина средней части h2 | h2 = d2h1 |
Глубина донной части h3 | h3 = d3h1 |
Площадь сечения  , м 2 | |
Смоченный периметр , м | |
Гидравлический радиус R, м | |
Примечание - b - ширина канала по дну, м; h - глубина воды в канале, м; m - коэффициент заложения откоса ( ,  - угол наклона откоса); B1 - ширина канала у подножья верхних откосов, м; B2 - ширина канала у подножья средних откосов; h1 - глубина верхней части канала без учета запаса превышения бровки над уровнем воды, м; h2 - глубина средней части канала, м; h3 - глубина донной части канала, м; m1 - заложение верхних откосов; m2 - заложение средних откосов; m3 - заложение донных откосов. |
(рекомендуемое)
КОЭФФИЦИЕНТЫ ЗАЛОЖЕНИЯ ОТКОСОВ КАНАЛОВ
Таблица А.1
Коэффициенты заложения откосов каналов
в зависимости от грунта, слагающего русло
Грунт | Заложение откосов |
подводные | надводные |
Скальный | 0,00 - 0,50 | 0,00 - 0,25 |
Полускальный | 0,50 - 1,00 | 0,50 |
Галечник и гравий с песком | 1,25 - 1,50 | 1,00 |
Глина, суглинок тяжелый и средний, торф мощностью пласта до 0,7 м, подстилаемый этими грунтами | 1,00 - 1,50 | 0,50 - 1,00 |
Суглинок легкий, супесь или торф мощностью пласта до 0,7 м, подстилаемый этими грунтами | 1,25 - 2,00 | 1,00 - 1,50 |
Песок мелкий или торф мощностью пласта до 0,7 м, подстилаемый этими грунтами | 1,50 - 2,50 | 1,00 - 2,00 |
Песок пылеватый | 3,00 - 3,50 | 2,50 |
Торф со степенью разложения до 50% | 1,25 - 1,75 | 1,25 |
Таблица А.2
Коэффициенты заложения наружных откосов дамб каналов,
устраиваемых в насыпи и полунасыпи
Грунт | Коэффициент заложения |
Глина, суглинок тяжелый и средний | 0,75 - 1,0 |
Суглинок легкий | 1,0 - 1,25 |
Супесь | 1,0 - 1,5 |
Песок | 1,25 - 2,0 |
1 Первое значение в диапазоне заложения для каналов с расходом воды менее 0,5 м3/с, последнее - с расходом воды до 10 м3/с.
2 Заложение откосов канала с расходом воды более 10 м3/с устанавливается расчетом.
3 Заложение внутренних и наружных откосов каналов может быть увеличено по сравнению с указанными в таблицах, если это необходимо по условиям применения прогрессивных методов проведения строительных работ.
| | Нормы отвода земель для мелиоративных каналов |