Главная // Актуальные документы // МетодикаСПРАВКА
Источник публикации
М.: ФГБНУ "Росинформагротех", 2017
Примечание к документу
Документ утратил силу с 01.02.2021 в связи с изданием
РД-АПК 1.10.15.02-17*, утв. и введенных в действие Минсельхозом России 23.05.2017 (ред. от 01.02.2021).
Документ
введен в действие с 01.09.2017.
Название документа
"РД-АПК 1.10.15.02-17. Система нормативных документов агропромышленного комплекса Министерства сельского хозяйства Российской Федерации. Методические рекомендации по технологическому проектированию. Методические рекомендации по технологическому проектированию систем удаления и подготовки к использованию навоза и помета"
(утв. и введены в действие Минсельхозом России 23.05.2017)
"РД-АПК 1.10.15.02-17. Система нормативных документов агропромышленного комплекса Министерства сельского хозяйства Российской Федерации. Методические рекомендации по технологическому проектированию. Методические рекомендации по технологическому проектированию систем удаления и подготовки к использованию навоза и помета"
(утв. и введены в действие Минсельхозом России 23.05.2017)
Утверждены и введены в действие
Заместителем Министра
сельского хозяйства
Российской Федерации
И.В.ЛЕБЕДЕВЫМ
23 мая 2017 года
СИСТЕМА НОРМАТИВНЫХ ДОКУМЕНТОВ
АГРОПРОМЫШЛЕННОГО КОМПЛЕКСА
МИНИСТЕРСТВА СЕЛЬСКОГО ХОЗЯЙСТВА
РОССИЙСКОЙ ФЕДЕРАЦИИ
МЕТОДИЧЕСКИЕ РЕКОМЕНДАЦИИ
ПО ТЕХНОЛОГИЧЕСКОМУ ПРОЕКТИРОВАНИЮ
МЕТОДИЧЕСКИЕ РЕКОМЕНДАЦИИ
ПО ТЕХНОЛОГИЧЕСКОМУ ПРОЕКТИРОВАНИЮ СИСТЕМ УДАЛЕНИЯ
И ПОДГОТОВКИ К ИСПОЛЬЗОВАНИЮ НАВОЗА И ПОМЕТА
РД-АПК 1.10.15.02-17
Дата введения
1 сентября 2017 года
1 РАЗРАБОТАНЫ: Росинформагротех: Федоренко В.Ф., д-р техн. наук, акад. РАН; НПЦ "Гипронисельхоз": Мишуров Н.П., канд. техн. наук; Селиванов В.Г., канд. техн. наук; Войтюк М.М., д-р экон. наук; Гольтяпин В.Я., канд. техн. наук; ВНИИМЗ: Ковалев Н.Г., д-р техн. наук, акад. РАН; Полозова В.Г., ст. науч. сотр.; ИАЭП: Попов В.Д., д-р техн. наук, акад. РАН; Брюханов А.Ю., канд. техн. наук; ВНИИП им. К.И. Скрябина: Успенский А.В., д-р вет. наук, чл.-корр. РАН; ВНИИМЖ: Гриднев П.И., д-р техн. наук; Гриднева Т.Т., канд. техн. наук; Спотару Ю.Ю., мл. науч. сотр.; ВНИИВСГЭ: Тюрин В.Г., д-р вет. наук; Бирюков К.Н., канд. вет. наук; МГАВМиБ - МВА имени К.И. Скрябина: Кочиш И.И., д-р с.-х. наук, акад. РАН; Виноградов П.Н. канд. с.-х. наук; ВНИИОУ: Лукин С.М., д-р биол. наук; Тарасов С.И., канд. биол. наук.
2 ВНЕСЕНЫ: Московским филиалом ФГБНУ "Росинформагротех" (НПЦ "Гипронисельхоз")
3 ОДОБРЕНЫ: секцией "Приоритетные научные исследования и инновационная деятельность в АПК" Научно-технического совета Минсельхоза России (протокол от 24 марта 2017 г. N 5)
4 УТВЕРЖДЕНЫ И ВВЕДЕНЫ В ДЕЙСТВИЕ: заместителем Министра сельского хозяйства Российской Федерации И.В. Лебедевым 23 мая 2017 г.
5 ВЗАМЕН:
РД-АПК 1.10.15.02-08 "Методические рекомендации по технологическому проектированию систем удаления и подготовки к использованию навоза и помета"
6 СОГЛАСОВАНЫ:
Департаментом ветеринарии Минсельхоза России 10 мая 2017 г. (письмо N ВН 25/10929),
Департаментом животноводства и племенного дела Минсельхоза России 2 мая 2017 г. (письмо N ВН 24/10497),
Департаментом научно-технологической политики и образования Минсельхоза России 22 мая 2017 г.
1.1 Настоящие методические рекомендации по технологическому проектированию систем удаления и подготовки к использованию навоза и помета распространяются на проектирование вновь строящихся и реконструируемых, подвергающихся техническому перевооружению и расширению ферм и комплексов крупного рогатого скота, свиноводческих ферм и комплексов, птицеводческих предприятий.
1.2 Настоящие методические рекомендации распространяются на проектирование как систем удаления и подготовки навоза и помета животноводческих ферм, комплексов, птицеводческих предприятий в целом, так и на проектирование входящих в их состав отдельных зданий и сооружений для навоза подстилочного при влажности до 85%, бесподстилочного полужидкого при влажности до 92%, жидкого при влажности до 97%, навозных стоков при влажности более 97% и всех видов помета птичьего (далее помета) и пометных стоков.
В настоящих методических рекомендациях использованы ссылки на следующие документы:
Закон Российской Федерации от 14 мая 1993 г. N 4979-1 "О ветеринарии" (с изменениями на 3 июля 2016 г.).
Федеральный
закон Российской Федерации от 27 декабря 2002 г. N 184-ФЗ "О техническом регулировании".
Федеральный
закон Российской Федерации от 10 января 2002 г. N 7-ФЗ "Об охране окружающей среды".
Федеральный
закон Российской Федерации от 3 июня 2006 г. N 74-ФЗ "Водный кодекс".
Федеральный
закон Российской Федерации от 22 июля 2008 г. N 123-ФЗ "Технический регламент о требованиях пожарной безопасности".
СП 4.13130.2009. Системы противопожарной защиты. Ограничение распространения пожара в объектах защиты. Требования к объемно-планировочным и конструктивным решениям.
СП 12.13130.2009. Определение категорий помещений, зданий и пожарных установок по взрывопожарной и пожарной опасности.
СП 19.13330.2011. "СНиП 11-97-76. Генеральные планы сельскохозяйственных предприятий".
| | ИС МЕГАНОРМ: примечание. В официальном тексте документа, видимо, допущена опечатка: свод правил "СНиП III-10-75. Благоустройство территорий" имеет номер СП 82.13330.2016, а не СП 82.13330.2012. | |
| | ИС МЕГАНОРМ: примечание. В официальном тексте документа, видимо, допущена опечатка: свод правил "СНиП 2.06.03-85. Мелиоративные системы и сооружения" имеет номер СП 100.13330.2016, а не СП 100.13330.2012. | |
ГОСТ Р 51661.1-2000 СПКП. Торф для приготовления компостов.
ГОСТ 26074-84. Навоз жидкий. Ветеринарно-санитарные требования к обработке, хранению, транспортировке и использованию.
ГОСТ Р 53117-2008. Удобрения органические на основе отходов животноводства. Технические условия.
ГОСТ 31461-2012. Помет птицы. Сырье для производства органических удобрений. Технические условия.
| | ИС МЕГАНОРМ: примечание. В официальном тексте документа, видимо, допущена опечатка: "Гигиенические требования к охране поверхностных вод" имеют номер СанПиН 2.1.5.980-00, а не СанПиН 2.1.5.980-02. | |
СанПиН 2.2.1/2.1.1.1200-03. Санитарно-защитные зоны и санитарная классификация предприятий, сооружений и иных объектов (утверждена постановлением Главного санитарного врача России N 74 от 25.09.07, зарегистрирована Минюстом России N 10995 от 25.01.08; редакция от 25.04.2014).
СП 4542-87. Санитарные правила для животноводческих предприятий.
РД-АПК 1.10.01.02-10. Методические рекомендации по технологическому проектированию ферм и комплексов крупного рогатого скота.
РД-АПК 1.10.02.04-12. Методические рекомендации по технологическому проектированию свиноводческих ферм и комплексов.
РД-АПК 1.10.05.04-13. Методические рекомендации по технологическому проектированию птицеводческих предприятий.
РД-АПК 3.10.15.01-17 Методические рекомендации по проектированию систем удаления, обработки, обеззараживания, хранения и утилизации навоза и помета.
НТП-АПК 1.30.03.01-06. Нормы технологического проектирования оросительных систем с использованием животноводческих стоков.
Дозы и сроки внесения бесподстилочного навоза (методические рекомендации, М. 2015 г.).
| | ИС МЕГАНОРМ: примечание. В официальном тексте документа, видимо, допущена опечатка: "Ветеринарно-санитарные правила по использованию животноводческих стоков для орошения и удобрения пастбищ" имеют дату 18.10.1993, а не 18.11.1993. | |
Ветеринарно-санитарные
правила по использованию животноводческих стоков для орошения и удобрения пастбищ (утверждены Департаментом ветеринарии Минсельхозпрода России 18 ноября 1993 г. N 19-7-2/148).
Ветеринарно-санитарные
правила подготовки к использованию в качестве органических удобрений навоза, помета и стоков при инфекционных и инвазионных болезнях животных и птицы (утверждены Департаментом ветеринарии Минсельхоза России 04.08.97 г.).
Инструкция по лабораторному контролю очистных сооружений на животноводческих комплексах (утверждена Минсельхозом СССР 17 ноября 1980 г.).
Правила проведения дезинфекции и дезинвазии объектов государственного ветеринарного надзора (утверждены заместителем руководителя Департамента ветеринарии Минсельхоза России 15.07.02).
Справочное пособие "Таблицы для гидравлического расчета стальных, чугунных и асбестоцементных напорных трубопроводов" (для расчета напорных навозопроводов) (Москва, Стройиздат, 1986).
Примечание - При пользовании настоящими методическими рекомендациями целесообразно проверить действие упомянутых документов в информационной системе общего пользования - национального органа Российской Федерации по стандартизации в сети Интернет или по ежегодно издаваемому информационному указателю "Национальные стандарты" и строительному каталогу "Нормативные методические документы и другие издания по строительству", которые опубликованы на 1 января текущего года, и по соответствующим ежемесячно создаваемым информационным указателям, опубликованным в текущем году.
Если ссылочный документ заменен (изменен), то при пользовании настоящими методическими рекомендациями следует руководствоваться замененным (измененным) документом. Если ссылочный документ отменен без замены, то положение, в котором дана ссылка на него, применяется в части, не затрагивающей эту ссылку.
3.1 Положения данных методических рекомендаций носят рекомендательный характер. При ссылке в задании на проектирование конкретного объекта на данные методические рекомендации содержащиеся в них положения приобретают для этого объекта обязательный характер.
3.2 В соответствии с Федеральным
законом "О техническом регулировании" от 27 декабря 2002 г. N 184-ФЗ до принятия соответствующих технических регламентов техническое регулирование в области применения ветеринарно-санитарных мер осуществляется в соответствии с
Законом Российской Федерации "О ветеринарии" от 14 мая 1993 г. N 4979-1.
В связи с этим ветеринарно-санитарные требования и нормативы, ссылки на которые имеются в данных методических рекомендациях по технологическому проектированию систем удаления и подготовки к использованию навоза и помета, обязательны для выполнения на всей территории Российской Федерации государственными органами, учреждениями, предприятиями, должностными лицами и гражданами независимо от того, упоминаются ли данные методические рекомендации в задании на проектирование или нет.
3.3 При проектировании систем удаления и подготовки к использованию навоза и помета животноводческих ферм, комплексов, птицеводческих предприятий, а также входящих в их состав отдельных зданий и сооружений, кроме настоящих методических рекомендаций, следует руководствоваться нормативными и нормативно-методическими документами по строительству, приведенными в нормативных ссылках этих методических рекомендаций:
- техническими регламентами;
- федеральными законами;
- сводами правил (в том числе актуализированными редакциями СНиП);
- государственными (национальными) и межгосударственными стандартами;
- санитарными правилами и нормами, санитарными правилами и другими документами Минздрава России (Минздравсоцразвития России, Минздрава СССР);
- нормативными документами противопожарной службы МЧС России (МВД России);
- документами по проектированию и строительству объектов АПК Минсельхоза России;
- нормативными и нормативно-методическими документами других министерств и федеральных агентств Российской Федерации, утвержденными в установленном порядке.
3.4 Категорию по взрывопожарной и пожарной опасности зданий и сооружений систем удаления и подготовки к использованию навоза и помета следует принимать согласно требованиям
СП 12.13130.
3.5 Структуру систем удаления и подготовки к использованию навоза и помета, номенклатуру входящих в нее отдельных зданий и сооружений следует принимать в зависимости от специализации ферм и комплексов (предприятий) с учетом климатических условий районов строительства систем удаления и подготовки к использованию навоза и помета, обеспечения наибольшей эффективности инвестиций, возможности дальнейшего расширения производства основной продукции с учетом требований охраны окружающей среды.
3.6 Проекты этих систем должны разрабатываться на базе современных прогрессивных и эффективных технологий, технических решений, технологического оборудования, обеспечивающих:
- экономичность строительства и эксплуатации сооружений;
- подготовку к использованию всех разновидностей навоза и помета, их фракций в качестве экологически безопасного органического удобрения сельскохозяйственных угодий и почвы непосредственно или путем производства комплексных органических или органоминеральных удобрений;
- переработку навоза и помета в высококачественные органические удобрения, биогумус и для получения вторичных продуктов;
- безотходную переработку и максимальное использование всех видов навоза и помета для внесения в почву;
- выполнение ветеринарно-санитарных и санитарно-гигиенических требований эксплуатации животноводческих ферм, комплексов и птицеводческих предприятий при минимальных расходах воды;
- гарантированную охрану окружающей природной среды от загрязнения навозом, пометом и продуктами их переработки;
- высокий уровень механизации и автоматизации производственных процессов удаления и подготовки навоза и помета к использованию.
3.7 Выбор систем удаления и подготовки к использованию навоза и помета следует производить на основе комплексной технико-экономической оценки различных вариантов с учетом затрат на все этапы, начиная от строительства объекта и заканчивая определением объемов внесения потребного количества питательных элементов на единицу площади под планируемую урожайность сельскохозяйственных культур.
Расчеты следует проводить с учетом:
- гарантированного сохранения плодородия почв в зоне размещения животноводческой фермы, комплекса, птицеводческого предприятия;
- специализации, типоразмера животноводческой фермы, комплекса, птицеводческого предприятия;
- технологии содержания и выращивания животных и птицы, их возраста и вида;
- климатических, почвенных и гидрогеологических условий, рельефа местности применительно к условиям утилизации навоза и помета;
- состояния объектов окружающей природной среды.
Определение критериев оценки различных вариантов систем следует производить с учетом стоимости произведенной дополнительной продукции (зерно, корма, биогаз), изменения плодородия почв, негативного воздействия на окружающую среду за счет выброса в атмосферу вредных газов, загрязнения грунтовых вод.
3.8 Размеры земельных площадей, необходимых для утилизации навоза, помета и сточных вод в качестве удобрения, определяются с учетом способов подготовки органических отходов. Площадь сельскохозяйственных угодий должна быть достаточной для экологически безопасного использования навоза, помета, навозосодержащих и пометосодержащих стоков в качестве удобрения.
3.9 Выбор земельных участков для использования навоза, помета, навозных и пометосодержащих стоков, сточных вод в качестве удобрения осуществляется одновременно с выбором площадки под строительство животноводческих комплексов и ферм, птицеводческих предприятий.
3.10 Канализацию животноводческих ферм и комплексов, птицеводческих предприятий следует проектировать по раздельной системе:
- производственно-бытовой;
- навозной;
- пометной;
- ливневой.
3.11 Незагрязненные производственные стоки могут быть использованы в системах оборотного технического водоснабжения после подготовки, обеспечивающей отсутствие органических включений, биогенных элементов, возбудителей инфекционных и инвазионных заболеваний и дезодорацию, при соответствующем технико-экономическом обосновании и согласовании с органами государственного ветеринарного, санитарного и экологического надзора.
3.12 Стоки, содержащие возбудителей инфекционных и паразитарных заболеваний не должны использоваться в оборотном техническом водоснабжении фермы, комплекса, предприятия. Уничтожение возбудителей указанных заболеваний в стоках обеспечивается в системе подготовки их к использованию и обеззараживания.
3.13 Бытовые сточные воды из отдельных санузлов, расположенных в производственных зданиях, допускается сбрасывать в закрытые каналы для транспортирования навоза и помета. Сточные воды ветеринарных объектов (изолятора, карантина, убойно-санитарного пункта) должны направляться самостоятельной канализационной сетью в общую систему после обеззараживания.
3.14 Навоз, помет и сточные воды из помещений животноводческих ферм, комплексов и птицеводческих предприятий должны транспортироваться отдельно от бытовых сточных вод населенных пунктов.
3.15 При проектировании систем сооружений биологической обработки, очистки и доочистки навозных и пометных стоков следует руководствоваться соответствующими требованиями и указаниями
СП 32.13330.
3.16 Ввод в эксплуатацию животноводческих ферм, комплексов и птицеводческих предприятий не допускается без одновременного ввода в действие систем удаления, хранения и подготовки к использованию навоза и помета и решения проблемы использования в качестве органических удобрений всех видов навоза, помета и сточных вод.
| | ИС МЕГАНОРМ: примечание. В официальном тексте документа, видимо, допущена опечатка: имеется в виду СП 4.13130, а не СП 4.13330. | |
3.17 Объемно-планировочные и конструктивные решения зданий и сооружений систем удаления и подготовки к использованию навоза и помета должны разрабатываться в соответствии с техническим регламентом "О требованиях пожарной безопасности" и обеспечивать требования противопожарной защиты в соответствии с требованиями
СП 4.13330.
3.18 Очистные сооружения систем удаления и подготовки к использованию навоза и помета работают в режиме предприятий закрытого типа.
3.19 Термины и определения, применяемые в данных методических рекомендациях, приведены в
приложении А.
4 ПЛОЩАДКИ ПОД СТРОИТЕЛЬСТВО ЗДАНИЙ И СООРУЖЕНИЙ
ПО ПОДГОТОВКЕ К ИСПОЛЬЗОВАНИЮ НАВОЗА И ПОМЕТА
4.1 Выбор земельного участка для строительства зданий и сооружений по подготовке к использованию навоза и помета и их фракций должен осуществляться одновременно с выбором площадки для строительства животноводческих ферм, комплексов и птицеводческих предприятий в соответствии с требованиями
СП 19.13330.
Допускается размещение вышеназванных зданий и сооружений на площадке, выбранной под животноводческие фермы, комплексы и птицеводческие предприятия в зоне хранения, обеззараживания и переработки отходов производства.
4.2 Территория для размещения сооружений подготовки к использованию навоза и помета должна быть:
- огорожена;
- освещена;
- благоустроена путем планировки, применения твердых покрытий на проездах и технологических площадках, посева трав, обеспечения соответствующих уклонов и специальных устройств для отвода и сбора поверхностного стока;
- защищена лесозащитной полосой шириной не менее 10 м.
Проектирование благоустройства территории сооружений для подготовки к использованию навоза и помета осуществляют в соответствии с требованиями
СП 19.13330 и
СП 82.13330.
4.3 Сооружения системы подготовки к использованию навоза и помета следует располагать по отношению к животноводческой ферме, комплексу или птицеводческому предприятию, жилой застройке с подветренной стороны господствующих направлений ветров в теплое время года, а также ниже (по рельефу) сооружений водоснабжения.
4.4 При проектировании сооружений подготовки навоза и помета к использованию следует назначать соответствующие зооветеринарные расстояния (разрывы) и санитарно-защитные зоны согласно
таблице 1.
Сооружения | Минимальные расстояния, м |
от животноводческих помещений | от жилой застройки |
1 | 2 | 3 |
1 Сооружения обработки жидкого свиного навоза для ферм и комплексов по выращиванию и откорму свиней: | | |
- менее 12 тыс. в год | 60 | 500 |
- от 12 до 54 тыс. в год | 60 | 1000 |
- на 54 тыс. и более в год | 60 | 1000 |
2 Сооружения обработки жидкого навоза для ферм и комплексов крупного рогатого скота при численности поголовья: | | |
- менее 1200 коров | 60 | 300 |
- 1200 коров и до 6000 скотомест для молодняка | 60 | 500 |
- более 6000 скотомест молодняка | 60 | 1000 |
- откормочных площадок на 10 - 30 тыс. голов крупного рогатого скота | 200 | 1000 |
3 Сооружения термической обработки птицеводческих предприятий мощностью: | | |
- до 100 тыс. кур-несушек и до 1 млн бройлеров в год | 300 | 300 |
- от 100 тыс. до 400 тыс. кур-несушек и от 1 млн до 3 млн бройлеров в год | 300 | 1000 |
- более 400 тыс. кур-несушек и более 3 млн бройлеров в год | 300 | 1000 |
4 Открытые хранилища и накопители полужидкого и жидкого навоза и помета, навозо- и пометосодержащих сточных вод для животноводческих ферм, комплексов и птицеводческих предприятий: | | |
- всех типоразмеров и направлений животноводческих ферм и комплексов (кроме комплексов на 54 тыс. и более свиней в год) | 60 | 1000 |
- всех типоразмеров и направлений птицеводческих предприятий (кроме предприятий на 10 млн бройлеров в год) | 300 | 1000 |
- 54 тыс. и более свиней в год | 60 | 1000 |
- 10 млн и более бройлеров в год | 300 | 1000 |
5 Пруды-накопители для биологически обработанной жидкой фракции навоза | 60 | 500 |
6 Площадки для буртования: | | |
- подстилочного навоза и твердой фракции бесподстилочного навоза | 60 | 300 |
- подстилочного помета, твердой фракции бесподстилочного помета | 300 | 300 |
7 Площадки для подготовки компостов: | | |
- на основе навоза | 60 | 300 |
- на основе помета | 300 | 300 |
8 Площадки для подготовки компостов в крестьянских (фермерских) хозяйствах: | | |
- животноводческих | 15 | 300 |
- птицеводческих | 60 | 300 |
9 Площадки для подготовки компостов в личных (подсобных) хозяйствах: | | |
- животноводческих | 3 | В зависимости от численности поголовья животных, птицы |
- птицеводческих | 5 |
Примечания 1 Санитарные расстояния от закрытых навозохранилищ до населенных пунктов допускается принимать не менее 0,5 расстояния от открытых навозохранилищ. 2 Расстояния от молочного блока до сооружений обработки и хранения навоза следует принимать не менее 60 м. 3 Для предотвращения сброса жидкой фракции навоза на рельеф местности или попадания в водоемы при аварии транспортирующих эту фракцию навоза трубопроводов необходимо иметь на территории животноводческой фермы, комплекса резервуар емкостью из расчета 1 - 2-суточного выхода жидкой фракции. 4 Не допускается использование жидкого навоза, помета, навозо- и пометосодержащих и поверхностных вод на территории зон санитарной охраны источников водоснабжения и минеральных источников, во всех зонах округов санитарной, горно-санитарной охраны лечебно-оздоровительных местностей и курортов. 5 Земля санитарно-защитной зоны из землепользования не изымается. 6 Санитарные расстояния в личных (подсобных) хозяйствах от площадок компостирования до жилых построек определяются численностью содержащихся в хозяйствах животных, птицы. Они аналогичны расстояниям от построек для содержания животных, птицы до жилых построек. 7 Цех и площадки для вермикомпостирования располагают с подветренной стороны от построек для содержания животных на расстоянии не менее 60 м. |
4.5 Зооветеринарные разрывы (минимальные расстояния между животноводческими и птицеводческими помещениями и сооружениями по подготовке навоза и помета к использованию) определяются в соответствии с ветеринарно-санитарными требованиями, содержащимися в
РД-АПК 1.10.01.02;
РД-АПК 1.10.02.04;
РД-АПК 1.10.05.04.
4.6 Санитарные разрывы (минимальные расстояния от очистных сооружений и навозохранилищ до жилой застройки) определяются требованиями
СанПиН 2.2.1/2.1.1.1200.
5 НОРМЫ ВЫХОДА И ХАРАКТЕРИСТИКА
БЕСПОДСТИЛОЧНОГО НАВОЗА И ПОМЕТА
5.1 Расчетное среднесуточное количество и влажность бесподстилочного навоза (экскрементов) от одного животного разных половозрастных групп при кормлении свиней полнорационными концентрированными кормами на свиноводческих фермах и комплексах приведены в
таблице 2, на фермах и комплексах крупного рогатого скота - в
таблице 3.
Половозрастные группы свиней | Показатели | Состав экскрементов |
всего | в том числе |
кал | моча |
1 | 2 | 3 | 4 | 5 |
Хряки | Масса, кг | 11,1 | 3,86 | 7,24 |
Влажность, % | 89,4 | 75,0 | 97,0 |
Свиноматки: | | | | |
- холостые | Масса, кг | 8,8 | 2,46 | 6,34 |
Влажность, % | 90,0 | 73,1 | 97,5 |
- супоросные | Масса, кг | 10,0 | 2,6 | 7,4 |
Влажность, % | 91,0 | 73,1 | 98,3 |
- подсосные | Масса, кг | 15,3 | 4,3 | 11,0 |
Влажность, % | 90,1 | 73,1 | 96,8 |
Поросята (возраст, дни): | | | | |
26 - 42 | Масса, кг | 0,4 | 0,1 | 0,3 |
Влажность, % | 90,0 | 70,0 | 96,7 |
43 - 60 | Масса, кг | 0,7 | 0,3 | 0,4 |
Влажность, % | 86,0 | 71,0 | 96,0 |
61 - 106 | Масса, кг | 1,8 | 0,7 | 1,1 |
Влажность, % | 86,1 | 71,4 | 96,3 |
Свиньи на откорме: | | | | |
до 70 | Масса, кг | 5,0 | 2,05 | 2,95 |
| Влажность, % | 87,0 | 73,0 | 96,7 |
более 70 | Масса, кг | 6,5 | 2,7 | 3,8 |
| Влажность, % | 87,5 | 74,7 | 96,9 |
Примечания 1 Общую зольность экскрементов следует принимать 15%, плотность сухого вещества - 1400 кг/м3. 2 Содержание мочи, полученной на фермах и комплексах с проектным поголовьем, следует принимать 65% от общей массы экскрементов, содержание сухого вещества в моче - 17% от общей массы сухого вещества в экскрементах. 3 При многокомпонентном кормлении влажными мешанками количество экскрементов следует принимать на 30% больше приведенных в таблице. 4 Массу экскрементов на свиноводческих фермах и комплексах с законченным циклом производства в среднем на 1 голову (исключая поросят-сосунов) допускается принимать 4,5 кг, влажность - 88%. 5 Количество и влажность подстилочного навоза свиней определяется расчетным путем, исходя из условий содержания свиней, а также вида, влажности и количества добавляемой подстилки на одну голову в сутки. 6 Зоогигиенические нормы потребности подстилки (солома, древесные опилки) на одну голову в сутки для различных половозрастных групп свиней приведены в приложении Б. |
Половозрастные группы крупного рогатого скота | Показатели | Состав экскрементов |
всего | в том числе |
кал | моча |
Быки-производители | Масса, кг | 40,0 | 30,0 | 10,0 |
Влажность, % | 86,0 | 83,0 | 95,0 |
Коровы лактирующие стельные (сухостойные) и нетели за два месяца до отела | Масса, кг | 55,0 | 35,0 | 20,0 |
Влажность, % | 88,4 | 85,2 | 94,1 |
Телята: | | | | |
до 3 мес. | Масса, кг | 4,5 | 1,0 | 3,5 |
Влажность, % | 91,8 | 80,0 | 95,1 |
до 6 мес. на откорме до 4 мес. | Масса, кг | 7,5 | 5,0 | 2,5 |
Влажность, % | 87,4 | 83,0 | 96,2 |
на откорме с 4 до 6 мес. | Масса, кг | 14,0 | 10,0 | 4,0 |
Влажность, % | 87,2 | 83,5 | 96,5 |
Молодняк: телки и нетели | | | | |
6 - 12 мес. | Масса, кг | 14,0 | 10,0 | 4,0 |
Влажность, % | 87,2 | 83,5 | 96,5 |
12 - 18 мес. | Масса, кг | 27,0 | 20,0 | 7,0 |
Влажность, % | 86,7 | 83,5 | 96,0 |
На откорме: | | | | |
6 - 12 мес. | Масса, кг | 26,0 | 14,0 | 12,0 |
Влажность, % | 86,2 | 79,5 | 94,1 |
старше 12 мес. | Масса, кг | 35,0 | 23,0 | 12,0 |
Влажность, % | 84,9 | 80,1 | 94,2 |
Примечания 1 Плотность сухого вещества экскрементов следует принимать 1250 кг/м3, зольность сухого вещества - 16%. 2 Количество и влажность подстилочного навоза крупного рогатого скота определяется расчетным путем из условий содержания животных, а также вида, влажности и количества добавляемой подстилки на одну голову в сутки. 3 Зоогигиенические нормы потребности подстилки на одну голову в сутки для различных половозрастных групп крупного рогатого скота приведены в приложении Б. |
5.2 Расчетное количество навозных стоков, образующихся от одной головы на доильных площадках, составляет 20 л/сут, содержание экскрементов - 2 - 3% от их среднесуточного выхода
(таблица 3).
5.3 Количество помета, выделяемое птицей в сутки (в зависимости от вида и возраста), следует принимать по
таблице 4.
Виды и возрастная группа птиц | Выход помета, г/гол./сут | Расчетная влажность помета, % | Объемная масса помета, т/м3 |
1 | 2 | 3 | 4 |
ВЗРОСЛАЯ ПТИЦА |
Куры: | | | |
- яичные родительского и прародительского стада | 189 | 71 - 73 | 0,6 - 0,7 |
- яичные промышленного стада | 175 | 71 - 73 | 0,6 - 0,7 |
- мясные родительского стада | 276 - 300 | 71 - 73 | 0,6 - 0,7 |
Индейки | 450 | 64 - 66 | 0,6 - 0,7 |
Утки | 423 | 80 - 82 | 0,7 - 0,8 |
Гуси | 594 | 80 - 82 | 0,7 - 0,8 |
МОЛОДНЯК РЕМОНТНЫЙ |
Куры яичных пород в возрасте, недели: | | | |
1 - 4 | 24 | 66 - 74 | 0,6 - 0,7 |
5 - 9 | 97 | 66 - 74 | 0,6 - 0,7 |
10 - 17 | 176 | 66 - 74 | 0,6 - 0,7 |
Куры мясных пород в возрасте, недели: | | | |
1 - 8 | 140 | 66 - 74 | 0,6 - 0,7 |
9 - 18 (19) | 184 | 66 - 74 | 0,6 - 0,7 |
19 (20) - 26 | 288 | 66 - 74 | 0,6 - 0,7 |
Индейки в возрасте, недели: | | | |
1 - 17 | 378 | 70 - 72 | 0,6 - 0,7 |
18 - 33 (34) | 480 | 70 - 72 | 0,6 - 0,7 |
Гуси в возрасте, недели: | | | |
1 - 3 | 330 | 76 - 78 | 0,7 - 0,8 |
4 - 9 | 480 | 76 - 78 | 0,7 - 0,8 |
10 - 30 (27) | 495 | 76 - 78 | 0,7 - 0,8 |
31 (28) - 34 | 495 | 76 - 78 | 0,7 - 0,8 |
Утки в возрасте, недели: | | | |
1 - 7 (8) | 230 | 76 - 78 | 0,7 - 0,8 |
8 (9) - 21 | 210 | 76 - 78 | 0,7 - 0,8 |
22 - 26 (28) | 234 | 76 - 78 | 0,7 - 0,8 |
8 - 21 (тяжелый кросс) | 234 | 76 - 78 | 0,7 - 0,8 |
22 - 28 (тяжелый кросс) | 253 | 76 - 78 | 0,7 - 0,8 |
МОЛОДНЯК НА МЯСО |
Цыплята-бройлеры в возрасте, недели: | | | |
1 - 8 (в клетках) | 135 | 66 - 74 | 0,6 - 0,7 |
1 - 9 (на полу) | 158 | 66 - 74 | 0,6 - 0,7 |
Индейки в возрасте, недели: | | | |
1 - 8 | 175 | 70 - 72 | 0,6 - 0,7 |
9 - 16 | 364 | 70 - 72 | 0,6 - 0,7 |
9 - 23 | 420 | 70 - 72 | 0,6 - 0,7 |
Гуси в возрасте, недели: | | | |
1 - 3 | 352 | 76 - 78 | 0,7 - 0,8 |
4 - 9 | 480 | 76 - 78 | 0,7 - 0,8 |
Утки в возрасте, недели: | | | |
1 - 8 | 230 | 76 - 78 | 0,7 - 0,8 |
Примечания 1 Усушка помета взрослых кур, индеек и молодняка старше 60 дней при клеточном содержании составляет, %: через 12 ч - 13; через 24 ч - 27. 2 Усушка помета молодняка кур и индеек в возрасте 1 - 60 дней составляет, %: через 12 ч - 16; через 24 ч - 33. 3 Усушка помета кур и индеек (взрослых и молодняка при напольном содержании) составляет 50%; уток - 35%. 4 Объемная масса помета (при расчете пометохранилища) составляет 0,7 - 0,8 т/м3, зольность - 17,3%, влажность - 55 - 60%. 5 При содержании кур на подстилке в птичниках с пометными коробами следует считать: в коробах - 60% помета; на подстилке - 40%. 6 Количество и влажность подстилочного помета определяется расчетным путем из условий содержания птицы, а также вида, влажности и количества добавляемой подстилки на одну голову в сутки. 7 Нормы потребности подстилки на период выращивания птицы приведены в приложении Б. |
5.4 Отношение величин: химической потребности кислорода (ХПК) к массе органического вещества (ОВ); пятидневного биохимического потребления кислорода (БПК
5) и полного БПК к ХПК; БПК
5 к БПК для экскрементов свиней, крупного рогатого скота и помета кур следует принимать по
таблице 5.
Наименование | Значения | Отношение БПК5 к БПК |
ХПК от массы ОВ | БПК5 от величины ХПК | БПК от величины ХПК |
| 1,2 | 0,42 | 0,84 | 0,50 |
Экскременты крупного рогатого скота | 1,4 | 0,12 | 0,3 - 0,4 | 0,36 |
Помет куриный | 1,7 | 0,22 | 0,43 | 0,50 |
<*> Для свиноводческих ферм и комплексов, обеспеченных полнорационными комбикормами; при другом рационе кормления отношение величин следует определять расчетом или по результатам химических анализов состава экскрементов на действующих фермах и комплексах подобного типа. |
5.5 Удобрительная ценность бесподстилочного навоза и помета зависит от кормов, потребляемых животными и птицей, и должна определяться анализом.
Данные для предварительных расчетов приведены в
таблицах 6 и
7.
Наименование | Содержание в массе сухого вещества, % |
общий азот (N) | фосфор (P2O5) | калий (K2O) |
Экскременты свиней: | | | |
- общее содержание | 6,0 | 3,2 | 2,5 |
- в жидкой фракции | 3,3 | 0,32 | 1,25 |
- в твердой фракции | 2,7 | 2,88 | 1,25 |
Экскременты крупного рогатого скота: | | | |
- общее содержание | 3,2 | 1,8 | 5,0 |
- в жидкой фракции | 1,28 | 0,04 | 4,25 |
- в твердой фракции | 1,92 | 1,76 | 0,75 |
Помет без подстилки | 6,2 | 3,5 | 2,1 |
Помет с подстилкой | 3,6 | 3,4 | 2,0 |
Примечания 1 При определении удобрительной ценности различных видов бесподстилочного навоза допускается рассчитывать количество питательных веществ, исходя из содержания жидкости и сухого вещества в каждом из них. При этом содержание общего азота в жидкой фракции бесподстилочного навоза свиней следует принимать 55%, жидкой фракции бесподстилочного навоза крупного рогатого скота - 40%, фосфора соответственно - 10% и 2%, калия - 50% и 85%. 2 Содержание аммонийного азота в бесподстилочном помете составляет 25%. |
Наименование | Средняя влажность, % | Содержание в массе сырого вещества, % |
Азот | Фосфор (P2O5) | Калий (K2O) |
общий | аммонийный | нитратный |
Бесподстилочный помет: |
- куриный | 71 - 73 | 1,7 - 1,9 | 0,05 | - | 1,8 - 2,0 | 0,5 - 0,6 |
- индюшиный | 64 - 66 | 0,8 - 0,9 | 0,08 | - | 0,6 - 0,7 | 0,5 - 0,6 |
- гусиный | 80 - 82 | 0,6 - 0,8 | 0,10 | - | 0,5 - 0,6 | 0,8 - 1,0 |
- утиный | 80 - 82 | 0,9 - 1,0 | 0,10 | - | 1,1 - 1,5 | 0,3 - 0,4 |
Подстилочный помет: |
- из торфа | 48 | 2,05 | 0,61 | 0,100 | 1,90 | 0,80 |
- из опилок | 23 | 2,05 | 0,30 | 0,004 | 1,78 | 0,80 |
- из торфа плюс 20% из опилок | 31 | 1,81 | 0,64 | 0,020 | 2,32 | 0,93 |
- из торфа плюс 20% соломы | 35 | 2,43 | 0,55 | 0,100 | 1,79 | 0,70 |
Примечания 1 Содержание в бесподстилочном помете: щавелевой кислоты 1,0 - 1,5%; общее содержание кислот - 1,5 - 2,0%; pH - 5,5 - 6,0. 2 При хранении бесподстилочного помета его pH становится щелочным и находится в пределах 8,0 - 9,0. |
6 УДАЛЕНИЕ НАВОЗА И ПОМЕТА ИЗ ПОМЕЩЕНИЙ
6.1 Удаление навоза и его транспортирование за пределы животноводческих помещений должно производиться механическими (скребковыми, штанговыми и шнековыми транспортерами, скреперными установками возвратно-поступательного действия, а также бульдозерами разных типов) и гидравлическими (самотечными системами непрерывного и периодического действия, а также прямым смывом водой) способами.
Способ прямого смыва водой применяют в порядке исключения, так как он связан с большим расходом воды.
При гидравлических способах удаления навоза следует предусматривать вентиляцию навозных каналов.
Механические способы удаления и транспортирования навоза следует проектировать:
- на фермах и комплексах крупного рогатого скота при стойловом и стойлово-пастбищном содержании животных, с применением подстилки, в родильных отделениях, профилакториях, при подпольном хранении навоза при стойлово-пастбищном содержании животных и на открытых откормочных площадках;
- на свиноводческих фермах и комплексах мощностью до 24 тыс. голов в год, использующих корма собственного производства и пищевые отходы, и в свинарниках-маточниках;
- на фермах и комплексах крупного рогатого скота молочного направления при беспривязном содержании животных.
6.2 Ширина и глубина продольных навозных каналов при механических способах удаления навоза должны соответствовать размерам применяемых механических средств и быть не менее 300 и 400 мм соответственно.
При проектировании каналов трапецеидального сечения уклон боковых стенок должен быть не менее 60°.
6.3 Шнековая система удаления навоза используется в продольных и поперечных каналах.
Объем продольного канала принимается из расчета накопления двухсуточного количества навоза.
Продольные каналы под шнековые транспортеры перекрываются металлическими решетками шириной не менее 500 мм. Перепад между витками продольного и поперечного шнекового транспортера должен составлять 150 - 200 мм.
Угол наклона боковых стенок канала к вертикали должен быть не более 23°.
На дно канала укладываются закладные из стальной полутрубы диаметром, соответствующим диаметру шнека. Допускается укладка закладных длиной по 3 м, с шагом через 3 м.
Поперечные шнековые транспортеры могут обслуживать несколько животноводческих помещений. Максимальная длина шнекового транспортера - 150 м.
6.4 Штанговые транспортеры с гидравлическим приводом используются для уборки навоза из продольных каналов в поперечные во всех типах животноводческих ферм и комплексов.
Ширина продольного канала при использовании штанговых транспортеров может составлять 300 - 500 мм, глубина до 400 мм, длина до 150 м. От одной гидравлической станции может осуществляться привод до четырех тяговых контуров.
6.5 Для уборки навоза на фермах и комплексах крупного рогатого скота при беспривязном содержании животных, а также из каналов, перекрытых решетчатыми полами на всех типах животноводческих ферм и комплексов рекомендуется использовать автоматизированные скреперные установки с гидравлическим приводом, тяговым контуром в виде стальной полосы и пошаговым перемещением скребков по оси канала. При этом длина канала может достигать 150 м, ширина 3 м, а место расположения поперечного канала - посередине продольного канала или в его торце.
6.6 Самотечную систему навозоудаления непрерывного действия следует применять:
- в животноводческих помещениях для крупного рогатого скота при содержании животных без подстилки и кормлении силосом, корнеклубнеплодами, бардой, жомом и зеленой массой;
- в свинарниках при кормлении животных текучими и сухими кормами без использования комбисилоса и зеленой массы.
Самотечную систему непрерывного действия не следует применять в свинарниках-маточниках.
Самотечная система непрерывного действия обеспечивает удаление навоза за счет сползания его по естественному уклону, образующемуся в каналах.
Надежная работа такой системы обеспечивается при:
- влажности навоза 88 - 92%;
- исключении попадания кормов в каналы;
- их герметичности.
Продольные каналы следует выполнять без уклона. В их конце необходимо устанавливать герметичные порожки, которые рекомендуется делать съемными или поворотными.
Высота порожков должна быть равна 80 - 150 мм. При съемных порожках допускается уклон 0,003. Высота порожка в этом случае должна перекрывать перепад глубины канала на 60 - 80 мм. Для гидравлического испытания каналов и пуска системы следует предусматривать установку шиберов.
6.7 Самотечная система навозоудаления периодического действия может применяться на всех животноводческих фермах и комплексах при бесподстилочном содержании животных.
6.8 Такая система обеспечивает удаление навоза за счет его накопления в продольных каналах, оборудованных шиберами, установленными на выпуске навоза в поперечный канал.
Продольные каналы следует проектировать с уклоном не менее 0,005.
Объем продольных каналов должен обеспечивать накопление навоза в течение 7 - 14 дней.
В конце продольных каналов, где осуществляется выпуск навоза в поперечные каналы и лотки, у шиберов, ширина которых превышает 1 м, допускается сужение продольных каналов.
Надежная работа системы периодического действия обеспечивается при влажности навоза не менее 96,5%.
6.9 На свиноводческих фермах и комплексах при кормлении животных концентрированными кормами и комбикормами допускается применение самотечной системы навозоудаления периодического действия секционного типа с установкой по длине каналов поперечных перегородок.
Длина секций принимается 6 - 10 м, начиная от шибера, устанавливаемого на подключении продольного канала к поперечному.
Ширина зазора между дном продольного канала и низом перегородки должна составлять 200 - 250 мм.
В целях повышения эффекта смыва оставшегося осадка после открытия шибера целесообразно предусматривать секционную систему с закольцованными продольными каналами.
В этом случае глухие торцы продольных каналов в нижней части попарно соединяются каналом высотой не менее 300 мм и шириной, равной ширине продольных каналов.
Уклон продольного канала при секционной системе следует принимать 0,005, но допускается устройство канала без уклона.
6.10 Разновидностью самотечных систем удаления навоза периодического действия в свинарниках является система, в которой навозоприемный канал разделен бетонными перегородками на ванны.
Ванны навозоприемного канала имеют длину 6 - 9 м, ширину 0,8 - 2,5 м и глубину 0,4 - 0,6 м. Дно ванны выполняется без уклона. Под каждым навозоприемным каналом прокладывается пластмассовый продольный коллектор, состоящий из пластмассовых канализационных труб диаметром 200 - 250 мм. Навозоприемные каналы в помещениях свинарников перекрываются панелями решетчатого пола.
Каждая бетонная ванна соединяется с пластмассовым продольным коллектором через находящийся в средней части ванны пластмассовый тройник. Отверстие тройника закрывается заслонкой пробкового типа. Вокруг каждого тройника устраивается приямок радиусом 500 мм и глубиной 100 мм.
Начало каждого продольного коллектора оборудуется воздушным клапаном. Продольные коллекторы соединяются с поперечным коллектором через переходник, отвод или тройник.
Продольный коллектор прокладывается под навозоприемным каналом с уклоном 0,0035 - 0,0040 в сторону поперечного коллектора или навозоприемника, находящегося за пределами свинарника. На коллекторе перед навозоприемником предусматривается установка шибера.
Перед запуском системы навозоудаления в эксплуатацию необходимо разовое водонаполнение бетонных ванн и их испытание на герметичность и водопроницаемость материала. Во время испытаний тройники закрывают пробками, а каналы на всю глубину заполняются водой. Во время испытаний в течение суток допускается незначительное понижение уровня воды в канале вследствие насыщения бетона канала водой. После испытания на герметичность вода, как условно чистая, сливается в ливневую канализацию. При этом в канале для пуска системы остается слой воды высотой 100 мм для того, чтобы накапливающийся навоз не прилипал к стенкам и дну.
Навоз через решетчатый пол поступает в ванны и накапливается благодаря заслонкам пробкового типа, герметично закрывающим тройники. Рекомендуемый срок накопления навоза 14 дней.
По истечении двух недель пробки последовательно открывают вручную - сначала самую дальнюю от поперечного коллектора или навозоприемника, а затем пробки по мере приближения к нему. Навоз под действием силы тяжести и гидростатического напора поступает в продольный и поперечный коллекторы и далее в навозоприемник.
Для эффективного и качественного удаления навоза из ванны необходимо после открытия пробки через 5 - 10 с закрыть ее и через 5 с снова открыть. Эта операция обеспечивает частичное перемешивание навозной массы, что способствует меньшему образованию остаточного навоза на дне ванн. После того, как навоз удален самотеком, пробку закрывают.
После завершения каждого производственного цикла осуществляется мойка и дезинфекция навозоприемных каналов и станочного оборудования. Вода, использованная для мойки и дезинфекции, остается в ваннах для подготовки следующего цикла накопления навоза.
6.11 Гидросмывную систему удаления и транспортирования навоза допускается применять в исключительных случаях, только при реконструкции и расширении крупных свиноводческих комплексов (54 тыс. свиней и более в год) при невозможности применения других способов и технических средств для удаления навоза, а также с учетом утилизации всех его компонентов.
В соответствии с требованиями
СП 4542 для гидросмыва должна использоваться непитьевая вода.
Примечание - Применение гидросмывной системы удаления навоза для нового строительства допускается при соответствующем обосновании и согласовании с органами государственного экологического контроля, ветеринарного и санитарного надзора.
6.12 При гидросмывной системе удаления и транспортирования навоза следует применять установки (напорные бачки) для смыва навоза в каналах, перекрытых решетками, и установки поверхностного смыва навоза с площадок дефекации.
6.13 Длину продольного навозного канала, обслуживаемого одним бачком, следует принимать не более 50 м. Уклон канала принимается в пределах 0,005 - 0,02.
6.14 Установки поверхностного смыва навоза в свинарниках группового содержания животных должны обеспечивать под напором удаление навоза с пола в зоне дефекации, имеющей ширину 1 - 1,8 м, длину до 3 м (толщина слоя экскрементов 5 - 6 см и уклон пола 0,01).
6.15 Ширину и длину продольных каналов для гидравлических способов удаления навоза следует принимать по
таблицам 8 и
9.
Система удаления навоза из животноводческих помещений | Минимальная ширина продольных каналов по верху при содержании, м |
крупного рогатого скота | свиней в групповых клетках |
привязном | беспривязном | поросят-отъемышей и ремонтного молодняка | взрослых свиней |
Самотечная система: | | | | |
- непрерывного действия | 0,8 | 1,5 | 0,7 | 0,9 |
- периодического действия | 0,8 | 1,5 | 0,7 | 0,9 |
Гидросмывная система | - | - | 0,6 | 0,7 |
Примечание - При содержании животных на сплошных решетчатых полах ширину продольных каналов для самотечной системы непрерывного действия следует принимать: - в свинарниках - до 2,4 м; - в коровниках - до 3,5 м исходя из размеров станков (поголовья животных). |
Система удаления навоза из животноводческих помещений | Максимальная длина продольных каналов при содержании, м |
крупного рогатого скота | свиней в групповых клетках |
привязном | беспривязном | поросят-отъемышей и ремонтного молодняка | взрослых свиней |
Самотечная система: | | | | |
- непрерывного действия | 30 | 40 | 30 | 40 |
- периодического действия | 30 | 50 | 30 | 40 |
Гидросмывная система: | - | - | 50 | 100 |
- периодического действия | 30 | 50 | 30 | 40 |
6.16 Глубину продольных каналов определяют в соответствии с
таблицей 10.
При устройстве вентиляционных воздухозаборов в навозных каналах глубина этих каналов между низом решетчатого пола и максимальным уровнем поверхности навоза в начальной части канала (за исключением гидросмывной системы) должна увеличиваться:
- для системы периодического действия - на 350 мм;
- для системы непрерывного действия - на 250 мм.
Длина продольного канала, м | Минимальная глубина продольного канала, м |
Самотечная система непрерывного действия в помещениях для содержания |
дойных коров | молодняка и бычков на откорме | нетелей и сухостойных коров | свиней в групповых станках |
10 | 0,7 | 0,7 | 0,8 | 0,8 |
15 | 0,8 | 0,9 | 1,0 | 0,9 |
20 | 0,9 | 1,1 | 1,2 | 1,0 |
25 | 1,0 | 1,3 | 1,4 | 1,1 |
30 | 1,1 | 1,45 | 1,55 | 1,2 |
До 40 | 1,25 | 1,8 | 1,9 | 1,3 |
До 50 | - | - | - | - |
До 100 | - | | - | - |
Примечания 1 При самотечной системе периодического действия минимальная глубина продольного канала в помещениях для молочного скота и свиней, содержащихся в групповых станках, составляет 0,8 м. 2 При гидросмывной системе минимальная глубина продольного канала в помещениях для свиней, содержащихся в групповых станках, составляет 0,6 м. |
6.17 Поперечные каналы, к которым примыкают продольные, рекомендуется прокладывать под коридорами, разделяющими секции содержания животных. За пределами животноводческих помещений поперечные каналы (коллекторы) должны выполняться из труб диаметром не менее 500 мм. Переход канала в трубу должен осуществляться плавно с перепадом 0,1 м. В каналах следует устанавливать вытяжные стояки диаметром 150 мм через 50 м. Перепад в местах примыкания продольных каналов к поперечным должен составлять не менее 300 мм.
Уклон поперечных каналов в пределах здания при самотечной системе периодического действия в зависимости от размеров каналов, влажности навоза, рельефа и гидрогеологических условий следует принимать 0,01 - 0,30. При самотечной системе непрерывного действия в пределах зданий для крупного рогатого скота до приемных емкостей допускается применение поперечных каналов с порожком без уклона; их глубина в этом случае должна обеспечивать возможность создания гидравлического уклона поверхности навоза 0,02 без образования подпора навозу, вытекающему из продольных каналов.
6.18 В животноводческих помещениях в местах примыкания продольных каналов к поперечным следует предусматривать смотровые люки, а по трассе коллекторов вне здания смотровые колодцы, которые должны быть расположены на расстоянии не более 50 м друг от друга. Диаметр колодцев должен быть не менее 1 м.
В колодцах с присоединением или поворотом отводящие трубы должны укладываться на 0,1 м глубже, чем подводящие, с плавным переходом лотка, без уступов. Повороты лотков должны выполняться радиусом не менее 1,5 - 2,0 диаметра трубы.
6.19 В конце продольных каналов следует предусматривать установку шторок для исключения сквозняков и проникновения вредных газов из магистральных каналов животноводческих помещений, а при гидросмывной системе - устройство гидрозатворов. Их установка должна решаться совместно с системой вентиляции.
Количество воздуха, удаляемого из каналов, должно быть для ферм и комплексов крупного рогатого скота не менее 30%, свиноводческих - не менее 50% минимального расчетного воздухообмена.
При размещении навозохранилищ под помещениями для содержания крупного рогатого скота количество удаляемого воздуха из этих навозохранилищ должно быть не менее 50% минимального расчетного воздухообмена.
6.20 Расход производственной воды для удаления навоза и промывки каналов следует принимать по
таблице 11.
Для промывки и дезинфекции решеток, пола и станков животноводческих помещений следует принимать высоконапорные моечные машины типа ОМ-22613 (развивающие при смыве давление до 14 МПа и при дезинфекции - 1,6 МПа), что обусловливает снижение объема жидкого навоза и навозных стоков.
6.21 Величина минимальной расчетной скорости течения жидкого навоза по трубам и поперечным каналам при их промывке должна приниматься не ниже величины самоочищающих скоростей (1,1 - 1,2 м/с).
Система удаления навоза из животноводческих помещений | Норма расхода воды на одно животное, л/сут |
свиньи | крупный рогатый скот |
при групповом содержании | на фермах откорма и нетелей | на фермах молочного направления |
Самотечная система: | | | |
- непрерывного действия | 1,5 | 18 | 15 |
- периодического действия | 7,0 | 15 | 30 |
Гидросмывная система: | | | |
- баки, насадки | 20,0 | - | - |
Примечания 1 Расход воды дан без учета поступления ее в каналы от подтекания поилок, мытья полов и др. 2 Коэффициент суточной неравномерности расхода воды на свиноводческих фермах и комплексах следует принимать 1,25. |
6.22 Для удаления навоза из помещений должна использоваться, как правило, производственная вода.
В помещениях откорма молодняка крупного рогатого скота старше 3-месячного возраста, оборудованных самотечными системами навозоудаления периодического действия, допускается использование жидкой неинфицированной фракции навоза (рециркуляция), прошедшей карантинирование. При этом жидкая фракция должна подаваться в продольные каналы под слой навоза ("затопленная струя") с целью исключения ее разбрызгивания и попадания брызг на лицевую сторону пола.
Примечание - При возникновении на фермах и комплексах крупного рогатого скота эпизоотических ситуаций применение жидкой неинфицированной фракции в системе рециркуляции не допускается; смыв навоза из каналов в этом случае должен производиться производственной водой.
6.23 Сбор и удаление бесподстилочного помета из птичников следует осуществлять механизмами, входящими в комплект оборудования для выращивания и содержания птицы, 2 раза в сутки; подстилочного помета - мобильными транспортными средствами или вручную после освобождения птичников.
Примечание - Размеры продольных и поперечных пометных каналов при удалении бесподстилочного помета определяются габаритами механизмов, применяемых для его уборки и удаления.
6.24 Выгрузку бесподстилочного помета из птичников следует осуществлять непосредственно в мобильные (закрытые) транспортные средства или специальные наземные бункеры-накопители.
7 ТРАНСПОРТИРОВАНИЕ НАВОЗА И ПОМЕТА
7.1 Транспортирование навоза, помета, навозо- и пометосодержащих стоков от животноводческих и птицеводческих помещений до сооружений сбора, карантинирования, обеззараживания и подготовки к использованию должно осуществляться в зависимости от принятого способа удаления навоза из помещений стационарными транспортными средствами, мобильным или гидравлическим транспортом с учетом структуры транспортируемой массы.
Стационарные транспортные средства следует применять для подачи навоза от механических средств навозоудаления, расположенных в животноводческих помещениях, в навозосборники и прифермские навозохранилища.
Мобильный транспорт следует использовать для транспортирования подстилочного, полужидкого и жидкого навоза.
Гидравлический транспорт следует проектировать для транспортирования жидкого навоза, навозных стоков, жидкой фракции и других продуктов очистки и переработки навозных стоков после механического или гравитационного разделения исходного навоза.
7.2 Навозоприемники (приемные резервуары насосных станций) для всех типоразмеров животноводческих ферм и комплексов, предназначенные для приема навоза из животноводческих зданий, как правило, следует располагать за пределами животноводческих зданий. Вместимость приемных резервуаров насосных станций следует назначать исходя из режимов притока и откачки навоза.
7.3 На животноводческих фермах и комплексах с гидравлическими способами удаления навоза навозоприемники (приемные резервуары) должны быть оборудованы погружными насосами для перемешивания навоза и перекачки его на сооружения обработки и подготовки к использованию.
Для перемешивания навоза в навозоприемнике могут применяться специализированные стационарные мешалки-гомогенизаторы.
7.4 Для животноводческих ферм, комплексов и птицеводческих предприятий с гидравлическими способами удаления навоза из помещений объем навозоприемника следует рассчитывать на сбор не менее половины расчетного суточного объема навоза или помета.
Навозоприемник (приемный резервуар насосной станции) должен быть оборудован решетками с прозорами (не менее 8 мм и не более 50 мм) и механическими или гидравлическими устройствами для перемешивания навозных стоков, предотвращающими выпадение осадка.
Коэффициент неравномерности притока навозных стоков в приемный резервуар для свиноводческих ферм и комплексов с гидросмывной системой удаления навоза из помещений следует принимать 2,2.
На подводящем коллекторе в навозоприемник или в резервуар-усреднитель следует предусматривать запорные устройства (шибер, задвижки, дисковый затвор и др.).
7.5 Для перекачки жидкого навоза, навозных стоков и жидкой фракции навоза следует использовать погружные и горизонтальные насосы для жидкостей с посторонними включениями. При этом эксплуатационная характеристика горизонтальных насосов по производительности должна быть снижена на 20%.
7.6 Для перекачки неразделенного жидкого навоза следует предусматривать насосы с измельчающими устройствами.
Горизонтальные насосы следует устанавливать под заливом.
Для перекачки жидкой фракции навоза допускается установка горизонтальных центробежных насосов не под заливом, но с установкой на всасывающем трубопроводе герметичных вакуум-баков, обеспечивающих необходимый подъем стоков из подземных резервуаров.
Диаметр всасывающего навозопровода следует принимать не менее 200 мм, напорного - не менее 150 мм.
7.7 Для перекачки жидкой фракции навоза в зависимости от периода года и продолжительности эксплуатации допускается использование сборно-разборных и стационарных навозопроводов.
Глубина заложения стационарных навозопроводов должна исключать замерзание стоков в них.
Трубы следует укладывать с уклоном не менее 0,002, обеспечивающим возможность опорожнения всего навозопровода в специальные колодцы.
7.8 Для навозопроводов, работающих при давлении до 1,0 МПа (10 атм), следует принимать хризотилцементные, чугунные, железобетонные и пластмассовые трубы.
При соответствующем обосновании допускается прокладка напорных навозопроводов из стальных труб. Для мобильных навозопроводов следует принимать армированные прорезиненные или полиэтиленовые трубы.
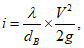
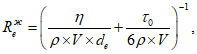
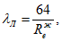
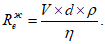
7.9 Гидравлический расчет напорных навозопроводов следует проводить в зависимости от влажности навоза или помета в соответствии с
СП 32.13330,
РД-АПК 3.10.15.01 и Справочным пособием "Таблицы для гидравлического расчета стальных, чугунных и асбоцементных напорных трубопроводов". Методика гидравлического расчета напорных навозопроводов для перекачки бесподстилочного навоза приведена в
приложении В.
7.10 На поворотах и прямых участках напорного навозопровода через 200 - 500 м необходимо предусматривать устройство контрольных смотровых колодцев с ревизией; в низких точках напорных навозопроводов следует предусматривать выпуски, а в высоких - вантузы в колодцах.
7.11 С целью исключения образования осадка (заиливания) внутри напорных труб следует предусматривать возможность промывки напорных навозопроводов производственной водой или осветленной жидкой фракцией навоза, либо продувки воздухом низкого давления с использованием продувочных шаров или поршней.
7.12 Транспортирование подстилочного и бесподстилочного помета от птичников к месту хранения и подготовки к использованию следует производить мобильным транспортом или транспортером.
7.13 Загрузку мобильного транспорта пометом следует предусматривать механизмами для удаления помета из птичников.
7.14 Транспортирование бесподстилочного помета механическим способом следует осуществлять по утепленным галереям, расположенным ниже нулевой отметки и выполненным с гидроизоляцией, исключающей инфильтрацию пометной жижи в грунт.
Галереи должны быть изолированы от влияния внешней среды (атмосферных осадков, перепада температур и т.д.) и иметь ревизионные колодцы через каждые 10 м.
При применении цепно-дисковых транспортеров следует использовать трубопроводы с теплоизоляцией и прокладывать их выше нулевой отметки с окнами для ревизии через каждые 10 м.
8 РАЗДЕЛЕНИЕ НАВОЗА И ПОМЕТА НА ФРАКЦИИ
8.1 Разделению на твердую и жидкую фракции подвергаются жидкий навоз и навозные стоки на свиноводческих фермах и комплексах мощностью 6 тыс. свиней и более в год и на фермах и комплексах крупного рогатого скота по производству говядины на 1 тыс. скотомест и более.
8.2 Целесообразность разделения жидкого навоза, жидкого помета, навозных, а также пометных стоков на фракции независимо от мощности фермы, комплекса, предприятия в каждом конкретном случае должна быть дополнительно определена исходя из их влажности, требований к дальнейшей обработке, хранению и использованию.
8.3 Разделение жидкого навоза и навозных стоков на фракции следует проводить гравитационным, механическим и комбинированным способами.
Гравитационный способ разделения следует применять:
- на фермах и комплексах крупного рогатого скота - в секциях навозохранилищ;
- на свиноводческих фермах и комплексах - в горизонтальных отстойниках-накопителях, вертикальных и радиальных отстойниках.
8.4 Для механического разделения жидкого навоза и навозных стоков на фракции следует применять установки для отделения крупнодисперсных частиц (дуговые сита, виброгрохоты и др.), сгустители, процеживатели, различные центрифуги и прессующие установки (шнековые пресс-сепараторы типа СУ и др.).
8.5 Для механического разделения жидкого помета влажностью 90 - 98% следует применять сгустители (центрифуги) типа СВД, шнековые пресс-сепараторы типа СМ. Эффективность разделения жидкого помета сгустителями типа СВД: 45 - 60%, влажность твердой фракции до 75%; сепараторами типа СМ: 65 - 70%, влажность твердой фракции до 72%.
8.6 Эффективность дуговых сит при разделении навозных стоков свиноводческих ферм и комплексов влажностью до 98,9% следует принимать 24,5% по сухому веществу, при влажности 97,8% - 25,8% и при разделении жидкого свиного навоза влажностью 96% - 35,0%. Влажность отделяемой твердой фракции навозных стоков свиноводческих ферм и комплексов после дуговых сит следует принимать 85%.
8.7 При разделении на дуговых ситах осадка из первичных отстойников влажностью 93 - 94% (без предварительного разделения свиных навозных стоков на фракции) и при расходе 35 м3/ч эффективность разделения по сухому веществу следует принимать 41%, а влажность твердой фракции - 88%.
Эффективность разделения шнековым пресс-сепаратором типа СМ 260.300 жидких стоков навоза свиней и крупного рогатого скота (при влажности 88 - 97%) составляет 80% при влажности твердой фракции 72%. При разделении жидких стоков навоза и помета на фракции рекомендуемый размер прозора ячейки ситового цилиндра для шнековых пресс-сепараторов типа СМ:
- для навоза крупного рогатого скота - 0,75 мм;
- для навоза свиней - 0,5 мм;
- для помета, а также навоза свиней на доращивании - 0,25 мм.
8.8 Эффективность разделения жидкого навоза свиней и крупного рогатого скота и навозных стоков на центрифугах типов ЦН и УОН (при влажности 98%) составляет 45% по сухому веществу, влажность твердой фракции - 82%.
При разделении на фракции диаметр отверстий сетки составляет:
- для жидкого навоза крупного рогатого скота - 1,8 - 2,5 мм;
- для жидкого навоза свиней - 1 - 1,8 мм.
8.9 Эффективность разделения по сухому веществу на виброгрохотах типа ГБН-100 с отверстиями сит 1 и 2 мм и подаче жидкого навоза и навозных стоков крупного рогатого скота следует принимать:
- при влажности стоков 93% и подаче до 50 м3/ч - 45%;
- при влажности стоков 99% и подаче 100 м3/ч - 24,9%. Влажность твердой фракции следует принимать 88%.
8.10 Эффективность разделения навозных стоков крупного рогатого скота по сухому веществу на сгустителях типа СВД при подаче до 50 м3/ч составляет: при влажности стоков до 95% - 55 - 60% и влажности стоков 96 - 98% - 40%. Влажность твердой фракции не более 80%.
8.11 Эффективность разделения навозных и пометных стоков на процеживателях типа ПСЖ при влажности стоков 97 - 98,5% составляет 70%. Влажность твердой фракции - 82 - 88%.
8.12 Обезвоживание твердой фракции, полученной после механического разделения жидкого навоза и навозных стоков свиноводческих ферм и комплексов на дуговых ситах, центрифугах и процеживателях, следует производить в бункерах-дозаторах или при помощи винтовых прессов.
Обезвоживание твердой фракции, полученной после разделения стоков навоза и помета на шнековых пресс-сепараторах типа СМ и сепараторах, не требуется.
Влажность твердой фракции свиного жидкого навоза после гравитационного обезвоживания в бункерах-дозаторах следует принимать 75%, на винтовых прессах типа ВПО - до 70%, типа ПЖН - до 75%, содержание сухого вещества в жидкой фракции (фугате) до 8% от исходного содержания его в твердой фракции.
8.13 При разделении жидкого свиного навоза влажностью от 96,5% до 97,5% и навозных стоков в вертикальных отстойниках непрерывного действия с продолжительностью отстаивания до 3 - 4 ч эффективность отстаивания по сухому веществу следует принимать до 75%, влажность осадка - около 94%.
Угол наклона конической части отстойника следует принимать 60°. Количество отстойников должно быть не менее двух.
Отстойники должны быть оборудованы распределительными камерами, устройствами для гашения пены и удаления всплывающих на поверхность взвешенных частиц.
Влажность навозных стоков, направляемых на осветление после механического разделения в вертикальные, горизонтальные и радиальные отстойники, должна составлять не менее 97%.
Влажность образующихся осадков при продолжительности отстаивания не менее 3 ч составляет не менее 96%. При этом предпочтение следует отдавать радиальным отстойникам с эффективностью осветления стоков 70%.
8.14 Удаление осадков навозных стоков из отстойников осуществляют гидростатическими и механическими способами.
Гидростатический напор для удаления осадков из вертикальных отстойников при отстаивании стоков, прошедших дуговое сито или барабанный сепаратор, следует принимать 1,8 м, считая до оси иловой трубы. Диаметр иловой трубы следует принимать 200 мм.
При подаче в вертикальные отстойники навозных стоков без предварительной механической обработки выпуск осадка следует предусматривать снизу отстойников. В этом случае необходимо предусмотреть возможность обратной промывки илопроводов.
При удалении осадка из первичных отстойников механическим способом целесообразно применение плунжерных или винтовых насосов и устройств для пульсодозированной выгрузки и др.
8.15 При разделении жидкого свиного навоза в горизонтальных секционных отстойниках-накопителях периодического действия, оборудованных донным дренажом, водосливными и шандорными устройствами, глубина которых не должна превышать 2 м, их эффективность по сухому веществу следует принимать 65%. Влажность задерживаемой в отстойниках-накопителях (с помощью водосливных устройств и шандоров при закрытом дренаже) твердой фракции следует принимать 90%, после гравитационного обезвоживания осадка при открытом донном дренаже - 75%.
Рабочий объем отстойников-накопителей должен определяться исходя из природно-климатических условий местности и режима эксплуатации, определяющих время оборота отстойников. Для ориентировочных расчетов удельный объем отстойников-накопителей принимают из расчета 1 м3 на одну голову единовременно находящегося на ферме и комплексе поголовья свиней (включая поросят-сосунов), годовое количество оборотов отстойников-накопителей для условий второй строительно-климатической зоны следует принимать не более двух.
Дренажные каналы отстойников-накопителей перед подачей навозной массы должны быть заполнены производственной водой или осветленной жидкой фракцией навоза, а по завершении оборотного цикла - подвергаться обратной промывке.
В целях предотвращения замерзания напорного навозопровода подачу стоков следует, как правило, предусматривать снизу отстойника-накопителя.
В отстойниках-накопителях необходимо предусматривать:
- надежную гидроизоляцию и твердое покрытие (бетон, железобетон, асфальтобетон и др.) стенок и днища;
- съезды для транспортных средств с уклоном 1:5;
- донный дренаж из перфорированных труб диаметром не менее 100 мм, уложенных с уклоном 0,003, обсыпанных фильтрующим слоем из гальки или щебня диаметром 50 - 70 мм с минимальной начальной глубиной заложения труб не менее 0,7 м.
9 КОМПОСТИРОВАНИЕ НАВОЗА И ПОМЕТА
9.1 Снижение влажности полужидкого и подстилочного навоза и твердой фракции с целью подготовки их к биотермической обработке для обеззараживания от возбудителей инфекционных, инвазионных заболеваний и девитализации (дегельминтизация и ликвидация всхожести семян сорных трав) возможно при организации на животноводческих фермах и комплексах, птицеводческих предприятиях производства компостов.
Компостированию целесообразно подвергать все виды навоза и помета влажностью до 92%.
Примечания
1 Необходимость компостирования навоза и помета влажностью более 92% должна быть обоснована технико-экономическим расчетом с учетом наличия достаточного количества влагопоглощающего наполнителя соответствующего качества, принятой системы земледелия, экологического состояния почв, гидрогеологических и других местных условий.
2 Компостирование твердой фракции навоза и помета при влажности не более 75% осуществляется в чистом виде без добавления влагопоглощающих наполнителей.
9.2 Для компостирования навоза и помета в качестве влагопоглощающего наполнителя могут быть использованы: торф, солома, опилки и другие органические влагопоглощающие компоненты, приведенные в
приложении Г.
Для активного и эффективного протекания биотермических процессов в компостах должно в одинаковой мере соблюдаться каждое из следующих условий:
- оптимальная влажность компостной смеси 65 - 70%;
- соотношение компонентов не менее 1:1;
- высокая гомогенность смеси;
- оптимальная реакция среды pH 6,5 - 7,7;
- достаточная аэрация массы в процессе компостирования, т.е. рыхлая укладка буртов;
- положительный тепловой баланс, оптимальное соотношение C:N (углерода к азоту) (20 - 30):1.
Исходная влажность компонентов для приготовления компостов должна составлять, не более:
а) - навоза - 92%;
- торфа - 60%;
- сапропеля - 50%;
- отходов деревообработки - 40 - 50%;
- соломы - 24%.
б) - помета - 64 - 82%;
- торфа - 50 - 60%;
- соломы - 14 - 16%;
- опилок - 16 - 25%;
- древесной коры - 50 - 60%;
- лигнина - 60%;
- гумусных грунтов - 20 - 30%.
Примечания
| | ИС МЕГАНОРМ: примечание. В официальном тексте документа, видимо, допущена опечатка: имеется в виду ГОСТ Р 51661.1, а не ГОСТ Р 51661. | |
1 Зольность торфа - 10 - 25%, остальные параметры - в соответствии с ГОСТ Р 51661.
2 Зольность соломы не более 20%, размеры частиц - до 200 мм. Для измельчения соломы могут быть использованы агрегаты ПИК-Ф-10, ИРТ-165, ЛИС-3А и ФН-1.4.
3 Влагопоглощающая способность компонентов-наполнителей должна быть не менее 200%.
9.3 Производство компостных смесей может осуществляться в стационарных цехах, специальных хранилищах, на прифермских открытых гидроизолированных площадках или в процессе уборки навоза и помета из помещений. В последнем случае используются питатели влагопоглощающих материалов на базе разбрасывателей органических удобрений с приспособлением для измельчения длинностебельчатых материалов, питатели-дозаторы минеральных компонентов и смесители шнекового типа.
В теплый период года приготовление компостных смесей можно осуществлять на специально подготовленных гидроизолированных полевых площадках, размещаемых в районе удобряемых компостом сельскохозяйственных угодий.
9.4 Технологический процесс компостирования навоза и помета осуществляется пассивным и активным способами.
Режим компостирования в каждом конкретном случае назначают в зависимости от исходных параметров компостируемой смеси, природно-климатических условий, требований к готовому компосту, эпизоотической ситуации на животноводческих фермах и комплексах, на птицеводческих предприятиях и экологической обстановки.
9.5 При пассивном (традиционном) способе технологический процесс компостирования осуществляют в естественных условиях в буртах на прифермских и полевых площадках.
Технологический процесс компостирования пассивным способом предусматривает смешивание компонентов смеси, формирование буртов, выдерживание смеси в буртах, ее аэрацию и хранение готового компоста.
Размеры компостных буртов зависят от вида принятого влагопоглощающего наполнителя. При использовании торфа, опилок, коры, лигнина высота буртов должна быть 2 - 2,5 м, соломы - 3 м, ширина - 2,5 - 6 м. Длина бурта - произвольная, общая масса компостной смеси для одного бурта не менее 100 т. Между рядами буртов необходимо предусматривать технологические проезды шириной 2,5 - 3 м.
Время выдерживания навоза в буртах при достижении температуры 50 - 60 °C во всех частях бурта в течение первых 10 суток после складирования должно быть не менее 2 месяцев в теплый период года и не менее 3 месяцев в холодный период года.
При компостировании навоза и помета в смеси с древесной корой и опилками продолжительность процесса компостирования увеличивается в 1,5 - 3 раза.
При снижении температуры массы в бурте до 25 - 30 °C необходимо провести аэрацию смеси путем перемешивания слоев.
В зимнее время при температуре окружающей среды ниже 0 °C компостную смесь рекомендуется укладывать в один сплошной бурт высотой 1,0 - 2,5 м.
При наступлении устойчивых положительных температур окружающей среды смесь аэрируется и укладывается в бурты соответствующих геометрических размеров.
Технологический процесс компостирования активным способом предусматривает смешивание компонентов смеси, формирование буртов, выдерживание смеси в буртах, ее периодическую аэрацию и хранение готового компоста.
Срок выдерживания при компостировании активным способом сокращается до 50 - 70 суток.
9.6 Для сбора и отвода жидкости, атмосферных осадков на открытых гидроизолированных площадках приготовления компостной смеси, компостирования и хранения влагопоглощающих компонентов следует предусматривать жижесборники. Сами площадки должны иметь уклон 0,002 - 0,003 в сторону жижесборников или отводные канавки (лотки), расположенные по всему периметру.
9.7 Разложение органических веществ в компосте сопровождается значительной потерей массы и переходом биогенных веществ в легкоусваиваемые растениями соединения. Потери биогенных веществ и скорость биотермического процесса зависят от плотности укладки компостной смеси. При рыхлой укладке с плотностью 600 - 700 кг/м3 биотермический процесс протекает 2 - 3 месяца, при укладке плотностью 900 кг/м3 - 4 - 6 месяцев, но при условии, что бурты не промерзают.
9.8 Потери органических и питательных веществ в период компостирования снижаются путем укрытия буртов готовым компостом, торфом или землей слоем 0,2 - 0,3 м.
9.9 Ускоренное компостирование (метод биологической ферментации) основан на управлении развитием аэробных микроорганизмов. Предварительно подготовленная компостная смесь (навоз или помет с влагопоглощающими наполнителями (торф, солома и др.) и минеральными добавками) оптимальных агрохимических свойств (влажность, кислотность, соотношение углерода и азота) помещается в специальную камеру (биоферментатор или биореактор), в которой создаются определенные условия для интенсивного развития аэробных бактерий.
9.10 Технологический процесс ускоренного компостирования протекает в искусственных условиях при непрерывной аэрации компостной смеси путем принудительной подачи воздуха в слой смеси, находящейся в камере. Полезная высота слоя смеси 2 м. Компостная смесь на входе в камеру должна быть тщательно перемешана и иметь температуру не менее 10 °C.
Удельный расход воздуха должен составлять не менее 0,6 м3/кг компостной смеси, температура подаваемого воздуха 10 - 50 °C в зависимости от температуры наружного воздуха. Продолжительность процесса биологической ферментации смеси - 7 - 8 суток.
9.11 По принципу работы биоферментаторы и биореакторы подразделяются на установки периодического и непрерывного действия. Установки периодического действия могут быть стационарными или с возможностью перемещения (контейнерного типа). Наиболее распространенной является технология ускоренного компостирования навоза (помета) в режиме периодического действия. Получаемый продукт - компост многоцелевого назначения представляет собой однородную сыпучую массу 55 - 70%-ной влажности, темно-коричневого цвета без неприятного запаха.
Биоферментатор представляет собой камеру из кирпича размером 5 м x 10 м (50 м2) и высотой до 4,5 м. В пол камеры вмонтированы восемь перфорированных труб, тупиковых с одного конца и объединенных с другого конца общим воздуховодом. На задней стене камеры (с наружной стороны) устанавливается вентилятор, подающий через соединительный рукав воздух в воздуховод и по трубам - в компостируемую смесь.
Передняя часть камеры оборудуется двухсекционными металлическими воротами. Задняя стена биоферментатора и ворота имеют отверстия для замера температуры и содержания кислорода в компостной смеси.
После загрузки компостной смеси в биоферментатор газоанализатором замеряется количество кислорода в смеси и устанавливается продолжительность вентилирования.
При закладке смеси влажностью 55 - 65% с начальной температурой около 10 °C температура смеси через 10 - 12 ч поднимается до 40 - 50 °C, а затем до 60 - 75 °C.
Падение температуры в смеси до 40 - 30 °C свидетельствует об окончании процесса ферментации.
Биоферментатор может возводиться также из железобетона и других материалов.
В зависимости от объема производства компоста из биоферментаторов могут возводиться модули из любого числа секций.
Компоненты компостной смеси загружаются в биоферментатор навозоразбрасывателем, а выгрузка готового компоста осуществляется фронтальным погрузчиком на открытую площадку хранения компоста.
9.12 На животноводческих фермах мощностью до 1 тыс. условных голов рекомендуется использовать технологии ускоренного компостирования на базе машины для приготовления компостных смесей, укладки их в бурты, аэрации в вертикальной компостирующей установке и последующем созревании компоста в буртах.
Предлагаемая технология производства высококачественных органических удобрений заключается в подготовке компостной смеси специальной машиной, предварительном компостировании смеси в буртах в течение 7 - 10 суток, биотермическом сбраживании смеси в вертикальной компостирующей установке за 5 - 7 суток при температуре 60 - 80 °C и последующем созревании компоста в буртах в течение 14 - 21 суток. Полный цикл производства органических удобрений составляет 26 - 38 суток.
9.13 При больших объемах переработки навоза и помета ускоренным компостированием используют биотраншеи, состоящие из проездной дороги, траншеи и ферментатора.
Для ускоренного компостирования навоза (помета) в крестьянских (фермерских) хозяйствах следует использовать ферментатор, сконструированный на базе прицепа-навозоразбрасывателя.
9.14 Установками непрерывного действия получения биогумуса из навоза и помета являются биореакторы барабанного типа различной конструкции (разработки ИАЭП, ВНИИОУ и др.).
Биореактор барабанного типа представляет собой камеру цилиндрической формы, установленную на опорные катки с приводом для осевого вращения с целью перемешивания и равномерного аэрирования перерабатываемой смеси; на внутренней стенке барабана вмонтированы перфорированные трубы, тупиковые с одного конца и объединенные с другого конца общим воздуховодом; на задней стенке барабана (с наружной стороны) устанавливается вентилятор, подающий через соединительную муфту воздух в воздуховод и по трубам - в органическую смесь.
При закладке компостной смеси 55 - 65% с начальной температурой около 10 °C температура смеси через 10 - 12 ч поднимается до 40 - 50 °C, а затем до 60 - 75 °C.
Для оптимального режима работы установки непрерывного действия (барабанного типа) ее заполнение исходной смесью составляет 80% от общего объема. Ежедневно происходят выгрузка из камеры 1/3 полученного биоудобрения и загрузка в нее 1/3 исходной смеси.
9.15 Для получения из навоза и помета компостов заданных свойств, сбалансированных по элементам питания и составу удобрений, усиления микробиологических процессов, протекающих при компостировании, и уменьшения потерь питательных веществ в компостную смесь целесообразно включать минеральные добавки (фосфоритную муку, фосфогипс, порошковидный суперфосфат и др.), а также использовать "микробные закваски" (ассоциации из группы активных термофильных микроорганизмов).
При pH исходного навоза и помета в пределах 7,0 и при pH торфа до 5,0 в компостную смесь следует добавлять фосфоритную муку или фосфогипс, при pH торфа более 5,0 - суперфосфат в количестве 15 - 30 кг на 1 т смеси.
Примечание - Целесообразность, сроки смешивания и виды минеральных удобрений, подлежащих добавлению в компостную смесь, устанавливают соответствующие службы в зависимости от конкретных условий производства.
9.16 Для получения на основе навоза или помета экологически чистого, высококачественного удобрения в виде биогумуса используют технологии вермикомпостирования.
Подготовку исходной смеси (субстрата) для заселения червями следует осуществлять аналогично подготовке компостной смеси.
Приготовленная смесь укладывается на гидроизолированную площадку с уплотненным грунтовым или твердым покрытием в бурт высотой 1,5 - 2 м. Длина бурта зависит от объема производства биогумуса. Для создания более однородной структуры базового субстрата бурт необходимо подвергать не менее чем трехразовой перебивке. После того как температура внутри бурта снижается, процесс разложения прекращается, полученный субстрат используется в качестве корма для червей.
Исходная смесь для вермикомпостирования должна быть однородной, рыхлой, без посторонних включений и иметь:
- влажность - 75 - 85%;
- pH - 6,8 - 7,2;
- соотношение C:N - 20:1;
- содержание минеральных веществ - до 10%;
- содержание сырого протеина - не более 25%;
- содержание аммиака не более 0,5% (не ощущается запах);
- отсутствие значительного количества сероводорода (не ощущается запах);
- достаточную насыщенность кислородом (необходима регулярная аэрация).
Параметры конечного продукта - биогумуса должны иметь:
- влажность - 70%;
- pH - 6,5 - 7,5;
- азот общий (N) - 1,2% а.с.в. (абсолютно сухого вещества);
- калий (K2O) - 0,84 а.с.в.;
- фосфор (P2O5) - 1,1% а.с.в.;
- органические вещества - 52% а.с.в.;
- уровень общей микробной контаминации КОЕ/г не более 3,5 x 105-7 (КОЕ - колониеобразующие единицы);
- отсутствие патогенной микрофлоры, яиц и личинок гельминтов.
9.17 Вермикомпостирование подготовленного субстрата следует проводить круглогодично в закрытых отапливаемых помещениях на стеллажах, в теплое время сезонно (при температуре 10 °C и выше) в тех же помещениях без отопления.
Ширину стеллажей следует принимать до 1,0 - 1,2 м, длину - произвольно; толщина слоя субстрата 15 - 20 см.
Удельную производительность стеллажей помещений вермикомпостирования следует принимать по исходному субстрату - 1,5 т/м2, готовому биогумусу - 0,3 т/м2, по биомассе вермикультуры - 22 кг/м2 в год.
Склад для хранения готовой продукции (биогумуса) изолируют капитальной стеной от помещения по производству биогумуса, а в местах сообщения оборудуют дезковрики.
9.18 Готовый компост следует размещать на подготовленных полевых площадках.
Полевые площадки следует размещать в непосредственной близости от полей, на которые планируется внесение компоста на расстоянии не менее 500 м от ближайших жилых строений. Укладку в штабеля следует производить тракторами с фронтальными погрузчиками. В зимнее время закладку каждого штабеля необходимо завершать за 1 - 2 дня, чтобы не допускать промерзания компостной смеси. Количество и размеры компостных штабелей согласуются с площадями полей и планируемыми дозами внесения.
Размер штабеля на полевой площадке должен вмещать не менее 100 т смеси. Штабели укладываются рядами, расстояние между штабелями должно быть равно длине рабочего хода навозоразбрасывателя. Высота штабеля 2 - 2,5 м, ширина 4 - 6 м, длина - произвольная.
10 АНАЭРОБНАЯ ПЕРЕРАБОТКА НАВОЗА И ПОМЕТА
10.1 Анаэробной переработке следует подвергать бесподстилочный навоз и помет, смесь осадков отстойников и других продуктов переработки и очистки навозных стоков.
Анаэробную переработку массы следует осуществлять путем сбраживания в биоэнергетических установках сельскохозяйственного назначения.
Анаэробное сбраживание обеспечивает дегельминтизацию, девитализацию, подавление патогенных форм микроорганизмов, повышение удобрительной ценности обрабатываемого продукта и получение биогаза.
Примечание - При необходимости анаэробной переработки подстилочного помета в метантенках его предварительно подвергают измельчению и доводят влажность массы до 88 - 92%.
10.2 К технологическому процессу подготовки бесподстилочного навоза, помета и продуктов переработки и очистки навозных и пометных стоков к анаэробному сбраживанию предъявляются следующие требования:
- подготовленная масса должна быть свежей с максимальным содержанием органического вещества, иметь максимально возможную температуру;
- масса должна быть гидравлически транспортабельной, гомогенной по составу, однородной по концентрации твердых и взвешенных веществ и равномерно поступать на сбраживание.
Она не должна содержать включения размером более 30 мм и твердые частицы, плотность которых существенно превышает плотность жидкости (бетон, глина, песок и др. посторонние включения);
- параметры массы для анаэробного сбраживания:
а) влажность - 90 - 96%;
б) зольность - 15 - 16%;
в) pH - 6,9 - 8,0;
г) содержание летучих жирных кислот - 600 - 2000 мг/л;
д) щелочность - 1500 - 3000 мг CaCO3/л;
е) соотношение C:N - (10 - 18):1.
Для обеспечения оптимального соотношения C:N и получения большого количества биогаза допускается добавлять в сбраживаемую массу другие органические отходы: отходы боен, жом, силос, измельченное зерно и т.д.;
- сбраживаемая масса не должна содержать веществ, подавляющих жизнедеятельность метанообразующих микроорганизмов и ингибирующих (сдерживающих) технологический процесс анаэробного сбраживания. К таким веществам относятся различные формы азота и большинство тяжелых, щелочных, щелочноземельных металлов, сульфидов, кислород, антибиотики, дезинфицирующие средства и другие вещества.
Хранение исходного продукта перед сбраживанием не должно превышать 24 - 48 ч.
10.3 В качестве основных параметров технологического процесса анаэробного сбраживания жидкого навоза и бесподстилочного помета следует принимать температуру и продолжительность сбраживания.
Температура сбраживания должна задаваться исходя из принятого режима сбраживания жидкого навоза или бесподстилочного помета.
10.4 Выбор режима сбраживания следует производить на основании технико-экономических расчетов с учетом природно-климатических условий, ветеринарного состояния животноводческой фермы, комплекса или птицеводческого предприятия, количественно-качественных параметров навоза или помета, санитарно-гигиенических характеристик и требований к использованию сброженного навоза или помета, наличия площадей и состояния сельскохозяйственных угодий, вида культур, состояния и типа почв и других условий.
10.5 Для анаэробного сбраживания жидкого навоза и бесподстилочного помета следует принимать два режима:
- мезофильный с диапазоном температур - 33 - 38 °C;
- термофильный с диапазоном температур - 53 - 55 °C.
Для районов с умеренным климатом предпочтение следует отдавать мезофильному режиму анаэробного сбраживания.
Термофильный режим анаэробного сбраживания жидкого навоза и бесподстилочного помета должен назначаться преимущественно по указанию ветеринарной службы в случаях, предусмотренных в
разделе 15 настоящих методических рекомендаций.
10.6 Продолжительность анаэробного сбраживания жидкого навоза и бесподстилочного помета в метантенках следует назначать в пределах 5 - 20 суток с учетом:
- величины дозы загрузки сбраживаемой массы;
- принятой температуры сбраживаемой массы;
- скорости реакции, зависящей от вида сбраживаемой массы;
- степени разложения органического вещества;
- требований к качеству сброженного навоза и помета и др.
10.7 В процессе анаэробной переработки происходит разложение органического вещества навоза и помета с выделением биогаза с теплотворной способностью не менее 23 МДж/м3 (5500 ккал/м3).
При анаэробной переработке 1 кг беззольного сухого органического вещества получается до 1,25 м3 биогаза плотностью от 0,8 кг/м3, содержащего до 65 - 80% метана.
10.8 Количество образуемого биогаза зависит от вида и состава подвергшегося анаэробной переработке навоза и помета, продолжительности сбраживания, степени распада беззольного органического вещества и других факторов.
При дозе загрузки метантенков 10% и степени разложения беззольного органического вещества до 40% ориентировочное количество выделяемого биогаза с 1 кг загруженного беззольного органического вещества бесподстилочного навоза и помета при термофильном режиме сбраживания составляет:
- навоза КРС - 300 л;
- свиного навоза - 400 л;
- помета птиц - 500 л.
Метантенки следует проектировать металлическими или железобетонными.
10.9 Количество метантенков должно быть не менее двух, обеспечивающих оптимальные условия анаэробной ферментации и позволяющих при вспышке инфекционных болезней перевести работу метантенков с проточного на цикличный режим.
| | ИС МЕГАНОРМ: примечание. В официальном тексте документа, видимо, допущена опечатка: таблица 59 в СП 32.13330 отсутствует. | |
10.10 Объем метантенков следует определять в зависимости от влажности поступающей массы по суточной дозе загрузки по таблице 59
СП 32.13330. Для жидкого навоза и бесподстилочного помета эти данные следует определять экспериментально.
Оптимальная суточная доза загрузки массы при влажности навоза 90 - 95% составляет в среднем 15%, что соответствует продолжительности сбраживания в течение 7 суток.
Объем метантенка следует определять с учетом коэффициента расширения сбраживаемой массы.
10.11 Загрузку сбраживаемой массы в метантенк следует предусматривать равномерными дозами в течение суток.
10.12 Температура загружаемой массы в метантенк должна быть на 2 - 3 °C выше температуры выбранного режима сбраживания.
10.13 Навоз от фермы (комплекса) поступает в навозоприемник, оборудованный насосом с измельчающим и перемешивающим устройством, обеспечивающим гомогенизацию массы для подогревателя (специального теплообменника). Емкости навозоприемников должны обеспечивать накопление не менее двухсуточного объема навоза, поступающего с фермы (комплекса).
10.14 Предварительный нагрев исходной массы производится в подогревателях - специальных теплообменниках за счет тепла сброженной массы, а окончательный нагрев - путем сжигания биологического газа. Объем подогревателя должен соответствовать суточному выходу навоза с фермы (комплекса).
10.15 Ограждающие конструкции камеры сбраживания следует выполнять с воздушной теплоизоляционной прослойкой с регулировкой температуры в ней, исключающей теплопотери в окружающую среду от сбраживаемой массы через ограждающие конструкции.
10.16 Вместимость метантенка зависит от суточного объема получаемого навоза, выбранного температурного режима, суточной дозы загрузки, длительности сбраживания и степени разложения органического вещества.
Процесс анаэробного сбраживания в метантенке ведется при избыточном давлении до 200 - 400 мм водного столба (0,2 - 0,4 кПа).
10.17 В составе сооружений анаэробной переработки навоза и помета в зависимости от их назначения и мощности следует проектировать:
- блок приема и усреднения навоза по количественно-качественным параметрам с оборудованием для отделения посторонних включений, гомогенизации, измельчения и подачи навоза и помета на дальнейшую обработку;
- блок подготовки навозной (пометной) массы к анаэробному сбраживанию с оборудованием для рекуперации тепла сброженной массы, окончательного нагрева, выдерживания и др.;
- блок анаэробного сбраживания навоза (помета) в составе метантенков, анаэробных фильтров с мостиками, площадками, трубопроводами, арматурой, предохранительным и другим оборудованием;
- блок обработки сброженной навозной (пометной) массы с оборудованием для ее разделения и обезвоживания;
- блок сбора и хранения сброженной навозной (пометной) массы и ее твердой и жидкой фракции;
- промежуточные емкости и насосные установки для перекачки навозной (пометной) массы по сооружениям;
- блоки сбора, хранения, использования и переработки биогаза;
- блоки очистки и доочистки сброженной жидкой фракции и др.
10.18 На отопление метантенка и подогрев поступающей массы до мезофильной температуры зимой в условиях средней полосы России затрачивается 70% получаемого биогаза.
10.19 Проектирование систем сооружений анаэробной переработки и подготовки навоза и помета к использованию следует осуществлять в соответствии с
СП 32.13330.
11 ОБРАБОТКА ПРОИЗВОДСТВЕННЫХ СТОЧНЫХ ВОД
И ПОВЕРХНОСТНОГО СТОКА ЖИВОТНОВОДЧЕСКИХ ФЕРМ
И КОМПЛЕКСОВ, ПТИЦЕВОДЧЕСКИХ ПРЕДПРИЯТИЙ
11.1 В проектах систем сооружений подготовки к использованию навоза и помета необходимо предусматривать сбор и соответствующую обработку производственных сточных вод и поверхностных стоков, образующихся на территории животноводческих ферм и комплексов, птицеводческих предприятий.
Незагрязненные производственные сточные воды могут быть использованы в системах оборотного технического водоснабжения.
Отвод незагрязненных производственных сточных вод в производственно-бытовую или ливневую канализацию допускается при технико-экономическом обосновании и соответствующем согласовании.
11.2 Объемы отводимых сточных вод на птицеводческих предприятиях следует принимать исходя из объема используемой воды за вычетом потерь на поение и испарение. При этом общий часовой коэффициент неравномерности водоотведения по предприятиям следует принимать равным 1,5 - 1,6.
Примечание - Для расчета водоотведения расход воды на мытье помещений и технологического оборудования птичников при смене поголовья принимают из нормы 10 л/м2 обрабатываемой поверхности, которая условно принимается для птичников напольного содержания равной сумме площади пола, потолка и стен помещения.
11.3 Концентрацию загрязнений по взвешенным веществам и БПК в общепроизводственных сточных водах, поступающих на очистные сооружения от птицеводческих предприятий яичного и мясного направлений (куры, индейки, цесарки), следует принимать:
- при использовании чашечных поилок - до 300 мг/л;
- при использовании проточных поилок - до 450 мг/л.
Концентрацию загрязнений по взвешенным веществам и БПК производственных сточных вод, поступающих от птицеводческих предприятий мясного направления (гуси, утки), следует принимать 700 мг/л.
11.4 Концентрацию загрязнений по взвешенным веществам в производственных сточных водах, образующихся при мытье птичников, следует принимать:
- при клеточном содержании птицы - 9000 мг/л; БПК - 5300 мг/л;
- при напольном содержании птицы - 13500 мг/л; БПК - 6900 мг/л.
Концентрация загрязнений по взвешенным веществам в сточных водах при мытье инкубаториев - 2109 мг/л, БПК - 300 мг/л и при чистке помещений - 790 мг/л; БПК - 460 мг/л.
В сточных водах убойного цеха птицеводческого предприятия концентрация загрязнений по взвешенным веществам - 330 мг/л; БПК - 980 мг/л.
Примечания
1 Сточные воды убойного цеха перед очисткой должны пройти жироловки.
2 Для помещений с ручной уборкой помета концентрация загрязнений по взвешенным веществам составляет 400 - 500 мг/л и БПК - 720 - 800 мг/л.
3 Для снижения концентрации взвешенных веществ и БПК в производственных сточных водах, образующихся при мытье птичников в период профилактического перерыва, перед сбросом стоков в канализацию допускается установка отстойников.
11.5 Методы обработки и необходимая степень очистки производственных сточных вод должны определяться в зависимости от местных условий с учетом максимально возможного их использования для орошения сельскохозяйственных угодий.
11.6 Производственные сточные воды птицеводческих предприятий близки по своему составу к хозяйственно-бытовым сточным водам поселений. Допускается совместная очистка сточных вод птицеводческих предприятий и хозяйственно-бытовых вод поселений на очистных сооружениях этих поселений.
11.7 Производственные сточные воды от убойных цехов птицеводческих предприятий допускается сбрасывать в канализацию только после утилизации жира, крови, пера и других отходов.
Примечание - Указанные мероприятия должны предусматриваться в подразделе проекта "Технологические решения".
11.8 Сточные воды от ветеринарных объектов (изолятора, карантина, убойно-санитарного пункта, ветлаборатории) должны собираться самостоятельной канализационной сетью и перед выпуском их в общую сеть подвергаться обеззараживанию. Для обеззараживания сточных вод от ветеринарных объектов необходимо предусматривать контактные отстойники.
Обеззараживание осуществляют в соответствии с "Ветеринарно-санитарными
правилами подготовки к использованию в качестве органических удобрений навоза, помета и стоков при инфекционных и инвазионных болезнях животных и птицы" с учетом наличия дезинфектантов и технических средств, вида и устойчивости возбудителя болезни.
При использовании хлорсодержащих препаратов дозу хлора для обеззараживания сточных вод определяют в каждом конкретном случае, исходя из хлоропоглощенности сточных вод, но не менее 100 мг/л при продолжительности контакта 2 ч.
11.9 Поверхностный сток с территории животноводческих ферм, комплексов, птицеводческих предприятий может являться интенсивным источником загрязнения близлежащих водных объектов и местности.
Водным
кодексом Российской Федерации запрещается сбрасывать в водные объекты не очищенные до установленных нормативов поверхностные воды, организованно отводимые с территории животноводческих ферм, комплексов, птицеводческих предприятий.
Поверхностный сток с территории животноводческих ферм, комплексов, птицеводческих предприятий должен направляться, как правило, по открытой системе водостоков в локальные хранилища (пруды-отстойники или другие накопители) и после соответствующей обработки использоваться для орошения сельскохозяйственных угодий.
Строительство закрытой системы водостоков допускается в исключительных случаях при соответствующем технико-экономическом обосновании.
Поверхностный сток с крыш зданий животноводческих ферм, комплексов, птицеводческих предприятий и их территорий, не загрязненных экскрементами животных, остатками кормов, нефтепродуктами и другими отходами, допускается использовать для полива газонов, зеленых насаждений, сельхозугодий или распределять на естественных склонах местности. Такой поверхностный сток допускается также сбрасывать в водные объекты при условии согласования с соответствующими, специально уполномоченными на то, государственными органами в области охраны окружающей среды.
Объемы прудов-отстойников и накопителей поверхностного стока должны определяться количеством его поступления и графиком использования на сельскохозяйственных угодьях.
| | ИС МЕГАНОРМ: примечание. В официальном тексте документа, видимо, допущена опечатка: имеется в виду НТП-АПК 1.30.03.01-06, а не НТП-АПК 1.30.02-01. | |
Поверхностный сток с выгульных площадок и других территорий, загрязненных экскрементами животных, после карантинирования должен использоваться на сельскохозяйственных угодьях в соответствии с требованиями
НТП-АПК 1.30.02-01.
11.10 Концентрацию загрязняющих веществ в поверхностном стоке при проектировании следует принимать по результатам физико-химических анализов, выполненных на действующих животноводческих фермах, комплексах, птицеводческих предприятиях, расположенных в аналогичных природно-климатических условиях с проектируемым объектом или определять расчетом.
При расчете концентрации загрязнений в поверхностном стоке следует учитывать:
- среднее многолетнее выпадение атмосферных осадков по сезонам года;
- вид транспорта и интенсивность его движения по территории животноводческой фермы, комплекса, птицеводческого предприятия;
- время пребывания животных на открытых площадках;
- вид технических средств и режим уборки выгульных площадок, дорог, проездов и других территорий, с которых осуществляется организованный сбор и отвод поверхностного стока.
11.11 При отстаивании производственных сточных вод птицеводческих предприятий в течение 1 - 1,5 ч их БПК может быть снижено на 40%.
Для отстаивания указанных сточных вод рекомендуется применение горизонтальных и вертикальных отстойников.
11.12 Сточные воды от проточных поилок следует отводить на сооружения биологической очистки только после обработки в безнапорных гидроциклонах; от цехов убоя и переработки птицы - в жироловках, на решетках и ситах.
Кровь и другие отходы, образующиеся при переработке птицы, должны быть утилизированы.
11.13 Для биологической обработки производственных сточных вод животноводческих ферм, комплексов, птицеводческих предприятий рекомендуется применение биологических прудов.
11.14 Для биологической обработки производственных сточных вод, прошедших предварительное отстаивание, рекомендуется применение аэротенков, работающих в режиме продленной аэрации, или высоконагружаемых биофильтров (аэрофильтров). Расчет сооружений биологической очистки производственных сточных вод следует проводить в соответствии с
СП 32.13330.
12 БИОЛОГИЧЕСКАЯ ОЧИСТКА ЖИДКОЙ ФРАКЦИИ
НАВОЗНЫХ СТОКОВ И ЖИДКОГО НАВОЗА
12.1 Проектирование сооружений искусственной биологической очистки жидкой фракции навозных стоков допускается только при реконструкции и расширении очистных сооружений действующих животноводческих ферм и комплексов с гидросмывной системой удаления навоза:
- при недостатке площадей сельскохозяйственных угодий для внесения стоков и наличия достаточного объема воды для разбавления стоков при орошении;
- неблагоприятных климатических, геологических, гидрогеологических условиях, когда не представляется возможность внесения стоков в почву, а также при сбросе их на очистные сооружения городских поселений или иные очистные сооружения.
12.2 Биологическую очистку жидкой фракции навозных стоков и жидкого навоза, как правило, осуществляют искусственным или естественным способами в аэротенках, рыбоводно-биологических прудах, на ирригационных полях утилизации.
Примечание - Проектирование сооружений искусственной биологической очистки для нового строительства свиноводческих комплексов и птицеводческих предприятий допускается в исключительных случаях при соответствующем технико-экономическом обосновании и использовании новых высокоэффективных сооружений, безотходных технологий по согласованию с территориальными органами государственного экологического контроля, ветеринарного и санитарного надзора.
12.3 Процесс искусственной биологической очистки жидкой фракции навозных стоков и жидкого навоза осуществляется в аэротенках механическим, пневматическим, гидропневматическим и комбинированным способами аэрации.
При расчете аэротенков следует руководствоваться данными, приведенными в
таблице 12.
Режим работы аэротенков | Расход кислорода снятой БПК, г/г | БПК входящего стока, мг/л | Доза ила, г/г | Нагрузка на ил БПК, мг/л | Прирост ила от снятой БПК, % |
Продленной аэрации | 1,8 | 75 | 10 | 100 | 40 |
Повышенной нагрузки | 1,6 | 180 | 8 | 200 | 50 |
Высокой нагрузки | 1,5 | 570 | 6 | 300 | 55 |
12.4 При механической аэрации навозных стоков глубину аэротенков следует назначать до 4,5 м, ширину - в зависимости от гидравлического радиуса действия, кратного 5 - 6 диаметрам рабочего колеса рототурбины.
При пневматическом и комбинированном (гидропневматическом) способах аэрации рабочую глубину аэротенков следует принимать в пределах 3 - 6 м, отношение ширины к глубине - от 1:1 до 2:1.
Технологические параметры аэротенков следует определять расчетом в соответствии с
СП 32.13330.
12.5 При механическом способе аэрации степень очистки жидкой фракции следует принимать: по ХПК - до 300 мг/л, содержание взвешенных веществ - до 120 мг/л, общего азота - до 120 мг/л, фосфора - до 90 мг/л, калия - до 210 мг/л.
Соотношение значений ХПК, БПК и БПК
5 навозных стоков, прошедших биологическую очистку, следует принимать в соответствии с
таблицей 13.
Наименование показателей | Величина, мг/л |
ХПК | 300 | 400 | 500 | 600 | 700 | 800 | 1000 |
БПК | 75 | 115 | 155 | 200 | 250 | 310 | 400 |
БПК5 | 30 | 45 | 65 | 90 | 115 | 145 | 200 |
12.6 При гидропневматическом и комбинированном способах аэрации степень очистки жидкой фракции навоза следует принимать:
- ХПК - до 200 мг/л;
- взвешенных веществ - до 30 мг/л;
- БПК5 - до 20 мг/л;
- азота аммонийного - до 30 мг/л;
- нитритов - до 0,5 мг/л;
- нитратов - до 0,5 мг/л;
- фосфатов - до 35 мг/л.
Глубокая очистка жидкой фракции навозных стоков и жидкого навоза в аэротенках при гидропневматической аэрации обеспечивается за счет комбинированной анаэробно-аэробной обработки массы и одновременно протекающих процессов нитри-, денитрификации и биологической очистки стоков.
12.7 При необходимости раздельного осуществления процессов биологической очистки жидкой фракции навозных стоков и жидкого навоза глубину емкости для нитри-, денитрификации следует принимать не менее 2 м, объем необходимо рассчитывать исходя из концентрации аммонийного азота и гидравлической нагрузки. При этом начальная концентрация NH4 не должна превышать 800 мг/л.
Оптимальными параметрами процессов нитри-, денитрификации жидкой фракции навозных стоков следует принимать: pH - 7,6 - 8,5, температуру - 30 °C.
Параметры биологически очищенных навозных стоков после нитри-, денитрификации должны составить:
- ХПК - до 300 мг/л;
- БПК - 30 - 40 мг/л;
- NH4 - до 10 мг/л;
- NO3 - NO2 - до 5 мг/л;
- фосфаты - до 25 мг/л.
Примечание - Наиболее эффективная очистка жидкой фракции навозных стоков от окислов азота способом нитри-, денитрификации при раздельном протекании процессов обеспечивается при предварительной анаэробной переработке стоков в метантенках.
12.8 Содержание питательных веществ в избыточном активном иле следует принимать: общего азота - 11%, фосфора - 8,8%, калия - 3%; для радиальных отстойников время отстаивания следует назначать не менее 3 ч.
12.9 Вторичные вертикальные отстойники для уплотнения ила должны проектироваться исходя из пребывания в них аэрированной жидкости не менее 2 ч, считая по максимальному притоку, без учета объема активного ила; для радиальных отстойников время отстаивания следует назначать не менее 3 ч.
Непрерывную рециркуляцию активного ила из вторичных отстойников в аэротенки или объем возвратного ила следует определять расчетом.
Гидростатический напор для удаления ила следует принимать 1,2 - 1,5 м.
Угол наклона конической части отстойников - 60°.
12.10 Естественную биологическую очистку жидкой фракции навозных стоков и жидкого навоза следует осуществлять в биологических прудах различных типов и конструктивного исполнения:
- анаэробно-аэробных;
- с естественной и искусственной аэрацией;
- одно- и многоступенчатых;
- БОКС-прудах.
12.11 Биологические пруды рекомендуется применять:
- для доочистки жидкой фракции навозных стоков, прошедшей биологическую очистку;
- в качестве самостоятельных сооружений для естественной биологической очистки жидкой фракции навозных стоков, жидкого навоза и сточных вод с доильных площадок при круглогодичной работе в районах со среднегодовой температурой воздуха выше 10 °C;
- для работы во второй строительно-климатической зоне страны с мая по октябрь месяц.
Работа прудов обеспечивается при температуре воды от 4 °C до 35 °C.
Прудам должны предшествовать отстойники.
Пруды следует устраивать преимущественно на участках со слабо фильтрующими грунтами.
Конструкция прудов должна предусматривать возможность их периодической очистки.
12.12 Анаэробные пруды следует применять для предварительной обработки жидкой фракции навозных стоков с высокой концентрацией загрязнения и последующей ее обработкой в аэробных условиях.
12.13 Нагрузку по БПК на анаэробные пруды-накопители следует принимать 330 - 560 кг/га в сутки.
Очистка анаэробных прудов-накопителей должна проводиться не реже одного раза в три года.
12.14 В аэробных водорослевых прудах ведущая роль по переработке органических веществ принадлежит одноклеточным водорослям (фитопланктону), которые в основном обеспечивают пруды кислородом.
Оптимальной концентрацией загрязнения поступающей жидкой фракции навозных стоков по БПК для аэробных прудов следует считать 200 - 300 мг/л, максимальной - 800 мг/л.
В аэробных рачковых и рыбоводных прудах нагрузка по БПК должна составлять 50 - 60 кг/га/сут. БПК поступающей жидкой фракции в рачковых прудах не более 120 мг/л, а в рыбоводных - 40 мг/л.
12.15 Аэробные биологические пруды могут быть проточными или контактными с периодическим наполнением и сбросом сточных вод.
Число ступеней в проточных прудах должно быть не менее двух.
В аэробных прудах достигается дегельминтизация жидкой фракции навозных стоков.
12.16 В ступенчатых проточных биологических прудах средняя нагрузка по БПК должна приниматься в пределах 50 - 70 кг/га в сутки.
Глубину в первых ступенях следует принимать не более 1,5 м, в последующих - не более 1,0 м.
12.17. В контактных прудах с массовым развитием фитопланктона нагрузку по БПК на поверхности следует принимать 60 - 120 кг/га в сутки при глубине 0,6 м.
12.18 Все пруды должны быть спланированы с уклоном не менее 0,005 в сторону водосброса или иметь канавки, обеспечивающие сток воды из пруда.
Ширина оградительных дамб и плотин без проезда поверху должна быть не менее 2 м, а разделительных - 1 - 1,5 м. Превышение гребня дамб над максимальным уровнем зеркала воды в прудах следует принимать с учетом высоты волны, но не менее 0,5 м.
12.19 Для очистки жидкой фракции навозных стоков допускается использовать систему анаэробно-аэробных многоступенчатых биологических прудов, состоящих, как правило, из четырех-пяти последовательных ступеней сооружений:
- первая ступень - анаэробные пруды-накопители жидкой фракции;
- вторая - аэробные водорослевые пруды;
- третья - аэробные рачковые пруды;
- четвертая - аэробные пруды для выращивания сеголетков рыб;
- пятая - пруд-накопитель очищенных стоков.
Глубину прудов следует принимать: первой и пятой ступеней - 3,5 - 6 м, второй ступени - 0,6 м, третьей ступени - 0,8 м и четвертой ступени - 1,0 - 1,2 м.
Сроки эксплуатации прудов: первой и пятой ступеней - круглогодично; второй - четвертой ступеней - в теплый период года при температуре наружного воздуха более 5 - 10 °C и суммарной интенсивности солнечной радиации не менее 200 кал/см2 сут.
12.20 Ориентировочный объем аэробных прудов следует принимать исходя из расчета 10 м3/гол животных на ферме, комплексе (включая поросят-сосунов), с разделением: 15% объема - на пруды второй ступени, 15% - на пруды третьей ступени и 70% - на биопруд четвертой ступени.
В очищенном навозном стоке содержание растворенного кислорода следует принимать до 6 мг/л, БПК5 - 10 - 15 мг/л.
12.21 Аэробные пруды должны быть оборудованы донными водоспусками, а рыбоводные пруды - рыбоуловителями. Биопруд четвертой ступени должен соответствовать правилам проектирования рыбоводных прудов.
12.22 В прудах четвертой ступени следует выращивать рыбопосадочный материал (сеголетки карпа, карася, толстолобика и амура).
12.23 Жидкую фракцию свиных навозных стоков целесообразно очищать в рыбоводно-биологических прудах.
Наибольшая эффективность очистки достигается при устройстве пяти ступеней прудов.
13 ХРАНЕНИЕ НАВОЗА И ПОМЕТА
13.1 Сроки хранения всех видов навоза и помета следует определять расчетом в зависимости:
- от продолжительности периодов осенне-весеннего бездорожья;
- наличия свободных площадей сельскохозяйственных угодий для внесения навоза и помета;
- эпизоотического состояния хозяйства;
- природно-климатических и организационно-хозяйственных условий.
Эти сроки в зависимости от структуры, влажности навозной и пометной массы и технологии хранения должны составлять от 4 до 8 (для навоза крупного рогатого скота) и от 8 до 12 месяцев (для навоза свиней).
13.2 Хранение навоза и помета следует осуществлять в прифермских или полевых хранилищах секционного типа. В целях совмещения процессов карантинирования и хранения навоза и помета количество секций хранилищ должно быть не менее двух.
Конструкция навозо- и пометохранилищ зависит от консистенции навоза и помета, гидрогеологических условий строительства. Хранилища могут быть заглубленными, полузаглубленными и наземными.
13.3 Для бесподстилочного навоза и помета хранилища допускается устраивать заглубленными или наземными траншейного типа; они должны иметь ограждения, устройства для забора жидкого навоза или навозной жижи насосами и вдоль одной из стенок иметь съезды с уклоном 0,20.
Глубину хранилищ следует назначать в соответствии с техническими характеристиками применяемых средств для выгрузки, но не более 5 м; ширину - не менее 18 м.
Днища и откосы хранилищ должны иметь твердое гидроизоляционное покрытие.
Объем одного хранилища не должен превышать 50000 м3.
Примечание - При обосновании для бесподстилочного помета допускается проектировать крытые заглубленные, полузаглубленные и наземные хранилища.
13.4 Для хранения подстилочного навоза и помета, твердой фракции жидкого навоза и бесподстилочного помета на прифермской территории следует предусматривать незаглубленные водонепроницаемые площадки, окаймленные канавами или хранилища глубиной 1,5 - 2 м.
В районах выпадения повышенного количества осадков допускается устройство крытых хранилищ.
Для сбора и удаления жижи из хранилищ следует предусматривать жижесборники.
Дно хранилищ должно иметь уклон 0,003 в сторону жижесборников.
При совмещении складирования с биотермической обработкой подстилочного навоза и помета высоту загрузки следует принимать не более 2 м.
Примечание - При технико-экономическом обосновании и соответствующем согласовании допускается хранение подстилочного навоза, помета и компостов в полевых хранилищах с глинистым или пленочным экраном на краях полей севооборота с соблюдением экологических и ветеринарно-санитарных требований.
13.5 При размещении навозохранилищ под зданиями для содержания крупного рогатого скота высота хранилищ при использовании мобильных погрузчиков должна быть не более 5 м.
Примечание - Устройство навозохранилищ под зданиями для содержания крупного рогатого скота допускается только при стойлово-пастбищной системе его содержания.
Все бетонные и железобетонные конструкции днища и стен подпольного навозохранилища должны иметь защитное покрытие, обеспечивающее их долговечность в условиях контакта с навозом, относящимся к агрессивной среде средней степени.
13.6 Объем подпольных навозохранилищ следует определять исходя из норм выхода навоза и последующего снижения его влажности до 82% за счет испарения и отвода жижи в жижесборник.
При стойлово-пастбищной системе содержания крупного рогатого скота выход навоза в пастбищный период должен приниматься в размере 50%, при выгульном содержании в стойловый период - 85% расчетного.
В случае размещения навозохранилищ под зданиями объем вытяжки воздуха из нижней зоны помещений в холодный период года должен составлять не менее 50% минимального воздухообмена.
13.7 Навозохранилища для неразделенного на фракции жидкого свиного навоза должны быть оборудованы стационарными или мобильными устройствами для перемешивания.
13.8 В целях предотвращения замерзания напорного навозопровода и исключения намораживания подачу жидкого навоза в навозохранилища следует предусматривать, как правило, снизу навозохранилища.
В навозохранилищах для хранения жидкой фракции перемешивание не предусматривается.
Применение навозохранилищ для неразделенного на фракции жидкого навоза на фермах и комплексах мощностью 6 тыс. свиней и более в год с гидравлическими способами удаления навоза из свинарников не допускается.
13.9 Для обеспечения гравитационного отделения жидкой фракции жидкого навоза навозохранилища оборудуются фильтрующими стенками, решетками или другими устройствами.
13.10 Конструктивные решения навозохранилищ, пометохранилищ и прудов-накопителей должны исключать фильтрацию навоза, помета и навозных стоков.
Навозохранилища и пометохранилища следует устраивать, как правило, из монолитного или сборного бетона или железобетона; пруды-накопители - из бетона, железобетона, пленочных полимерных гидроизоляционных материалов толщиной не менее 1,5 мм или их комбинаций.
13.11 Выгрузку подстилочного навоза и помета из хранилищ следует осуществлять мобильными погрузчиками, бесподстилочного - мобильными самозагружающимися цистернами-разбрасывателями типа МЖТ или насосами типа НЖН-200, НЦН-Ф-100/30 (наружный), НЦН-Ф-80/30П (плавающий), РТС (погружной) и др., а также мобильными насосными агрегатами с функцией перемешивания и измельчения.
13.12 Закрытые резервуары насосных станций (приемные емкости) и крытые хранилища навоза следует относить к взрывопожароопасным (категория Б).
14 ИСПОЛЬЗОВАНИЕ НАВОЗА И ПОМЕТА
14.1 Все виды навоза и помета следует использовать для удобрения земельных угодий, повышения плодородия почв и урожайности сельскохозяйственных культур.
Удобрительную ценность навоза и помета следует определять по содержанию питательных веществ, количество которых для предварительных расчетов приведено в
таблице 6 (данные по навозу и помету по содержанию питательных веществ в сухом веществе) и
таблице 7 (данные по помету по содержанию питательных веществ в массе сырого вещества) методических рекомендаций.
Результаты предварительных расчетов должны уточняться на основании результатов агрохимических анализов состава навоза и помета.
14.2 Нормы и сроки внесения навоза и помета следует устанавливать с учетом количества содержащихся в них питательных веществ и в зависимости от природно-климатических, почвенных условий, принятых севооборотов, структуры посевов и планируемого уровня урожайности сельскохозяйственных культур, выноса питательных веществ с урожаем культур предшественников
(приложение Д).
14.3 Жидкий навоз крупного рогатого скота и свиней с влажностью не более 94%, осадок из отстойников, избыточный активный ил следует вносить путем запахивания под кормовые культуры, используемые для приготовления силоса, сенажа и травяной муки.
Примечание - Осадок отстойников, фугат и избыточный активный ил следует вносить на поля под вспашку один раз в четыре года, среднегодовую нагрузку принимать 200 м3/га.
14.4 Жидкий навоз, навозные стоки, их жидкую фракцию следует использовать в качестве удобрения сельскохозяйственных культур поверхностно с использованием мобильных агрегатов, шланговых систем с буксируемым шлангом с устройством для поверхностного внесения, оросительных систем способом полива при вспашке, либо внутрипочвенно с применением агрегатов типа АВВ, АВО, АВМ, оборудованных устройствами, обеспечивающими внесение навоза на глубину не менее 17 см и исключающими загрязнение навозом поверхности почвы.
14.5 Расчет оптимальной нормы внесения жидкого навоза, навозных стоков и их жидкой фракции под сельскохозяйственные культуры следует проводить в соответствии с методическими рекомендациями "Дозы и сроки внесения бесподстилочного навоза".
Ориентировочные дозы внесения всех видов помета могут устанавливаться по данным
приложения Д, нормы, сроки внесения и способы заделки бесподстилочного навоза - по
приложению Е методических рекомендаций.
Примечание - Для ориентировочных расчетов необходимых площадей сельскохозяйственных угодий на стадии выбора площадки под строительство животноводческих комплексов и ферм допускается норму внесения в почву бесподстилочного навоза и навозных стоков по азоту устанавливать до 200 кг/га.
| | ИС МЕГАНОРМ: примечание. В официальном тексте документа, видимо, допущена опечатка: имеется в виду НТП-АПК 1.30.03.01-06, а не НТП-АПК 1.30.02-01. | |
14.6 Сроки и способы орошения сельскохозяйственных угодий жидкой фракцией навоза, содержащей биогенные вещества, должны приниматься в соответствии с
НТП-АПК 1.30.02-01, а также с учетом Ветеринарно-санитарных
правил по использованию животноводческих стоков для орошения и удобрения пастбищ.
14.7 Оптимальные сроки внесения жидкого навоза, навозных стоков и их жидкой фракции должны быть приближены к периоду потребности сельскохозяйственных культур в питательных веществах.
14.8 Зимнее внесение бесподстилочного навоза и помета в почву допускается при соответствующем согласовании с органами государственного ветеринарного, санитарного надзора и экологического контроля.
При этом для исключения поступления навозных стоков, особенно в весенний паводковый период, в поверхностные водные объекты и на окружающие территории, поля для внесения навоза и его фракций, специально подготовленные и спланированные для этой цели, обустраивают на местности с ровным рельефом.
Эффективность зимнего внесения бесподстилочного навоза в 1,5 раза ниже его внесения в период вегетации растений и сопряжена с высоким риском загрязнения окружающей среды.
Зимнее внесение обеззараженного жидкого навоза проводят на заранее подготовленные поля, с которых исключается сток талых, загрязненных навозом вод в водоемы.
Внесение следует проводить при температуре воздуха до минус 10 °C и высоте снежного покрова до 20 см.
14.9 При наличии на предприятиях нескольких видов органических удобрений бесподстилочный навоз и помет и их жидкую фракцию следует использовать на близлежащих полях под кормовые культуры. Подстилочный навоз, помет, твердую фракцию бесподстилочного навоза и компосты следует использовать на более удаленных полях под озимые и пропашные культуры, а также в паровых полях.
14.10 Эффективным способом использования бесподстилочного навоза является применение его под сидеральные культуры, возделываемые как в самостоятельных, так и в промежуточных посевах. Это позволит расширить сроки использования бесподстилочного навоза, увеличить поступление в почву органического вещества и предотвратить загрязнение продукции нитратами.
14.11 При расчете потребных площадей сельскохозяйственных угодий для использования навоза и помета следует учитывать потери общего азота, происходящие при обработке, хранении и внесении их в почву, приведенные в
таблице 14.
Вид навоза и помета | Потери общего азота, % | Метод внесения и заделки в почву |
при хранении в течение 6 месяцев | при биотермической обработке | при внесении |
Подстилочный навоз, помет и твердая фракция навоза | 10 | 30 | 5 | Вспашка |
Жидкая фракция бесподстилочного навоза и помета | 15 | - | 10 | Орошение |
Торфонавозные и торфопометные компосты | 10 | 20 | 3 | Вспашка |
Примечания 1 Потери органического вещества при биотермической обработке подстилочного навоза, помета и твердой фракции навоза составляют 20 - 30%, торфонавозного и торфопометного компоста - 10%. 2 Потери при внесении указаны при вспашке (заделке) навоза и помета в день разбрасывания. При вспашке через сутки потери составляют 15%, через 2 суток - 20%, через 4 суток - 25%. |
14.12 В подготовленном к использованию навозе и помете не допускается содержание механических включений, размеры частиц которых в зависимости от вида навоза и помета и способа их внесения в почву превышают величины, приведенные в
таблице 15.
Вид навоза и помета | Допустимый размер включений, мм |
Подстилочный и полужидкий навоз, помет, компосты | С высокой удельной массой - до 100. С низкой удельной массой - до 150 |
Жидкий навоз и навозные стоки: | |
а) для внесения дождевальной техникой | |
б) для внесения мобильным транспортом: | |
- внутрипочвенным способом | 10 |
- поверхностным способом | 30 |
в) для внесения способом полива при вспашке, по плужным бороздам | 30 |
г) для внесения шланговыми системами с буксируемым шлангом | 30 |
<*> В зависимости от типа применяемой дождевальной техники. |
14.13 Большое значение имеют вид и состав выращиваемых сельскохозяйственных культур на орошаемых системах с использованием навозных стоков. На мелиоративных системах с использованием навозных стоков крупного рогатого скота рекомендуются севообороты с максимальным насыщением многолетних трав - травяные и травяно-пропашные; для утилизации навозных стоков от свиней - зернотравяные. В зернотравяных севооборотах доля зернофуражных культур составляет до 50%. При этом площадь полей орошения увеличивается до 30% в связи с уменьшением выноса зерновыми культурами биогенных веществ.
14.14 При использовании жидкого навоза и навозных стоков на орошение важное значение имеет безопасная концентрация общего азота в поливной жидкости.
В зоне достаточного увлажнения при проведении удобрительных и удобрительно-увлажнительных поливов в вегетационный период концентрация общего азота в поливной жидкости в соответствии с
СП 100.13330 не должна превышать, г/л:
- 1,5 - для многолетних злаковых трав второго и последующих лет произрастания;
- 1,0 - для многолетних злаковых трав спустя два месяца после всходов, а также для люцерны, клевера, смеси однолетних трав без бобовых компонентов;
- 0,8 - для кукурузы и зерновых;
- 0,5 - для корнеплодов и подсолнечника.
В зоне недостаточного увлажнения концентрацию общего азота допускается принимать в 2 раза меньше или использовать данные специальных исследований.
Поливную жидкость, имеющую более высокую концентрацию, перед дождеванием следует разбавлять водой.
14.15 Орошение навозными стоками следует прекращать за три недели до сбора урожая.
15 ВЕТЕРИНАРНО-САНИТАРНЫЕ ТРЕБОВАНИЯ К ПРОЕКТИРОВАНИЮ
СИСТЕМ УДАЛЕНИЯ И ПОДГОТОВКИ К ИСПОЛЬЗОВАНИЮ
НАВОЗА И ПОМЕТА
15.1 В подготовленном к использованию навозе и помете должны отсутствовать возбудители инфекционных и инвазионных болезней, жизнеспособные семена сорных растений и нормализовано количество биогенных и других веществ в соответствии с ветеринарно-санитарными, экологическими, агрохимическими требованиями. Ветеринарно-санитарные и агрохимические требования и правила отражены в документах: "Ветеринарно-санитарные
правила подготовки к использованию в качестве органических удобрений навоза, помета и стоков при инфекционных и инвазионных болезнях животных и птицы",
ГОСТ Р 53117,
ГОСТ 31461;
ГОСТ 26074.
15.2 В проектах систем сооружений подготовки навоза и помета к использованию следует предусматривать карантинирование всех видов навоза, помета, навозосодержащего поверхностного стока, применять эффективные технологии и технические средства для их обеззараживания (дезинфекция, дезинвазия) при контаминации отходов возбудителями инфекционных и инвазионных болезней, особенно передаваемых от животных к человеку.
Срок карантинирования с целью выявления инфицированности навоза и помета возбудителями инфекционных и инвазионных болезней следует принимать не менее 6 суток.
В течение указанного периода в карантинную емкость нельзя добавлять и выгружать из нее навоз или помет. Карантинные емкости должны быть изолированы друг от друга для исключения возможности попадания навоза (помета) в соседние емкости в период наполнения или освобождения одной из них.
Продолжительность периода эпизоотии на животноводческих фермах и комплексах, птицеводческих предприятиях следует принимать не менее 45 суток с начала ее возникновения.
15.3 Для карантинирования подстилочного навоза и помета, твердой фракции навоза должны быть предусмотрены площадки секционного типа с твердым покрытием. Для карантинирования бесподстилочного навоза и помета, их жидкой фракции - емкости секционного типа.
Карантинирование навоза и помета допускается в секционных прифермских навозохранилищах и прудах-накопителях.
15.4 Контроль качества обеззараживания всех видов навоза и помета, навозо- и пометосодержащих стоков осуществляют соответствующие службы государственного ветеринарно-санитарного и санитарно-эпидемиологического надзора в соответствии:
- с Инструкцией по лабораторному контролю очистных сооружений на животноводческих комплексах;
- Ветеринарно-санитарными
правилами подготовки к использованию в качестве органических удобрений навоза, помета и стоков при инфекционных и инвазионных болезнях животных и птицы;
-
Правилами проведения дезинфекции и дезинвазии объектов государственного ветеринарного надзора;
- Ветеринарно-санитарными
правилами по использованию животноводческих стоков для орошения и удобрения пастбищ.
15.5 Отбор проб разных видов навоза и помета для бактериологического контроля проводят по истечении сроков экспозиции (обеззараживания) при различных способах обеззараживания.
Лабораторный контроль за эффективностью обеззараживания различных видов навоза и помета в периоды вспышек инфекционных болезней животных и птицы осуществляют микробиологическими методами по выживаемости индикаторных (санитарно-показательных) микроорганизмов: бактерий группы кишечных палочек, стафилококков и спор рода Bacillus в соответствии с
Правилами проведения дезинфекции и дезинвазии объектов государственного ветеринарного надзора.
При анаэробной ферментации жидкого навоза и помета контроль обеззараживания производят по выживаемости кишечной палочки и энтерококков.
При контаминации разных видов навоза и помета возбудителями туберкулеза качество обеззараживания их контролируют по выживаемости стафилококков и энтерококков, так как сапрофитные микобактерии не только сохраняют жизнеспособность более длительно, чем патогенные виды, но и размножаются при длительном хранении навоза и помета.
Качество обеззараживания при обсеменении разных видов навоза и помета спорообразующими возбудителями: сибирской язвы, эмфизематозного карбункула, брадзота, злокачественного отека, а также возбудителями экзотических инфекций контролируют по наличию или отсутствию аэробных спорообразующих микроорганизмов рода Bacillus.
Обеззараживание различных видов навоза и помета считают эффективным при отсутствии в 10 г (см3) пробы кишечных палочек, стафилококков, энтерококков или аэробных спорообразующих микроорганизмов в зависимости от вида возбудителей инфекционных болезней при трехкратном исследовании.
Качество обеззараживания навоза, навозных стоков, твердой и жидкой фракции, илового осадка от возбудителей паразитарных болезней, в том числе социально опасных, контролируют по наличию погибших яиц аскариды, трихоцефала, эзофагостом, фасциол, личинок стронгилят, яиц крысиного цепня, цист простейших и ооцист эймерий, яиц клещей в единице объема отбираемой пробы (100 г осадков иловой фракции, 100 - 500 г твердой фракции или навоза, в 1 - 10 л жидкой фракции, жидкого навоза, навозных стоков при трехкратной повторяемости исследований).
Бактериологический и гельминтологический (паразитологический) контроль обеззараживания навоза, помета, стоков и компостов на их основе осуществляют специалисты ветеринарных лабораторий.
15.6 Для исключения распространения в окружающей среде возбудителей болезней, накапливаемых в осадочной части навозохранилищ и прудов-накопителей, выгрузку навозных стоков или забор жидкой фракции следует производить выше поверхности дна навозохранилища, пруда-накопителя не менее чем на 50 см или предусмотреть соответствующие барьеры перед выгрузными приямками.
15.7 Выбор способа обеззараживания навоза и помета, навозных (пометных) стоков осуществляется по указанию ветеринарной службы с учетом опасности возникшей эпизоотической ситуации, вида возбудителя заболевания, наличия и вида химических реагентов и технических средств.
15.8 Обеззараживание жидкого навоза, помета, навозных и пометных стоков, жидкой фракции навоза химическим методом следует проводить исходя из норм расхода реагентов на 1 м3 отходов: безводного аммиака - 30 кг (время контакта - 3 - 5 суток), формальдегида - 3 кг (время контакта - 3 суток при гомогенизации в течение 6 ч).
Примечания
1 Безводный аммиак транспортируется в специальных автоцистернах. Обработанный аммиаком жидкий навоз покрывают эмульсионно-дезинфицирующей пленкой (лизол санитарный марки "Дезонол", масляный ангидрид). Расход эмульсионно-дезинфицирующего вещества 0,1 - 0,3% к обрабатываемой массе (по весу).
2 Обработку навоза и помета формальдегидом допускается осуществлять только в теплый период года.
15.9 Обеззараживание жидкого навоза, навозных стоков, жидкой фракции, осадка из отстойников и избыточного активного ила при контаминации их вегетативной и спорообразующей патогенной микрофлорой, возбудителями инвазионных болезней следует проводить термическим способом в установках со струйными аппаратами при температуре 130 °C, давлении 0,2 мПа и экспозиции не менее 10 мин.
Обеззараживание помета путем термической сушки следует проводить при температуре на выходе из аппарата 120 - 140 °C и экспозиции не менее 60 мин.
15.10 Естественное биологическое обеззараживание подстилочного и бесподстилочного навоза, помета осуществляется путем выдерживания в секционных навозо-, пометохранилищах или прудах-накопителях в течение 12 месяцев.
Для этой цели подстилочный навоз, помет полужидкий, навоз, выдерживаемый в секционных хранилищах, укрывают слоем торфа или обеззараженной массой навоза, помета толщиной 10 - 20 см.
Следует учитывать, что естественный биологический метод обеззараживания неприемлем для навоза и помета, контаминированных устойчивыми микроорганизмами (возбудители туберкулеза и др.), а также для зон северной части России (Архангельская, Мурманская, Магаданская, Камчатская области, Республика Карелия, Республика Коми, Республика Саха (Якутия), Чукотский автономный округ) с низкими температурами, где патогенные микроорганизмы выживают значительно больше указанных выше сроков.
15.11 Подстилочный навоз и помет, контаминированные спорообразующими возбудителями инфекций, сжигают.
15.12 Жидкий навоз и бесподстилочный помет, контаминированные неспорообразующими патогенными микроорганизмами, обеззараживают химическим способом.
15.13 При разделении жидкого навоза на фракции, жидкую фракцию обеззараживают путем длительного выдерживания или химическим способом, а твердую фракцию - биотермическим способом.
15.14 Для биотермического обеззараживания твердой фракции жидкого навоза на площадку с твердым гидроизолирующим покрытием укладывают влагопоглощающие материалы (солому, торф, опилки) или обеззараженный навоз слоем 30 - 40 см.
На влагопоглощающие материалы или обеззараженный навоз рыхло укладывают твердую фракцию жидкого навоза влажностью до 80% с добавлением влагопоглощающих наполнителей в бурты высотой до 3 м, шириной до 5 м, произвольной длины.
Бурты укрывают торфом, соломой или обеззараженным навозом слоем 15 - 20 см.
Началом срока обеззараживания твердой фракции жидкого навоза считают время достижения в средней трети (по длине) бурта на глубине 1,5 - 2,5 м температуры 55 - 60 °C.
Время выдерживания навоза в буртах после достижения заданной температуры должно составить: в теплое время года - 2 месяца, в холодное - 3 месяца.
Выделяющуюся из бурта жидкость вместе с атмосферными осадками собирают в жижесборник и обеззараживают химическим способом.
Для обеззараживания подстилочного навоза биотермическим способом параметры для обеспечения активных процессов следующие: исходная влажность навозной массы до 70% (без добавления влагопоглощающих материалов), высота бурта до 2,5 м, ширина по основанию до 3,5 м, длина произвольная.
Примечание - При компостировании твердой фракции навоза, полученной при обработке в шнековых сепараторах с содержанием влаги до 70% не обязательно устраивать покрытие из влагопоглощающих материалов (торф, солома, опилки).
15.15 Обеззараживание жидкого навоза и бесподстилочного помета от неспорообразующих возбудителей инфекционных болезней допускается осуществлять в метантенках.
15.16 Количество метантенков для обеззараживания жидкого навоза и бесподстилочного помета в случаях возникновения инфекционных заболеваний животных и птиц должно быть не менее двух, чтобы обеспечить их поочередную эксплуатацию в периодическом режиме.
Учитывая возможность поступления необработанного навоза в зоны выпуска сброженной массы, в существующих проточных технологиях с эксплуатацией двух метантенков следует предусматривать выдерживание сброженного навоза на очистных сооружениях не менее трех суток в отстойниках или емкостях.
При наличии трех и более метантенков для ферментации, работающих в последовательном режиме, обеспечивается шестисуточное карантинирование обрабатываемой массы, и дополнительных емкостей для сброженного навоза не требуется.
15.17 Обеззараживание жидкого навоза и помета в метантенках в термофильном режиме сбраживания достигается при температуре 53 - 55 °C и экспозиции не менее трех суток без добавления свежих порций навоза (помета).
При попадании контаминированного сброженного навоза (помета) в накопители, обеззараживание осуществляется в соответствии с Ветеринарно-санитарными
правилами подготовки к использованию в качестве органических удобрений навоза, помета и стоков при инфекционных и инвазионных болезнях животных и птицы при выдерживании сброженной массы в открытом навозохранилище в течение 6 месяцев.
15.18 Обеззараживание навоза и помета в мезофильном режиме эксплуатации метантенков обеспечивается при температуре 33 - 38 °C и экспозиции 10 - 15 суток или температуре 40 - 42 °C и экспозиции 7 - 9 суток без добавления свежих порций навоза (помета).
15.19 Навоз и помет влажностью до 75% допускается обеззараживать в аэробных биоферментаторах при температуре ферментации 65 °C и экспозиции 7 - 10 суток.
15.20 Для биотермического обеззараживания подстилочного помета, твердой фракции навоза и компоста их влажность должна составлять не более 75%, что обеспечит доведение температуры по всему объему массы в бурте до 55 - 60 °C при сроке выдерживания массы в буртах не менее 2 месяцев в теплое время года и 3 месяцев - в холодное время года.
Примечание
1 При отсутствии активных биотермических процессов и невозможности подъема температуры выше 40 °C подстилочный помет, твердую фракцию навоза и компост при контаминировании вегетативными возбудителями инфекций для обеззараживания выдерживают в течение 12 месяцев, а при туберкулезе - 18 месяцев.
15.21 Бесподстилочный полужидкий навоз и помет влажностью 85 - 92% следует обеззараживать путем приготовления компостов с органическими влагопоглощающими компонентами (измельченная солома, торф, опилки, кора, лигнин) и укладкой их в бурты.
Для обеспечения требуемой для биотермического обеззараживания температуры соотношение между компостируемой массой и влагопоглощающими компонентами должно быть не менее 1:1. При этом бурт укладывается рыхло.
Для предотвращения рассеивания возбудителей инфекционных болезней переукладка (аэрация) бурта не производится.
15.22 При возникновении на животноводческих фермах и комплексах, птицеводческих предприятиях эпизоотий, вызванных спорообразующими возбудителями особо опасных болезней обработка навоза и помета запрещается. Подстилочный навоз, помет и осадки отстойников сжигают, полужидкий, жидкий навоз, бесподстилочный помет и навозные стоки подвергают термическому обеззараживанию.
15.23 Дегельминтизацию (дезинвазию) всех видов навоза и его фракций, помета следует проводить биологическим, термическим или химическим методами.
15.24 Биологический метод дегельминтизации (дезинвазии) предусматривает выдерживание подстилочного навоза и помета, жидкого и полужидкого навоза и бесподстилочного помета в открытых хранилищах:
- на фермах и комплексах крупного рогатого скота - в течение 6 месяцев;
- на свиноводческих фермах и комплексах - в течение 12 месяцев.
- на птицеводческих предприятиях - в течение 3 - 6 месяцев.
Дегельминтизация полужидкого навоза крупного рогатого скота в подпольных навозохранилищах при отсутствии животных в помещениях над навозохранилищем достигается его выдерживанием в течение 5 месяцев.
15.25 Биологическая дегельминтизация жидкой фракции свиного навоза осуществляется выдерживанием в секционных прудах-накопителях:
- в весенне-летний период - в течение не менее 6 месяцев;
- в период осеннего накопления - в течение 9 месяцев.
Биологическая дегельминтизация жидкой фракции навоза крупного рогатого скота достигается при выдерживании ее в секционных накопителях не менее 4 месяцев.
15.26 Химическая дегельминтизация жидкого и полужидкого навоза крупного рогатого скота, бесподстилочного помета, осадка и избыточного ила может осуществляться путем обработки безводным аммиаком в количестве 2% к объему и экспозиции 2 суток.
Термическую дегельминтизацию жидкого навоза в аппарате контактного нагрева с погружной горелкой следует производить при температуре 60 °C.
15.27 Дегельминтизация твердой фракции навоза, компоста, подстилочного навоза крупного рогатого скота и помета влажностью до 70% обеспечивается биотермическим способом при выдерживании в буртах в теплое время года не менее одного месяца, в холодное время года - не менее 2 месяцев; влажностью 75% - выдерживанием в буртах в весенне-летний период - не менее 3 месяцев и в осенне-зимний период - не менее 6 месяцев.
Параметры буртов: высота по верху - 2 - 2,5 м, ширина основания - до 3,5 - 4 м, длина - произвольная.
Дегельминтизацию навоза и помета биотермическим способом допускается проводить на подготовленных полевых грунтовых площадках, обустроенных на твердых грунтах и поверхностях с соблюдением экологических и ветеринарно-санитарных требований.
15.28 Бурты твердой фракции свиного навоза влажностью 65 - 70% выдерживают не менее одного месяца в весенне-летний и 2 месяцев в осенне-зимний период; влажностью 75 - 78% - не менее 3 месяцев в весенне-летний и 6 месяцев в осенне-зимний период.
Твердая фракция свиного навоза, накапливаемая в фильтрационно-осадочных сооружениях, обеспечивающих удаление жидкой фракции с помощью системы шандорного и дренажного устройств, при начальной влажности 75 - 78% выдерживается в целях дезинвазии 3,5 месяца весенне-летнего периода.
15.29 Дегельминтизация при компостировании достигается при условии развития биотермических процессов во всех слоях навоза:
- жидкого;
- полужидкого;
- подстилочного при послойной, двух- или одноприемной закладке смеси с добавлением различных, в том числе нетрадиционных компонентов (древесная кора и др.).
При этом экспозиция дегельминтизации должна составлять не менее 1,5 месяцев, а началом процесса следует считать достижение температуры в верхних и нижних слоях бурта 35 - 38 °C и в центре - 50 °C.
15.30 Дегельминтизация (дезинвазия) твердого подстилочного навоза, получаемого на свиноводческих фермах крестьянских (фермерских) хозяйств, осуществляется при складировании навоза в бурты: высотой не более 1,5 м, шириной в основании 2,5 - 3 м и выдерживанием в буртах более одного года.
Для ускорения уничтожения возбудителей гельминтозов - аскаридоза, трихоцефалеза, геменолипидоза требуется механическое перемешивание массы осенне-зимнего периода накопления (один-два раза в теплое время года) и выдерживание его на площадках 5 - 6 месяцев.
15.31 При внесении в почву жидкого навоза крупного рогатого скота на луга и пастбища в весенне-летний период внутрипочвенным способом дегельминтизация обеспечивается внутри почвенного слоя при глубине заделки массы 17 см и более.
16 ОХРАНА ОКРУЖАЮЩЕЙ СРЕДЫ
16.1 В соответствии с требованиями Федерального
закона Российской Федерации "Об охране окружающей среды" и "Водного
кодекса" при проектировании, строительстве и эксплуатации систем удаления и подготовки к использованию навоза и помета должны соблюдаться требования в области охраны окружающей среды, проводиться мероприятия по охране земель, почв, водных объектов, растений, животного мира и других объектов. Животноводческие фермы и комплексы, птицеводческие предприятия являются потенциальными источниками загрязнения водных объектов и почвы окружающих территорий органическими отходами, содержащими биогенные элементы, и распространения возбудителей болезней, содержащихся в навозе, помете, навозных (пометных) стоках и производственных сточных водах.
16.2 При проектировании систем удаления и подготовки к использованию навоза и помета следует учитывать требования по охране компонентов окружающей среды от загрязнения:
- проекты систем должны содержать данные о количестве исходного и подготовленного к использованию навоза и помета, навозных и пометосодержащих стоков, продуктах их переработки, указания о способах, направлениях использования.
Примечания
1 Площадь сельскохозяйственных угодий, необходимая для использования навоза и помета, рассчитывается с учетом типа и размера фермы, комплекса, предприятия, количества питательных веществ, содержащихся в навозе и помете, вида возделываемых культур, потребности их в питательных веществах, выноса этих веществ с урожаем сельскохозяйственных культур, доз, сроков внесения и способов заделки их в почву.
Ориентировочные дозы, сроки внесения и способы заделки бесподстилочного навоза, примерный вынос питательных веществ с урожаем сельскохозяйственных культур приведены в
приложениях Е,
Ж.
2 Конструктивные решения сооружений сбора, накопления и хранения всех видов навоза, помета и поверхностного стока должны обеспечивать их герметичность и исключить процессы фильтрации жидкости в грунт и инфильтрации грунтовых вод в эти сооружения.
3 Не допускается размещение систем и сооружений подготовки и использования всех видов навоза, помета и поверхностных стоков в зонах санитарной охраны источников водоснабжения и минеральных источников во всех зонах округов санитарной, горно-санитарной охраны лечебно-оздоровительных местностей и курортов.
4 Не допускается строительство новых, расширение существующих систем удаления и подготовки навоза и помета к использованию на территории санитарно-защитных зон между животноводческими фермами и комплексами, птицеводческими предприятиями и поверхностными водными объектами.
5 Запрещается сброс в водные объекты навозных, пометных и производственных стоков, не очищенных до требуемых параметров.
6 Проекты нового строительства и реконструкции систем удаления и подготовки к использованию всех видов навоза и помета подлежат согласованию с органами государственного ветеринарного, санитарного надзора и экологического контроля.
16.3 Территория для размещения сооружений подготовки к использованию навоза и помета должна соответствовать требованиям
СП 19.13330.
16.4 Площадки под сооружения по обработке и подготовке к использованию навоза, помета и сточных вод следует располагать по отношению к животноводческой ферме, комплексу, птицеводческому предприятию и жилой застройке с подветренной стороны господствующих ветров в теплое время года.
16.5 При размещении площадок под сооружения по обработке и подготовке к использованию навоза и помета должны соблюдаться нормируемые зооветеринарные расстояния от зданий и сооружений животноводческих ферм и комплексов, птицеводческих предприятий и расстояния до селитебной (санитарно-защитной) зоны. По периметру площадок сооружений следует предусматривать посадки зеленых насаждений, экранирующие и фильтрующие вредные выбросы.
16.6 Здания и сооружения на площадке следует размещать, таким образом, чтобы обеспечивалось сквозное проветривание пространства.
16.7 Технологии обработки и использования навоза, помета и сточных вод должны обеспечивать уменьшение выбросов загрязняющих веществ в атмосферу за счет:
- проектирования минимальных площадей открытых накопителей навоза, помета, сточных вод;
- применения биологических, химических, физических и комбинированных методов обработки навоза, помета, сточных вод;
- внесения в навоз, помет и сточные воды различных дезодорирующих добавок (клиноптиломита, гашеной и негашеной извести, железного купороса, персульфата натрия, древесных опилок и др.).
16.8 Определяющими веществами при расчете рассеивания загрязнений в атмосфере от сооружений по обработке и подготовке к использованию навоза и помета и сточных вод следует принимать аммиак и сероводород.
При выбросах в атмосферу вентиляционного воздуха, содержащего вредные вещества, следует предусматривать рассеивание пылегазовых смесей, не допуская превышение предельно допустимых концентраций.
16.9 Для улавливания загрязняющих веществ или полного исключения их выбросов в атмосферный воздух следует предусматривать очистку вентиляционных выбросов с помощью механических или биологических фильтров, облучения ультрафиолетовыми лучами или обработки озоном, адсорбционных или абсорбционных способов и т.п.
16.10 Площадки сооружений по обработке и подготовке к использованию навоза, помета и сточных вод следует размещать по рельефу местности:
- ниже поселений и водозаборных сооружений по течению поверхностных водостоков;
- ниже сооружений водоснабжения.
16.11 На животноводческих фермах и комплексах, птицеводческих предприятиях, как правило, должны предусматриваться системы бытовой, производственной и дождевой канализации с очистными сооружениями, обеспечивающими показатели, допустимые для сброса на земледельческие поля орошения (ЗПО) или в водные объекты.
16.12 Животноводческие фермы и комплексы, птицеводческие предприятия должны быть обеспечены площадями сельскохозяйственных угодий, достаточными для использования всего годового объема получаемых органических отходов или на них должна предусматриваться обработка навоза, помета и сточных вод, обеспечивающая значительное уменьшение объемов получаемых отходов, с возможностью перевозки их на дальние расстояния.
16.13 При проектировании крупных свиноводческих комплексов со способом удаления навоза прямым смывом водой из свинарников и отсутствии достаточных площадей ЗПО необходимо предусматривать биологическую очистку навозных стоков до показателей, позволяющих сбрасывать их на очистные сооружения городских поселений (промышленных предприятий) или в водные объекты.
16.14 На животноводческих фермах, комплексах и птицеводческих предприятиях следует предусматривать оборотные системы водоснабжения, системы повторного использования очищенных сточных вод, максимально сокращающие сброс сточных вод в водные объекты.
16.15 Все виды навоза, помета, сточных вод, вносимые в почву в качестве органического удобрения, не должны содержать патогенные микроорганизмы.
16.16 В проектах необходимо предусматривать меры, предотвращающие аварийные сбросы:
- устройство дублирующих напорных навозопроводов, оборудования, сооружений;
- обеспечение электроснабжения оборудования от двух независимых источников;
- применение оборудования и навозопроводов, стойких к коррозионному и абразивному воздействию сточных вод;
- устройство автоматического контроля и сигнализации превышения уровня жидкости в емкостных сооружениях;
- устройство автоматического включения резервного оборудования при выходе из строя рабочего.
16.17 На животноводческих фермах и комплексах, птицеводческих предприятиях, имеющих очистные сооружения, необходимо предусматривать систему контроля за количеством и качеством поступающих и очищенных сточных вод, проводить постоянные лабораторные анализы их физико-химического и бактериологического состава.
16.18 Для контроля за химическим и бактериологическим составом грунтовых вод при использовании навоза, помета и сточных вод на ЗПО следует предусматривать устройство наблюдательных скважин.
16.19 Все емкостные сооружения надлежит предусматривать водонепроницаемыми.
16.20 Отработанные, не используемые водозаборные скважины, расположенные на площадках сооружений по обработке и использованию навоза, помета и сточных вод, необходимо затампонировать.
16.21 Площадки сооружений по обработке и подготовке к использованию навоза, помета и сточных вод следует размещать на непригодных для ведения сельского хозяйства землях.
16.22 На участках расположения сооружений после их строительства необходимо предусматривать восстановление (рекультивацию) нарушенного плодородного слоя почвы.
16.23 Для размещения сооружений по обработке и подготовке к использованию навоза, помета и сточных вод следует выбирать площадки, свободные от ценных пород деревьев и кустарников.
16.24 На участках строительства сооружений и прилегающих территориях следует максимально сохранять существующую растительность. Ценные породы деревьев и кустарников в возрасте 5 - 8 лет, попавшие под застройку, следует пересаживать в специально отведенные места.
16.25 Перед началом строительства необходимо создавать условия для миграции диких животных и птиц с площадок по обработке и подготовке к использованию (в том числе и ЗПО) навоза, помета и сточных вод.
(справочное)
В настоящих методических рекомендациях применены следующие термины с соответствующими определениями.
А.1 анаэробная ферментация: ферментация (разложение) органических веществ, осуществляемая при отсутствии кислорода.
А.2 бесподстилочный навоз (помет): навоз (помет) без подстилки с добавлением воды или без нее.
А.3 вермикомпостирование: процесс переработки органических отходов дождевыми (калифорнийскими) червями.
А.4 девитация: потеря всхожести семян сорняков.
А.5 дегельминтизация: комплекс лечебно-профилактических мероприятий по уничтожению гельминтов на всех стадиях их развития.
А.6 дезинвазия: уничтожение во внешней среде зародышевых элементов (яиц и личинок гельминтов, ооцист, кокцидий и т.д.) возбудителей инвазионных болезней человека, животных и растений.
А.7 дезинфекция (обеззараживание): уничтожение во внешней среде возбудителей инфекционных болезней (бактерий, вирусов, грибков, риккетсий, простейших).
А.8 животноводческие стоки: жидкая часть навозных стоков или жидкого навоза (помета) после разделения их на фракции.
А.9 жидкий навоз: бесподстилочный навоз (помет), содержащий от 3 до 8% сухого вещества.
А.10 кал: содержимое дистального отдела толстых кишок животных, выделяемое при дефекации.
А.11 карантинный резервуар (емкость): инженерное сооружение для выдерживания жидкого навоза, навозных стоков их жидкой фракции для выявления эпизоотической ситуации на животноводческих и птицеводческих объектах.
А.12 категория взрывной, взрывопожарной и пожарной опасности зданий и сооружений: определяется по виду находящихся в них горючих веществ и материалов, их количества и пожароопасных свойств, особенностей технологических процессов.
А.13 комплекс животноводческий: совокупность интенсивного содержания высокопродуктивных животных определенного вида на ограниченной площади с компактной застройкой производственными и вспомогательными объектами на основе круглогодового равномерного производства продукции, комплексной механизации технологических процессов, с оптимальными условиями кормления, содержания и ухода за животными, со строгой санитарной защитой комплекса и передовыми приемами индустриального труда.
А.14 комплекс, ферма с законченным производственным циклом: производство включает в себя следующие стадии: производство племенного молодняка, репродукция откормочного поголовья, откорм животных (использование продуктивного поголовья, например, коров).
А.15 компост: органическое удобрение, полученное в результате разложения органических отходов растительного или животного происхождения.
А.16 контаминация: соприкосновение, смешивание.
А.17 минимальное зооветеринарное расстояние: минимальное расстояние (в метрах) от объекта, на котором находятся животные или располагаются службы, связанные с обеспечением работы животноводческого объекта, до других животноводческих и гражданских объектов, позволяющее нормально функционировать данному объекту и обеспечивающее нейтрализацию отрицательных факторов воздействия на животных, окружающие объекты и ветеринарное благополучие объекта.
А.18 моча: жидкий продукт (секрет), образующийся в почках животного и выделяемый наружу через систему мочевыводящих путей.
А.19 навоз: смесь твердых и жидких экскрементов животных, остатков корма и подстилочного материала (солома, торф, опилки) и без него.
Примечание - В зависимости от системы содержания животных, способов удаления навоза различают навоз подстилочный, бесподстилочный полужидкий, жидкий и навозные стоки.
А.20 навозная жижа: жидкость, выделяемая при хранении подстилочного навоза.
А.21 навозные (пометные) стоки: бесподстилочный навоз (помет), содержащий менее 3% сухого вещества.
А.22 навозохранилище (пометохранилище): сооружение для сбора, обеззараживания и хранения навоза (помета), удаленного из животноводческих (птицеводческих) помещений. Типы навозохранилищ (пометохранилищ) зависят от консистенции навоза, сроков его хранения, способов удаления, а также от природно-климатических условий.
А.23 накопитель: сооружение для сбора, хранения животноводческих стоков в межполивной период.
А.24 подстилка: средство обеспечения животным сухого, теплого, мягкого логова. Подстилка должна быть сухой, мягкой и влагоемкой, не содержать вредных растений и плесени, обладать способностью бактерицидности и поглощения из воздуха вредных газов, а также улучшать качество навоза.
А.25 подстилочный навоз (помет): навоз (помет) с подстилкой и кормовыми остатками.
А.26 полужидкий навоз (помет): бесподстилочный навоз (помет), содержащий от 8% до 14% сухого вещества.
А.27 принцип "Предприятия закрытого типа": вход на территорию посторонним лицам, а также въезд любого вида транспорта, не связанного с непосредственным обслуживанием данного объекта запрещается, посещение объекта посторонними лицами допускается в исключительных случаях по разрешению ветеринарной службы данного объекта; посторонние лица, допущенные на объект, проходят санитарную обработку и регистрируются в специальном журнале; вход в производственную зону разрешается только через санпропускник, а въезд транспорта - через постоянно действующий дезбарьер; территория объекта должна иметь сплошное ограждение.
А.28 птичий помет: продукт жизнедеятельности птиц, выделяется из клоаки в момент дефекации.
А.29 реологические свойства: деформационные, вязкостные свойства.
А.30 санитарно-защитная зона: минимальное расстояние (в метрах) между промышленным предприятием и жилыми или общественными зданиями, а также объектами различного назначения для защиты населения от влияния вредных факторов производства (шум, запыленность, выбросы и т.д.).
А.31 сеголеток: рыба "сего лета", возрастное название прудовой рыбы. Сеголеток имеет возраст меньше года. Это название удерживается за молодой рыбой с момента посадки мальков в пруд.
А.32 седиментационные свойства: способность расслаиваться.
А.33 сидеральные культуры (растения): растения, зеленая масса которых запахивается для обогащения почвы органическими веществами, азотом и другими питательными веществами.
А.34 ферма животноводческая: подразделение сельскохозяйственной организации, занимающейся разведением животных и производством продукции животноводства. От комплекса отличается отсутствием в течение года равномерного выпуска продукции.
А.35 шандорный затвор (шандор): временный затвор, устанавливаемый в канале. Основные элементы шандора - рама и щит. Между рамой и щитом предусмотрено утепление, которое усиливает герметизацию конструкции в закрытом состоянии.
А.36 эпизоотия: одновременное, прогрессирующее во времени и пространстве в пределах определенной территории распространение заразной болезни среди большого числа животных одного или многих видов, значительно превышающее обычно регистрируемый на данной территории уровень заболеваемости по данной болезни.
(справочное)
НОРМЫ ПОТРЕБНОСТИ В ПОДСТИЛКЕ ЖИВОТНЫХ И ПТИЦЫ
Б.1 Нормы потребности в подстилке на одну голову в сутки для крупного рогатого скота и свиней.
Б.2 Нормы потребности в подстилке на период выращивания птицы.
Таблица Б.1
Нормы потребности в подстилке на одну голову в сутки
для крупного рогатого скота и свиней
Половозрастные группы животных | Суточная потребность, кг |
солома | древесные опилки | торф |
1 | 2 | 3 | 4 |
Крупный рогатый скот |
Коровы молочных пород и молодняк: |
- привязное содержание | 0,5 |
- привязное содержание | 1,5 | - | 3,0 |
- боксовое содержание | 0,5 | - | 1,0 |
- комбибоксовое содержание | 0,5 | - | 1,0 |
| | ИС МЕГАНОРМ: примечание. Значения в графе 2 даны в соответствии с официальным текстом документа. | |
|
- беспривязное на глубокой подстилке | | - | |
- беспривязное в боксах с полами из тюков соломы | 0,5 | - | - |
Коровы мясные с телятами при беспривязном содержании на глубокой подстилке | 5,0 | - | 10,0 |
Откормочное поголовье: | |
- при привязном содержании | 1,0 | - | 3,0 |
- при беспривязном содержании на глубокой подстилке | 3,0 | - | 8,0 |
- при беспривязном содержании в боксах с полами из тюков соломы | 0,5 | - | - |
Телята: |
- привязное содержание в индивидуальных клетках | 1,5 | - | - |
- боксовое содержание в групповых клетках | 1,0 | - | - |
- боксовое содержание в индивидуальных клетках | - | - | 1,0 |
- беспривязное содержание на глубокой подстилке в индивидуальных и групповых клетках | 1,5 | - | 1,0 |
Свиньи |
Хряки-производители | 0,8 | 0,8 | - |
Свиноматки: | |
- супоросные и холостые | 0,55 | 0,55 | - |
- подсосные с приплодом | 1,4 | 1,4 | - |
Поросята-отъемыши | 0,3 | 0,3 | - |
Ремонтный молодняк | 0,2 | 0,2 | - |
Откормленное поголовье | 0,14 | 0,14 | - |
<*> В числителе - потребность для молочных коров, в знаменателе - для молодняка. Примечание - Нормы потребности в подстилке приведены из расчета 15% влажности соломы и 45% влажности торфа. При другой влажности материалов их количество должно быть соответственно изменено. |
Таблица Б.2
Нормы потребности в подстилке на период содержания птицы
Виды и возрастные группы птицы | Требуется на период выращивания на 1 гол./кг |
Взрослая птица |
Куры мясояичных пород и ремонтный молодняк в возрасте 18 - 22 нед. | 5,5 |
Куры мясных пород и ремонтный молодняк в возрасте 18(19) - 26 нед. | 6,0 |
Утки и ремонтный молодняк в возрасте 22 - 28(29) нед. | 20,0 |
Молодняк птицы |
Молодняк кур в возрасте, недели: | |
1 - 9 | 1,5 |
9 - 18(19) | 2,0 |
Молодняк уток в возрасте, недели: | |
1 - 8(7) | 6,7 |
8(9) - 21/11 - (22 - 24)25 | 15,0 |
Примечание - Периодичность смены подстилки в год для кур - один раз, для других видов птицы - после каждой партии. |
(рекомендуемое)
ГИДРАВЛИЧЕСКОГО РАСЧЕТА НАПОРНЫХ НАВОЗОПРОВОДОВ
В.1 Рекомендации по проектированию напорных навозопроводов
В.2 Гидравлический расчет напорных навозопроводов
В.3 Пример гидравлического расчета напорного навозопровода.
В.1 Рекомендации по проектированию напорных навозопроводов
Накапливаемый на животноводческих фермах и комплексах бесподстилочный навоз представляет собой трехфазную коллоидно-полидисперсную массу. В его состав входят экскременты животных, остатки кормов, технологическая вода, а также газы, образующиеся в результате биохимических процессов, протекающих в навозе во время его хранения.
Основными физико-механическими характеристиками навоза и навозных стоков, обусловливающими надежную и эффективную работу трубопроводного транспорта, является фракционный состав навоза, его седиментационные и реологические свойства. Вязкость навоза и его плотность существенно влияют на потери напора.
С повышением влажности навоза его вязкость уменьшается, а предельное напряжение сдвига стремится к нулю.
Навоз различных половозрастных групп свиней и крупного рогатого скота имеет влажность 86 - 91% и не разделяется на фракции при отстаивании. Расслоение навоза происходит при влажности 92% и более, причем при влажности 96,5% оно происходит интенсивно, а выпадаемый осадок уплотняется, что вызывает необходимость постоянного перемешивания навоза.
Повышение степени разбавления навоза водой при одновременном перемешивании его сопровождается увеличением содержания растворенных веществ и уменьшением содержания взвешенных веществ, выпадающих в осадок.
При влажности навозной массы менее 92%, когда не происходит расслоения, скорость движения в навозопроводе может быть менее 0,7 м/с. Навозные стоки влажностью более 92% при малой скорости движения подвергаются расслоению. При этом часть твердой фракции оседает на стенки трубы, уменьшая живое сечение навозопровода.
После прекращения работы насоса выпавший осадок затвердевает, что в конечном счете может привести к закупорке навозопровода.
Для предотвращения закупорки напорного навозопровода скорость движения в нем должна быть не менее незаиливающей, приведенной в
таблице В.1, а перерывы в работе насоса должны быть минимальными.
Таблица В.1
Значения незаиливающей скорости
Диаметр навозопровода, мм | Незаиливающая скорость для навозных стоков, м/с |
свиней | крупного рогатого скота |
150 | 0,90 | 0,70 |
200 | 1,00 | 0,75 |
250 | 1,10 | 0,80 |
300 | 1,20 | 0,85 |
400 | 1,25 | 0,96 |
При невозможности обеспечить необходимые скорости движения и при перерывах в перекачке навозных стоков более 2 ч необходимо предусматривать промывку напорных навозопроводов технической или осветленной сточной водой. Скорость движения воды при промывке принимается в пределах 1,2 - 1,5 м/с. Объем промывной воды должен быть не менее полуторного объема промываемого навозопровода.
Напорные навозопроводы, как правило, следует прокладывать в две нитки.
В.2 Гидравлический расчет напорных навозопроводов
Гидравлический расчет напорных навозопроводов следует проводить на максимальный секундный расход.
Расход стоков, протекающих в навозопроводе:
Q = W x V, (1)
где W - площадь живого сечения навозопровода, м2;
V - средняя скорость движения стоков в навозопроводе, м/с.
Площадь живого сечения навозопровода:

(2)
где dВ - расчетный внутренний диаметр навозопровода, м.
Тогда

, из этой формулы определяем

(3)
Скорость в напорных навозопроводах назначается с учетом реологических и седиментационных свойств, незаиливающей скорости и влажности навозных стоков, а также диаметра навозопровода.
Для определения диаметра навозопровода предварительно задаются скоростью, равной незаиливающей
(таблица В.1).
Незаиливающая скорость в трубах достигает максимального значения при влажности навозных стоков свиней 96% и навозных стоков крупного рогатого скота 97%.
По заданному расходу и полученному диаметру определяют скорость движения стоков:
Гидравлический уклон (величина потерь напора на единицу длины) определяется по формуле

(4)
где

- коэффициент гидравлического трения (коэффициент Дарси);
g - ускорение свободного падения, м/с2.
Коэффициент гидравлического трения определяют в зависимости от реологических свойств сточных вод.
Для навозных стоков влажностью 86 - 93% и ламинарном режиме движения коэффициент гидравлического трения определяется:
- для стоков свиней

при

; (5)
- для стоков крупного рогатого скота

при

, (6)
где

- обобщающее число Рейнольдса, вычисляемое по формуле

(7)
где

- динамическая вязкость, Па x с,

- плотность, кг/м
3;

- предельное напряжение сдвига, Па.
Таблица В.2
Ориентировочные значения динамической вязкости,
плотности, предельного напряжения сдвига навоза
и навозных стоков свиней
Влажность навоза и навозных стоков, % | Характеристика навоза и навозных стоков |
Па x с | кг/м3 | Па |
1 | 2 | 3 | 4 |
86 | 0,700 | 1054,4 | 50 |
87 | 0,520 | 1050,4 | 30 |
88 | 0,400 | 1046,4 | 20 |
89 | 0,320 | 1042,4 | 15,0 |
90 | 0,280 | 1038,4 | 9,0 |
91 | 0,220 | 1034,4 | 5,0 |
92 | 0,200 | 1030,3 | 1,8 |
93 | 0,150 | 1026,3 | 1,6 |
94 | 0,100 | 1022,3 | 0,9 |
95 | 0,020 | 1018,5 | - |
96 | 0,016 | 1014,3 | - |
97 | 0,011 | 1010,1 | - |
98 | 0,006 | 1005,0 | - |
Таблица В.3
Ориентировочные значения динамической вязкости,
плотности, предельного напряжения сдвига навоза
и навозных стоков крупного рогатого скота
Влажность навоза и навозных стоков, % | Характеристика навоза и навозных стоков |
Па x с | кг/м3 | Па |
86 | 1,300 | 1034,2 | 75,0 |
87 | 1,200 | 1032,2 | 60,0 |
88 | 1,000 | 1029,6 | 50,0 |
89 | 0,800 | 1026,9 | 40,0 |
90 | 0,600 | 1024,4 | 37,0 |
91 | 0,450 | 1021,8 | 14,0 |
92 | 0,300 | 1019,1 | 5,0 |
93 | 0,100 | 1016,5 | 2,5 |
94 | 0,080 | 1013,9 | 1,0 |
95 | 0,050 | 1011,3 | - |
96 | 0,035 | 1008,7 | - |
97 | 0,030 | 1006,1 | - |
98 | 0,010 | 1003,5 | - |
При температуре 18 - 20 °C и влажности 86 - 92% плотность навоза составляет 996 - 989 кг/м3 (в результате образования пузырьков газа).
Для навозных стоков свиней и крупного рогатого скота влажностью 86 - 98% и турбулентном режиме движения коэффициент гидравлического трения определяется по формуле

(8)
где

- для стоков свиней;

- для стоков крупного рогатого скота.
Для навозных стоков свиней и крупного рогатого скота влажностью 93 - 98% и ламинарном режиме движения коэффициент гидравлического трения определяется по формуле

(9)
где

- для стоков свиней;

- для стоков крупного рогатого скота.
Для навозных стоков свиней и крупного рогатого скота влажностью 93 - 98%

(10)
Потери напора по длине навозопровода, м, определяются по формуле
где l - длина навозопровода, м.
Местные потери напора принимаются 0,10 - 0,12 потерь напора по длине.
Необходимый напор (м) насоса определяется по формуле
HН =
hД +
hМ +
hг +
hсв, (12)
где hД - потери напора по длине навозопровода, м;
hМ - местные потери напора, м;
hг - геометрическая разность отметок всасывания и подачи, м;
hсв - свободный напор, м.
При проектировании новых животноводческих ферм и комплексов влажность навоза и навозных стоков определяется расчетным путем, при реконструкции - путем проведения анализов. В случае отсутствия данных по влажности для предварительных расчетов можно пользоваться значениями, приведенными в
таблице В.4.
Таблица В.4
Ориентировочные значения влажности навоза и навозных
стоков при различных способах удаления навоза
Способ удаления навоза | Влажность навоза и навозных стоков, % |
в каналах навозоудаления | при выходе с фермы, комплекса |
Механический | 88 - 90 | - |
Гидравлический: | | |
- самотечный: | | |
а) непрерывного действия и секционный | 89 - 92 | 95,5 - 97,0 |
б) периодического действия | 90 - 94 | 96,0 - 97,5 |
- смывной: | | |
а) бесканальный | 92 - 95 | 97,0 - 98,0 |
б) канальный (баки, насадки) | 93 - 96 | 97,5 - 98,5 |
В.3 Пример гидравлического расчета напорного навозопровода
Задача
Определить необходимый напор для перекачки навозных стоков свиней влажностью 92% с расходом 18 л/с (0,018 м3/с) по стальному трубопроводу на расстояние 500 м при геометрической разности отметок всасывания и подачи 10 м.
Решение
По
таблице В.1 находим незаиливающую скорость 0,90 м/с и задаем скорость в трубопроводе, равную ей.
По
формуле (3) определяем расчетный внутренний диаметр навозопровода:
| | ИС МЕГАНОРМ: примечание. Формула дана в соответствии с официальным текстом документа. | |
Принимаем навозопровод из стальных труб с внутренним диаметром 160 мм.
По
таблице В.2 при влажности навозных стоков 92% находим характеристики сточных вод:
По заданному расходу 18 л/с (0,018 м3/с) и определенному внутреннему диаметру 160 мм находим фактическую расчетную скорость:
Принимая во внимание, что влажность навозных стоков свиней равна 92%, вычисляем обобщенное число Рейнольдса по
формуле (7)
Учитывая, что

, т.е. режим движения в навозопроводе ламинарный, коэффициент гидравлического трения вычисляется по
формуле (5)
Потери напора по длине навозопровода определяются по
формуле (11)
hД = 0,022 x 500 = 11,0 м.
HН = 11,0 + 1,1 + 10,0 + 2,0 = 24,1 м.
(рекомендуемое)
РАСХОД И ХАРАКТЕРИСТИКА НАПОЛНИТЕЛЕЙ
ДЛЯ КОМПОСТИРОВАНИЯ НАВОЗА И ПОМЕТА
Расход торфа и соломы, а также характеристика наполнителей для компостирования навоза и помета приведены в
таблицах Г.1 -
Г.3.
Таблица Г.1
Расход торфа и соломы на приготовление компоста
Влажность компостной смеси, % | Влажность компонента, % | Влажность навоза, % |
75 | 80 | 85 | 88 | 90 | 92 |
1 | 2 | 3 | 4 | 5 | 6 | 7 | 8 |
Торф |
65 | 45 | 0,50 | 0,75 | 1,00 | 1,15 | 1,25 | 1,35 |
50 | 0,67 | 1,00 | 1,33 | 1,53 | 1,67 | 1,81 |
55 | 1,00 | 1,50 | 2,00 | 2,30 | 2,50 | 2,70 |
60 | 2,00 | 3,00 | 4,00 | 4,60 | 5,00 | 5,40 |
70 | 45 | 0,20 | 0,40 | 0,60 | 0,72 | 0,80 | 1,00 |
50 | 0,25 | 0,50 | 0,70 | 0,90 | 1,00 | 1,10 |
55 | 0,33 | 0,67 | 1,00 | 1,20 | 1,33 | 1,50 |
60 | 0,50 | 1,00 | 1,50 | 1,80 | 2,00 | 2,20 |
75 | 50 | - | 0,20 | 0,40 | 0,50 | 0,60 | 0,70 |
55 | - | 0,25 | 0,50 | 0,65 | 0,75 | 0,85 |
60 | - | 0,30 | 0,70 | 0,90 | 1,00 | 1,10 |
Солома |
65 | 10 | 0,18 | 0,27 | 0,36 | 0,42 | 0,45 | 0,48 |
15 | 0,20 | 0,30 | 0,40 | 0,46 | 1,50 | 0,54 |
20 | 0,22 | 0,33 | 0,44 | 0,51 | 0,56 | 0,60 |
25 | 0,25 | 0,37 | 0,50 | 0,57 | 0,62 | 0,67 |
70 | 10 | 0,08 | 0,17 | 0,25 | 0,30 | 0,33 | 0,36 |
15 | 0,09 | 0,18 | 0,27 | 0,32 | 0,36 | 0,40 |
20 | 0,10 | 0,20 | 0,30 | 0,36 | 0,40 | 0,43 |
25 | 0,11 | 0,22 | 0,33 | 0,40 | 0,44 | 0,48 |
75 | 10 | - | 0,08 | 0,15 | 0,20 | 0,23 | 0,26 |
15 | - | 0,08 | 0,17 | 0,22 | 0,25 | 0,28 |
20 | - | 0,09 | 0,18 | 0,24 | 0,27 | 0,31 |
25 | - | 0,10 | 0,20 | 0,26 | 0,30 | 0,34 |
Таблица Г.2
Характеристика наполнителей для компостирования
навоза и помета
Материал | Влажность, % | Плотность, т/м3 | Размер частиц, мм | Кислотность, pH |
Торф фрезерный для подстилки: | | | | |
- верховой | 50 | 0,2 - 0,4 | До 60 | 2,6 - 4,4 |
- переходный | 50 | 0,2 - 0,4 | До 60 | 2,8 - 5,3 |
Торф для приготовления компостов: | | | | |
- верховой | 60 | 0,2 - 0,4 | До 60 | 2,6 - 4,4 |
- переходный | 60 | 0,2 - 0,4 | До 60 | 2,8 - 5,3 |
- низинный | 60 | 0,2 - 0,5 | До 60 | 4,8 - 7,0 |
Солома зерновых культур (измельченная) | 14 | 0,04 | До 120 | - |
Опилки | 22 | 0,5 | - | 5,0 - 6,0 |
Древесная кора | 26 | 0,5 | До 40 | 5,0 - 6,0 |
Лигнин | 55 | - | До 8 | 2,5 - 3,0 |
Таблица Г.3
Содержание в наполнителях отдельных веществ
Материал | Содержание в абсолютно сухом веществе, % | Влагопоглощение, % |
органического вещества | C | N | P2O5 | K2O | CaO |
Торф фрезерный для подстилки: | | | | | | | |
- верховой | 95 | 49 | 1,5 | 0,2 | 0,1 | 0,5 | 1000 |
- переходный | 95 | 47 | 2,0 | 0,3 | 0,2 | 1,3 | 700 |
Торф для приготовления компостов: | | | | | | | |
- верховой | 95 | 49 | 1,5 | 0,2 | 0,1 | 0,5 | 1000 |
- переходный | 95 | 47 | 2,0 | 0,3 | 0,2 | 1,3 | 700 |
- низинный | 92 | 46 | 3,0 | 0,4 | 0,3 | 2,6 | 600 |
Солома зерновых культур (измельченная) | 95 | 48 | 0,5 | 0,3 | 1,0 | 0,3 | 300 |
Опилки | 94 | 46 | 0,25 | 0,3 | 0,8 | 1,4 | 400 |
Древесная кора | 94 | 42 | 0,5 | 0,1 | 0,1 | 0,1 | 250 |
Лигнин | 93 | 38 | 0,3 | - | - | 0,7 | 300 |
(рекомендуемое)
ОРИЕНТИРОВОЧНЫЕ ГОДОВЫЕ ДОЗЫ ВНЕСЕНИЯ ПОМЕТА
ПОД СЕЛЬСКОХОЗЯЙСТВЕННЫЕ КУЛЬТУРЫ
Ориентировочные годовые дозы внесения помета и торфопометного компоста под сельскохозяйственные культуры на дерново-подзолистых почвах Нечерноземной зоны приведены в
таблице Д.1.
Ориентировочные годовые дозы внесения помета под сельскохозяйственные культуры на серых лесных и черноземных почвах лесостепной зоны приведены в
таблице Д.2.
Таблица Д.1
Ориентировочные годовые дозы внесения помета
и торфопометного компоста под сельскохозяйственные культуры
на дерново-подзолистых почвах Нечерноземной зоны (т/га)
Культура | Помет | Торфопометный компост |
сухой | естественной влажности | подстилочный |
Озимые зерновые | 3 - 4 | 13 - 15 | 10 - 15 | 20 - 25 |
Яровые зерновые | 3 | 8 - 10 | 10 - 15 | 20 - 25 |
Картофель | 4 - 5 | 15 - 20 | 20 - 25 | 40 - 50 |
Кукуруза на силос | 4 - 5 | 15 - 20 | 15 - 20 | 40 - 60 |
Кормовые корнеплоды | 4 - 5 | 15 - 20 | 15 - 20 | 30 - 50 |
Кормовая капуста | 4 - 5 | 15 - 20 | 15 - 20 | 40 - 60 |
Овощи | 6 - 8 | 20 - 25 | 20 - 25 | 40 - 70 |
Однолетние травы | 3 - 4 | 8 - 10 | 12 - 15 | - |
Многолетние травы | 5 - 8 | 10 - 15 | - | - |
Сенокосы и пастбища | - | 15 - 20 | - | - |
Примечание - На слабоокультуренных почвах следует применять дозы помета и торфопометного компоста соответственно на 2 - 3 т/га и 5 - 8 т/га выше, чем на окультуренных. |
Таблица Д.2
Ориентировочные годовые дозы внесения помета
под сельскохозяйственные культуры на серых лесных
и черноземных почвах лесостепной зоны (т/га)
Культура | Помет | Торфопометный компост |
сухой | естественной влажности | подстилочный |
Зерновые | 2 - 5 | 5 - 7 | 6 - 8 | 10 - 15 |
Картофель | 2 - 4 | 7 - 12 | 10 - 15 | 20 - 25 |
Кукуруза на зерно и силос | 6 - 10 | 7 - 12 | 10 - 15 | 20 - 25 |
Сахарная свекла | 5 - 8 | 7 - 12 | 10 - 15 | 20 - 25 |
Кормовые корнеплоды | 5 - 8 | 7 - 12 | 10 - 15 | 20 - 25 |
Технические | 5 - 8 | 10 - 12 | 12 - 15 | 20 - 25 |
Овощи | 5 - 8 | 10 - 12 | 10 - 15 | 30 - 40 |
Однолетние травы на зеленый корм | 2 - 5 | 5 - 8 | 8 - 10 | 10 - 15 |
Чистый пар | - | 5 - 8 | 7 - 10 | 15 - 20 |
Примечание - На слабоокультуренных почвах следует применять дозы помета и торфопометного компоста соответственно на 2 - 3 т/га и 5 - 8 т/га выше, чем на окультуренных. |
(рекомендуемое)
ПРИМЕРНЫЕ ДОЗЫ И СРОКИ ВНЕСЕНИЯ БЕСПОДСТИЛОЧНОГО НАВОЗА
Примерные дозы и сроки внесения бесподстилочного навоза приведены в
таблице Е.1.
Таблица Е.1
Примерные дозы и сроки внесения бесподстилочного навоза
Сельскохозяйственная культура | Годовая норма | Время внесения |
азота, кг/га | навоза, т/га |
1 | 2 | 3 | 4 |
1 Озимые зерновые | 120 - 140 | | Перед основной обработкой (вспашкой) |
2 Яровые зерновые | 120 - 180 | 30 - 45 | Осенью при зяблевой вспашке или весной под посевную обработку |
3 Картофель столовый | 120 - 200 | | Осенью при зяблевой вспашке или весной перед весенней перепашкой |
4 Сахарная свекла фабричная | 200 - 300 | 50 - 75 | Осенью при зяблевой вспашке или весной под посевную обработку |
5 Кормовая и сахарная свекла на корм скоту | 200 - 320 | 50 - 80 | То же |
6 Кукуруза на зеленый корм и силос | 200 - 320 | 50 - 80 | То же |
7 Многолетние злаковые и злаково-бобовые травы на сено и зеленый корм | | 50 - 75 | Перед посевом и после укосов в виде удобрительного полива или путем разбрызгивания по поверхности почвы |
8 Естественные сенокосы и пастбища | | 25 - 40 | Рано весной и после укоса или стравливания вразброс или внутрипочвенно, лучшие результаты получаются при использовании навозных стоков на орошение, допустимо зимнее внесение (с разрешения местных санитарных и водоохранных органов) |
9 Орошаемые культурные пастбища | | 75 - 90 | То же |
10 Однолетние травы | 120 - 180 | 30 - 45 | Осенью при зяблевой вспашке или весной под посевную обработку |
11 Соя, бобы, горох | 100 - 120 | 25 - 30 | Осенью под зяблевую обработку почвы |
12 Озимые промежуточные культуры | 100 - 120 | 25 - 30 | Под основную или предпосевную обработку |
13 Сидеральные культуры | 120 - 180 | 30 - 45 | Под основную или предпосевную обработку почвы |
<*> Дозы навоза рассчитаны при содержании азота 0,4%. <**> Годовую норму вносят равными частями в 2 - 4 срока. Максимальная доза бесподстилочного навоза на 1 га севооборотной площади не должна превысить 200 кг азота на 1 кг. |
(рекомендуемое)
ПРИМЕРНЫЙ ВЫНОС ПИТАТЕЛЬНЫХ ВЕЩЕСТВ С УРОЖАЕМ
СЕЛЬСКОХОЗЯЙСТВЕННЫХ КУЛЬТУР
Примерный вынос питательных веществ с урожаем сельскохозяйственных культур в среднем по Российской Федерации приведен в
таблице Ж.1.
Таблица Ж.1
Примерный вынос питательных веществ с урожаем
сельскохозяйственных культур
Культура | Урожайность, т/га | Вынос с 1 т продукции, кг | Вынос с 1 га, кг |
N | P2O5 | K2O | N | P2O5 | K2O |
Кукуруза на зеленую массу | 25 - 28 | 4 | 2 | 5 | 100 - 112 | 50 - 56 | 125 - 140 |
Кормовые корнеплоды | 37 - 54 | 4,9 | 1,5 | 6,7 | 181 - 265 | 58 - 81 | 248 - 362 |
Сахарная свекла | 24 - 26 | 5,9 | 1,8 | 7,5 | 142 - 153 | 43 - 47 | 180 - 195 |
Кукуруза на зерно | 4,9 - 5,3 | 34 | 12 | 37 | 166 - 180 | 59 - 64 | 181 - 196 |
Озимая пшеница | 2,9 - 3,2 | 35 | 12 | 25 | 101 - 112 | 35 - 38 | 73 - 80 |
Ячмень | 2,2 - 2,4 | 27 | 11 | 24 | 59 - 65 | 24 - 26 | 53 - 58 |
Овес | 2,2 - 2,5 | 30 | 13 | 29 | 66 - 75 | 29 - 32 | 64 - 72 |
Горох | 1,6 - 1,8 | 66 | 16 | 20 | 106 - 119 | 26 - 29 | 32 - 36 |
Однолетние травы на сено | 3,4 - 4,1 | 15 | 6 | 20 | 51 - 61 | 20 - 25 | 68 - 82 |
Многолетние травы на сено | 4,0 - 5,2 | 18 | 7 | 20 | 72 - 94 | 28 - 36 | 80 - 104 |
Орошаемые сенокосы и пастбища (сухая масса) | 5,8 - 8,9 | 19 | 6 | 20 | 110 - 169 | 35 - 53 | 116 - 178 |