Главная // Актуальные документы // ПособиеСПРАВКА
Источник публикации
М.: Стройиздат, 1989
Примечание к документу
При применении документа следует учитывать, что СНиП 2.08.01-85 утратил силу. С 1 января 1990 года введен в действие
СНиП 2.08.01-89, утв.
Постановлением Госстроя СССР от 16.05.1989 N 78.
Название документа
"Пособие по проектированию жилых зданий. Выпуск 3. Конструкции жилых зданий (к СНиП 2.08.01-85)"
(утв. Приказом ЦНИИЭП жилища Госкомархитектуры от 31.07.1986 N 459)
"Пособие по проектированию жилых зданий. Выпуск 3. Конструкции жилых зданий (к СНиП 2.08.01-85)"
(утв. Приказом ЦНИИЭП жилища Госкомархитектуры от 31.07.1986 N 459)
Приказом ЦНИИЭП жилища
Госкомархитектуры
от 31 июля 1986 г. N 459
ПОСОБИЕ
ПО ПРОЕКТИРОВАНИЮ ЖИЛЫХ ЗДАНИЙ
ВЫПУСК 3
КОНСТРУКЦИИ ЖИЛЫХ ЗДАНИЙ
(к СНиП 2.08.01-85)
Утверждено Приказом ЦНИИЭП жилища Госкомархитектуры от 31 июля 1986 г. N 459.
Рекомендовано к изданию решением секции конструкций научно-технического совета ЦНИИЭП жилища Госкомархитектуры.
Содержит рекомендации по вопросам выбора и компоновки конструктивной системы и проектирования конструкций жилых зданий. Рассмотрены особенности проектирования конструкций крупнопанельных, объемно-блочных, монолитных и сборно-монолитных жилых зданий. Приведены практические методы расчета несущих конструкций, а также примеры расчета.
Пособие предназначено для инженеров-проектировщиков жилых зданий.
Основным направлением индустриализации жилищного строительства в нашей стране является развитие бескаркасного крупнопанельного домостроения, на долю которого приходится более половины общего объема строительства жилых зданий. Крупнопанельные здания выполняются из сравнительно простых в изготовлении плоскостных крупноразмерных элементов. Наряду с плоскостными элементами в крупнопанельных зданиях используются также насыщенные инженерным оборудованием объемные элементы (санитарно-технические кабины, тюбинги шахт лифтов и др.).
Строительство крупнопанельных зданий позволяет по сравнению с кирпичными зданиями снизить стоимость в среднем на 10%, суммарные затраты труда - на 25 - 30%, продолжительность строительства - в 1,5 - 2 раза. Дома из объемных блоков имеют технико-экономические показатели, близкие к крупнопанельным зданиям. Важным преимуществом объемно-блочного дома является резкое сокращение затрат труда на строительной площадке (в 2 - 2,5 раза по сравнению с крупнопанельным домостроением), достигаемое за счет соответствующего увеличения трудоемкости работ на заводе.
В последнее десятилетие в СССР получило развитие домостроение из монолитного бетона. Строительство монолитных и сборно-монолитных жилых домов целесообразно при отсутствии или недостаточной мощности базы панельного домостроения, в сейсмических районах, а также при необходимости строительства зданий повышенной этажности. Возведение монолитных и сборно-монолитных зданий требует значительно меньших (по сравнению с крупнопанельным домостроением) капитальных затрат, позволяет снизить на 10 - 15% расход арматурной стали, но одновременно приводит к увеличению на 15 - 20% построечных затрат.
Применение в современных жилых зданиях из монолитного бетона инвентарных опалубок, арматурных элементов заводского изготовления (сеток, каркасов), механизированных способов транспортировки и укладки бетона позволяет характеризовать монолитное домостроение как индустриальное.
В настоящем Пособии по проектированию конструкций жилых зданий основное внимание уделено наиболее массовым и экономичным строительным системам бескаркасных жилых домов - крупнопанельным, объемно-блочным, монолитным и сборно-монолитным. По другим конструктивным типам жилых домов (каркасным, крупноблочным, кирпичным, деревянным) приведены лишь минимальные сведения и даны ссылки на нормативно-методические документы, где рассмотрено проектирование конструкций таких систем.
Пособие содержит положения по проектированию конструкций жилых зданий, возводимых в несейсмических районах, в части выбора и компоновки конструктивных систем, проектирования конструкций и их расчету на силовые воздействия.
Пособие разработано ЦНИИЭП жилища Госкомархитектуры (кандидаты техн. наук В.И. Лишак - руководитель работы, В.Г. Бердичевский, Э.Л. Вайсман, Е.Г. Валь, И.И. Драгилев, В.С. Зырянов, И.В. Казаков, Э.И. Киреева, А.Н. Мазалов, Н.А. Николаев, К.В. Петрова, Н.С. Стронгин, М.Г. Таратута, М.А. Хромов, Н.Н. Цаплев, В.Г. Цимблер, Г.М. Щербо, О.Ю. Якуб, инженеры Д.К. Баулин, С.Б. Виленский, В.И. Курчиков, Ю.Н. Михайлик, И.А. Романова) и ЦНИИПИмонолит (кандидаты техн. наук Ю.В. Глина, Л.Д. Мартынова, М.Е. Соколов, инженеры В.Д. Аграновский, С.А. Мыльников, А.Г. Селиванова, Я.И. Цирик) при участии МНИИТЭП ГлавАПУ Мосгорисполкома (кандидаты техн. наук В.С. Коровкин, Ю.М. Стругацкий, В.И. Ягуст, инженеры Г.Ф. Седловец, Г.И. Шапиро, Ю.А. Эйсман), ЛенНИИпроект ГлавАПУ Ленгорисполкома (канд. техн. наук В.О. Колтынюк, инженер А.Д. Нелипа), ЦНИИСК им. В.А. Кучеренко Госстроя СССР (кандидаты техн. наук А.В. Грановский, А.А. Емельянов, В.А. Камейко, П.Г. Лабозин, Н.И. Левин), ЦНИИЭП граждансельстрой (кандидаты техн. наук А.М. Дотлибов, М.М. Чернов), НИИЖБ, НИИОСП им. Н.М. Герсеванова Госстроя СССР, НИИ Мосстроя Главмосстроя Мосгорисполкома и ЛенЗНИИЭП Госкомархитектуры.
Отзывы и замечания просим присылать по адресу: 127434, Москва, Дмитровское шоссе, д. 9, корп. Б, ЦНИИЭП жилища, отдел конструктивных систем жилых зданий.
1.1. В Пособии приводятся данные по проектированию конструкций квартирных домов и общежитий высотой до двадцати пяти этажей включительно, возводимых в несейсмических районах на основаниях, сложенных скальными, крупнообломочными, песчаными и глинистыми грунтами (обычные грунтовые условия). В Пособии не рассматриваются особенности проектирования зданий для сейсмических районов и зданий, возводимых на просадочных, мерзлых, набухающих, водонасыщенных заторфованных грунтах, илах, подрабатываемых территориях и в других сложных грунтовых условиях.
При проектировании конструкций наряду с требованиями СНиП 2.08.01-85 следует учитывать положения других нормативных документов, а также требования государственных стандартов на конструкции соответствующего вида.
1.2. Конструктивное решение здания рекомендуется выбирать на основе технико-экономического сравнения вариантов с учетом имеющейся производственно-сырьевой базы и транспортной сети в районах строительства, намечаемых объектах строительства, местных природно-климатических и инженерно-геологических условий, архитектурных и градостроительных требований.
1.3. Жилые здания рекомендуется проектировать с несущими конструкциями из бетона и железобетона (бетонные здания) или каменных материалов в сочетании с железобетонными конструкциями (каменные здания). Жилые здания высотой один-два этажа могут также проектироваться с конструкциями на основе древесины (деревянные здания).
1.4. Бетонные здания подразделяются на сборные, монолитные и сборно-монолитные.
Сборные здания выполняются из сборных изделий заводского или полигонного изготовления, которые устанавливаются в проектное положение без изменения их формы и размеров.
В монолитных зданиях основные конструкции выполняют из монолитного бетона и железобетона.
Сборно-монолитные здания возводятся с применением сборных изделий и монолитных конструкций.
В условиях массового строительства рекомендуется преимущественно применять сборные здания, позволяющие в наибольшей степени механизировать процесс возведения конструкций, сократить сроки строительства и затраты труда на строительной площадке. Монолитные и сборно-монолитные здания рекомендуется преимущественно применять в районах с теплым и жарким климатом, в районах, где отсутствует индустриальная база полносборного домостроения или недостаточна их мощность, а также, при необходимости, в любых районах строительства зданий повышенной этажности. При технико-экономическом обосновании возможно выполнять отдельные конструктивные элементы из монолитного бетона и железобетона в сборных зданиях, в том числе ядра жесткости, конструкции нижних нежилых этажей, фундаменты.
Сборные жилые здания рекомендуется проектировать из крупноразмерных сборных конструкций - панелей, блоков, плит и объемных блоков
(рис. 1).
Рис. 1. Крупноразмерные сборные элементы жилых зданий
а - стеновое панели; б - плиты перекрытий;
в - кровельные плиты; г - объемные блоки
Панелью называется плоскостной сборный элемент, применяемый для возведения стен и перегородок. Панель, высотой на этаж и длиной в плане не менее размера помещения, которое она ограждает или разделяет, называется крупной панелью, панели других размеров называются мелкими панелями.
Сборной плитой называется плоскостной элемент заводского изготовления, применяемый при возведении перекрытий, крыш и фундаментов.
Блоком называется самоустойчивый при монтаже сборный элемент преимущественно призматической формы, применяемый для возведения наружных и внутренних стен, фундаментов, устройства вентиляции и мусоропроводов, размещения электротехнического или санитарно-технического оборудования. Мелкие блоки устанавливают, как правило, вручную; крупные блоки - с помощью монтажных механизмов. Блоки могут быть сплошными и пустотелыми.
Крупные блоки бетонных зданий выполняются из тяжелого, легкого или ячеистого бетона. Для зданий высотой один-два этажа при предполагаемом сроке службы не более 25 лет могут применяться блоки из гипсобетона.
Объемным блоком называется предварительно изготовленная часть объема здания, огражденная со всех или некоторых сторон.
Объемные блоки могут проектироваться несущими, самонесущими и ненесущими.
Несущим называется объемный блок, на который опираются расположенные над ним объемные блоки, плиты перекрытия или другие несущие конструкции здания.
Самонесущим называется объемный блок, у которого плита перекрытия поэтажно опирается на несущие стены или другие вертикальные несущие конструкции здания (каркас, лестнично-лифтовой ствол) и участвует вместе с ними в обеспечении прочности, жесткости и устойчивости здания.
Ненесущим называется объемный блок, который устанавливается на перекрытие, передает на него нагрузки и не участвует в обеспечении прочности, жесткости и устойчивости здания (например, санитарно-техническая кабина, устанавливаемая на перекрытие).
Сборные здания со стенами из крупных панелей и перекрытиями из сборных плит называются крупнопанельными. Наряду с плоскостными сборными элементами в крупнопанельном здании могут применяться ненесущие и самонесущие объемные блоки.
Сборное здание со стенами из крупных блоков называется крупноблочным.
Сборное здание, выполненное из несущих объемных блоков и плоскостных сборных элементов, называется панельно-блочным.
Сборное здание, выполненное целиком из объемных блоков, называется объемно-блочным.
Монолитные и сборно-монолитные здания по методу их возведения рекомендуется применять следующих типов:
с монолитными наружными и внутренними стенами, возводимыми в скользящей опалубке
(рис. 2, а) и монолитными перекрытиями, возводимыми в мелкощитовой опалубке методом "снизу вверх"
(рис. 2, б), или в крупнощитовой опалубке перекрытий методом "сверху вниз"
(рис. 2, в);
с монолитными внутренними и торцевыми наружными стенами, монолитными перекрытиями, возводимыми в объемно-переставной опалубке, извлекаемой на фасад
(рис. 2, г), или в крупнощитовых опалубках стен и перекрытий
(рис. 2, д). Наружные стены в этом случае выполняются монолитными в крупнощитовой и мелкощитовой опалубках после возведения внутренних стен и перекрытий
(рис. 2, е) или из сборных панелей, крупных и мелких блоков кирпичной кладки;
с монолитными или сборно-монолитными наружными стенами и монолитными внутренними стенами, возводимыми в переставных опалубках, извлекаемых вверх (крупнощитовой или крупнощитовой в сочетании с блочной) (
рис. 2, ж,
з). Перекрытия в этом случае выполняются сборными или сборно-монолитными с применением сборных плит-скорлуп, выполняющих роль несъемной опалубки;
с монолитными наружными и внутренними стенами, возводимыми в объемно-передвижной опалубке
(рис. 2, и) способом поярусного бетонирования, и сборными или монолитными перекрытиями;
с монолитными внутренними стенами, возводимыми в крупнощитовой опалубке стен. Перекрытия в этом случае выполняются из сборных или сборно-монолитных плит, наружные стены - из сборных панелей, крупных и мелких блоков, кирпичной кладки;
с монолитными ядрами жесткости, возводимыми в переставной или скользящей опалубке, сборными панелями стен и перекрытий;
с монолитными ядрами жесткости, сборными колоннами каркаса, сборными панелями наружных стен и перекрытиями, возводимыми методом подъема.
Рис. 2. Типы монолитных бескаркасных зданий,
возводимых в скользящей (а - в), объемно-переставной
и крупнощитовой (г - е), блочной и крупнощитовой (ж - и)
опалубках (стрелками показано направление
перемещения опалубок)
1 - скользящая опалубка; 2 - мелкощитовая
опалубка перекрытия; 3 - крупнощитовая опалубка
перекрытия; 4 - объемно-переставная опалубка стен;
5 - крупнощитовая опалубка стен; 6 - мелкощитовая
опалубка стен; 7 - блочная опалубка
Скользящей опалубкой называется опалубка, состоящая из щитов, закрепленных на домкратных рамах, рабочего пола, домкратов, насосных станций и других элементов, и предназначенная для возведения вертикальных стен зданий. Вся система элементов скользящей опалубки по мере бетонирования стен поднимается вверх домкратами с постоянной скоростью.
Мелкощитовой опалубкой называется опалубка, состоящая из наборов щитов площадью около 1 м2 и других элементов небольшого размера массой не более 50 кг. Допускается сборка щитов в укрупненные элементы, панели или пространственные блоки с минимальным числом доборных элементов.
Крупнощитовой опалубкой называется опалубка, состоящая из крупноразмерных щитов, элементов соединения и крепления. Щиты опалубки воспринимают все технологические нагрузки без установки доборных несущих и поддерживающих элементов и комплектуются подмостями, подкосами, регулировочными и установочными системами.
Объемно-передвижной опалубкой называется опалубка, представляющая собой систему вертикальных и горизонтальных щитов, шарнирно-объединенных в П-образную секцию, которая в свою очередь образуется путем соединения двух Г-образных полусекции и, в случае необходимости, вставкой щита перекрытия.
Объемно-передвижной опалубкой называется опалубка, представляющая собой систему из наружных щитов и складывающегося сердечника, перемещающегося поярусно по вертикали по четырем стойкам.
Блочной опалубкой называется опалубка, состоящая из системы вертикальных щитов и угловых элементов, шарнирно объединенных специальными элементами в пространственные блок-формы.
1.5. Каменные здания могут иметь стены из каменной кладки или из сборных элементов (блоков или панелей).
Каменная кладка выполняется из кирпича, пустотелых керамических и бетонных камней (из естественных или искусственных материалов), а также облегченной кирпичной кладки с плитным утеплителем, засыпкой из пористых заполнителей или вспениваемых в полости кладки полимерных композиций.
Крупные блоки каменных зданий выполняются из кирпича, керамических блоков и из природного камня (пиленого или чистой тески).
Панели каменных зданий выполняются из виброкирпичной кладки или керамических блоков. Панели наружных стен могут иметь слой из плитного утеплителя.
При проектировании стен каменных зданий следует руководствоваться положениями
СНиП II-22-81 и соответствующими пособиями.
1.6. Деревянные здания подразделяются на панельные, каркасные и брусчатые.
Деревянные панельные здания выполняются из панелей, изготовленных с применением цельной и (или) клееной древесины, фанеры и (или) профильных изделий из нее, древесно-стружечных, древесно-волокнистых плит и других листовых материалов на основе древесины. Конструкции деревянных панельных зданий следует проектировать в соответствии со
СНиП II-25-80 и "
Руководством по проектированию конструкций деревянных панельных жилых домов" (ЦНИИЭПграждансельстрой, М., Стройиздат, 1984).
Деревянные каркасные здания выполняют из деревянного каркаса, который собирают на месте постройки и обшивают листовым материалом, между которым устраивают тепло- и звукоизоляцию из плит или засыпок.
В бревенчатых зданиях стены выполняют из цельной древесины в виде брусьев или бревен. Бревенчатые здания применяют преимущественно в сельском усадебном строительстве в районах лесоразработки.
1.7. При проектировании конструкций жилых зданий рекомендуется:
выбирать оптимальные в технико-экономическом отношении конструктивные решения;
соблюдать требования Технических
правил по экономному расходованию основных строительных материалов;
соблюдать установленные предельные нормы расхода арматурной стали и цемента;
предусматривать применение местных строительных материалов и бетонов на гипсосодержащих вяжущих;
применять, как правило, унифицированные типовые или стандартные конструкции и опалубки, позволяющие возводить здание индустриальными методами;
сокращать номенклатуру сборных элементов и опалубок за счет применения укрупненных модульных сеток (с модулем не менее 3М); унифицировать параметры конструктивно-планировочных ячеек, схем армирования, расположение закладных деталей, отверстий и т.п.;
предусматривать возможность взаимозаменяемого применения наружных ограждающих конструкций с учетом местных климатических, материально-производственных условий строительства и требований к архитектурному решению здания;
предусматривать технологичность изготовления и монтажа конструкций;
применять конструкции, обеспечивающие наименьшую суммарную трудоемкость их изготовления, транспортирования и монтажа;
применять технические решения, требующие наименьших затрат энергетических ресурсов на изготовление конструкций и отопление здания при его эксплуатации.
1.8. С целью снижения материалоемкости конструкций рекомендуется:
принимать конструктивные системы здания, позволяющие в полной мере использовать несущую способность конструкций, по возможности, уменьшать класс бетона и изменять армирование конструкций по высоте здания;
учитывать совместную пространственную работу элементов конструкций в системе здания, обеспечивая ее конструктивно соединением сборных элементов связями, объединением разделенных проемами участков стен перемычками и др.;
уменьшать нагрузки на конструкции за счет применения легких бетонов, легких конструкций из листовых материалов для ненесущих стен и перегородок, слоистых и многопустотных несущих бетонных и железобетонных конструкций;
прочность несущих стен на сжатие преимущественно обеспечивать за счет сопротивления бетона (без расчетного вертикального армирования);
предотвращать образование трещин в конструкции при их изготовлении и возведении преимущественно за счет технологических мер (подбор соответствующих составов бетона, режимов термообработки, формовочного оборудования и т.п.), не применяя дополнительного армирования конструкций по технологическим соображениям;
принимать такие схемы транспортировки, монтажа и извлечения из формы сборных элементов, которые, как правило, не требуют их дополнительного армирования;
предусматривать монтаж сборных элементов преимущественно с помощью траверс, обеспечивающих вертикальное направление подъемных строп;
использовать подъемные петли в качестве деталей для соединения сборных элементов между собой.
1.9. С целью снижения суммарных затрат труда на изготовление и возведение конструкций при проектировании сборных зданий рекомендуется:
укрупнять сборные элементы в пределах грузоподъемности монтажных механизмов и установленных транспортных габаритов с учетом рациональной разрезки элементов и минимального расхода стали, вызываемого условиями транспорта и монтажа конструкций;
максимальный объем отделочных работ переносить в заводские условия;
применять индустриальные решения скрытой электропроводки;
в заводских условиях устанавливать в панели оконные и балконные дверные блоки и выполнять герметизацию их сопряжений с бетоном панелей;
предусматривать заводскую комплектацию отдельных элементов конструкций в составные монтажные элементы;
выполнять наиболее трудоемкие элементы здания (санитарно-технические узлы, шахты лифтов, мусоросборные камеры, ограждения лоджий, эркеров, балконов и др.) преимущественно в виде объемных элементов с полным оснащением инженерным оборудованием и отделкой на заводе.
1.10. Конструктивные и технологические решения монолитных и сборно-монолитных зданий должны, как правило, обеспечивать разнообразие объемно-пространственных решений при минимуме приведенных затрат. С этой целью рекомендуется:
наиболее полно учитывать особенности каждого метода возведения зданий, влияющие на объемно-пространственные решения;
применять конструкции переставных опалубок, собираемых из модульных щитов;
проектировать технологию и организацию работ одновременно с проектированием здания для взаимной увязки архитектурно-планировочных, конструктивных и технологических решений;
максимально индустриализировать производство работ за счет комплексной механизации процессов изготовления, транспортирования, укладки и уплотнения бетонной смеси, применения арматурных изделий заводского изготовления и механизации отделочных работ;
сокращать сроки строительства путем обеспечения максимальной оборачиваемости опалубки за счет интенсификации твердения бетона при положительных и отрицательных температурах наружного воздуха;
применять опалубки и методы уплотнения бетонной смеси, обеспечивающие минимальные дополнительные работы по подготовке бетонных поверхностей под отделку.
1.11. С целью снижения расхода топлива на изготовление конструкций и отопление здания при его эксплуатации рекомендуется:
термическое сопротивление наружных ограждающих конструкций назначать по экономическим требованиям с учетом эксплуатационных затрат;
учитывать энергоемкость производства материалов для конструкций и их изготовления;
конструктивными мерами снижать потери тепла через проемы в стенах, стыки сборных элементов, теплопроводные включения (жесткие ребра в слоистых стенах и т.п.);
выбирать объемно-планировочные решения здания, позволяющие минимизировать площадь их наружных ограждений;
применять крыши с теплым чердаком.
1.12. Для обеспечения надежности конструкций и узлов в течение срока эксплуатации здания рекомендуется:
применять материалы для них, имеющие необходимую долговечность и отвечающие требованиям ремонтопригодности; тепло- и звукоизоляционные материалы и прокладки, расположенные в толще несущих конструкций, должны иметь срок службы, который соответствует сроку эксплуатации здания;
выбирать конструктивные решения наружных ограждений с учетом климатических районов строительства;
применять сочетания материалов в наружных слоистых конструкциях, исключающие расслоение бетонных слоев;
не допускать накопление влажности в конструкциях в процессе эксплуатации;
назначать параметры конструкций и выбирать физико-механические, теплотехнические, акустические и другие характеристики материалов с учетом особенностей технологии изготовления, монтажа и эксплуатации конструкций, а также возможного изменения свойств материалов конструкций во времени;
назначать класс по морозостойкости, а в необходимых случаях и класс по водонепроницаемости конструкций согласно требованиям
СНиП 2.03.01-84,
II-22-81;
предусматривать последовательность и порядок выполнения работ по возведению и устройству конструкций, связей, герметизации, утеплению и заделке стыков, позволяющих обеспечить их удовлетворительную работу в процессе эксплуатации здания;
предусматривать меры по защите от коррозии арматуры конструкции, связей и закладных деталей;
элементы конструкций и инженерного оборудования, срок службы которых меньше срока службы здания (например, столярные изделия, покрытия полов, герметики в стыках и др.), проектировать так, чтобы их смена не нарушала смежные конструкции.
1.13. В чертежах конструктивных элементов (панелей, плит, объемных блоков и др.) должны быть указаны расчетные характеристики материала по прочности, морозостойкости (в необходимых случаях по водонепроницаемости), отпускная прочность, влажность и плотность материала строительного элемента, схемы расчетных нагрузок и контрольных испытаний, а также допуски на изготовление и монтаж конструкций.
1.14. В проектах рекомендуется указывать способ возведения конструкций в зимнее время при отрицательных температурах, обеспечивающий прочность и устойчивость здания как в период возведения, так и последующей эксплуатации.
Для сборных зданий рекомендуются следующие способы возведения в зимнее время с заполнением стыков между сборными элементами раствором и (или) бетоном:
с противоморозными добавками (поташ, нитрит натрия, смешанные и другие добавки, не вызывающими коррозии бетона сборных элементов), обеспечивающими твердение раствора и бетона на морозе без обогрева;
без химических добавок с обогревом возводимых конструкций в течение времени, за которое раствор или бетон в стыках набирает прочность, достаточную для возведения последующих этажей здания.
Возведение сборных зданий способом замораживания без химических добавок и обогрева конструкций разрешается только для зданий высотой не более пяти этажей при условии проверки расчетом прочности и устойчивости конструкций в период первого оттаивания (при наименьшей прочности свежеоттаявшего раствора или бетона) с учетом фактической прочности раствора (бетона) в стыках в период эксплуатации.
В проекте рекомендуется указывать значение необходимой минимальной прочности раствора (бетона) в стыках при различных стадиях готовности здания.
В случаях применения растворов с противоморозными добавками стальные связи, имеющие антикоррозионное защитное покрытие из цинка или алюминия, должны быть защищены дополнительными протекторными обмазками.
Для монолитных зданий рекомендуется применять следующие способы возведения:
безобогревные (метод "термоса", применение противоморозных добавок);
обогревные (контактный прогрев, камерный прогрев);
комбинацию безобогревного и обогревного методов.
Безобогревные методы рекомендуется применять при температуре наружного воздуха до минус 15 °C, а обогревные методы - до минус 25 °C.
Выбор конкретного метода возведения монолитных конструкций в зимнее время рекомендуется производить на основании технико-экономических расчетов для местных условий строительства.
1.15. В протяженных в плане зданиях, а также зданиях, состоящих из объемов разной высоты, рекомендуется устраивать вертикальные деформационные швы:
температурные - для уменьшения усилий в конструкциях и ограничения раскрытия в них трещин вследствие стеснения основанием температурных и усадочных деформаций бетонных и железобетонных конструкций здания;
осадочные - для предотвращения образования и раскрытия трещин в конструкциях вследствие неравномерных осадок фундаментов, вызываемых неоднородностью геологического строения основания по протяженности здания, неодинаковыми нагрузками на фундаменты, а также трещин, возникающих в местах изменения высоты здания.
Вертикальные деформационные швы рекомендуется выполнять в виде спаренных поперечных стен, располагаемых на границе планировочных секций. Поперечные стены вертикальных швов должны быть, как правило, утепленными и выполняться аналогично конструкциям торцевых стен, но без наружного отделочного слоя. Ширину вертикальных швов следует определять по расчету, но принимать не менее 20 мм в свету.
Вертикальные швы во избежание попадания и накапливания в них снега, влаги и мусора рекомендуется закрывать по всему периметру, включая крышу, нащельниками (например, из гофрированных оцинкованных листов железа). Нащельники и утепление вертикальных швов не должны препятствовать деформации отсеков, разделенных швом.
Температурные швы допускается доводить до фундаментов. Осадочные швы должны разделять здание, включая фундаменты, на изолированные отсеки.
1.16. Расстояния между температурно-усадочными швами (длины температурных отсеков) определяются расчетом с учетом климатических условий строительства, принятой конструктивной системы здания, конструкции и материала стен и перекрытий и их стыковых соединений.
Усилия в конструкциях протяженных зданий могут определяться согласно "Рекомендациям по расчету конструкций крупнопанельных зданий на температурно-влажностные воздействия" (М., Стройиздат, 1983) или по
Прил. 1 настоящего Пособия.
Расстояние между температурно-усадочными швами бескаркасных крупнопанельных зданий прямоугольных в плане, конструкция которых удовлетворяет требованиям табл. 1, допускается назначать по
табл. 2, в зависимости от значения годового перепада среднесуточных температур

, принимаемого равным разности максимальной и минимальной среднесуточных температур соответственно самого теплого и самого холодного месяцев. Для побережья и островов Ледовитого и Тихого океанов указанную разность следует увеличивать на 10 °C.
Конструкции | Здание I типа | Здание II типа |
Класс бетона по прочности на сжатие или марка раствора | Площадь сечения продольной арматуры одного этажа, As, см2 | Класс бетона по прочности на сжатие или марка раствора | Площадь сечения продольной арматуры одного этажа, As, см2 |
Наружные стены | | | | |
Панели: | | | | |
однослойные | В3,5 - В7,5 | 4 - 7 (6 - 10) | В3,5 - В7,5 | 4 - 7 (4 - 7) |
многослойные | В15 | 4 - 7 (6 - 10) | - | - |
Стыки: | | | | |
вертикальные | М100 - М200 | 2 - 4 (5 - 10) | М100 - М200 | 3 - 5 |
горизонтальные | М100 | - | М100 | - |
Внутренние стены | | | | |
Панели | В10 - В25 | 3 - 5 | В3,5 - В7,5 | 3 - 5 |
Стыки | М100 - М200 | 2 - 3 | М100 - М200 | 2 - 3 |
Перекрытия | | | | |
Плиты | В15 - В20 | 25 - 60 | В10 - В10 | - |
Стыки (платформенные) | М100 - М200 | 4 - 5 | М100 - М200 | - |
Примечания. 1. В скобках указано армирование панелей и стыков стен лестничных клеток.
2. Площадь сечения арматуры

включает всю продольную арматуру панелей и стыков (рабочую, конструктивную, сетки).
Годовой перепад среднесуточных температур, °C | Город | Расстояния между температурными швами бескаркасных крупнопанельных зданий, м |
Здания I типа (по табл. 1) с шагом поперечных стен, м, до | |
7 | 4 |
30 | Батуми, Сухуми | Не ограничивается | Не ограничивается | Не ограничивается |
40 | Баку, Тбилиси, Ялта | 175 | 250 | 300 |
50 | Ашхабад, Ташкент | 100 | 170 | 240 |
60 | Москва, Петрозаводск | 75 | 100 | 125 |
70 | Воркута, Новосибирск | 60 | 70 | 80 |
80 | Норильск, Туруханск | 45 | 55 | 65 |
90 | Верхоянск, Якутск | 35 | 40 | 50 |
Примечание. Для промежуточных значений температуры

расстояние между температурными швами определяется интерполяцией.
Назначение расстояний между температурными швами по
табл. 2 не исключает необходимости расчетной проверки стен и перекрытий в местах ослабления их большими отверстиями и проемами, где возможна концентрация значительных температурных усилий и деформаций (лестничные клетки, шахты лифтов, проезды и т.п.).
В случаях, когда конструктивная схема, армирование и марка бетона конструкций зданий значительно отличаются от предусмотренных
табл. 1, здание следует рассчитывать на температурные воздействия.
1.17. Осадочные швы рекомендуется устраивать в случаях, когда неравномерные осадки основания в обычных грунтовых условиях превышают предельно допустимые величины, регламентируемые
СНиП 2.02.01-83, а также при перепаде высоты здания более чем на 25%. В последнем случае допускается осадочный шов не устраивать, если по расчету обеспечена прочность конструкций здания, а деформации стыков сборных элементов и раскрытие трещин в конструкциях не превышают предельно допустимые значения.
1.18. В монолитных и сборно-монолитных зданиях стеновых конструктивных систем должны устраиваться температурно-усадочные, осадочные и технологические швы. Технологические (рабочие) швы необходимо устраивать для обеспечения возможности бетонирования монолитных конструкций отдельными захватками. Технологические швы по мере возможности следует совмещать с температурно-усадочными и осадочными швами.
Расстояние между температурно-усадочными швами определяется расчетом или по табл. 3.
Таблица 3
Конструктивная система | Расстояние между температурно-усадочными швами, м, при перекрытиях |
монолитных | сборных |
Перекрестно-стеновая с несущими наружными и внутренними стенами, продольно-стеновая | 40 | 60 |
Перекрестно-стеновая с ненесущими наружными стенами, поперечно-стеновая с отдельными продольными диафрагмами | 50 | 80 |
Поперечно-стеновая без продольных диафрагм | 70 | - |
Примечание. При каркасном решении первого этажа расстояния между температурно-усадочными швами допускается увеличивать на 20%.
2. КОНСТРУКТИВНЫЕ СИСТЕМЫ
Принципы обеспечения прочности,
жесткости и устойчивости жилых зданий
2.1. Конструктивной системой здания называется совокупность взаимосвязанных конструкций здания, обеспечивающих его прочность, жесткость и устойчивость.
Принятая конструктивная система здания должна обеспечивать прочность, жесткость и устойчивость здания на стадии возведения и в период эксплуатации при действии всех расчетных нагрузок и воздействий. Для полносборных зданий рекомендуется предусматривать меры, предотвращающие прогрессирующее (цепное) разрушение несущих конструкций здания в случае локального разрушения отдельных конструкций при аварийных воздействиях (взрывах бытового газа или других взрывоопасных веществ, пожарах и т.п.). Расчет и конструирование крупнопанельных зданий на устойчивость к прогрессирующему разрушению приведены в
Прил. 2.
2.2. Конструктивные системы жилых зданий классифицируются по типу вертикальных несущих конструкций. Для жилых зданий применяются следующие типы вертикальных несущих конструкций: стены, каркас и стволы (ядра жесткости), которым соответствуют стеновые, каркасные и ствольные конструктивные системы. При применении в одном здании в каждом этаже нескольких типов вертикальных конструкций различаются каркасно-стеновые, каркасно-ствольные и ствольно-стеновые системы. При изменении конструктивной системы здания по его высоте (например, в нижних этажах - каркасная, а в верхних - стеновая), конструктивная система называется комбинированной.
Жилые здания рекомендуется проектировать на основе стеновых конструктивных систем с поперечными и (или) продольными стенами.
2.3. Стены, в зависимости от воспринимаемых ими вертикальных нагрузок, подразделяются на несущие, самонесущие в ненесущие.
Несущей называется стена, которая, помимо вертикальной нагрузки от собственного веса, воспринимает и передает фундаментам нагрузки от перекрытий, крыши, ненесущих наружных стен, перегородок и т.д.
Самонесущей называется стена, которая воспринимает и передает фундаментам вертикальную нагрузку только от собственного веса (включая нагрузку от балконов, лоджий, эркеров, парапетов и других элементов стены).
Ненесущей называется стена, которая поэтажно или через несколько этажей передает вертикальную нагрузку от собственного веса на смежные конструкции (перекрытия, несущие стены, каркас).
Внутренняя ненесущая стена называется перегородкой.
В жилых зданиях рекомендуется, как правило, применять несущие и ненесущие стены. Самонесущие стены допускается применять в качестве утепляющих стен ризалитов, торцов здания и других элементов наружных стен. Самонесущие стены могут применяться также внутри здания в виде вентиляционных блоков, лифтовых шахт и тому подобных элементов с инженерным оборудованием.
2.4. В зависимости от схемы расположения несущих стен в плане здания и характера опирания на них перекрытий
(рис. 3) различают следующие конструктивные системы:
перекрестно-стеновая с поперечными и продольными несущими стенами;
поперечно-стеновая - с поперечными несущими стенами;
продольно-стеновая - с продольными несущими стенами.
Рис. 3. Стеновые конструктивные системы
а - поперечно-стеновые; б - перекрестно-стеновые;
в - продольно-стеновые с перекрытиями
I - малопролетными; II - среднепролетными;
III - крупнопролетными
1 - ненесущая стена; 2 - несущая стена
В зданиях перекрестно-стеновой конструктивной системы наружные стены проектируют несущими или ненесущими (навесными), а плиты перекрытий - как опертые по контуру или трем сторонам. Высокая пространственная жесткость многоячейковой системы, образованной перекрытиями, поперечными и продольными стенами, способствует перераспределению в ней усилий и уменьшению напряжений в отдельных элементах. Поэтому здания перекрестно-стеновой конструктивной системы могут проектироваться высотой до 25 этажей.
В зданиях поперечно-стеновой конструктивной системы вертикальные нагрузки от перекрытий и ненесущих стен передаются в основном на поперечные несущие стены, а плиты перекрытия работают преимущественно по балочной схеме с опиранием по двум противоположным сторонам. Горизонтальные нагрузки, действующие параллельно поперечным стенам, воспринимаются этими стенами. Горизонтальные нагрузки, действующие перпендикулярно поперечным стенам, воспринимаются: продольными диафрагмами жесткости; плоской рамой за счет жесткого соединения поперечных стен и плит перекрытий; радиальными поперечными стенами при сложной форме плана здания.
Продольными диафрагмами жесткости могут служить продольные стены лестничных клеток, отдельные участки продольных наружных и внутренних стен. Примыкающие к ним плиты перекрытий рекомендуется опирать на продольные диафрагмы, что улучшает работу диафрагм на горизонтальные нагрузки и повышает жесткость перекрытий и здания в целом.
Здания с поперечными несущими стенами и продольными диафрагмами жесткости рекомендуется проектировать высотой до 17 этажей. При отсутствии продольных диафрагм жесткости в случае жесткого соединения монолитных стен и плит перекрытий рекомендуется проектировать здания высотой не более 10 этажей.
Здания с радиально расположенными поперечными стенами при монолитных перекрытиях можно проектировать высотой до 25 этажей. Температурно-усадочные швы между секциями протяженного здания с радиально расположенными стенами рекомендуется размещать так, чтобы горизонтальные нагрузки воспринимались стенами, расположенными в плоскости их действия или под некоторым углом. С этой целью в температурно-усадочных швах необходимо предусматривать специальные демпферы, работающие податливо при температурно-усадочных воздействиях и жестко - при ветровых нагрузках.
В зданиях продольно-стеновой конструктивной системы вертикальные нагрузки воспринимаются и передаются основанию продольными стенами, на которые опираются перекрытия, работающие преимущественно по балочной схеме. Для восприятия горизонтальных нагрузок, действующих перпендикулярно продольным стенам, необходимо предусматривать вертикальные диафрагмы жесткости. Такими диафрагмами жесткости в зданиях с продольными несущими стенами могут служить поперечные стены лестничных клеток, торцевые, межсекционные и др. Примыкающие к вертикальным диафрагмам жесткости плиты перекрытий рекомендуется опирать на них. Такие здания рекомендуется проектировать высотой не более 17 этажей.
При проектировании зданий поперечно-стеновой и продольно-стеновой конструктивных систем необходимо учитывать, что параллельно расположенные несущие стены, объединенные между собой только дисками перекрытий, не могут перераспределять между собой вертикальные нагрузки. Для обеспечения устойчивости стен при аварийных воздействиях (пожаре, взрыве газа) рекомендуется предусматривать участие стен перпендикулярного направления. При наружных несущих стенах из небетонных материалов (например, из слоистых панелей с листовыми обшивками) рекомендуется продольные диафрагмы жесткости располагать так, чтобы они хотя бы попарно соединяли поперечные стены. В изолированно расположенных несущих стенах рекомендуется предусматривать вертикальные связи в горизонтальных соединениях и стыках.
2.5. В каркасных конструктивных системах основными вертикальными несущими конструкциями являются колонны каркаса, на которые передается нагрузка от перекрытий непосредственно (безригельный каркас) или через ригели (ригельный каркас). Прочность, устойчивость и пространственная жесткость каркасных зданий обеспечивается совместной работой перекрытий и вертикальных конструкций. В зависимости от типа вертикальных конструкций, используемых для обеспечения прочности, устойчивости и жесткости, различают связевые, рамные и рамно-связевые каркасные системы
(рис. 4).
Рис. 4. Каркасные конструктивные системы
а, б - связевые с вертикальными диафрагмами
жесткости; в - то же, с распределительным ростверком
в плоскости вертикальной диафрагмы жесткости; г - рамная;
д - рамно-связевая с вертикальными диафрагмами
жесткости; е - то же, с жесткими вставками
1 - вертикальная диафрагма жесткости; 2 - каркас
с шарнирными узлами; 3 - распределительный ростверк;
4 - рамный каркас; 5 - жесткие вставки
При связевой каркасной системе применяется безригельный каркас или ригельный каркас с нежесткими узлами ригелей с колоннами. При нежестких узлах каркас практически не участвует в восприятии горизонтальных нагрузок (кроме колонн, примыкающих к вертикальным диафрагмам жесткости), что позволяет упростить конструктивные решения узлов каркаса, применять однотипные ригели по всей высоте здания, а колонны проектировать как элементы, работающие преимущественно на сжатие. Горизонтальные нагрузки от перекрытий воспринимаются и передаются основанию вертикальными диафрагмами жесткости в виде стен или сквозных раскосных элементов, поясами которых служат колонны (см.
рис. 4). Для сокращения требуемого количества вертикальных диафрагм жесткости их рекомендуется проектировать непрямоугольной формы в плане (уголковой, швеллерной и т.п.). С той же целью колонны, расположенные в плоскости вертикальных диафрагм жесткости, могут объединяться распределительными ростверками, расположенными в верху здания, а также в промежуточных уровнях по высоте здания.
В рамной каркасной системе вертикальные и горизонтальные нагрузки воспринимает и передает основанию каркас с жесткими узлами ригелей с колоннами. Рамные каркасные системы рекомендуется применять для малоэтажных зданий.
В рамно-связевой каркасной системе вертикальные и горизонтальные нагрузки воспринимают и передают основанию совместно вертикальные диафрагмы жесткости и рамный каркас с жесткими узлами ригелей с колоннами. Вместо сквозных вертикальных диафрагм жесткости могут применяться жесткие вставки, заполняющие отдельные ячейки между ригелями и колоннами. Рамно-связевые каркасные системы рекомендуется применять, если необходимо сократить количество диафрагм жесткости, требуемых для восприятия горизонтальных нагрузок.
В каркасных зданиях связевой и рамно-связевой конструктивных систем наряду с диафрагмами жесткости могут применяться пространственные элементы замкнутой формы в плане, называемые стволами. Каркасные здания со стволами жесткости называют каркасно-ствольными.
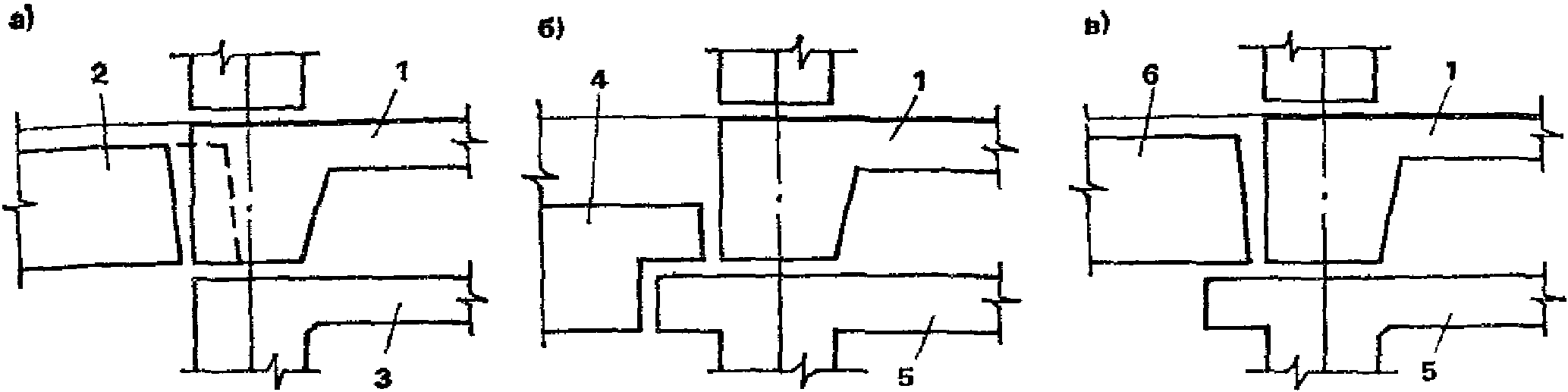
Каркасные здания, вертикальными несущими конструкциями которых являются каркас и несущие стены (например, наружные, межсекционные, стены лестничных клеток), называются каркасно-стеновыми. Здания каркасно-стеновой конструктивной системы рекомендуется проектировать с безригельным каркасом или с ригельным каркасом, имеющим нежесткие узлы соединения ригелей с колоннами.
2.6. В ствольных конструктивных системах вертикальными несущими конструкциями являются стволы, образуемые преимущественно стенами лестнично-лифтовых шахт, на которые непосредственно или через распределительные ростверки опираются перекрытия. По способу опирания междуэтажных перекрытий различают ствольные системы с консольным, этажерочным и подвесным опиранием этажей (рис. 5).
Рис. 5. Ствольные конструктивные
системы (с одним несущим стволом)
а, б - консольные; в, г - этажерочные; д, е - подвесные
1 - несущий ствол; 2 - консольное перекрытие;
3 - консоль высотой в этаж; 4 - консольный мост;
5 - ростверк; 6 - подвеска
Ствольные конструктивные системы рекомендуется применять при строительстве зданий, в которых необходимо свободное пространство под зданием, а также при сложных инженерно-геологических условиях.
2.7. Крупнопанельные здания рекомендуется проектировать на основе стеновых конструктивных систем с малопролетными (до 4,5 м) и среднепролетными (до 7,2 м) перекрытиями.
При малопролетных перекрытиях рекомендуется применять перекрестно-стеновую конструктивную систему. Размеры конструктивных ячеек рекомендуется назначать из условия, чтобы плиты перекрытий опирались на стены по контуру или трем сторонам (двум длинным и одной короткой).
При среднепролетных перекрытиях могут применяться перекрестно-стеновая, поперечно-стеновая или продольно-стеновая конструктивные системы.
При перекрестно-стеновой конструктивной системе наружные стены рекомендуется проектировать несущими, а размеры конструктивных ячеек назначать так, чтобы каждая из них перекрывалась одной или двумя плитами перекрытий.
При поперечно-стеновой конструктивной системе наружные продольные стены проектируются ненесущими. В зданиях такой системы несущие поперечные стены рекомендуется проектировать сквозными на всю ширину здания, а внутренние продольные стены располагать так, чтобы они хотя бы попарно объединяли поперечные стены.
При продольно-стеновой конструктивной системе все наружные стены проектируются несущими. Шаг поперечных стен, являющихся поперечными диафрагмами жесткости, необходимо обосновывать расчетом и принимать не более 24 м.
2.8. В крупнопанельных зданиях для восприятия усилий, действующих в плоскости горизонтальных диафрагм жесткости, сборные железобетонные плиты перекрытия и покрытия рекомендуется соединять между собой не менее чем двумя связями вдоль каждой грани. Расстояние между связями рекомендуется принимать не более 3,6 м. Требуемое сечение связей назначается по расчету. Рекомендуется сечение связей принимать таким
(рис. 6), чтобы они обеспечивали восприятие растягивающих усилий не менее следующих значений:
для связей, расположенных в перекрытиях вдоль длины протяженного в плане здания, - 15 кН (1,5 тс) на 1 м ширины здания;
для связей, расположенных в перекрытиях перпендикулярно длине протяженного в плане здания, а также связей зданий компактной формы, - 10 кН (1 тс) на 1 м длины здания.
Рис. 6. Схема расположения связей
в крупнопанельном здании
1 - между панелями наружных и внутренних стен; 2 - то же,
продольных наружных несущих стен; 3 - продольных внутренних
стен; 4 - то же, поперечных и продольных внутренних стен;
5 - то же, наружных стен и плит перекрытий; 6 - между
плитами перекрытий вдоль длины здания;
7 - то же, поперек длины здания
На вертикальных гранях сборных плит рекомендуется предусматривать шпоночные соединения, сопротивляющиеся взаимному сдвигу плит поперек и вдоль стыка. Сдвигающие усилия в стыках плит междуэтажных перекрытий, опирающихся на несущие стены, допускается воспринимать без устройства шпонок и связей, если конструктивное решение узла сопряжения плит перекрытий со стенами обеспечивает их совместную работу за счет сил трения.
В вертикальных стыках панелей несущих стен рекомендуется предусматривать шпоночные соединения и металлические горизонтальные связи. Бетонные и железобетонные панели наружных стен рекомендуется не менее чем в двух уровнях (вверху и внизу этажа) соединять связями с внутренними конструкциями, рассчитанными на восприятие усилий отрыва в пределах высоты одного этажа не менее 10 кН (1 тс) на 1 м длины наружной стены вдоль фасада.
При самозаклинивающихся стыках наружных и внутренних стен, например типа "ласточкин хвост", связи можно предусматривать только в одном уровне перекрытий и уменьшать вдвое значение минимального усилия на связь.
Расположенные в одной плоскости стеновые панели допускается соединять связями только вверху. Сечение связи рекомендуется назначать на восприятие растягивающего усилия не менее 50 кН (5 тс). При наличии связей между расположенными друг над другом стеновыми панелями, а также связей сдвига между стеновыми панелями и плитами перекрытий горизонтальные связи в вертикальных стыках допускается не предусматривать, если они не требуются по расчету.
В горизонтальных стыках связи рекомендуется предусматривать в следующих случаях:
в стенах, для которых по расчету требуется сквозная вертикальная арматура для восприятия растягивающих усилий, возникающих при изгибе стены в собственной плоскости;
для обеспечения устойчивости здания к прогрессирующему разрушению, если другими мерами не удается локализовать разрушение от аварийных особых нагрузок (см.
п. 2.1). В этом случае вертикальные связи стеновых панелей в горизонтальных стыках (междуэтажные связи) рекомендуется назначать из условия восприятия ими растягивающих усилий от веса стеновой панели и опертых на нее плит перекрытия, включая нагрузку от пола и перегородок. В качестве таких связей рекомендуется, как правило, использовать детали для подъема панелей;
в несущих панельных стенах, к которым не примыкают непосредственно бетонные стены перпендикулярного направления.
2.9. Связи сборных элементов рекомендуется проектировать в виде: свариваемых арматурных выпусков или закладных деталей; замоноличиваемых бетоном арматурных петлевых выпусков, соединяемых без сварки; болтовых соединений. Связи следует располагать так, чтобы они не препятствовали качественному замоноличиванию стыков.
Стальные связи и закладные детали должны быть защищены от огневых воздействий и от коррозии. Защита от огневых воздействий должна обеспечивать прочность соединений в течение времени, равного величине требуемого предела огнестойкости конструкции, которые соединяются проектируемыми связями.
2.10. Горизонтальные стыки панельных стен должны обеспечивать передачу усилий от внецентренного сжатия из плоскости стены, а также от изгиба и сдвига в плоскости стены. В зависимости от характера опирания перекрытий различают следующие типы горизонтальных стыков: платформенные, монолитные, контактные и комбинированные. В платформенном стыке сжимающая вертикальная нагрузка передается через опорные участки плит перекрытий и два горизонтальных растворных шва. В монолитном стыке сжимающая нагрузка передается через слой монолитного бетона (раствора), уложенного в полость между торцами плит перекрытий. В контактном стыке сжимающая нагрузка передается непосредственно через растворный шов или упругую прокладку между стыкуемыми поверхностями сборных элементов стены.
Горизонтальные стыки, в которых сжимающие нагрузки передаются через участки двух или более типов, называются комбинированными.
Платформенный стык
(рис. 7) рекомендуется в качестве основного решения для панельных стен при двухстороннем опирании плит перекрытий, а также при одностороннем опирании плит на глубину не менее 0,75 толщины стены. Толщину горизонтальных растворных швов рекомендуется назначать на основе расчета точности изготовления и монтажа сборных конструкций. Если расчет точности не выполняется, то толщины растворных швов рекомендуется назначать равными 20 мм; размер зазора между торцами плит перекрытий принимается не менее 20 мм.
Рис. 7. Платформенные стыки сборных стен
а - наружных трехслойных панелей с гибкими связями между
слоями; б - внутренних стен при двухстороннем опирании
плит перекрытия; в - то же, при одностороннем
опирании плит перекрытий
Верхний растворный шов рекомендуется устраивать в уровне верхней поверхности плит перекрытий. При расположении верхнего шва ниже верхней поверхности плит следует обеспечивать контроль качества укладки раствора в шов.
Монолитные стыки
(рис. 8) рекомендуется применять при необходимости повысить несущую способность горизонтального стыка на сжатие, если другими способами этого не удается достичь.
Рис. 8. Монолитные (а - в) и платформенно-
монолитные (г - е) стыки сборных стен
а, г - наружных трехслойных стен с гибкими связями;
б, д - внутренних стен при двухстороннем опирании плит
перекрытий; в, е - то же, при одностороннем опирании
Замоноличивание стыка рекомендуется выполнять после установки панели верхнего этажа на монтажные фиксаторы или бетонные выступы из тела стеновых панелей. Нижнюю часть стеновой панели необходимо заводить ниже уровня замоноличивания не менее чем на 20 мм.
Сборные плиты перекрытий при монолитных стыках рекомендуется соединять сварными или петлевыми арматурными связями, обеспечивающими неразрезность.
Контактный стык
(рис. 9) рекомендуется применять при опирании плит перекрытия на консольные уширения стен или с помощью консольных выступов ("пальцев") плит. При контактных стыках плиты перекрытий допускается опирать на стены без раствора (насухо). В этом случае для обеспечения звукоизоляции полость между торцами плит и стенами необходимо заполнять раствором и предусматривать арматурные связи, превращающие сборное перекрытие в горизонтальную диафрагму жесткости.
Рис. 9. Контактные стыки сборных стен
с опиранием плит перекрытия на
а - в - "пальцы"; г - е - консоли стен
В комбинированном платформенно-монолитном стыке (см.
рис. 8, в) вертикальная нагрузка передается через опорные участки плит перекрытий и бетон замоноличивания полости стыка между торцами плит перекрытий. При платформенно-монолитном стыке сборные плиты перекрытий могут проектироваться как неразрезные. Для обеспечения неразрезности плиты перекрытий необходимо соединять между собой на опорах сварными или петлевыми связями, сечение которых определяют по расчету.
Для обеспечения качественного заполнения бетоном полости между торцами плит перекрытий при платформенно-монолитном стыке толщину зазора по верху плиты рекомендуется принимать не менее 40 мм, а внизу плит - 20 мм. При толщине зазора менее 40 мм стык рекомендуется рассчитывать как платформенный.
Полость замоноличивания стыка по длине стены может быть непрерывной (см.
рис. 8, в,
г) или прерывистой (см.
рис. 8, д). Прерывистая схема применяется при точечном опирании на стены плит перекрытий (с помощью опорных "пальцев"). При платформенно-монолитном стыке над и под плитой перекрытия необходимо устраивать горизонтальные растворные швы.
Конструктивное решение монолитного стыка должно обеспечивать надежное его заполнение бетонной смесью, в том числе при отрицательных температурах воздуха. Прочность бетона замоноличивания стыка назначается по расчету.
В комбинированном контактно-платформенном стыке вертикальная нагрузка передается через две опорные площадки: контактную (в месте непосредственного опирания стеновой панели через растворный шов) и платформенную (через опорные участки плит перекрытий). Контактно-платформенный стык рекомендуется преимущественно применять при одностороннем опирании плит перекрытий на стены
(рис. 10). Толщины растворных швов рекомендуется назначать аналогично швам в платформенном стыке.
Рис. 10. Контактно-платформенные стыки сборных стен
а - наружных; б, в - внутренних
Проектные марки раствора горизонтальных швов рекомендуется назначать по расчету на силовые воздействия, но не ниже: марки 50 - для условий монтажа при положительных температурах, марки 100 - для условий монтажа при отрицательных температурах. Класс бетона по прочности на сжатие замоноличивания горизонтального стыка рекомендуется назначать не ниже соответствующего класса бетона стеновых панелей.
2.11. Сдвигающие усилия в горизонтальных стыках панельных стен при строительстве в несейсмических районах рекомендуется воспринимать за счет сопротивления сил трения.
Сдвигающие усилия в вертикальных стыках панельных стен рекомендуется воспринимать одним из следующих способов:
бетонными или железобетонными шпонками, образуемыми путем замоноличивания полости стыка бетоном (
рис. 11, а,
б);
бесшпоночными соединениями в виде замоноличенных бетоном арматурных выпусков из панелей
(рис. 11, в);
сваренными между собой закладными деталями, заанкеренными в теле панелей
(рис. 11, г).
Рис. 11. Схемы восприятия сдвигающих усилий
в вертикальном стыке панельных стен
а, б - шпонками; в - замоноличенными арматурными
связями; г - сваркой закладных деталей
1 - сварная арматурная связь; 2 - то же, петлевая;
3 - накладка, приваренная к закладным деталям
Возможен комбинированный способ восприятия сдвигающих усилий, например, бетонными шпонками и плитами перекрытий.
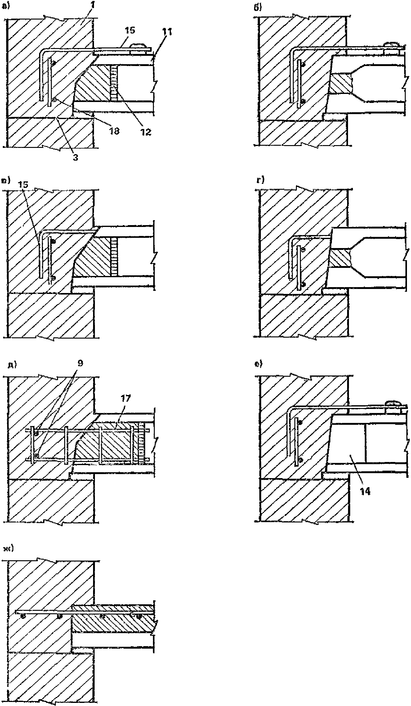
Шпонки рекомендуется проектировать трапециевидной формы
(рис. 12). Глубину шпонки рекомендуется принимать не менее 20 мм, а угол наклона площадки смятия к направлению, перпендикулярному плоскости сдвига, не более 30°. Минимальный размер в плане плоскости стыка, через которую замоноличивается стык, рекомендуется принимать не менее 80 мм. Следует предусматривать уплотнение бетона в стыке глубинным вибратором.
Рис. 12. Типы вертикальных стыков панельных стен
а - плоские; б - профилированные бесшпоночные;
в - профилированные шпоночные
1 - звукоизоляционная прокладка; 2 - раствор;
3 - бетон замоноличивания стыка
В бесшпоночных соединениях сдвигающие усилия воспринимаются сварными или петлевыми связями, замоноличенными бетоном в полости вертикального стыка. Бесшпоночные соединения требуют увеличенного (по сравнению со шпоночными соединениями) расхода арматурной стали.
Сварные соединения панелей на закладных деталях допускается применять в стыках стен для районов с суровым и холодным климатом с целью сокращения или исключения монолитных работ на строительной площадке. В стыках наружных стен с внутренними, сварные соединения панелей на закладных деталях следует располагать вне зоны, где возможен конденсат влаги при перепаде температур по толщине стены.
Объемно-блочные и панельно-блочные здания
2.12. Объемно-блочные здания рекомендуется проектировать из опертых друг на друга несущих объемных блоков (см.
п. 1.4). Несущие блоки могут иметь линейное или точечное опирание. При линейном опирании нагрузка от вышерасположенных конструкций передается по всему периметру объемного блока, трем или двум противоположным его сторонам. При точечном опирании нагрузка передается преимущественно по углам объемного блока.
При выборе способа опирания объемных блоков рекомендуется учитывать, что линейная схема опирания позволяет более полно использовать несущую способность стенок блока и поэтому предпочтительна для многоэтажных зданий.
2.13. Прочность, пространственную жесткость и устойчивость объемно-блочных зданий рекомендуется обеспечивать сопротивлением отдельных столбов объемных блоков (гибкая конструктивная система) или совместной работой столбов из объемных блоков, соединенных между собой (жесткая конструктивная система).
При гибкой конструктивной системе каждый столб объемных блоков должен полностью воспринимать приходящиеся на него нагрузки, поэтому объемные блоки соседних столбов по условиям прочности можно не соединять друг с другом по вертикальным стыкам (при этом для обеспечения звукоизоляции по контуру проемов между блоками необходимо предусматривать установку уплотняющих прокладок).
Для ограничения деформаций стыков при неравномерных деформациях основания и других воздействиях рекомендуется объемные блоки соединять между собой в уровне их верха металлическими связями и предотвращать взаимные сдвиги блоков по вертикальным стыкам в уровне цокольно-фундаментной части здания.
При жесткой конструктивной системе столбы объемных блоков должны иметь расчетные связи в уровне перекрытий и шпоночные монолитные соединения в вертикальных стыках. В зданиях жесткой конструктивной системы все столбы объемных блоков работают совместно, что обеспечивает более равномерное распределение между ними усилий от внешних нагрузок и воздействий. Жесткую конструктивную систему рекомендуется применять для зданий высотой более десяти этажей, а также при любой этажности, когда возможны неравномерные деформации основания. При жесткой конструктивной системе рекомендуется соосное расположение объемных блоков в плане здания.
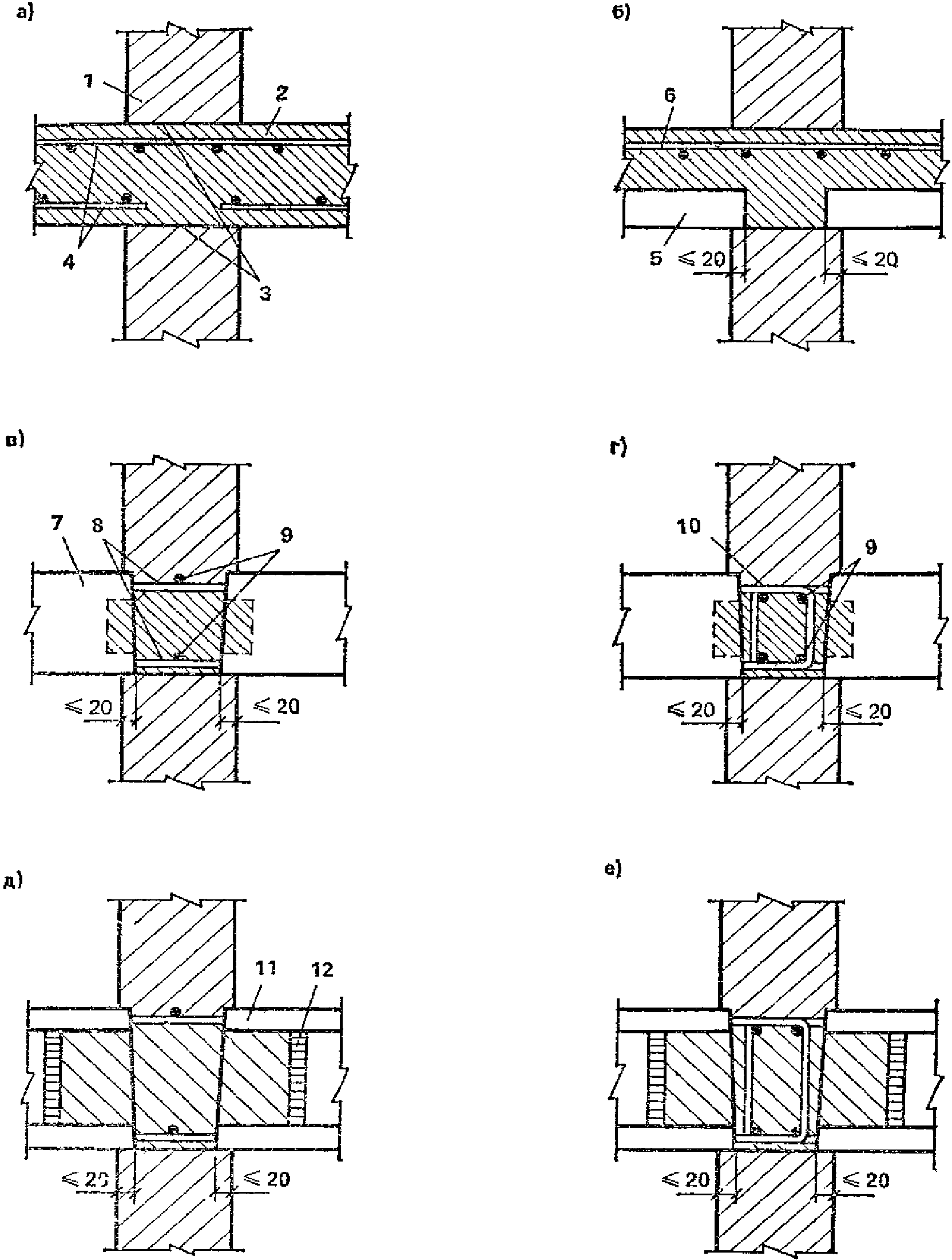
2.14. Узлы объемных блоков
(рис. 13) рекомендуется проектировать так, чтобы максимально увеличить площадь опирания элементов, но при этом исключить или по возможности уменьшить влияние геометрических эксцентриситетов, возникающих от несоосности геометрических центров горизонтальных сечений стен и приложения вертикальных нагрузок в швах. Толщину растворных швов рекомендуется принимать равной 20 мм.
Рис. 13. Горизонтальные стыки объемно-блочных зданий
а - блоки типа "лежащий стакан"; б - блок типа "колпак"
1 - уплотняющая прокладка; 2 - утепляющий элемент;
3 - раствор; 4 - стенка блока типа "колпак"; 5 - наружная
стеновая панель; 6 - стена блока типа "лежащий стакан";
7 - арматурные сетки; 8 - уплотнитель стыка
Вертикальные растягивающие усилия рекомендуется воспринимать сквозной продольной арматурой.
Усилия растяжения-сжатия в вертикальных стыках блоков могут восприниматься с помощью соединенных на сварке закладных деталей или через бетонные монолитные швы.
Сдвигающие усилия между соседними столбами блоков рекомендуется воспринимать бетонными или железобетонными соединениями.
Для передачи сдвигающих сил в верхних этажах рекомендуется применять:
шпоночные швы, образуемые за счет соответствующих профилей верхних и нижних опорных поверхностей блоков и выдавливания раствора горизонтальных швов при монтаже блоков;
блоки с ребрами вверх, устраиваемыми по контуру панели потолка, входящими при монтаже внутрь контурных ребер панели пола верхнего этажа, с частичным заполнением промежутка цементным раствором;
постоянное обжатие горизонтальных швов и использование трения путем натяжения арматуры (прядей) в колодцах между блоками;
специальные жесткие элементы (например, прокатные профили), вставляемые в промежутки между блоками.
Для устройства вертикальных связей сдвига рекомендуется устраивать вертикальные армированные шпоночные соединения, для устройства которых на вертикальных гранях блоков должны быть предусмотрены арматурные выпуски, которые соединяются между собой на сварке с помощью специальных гребенок и других приспособлений. При создании шпоночных швов необходимо предусматривать достаточные для контролируемой и надежной укладки бетона полости сечением не менее 25 см, шириной 12 - 14 см.
2.15. Панельно-блочное здание представляет собой сочетание несущих объемных блоков и плоскостных конструкций (стеновые панели, плиты перекрытий и др.). Размеры объемных блоков рекомендуется назначать из условия использования монтажных кранов, применяемых в крупнопанельном домостроении. В объемных блоках рекомендуется преимущественно размещать помещения, насыщенные инженерным и встроенным оборудованием (кухни, санитарные узлы с проходными шлюзами, лестницы, лифтовые шахты, машинные отделения лифтов и т.п.).
При проектировании панельно-блочных зданий рекомендуется предусматривать межсерийную унификацию объемных блоков и максимально использовать изделия крупнопанельного домостроения.
2.16. Панельно-блочные здания рекомендуется проектировать стеновой конструктивной системы с опиранием сборных плит перекрытий на стеновые панели и (или) несущие объемные блоки. Опирание плиты перекрытия на объемный блок рекомендуется следующими способами (рис. 14): на консольный выступ вверху объемного блока; непосредственно на объемный блок.
Рис. 14. Горизонтальные стыки панельно-блочных
зданий с опиранием плиты перекрытия
а - с помощью опорных "пальцев" плит перекрытий,
б, в - на консольный выступ вверху объемного блока
1 - плита пола объемного блока; 2 - плита перекрытия
с опорными "пальцами"; 3 - потолочная плита объемного
блока; 4 - плита перекрытия с подрезкой на опоре;
5 - потолочная плита объемного блока с консолью
для опирания плиты перекрытия; 6 - укороченная
плита перекрытия
При выборе способа опирания плиты перекрытия на объемный блок рекомендуется учитывать, что опирание плит на консольные выступы
(рис. 14, в) обеспечивает четкую схему передачи вертикальных нагрузок от вышерасположенных объемных блоков, но требует применения укороченных плит перекрытия, а наличие консольного выступа вверху блока ухудшает интерьер помещения и обусловливает устройство вырезов в примыкающих к объемному блоку перегородках. Опирание плит непосредственно на объемный блок
(рис. 14, а) позволяет избежать устройства консольных выступов, но усложняется конструкция узла сопряжения объемных блоков.
2.17. Прочность, пространственную жесткость и устойчивость панельно-блочных зданий рекомендуется обеспечивать совместной работой столбов объемных блоков, несущих стеновых панелей и плит перекрытий, которые должны быть соединены между собой расчетными металлическими связями. Минимальное сечение связей рекомендуется назначать по указаниям
п. 2.8. При опирании плит перекрытий только на объемные блоки допускается считать, что каждый из столбов объемных блоков воспринимает только приходящиеся на него нагрузки.
2.18. Грань объемного блока, на стороны которой опирается плита перекрытия, рекомендуется располагать в одной плоскости с гранями стеновых панелей.
При проектировании специальной панельно-блочной серии (без необходимости взаимозаменяемости стен панелей и объемных блоков) возможна привязка элементов по
рис. 14, а,
в, что позволяет обойтись без укорочения плит перекрытий.
Монолитные и сборно-монолитные здания
2.19. Монолитные и сборно-монолитные жилые здания рекомендуется проектировать на основе стеновых конструктивных систем. При технико-экономическом обосновании допускается применение ствольных и каркасно-ствольных конструктивных систем.
Для монолитных и сборно-монолитных зданий с монолитными или сборно-монолитными наружными стенами рекомендуется применять перекрестно-стеновую конструктивную систему с несущими поперечными и продольными стенами, в том числе наружными. Монолитные и сборно-монолитные перекрытия рассматривают как защемленные по контуру.
Сборные перекрытия рассматривают как защемленные стенами и опертые по двум или трем сторонам.
Для сборно-монолитных зданий со сборными наружными стенами при наличии сквозных внутренних продольных стен рекомендуется принимать перекрестно-стеновую систему с ненесущими наружными стенами. При наличии отдельных продольных диафрагм жесткости применяется поперечно-стеновая конструктивная система, при которой перекрытия рассматриваются как защемленные стенами по двум противоположным сторонам.
Для сборно-монолитных зданий, с защемленными по двум сторонам монолитными перекрытиями, допускается применять поперечно-стеновую конструктивную систему с плоской рамой или радиальным расположением стен.
В зависимости от назначения и размеров помещений, располагаемых в первых этажах монолитных и сборно-монолитных зданий, может быть использована стеновая или каркасная конструктивные системы:
стеновые системы с полным совпадением осей нижних и верхних этажей;
стеновые системы с неполным (частичным) совпадением осей стен нижних и верхних этажей;
каркасные системы с полным совпадением осей каркаса нижних и стен верхних этажей;
каркасные системы с неполным (частичным) совпадением осей каркаса нижних и стен верхних этажей.
Стеновые системы с полным совпадением осей стен нижних и верхних этажей следует применять, если в нижних этажах жилых зданий размещаются предприятия, не требующие больших помещений.
Стеновые системы с неполным (частичным) совпадением осей стен нижних и верхних этажей целесообразно применять, если в нижних этажах расположены помещения больших размеров (пролет 9 м и более) и допускается наличие опор в виде пилонов, колонн сложного профиля, арок, стен, лестнично-лифтовых узлов.
Вертикальные конструкции могут проектироваться с переменным по длине элемента сечением, например, с сужающимися или расширяющимися кверху пилонами. Геометрию пилонов целесообразно назначать с таким расчетом, чтобы их бетонирование можно было осуществить в том же комплекте опалубки, что и остальных стен здания.
Для возведения конструкций нижних нежилых этажей рекомендуется применять мелкощитовые и крупнощитовые опалубки.
2.20. Связи между сборными плитами перекрытий, опирающимися на монолитные стены, рекомендуется проектировать по указаниям
п. 2.8 в виде свариваемых арматурных выпусков или закладных деталей или замоноличиваемых бетоном арматурных петлевых выпусков, соединяемых без сварки.
Сечение связей в вертикальных соединениях несущих стен монолитных и сборно-монолитных зданий рекомендуется проектировать из условия восприятия или усилий отрыва в пределах высоты одного этажа не менее 10 кН (1 тс) на 1 м длины наружной стены вдоль фасада.
Конструктивное решение связей и вертикальных соединений рекомендуется принимать в зависимости от последовательности возведения наружных и внутренних стен:
при первоначальном возведении внутренних монолитных стен на их торцах рекомендуется устраивать шпоночные соединения и горизонтальные металлические связи не менее, чем в двух уровнях (вверху и внизу этажа);
при первоначальном возведении сборных наружных стен горизонтальные металлические связи, соединяющие их с внутренними стенами, устанавливают в опалубку и бетонируют с ними.
В зависимости от технологии возведения здания, способов разбивки его на захватки и применения одного или двух видов бетонов возможна различная последовательность бетонирования поперечных и продольных монолитных стен.
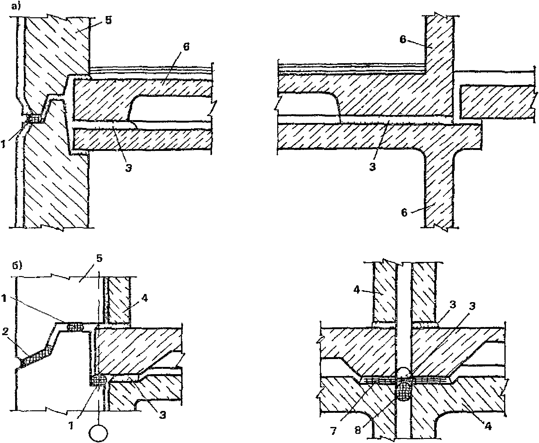
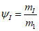
Вертикальное соединение сопрягаемых стен возможно трех типов: торцовое, фронтальное, фронтально-торцовое.
При торцовом соединении (
рис. 15, а,
б,
в) между щитами опалубки устанавливают вертикальный отсекатель в виде щита, с помощью которого можно выполнить торец любой формы (гладкий, со шпонками, волнистый), и через специальные вырезы за грани внутренних стен пропускают горизонтальную арматуру.
Рис. 15. Вертикальные торцевые (а - в),
фронтальные (г - е) и фронтально-торцевые (ж) узлы
а - установка опалубки поперечных стен; б - вид торца
поперечной стены со шпонками; в, е, ж - общий вид
соединения поперечных и продольных стен; г - устройство
арматурных каркасов со шпонкообразователями между щитами
опалубки; д - устройство арматурных выпусков в шпонке
1 - щиты опалубки; 2 - разделительный торцевой щит;
3 - поперечная стена; 4 - вертикальный арматурный
каркас; 5 - арматурные горизонтальные стержни;
6 - продольная стена; 7 - шпонкообразователь
из пенополистирола; 8 - разделительная сетка
При фронтальном соединении (
рис. 15, г,
д,
е) в местах примыкания монолитных стен ортогональных направлений на плоскости крупнощитовой опалубки устанавливают шпонкообразователи.
При фронтально-торцовом соединении
(рис. 15, ж), применяемом при использовании в сопрягаемых стенах бетонов разных видов или классов по прочности на сжатие, между щитами опалубки внутренних стен в месте их примыкания к опалубке наружных стен устанавливают разделяющую мелкоячеистую сетку. Как правило, сетка устанавливается на пространственном арматурном каркасе, который находится на пересечении наружной и внутренней стен. Наружные стены бетонируют на всю высоту этажа, затем бетонируют внутренние стены.
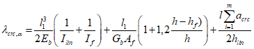
2.21. Узлы сопряжения плит перекрытия с монолитными стенами в зависимости от способа передачи сжимающих усилий и типа плит перекрытий рекомендуется проектировать контактными, платформенными или комбинированными.
В контактном узле сжимающие усилия передаются только через монолитный бетон несущей стены. В контактном узле можно применять монолитные (
рис. 16, а,
17, а), сборные (
рис. 16, в -
16, е,
17, в -
17, е) и сборно-монолитные (
рис. 16, б и
17, б) перекрытия, включающие сборные плиты-скорлупы, которые выполняют функции оставляемой опалубки. Сборные плиты перекрытий рекомендуется заводить за грань стены на величину не более 2 см. До замоноличивания стыка сборные элементы перекрытий должны опираться на временные опоры.
Рис. 16. Контактные узлы внутренних монолитных стен
а - при монолитных перекрытиях; б - при сборно-монолитных
перекрытиях со сборными скорлупами, выполняющими функции
оставляемой опалубки; в - при сборных сплошных плитах
перекрытия и связях посредством сварки выпусков; г - то же,
при петлевых связях; д - при сборных многопустотных плитах
перекрытия и связях посредством сварки выпусков;
е - то же, при петлевых связях
1 - монолитная стена; 2 - монолитное перекрытие;
3 - технологический шов; 4 - арматура плиты; 5 - сборная
скорлупа, выполняющая функции оставляемой опалубки;
6 - опорная арматура сборно-монолитной плиты; 7 - сборная
сплошная плита; 8 - сварные связи плит; 9 - горизонтальная
арматура в виде отдельных стержней; 10 - петлевые связи;
11 - сборная многопустотная плита; 12 - заглушка
Рис. 17. Контактные узлы наружных монолитных стен
а - при монолитных плитах перекрытия; б - при
сборно-монолитных плитах перекрытия со сборными скорлупами,
выполняющими функции оставляемой опалубки; в - при сборных
сплошных плитах перекрытия и связях со стенами посредством
отдельных стержней; г - то же, при петлевых связях; д - при
сборных многопустотных плитах перекрытия и связях со
стенами посредством отдельных стержней;
е - то же, при петлевых связях
В платформенном узле сжимающие усилия передаются через опорные участки плит перекрытий (
рис. 18, а -
18, д).
Рис. 18. Платформенные узлы внутренних монолитных стен
а - при сборных сплошных перекрытиях и связях посредством
сварки закладных деталей; б - то же, при связях посредством
сварки выпусков; в - при сборных многопустотных плитах
перекрытия с заделкой пустот бетонными пробками и связях
посредством сварки монтажных петель или скруток; г - то же,
с "усиленными" торцами плит перекрытия; д - при сборно-
монолитных перекрытиях со сборными скорлупами,
выполняющими функции оставляемой опалубки
1 - 12 - см.
рис. 16; 13 - растворный шов; 14 - бетонная
пробка; 15 - связи многопустотных плит (отдельные стержни,
приваренные к монтажным петлям или скрутки)
Для организации платформенного узла могут применяться сборные (
рис. 18, а -
18, г) и сборно-монолитные перекрытия
(рис. 18, д), включающие сборные плиты-скорлупы, выполняющие функции оставляемой опалубки.
Платформенные узлы на
рис. 18, в рекомендуется применять в зданиях, высотой не более четырех этажей.
Комбинированные узлы (
рис. 19 -
21) образуются сочетанием контактного и платформенного узлов.
Рис. 19. Комбинированные узлы внутренних монолитных стен
а - при плитах со вскрытыми пустотами и связями посредством
сварки монтажных петель или скруток; б - то же, при
сочетании в узле торца со вскрытыми пустотами и
"усиленного" торца; в - то же, при связях в виде каркасов
замоноличиваемых в пустотах; г - то же, при вертикальном
армировании узла; д - то же, при связях посредством
выпусков; е - то же, при сочетании торца со вскрытыми
пустотами и "усиленного" торца; ж - при сборно-монолитных
перекрытиях со скорлупами, выполняющими функции оставляемой
опалубки; з - то же, при вертикальном армировании узла
1 - 15 - см.
рис. 16,
18; 16 - монтажные петли;
17 - связи многопустотных плит в виде плоских каркасов
замоноличенных в пустоты; 18 - горизонтальная
арматура в виде плоского каркаса
Рис. 20. Комбинированные узлы наружных монолитных
стен со сборными многопустотными и сборно-монолитными
а - при многопустотных плитах перекрытия со вскрытыми
пустотами и связями в виде отдельных стержней, приваренных
к монтажным петлям, или скруток; б - то же, при "усиленном"
торце; в - то же, при торце со вскрытыми пустотами и
связями в виде отдельных стержней арматурных выпусков из
плит; г - то же, при "усиленном" торце; д - то же, при
торце со вскрытыми пустотами и связями в виде каркасов,
замоноличиваемых в пустотах; е - то же, при торце
заделанном бетонными пробками и связями в виде
отдельных стержней, приваренных к монтажным
петлям; ж - при сборно-монолитном перекрытии
Рис. 21. Комбинированные узлы монолитных стен
со сборными сплошными плитами перекрытий
а - при прерывистом опирании и связях посредством сварки
выпусков; б - то же, при петлевых связях; в, г - при
непрерывном опирании и связях в виде отдельных стержней,
приваренных к закладным деталям плит или арматурных
выпусков; д - при прерывистом опирании и связях в виде
отдельных стержней (арматурных выпусков плит);
е - то же, при петлевых связях
2.22. Для повышения несущей способности контактных и комбинированных узлов железобетонных стен допускается предусматривать установку в узле вертикальной арматуры.
При многопустотных плитах перекрытия в случае вертикального армирования узлов необходимо предусматривать также горизонтальное армирование каркасами с продольной арматурой диаметром 10 мм класса А-III, устанавливаемыми в пустотах
(рис. 19, г) в количестве не менее двух на плиту.
В контактных и комбинированных узлах, приведенных на
рис. 21, а,
б,
д,
е, и в платформенных узлах по верху плит растворные швы не применяются. В остальных случаях применение растворного шва под плитами перекрытия обязательно. Полость между торцами плит следует замоноличивать только бетоном, из которого выполняется стена.
Марка раствора определяется расчетом и принимается во всех случаях не более 150 и не менее 50 - в случае производства работ при положительных температурах и не менее 100 - в случае производства работ при отрицательных температурах. При применении узлов с вертикальным армированием (см.
рис. 19, г) плиты перекрытия (сборные плиты-скорлупы) рекомендуется укладывать на раствор.
2.23. В узлах сопряжения плит перекрытия с монолитными стенами рекомендуется предусматривать стальные связи плит перекрытия между собой и со стенами, стен смежных этажей между собой, а также горизонтальное конструктивное армирование узлов в продольном направлении.
При монолитных и сборно-монолитных плитах со сборными скорлупами, выполняющими функции оставляемой опалубки, функции связей плит между собой и со стенами, а также горизонтального армирования узла выполняет опорная арматура плит перекрытий (см.
рис. 16, а,
б;
17, а,
б;
18, д;
19, ж; и
20, ж).
Сборные плиты перекрытия рекомендуется соединять между собой посредством сварки выпусков (см.
рис. 16, в,
д;
18, б;
19, д,
е;
21, а), закладных деталей (см.
рис. 18, а), монтажных петель (см.
рис. 18, в,
г;
19, а,
б), бессварных соединений посредством перехлеста петлевых выпусков (см.
рис. 16, г;
21, б), а также арматурных каркасов замоноличиваемых в пустотах многопустотных плит (см.
рис. 19, в,
г).
Сборные плиты перекрытий соединяются с монолитными стенами при одностороннем сопряжении посредством анкеров в виде отдельных стержней (см.
рис. 17, в,
д;
20, а,
б,
в,
г,
е;
21, в,
г,
д), петлевых выпусков (см.
рис. 17, г,
е;
21, е) или арматурных каркасов, замоноличиваемых в пустотах многопустотных плит перекрытия (см.
рис. 20, д).
При бессварных петлевых связях сборных плит перекрытия горизонтальная арматура, устанавливаемая в межпетлевом пространстве, служит для усиления анкеров петлевых выпусков и назначается в количестве четырех стержней (см.
рис. 16, г,
е) при плитах перекрытия, защемленных на опорах (контактные узлы), и в количестве двух стержней (см.
рис. 21, б) - при свободно-опертых плитах (комбинированные узлы). При соединении их со стенами во всех случаях устанавливаются два горизонтальных стержня (см.
рис. 17, г,
е;
21, е).
Горизонтальное армирование узлов в продольном направлении при сборных плитах перекрытия, за исключением варианта с петлевыми связями, рекомендуется производить плоскими каркасами или отдельными стержнями. Горизонтальная конструктивная арматура назначается диаметром 10 мм класса А-III.
2.24. Связи бетонных несущих стен смежных этажей выполняют посредством перепуска конструктивной арматуры, устанавливаемой в местах их пересечения. При сборных плитах перекрытия, имеющих непрерывное опирание на стены, перепуск арматуры производится отдельными стержнями, устанавливаемыми по оси стены.
Конструкции нижних этажей зданий многоцелевого назначения
2.25. Конструкции нижних нежилых этажей могут проектироваться на основе стеновой, каркасной или каркасно-стеновой конструктивных систем.
В зависимости от конкретной градостроительной и технико-экономической ситуации конструкции могут выполняться сборными, монолитными или кирпичными.
2.26. Стеновые конструктивные системы рекомендуется принимать:
а) для встроенных учреждений и предприятий (помещения для приемных пунктов, столов заказа, небольших помещений бытового обслуживания, культурно-массового назначения);
б) для встроенно-пристроенных учреждений обслуживания массового назначения (продовольственные и непродовольственные магазины, кафе и закусочные общего типа, комплексные предприятия бытового обслуживания, отделения связи и пр.). Во встроенной части жилого дома следует располагать подсобные помещения, а залы и салоны - в пристроенных вдоль фронта здания объемах.
2.27. При стеновой конструктивной системе в нижних нежилых этажах рекомендуется повторять схему расположения стен верхних этажей.
В крупнопанельных зданиях высотой 10 этажей и менее с одинаковой высотой жилых и нежилых этажей проемы в нижних этажах рекомендуется принимать шириной не более 3 м - при шаге поперечных стен до 3,6 м и не более 2,4 м - при шаге поперечных стен около 6 м. Для увеличения ширины проемов в таких зданиях необходимо предусматривать устройство технического этажа, в пределах которого располагать нетиповые конструкции, обеспечивающие перераспределение усилий от конструкций верхних этажей. Увеличение толщины и прочности стен первого этажа мало влияет на ширину проема.
При высоте первого этажа 3,3 м и более для увеличения ширины проемов рекомендуется проектировать панели с арочными перемычками. При таких перемычках, имеющих высоту в середине пролета не менее 0,5 м, а в зданиях высотой 10 и менее этажей допускается предусматривать проемы шириной до 4 м при шаге поперечных стен 3 и 3,6 м.
При необходимости применения более широких проемов рекомендуется увеличение прочности панелей первого этажа; в таких зданиях нет конструктивной необходимости в устройстве технического этажа.
2.28. Каркасные конструктивные системы в нижних нежилых этажах рекомендуется проектировать в следующих случаях:
для встроенных учреждений и предприятий, имеющих зальные помещения;
для встроенно-пристроенных учреждений и предприятий с залами, глубина которых превышает ширину жилого дома (15 - 20 м), с торговой площадью от 650 до 1000 м.
При проектировании пристроенных (в варианте встроенно-пристроенных) следует преимущественно использовать каркасные конструкции по каталогам типовых серий.
2.29. В зависимости от объемно-планировочного решения и функционального назначения здания каркасные конструкции нижних этажей рекомендуется проектировать в виде:
сборной или монолитной балочной клетки в пределах технического этажа с расположением балок под каждой несущей стеной вышележащих этажей. Конструктивная высота главных и второстепенных балок, определяемая высотой технического этажа, должна обеспечивать надежное и экономичное решение;
сборно-монолитного несущего "стола" с последующим расположением на нем стен вышележащих этажей.
2.30. При несоосном решении колонн каркаса нижних этажей и несущих стен верхних этажей устройство сборной балочной клетки из стен технического этажа рекомендуется в зданиях высотой до 10 этажей, где это решение более экономично по сравнению со сборно-монолитным столом. При большей этажности рекомендуется проектировать переходную конструкцию монолитной либо сборно-монолитной.
При каркасном решении первых этажей устойчивость и восприятие горизонтальных нагрузок рекомендуется обеспечивать стенами лестничных клеток, а в случае необходимости также дополнительными диафрагмами жесткости, и созданием диска перекрытий при помощи связей между плитами.
2.31. Расчет конструкций нижних нежилых этажей рекомендуется выполнять по
Прил. 3.
3. ПРИНЦИПЫ РАСЧЕТА НЕСУЩИХ КОНСТРУКЦИЙ
3.1. Конструкции жилых зданий проверяют расчетом по двум группам предельных состояний:
первая группа - по потере несущей способности или непригодности к эксплуатации;
вторая группа - по непригодности к нормальной эксплуатации.
Расчетом по первой группе предельных состояний проверяются:
а) все конструкции здания для предотвращения разрушений при действии силовых воздействий в процессе строительства и расчетного срока эксплуатации здания, в том числе для предотвращения прогрессирующего обрушения в случае локального разрушения несущих стен в результате аварийных воздействий типа взрывов бытового газа, пожара, наезда тяжелого транспорта и т.п., а сборные конструкции, кроме того, для предотвращения разрушения при их изготовлении и перевозке;
б) основание здания для предотвращения потери его несущей способности при совместном действии вертикальных и горизонтальных нагрузок.
Расчетом по второй группе предельных состояний проверяются:
а) здание в целом для ограничения: ускорений колебаний, возникающих при пульсации ветрового напора; деформаций основания; прогибов верха здания;
б) плиты перекрытий и покрытия, лестничные площадки, марши и другие изгибаемые элементы для ограничения их прогибов и раскрытия трещин от вертикальных нагрузок;
в) стены здания для ограничения раскрытия трещин и взаимных смещений стен при действии вертикальных и ветровых нагрузок, неравномерных осадок оснований и температурно-влажностных воздействий.
3.2. Нагрузки и воздействия на конструкции жилых зданий определяют по
СНиП 2.01.07-85.
При проектировании полносборных зданий стеновой конструктивной системы рекомендуется учитывать возможное перераспределение усилий, вызванное неодинаковыми деформациями усадки сопрягаемых стен. Для крупнопанельных зданий осевые деформации усадки

стеновых панелей можно определять по табл. 4.
Таблица 4
Вид бетона и способ формования | Осевые относительные деформации усадки  для бетона класса по прочности на сжатие |
В2,5-В3,5 | В5-В7,5 | В12,5-В15 | В20 и более |
Тяжелый цементный и плотный силикатный бетоны горизонтального формования | - | - | 35 | 40 |
Тяжелый бетон кассетного формования | - | - | 40 | 45 |
Легкий бетон горизонтального формования | 35 | 45 | 50 | - |
Ячеистый: | | | | |
вид А | 50 | 50 | 50 | - |
вид Б | 70 | 70 | 70 | - |
Примечания. 1. Табличные значения

определяют деформации усадки, возникающие только после достижения бетоном проектной прочности по сжатию. Если отпускная прочность панелей ниже проектной, то табличные значения следует умножать на коэффициент 1,2.
2. Для районов со средней относительной влажностью воздуха 40% и ниже, относимых согласно требованиям
СНиП II-3-79** к "сухим", табличные значения

следует увеличивать на 30%.
3. Для панелей толщиной 20 см табличные значения следует умножать на коэффициент 0,8 при толщине 30 см - на 0,65, при толщине 40 см - на 0,55.
4. Коэффициенты по
пп. 1 - 3 учитываются независимо.
5. К ячеистым бетонам вида А относятся автоклавные бетоны на цементном или смешанном вяжущем; вида Б - автоклавные бетоны на известковом вяжущем и безавтоклавные.
3.3. Жилые здания рекомендуется проектировать так, чтобы ускорения колебаний конструкций зданий, возникающие в результате пульсаций скоростного напора ветра, не превышали 0,1 м/с2. При определении величины ускорения учитывается расчетное значение ветровой нагрузки с коэффициентом перегрузки, равным единице. Для зданий стеновой конструктивной системы высотой менее 50 м разрешается не проверять значения ускорений.
3.4. Для зданий, рассчитываемых на совместное действие вертикальных и горизонтальных нагрузок по недеформированной схеме, прогиб верха здания с учетом податливости основания рекомендуется принимать не более 0,001 высоты здания. При расчете здания по деформированной схеме значение прогиба здания не ограничивается.
Предельные прогибы из плоскости плит перекрытий и панелей несущих стен принимаются согласно указаниям
СНиП 2.03.01-84. Прогиб несущих стен из их плоскости допускается не проверять.
3.5. Предельное раскрытие трещин в сборных железобетонных элементах ограничивается
СНиП 2.03.01-84. Взаимные сдвиги сборных элементов в стыках рекомендуется ограничивать следующими значениями: при длительном сдвиге - 0,6 мм, при кратковременном - 0,8 мм, а раскрытие трещин в бетоне омоноличивания стыковых соединений, имеющих антикоррозионное покрытие - 1 мм.
Кратковременное раскрытие трещин (взаимный сдвиг панелей) определяется суммой постоянных, длительных и кратковременных нагрузок; длительное раскрытие трещин (сдвиг) - суммой постоянных и длительных нагрузок.
Раскрытие трещин, не пересекающих рабочую арматуру панелей, ограничивается из условия обеспечения необходимой звукоизоляции (для внутренних конструкций) или тепло- и водоизоляции (для наружных конструкций). Для панелей не допускается длительное раскрытие сквозных трещин.
Предельное раскрытие трещин в сборных элементах ограничивается
СНиП 2.03.01-84.
3.6. Значения предельных деформаций основания зданий регламентируется
СНиП 2.02.01-83.
Возникающие вследствие деформации основания крены здания не должны вызывать отклонения лифтовых шахт от вертикали, превышающие значения, установленные государственными стандартами.
Предельно допустимые значения совместных неравномерных деформаций основания и здания устанавливаются расчетом исходя из обеспечения необходимой прочности, устойчивости и трещиностойкости конструкций.
При выполнении конструктивных требований, изложенных в настоящем Пособии, рекомендуется принимать без расчета следующие допустимые значения неравномерных деформаций основания:
а) для зданий перекрестно-стеновой и продольно-стеновой конструктивных систем:
относительный прогиб или выгиб продольных стен (в долях от длины изгибаемого участка) - 0,0008;
относительная разность осадок соседних продольных стен - 0,0016;
б) для зданий поперечно-стеновой конструктивной системы с ненесущими наружными стенами относительно разности осадок соседних поперечных стен - 0,0016.
При несущих наружных стенах или при наличии сквозных внутренних продольных стен предельные неравномерности деформаций для зданий с поперечными несущими стенами принимают по
п. 3.6, а.
С указанными предельными значениями неравномерных деформаций сопоставляются деформации основания, подсчитанные без учета влияния жесткости конструкций здания на перераспределение нагрузок на основание.
3.7. При расчете конструкций и соединений следует учитывать коэффициенты надежности по назначению

, принимаемые согласно
Правилам учета степени ответственности зданий и сооружений при проектировании конструкций равными:
0,95 - для жилых зданий высотой от 2 до 17 этажей включительно, а также высотой до 25 этажей при расчете по деформируемой схеме;
1 - для зданий высотой более 17 этажей при расчете по недеформированной схеме.
На коэффициент надежности по назначению умножают расчетные усилия или делят значения сопротивления материала конструкций.
3.8. Усилия в конструкциях рекомендуется определять, используя расчетные схемы и предпосылки, наиболее полно отвечающие условиям действительной работы конструкций. При определении усилий в сборных конструкциях рекомендуется учитывать податливость стыковых соединений. Деформативные характеристики соединений сборных элементов разрешается принимать по указаниям
Прил. 4 настоящего Пособия.
При использовании приближенных методов расчета рекомендуется рассматривать два варианта напряженно-деформированного состояния конструкций, которые соответствуют наименьшей и наибольшей возможной жесткости (податливости) элементов стыковых соединений и связей, а в качестве расчетных принимать наибольшие значения усилий по указанным двум вариантам расчета.
3.9. Расчетные схемы бескаркасных зданий классифицируются:
по характеру учета пространственной работы - на одно-, двух- и трехмерные;
по виду неизвестных - на дискретные, дискретно-континуальные и континуальные;
по виду конструкции, положенной в основу расчетной схемы, - на стержневые, пластинчатые, комбинированные.
3.10. При одномерной расчетной схеме здание рассматривается как тонкостенный стержень или система стержней, упруго или жестко защемленных в основании. Предполагается, что поперечный контур стержня (системы стержней) неизменяем.
При двухмерной расчетной схеме
(рис. 22) здание рассматривается как плоская конструкция, способная воспринимать только такую внешнюю нагрузку, которая действует в ее плоскости. Для определения усилий в стенах от горизонтальной нагрузки условно принимается, что все стены, параллельные действию нагрузки, расположены в одной плоскости и имеют одинаковые горизонтальные перемещения в уровне перекрытий.
Рис. 22. Двухмерные (плоские) расчетные
схемы бескаркасных зданий
а - вертикальная диафрагма с проемами; б - плоский
составной стержень; в - заменяющая
рама; г - ферменная модель
При трехмерной расчетной схеме
(рис. 23) здание рассматривается как пространственная система, способная воспринимать приложенную к ней пространственную систему сил. Трехмерная расчетная схема наиболее точно учитывает особенности взаимодействия несущих конструкций, но расчет на ее основе наиболее сложен.
Рис. 23. Пространственные (трехмерные)
расчетные схемы бескаркасных зданий
а - фрагмент здания; б - расчетная схема в виде системы
консольных стержней; в - то же, пространственного
составного стержня; г - пластинчатой системы,
рассчитываемой методом конечных элементов
3.11. В дискретных расчетных схемах неизвестные усилия или перемещения определяют для конечного количества узлов системы решения систем алгебраических уравнений. Дискретные расчетные системы наиболее приспособлены к условиям расчета на цифровых вычислительных машинах.
В дискретно-континуальных расчетных схемах неизвестные силовые факторы или перемещения задают в виде непрерывных функций вдоль одной из координатных осей (функциональные неизвестные). Неизвестные функции определяются решением краевой задачи для системы обыкновенных дифференциальных уравнений.
В континуальных расчетных схемах неизвестные силовые факторы или перемещения задают в виде непрерывных функций вдоль двух или трех координатных осей. Неизвестные функции определяются решением краевой задачи для системы дифференциальных уравнений в частных производных.
3.12. При стержневых расчетных схемах несущая система здания рассматривается в виде: набора параллельно расположенных балок с податливыми связями (составная балка), перекрестной системы балок, многоэтажной многопролетной рамы, решетчатой системы и др. Для определения динамических характеристик здания вся несущая система здания может рассматриваться как один консольный стержень.
В расчетных схемах в виде перекрестных стержневых систем несущие балочные элементы расположены в двух плоскостях (вертикальной и горизонтальной). Вертикальные несущие элементы эквивалентны по жесткости стенам, горизонтальные - перекрытиям здания. Принимается, что в местах пересечения несущих элементов их поперечные перемещения одинаковы. Перекрестная расчетная схема позволяет учесть изгиб перекрытий в собственной плоскости. Недостатком расчетной схемы является то, что при ее использовании не учитывается совместность продольных деформаций параллельно расположенных стен, обеспечиваемая в здании стенами перпендикулярного направления. Поэтому расчетную схему рекомендуется применять для расчета на горизонтальные нагрузки только зданий с поперечными несущими стенами при ненесущих продольных стенах.
В рамных расчетных схемах стены с проемами рассматриваются как многоэтажные плоские или пространственные многопролетные рамы. Стойками рам являются глухие (без проемов) участки стен, а ригелями - перемычки и перекрытия. При расчете рекомендуется принимать, что ригели имеют переменную жесткость (бесконечно большую в пределах длины простенков и конечную в местах проемов). Для определения усилий в конструкциях зданий на основе рамной расчетной схемы используют универсальные программы расчета рамных систем.
При решетчатых расчетных схемах здание в целом или его отдельные элементы (например, стены) заменяют системой вертикальных, горизонтальных и наклонных стержней, шарнирно соединенных между собой.
3.13. При пластинчатых расчетных схемах стены и перекрытия здания рассматриваются как система тонкостенных плоскостных элементов (пластинок), соединенных, как правило, в отдельных узлах. Для расчета отдельных пластинок используют численные методы теории упругости (метод сеток, прямые вариационные и др.), а также методы, в которых рассчитываемая непрерывная система заменяется дискретной (метод конечных элементов, ферменной аналогии).
3.14. При комбинированных расчетных схемах здание рассматривается как пластинчато-стержневая система. Такие расчетные схемы рекомендуется применять для расчета зданий, в которых сочетаются каркасные элементы и стены.
3.15. При выборе расчетной схемы рекомендуется учитывать, что все они имеют ограниченные области применения, определяемые положенными в их основу допущениями. Чем меньше допущений использует тот или иной метод, тем шире область его применения, но вместе с тем более трудоемок расчет.
Наиболее совершенными и универсальными являются расчетные схемы в виде пространственной (трехмерной) системы пластин или (и) стержней с дискретными связями между ними. При таких расчетных схемах рекомендуется использовать для расчета метод конечных элементов. Расчет выполняется по специальным программам на ЭВМ.
Для расчета зданий, конструктивно-планировочные решения которых не изменяются по высоте (регулярная система) или изменяются небольшое число раз (ступенчато регулярная система), рекомендуется использовать расчетную схему в виде вертикальной составной системы. В составной системе различают несущие и связевые элементы. Несущими элементами многоэтажного здания являются участки стен, ограниченные в плане проемами или вертикальными стыковыми соединениями, а также стволы (ядра) жесткости, колонны, пилоны и другие вертикальные несущие конструкции. Связевыми элементами являются диски перекрытий, надпроемные перемычки, ригели, соединения сборных элементов в вертикальных стыках. При расчете составных систем дискретные связевые элементы заменяют эквивалентными по жесткости (или податливости) непрерывными и используется дискретно-континуальная расчетная схема. Для бескаркасных зданий несущие элементы составной системы рекомендуется рассматривать как консольные тонкостенные стержни, деформирующиеся за счет продольных усилий сжатия - растяжения, изгиба и сдвига.
3.16. На начальных этапах проектирования здания рекомендуется использовать упрощенные расчетные схемы, позволяющие выполнять расчет без специальных программ.
Для зданий стеновой конструктивной системы расчетную схему рекомендуется принимать в виде системы вертикальных и горизонтальных диафрагм жесткости.
В одну вертикальную диафрагму жесткости рекомендуется включать поперечную или продольную стену здания и примыкающие к ней участки стен перпендикулярного направления. Стены, имеющие по длине в плане разрывы или проемы, перемычки над которыми не обеспечивают перераспределение усилий между простенками, расчленяют на несколько вертикальных диафрагм жесткости.
Размеры в плане простенков, примыкающих к основной стене диафрагмы жесткости, рекомендуется принимать не более 0,1 высоты здания и не более половины расстояния до соседней стены, параллельно стенке рассматриваемого несущего элемента.
3.17. Вертикальную диафрагму жесткости, имеющую регулярно расположенные по высоте проемы, вертикальные стыки или швы бетонирования, рекомендуется рассматривать как составную систему из m столбов, соединенных (m - 1) рядами связей сдвига
(рис. 24).
Рис. 24. Расчет вертикальной диафрагмы жесткости
с проемами (а) как составного стержня (б)
Для каждого столба рекомендуется определять приведенный модуль деформации

, учитывающий влияние горизонтальных стыков сборных элементов или горизонтальных швов бетонирования стен из монолитного бетона, а также продолжительность действия нагрузки и вычисляемый по формуле

, (1)
где

- начальный модуль упругости бетона стены, принимаемый по нормам проектирования бетонных и железобетонных конструкций; для сборных элементов, изготавливаемых в кассетных установках, а также стен из монолитного бетона, возводимых в переставных опалубках, приведенные в нормах значения начальных модулей упругости следует умножать на коэффициент 0,85;

- коэффициент, учитывающий влияние ползучести бетона и зависящий от длительности действия нагрузки; при расчете на кратковременные нагрузки коэффициент

принимается равным: 1,2 - для тяжелого бетона и легких бетонов при плотном мелком заполнителе; 1,4 - для легких бетонов на пористом мелком заполнителе; 1,1 - для плотных силикатных бетонов;
при расчете на длительно действующие нагрузки коэффициент

вычисляется по формуле

, (2)

- предельная мера ползучести бетона, принимаемая для сборных элементов стен по табл. 5;

- коэффициент податливости горизонтального стыка при сжатии определяемый в зависимости от длительности действия нагрузки по рекомендациям
Прил. 4.
Бетон и технология изготовления | Предельная мера ползучести Cb·105, МПа, для бетонов класса по прочности на сжатие |
В2,5 | В3,5 | В5 | В7,5 | В12,5 | В15 | В20 | В25 | В30 |
Тяжелый, пропаренный при формовании: | | | | | | | | | |
горизонтальном | - | - | - | - | 15 | 11 | 9 | 7 | 5 |
вертикальном в кассетах | - | - | - | - | 17 | 13 | 11 | 8 | - |
Плотный силикатный на вяжущем: | | | | | | | | | |
известково-песчаном | - | - | - | - | 18 | 12,5 | 9,5 | 7 | 5 |
известково-шлаковом | - | - | - | - | 8 | 6,5 | 5,5 | 5 | 4 |
Легкий, на пористых заполнителях | 50 | 35 | 27 | 22 | 16 | 12 | 9 | 7 | - |
Ячеистый, вида: | | | | | | | | | |
А | 80 | 64 | 36 | 34 | 30 | - | - | - | - |
Б | 110 | 87 | 48 | 47 | 44 | - | - | - | - |
Примечания. 1. Для районов со средней относительной влажностью воздуха 40% и ниже, относимых согласно требованиям
СНиП II-3-79** к "сухим", табличные значения предельной меры ползучести бетона следует увеличивать на 30%.
2. Для элементов толщиной более 20 см приведенные в
табл. 5 значения следует умножать на коэффициент 0,9.
3.18. В составной системе рекомендуется различать жесткие и податливые связи сдвига.
Связь сдвига i между столбами i, i + 1 считается жесткой, если выполняется условие

, (3)

, (4)
где n - количество этажей здания;

- высота типового этажа;

- податливость при сдвиге связи между столбами i и (i + 1), которая для связей в виде перемычек равна податливости перемычки при перекосе, а для связей в виде вертикальных стыковых соединений равна податливости связей одного этажа (определяются по рекомендациям
Прил. 4);

- параметр, определяемый по формулам:
при расчете на нагрузки и воздействия, не вызывающие изгиб столбов (например, вертикальные нагрузки, неодинаковая усадка стен),

; (5)
при расчете на нагрузки и воздействия, вызывающие изгиб столбов (например, горизонтальные нагрузки),

, (6)
где

,

- площади горизонтальных сечений соответственно столбов i и (i + 1);

,

- приведенные модули деформации столбов i и (i + 1), вычисляемые по
формуле (1).
Столбы, соединенные жесткими связями сдвига, разрешается для расчета объединять в один столб.
Приближенные методы определения усилий в несущих
конструкциях зданий стеновой конструктивной системы
3.19. Усилия в конструкциях разрешается определять, используя следующие допущения:
принцип независимости действия сил;
линейную зависимость между напряжениями и вызываемыми ими деформациями (или между усилиями и перемещениями);
линейный характер изменения деформации по длине глухих участков панелей (гипотеза плоских сечений).
3.20. Принцип независимости действия сил при расчете стен на изгиб в их плоскости предполагает расчет по недеформированной схеме. Для зданий, масса которых не изменяется по высоте, расчет на совместное действие вертикальных и горизонтальных нагрузок разрешается выполнять по недеформированной схеме, если выполняется условие

, (7)
где f - прогиб верха здания от горизонтальной нагрузки, определенный без учета совместного влияния вертикальных и горизонтальных нагрузок;
M - изгибающий момент в основании здания от горизонтальной нагрузки;
p - распределенная по высоте здания нагрузка от собственного веса конструкций;
H - высота здания.
Для зданий перекрестно-стеновой системы высотой 17 и менее этажей
условие (7) допускается не проверять; расчет таких зданий разрешается выполнять по недеформированной схеме.
3.21. Усилия, действующие в плоскости стен и перекрытий, и усилия, вызывающие изгиб панелей из плоскости, допускается определять независимо. При этом усилия, действующие в плоскости конструкций, разрешается определять из рассмотрения плоского напряженного состояния, считая, что изгиб из плоскости отсутствует. Усилия, вызывающие изгиб стен из плоскости, определяют, считая стены и перекрытия недеформируемыми в собственной плоскости.
3.22. Усилия в статически неопределяемой системе здания, найденные исходя из линейной зависимости между напряжениями и вызываемыми ими деформациями, допускается корректировать путем введения самоуравновешенных внутренних сил, учитывающих частичное перераспределение усилий за счет нелинейной работы конструкций. При этом необходимо, чтобы поперечные силы в расчетных сечениях стен изменялись не более чем на 30%.
При выполнении расчетов с учетом перераспределения усилий следует конструктивно предотвращать возможность хрупкого разрушения конструкций. С этой целью следует:
перемычки, работающие как связи сдвига между вертикальными несущими элементами, проектировать так, чтобы прочность наклонных сечений превышала прочность нормальных сечений не менее чем в 1,2 раза;
вертикальные стыки сборных элементов стены выполнять в виде железобетонных шпоночных соединений;
не допускать разрушения стены по наклонным сечениям.
3.23. Для определения усилий от вертикальных нагрузок и неодинаковых температурных и усадочных деформаций сопрягаемых стен допускается диафрагмы жесткости рассчитывать независимо, при этом для симметричных в плане зданий принимать, что горизонтальные перемещения в уровне перекрытий равны нулю.
3.24. Усилия в конструкциях здания от постоянных вертикальных нагрузок рекомендуется определять с учетом изменения расчетной схемы здания в процессе его возведения, поэтажного загружения конструкций и перераспределения вертикальных нагрузок вследствие неодинаковой усадки бетона сопрягаемых стен.
Для бескаркасных полносборных зданий разрешается определять усилия от постоянных вертикальных нагрузок исходя из двух расчетных случаев.
В первом случае (зимний монтаж) принимается, что до окончания возведения здания деформации усадки материала стен не возникают, а перераспределение вертикальных нагрузок возможно только между столбами, которые соединены перемычками, являющимися составными частями сборных элементов, или сваркой закладных деталей. Если обеспечено нарастание прочности бетона (раствора) в вертикальных стыках (например, за счет прогрева стыков), то допускается учитывать также сопротивление сдвигу шпоночных соединений сборных элементов.
Усилия в стенах, найденные исходя из указанных допущений, используются для проверки прочности стен в стадии возведения здания, в том числе для проверки прочности стен на момент оттаивания раствора, уложенного в горизонтальные стыки при отрицательных температурах наружного воздуха.
Во втором расчетном случае (летний монтаж) условно принимается, что деформации усадки бетона стен полностью проявляются за время монтажа здания. Усилия в конструкциях определяются с учетом стадийности возведения здания исходя из проектных характеристик бетона (раствора), которым заполнены стыки. При этом рекомендуется считать, что связи сдвига в виде перемычек, являющихся составной частью сборного элемента, включаются одновременно с возведением очередного этажа, а связи сдвига в виде замоноличиваемых бетоном шпоночных соединений включаются с отставанием на два этажа. Время включения связей сдвига в виде сварных соединений закладных деталей следует принимать в зависимости от принятой технологии возведения здания.
Для эксплуатационного (послемонтажного) периода необходимо определять возможное дополнительное перераспределение усилий, вызванное в случае зимнего монтажа влиянием неодинаковой усадки и ползучести материала столбов, а в случае летнего монтажа - только из-за неодинаковой ползучести материала столбов.
Расчетные усилия в столбах принимаются по наибольшим значениям усилий первого и второго расчетных случаев. Указанные усилия суммируются с учетом знаков с усилиями от временных вертикальных и горизонтальных нагрузок, температурных воздействий и неравномерных деформаций основания.
3.25. Расчет конструкций здания на климатические температурные воздействия выполняют с целью определения усилий:
а) в продольных стенах и перекрытиях, возникающих из-за стеснения их температурных деформаций основанием;
б) в наружных и внутренних стенах и их стыках, возникающих из-за неодинаковых температурных деформаций этих стен;
в) в наружных стенах и связях с внутренними конструкциями, возникающих из-за перепада температур по толщине наружных стен.
Усилия, указанные в
п. 3.25, а, определяются только для строительного периода; остальные усилия - для эксплуатационного периода.
Усилия от температурных воздействий для периода возведения здания определяются как для неотапливаемого здания. При этом допускается не учитывать перепады температур по толщине ограждающих конструкций.
Расчет на температурные воздействия для эксплуатационного периода производится как для отапливаемого здания.
3.26. При расчете конструкций крупнопанельных зданий рекомендуется учитывать, что при отсутствии вертикальных связей между стеновыми панелями смежных этажей горизонтальные стыки не сопротивляются растягивающим усилиям. В отапливаемом здании при отрицательных температурах наружного воздуха вследствие неодинаковых температурных деформаций наружных и внутренних стен в верхних этажах могут раскрываться горизонтальные стыки, а панели наружных стен полностью передавать нагрузку от собственного веса через вертикальные стыки на внутренние конструкции ("зависать" на них). Раскрытие горизонтальных стыков и "зависание" части наружных стеновых панелей на внутренних конструкциях приводит к изменению расчетной схемы.
При расчете здания на температурные воздействия с учетом раскрытия горизонтальных стыков принимается, что по мере увеличения разности средних температур наружных и внутренних стен первоначально раскрываются стыки в верхнем этаже, затем в предшествующем и т.д.
Перераспределение усилий в конструкциях здания вследствие температурного укорочения наружных стен при эксплуатации здания зимой рекомендуется определять в следующей последовательности:
а) от расчетной разности средних температур наружных и внутренних стен

определяются усилия в составной системе высотой n этажей; если во всех этажах горизонтальные стыки наружных стен сжаты с учетом усилий от вертикальных нагрузок и температурных воздействий, то найденные усилия являются расчетными; если в верхнем или в нескольких верхних этажах горизонтальные стыки наружной стены оказываются растянутыми, то необходимо вычислить разность относительных температур наружных и внутренних стен

, при которой растягивающие усилия в горизонтальном стыке равны нулю и определить усилия в конструкциях при этой разности температур;
б) количество этажей в расчетной схеме уменьшается на единицу; нагрузка от веса конструкций одного этажа наружной стены прикладывается к внутренним стенам, с которыми наружная стена соединена связями сдвига для новой расчетной схемы (с уменьшенным числом этажей) определяются дополнительные усилия от разности температур (

); если во всех этажах, кроме верхнего, горизонтальные стыки сжаты, то полученные усилия суммируются с подсчитанными на предыдущем этапе расчета и используются для проверки прочности конструкций; если снова имеются растянутые горизонтальные стыки, то расчет повторяется.
3.27. Для составной системы из двух столбов (с одним рядом продольных связей сдвига) усилия рекомендуется определять по формулам:
Усилия от веса конструкций здания. Продольная сила

, перераспределяемая между столбами в уровне перекрытия над этажом

при возведении этажа h <= n

, (8)
n - количество этажей здания;

- количество этажей, в которых связи считаются незамкнутыми в момент приложения нагрузки от очередного монтируемого этажа (см.
п. 3.24);

- разность относительных деформаций столбов в основной системе (без связей сдвига) от вертикальной нагрузки, прикладываемой на этапе j (в промежутке времени между замыканием связей на этажах j - 1 и j); для регулярной по высоте составной системе при j < n

; (9)
при j = n

, (10)

,

- вертикальные нагрузки соответственно на первый и второй столб от веса конструкций одного этажа;

,

- то же, от веса конструкций крыши;

, (11)
Продольные сжимающие силы в уровне перекрытия над i-м этажом, соответственно в первом и втором столбах на момент окончания монтажа здания

; (12)

. (13)
Сдвигающая сила в связях i-го этажа определяется по формулам:
при

; (14)
при

.
Усилия от временной нагрузки на перекрытия и кровлю. Продольная сила, перераспределяемая между столбами в уровне перекрытия над i-м этажом

, (15)
где

; (16)

, (17)

,

- временная нагрузка соответственно на первый и второй столб от междуэтажного перекрытия;

,

- то же, от крыши.
Продольные сжимающие силы в уровне i-го этажа соответственно в первом и втором столбах

; (18)

, (19)
Сдвигающие усилия в связях i-го этажа определяют по
формулам (12) и
(13), принимая h = n,

.
Усилия от неодинаковой усадки стен и температурных воздействий
Продольная сила, перераспределяемая между стенами в уровне перекрытия над i-м этажом

, (20)
где

,

- деформации усадки бетона соответственно первого и второго столбов;

, r - величины, вычисляемые соответственно по
формулам (5) и
(11) для случая длительных нагрузок.
4.1. Для жилых зданий рекомендуется применять следующие типы фундаментов ленточные (сборные и монолитные), плитные и свайные. Для зданий каркасной конструктивной системы, а также малоэтажных зданий стеновой конструктивной системы рекомендуется также применять столбчатые фундаменты.
4.2. Сборные ленточные фундаменты рекомендуется проектировать с использованием типовых фундаментных плит по
ГОСТ 13580-85 или блоков по
ГОСТ 13579-78*. Можно применять сплошную и прерывистую схемы расстановки элементов ленточных фундаментов.
Монолитные ленточные фундаменты рекомендуется выполнять в виде отдельных или перекрестных лент, имеющих прямоугольное или ступенчатое сечение. Для возведения монолитных ленточных фундаментов рекомендуется применять мелкощитовую опалубку. При сухих связных грунтах ленточные фундаменты рекомендуется возводить методом "стена в грунте" или в вытрамбованных котлованах (без опалубки).
При выборе типа ленточного фундамента рекомендуется учитывать следующее: применение сборных фундаментов позволяет снизить продолжительность возведения фундаментов на 20 - 30% и уменьшить затраты труда на строительной площадке; суммарные затраты труда на возведение сборных и монолитных фундаментов примерно одинаковые; по стоимостным показателям, энергоемкости, расходу цемента и арматурной стали монолитные фундаменты экономичнее сборных. Поэтому для жилых зданий рекомендуется предпочтительно применять монолитные ленточные фундаменты.
4.3. Плитные фундаменты рекомендуется выполнять в виде монолитных железобетонных плоских или ребристых плит. В зданиях стеновой конструктивной системы плитный фундамент рекомендуется устраивать под всем зданием; в зданиях ствольно-стеновой и каркасно-ствольной конструктивных систем допускается устраивать плитный фундамент только под стволами (ядрами жесткости).
4.4. Столбчатые фундаменты рекомендуется выполнять преимущественно монолитными, в том числе в вытрамбованных котлованах.
4.5. Свайные фундаменты в зависимости от инженерно-геологических и производственных условий и конструктивных особенностей здания могут проектироваться забивными или набивными.
Свайные фундаменты с однорядным расположением свай рекомендуется выполнять безростверковыми. При этом следует проверять расчетом необходимость усиления стен первого этажа и цокольного перекрытия. Допускается применять сборные ростверки, которые опираются на сваи и грунт (низкий ростверк) или только на сваи (высокий ростверк).
Свайные фундаменты с многорядным расположением свай рекомендуется проектировать с низким ростверком из монолитного бетона. При двухрядном расположении свай можно применять сборный ростверк.
4.6. Забивные сваи могут применяться при любых сжимаемых грунтах кроме крупнообломочных и насыпных грунтов, содержащих жесткие включения (остатки разрушенных каменных и бетонных конструкций (строительный мусор и т.п.)). Забивные сваи не рекомендуется опирать на заторфованные грунты и торфы, илы, глинистые текучей консистенции и другие сильно сжимаемые грунты.
Забивные сваи рекомендуется выполнять из железобетона.
Для деревянных панельных зданий допускается применять сваи из круглого леса с необходимой защитой в соответствии с ГОСТ 02022.2-80*.
Железобетонные сваи могут проектироваться цельными или составными. Рекомендуется применять следующие виды свай.
Сваи цельные с предварительно напряженной продольной арматурой (стержневой или из семипроволочных прядей) и с поперечной арматурой сечением от 20 x 20 до 40 x 40 см, длиной от 3 до 20 м
(ГОСТ 19804.2-79*) рекомендуются при любых основаниях, для которых возможно применение забивных железобетонных свай.
Сваи цельные с предварительно напряженной продольной арматурой без поперечного армирования сплошного сечения 25 x 25 и 30 x 30 см, длиной от 5 до 12 м
(ГОСТ 19804.4-78*) рекомендуются для оснований, сложенных из выдержанных по толщине (с отклонением не более 1 м) слоев, сложенных песками средней плотности и рыхлыми, супесями пластичной и текучей консистенции. Не рекомендуется применять такие сваи при пучинистых грунтах, если силы пучения превышают значение вертикальной нагрузки на сваю, при наличии сил выдергивания, а также при погружении свай в грунт с помощью вибрации. При высоком свайном ростверке верх сваи может выступать над поверхностью грунта не более чем на 2 м.
Сваи цельные с ненапрягаемой продольной и поперечной арматурой сечением от 20 x 20 до 40 x 40 см, длиной от 3 до 16 м (ГОСТ 19804.1-79*) можно применять в тех же грунтовых условиях, что и сваи с предварительно напряженной арматурой.
Сваи цельные с круглой полостью с напрягаемой и ненапрягаемой арматурой сечением 25 x 25, 30 x 30, 40 x 40 см, длиной от 3 до 12 м
(ГОСТ 19804.3-80*) рекомендуются применять в тех же условиях, что и сваи сплошного сечения без поперечного армирования.
Пирамидальные сваи с малыми углами наклона боковых граней (1 - 4°) рекомендуется применять как висячие в однородных по глубине грунтах, а также в случаях, когда свая прорезает слои плотного грунта, а ее нижний конец заглубляется в более слабый грунт. Такие сваи не рекомендуется применять при насыпных, мерзлых, просадочных, набухающих и пучинистых грунтах, если силы пучения превышают вертикальную нагрузку на сваю.
Сваи составные сплошного сечения рекомендуется применять в следующих случаях:
при необходимости заглубления свай в несущий слой, кровля которого имеет невыдержанное залегание в пределах контура проектируемого здания;
при отсутствий копрового оборудования, необходимого для погружения свай длиной более 12 - 14 м;
при затруднениях в транспортировании длинномерных свай, вызванных дорожно-транспортными условиями или стесненностью строительной площадки;
при возможности уменьшения сечения сваи, если при этом несущая способность составной сваи соответствует расчетной нагрузке.
4.7. Набивные бетонные сваи рекомендуется применять при необходимости устройства свайных фундаментов, когда нельзя применить забивные сваи по грунтовым условиям (см.
п. 4.6) или из-за расположенных вблизи существующих построек, а также на площадках со сложными инженерно-геологическими условиями.
Рекомендуется применять следующие виды набивных свай.
Буронабивные сваи диаметром ствола 40 см и более с уширением в нижней части или без уширения, устраиваемые без крепления или с креплением стенок скважины, рекомендуются для применения при больших сосредоточенных нагрузках и длине сваи 10 м и более. Буронабивные сваи не рекомендуется применять при наличии агрессивных грунтовых или производственных вод.
Набивные сваи устраивают в скважинах, которые пробивают, забивая инвентарные трубы, извлекаемые по мере бетонирования. Такие сваи применяют в водонасыщенных грунтах и при резких изменениях глубины залегания плотных грунтов несущего слоя.
Монолитные свайные фундаменты, устраиваемые в вытрамбованных котлованах с предварительным доуплотнением грунта под острием сваи каменной отсыпкой, рекомендуются при просадочных грунтах I типа в качестве столбчатых фундаментов.
4.8. Для призматических забивных свай, а также пирамидальных с малым уклоном рекомендуется применять сборные оголовки. При однорядном расположении свай рекомендуется применять оголовки цилиндрической формы с внутренней полостью в форме ступенчатого усеченного конуса. Армирование оголовка рекомендуется выполнять арматурным каркасом цилиндрической формы. При двухрядном расположении свай рекомендуется применять прямоугольные оголовки.
4.9. Тип фундамента рекомендуется выбирать на основе технико-экономических сопоставлений вариантов с учетом конкретных инженерно-геологических условий площадки строительства, материально-производственной базы и обеспечения предельно допустимых деформаций основания.
В типовом проекте жилого здания рекомендуется разрабатывать не менее двух вариантов разных типов фундаментов.
5.1. В настоящем разделе изложены рекомендации по проектированию сборных и монолитных стен из бетона и железобетона, а также наружных стен и перегородок из листовых материалов на каркасе.
При проектировании стен каменных и блочных зданий следует руководствоваться положениями
СНиП II-22-81. Проектирование деревянных панельных стен рекомендуется выполнять согласно "
Руководству по проектированию конструкций деревянных панельных жилых домов" (ЦНИИЭП граждансельстрой, М., Стройиздат, 1984).
5.2. При проектировании следует различать следующие типы стен:
по восприятию вертикальной нагрузки - несущие, самонесущие и ненесущие (см.
п. 2.3 настоящего Пособия);
по назначению - наружные и внутренние;
по числу основных слоев - однослойные и слоистые.
Основными слоями стены называются все слои по толщине стены, в том числе тепло- или звукоизоляционные слои, за исключением защитно-декоративных, отделочных слоев, а также слоев из рулонных или пленочных материалов и воздушных прослоек.
Стены и перегородки можно проектировать однослойными и слоистыми. Конструкцию стены следует выбирать на основе технико-экономических расчетов.
5.3. Наружные однослойные стены рекомендуется проектировать сплошного сечения из плотного легкого бетона, автоклавного ячеистого бетона и естественных каменных материалов (блоки из известняка, туфа, ракушечника и др.).
В наружных однослойных стенах из легкого бетона рекомендуется предусматривать применение заполнителей:
крупного заполнителя из керамзитового гравия (ГОСТ 9759-83), перлитового щебня (ГОСТ 10832-83*), аглопоритового щебня (ГОСТ 11991-83), шлаковой пемзы (ГОСТ 9760-86), шунгизитового гравия (ГОСТ 19345-83), доменного гранулированного шлака, а также естественных пористых заполнителей (вулканический шлак, пемза, туф);
мелкого заполнителя из дробленого керамзитового песка, вспученного перлитового песка плотностью 200 - 400 кг/м3, золы ТЭС и золошлаковых смесей.
Для наружных однослойных стен рекомендуется предусматривать применение легкого бетона плотной структуры с объемом межзерновых пустот не более 3%.
5.4. Для наружных двухслойных стен из монолитно соединенных между собой двух основных слоев рекомендуется проектировать внутренний слой несущим, а наружный - теплоизоляционным. Внутренний слой рекомендуется проектировать из тяжелого или легкого бетона плотной структуры с межзерновой пористостью не более 3%, наружный слой - из легкого крупнопористого или бетона плотной структуры с межзерновой пористостью не более 6%. Наружный защитно-декоративный слой следует выполнять из плотного мелкозернистого бетона.
5.5. Наружные трехслойные стены можно проектировать с внешними слоями из бетона или листовых материалов.
В трехслойных бетонных стенах внешние бетонные слои рекомендуется выполнять из тяжелого бетона или плотного легкого бетона с межзерновой плотностью не более 3%.
Для внутреннего теплоизоляционного слоя рекомендуется применять следующие виды утеплителей со средней плотностью не более 400 кг/м3:
плиты из пенопласта на основе резольных формальдегидных смол
(ГОСТ 20916-87);
плиты из перлитопластобетона (ТУ 480-1-145-76);
жесткие минераловатные плиты на синтетическом связующем (ГОСТ 9573-82);
плиты теплоизоляционные из стеклянного штапельного волокна (ГОСТ 10499-78);
блоки из ячеистого бетона.
Для трехслойных бетонных стен можно также предусматривать заливочные составы на основе органических и (или) неорганических компонентов, твердеющих (или приобретающих необходимую структуру и прочность) в процессе изготовления конструкций стены (например, легкий бетон на пористых неорганических или органических заполнителях, ячеистый бетон, пенопласты и др.).
Для теплоизоляционного слоя наружных трехслойных стен из листовых материалов рекомендуется применять плиты минераловатные на синтетическом связующем марки 125 (ГОСТ 9573-82), полужесткие стекловолокнистые плиты (ГОСТ 10499-78), а также заливочные трудновоспламеняемые карбамидные пенопласты.
В стеновых панелях с алюминиевыми обшивками, проектируемых для Крайнего Севера и труднодоступных районов, рекомендуется теплоизоляционный слой выполнять из плит пенополистирола ПСБ и ПСБ-С
(ГОСТ 15588-86), из заливочных или напыляемых полиуретановых пенопластов (трудновоспламеняемых или трудносгораемых).
5.6. Внутренние однослойные стены рекомендуется проектировать сплошного сечения из тяжелого бетона, плотного силикатного или плотного легкого бетона. По конструктивным соображениям (например, для размещения каналов вентиляции, увеличения площади опирания сборных плит перекрытий) внутренние стены могут иметь пустоты.
5.7. Для армирования стен рекомендуется применять арматурную сталь следующих видов и классов:
в качестве рабочей арматуры - стержневую арматуру классов A-III и Ат-IIIС, арматурную проволоку класса Вр-I, а также стержневую арматуру классов А-I и А-II в случаях, когда использование арматуры классов А-III, Ат-IIIС и Вр-I нецелесообразно или не допускается нормами проектирования;
в качестве конструктивной арматуры - арматуру классов А-I и Вр-I;
в качестве деталей для подъема - арматуру класса АС-II.
5.8. Для гибких металлических связей, соединяющих внешние бетонные слои трехслойных стен, следует применять арматурные строительные стали, имеющие необходимую коррозионную стойкость в условиях эксплуатации. При наличии данных о коррозиестойкости допускается применять арматуру классов А-I, А-II и Вр-I с противокоррозионным покрытием.
5.9. Принимаемые в проектах конструкции заполнения оконных и дверных проемов по теплозащитным свойствам должны соответствовать требованиям, установленным
СНиП II-3-79**.
Заполнение оконных проемов в районах с разностью температур внутреннего воздуха и средней температурой наиболее холодной пятидневки до 49 °C рекомендуется проектировать с двойным остеклением, а при разности температур 50 °C и более - с тройным остеклением (с раздельно-спаренными переплетами).
5.10. Стыки между гранями оконных и дверных проемов и их заполнениями рекомендуется герметизировать нетвердеющими мастиками по всему периметру сопряжений. Водонепроницаемость примыкания нижнего узла оконного заполнения к граням проема панели наружной стены должна быть обеспечена конструктивными мерами за счет придания нижней части проема конфигурации, обеспечивающей отвод воды из-под оконного блока.
5.11. Прочность несущих и самонесущих стен при сжатии по горизонтальным сечениям рекомендуется обеспечивать прочностью бетона без учета их армирования.
Допускается предусматривать усиление стен по горизонтальным сечениям расчетной арматурой на участках, ослабленных примыкающими проемами, или же при необходимости сохранения в нижних этажах принятой для здания толщины стен, если это технологически и экономически не обеспечивается выбором необходимой марки бетона.
Примечания. 1. Сечения стен, прочность которых обеспечивается только сопротивлением бетона, называются бетонными; сечения стен, прочность которых обеспечивается совместно сопротивлением бетона и арматуры - железобетонными.
2. Минимальный процент вертикальной арматуры железобетонных сечений должен удовлетворять требованиям
СНиП 2.03.01-84.
5.12. Толщины несущих и самонесущих стен по условиям обеспечения прочности при внецентренном сжатии следует принимать такими, чтобы их гибкость не превышала значения, указанные в табл. 6.
Таблица 6
Стена | Материал элементов стены и армирование | Предельная гибкость  | Предельное значение отношения l0/h для однослойных стен сплошного сечения |
Однорядной разрезки из сборных элементов, монолитная стена | Тяжелый бетон, легкий бетон на пористых заполнителях: | | |
железобетонные | 120 | 35 |
элементы бетонные | 90 | 26 |
Двухрядной разрезки из сборных элементов | Железобетонные и бетонные элементы из автоклавного ячеистого бетона | 70 | 20 |
Панели из бетона всех видов: | | |
при сварных соединениях панелей в монтажных горизонтальных швах | 70 | 20 |
при отсутствии сварных соединений | 42 | 12 |
Примечание. Расчетная длина панелей

определяется по
п. 5.19 настоящего Пособия. Радиус инерции вычисляется по формуле

, где I - момент инерции горизонтального сечения относительно оси, проходящей через центр сечения и параллельной плоскости стены, A - площадь горизонтального сечения.
5.13. При назначении толщин стен следует учитывать требования к тепло- и звукоизоляции и огнестойкости.
Толщины наружных стен следует назначать кратными 25 мм толщины внутренних стен и перегородок - кратными 20 мм.
РАСЧЕТ ПРОЧНОСТИ СТЕН ИЗ БЕТОННЫХ МАТЕРИАЛОВ
5.14. Для расчета прочности стен из несущей системы здания рекомендуется выделять вертикальные элементы (столбы), состоящие из расположенных друг над другом простенков, которые ограничены по вертикали проемами и стыками сборных элементов стены. Простенки, соединенные между собой жесткими связями сдвига (см.
п. 3.18), рекомендуется рассматривать как один столб, который может иметь плоскую или неплоскую форму. Столб считается плоским, если он образован расположенными в одной плоскости простенками одинаковой толщины, неплоским - если он образован расположенными в разных плоскостях простенками или простенками одной стены, но разной толщины.
5.15. Плоский столб может иметь прямоугольную, тавровую, двутавровую или иную форму в плане. Допускается считать форму горизонтального сечения столба прямоугольной, если он образован простенком (или простенками) однослойной стены без пустот, при этом местные отклонения от прямоугольной формы (например, из-за неплоской формы вертикальных торцов панелей, наличия борозд, ниш и т.п.) составляют не более 0,1 площади горизонтального сечения. Плоский столб, образованный простенками многопустотной или слоистой стены, при расчете рассматривается как двутавровый или тавровый. Для слоистых стен, несущие слои которых выполнены из разных материалов, все слои приводятся к одному из них путем умножения их фактической ширины (размер вдоль длины плоского столба) на коэффициент, равный отношению модулей упругости данного слоя и слоя, к которому приводятся остальные (при определении усилий в слоях) или призменных прочностей слоев (при проверке несущей способности).
5.16. Неплоский столб рекомендуется рассматривать как систему плоских элементов (полос), жестко соединенных между собой в местах сопряжения. Полосы, расположенные в плоскости изгиба столба, называются стенками, а примыкающие к ним остальные полосы - полками столба. В настоящем Пособии рассматривается расчет неплоских столбов, имеющих только одну стенку. Неплоские столбы с несколькими стенками для расчета прочности допускается расчленять на части, в пределах каждой из которых имеется по одной стенке.
5.17. Усилия от внешних нагрузок и воздействий следует определять с учетом совместной работы всех столбов, объединенных в единую несущую систему перекрытиями, перемычками и вертикальными стыковыми соединениями.
После того, как определены усилия в каждом из столбов, расчет их прочности разрешается выполнять с использованием допущения, что в уровне перекрытий столбы имеют жесткие или упругие горизонтальные опоры.
Горизонтальные опоры разрешается считать жесткими для стен зданий перекрестно-стеновой системы (см.
п. 2.4), а также для зданий других систем, если расстояние между поперечными жесткими конструкциями не превышают значений, приведенных в
СНиП II-22-81 для первой группы кладки.
В остальных случаях, в том числе для самонесущих стен, соединенных с перекрытиями связями, горизонтальные опоры считаются упругими.
Стены, на которые не опираются перекрытия, при отсутствии связей следует рассчитывать как свободно стоящие.
При жестких горизонтальных опорах принимается, что в уровне перекрытий простенки, образующие столб, закреплены от перемещений из плоскости стены в уровне опор. Неплоские столбы считаются, кроме того, закрепленными от перемещений из плоскости в местах пересечения стен.
При упругих горизонтальных опорах расчет прочности столба следует выполнять методами строительной механики с учетом податливости связей между столбом и поддерживающими его поперечными конструкциями.
5.18. В зависимости от конструктивного решения узлов сопряжения сборных стен с перекрытиями принимается, что простенки в уровне перекрытий имеют шарнирное или упругое соединение. При шарнирном соединении поворот сборных элементов в стыках считается ничем не ограниченным. При упругом соединении предполагается, что взаимный поворот сборных элементов ограничен сопротивлением горизонтальных растворных швов и плит перекрытий, которые опираются на стену.
При выборе расчетной схемы соединения сборных элементов в горизонтальных стыках следует учитывать, что использование шарнирной схемы соединения существенно упрощает расчет, но приводит к завышению значения эксцентриситета продольных сил относительно оси стены. Поэтому в тех случаях, когда лимитирует прочность стен при продольном изгибе (например, для наружных трехслойных стен с гибкими связями между слоями), рекомендуется учитывать упругое соединение сборных элементов в горизонтальных швах.
Для монолитных зданий узлы сопряжения стен с перекрытиями считаются жесткими. Для определения усилий при жестких узлах рекомендуется стену с примыкающими к ней перекрытиями рассматривать как раму с жесткими узлами. Для сборно-монолитных зданий тип узла стен с перекрытиями принимается в зависимости от его конструктивного решения.
5.19. Расчетную длину стен, имеющих жесткие горизонтальные опоры в уровне перекрытий, при расчете на внецентренное сжатие с учетом продольного изгиба рекомендуется определять по формуле

, (21)
где

- высота этажа в свету (между плитами перекрытий);

- коэффициент, зависящий от жесткости узла сопряжения стен с перекрытиями и принимаемый равным: 0,8 - при жестких узлах, 1 - при шарнирных узлах; при платформенном опирании сборных плит перекрытий разрешается принимать коэффициент

, при этом в случае одностороннего опирания плиты перекрытий должны быть заведены на стену не менее чем на 0,8t, где t - толщина стены; в остальных случаях коэффициент

определяется методами строительной механики и принимается не менее 0,8;

- коэффициент, учитывающий влияние стен перпендикулярного направления.
Закрепление простенков в местах их сопряжения со стенами перпендикулярного направления разрешается учитывать в случае, когда расстояние d между стенами, которые примыкают к простенку, не более

, а расстояние от свободного края простенка до примыкающей к нему стены не более

. Сборные стены, кроме того, должны быть соединены между собой замоноличенными сварными арматурными связями, расположенными не реже чем через 100 см по высоте стены.
Коэффициент

для указанных случаев рекомендуется определять по формуле:

; (22)
для участка между свободным краем простенка и примыкающей к нему стеной

, (23)
где d - ширина рассматриваемого участка простенка.
В остальных случаях величина

.
5.20. Прочность стен следует проверять для горизонтальных, вертикальных и наклонных сечений.
Расчетные горизонтальные сечения стен считаются расположенными в уровне перекрытий (опорные сечения) и середине высоты этажа (середине сечения). При расчете прочности стены с оконными проемами на усилия, действующие в плоскости стены, следует также рассматривать сечения, расположенные по верху и низу проема.
Расчетные вертикальные сечения стен считаются расположенными вдоль линий пересечения стен, а для сборных стен также вдоль вертикальных стыков.
5.21. При расчете прочности столба по горизонтальным сечениям следует учитывать усилия, вызывающие общий изгиб столба в плоскости стены (для неплоского столба - в плоскости его стенки), а также усилия, вызывающие местный изгиб полос из их плоскости в пределах высоты этажа. Расчет столба на общий и местный изгиб допускается выполнять раздельно.
Для каждой полосы рекомендуется определять приведенное сопротивление сжатию

, вычисляемое по формулам:
для опорных сечений

; (24)
для средних сечений

, (25)
где

- расчетная прочность бетона стены при сжатии (призменная прочность), определяемая для тяжелых, легких и ячеистых бетонов по
СНиП 2.03.01-84, а для плотных силикатных бетонов по
СНиП 2.03.02-86 с учетом приведенных в нормах коэффициентов условий работы по материалу

; при расчете прочности средних сечений следует дополнительно учитывать коэффициенты условий работы: для пустотелых и ребристых элементов - 0,9, для бетонных простенков, площадь которых менее 0,1 м
2 - 0,85; при расчете прочности опорных сечений панелей наружных стен из легких и ячеистых бетонов, бетонируемых фасадной поверхностью вниз, при глубине опорного участка стыка менее 1/3 толщины стены следует дополнительно учитывать коэффициент условий работы 0,85; при усилении опорных зон стеновых элементов армированием вместо прочности

учитывается приведенное сопротивление

;

- коэффициент, определяется по
п. 5.25;

- коэффициент, учитывающий влияние горизонтальных растворных швов, определяется по
п. 5.23;

- коэффициент, учитывающий конструктивный тип стыка, неравномерность распределения сжимающей нагрузки между опорными площадками стыка и эксцентриситет продольной силы относительно центра стыка, определяется по
п. 5.24;

- коэффициент, учитывающий влияние продольного изгиба и эксцентриситета продольной силы на прочность стены при сжатии по среднему сечению, определяется по
п. 5.29.
Коэффициенты

,

разрешается принимать на основе испытаний стыков при условии согласования результатов с ведущей организацией по составлению данного Пособия.
При расчете прочности столбов по горизонтальным сечениям необходимо различать следующие расчетные случаи: первый - прочность обеспечивается только сопротивлением сжатой зоны сечения; второй - совместно сопротивлением сжатой и растянутой зон сечения; третий - только сопротивлением растянутой зоны.
По первому расчетному случаю выполняется расчет полностью сжатых горизонтальных сечений, а также сечений, имеющих сжатую и растянутую зоны, при условии что эксцентриситет продольной силы в плоскости стенки столба

не более

(где

- расстояние от центра жесткости столба до его наиболее напряженной сжатой грани). При эксцентриситете продольной силы

в растянутой зоне сечения для ограничения раскрытия трещин в панелях и стыках следует устанавливать сквозную продольную арматуру с площадью поперечного сечения не менее 0,025% площади стенки столба (без учета площади примыкающих полок).
По второму расчетному случаю рассчитываются внецентренно сжатые столбы при эксцентриситете продольной силы

и внецентренно растянутые столбы, для которых абсолютное значение эксцентриситета

, где

- расчетная высота горизонтального сечения столба (расстояние по длине стены от сжатой грани до продольной растянутой арматуры). По второму расчетному случаю допускается также рассчитывать внецентренно сжатые столбы при эксцентриситете

.
При расчете по второму расчетному случаю в растянутой зоне сечения необходимо устанавливать сквозную продольную арматуру с площадью поперечного сечения не менее 0,05% площади горизонтального сечения стены (для столба неплоской формы-площади горизонтального сечения стенки).
По третьему расчетному случаю рассчитываются центрально и внецентренно растянутые столбы, если выполняется условие, что

. При расчете по третьему расчетному случаю по краям стенки и по ее длине должна устанавливаться сквозная продольная арматура, обеспечивающая восприятие действующих в горизонтальном сечении усилий без учета сопротивления бетона.
Центр жесткости для столба плоской формы совпадает с его геометрическим центром. Для неплоского столба положение центра жесткости определяется по
п. 5.33.
Расчет прочности горизонтальных стыков при сжатии
5.22. Прочность горизонтальных стыков при сжатии рекомендуется определять с использованием следующих предпосылок:
вместо номинальных (проектных) размеров опорных площадок и толщин растворных швов вводят расчетные размеры, определяемые с учетом возможных неблагоприятных отклонений номинальных размеров, вследствие допусков на изготовление и монтаж конструкций и других случайных факторов; при этом не надо учитывать случайный эксцентриситет продольных сил;
при использовании шарнирной расчетной схемы соединения сборных элементов в горизонтальном стыке (см.
п. 5.18) сжимающие напряжения считаются равномерно распределенными по толщине стены для каждой из опорных площадок; для стыков, имеющих несколько опорных площадок, учитывается возможная неравномерность распределения сжимающих усилий между площадками;
при использовании расчетной схемы с упругим соединением сборных элементов в горизонтальном стыке (см.
п. 5.18) сжимающие напряжения в стыке определяют предполагая, что сборные элементы и растворные швы работают в упругой стадии.
Прочность горизонтального стыка при сжатии проверяется по формуле

, (26)
где t - толщина стены;

- продольная сжимающая сила, действующая в уровне рассчитываемого опорного сечения стены;
t - толщина стены (для трехслойных стен с гибкими связями - толщина внутреннего несущего слоя);

- расчетная ширина простенка в зоне стыка, для наружной стеновой панели с оконными проемами величина

принимается равной сумме ширины простенка d на уровне расположения оконных проемов и участка, длина которого в каждую сторону от простенка принимается равной половине высоты перемычек

, примыкающих к простенку, при этом для стыка между панелями с оконными проемами величина

принимается равной половине высоты перемычки над оконным проемом, а для стыка между панелью с оконным проемом и цокольной панелью без проемов - равной половине высоты перемычки под оконным проемом.
При наличии местных ослаблений горизонтального стыка бороздами, углублениями для шпонок, распаячных коробок и др. расчетную ширину

следует определять за минусом размеров этих ослаблений.
При типовом проектировании панельных зданий необходимо учитывать следующие расчетные значения возможных смещений в стыке сборной плиты перекрытия

и стеновой панели

относительно их проектного положения:
для сборных плит перекрытий

;
для стеновых панелей при монтаже с применением фиксаторов или шаблонов, ограничивающих взаимные смещения параллельно расположенных стен,

; при монтаже с применением подкосов

.
Для горизонтальных растворных швов расчетную толщину шва рекомендуется принимать равной

(

- номинальная толщина шва), но не менее следующих значений:
для растворного шва при монтаже сборных элементов стен по маякам, а также для растворных швов в контактных стыках сборных элементов стены - 25 мм;
для растворного шва под плитой перекрытия без маяков - 20 мм.
При наличии фактических данных о смещениях сборных элементов и толщинах швов принимаются их значения.
5.23. Коэффициент

для горизонтальных растворных швов определяется по формуле

, (27)
где

- расчетная величина толщины растворного шва, определяемая по указаниям
п. 5.22;

- расчетная ширина растворного шва (размер по толщине стены), принимаемая
для стыков с двухсторонним опиранием перекрытий, равной толщине стены t;
для нижнего растворного шва комбинированного стыка

, (28)

; (29)
для контактного, монолитного и верхнего растворного шва комбинированного стыка при


, (30)

- номинальный (проектный) размер (ширина) опорной площадки, через которую передается в стыке сжимающая нагрузка (для контактно-платформенного стыка величина определяется с учетом зазора между контактной и платформенной площадками стыка);

- кубиковая прочность раствора, МПа;

- величина, численно равная классу по прочности на сжатие бетона сборного элемента стены, МПа.
При указании в проекте прочности бетона по марке в
формуле (27) разрешается принимать

, где

- проектная марка по прочности на сжатие бетона сборного элемента стены (кгс/см
2).
При возведении здания в зимнее время на растворах с противоморозными добавками прочность стыка должна быть проверена на момент оттаивания раствора. Кубиковая прочность оттаявшего раствора определяется по Инструкции по приготовлению и применению строительных растворов в зависимости от вида и количества противоморозных добавок, продолжительности твердения раствора и температуры воздуха. Продолжительность твердения определяется как частное от деления числа этажей над проверяемым горизонтальным сечением здания на возможный максимальный темп возведения здания (число монтируемых этажей в сутки). Температура твердения раствора принимается как среднемесячная температура наиболее холодного периода.
Количество и вид противоморозных добавок, принятый максимальный темп монтажа и район строительства должны быть указаны в проекте.
При типовом проектировании значение прочности раствора с противоморозными добавками на момент оттаивания рекомендуется принимать не более 0,25 значения марки раствора.
В случае возведения здания методом замораживания без применения противоморозных добавок или прогрева стыков при проверке прочности стыка на момент оттаивания величину

, вычисленную по
формуле (27), следует умножать на коэффициент условий работы 0,8, учитывающий неравномерность оттаивания по толщине стены раствора.
Расчет здания по указаниям данного пункта не исключает необходимости систематического контроля за величиной фактической прочности раствора в соответствии с указаниями по монтажу, разрабатываемыми для каждой конкретной серии жилых домов (или блок-секций) применительно к конкретным условиям строительства.
Для стыков стен из монолитного бетона, а также монолитных стыков панельных стен, заполняемых бетоном после установки панели верхнего этажа, коэффициент

принимается равным 1, а при опирании плит перекрытия "насухо" (без раствора)

.
5.24. Коэффициент

вычисляется в зависимости от конструктивного решения узла. Если при расчете принимается шарнирное соединение сборных элементов в горизонтальном стыке (см.
п. 5.18), то коэффициент

вычисляется по указаниям настоящего пункта. Если соединение считается упругим или жестким, то вычисленные для шарнирной схемы значения коэффициента следует умножать на коэффициент

, который учитывает эксцентриситет равнодействующей продольной сжимающей силы относительно центра стыка. Коэффициент

вычисляется по указаниям
п. 5.27.
Для платформенного стыка (см.
рис. 7), а также для платформенных узлов монолитных стен (см.
рис. 18), в которых сжимающая нагрузка передается только через опорные участки плит перекрытий, коэффициент

вычисляется по формуле

, (31)
где

- суммарный размер по толщине стены платформенных площадок, через которые в стыке передается сжимающая нагрузка; при скошенных торцах плит перекрытий прочность стыка проверяется раздельно в уровне верхней и нижней опорных зон сборных элементов стены, принимая соответствующие размеры платформенных площадок; при монолитных стенах прочность проверяется только для сечения в уровне верха плит перекрытия;

- возможное суммарное смещение в платформенном стыке плит перекрытий относительно их проектного положения, принимаемое при типовом проектировании зданий для платформенных стыков с двухсторонним опиранием плит перекрытий равным

, где смещение

принимается по указаниям
п. 5.22;

- коэффициент, учитывающий неравномерность загружения платформенных площадок и принимаемый в зависимости от опирания плит перекрытий на стены равным 0,9 - при двухстороннем опирании;

- коэффициент, зависящий от соотношения расчетных прочностей при сжатии бетона стены

и бетона опорных участков плит перекрытий

;
для стен из тяжелого и легкого бетона
при

;
при

, (32)
Для стен из ячеистого бетона

, (33)
но не более 1,
где

- расчетная прочность при сжатии (призменная прочность бетона плит перекрытий); для плит перекрытий, изготовляемых в вертикальных кассетных установках, необходимо учитывать понижающий коэффициент условий работы 0,85.
При усилении опорных зон плит перекрытий сплошного сечения горизонтальными сварными сетками из арматурной проволоки диаметром 5 мм с ячейками 50 x 50 мм сопротивление

для стен из тяжелого бетона можно увеличить на 20%. Шаг сеток не должен превышать 0,7 глубины опирания перекрытий. Сетки должны объединяться в пространственный каркас.
В случае применения многопустотных плит перекрытий коэффициент

следует дополнительно умножать на коэффициент

, принимаемый:
при механизированной заделке пустот в заводских условиях путем добетонирования с пригрузом опорных участков плит перекрытий

; в остальных случаях

, (34)
где

- коэффициент условий работы, принимаемый равным: 0,5 - при заделке пустот свежеотформованными бетонными пробками, изготовленными одновременно с плитами перекрытий; 1 - при незаделанных пустотах, а также при несовершенной заделке пустот в построечных условиях (например, закладка кирпичом на растворе);

- наименьшая толщина ребра между пустотами плиты перекрытия;

- наименьший шаг пустот.
Для платформенных стыков с односторонним опиранием перекрытий значение коэффициента

следует определять по экспериментальным данным.
Для контактного стыка, в котором сжимающая нагрузка передается только через контактные участки стыка (см.
рис. 9), коэффициент

вычисляется по формуле

, (35)
где

- размер по толщине стены контактной площадки, через которую в стыке передается сжимающая нагрузка;

- расчетное изменение номинального размера контактной площадки, принимаемое равным: для стыков с односторонним опиранием плит перекрытий, в которых хотя бы один край контактной площадки совпадает с гранью стены, а также для контактных стыков вне зоны опирания перекрытий

; в остальных случаях

;

- размер по длине стены контактного участка стыка (за минусом гнезд для опирания плит перекрытий);

- коэффициент, принимаемый равным меньшему из значений коэффициентов

и

;

- коэффициент, учитывающий повышение прочности стыка при местном сжатии,

, (36)

- коэффициент, принимаемый равным: 1,1 - при

; 1 - в остальных случаях;

- расстояние от центра контактной площади до ближайшей вертикальной грани стены;

- коэффициент, учитывающий форму контактной площадки;
для площадки в виде выступа вверху или внизу стеновой панели высотой

при прочности раствора в горизонтальном шве

не менее класса бетона сборного элемента стены

(МПа) коэффициент

принимается равным: для тяжелого бетона

; для легкого бетона на пористых заполнителях и ячеистого

; при

;
для контактной площадки высотой

коэффициент

; в промежуточных случаях (при

) значение коэффициента

определяется по интерполяции между указанными краевыми значениями.
Для контактно-платформенного стыка (см.
рис. 10), в котором сжимающая нагрузка передается через платформенный и контактный участки, коэффициент

принимается равным меньшему из значений величин

,

, которые соответствуют случаям разрушения стыка по контактному или платформенному участкам в уровне верхнего или нижнего растворных швов и вычисляются по формулам:

,
но не менее

;

,
но не менее

,
где

,
где

- номинальный (проектный) размер по толщине стены контактного участка стыка;

,

- то же, платформенного участка стыка, для сечений соответственно в уровне верхнего и нижнего растворных швов;

,

- вычисляются как для платформенного стыка;

- вычисляется как для контактного стыка;

,

- величины, характеризующие возможные изменения номинальных размеров соответственно контактного и платформенного участков стыка;

- среднее значение местных сжимающих напряжений, передаваемых на стену по платформенной площадке от плиты перекрытия, которая непосредственно оперта в стыке;

,

- коэффициенты, вычисляемые по указаниям
п. 5.23 соответственно для нижнего и верхнего растворных швов.
Для монолитного стыка (см.
рис. 8), а также контактных узлов монолитных стен (см.
рис. 16,
17), в которых вся сжимающая нагрузка передается через слой бетона, уложенного в полость стыка, коэффициент

вычисляется по формуле

, (42)
где

,

- размеры соответственно по толщине и длине стены монолитного участка стыка;

- возможное смещение стены по монолитному участку стыка, принимаемое в зависимости от способа опирания плит перекрытий равным:

- при одностороннем опирании,

- при двухстороннем опирании;

- коэффициент, зависящий от соотношения классов по прочности на сжатие бетона замоноличивания стыка

и опорного участка стены

и принимаемый равным меньшему из значений коэффициентов

и

;

- коэффициент, учитывающий повышение прочности стыка при местном сжатии,

, (43)
где

- расстояние по толщине стены от центра монолитного участка стыка до ближайшей грани стены;

- коэффициент, определяемый для стыков с односторонним опиранием плит перекрытий по формуле

, (44)
а для стыков с двухсторонним опиранием плит перекрытий - по формуле

. (45)
При замоноличивании стыка раствором или бетоном, прочность которого характеризуется маркой, величину

разрешается принимать равной

, где

- марка по прочности на сжатие (кубиковая прочность) раствора или бетона замоноличивания стыка (кгс/см
2).
Для контактных узлов стен из монолитного бетона со сборными плитами перекрытий коэффициент

вычисляется по
формуле (42), принимая коэффициент

.
Для платформенно-монолитного стыка (см.
рис. 7), а также комбинированных узлов монолитных стен (см.
рис. 19 -
21), в которых сжимающая нагрузка передается через платформенные и монолитный участки, коэффициент

принимается равным меньшему из двух значений коэффициентов

и

, соответствующих разрушению стыка по платформенному или монолитному участкам и определяемых по формулам:

(46)

(47)
где

, но не больше 1;

, но не больше 1;

- размер по толщине стены платформенного участка стыка;

- то же, монолитного участка стены;

- коэффициент, принимаемый при замоноличивании стыка обычным тяжелым бетоном 0,8; раствором - 0,7.
Прочность мелкозернистого бетона (раствора), сопротивление которого учитывается при расчете прочности платформенно-монолитного стыка, должна контролироваться в соответствии с требованиями ГОСТ на бетоны.
5.25. Коэффициент

для стыков сборных элементов стен, усиленных в зоне стыка поперечными сварными каркасами или сетками, определяется по формуле

, (48)
но не более 1,3,
где

- площадь сечения одного поперечного стержня горизонтального каркаса (сетки);

- шаг поперечных стержней по длине стены;

- расстояние между крайними продольными стержнями каркаса;

- шаг каркасов по высоте стены;
t - толщина стены.
Влияние косвенного армирования опорной зоны стеновой панели разрешается учитывать при выполнении следующих условий:
диаметр

и расчетное сопротивление растяжению

продольных стержней не менее диаметра и расчетного сопротивления поперечных стержней;
шаг каркасов по высоте стены не более 0,5t;
шаг поперечных стержней по длине стены не более

;
класс бетона стены не менее В12,5 (марка бетона не менее М150);
толщина горизонтального растворного шва между панелями не более 3 см, прочность раствора не менее 2,5 МПа (25 кгс/см2).
Коэффициент

для стыков монолитных стен, усиленных в зоне стыка вертикальной арматурой, определяется по формуле

, (49)
но не более 1,5,
где

- площадь поперечного сечения вертикальной продольной арматуры, пересекающей стык;

- расчетное сопротивление сжатию продольной арматуры, пересекающей стык;

- площадь горизонтального сечения стены.
Определение эксцентриситетов
5.26. При использовании шарнирной схемы соединения сборных элементов в горизонтальном стыке (см.
п. 5.18) равнодействующая сжимающая сила считается приложенной в опорном сечении с эксцентриситетом

по толщине стены относительно геометрического центра горизонтального сечения.
Для стыков с двухсторонним опиранием перекрытий эксцентриситет по толщине стены продольной силы относительно геометрического центра горизонтального сечения стены рекомендуется определять по формулам:
для платформенного стыка

, (50)
где

,

- соответственно разность и сумма номинальных размеров по толщине стены платформенных площадок в уровне верхнего растворного шва;
для других типов стыков с симметричным расположением опорных площадок по толщине стены

. (51)
Для стыков с односторонним опиранием плит перекрытий эксцентриситет по толщине стены продольной силы относительно геометрического центра горизонтального сечения рекомендуется определять по формулам:
для платформенного стыка

, (52)
где

- номинальный размер по толщине стены платформенной площадки в уровне верхнего растворного шва;
для контактного стыка

, (53)
где

- расстояние по толщине стены от ближайшей ее грани до центра контактной площадки;
для контактно-платформенного стыка
при


, (54)
где

; (55)

; (56)
при


, (57)

; (58)

; (59)
для монолитного стыка

; (60)
для платформенно-монолитного стыка
при


, (61)
где

; (62)

; (63)
при


, (64)
где

; (65)

. (66)
5.27. Коэффициент

вычисляется по формуле

, (67)
где

- эксцентриситет по толщине стены равнодействующей продольной сжимающей силы относительно центра стыка; при расчете стены в предположении шарнирного соединения элементов стены и перекрытия в узле эксцентриситет

; при расчете в предположении упругого или жесткого соединения элементов стены и перекрытия в узле

, (68)

- изгибающий момент в опорном сечении стены, определяемый методами строительной механики;

- продольная сжимающая сила в опорном сечении стены;

- величина, определяемая по указаниям
п. 5.24; для узлов монолитной стены со сборными плитами перекрытия величина

принимается равной размеру по толщине стены полости замоноличивания узла между плитами перекрытия; для узла монолитной стены с монолитными перекрытиями величина

принимается равной толщине стены t.
При определении изгибающего момента

следует учитывать, что часть нагрузок, вызывающих усилия в стыке, прикладываются до того, как раствор в стыках сборных элементов или бетон монолитных стен наберет расчетную прочность. Для полносборных зданий к ним следует относить нагрузки от веса конструкций не менее чем двух этажей здания. Усилия от этих нагрузок рекомендуется определять в предположении шарнирного соединения элементов в узле.
Расчет прочности стен по средним сечениям
при внецентренном сжатии из плоскости стены
5.28. При расчете прочности стен по средним сечениям на внецентренное сжатие из плоскости стены следует учитывать эксцентриситет продольной сжимающей силы

. Для сборных элементов стен эксцентриситет

определяют по формуле

, (69)

- эксцентриситет в опорном сечении стены, определенный в предположении шарнирного соединения с плитами перекрытия, вычисляется по
п. 5.26;

- эксцентриситет, определяемый по
п. 5.27;

- эксцентриситет равнодействующей продольной сжимающей силы, обусловленный местным изгибающим моментом

в рассматриваемом сечении стены (например, от поперечной нагрузки на стену, из-за перепада температур по толщине стены и др.)

. (70)
Для монолитных стен эксцентриситет

.
Абсолютное значение эксцентриситета

следует принимать не менее значения случайного эксцентриситета

, но не менее l / 600, где l - длина сжатого элемента стены, равная высоте этажа в свету.
5.29. Прочность стены по средним сечениям при внецентренном сжатии из плоскости проверяется для стен из тяжелого, легкого и ячеистого бетонов по
СНиП 2.03.01-84, а для стен из плотного силикатного бетона - по
СНиП 2.03.02-86.
Для прямоугольных бетонных сечений (без расчетной продольной арматуры) прочность стены можно проверять по формуле

, (71)
где

- расчетная прочность стены при сжатии, определяемая
п. 5.21;

- площадь горизонтального сечения стены;

- коэффициент, определяемый по формулам:
при


; (72)
при


, (73)
где

- расчетная длина стены, определяемая по
п. 5.19;

- эксцентриситет, определяемый по
п. 5.28,

, (74)

- начальный модуль упругости бетона стены;

- коэффициент, учитывающий влияние длительности действия нагрузки на жесткость элемента в предельном состоянии,

, (75)

- коэффициент, принимаемый по
СНиП 2.03.01-84; для плотного силикатного бетона

;

- продольная сжимающая сила на простенок от длительно действующей нагрузки;

- коэффициент, вычисляемый по формулам:
для тяжелого, легкого и ячеистого бетонов

; (76)
для плотного силикатного бетона

; (77)

- коэффициент, принимаемый равным

, но не менее

(78)
и не менее 0,01t.
В формуле (78) величина

в МПа.
Расчет прочности столбов по горизонтальным сечениям
5.30. Для плоского столба (см.
п. 5.14) прочность по горизонтальным сечениям при сжатии в случае, когда эксцентриситет

, проверяется для опорных сечений по
формуле (26), а для средних сечений по
формуле (71). В случае, когда эксцентриситет продольной силы

, расчет прочности столба рекомендуется выполнять на ЭВМ по специальным программам, предназначенным для расчета плоских бетонных и железобетонных конструкций с учетом образования в них трещин, развития пластических деформаций и других специфических особенностей работы материала при плоском напряженном состоянии.
Расчет прочности плоского столба допускается выполнять по приводимым в настоящем Пособии рекомендациям с использованием следующих предпосылок и допущений:
считается справедливой гипотеза плоских сечений;
для горизонтальных сечений вдоль стыков сборных элементов и технологических швов монолитных стен не учитывается сопротивление бетона растянутой зоны сечения;
принимается, что нормальные сжимающие напряжения изменяются по ширине столба (длине стенки) по линейной или билинейной зависимостям
(рис. 25); эпюра нормальных напряжений принимается линейной, если максимальное значение сжимающих напряжений

не превышает значения сопротивления

, вычисляемого по
формулам (24) или
(25); в противном случае принимается билинейная эпюра сжимающих напряжений, состоящая из двух участков, на первом из которых сжимающее напряжение изменяется по линейной зависимости от значения напряжений

до

, а на втором постоянное значение, равное

;
принимается, что в пределах длины линейного участка эпюры материал столба работает упруго, а на участке, где

находится в пластическом состоянии;
сдвигающие напряжения

воспринимаются только в пределах длины

наклонного участка эпюры

;
используются условия прочности бетона при плоском напряженном состоянии, приведенные в
СНиП 2.03.01-84.
Рис. 25. Расчетные эпюры сжимающих напряжений
для бетонных (а) и железобетонных (б)
горизонтальных сечений столба
5.31. Расчет прочности плоского столба по горизонтальным сечениям рекомендуется выполнять в следующей последовательности:
5.31.1. Определить знак продольной силы N. При N > 0 - горизонтальное сечение столба внецентренно сжато, при N < 0 - внецентренно растянуто, при N = 0 - столб изогнут. Если N > 0, то

, (79)
где

- абсолютное значение изгибающего момента, вызывающего изгиб столба.
Если

(столб внецентренно сжат), то следует перейти к выполнению п. 5.31.2, иначе (при

) - столб внецентренно растянут.
5.31.2. Определить предельную несущую способность столба при внецентренном сжатии исходя из прямоугольной эпюры сжимающих напряжений

, (80)
где

- вычисляется по
формулам (24) или
(25) соответственно для опорного и среднего сечения;
t - толщина стены;
h - ширина простенка (размер по длине стены в уровне расположения проемов).
Сопоставить предельную несущую способность столба

со значением продольной сжимающей силы N. В случае если

, то следует повысить класс бетона по прочности на сжатие, утолстить стену или ввести расчетное армирование. В случае если

и в расчетном сечении поперечная сила Q = 0, то прочность столба по горизонтальному сечению обеспечена (расчет закончен).
5.31.3. Определить краевые нормальные напряжения

и

исходя из линейного закона их распределения по ширине столба

; (81)

, (82)
где A - площадь среднего горизонтального сечения столба.
Проверить наличие растянутой зоны сечения. Если

(сечение имеет сжатую и растянутую зоны), то перейти к выполнению
п. 5.31.4. Если

(сечение полностью сжато), то сравнить значение величин

и

.
Если напряжения

, то перейти к выполнению
п. 5.31.5, иначе (при

) вместо линейной принять билинейную эпюру сжимающих напряжений и определить длину наклонного участка билинейной эпюры по формуле

, (83)
где

. (84)
Вычисленная по формуле (83) длина

не должна превышать значения величины h.
5.31.4. При

сравнить значение эксцентриситета

с предельным значением эксцентриситета

, при котором сечение может рассматриваться как бетонное. При

перейти к выполнению
п. 5.31.6, при

выполнить:
в предположении линейного распределения сжимающих напряжений определить высоту сжатой зоны

(85)
и максимальное значение сжимающих напряжений

. (86)
Если

, то перейти к выполнению п. 5.31.5, иначе (при

) вместо линейной принять билинейную эпюру сжимающих напряжений и определить длину наклонного участка эпюры по формуле

. (87)
5.31.5. Проверить прочность горизонтального сечения на совместное действие сжимающих N и сдвигающих Q усилий.
Для стен из тяжелого бетона класса по прочности на сжатие не выше В30 и из легкого бетона класса по прочности на сжатие не выше В15 прочность проверяется по формуле

, (88)
где x - длина наклонного участка эпюры сжимающих напряжений

;

- сжимающие напряжения в точке наклонного участка эпюры

, в которой воспринимаются максимальные касательные напряжения

,

, (89)
если

, то принимается, что

;
если

, то принимается, что

;

- приведенной сопротивление бетона стены сжатию, определяемое по рекомендациям
п. 5.21;

- приведенное сопротивление бетона стены растяжению

;

; (90)

; (91)

. (92)
В случае, если

, то прочность проверяется по формуле

. (93)
Для горизонтальных сечений в уровне стыков сборных элементов или технологических швов монолитных стен дополнительно должна быть проверена прочность по рекомендации
пп. 5.43 -
5.47.
Если
условие (88) или (93) не выполнено, то необходимо увеличить класс бетона и (или) толщину стены. Если по длине горизонтального сечения имеются сжатая и растянутая зона, то сопротивление срезу можно повысить за счет учета работы растянутой зоны сечения. В этом случае в растянутой зоне должна быть установлена сквозная продольная арматура по указаниям
п. 5.21. Расчет прочности внецентренно сжатых железобетонных стен выполняется по указаниям п. 5.31.6.
5.31.6. Внецентренно сжатые в плоскости железобетонные стены рекомендуется рассчитывать с использованием следующих предпосылок:
принимается, что в сжатой зоне сечения сжимающие напряжения изменяются по линейной зависимости от нуля до максимального значения

;
высота сжатой зоны x принимается не более величины

, вычисляемой по формуле

, (94)
где

- относительная высота сжатой зоны, характеризующая возможность полного использования сопротивления продольной растянутой арматуры (определяется по
СНиП 2.03.01-84);

- расчетная высота сечения, равная ширине простенка за минусом расстояния от растянутой арматуры до края сечения.
Расчет прочности симметрично армированных внецентренно сжатых железобетонных стен рекомендуется выполнять в следующей последовательности:
вычислить высоту сжатой зоны

, (95)
Если

, то требуемая площадь поперечного сечения продольной арматуры

, устанавливаемой у растянутой и сжатой кромок сечения, вычисляется но формуле

, (96)
где a - расстояние от продольной арматуры до края сечения.
Если

, то рекомендуется повысить прочность сжатой зоны сечения, например за счет армирования;
проверить прочность стены на совместное действие сжимающих и сдвигающих сил:
для опорного сечения прочность проверяется по формуле

, (97)
где

, (98)
для среднего сечения в случае, если

и

, то прочность проверяется по
формуле (88), в которой принимается

; если

, то прочность проверяется по
формуле (97); напряжения

и

вычисляются как для упругого тела.
5.32. Проверку прочности горизонтальных сечений неплоского столба рекомендуется выполнять с использованием предпосылок и допущений, перечисленных в
пп. 5.30 и
5.31, а также следующих:
эксцентриситет равнодействующей продольной силы

отсчитывается от центра жесткости столба, расположенного на расстоянии

от наиболее сжатой грани сечения и вычисляемого по формуле

, (99)
где

- толщина стенки неплоского столба;
h - высота горизонтального сечения столба, равная длине в плане его стенки;
m - количество всех полок столба;

- расстояние от полки f до наиболее сжатой грани столба;

,

- приведенные модули деформации соответственно полосы, образующей полку f и стенку столба и вычисляемые по
формуле (1);

- площадь горизонтального сечения полки f; для слоистых стен все несущие слои предварительно приводятся к одному из них;
A - приведенная площадь горизонтального сечения

; (100)
при проверке прочности столба сопротивление полок, расположенных в растянутой зоне сечения не учитывается;
для полок, расположенных в сжатой зоне сечения, принимается, что нормальные напряжения равномерно распределены по площади полки; среднее значение сжимающих напряжений в полке

определяется по формуле

, (101)
где

- значение сжимающих напряжений в стенке в месте ее сопряжения с полкой f;
в случае, если

(где

- сопротивление полки сжатию, определяемое по указаниям
п. 5.21), то принимается, что

.
5.33. Для расчета прочности неплоского столба по горизонтальным сечениям рекомендуется использовать изложенный в
п. 5.31 алгоритм с учетом следующих особенностей.
5.33.1. Предельная несущая способность неплоского столба при сжатии вычисляется по формуле

, (102)
где

- несущая способность стенки при равномерном сжатии по ее длине

, (103)

- приведенное сопротивление стенки сжатию, вычисляемое для опорных и средних сечений соответственно по
формулам (24) и
(25);
x - высота сжатой зоны сечения

, (104)

- расстояние по длине стенки от равнодействующей продольной сжимающей силы N до наиболее сжатой грани горизонтального сечения столба

; (105)

- количество полок, расположенных в пределах длины сжатой зоны сечения, определяемое последовательными приближениями; в первом приближении в расчет включаются все полки, расположенные в пределах длины

от наиболее сжатой грани;

- среднее значение сжимающих напряжений в полке, определяемое по
формуле (101), принимая, что напряжение

; если

, то принимается, что

.
Если в
формуле (104) подкоренное значение оказывается отрицательным, это означает, что граница сжатой зоны проходит по толщине одной из полок. Эту полку рекомендуется исключить из состава полок сжатой зоны и повторить расчет.
5.33.2. Минимальные

и максимальные

значения сжимающих напряжений в горизонтальном сечении столба при линейном распределении напряжений вычисляются по формулам:

; (106)

, (107)
где

- абсолютное значение изгибающего момента, вызывающего общий изгиб столба в плоскости его стенки;
I - приведенный момент инерции горизонтального сечения неплоского столба

. (108)
5.33.3. В случае, если вычисленные по
формуле (106) напряжения

(сечение полностью сжато), а напряжения

, то необходимо вместо линейной принять билинейную эпюру сжимающих напряжений, длина наклонного участка которой вычисляется по формуле

. (109)
В случае, если вычисленные по
формуле (106) 
(сечение имеет сжатую и растянутую зоны), длина сжатой зоны x определяется последовательными приближениями. В качестве начального приближения рекомендуется высоту сжатой зоны определять по формуле

. (110)
Уточненное значение высоты сжатой зоны при линейном законе распределения сжимающих напряжений на i-м шаге приближений вычисляется по формуле

, (111)
где

- высота сжатой зоны для предыдущего шага вычислений.
Вычисления по формуле (111) рекомендуется повторять до тех пор, пока не будет выполнено условие

.
Если в ходе вычислений по формуле (111) оказывается, что для полки f величина

, то полку f следует исключить из числа полок сжатой зоны.
Для столба тавровой формы в плане с полкой в сжатой зоне разрешается принимать, что величина

. Высота сжатой зоны таврового столба определяется по формуле

. (112)
В случае, если длина сжатой зоны вычисляется по
формулам (111) или (112), максимальное значение сжимающих напряжений в стенке вычисляется по формуле

. (113)
Если

, то сжимающие напряжения в полке f вычисляются по формуле

. (114)
Для столба тавровой формы в плане с полкой в сжатой зоне разрешается принимать, что

. (115)
Если вычисленные по
формуле (113) напряжения

, то вместо линейной необходимо принять билинейную эпюру сжимающих напряжений. Длины

и

соответственно наклонного и прямолинейного участков эпюры сжимающих напряжений определяются совместным решением уравнений:

; (116)

, (117)
где

- количество полок, расположенных в пределах длины

сжатой зоны сечения;

- общее количество полок, расположенных в сжатой зоне сечения.
Для столба тавровой формы в плане с полкой в сжатой зоне длина

наклонного участка эпюры сжимающих напряжений определяется по формуле

, (118)
а длина участка

, где напряжения

, - по формуле

. (119)
5.33.4. Сжимающие напряжения в полках, расположенных в пределах наклонного участка эпюры сжимающих напряжений, определяются по формуле

, (120)
а для полок, расположенных в пределах участка, где сжимающие напряжения

, сжимающие напряжения в полке определяются по формуле

. (121)
5.34. Прочность по наклонным сечениям бетонных столбов разрешается не проверять, если выполнено
условие (88).
Прочность по наклонным сечениям железобетонных столбов, в том числе с расчетным поперечным армированием, следует проверять по
СНиП 2.03.01-84 с учетом следующих особенностей: вместо призменной прочности бетона

в расчетные формулы подставляется приведенное сопротивление бетона сжатия

, вычисляемое по
формуле (25); длина проекции наклонной толщины на вертикальную ось принимается не больше расстояния до горизонтального сечения столба, в котором прочность обеспечивается сопротивлением только сжатой зоны.
Расчет прочности вертикальных стыков
5.35. Расчет прочности вертикальных стыков сборных элементов и вертикальных технологических швов монолитных стен разрешается выполнять с использованием следующих допущений:
прочность соединений при действии сдвигающих и нормальных сил проверяется независимо;
при расчете соединения на усилия сдвига, вызванные общим изгибом стены в собственной плоскости, сдвигающие силы считаются равномерно распределенными между однотипными шпонками (связями), расположенными в пределах высоты одного этажа;
при наличии разнотипных шпонок (связей) в пределах высоты одного этажа усилия между ними распределяются обратно пропорционально их податливости при сдвиге;
при расчете соединения на усилия сдвига, вызванные местными усилиями, например, вследствие перепада температур по толщине стены, учитывается неравномерность распределения усилий между шпонками или связями;
при учете сопротивления сдвигу перекрытий или монолитных поясов в уровне перекрытий усилия сдвига, приходящиеся на одну шпонку (связь)

и на перекрытие (монолитный пояс)

, определяются по формулам

; (122)

, (123)
где

- коэффициент податливости при сдвиге одной шпонки (связи);

- то же, плиты перекрытия или монолитного пояса в уровне перекрытия.
Коэффициенты податливости

и

определяются по
Прил. 4.
5.36. Для бесшпоночных соединений расчетная прочность при сдвиге принимается равной меньшей из двух значений усилий

и

, вызывающих разрушение стыка соответственно от взаимного проскальзывания соединяемых частей стены и от образования в зоне стыка наклонных трещин.
Усилия

и

вычисляются по формулам

; (124)

, (125)
где

- коэффициент трения, принимаемый для вертикальных стыков равным: для стыков сборных элементов - 0,6; для технологических швов монолитных стен - 0,8; для вертикальных узлов сопряжения стен из бетонов разных видов через разделительную сетку (см.
рис. 15, ж) - 1,4;

- расчетное сопротивление растяжению поперечной арматуры, пересекающей стык (шов бетонирования);

- суммарная площадь сечения поперечной арматуры пересекающей стык (шов бетонирования);

- сопротивление стыка образованию наклонных трещин

, (126)
но не более

;

- расчетное сопротивление растяжению бетона замоноличивания стыка (монолитной стены);

; (127)

- площадь вертикального сечения стыка (вдоль плоскости действия сдвигающих усилий).
5.37. Для шпоночных стыков следует различать бетонные и железобетонные соединения.
Сопротивление сдвигу бетонного шпоночного соединения вычисляется без учета сопротивления арматурных связей, сечение которых назначается по конструктивным соображениям. Для вертикальных стыков наружных и внутренних стен следует предусматривать связи для восприятия усилий распора, равных не менее чем 0,2 сдвигающей силы в стыке. Для бетонных шпоночных соединений не допускается образование трещин.
В железобетонном шпоночном соединении площадь сечения поперечных связей

должна удовлетворять условию

, (128)
где

- коэффициент, равный отношению силы распора в шпоночном соединении к сдвигающей силе, воспринимающей шпонки,

, (129)
но не менее 0,2;

- угол наклона площадки смятия к направлению, перпендикулярному плоскости сдвига;
V - сдвигающая сила в стыке;

- расчетное сопротивление растяжению поперечной арматуры стыка; при расположении поперечной арматуры только в уровнях верха и низа этажа или в уровне перекрытия сопротивления

принимается с коэффициентом 0,8.
5.38. Расчетная прочность при сдвиге

одной шпонки бетонного шпоночного соединения принимается равной меньшему из значений усилий

,

,

, соответствующих разрушению бетонной шпонки соответственно от среза, смятия и образования наклонных трещин

; (130)

; (131)

, (132)
где

- площадь среза шпонки;

- площадь смятия шпонки;

- площадь продольного сечения стыка, приходящаяся на одну шпонку

, (133)

- шаг шпонки;

- размер по толщине стены полости замоноличивания стыка;

- сопротивление шпонки местному смятию, принимаемое равным: для одиночных шпонок -

; а для многошпоночных соединений -

(

- расчетная призменная прочность бетона).
При сопряжении перпендикулярно расположенных монолитных стен с помощью сквозных шпонок (см.
рис. 15, д) в
формуле (130) вместо коэффициента 1,5 принимается 1,8.
5.39. Для железобетонных шпоночных соединений следует различать две стадии работы при сдвиге: до и после образования трещин.
До образования трещин от сдвигающих усилий соединение рассчитывается как бетонное, без учета сопротивления арматуры. Усилие сдвига, вызывающее образование трещин, допускается принимать равным несущей способности при сдвиге бетонного шпоночного соединения.
После образования трещин расчетная прочность при сдвиге железобетонной шпонки принимается равной меньшему из следующих значений усилий

,

,

, вызывающих разрушение железобетонного шпоночного соединения соответственно от среза, смятия и сжатия вдоль наклонных трещин

; (134)

; (135)

, (136)
но не менее

;
где

,

- сопротивления сдвигу бетонных шпонок вычисляемые соответственно по
формулам (130),
(131);

- сопротивление растяжению поперечной арматуры стыка, принимаемое не более величины

;

- площадь сечения поперечной арматуры стыка;

- глубина шпонки;

- расстояние между стыкуемыми поверхностями стены.
Для зданий с монолитными и сборно-монолитными перекрытиями, имеющими монолитные железобетонные пояса вдоль стен, а также со сборными плитами перекрытий при платформенном стыке со стенами разрешается при расчете на сдвиг вертикальных стыков стен учитывать сопротивление перекрытия.
Для узлов монолитных стен тавровой и крестообразной формы в плане
условие (136) не проверяется.
5.40. Прочность перекрытия при сдвиге вдоль вертикального стыка стен определяется по формуле

, (137)
где

- расчетная прочность при растяжении бетона перекрытия (для сборно-монолитного перекрытия - бетона монолитного железобетонного пояса, расположенного вдоль стен);

- толщина плиты перекрытия (пояса);
t - толщина стены;

- эффективная ширина, учитывающая сопротивление срезу плиты за пределами толщин стены и принимаемая равной:

- для монолитных и сборно-монолитных перекрытий;

- для сборных перекрытий (при одностороннем опирании перекрытий величина уменьшается вдвое).
5.41. Расчет прочности вертикальных соединений на действие сжимающих сил выполняется аналогично расчету горизонтальных стыков. Для монолитных и сборно-монолитных стен вертикальные соединения проверять на сжатие не требуется.
5.42. Растягивающие усилия, возникающие в вертикальных стыках сборных стен и швах бетонирования монолитных стен, следует воспринимать арматурными связями.
Расчет прочности горизонтальных стыков на сдвиг
5.43. При расчете прочности горизонтальных стыков на сдвиг следует учитывать нормальные силы, действующие перпендикулярно плоскости сдвига. В зависимости от знака и характера приложения нормальной силы необходимо различать следующие расчетные случаи:
а) во всех расчетных комбинациях нагрузок стык сжат (N > 0), при этом равнодействующая сжимающей силы проходит в ядре сечения;
б) то же, что и в случае "а", но в одной или нескольких расчетных комбинациях нагрузок равнодействующая сила проходит вне ядра сечения или N < 0.
5.44. Прочность плоских горизонтальных стыков при сдвиге проверяется по формуле

, (138)
где

- сопротивление растворного шва срезу, принимаемое для растворов марки 50 и выше, в случае, указанном в
п. 5.43 а равном 0,16 МПа (1,6 кгс/см
2), а в случае, указанном в
п. 5.43 б,

;

- среднее напряжение сжатия в сжатой зоне горизонтального стыка;

- коэффициент трения, принимаемый для горизонтальных стыков равным: для плоских стыков сборных элементов - 0,6; для горизонтальных технологических швов бетонирования монолитных стен, выполняемых без специальной обработки - 1;

- площадь сжатой зоны стыка.
5.45. Для горизонтального стыка с бетонными шпонками прочность при сдвиге проверяется по формуле

, (139)
где

- действующая на стык сжимающая сила за минусом сжимающих усилий в полках (для столба неплоской формы);

- количество шпонок, расположенных в сжатой зоне стыка;

- сопротивление сдвигу бетонной шпонки, вычисляемое по
п. 5.38.
5.46. Для горизонтального стыка с железобетонными шпонками сопротивление сдвигу принимается равным большей из величин

,

, вычисляемых по формулам

; (140)

, (141)
где

,

- соответственно площадь сечения и расчетное сопротивление арматуры поперечных связей в горизонтальном стыке;

- количество шпонок, расположенных в сжатой зоне стыка;

- общее количество шпонок в стыке.
5.47. Для горизонтального стыка с замоноличенными бетоном шпонками из прокатного металла (двутавра, уголков и др.) сопротивление сдвигу принимается равным большей из величин:

; (142)

, (143)
где

- сопротивление сдвигу металлической шпонки, принимаемое меньшей из величин

,

, вычисляемых по формулам

; (144)

, (145)
где

и

- соответственно расчетные сопротивления бетона замоноличивания стыка при сжатии и растяжении;

- площадь сжатия бетона, через которую передается сдвигающая сила на металлическую шпонку;

- площадь среза бетона по боковым и верхней торцевой граням металлической шпонки;

- площадь среза металлической шпонки.
5.48. В панелях с проемами перемычка должна быть рассчитана на изгиб от вертикальных нагрузок (от опирающихся на перемычку перекрытий, балконов и т.п.) и на усилия перекоса, возникающие при изгибе стены в собственной плоскости.
При расчете на изгиб от вертикальных нагрузок перемычка рассматривается как балка с защемленными опорами. В перемычках должна быть проверена прочность вертикальных и наклонных сечений.
Расчетные вертикальные сечения перемычек принимаются расположенными в местах защемления перемычки в простенки (опорные сечения) и по середине пролета перемычки в свету. Вертикальные сечения проверяют на действие суммарного изгибающего момента от длительных и кратковременных нагрузок.
В надпроемной перемычке сечение верхней продольной арматуры принимается равным сумме сечений, необходимых для восприятия усилий от вертикальной нагрузки и усилий от перекоса. Сечение нижней продольной арматуры этой перемычки принимается со наибольшему из усилий от вертикальной нагрузки или от перекоса.
В подпроемной (нижней) перемычке панели с оконным проемом требуемое армирование определяется по усилиям от перекоса.
В необходимых случаях площадь продольной арматуры может быть увеличена для восприятия усилий, возникающих при извлечении панелей из формы или при перевозке.
Для вертикальных сечений должна быть проверена величина раскрытия трещин.
5.49. Расчетные наклонные сечения перемычек, для которых отношение длины пролета l к расчетной высоте перемычки

и менее, принимаются проходящими через низ и верх противоположных опорных сечений. Для таких перемычек длина проекции наклонного сечения на ось перемычки равна ее пролету в свету.
Для перемычек с соотношением

более 1,5 следует проверять расчетные наклонные сечения, проходящие через верх или низ одного из опорных сечений перемычки, а также через точку на оси перемычки, где изгибающий момент от перекоса перемычки равен нулю. Длину проекции наклонного сечения рекомендуется принимать не более

, где

- расчетная высота поперечного сечения перемычки.
КРУПНОПАНЕЛЬНЫЕ БЕТОННЫЕ И ЖЕЛЕЗОБЕТОННЫЕ СТЕНЫ
5.50. Для несущих и самонесущих стен следует применять однорядную разрезку на панели (панели высотой на этаж).
Панели ненесущих стен и перегородок могут иметь однорядную, двухрядную или вертикальную полосовую разрезки.
Разрезку стен на панели и назначение размеров конструктивных элементов зданий и конструкций стен рекомендуется выполнять с учетом вариантности конструктивных решений панелей и их взаимозаменяемость (возможность применения однослойных и слоистых панелей, панелей бетонных и с обшивками из листовых материалов и пр.), а также возможность использования нескольких видов основных материалов (различных видов легкого бетона, ячеистого бетона, различных утеплителей, отделочных и других материалов).
В случаях, когда замена панелей одного типа на другой тип приводит к неполному использованию физико-механических или теплотехнических характеристик панелей, рекомендуется предусматривать решения стыков между наружными и внутренними конструкциями и решения внутренних конструкций, рассчитанные на применение наружных стеновых панелей какого-либо одного типа (например, бетонных, только однослойных или только трехслойных).
Детали для подъема панелей из тяжелого бетона рекомендуется проектировать по
Прил. 5.
5.51. Координационные размеры панелей наружных стен, толщина слоев, классы бетона по прочности на сжатие, марки бетона и раствора по морозостойкости и средней плотности следует назначать по
ГОСТ 11024-84*.
5.52. Панели наружных стен в зависимости от конкретных условий строительства можно проектировать однослойными или слоистыми.
5.53. Панели наружных стен рекомендуется проектировать цельной конструкции. Для однослойных панелей из ячеистого бетона и слоистых панелей допускается применять составные конструкции.
5.54. Защитно-декоративную отделку панелей наружных стен следует выбирать с учетом способа изготовления панели и материала ее наружного основного слоя.
Для однослойных панелей из легкого бетона и слоистых панелей с наружным основным слоем из тяжелого или легкого бетона рекомендуется предусматривать следующие виды отделки наружных (фасадных) поверхностей:
а) при изготовлении фасадной поверхностью вниз:
облицовка плитками керамическими, стеклянными или из природного камня;
отделка декоративным бетоном с обнаженным заполнителем;
отделка слоем раствора или мелкозернистого бетона с рельефной или ровной поверхностью;
окраска атмосферостойкими красками;
б) при изготовлении фасадной поверхностью вверх:
отделка слоем бетона с обнаженным заполнителем;
присыпка или втапливание декоративных дробленых материалов (мрамора, гранита, цветного стекла и др.);
отделка керамической глазурью;
окраска атмосферостойкими красками.
5.55. Для однослойных панелей из ячеистого бетона защитно-декоративная отделка наружных поверхностей может предусматриваться до и после автоклавной обработки. До автоклавной обработки при изготовлении панелей фасадной поверхностью вниз можно предусматривать:
отделку поризованными растворами плотностью 1200 - 1400 кг/м3 на цветном цементе с гладкой или рельефной поверхностью;
отделку по слою поризованного раствора или непосредственно по бетону основного слоя каменными дроблеными материалами фракцией 20 мм, стеклянными или неглазурованными керамическими плитками размером 22 x 22 или 48 x 48 мм.
Послеавтоклавную декоративную отделку фасадной поверхности рекомендуется предусматривать в виде окраски синтетическими красками; стирол-бутадиеновыми, поливинилацетатными (ПВАЦ), цементно-перхлорвиниловыми (ЦПВХ) или гидрофобными эмалями.
При отделке панелей из ячеистого бетона каменными дроблеными материалами или плитками следует предусматривать окраску фасадной поверхности кремнийорганическим составом.
5.56. Двухслойные панели с наружным теплоизоляционным слоем из крупнопористого бетона должны иметь защитно-декоративный слой из тяжелого или мелкозернистого бетона плотной структуры.
5.57. Внутренний отделочный слой из раствора рекомендуется предусматривать в однослойных панелях наружных стен из легких бетонов и в слоистых панелях с основным внутренним слоем из легкого бетона при изготовлении панелей фасадной поверхностью вниз.
5.58. Панели наружных стен рекомендуется армировать пространственными арматурными блоками, собираемыми из вертикальных и горизонтальных каркасов, сеток и отдельных арматурных изделий (закладных деталей, подъемных петель и др.).
5.59. В однослойных бетонных панелях (без расчетного вертикального армирования) вертикальные поперечные каркасы рекомендуется располагать с шагом по длине панели не более 1,5 м, при этом следует предусматривать установку каркасов по краям панели и вдоль проемов. Горизонтальные поперечные каркасы следует располагать вдоль горизонтальных кромок панели, а также над и под проемами. Диаметр продольных стержней каркасов рекомендуется принимать не менее 5, хомутов - 4 мм. Армирование перемычек, на которые опираются плиты перекрытий, следует назначать по расчету.
Для ограничения раскрытия трещин в углах проемов рекомендуется предусматривать дополнительное армирование наклонными стержнями, Г-образными сетками или другими способами.
В железобетонных панелях, для которых требуется вертикальное армирование простенков для обеспечения их прочности при внецентренном сжатии из плоскости стены, армирование следует назначать по
СНиП 2.03.01-84.
5.60. В двухслойных панелях внутренний несущий слой должен иметь двухстороннее армирование, образуемое продольными стержнями поперечных каркасов и (или) сетками. У наружной (фасадной) поверхности панели следует предусматривать установку арматурной сетки. При наружном утепляющем слое из крупнопористого бетона арматурную сетку следует располагать в пределах толщины защитно-декоративного слоя панели. Требуемую по расчету арматуру, подъемные петли и арматурные связи следует размещать во внутреннем несущем слое.
5.61. Армирование трехслойных панелей с соединительными армированными ребрами между внешними бетонными слоями рекомендуется принимать аналогичным армированию однослойных панелей (см.
п. 5.59). Армирование соединительных ребер следует назначать по расчету, в том числе с учетом усилий от температурных климатических воздействий.
5.62. Для трехслойных панелей с гибкими связями рекомендуется принимать следующую схему армирования:
двухстороннее армирование внутреннего несущего слоя вертикальными и горизонтальными каркасами, расположенными перпендикулярно плоскости стены и объединенными в единый арматурный блок совместно с каркасами перемычек; каркасы рекомендуется располагать по периметру панели, по контуру проемов, а также в простенках с шагом не более 1,5 м;
армирование сеткой из стержней диаметром не менее 3 мм наружного бетонного слоя.
Для соединения наружного и внутреннего слоев панели следует предусматривать металлические связи. Подъемные петли и арматурные выпуска для соединения панели с другими конструкциями здания следует размещать во внутреннем слое панели.
5.63. Металлические связи трехслойных панелей должны обеспечивать передачу усилий от наружного слоя на внутренний несущий слой. При этом конструкция связей и их расположение по полю стены не должны создавать препятствия для свободных температурных деформаций наружного слоя.
Рекомендуется предусматривать три типа гибких связей: подвески, подкосы и распорки.
Подвески предназначены для передачи вертикальной нагрузки от наружного бетонного слоя панели на внутренний несущий слой. Подвески рекомендуется конструировать так, чтобы они обеспечивали передачу вертикальных нагрузок на внутренний слой без участия других связей панели. С этой целью подвеска должна иметь растянутый и сжатый подкосы, надежно заанкеренные в наружном и внутреннем слоях панели. Металлические связи составных панелей можно выполнять в виде податливых соединений закладных деталей. Панель должна иметь не менее двух подвесок.
Подкосы предназначены для фиксации положения наружного слоя относительно внутреннего и ограничения взаимного сдвига слоев в горизонтальной плоскости. Подкосы конструируют по типу подвесок, но располагают в горизонтальной плоскости.
Распорки предназначены для передачи от наружного слоя на внутренний горизонтальных нагрузок от ветра и других воздействий. Распорки можно использовать для фиксации положения плитного теплоизоляционного материала при бетонировании панели.
Металлические связи следует выполнять из коррозионно-стойких сортов стали. Допускается применять гибкие связи из стержней горячекатаной стали классов А-I, А-II и Вр1 с противокоррозионным покрытием, обеспечивающим требуемый срок службы гибкой связи. Рецептуру и толщину противокоррозионных покрытий следует назначать по расчету с учетом вида материала теплоизоляционного слоя, агрессивности внешней среды и срока службы здания.
5.64. Для теплоизоляционного слоя трехслойных панелей рекомендуется применять жесткие теплоизоляционные материалы.
Полужесткие теплоизоляционные материалы допускается применять только в сочетании с жесткими. В этом случае полужесткий теплоизоляционный материал укладывают непосредственно на слой бетона, являющийся нижним при бетонировании.
Деление теплоизоляционных материалов на жесткие и полужесткие выполняется в зависимости от коэффициента их уплотнения, равного отношению уменьшения толщины слоя теплоизоляции после обжатия к начальной толщине слоя. Коэффициент уплотнения для жестких теплоизоляционных материалов должен быть 0,06 и менее; для полужестких материалов - более 0,06, но не более 0,2.
Плиты из влагоемких теплоизоляционных материалов необходимо защищать от увлажнения при формовании пакетированием в водозащитные оболочки.
5.65. Наружную стеновую панель с экраном на относе рекомендуется проектировать как составную, которая состоит из основной панели и экрана, закрепленного на ней с помощью соединительных связей.
В двухслойных панелях внутренний слой рекомендуется проектировать из легкого бетона, а экран - из тяжелого или плотного легкого бетона. Связи основной панели и экрана рекомендуется выполнять в виде отдельных соединительных элементов из коррозионно-стойкой стали или обычной стали, защищенной от коррозии.
5.66. Проектные размеры, классы бетона по прочности на сжатие, марки по морозостойкости панелей внутренних стен следует принимать по
ГОСТ 12504-80*.
5.67. Панели внутренних стен рекомендуется проектировать однорядной разрезки (высотой на этаж) сплошного сечения. При технико-экономическом обосновании допускается проектировать панели с пустотами.
5.68. Панели внутренних стен с дверными проемами рекомендуется проектировать замкнутыми с железобетонной перемычкой или арматурным каркасом по низу проема.
Простенки шириной менее 0,3 м проектировать не рекомендуется. При расположении дверного проема у края панели надпроемную перемычку следует проектировать как консольный элемент стеновой панели.
5.69. Конструктивное армирование бетонных панелей внутренних стен рекомендуется принимать двухсторонним из плоских или гнутых вертикальных и горизонтальных каркасов и отдельных стержней, объединенных в единый арматурный каркас. Расстояние между вертикальными каркасами следует принимать не более 1,5 м. Горизонтальные каркасы следует, как минимум, располагать по верху и низу панели.
Площадь сечения вертикальной и горизонтальной арматуры, устанавливаемой у каждой из сторон панели, следует принимать не менее для панелей из тяжелого, легкого и ячеистого бетонов - 0,2 см2/м; для панелей из силикатного бетона - 0,3 см2/м.
Бетонные панели внутренних стен, изготавливаемые в горизонтальном положении, допускается армировать одной сеткой, расположенной у грани панели, обращенной к поддону формы. Кроме сетки, панель должна быть армирована каркасами по периметру панели. Суммарная площадь сечения арматуры сеток и каркасов по вертикальному и горизонтальному сечениям должна быть не менее 0,4 см2/м.
5.70. В панелях внутренних стен с проемами необходимо устанавливать в плоскости перемычек парные вертикальные каркасы, продольные стержни которых следует заводить за грань проема не менее чем на 0,5 м. По низу проема следует предусматривать железобетонную перемычку или арматурный каркас.
Простенки шириной 0,6 м и менее должны иметь не менее двух вертикальных каркасов, соединенных между собой с двух сторон горизонтальными стержнями с шагом не более 0,3 м.
Диаметр продольных стержней каркасов рекомендуется принимать не менее 5 мм, диаметр поперечных стержней - не менее 3 мм.
5.71. Железобетонные панели внутренних стен рекомендуется армировать поперечными вертикальными каркасами, расположенными с шагом не более 0,4 м и объединенными в арматурный блок горизонтальными каркасами вверху и внизу панели и отдельными стержнями по высоте панели с шагом 0,5 - 0,6 м. Площадь сечения вертикальной арматуры устанавливается по расчету, но принимается не менее требуемой для внецентренно сжатых железобетонных элементов. Диаметр вертикальных и горизонтальных стержней рекомендуется принимать не менее 8 мм. Поперечные стержни каркасов следует располагать с шагом не более 20d, где d - диаметр продольных стержней каркаса.
Если требуемая по расчету площадь сечения продольных стержней вертикальных каркасов меньше площади сечения, соответствующей минимальному проценту армирования, то железобетонные панели внутренних стен разрешается армировать двумя сетками с шагом вертикальных стержней не более 0,4 м, объединенными в арматурный блок вертикальными и горизонтальными каркасами. Расстояние между вертикальными каркасами следует принимать не более 1 м, диаметр продольных стержней каркасов рекомендуется принимать не менее 5 мм.
5.72. Многопустотные панели внутренних стен рекомендуется армировать с двух сторон сетками, объединенными по контуру панели или блока каркасами.
5.73. Для обеспечения требуемой звукоизоляции внутренних стен и их стыков рекомендуется:
проектировать стыки внутренних межквартирных стен профилированной формы в плане, при плоской форме вертикальных торцов панелей предусматривать уплотнение стыков упругими звукоизоляционными прокладками;
предусматривать заполнение раствором горизонтальных стыков панелей внутренних стен с перекрытиями;
места пропуска труб через перекрытия и межкомнатные стены уплотнять асбестовым шнуром или устанавливать гильзы из асбестового картона (через межквартирные стены пропуск труб не допускается);
применять для скрытой электроразводки трубки и распаячные коробки, замоноличенные в теле панели;
в межквартирных стенах устраивать раздельные каналы электропроводки для каждой из квартир;
в случае двухстороннего расположения распаячных коробок, штепсельных розеток, выключателей или другого электрооборудования устраивать между ними бетонные перемычки толщиной не менее 40 мм;
положение лунок и отверстий согласовывать с расположением арматуры в панелях.
Вентиляционные блоки, шахты и электропанели
5.74. Панели и блоки с каналами и шахтами для вентиляции и дымоудаления рекомендуется проектировать самонесущими или ненесущими. Вентиляционные каналы разрешается размещать в панелях несущих стен. Конструкция горизонтальных стыков таких панелей и блоков должна обеспечивать их надежную герметизацию.
5.75. Дымоходы для отвода дымовоздушной смеси от отопительных и нагревательных приборов следует размещать в бетонных самонесущих блоках высотой на этаж.
В зданиях высотой не более пяти этажей допускается устраивать дымоходы в несущих стенах.
Если температура отводящих газов до 200 °C, то блоки с дымоходами предусматриваются в зданиях высотой не более девяти этажей. Расчетную прочность бетона на сжатие таких блоков с дымоходами следует назначать на 25% выше расчетной прочности бетона, требуемой по условиям прочности.
Если температура отводящихся газов достигает 600 °C, то блоки с дымоходами допускаются в зданиях не более трех этажей и выполняются из жаростойкого бетона.
5.76. Вентиляционные шахты дымоудаления допускается объединять с тюбингами лифтовой шахты в один сборный элемент.
Вентиляционные панели и шахты, устанавливаемые выше чердачного перекрытия при холодном чердаке или выше кровли при теплом чердаке, должны быть утепленными. Сопротивление теплопередаче стенок панели или шахты (при учете утепляющего слоя) должно составлять не менее 0,8 сопротивления теплопередаче наружной стены.
5.77. Шахты мусороудаления рекомендуется проектировать ненесущими или самонесущими из асбестоцементных труб или бетонных блоков; для последних следует применять бетоны стойкие к коррозии. Бетонные шахты мусороудаления не разрешается объединять с шахтой лифта.
5.78. Шахты для вертикальных инженерных разводок рекомендуется выполнять в составе объемных элементов санитарных кабин и кухонь или в виде специальных панелей, которые могут проектироваться несущими, самонесущими и ненесущими.
5.79. Лифтовые шахты рекомендуется проектировать из объемных элементов заводского изготовления, имеющих закладные детали для крепления направляющих и другого оборудования.
Сопряжение элементов лифтовой шахты по высоте рекомендуется проектировать контактным с опиранием их друг на друга по всему контуру через слой раствора. Расчетное значение прочности раствора назначается по расчету, но не менее расчетной прочности, принимаемой для стыков несущих стен.
Воздушный зазор между внешней поверхностью стенок лифтовой шахты и примыкающими внутренними стенами должен составлять не менее 40 мм.
Зазор между перекрытиями и стенками шахты должен быть не менее 20 мм и заполняться упругими прокладками.
5.80. Панели и блоки с каналами шахты для вертикальных инженерных коммуникаций, вентиляции, дымоудаления и лифтовые шахты рекомендуется армировать сетками.
5.81. Бетонные перегородки рекомендуется проектировать однорядной разрезки размером на комнату при необходимости с дверными проемами.
Однослойные бетонные панели перегородок рекомендуется проектировать из тяжелого, легкого или автоклавного ячеистого бетона, а также гипсобетона.
Панели из автоклавного ячеистого бетона и гипсобетона толщиной 80 - 100 мм следует применять для межкомнатных перегородок.
При применении двойных межквартирных перегородок толщина воздушного промежутка между панелями должна быть не менее 60 мм.
СТЕНЫ ИЗ МОНОЛИТНОГО БЕТОНА
5.82. Наружные и внутренние стены из монолитного бетона при применении переставных опалубок возводятся одновременно или последовательно (сначала внутренние стены, а затем наружные или наоборот).
Внутренние монолитные стены рекомендуется проектировать однослойными. Наружные стены могут быть однослойными или слоистыми.
5.83. Для возведения несущих стен из монолитного бетона рекомендуется применять тяжелые бетоны класса не ниже В7,5 и легкие бетоны класса не ниже В5. В зданиях высотой четыре и менее этажей допускается в несущих стенах применять легкие бетоны класса В3,5. Для внутренних стен плотность легких бетонов должна быть не ниже 1700 кг/м3.
5.84. Монолитные однослойные наружные стены рекомендуется проектировать из легкого бетона плотной структуры. При межзерновой пористости бетона не более 3% и класса бетона не ниже В3,5 в нормальной и сухой по влажности зонах допускается наружные стены проектировать без защитно-декоративного слоя. Наружные легкобетонные стены без защитно-декоративного слоя следует окрашивать гидрофобными составами.
Наружные однослойные стены рекомендуется проектировать из легких бетонов с плотностью не более 1400 кг/м3. При технико-экономическом обосновании в однослойных наружных стенах допускается применять легкие бетоны плотностью более 1400 кг/м3.
5.85. Слоистые наружные стены можно проектировать из двух или трех основных слоев. Двухслойные наружные стены могут иметь утепляющий слой с наружной или внутренней стороны. В трехслойных наружных стенах утепляющий слой располагается между бетонными слоями.
5.86. Двухслойные наружные стены с утеплением с наружной стороны могут быть монолитными и сборно-монолитными.
Монолитные стены возводят в два этапа. На первом этапе в переставных опалубках из тяжелого бетона возводят внутренний слой стены, на втором - наружный слой из теплоизоляционного легкого монолитного бетона.
Сборно-монолитная стена состоит из внутреннего монолитного слоя, выполняемого из тяжелого бетона, и наружного слоя - из сборных элементов.
5.87. Двухслойная наружная стена с утеплением с внутренней стороны состоит из наружного монолитного бетонного слоя, внутреннего утепляющего слоя - из газобетонных блоков толщиной не более 5 см или из жестких плитных утеплителей (например, из пенополистирола) толщиной не более 3 см и внутреннего отделочного слоя
(рис. 26, а).
Рис. 26. Наружные стены монолитных зданий
а - двухслойная; б - трехслойная с наружным
слоем из сборной панели скорлупы; в - то же,
с внешними слоями из монолитного бетона
1 - блочная опалубка; 2 - панель-скорлупа; 3 - монолитный
бетон стены, 4 - рабочие подмостки; 5 - крепежная система
панели-скорлупы; 6 - утеплитель; 7 - связь; 8 - щиты
опалубки; 9 - бадья; 10 - рассекатель; 11 - бетон
Ограничение толщин утепляющих слоев связано с обеспечением нормального тепловлажностного режима стен.
Тяжелый бетон целесообразно применять при расчетных зимних температурах, не превышающих минус 7 °C. В остальных случаях необходимо применять легкие бетоны.
Рекомендуется два варианта возведения наружных монолитных стен с утеплением с внутренней стороны:
сначала на внутреннем щите опалубки укладывают слой утеплителя, затем опалубку собирают и бетонируют слой из монолитного бетона. При этом можно применять некалиброванные по толщине плиты утеплителя;
плиты утеплителя устанавливают после бетонирования стен.
При этом необходимо применять калиброванные по толщине плиты утеплителя.
При проектировании двухслойных стен с утеплителем с внутренней стороны следует учитывать, что возведение таких стен проще, чем стен с утеплителем с наружной стороны, но их применение ограничивается условием отсутствия точки росы в пределах толщины утепляющего слоя.
5.88. Трехслойные наружные стены рекомендуется проектировать сборно-монолитными, состоящими из внутреннего несущего слоя монолитного тяжелого бетона и утепленной сборной панели-скорлупы, устанавливаемой с наружной стороны. Панель-скорлупу можно устанавливать до и после возведения монолитной части стены
(рис. 26, б).
Допускается трехслойные наружные стены проектировать с наружными и внутренними слоями из монолитного бетона и утепляющим слоем из жестких плитных утеплителей
(рис. 26, в).
5.89. Конструктивное армирование стен следует предусматривать двух типов в зависимости от напряженного состояния стены:
если от расчетных нагрузок в сечении стены возникают растягивающие напряжения или в полностью сжатом сечении стены минимальные сжимающие напряжения в бетоне

(10 кгс/см
2), то конструктивное армирование рекомендуется принимать по всему полю стены, при этом количество вертикальной и горизонтальной арматуры должно быть не менее 0,025% соответствующего поперечного сечения стены;
в остальных случаях конструктивную арматуру устанавливают только по контуру стены, а в пересечениях несущих стен, в местах резкого изменения толщин стен, у граней дверных и оконных проемов и у граней отверстий устанавливают вертикальную арматуру площадью сечения не менее 1 см2.
Вертикальную конструктивную арматуру рекомендуется проектировать в виде гнутых (Г-образных) каркасов.
Стыкование вертикальных каркасов по высоте здания рекомендуется производить в уровне перекрытий внахлестку без сварки. Величина перепуска определяется расчетом. При конструктивном армировании стен величина перепуска принимается не менее 200 мм независимо от диаметра вертикальной арматуры. При сборных перекрытиях стыкование арматурных каркасов рекомендуется производить отдельными стержнями, устанавливаемыми между торцами плит перекрытий.
Роль горизонтальной конструктивной арматуры в случае применения неразрезных монолитных, а также сборных и сборно-монолитных перекрытий, опертых по контуру или трем сторонам, выполняет конструктивная арматура в перекрытиях, расположенная параллельно стенам. В случае применения сборных балочных перекрытий рекомендуется устанавливать дополнительную горизонтальную арматуру в местах сопряжения их с монолитными стенами.
5.90. Расчетное армирование стен из монолитного бетона на внецентренное сжатие из плоскости рекомендуется выполнять арматурными блоками, собираемыми из Г-образных каркасов на строительной площадке. Следует предусматривать дифференцированное расчетное армирование по высоте здания в соответствии с изменением усилий в конструкциях.
Уменьшение расчетного армирования по высоте здания следует осуществлять за счет более редкого расположения вертикальных каркасов и (или) уменьшения диаметра вертикальных стержней.
5.91. Повышение трещиностойкости монолитных стен (ограничение по трещинообразованию или ширине раскрытия трещин) может быть достигнуто за счет выбора рациональных конструктивных систем и конструктивно-технологического решения стен; рационального применения материалов в наружных и внутренних стенах в соответствии с указаниями пп. 5.92 - 5.93.
5.92. Для предотвращения образования сквозных вертикальных температурно-усадочных трещин рекомендуется назначать отношение длины стены к высоте этажа не более двух.
В случае, если длина стены превышает вдвое высоту этажа, то в глухих участках стен рекомендуется устраивать вертикальные технологические швы.
5.93. Для ограничения раскрытия наклонных трещин во внутренних стенах верхних этажей зданий перекрестно-стеновой конструктивной системы с несущими наружными стенами разность

перемещений сопрягаемых участков наружной и внутренней стен не должны превышать величин, приведенных в табл. 7.
Таблица 7
Высота стены, м | 15 | 18 | 21 | 24 | 27 | 36 и более |
Допускаемая разность перемещения сопрягаемых стен, мм | 7 | 8 | 9 | 10 | 12 | 15 |
Для уменьшения разности вертикальных перемещений несущих стен рекомендуется их выполнять из разных бетонов. При невозможности обеспечить за счет соответствующего подбора состава бетона и толщин стен допустимой разности их вертикальных перемещений следует наружные стены проектировать ненесущими.
Разность перемещений определяется в предположении свободных деформаций сопрягаемых стен по формуле

, (146)
где

- высота этажа j;

,

- средние сжимающие напряжения соответственно в наружной и внутренней стенах от длительно действующей вертикальной нагрузки в уровне этажа j;

,

- модули деформаций бетона соответственно наружной и внутренней стен при длительном действии нагрузки;

,

- деформации свободной усадки соответственно наружной и внутренней стен, определяемой по п. 5.94;
n - количество этажей.
Определение величины

следует производить дважды: через год после начала эксплуатации здания и на момент достижения предельных значений деформаций (

). В расчете принимают большую величину.
5.94. Деформации свободной усадки стен из монолитного бетона рекомендуется определять по формуле

, (147)
где

- предельные деформации усадки бетона

; (148)
В - расходы воды на 1 м3 бетонной смеси, кг;
Ц - расход цемента на 1 м3 бетонной смеси, кг;

- коэффициент, учитывающий вид бетона, определяется по результатам испытаний. При отсутствии экспериментальных данных принимается равным: для тяжелого бетона - 1; легких бетонов - 1,3;

- коэффициент, учитывающий толщину стены, определяется по табл. 8;

- коэффициент, учитывающий продолжительность усадки бетона

;
T - время, прошедшее после укладки бетона в опалубку, сутки;
a - коэффициент, определяемый по табл. 8.
Таблица 8
Толщина стены, см | 10 | 20 | 30 | 40 | 50 |
| 1 | 0,8 | 0,7 | 0,6 | 0,5 |
a | 100 | 100 | 125 | 150 | 200 |

- коэффициент, учитывающий относительную влажность воздуха окружающей среды (w);
при 10% <= w < 30%

,
при 30% <= w < 80%

.
В период возведения здания (до начала отделочных работ) относительная влажность воздуха для наружных и внутренних стен определяется для соответствующего региона по
СНиП 2.01.01-82.
В период выполнения отделочных работ и эксплуатации значение влажности определяется следующим образом. В отопительный период влажность воздуха для внутренних стен определяется по экспериментальным данным, а при их отсутствии - равной 40%; для наружных стен - равной среднеарифметическому значению между влажностью наружного воздуха и внутри помещения. В остальное время влажность воздуха для наружных и внутренних стен принимается по
СНиП 2.01.01-82.
5.95. При невыполнении ограничений
п. 5.93 по разности перемещений сопрягаемых участков наружной к внутренней стен

рекомендуется конструктивное армирование внутренних стен в верхних этажах при высоте здания 12 этажей и более. При этом армируются только участка внутренних стен, сопряженные с наружными стенами. Арматуру следует устанавливать на участке от грани наружной стены до проема или до пересечения со стеной другого направления. Армируют стены трех верхних этажей (включая технический этаж).
Армирование рекомендуется производить каркасами в вертикальном и отдельными стержнями в горизонтальном направлении с шагом 400 мм из арматуры диаметром 6 мм, класса А-III, объединенными в пространственный блок или сетками из арматуры диаметром 5 мм, класса Вр-I с ячейкой 250 x 250 мм у обеих граней стены.
СТЕНЫ И ПЕРЕГОРОДКИ С ОБШИВКАМИ ИЗ ЛИСТОВЫХ МАТЕРИАЛОВ
5.96. Наружные стены и перегородки с обшивками из листовых материалов рекомендуется проектировать в виде слоистых каркасных панелей заводского изготовления. Перегородки с обшивками из листовых материалов могут собираться непосредственно на месте возведения из отдельных элементов (перегородки поэлементной сборки).
5.97. Слоистые панели рекомендуется проектировать однорядной разрезки (высотой на этаж). Длину панелей наружных стен рекомендуется принимать равной шагу вертикальных несущих конструкций здания (за вычетом необходимых зазоров). Длину (ширину) панелей перегородок рекомендуется принимать равной 60, 90 и 120 см. Панели слоистых перегородок рекомендуется устанавливать после монтажа несущих конструкций.
При конструировании панелей рекомендуется предусматривать возможность беспетлевого монтажа или установку специальных строповочных деталей. Панели с проемами рекомендуется проектировать с использованием стандартных оконных и дверных блоков.
5.98. Наружные стены и перегородки с обшивками из листовых материалов следует проектировать ненесущими. Для предотвращения передачи на них усилий, возникающих при деформациях несущих конструкций зданий, необходимо предусматривать зазоры, уплотняемые упругими прокладками и перекрываемые при необходимости нащельниками.
Ненесущие наружные стены и перегородки должны воспринимать и передавать несущим конструкциям здания усилия от непосредственно приложенных к ним нагрузок (ветровых, от подвесного оборудования, ударных и др.). При жестком (например, клеевом) соединении наружной обшивки с каркасом необходимо выполнять расчет панелей наружных стен на усилия от температурных деформаций. При податливом соединении обшивки с каркасом (шурупы, профильные раскладки) температурные деформации могут в расчете не учитываться.
5.99. Ветровая нагрузка на навесные панели наружных стен определяется по
СНиП 2.01.07-85 раздельно для наветренной и заветренной сторон здания. Ветровая нагрузка на легкие перегородки массой 1 м
2 не более 100 кг принимается в размере 0,2 от значения скоростного напора ветра на соответствующей высоте, но не менее 0,2 кН/м
2 (20 кгс/м
2).
Местные нагрузки на наружные стены и перегородки с листовыми обшивками следует определять по табл. 9.
Таблица 9
Нагрузки | Длительность действия нагрузки | Нормативное значение нагрузки | Коэффициент надежности по нагрузке | Место приложения нагрузки |
Статические | | | | |
Горизонтальная равномерно распределенная по длине панели (от оборудования, мебели и др.) | Кратковременная | 500 Н/м | 1,2 | В панелях с оконными проемами - на уровне низа проемов, в глухих - на уровне середины высоты панели |
То же, сосредоточенная | То же | 500 Н | 1,2 | В любом месте глухой части панели на площади размером 10 x 10 см |
Вертикальная сосредоточенная от навешиваемых предметов, действующая в плоскости обшивки панели | Длительная | 200 Н | 1,2 | В любом месте глухой части панели |
Сосредоточенная моментная нагрузка от вертикально действующей силы | То же | 250 Н·м | 1,2 | То же |
Динамические (ударные) | | | | |
Удар мягким телом | Кратковременная | 120 - 250 Дж | - | В любом месте глухой части панели |
То же, твердым | То же | 2,5 Дж | - | То же |
Расчет панели с обшивками из листовых материалов разрешается не выполнять, если имеются данные о ее испытаниях.
При испытании панели и элементов ее крепления на статические нагрузки разрушающая нагрузка должна не менее чем в два раза превышать значение нормативной нагрузки.
Испытание на удар мягким телом следует выполнять при вертикальном положении панели. Ударная нагрузка создается мешком с песком массой 30 или 50 кг.
При энергии удара 120 Дж не должны образовываться трещины и остаточные прогибы; при энергии удара 250 Дж не должно происходить разрушение несменяемых частей конструкции. При однократном действии ударной нагрузкой глубина вмятины на поверхности обшивки не должна превышать 1 мм.
Испытание на удар твердым телом выполняется только для внутренней обшивки панели. Для удара используется стальной шар массой 0,5 кг. При энергии удара 2,7 Дж в обшивке не должны образовываться трещины, а диаметр вмятин не должен превышать 20 мм.
Панели рекомендуется испытывать с деталями крепления, что позволяет создавать условия, соответствующие действительным условиям в здании.
Прогибы панелей наружных стен и перегородок (в долях расчетного пролета) не должны превышать от статических нагрузок - 1/200, от динамических нагрузок - 1/100.
Панели наружных стен
5.100. Слоистые панели каркасного типа состоят из каркаса, обшитого с двух сторон на глухих участках листовым материалом, и несгораемого или трудносгораемого утеплителя.
В районах со средней расчетной температурой наиболее холодных суток минус 30° и ниже, а также в жилых домах этажностью свыше девяти рекомендуется применять легкие навесные панели с экранами. Такие панели должны содержать дополнительный средний слой противоветровой преграды из листового материала и экран, располагаемый на относе по отношению к основной панели так, чтобы между ним и слоем противоветровой преграды образовалась воздушная прослойка. Для крепления экрана по периметру глухих участков панели устраивают дополнительный накладной слой каркаса. Листы экрана крепят к этому слою с помощью профильных раскладок или шурупов с шайбой.
5.101. Для помещений с нормируемой влажностью воздуха не более 60% в каркасных панелях наружных стен рекомендуется применять деревянный каркас с элементами сплошного или составного сечения. Каркас с элементами сплошного сечения выполняется из брусков, толщина которых равна толщине каркаса. Каркас с элементами составного сечения выполняют из парных вертикальных и расположенных между ними одиночных горизонтальных основных брусков, образующих несущую основу каркасов. К горизонтальным основным брускам прикрепляют подкладные бруски.
Вертикальные и горизонтальные элементы каркаса рекомендуется соединять оцинкованными шурупами и клеем. В угловых соединениях рекомендуется устанавливать угловые накладки из стальной полосы толщиной 2 мм. Рабочие и подкладочные бруски соединяются между собой гвоздями, а по контуру проемов - гвоздями и клеем.
Для каркаса рекомендуется применять антисептированные материалы из сосны или ели 2-й категории.
5.102. Для наружной обшивки рекомендуется применять листы асбестоцементные (ГОСТ 18124-75*), листы и плиты из шлакоситалла (ГОСТ 19246-82). Применение для наружной обшивки цементно-стружечных, алюминиевых листов и других материалов должно специально обосновываться.
Наружную обшивку панелей в простеночных, надоконных и подоконных участках необходимо выполнять из целых листов.
Для внутренней обшивки рекомендуется применять асбестоцементные и цементно-стружечные листы.
5.103. В панелях следует применять податливое крепление наружной обшивки или экрана к каркасу, используя для этого профильные, в том числе алюминиевые раскладки по
ГОСТ 8617-81*Е. Допускается крепление без раскладок, посредством шурупов с шайбами по
ГОСТ 1145-80*.
Коррозиестойкость стальных элементов легких панелей (каркасов, облицовки, винтов, шурупов и др.) рекомендуется обеспечивать металлизацией цинком либо фосфатированием с последующим нанесением защитных покрытий. Во избежание электрохимической коррозии элементов конструкций из различных металлов (например, алюминиевая обшивка и стальной каркас) такие элементы рекомендуется разделять изоляционными прокладками (асбестовый картон и т.п.). Они также не должны иметь непосредственный контакт с металлическими связями.
Алюминиевые профильные раскладки должны иметь анодное покрытие натурального или иного цвета. Стальные закладные детали и угловые накладки должны иметь антикоррозийное покрытие в соответствии с требованиями строительных норм.
5.104. В качестве утеплителя панелей рекомендуется применять полужесткие или жесткие минераловатные плиты на синтетическом связующем по ГОСТ 9573-82 (подлежит согласованию с санинспекцией), а также минераловатные прошивные маты типа 4М марок 100, 125 по ГОСТ 21880-86, полужесткие или жесткие плиты из стеклянного штапельного волокна соответственно марок ППС-75 и ПЖС-175 по ГОСТ 10499-78.
Плиты утеплителя следует укладывать в полости панели в два или более слоев в соответствии с теплотехническим расчетом в распор с обжатием на торцах. Для предотвращения смещения плит при транспортировании, монтаже и эксплуатации необходимо предусматривать закрепление их в проектное положение с помощью клеевых маяков либо прижатия к внутренней обшивке с помощью полос утеплителя, деревянных вкладышей или деревянных реек.
5.105. Между внутренней обшивкой панели и утеплителем следует устраивать пароизоляцию полиэтиленовой пленкой по
ГОСТ 10354-82* или окраской эмалями перхлорвиниловыми марок ХВ-1100 по ГОСТ 6993-79* или ХВ-785 по
ГОСТ 7313-75*, красками перхлорвиниловыми ХВ-161 по техническим условиям, утвержденным в установленном порядке эмалями.
Пароизоляционный слой в панелях должен быть сплошным, без разрывов и повреждений.
5.106. Применяемые в панелях материалы должны быть стойкими против плесени, насекомых и грызунов, а также к воздействию растворов, применяемых для дезинфекции. Не допускается применять материалы, выделяющие неприятные запахи, а также ядовитые газы или едкий дым при пожаре.
Панели следует разрабатывать с учетом возможности их чистки с наружной стороны в процессе эксплуатации.
5.107. Оконные и дверные блоки следует крепить к каркасу панели по боковым сторонам. Зазоры между блоком и каркасом должны быть герметизированы и проконопачены. Со стороны помещения зазоры следует перекрывать наличниками. Толщина оконных и дверных блоков не должна превышать размер четверти проема более чем на 10 мм. Четверти следует устраивать по трем сторонам проема (кроме низа проема). В каркасах составного сечения четверти устраивают с помощью элементов наружного слоя каркаса. В каркасах сплошного сечения для устройства четвертей используют элементы накладного слоя, служащего для крепления экрана.
5.108. Для соблюдения противопожарных требований и обеспечения необходимой звукоизоляции легкие стеновые панели следует ставить на междуэтажные перекрытия и заводить полностью или частично (но не менее чем на 3 см) за наружную грань несущих конструкций здания (торцов поперечных стен и междуэтажных перекрытий).
Вертикальный стык между стеновыми панелями (с листовыми обшивками) рекомендуется предусматривать с применением утепляющего пакета из минеральной ваты или стекловолокна, деревянной рейки или поливинилхлоридной ленты и металлического нащельника.
Горизонтальный стык рекомендуется предусматривать с применением упругой прокладки из гернита или морозостойкого пенополиуретана, конопатки и металлического фартука или гнутого компенсирующего нащельника из алюминия.
Перегородки с обшивками из листовых материалов
5.109. В слоистых перегородках для обшивки рекомендуется применять гипсокартонные листы толщиной 12 или 14 мм по ГОСТ 6266-81*.
5.110. Панельные перегородки рекомендуется проектировать с деревянным каркасом. Вертикальные элементы каркаса рекомендуется устанавливать с шагом 60 см. Принятый способ крепления обшивки должен исключать ее отслаивание от каркаса при эксплуатации.
В перегородках поэлементной сборки каркас может быть выполнен из деревянных брусков, асбестоцементных или гнутых металлических профилей.
5.111. Звукоизоляционный слой перегородок рекомендуется выполнять из минераловатных прошивных матов по ГОСТ 21880-86.
5.112. В перегородках следует предусматривать прокладку электрической (осветительной и слаботочной) проводки и прикрепление электрических выключателей, розеток, распаячных коробок и другой арматуры. При этом не должны возникать жесткие связи между обшивками.
Не допускается устройство в перегородках сквозных отверстий для установки элементов электрической проводки и арматуры. Используемые для этого углубления, расположенные на противоположных сторонах перегородки, не должны сообщаться друг с другом. В каркасных перегородках расстояние между ближайшими краями таких углублений должно быть не менее 60 см.
СТЫКИ КРУПНОПАНЕЛЬНЫХ НАРУЖНЫХ СТЕН
5.113. Стыки панелей должны исключать возможность проникания атмосферной влаги на внутренние поверхности ограждений, препятствовать переувлажнению материалов заполнения стыков и прилегающих к стыкам участков стен. Сопротивление стыков панелей воздухопроницанию и их теплозащитные свойства должны удовлетворять требованиям
СНиП II-3-79**.
5.114. По способу обеспечения изолирующих свойств стыки панелей подразделяются на закрытые, дренированные и открытые. Применение каждого из названных типов стыков следует предусматривать в соответствии с климатическими условиями района строительства и конструкцией наружных стеновых панелей.
Конструкции горизонтальных и вертикальных стыков следует предусматривать однотипными, например, не допускается проектировать вертикальные стыки открытыми, а горизонтальные закрытыми и наоборот.
5.115. В закрытых стыках
(рис. 27) для их герметизации устанавливают уплотняющие прокладки, на которые наносят с внешней стороны герметизирующую мастику. При применении нетвердеющих мастик следует предусматривать защитное покрытие.
Рис. 27. Закрытый стык наружных стеновых панелей
а - вертикальный стык; б, в - варианты горизонтальных стыков
1 - узел (см. рис. 28,
29); 2 - узел (см.
рис. 40);
Рис. 28. Схема герметизации устья вертикального закрытого
стыка при применении нетвердеющих герметизирующих мастик
1 - защитное покрытие; 2 - нетвердеющая герметизирующая
мастика; 3 - уплотняющая прокладка при зазоре стыка 20 мм -
диаметром 30 - 40 мм, при зазоре 10 мм - диаметром 20 мм,
при зазоре 30 мм - диаметром 40 - 50 мм
Рис. 29. Схема герметизации устья вертикального закрытого
стыка при применении отверждающих герметизирующих мастик
1 - отверждающаяся герметизирующая мастика; 2 - уплотняющая
прокладка при зазоре стыка 20 мм - диаметром 30 - 40 мм,
при зазоре 10 мм - диаметром 20 мм, при
зазоре 30 мм - диаметром 40 - 50 мм
Рис. 30. Схема герметизации устья горизонтального
закрытого стыка с противодождевым гребнем при
применении нетвердеющих герметизирующих мастик
1 - защитное покрытие; 2 - нетвердеющая герметизирующая
мастика; 3 - уплотняющая прокладка при зазоре стыка 20 мм -
диаметром 30 - 40 мм, при зазоре 10 мм - диаметром 20 мм,
при зазоре 30 мм - диаметром 40 - 50 мм
Рис. 31. Схема герметизации устья плоского
горизонтального закрытого стыка
а - при применении нетвердеющих герметизирующих мастик;
б - при применении отверждающихся герметизирующих мастик
1 - защитное покрытие; 2 - нетвердеющая герметизирующая
мастика; 3 - уплотняющая прокладка при зазоре стыка 20 мм -
диаметром 30 - 40 мм; зазоре 10 мм - диаметром 20 мм; при
зазоре 30 мм - диаметром 40 - 50 мм; 4 - отверждающаяся
герметизирующая мастика
В горизонтальных закрытых стыках рекомендуется проектировать противодождевые гребень и зуб. В панелях из ячеистого, а также из легкого бетона толщиной 400 мм и более при качественном выполнении растворных швов допускается предусматривать плоские горизонтальные стыки без гребня и зуба (см.
рис. 27, в).
Рекомендуемая конфигурация торцов панелей и размеры их профиля для закрытых стыков приведены на
рис. 28 -
31.
Диаметр уплотняющих прокладок следует применять дифференцированно с учетом фактического размера зазора стыка в пределах допускаемых отклонений (см.
рис. 28 -
30).
5.116. В дренированных стыках (рис. 32 -
34) герметизация выполняется аналогично закрытым стыкам, но дополнительно предусматривается декомпрессионный канал, служащий для выравнивания давлений воздуха на поверхности стены и внутри стыка и отвода случайно проникшей в стык воды. В торцевых панелях, формуемых фасадной стороной вниз и образующих при сопряжении с рядовыми панелями угловой вертикальный стык, декомпрессионный канал допускается не предусматривать.
Рис. 32. Дренированный стык наружных стеновых панелей
а - вертикальный стык; б - горизонтальный стык
1 - узел (см. рис. 33); 2 - узел (см.
рис. 40);
Рис. 33. Схема герметизации устья
вертикального дренированного стыка
1 - защитное покрытие; 2 - нетвердеющая герметизирующая
мастика; 3 - уплотняющая прокладка при зазоре стыка 20 мм -
диаметром 30 - 40 мм, при зазоре 10 мм - диаметром 20 мм,
при зазоре 30 мм - диаметром 40 - 50 мм;
4 - декомпрессионная полость
Рис. 34. Схема герметизации устья
горизонтального дренированного стыка
1 - защитное покрытие; 2 - нетвердеющая герметизирующая
мастика; 3 - уплотняющая прокладка при зазоре стыка
20 мм - 30 - 40 мм, при зазоре 10 мм - 20 мм, при зазоре
30 мм - 40 - 50 мм; 4 - водоотводящий фартук;
5 - дренажное отверстие
При сопряжении смежных панелей каналы должны располагаться соосно и образовывать вертикальную декомпрессионную полость. Эта полость в пересечении вертикального и горизонтального стыков располагается над водоотводящим фартуком, наклеиваемым на противодождевой гребень, в котором предусматривается специальная подрезка.
Поверх фартука на верхней горизонтальной плоскости противодождевого гребня следует предусматривать уплотняющую прокладку длиной 500 мм (по 250 мм от оси вертикального стыка).
5.117. В закрытых и дренированных стыках на стыкуемых поверхностях панелей необходимо предусматривать грунтовочные покрытия. В устьях закрытых и дренированных стыков необходимо предусматривать установку уплотняющих прокладок с последующим нанесением по ним герметизирующих мастик. Выбор типа мастики следует производить в соответствии с данными
Прил. 6 в зависимости от длины стыкуемых панелей и климатических условий района строительства.
Необходимо также предусматривать защиту мастик от климатических воздействий с помощью полимерцементных растворов, поливинилхлоридных, бутадиенстирольных, кумаронокаучуковых красок.
Защитное покрытие по отверждающимся мастикам допускается не предусматривать.
Расположение изолирующих материалов в устьях стыков следует проектировать с заглублением относительно фасадной плоскости панелей наружных стен.
5.118. В стыках открытого типа
(рис. 35) на торцевых поверхностях наружных стеновых панелей необходимо предусматривать гидрофобные покрытия.
Рис. 35. Открытый стык наружных стеновых панелей
1 - узел (см. рис. 36,
37); 2 - узел (см.
рис. 40);
Рис. 36. Схемы изоляции устья вертикального открытого
стыка с применением жесткого водоотбойного экрана
а - без смещения плоскостей сопрягаемых панелей;
б - при допустимом смещении плоскостей сопрягаемых панелей
1 - жесткий водоотбойный экран из пластмасс на основе ПВХ;
2 - направляющий профиль из того же материала
Рис. 37. Схемы изоляции устья вертикального
открытого стыка резиновым профилем
а - без смещения плоскостей сопрягаемых панелей;
б - при допустимом смещении плоскостей сопрягаемых панелей
1 - резиновый профиль
Рис. 38. Схема герметизации устья
горизонтального открытого стыка
1 - профиль направляющий; 2 - водоотбойный экран;
3 - уплотняющая прокладка при зазоре стыка 20 мм -
диаметром 30 - 40 мм, при зазоре 10 мм - диаметром 20 мм,
при зазоре 30 мм - диаметром 40 - 50 мм;
4 - водоотводящий фартук
Рис. 39. Схема герметизации устья горизонтального
открытого стыка с выносным противодождевым зубом
1 - водоотбойный экран; 2 - уплотняющая прокладка при
зазоре стыка 20 мм - диаметром 30 - 40 мм, при зазоре
10 мм - диаметром 20 мм, при зазоре 30 мм - диаметром
40 - 50 мм; 3 - водоотводящий фартук;
4 - направляющий профиль
Рис. 40. Варианты устройства
воздухозащитной изоляции с применением
а - воздухозащитной ленты; б - уплотняющей
прокладки; в - комбинированный
1 - воздухозащитная лента; 2 - уплотняющая
прокладка на клее типа КН; 3 - теплоизоляция
Для водозащиты открытых вертикальных стыков следует проектировать установку в них водоотбойных лент (экранов) и профилей-направляющих из пластмасс на основе ПВХ
(рис. 36) или уплотнителей У-образного профиля
(рис. 37). Возможно применение других видов водоотбойных экранов.
В пересечениях вертикальных и горизонтальных открытых стыков следует предусматривать водоотводящие фартуки
(рис. 38). В панелях с выносным противодождевым зубом
(рис. 39) водоотводящие фартуки должны располагаться в подрезках, расположенных на верхних торцовых гранях панелей.
5.119. В колодцах вертикальных стыков всех типов следует предусматривать воздухоизоляцию с помощью воздухозащитных лент и (или) уплотняющих прокладок, устанавливаемых на клеях
(рис. 40).
Применение пергамина и рубероида для оклеечной воздухоизоляции не допускается.
Для воздухозащиты горизонтальных открытых стыков следует применять уплотняющие прокладки прямоугольного или круглого сечения.
5.120. В вертикальных и горизонтальных стыках всех типов (кроме стыков панелей из ячеистых бетонов) рекомендуется предусматривать теплоизоляцию вкладышами из пенополистирола или других теплоизоляционных материалов. Допускается при обосновании теплотехническими, прочностными и экономическими расчетами применять для теплоизоляции стыков их замоноличивание легким бетоном на пористых заполнителях.
5.121. Проектом должно быть предусмотрено устройство воздухо- и теплоизоляции в колодцах вертикальных стыков до установки внутренних стеновых панелей.
5.122. Для замоноличивания колодцев вертикальных стыков рекомендуется применять бетонные смеси.
Расположение арматурных связей в стыке не должно мешать качественному замоноличиванию.
ПРИМЕРЫ ОПРЕДЕЛЕНИЯ РАСЧЕТНОЙ НЕСУЩЕЙ СПОСОБНОСТИ
ПРИ СЖАТИИ ГОРИЗОНТАЛЬНЫХ СТЫКОВ И ЭКСЦЕНТРИСИТЕТОВ
ПРОДОЛЬНЫХ СИЛ В СТЕНАХ
Пример 1. Платформенный стык внутренней панельной стены при двухстороннем опирании многопустотных плит перекрытия
(рис. 41, а).
Рис. 41. Схемы к примерам расчета прочности стыков (а - е)
Исходные данные. Стеновые панели толщиной t = 160 мм из тяжелого бетона класса В20

. Панели бетонируются в вертикальном положении в кассетных установках.
Расчетное сопротивление бетона сжатию постоянными и длительными нагрузками (с учетом коэффициентов условий работы по
СНиП 2.03.01-84)

;

и

;

.
Верхнее опорное сечение стеновой панели усилено косвенным армированием в виде двух горизонтальных каркасов с продольными и поперечными стержнями диаметром 8 мм, площадью

. Расстояние между продольными стержнями

, шаг поперечных стержней каркаса

. Шаг каркасов

.
Плиты перекрытий многопустотные толщиной

из тяжелого бетона класса В15. Диаметр пустот 140 мм, шаг пустот

, минимальная толщина ребра между пустотами

. Пустоты заделаны свежеотформованными пробками в заводских условиях. Расчетное сопротивление бетона плиты перекрытия осевому сжатию

.
Глубина опирания плит перекрытий на стены 70 мм.
Средние местные напряжения под платформенными площадками от плит перекрытий

,

.
Номинальные толщины растворных швов: над плитой перекрытия - 25 мм, под плитой перекрытия - 15 мм.
Раствор в горизонтальных швах марки 100.
Возможные взаимные смещения сборных элементов в стыке: стеновых панелей

(при монтаже с применением подкосов); плит перекрытий

. Суммарное смещение плит перекрытий относительно их проектного положения

;

. Суммарный номинальный размер по толщине стены платформенных площадок

. Расчетная ширина растворного шва при двухстороннем опирании плит перекрытия

.
Для платформенного стыка с двухсторонним опиранием плит перекрытий коэффициент

.
Расчет опорного сечения в уровне растворного шва. Для сечения в уровне верхнего растворного шва (для низа панели) можно принять, что коэффициент

. Тогда

. Так как расчетное сопротивление бетона плит перекрытий

ниже расчетного сопротивления стены

МПа, то коэффициент

вычисляем по формуле

.
Для многопустотных плит с заделанными пробками торцами коэффициент

.
Коэффициент

, учитывающий конструктивное решение стыка, определяем по формуле

.
Коэффициент

, учитывающий влияние верхнего горизонтального растворного шва, определим исходя из расчетной толщины растворного шва

. Расчетная ширина растворного шва

.
Для раствора марки 100 кубиковая прочность

. Тогда

.
Приведенное сопротивление стены по опорному сечению в уровне верхнего растворного шва

.
Расчет опорного сечения в уровне нижнего растворного шва.
Для учета влияния косвенного армирования определяем коэффициент

.
Тогда приведенное расчетное сопротивление бетона стеновой панели в уровне нижнего растворного шва

.
Вычисляем величины

;

.
Расчетная толщина нижнего растворного шва

. Тогда

.
Приведенное сопротивление стены по опорному сечению в уровне нижнего растворного шва с учетом местной нагрузки от перекрытия

.
Так как

, то принимаем

. Тогда расчетная несущая способность 1 м стыка

.
Определение эксцентриситета продольной силы.
Для плит с двухсторонним опиранием плит перекрытий эксцентриситет по толщине стены продольной силы определяем по формуле

,
где

;

- разность номинальных размеров по толщине стены платформенных площадок;

- сумма номинальных размеров по толщине стены платформенных площадок. Тогда

.
Согласно
п. 1.21 СНиП 2.03.01-84 расчетный эксцентриситет

принимается не менее случайного эксцентриситета

и не менее l / 600 = 2580 / 600 = 4,3 мм.
Поэтому примем величину

.
Пример 2. Платформенный стык наружной панельной стены при одностороннем опирании перекрытий
(рис. 41, б).
Исходные данные. Стеновая панель трехслойная из тяжелого бетона класса В15. Бетонные слои соединены гибкими металлическими связями. Изготовление панелей в горизонтальном положении. Толщина внутреннего несущего слоя t = 120 мм. Расчетное сопротивление сжатию бетона стеновой панели

.
Плиты перекрытий из тяжелого бетона класса В15 толщиной

. Расчетное сопротивление сжатию бетона плиты перекрытия

. Плиты многопустотные (пустоты расположены вдоль опоры). В стыке сжимающая нагрузка передается через опорное ребро. Поэтому коэффициент

. Средние сжимающие напряжения от местной нагрузки под платформенной площадкой

.
Горизонтальные швы из раствора марки 100. Толщины швов и возможные взаимные смещения сборных элементов в стыке такие же, как в
примере 1.
Глубины опирания плит перекрытия на степу в уровне горизонтальных растворных швов: верхнего

, нижнего

.
Расчетное смещение в платформенном стыке плиты перекрытия относительно проектного положения при одностороннем опирании плиты

.
Расчетные ширины растворных швов: верхнего

; нижнего

.
Коэффициент

(одностороннее опирание плит).
Расчет опорного сечения в уровне верхнего растворного шва. Для рассматриваемого уровня

;

;

. Тогда

.
Так как

, то не учитываем влияние местного сжатия.

.
Тогда

.
Расчет опорного сечения в уровне нижнего растворного шва. Для рассматриваемого уровня

;

;

. Тогда

;

;

.
Так как

, то принимаем

. Тогда расчетная несущая способность 1 м стыка

.
Определение эксцентриситета продольной силы. Эксцентриситет продольной силы определяем для верхнего растворного шва, где меньше глубина опирания плиты перекрытия

.
Вычисленное значение эксцентриситета превышает значение случайного эксцентриситета

. Поэтому принимаем, что величина

.
Пример 3. Комбинированный контактно-платформенный стык
(рис. 41, в) трехслойной наружной панельной стены с гибкими связями между слоями (аналогично рассчитывается комбинированный стык внутренней стены с односторонним опиранием перекрытия).
Исходные данные. Класс бетона стеновых панелей и плит перекрытий, а также марка раствора, толщины швов и расчетные смещения сборных элементов в стыке такие же, как и в
примере 2.
Внутренний несущий слой стеновой панели толщиной t = 160 мм. Горизонтальный стык комбинированных контактно-платформенный. Номинальные (проектные) размеры по толщине стены опорных площадок: контактной

; платформенной соответственно по верхнему и нижнему растворному шву 60 и 70 мм; зазора между контактной и платформенными площадками по верхнему растворному шву 40 мм. Суммарный размер по толщине стены опорной площадки

.
Местные напряжения под платформенной площадкой от плиты

.
При одностороннем опирании перекрытий коэффициент

.
Так как стеновые панели и плиты перекрытия из бетона одинакового класса, а пустоты расположены вдоль пустот, то коэффициент

.
Высота контактной площадки стыка (при толщине плиты перекрытия 220 мм и толщине нижнего растворного шва 15 мм)

. Поэтому коэффициент

. Так как значение коэффициента

всегда больше 1, то принимаем, что

.
Расчетные ширины верхнего

и нижнего

растворных швов:

;

.
Расчетные толщины швов: верхнего

; нижнего

.
Расчет прочности стыка при сжатии. Предварительно вычислим коэффициенты

и

для верхнего и нижнего растворных швов:

;

.
Вычислим коэффициенты

;

;

.
Минимальная прочность нижней платформенной площадки, поэтому принимаем

.
Приведенное сопротивление стены сжатию по опорному сечению

.
Расчетная несущая способность 1 м стыка при сжатии

.
Определение эксцентриситета продольной силы. Так как

, то эксцентриситет

определяем по формуле

.
Знак плюс эксцентриситета означает, что равнодействующая продольной силы смещена в сторону грани, на которую опирается перекрытие.
Минимальное значение случайного эксцентриситета

.
Так как

принимаем расчетное значение эксцентриситета

.
Пример 4. Комбинированный контактно-платформенный стык однослойной панельной наружной стены при одностороннем опирании перекрытий
(рис. 41, г).
Исходные данные. Панели наружной стены из легкого бетона класса В5 толщиной t = 350 мм. Расчетное сопротивление бетона стены осевому сжатию

.
Плиты перекрытия аналогичны рассмотренным в
примере 2.
Глубины опирания плит перекрытия на стену в уровне горизонтальных растворных швов: верхнего

; нижнего

. Высота контактной площадки

. Размер по толщине стены контактной площадки

. Номинальный размер по толщине стены опорной зоны стыка

.
Расчетные толщины растворных швов: верхнего

, нижнего

.
Расчетная ширина верхнего растворного шва

.
Расчетная ширина нижнего растворного шва

.
Прочность стыка при сжатии. Вычислим коэффициенты

;

.
Так как

, то коэффициент

(для стеновой панели из легкого бетона). Так как

, то

;

.
Для стыка с односторонним опиранием перекрытия величина

.
Коэффициент

равен минимальному значению следующих величин:

;

;

.
Принимаем, что

.
Тогда

.
Несущая способность 1 см стыка при сжатии

.
Определение эксцентриситета продольной силы. Так как лимитирует прочность платформенной площадки, то

;

;

. Тогда

.
Минимальное значение случайного эксцентриситета

.
Принимаем, что продольная сила от вышерасположенных этажей передается с эксцентриситетом

.
При определении суммарного эксцентриситета необходимо учесть нагрузку от плиты перекрытия, которая приложена с эксцентриситетом

относительно оси стены, вычисляемым по формуле

.
Нагрузка на 1 м стыка от перекрытия

.
Суммарный эксцентриситет в верхнем сечении

.
Среднее значение эксцентриситета для расчета прочности по среднему сечению панели

.
Пример 5. Монолитный стык внутренней панельной стены при двухстороннем опирании перекрытий.
Исходные данные. Стеновые панели толщиной t = 160 мм из тяжелого бетона класса В20. Панели изготавливаются в вертикальном положении в кассетных установках. Расчетное сопротивление бетона сжатию (см.
пример 1): для сечения в уровне верха перекрытия

; для сечения в уровне низа перекрытия (без учета косвенного армирования стеновой панели)

.
Сжимающая нагрузка в стыке передается через слой монолитного бетона класса В20, уложенного в полость стыка. Сопротивление платформенных участков не учитывается. Плиты перекрытий опираются на стены насухо с помощью опорных "пальцев", расположенных с шагом 600 мм, а в промежутке между "пальцами" заведены на стену на 20 мм с каждой стороны. Размеры монолитного участка стыка между "пальцами": по длине стены

, по толщине стены в уровне верха перекрытия

, уровне низа перекрытия

.
Возможное смещение плиты перекрытия относительно проектного положения

. Уменьшение ширины монолитного участка стыка из-за допусков на точность монтажа и изготовления плит перекрытий: в уровне низа перекрытий

,

, в уровне верха плиты перекрытия

.
В уровне верха плиты перекрытия имеется шов из раствора марки 100. Расчетная толщина шва 35 мм. Расчетная ширина шва

.
Расчет опорного сечения в уровне верха плиты перекрытия. Для монолитного стыка с двухсторонним опиранием перекрытия коэффициент

, где

(классы бетона).
Так как в уровне верха плиты перекрытия сжимающая нагрузка передается на монолитный участок по всей толщине стены, то коэффициент

. Тогда коэффициент

.
Для участка стыка длиной 600 мм

. Коэффициент

.
Для растворного шва с расчетной толщиной 35 мм

.
Приведенное сопротивление стены по опорному сечению в уровне верха плиты перекрытия

.
Расчетная несущая способность участка стыка длиной 1 м

.
Расчет опорного сечения в уровне низа плиты перекрытия. Для верхнего опорного сечения стены расстояние по толщине стены от центра монолитного участка до ближайшей грани стены

.
Коэффициент

, учитывающий повышение прочности стыка при местном сжатии, определяем по формуле

.
Коэффициент

. Тогда коэффициент

;

.
Для рассматриваемого сечения сжимающая нагрузка передается через слой монолитного бетона, уложенного непосредственно на стеновую панель. Поэтому коэффициент

.
Приведенное сопротивление стены по опорному сечению в уровне низа плиты перекрытия

.

.
Определение эксцентриситета продольной силы. Эксцентриситет продольной силы относительно оси стены

.
Минимальное значение случайного эксцентриситета

. Принимаем расчетное значение эксцентриситета

.
Пример 6. Стык монолитной стены с двухсторонне опертыми плитами перекрытия.
Исходные данные. Стена из монолитного бетона класса В20, толщиной t = 160 мм.
Расчетное сопротивление бетона стены сжатию

.
Конструкция узла и глубина опирания плит перекрытия такие же, как и в
примере 5, но над плитой перекрытия нет растворного шва. Полость стыка замоноличивается при бетонировании стены.
Проверяем прочность стыка только для сечения в уровне низа плиты перекрытия, так как в уровне верха плиты стык замоноличен на всю ширину стены.
Так как конструкция узла полностью совпадает с рассмотренной в
примере 5, то

;

;
| | ИС МЕГАНОРМ: примечание. Единица измерения дана в соответствии с официальным текстом документа. | |

.
Расчетная несущая способность участка стыка длиной 1 м

.
Расчетный эксцентриситет продольной силы

(см.
пример 5).
ПРИМЕРЫ ОПРЕДЕЛЕНИЯ ПРОЧНОСТИ СТЕН ПО СРЕДНИМ СЕЧЕНИЯМ
ПРИ ВНЕЦЕНТРЕННОМ СЖАТИИ ИЗ ПЛОСКОСТИ СТЕНЫ
Пример 7. Однослойная панельная стена.
Исходные данные. Стеновая панель толщиной t = 160 мм из тяжелого бетона класса В20. Панель бетонируется в вертикальном положении в кассетной установке. Армирование панели конструктивное (бетонный элемент). Расчетное сопротивление бетона сжатию (см.
пример 1)

. Начальный модуль упругости бетона кассетного изготовления

.
Высота панели (расстояние между плитами перекрытий)

.
Расчетный начальный эксцентриситет

(см.
пример 1).
Стеновая панель имеет платформенный стык с плитами перекрытий, которые опираются на стены по контуру. При таком опирании свободная длина (высота) панели

.
Всю нагрузку будем считать действующей длительно.
Определение коэффициента

. Так как

, то при расчете прочности стены на внецентренное сжатие необходимо учесть влияние продольного изгиба.
Вычислим вспомогательные величины

;

.
Так как

, то принимаем

, тогда

.
Так как вся нагрузка длительно действующая, то коэффициент

, где

(для тяжелого бетона).
Коэффициенты

.

.
Приведенное сопротивление стены внецентренному сжатию по среднему сечению

.
Расчетная несущая способность 1 м стены при внецентренном сжатии

.
6.1. Междуэтажные перекрытия жилых зданий состоят из несущей части и пола. Перекрытия над шумными нежилыми помещениями, расположенными в жилом здании (магазинами, столовыми, предприятиями бытового обслуживания и т.п.), рекомендуется проектировать с двойным перекрытием (самонесущая железобетонная плита потолка, не связанная непосредственно с плитой несущей части перекрытия). При наличии технического этажа между жилой частью дома и встроенными шумными помещениями самонесущий потолок не требуется. Звукоизоляцию перекрытий от воздушного и ударного шума следует проверять по
СНиП II-12-77.
6.2. Перекрытия над техническим подпольем и проездами следует проектировать утепленными. Требуемое сопротивление теплопередаче над подпольем рекомендуется определять из условия обеспечения 50% (за 1 ч) воздухообмена в подполье, с использованием уровня воздушно-теплового баланса. При этом необходимо учитывать влияние ограждающих конструкций и теплоотдачи размещенных в подполье трубопроводов отопления и горячего водоснабжения.
6.3. Полы жилых зданий классифицируются по видам покрытий (паркетные, линолеумные, дощатые, плитные) и по типам конструкций (однослойные, слоистые, раздельные беспустотные и раздельные с пустотами - по лагам).
6.4. Однослойный пол укладывается непосредственно на плиты перекрытий или на выравнивающий слой, устроенный по плитам перекрытий.
В качестве покрытия однослойного пола во всех помещениях квартиры, кроме санитарно-технических узлов, рекомендуется применять линолеум на теплозвукоизоляционной подоснове по
ГОСТ 18108-80, или ему подобные материалы, отвечающие требованиям действующих ТУ. Материалы для покрытия полов должны иметь биостойкую, незагнивающую подоснову.
В помещениях санитарно-технических узлов, а также в вестибюлях, внеквартирных коридорах, лестничных клетках, лифтовых холлах и т.п. рекомендуется устраивать полы из керамических (метлахских) плиток. В санитарно-технических узлах допускается полы выполнять из линолеума на резиновой основе.
Однослойный пол рекомендуется применять в междуэтажных перекрытиях, несущая часть которых обеспечивает индекс изоляции воздушного шума не менее 51 дБ. При расчете звукоизоляции перекрытия с однослойным полом необходимо учитывать снижение звукоизоляции вследствие резонансных колебаний пола и косвенной передачи шума смежными конструкциями.
6.5. Слоистый пол состоит из твердого покрытия пола и звукоизоляционного слоя.
В качестве покрытия пола рекомендуется применять штучный паркет
(ГОСТ 862.1-85) и паркетные щиты (ГОСТ 862.4-77 и ТУ 13-767-84). В качестве звукоизоляционного слоя рекомендуется применять древесно-волокнистые плиты марок 4, 12 и 20
(ГОСТ 4598-86). В случае покрытия пола из штучного паркета рекомендуется предусматривать дополнительный распределительный слой из древесно-волокнистых плит марки ПТ-100
(ГОСТ 4598-86). Требуемая толщина звукоизоляционного слоя определяется расчетом или на основании результатов натурных измерений звукоизоляции.
Слоистый пол рекомендуется применять в междуэтажных перекрытиях, несущая часть которых обеспечивает индекс изоляции воздушного шума не менее 50 дБ, а также в перекрытиях над более холодными помещениями, когда требуется дополнительное утепление перекрытий.
6.6. Раздельный беспустотный пол состоит из покрытия, жесткого основания и звукоизоляционного слоя.
В качестве покрытия раздельного беспустотного пола рекомендуется применять все виды линолеума (см.
п. 6.4), плитки ПВХ и другие аналогичные материалы. Допускается также применять штучный паркет
(ГОСТ 862.4-87) и сверхтвердые древесно-волокнистые плиты
(ГОСТ 4598-86). Жесткое основание рекомендуется выполнять в виде монолитной стяжки толщиной 40 мм из легких бетонов на пористых заполнителях или поризованных на фосфогипсовом вяжущем класса не менее В10 и марки по плотности не более D1200. При покрытии из паркета стяжка может выполняться из мелкозернистого тяжелого бетона. При плитах перекрытия размером на комнату стяжку рекомендуется выполнять в заводских условиях в составе комплексной плиты перекрытия. При устройстве стяжки из бетонов на пористых заполнителях в построечных условиях рекомендуется предусматривать шлифование верхней поверхности стяжки. Выравнивание такой стяжки цементным раствором не допускается.
Между монолитной стяжкой и звукоизоляционным слоем рекомендуется располагать слой водонепроницаемой бумаги или другого подобного материала с перехлестыванием в стыках.
Сборные стяжки основания пола рекомендуется выполнять из бетона на пористых заполнителях класса не ниже В12,5 или гипсоцементно-пуццоланового бетона класса не ниже В5.
Покрытие пола из обычного (нетеплого) линолеума (
ГОСТ 7251-77, ГОСТ 14632-79,
ГОСТ 16914-71), плиток ПВХ (ГОСТ 16475-81), сверхтвердых древесно-волокнистых плит
(ГОСТ 4598-86) рекомендуется укладывать на стяжку из бетона на пористых заполнителях с маркой по плотности не более D1200 или стяжку из гипсоцементно-пуццоланового бетона с маркой по плотности не более D1300.
В качестве звукоизоляционного слоя раздельных беспустотных полов рекомендуется применять: плиты теплоизоляционные из минеральной ваты на синтетическом связующем
(ГОСТ 16297-80), полужесткие марки 125, жесткие марки 150, толщиной 35 - 60 мм (ГОСТ 9573-82), плиты древесно-волокнистые мягкие марки 4 плотностью не более 250 кг/м
3, толщиной 20 - 40 мм
(ГОСТ 4598-86), плиты фибролитовые на портландцементе марки 300 толщиной 50 мм
(ГОСТ 8928-81), песок прокаленный, керамзит предельной крупности 20 мм и другие подобные материалы, толщина слоя которых устанавливается на основании результатов исследования звукоизоляции в натурных условиях.
6.7. Раздельный пол с пустотами состоит из покрытия пола, лаг и звукоизоляционных прокладок под лаги.
В качестве покрытия раздельного пола с пустотами рекомендуется применять паркетные доски и щиты деревянные однослойные (ТУ 13-767-84). Допускается также применять шпунтованные доски (ГОСТ 8242-75), а также сверхтвердые древесно-волокнистые плиты по сплошному настилу из нешпунтованных и нестроганых досок толщиной 22 мм из низкосортной древесины и деловых короткомерных отходов лесопиления и деревообработки или из древесно-стружечных плит толщиной не менее 19 мм марки П-3 (ГОСТ 10632-77*).
Лаги рекомендуется выполнять из прямоугольных деревянных брусков сечением 40 x 80 мм или клиновидных высотой 40 мм, шириной поверху - 70 и понизу - 26 мм. Расстояние между осями лаг назначается в зависимости от конструкции пола: при толщине основания 19 - 22 мм расстояние между осями лаг не должно превышать 400 мм, а в других случаях - 500 мм.
В качестве звукоизоляционных прокладок под лаги рекомендуется применять плитные материалы, используемые для устройства звукоизоляционного слоя раздельных беспустотных полов (см.
п. 6.6).
6.8. Слоистый пол с покрытием из паркета, деревянный пол по лагам и бетонное основание раздельного пола рекомендуется отделять по контуру от стен и других конструкций зазором шириной 10 - 30 мм, заполняемым звукоизоляционным материалом к перекрываемым плинтусом или галтелью.
6.9. Раздельный пол рекомендуется применять при выполнении несущей части перекрытия из сплошных и многопустотных панелей, для которых индекс изоляции от воздушного звука менее 50 дБ.
6.10. Полы подвалов и технических подполий рекомендуется располагать выше уровня грунтовых вод. Если такое решение невыполнимо, в проекте рекомендуется предусматривать меры по водопонижению за счет дренажей и др. Применение противонапорных конструкций допускается лишь при невозможности водопонижения. При этом наружные стены подземной части и железобетонная плита пола подвала должны иметь сплошную гидроизоляцию со стороны грунта и рассчитываться на дополнительные усилия от гидростатического давления.
6.11. Сборные плиты междуэтажных перекрытий рекомендуется проектировать сплошного сечения (однослойными или трехслойными) или с пустотами.
Однослойные сборные плиты сплошного сечения рекомендуется проектировать из тяжелого или легкого бетона классов не ниже В12,5. При полах раздельного типа и слоистых толщину плит рекомендуется принимать не менее 10 см. При однослойных полах минимальная толщина плит определяется требованиями изоляции воздушного шума.
Плиты размером на комнату при опирании по контуру, двум длинным и одной короткой или только двум длинным сторонам рекомендуется армировать сварными сетками, расположенными в нижней (растянутой) зоне плиты. Арматурные стержни, расположенные вдоль короткого пролета плиты, рекомендуется частично не доводить до опор в соответствии с изменением изгибающих моментов вдоль пролета плиты. В случае, если до опор не доводится половина стержней, разреженное армирование принимается на участках шириной с каждой стороны плиты не более a = 0,14l - 20d, где l - длина короткого пролета плиты, d - диаметр стержней.
Для сборных однослойных плит, длина которых 6 м и более, при опирании по двум коротким сторонам или двум коротким и одной длинной рекомендуется предусматривать предварительно напряженное армирование вдоль длинной стороны плиты. В плитах, работающих на изгиб из плоскости в двух направлениях, кроме предварительно напряженной арматуры рекомендуется устанавливать поперечную арматуру в виде сварных сеток.
Плиты, опертые по двум коротким и одной длинной сторонам, допускается проектировать без предварительно напряженного армирования.
Трехслойные сборные плиты перекрытий рекомендуется проектировать сборными. Верхний и нижний слои выполняются из тяжелого бетона класса на нижнее В15, средний слой - из крупнопористого бетона (например, керамзитобетона) класса не ниже В3,5. Опорные зоны трехслойных плит перекрытий следует выполнять из тяжелого бетона на всю толщину плиты.
Многопустотные сборные плиты перекрытий рекомендуется проектировать из тяжелого или легкого бетона класса не ниже В15.
Пустоты в плитах можно располагать поперек или вдоль опор в зависимости от схемы опирания на стены и прочности плит по сечениям вдоль пустот и по межпустотным ребрам.
При платформенном стыке многопустотных плит перекрытий со стенами рекомендуется предусматривать конструктивно технологические меры повышения прочности опорных сечений.
6.12. Для перекрытий из сборных плит рекомендуется учитывать их совместную работу на изгиб из плоскости, обеспечиваемую бетонными шпоночными соединениями и арматурными связями. При учете совместной работы плит проектную толщину зазора, через который замоноличивается стык, рекомендуется принимать не менее 40 мм.
6.13. При армировании сборных плит сварными сетками рекомендуется преимущественно применять стержневую арматуру диаметром 6 - 14 мм класса А-III и арматурную проволоку диаметром 3 - 4 мм класса Вр-I. Из условия минимальной стоимости и расхода арматуры рекомендуется в сварных сетках шаги продольных и поперечных стержней назначать согласно табл. 10.
Диаметр стали, мм | Класс стали | Шаг, мм | Площадь поперечного сечения As, мм2/м | Расчетное растягивающее усилие Ns, Н/мм | Расход стали, кг на 1 м2 сетки |
3 | Вр-I | 100 | 71 | 27,34 | 0,55 |
200 | 35 | 13,48 | 0,27 |
250 | 28 | 10,78 | 0,22 |
300 | 23 | 8,86 | 0,18 |
4 | Вр-I | 100 | 126 | 47,25 | 0,99 |
150 | 84 | 31,5 | 0,66 |
200 | 63 | 23,63 | 0,5 |
250 | 50 | 18,75 | 0,4 |
300 | 42 | 15,75 | 0,33 |
6 | А-III | 100 | 283 | 101,88 | 2,22 |
150 | 189 | 68,04 | 1,45 |
200 | 141 | 50,8 | 1,11 |
250 | 113 | 40,7 | 0,89 |
300 | 94 | 33,8 | 0,74 |
8 | А-III | 300 | 168 | 60,5 | 1,3 |
10 | А-III | 300 | 261 | 98 | 2,04 |
12 | А-III | 100 | 1131 | 424 | 8,88 |
12 | А-III | 200 | 5,65 | 212 | 4,44 |
300 | 377 | 141,3 | 2,96 |
14 | А-III | 100 | 1539 | 577 | 12,1 |
200 | 769 | 288,5 | 6,1 |
300 | 513 | 192 | 4 |
6.14. Размещение и количество монтажных петель или отверстий, используемых для подъема плит, рекомендуется принимать таким, чтобы исключить необходимость дополнительного армирования изделий на монтажные и транспортные воздействия.
6.15. В плитах перекрытий рекомендуется устраивать каналы для скрытой электропроводки. Диаметр каналов в сплошных плитах рекомендуется принимать не более 35 мм.
Заделку сквозных технологических и коммуникационных отверстий в плитах перекрытий рекомендуется предусматривать раствором на расширяющемся цементе или гипсе.
6.16. Глубину опирания сборных плит на стены в зависимости от характера их опирания рекомендуется принимать не менее, мм: при опирании по контуру, а также двум длинным и одной короткой сторонам - 40; при опирании по двум сторонам и пролете плит 4,2 м и менее, а также по двум коротким и одной длинной сторонам - 50; при опирании по двум сторонам и пролете плит более 4,2 м - 70.
При назначении глубины опирания плит перекрытий следует также учитывать требования
СНиП 2.03.01-84 к анкеровке арматуры на опорах.
6.17. При применении сборных плит перекрытий в зданиях со стенами из монолитного бетона рекомендуется конструктивно обеспечивать их неразрезность на опорах. С этой целью рекомендуется предусматривать петлевые соединения плит, замоноличенные бетоном. Для увеличения размеров полости, замоноличиваемой бетоном, допускается плиты при монтаже опирать на монтажные столики или телескопические стойки.
6.18. Сборно-монолитные слоистые плиты рекомендуется проектировать из сборной железобетонной плиты-скорлупы, выполняющей роль оставляемой опалубки, и слоя монолитного бетона. Плиту-скорлупу рекомендуется изготавливать из тяжелого бетона класса не ниже В15, толщиной 4 - 6 см. Монолитный слой рекомендуется выполнять из тяжелого класса не менее В12,5 или легкого бетона класса не ниже В7,5. Толщину слоя монолитного бетона рекомендуется принимать не менее толщины скорлупы.
Нижнюю растянутую арматуру плиты рекомендуется размещать в сборной плите-скорлупе, при этом применять предварительно напряженное армирование. Верхняя растянутая арматура, необходимая для восприятия изгибающих моментов на опорах, располагается в монолитном слое плиты. Для обеспечения совместной работы сборного и монолитного слоев рекомендуется на верхней поверхности сборного элемента предусматривать местные углубления для образования шпонок и (или) арматурные выпуски.
6.19. Монолитные плиты перекрытий рекомендуется проектировать однослойными из тяжелого или легкого бетона класса не ниже В12,5. Толщину плит рекомендуется назначать не менее требуемой по условиям звукоизоляции от воздушного шума при однослойных полах.
6.20. Монолитные и сборно-монолитные плиты перекрытий рекомендуется проектировать как защемленные стенами в опорных сечениях.
При возведении зданий в объемно-переставных опалубках, извлекаемых на фасад, плита перекрытия бетонируется одновременно с внутренними стенами. При использовании сборных панелей наружных стен рекомендуется плиту перекрытий рассматривать как защемленную по трем сторонам со свободной четвертой стороной.
При монолитных наружных стенах, которые бетонируются после возведения внутренних конструкций, плиты перекрытий в зависимости от узла их сопряжения с наружной стенкой могут проектироваться защемленными по контуру или по трем сторонам по внутренним стенам и со свободным опиранием на наружную стену.
При возведении монолитных наружных и внутренних стен в едином цикле (например, в блочной или щитовой опалубках), монолитные и сборно-монолитные плиты перекрытий рекомендуется проектировать как защемленные по контуру.
6.21. Монолитные плиты перекрытия рекомендуется армировать сварными сетками. Диаметры и шаги продольной и поперечной арматуры сеток рекомендуется принимать согласно
табл. 10. Допускается применение стандартных сеток, выпускаемых промышленностью.
При одностороннем опирании плит перекрытий на стены в случае недостаточной длины анкеровки верхней сетки рекомендуется предусматривать приварку к ней поперечных анкерующих стержней.
В неразрезных плитах перекрытия рабочую арматуру над опорами следует обрывать на расстоянии не ближе 0,25l от грани опоры, где l - пролет плиты. Пролетная арматура в опорных сечениях плиты заводится за грань опоры не менее 20 мм; стык арматурных сеток производится внахлестку с соблюдением требований
СНиП 2.03.01-84.
В сечениях плиты, где трещины в эксплуатационной стадии не образуются, допускается увеличение расстояния между рабочими стержнями арматуры до 400 мм с соблюдением требований
СНиП 2.03.01-84.
В плитах, защемленных по трем сторонам, свободный край дополнительно армируется объемным каркасом из четырех стержней диаметром 10 мм из стали класса А-III для восприятия усадочных и температурных воздействий.
Схема армирования монолитной плиты перекрытия, защемленной по трем сторонам, с четвертой свободной показана на
рис. 42.
а)
б)
Рис. 42. Схемы армирования монолитной плиты
а - защемленной по контуру; б - защемленной
по трем сторонам и четвертой свободной;
СВ - сетка верхнего армирования; СН - сетка нижнего
армирования; КП - каркас пространственный
Сборно-монолитные плиты перекрытий рекомендуется армировать аналогично монолитным плитам; надопорную арматуру рекомендуется размещать в монолитном слое, пролетную - в скорлупе.
Размер скорлупы в плане рекомендуется назначать из условия обеспечения прочности и трещиностойкости бетона при ее изготовлении и монтаже. Стык скорлупы в перекрываемой ячейке не должен производиться в зоне максимальных моментов. В зоне стыка по скорлупам укладывается арматура площадью, эквивалентной изгибающему моменту, в расчетном сечении плиты с перепуском на длину не менее

, где

- расчетная длина анкеровки арматуры. Заведение скорлупы за грань стены производится на величину не менее 20 мм.
Совместная работа сборного и монолитного слоев перекрытия должна обеспечиваться сцеплением бетона и монтажными арматурными элементами, установленными в сборной плите-скорлупе.
Схема армирования сборно-монолитной плиты перекрытия показана на
рис. 43.
а)
б)
в)
Рис. 43. Сборно-монолитная плита
а - схема армирования сборно-монолитной плиты,
защемленной по контуру; б - конструктивное решение
сборной плиты скорлупы без внешнего армирования;
в - то же, с внешним армированием;
СВ - сетка верхнего армирования; ПС - плита-скорлупа;
1 - монтажная петля; 2 - петлевые выпуски
Расчет железобетонных плит перекрытий
6.22. При расчете железобетонных плит перекрытий по предельным состояниям первой группы (по прочности) и второй группы (по деформациям, образованию и раскрытию трещин) рекомендуется различать плиты, работающие на изгиб из плоскости в одном и двух направлениях.
Плиты, опертые по контуру и имеющие соотношение размеров длинной стороны к короткой 3:1 и менее, а также плиты, опертые по трем сторонам и имеющие соотношение размеров вдоль параллельно расположенных опор к размеру вдоль свободного края 1,5:1 и менее, рекомендуется рассчитывать как работающие на изгиб из плоскости в двух направлениях. Расчет таких плит разрешается выполнять методами, изложенными в настоящем Пособии. При необходимости уточненный расчет таких плит может выполняться по специальным программам на ЭВМ, учитывающим нелинейную работу железобетона с трещинами.
Остальные плиты рекомендуется рассчитывать как работающие на изгиб в одном направлении по
СНиП 2.03.01-84 и соответствующим пособиям.
6.23. Для плит, работающих на изгиб из плоскости в двух направлениях, различаются расчетные длины

и

. Для плит, опертых по контуру, принимается, что пролет

не превышает пролет

. Для плит, опертых по трем сторонам, пролет

соответствует расстоянию между параллельно расположенными опорами (размер вдоль свободного края плиты).
Для свободно опертых плит расчетный пролет принимается равным расстоянию между серединами опорных площадок плит перекрытий. Для защемленных на опорах плит расчетный пролет принимается равным пролету в свету (до грани опор).
6.24. Для плит перекрытий, работающих на изгиб в двух направлениях, коэффициенты армирования (отношение площади сечения арматуры к рабочей площади сечения плиты, перпендикулярного арматуре)

и

вдоль пролетов соответственно

и

рекомендуется назначать так, чтобы выполнялись условия:

; (149)

, (150)
где

- минимальное значение коэффициента армирования, принимаемое по
СНиП 2.03.01-84 равным 0,05%.
Для железобетонных слабоармированных элементов, несущая способность которых исчерпывается одновременно с образованием трещин в бетоне растянутой зоны, площадь сечения продольной растянутой арматуры должна быть увеличена по сравнению с требуемой из расчета по прочности не менее чем на 15% (по
СНиП 2.03.01-84).
6.25. При расчете плит перекрытий нагрузки от веса опирающихся на них ненесущих наружных стен и перегородок рекомендуется учитывать следующим образом:
для жестких ненесущих стен и перегородок в виде сборных бетонных в железобетонных панелей нагрузка от их веса прикладывается к плите в виде сосредоточенных сил, которые считаются расположенными;
для панелей без проемов, а также простенков панелей с проемами шириной более половины высоты этажа - на расстоянии 1/12 длины соответственно панели и простенка от их краев; для крайних простенков панелей с проемами шириной не более половины высоты этажа - на расстоянии 1/3 от наружного края простенка, а для средних простенков - по середине их длины;
для нежестких ненесущих стен и перегородок из каменной кладки, мелких блоков, листовых материалов 60% нагрузки от их веса считается распределенной по длине простенков, а остальная часть - в виде сосредоточенных сил, положение которых назначается аналогично нагрузке от жестких стен и перегородок.
Если в процессе эксплуатации здания возможно изменение положения перегородок, то нагрузку от веса рекомендуется задавать в виде распределенной нагрузки, эквивалентной наиболее неблагоприятной схеме расположения перегородок в конструктивной ячейке, но не менее 0,5 кН/м2 (50 кгс/м2).
Расчет железобетонных плит перекрытий
по предельным состояниям первой группы
6.26. Сборные плиты, не имеющие специальных связей для обеспечения неразрезности на опорах, рассчитываются по прочности в предположении свободного (без защемления) их опирания на стены. Для плиты, работающей на изгиб из плоскости в двух направлениях, при платформенном стыке со стенами, разрешается считать, что углы плиты закреплены от подъема.
Монолитные плиты, а также сборные, имеющие специальные связи для обеспечения неразрезности на опорах, рекомендуется рассчитывать с учетом их защемления стенами на опорах. При этом для сборных и сборно-монолитных плит необходимо учитывать две стадии их работы: до и после устройства связей, обеспечивающих защемление плиты.
Расчет по прочности плит, работающих на изгиб из плоскости в двух направлениях, рекомендуется выполнять кинематическим способом метода предельного равновесия.
При расчете плит по прочности различают следующие случаи:
армирование плиты задано; требуется определить предельное по условиям прочности значение равномерно распределенной нагрузки на плиту

;
задана нагрузка на плиту; требуется определить требуемое армирование.
6.27. Для плиты с заданным армированием расчет по прочности выполняется в следующей последовательности:
выявляются расчетные сечения; для всех плит в качестве расчетных условно рассматриваются сечения, перпендикулярные пролетам

и проходящие через центр плиты; для плит с защемленными опорами также рассматриваются сечения вдоль этих опор, кроме того, должны быть рассмотрены сечения, где изменяется армирование плиты. Для многопустотных плит дополнительно рассматриваются сечения вдоль пустот, примыкающих к опорам;
определяются значения изгибающих моментов, воспринимаемых плитой по расчетным сечениям; при одностороннем армировании изгибающий момент для i-го сечения плиты определяется по формуле

, (151)
где

,

- соответственно расчетное сопротивление и площадь поперечного сечения продольной арматуры в i-м сечении плиты;

- рабочая высота сечения;

- расчетное сопротивление бетона плиты сжатию (призменная прочность);

- длина плиты вдоль сечения i;
намечается схема излома плиты в предельном состоянии и определяются углы наклона линий излома по отношению к стороне плиты вдоль пролета

; для свободно опертых и защемленных по контуру плит схемы излома рекомендуется принимать соответственно по
рис. 44 и
45, при этом угол наклона линий излома к сторонам вдоль пролета допускается принимать равным 45°. Для свободно опертых по трем сторонам плит рекомендуется рассматривать две схемы излома (
рис. 44, б,
в), при этом для плит с соотношением сторон

допускается принимать, что угол

;
определяется предельное значение равномерно распределенной нагрузки на плиты

;
нагрузка

сопоставляется с расчетной нагрузкой на плиту q; прочность плиты считается обеспеченной, если

.
а)
Рис. 44. Расчетные схемы излома свободно опертой плиты
а - опертой по контуру; б, в - опертой по трем сторонам
Рис. 45. Расчетные схемы излома плиты,
защемленной по контуру (а) и трем сторонам (б)
1, 2, 3 - расчетные сечения при определении
нагрузки образования трещин
При загружении плиты на различных участках неодинаковыми распределенными нагрузками, а также точечными и полосовыми сосредоточенными нагрузками, допускается указанные нагрузки заменять приведенной равномерно распределенной нагрузкой, определяемой из условия равенства работ фактических и приведенной нагрузок на перемещениях, которые соответствуют заданной схеме излома плиты.
Для свободно опертой по контуру плиты предельная нагрузка

вычисляется по формулам:
при армировании сетками, все стержни которых вдоль пролетов

и

доводятся до опор или обрываются в пролете по эпюре моментов согласно
п. 6.11:

, (152)
где

,

- значения изгибающих моментов, воспринимаемые плитой при изгибе по балочным схемам соответственно вдоль пролетов

,

;

- коэффициент условий работы, определяемый по графику на
рис. 46,

. (153)
Рис. 46. График для определения коэффициента

,
учитывающего пространственную работу
плиты, опертой по контуру
а - при равномерном армировании;
б - с концентрацией арматуры в средней части плиты
При армировании сетками, в которых стержни вдоль пролета попеременно не доводят до опор на расстояние

, а вдоль пролета

все доводят до опор

, (154)
где

. (155)
Для свободно опертой по трем сторонам плиты, армированной в двух направлениях, предельная нагрузка

принимается равной меньшему из значений, вычисляемых для двух схем излома по
рис. 44, б,
в.

, (156)
где

; (157)

- коэффициент ортотропии армирования

. (158)

, (159)
где

. (160)
Для плиты, имеющей защемленные опоры, предельная нагрузка

вычисляется по формулам:

; (161)
при защемлении по трем сторонам и одном свободном крае вдоль пролета
(рис. 45, б)

, (162)
где

,

- изгибающие моменты, воспринимаемые в пролете плиты при изгибе соответственно вдоль пролетов

и

;

,

- изгибающие моменты, воспринимаемые на опорах при изгибе вдоль пролета

;

,

- то же, вдоль пролета

.
6.28. Предварительно напряженные в одном направлении плиты рассчитываются по прочности с учетом следующих особенностей:
при расчете прочности принимается, что величина

;
при расчете прочности плит, опертых по трем сторонам и имеющих армирование только вдоль пролета

, в виде предварительно напряженной арматуры, в
формулах (156) и
(159) принимается, что величина

, а коэффициент ортотропии

вычисляется исходя из изгибающих моментов

и

, при которых в плите образуются трещины при ее изгибе соответственно вдоль пролетов

и

; при этом учитывается влияние предварительного напряжения.
Многопустотные панели должны, кроме того, быть проверены расчетом по указаниям
п. 6.33.
6.29. Для железобетонных плит перекрытий, кроме расчета по указаниям
п. 6.27, необходимо проверять прочность по наклонным сечениям от действия поперечной силы. Расчет выполняется по указаниям норм проектирования железобетонных конструкций для наклонных сечений, проходящих через опоры.
Значение поперечной силы в опорном сечении для плиты, работающей на изгиб в двух направлениях, рекомендуется принимать большим из двух значений, подсчитанных исходя из упругой стадии работы плиты и в предельном состоянии (для принятой в расчете схемы излома плиты).
Для предварительного расчета допускается поперечную силу определять из условия опирания плиты по двум сторонам. Если требования расчета по поперечной силе оказываются выполненными без дополнительного армирования или повышения класса бетона плиты, то дальнейшего уточнения значения поперечных сил не требуется.
6.30. В случае, если задана нагрузка на плиты и требуется определить ее армирование, расчет рекомендуется выполнять в следующей последовательности:
а) задается тип и схема армирования плиты и предварительно назначается класс арматуры;
б) определяется оптимальное соотношение значений изгибающих моментов в расчетных сечениях и определяется требуемая площадь сечения арматуры;
в) при армировании плиты сварными сетками с использованием данных
табл. 10 назначаются диаметры арматурных стержней и их шаги в сетке; при необходимости корректируются результаты расчета с учетом принятых классов и диаметров арматуры.
6.31. Для свободно опертой по контуру плиты, армированной сеткой, все стержни которой доводятся до опоры или половина стержней обрывается на расстоянии

, изгибающие моменты

и

, действующие соответственно вдоль пролетов

и

, рекомендуется определять по формулам:

; (163)

, (164)
где

- изгибающий момент в среднем сечении плиты, соответствующий балочной схеме работы плиты вдоль пролета

; (165)

- коэффициент условий работы, определяемый по
п. 6.27;

- коэффициент, равный котангенсу угла наклона линии излома к стороне плиты вдоль пролета

; при оптимальном по условиям прочности армирования плиты коэффициент

рекомендуется определять по формуле

; (166)

- коэффициент, зависящий от вида арматуры, вдоль пролетов

и

; при армировании одинаковой арматурой в обоих направлениях коэффициент

; при армировании плиты вдоль пролета

стержневой арматурой класса А-III, а вдоль пролета

проволочной арматурой класса Вр-I коэффициент

; в остальных случаях коэффициент

определяется по формуле

; (167)

,

- расчетное сопротивление и стоимость 1 м арматурных стержней, расположенных вдоль пролета

;

,

- то же, вдоль пролета

;

,

- рабочая высота сечения плиты при изгибе соответственно вдоль пролетов

и

.
Площади сечения арматуры

,

, расположенной соответственно вдоль пролетов

и

, определяются по формулам:

; (168)

, (169)
где

; (170)

. (171)
В случае, если по условиям расчета на монтажные нагрузки или по конструктивным соображениям арматура вдоль пролета

задана, то изгибающий момент

, по которому определяется площадь арматуры вдоль пролета

, вычисляется по формуле

, (172)
где

. (173)
6.32. Для свободно опертой по трем сторонам плиты, армированной сеткой, все стержни которой доводятся до опоры, изгибающие моменты

и

, по которым определяется площадь арматуры соответственно вдоль пролетов

и

, вычисляются по формулам:
в случае, если

, то

; (174)

, (175)
где

; (176)
в случае, если

,

; (177)

, (178)
где

. (179)
Особенности расчета по прочности многопустотных плит
6.33. Многопустотные плиты с пустотами цилиндрической формы, работающие на изгиб из плоскости в двух направлениях, а также плиты, опертые по двум сторонам, в которых пустоты расположены параллельно опорам, рассчитывают с учетом особенностей, изложенных в настоящем пункте.
Расчет прочности плиты по нормальным сечениям, перпендикулярным направлению пустот, выполняется для приведенного двутаврового сечения, для которого ширины сжатой и растянутой полок

и

равны ширине плиты b вдоль рассматриваемого сечения, а приведенные высоты (толщины) полок

,

и толщину стенки

определяют по формулам

; (180)

; (181)

, (182)
где

,

- минимальные толщины соответственно сжатой и растянутой полок;
d - диаметр пустот в плите;
n - количество пустот, пересекающих расчетное сечение плиты.
Расчет прочности плиты по нормальным сечениям, параллельным направлению пустот при действии изгибающего момента, выполняют как для прямоугольного сечения, при этом расчетная высота сжатой зоны не должна превышать минимальную толщину сжатой полки (в сечении вдоль оси пустоты).
Изгибающие моменты, действующие в расчетных сечениях, допускается определять как для плит сплошного сечения.
В многопустотной плите должна быть проверена прочность ребер на срез по горизонтальным сечениям и прочность полок на срез по вертикальным сечениям.
Для опертой по двум сторонам плиты с пустотами, расположенными параллельно опорам, прочность на срез проверяется по формулам:
для опорного ребра

; (183)
для ближайшего к опорному промежуточного ребра

; (184)
для полок (в сечении по ближайшей к опоре пустоте)

, (185)
где q - расчетная нагрузка на плиту;
l - расчетный пролет плиты;

- минимальная толщина опорного ребра;

- то же, промежуточного ребра;

- расчетное сопротивление бетона растяжению;

- коэффициент, принимаемый по
СНиП 2.03.01-84 равным для бетона: тяжелого и ячеистого - 0,6; мелкозернистого - 0,5; легкого при марке по средней плотности D1900 и более - 0,5, D1800 и менее - 0,4.
Для опертой по четырем сторонам плиты с пустотами, расположенными вдоль длинной стороны плиты, а также для опертой по трем сторонам плиты с пустотами, расположенными перпендикулярно свободному краю, расчет ребер и плит по прочности на срез рекомендуется определять по
формулам (183) и
(185) как для плиты, опертой по двум сторонам, параллельным пустотам.
Для опертой по трем сторонам плиты с пустотами, расположенными параллельно свободной стороне плиты, при соотношении ее сторон

прочность ребер на срез проверяют по формулам:
для крайнего опорного ребра

; (186)
для ближайшего к опорному промежуточного ребра

, (187)
где

- минимальная толщина опорного ребра;

- то же, промежуточного ребра;

- расстояние по горизонтали от оси опоры до центра первой пустоты в плите. Приближенно допускается принимать, что

; (188)
s - шаг пустот;

, (189)
I - момент инерции при изгибе для сечения плиты, перпендикулярного пустотам; при симметричном по высоте плиты расположении пустот

; (190)

- момент инерции при свободном кручении для сечения плиты, перпендикулярного пустотам; величину

допускается определять как для замкнутого коробчатого сечения по формуле

; (191)
h - количество пустот;

- толщина полки.
Особенности расчета по прочности предварительно
напряженных плит, опертых по трем сторонам
6.34. При расчете по прочности опертых по трем сторонам плит с комбинированным армированием в виде предварительно напряженной арматуры с площадью сечения

и ненапряженной арматуры с площадью сечения

вводят приведенные сопротивления

, стоимость арматуры

и расчетную высоту сечения с комбинированным армированием

, которые вычисляют по формулам:

; (192)

; (193)

; (194)
где

; (195)

,

- соответственно расчетное сопротивление растяжению и стоимость предварительно напряженной арматуры;

,

- то же, ненапряженной арматуры;

- расчетная высота сечения для предварительно напряженной арматуры;

- то же, ненапряженной арматуры.
6.35. При расчете по прочности опертых по трем сторонам плит с армированием только предварительно напряженной арматурой, параллельной свободному краю плиты, необходимо дополнительно проверить трещиностойкость плиты для сечений вдоль пустот.
При проверке трещиностойкости учитывается расчетное сопротивление бетона растяжению

, которое определяется как для бетонного элемента.
Прочность многопустотной плиты по сечению вдоль средней по ее ширине пустоты при совместном действии общего и местного изгиба проверяют по формуле

, (196)
где 0,85 - коэффициент, приближенно учитывающий возможное снижение прочности бетона на растяжение при установлении класса бетона по прочности на сжатие;
В случае, если
условие (196) выполнено, то плиту допускается армировать в одном направлении. Расчет такой плиты выполняют с использованием следующих предпосылок:
направление трещин при разрушении плиты совпадает с направлением первоначальных трещин и зависит от соотношения сторон плиты

и моментов трещинообразования бетонного сечения плиты

и

соответственно при изгибе вдоль пролетов

и

;
момент трещинообразования

определяется с учетом влияния предварительного напряжения арматуры по формуле

, (197)
где

- расчетное сопротивление бетона плиты осевому растяжению для предельных состояний второй группы;

- пластический момент сопротивления сечения плиты, перпендикулярного свободному краю (определяется по указаниям норм проектирования железобетонных конструкций и пособий к нему);
P - усилие предварительного обжатия за минусом потерь предварительного напряжения;

- эксцентриситет усилия P относительно центра тяжести приведенного сечения;
r - расстояние от центра тяжести приведенного сечения до ядровой точки, наиболее удаленной от растянутой зоны, трещинообразование которой проверяется;

; (198)

, (199)
но не менее 0,7 и не более 1;

- максимальное напряжение в сжатом бетоне от внешней нагрузки и усилия предварительного напряжения, вычисленные как для упругого тела по приведенному сечению;
момент трещинообразования

определяется для сечения по пустоте; при симметричном по высоте расположении пустот

. (200)
Прочность плиты с заданным армированием предварительно напряженной арматурой, расположенной параллельно свободному краю, должна удовлетворять условиям:

; (201)

, (202)
где

- изгибающий момент, воспринимаемый плитой при опирании по двум сторонам;
Особенности расчета по прочности монолитных плит
6.36. Для определения требуемого по условиям прочности армирования монолитных плит рекомендуется предварительно задавать значения коэффициентов ортотропии армирования

,

,

, которые характеризуют соотношение изгибающих моментов в пролетных и опорных сечениях плиты, приходящихся на единицу длины сечения
(рис. 47).
Рис. 47. Схемы действия изгибающих моментов
и распределения рабочей арматуры в плитах
а - защемленных по контуру; б - защемленных
по трем сторонам и четвертой свободной
В зависимости от схемы опирания плиты и соотношения ее размеров в плане коэффициенты ортотропии рекомендуется назначать по табл. 11.
Способ защемления плиты | | | | |
По контуру | 1 | 1 - 0,9 | 1 - 2 | 1 - 2 |
1,2 | 0,8 - 0,6 |
1,4 | 0,7 - 0,5 |
1,6 | 0,5 - 0,3 |
1,8 | 0,4 - 0,2 |
2 - 3 | 0,2 - 0,15 |
По трем сторонам, один край свободный | 0,7 - 1,5 | 0,3 - 0,1 | 1 - 2 | 1 - 2 |
При заданной распределенной нагрузке на плиту q погонный изгибающий момент

, по которому подбирается пролетная арматура, расположенная вдоль пролета

, определяется по формулам:
для плиты, защемленной по контуру,

; (203)
для плиты, защемленной по трем сторонам и одной свободной,

, (204)
где

,

- коэффициенты ортотропии для параллельных опорных сечений вдоль стороны плиты длиной

;

,

- то же, длиной

(для свободного края величина

).
Погонные изгибающие моменты в других сечениях плиты вычисляют по формулам:

; (205)

; (206)

, (207)
где

- погонный изгибающий момент в пролете плиты, вызывающий изгиб вдоль пролета

;

- погонный изгибающий момент на опоре плиты, вызывающий изгиб вдоль пролета

;

- то же, вдоль пролета

.
6.37. При одностороннем защемлении плиты стеной (см.
рис. 42) изгибающий момент в опорном сечении следует ограничивать несущей способностью анкера

, (208)
где

- погонное растягивающее усилие в анкерах, определяемое расчетом на выкалывание бетона,

; (209)

- площадь проекции поверхности выкалывания на плоскость, нормальную к анкеру.
При анкеровке сетки поперечным стержнем площадь поверхности выкалывания определяют по формуле

, (210)
где

- длина заделки верхней сетки за грань опоры, принимается не менее 10d (d - диаметр продольного стержня верхней сетки).
Поперечный анкерующий стержень рекомендуется выполнять из стали класса А-III и назначать по табл. 12 в зависимости от усилия

, приходящегося на один продольный стержень.
Таблица 12
nan, кН | 4,5 | 8 | 13,5 | 19,5 | 26 | 34 | 43,5 |
Диаметр поперечного стержня dan, мм | 6 | 8 | 10 | 12 | 14 | 16 | 18 |
6.38. В сборно-монолитных перекрытиях дополнительно проводят проверку прочности шва сопряжения монолитной и сборной части плиты на сдвиг из условия

, (211)
где

- касательное напряжение в шве, определяемое по формуле

, (212)
Q - поперечная сила от внешних нагрузок в нормальном сечении сборно-монолитного перекрытия;
b - расчетная ширина сечения;
z - плечо внутренней пары сил;

- предельное сопротивление срезу, зависящее от характера контактной поверхности шва, принимаемое равным 0,2 МПа при гладкой поверхности скорлупы и 0,3 МПа - при механическом создании зарубок и вмятин.
Расчет железобетонных плит перекрытий
по предельным состояниям второй группы
6.39. Сборные плиты, не имеющие специальных связей для обеспечения неразрезности перекрытий на опорах, рассчитывают по предельным состояниям второй группы как свободно опертые. При защемлении перекрытий стенами в случае, если на опоре не образуются трещины, а также при наличии специальных связей, обеспечивающих неразрезность перекрытий на опорах, разрешается при расчете плит по предельным состояниям второй группы рассматривать две стадии их работы: до и после защемления.
Расчет по предельным состояниям второй группы до защемления плиты выполняют в предположении ее свободного опирания. Для этой стадии проверяется возможность образования в пролете плит трещин и определятся их кратковременное раскрытие от нагрузок, приложенных до защемления плиты. При расчете учитывают нагрузки от собственного веса плиты и опирающихся на нее сборных элементов (плит основания пола, панельных перегородок, санитарно-технических кабин и др.), устанавливаемых до монтажа плит очередного этажа, а также временная нагрузка от веса монтажного оборудования (подкосов, кондукторов и т.п.), емкостей с раствором или складируемых на перекрытии материалов. Временную монтажную нагрузку рекомендуется принимать не менее 0,5 кН/м2 (50 кгс/м2).
Для второй стадии работы плиты определяют кратковременные прогибы от нагрузки, приложенной после защемления плиты (перегородки из штучных материалов, полы, временная нагрузка), и приращение прогибов от всех длительно действующих нагрузок, обусловленное развитием деформаций ползучести бетона плиты, а также проверяют возможность образования трещин в пролете и на опорах от суммарных нагрузок. В случае образования трещин на опорах при отсутствии специальных связей, рассчитанных на восприятие изгибающих моментов в опорных сечениях, плита рассчитывается как свободно опертая. При образовании трещин в пролете проверяется их раскрытие от длительно действующей нагрузки.
При расчете сборных плит с учетом защемления на опорах рекомендуется учитывать конечную жесткость при повороте опорных закреплений.
6.40. Для монолитных плит все нагрузки разрешается считать приложенными после снятия опалубки.
Сборные плиты-скорлупы сборно-монолитных перекрытий разрешается проверять расчетом по предельным состояниям второй группы только для монтажа. Для уменьшения их прогибов и предотвращения образования трещин до набора монолитным бетоном расчетной прочности рекомендуется применять временные телескопические подставки. Для монтажа сборных плит-скорлуп рекомендуется применять такие схемы их подъема, которые не приводят к образованию трещин.
Сборно-монолитное перекрытие после набора бетоном расчетной прочности рассчитывают аналогично монолитному перекрытию.
6.41. При определении прогибов плит перекрытий нагрузку от веса ненесущих панельных наружных стен и перегородок принимают по
п. 6.25.
Сосредоточенные нагрузки от наружных стен и перегородок допускается заменять равномерно распределенной нагрузкой, эквивалентной по величине изгибающему моменту в перекрытиях.
6.42. При расчете плит перекрытий по предельным состояниям второй группы различаются следующие нагрузки:

- нормативная нагрузка, по которой проверяется образование трещин в плите;

- нормативная длительно действующая нагрузка, по которой проверяют прогибы и раскрытие трещин;

- нагрузка, приложенная к плите до ее защемления (при учете двух стадий работы плиты);

- то же, после защемления плиты.
При определении нагрузки

учитывается полное значение временной нагрузки, равное для квартир жилых зданий 1,5 кН/м
2 (150 кгс/м
2). При определении нагрузки

учитывается только длительно действующая часть временной нагрузки, равная 0,3 кН/м
2 (30 кгс/м
2).
Все нагрузки определяют с коэффициентом безопасности по нагрузке, равным 1.
6.43. Прогибы и раскрытие трещин плиты, работающей на изгиб из плоскости в двух направлениях, разрешается определять приближенно путем линейной интерполяции прогибов, соответствующих нагрузке, при которой образуются трещины в плите

, и предельной нагрузке

, определенной исходя из характеристик материала плиты для предельных состояний второй группы. Для плиты, рассчитываемой с учетом двух стадий работы (до и после защемления), при определении прогибов и раскрытия трещин следует различать случаи, когда трещины образуются до и после защемления плиты.
Расчет железобетонных плит по образованию трещин
6.44. Образование трещин проверяют для сечения по середине пролета

плиты, а для защемленных стенами плит также для опорных сечений.
6.45. Для сборной свободно опертой плиты нагрузку

, при которой в ней образуются трещины в пролете, определяют по формуле

, (213)
где

- изгибающий момент, соответствующий образованию трещин в расчетном сечении плиты; для предварительно напряженных плит величина

вычисляется с учетом влияния предварительного напряжения арматуры на момент образования трещин;

- коэффициент, определяемый для плит, опертых по четырем и трем сторонам (рис. 48 и
49); для плиты, опертой по двум противоположным сторонам, коэффициент

.
Рис. 48. Коэффициенты

для плит,
свободно опертых по контуру
Рис. 49. Коэффициенты

для плит,
свободно опертых по трем сторонам
Для сборных плит, рассчитываемых с учетом двух стадий работы (до и после защемления), нагрузки

и

, при которых образуются трещины соответственно в пролете и на опоре, рекомендуется вычислять по формулам:

; (214)

, (215)
где

- нагрузка, приложенная к плите до ее защемления;

,

- коэффициенты, определяемые для плит, опертых по четырем и трем сторонам, по графикам
рис. 48 и
49; для плиты, опертой по двум противоположным сторонам,

;

;

- коэффициент, учитывающий упругую податливость защемления,

; (216)

- коэффициент жесткости опоры при повороте, вычисляемый для платформенного стыка по формуле

; (217)

- изгибная жесткость плиты перекрытия при изгибе вдоль пролета

;
d - длина плиты вдоль опоры;

,

- глубины опорных площадок плиты перекрытия соответственно для верхнего и нижнего растворных швов;

,

- коэффициенты податливости при сжатии соответственно верхнего и нижнего растворных швов, определяемые по
Прил. 2;

- изгибающий момент, при котором образуются трещины в опорном сечении плиты.
В случае если

, то плита рассчитывается как свободно опертая.
6.46. Для монолитной плиты сплошного сечения нагрузка

, при которой образуются трещины в i-м сечении плиты (см.
рис. 45), определяется по формуле

, (218)
где

- коэффициент, определяемый в зависимости от соотношения сторон плит и схемы защемления по табл. 13.
Опирание плиты | Соотношение сторон | Коэффициенты |
| | | | |
Защемление по контуру | 1 | 5,6 | 5,6 | 9,4 | 0,3 |
1,11 | 5 | 5,2 | 8 | 0,31 |
1,25 | 4,3 | 4,9 | 6,8 | 0,31 |
1,43 | 3,9 | 4,7 | 6 | 0,31 |
1,66 | 3,6 | 4,6 | 5,3 | 0,31 |
2 | 3,5 | 4,6 | 4,9 | 0,32 |
Защемление по трем сторонам | 0,7 | 3,3 | 4,3 | 5,6 | 0,26 |
0,8 | 3,3 | 4,2 | 5,1 | 0,33 |
0,9 | 3,3 | 4,2 | 4,9 | 0,33 |
1 | 3,3 | 4,2 | 4,8 | 0,34 |
1,2 | 3,4 | 4,2 | 4,7 | 0,32 |
1,5 | 3,4 | 4,2 | 4,6 | 0,32 |
Расчет прогибов железобетонных плит
6.47. Прогибы свободно опертых по двум сторонам плит определяются по нормам проектирования железобетонных конструкций. Максимальные прогибы от длительно действующих нагрузок свободно опертых по трем или четырем сторонам плит с закрепленными от подъема углами разрешается определять по формулам:
в случае, когда трещины не образуются,


, (219)
где

- коэффициент, вычисляемый по графикам на
рис. 50,
51 в зависимости от схемы опирания плиты;

- длительно действующая нагрузка, по которой проверяется прогиб плиты;

- начальный модуль упругости бетона плиты;
h - толщина плиты;
в случае, когда трещины образуются при нагрузке

,

, (220)
где

- кратковременный прогиб при нагрузке

, соответствующей моменту образования трещин в плите;

; (221)

- коэффициент, учитывающий влияние кратковременной ползучести бетона и определяемый для бетонов: тяжелого, легкого при плотном мелком заполнителе - 0,85; легкого при пористом мелком заполнителе - 0,7;

- коэффициент, учитывающий влияние длительной ползучести на деформации элемента без трещин, определяемый по
СНиП 2.03.01-84: для тяжелого, легкого и ячеистого бетонов при w, равной 40 - 75% (влажности воздуха окружающей среды),

, при w ниже 40%

;

- прогиб плиты в предельном состоянии от длительных нагрузок, вычисленный исходя из расчетных характеристик бетона и арматуры, для предельных состояний второй группы

, (222)

- расчетное сопротивление для предельных состояний второй группы арматуры плиты, расположенной вдоль пролета

;

- модуль упругости арматуры, расположенный вдоль пролета

;

- рабочая высота сечения при изгибе плиты вдоль пролета

;

- приведенный коэффициент армирования,

, (223)

,

- коэффициенты армирования (отношение площади сечения арматуры к площади всего сечения) соответственно вдоль пролетов

и

;

- котангенс угла наклона линии излома, принимаемый для плит, опертых по четырем сторонам, а также по трем сторонам при

, равным 1, а при

- определяется по указаниям
п. 6.27;

- коэффициент, характеризующий упругопластическое состояние бетона сжатой зоны, принимаемый по
СНиП 2.03.01-84. При продолжительном действии нагрузок для конструкций из тяжелого и легкого бетона при влажности воздуха окружающей среды 40 - 75%

; ниже 40%

;

, (224)

- коэффициент, учитывающий возможные отклонения толщины защитного слоя арматуры; для опертых по контуру армированных сетками плит толщиной менее 16 см

, (225)
но не более 1,2; в остальных случаях принимается по
СНиП 2.03.01-84. В формуле (225) величину

принимать в см;

- коэффициент, учитывающий несовпадение наибольшего прогиба плиты с прогибом в точке пересечений линий излома и определяемый по формулам:
для опертых по контуру плит

; (226)
для плит, опертых по трем сторонам
при

; (227)
при

; (228)

- предельная нагрузка на плиту, вычисляемая в
п. 6.27 с использованием расчетных характеристик арматуры и бетона для предельных состояний второй группы;
в случае, когда трещины образуются при нагрузке

,

, (229)
Рис. 50. Коэффициенты

для плит,
свободно опертых по контуру
Рис. 51. Коэффициенты

для плит,
свободно опертых по трем сторонам
6.48. Максимальные прогибы от длительно действующих нагрузок сборных плит, рассчитываемых с учетом двух стадий их работы (до и после защемления), разрешается определять по формулам:
в случае, когда трещины в пролете не образуются

, то

, (230)
где

,

- коэффициенты, определяемые по графикам на
рис. 50,
51;

- коэффициент, учитывающий податливость защемления плиты и определяемый по
формуле (216);

- нагрузка, при которой происходит упругое защемление плиты;
в случае, когда трещины в пролете образуются до упругого защемления плиты,

,

, (231)

; (232)
в случае, когда трещины в пролете образуются после упругого защемления плиты,

,
| | ИС МЕГАНОРМ: примечание. Формула дана в соответствии с официальным текстом документа. | |

, (233)
где

, (234)

- нагрузка, при которой в защемленной плите образуются трещины в пролете.
6.49. Для монолитных плит, защемленных по контуру или трем сторонам, максимальный прогиб определяется по формулам:
в случае, когда трещины в пролете не образуются

,

; (235)
в случае, когда трещины в пролете образуются при нагрузке

,

, (236)
где

- прогиб защемленной плиты в момент образования трещин в пролете, определяемый по формуле

; (237)

- прогиб защемленной плиты в предельном состоянии от длительных нагрузок, вычисленный исходя из расчетных характеристик бетона и арматуры для предельных состояний второй группы

, (238)

- коэффициент, учитывающий влияние защемления плиты на ее прогибы в предельном состоянии и определяемый по
табл. 14 в зависимости от значения величины

; (239)

- коэффициенты, характеризующие ортотропию армирования плиты (см.
п. 6.36);
n - количество защемленных сторон плиты;
в случае, если трещины образуются при нагрузке

, удовлетворяющей условиям, что

,

. (240)
Схема плиты | Коэффициент  |
| |
| |
6.50. Ширина раскрытия трещин железобетонных плит определяется согласно
СНиП 2.03.01-84 в зависимости от значения напряжения

в растянутой арматуре в сечении с трещиной.
Для плит, опертых по контуру и трем сторонам, напряжение разрешается определять по формулам:
при


; (241)
при


, (242)
где

- напряжение в арматуре непосредственно после образования трещины в сечении

; (243)

- изгибающий момент, при котором в рассматриваемом сечении образуются трещины;
6.51. В слабоармированных сечениях плиты при

расчетное значение раскрытия трещин допускается уменьшать умножением на коэффициент

, учитывающий работу растянутого бетона над трещинами,

, (244)
где

- коэффициент, учитывающий уровень нагружения

; (245)

,

- изгибающий момент, действующий в сечении плиты соответственно от нагрузки

и

:

; (246)

, (247)

- предельный момент, воспринимаемый сечением плиты; определяется при характеристиках бетона и арматуры, соответствующих предельным состояниям второй группы;

- момент, при котором растянутый бетон над трещинами практически выключается из работы:

; (248)

- упругий момент сопротивления сечения при изгибе;

- сжимающее напряжение;

- коэффициент, учитывающий длительность действия нагрузки;

; (249)
при

коэффициент

.
Расчет плит перекрытия на монтажные воздействия
6.52. Для монтажа плит перекрытий рекомендуется предусматривать статически определимые схемы подъема. Распределение усилий от собственного веса плиты в точках подвески ее к монтажной траверсе задается конструкцией этой траверсы, выполняемой в виде рычажного механизма или системы вращающихся блоков.
Плиты перекрытий и монтажную оснастку для их подъема в горизонтальном положении следует проектировать исходя из условия, что проекция на поверхность плиты ее центра тяжести и крюка подъемного крана должны совпадать. Это условие распространяется на симметричные и несимметричные изделия.
Применение статически неопределимых систем подъема (траверсы с постоянным закреплением четырех стропов на кольце) допускается только для плит шириной до 2 м, опираемых по коротким сторонам. В этом случае плита рассчитывается как подвешенная на двух петлях, расположенных по диагонали.
6.53. При проектировании системы подъема и размещении монтажных петель или отверстий следует стремиться к тому, чтобы изгибающие моменты от монтажных воздействий не превосходили моментов от полной нормативной нагрузки. Если это условие выполнить не удается, то при расчете деформаций плиты в эксплуатационной стадии следует учитывать снижение их жесткости в результате кратковременного действия монтажных нагрузок в тех случаях, когда они вызывают появление трещин.
6.54. Для монтажных (подъемных) петель плит перекрытий следует применять только горячекатаную арматурную сталь класса А-I.
В зависимости от статического усилия, приходящегося на одну петлю, диаметр ее принимается по табл. 15.
Диаметр петли, мм | Предельное статическое усилие на одну плиту, кН (кгс) |
6 | 1 (100) |
8 | 3 (300) |
10 | 7 (700) |
12 | 10 (1000) |
14 | 15 (1500) |
16 | 20 (2000) |
18 | 25 (2500) |
20 | 31 (3100) |
22 | 38 (3800) |
25 | 49 (4900) |
28 | 61 (6100) |
32 | 80 (8000) |
При использовании монтажных траверс, обеспечивающих приложение нагрузки под углом к оси симметрии петли менее 15°, а также при подъеме плит за четыре петли небалансирующей траверсой (статически неопределимой системой), когда вся нагрузка от веса панели считается приложенной только к двум любым петлям, расположенным по диагонали, приведенные в
табл. 15 значения предельных статических усилий могут быть повышены на 50%.
6.55. При расчете плит на монтажные нагрузки их собственный вес, определяемый с учетом производственной влажности, принимается с коэффициентом динамичности 1,4. Соответственно увеличиваются и сосредоточенные усилия в местах подвески панелей. Все расчетные характеристики бетона принимаются сниженными с учетом отношения отпускной прочности бетона к проектной. Учитывая кратковременность динамических перегрузок, расчетные характеристики бетона умножают на коэффициент условия работы

.
6.56. На монтажные воздействия проверяются сечения, параллельные сторонам плиты, проходящие через оси подъемных петель или монтажных отверстий, а также те, в которых значения поперечной силы равны нулю. Изгибающие моменты в указанных сечениях определяют из условия равновесия внешних и внутренних сил по формулам сопротивления материалов для статически определимых стержневых систем.
Изгибающий момент, приходящийся на единицу ширины сечения, определяют по формуле

, (250)
где M, Н·м - изгибающий момент от монтажных воздействий, действующий в сечении шириной b;

- коэффициент неравномерности распределения изгибающего момента по ширине сечения с учетом пластического перераспределения напряжений.
При расположении сечения, в котором поперечная сила равна нулю, на расстоянии, большем 0,4 расстояния между ближайшими петлями или монтажными отверстиями до оси этих петель (или отверстий), коэффициент

принимается равным 1,2 - для расчета по трещинообразованию, 1 - для расчета необходимого армирования. В остальных случаях коэффициент

принимается соответственно равным 1,4 и 1,2.
6.57. Плиты шириной до 2 м, поднимаемые за 4 петли небалансирующей траверсой, считаются подвешенными только к двум любым петлям, расположенным по диагонали.
При расчете таких плит на монтажные воздействия проверяется необходимость постановки и сечение верхней поперечной по отношению к пролету арматуры.
Верхняя арматура не предусматривается, если соблюдается условие

, (251)
где

, кН/м - изгибающий момент в продольном сечении плиты, при котором напряжения в верхней растянутой зоне бетона достигают величины расчетного сопротивления растяжению

с учетом отношения отпускной и проектной прочности бетона;
G, кН - монтажный вес плиты, умноженный на коэффициент динамичности 1,4;
b, м - ширина плиты.
Для плит сплошного сечения
условие (251) может быть записано в виде

, (252)
где l и h соответственно длина и толщина плиты.
При несоблюдении
условия (251) верхняя поперечная арматура, распределенная по длине элемента, подбирается из условия восприятия изгибающего момента

. (253)
6.58. Плиты, поднимаемые за 6 точек с помощью траверсы, обеспечивающей равенство усилий во всех стропах, рассчитываются в предположении равенства вертикальных составляющих усилий, приложенных к монтажным петлям или отверстиям. Для среднего поперечного сечения вертикальные составляющие усилий, приложенных к средней паре петель (или отверстий), принимаются с коэффициентом 1,2, а вертикальные составляющие усилий, приложенных в остальных четырех точках, - с коэффициентом 0,9.
6.59. В случае, когда по технологическим или конструктивным причинам подъемные петли устанавливают по боковым граням плит, не менее 50% верхней расчетной арматуры, следует располагать в зоне концентрации растягивающих напряжений в непосредственной близости от петель.
Для предотвращения вырывания петель из плоскости панелей у края петлевой ниши в бетоне следует предусматривать анкерные петли, снабженные в местах перегиба анкерующими стержнями периодического профиля, диаметром не менее диаметра монтажной петли. Анкерные петли выполняются из стали класса А-I, а их сечение рассчитывается на монтажное усилие, действующее на петлю, с коэффициентом динамичности 1,4 (без учета разложения усилия по обеим ветвям анкерной петли).
6.60. В целях приближения характера работы плиты во время подъема к характеру работы во время эксплуатации при опирании по четырем сторонам подъемные петли рекомендуется также располагать по четырем сторонам: в середине коротких сторон и на 1/3 от краев длинных
(рис. 52).
а)
Рис. 52. Размещение монтажных петель
в плите, опертой на стены по контуру
а - симметричная плита;
б - асимметричная плита (с балконом);
в - симметричная плита длиной 4,2 м и менее;
A, B, C - точки, в которых определяются усилия;
e - расстояние между центрами тяжести несущей части
и всей комплексной панели
Значения изгибающего момента при подъеме, приходящегося на единицу ширины плиты, в этом случае следует определять по формуле

, (254)
где

- безразмерный коэффициент, принимаемый для различных точек плиты по табл. 16, в зависимости от соотношения сторон плиты

.
| Коэффициент  для плиты, поднимаемой за шесть монтажных петель (рис. 52), при определении усилий от изгиба |
в поперечном направлении в точках | в продольном направлении в точках |
A | C | B | C |
1,0 | -0,0188 | 0,0693 | -0,0572 | 0,0278 |
1,1 | -0,0232 | 0,0657 | -0,0567 | 0,0258 |
1,2 | -0,0277 | 0,0625 | -0,0562 | 0,0245 |
1,3 | -0,0325 | 0,0598 | -0,0558 | 0,0240 |
1,4 | -0,0375 | 0,0575 | -0,0555 | 0,0242 |
1,5 | -0,0427 | 0,0555 | -0,0553 | 0,0247 |
1,6 | -0,0482 | 0,0537 | -0,0553 | 0,0255 |
1,7 | -0,0538 | 0,0520 | -0,0553 | 0,0267 |
1,8 | -0,0597 | 0,0505 | -0,0553 | 0,0280 |
1,9 | -0,0657 | 0,0491 | -0,0555 | 0,0293 |
2,0 | -0,0718 | 0,0478 | -0,0556 | 0,0307 |
2,1 | -0,0780 | 0,0465 | -0,0558 | 0,0320 |
2,2 | -0,0843 | 0,0453 | -0,0560 | 0,0332 |
2,3 | -0,0907 | 0,0441 | -0,0562 | 0,0343 |
2,4 | -0,0972 | 0,0430 | -0,0563 | 0,0353 |
2,5 | -0,1036 | 0,0418 | -0,0565 | 0,0363 |
Примечание. Отрицательное значение коэффициента означает, что растянута верхняя зона плиты.
Сечение верхней арматуры, предназначенной для восприятия растягивающих усилий в точках A и B (см.
рис. 52), следует определять по величинам изгибающих моментов в этих точках, принимая, что ширина сечения равна 0,1 ширины плиты (меньшего ее пролета). Всю эту арматуру следует концентрировать в непосредственной близости от лунки или ниши, в которой установлена монтажная петля. Длину стержней указанной арматуры следует назначать равной 100 ее диаметрам, но не менее 800 мм (в обе стороны от оси петли по 50d или по 400 мм, d - диаметр петли).
В случае асимметричных плит с балконами и плитами основания раздельного (плавающего) пола монтажную петлю, расположенную со стороны балкона, рекомендуется смещать по направлению к центру тяжести изделия на величину 6e
(рис. 52, б). Таким способом достигается центрирование плиты и частичное использование при монтаже несущей способности балконной консоли. Указанные плиты допускается рассчитывать по
формуле (254), принимая в расчет их полную длину.
В опираемых по контуру плитах длиной не более 4,2 м допускается устройство четырех монтажных петель, располагаемых в серединах каждой из сторон (
рис. 52, в). Указанные плиты следует рассчитывать по
формуле (254), принимая коэффициент

по табл. 17.
Таблица 17
| Коэффициент  для плиты, поднимаемой за четыре монтажных петли (рис. 53), при определении усилий от изгиба |
в поперечном направлении в точках | в продольном направлении в точках |
A | C | B | C |
1 | -0,0965 | 0,0497 | -0,0965 | 0,0497 |
1,1 | -0,0995 | 0,0470 | -0,1027 | 0,0530 |
1,2 | -0,1025 | 0,0445 | -0,1085 | 0,0562 |
1,3 | -0,1055 | 0,0422 | -0,114 | 0,0592 |
1,4 | -0,1085 | 0,0402 | -0,118 | 0,0620 |
1,5 | -0,1115 | 0,0385 | -0,122 | 0,0647 |
1,6 | -0,1145 | 0,0370 | -0,125 | 0,0675 |
1,7 | -0,1175 | 0,0357 | -0,128 | 0,0702 |
1,8 | -0,1205 | 0,0347 | -0,130 | 0,0730 |
Примечание. Отрицательное значение

означает, что растянута верхняя зона плиты.
Рис. 53. Схема к примеру расчета сборной
плиты перекрытия, опертой по контуру
Остальные условия расчета и конструирования таких плит те же, что и плит с шестью монтажными петлями.
6.61. При бетонировании монолитных конструкций необходимо использовать оптимальное количество опалубки, что связано со сроками ее оборачиваемости и условиями распалубки. Поэтому кроме основного расчета на эксплуатационную нагрузку в случае необходимости дополнительно проверяется плита по прочности и трещиностойкости на действие нагрузки, учитывающей особенности технологии возведения здания.
6.62. Возможны два варианта демонтажа опалубки монолитной плиты перекрытия: полная распалубка и частичная с переопиранием на инвентарные стойки.
Плита при полном распалубливании рассчитывается на нагрузки, учитывающие собственный вес с коэффициентом надежности по нагрузке

и сосредоточенную нагрузку от веса рабочего и груза G = 1,3 кН

, находящегося в невыгодном сечении плиты. Распалубочная прочность бетона принимается в соответствии со
СНиП III-15-76.
При бетонировании монолитных конструкций или при частичном распалубливании плиты перекрытия нижележащая плита проверяется на сосредоточенные нагрузки G, передаваемые стойками при набранной прочности бетона на момент загружения.
Расчетная схема монолитной плиты принимается в виде однопролетной балки, защемленной на опорах пролетом

.
6.63. В сборно-монолитной конструкции перекрытия при расчете на монтажные нагрузки необходимо произвести проверку плиты-скорлупы при следующих стадиях монтажа:
при подъеме и установке скорлупы в проектное положение;
при бетонировании монолитного слоя перекрытия.
Подъем плиты-скорлупы производится с помощью строповочного захвата или самобалансирующей траверсы за четыре, шесть или восемь монтажных петель. Количество петель определяется расчетом. Монтаж скорлупы в проектное положение производится на временную систему опорных прогонов и стоек, после чего бетонируется монолитный слой плиты.
Плита-скорлупа рассчитывается с коэффициентами надежности по нагрузке: при расчете на монтажные нагрузки

; при расчете на нагрузки, возникающие при бетонировании монолитного слоя от собственного веса скорлупы,

, от веса слоя монолитного бетона

и от нагрузки людей и транспортных средств, равной 1,5 кН/м
2,

.
Монтаж скорлупы производится при требуемой расчетной прочности бетона, но не менее 70%.
Расчетная схема скорлупы на монтажные воздействия принимается в виде неразрезной балки в расчетном направлении.
6.64. Конструктивное решение скорлупы может быть выполнено в двух вариантах: без внешнего армирования или с внешним армированием.
В первом случае арматура скорлупы размещена в толще плиты, во втором - для увеличения прочности (жесткости) скорлупа дополнительно армирована треугольными каркасами с внешней арматурой.
6.65. Изгибающий момент, воспринимаемый сечением скорлупы, принимается равным большему из значений величин

и

, определяемых по формулам:

; (255)

, (256)
где

и

- толщина и рабочая высота сечения скорлупы;
b - расчетная ширина скорлупы;

- площадь сечения расчетной арматуры.
При наличии внешнего армирования расчет скорлупы в опорном сечении производится из условия
| | ИС МЕГАНОРМ: примечание. Формула дана в соответствии с официальным текстом документа. | |

, (257)
где

- площадь сечения внешней арматуры;

- рабочая высота, равная расстоянию от сжатой грани скорлупы до центра площади сечения внешней арматуры.
Подъем скорлупы с внешней арматурой в проектное положение производится за монтажные петли.
Образование трещин в скорлупе до эксплуатационной стадии работы не допускается.
ПРИМЕРЫ РАСЧЕТА ПЛИТ ПЕРЕКРЫТИЯ
Пример 8. Свободно опертая по контуру плита перекрытия крупнопанельного здания
(рис. 53).
Исходные данные. Размеры плиты в плане - 3580 x 6580 мм. Толщина 120 мм. Размеры опорных площадок: вдоль короткого пролета - 50 мм; вдоль длинного пролета - 70 мм.
Расчетные пролеты плиты:

;

.
Соотношение расчетных пролетов

.
Плита из тяжелого бетона класса по прочности на сжатие В15 кассетного изготовления. Расчетные сопротивления:
для предельных состояний первой группы (при расчете на длительные нагрузки)

;

;
для предельных состояний второй группы

;

.
Начальный модуль упругости бетона при сжатии и растяжении для изделий кассетного изготовления

.
Нагрузки на 1 м2 плиты без учета собственного веса: расчетная - 4500 Н/м2 (~ 450 кгс/м2); нормативная - 3600 Н/м2 (~ 360 кгс/м2); длительная - 2600 Н/м2 (~ 260 кгс/м2).
Масса 1 м2 плиты 0,12 x 2500 = 300 кг/м2.
Суммарные нагрузки на плиту с учетом коэффициента надежности по назначению,

:
расчетная -

;
нормативная -

;
длительная

.
Максимальное значение изгибающего момента в плите при опирании по балочной схеме по двум длинным сторонам

.
Расчет прочности плиты при действии эксплуатационных нагрузок. Примем армирование плиты сварной сеткой, в которой стержни вдоль пролета

через один обрываются согласно эпюре моментов. Предварительно назначим арматуру вдоль пролета

из стали класса А-III, а вдоль пролета

- из стали класса Вр-I. При таком армировании по
п. 6.31 коэффициент

. Примем, что

,

. Тогда коэффициент

.
По
рис. 46 при

и

коэффициент

. Изгибающие моменты вдоль пролетов

и

, соответствующие оптимальной схеме армирования:

;

. Определим требуемое армирование вдоль пролета

:

;

.
По
табл. 10 принимаем арматуру диаметром 10 мм из стали класса А-III с шагом 300 мм (

;

).
Коэффициент армирования

.
Требуемое армирование вдоль пролета

:

;

.
По
табл. 10 принимаем арматуру диаметром 3 мм из стали класса Вр-I с шагом 300 мм (

;

).
Коэффициент армирования

. Проверяем условие

.
Расчет прочности плиты при действии монтажных нагрузок. Монтажный вес плиты с учетом коэффициента динамичности 1,4

.
Примем схему подъема за шесть петель, расположенных в середине коротких сторон и в третях длинных сторон.
По
формуле (254) с учетом приведенных в
табл. 16 значений (при

) определим изгибающие моменты, приходящиеся на единицу длины сечения плиты.
Изгибающие моменты в точке C (в середине плиты):
в поперечном направлении

;

;
в продольном направлении

;

.
При расчете на монтажные нагрузки учтем, что возможен подъем плиты при 70% прочности плиты, тогда расчетное сопротивление сжатию (с учетом коэффициента 1,1, учитывающего кратковременность действия динамических нагрузок)

.
Изгибающие моменты, воспринимаемые плитой при принятом армировании (при расчете на монтажные нагрузки):
| | ИС МЕГАНОРМ: примечание. Обозначения даны в соответствии с официальным текстом документа. | |
в поперечном направлении (

;

)

;
в продольном направлении (

;

)

.
Необходимо увеличить армирование вдоль пролета

.
Определим требуемое по условиям прочности плиты при монтаже армирование в продольном направлении:

;

.
Принимаем арматуру из проволоки класса Вр-I диаметром 4 мм, с шагом 150 мм (

;

).
| | ИС МЕГАНОРМ: примечание. Формула дана в соответствии с официальным текстом документа. | |
В связи с тем, что увеличена арматура вдоль пролета

, скорректируем армирование вдоль пролета

. При эксплуатационных нагрузках принятое армирование обеспечивает восприятие изгибающего момента вдоль пролета

, равного

.
Изгибающий момент

, по которому должна быть определена арматура вдоль пролета

, определим из условия

, откуда (при

)

;

;

.
| | ИС МЕГАНОРМ: примечание. Обозначения и индексы даны в соответствии с официальным текстом документа. | |
Принимаем арматуру из стержней диаметром 8 мм из стали класса А-III с шагом 200 мм (

;

).
Коэффициент армирования:

;

;

.
Принятое армирование удовлетворяет условиям прочности при эксплуатационных и монтажных нагрузках и требованиям к минимальному проценту армирования.
Расчет плиты по образованию трещин. Нагрузка, по которой должно быть проверено образование трещин,

.
Изгибающий момент, соответствующий образованию трещин при изгибе вдоль пролета

, определяем приближенно по формуле

.
По графику на
рис. 48 при

коэффициент

.
Нагрузка, при которой в пролете плиты образуются трещины,

.
В плите образуются трещины.
Расчет прогибов плиты. Определим предельную нагрузку

при характеристиках материалов для предельных состояний второй группы.

,

,

;

;

,

;

;

;

;
| | ИС МЕГАНОРМ: примечание. Формула дана в соответствии с официальным текстом документа. | |

.
Приведенный коэффициент армирования

.
Относительная высота сжатой зоны бетона

.
При влажности воздуха 40% и более коэффициент

.
Предельный прогиб плиты, соответствующий нагрузке


.
Коэффициенты

;

.
Прогиб при нагрузке

;

;

.
Прогиб плиты определяем по формуле

.
Прогиб превышает допустимую величину. Необходимо увеличить армирование плиты.
Увеличим вдвое арматуру вдоль пролета

, тогда

;

;

;

;

;

.
Требуемый прогиб обеспечен.
Окончательно примем: вдоль пролета

- арматура диаметром 8 мм с шагом 100 мм из стали класса А-III; вдоль пролета

- арматура диаметром 4 мм с шагом 150 мм из стали класса Вр-I.
Пример 9. Опертая по трем сторонам многопустотная плита крупнопанельного здания
(рис. 54).
Рис. 54. Схема к примеру расчета сборной
многопустотной плиты, опертой по трем сторонам
Требуется определить расчетное армирование, проверить прочность, прогибы и трещиностойкость многопустотной плиты, опертой по двум коротким и одной длинной сторонам на стены крупнопанельного здания. Плита имеет комбинированное армирование: предварительно напряженной арматурой вдоль длинной стороны и сварной сеткой в двух направлениях.
Исходные данные. Размеры плиты 5980 x 3580 мм, толщина 220 мм. Диаметр пустот d = 140 мм, шаг пустот

, количество пустот n = 17. Толщина ребер: крайнего -

, промежуточного -

. Толщина (высота) верхней и нижней полок

.
Плита после установки на нее перегородок защемляется на опорах в платформенных стыках стеновыми панелями. Глубина опирания плиты: по коротким сторонам 80 мм, по длинной стороне 100 мм.
Расчетные пролеты плиты:

;

;

.
Бетон плиты тяжелый класса по прочности на сжатие В20. Сопротивления бетона

,

,

,

. Начальный модуль упругости бетона

.
Напрягаемая арматура из стали класса Ат-V диаметром 10 - 12 мм, для которой

,

,

, цена 1 т - 181 руб.
Ненапрягаемая арматура из проволоки класса Вр-I диаметром 5 мм, для которой

,

,

, цена 1 т - 202 руб.
Защитные слои: для напрягаемой арматуры - 25 мм, для ненапрягаемой арматуры - 15 мм.
Нагрузка на плиту равномерно-распределенная.
Нормативная нагрузка на 1 м2 плиты: от собственного веса плиты 4 кН; от веса пола 0,1 кН; от веса перегородок 1,3 кН; временная нагрузка 1,5 кН; в том числе длительная 0,3 кН.
Расчетные нагрузки с учетом коэффициента надежности по назначению

:
при расчете прочности

;
при проверке трещиностойкости

;

;
при проверке прогибов и раскрытия трещин

;

.
Проверка прочности плиты вдоль пустот. Моменты инерции бетонного сечения плиты:
при изгибе вдоль пустот

;
при кручении

.
Вычисляем безразмерный параметр

.
Приведенные толщины полок

.
Прочность плиты по сечению вдоль средней по ее ширине пустоты без армирования проверяем по условию

.
Так как q = 7,5 кН/м2, то прочность без армирования не обеспечена. Необходимо предусмотреть установку арматуры.
Определение требуемой по условиям прочности арматуры. При расчете прочности плита считается свободно опертой по трем сторонам (двум коротким и одной длинной). Частичное защемление плиты в платформенных стыках не учитываем в запас прочности.
Расчетные высоты сечения соответственно вдоль пролетов

,

:

;

. Вдоль пролета

плита имеет комбинированное армирование. Примем предварительно, что площади напряженной и ненапряженной арматуры вдоль пролета

имеют соотношение 3:1. Тогда для комбинированного армирования приведенное сопротивление арматуры

, приведенная цена 1 т

.
Для арматуры вдоль пролета

,

.
Определяем коэффициент

.
Изгибающий момент от расчетной нагрузки в среднем сечении при опирании плиты по балочной схеме по двум коротким сторонам

.
Проверим условие

. Имеем

.
Условие выполнено.
Определим оптимальное по условию прочности армирование плиты:

;

;

.
Определим требуемое армирование плиты. Высота сжатой зоны бетона

;

.
Так как

и

, то сжатая зона проходит в пределах толщины полки. Поэтому требуемую площадь арматуры определяем как для прямоугольного сечения по формулам:

;

.
Ранее было принято, что площадь предварительно напряженной арматуры вдоль пролета

составляет 3/4 площади поперечного сечения всей арматуры в этом направлении. Тогда требуемая площадь предварительно напряженной арматуры

.
Принимаем 8 стержней диаметром 10 мм из стали класса Ат-V, площадь сечения

.
Требуемая площадь ненапряженной арматуры вдоль пролета

.
Принимаем 7 стержней диаметром 5 мм из проволоки класса Вр-I, площадь сечения

(шаг 400 мм).
Вдоль пролета

принимаем 16 стержней диаметром 5 мм из проволоки класса Вр-I, площадь сечения 313 мм (шаг 400 мм).
Проверка прочности ребер на срез. Расстояние по горизонтали от оси опоры плиты до центра первой пустоты

.
Прочность крайнего опорного ребра проверяем по формуле

.
Так как q = 7,5 кН/м2, то условие прочности для крайнего ребра выполнено.
Прочность ближайшего к опоре промежуточного ребра проверяем по формуле

.
Так как q = 7,5 кН/м2, то условие прочности для первого промежуточного ребра выполнено.
Расчет по образованию трещин. Нормальные трещины при изгибе плиты не возникают, если выполняется условие

, где M - изгибающий момент от нормативной нагрузки в сечении, для которого проверяется возможность образования трещин;

- момент, воспринимаемый сечением при образовании трещин.
Изгибающий момент M определим с учетом двух стадий работы плиты до и после защемления стенами.
| | ИС МЕГАНОРМ: примечание. Единицы измерения даны в соответствии с официальным текстом документа. | |
По
рис. 49 
,

,

. Тогда изгибающие моменты в среднем

и опорном

сечениях от нормативной нагрузки равны:

;

.
Проверим возможность образования трещин в середине пролета

. Вдоль этого пролета плита имеет предварительно напряженное армирование. Поэтому момент

определяем по формуле

, где

- момент сопротивления приведенного сечения для крайнего растянутого волокна с учетом неупругих деформаций растянутого бетона; P - усилие предварительного напряжения за минусом всех потерь;

- эксцентриситет усилия предварительного обжатия P относительно центра тяжести приведенного сечения; r - расстояние от центра тяжести приведенного сечения до ядровой точки, наиболее удаленной от проверяемой растянутой грани сечения.
Для проверки трещиностойкости плиты при ее изгибе вдоль пролета

примем расчетное двутавровое сечение, в котором круглые пустоты заменены эквивалентными по площади квадратными со стороной a = 124 мм.
Расчетное сечение имеет следующие геометрические размеры:

;

;

. Вычислим параметры:

;

.
Так как коэффициент армирования плиты вдоль пролета

, то момент сопротивления

определяем без учета влияния арматуры по формуле

.
Для определения усилия предварительного натяжения P необходимо задать начальное значение напряжения арматуры

и вычислить потери натяжения. Примем, что натяжение арматуры осуществляется электротермическим способом на упоры, при котором рекомендуется назначить напряжение

из условия

, где

; p = 30 + 360 / l = 30 + 360 / 6 = 90 МПа (l = 6 м - длина натягиваемого стержня, м). При максимально допустимом предварительном напряжении арматуры

.
Определим первые потери предварительного напряжения: потери от релаксации

; потери от температурного перепада

между температурами нагреваемого стержня и упоров; величины

примем по
СНиП 2.03.01-84 равными 65 °C, тогда

;
потери

;
потери от быстронатекающей ползучести

определяются в зависимости от значения напряжений в бетоне

на уровне центра тяжести напряженной арматуры с учетом потерь

...

. Для определения напряжений

вычислим следующие величины:
усилие предварительного напряжения за минусом потерь

...

;
площадь приведенного сечения

;
эксцентриситет усилия в предварительно напряженной арматуре относительно центра тяжести приведенного сечения

;
изгибающий момент от собственного веса плиты в ее среднем сечении при изгибе по балочной схеме вдоль пролета

(

- распределенная нагрузка от собственного веса плиты).
Тогда

.
Знак "минус" означает, что напряжения растягивающие. В этом случае потери напряжения

.
Первые потери предварительного напряжения

.
Определим теперь вторые потери предварительного напряжения:
потери от релаксации напряженной арматуры при натяжении на упоры

;
потери от усадки

;
потери от ползучести бетона не учитываем, так как напряжения

растягивающие.
Тогда вторые потери

.
Суммарные потери

. Поэтому найденное значение потерь не увеличиваем.
С учетом всех потерь усилие обжатия

.
Расстояние r определяем как для упругого тела по формуле

.
С учетом найденных величин

. Трещины в пролете не образуются.
| | ИС МЕГАНОРМ: примечание. Формула дана в соответствии с официальным текстом документа. | |
Проверим теперь возможность образования трещин на опоре при защемлении плиты стенами. Так как изгибающий момент

, то трещины на опоре не образуются.
При проверке прочности плиты на изгиб вдоль пролета

было установлено, что возможно образование трещин вдоль пустот. При проверке трещиностойкости плиты необходимо вместо расчетной принять нормативную нагрузку на плиту

, а вместо расчетного сопротивления бетона растяжению

- величину

.
Условие образования трещин

.
Так как

, то при проверке по второй группе предельных состояний трещины вдоль пустот не образуются.
Проверка прогибов плиты. Так как в плите при действии нормативных нагрузок трещины не образуются, то прогибы определяем как для упругого тела. В первом приближении прогибы определим как для плиты, свободно опертой по двум коротким сторонам по формуле

.
Прогиб, подсчитанный для балочной схемы опирания, меньше предельно допустимого. Поэтому нет необходимости уточнять значение прогиба плиты с учетом опирания по трем сторонам и защемления на опорах.
Пример 10. Монолитная плита перекрытия сплошного сечения, защемленная по трем сторонам (рис. 55).
Рис. 55. Схемы к примеру расчета
монолитной плиты перекрытия
Исходные данные. Плита толщиной 16 см в конструктивной ячейке 6 x 6 м сборно-монолитного здания с внутренними стенами из монолитного бетона и навесными фасадными панелями. Плита перекрытия формуется в едином цикле с внутренними стенами. Внутренние стены и плиту перекрытия изготавливают из тяжелого бетона класса по прочности В15.
Расчетная схема плиты: плита защемлена по трем сторонам и не имеет опоры по четвертой стороне.
Расчетные пролеты плиты:

;

.
Соотношение сторон плиты

- плита работает на изгиб из плоскости в двух направлениях.
Рабочие высоты сечения плиты:

;

.
Унифицированные нагрузки на плиту:
без учета собственного веса

;

;

;
с учетом собственного веса

.
Расчетные нагрузки с учетом коэффициента надежности по назначению

:
| | ИС МЕГАНОРМ: примечание. Формула дана в соответствии с официальным текстом документа. | |

;

;

.
Расчетные характеристики бетона и арматуры.
Для тяжелого бетона класса В15 естественного твердения:

;

;
при расчете прогибов плиты

;

;

.
Характеристика арматуры:
стержни периодического профиля класса А-III диаметром 6 - 8 мм -

;

;

;
проволочная арматура периодического профиля класса Вр-I, диаметром 4 мм -

;

;

;
Нагрузка образования трещин в опорных и пролетном сечениях плиты

;

;

.
В плите в опорных и пролетном сечении образуются трещины, тогда при назначении арматуры должны удовлетворяться условия: в опорных сечениях

, в пролетном сечении

.
Момент, воспринимаемый сечением плиты при образовании трещин на длину b = 1 м,

.
Требуемое сечение арматуры для восприятия

:

;

;

.
Расчет несущей способности плиты. При одностороннем сопряжении перекрытия с несущей стеной опорная сетка анкеруется поперечным стержнем, заведенным в толщу стены на глубину

, тогда:
поверхность выкалывания на длине b = 1000 мм

;
растягивающее усилие, воспринимаемое анкером,

.
Максимальное усилие, воспринимаемое анкером,

;
требуемое армирование для восприятия момента


;

;

.
Плита работает с трещинами по опорному сечению. Площадь арматуры подбираем из условий

;

.
Принимаем проволоку диаметром 10 мм с шагом 100 мм из стали класса Вр-I

.
Момент, воспринимаемый сечением плиты на данной опоре,

.
Поперечный анкерующий стержень назначается в зависимости от усилия, приходящегося на один продольный стержень опорной сетки,

.
Анкерующий стержень принимаем диаметром 8 мм из стали класса А-III.
Несущую способность плиты определяем по формуле

.
По
табл. 11 задаем коэффициенты распределения изгибающих моментов


,
откуда

, тогда требуемое армирование плиты

;

;

.
Принятым соотношениям

, соответствующим коэффициентам распределения арматуры:

;

;

.
Армирование плиты в пролете принимаем вдоль

из стали диаметром 6 мм, класса А-III с шагом 175 мм

; вдоль

из стали диаметром 5,5 мм, класса Вр-I с шагом 200 мм

. Условие

выполняется;
на опорах

,

,
условие

выполняется.
Проверка несущей способности плиты при принятом армировании:

;

;

;

;

;

.
Прочность плиты обеспечена.
Расчет по раскрытию трещин, нормальных к продольной оси, производим по формуле

.
1. В опорном сечении

;

(Вр-I);

.
Относительная высота сжатой зоны при образовании трещин

.
Напряжения в арматуре при действии нагрузки, соответствующей моменту образования трещин,

.
Предельная несущая способность плиты

.
Напряжение в стержнях арматуры


, тогда

, где

- для изгибаемых элементов;

- коэффициент, учитывающий продолжительное действие нагрузки.

- при проволочной арматуре периодического профиля. Корректируем величину раскрытия трещины с учетом работы растянутого бетона над трещинами.
Момент, при котором растянутый бетон над трещинами практически выключается из работы,

,

;

.
Момент, действующий в сечении плиты от нагрузки

,

,
где

.
Коэффициент, учитывающий уровень нагружения плиты,

.
Коэффициент, учитывающий длительность действия нагрузки,

.
Коэффициент, учитывающий работу растянутого бетона над трещинами,

, тогда величина раскрытия трещины

.
Определение ширины раскрытия трещины в остальных опорных сечениях производится аналогично приведенному расчету.
2. В пролетном сечении:

;
арматура диаметром 8 мм из стали класса А-III с шагом 175 мм

,

;

.
Определяем величины:

;

;

;

;

.
Определяем

;

;

;

;

- при стержневой арматуре периодического профиля, тогда

.
Корректируем величину раскрытия трещины с учетом работы растянутого бетона над трещинами

;

;

;

;

;

;

;

,
тогда

.
Прогиб плиты определяется в середине пролета свободной стороны. При

;

.
Прогиб плиты перед моментом образования трещин в пролете

,
где

- для учета влияния длительной ползучести бетона,

(см.
табл. 13).
Прогибы плиты в предельном состоянии определяем как для плиты, защемленной по контуру с соотношением сторон

,

,

,
где

- коэффициент, учитывающий степень защемления плиты в опорных сечениях, определяется при

:

;

.
Из условия

принимаем

, тогда

;

- коэффициент, характеризующий упругопластическое состояние бетона сжатой зоны;

- коэффициент, учитывающий увеличение предельного прогиба у середины свободного края плиты, защемленной по трем сторонам при

;

- коэффициент, учитывающий возможные отклонения в толщине защитного слоя арматуры;

.
Жесткость плиты обеспечена.
Конструкции крыш
7.1. Крыши жилых зданий рекомендуется проектировать чердачными с применением сборных железобетонных элементов. Для зданий менее 5 этажей чердачные крыши допускается проектировать скатными с кровлей из штучных материалов.
Вход на чердак и выход на крышу рекомендуется устраивать из лестничной клетки через несгораемую дверь размером 1,5 x 0,8 м. Вход на чердак рекомендуется предусматривать в каждой секции здания, а выход на крышу - из расчета один выход на 1000 м2, при этом в торцевых секциях во всех случаях рекомендуется предусматривать выходы на крышу.
7.2. Чердачные железобетонные крыши подразделяются:
по тепловому режиму чердака - с холодным (в том числе открытым) и теплым чердаком;
по способу удаления воздуха из вытяжной вентиляции здания - на крыши с выбросом воздуха из вентиляции наружу (холодный чердак) и с выбросом воздуха из вентиляции в чердачное пространство (теплый и открытый чердак);
по конструкции покрытия - из железобетонных плит (без теплоизоляции или утепленных плит) покрытия;
по виду кровли - рулонные и безрулонные с защитной мастичной (окрасочной) гидроизоляцией или без нее (при атмосферостойком бетоне).
В крыше с холодным чердаком (рис. 56) внутреннее пространство вентилируется наружным воздухом через отверстия в стенах, площадь сечения которых при железобетонном покрытии должна быть не менее: в I и II климатических районах - 1/500, в III и IV - 1/50 площади перекрытия. В крыше с открытым чердаком площадь вентиляционных отверстий в стенах определяется теплотехническим расчетом по зимним и летним условиям эксплуатации.
Рис. 56. Схема крыши с холодным чердаком
а - покрытие с рулонной кровлей;
б - покрытие с безрулонной кровлей;
1 - железобетонная кровельная панель под рулонную кровлю;
2 - железобетонная кровельная панель с безрулонной кровлей;
3 - железобетонный водосборный лоток; 4 - опорная панель;
5 - панели перекрытия; 6 - слой утеплителя с защитным
слоем; 7 - приточно-вытяжные отверстия в стенах;
8 - блок вентиляционных каналов; 9 - утепленный
патрубок внутреннего водостока
При скатной кровле из штучных материалов чердачное пространство вентилируется через зазоры между его листами, поэтому в I и II климатических районах вентиляционные отверстия допускается уменьшать до 0,01.
При крыше с холодным открытым чердаком (рис. 57) теплоизоляция укладывается по плитам чердачного перекрытия. Теплоизоляционный слой по периметру чердака на ширину не менее 1 м рекомендуется защищать от увлажнения. Вентиляционные шахты и вытяжки канализационных стояков при холодном чердаке должны быть утеплены выше чердачного перекрытия.
Рис. 57. Схема крыши с открытым чердаком
а - покрытие с рулонной кровлей;
б - покрытие с безрулонной кровлей;
1 - железобетонная кровельная панель под рулонную кровлю;
2 - железобетонная кровельная панель с безрулонной кровлей;
3 - железобетонный водосборный лоток; 4 - панели
перекрытия; 5 - опорная панель; 6 - оголовок
вентиляционного блока; 7 - вытяжная вентиляционная шахта;
8 - вентилирующее отверстие в наружной стене;
9 - слой утеплителя с защитным слоем;
10 - утепленный патрубок внутреннего водостока
В крыше с теплым чердаком (рис. 58) чердачное пространство, имеющее утепленные фризовые наружные стены и утепленное кровельное покрытие, обогревается теплым воздухом, который поступает из вытяжной вентиляции дома. Для удаления воздуха из чердачного пространства следует предусматривать вытяжные шахты по одной на каждую секцию. Чердачное пространство следует посекционно разделять стенами на изолированные отсеки. Дверные проемы в стенах, обеспечивающие сквозной проход по чердаку, должны иметь уплотненные притворы.
Рис. 58. Схема крыши с теплым чердаком
а - покрытие с рулонной кровлей;
б - покрытие с безрулонной кровлей;
1 - легкобетонная панель покрытия под рулонную кровлю;
2 - то же, лотка; 3 - двухслойная панель покрытия
с безрулонной кровлей; 4 - то же, лотка;
5 - опорная панель; 6 - панели перекрытия; 7 - сплошные
наружные стены; 8 - оголовок вентиляционного блока;
9 - вытяжная вентиляционная шахта; 10 - защитный зонт;
11 - водосборный поддон; 12 - внутренний водосток
Для защиты вытяжных вентиляционных шахт от атмосферных осадков при холодном чердаке рекомендуется устанавливать над ними защитные зонты.
Крыши с холодным чердаком разрешается применять в жилых зданиях любой этажности. Крыши с теплым чердаком рекомендуется применять в зданиях высотой 9 и более этажей.
Допустимость применения крыш с теплым чердаком в зданиях высотой менее 9 этажей необходимо обосновать технико-экономическим расчетом. В зданиях высотой менее 5 этажей крыши с теплым чердаком применять не рекомендуется.
Вентиляционные блоки с каналами, проходящими через чердак с выпуском воздуха наружу, должны быть выше уровня покрытия не менее чем на 0,7 м (при уклоне кровли до 10%).
В крышах с выбросом вентилируемого воздуха в чердачное пространство, выполняющее функции вентиляционной камеры статического давления, вытяжка осуществляется через вытяжные шахты, а при крышах с открытым чердаком - также вентилирующие отверстия в фризовых стенах.
Железобетонное покрытие чердачной крыши состоит из скатных плит, образующих наклонные поверхности для стока атмосферных вод, и лотковых плит, служащих для сбора и отвода атмосферных вод в систему внутреннего водостока.
Ширину открытой части лотковых плит рекомендуется принимать не менее 0,9 м, а расстояние между ее низом и чердачным перекрытием не менее 1,2 м.
При крышах с внутренним водостоком водосточные воронки рекомендуется устанавливать в лотковых плитах покрытия не менее одной на каждую секцию. Водосточные стояки и патрубки в пределах холодного чердака следует утеплять. В малоэтажных зданиях при наружном неорганизованном водостоке (в зданиях высотой 1 - 2 этажа) необходимо здание размещать с отступом от красной линии на 2 м, с установкой козырьков над входами и балконами.
7.3. Кровли из штучных материалов рекомендуется выполнять из асбестоцементных листов, черепицы или других аналогичных материалов.
Рулонная кровля выполняется из слоев рулонных кровельных материалов, которые наклеивают на элементы покрытия в построечных условиях.
Для рулонных кровель рекомендуется применять рубероиды по ГОСТ 10923-82 (рубероид кровельный с крупнозернистой посыпкой, рубероид подкладочный с пылевидной или мелкозернистой посыпкой), пергамин кровельный
(ГОСТ 2697-83), стеклорубероид
(ГОСТ 15879-70), рубероид наплавляемый (ТУ 21-27-53-76), изол рулонный
(ГОСТ 10296-79) и рулонные сетчатые стеклоткани из бесщелочного стекла.
Для наклейки кровельных материалов рекомендуется применять горячие битумные кровельные мастики
(ГОСТ 2889-80).
Нижний слой рулонной кровли рекомендуется выполнять с частичной приклейкой к основанию, в том числе из перфорированного рубероида ("дышащая кровля"). В случае применения сплошных рулонных материалов рекомендуется их приклеивать к основанию полосами или пятнами на площади около 30%. Во всех случаях кровельный ковер не следует приклеивать вдоль стыков плит на полосе шириной 25 см. При использовании в верхнем слое кровельного ковра рубероида с крупнозернистой посыпкой допускается не устраивать защитного слоя из гравия в I - III климатических районах.
Уклон рулонной кровли на скатах рекомендуется принимать не менее 2%, в лотках - не менее 1%.
Рулонную кровлю не рекомендуется применять в I и IV климатических районах.
В крыше с безрулонной кровлей защитные функции выполняет бетон кровельной панели, защищенный гидромастиками, наносимыми на верхнюю поверхность панели, как правило, в заводских условиях.
Гидроизоляционные защитные мастики для безрулонных кровель должны обладать адгезией к бетону, сохранять прочность и эластичность в диапазоне эксплуатационных температур в соответствии с ТУ на эти материалы. Мастичные и окрасочные составы должны удовлетворять следующим требованиям: прочность на сжатие не менее 0,5 МПа, сцепление с бетоном при сдвиге не ниже 1 МПа, морозостойкость не менее 100 циклов, водонепроницаемость при давлении не менее 0,8 МПа, теплоустойчивость не ниже 90 °C, относительное удлинение при 20 °C не менее 200%.
Бетон, из которого выполняются панели для безрулонной кровли, должен удовлетворять требованиям, указанным в табл. 18 для панелей с защитной мастичной окраской и без поверхностной гидроизоляции.
Таблица 18
Характеристика бетона плит покрытия | Минимальное значение показателя бетона |
с защитной мастичной окраской | без гидроизоляции (атмосферостойкий бетон) |
Класс бетона по прочности на сжатие | В25 | В25 |
Класс бетона по прочности на растяжение | Вt1,6 | Вt1,6 |
Марка бетона по водонепроницаемости | W6 | W8 |
Марка бетона по морозостойкости при наружной температуре холодной пятидневки, °C: | | |
выше минус 15 | F200 | F300 |
от минус 15 до минус 35 | F300 | F400 |
ниже минус 35 | F300 | F500 |
В крышах с безрулонной кровлей уклон скатов должен быть не менее 5%, в водосборных лотках - не менее 2%. Конструкция кровельной панели должна обеспечивать в эксплуатационных условиях отсутствие трещин на верхней поверхности с защитной окраской, а для панелей без гидроизоляции - и в момент распалубки изделия. Верхняя лицевая поверхность кровельных панелей должна соответствовать категории А2 по
ГОСТ 13015.0-83 для панелей с защитной окраской и категории А1 - для панелей без гидроизоляции.
7.4. Железобетонные элементы чердачного покрытия (кровельные плиты и плиты лотков) рекомендуется проектировать с опиранием по двум сторонам. Применение неразрезных конструкций не рекомендуется.
Кровельные плиты рекомендуется опирать на наружные стены и лотковые плиты, располагаемые вдоль средней оси здания. При наружных ненесущих стенах в плоскости наружных стен рекомендуется предусматривать установку железобетонных балок, опертых на несущие поперечные стены жилых этажей.
Принятая схема опирания сборных элементов покрытия должна обеспечивать свободу температурных деформаций покрытия или его частей. При этом следует обеспечивать устойчивость конструкций кровли.
7.5. При рулонной кровле кровельные плиты проектируют с гладкой верхней поверхностью. В стыках плит рекомендуется предусматривать устройство бетонных шпонок.
При рулонной кровле рекомендуется на карнизе укладывать профильные бетонные камни.
7.6. При безрулонной кровле стыки кровельных плит рекомендуется проектировать с бортовыми ребрами высотой не менее 10 см, перекрываемыми бетонными нащельниками. В местах опирания на водосборный лоток кровельных плит рекомендуется образовывать консольный свес длиной не менее 30 см со сливным ребром по краю. При безрулонном покрытии рекомендуется кровельные панели опирать на наружные стены с образованием свеса. При необходимости карнизный узел выполняется с бетонным парапетом.
Сборные элементы рекомендуется изготовлять в перевернутом положении ("лицом" вниз) и переводить в рабочее положение с помощью кантователей. Для обеспечения требуемых показателей бетона по морозостойкости и водонепроницаемости рекомендуется применять виброударную технологию изготовления кровельных элементов и предусматривать тепловлажностную обработку по "мягкому режиму".
7.7. Плиты покрытия крыш с холодным чердаком рекомендуется проектировать в виде тонкостенных ребристых панелей из железобетона: ребрами вниз - при рулонной кровле и ребрами вверх - при безрулонной кровле. Толщину полки кровельных плит рекомендуется принимать не менее 40 мм, а толщину безрулонного лотка - не менее 60 мм.
Плиты покрытия теплого чердака при безрулонной кровле должны иметь верхний кровельный слой не менее 40 мм из плотного бетона и бортовые ребра высотой 100 мм. Плиты рекомендуется проектировать двухслойными, в том числе с теплоизоляционными вкладышами.
Плиты покрытия теплого чердака под рулонную кровлю рекомендуется проектировать однослойными из легкого бетона, в том числе с термовкладышами или трехслойными.
7.8. Плиты чердачного перекрытия рекомендуется проектировать аналогичными по конструкции междуэтажным перекрытиям.
Теплотехнический расчет
7.9. Теплотехнический расчет теплого чердака выполняют из условия ограничения теплопотерь чердачного перекрытия и невыпадения конденсата на внутренней поверхности наружных ограждений при соблюдении теплового баланса неотапливаемого помещения.
Расчет рекомендуется начинать с определения температуры воздуха в чердаке по санитарно-гигиеническим условиям

, (258)
где

- температура внутреннего воздуха, °C;

- нормируемый перепад температуры у поверхности потолка, принимаемый равным 4 °C;

- сопротивление теплопередаче чердачного перекрытия, м
2·°C/Вт;

- коэффициент теплоотдачи внутренней поверхности ограждения, Вт/м
2·°C.
Определяют сопротивление теплопередачи покрытия по условию теплового баланса

, (259)
где

- температура воздуха в чердаке, °C;

- температура наружного воздуха, °C;

- температура воздуха в вентиляционных каналах, °C;

- удельные теплопоступления с воздухом вентиляции, Вт/м
2·°C;

- приведенная площадь наружных стен.
За температуру наружного воздуха принимают температуру холодной пятидневки. Температура воздуха в вентиляционных каналах считается на 1 °C выше температуры внутреннего воздуха. Удельные теплопоступления с воздухом вентиляции определяют как отношение произведения нормативного расхода воздуха на его плотность и теплоемкость к площади покрытия.
Температура внутренней поверхности покрытия

(260)
должна быть не ниже показанной на графике рис. 59.
Рис. 59. Расчетные температуры
внутренней поверхности покрытия

- основного покрытия;

- холодного участка
При соблюдении указанного условия в
формулу (259) вводится температура чердака по условию невыпадения конденсата

. (261)
Действительную температуру воздуха в чердаке определяют по формуле

. (262)
7.10. Теплотехнический расчет открытого чердака выполняется из условия предотвращения выпадения конденсата на поверхность покрытия и соблюдения теплового, влажностного и воздушного балансов. Воздухообмен чердака определяется притоком наружного воздуха по условию баланса влаги

, (263)
где

,

- приведенный расход наружного и вентиляционного воздуха, кг/ч·м
2 покрытия;

,

- влагосодержание наружного и вентиляционного воздуха, г/кг.
Действительную температуру воздуха в чердаке определяют из условия теплового баланса

, (264)
| | ИС МЕГАНОРМ: примечание. Обозначение дано в соответствии с официальным текстом документа. | |
где c = 1,01 кДж/кг·°C - теплоемкость воздуха.
Температуру внутренней поверхности покрытия определяют по формуле

. (265)
Принимая температуру

за точку росы, находят расчетное (насыщающее) влагосодержание воздуха

. С учетом воздушного баланса рассчитывают действительное влагосодержание воздуха в чердаке

, (266)
которое не может быть больше расчетного. В противном случае расчет продолжают до совпадения значений.
Площадь отверстий на 1 м наружных стен для вентиляции чердака рассчитывают по формуле

, (267)
для которой скорость движения воздуха в отверстии находится из выражения

, (268)
где

- плотность наружного воздуха, кг/м
3;

- скорость ветра, м/с;

,

- аэродинамические коэффициенты для наветренной и подветренной стороны;

- сумма коэффициентов местных сопротивлений воздушного потока;
B - ширина здания, м.
Температура и влагосодержание наружного воздуха и скорость ветра принимают по средним многолетним значениям за январь. Влагосодержание вентиляционного воздуха определяют как сумму влагосодержания наружного воздуха и приращения влагосодержания в жилых помещениях, которое принимают при газификации домов 3,3 г/кг, для домов с электроплитами - 3 г/кг.
8.1. Несущие объемные блоки рекомендуется проектировать двух типов
(рис. 60):
первый - из открытого со стороны наружной стены цельноформованного коробчатого элемента и приставной панели наружной стены (типа "лежащий стакан");
второй - из открытого со стороны пола цельноформованного коробчатого элемента, приставной плиты пола и, в ряде случаев, утепляющей панели наружной стены (типа "колпак"). Применение других типов объемных блоков следует специально обосновать.
а)
б)
Рис. 60. Схема объемного блока типа
"лежащий стакан" (а), "колпак" (б)
8.2. Коробчатые элементы несущих объемных блоков рекомендуется выполнять в виде пятиплоскостной конструкции из бетона класса не ниже В10 с плоскими или ребристыми стенками и вспарушенной потолочной плитой переменной толщины.
Внутренние поверхности стен коробчатого элемента рекомендуется проектировать с технологическими уклонами по высоте или по длине не более 15 мм.
8.3. В объемном блоке первого типа стенки и плиту пола рекомендуется выполнять ребристыми, с ребрами наружу; ребра продольных стенок и плиты пола располагают в одной плоскости с шагом 1000 - 1100 мм. Плиту пола допускается выполнять плоской с ребрами по контуру. Для зданий выше 10 этажей при необходимости стенки можно выполнять плоскими, увеличенной толщины. Высоту ребер рекомендуется принимать 100 - 120 мм, толщину стенок между ребрами - не менее 60 мм. Торцевые стенки объемного блока рекомендуется выполнять плоскими, толщиной 60 - 100 мм.
Толщину потолочной плиты рекомендуется принимать не менее 80 мм.
В объемных блоках второго типа стенки рекомендуется проектировать плоскими с местными утолщениями с внешней стороны объемного блока вдоль пересечения его граней. Сечения элементов рекомендуется принимать: продольных стен между утолщениям по контуру - от 55 (внизу) до 65 мм (вверху) из тяжелого бетона или от 80 до 90 мм из легкого бетона; поперечных стен - от 80 до 90 мм из любого бетона; потолка переменного сечения с минимальной толщиной 40 и 60 мм соответственно для тяжелого и легкого бетонов и толщиной в местах примыкания к стенам - 90 мм. Плиту пола рекомендуется проектировать ребристой с контурными ребрами высотой не менее 160 мм и толщиной плиты из тяжелого бетона 50 мм, из легкого бетона - 110 мм. В плите из тяжелого бетона высоту промежуточных ребер рекомендуется принимать на 20 мм менее высоты контурных ребер. Допускается проектировать плиту без промежуточных ребер, толщиной не менее 80 мм. Плиту пола присоединяют к коробчатому элементу растворным швом и сваркой закладных деталей.
8.4. Стенки объемных блоков панельно-блочных зданий, на которые опираются сборные плиты перекрытий, следует проектировать толщиной не менее 120 мм исходя из противопожарных требований.
Рекомендуются следующие схемы передачи вертикальных нагрузок (опирания) с блока на блок:
по всему (или части) контуру стен, что обеспечивает более равномерную загрузку стен, высокую несущую способность блока и меньший расход материалов;
по четырем угловым участкам, что приближает схему работы блоков к зданию со скрытым каркасом; эта схема дает возможность максимального раскрытия проемов и безрастворного опирания блоков, что может оказаться целесообразным при монтаже зданий, например в условиях Севера.
8.5. Наружные стены в зависимости от типа объемного блока проектируют трехслойными, двухслойными или однослойными.
В объемных блоках первого типа наружную стену выполняют из однослойных или трехслойных панелей, объединяемых с коробчатыми элементами в заводских условиях.
В объемных блоках второго типа наружную стену образует однослойная или двухслойная панель, изготавливаемая в едином технологическом цикле или объединенная в заводских условиях с внешней стенкой коробчатого элемента.
Однослойные и трехслойные панели наружных стен рекомендуется проектировать аналогично стенам крупнопанельных зданий.
8.6. Ненесущие объемные блоки санитарно-технических кабин рекомендуется проектировать бетонными или из листовых материалов.
Бетонный блок рекомендуется проектировать из тяжелого или легкого бетонов класса не ниже В10. Допускается стены и потолочную плиту проектировать из гипсобетона класса не ниже В5. Конструкцию бетонного объемного элемента рекомендуется принимать в виде цельноформованного элемента, имеющего пять внешних граней (без пола или потолка) и внутренние перегородки. Толщину стен и потолочной плиты рекомендуется принимать не менее 50 мм. Потолочную плиту допускается выполнять из листовых материалов.
Объемный блок из листовых материалов рекомендуется проектировать состоящим из железобетонной плиты пола, каркаса и обшивки листовыми материалами. При заводской сборке объемного блока допускается применять бескаркасное решение; в этом случае листы рекомендуется соединять с помощью профилированных элементов, изготавливаемых экструзионным методом.
8.7. Для обеспечения необходимой разницы в отметках полов санузлов и остальных помещений квартиры отметка панели пола в санузле должна быть меньше на 20 мм, чем в проходном шлюзе и кухне. Рекомендуется предусматривать изготовление плиты пола для санузла с готовым покрытием из керамической плитки.
8.8. Внутренние перегородки между помещениями, входящими в состав объемного блока, рекомендуется выполнять монолитно связанными со стенами и потолком. Сопряжение монолитных перегородок со стенами и потолком рекомендуется выполнять по дуге окружности с радиусом 10 - 20 мм.
8.9. Армирование коробчатых элементов объемных блоков рекомендуется выполнять в виде пространственных арматурных каркасов, собираемых на специальных кондукторах из сеток и каркасов, которые соединяют между собой с помощью контактной сварки.
Потолочную плиту рекомендуется армировать сварной сеткой с ячейками не более 250 x 250 мм из проволоки класса Вр-I диаметром не менее 3 мм.
Плоские стены рекомендуется армировать гнутыми сварными каркасами, состоящими из трех продольных стержней диаметром не менее 6 мм, устанавливаемыми с шагом не более 1500 мм. Такие же каркасы рекомендуется устанавливать в местах пересечения граней коробчатого элемента, в ребрах и вутах. По контуру проемов необходимо предусматривать армирование отдельными стержнями или каркасами.
Стенки ненесущих объемных элементов рекомендуется армировать сварными сетками аналогично армированию потолочной плиты.
Армирование плиты пола и надпроемных перемычек устанавливают расчетом.
8.10. Конструкция объемного блока должна предусматривать возможность его подъема и монтажа как за петли, так и при помощи специальных захватов за панель пола или горизонтальные вуты в его верхней части.
8.11. При транспортировании объемного блока рекомендуется предусматривать линейное опирание на деревянные прокладки. Для защиты объемного блока от атмосферных осадков рекомендуется предусматривать специальные инвентарные укрытия потолочной плиты.
При перевозке объемных блоков на железнодорожных платформах необходимо применять упругую схему их крепления с использованием демпфирующих прокладок.
Особенности расчета объемных блоков
8.12. Расчет объемных блоков на эксплуатационные воздействия рекомендуется выполнять в следующей последовательности:
из расчета здания определяют усилия, действующие в плоскостях стен блоков;
определяют эксцентриситеты вертикальных сил относительно нейтральной плоскости стены;
проверяют несущую способность блоков и их соединений.
Помимо этого, производится проверка по прочности, жесткости и трещиностойкости отдельного блока на усилия, возникающие в процессе изготовления, транспортно-монтажных воздействий и по прочности здания на аварийные воздействия.
При выборе расчетных схем зданий для определения усилий в плоскостях стен в большинстве случаев следует принимать условно жесткие или податливые диски перекрытий. Жесткими считаются диски, в которых стыки панелей перекрытий в их плоскости обеспечивают передачу горизонтальных сдвиговых усилий, - платформенные стыки крупнопанельных зданий; стыки панелей с замоноличиванием швов между ними при наличии не менее двух шпонок на длину стыка двух элементов; стыки опирания панелей перекрытий на объемные блоки, в которых вертикальная нагрузка от стен вышележащих блоков передается через опорные торцы панелей.
Жесткими (рис. 61, а) считаются также диски перекрытий одного поперечника здания, состоящего из двух или нескольких столбов объемных блоков, которые соединены в уровне перекрытий не менее чем двумя сварными связями на закладных деталях.
а)
Рис. 61. Конструктивные схемы
горизонтальных диафрагм жесткости
1 - объемные блоки; 2 - плиты перекрытия
Податливыми считаются диски, в которых опирание панелей перекрытий на объемные блоки производится через "точечные пальцы", когда горизонтальные связи между соседними столбами блоков осуществляются на сварке закладных деталей и в других случаях, не перечисленных в предыдущем абзаце.
В расчетной схеме здания с податливыми дисками перекрытий рекомендуется делить на несколько (меньших размеров) фрагментов, в которых диски считаются жесткими
(рис. 61, б), и рассчитывать эти фрагменты раздельно.
8.13. Столбы блоков рекомендуется рассматривать как консольные стержни двутаврового сплошного сечения.
В зависимости от количества и расположения дверных проемов в продольных стенах блоков различают два типа столбов (рис. 62).
Рис. 62. Расчетные схемы вертикальных диафрагм
жесткости столба из объемных блоков
Блоки в столбах первого типа не имеют проемов в продольных стенах или имеют один проем. Сечение их образуется суммированием сечений стен одинаковых направлений.
Блоки в столбах второго типа имеют не менее одного проема в каждой из продольных стен. Столбы при этом расчленяют на отдельные вертикальные несущие элементы (в форме прямоугольника, тавра, двутавра или швеллера), соединенные надприемными перемычками.
Для многоветвевых составных стержней для упрощения расчета допускается представление расчетной схемы, составленной из двухветвевых составных стержней.
8.14. При расчете столба на изгиб в направлении продольной оси здания от внецентренного приложения вертикальных нагрузок, как и при расчете в поперечном направлении, различают два типа столбов.
Блоки в столбах первого типа имеют проем только в одной торцевой стене, как правило, наружной. Сечение их считается монолитным. Усилия в таком столбе определяют как для монолитного стержня с учетом его закрепления в уровне каждого перекрытия.
Блоки в столбах второго типа имеют проемы в обеих торцовых стенах. Расчетная схема столба при этом представляется консольным составным стержнем с упругоподатливыми связями сдвига, зависящими от податливости перемычек.
По ней столбы рассчитывают на действие временных нагрузок, прикладываемых после окончания монтажа. Допускается пользоваться этой же схемой при расчете на постоянные нагрузки от собственного веса блоков.
Для учета перераспределения усилий между ветвями составного стержня в процессе монтажа при расчете на действие нагрузок от собственного веса панелей перекрытий, опираемых на блоки, рекомендуется применять поэтажно изменяемую расчетную схему.
8.15. После определения горизонтальных осевых и внецентренных в плоскостях стен вертикальных нагрузок, приходящихся на каждый из вертикальных элементов (столбы блоков и панельные диафрагмы), для наиболее опасных сечений должны быть подсчитаны усилия, действующие в плоскости стен.
8.16. Вертикальные нормальные напряжения в горизонтальном шве объемно-блочного столба, возникающие по участкам опирания блоков от действия перпендикулярно плоскости шва сил

,

, N, допускается определять по формуле
| | ИС МЕГАНОРМ: примечание. Формула дана в соответствии с официальным текстом документа. | |

, (269)
где N,

,

- соответственно осевое усилие и изгибающие моменты относительно осей, проходящих через центр тяжести сечения блока;

- площадь несущих стен блока за вычетом проемов (при контурной схеме опирания) или угловых участков (при угловой схеме);

,

- моменты инерции горизонтального сечения блока (при контурной схеме) или угловых участков (при угловой схеме) относительно осей, проходящих через центр тяжести сечения несущих стен блока;
x, y - расстояния от центра тяжести горизонтального сечения несущих стен блока (участков опирания при угловой схеме) до места определения ординат эпюр

. Величины ординат эпюры рекомендуется определять для угловых точек блока, принимая промежуточные значения по линейной интерполяции.
8.17. Для расчета на изгиб из плоскости граней блоков рекомендуется учитывать пространственную работу самих блоков и при контурной схеме опирания совместную их работу в столбе (защемление блоков).
Наиболее существенным является защемление продольных (длинных) стен блоков. Поэтому возможным упрощением расчетной схемы блока является введение в нее не передающих изгибающих усилий шарнирных цилиндрических связей торцевых граней с продольными.
8.18. Для определения максимальных величин изгибающих моментов по среднему поперечному сечению блоков, не имеющих широких (более 1,2 м) проемов в продольных стенах, возможна замена пространственного столба объемных блоков на плоскую многоэтажную раму с упругоподатливыми связями ригелей и стоек (рис. 63, а).
а)
Рис. 63. Расчетные схемы для определения усилий
в столбе из объемных блоков с учетом частичного
защемления блоков в горизонтальных стыках
а - столб блоков; б - объемный блок
8.19. Для приближенного определения величин изгибающих моментов по среднему поперечному сечению блоков без специальных программ допускается использовать расчетную схему в виде одноэтажной рамы, с учетом дополнительных связей, условно заменяющих влияние вышележащих блоков
(рис. 63, б).
Жесткости дополнительных связей на изгиб можно приближенно определять по формуле

, (270)
где

- ширина площадки контакта с учетом возможности непробетонирования краевых участков;

- возможное смещение объемных блоков от проектного положения по горизонтали;

- податливость на сжатие растворного шва.
В практических целях возможно пользоваться той же схемой и для расчета блоков, не имеющих симметрии толщин стен (но отличающихся по толщине не более чем в 2 раза), на несимметричные нагрузки.
8.20. При расчете столба блоков на изгиб из плоскости грани принимаются нагрузки:
при расчете отдельного блока - вертикальные распределенные на перекрытие нагрузки от его собственного веса g;
при расчете столба - вертикальные, распределенные на перекрытие нагрузки, за исключением нагрузок от собственного веса (p - g);
распределенные вдоль шва вертикальные нагрузки Q от опирания плиты перекрытия на стену блока, приложенные с эксцентриситетом

относительно нейтральной оси стены;
распределенные вдоль шва вертикальные нагрузки от вышележащих этажей N, приложенные с эксцентриситетом e относительно нейтральной оси стены.
Эксцентриситеты e рекомендуется считать одинаковыми по высоте столба.
8.21. Эксцентриситет e равен сумме эксцентриситетов

и

соответственно из-за наличия геометрического эксцентриситета центра тяжести поперечного сечения шва относительно нейтральной оси стенки нижнего блока и из-за возможного отклонения от проектной величины сдвижки нижней опорной части верхнего блока относительно верхней опорной части нижнего блока (рис. 64). При отсутствии экспериментально обоснованных значений рекомендуется принимать величины

,

.
Рис. 64. Схемы для определения
эксцентриситетов в стыке объемных блоков
8.22. Для проверки прочности каждой из несущих стен блока следует предусматривать такую комбинацию эксцентриситетов нагрузки

,

и

, которые приводят к наиневыгоднейшей комбинации нормальной силы и момента из плоскости стены (как правило,

, N). Эти величины можно условно считать для блока эксцентриситетами внешних вертикальных нагрузок, приложенных в плоскостях стен.
8.23. После определения эпюры изгибающих моментов в среднем сечении блока или у края проема допускается их промежуточные по длине стены значения считать распределенными по полуволне синусоиды с максимумом в среднем сечении (у края проема) и нулем у края стены.
8.24. Изгибающий момент, вводимый в расчет при определении несущей способности стены для каждого вертикального сечения, принимается максимальным в средней трети высоты этажа по эпюре M для рамы, образованной этим сечением.
Расчетный эксцентриситет сжимающей силы в среднем сечении блока должен приниматься равным полученному из расчета блока (или заменяющей рамы) как статически неопределимой конструкции, но не менее величины e, равной 0,1 высоты сечения при h <= 10 см и 1 см при h >= 10 см. Этим приемом можно пользоваться при полученной из расчета величине эксцентриситета внутренних сил в среднем сечении блока, не выходящей из пределов ядра сечения. В противном случае требуется уточнение расчетной схемы или изменение геометрических характеристик элементов и стыков блоков.
8.25. Проверка несущей способности объемных блоков производится для двух горизонтальных сечений:
в опорном сечении (горизонтальном стыке);
в промежуточном по высоте стены (в средней ее трети), где действует максимальный изгибающий (из плоскости стены) момент.
8.26. Прочность опорных сечений (горизонтальных стыков) объемных блоков рекомендуется проверять как для платформенных стыков с односторонним опиранием перекрытий.
8.27. При проверке несущей способности промежуточных по высоте сечений стен объемных блоков допускается условно расчленять стены вертикальными сечениями
(рис. 65) и определять независимо среднюю несущую способность

расчлененных сечений с учетом величины эксцентриситета

вертикальных сил, действующих в каждом сечении, после чего суммировать их по длине каждой стены и сравнивать с действующей на нее расчетной нагрузкой

, (271)
где n - число участков дробления длины стены (без проемов); рекомендуется принимать n >= 5. Ребристые стены с регулярными вертикальными ребрами целесообразно дробить на одинаковые участки таврового сечения шириной, равной расстоянию между ребрами;

- средняя несущая способность единицы длины i-го вертикального участка стены;

- длина i-го участка;

,

- ординаты эпюры N по краям стены;
l,

,

- длины соответственно стены, участка до проема и проема.
Рис. 65. Схемы усилий в стенках объемного блока
а - без проемов; б - с несимметрично расположенным проемом;
в - с симметрично расположенным проемом;
г - схема объемного блока
8.28. Несущую способность угловых участков стен (при монолитной связи смежных стен) допускается определять отдельно как для бетонных (железобетонных) элементов уголкового профиля с длиной перьев уголка, равной шести толщинам стенок t.
Эксцентриситет сжимающей силы, приходящийся на этот угол, принимается не менее 2 см.
При наличии с одной или двух сторон углового сечения проемов обязателен учет продольного изгиба углового элемента.
8.29. Расчетная длина (высота) стен блоков (стоек рамы)

принимается равной

, если над расчетным сечением расположено не менее четырех этажей блоков. В остальных случаях

, где

- высота этажа, за вычетом толщины перекрытия.
8.30. При учете транспортных и монтажных воздействий необходимо производить расчет отдельного блока по несущей способности, трещиностойкости и деформациям на зависание угла. Прогиб свободного угла блока, опертого по трем углам, определяется по формуле

, (272)
где P - вес блока, симметричного по толщине стенок (без наружной стены и балкона) с учетом коэффициента динамичности;

,

- модуль сдвига и толщина i-й грани (i = 1, 2, ..., 6).
Для сплошных граней при определении

допускается считать, что они работают без образования трещин, если соблюдается условие

. (273)
Для граней с проемами величину

можно определять исходя из условия равенства горизонтальных перемещений сплошной грани и грани с проемом, имеющей те же наружные размеры.
8.31. При наличии немонолитных связей сдвига, соединяющих отдельные грани блоков, их жесткость должна вводиться в величину G соответствующей грани.
Возможный прогиб свободного угла блока длиной более 4,8 м должен быть ограничен при статических воздействиях величиной 10 мм, при динамических - 15 мм; при длине блока до 4,8 м - 7 и 10 мм.
8.32. Несущую способность блока при зависании угла допускается определять по методу предельного равновесия. Трещины при перекосах появляются и развиваются, в первую очередь, в углах проемов. В состоянии предельного равновесия эти участки в расчетной схеме следует превращать в пластические шарниры. Чтобы определить разрушающие усилия на блок, проверить или подобрать армирование всех граней, следует превратить блок в пространственный механизм, для чего необходимо последовательно превращать в плоский механизм каждую грань с проемом; остальные грани при этом считаются абсолютно жесткими в своей плоскости.
Определение несущей способности следует производить в соответствии с вероятными схемами излома граней, исходя из наименее благоприятного варианта работы конструкции для продольных граней. При этом следует суммировать усилия от кручения блока с изгибом в вертикальной плоскости.
Армирование элементов блока рекомендуется назначать на 20 - 30% выше, чем полученное по расчету методом предельного равновесия.
8.33. Перемычки под и над проемами в стенах при зависании угла блока должны быть проверены по поперечной силе Q, равной:
для торцевых граней
Q = P / 8; (274)
для продольных граней
Q = P (3 - b / a) / 8. (275)
8.34. Все плоские элементы, в том числе и комплектующие блок (панели пола, панели наружных стен), должны быть проверены по прочности и ширине раскрытия трещин при действии распалубочных, монтажных и транспортных нагрузок с учетом возможного изменения расчетных схем элементов при работе на эти воздействия.
При этом учитывается действительная минимальная прочность бетона элемента на момент воздействия.
Не допускается транспортирование объемных элементов до достижения бетоном прочности, равной 0,7, и плоских элементов - до 0,5 нормативных сопротивлений.
Распалубочные усилия на элемент принимают по данным специальных исследований, но не менее 20 МПа (200 кгс/м2).
При расчете на транспортные и монтажные нагрузки действие собственного веса принимается с коэффициентом динамичности, равным 1,8 при транспортировании и 1,5 - при монтаже.
Максимальная кратковременная ширина раскрытия трещин - 0,4 мм.
8.35. Горизонтальные элементы блоков рассчитываются на вертикальные транспортные нагрузки с учетом пространственной работы и действительной расчетной схемы (наличие временных подпорок, демпфирующих стоек и т.п.).
Плита потолка блока должна проверяться по прочности на действие сосредоточенной нормативной нагрузки 2000 Н (вес двух монтажников с инструментом).
ПО ОПРЕДЕЛЕНИЮ УСИЛИЙ В НЕСУЩЕЙ СИСТЕМЕ ЗДАНИЯ НА ОСНОВЕ
РАСЧЕТНОЙ СХЕМЫ В ВИДЕ ВЕРТИКАЛЬНОГО СОСТАВНОГО СТЕРЖНЯ
1. В настоящем приложении изложена упрощенная методика определения усилий в несущей системе бескаркасного здания с одинаковыми по высоте конструктивно-планировочными решениями. Методика позволяет выполнять расчет с помощью карманных или настольных калькуляторов без применения специальных программ для ЭВМ. Методику рекомендуется использовать на начальных стадиях проектирования при компоновке несущей системы для предварительного назначения толщин и классов бетона стен, расчета стыковых соединений и связей. Если параметры конструкций, назначенные по конструктивным соображениям (например, по условиям обеспечения ограждающих функций), обеспечивают требуемую прочность и жесткость несущих конструкций, то не требуется дальнейшего уточнения результатов расчета.
В противном случае рекомендуется выполнять расчет по специальным программам на ЭВМ с использованием уточненных расчетных схем и предпосылок.
2. Для предварительного расчета рекомендуется использовать расчетную схему в виде системы вертикальных диафрагм жесткости, объединенных между собой в уровне перекрытий, которые считаются абсолютно жесткими в собственной плоскости. Каждая из вертикальных диафрагм жесткости рассматривается как вертикальный составной стержень, защемленный основанием.
В составном стержне выделяют несущие и связевые элементы. Форму и размеры несущих элементов (столбов) рекомендуется назначать по рекомендациям
разд. 3 настоящего Пособия. Дискретно расположенные связевые элементы (перемычки, податливые стыковые соединения, перекрытия) заменяют эквивалентными по жесткости (податливости) при сдвиге непрерывными связями, соединяющими столбы. Для упрощения расчета разрешается в диафрагмах с постоянным шагом проемов по длине стены (например, для наружных стен при расчете их на усилия в плоскости стены) не включать в расчетную схему промежуточные простенки; при этом податливость связей между крайними столбами принимается равной сумме податливостей вертикальных рядов связей между ними.
3. При расчете на вертикальные нагрузки, температурные воздействия и неодинаковую усадку сопрягаемых стен каждую вертикальную диафрагму жесткости рассчитывают независимо, считая, что отсутствуют горизонтальные перемещения составной системы. Горизонтальные (ветровые) нагрузки распределяются между вертикальными диафрагмами жесткости пропорционально их приведенной изгибной жесткости, определяемой по
п. 7 настоящего приложения.
4. Расчет рекомендуется выполнять в следующей последовательности:
определяют жесткостные характеристики связей сдвига и столбов; по
формуле (3) Пособия проверяют, можно ли считать связь сдвига жесткой. В случае, если связь считается жесткой, то соединенные этой связью столбы объединяют в один и для такого объединенного столба снова определяют жесткостные характеристики;
каждую из вертикальных диафрагм жесткости рассчитывают независимо на непосредственно приложенные к ней вертикальные нагрузки и температурно-влажностные воздействия, а также на единичную сосредоточенную силу в уровне верха здания;
определяют приведенную изгибную жесткость каждой из диафрагм

;
для зданий, при расчете которых необходимо учитывать влияние динамической составляющей ветровой нагрузки и проверять ускорения колебаний, возникающих в результате пульсаций ветрового напора;
определяют приведенную изгибную жесткость здания

, равную сумме приведенных изгибных жесткостей всех диафрагм;
вычисляют период колебаний основного тона и расчетные ветровые нагрузки и проверяют значение ускорений колебаний;
расчетная ветровая нагрузка распределяется между диафрагмами пропорционально их приведенной изгибной жесткости;
определяют усилия в каждой из диафрагм от ветровых нагрузок.
5. Для определения усилий в плоском составном стержне с r рядами податливых продольных связей рекомендуется использовать метод сил. В качестве неизвестных принимают продольные силы

(i = 1, 2, ..., r), перераспределяемые между столбами i и (i + 1).
Продольную силу

в сечении

(x - расстояние от верха здания до рассматриваемого сечения, H - высота здания) рекомендуется определять по формуле

, (1)

; (2)

; (3)

; (4)

; (5)

; (6)

- определяют из решения следующей системы алгебраических уравнений:

; (7)

; (8)

; (9)

; (10)

; (11)

; (12)

; (13)

- погонная жесткость при сдвиге связи между столбами i и i + 1;

- коэффициент линейного температурного расширения для столба i (i + 1);

- коэффициенты, вычисляемые по формулам:

; (14)

; (15)

; (16)
(i - 1 < j < i + 1)

- изменение средней температуры столба i (i + 1);

- стесненная, средняя по толщине стены, деформация усадки столба i (i + 1);

- перепад температур по толщине столба i (i + 1);

- вертикальная сосредоточенная сила, приложенная в верхнем сечении

столба i (i + 1);

- эксцентриситет продольной силы

в плоскости диафрагмы;

- продольная жесткость столба i (i + 1);

- изгибная жесткость столба i (i + 1);

- сумма изгибных жесткостей всех столбов диафрагмы;

- равномерно распределенная по высоте продольная сжимающая сила в столбе i (i + 1);

- эксцентриситет продольной силы

в плоскости диафрагмы;
S - сосредоточенная поперечная нагрузка, приложенная в сечении

;

- равномерно распределенная поперечная нагрузка;

- максимальное значение распределенной поперечной нагрузки, изменяющейся по линейной зависимости от нуля в сечении

;

- количество членов приближения.
Коэффициенты

, J приведены в табл. 1.
Таблица 1
| | | | | | |
1 | 1,5708 | 2,4674 | 0,51602 | 0,32851 | 0,23874 | 0,18669 |
2 | 4,7124 | 22,207 | 0,01911 | -0,00405 | -0,00983 | -0,011071 |
3 | 7,8540 | 61,685 | 0,00413 | 0,000526 | +0,000917 | 0,001526 |
4 | 10,995 | 120,90 | 0,00150 | -0,000137 | -0,000298 | -0,000404 |
5 | 14,137 | 199,86 | 0,00071 | 0,000050 | 0,000093 | 0,000149 |
В связи с быстрой сходимостью ряда при вычислении величины

допускается учитывать один член ряда

.
6. Усилия в составном стержне с r рядами податливых связей сдвига определяют по формулам:
продольная сила в сечении

столба i

, (17)

; (18)
изгибающий момент в сечении

столба i

, (19)

; (20)
сдвигающая сила в связях между столбами i и i + 1 в уровне верхнего этажа n

; (21)
в уровне этажа h < n

; (22)
где

, (23)
(h = 1, 2, ..., n).
7. Приведенную изгибную жесткость вертикальной диафрагмы с r рядами проемов рекомендуется определять по формуле

, (24)
где

- корни
уравнения (2) при

для нагрузки в виде единичной сосредоточенной поперечной силы S = 1, приложенной в сечении

.
8. Период основного тона колебаний в случае, когда длина в плане вертикальных диафрагм не превышает 0,2 высоты здания, можно определять по формуле

, (25)
где m - масса единицы высоты здания, рассматриваемого как консольный стержень;

- сумма приведенных изгибных жесткостей вертикальных диафрагм.
В случае, если имеются диафрагмы, длина которых больше 0,2 высоты здания, то при определении периода колебаний необходимо учитывать влияние деформаций сдвига стен в собственной плоскости. Период первого тона в этом случае можно определять по формуле

, (26)

; (27)

, (28)

- сумма сдвиговых жесткостей вертикальных диафрагм, определяемых без учета площади полок.
Определение усилий в протяженных зданиях
от температурных и усадочных воздействий
9. Для протяженных в плане здания усилий от температурно-влажностных воздействий рекомендуется определять с использованием расчетной схемы в виде горизонтальной составной системы с продольными поясами в уровне перекрытий, которые соединены податливыми связями сдвига. Приводимые ниже расчетные формулы применимы для регулирования по высоте составных стержней. Нижний ярус составной системы может иметь геометрические и жесткостные характеристики, отличающиеся от остальных ярусов. Расчетные формулы получены для системы с бесконечно большим числом ярусов и применимы для определения усилий в нижней половине высоты здания при количестве этажей девять и более (в верхних этажах усилия существенно уменьшаются).
При расчете учитываются изменения во времени средних по сечениям конструкции температур

(по отношению к начальной температуре

) и относительных деформаций усадки бетона

, возникающих из-за уменьшения его начальной влажности.
Изменение во времени средних по сечениям конструкций температур

и начальные температуры

определяются по
СНиП 2.01.07-85.
10. Расчет на температурно-влажностные воздействия выполняется для стадий возведения и эксплуатации здания.
Для стадии возведения рекомендуется различать два расчетных случая:
первый - здание возведено в теплое время года и до пуска отопления конструкции здания охлаждаются вследствие понижения температуры наружного воздуха в холодное время года;
второй - здание возведено в холодное время года и конструкции здания нагреваются вследствие повышения температуры наружного воздуха в теплое время года.
В первом расчетном случае из-за противодействия основания температурным изменениям линейных размеров продольных конструкций в них возникают растягивающие напряжения, во втором расчетном случае - сжимающие напряжения.
В первом расчетном случае усадочные деформации можно не учитывать, так как в холодное время года деформации усадки бетона не увеличиваются. В связи с тем, что температурные и усадочные деформации во втором расчетном случае противоположны по знаку, а сжимающие напряжения в продольных конструкциях, как правило, не опасны, допускается второй расчетный случай не рассматривать.
Для стадии эксплуатации необходимо проверить конструкции на совместное влияние температурного сокращения продольных наружных стен и деформаций усадки продольных конструкций.
Для зданий с ненесущими наружными стенами, а также с трехслойными несущими стенами с гибкими связями между слоями при определении усилия во внутренних конструкциях можно учитывать только изменение деформаций усадки. Наружный слой продольных трехслойных стен в случае опирания его на фундамент следует рассчитывать на совместное влияние уменьшения его средней температуры (при переходе от теплого к холодному времени года) и деформаций усадки.
11. Продольное усилие в сечении

продольного пояса над k-м ярусом определяется по формуле

, (29)
где

- коэффициент линейных температурных деформаций бетона конструкций, образующий продольный пояс k;

- расчетный перепад средних температур продольного пояса k;

- расчетное изменение деформаций усадки бетона, образующего продольный пояс k;

- продольная жесткость k-го пояса (при k > 1

);

; (30)

- безразмерная координата, отсчитываемая вдоль длины составной системы с началом отсчета по ее середине

;

,

- погонные жесткости при сдвиге продольных связей соответственно в первом и всех остальных ярусах составной системы;

; (31)
l - полудлина составной системы (половина расстояния между температурно-усадочными швами);

; (32)

. (33)
В
формуле (29) число учитываемых членов ряда рекомендуется принимать с учетом того, что первый отбрасываемый член ряда характеризует ошибку вычислений. Для получения решения с точностью 0,05 достаточно учесть пять членов ряда. В общем случае рекомендуется удерживать нечетное число членов ряда.
Погонное сдвигающее усилие в продольных связях k-го яруса определяется по формуле

. (34)
12. Продольная жесткость k-го пояса

определяется как сумма продольных жесткостей перекрытия

, продольных стен

. При изменении жесткостных характеристик перекрытий и продольных стен по длине определяется приведенная продольная жесткость пояса, определяемая по формуле

, (35)
где

- длина i-го участка по длине здания, в пределах которого продольная жесткость пояса постоянна;

- продольная жесткость k-го пояса на i-м участке;
n - общее число участков.
Продольная жесткость пояса до образования трещин в бетоне определяется по формуле

, (36)
где

- длительный модуль деформации бетона

; (37)

- начальный модуль упругости бетона;
Продольная жесткость пояса после образования в нем трещин определяется по формуле

, (38)
где

- коэффициент, учитывающий работу растянутого бетона между трещинами и определяемый согласно нормам проектирования железобетонных конструкций.
13. Погонная жесткость

связей сдвига k-го пояса определяется по формуле

, (39)
где

- жесткость при сдвиге горизонтального сечения продольных стен k-го яруса на i-м участке;

- высота k-го яруса;

- длина i-го участка.
Жесткость при сдвиге i-го участка сквозной продольной стены с проемами рекомендуется определять для горизонтального сечения в уровне проемов по формуле

, (40)
где

,

- соответственно площадь и длина горизонтального сечения стены на i-м участке;

- высота проема в стене в k-м ярусе.
Жесткость при сдвиге i-го участка продольной стены, состоящей из отдельных, не связанных между собой участков, рекомендуется определять по формуле

, (41)
где

- коэффициент жесткости основания при повороте фундамента в плоскости стены;

- момент инерции фундамента i-го участка стены относительно оси, перпендикулярной плоскости поворота фундамента.
При опирании стен на свайные фундаменты с высоко расположенными ростверками жесткости при сдвиге связей необходимо определять по специальным рекомендациям.
ПО ОБЕСПЕЧЕНИЮ УСТОЙЧИВОСТИ КРУПНОПАНЕЛЬНЫХ ЗДАНИЙ
ПРИ АВАРИЙНЫХ ВОЗДЕЙСТВИЯХ
1. Несущая система жилых зданий должна быть устойчива к прогрессирующему (цепному) разрушению в случае локального разрушения отдельных конструкций при аварийных воздействиях (взрыв бытового газа или других взрывоопасных веществ, пожар и т.п.). Это требование означает, что в случае аварийных воздействий, не предусмотренных условиями нормальной эксплуатации зданий (взрывы, пожары, ударные воздействия транспортных средств и т.п.), допускаются локальные разрушения несущих конструкций (полное или частичное разрушение отдельных стен в пределах одного этажа и двух смежных осей здания), но эти первичные разрушения не должны приводить к обрушению конструкций или к разрушению соседних несущих элементов, на которые передается нагрузка, ранее воспринимавшаяся элементами, поврежденными аварийным воздействием.
Конструктивная система здания должна обеспечивать его прочность и устойчивость в случае локального разрушения несущих конструкций, как минимум на время, необходимое для эвакуации людей. Перемещение конструкций и раскрытие в них трещин не ограничивается.
2. Устойчивость здания к прогрессирующему обрушению проверяется расчетом на особое сочетание нагрузок и воздействий, включающее постоянные и временные длительные нагрузки, а также воздействие гипотетических локальных разрушений несущих конструкций.
Постоянная и временная длительная нагрузка должна определяться по
СНиП 2.01.07-85. При этом коэффициенты сочетаний нагрузок и коэффициенты надежности по нагрузкам к постоянным и длительным нагрузкам следует принимать равными единице.
Воздействия локальных разрушений несущих конструкций учитываются тем, что из конструктивной системы здания удаляются отдельные элементы, которые могут быть разрушены при аварийных воздействиях.
Для панельных жилых зданий в качестве расчетной схемы локального разрушения следует рассматривать разрушение (удаление) двух пересекающихся стен в пределах одного (любого) этажа на участках от их вертикального стыка (в частности, от угла здания) до ближайшего проема в каждой стене или до следующего вертикального стыка со стеной перпендикулярного направления.
Для оценки устойчивости здания против прогрессирующего обрушения разрешается рассматривать лишь наиболее опасные расчетные схемы разрушения:
локальные разрушения, включающие разрушения наружных стен, ослабленных дверными проемами выходов на балконы и лоджии (схемы 1, 2, 3 на
рис. 11);
локальные разрушения, включающие разрушения внутренних стен, слабо связанных с остальными вертикальными конструкциями из-за наличия дверных проемов (см. схемы 1, 4, 5 на
рис. 11), из-за балочной разрезки большепролетных плиточных перекрытий (см. схемы 2, 5 на
рис. 11) или из-за частичного отсутствия связей через перекрытия (стены, примыкающие к лестничным клеткам; схема 4 на
рис. 11).
3. При расчете панельных зданий на устойчивость к прогрессирующему обрушению нормативные сопротивления материалов принимают в соответствии со
СНиП 2.03.01-84 и
СНиП II-23-81. Расчетные характеристики сопротивления материалов, определяемые делением нормативных сопротивлений на коэффициенты надежности, для бетонных и железобетонных конструкций повышают за счет использования коэффициентов надежности, указанных в
табл. 1. Кроме того, расчетные сопротивления умножают на коэффициенты условий работы, учитывающие малую вероятность аварийных воздействий и интенсивный рост прочности бетона в первый период после возведения здания, а также возможность использования арматуры за пределом текучести материала. Коэффициенты условий работы для бетона принимают по
табл. 2, для арматуры классов А-I, А-II, А-III вводится единый коэффициент

.
Материал | Напряженное состояние или характеристика материала | Условное обозначение | Коэффициент надежности по материалам |
Бетон | Сжатие | | 1,15 |
Растяжение | | 1,25 |
Арматура | Класс А-I, А-II | | 1,1 |
Класс А-III | | 1,05 |
Проволочная | | 1,2 |
Факторы, обусловливающие введение коэффициентов | Условное обозначение | Коэффициент условий работы бетона |
1. Конструкции бетонные | | 0,9 |
2. Нарастание прочности бетона во времени, кроме бетонов класса В50 и выше, бетонов на глиноземистом цементе, алюминатных и алитовых портландцементах | | 1,25 |
3. Элементы заводского изготовления (бетонные и железобетонные) | | 1,15 |
Расчетные сопротивления прокатной стали принимаются по
СНиП II-23-81 с учетом допустимости работы пластичных сталей за пределом текучести. Коэффициент условий работы для пластичных сталей принимается равным 1,1.
4. Для оценки устойчивости панельных зданий к прогрессирующему обрушению следует выделить два типа неповрежденных конструктивных элементов. В элементах первого типа воздействия локальных разрушений не вызывают качественного изменения напряженного состояния, а приводят лишь к увеличению напряжений и усилий (неповрежденные стеновые диафрагмы и плиты перекрытий, не расположенные над локальным разрушением). В элементах второго типа (к ним относятся конструкции, потерявшие первоначальные опоры, - стеновые панели и плиты перекрытий, расположенные над локальным разрушением) в рассматриваемом состоянии здания качественно меняется напряженное состояние.
В связи с тем, что элементы первого типа при нормальных эксплуатационных воздействиях подвергаются нагрузкам в два-три раза ниже разрушающих, а расчетные локальные разрушения, как правило, не могут вызвать перегрузки этих конструкций более чем в два раза, прочность элементов первого типа разрешается не проверять. Основной задачей расчета является проверка устойчивости стеновых панелей и плит перекрытий, расположенных выше локального разрушения и потерявших опору в результате локального разрушения стен. Устойчивость этих конструкций зависит как от прочности самих зависших элементов, так и от прочности их связей между собой и с неповрежденными стенами.
Устойчивость здания против прогрессирующего обрушения следует обеспечивать, в первую очередь, за счет рационального конструирования связей между сборными элементами. Усиление самих сборных элементов, расположенных над локальным разрушением, не рекомендуется.
5. В целях повышения экономичности конструктивных решений связей, препятствующих прогрессирующему обрушению, необходимо повышать их пластичность, добиваясь, чтобы в предельном состоянии после исчерпания несущей способности связь не выключалась из работы и допускала без разрушения сравнительно большие абсолютные деформации (порядка нескольких миллиметров).
Для обеспечения пластичности соединений сборных элементов их конструктивные решения должны включать специальные пластичные элементы, выполненные из пластичной листовой или арматурной стали.
Растянутая линейная связь между сборными элементами, как правило, представляет цепочку последовательно соединенных элементов - анкер закладной детали, закладная деталь, собственно связь, закладная деталь второго элемента и ее анкер. В силу случайной изменчивости сопротивлений отдельных элементов этой цепи и их соединений предельное состояние всего стыка определяется слабейшим звеном. Соответственно реальная пластичность всего соединения зависит от того, какой элемент окажется слабейшим:
если произойдет выкалывание бетона, в котором анкеруется закладная деталь, то разрушение будет носить хрупкий характер с весьма незначительными абсолютными деформациями, предшествующими выключению связи из работы
(рис. 1, а);
если разрушится одно из сварных соединений, то, хотя при качественной сварке пластичность и проявится в силу малой протяженности самого разрушаемого звена, абсолютные деформации, предшествующие выключению связи из работы, будут сравнительно невелики
(рис. 1, б);
только в том случае, когда слабейшим звеном соединения окажется собственно металлическая связь, все соединение проявит максимально возможные пластические свойства
(рис. 1, в).
Рис. 1. Диаграмма деформирования растянутой линейной
связи при разрушении различных ее элементов
а - при выкалывании анкерующего бетона;
б - при разрушении сварных соединений;
в - при разрушении листовой или стержневой связи
Соединения сборных элементов, препятствующие прогрессирующему обрушению панельных зданий, должны проектироваться неравнопрочными, при этом элемент, разрушение которого обеспечивает наибольшие пластические деформации соединения, должен быть наименее прочным.
Для выполнения этого условия рекомендуется рассчитывать все элементы соединения, кроме наиболее пластичного, на усилие в 1,5 раза больше прочности пластичного элемента, например, анкеровку закладных деталей и сварные соединения рекомендуется рассчитывать на усилие в 1,5 раза больше, чем саму связь.
Надпроемные перемычки, работающие как связи сдвига, необходимо проектировать так, чтобы они разрушались от изгиба, а не от действия поперечной силы.
Шпоночные сдвиговые соединения необходимо проектировать так, чтобы прочность отдельных шпонок на срез была в 1,5 раза больше их прочности при смятии.
Помимо обеспечения пластичности связей для защиты зданий от прогрессирующего обрушения рекомендуется использовать в комплексе следующие конструктивные мероприятия:
объединять отдельные плиты междуэтажных перекрытий в единый диск специальными металлическими связями, работающими в плоскости перекрытия на растяжение и сдвиг;
заводить плиты перекрытий в несущие стены перпендикулярного направления, используя их как шпоночную связь сдвига (при платформенных стыках такая связь образуется естественным образом);
устраивать междуэтажные связи, обеспечивающие работу горизонтальных стыков между перекрытиями и стенами на растяжение и сдвиг. Для устройства таких связей рекомендуется использовать подъемные петли, штыри и т.п. детали, например, как показано на рис. 2. Такие связи очень пластичны как при растяжении, так и при сдвиге, они обеспечивают совместную работу всех конструкций, расположенных выше локального разрушения; возможность устройства таких связей не зависит от особенностей плана здания.
Рис. 2. Вариант конструктивного решения междуэтажной связи
1 - гайка; 2 - шайба; 3 - подъемный штырь
6. Для расчета панельных зданий на устойчивость к прогрессирующему обрушению рекомендуется использовать пространственную расчетную модель в виде системы пластинок (с проемами или без проемов), соединенных между собой сосредоточенными связями, прочность которых эквивалентна прочности фактических связей между панелями
(рис. 3, а). Такая модель здания должна быть рассчитана при всех выбранных в соответствии с рекомендациями
п. 2 расчетных схемах локального разрушения конструкций.
б)
в)
г)
Рис. 3. Расчетная модель здания с локальными разрушениями
1 - локальные разрушения
В случае обеспечения пластичной работы конструктивной системы здания в предельном состоянии расчет рекомендуется проводить кинематическим методом теории предельного равновесия. В этом случае допускается проверять устойчивость лишь элементов, расположенных над локальным разрушением, и расчет здания при каждой выбранной схеме локального разрушения сводится к следующей процедуре:
задаются наиболее вероятные механизмы прогрессирующего (вторичного) обрушения конструкций здания, потерявших опору (задать механизм разрушения значит определить все разрушаемые связи и найти возможные обобщенные перемещения

по направлению усилий в этих связях);
для каждого из выбранных механизмов прогрессирующего обрушения определяются прочности всех пластично разрушаемых связей

; находятся равнодействующие внешних сил, приложенных к отдельным звеньям механизма, то есть к отдельным неразрушаемым элементам или их частям

, и перемещения по направлению их действия

;
определяется работа внутренних сил (W) и внешних нагрузок (U) на возможных перемещениях рассматриваемого механизма

;

и проверяется условие равновесия
Указанная расчетная процедура справедлива лишь при условии выполнения требований
п. 5 об обеспечении пластичной работы отдельных панелей и связей между ними в предельном состоянии. Если пластичность какой-либо связи не обеспечена, ее работа учитываться не должна (связь считается отсутствующей). Если таких связей и элементов, которые могут разрушаться хрупко, много, и их формальное исключение слишком сильно уменьшает оценку сопротивления здания прогрессирующему обрушению, следует или обеспечить пластичность связей или изменить саму процедуру расчета. В последнем случае здание должно быть рассчитано на основании упругой пластинчатой модели, включающей расчетное локальное разрушение и позволяющей учесть изменившийся характер работы элементов, потерявших опору. Полученные при этом усилия в отдельных элементах должны сравниваться с их расчетными несущими способностями. Устойчивость здания против прогрессирующего обрушения при этом будет обеспечена, если для любого элемента соблюдается условие F <= S, где F и S соответственно усилие в элементе, найденное из упругого расчета, и его расчетная несущая способность, найденная с учетом указаний
п. 3.
Особенности расчета зданий поперечно-стеновой
и перекрестно-стеновой систем с ненесущими продольными
наружными стенами из легких небетонных материалов
7. Для зданий с несущими поперечными и внутренними продольными стенами и ненесущими небетонными продольными наружными стенами опасность локального разрушения определяется лишь его расположением на плане здания, но не зависит от расположения по его высоте. Наиболее опасными и, следовательно, расчетными локальными разрушениями являются:
разрушение панели торцевой поперечной стены, примыкающей к углу здания;
разрушение панели внутренней поперечной стены, несущей нагрузку от навесных лоджий или балконов и при том ослабленной дверными проемами.
Количество расчетных локальных разрушений указанных типов в каждом конкретном случае определяется индивидуально в зависимости от особенностей плана здания и принятых конструктивных решений. При унифицированном решении сборных элементов и связей между ними и относительно простом плане здания можно ограничиться рассмотрением двух-трех наиболее опасных локальных разрушений.
При каждом выбранном локальном разрушении необходимо рассмотреть все указанные в пп. 8 -
11 механизмы прогрессирующего обрушения и проверить соответствующие рассматриваемому случаю расчетные условия.
8. Первый механизм прогрессирующего обрушения характеризуется одновременным поступательным смещением вниз всех стеновых панелей (или отдельных их частей), расположенных над локальным разрушением
(рис. 4). Такое смещение возможно при разрушении связей сдвига между продольными и поперечными стенами
(рис. 4, а) или при разрушении надпроемных перемычек и плит перекрытий (
рис. 4, б,
в).
Рис. 4. Варианты механизма
прогрессирующего обрушения I типа
При оценке возможности одновременного обрушения конструкций всех этажей
условие равновесия (1) заменяется условием

, (2)
где

и

- соответственно работа внутренних и внешних сил на перемещениях элементов одного этажа; этажи разделяются нижней поверхностью перекрытия, которое относится к этажу, расположенному над перекрытием.
Если плиты перекрытий не заведены в продольные несущие стены, обрушению препятствуют лишь связи сдвига между панелями разрушенной поперечной стены и продольной стены
(рис. 4, а). В этом случае
условие равновесия (2) эквивалентно требованию
| | ИС МЕГАНОРМ: примечание. Формула дана в соответствии с официальным текстом документа. | |

, (3)
где

- прочность связей сдвига в вертикальном стыке между продольными и поперечными стенами;

,

- соответственно вес панели поперечной стены и приходящаяся на нее нагрузка от лоджии;

,

- соответственно веса панелей наружных стен, примыкающих с двух сторон к разрушенной поперечной стене;
q', q'' - равномерно распределенная нагрузка на плиты перекрытия;
L', L'', l', l'' - размеры плит перекрытий, опирающихся на разрушенную стену.
Если плиты перекрытия заведены в продольные и поперечные стены (платформенные стыки), они образуют между ними практически неразрушимую связь сдвига. В этом случае рассматриваются лишь такие разновидности механизма обрушения I типа, которые возможны при ослаблении поперечной стены дверными проемами (см.
рис. 4, б,
в). При этом
условие (2) принимает вид

, (4)
где

,

- соответственно работа внутренних и внешних сил на перемещениях отдельных частей панели внутренней стены;

,

- соответственно работа внутренних и внешних сил, приложенных к плитам перекрытий;

- работа внешних сил, приложенных к наружным панелям.
Работа

определяется сопротивлением изгибу над- и подпроемных перемычек и в общем случае определяется соотношением

, (5)
где

,

,

,

- соответственно прочности при изгибе левого и правого опорных сечений верхней и нижней перемычек, а b - пролет перемычек.
Если поперечная стена отделена от продольной дверным проемом и связь между ними отсутствует, то

. Если связь между поперечной стеной и продольной осуществляется перемычкой - "флажком" (см.
рис. 4, в), то прочность левого опорного сечения

определяется прочностью горизонтальной линейной связи

; при этом прочность сдвиговой связи в соответствии с рекомендациями
п. 4 должна удовлетворять условию

. (6)
| | ИС МЕГАНОРМ: примечание. Обозначения и индексы даны в соответствии с официальным текстом документа. | |
Работа

определяется весом обрушающейся части панели внутренней стены

(где

- вес всей панели,

) и приложенной к ней вертикальной нагрузкой от навесной лоджии


. (7)
Работа внешних и внутренних сил, приложенных к плитам перекрытий, первоначально опертых по трем сторонам, определяется их пластическим изломом по схеме, показанной на
рис. 4, б,
в, и вычисляется по формулам
| | ИС МЕГАНОРМ: примечание. Формула дана в соответствии с официальным текстом документа. | |

;

, (8)
где

(9)

,

- пролет i-й плиты в направлении продольных стен и пролет в поперечном для здания направлении;

,

- изгибающие моменты, воспринимаемые i-й плитой перекрытия при ее изгибе по балочной схеме соответственно вдоль пролетов

и

при растяжении нижних волокон (верхних волокон);
t - ширина дверного проема во внутренней стене (см.
рис. 4, б,
в);
f - привязка начала проема к внутреннему торцу.
Если перекрытие выполнено из балочных плит, то в
неравенстве (9) принимается

;

. (10)
Работа сил, обусловленных весом наружных панелей, примыкающих к поврежденной стене слева и справа (

и

), приблизительно вычисляется так:

. (11)
Выполнение требования
(4) является необходимым условием предотвращения прогрессирующего обрушения здания, при сравнительно небольших перемещениях (менее 10 см) конструкций, потерявших опору. Если оно выполнено, следует перейти к проверке дополнительных условий, изложенных в
пп. 9 -
11.
Если же
условие (4) не соблюдается, возможны два варианта:
первый - усилением (или перераспределением) арматуры перемычек внутренних стен и плит перекрытий добиться его выполнения;
второй - перейти к другим конструктивным способам защиты от прогрессирующего обрушения, допускающим очень большие перемещения (десятки сантиметров) элементов, потерявших опору и требующих соответственно выполнять расчет по деформированной схеме (см.
п. 12).
9. Механизм прогрессирующего обрушения второго типа характеризуется одновременным поворотом каждой стеновой панели, расположенной над локальным разрушением, вокруг своего центра вращения
(рис. 5). Такое смещение требует разрушения растянутых связей этих панелей с неповрежденной стеной (

на рис. 5, а), разрушения связей сдвига стеновых панелей с плитами перекрытий в горизонтальных стыках (

на
рис. 5) и пластического излома плит перекрытий, первоначально опертых по трем сторонам, по схеме, приведенной на
рис. 5, г.
а)
Рис. 5. Механизм прогрессирующего разрушения II типа

, (12)
где

,

,

,

- то же, что и величины

,

,

,

в
(4), а

- работа сил сопротивления связей (

и

) стеновых панелей, потерявших опору, с неповрежденными конструкциями. Отдельные слагаемые из (12) вычисляются следующим образом:

; (13)

, (14)
где

, h, x - расстояния от центра вращения до линии действия усилий

,

и силы тяжести

(см.
рис. 5);

,

- вычисляются по
формулам (8) при соответствующей замене верхнего индекса, причем

;

. (15)
Здесь все величины имеют тот же смысл, что и в
(9); величина

вычисляется по
формуле (11).
Выполнения
условия (12) следует добиваться прежде всего за счет увеличения связей сдвига

, так как увеличение прочности растянутой связи

не всегда возможно
(рис. 5, б), а иногда и нецелесообразно: если к продольной стене прикрепляется поперечная стена лишь с одной стороны, то для учета этой связи в расчете необходимо оценить прочность продольной стены на изгиб из ее плоскости (см.
рис. 5, в).
10. Помимо
условий необрушения (4) и
(12) необходимо оценить возможность обрушения лишь одних плит перекрытий, расположенных непосредственно над выбитой панелью поперечной стены и первоначально опертых по трем сторонам (третий механизм).
Для того, чтобы эти плиты не обрушивались, достаточно выполнить условие

, (16)
где

- прочность сдвиговой связи между навесной панелью и поперечной стеной (рис. 6); в формуле (16)

принимается по расчету, но не более величины

.
Рис. 6. Схема обрушения плит перекрытий
Если
соотношение (16) не выполняется, это значит, что плиты необходимо прикрепить к вышерасположенной поперечной стене связями, воспринимающими растяжение (рис. 6). Тогда
условие (16) заменяется следующим:

, (17)
где

- работа сил растяжения связей

. Эта работа вычисляется по формуле

, (18)
n - число связей;

- координата, определяемая линией действия равнодействующей реакции рассматриваемых связей в предположении, что все они достигли своего предельного значения -

.
Если перекрытия выполнены из балочных плит,
условие (16) не выполняется

; поэтому в этом случае постановка связей рассматриваемого типа обязательна. При этом их прочность определяется величиной опорных реакций каждой балочной плиты.
11. Четвертый механизм обрушения предусматривает перемещения конструкций лишь одного этажа, расположенного непосредственно над выбитой панелью поперечной стены (рис. 7). Этот механизм предполагает сочетание поступательного перемещения поперечной стены (как в первом механизме) с изломом плит, характерным для второго механизма (см.
рис. 5, в,
г). Такой механизм возможен лишь при ослаблении поперечной стены дверными или оконными проемами.
Рис. 7. Схема обрушения конструкций одного этажа
Условие невозможности образования механизма рассматриваемого типа

, (19)
где

- работа сил растяжения вертикальных связей типа

и

;

, (20)
где k - число связей шестого типа;

,

- предельные усилия в связях шестого и пятого типа;

- перемещения по направлению i-й связи пятого типа, они определяются как разность перемещений точки прикрепления связи к плите и точки прикрепления связи к панели поперечной стены.
Если при отсутствии связей шестого типа
условие (19) не выполняется, не рекомендуется добиваться его выполнения за счет усиления связей пятого типа - это неэкономично, поскольку эти связи, как следует из
уравнения (20), работают неравномерно. В этом случае наиболее рациональное решение - поставить связи шестого типа и образовать связь по типу описанной в
п. 5.
12. Если при локальном разрушении внутренней поперечной стены не удается обеспечить выполнение
условия (4), то есть не удается предотвратить прогрессирующее обрушение по первой схеме (см.
рис. 4), рекомендуется специальными связями плит перекрытий обеспечить их эффективное сопротивление прогрессирующему обрушению при больших прогибах как элементов висячей системы
(рис. 8). Такой прием обычно оказывается целесообразнее и необходим при локальном разрушении поперечной стены, значительно удаленной от остальных несущих стен и связанной с ними только балочными плитами перекрытий или слабоармированными большепролетными плитами, первоначально опертыми по трем сторонам.
а)
б)
Рис. 8. Работа плит перекрытий как элементов висячей системы
Требования, которым должны удовлетворять связи и плиты, образующие висячую систему, вытекают из расчета по деформированной схеме (см. рис. 8, б). Цепь последовательно соединенных элементов (связь-плита-связь-плита-связь) должна включать очень пластичное звено, которое обеспечивало бы общее удлинение цепи порядка нескольких процентов (естественно, при этом в плитах допускаются какие угодно трещины). Для выполнения этого условия необходимо, чтобы

;

, (21)
где G - погонная нагрузка, приходящаяся на разрушенную стену с каждого этажа,

;
N - погонная несущая способность слабейшего звена висячей цепи;

- расчетное относительное удлинение плиты с меньшим пролетом (точнее - относительное увеличение расстояния между точками стыковки этой плиты с другими плитами);
w - прогиб, при котором достигается равновесие;

,

- соответственно минимальный и максимальный пролеты.
Соотношения (21) получены из предположения, что в силу случайной изменчивости сопротивлений материалов максимальное возможное удлинение реализуется лишь в одной плите. Таким образом, в случае

при

из
(21) следует, что N = (2 - 2,5) G и w = (0,2 - 0,25) l.
Максимально возможное относительное удлинение плиты существенно зависит от конструктивного решения ее арматуры и связей между плитами, от соотношения прочностей отдельных элементов, от их пластичности, от прочности соединения этих элементов; теоретически определить эту величину в общем случае не удается и поэтому каждое конкретное конструктивное решение рекомендуется оценивать экспериментально.
Особенности расчета зданий перекрестно-стеновой
конструктивной системы с наружными стенами
из бетонных или железобетонных панелей
13. Для расчета зданий с железобетонными наружными стенами следует использовать те же основные типы механизмов прогрессирующего обрушения, что и для зданий с ненесущими наружными стенами из легких небетонных материалов. При этом однако необходимо учитывать, что для образования этих механизмов требуется разрушение не только внутренних стеновых панелей и плит перекрытий, но и наружных стеновых панелей, которые в рассматриваемом случае обязательно включаются в работу, даже если они запроектированы навесными.
Наружные стеновые панели с проемом, независимо от типа механизма общего прогрессирующего обрушения, работают на перекос как прямоугольные рамы
(рис. 9). При этом, если плиты перекрытий заведены в наружные стены, то они тоже вовлекаются в работу и характер их разрушения меняется - к основным пластическим шарнирам, показанным на
рис. 4 и
5, добавляются шарниры, связанные с изломом внешнего края плиты
(рис. 10). При проверке возможности обрушения одних плит перекрытий (см.
п. 10) этих шарниров нет.
Рис. 9. Работа элементов наружных стен
б)
Рис. 10. Работа плит перекрытий в зданиях
с железобетонными наружными стенами
Рис. 11. Фрагмент жилого дома
Для того, чтобы учесть сопротивление наружных стен прогрессирующему обрушению и связанное с ними дополнительное сопротивление плит перекрытий, нужно вычислить работу соответствующих внутренних сил

по п. 14 и использовать ее при проверке условий равновесия, указанных в
п. 15.
14. Для того, чтобы учесть сопротивление наружной стены прогрессирующему обрушению, нужно вычислить работу внутренних сил при разрушении панелей наружных стен типового этажа

. Поскольку при локальном разрушении внутренней стены прогрессирующему обрушению на каждом этаже сопротивляются две панели наружной стены (или одна двухмодульная), величина

в общем случае рассматривается как сумма слагаемых

. (22)
Величина работы

зависит от соотношения геометрических размеров панели и армирования ее перемычек и простенков, а также от наличия в ней проема для балконной двери. В общем случае любую наружную панель можно рассматривать как раму, разрушающуюся вследствие образования в ней четырех пластических шарниров (см.
рис. 9, б,
в), так что

. (23)
При этом предельные изгибающие моменты, действующие в угловых шарнирах (например,

- в левом верхнем углу), определяют как наименьшие из двух величин несущих способностей по изгибу перемычки и простенка, образующих этот угол.
В случае локального разрушения поперечной стены, примыкающей к углу здания, панель наружной стены может разрушиться по схеме поворота жесткого диска (см.
рис. 9, а); при этом работа внутренних сил будет определяться прочностью сдвиговой связи этой панели с вышележащим перекрытием (V) и растянутой связи с соседней фасадной панелью (S)

. (24)
Из двух возможных значений

, определенных по
формулам (23) и (24), в дальнейших расчетах учитывается меньшее.
15. Для учета сопротивления наружной стены прогрессирующему обрушению прежде всего необходимо убедиться в том, что она "несет сама себя", то есть проверить условие

, (25)
В тех случаях, когда условие (25) не выполняется

, весь дальнейший расчет проводится точно так же, как для зданий с продольными ненесущими стенами из легких небетонных материалов - по рекомендациям
пп. 8 -
11 с той лишь разницей, что во всех соотношениях работа

заменяется величиной

. Если же
условие (25) выполняется, то дальнейший расчет определяется конструктивным решением сопряжения плит перекрытий и наружной продольной стены.
Если плиты перекрытия не заведены в наружную стену, необходимо, чтобы прочность соединения внутренней панели поперечной стены и панелей наружных стен при их взаимном сдвиге

удовлетворяла условию

. (26)
В этом случае проверка возможности прогрессирующего обрушения проводится последовательно по рекомендациям
пп. 8 -
11 со следующими незначительными изменениями:
Если плиты перекрытий заведены в наружную стену, то сдвиговая связь между внутренней поперечной и продольной наружной стенами может не ставиться

, и для оценки защиты здания от прогрессирующего обрушения проверяются лишь
условия (4) и
(12) при

, (27)
где

- дополнительная работа плит перекрытий, связанная с изломом их внешнего края, заведенного в наружную стену; эта работа зависит от типа рассматриваемого механизма прогрессирующего обрушения.
Сопротивление внешнего края плиты перекрытия, заведенного в наружные стены, создает дополнительную работу внутренних сил, вычисляемую для механизма обрушения первого типа (см.
рис. 10, а) для i-й плиты

, (28)
где

,

,

- привязки краевых шарниров в плите, а остальные величины те же, что в
(9).
Для механизма обрушения второго типа

. (29)
При использовании
формулы (27) следует помнить, что она применима только при

, то есть при

.
При проверке невозможности обрушения одних лишь плит перекрытий по
формулам (16),
(17) принимать

.
если

, то

;
где

- несущая способность связи растяжения между наружной стеной и перекрытием.
Пример расчета устойчивости конструкций
против прогрессирующего обрушения
при аварийных воздействиях применительно
к 9-этажным крупнопанельным домам
1. Исходные данные. Конструктивная система здания - поперечно-стеновая со смешанным (600 + 300 см) шагом поперечных несущих стен
(рис. 11). Высота этажа

. Наружные стены толщиной 35 см однослойные керамзитобетонные, в шаге 600 см - двухмодульные, в шаге 300 см - одномодульные; внутренние стены толщиной 16 см из тяжелого бетона В15 (
рис. 12 и
табл. 3). Плиты перекрытий сплошные толщиной 16 см из тяжелого бетона В15 и В20, армированного нижней сеткой.
Характеристика панелей | Обозначение | Единица измерения | Наружные стены | Внутренние стены | Плиты перекрытий |
П1 | П2, П3 |
Класс бетона | Bb | - | В7,5 | В15 | В15 | В20 |
Нормативное сопротивление бетона осевому сжатию | Rbn | МПа | 5,5 | 11 | 11 | 15 |
Нормативное сопротивление бетона осевому растяжению | Rbt,n | МПа | 0,7 | 1,15 | 1,15 | 1,4 |
Коэффициенты условий работы | | - | 1,25 | 1,25 | 1,25 | 1,25 |
| - | 1,15 | 1,15 | 1,15 | 1,15 |
Толщина панели | tw | мм | 350 | 160 | 160 | 160 |
Нормативные нагрузки на перекрытия: постоянная нагрузка g = 5,8 кН/м
2; длительная (часть временной нагрузки)

. Всего

.
Нормативная нагрузка на лоджии

.
Расчет производится по
Прил. 1. Несущие способности элементов определяют по
СНиП 2.03.01-84. Наиболее опасные случаи расположения гипотетических локальных разрушений на плане здания в соответствии с
п. 7 показаны на
рис. 11. Здесь для примера рассмотрены схемы разрушений N 1 и N 2.
2. Проверка устойчивости здания при локальном разрушении его несущих конструкций по схеме N 1
(рис. 13). Рассматривается обрушение конструктивной ячейки в осях 1 - 3 и Б - В i-го этажа. Первично разрушается панель внутренней стены по оси 2 между осями Б и В и примыкающие к ней простенки панелей наружных стен по оси Б. Проверяется невозможность обрушения зависших над локальным разрушением конструкций перекрытий и стеновых панелей. Прогрессирующему обрушению в данном случае сопротивляются на каждом этаже две плиты П1; связи растяжения второго типа, соединяющие внутреннюю поперечную стену с продольной внутренней стеной; связи сдвига между наружными стенами и внутренней; две наружные стеновые панели, разрушающиеся как рамы с образованием четырех пластических шарниров (см.
п. 14).
а)
Рис. 13. 1-я схема излома элементов фрагмента
2.1. Расчет несущей способности отдельных сечений конструктивных элементов
2.1.1. Панель наружной стены НС1. Расчетное сопротивление материалов определяют по указаниям
п. 3 настоящего приложения.
Арматура диаметром 8 мм класса А-III

.
Верхняя перемычка
Несущая способность по изгибу верхней перемычки определяется по
СНиП 2.03.01-84 при

(3 стержня диаметром 8 мм из стали класса А-III); b = 35 см; h = 29 см;

.
Сечение симметричное.
Высота сжатой зоны

.
Несущая способность сечений

.
Невозможность хрупкого разрушения элементов наружной панели проверяется в соответствии с требованиями
п. 5. При разрушении наружной стены так, как показано на
рис. 13, б, величина поперечной силы, соответствующей возникновению предельных изгибающих моментов в верхней перемычке с коэффициентом 1,5, равна

.
Поперечное армирование составляют хомуты из 3 стержней диаметром 5 мм из стали класса Вр-I, шаг s = 200 мм:

;

.
Прочность по наклонной полосе между наклонными трещинами проверяется из условия:

;

;

;

;

;

.
Условие прочности выполняется.
Прочность по наклонной трещине проверяем по условию

, где

,

;

;

;

.
Проверка производится дважды: для c = 200 мм и для

c = 200 мм,

;

.
Условие прочности выполняется.
Условие прочности выполняется.
Нижняя перемычка
Предельные изгибающие моменты для нижней перемычки определяются аналогично.
Нижняя арматура 2 стержня диаметром 8 мм из стали класса А-III

; h = 10 см;

;

;

.
Верхней арматуры в перемычке нет,

. Q = (1,5 x 2,9) / 0,89 = 4,9 кН.
Поперечная арматура отсутствует.
Условие прочности:

, где

;

;

. 4,9 < 11,3.
Условие прочности выполняется.
Простенки
Несущая способность по изгибу простенков заведомо больше, чем перемычек, так как высота сечения более узкого простенка вдвое больше высоты сечения верхней перемычки при соотношении площадей арматуры 1:5.
Проверка прочности простенков по поперечной силе дает удовлетворительные результаты и здесь не приводится.
| | ИС МЕГАНОРМ: примечание. Обозначения даны в соответствии с официальным текстом документа. | |
Предельные изгибающие моменты, действующие в угловых шарнирах рамы наружной панели НС1, принимаются из расчета перемычек по изгибу:

;

;

.
2.1.2. Несущая способность сечений плиты перекрытия П1.
Плиты перекрытий П1 железобетонные (см.
табл. 3) размером на комнату, запроектированные на работу при опирании по четырем сторонам, верхней арматуры не имеют, несущая способность их сечений по изгибу при растяжении верхних волокон равна нулю:

.
Несущая способность поперечного сечения плиты П1 по изгибу при растяжении нижних волокон при изгибе вдоль короткой стороны определяется по
СНиП 2.03.01-84 при b = 540 см;

;

(20 стержней диаметром 8 мм из стали класса А-III);

, бетон класса В15,

и равна

.
Несущая способность сечения при изгибе вдоль длинной стороны определяется при b = 300 см; h = 16 см;

;

(14 стержней диаметром 4 Вр-I),

и равна

.
2.1.3. Несущая способность связей
а) Связи сдвига третьего типа в конструкции отсутствуют, то есть

.
б) Связь растяжения второго типа между внутренними стенами состоит из двух стержней диаметром 12 мм из стали класса А-I

с расчетным сопротивлением

.
Несущая способность связи

.
2.2. Оценка возможности возникновения механизма прогрессирующего обрушения первого типа
Поскольку плиты перекрытий заведены в стены, а внутренняя поперечная стена не имеет дверного проема, первый механизм обрушения невозможен (см.
п. 8 настоящего приложения).
2.3. Оценка возможности возникновения механизма прогрессирующего обрушения второго типа
Расчет производится в соответствии с
пп. 9 (см.
рис. 13),
13 -
15 настоящего приложения.
2.3.1. Анализ сопротивления наружных стен. Поскольку в данном примере рассматривается здание с наружными стенами из железобетонных панелей, в соответствии с указаниями
п. 14, расчет следует начинать с оценки сопротивления, прогрессирующему обрушению панелей наружных стен и лишь после этого переходить к проверке возможности образования различных типов механизмов прогрессирующего обрушения, изложенной в
пп. 8 -
11. Оценка сопротивления наружных стеновых панелей прогрессирующему обрушению производится по
формулам (22),
(23).
Слева и справа одинаковые панели НС1, их разрушение одинаково, предельные изгибающие моменты приняты по
п. 2.1.1:

;

;

;

;

; w = 1.
Условие выполнено.
2.3.2. Сопротивление обрушению плит перекрытий. Плиты перекрытий заведены в наружные стены, поэтому для них определяется сопротивление их внешнего края по
п. 15. Левая и правая плиты одинаковы, схемы излома их также одинаковы и показаны на
рис. 13, в. Изгибающие моменты, воспринимаемые сечениями плиты П1, принимаются по
п. 2.1.2:

;

;

.
Сопротивление внешнего края плиты перекрытия, заведенного в наружные стены, подсчитывается по
формуле (29) настоящего приложения, которая в случае

принимает вид

, тогда при

и

для каждой плиты получим:
Теперь по
формуле (27) определяем

, и далее весь расчет производится в соответствии с требованиями
п. 9.
Работа внутренних и внешних сил на перемещениях плит перекрытий подсчитывается по
формулам (15):

при

;

;

.
2.3.3. Работа связей определяется по
формуле (13), которая при

примет вид:

.
В
п. 2.1.3 определено

;

(высота стены); L = 5,4 м;

.
2.3.4. Работа поперечной внутренней стены. Панель внутренней стены поворачивается как жесткий диск, при этом работа сил веса определяется по
формуле (14) 
, где

;

; x = 0,5L;

.
2.3.5. Проверка общего условия невозможности образования механизма второго типа. Проверка производится по
формуле (12)

;

;

.
Условие равновесия не выполняется. Необходимо или усилить связь второго типа, или поставить связи третьего типа.
В последнем случае необходимая несущая способность связей с учетом
формулы (13) определяется

, что соответствует площади сечения стержня из стали А-I

.
2.4. Оценка возможности возникновения механизма прогрессирующего обрушения третьего типа
Проверка производится в соответствии с
п. 10. Для третьего механизма обрушения рассматривается обрушение одних только плит перекрытий, расположенных непосредственно над выбитыми панелями, защемление плит в этих панелях не реализуется и в соответствии с требованиями
п. 15 настоящего приложения в
формулах (16) и
(17) нужно принимать

. Тогда
формула (16) примет вид:

, где

,

(см.
п. 2.3.2).
Условие (16) не выполняется (0 < 25), следовательно, необходимо установить связи растяжения между плитой и вышерасположенной стеной. При установке на внешнем углу каждой плиты связи диаметром 10 мм из стали класса А-I получим

,

, w = 1. Тогда проверяется
условие (17), которое при

и

запишется

, где

, условие необрушения соблюдается.
2.5. Оценка возможности возникновения механизма прогрессирующего обрушения четвертого типа
Так как внутренняя поперечная стена не имеет проемов, а плиты перекрытий заведены в стены, этот механизм обрушения невозможен (см.
п. 11).
3. Проверка устойчивости здания при локальном разрушении его несущих конструкций по
схеме N 2
Рассматривается обрушение конструктивной ячейки в осях 2 - 5 и А - В
(рис. 14) на i-м этаже здания. Первично разрушается панель внутренней стены по оси 3 между осями А и В и примыкающие к ней два простенка наружных стен по осям А и Б. Проверяется невозможность обрушения зависших над этим локальным разрушением конструкций перекрытий и стеновых панелей. Прогрессирующему разрушению в данном случае сопротивляются на каждом этаже панель внутренней стены; связи сдвига и растяжения, соединяющие ее с внутренними продольными стенами; плиты перекрытий слева и справа от оси 3; наружные стены и связи сдвига между наружными стенами и панелью внутренней стены.
Рис. 14. 2-я схема излома элементов фрагмента
3.1. Расчет несущей способности отдельных сечений конструктивных элементов
3.1.1. Панель наружной стены НС1. Несущие способности сечений панели при изломе ее (как рамы с четырьмя пластическими шарнирами) примем по результатам расчета, приведенного в
п. 2.1.1:

;

;

.
3.1.2. Панель наружной стены НС2. Панель двухмодульная, при потере одной опоры работает как рама с образованием четырех пластических шарниров.
Предельные изгибающие моменты в сечениях верхней перемычки. При

;

;

;

,

определяют по аналогии с перемычками панели НС1, и равны

.
Предельные изгибающие моменты в сечениях подоконной перемычки при

, b = 35 см, h = 87 см равны

.
Несущая способность простенков по изгибу заведомо больше, чем перемычек, так как при одинаковом с перемычкой армировании они имеют большую высоту сечения.
Проверка возможности разрушения панели от действия поперечной силы производится так, как это показано в расчете панели НС1. Здесь этот расчет не приводится, он дает удовлетворительный результат.
Предельные изгибающие моменты, действующие в угловых шарнирах рамы, равны

;

.
3.1.3. Плиты перекрытий. Предельные моменты в сечениях плиты П1 принимаются из расчета, приведенного в
п. 2.1.2:

;

;

.
Плита перекрытия П2 не имеет верхней арматуры, следовательно

. При характеристиках h = 16 см, бетон класса М20,

определяют несущие способности сечений.
Изгиб вдоль короткой стороны: b = L = 600 см,

,

(31 стержень диаметром 5 мм из проволоки класса Вр-I);

,

. Изгиб вдоль длинной стороны b = l = 300 см;

;

(23 стержня диаметром 14 мм из стали класса А-III);

;

.
Плита перекрытия П3 по размерам, классу бетона, высоте сечения и армированию аналогична плите П2, следовательно несущие способности по изгибу ее сечений равны

;

;

.
3.1.4. Панель внутренней стены. Прочность по изгибу сечения перемычки - "флажка" определяется по аналогии с сечениями перемычек наружных стен при характеристиках: h = 52,5 см;

; b = 16 см;

,

. Предельный изгибающий момент

.
Прочность сдвиговой связи

определяется по рекомендациям
п. 5.36 и
формуле (124). Пособия:

, где

;

,

(2 стержня диаметром 12 мм из стали класса А-I),

. Далее проверяется
условие (6) 
,

, условие удовлетворяется.
Прочность горизонтальной связи растяжения определяет прочность левого опорного сечения перемычки. Рассмотренная в предыдущем пункте связь при работе на растяжение имеет прочность

. Сопротивление изгибу левого сечения перемычки

. Здесь принимается, что прочность анкеровки связи и прочность примыкающей стены не менее прочности связи на растяжение. Нижняя перемычка в проеме отсутствует и

.
3.1.5. Связи сдвига четвертого типа
Эти связи соединяют наружные панели с внутренней стеной. Прочность каждой связи определяется по аналогии со связью сдвига

при

;

.
3.2. Оценка возможности возникновения механизма прогрессирующего обрушения первого типа (см.
рис. 14)
Расчет производится в соответствии с
п. 8 и с учетом
пп. 13 -
15.
3.2.1. Анализ сопротивления наружных стен
а) Схема разрушения левой панели НС1 отличается от описанной в
2.3.1 только величиной рабочего пролета надоконной перемычки. При расположении балконной двери ближе к обрушаемой внутренней стене, чем окно,

. Предельные изгибающие моменты приняты по
п. 2.1.1 
;

;

. По
формуле (23) вычисляем

.
б) Наружная панель НС2 имеет оконный проем, где

; предельные моменты приняты по
п. 3.1.2 
;

; w = 1; по аналогии с НС1 вычисляется:

.
в) Сумма работ внутренних сил наружных панелей вычисляется по
формуле (22) 
.
Работа сил веса наружных стен определяется по
формуле (11) п. 8, но так как панель НС2 двухмодульная, в формулу подставляется не полный вес панели, а половина его. Тогда:

.
3.2.2. Сопротивление обрушению плит перекрытий
а) Левая плита перекрытий имеет характеристики:

;

;

; L = 5,4 м; t = 1,35; f = 0. Для первого механизма обрушения сопротивление внешнего края определяется по
формуле (28), которая в случае

принимает вид:

.
Рис. 15. Возможные схемы излома плит перекрытий
Работа внутренних и внешних сил на перемещениях плиты перекрытия П1 подсчитывается по
формуле (9) при

;

.
Так как в
Прил. 2 не рассматривается случай разрезки перекрытия в комнате на две и более плит, работа внутренних и внешних сил определяется по формулам
п. 6 
;

.
Схема излома плиты П2 показана на
рис. 15, г, пунктиром обозначен пластический шарнир с растяжением нижней арматуры. Направление этого шарнира выбрано таким, чтобы работа внутренних сил была минимальной. Из геометрических соотношений находим

;

;

. Угол перелома плиты в пластическом шарнире w = (0,911 - 0,048) / 1,03 - (1 - 0,911) / 1,55 = 0,781 1/м.
Предельный изгибающий момент в сечении по линии шарнира

.

.

.
Армирование плиты П3 аналогично плите П2. Несущая способность поперечных сечений плиты по изгибу

;

. Пластические шарниры проходят через края оконного проема в наружной стене
(рис. 15, е). Пластический шарнир с растяжением нижних волокон возникает в плите из-за ее защемления в наружных стенах, поэтому работа внутренних сил на перемещениях этого шарнира относится к сопротивлению внешнего края. Из геометрических соотношений h = 0,787 м; w = 1,16 1/м;

. Так же, как и для плиты П2, вычисляется M = 144 кН·м, а также величины

и

:

;

.
г) Величина

для доборной плиты равна нулю, работа внешних сил определяется

.
д) Суммируя по всем плитам перекрытия ячейки, получим

,

,

.
3.2.3. Работа поперечной внутренней стены. Предельные моменты в перемычке - "флажке" (см.
п. 3.1.4 Пособия)

;

. При отсутствии нижней перемычки

и тогда
формула (5) примет вид

.
Вес панели

.
Нагрузка, передающаяся с лоджии

, где вес стенки лоджии составляет 14 кН.
Работа внешних сил на единичном перемещении вычислим по
формуле (7) 
.
3.2.4. Проверка общего условия невозможности образования механизма первого типа. Проверка производится по
формуле (4), которую в случае отрицательного значения

запишем в виде

.
Подставляя в эту формулу полученные выше значения, получим 42 + 48,9 + 266,7 > 70,6 + 115; 357,6 > 185,6, условие выполняется, обрушение конструкций по рассматриваемой схеме (механизм I типа) невозможно.
3.3. Оценка возможности возникновения механизма прогрессирующего обрушения второго типа
(рис. 16)
Расчет производится в соответствии с требованиями
п. 9 и с учетом
пп. 13 -
15, а также особенностей конструкции рассматриваемой ячейки.
а)
б)
в)
Рис. 16. 3-я схема излома элементов фрагмента
3.3.1. Анализ сопротивления наружных стен. Схемы излома наружных керамзитобетонных стен те же, что и для первого механизма обрушения с той только разницей, что перемещение левой панели НС1 равно w'' = w''L' / L'' = 1 x 5,4 / 6,6 = 0,82.
Тогда, используя результат, полученный в
п. 3.2.1 а, определяем:

.
Для правой наружной панели w = 1, значит, как и в
п. 3.2.1 б 
;

.
При подсчете работы сил веса, учитывая, что перемещение НС1 w' = 0,82, получим

;

.
3.3.2. Сопротивление обрушению плит перекрытий
а) Сопротивление внешнего края левой плиты П1 определяется по
формуле (29), которая при

имеет вид

.
Работа внутренних и внешних сил, приложенных к плите П1, принимается из расчета, изложенного в
п. 2.3.2, при w = 0,82,

;

.
б) Плита П2 разрушается с образованием одного пластического шарнира с растяжением верхних волокон (см.
рис. 16). Так как верхней арматуры в плите нет,

.

.
| | ИС МЕГАНОРМ: примечание. В официальном тексте документа, видимо, допущена опечатка: рисунок 16, г отсутствует. | |
в) Разрушение плиты П3 показано на
рис. 16, г, пластический шарнир с растяжением нижних волокон определяет сопротивление внешнего края перекрытия, заведенного в наружную стену. Из геометрических соотношений определяют величины w = 1,42 1/м и

.
Предельный изгибающий момент, воспринимаемый сечением плиты по линии пластического шарнира, подсчитывается по формуле, приведенной в
п. 3.2.2 б и равен M = 16,4 кН. Тогда работы внешних и внутренних сил, приложенных к плите П3, составят:

;

;

.
г) Работа внешних сил на перемещениях доборной плиты

.
д) Сумма работ внутренних сил в плитах перекрытий ячейки составит

;

;

.
3.3.3. Работа связей. Связей сдвига третьего типа между перекрытием и нижерасположенной внутренней стеной в конструкции нет, поэтому
формула (13) принимает вид

, где

;

; L = 6,6 м;

.
3.3.4. Сопротивление внутренней стены. Работа внешних сил, приложенных к внутренней поперечной стене, вычисляется по
формуле (14) при

;

, L = 6,6 м;

.

.
3.3.5. Проверка общего условия невозможности образования механизма второго типа. Проверка производится по
формуле (12), которую в данном случае удобнее записать в виде

; 26,9 + 173,8 > 46,6 + 34,5; 200,7 кН > 81,1 кН, условие выполняется. Обрушение конструкций по рассматриваемой схеме (механизм второго типа) невозможно.
3.4. Оценка возможности возникновения механизма прогрессирующего обрушения третьего типа
Как указывалось в
п. 2.4, проверку устойчивости к прогрессирующему обрушению в данном случае нужно вести по формуле

.
В связи с тем, что перекрытие справа разрезано на три плиты, схемы разрушения этих плит отличаются от схем, описанных в
Прил. 2, поэтому
условие (16) проверяется отдельно для каждой плиты.
а) Обрушение плиты П1 (см.
рис. 15, а) рассмотрено в
п. 2.4, проведенный расчет показал необходимость установки связи диаметром 10 мм, прикрепляющей угол плиты к вышерасположенной стене.
б) Схема обрушения плиты П2 показана на
рис. 15, в. Возникновение пластического шарнира в плите с растяжением верхней арматуры не вызывает работы внутренних сил из-за отсутствия верхней арматуры, то есть

. Работа внешних сил на перемещениях плиты

.
Условие устойчивости против обрушения

не выполняется, так как 0 < 18,9 и, следовательно, необходимо угол плиты прикрепить связью к вышерасположенной стене. При установке стержня диаметром 10 мм из стали класса А-I получаем n = 1;

;

, и тогда по
формуле (17) проверяется условие необрушения плиты П2

, где

.
Таким образом, 18,4 кН ~= 18,9 кН, связь достаточна.
в) Аналогичным образом определяется необходимость установки связей пятого типа 2 стержня диаметром 10 мм из стали класса А-I в плите П3, схема излома которой показана на
рис. 15, д. Определив величины работ внутренних и внешних сил на перемещениях плиты П3

;

,

, проверяем условие невозможности обрушения:

, условие выполняется.
3.5. Проверка общего условия невозможности образования механизма четвертого типа
3.5.1. Анализ сопротивления наружных стен. По указанию
п. 15 настоящего приложения необходимо проверить условие

. Так как связи растяжения седьмого типа между наружными стенами и плитами перекрытий отсутствуют в конструкции,

, и упомянутое условие не выполняется; в соответствии с
п. 15 в
формуле (19) нужно принимать

,

.
3.5.2. Работа плит перекрытий. В связи с тем, что левое перекрытие разрезано на отдельные плиты, величины

и

вычисляют в соответствии со схемами излома элементов, показанными на рис. 17.
Рис. 17. 4-я схема излома элементов фрагмента
Все плиты перекрытий разрушаются с образованием верхних пластических шарниров, следовательно

.
Для подсчета работ внешних сил, приложенных к плитам перекрытий, из очевидных геометрических соотношений определяют их перемещения

;

;

.
Далее определяют работу внешних сил на перемещениях каждой плиты перекрытия:

;

;

;

;

.
3.5.3. Работа связей
а) Сопротивление связей пятого типа (см.
п. 3.4)

.
Связи шестого типа в конструкции отсутствуют.
Работа внутренних сил при разрушении связей определяется по
формуле (20) 
.
б) Связи сдвига четвертого типа в конструкции представлены тремя стержнями диаметром 12 мм из стали класса А-I по одному стержню между внутренней стеной и каждой наружной панелью, а также между стенкой лоджии и внутренней стеной, несущая способность каждого стержня в соответствии с
п. 3.1.5 равна 18,6 кН, тогда

.
Сопротивление внутренней стены
3.5.4. Проверка общего условия невозможности образования механизма четвертого типа. Проверка производится по
формуле (19), которая в случае равенства нулю величин

,

и

, принимает вид
| | ИС МЕГАНОРМ: примечание. Формула дана в соответствии с официальным текстом документа. | |

,
где L = 5,4 м; L - c = 1,35; 1 - c / L = 0,25.
Подставляя вычисленные выше значения, получим

;

.
Условие необрушения не выполняется, рекомендуется поставить связи шестого типа, несущая способность которых с учетом
формулы (20) определяется

.
Обеспечить величину

можно, например, поставив два стержня диаметром 10 мм из стали класса А-I.
РАСЧЕТ КОНСТРУКЦИЙ НИЖНИХ НЕЖИЛЫХ ЭТАЖЕЙ
БЕСКАРКАСНЫХ ЖИЛЫХ ЗДАНИЙ
1. В настоящем приложении рассмотрены особенности расчета сборных несущих конструкций нижних нежилых этажей жилых зданий, конструктивные решения которых рекомендованы
разд. 2 настоящего Пособия.
2. Несущую систему конструкций нижних нежилых этажей рекомендуется рассчитывать совместно с опирающимися на них конструкциями верхних этажей. При расчете здания допускается из несущей системы выделять фрагмент, состоящий из конструкций подвала, техподполья, первого нежилого этажа, технического этажа и типового жилого этажа либо двух типовых этажей, по верху которых приложена нагрузка от веса конструкций вышерасположенных этажей и ветровая нагрузка на них.
При расчете зданий комбинированной системы с каркасными нижними этажами горизонтальные (ветровые) нагрузки рекомендуется передавать на стены лестнично-лифтовых узлов. При расчете зданий стеновой системы со встроенными нежилыми нижними этажами допускается в первом приближении усилия от горизонтальных нагрузок определять как для регулярной системы без учета изменения положения и размеров проемов в нижних этажах. После определения усилий от горизонтальной нагрузки каждая из стен (диафрагм жесткости) рассчитывается с учетом реальной схемы и расположения проемов.
При расчете рекомендуется учитывать, что для зданий высотой 12 этажей и менее, как правило, усилия от ветровых нагрузок не являются определяющими для назначения сечений конструкций и их армирования. Поэтому компоновку несущей системы зданий со встроенными нежилыми помещениями допускается выполнять исходя из вертикальных нагрузок.
3. Несущую систему конструкций нижних этажей рекомендуется рассчитывать с использованием метода конечного элемента (МКЭ). Расчет допускается выполнять в упругой стадии.
При использовании МКЭ рекомендуется:
модель разбивать на прямоугольные элементы так, чтобы размеры простенков и перемычки были кратны размерам сетки;
при арочных проемах дуги окружности заменять прямыми и вводить в углах треугольные плоские элементы;
платформенный стык моделировать в виде прямоугольных элементов с толщиной, равной средней толщине верхней и нижней панелей и модулем упругости, который является обратной величиной от податливости платформенного стыка на сжатие;
стойки каркаса моделировать связями конечной жесткости, которые учитывают также податливость основания;
в плоскую расчетную модель необходимо включать горизонтальные связи между конструкциями, расположенными вдоль одной оси, которые работают в нижнем этаже на растяжение, а выше - на сжатие, с их реальными жесткостными характеристиками;
при расчете стеновых систем в расчетной схеме необходимо учитывать податливость основания;
в зданиях с опиранием перекрытий по трем и четырем сторонам рекомендуется пользоваться для расчета пространственными расчетными схемами с включением стен поперечного и продольного направлений, учитывая связи на сдвиг конечной жесткости (между продольной и поперечной стеной) в уровне перекрытий, это позволит снизить нагрузку на простенок поперечной стены в уровне пола второго этажа, примыкающий к продольной стене, на 10 - 15% в зависимости от конструкции;
при наличии оси симметрии в расчет включать часть поперечника до оси симметрии, учитывая работу отрезанной части выполнением краевых условий на оси симметрии.
4. Прочность конструкций встроенных этажей и их армирование рекомендуется проверять по интегральным значениям усилий в основных сечениях, полученным исходя из напряжений в этих сечениях.
5. При расчете зданий стеновой системы принимается, что основными сечениями, по которым необходима проверка прочности, являются горизонтальные опорные сечения в уровне пола первого и второго этажей, горизонтальные сечения по верху проемов и вертикальные сечения перемычек первого этажа в местах заделки и в середине пролета; горизонтальные стыки необходимо проверять на действие вертикального давления, перемычку - на растяжение в центре и поперечную силу в заделке, а также момента.
6. При назначении размеров и расположения проемов в первом этаже следует учитывать, что несимметричное расположение проема в первом этаже приводит к неравномерному распределению давления в зоне платформенного стыка; наиболее выгодно располагать проем в первом этаже симметрично так, чтобы проем в типовом этаже находился в зоне перемычки над проемом первого этажа.
7. Размеры простенков в панели первого этажа должны назначаться таким образом, чтобы среднее давление на 1 м простенка не превышало несущей способности 1 м платформенного стыка, при этом в расчетную длину шва над панелью первого этажа могут быть включены участки перемычек длиной 0,5 от ее высоты в месте заделки в простенок. При несимметричном расположении проемов наиболее нагружен меньший по ширине простенок (как правило).
8. Расчет перемычки на действие поперечной и внецентренной продольной сил можно выполнять независимо. Для назначения размеров сечения поперечную силу в перемычке рекомендуется определять как произведение максимального среднего давления на 1 м простенка, умноженного на 0,8 высоты перемычки. Растягивающая сила в перемычке может быть определена как усилие в затяжке условной арки. Для перемычек пролетом от 3,3 до 2,4 м такая условная арка
(рис. 1) приближенно имеет пролет, равный пролету перемычки в свету, и высоту, также равную пролету перемычки; растягивающее усилие в ней рекомендуется определять по формуле

, (1)
где q - нагрузка от верхних этажей в уровне пола второго типового этажа;

- пролет перемычки в свету;

- высота перемычки;

- минимальная высота перемычки, равная 0,5 м.
Рис. 1. Схема условной арки для определения
растягивающей силы в перемычке первого нежилого этажа
9. Если по результатам упругого расчета расчетные параметры конструкции определяют усилия сжатия в горизонтальном стыке, то данные упругого расчета могут быть использованы для определения прочности и армирования конструкции. Если определяющими являются усилия в перемычке, то рекомендуется применить для расчета неупругую расчетную модель, позволяющую снизить расход арматуры на армирование перемычки.
10. Для бескаркасных зданий, в одном панельном нежилом этаже которых стеновые панели имеют большие (более 1,5 м) проемы, допускается приближенный расчет перемычек и стыков стеновых панелей при выполнении следующих конструктивных ограничений: длина панели - не менее 6 м, ширина проема - не более 2,4 м, ширина каждого из простенков - не менее 0,75 от ширины проема, высота сечения перемычки - не менее 1/3 от ее длины (ширины проема), в панели технического подполья проемы расположены под проемом нежилого этажа. Число панелей с большими проемами не превышает трех на каждую секцию.
Если перечисленные ограничения соблюдены, то прочность верхнего стыка и перемычки панели нежилого этажа проверяется по следующим формулам:
при отсутствии проема в стеновой панели жилой части дома

; (2)

; (3)
при наличии в жилом этаже проема, расположенного в плане в пределах проема нежилого этажа и имеющего ширину, меньшую половины ширины проема нежилого этажа (см.
рис. 1):

; (4)

. (5)
В
формулах (2) - (5) N - равнодействующая всех внутренних вертикальных усилий в уровне верха стеновой панели нежилого этажа;

- предельное сопротивление стыка над панелью нежилого этажа;

,

- толщины стеновых панелей жилого и нежилого этажей соответственно;

,

- предельные моменты, воспринимаемые сечениями перемычки на опоре и в середине пролета, вычисляемые по
СНиП 2.03.01-84;

,

- ширины простенков панели нежилого этажа;

- расчетное сопротивление бетона при растяжении;

- рабочая высота сечения перемычки;

- усилие в хомутах на единицу длины перемычки;

- длина панели жилого этажа за вычетом ширины проема

.
При подборе поперечной арматуры перемычки должно быть соблюдено условие

, (6)
где

- расчетное сопротивление бетона при сжатии;
Прочность нижнего стыка оценивается по формулам:
для левого простенка

; (7)
для правого простенка

, (8)
где

- предельное сопротивление стыка под панелью нежилого этажа.
11. При каркасном решении нижних этажей здания наиболее напряженными участками балок-стенок, которые необходимо проверять расчетом, являются следующие:
перемычки (верхние и нижние) в зоне проемов (для прохода людей); они должны быть проверены на поперечную силу и момент, действующие в этом сечении;
участки главных балок-стенок в местах опирания на них второстепенных балок-стенок необходимо проверять на действие поперечной силы и смятие опорных частей;
опорные участки балок-стенок и колонн рассчитывать на смятие.
12. Прогибы балок-стенок, на которые опираются несущие стены здания при каркасной конструкции нижних этажей, рекомендуется ограничивать исходя из предельных взаимных смещений стеновых панелей, равных 1 см. Предельные прогибы ригелей следует принимать по
СНиП 2.03.01-84.
13. Для увеличения несущей способности и жесткости системы возможно объединение балок-стенок и ригелей в единую систему при помощи металлических или железобетонных связей по длине зоны контакта.
Несущая система балки-стенки и ригеля может считаться монолитной, если стыковое соединение воспринимает сдвигающее усилие, равное или большее, чем усилие, определяемое по формуле

, (9)
где M - максимальный момент внешних сил, действующий на систему;

,

- предельные моменты, воспринимаемые балкой-стенкой и ригелем;
H - расстояние между нейтральными осями балки-стенки и ригеля.
В случае, если условие (9) не выполняется для систем, в которых жесткость ригеля соизмерима с жесткостью балки-стенки, несущую способность системы можно проверять методом предельного равновесия.
Несущая способность системы должна определяться как наименьшее из значений, соответствующих различным нормальным сечениям, наиболее опасными из которых являются: в середине пролета системы, в зоне проема, в местах изменения высоты, толщины сечения и армирования.
14. Для системы, предельное состояние которой определяется образованием шарнира в зоне максимального момента, предельную нагрузку на систему можно определить по формуле

, (10)
где q - равномерно распределенная нагрузка, проложенная по верху балки-стенки и соответствующая несущей способности системы по рассматриваемому нормальному сечению;

,

- предельные моменты, воспринимаемые балкой-стенкой и ригелем в рассматриваемом сечении;

- момент в рассматриваемом сечении несущего элемента от нагрузки, приложенной непосредственно к элементу (включая собственный вес балки-стенки);

; (11)
l - расчетный пролет системы, определяемый по формуле

; (12)

- пролет в свету между опорами;

,

- ширина левой и правой площадок опирания;

- расстояние до рассматриваемого сечения;

,

- предельные сдвигающие силы, воспринимаемые стыком на участках

и

.
15. Расчетную длину колонн (при их расчете на вертикальную нагрузку) рекомендуется принимать в зависимости от жесткости узлов между балками-стенками и колонной, жесткости дисков перекрытий и наличия диафрагм жесткости, но не менее высоты первого этажа. В местах опирания ригелей на колонны необходимо предусмотреть металлические закладные детали в колонне и ригеле, воспринимающие часть опорного момента, величиной не менее 30 кН·м.
Пример расчета. Требуется проверить прочность стеновой панели первого нежилого этажа, показанной на рис. 2

.
Рис. 2. Стеновая панель первого нежилого этажа
Исходные данные:
N = 3400 кН. Бетон класса В20

,

. Арматура класса А-III

,

. Армирование в опорных и пролетном сечениях перемычки одинаково, площадь сечения продольной арматуры

. Площадь сечения хомутов

. Шаг хомутов s = 150 мм.
Прочность стыков: верхнего

, нижнего

.
Толщины панелей: жилого этажа

; нежилого этажа

. Высота перемычки h = 800 мм;

.
Предельные моменты сечения перемычки:

.
Высота сжатой зоны x = (355 x 942) / (11,5 x 220) = 132 мм.
Относительная высота сжатой зоны:

.
Предельный момент поперечного сечения

. Проверка выполнения
неравенства (2):


.
Усилие в хомутах на единицу длины перемычки

.


.
тогда

;

.

.
Кроме проверки прочности необходимо проверить ширину раскрытия трещин.
ПО ОПРЕДЕЛЕНИЮ ПОДАТЛИВОСТИ СОЕДИНЕНИЙ ЭЛЕМЕНТОВ
НЕСУЩИХ КОНСТРУКЦИЙ
1. В настоящем приложении приведены рекомендации по определению коэффициентов податливости соединений сборных бетонных и железобетонных элементов, а также швов бетонирования стен из монолитного бетона, стыков между сборными и монолитными конструкциями жилых зданий и перемычек.
Коэффициентом податливости соединения называется величина, численно равная деформации соединения, вызванной единичной сосредоточенной или распределенной силой.
Коэффициенты податливости соединений при растяжении

, сдвиге

, коэффициенты податливости перемычек при перекосе

определяют от сосредоточенных сил; коэффициенты податливости при сжатии

и повороте

- от распределенных сил.
Для соединений, имеющих несколько характерных стадий работы (например, до образования трещин в соединении и после), коэффициенты податливости (жесткости) следует принимать для каждой стадии дифференцированно. Деформация соединения в этом случае определяется как сумма деформаций от приращений усилий на отдельных этапах.
Основные виды соединений и размерность коэффициентов податливости приведены в табл. 1.
Таблица 1
Коэффициент податливости | Обозначение | Размерность | Схема соединения |
При растяжении | | мм/Н (см/кгс) | |
При сжатии | | мм3/Н (см3/кгс) |
При сдвиге | | мм/Н (см/кгс) |
При повороте | | 1/мН (1/кгс) |
При соединении элементов системой связей следует различать следующие случаи их расположения:
Рис. 1. Схема соединений
а, б - последовательные;
в, г - параллельные; д, е - смешанные
Коэффициенты податливости

соединения, состоящего из системы сосредоточенных связей, определяют по формулам:
в случае последовательного расположения связей

; (1)
в случае параллельного расположения связей

, (2)
где n - число связей в соединении;

- коэффициент податливости i-й связи.
В смешанном случае выделяют группы однородно расположенных связей и для каждой из них по
формулам (1) или (2) вычисляют коэффициенты податливости, в результате чего систему приводят к случаю последовательного или параллельного расположения связей.
Для определения коэффициента податливости соединения, имеющего сосредоточенные и распределенные связи, последние заменяют эквивалентными по жесткости, сосредоточенными.
2. Коэффициент податливости при растяжении

соединения сборных элементов в виде сваренных между собой и замоноличенных бетоном арматурных выпусков определяют по формуле

, (3)
где

- ширина раскрытия трещин, нормальных к арматурной связи, вызванных растягивающими напряжениями в связи

; значение ширины раскрытия трещин рекомендуется определять по указаниям норм проектирования железобетонных конструкций.
Деформации растяжения связей в виде петлевых выпусков диаметра 8 - 12 мм, соединенных между собой скобами из арматурной стали и замоноличенных бетоном класса не ниже В15, можно определять как для сварных связей, площадь которых соответствует площади поперечного сечения арматуры петлевого выпуска. Диаметр арматуры скобы должен быть при этом не менее диаметра петлевого выпуска.
3. Коэффициент податливости при сжатии

соединения элементов определяют в зависимости от конструктивного типа стыка.
Для контактного горизонтального стыка, в котором сжимающую нагрузку передают через слой раствора толщиной не более 30 мм, коэффициент податливости при сжатии

определяют по формуле

, (4)
где

- коэффициент податливости горизонтального растворного шва при сжатии, определяемый по
п. 4 настоящего приложения;

- высота контактного участка стыка;

- модуль деформации бетона стены;
A - площадь горизонтального сечения стены в уровне расположения проемов;

- площадь контактного участка стыка, через которую передают сжимающую нагрузку.
| | ИС МЕГАНОРМ: примечание. Обозначение дано в соответствии с официальным текстом документа. | |
Для монолитного горизонтального стыка, в котором сжимающая нагрузка передается через растворный шов в уровне верха перекрытия и слой бетона, коэффициент податливости при сжатии

определяют по формуле

, (5)
где

- высота (толщина) слоя монолитного бетона в стыке;

- начальный модуль упругости бетона замоноличивания стыка;

- площадь монолитного участка стыка (за минусом опорных участков перекрытий и других ослаблений сечения стыка);

- коэффициент податливости, вычисляемый по
п. 5 настоящего приложения.
Для платформенного горизонтального стыка, в котором сжимающая нагрузка передается через опорные участки плит перекрытий и два растворных шва, уложенные между плитами перекрытий и соединяемыми элементами, коэффициент податливости при сжатии

определяют по формуле

, (6)
где

,

- коэффициенты податливости при сжатии соответственно верхнего и нижнего растворных швов;

- высота (толщина) опорной части плиты перекрытия;

- начальный модуль упругости бетона опорной части плиты перекрытий;

- площадь платформенных участков стыка, через которые передается сжимающее усилие; при неодинаковых размерах опорных площадок вверху и внизу плиты перекрытия принимается их среднее значение.
| | ИС МЕГАНОРМ: примечание. Обозначение дано в соответствии с официальным текстом документа. | |
Для платформенно-монолитного стыка, в котором сжимающая нагрузка передается через платформенный участок площадью

и монолитный участок площадью

, коэффициент податливости при сжатии

определяют по формуле

, (7)
где

,

- коэффициенты податливости при сжатии, вычисляемые соответственно по
формулам (5) и
(6).
Для контактно-платформенного стыка, в котором сжимающая нагрузка передается через контактный участок площадью

и платформенный участок площадью

, коэффициент податливости при сжатии

вычисляют по формуле

, (8)
где

,

- коэффициенты податливости при сжатии, вычисляемые соответственно по
формулам (4) и
(6).
4. Коэффициент податливости при сжатии горизонтального растворного шва

определяют в зависимости от способа укладки и прочности раствора и среднего значения сжимающих напряжений в растворном шве

.
При кратковременном сжатии для раствора прочностью на сжатие 1 МПа и более при толщине шва 10 - 20 мм коэффициент податливости растворного шва

рекомендуется определять по формулам:
при

;

; (9)
при

, но не более

;

, (10)
где

- среднее значение сжимающих напряжений в растворном шве, МПа;

- кубиковая прочность раствора, МПа;

- толщина растворного шва, мм;

- коэффициент податливости растворного шва при кратковременном сжатии, мм
3/Н.
Коэффициенты податливости растворных швов при кратковременном сжатии при расчете на нагрузки, действующие в стадии эксплуатации здания, разрешается принимать по табл. 2.
Таблица 2
Среднее значение сжимающих напряжений в растворном шве  , МПа | Коэффициент податливости растворного шва толщиной 20 мм при кратковременном сжатии  (мм 3/Н) при кубиковой прочности раствора (МПа) |
1 | 2,5 | 5 | 10 | 20 |
При  | 0,03 | 0,016 | 0,01 | 0,0065 | 0,004 |
При  | 0,1 | 0,054 | 0,034 | 0,021 | 0,013 |
Для горизонтальных швов бетонирования стен из монолитного бетона классов В7,5 - В15 коэффициент податливости при сжатии принимается равным: для тяжелого бетона 0,01 мм
3/Н

; для легкого бетона 0,02 мм
3/Н

.
При сжатии горизонтального растворного шва или шва бетонирования стены из монолитного бетона длительной нагрузкой коэффициент податливости разрешается вычислять по формуле

, (11)
где

- коэффициент податливости шва при кратковременном сжатии;

- характеристика ползучести шва, принимается равной 1.
5. Для горизонтального шва на прокладках ("сухой" шов) коэффициент податливости при кратковременном сжатии определяют по формуле

, (12)
где

- толщина сжатой прокладки в горизонтальном шве;

- начальный модуль упругости прокладки;

- безразмерный коэффициент;

- среднее значение нормальных напряжений, сжимающих прокладки.
Величины

и

разрешается определять по табл. 3.
Таблица 3
Материал прокладки | Толщина прокладки, мм | Ec, МПа | |
Асбестовый картон марки КАОН | 3 | 7 | 2 |
Асбестовый картон марки КАП | 4 | 2,8 | 1,8 |
Асбестовый картон марки КАОН | 6 | 9 | 1,7 |
Асбодревесно-волокнистая плита (АДВП) | 4,8 | 17 | 2,6 |
Древесно-волокнистая плита мягкая М12 (ДВП) | 12,5 | 1,8 | 1,8 |
То же | 16 | 2,2 | 1,2 |
Синтетические сетки из полиэфирной нити, слоями | 5 | 14,2 | 3,5 |
Сетки и сукно бумажной промышленности ("СУБ") | 7 | 3,7 | 3,1 |
Лавсановое волокно прессованное | 6 | 6 | 4,4 |
Рубероид, слоями | 3,77 | 14 | 4,2 |
Пергамин, слоями | - | 15 | 2,5 |
Паронит, слоями | 4,2 | 22 | 4 |
Линолеум ПХВ | 1,8 | 12 | 8,3 |
Песок средней крупности в оболочке из стеклоткани | 30 | 80 | 0 |
Коэффициент податливости горизонтального шва на прокладках при длительном сжатии

допускается принимать равным

.
6. Коэффициент податливости при сдвиге

(мм/Н) соединения двух сборных элементов принимается равным сумме коэффициентов податливости для сечений, примыкающих к каждому из соединяемых элементов.
Для бетонного шпоночного соединения из

однотипных шпонок коэффициент податливости при взаимном сдвиге сборного элемента и бетона замоноличивания стыка определяют по формуле

, (13)
где

- условная высота шпонки, принимаемая при определении ее податливости при сдвиге, равной 250 мм;

- площадь сжатия шпонки, через которую передается в соединении сжимающее усилие, мм
2;

- модуль деформации бетона сборного элемента, МПа;

- то же, бетона замоноличивания вертикального стыка, МПа.
Для армированного шпоночного соединения до образования в стыке наклонных трещин коэффициент податливости при сдвиге определяют по
формуле (13), а после образования наклонных трещин - по формуле

, (14)
| | ИС МЕГАНОРМ: примечание. Формула дана в соответствии с официальным текстом документа. | |
где

, (15)
где

- диаметр арматурных связей между сборными элементами, мм;

- количество арматурных связей между сборными элементами;

- модуль деформации бетона сборного элемента, МПа;

- то же, бетона замоноличивания вертикального стыка, МПа.
Для бесшпоночного соединения сборных элементов с помощью замоноличенных бетоном арматурных связей коэффициент податливости при сдвиге вычисляется по
формуле (15).
Опертые по контуру панели перекрытий при платформенном стыке стеновых панелей могут рассматриваться как связи сдвига между стенами перпендикулярного направления. Для такой связи при марке раствора в швах не ниже 100 и деформациях сдвига не более 0,5 мм коэффициент податливости при сдвиге

.
7. Коэффициентом податливости перемычки называется величина, численно равная взаимному линейному смещению опор по вертикали от единичной поперечной силы, вызывающей перекос перемычки.
Диаграмму зависимости "поперечная сила - взаимное линейное смещение опор" перемычки рекомендуется принимать в виде ломаной (рис. 2), точки перелома которой отражают характерные изменения деформированного состояния или расчетной схемы перемычки, вызванные образованием очередной вертикальной либо наклонной трещины.
Рис. 2. Диаграмма зависимости "поперечная сила Q - взаимное
линейное смещение f опор перемычки" при перекосе
1, ..., m - точки диаграммы, соответствующие
образованию вертикальных трещин и наклонной трещины
Коэффициенты податливости перемычек при перекосе рекомендуется определять исходя из следующих предпосылок и допущений:
выделяют три последовательные стадии деформирования перемычек, границами которых являются моменты появления первых нормальных и наклонных трещин;
принимается, что нормальные трещины первоначально образуются в опорных сечениях перемычки (в местах ее заделки в простенки); по мере увеличения усилий, вызывающих перекос перемычки, могут образовываться дополнительные нормальные трещины; шаг нормальных сечений принимается зависящим только от конструктивного решения перемычки;
наклонные трещины возникают после образования всех нормальных трещин; в тавровой перемычке наклонная трещина развивается только в пределах высоты стенки и, дойдя до полки, переходит в продольную (горизонтальную) трещину.
8. Коэффициент податливости перемычки (до образования трещин) определяют по формулам:
для перемычки прямоугольного сечения

, (16)
для перемычки таврового сечения

, (17)
где

- приведенный пролет перемычки

; (18)
l - пролет перемычки в свету;

- высота сечения перемычки;

,

- соответственно, начальный модуль упругости и модуль сдвига бетона перемычки;

,

- соответственно, момент инерции и площадь поперечного сечения перемычки. В случае таврового сечения (составного либо монолитного) за величину

принимается площадь сечения ребра перемычки на всю его высоту, включая толщину полки.
9. При использовании расчетной схемы диафрагмы в виде составного стержня с непрерывными продольными связями в
формулы (16) и
(17) вводят дополнительное слагаемое

, учитывающее податливость примыкающих к перемычке простенков от изгиба и сдвига в пределах этажа

, (19)
где

- коэффициент податливости левого (правого) простенка при местном изгибе и сдвиге в пределах этажа;

- расстояние от середины пролета перемычки в свету до оси левого (правого) простенка, в который защемлена перемычка;

- высота этажа;

; (20)

- коэффициент, принимаемый равным: 1,2 - для прямоугольных в плане простенков; 1 - для простенков таврового либо двутаврового в плане сечения;

- момент инерции сечения в плане левого (правого) простенка;

- площадь сечения в плане левого (правого) простенка. В случае таврового либо двутаврового сечения за величину

принимают площадь сечения стенки тавра (двутавра) на всю ее высоту, но без учета свесов полок.
| | ИС МЕГАНОРМ: примечание. Текст дан в соответствии с официальным текстом документа. | |
С увеличением коэффициента податливости собственно перемычки относительное влияние податливости примыкающих к ней простенков уменьшается. Например, для перемычек, работающих в упругой стадии, при

податливость простенков можно не учитывать при длине последних 3000 мм и более, а при

- при при длине 2000 мм и более.
10. Коэффициент податливости перемычки в фазе образования вертикальных трещин определяют по формулам:
для перемычки прямоугольного сечения
(рис. 3)

; (21)
для перемычки таврового сечения
(рис. 4)

, (22)
где m - количество вертикальных трещин в одной из растянутых опорных зон перемычки округляется до ближайшего целого числа

; (23)

- среднее расстояние между соседними вертикальными трещинами;

; (24)

- коэффициент, учитывающий вид и профиль арматуры, принимаемый для стержневой арматуры периодического профиля - 0,7; гладкой - 1;

- номинальный диаметр продольной растянутой арматуры, перемычки, мм;

- момент сопротивления трещинообразованию для нижней (верхней) растянутой опорной зоны перемычки;

- расчетное сопротивление бетона растяжению для продольных состояний второй группы;

- поперечная сила в перемычке;

- ширина раскрытия нормальных трещин в растянутой опорной зоне перемычки от единичной поперечной силы

;

; (25)

. (26)
Здесь величина

в мм;

- коэффициент армирования,

;
b - ширина поперечного сечения прямоугольной перемычки либо ребра тавровой;

- рабочая высота сечения перемычки;
a' - расстояние от равнодействующей усилий в продольной растянутой арматуре до ближайшей грани сечения.
Учет податливости примыкающих простенков производят в соответствии с
п. 9.
Рис. 3. Деформирование перемычки прямоугольного сечения
при перекосе в фазе образования нормальных трещин
а - схема трещинообразования; б - расчетная схема;
в - идеализированная расчетная схема
Рис. 4. Деформирование перемычки таврового сечения
при перекосе в фазе образования нормальных трещин
а - схема трещинообразования; б - расчетная схема;
в - идеализированная расчетная схема
11. Поперечные силы в перемычке, вызывающие образование соответственно 1-й, m-й вертикальной трещины, определяют по формулам

; (27)

. (28)
12. Коэффициент податливости перемычки в фазе образования наклонных трещин определяют по формулам:
для перемычки прямоугольного сечения с отношением
(рис. 5)

; (29)
для перемычки прямоугольного сечения с отношением
(рис. 6)

; (30)
для перемычки таврового сечения
(рис. 7)

, (31)
где

,

- соответственно момент инерции и площадь поперечного сечения ребра перемычки высотой

;

- высота полки.
Учет податливости примыкающих простенков производят в соответствии с
п. 9.
Рис. 5. Деформирование перемычки
прямоугольного сечения при

при перекосе
в фазе образования наклонных трещин
а - схема трещинообразования;
б - идеализированная расчетная схема
Рис. 6. Деформирование перемычки
прямоугольного сечения при

при перекосе
в фазе образования наклонных трещин
а - схема трещинообразования;
б - идеализированная расчетная схема
а)
б)
в)
Рис. 7. Деформирование перемычки таврового сечения
при перекосе в фазе образования наклонных трещин
а - схема трещинообразования при

; б - то же,
при

; в - идеализированная расчетная схема
13. Поперечную силу, вызывающую образование наклонной трещины, определяют по формуле

, (32)
где

- угол наклонной трещины к горизонтали,

. (33)
При

принимают

.
РАСЧЕТ ПРОЧНОСТИ АНКЕРОВКИ ДЕТАЛЕЙ ДЛЯ ПОДЪЕМА
ОДНОСЛОЙНЫХ ПЛОСКИХ ИЗДЕЛИЙ ИЗ ТЯЖЕЛОГО БЕТОНА
1. Данные рекомендации распространяются на проектирование строповочных деталей и отверстий для подъема в вертикальном положении однослойных неармированных и слабоармированных плоских изделий толщиной 80 - 220 мм из тяжелого бетона с крупностью заполнителя 10 или 20 мм и нормативной кубиковой прочностью бетона в момент первого подъема от 5 до 25 МПа при действии усилия вдоль детали (подъем с помощью траверс). Допускается подъем за стропы при устройстве отверстий или установке строповочных петель; при этом допускается сгиб выступающей части петли.
Примечание. Подъем за стропы при отсутствии траверс может быть допущен и для других деталей. При этом должна обеспечиваться передача усилия вдоль детали путем использования специальных устройств для восприятия бетоном горизонтальной составляющей усилия в стропах без сгиба выступающей из бетона части детали.
Нормативная кубиковая прочность бетона в момент первого подъема назначается в зависимости от отпускной прочности, а также технологии изготовления изделия и указывается в рабочих чертежах.
2. Рекомендации распространяются на следующие детали: строповочные петли из арматуры диаметром от 10 до 22 мм класса А-I с крюками, расположенными в срединной плоскости панели (рис. 1), гладкие стержни из арматуры диаметром от 10 до 22 мм класса А-I с анкерами в виде крюков или шайб (
рис. 2 и
3), детали из полосовой стали
(рис. 4). Рекомендации распространяются также на строповочные отверстия
(рис. 5).
Рис. 1. Схема расположения строповочной петли в панели
1 - край панели или проема
Рис. 2. Схема расположения в панели
стержня с крюком на конце
1 - край панели или проема
Рис. 3. Схема расположения в панели
стержня с шайбой на конце
1 - край панели или проема
Рис. 4. Схема расположения в панели
детали из полосовой стали
1 - край панели или проема
Рис. 5. Схема расположения отверстия в панели
1 - край панели или проема
3. Прочие детали для подъема, не указанные в
п. 2, а также детали для подъема многослойных, однослойных армированных панелей и панелей из бетонов других видов следует проектировать в соответствии со
СНиП 2.03.01-84.
4. Рекомендуемый расчет прочности анкеровки предполагает отсутствие сквозных трещин в верхней части изделия. Строповка за детали и отверстия бракованных изделий, имеющих сквозные трещины в зоне анкеровки деталей и около отверстий, не допускается.
Конструктивные требования
5. Применяемая арматурная сталь для петель и стержней должна соответствовать требованиям
СНиП 2.03.01-84, предъявляемым к строповочным петлям. Детали из листовой стали изготавливают из стали марок ВСт3пс6 и ВСт3сп5 по ГОСТ 380-71* в соответствии с указаниями
СНиП II-23-81* по применению сталей в зависимости от расчетной температуры. Глубина заделки l деталей должна быть не менее 25 см (при изготовлении в кассетах - не менее 30 см), а расстояние между двумя соседними деталями - не менее 2,5l. Длина и конструкция выступающей из бетона части деталей зависят от конструкции захватного приспособления и особенностей узла сопряжения сборных элементов. Выступающая часть детали из листовой стали должна быть рассчитана в соответствии со
СНиП II-23-81*.
Диаметр строповочного отверстия назначается в зависимости от имеющихся строповочных приспособлений, но не более 70 мм; глубина заложения отверстия l (см.
рис. 5) определяется по
п. 15, но не менее величин, указанных выше для деталей.
Расстояние между деталью и краем панели или проема b (см.
рис. 1 -
4) назначается не менее 200 мм, а при устройстве строповочных отверстий - не менее 400 мм (см.
рис. 5).
| | ИС МЕГАНОРМ: примечание. Нумерация пунктов дана в соответствии с официальным текстом документа. | |
7. Шайбы, как правило, следует изготавливать путем высадки плоской головки (высаженной пластинки). Возможна также приварка к стержню. При этом размер пластины (диаметр круглой или сторона квадратной шайбы) должен быть не менее величины, определяемой расчетом (см. ниже), а толщина пластины - не менее c/4. Детали из листовой стали следует, как правило, изготовлять методом штамповки с последующим машинным гнутьем, а стержни с крюком и строповочные петли - с применением машинного гнутья.
При изготовлении изделий должно быть обеспечено точное положение выступающей из бетона части деталей для возможности использования их в качестве фиксаторов изделий на монтаже. Необходимо не допускать изгиба выступов при транспортировке и монтаже панелей.
Точность положения детали в срединной плоскости изделия и ее выступающей части должна соответствовать допускам на установку арматуры и выпусков железобетонных изделий.
При установке стержня с крюком последний должен быть обращен в сторону, противоположную ближайшему краю изделий или проема (см.
рис. 2).
Расчет деталей
8. Расчет деталей включает в себя определение действующего усилия с коэффициентом надежности по нагрузкам, равным 1, подбор поперечного сечения деталей по прочности металла и определение глубины заделки изделия и размеров концевой части деталей по прочности бетона. Прочность бетона проверяется для двух возможных видов разрушения: выкалывания и локального разрушения в месте расположения концевой части анкера. Расчет по металлу выступающей части деталей должен быть выполнен в зависимости от типа детали и способов захвата.
9. Расчет строповочной детали ведется на действующее усилие

с коэффициентом надежности по нагрузке, равным 1, по нормативной кубиковой прочности бетона на осевое сжатие в момент первого подъема изделия.
10. Усилие (с коэффициентом надежности по нагрузке, равным 1) на деталь определяют путем деления нормативного веса изделия на число деталей, одновременно работающих при подъеме. Число деталей, принимаемых в расчете, равно 2, а при наличии специальных самобалансирующих траверс может быть и больше.
Подбор поперечного сечения деталей по прочности металлов
11. Диаметр

для арматуры строповочной петли (см.
рис. 1) и стержня с крюком или шайбой (см.
рис. 2,
3) назначается в зависимости от усилия (с коэффициентом надежности по нагрузке, равным 1) по табл. 1. Поперечное сечение детали из листовой стали определяют по расчетному сопротивлению металла в соответствии со
СНиП II-23-81* с учетом коэффициентов динамичности 1,4 и надежности по нагрузке 1,1, на которые следует умножить величину действующего усилия.
Диаметр арматуры, мм | Усилие на деталь с коэффициентом надежности по нагрузке, равным 1 кН |
для строповочной петли с подъемом | для стержня без сгиба выступающей части |
без сгиба выступающей части | со сгибом выступающей части |
10 | 10,5 | 7 | 7,6 |
12 | 16,5 | 11 | 11 |
14 | 22,5 | 15 | 15 |
16 | 30 | 20 | 19,6 |
18 | 37,5 | 25 | 24,8 |
20 | 46,5 | 31 | 30,6 |
22 | 57 | 38 | 37 |
При ослаблении сечения деталей резьбой или другим способом расчет следует вести по сечению нетто.
Определение глубины заделки и размеров
концевой части по прочности бетона
12. Глубина заделки деталей для подъема определяется по формуле

, (1)
где

- действующее на деталь усилие с коэффициентом надежности по нагрузке, равным 1;

- коэффициент динамичности, равный 1,4;

- коэффициент надежности по нагрузке, равный 1,1;

- коэффициент, равный 0,92 для строповочной петли, 1 - для стержня с шайбой на конце и 0,65 - для стержня с крюком на конце;
t - толщина изделия;

- расчетное значение критического коэффициента интенсивности напряжений, принимаемое по
табл. 2;

- коэффициент, принимаемый по
табл. 3 и учитывающий отношение расстояния между деталью и краем изделия (или проемом) b к глубине заделки детали l. При расчете по
формуле (1) выбор

по
табл. 3 в зависимости от l производится методом последовательных приближений; при первом шаге можно принять

.
Нормативная кубиковая прочность бетона на сжатие в момент первого подъема, МПа | Расчетное значение критического коэффициента интенсивности напряжений | Размер концевой зоны трещины, см |
5 | 0,27 | 25 |
7,5 | 0,35 | 17 |
10 | 0,43 | 13 |
12,5 | 0,5 | 11 |
15 | 0,56 | 10,5 |
20 | 0,68 | 10 |
25 | 0,79 | 9 |
Примечания. 1. При кассетном способе изготовления изделий значения

следует умножить на 0,85.
2. Значениями

можно пользоваться при отношении l / d >= 3. При 1,5 <= l / d <= 3 эти значения

следует умножать на коэффициент, равный (0,19l / d + 0,43).
3. Значения

и d приведены для бетона с крупностью заполнителя 20 мм. Для бетонов с заполнителем 10 мм значения

необходимо уменьшать в 1,4, а значения d - в два раза.
b/l | 0,1 | 0,2 | 0,4 | 0,6 | 0,8 | 1 | 2 и более |
| 0,55 | 0,65 | 0,80 | 0,9 | 0,94 | 0,95 | 1 |
Глубина заделки l, вычисляемая по
формуле (1), должна удовлетворять условию

, (2)
где

- предельная величина глубины заделки, определяемая согласно п. 13. Если условие (2) не выполняется, то деталь не может воспринять заданное усилие

. В этом случае следует изменить число деталей или их тип, либо параметры, от которых зависит

.
13. Предельную величину глубины заделки деталей для подъема определяем по формулам:
для строповочной петли и стержня с крюком на конце

, (3)
для стержня с шайбой на конце

, (4)
где

;

;
a - максимальный размер заполнителя;

,

- коэффициенты, принимаемые в зависимости от отношения t / d по табл. 4;

- коэффициент, равный 2,4 для стержней с крюком; 3,4 - для строповочной петли при s = t / 3 и 4,7 - при s = 2t (для промежуточных значений s величина

принимается по линейной интерполяции);
d - размер концевой зоны трещины, определяемый по
табл. 2.
t/d | 0,8 | 1 | 1,5 | 2 | 2,5 | 3 |
| 5,5 | 5,5 | 5,0 | 4,7 | 4,5 | 4,2 |
| 4,75 | 4,5 | 4,0 | 3,7 | 3,5 | 3,4 |
Примечание. Значения коэффициентов

и

для промежуточных значений t / d могут быть определены по линейной интерполяции.
14. Глубина заделки деталей из листовой стали назначается по
формуле (1), в которой коэффициент

. Габариты концевой части детали принимают по расчету на местное сжатие бетона в соответствии с требованиями
СНиП 2.03.01-84.
15. Глубина заложения строповочного отверстия определяется по
формуле (1), в которой коэффициент

.
Бетон у отверстия проверяется на местное сжатие в соответствии с требованиями
СНиП 2.03.01-84.
16. При проверочном расчете (заданы глубина заделки и нормативная кубиковая прочность бетона на сжатие в момент первого подъема) за усилие (с коэффициентом надежности по нагрузке, равным 1)

на деталь или строповочное отверстие принимают минимальное значение из величин усилий, определенных из условий разрушения от выкалывания бетона

и локального разрушения

.
Разрушение от выкалывания бетона. Усилие на деталь или строповочное отверстие определяется по формуле

. (5)
Локальное разрушение. Усилие определяется по формулам:
для строповочной петли и стержня с крюком на конце

; (6)
для стержня с шайбой на конце

, (7)
где

- коэффициент, равный: для стержня с крюком - 1, для строповочной петли при s = t / 3 - 1,7 при s >= 2t - 2; для промежуточных значений s величина

принимается по линейной интерполяции;

- расчетное значение сопротивления бетона при осевом растяжении; значения остальных величин, входящих в
формулы (6) и (7), приведены в
п. 12.
Для детали из листовой стали и для строповочного отверстия локальное разрушение оценивается расчетом на местное сжатие с учетом коэффициента динамичности и надежности по нагрузке.
Примеры расчета деталей
Пример 1. Требуется запроектировать детали для подъема стеновой панели толщиной 14 см, массой 6000 кг. Предполагается в каждой панели установить два стержня с шайбой на конце. Расстояние от места установки деталей до края панели - 120 см. Перевод в горизонтальное положение производится с помощью кантователя, подъем - с помощью самобалансирующих траверс (усилие направлено вдоль стержня). Нормативная кубиковая прочность бетона в момент первого подъема 7,5 МПа, крупность заполнителя - 20 мм.
Усилие на деталь (с коэффициентом надежности по нагрузке, равным 1)

. Диаметр стержня принимается по
табл. 1 равным 20 мм.
Глубина заделки определяется по
формуле (1), в которой коэффициент

(для бетона согласно
табл. 2 
, d = 17 см).

.
Так как расстояние до края панели 120 > 2 x 57, то близость к краю не учитывается.

,
решив это уравнение, найдем, что

.
Минимально необходимый размер шайбы c = 5,7 - 2 / 4 = 5,2 см.
Пример 2. Требуется запроектировать деталь для подъема стеновой панели с исходными данными
примера 1 при расположении детали на расстоянии 40 см от края панели.
Определение глубины заделки производим методом последовательных приближений. Сначала не учитываем близость к краю, тогда глубина заделки равна 57 см (см.
пример 1). Отношение b / l = 40 / 57 = 0,7; ему соответствует

по
табл. 3. Из-за влияния края величина l должна быть больше 57 см, а коэффициент меньше 0,92. Принимаем

, тогда

.
Отношение b / l = 40 / 85 = 0,47. Коэффициент

. Для

.
Отношение b / l = 40 / 82 = 0,49 ~= 0,5. Коэффициент

.
Принимаем l = 80 см. Для этой глубины заделки минимальный размер шайбы

определяем из
уравнения (4)

,
решив это уравнение, найдем, что

.
Минимальный размер шайбы равен

.
Пример 3. Требуется запроектировать детали для подъема стеновых панелей с исходными данными
примера 1 при нормативной кубиковой прочности бетона при первом подъеме 10 МПа и крупности заполнителя 20 мм в случае установки двух стержней с крюками на конце

.
Глубину заделки определяем по
формуле (1), в которой коэффициент

(для бетона с прочностью 10 МПа по
табл. 2 определяем

, d = 13 см).

.
Предельную глубину заделки определяем по
формуле (3) (

;

, при t / d = 1,08 по
табл. 4 
), она равна

.
Подъем панели за стержни диаметром 20 мм и концевой частью в виде крюка невозможен.
Пример 4. Требуется запроектировать детали для подъема стеновой панели с исходными данными
примера 3 в случае установки двух строповочных петель.
Перевод в горизонтальное положение производится с помощью кантователя, подъем - стропами со сгибом выступающей части. Параметры петли:

. Петли расположены на значительном расстоянии друг от друга и от края панели или проема.
Усилие на деталь (с коэффициентом надежности по нагрузке, равным 1)

. Диаметр стержня принимается по
табл. 1 равным 20 мм, D = 7 см.
Глубину заделки определяем по
формуле (1), в которой

; для бетона с нормативной кубиковой прочностью 10 МПа по
табл. 2 
, d = 13 см,

.
Предельную глубину заделки для петли определяем по
формуле (3) при

;

;

(при t / d = 1,07 - по
табл. 4)

.
Принимаем глубину заделки равной 45 см.
Пример 5. Требуется запроектировать строповочные петли для подъема стеновой панели с исходными данными
примера 3, для случая подъема с помощью самобалансирующих траверс усилие направлено вдоль петли.
Диаметр арматуры петли принимаем по
табл. 1 равным 16 мм, D = 56 мм.
Предельную глубину заделки для петли определяем по
формуле (3) при

;

;

(при t / d = 1,07
табл. 4)

.
Принимаем глубину заделки 45 см.
ОСНОВНЫЕ СВЕДЕНИЯ О МАТЕРИАЛАХ
И ИЗДЕЛИЯХ ДЛЯ ИЗОЛЯЦИИ СТЫКОВ
Наименование материала, ГОСТ или ТУ | Описание материала | Назначение материала | Средний расход на 1 м стыка | Примечания |
1. Уплотняющие прокладки |
| Вулканизированные пористые прокладки круглого (диаметром от 10 до 60 мм) и прямоугольного (30 x 40 и 40 x 60 мм) сечений из смесей на основе различных каучуков. Цвета: черный, коричневый | Устройство упругой основы под герметизирующие мастики в закрытых и дренированных стыках панелей наружных стен; устройство воздухозащиты в стыках всех типов | 1,05 м | Интервал температур эксплуатации от -30 до +70 °C, для морозостойких прокладок от -60 до +50 °C. Рекомендуемое обжатие в стыке 20 - 50% |
Прокладки пенополиэтиленовые, уплотняющие сплошного сечения марки Вилатерм-СМ, ТУ 6-05-2048-87 с отверстием по центру сечения марки Вилатерм-СП, ТУ 6-221-762-86 | Вспененные прокладки круглого (диаметры 30, 40 и 50 мм) и прямоугольного (30 x 40 и 40 x 60 мм) сечений, получаемые экструзией полиэтилена низкой плотности. Цвет серый | Устройство упругой основы под герметизирующие мастики в закрытых и дренированных стыках панелей наружных стен; устройство воздухозащиты в стыках всех типов. Прокладки прямоугольных сечений предназначены для горизонтальных открытых стыков | 1,05 м | Интервал температур эксплуатации от -60 до +70 °C. Рекомендуемое обжатие в стыке 20 - 50% |
2. Герметизирующие мастики |
| Вязкая однородная на основе полиизобутиленового, бутилового, этиленпропиленового, изопренового каучуков. Цвет от светло-серого до коричневого | Герметизация закрытых и дренированных стыков панелей наружных стен средних размеров (до 4 м) и мест примыкания оконных и дверных блоков к граням проемов | 1 кг | Интервал температур эксплуатации от -50 до +70 °C |
То же, ТЕГЕРОН ТУ 21-29-87-82 | Вязкая однородная на основе синтетического каучука | То же, для северных районов | 0,7 кг | Интервал температур эксплуатации от -60 до +70 °C |
Отверждающая тиоколовая мастика марки АМ-5, ТУ 84-246-85 | Двухкомпонентные материалы на основе полисульфидного каучука (тиокола); масса пастообразная перед смешиванием и резиноподобная после отверждения. Цвет светло-серый | Герметизация закрытых и дренированных стыков панелей наружных стен, в том числе стыков панелей больших размеров (более 4 м) | 0,3 кг | Интервал температур эксплуатации от -50 до +70 °C |
Отверждающая герметизирующая мастика марки ЛТ-1, ТУ 38.103650-88 | Двухкомпонентный материал на основе ТПМ-полимера: масса пастообразная перед смешиванием и резиноподобная после отверждения. Цвет серый | То же | 0,3 кг | То же, нанесение грунтовки не требуется |
Отверждающиеся бутилкаучуковые мастики марок Гермабутил-УМ и Гермабутил-М, РСТ УССР 5018-81 | Двухкомпонентные материалы на основе бутилкаучука, смешиваемые перед употреблением. Цвет темный и светлый | Герметизация закрытых и дренированных стыков панелей наружных стен | 0,3 кг | Интервал температур эксплуатации от -50 до +80 °C |
Отверждающаяся герметизирующая мастика марки Геростом ТУ 21-29-113-86 | Однокомпонентный материал на основе карбоксилатного каучука и эпоксидной смолы. Цвет бежевый | Герметизация закрытых и дренированных стыков панелей наружных стен и металлических элементов в сборном строительстве | 0,4 кг | Интервал температур эксплуатации от -40 до +70 °C. Нанесение грунтовых составов не требуется |
Клей-герметик кремнийорганический Эластосил-11-06, ТУ 6-02-775-76 | Однокомпонентный отверждающийся материал на основе силиконового каучука. Цвет светлый | Герметизация стыков панелей наружных стен в суровых климатических условиях | 0,3 кг | Интервал температур эксплуатации от -55 до +90 °C |
3. Воздухозащитные ленты |
Лента воздухозащитная Герволент, ТУ 21-29-46-84 | Лента из невулканизованной резины на основе синтетических каучуков. Ширина 180 мм, толщина 1,2 мм | Оклейка межпанельных вертикальных стыков изнутри при монтаже зданий | 0,3 кг | Интервал температур эксплуатации от -40 до +80 °C. Наклеивается на клеях типа КН или клее-герметике 51-Г-18 |
Лента герметизирующая самоклеящаяся Герлен-Д, ТУ 400-1-165-79 | Нетвердеющая клейкая лента, дублированная с одной стороны нетканым синтетическим материалом. Ширина 100, 120, 200 мм; толщина 3 мм | То же | 0,4 кг (при ширине 100 мм) | Интервал температур эксплуатации от -50 до +60 °C. Наклеивается после обработки поверхности клеем-герметиком 51-Г-18 |
4. Водоотбойные экраны |
Профили поливинилхлоридные, ТУ 21-29-78-82 | Комплект из двух профилей-направляющих длиной 2850 мм каждый и водоотбойного экрана той же длины, изготовляемый из пластмассы на основе жесткого ПВХ. Цвет серый | Водозащита вертикальных стыков панелей наружных стен (жесткий экран) | 1 м экрана и 2 м профилей-направляющих | Интервал температур эксплуатации от -40 до +70 °C |
Лента алюминиевая гофрированная | Водоотбойный экран в виде гофрированной ленты из алюминиевых сплавов марок А-I, АД-I, АМц, АМг. Ширина 60 мм | То же | 1 м ленты | То же |
Лист из стабилизированного полиэтилена (высокого давления), ГОСТ 16337-77* | Лента шириной 85 и 110 мм, толщиной 1,5 - 1,8 мм. Цвет черный | Водозащита вертикальных стыков панелей наружных стен (гибкий экран) | 0,25 кг | Интервал температур эксплуатации от -40 до +70 °C |
Лист из частично вспененного стабилизированного полиэтилена, ТУ П-42-71 | Лента шириной 85 и 110 мм, толщиной 1,5 - 1,8 мм. Цвет черный | То же | 0,16 кг | То же |
Резиновый лист, ГОСТ 7338-77* | Лента шириной 85 и 110 мм, толщиной 1,5 - 1,8 мм | Водозащита вертикальных стыков панелей наружных стен (гибкий экран) | 0,16 кг | Интервал температур эксплуатации от -40 до +60 °C |
5. Водоотводящие фартуки |
Резиновый лист, ГОСТ 7338-77* | Лист из атмосферостойкой резины толщиной 1,5 - 2 мм | Водоотводящий фартук для стыков открытого и дренированного типа | Размер 220 x 220 мм | Наклеивается на клеях типа КН на верхние грани панелей в местах пересечения вертикального и горизонтального стыков |
| Рулонный материал из тонкой рифленой фольги, покрытой с одной стороны слоем резинобитумного вяжущего | То же | То же | Наклеивается на резинобитумных мастиках |
6. Грунтовочные и клеящие составы |
Герметик высыхающий 51-Г-18, ТУ 400-1-137-78 | Однокомпонентный состав на основе дивинилстирольного термоэластопласта в растворителе | Огрунтовка стыкуемых поверхностей бетонных панелей наружных стен в заводских условиях; приклеивание воздухо-защитных лент | 0,4 кг | Интервал температур эксплуатации от -70 до +70 °C |
Состав латексный грунтовочный ЛСГ-905, ТУ 400-1-209-80 | Однокомпонентный состав на основе латекса и бутилкаучука. Цвет серый | Гидрофобное покрытие стыкуемых поверхностей бетонных панелей наружных стен в заводских условиях при применении открытых стыков | 0,3 кг | Интервал температур эксплуатации от -50 до +50 °C |
| Вязкие однокомпонентные пастообразные составы на основе хлоропренового каучука в растворителе | Огрунтовка стыкуемых поверхностей бетонных панелей наружных стен в заводских условиях, приклеивание водоотводящих фартуков и прокладок ПРП при устройстве воздухозащиты | 0,2 кг | |
Праймер 141-50, ТУ 6-02-983-75 | Прозрачная жидкость желтоватого цвета или бесцветная | Огрунтовка граней панелей перед нанесением герметика Эластосил II-06 | 0,2 кг | Наносится кистью или набрызгом |
Состав грунтовочный под нетвердеющие мастики ЛСГ-Н, ТУ 21-29-128-87 | Однокомпонентный состав на основе латексов. Цвет светло-бежевый | Огрунтовка граней панелей в заводских условиях перед нанесением нетвердеющих мастик | 0,3 кг | Наносится кистью |