Главная // Актуальные документы // ГОСТ (Государственный стандарт)СПРАВКА
Источник публикации
М.: ИПК Издательство стандартов, 1997
Примечание к документу
С 1 июля 2003 года до вступления в силу технических регламентов акты федеральных органов исполнительной власти в сфере технического регулирования носят рекомендательный характер и подлежат обязательному исполнению только в части, соответствующей целям, указанным в
пункте 1 статьи 46 Федерального закона от 27.12.2002 N 184-ФЗ.
Ограничение срока действия снято по Протоколу N 3-93 Межгосударственного совета по стандартизации, метрологии и сертификации ("ИУС", N 5 - 6, 1993).
Введен в действие с 1 января 1984 года.
Название документа
"ГОСТ 25263-82. Кальция гипохлорит нейтральный. Технические условия"
(утв. Постановлением Госстандарта СССР от 19.05.1982 N 1979)
(ред. от 01.02.1993)
"ГОСТ 25263-82. Кальция гипохлорит нейтральный. Технические условия"
(утв. Постановлением Госстандарта СССР от 19.05.1982 N 1979)
(ред. от 01.02.1993)
Утвержден и введен в действие
Постановлением Госстандарта СССР
от 19 мая 1982 г. N 1979
ГОСУДАРСТВЕННЫЙ СТАНДАРТ СОЮЗА ССР
КАЛЬЦИЯ ГИПОХЛОРИТ НЕЙТРАЛЬНЫЙ
ТЕХНИЧЕСКИЕ УСЛОВИЯ
Calcium hypochlorite neutral. Specification
ГОСТ 25263-82
Е
| | Список изменяющих документов (в ред. Изменения N 1, утв. в апреле 1984 г., Изменения N 2, утв. в июне 1988 г., Изменения N 3, утв. в феврале 1993 г.) | |
Дата введения
1 января 1984 года
1. Разработан и внесен Министерством химической промышленности СССР.
Разработчики: Г.Г. Жукова, Л.А. Михайлов, Н.И. Лозбень, Г.М. Соболева, Л.Л. Сонина, Н.С. Фролов, П.Л. Резник.
2. Утвержден и введен в действие Постановлением Государственного комитета СССР по стандартам от 19 мая 1982 г. N 1979.
3. Периодичность проверки - 5 лет.
4. Ссылочные нормативно-технические документы
────────────────────────────────────────┬─────────────────────────
Обозначение НТД, на который дана ссылка │ Номер пункта, подпункта
────────────────────────────────────────┼─────────────────────────
ИС МЕГАНОРМ: примечание.
Взамен ГОСТ 21140-75 Постановлением Госстандарта СССР от
29.09.1988 N 3317 с 1 января 1989 года введен в действие
ИС МЕГАНОРМ: примечание.
Взамен ГОСТ 24104-88 Постановлением Госстандарта РФ от
26.10.2001 N 439-ст с 1 июля 2002 года введен в действие
5. Ограничение срока действия снято по Протоколу N 3-93 Межгосударственного совета по стандартизации, метрологии и сертификации (ИУС 5-6-93).
6. Переиздание (июнь 1997 г.) с Изменениями N 1, 2, 3, утвержденными в апреле 1984 г., июне 1988 г., феврале 1993 г. (ИУС 7-84, 10-88, 9-93).
Настоящий стандарт распространяется на нейтральный гипохлорит кальция (нейтральный хлорноватистокислый кальций), предназначенный для обеззараживания воды, дезинфекции, отбелки и для других целей.
Настоящий стандарт устанавливает требования к нейтральному гипохлориту кальция, изготовляемому для нужд народного хозяйства и экспорта.
Формула

.
Относительная молекулярная масса (по международным атомным массам 1985 г.) - 142,98.
(Измененная редакция, Изм. N 3).
1. ТЕХНИЧЕСКИЕ ТРЕБОВАНИЯ
1.1. Гипохлорит кальция должен быть изготовлен в соответствии с требованиями настоящего стандарта по технологическому регламенту, утвержденному в установленном порядке.
1.2. В зависимости от способа получения гипохлорит кальция выпускается двух марок: А и Б.
Гипохлорит кальция марки А получают хлорированием известкового молока в присутствии гипохлорита натрия или без него, выделением кристаллогидрата гипохлорита кальция и его высушиванием.
Гипохлорит кальция марки Б получают высушиванием маточных растворов после выделения кристаллогидрата гипохлорита кальция.
(Измененная редакция, Изм. N 2).
1.3. По физико-химическим показателям гипохлорит кальция должен соответствовать требованиям, указанным в таблице.
──────────────────────────────────┬────────────────────────────────────────
Наименование показателя │ Норма
├───────────────────────────┬────────────
│ А │ Б
│ ОКП 21 4711 0500 │ ОКП
├─────────────┬─────────────┤21 4711 0700
│ 1-й сорт │ 2-й сорт │
│ ОКП │ ОКП │
│21 4711 0530 │21 4711 0540 │
──────────────────────────────────┼─────────────┴─────────────┴────────────
1. Внешний вид │ Порошкообразный продукт белого цвета
│ или слабоокрашенный
2. Массовая доля активного хлора,│ 60 │ 52 │ 25
%, не менее │ │ │
3. Массовая доля воды, %, │ 2 │ 3 │ 3
не более │ │ │
4. Массовая доля нерастворимого │ 12 │ 12 │ 4
остатка, %, не более │ │ │
5. Коэффициент термостабильности,│ 0,90 │ 0,85 │ 0,90
не менее │ │ │
Примечание. Допускается снижение массовой доли активного хлора в пределах гарантийного срока хранения в гипохлорите кальция марки А 1-го сорта до 54%, 2-го сорта до 44% и марки Б до 22%.
(Измененная редакция, Изм. N 1, 2).
2. ТРЕБОВАНИЯ БЕЗОПАСНОСТИ
2.1. Гипохлорит кальция - порошкообразный пылящий продукт с резким запахом хлора. Пыль гипохлорита кальция и выделяющийся из продукта газообразный хлор оказывают раздражающее действие на слизистые оболочки дыхательных путей и глаз, а также на кожные покровы.
2.2. Предельно допустимая концентрация (ПДК) хлора в воздухе рабочей зоны - 1 мг/м3. Гипохлорит кальция относится ко второму классу опасности по
ГОСТ 12.1.007.
При применении гипохлорита кальция в качестве дезинфектанта максимально разовая предельно допустимая концентрация (ПДК) хлора в воздухе обрабатываемых помещений - 0,1 мг/м3.
2.3. Гипохлорит кальция не горюч. Однако как окислитель при контакте с жидкими маслообразными органическими веществами и пылевидными органическими продуктами может вызвать их загорание.
2.4. Производственные помещения должны быть обеспечены приточно-вытяжной вентиляцией. Оборудование должно быть герметичным. Пылящие узлы должны быть снабжены местными отсосами.
2.5. Все работающие с гипохлоритом кальция должны быть обеспечены специальной одеждой по отраслевым нормам и иметь средства защиты: фильтрующий противогаз марки В или БКФ по
ГОСТ 12.4.121, резиновые сапоги, резиновые перчатки, фартук из прорезиненной ткани и защитные очки. Во всех случаях газовыделений работу следует вести в противогазе.
(Измененная редакция, Изм. N 2).
2.6. При проведении дезинфекционных мероприятий в качестве специальной одежды используют халат, косынку, фартук из прорезиненной ткани, резиновые перчатки, герметичные очки ПО-2, ПО-3 или моноблок, универсальные респираторы РУ-60М, РПГ-67 с патроном марки В.
2.7. При отравлении хлором пострадавшего необходимо вывести из загазованной зоны, обеспечить покой и тепло, дать молоко, теплый чай и вызвать врача. При нарушении дыхания дать кислород. Искусственного дыхания не делать.
2.8. На рабочем месте запрещается курить, пить и принимать пищу. После работы лицо, руки, открытые участки тела моют водой с мылом. Рот полощут водой.
2.9. При попадании гипохлорита кальция в глаза и на кожные покровы необходимо промыть пораженное место большим количеством воды. При поражении глаз после промывания направить пострадавшего к врачу.
2.10. Все производственные помещения должны быть обеспечены первичными средствами пожаротушения: огнетушителями ОП-5 или ОУ-2, асбестовыми полотнищами и ящиками с песком.
2.11. Уборка помещения влажная или вакуумная.
Производство гипохлорита кальция относится к малоотходным.
Известковый фильтрат возвращают для приготовления известкового молока.
Сточные воды обезвреживают и направляют на станцию нейтрализации кислотно-щелочных стоков. Отходящие газы через систему очистки выбрасывают в атмосферу.
(Введен дополнительно, Изм. N 3).
3.1. Гипохлорит кальция принимают партиями. Партией считают любое количество продукта, однородного по своим показателям качества, массой не более 60 т, сопровождаемого одним документом о качестве.
Документ о качестве должен содержать:
наименование и товарный знак предприятия-изготовителя;
наименование, марку и сорт продукта;
номер партии;
дату изготовления;
массу брутто и нетто;
количество единиц упаковки в партии;
результаты анализов или подтверждение о соответствии качества продукта требованиям настоящего стандарта;
надписи: "Опасно", "Едкое вещество";
подтверждение о нанесении на упаковку знаков опасности по
ГОСТ 19433;
обозначение настоящего стандарта.
3.3. При получении неудовлетворительных результатов анализа хотя бы по одному из показателей проводят повторный анализ по всем показателям на удвоенной выборке.
Результаты повторного анализа распространяются на всю партию.
4.1. Отбор проб
4.1.1. Точечные пробы гипохлорита кальция отбирают щупом по
ГОСТ 6732.2 из титана, винипласта, погружая его на 4/5 глубины тарного места по вертикальной оси.
Во избежание увлажнения отбор и приготовление проб проводят в крытом помещении.
(Измененная редакция, Изм. N 1, 2, 3).
4.1.2. Отобранные пробы соединяют на чистом сухом листе силикатного или органического стекла, винипласта и тщательно перемешивают. Растирание гипохлорита кальция не допускается. Масса точечной пробы должна быть не менее 100 г.
4.1.3. Среднюю пробу отбирают методом квартования массой около 400 г и помещают ее в чистую сухую плотно закрывающуюся стеклянную банку из оранжевого стекла или бесцветного стекла со светозащитным покрытием.
На банку наклеивают этикетку с указанием: наименования продукта, марки, сорта, номера партии, даты отбора пробы, надписи "Берегись ожога", фамилии пробоотборщика.
4.2. Внешний вид продукта определяют визуально.
4.3. Определение массовой доли активного хлора
4.3.1. Аппаратура, реактивы и растворы
| | ИС МЕГАНОРМ: примечание. Взамен ГОСТ 24104-88 Постановлением Госстандарта РФ от 26.10.2001 N 439-ст с 1 июля 2002 года введен в действие ГОСТ 24104-2001. | |
Весы лабораторные общего назначения 2-го класса точности по ГОСТ 24104 с наибольшим пределом взвешивания 200 г.
Бюретка по
ГОСТ 29252 исполнения 1 или 3 вместимостью 50 см3.
Колба мерная по
ГОСТ 1770 исполнения 1 или 2 вместимостью 500 см3.
Колба коническая Кн по
ГОСТ 25336 исполнения 1 или 2 вместимостью 500 см3.
Пипетка по
ГОСТ 29169 исполнения 2 вместимостью 50 см3.
Цилиндр мерный по
ГОСТ 1770 исполнения 1 или 3 вместимостью 50 см3.
Вода дистиллированная по
ГОСТ 6709 или вода эквивалентной чистоты.
Калий йодистый по
ГОСТ 4232, раствор с массовой долей 10%.
Крахмал растворимый по
ГОСТ 10163, раствор с массовой долей 1%.
Кислота серная по
ГОСТ 4204, раствор концентрации c (1/2

) = 0,1 моль/дм3 (0,1 н.).
Натрий серноватистокислый (натрия тиосульфат) 5-водный по
ГОСТ 27068, раствор концентрации c (

) = 0,1 моль/дм3 (0,1 н.).
(Измененная редакция, Изм. N 2, 3).
4.3.2. Проведение анализа
1,5 г гипохлорита кальция марки А или 3 г марки Б взвешивают (результат взвешивания записывают с точностью до четвертого десятичного знака), переносят в фарфоровую ступку, добавляют 30 - 40 см3 воды и растирают пестиком до образования однородной массы.
После отстаивания водный слой декантируют в мерную колбу вместимостью 500 см3. К остатку в ступке добавляют около 20 см3 воды, тщательно растирают и переносят всю массу количественно в ту же колбу. Объем жидкости в колбе доводят до метки водой, тщательно перемешивают и, не давая осесть осадку, отбирают пипеткой 50 см3 раствора в коническую колбу вместимостью 500 см3. В эту же колбу вносят затем 10 см3 раствора йодистого калия, перемешивают, прибавляют 50 см3 раствора серной кислоты, закрывают колбу пробкой, снова перемешивают и помещают в темное место. Через 5 мин выделившийся йод титруют раствором серноватистокислого натрия до соломенно-желтого цвета, добавляют 1 - 2 см3 раствора крахмала и продолжают титрование до обесцвечивания раствора.
Одновременно проводят контрольный опыт в тех же условиях с теми же объемами реактивов.
(Измененная редакция, Изм. N 2).
4.3.3. Обработка результатов
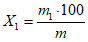
Массовую долю активного хлора (X) в процентах вычисляют по формуле

,
где V - объем раствора серноватистокислого натрия концентрации точно 0,1 моль/дм3, израсходованный на титрование анализируемой пробы, см3;

- объем раствора серноватистокислого натрия концентрации точно 0,1 моль/дм3, израсходованный на титрование в контрольном опыте;
0,003545 - масса хлора, соответствующая 1 см3 раствора серноватистокислого натрия точно 0,1 моль/дм3;
m - масса навески гипохлорита кальция, г.
За результат анализа принимают среднее арифметическое результатов двух параллельных определений, абсолютное расхождение между которыми не превышает допускаемое расхождение, равное 0,26%, при доверительной вероятности P = 0,95.
Допускаемая абсолютная суммарная погрешность результата анализа +/- 0,4% для продукта марки А и +/- 0,2% для продукта марки Б при доверительной вероятности P = 0,95.
(Измененная редакция, Изм. N 2, 3).
4.4. Определение массовой доли воды
Определение проводят методом отгонки с органическим растворителем (метод Дина и Старка) по ГОСТ 14870,
разд. 4. Для этого используют аппарат по НТД с допускаемыми отклонениями от номинальной вместимости на интервалах шкалы +/- 0,025 и +/- 0,050 см3.
Масса навески гипохлорита кальция должна быть около 30 г. В качестве растворителя используют толуол.
Допускаемая абсолютная суммарная погрешность результата анализа +/- 0,2% при доверительной вероятности P = 0,95.
(Измененная редакция, Изм. N 3).
4.5. Определение массовой доли нерастворимого остатка
4.5.1а. Аппаратура, реактивы, растворы
| | ИС МЕГАНОРМ: примечание. Взамен ГОСТ 24104-88 Постановлением Госстандарта РФ от 26.10.2001 N 439-ст с 1 июля 2002 года введен в действие ГОСТ 24104-2001. | |
Весы лабораторные общего назначения 2-го класса точности по ГОСТ 24104 с наибольшим пределом взвешивания 200 г.
Шкаф сушильный, обеспечивающий температуру (110 +/- 5) °C.
Цилиндр мерный по
ГОСТ 1770 исполнения 2 или 4 вместимостью 100 см3.
Вода дистиллированная по
ГОСТ 6709 или вода эквивалентной чистоты.
(Введен дополнительно, Изм. N 2).
4.5.1. Проведение анализа
Около 5 г гипохлорита кальция переносят в фарфоровую ступку, прибавляют 20 см3 воды и растирают пестиком до образования однородной массы. Полученную массу количественно переносят в мерный цилиндр с притертой пробкой вместимостью 100 см3, доводят объем жидкости водой до 100 см3, тщательно взбалтывают в течение 3 - 5 мин и фильтруют через предварительно высушенный и взвешенный фильтрующий тигель типа ТФ ПОР 40 диаметром 40 мм. Цилиндр и фильтр промывают 20 - 30 см3 воды. Тигель с остатком сушат в сушильном шкафу до постоянной массы при температуре (110 +/- 5) °C.
Результаты всех взвешиваний в граммах записывают с точностью до четвертого десятичного знака.
(Измененная редакция, Изм. N 2).
4.5.2. Обработка результатов
Массовую долю нерастворимого остатка (

) в процентах вычисляют по формуле

,
где m - масса навески гипохлорита кальция, г;

- масса сухого остатка, г.
За результат анализа принимают среднее арифметическое результатов двух параллельных определений, абсолютное расхождение между которыми не превышает допускаемое расхождение, равное 0,4%, при доверительной вероятности P = 0,95.
Допускаемая абсолютная суммарная погрешность результата анализа +/- 0,3% при доверительной вероятности P = 0,95.
(Измененная редакция, Изм. N 3).
4.6. Определение коэффициента термостабильности
| | ИС МЕГАНОРМ: примечание. Взамен ГОСТ 24104-88 Постановлением Госстандарта РФ от 26.10.2001 N 439-ст с 1 июля 2002 года введен в действие ГОСТ 24104-2001. | |
Весы лабораторные общего назначения 2-го класса точности по ГОСТ 24104 с наибольшим пределом взвешивания 200 г или 3-го класса точности с наибольшим пределом взвешивания 500 г.
Баня паровая (чертеж).
Пробирка по
ГОСТ 25336 типа П1 диаметром 25 мм, высотой 200 мм.
1 - паровая баня с водой;
2 - пробирка с анализируемым продуктом; 3 - термометр;
4 - выход пара; 5 - водомерное стекло
(Введен дополнительно, Изм. N 2).
4.6.1. Проведение анализа
15 г гипохлорита кальция взвешивают (результаты взвешивания записывают с точностью до второго десятичного знака), переносят в пробирку, закрывают ее резиновой пробкой с воздушным холодильником (стеклянная трубка высотой 380 мм и диаметром 6 мм). Конец трубки должен находиться на расстоянии 5 - 10 мм от поверхности продукта. Пробирку помещают в паровую баню (
чертеж), предварительно нагретую до (100 +/- 2) °C, и выдерживают при этой температуре в течение 2 ч. После этого пробирку вынимают из бани, закрывают ее сплошной пробкой и охлаждают до комнатной температуры. Затем содержимое пробирки перемешивают и далее определение проводят так же, как указано в
п. 4.3.
(Измененная редакция, Изм. N 1, 2).
4.6.2. Обработка результатов
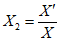
Коэффициент термостабильности (

) вычисляют по формуле

,
где X - массовая доля активного хлора в исходном гипохлорите кальция, определенная по
п. 4.3, %;
X' - массовая доля активного хлора в гипохлорите кальция после нагревания, %.
За результат анализа принимают среднее арифметическое результатов двух параллельных определений, абсолютное расхождение между которыми не превышает допускаемое расхождение, равное 0,01, при доверительной вероятности P = 0,95.
Допускаемая абсолютная суммарная погрешность результата анализа +/- 0,01 при доверительной вероятности P = 0,95.
(Измененная редакция, Изм. N 2, 3).
5. УПАКОВКА, МАРКИРОВКА, ТРАНСПОРТИРОВАНИЕ И ХРАНЕНИЕ
5.1. Гипохлорит кальция упаковывают в стальные оцинкованные барабаны по
ГОСТ 5044 типа I или III, исполнения Б, вместимостью 50 - 100 дм3.
По требованию потребителя гипохлорит кальция упаковывают в стальные оцинкованные барабаны указанных типов, исполнения

или

, снабженные мешками-вкладышами из полиэтиленовой пленки толщиной 0,07 - 0,10 мм по
ГОСТ 10354.
По согласованию с потребителем, расходующим гипохлорит кальция в течение 1 года, разрешается упаковывать его в стальные барабаны из углеродистой стали исполнений

и

, снабженные мешками-вкладышами из полиэтиленовой пленки толщиной 0,07 - 0,10 мм по
ГОСТ 10354 или в стальные оцинкованные барабаны указанных исполнений типа II.
Поврежденная в местах закатки и сварки оцинковка должна быть закрашена эмалью ХВ-1100 по ТУ 6-10-1301-83 или эмалью НЦ-184 по
ГОСТ 18335 или эмалью НЦ-11 по
ГОСТ 9198.
После заполнения барабанов крышка лючка должна быть развальцована и прочно удерживаться в горловине.
Допускается перевозка тары (барабанов, мешков) с продуктом в универсальных контейнерах по
ГОСТ 15102,
ГОСТ 20435,
ГОСТ 22225, принадлежащих изготовителю или потребителю.
(Измененная редакция, Изм. N 1, 2, 3).
5.2. Допускается упаковывать гипохлорит кальция марки Б в полиэтиленовые мешки М10-0,220 по
ГОСТ 17811 вместимостью до 30 кг при транспортировании его автомобильным транспортом и находящимся на хранении не более одного года.
Полиэтиленовые мешки заваривают или завязывают хлориновым, или лавсановым, или просмоленным битумом пеньковым шпагатом с перегибом горловины на 180°.
(Измененная редакция, Изм. N 2).
5.3. Транспортная маркировка - по
ГОСТ 14192 с нанесением манипуляционного знака "Герметичная упаковка", предупредительной надписи "Не бросать".
Маркировка, характеризующая транспортную опасность груза, - по
ГОСТ 19433 с нанесением знаков опасности (классификационный шифр 5152, основной чертеж - 5, дополнительный - 8), серийного номера ООН 1748 (для продукта марки А) и 2208 (для продукта марки Б).
Кроме того, на транспортную тару наносится маркировка, содержащая следующие данные, характеризующие продукцию:
наименование продукта, марка и сорт;
номер партии и дата изготовления;
обозначение настоящего стандарта.
(Измененная редакция, Изм. N 1, 3).
5.4. Маркировочные данные на поверхность барабанов должны быть нанесены эмалью ХВ-1100 по ТУ 6-10-1301-83, или эмалью НЦ-184 по
ГОСТ 18335, или эмалью НЦ-11 по
ГОСТ 9198. Маркировочные данные на мешки должны быть предварительно нанесены на бумажную этикетку, которую заваривают в полиэтиленовый пакет и привязывают к мешку.
(Измененная редакция, Изм. N 1, 2).
5.5. Маркировку транспортной тары с гипохлоритом кальция, предназначенным на экспорт, производят в соответствии с заказом-нарядом внешнеторгового объединения.
5.6. Гипохлорит кальция транспортируют всеми видами транспорта, за исключением авиации, в крытых транспортных средствах в соответствии с правилами перевозок опасных грузов, действующими на соответствующих видах транспорта.
По железной дороге барабаны с гипохлоритом кальция транспортируют повагонно.
Барабаны укладывают в транспортные средства вертикально. Дверные проемы вагонов должны быть зашиты досками или щитами.
(Измененная редакция, Изм. N 2).
5.7. Продукт, упакованный в барабаны и мешки, должен транспортироваться пакетами.
При пакетировании используют деревянные плоские поддоны по
ГОСТ 9557.
| | ИС МЕГАНОРМ: примечание. Взамен ГОСТ 21140-75 Постановлением Госстандарта СССР от 29.09.1988 N 3317 с 1 января 1989 года введен в действие ГОСТ 21140-88. | |
Барабаны на поддонах размещают в соответствии с ГОСТ 21140. Основные размеры пакета - по
ГОСТ 24597.
Мешки укладывают на поддоны штабелями. Способ укладки мешков на поддоны: два мешка вдоль, один поперек, высотой в три ряда.
Масса пакета не должна превышать 1 т.
Крепление грузов в пакете должно осуществляться стальными или пластмассовыми упаковочными лентами в соответствии с требованиями
ГОСТ 21650.
По согласованию с потребителем допускается перевозка продукта в непакетированном виде.
(Измененная редакция, Изм. N 2, 3).
5.8. Гипохлорит кальция должен храниться в упаковке изготовителя штабелями в крытых неотапливаемых, хорошо вентилируемых, защищенных от попадания атмосферных осадков и прямых солнечных лучей складах.
Барабаны должны храниться вертикально. Высота штабеля барабана не должна превышать трех ярусов, высота штабеля мешков не должна превышать 2 м. Штабеля должны иметь ширину не более 2 м, между штабелями должны быть проходы не менее 1 м.
6.1. Изготовитель гарантирует соответствие гипохлорита кальция требованиям настоящего стандарта при соблюдении условий транспортирования и хранения.
6.2. Гарантийный срок хранения гипохлорита кальция марки А 1-го сорта - 8 лет, 2-го сорта и марки Б - 5 лет со дня изготовления.
(Измененная редакция, Изм. N 2).