Главная // Актуальные документы // ГОСТ (Государственный стандарт)СПРАВКА
Источник публикации
М.: Стандартинформ, 2014
Примечание к документу
Документ
введен в действие с 1 января 2014 года.
Название документа
"ГОСТ 32049-2013. Межгосударственный стандарт. Ароматизаторы пищевые. Общие технические условия"
(введен в действие Приказом Росстандарта от 25.07.2013 N 441-ст)
"ГОСТ 32049-2013. Межгосударственный стандарт. Ароматизаторы пищевые. Общие технические условия"
(введен в действие Приказом Росстандарта от 25.07.2013 N 441-ст)
агентства по техническому
регулированию и метрологии
от 25 июля 2013 г. N 441-ст
МЕЖГОСУДАРСТВЕННЫЙ СТАНДАРТ
АРОМАТИЗАТОРЫ ПИЩЕВЫЕ
ОБЩИЕ ТЕХНИЧЕСКИЕ УСЛОВИЯ
Food flavourings. General specifications
ГОСТ 32049-2013
Дата введения
1 января 2014 года
Цели, основные принципы и основной порядок проведения работ по межгосударственной стандартизации установлены
ГОСТ 1.0-92 "Межгосударственная система стандартизации. Основные положения" и
ГОСТ 1.2-2009 "Межгосударственная система стандартизации. Стандарты межгосударственные, правила и рекомендации по межгосударственной стандартизации. Правила разработки, принятия, применения, обновления и отмены".
1. Разработан Государственным научным учреждением Всероссийским научно-исследовательским институтом пищевых ароматизаторов, кислот и красителей Российской академии сельскохозяйственных наук (ГНУ ВНИИПАКК Россельхозакадемии).
2. Внесен Федеральным агентством по техническому регулированию и метрологии.
3. Принят Межгосударственным советом по стандартизации, метрологии и сертификации (Протокол от 25 марта 2013 г. N 55-П).
За принятие проголосовали:
Краткое наименование страны по МК (ИСО 3166) 004-97 | Код страны по МК (ИСО 3166) 004-97 | Сокращенное наименование национального органа по стандартизации |
Армения | AM | Минэкономики Республики Армения |
Беларусь | BY | Госстандарт Республики Беларусь |
Казахстан | KZ | Госстандарт Республики Казахстан |
Киргизия | KG | Кыргызстандарт |
Молдова | MD | Молдова-Стандарт |
Россия | RU | Росстандарт |
Узбекистан | UZ | Узстандарт |
4.
Приказом Федерального агентства по техническому регулированию и метрологии от 25 июля 2013 г. N 441-ст межгосударственный стандарт ГОСТ 32049-2013 введен в действие в качестве национального стандарта Российской Федерации с 01 января 2014 г.
5. Введен впервые.
Информация об изменениях к настоящему стандарту публикуется в ежегодном информационном указателе "Национальные стандарты", а текст изменений и поправок - в ежемесячном информационном указателе "Национальные стандарты". В случае пересмотра (замены) или отмены настоящего стандарта соответствующее уведомление будет опубликовано в ежемесячном информационном указателе "Национальные стандарты". Соответствующая информация, уведомление и тексты размещаются также в информационной системе общего пользования - на официальном сайте Федерального агентства по техническому регулированию и метрологии в сети Интернет.
Настоящий стандарт распространяется на пищевые ароматизаторы (далее - ароматизаторы), предназначенные для пищевой промышленности.
Настоящий стандарт не распространяется на ароматизаторы для табачных изделий.
Требования, обеспечивающие безопасность ароматизаторов для жизни и здоровья людей, изложены в
5.1.5 -
5.1.12, требования к качеству продукта -
5.1.2 -
5.1.4, требования к маркировке -
5.4.
В настоящем стандарте использованы нормативные ссылки на следующие межгосударственные стандарты:
ГОСТ 8.579-2002 Государственная система обеспечения единства измерений. Требования к количеству фасованных товаров в упаковках любого вида при их производстве, расфасовке, продаже и импорте
ГОСТ 12.0.004-90 Система стандартов безопасности труда. Организация обучения безопасности труда. Общие положения
ГОСТ 12.1.004-91 Система стандартов безопасности труда. Пожарная безопасность. Общие требования
ГОСТ 12.1.005-88 Система стандартов безопасности труда. Общие санитарно-гигиенические требования к воздуху рабочей зоны
ГОСТ 12.1.007-76 Система стандартов безопасности труда. Вредные вещества. Классификация и общие требования безопасности
ГОСТ 12.1.019-79 Система стандартов безопасности труда. Электробезопасность. Общие требования и номенклатура видов защиты
ГОСТ 12.1.044-89 (ИСО 4589-84) Система стандартов безопасности труда. Пожаровзрывоопасность веществ и материалов. Номенклатура показателей и методы их определения
ГОСТ 12.2.007.0-75 Система стандартов безопасности труда. Изделия электротехнические. Общие требования безопасности
ГОСТ 12.4.009-83 Система стандартов безопасности труда. Пожарная техника для защиты объектов. Основные виды. Размещение и обслуживание
ГОСТ 12.4.021-75 Система стандартов безопасности труда. Системы вентиляционные. Общие требования
ГОСТ 12.4.103-83 Система стандартов безопасности труда. Одежда специальная защитная, средства индивидуальной защиты ног и рук. Классификация
ГОСТ 1770-74 (ИСО 1042-83, ИСО 4788-80) Посуда мерная лабораторная стеклянная. Цилиндры, мензурки, колбы, пробирки. Общие технические условия
ГОСТ 3639-79 Растворы водно-спиртовые. Методы определения концентрации этилового спирта
ГОСТ 6825-91 Лампы люминесцентные трубчатые для общего освещения
ГОСТ 9293-74 (ИСО 2435-73) Азот газообразный и жидкий. Технические условия
ГОСТ 10146-74 Ткани фильтровальные из стеклянных крученых комплексных нитей. Технические условия
ГОСТ 10444.15-94 Продукты пищевые. Методы определения количества мезофильных аэробных и факультативно-анаэробных микроорганизмов
ГОСТ 12026-76 Бумага фильтровальная лабораторная. Технические условия
ГОСТ 13516-86 Ящики из гофрированного картона для консервов, пресервов и пищевых жидкостей. Технические условия
ГОСТ 14618.6-78 Масла эфирные, вещества душистые и полупродукты их синтеза. Методы определения воды
ГОСТ 14618.10-78 Масла эфирные, вещества душистые и полупродукты их синтеза. Методы определения плотности и показателя преломления
ГОСТ 15113.2-77 Концентраты пищевые. Методы определения примесей и зараженности вредителями хлебных запасов
ГОСТ 15846-2002 Продукция, отправляемая в районы Крайнего Севера и приравненные к ним местности. Упаковка, маркировка, транспортирование и хранение
ГОСТ 17433-80 Промышленная чистота. Сжатый воздух. Классы загрязненности
ГОСТ 19360-74 Мешки-вкладыши пленочные. Общие технические условия
ГОСТ 20477-86 Лента полиэтиленовая с липким слоем. Технические условия
ГОСТ 25336-82 Посуда и оборудование лабораторные стеклянные. Типы, основные параметры и размеры
ГОСТ 26668-85 Продукты пищевые и вкусовые. Методы отбора проб для микробиологических анализов
ГОСТ 26930-86 Сырье и продукты пищевые. Метод определения мышьяка
ГОСТ 26932-86 Сырье и продукты пищевые. Методы определения свинца
ГОСТ 26933-86 Сырье и продукты пищевые. Методы определения кадмия
ГОСТ 28498-90 Термометры жидкостные стеклянные. Общие технические требования. Методы испытаний
ГОСТ 29169-91 Посуда лабораторная стеклянная. Пипетки с одной отметкой
ГОСТ 29185-91 Продукты пищевые. Методы выявления и определения количества сульфитредуцирующих клостридий
ГОСТ 29227-91 (ИСО 835-1-81) Посуда лабораторная стеклянная. Пипетки градуированные. Часть 1. Общие требования
ГОСТ 29229-91 (ИСО 835-3-81) Посуда лабораторная стеклянная. Пипетки градуированные. Часть 3. Пипетки градуированные с временем ожидания 15 с
ГОСТ 30178-96 Сырье и продукты пищевые. Атомно-абсорбционный метод определения токсичных элементов
ГОСТ 31747-2012 Продукты пищевые. Методы выявления и определения количества бактерий группы кишечных палочек (колиформных бактерий)
ГОСТ 31266-2004 Сырье и продукты пищевые. Атомно-абсорбционный метод определения мышьяка
Примечание. При пользовании настоящим стандартом целесообразно проверить действие ссылочных стандартов в информационной системе общего пользования - на официальном сайте Федерального агентства по техническому регулированию и метрологии в сети Интернет или по ежегодному информационному указателю "Национальные стандарты", который опубликован по состоянию на 1 января текущего года, и по выпускам ежемесячного информационного указателя "Национальные стандарты" за текущий год. Если ссылочный стандарт заменен (изменен), то при пользовании настоящим стандартом следует руководствоваться заменяющим (измененным) стандартом. Если ссылочный стандарт отменен без замены, то положение, в котором дана ссылка на него, применяется в части, не затрагивающей эту ссылку.
В настоящем стандарте применены следующие термины с соответствующими определениями:
3.1. ароматизатор пищевой: Продукт, не употребляемый человеком непосредственно в пищу, содержащий вкусоароматическое вещество или вкусоароматический препарат, или термический технологический ароматизатор, или коптильный ароматизатор, или предшественники ароматизаторов, или их смесь (вкусоароматическая часть), предназначенный для придания пищевой продукции аромата и/или вкуса (за исключением сладкого, кислого и соленого), с добавлением или без добавления других пищевых ингредиентов.
3.2. ароматизатор коптильный: Смесь веществ, выделенная из дымов, применяемых в традиционном копчении, путем фракционирования и очистки конденсатов дыма.
3.3. ароматизатор термический технологический: Смесь веществ, полученная в результате нагревания при температуре не выше 180 °C и продолжительности нагревания не более 15 мин пищевых и/или не используемых в пищу ингредиентов, один из которых должен быть аминосоединением, а другой - редуцирующим сахаром.
Примечания. 1. При получении термического технологического ароматизатора при температурах ниже 180 °C продолжительность нагревания удваивается при уменьшении температуры на каждые 10 °C.
2. Время процесса не должно превышать 12 ч.
3. Величина pH в течение процесса не должна превышать 8,0 ед. pH.
3.4. ароматизатор натуральный: Ароматизатор, вкусоароматическая часть которого содержит только вкусоароматические препараты и/или натуральные вкусоароматические вещества.
Примечания. 1. Термин "натуральный ароматизатор" может использоваться, если его вкусоароматическая часть состоит исключительно из вкусоароматических препаратов и/или натуральных вкусоароматических веществ.
2. Термин "натуральный ароматизатор" в сочетании с названием пищевой продукции, категорией пищевой продукции или источником растительного или животного происхождения может быть использован только в том случае, если входящие в его состав вкусоароматические препараты и/или натуральные вкусоароматические вещества получены из названного источника, например, "натуральный ароматизатор яблока (Яблоко)", "натуральный ароматизатор фруктов (Фруктовый)", "натуральный ароматизатор мяты (Мята)".
3. Термин "натуральный ароматизатор" может быть использован в том случае, если входящие в его состав вкусоароматические препараты и/или натуральные вкусоароматические вещества получены из источника, который не отражает их вкус и аромат, например, "натуральный ароматизатор и фантазийное название".
3.5. ароматизатор синтетический: Ароматизатор, вкусоароматическая часть которого содержит синтетические вкусоароматические вещества.
3.6. вещество вкусоароматическое: Химически определенное (химически индивидуальное) вещество со свойствами ароматизатора, обладающее характерным ароматом и/или вкусом (за исключением сладкого, кислого и соленого).
3.7. вещество вкусоароматическое натуральное: Вкусоароматическое вещество, выделенное с помощью физических, ферментативных или микробиологических процессов из сырья растительного, микробного или животного происхождения, в том числе переработанного традиционными способами приготовления пищевой продукции.
Примечание. К традиционным способам приготовления (производства) пищевой продукции относятся: варка, в том числе на пару и под давлением (до 120 °C), выпечка, запекание, тушение, жарка, в том числе на масле (до 240 °C при атмосферном давлении), сушка, выпаривание, нагревание, охлаждение, замораживание, замачивание, мацерация (вымачивание), настаивание (заваривание), перколяция (экстракция с процеживанием), фильтрация, прессование (отжим), смешивание, эмульгирование, измельчение (резание, дробление, растирание, толчение), заключение в оболочку (капсулирование), очистка от кожуры (лущение), дистилляция (ректификация), экстракция (включая экстракцию растворителями), ферментация и микробиологические процессы.
3.8. вещество вкусоароматическое синтетическое: Вкусоароматическое вещество, полученное с помощью химического синтеза.
3.9. предшественник ароматизатора: Продукт, не обязательно обладающий свойствами ароматизатора, преднамеренно добавляемый к пищевой продукции с единственной целью получения вкуса и аромата путем деструкции или реакции с другими компонентами в процессе приготовления пищи.
Примечание. Предшественник ароматизатора может быть получен как из пищевой продукции, так и из продукции, не используемой непосредственно в пищу.
3.10. препарат вкусоароматический: Смесь вкусоароматических или иных веществ, выделенных физическими, ферментативными или микробиологическими процессами из пищевой продукции или из пищевого сырья, в том числе после обработки традиционными способами приготовления пищевой продукции, и/или из продуктов растительного, животного или микробного происхождения, не используемых непосредственно в качестве пищи, применяемых как таковые или обработанных с использованием традиционных способов приготовления пищевой продукции.
4.1. В зависимости от назначения пищевые ароматизаторы подразделяют:
- на ароматизаторы для кондитерских и хлебопекарных (хлебобулочных) изделий;
- ароматизаторы для безалкогольных напитков;
- ароматизаторы для масложировой продукции;
- ароматизаторы для прочей пищевой продукции.
4.2. В зависимости от состава вкусоароматической части ароматизаторы подразделяют:
- на ароматизаторы на основе вкусоароматических веществ (натуральные и синтетические);
- ароматизаторы на основе вкусоароматических препаратов (натуральные);
- ароматизаторы на основе предшественников ароматизатора;
- ароматизаторы термические технологические;
- ароматизаторы коптильные;
- ароматизаторы смесевые.
4.3. В зависимости от формы выпуска ароматизаторы подразделяют:
- на жидкие: в виде растворов и эмульсий (эмульсионные);
- сухие: порошкообразные, в том числе капсулированные и гранулированные;
- пастообразные.
5. Общие технические требования
5.1. Характеристики
5.1.1. Ароматизаторы вырабатывают в соответствии с требованиями настоящего стандарта, нормативного документа, в соответствии с которым изготавливают ароматизатор конкретного наименования, с соблюдением требований
[1],
[2] или нормативными правовыми актами, действующими на территории государства, принявшего стандарт.
5.1.2. По органолептическим показателям ароматизаторы должны соответствовать требованиям, указанным в таблице 1.
Таблица 1
Органолептические показатели
Наименование показателя | Характеристика ароматизаторов |
жидких | сухих | пастообразных |
Внешний вид | Прозрачный или непрозрачный | Однородная порошкообразная, капсулированная или гранулированная смесь | Однородная масса |
Цвет | Бесцветные или окрашенные | Окрашенные или неокрашенные | Окрашенные или неокрашенные |
Запах | Характерный для ароматизатора конкретного наименования | Характерный для ароматизатора конкретного наименования | Характерный для ароматизатора конкретного наименования |
5.1.3. Для ароматизатора конкретного наименования в нормативном документе изготовитель устанавливает индивидуальные для данного ароматизатора требования к следующим органолептическим и физико-химическим показателям:
- внешний вид, цвет и запах;
- плотность и показатель преломления (для жидких ароматизаторов, кроме эмульсионных, пастообразных и окрашенных);
- объемная доля этилового спирта в спиртосодержащих ароматизаторах (для ароматизаторов, которые, в соответствии с законодательными, а также нормативными правовыми актами, действующими на территории государства, принявшего стандарт, относятся к спиртосодержащей пищевой продукции);
- массовая доля влаги (в сухих и пастообразных ароматизаторах);
- присутствие металломагнитных примесей (в сухих ароматизаторах), допускается присутствие металломагнитных примесей в сухих ароматизаторах не более

(3 мг/кг);
- температура вспышки (для жидких ароматизаторов).
5.1.4. Ароматизаторы идентифицируют:
- по наименованию и назначению, сравнением указанного в маркировке ароматизатора с наименованием, указанным в определении вида пищевой продукции в
[1],
[2] или нормативных правовых актах, действующих на территории государства, принявшего стандарт;
- по внешнему виду ароматизатора, сравнением с признаками, изложенными в нормативном документе, в соответствии с которым изготавливают ароматизатор конкретного наименования;
- по органолептическим показателям, сравнением с органолептическими признаками (запах), изложенными в нормативном документе, в соответствии с которым изготавливают ароматизатор конкретного наименования;
5.1.5. Микробиологические показатели ароматизаторов должны соответствовать требованиям, установленным
[1],
[2] или нормативными правовыми актами, действующими на территории государства, принявшего стандарт.
5.1.6. Содержание токсичных элементов в ароматизаторе должно соответствовать требованиям, установленным
[1],
[2] или нормативными правовыми актами, действующими на территории государства, принявшего стандарт.
5.1.7. Содержание бенз(а)пирена и бенз(а)антрацена в коптильных ароматизаторах должно соответствовать требованиям, установленным
[1],
[2] или нормативными правовыми актами, действующими на территории государства, принявшего стандарт.
5.1.8. Содержание потенциально опасных биологически активных веществ в ароматизаторах, изготовленных с использованием растительного ароматического сырья и/или экстрактов и эфирных масел, не должно приводить к превышению допустимых уровней содержания потенциально опасных биологически активных веществ в пищевой продукции с использованием ароматизаторов в соответствии с требованиями, установленными
[1],
[2] или нормативными правовыми актами, действующими на территории государства, принявшего стандарт.
5.1.9. Не допускается использование потенциально опасных биологически активных веществ: агариковой кислоты, бета-азарона, алоина, гиперицина, капсаицина, квассина, кумарина, ментофурана, метилэвгенола (4-аллил-1,2-диметоксибензола), пулегона, сафрола (1-аллил-3,4-метилендиоксибензола), синильной кислоты, туйона (альфа и бета), теукрина А, эстрагола (1-аллил-4-метоксибензола), в качестве вкусоароматических веществ при производстве ароматизаторов и пищевой продукции
[2].
5.1.10. Не допускается использование в качестве источника ароматизаторов, в том числе вкусоароматических веществ и препаратов, тетраплоидной формы Аира обыкновенного (Acorus calamus L., CE 13)
[2].
5.1.11. При использовании в качестве натуральных источников вкусоароматических веществ лекарственных растений и/или вкусоароматических препаратов из лекарственных растений их содержание (в пересчете на сухое сырье или содержащееся в них биологически активное вещество) не должно превышать количества, оказывающего фармакологический эффект в 1 кг (дм3) пищевой продукции при их применении в качестве вкусоароматических препаратов (ароматизаторов)
[2].
5.1.12. Содержание пищевых добавок и неудаляемых остатков технологических вспомогательных средств в ароматизаторах должно соответствовать требованиям, установленным
[1],
[2] или нормативными правовыми актами, действующими на территории государства, принявшего стандарт.
5.2. Требования к сырью
5.2.1. Сырье для производства ароматизаторов по показателям безопасности должно соответствовать требованиям, установленным
[1],
[2] или нормативными правовыми актами, действующими на территории государства, принявшего стандарт.
5.2.2. Ингредиентный состав ароматизаторов должен соответствовать требованиям, установленным
[1],
[2] или нормативными правовыми актами, действующими на территории государства, принявшего стандарт.
5.2.3. Для производства спиртосодержащих ароматизаторов применяют этиловый ректификованный спирт из пищевого сырья со степенью очистки не ниже высшей по нормативным документам, действующим на территории государства, принявшего стандарт.
5.3. Упаковка
5.3.1. Упаковка ароматизаторов должна соответствовать требованиям, установленным
[3] или нормативными правовыми актами, действующими на территории государства, принявшего стандарт.
5.3.2. Жидкие ароматизаторы упаковывают:
- в полимерные канистры с крышками, изготовленные из материалов, использование которых в контакте с ароматизаторами обеспечивает их качество и безопасность;
- стеклянную тару для пищевых продуктов;
- другую тару, изготовленную из материалов, использование которых в контакте с ароматизаторами обеспечивает их качество и безопасность.
5.3.3. При фасовании жидких ароматизаторов в каждой единице тары должно быть оставлено не менее 5% свободного пространства от полной вместимости тары.
5.3.4. Сухие и пастообразные ароматизаторы упаковывают в полимерные конические банки с зажимной крышкой и ручкой по нормативному документу, действующему на территории государства, принявшего стандарт, с использованием пленочных мешков-вкладышей по
ГОСТ 19360, изготовленных из материалов, использование которых в контакте с ароматизаторами обеспечивает их качество и безопасность.
5.3.5. Допускается использование других видов упаковки, обеспечивающих сохранность сухих и пастообразных ароматизаторов при хранении и транспортировании и изготовленных из материалов, соответствующих требованиям, установленным
[3] или нормативными правовыми актами, действующими на территории государства, принявшего стандарт.
5.3.6. Отрицательное отклонение содержимого нетто упаковочной единицы от номинального количества ароматизатора должно соответствовать ГОСТ 8.579
(пункт 4.2).
5.3.7. Партия фасованных ароматизаторов в упаковках должна отвечать требованиям ГОСТ 8.579 (
пункты 5.1,
5.7).
5.3.8. При перевозке железнодорожным транспортом полимерные канистры с жидкими ароматизаторами упаковывают в дощатые ящики по
ГОСТ 13358 или обрешетки, при перевозке воздушным транспортом - в ящики из гофрированного картона по
ГОСТ 13516.
Примечание. Полимерные канистры допускается перевозить автомобильным транспортом без упаковывания в транспортную тару.
5.3.9. При перевозке железнодорожным и воздушным транспортом полимерные банки с сухими и пастообразными ароматизаторами упаковывают в ящики из гофрированного картона по
ГОСТ 13516.
Примечание. Полимерные банки допускается перевозить автомобильным транспортом без упаковывания в транспортную тару.
5.3.10. Стеклянную тару с жидкими ароматизаторами упаковывают в ящики из гофрированного картона по
ГОСТ 13516 или дощатые ящики по
ГОСТ 13358 с применением вспомогательных упаковочных материалов в соответствии с правилами перевозки грузов на соответствующем виде транспорта.
5.3.11. Клапаны ящиков из гофрированного картона оклеивают в продольном и поперечном направлениях лентой из полимерных материалов с липким слоем по
ГОСТ 20477 или используют другие упаковочные материалы, обеспечивающие сохранность продукции и целостность тары при транспортировании.
5.3.12. Ароматизаторы, отправляемые в районы Крайнего Севера и приравненные к ним местности, упаковывают по
ГОСТ 15846.
5.4.1. Маркировка ароматизаторов должна соответствовать требованиям, установленным
[2] и
[4] или нормативными правовыми актами, действующими на территории государства, принявшего стандарт.
5.4.2. В маркировку каждой упаковочной единицы дополнительно включают следующие данные:
- номер партии или отметка, идентифицирующая партию;
- массу брутто;
- условия хранения;
- обозначение настоящего стандарта;
- обозначение документа, в соответствии с которым изготавливают ароматизатор конкретного наименования;
- предупредительную надпись: "При случайном проглатывании следует вызвать рвоту, провести промывание желудка и обратиться за медицинской помощью".
5.4.3. Транспортная маркировка - по
ГОСТ 14192 с нанесением манипуляционных знаков, указывающих на способ обращения с грузами - в соответствии с требованиями, установленными
[4] или нормативными правовыми актами, действующими на территории государства, принявшего стандарт, и знаков, характеризующих вид опасности груза - по
ГОСТ 19433.
6. Требования безопасности и охрана окружающей среды
6.1. В соответствии с
ГОСТ 12.1.007 по степени воздействия на организм ароматизаторы и их компоненты относятся к третьему (вещества умеренно опасные) и четвертому (вещества малоопасные) классам опасности.
Предельно допустимую концентрацию в воздухе рабочей зоны основных (по массе) компонентов ароматизаторов - растворителей - приводят в документе, в соответствии с которым изготовлен ароматизатор конкретного наименования.
6.2. Контроль воздуха рабочей зоны осуществляют по методикам, утвержденным в установленном порядке, с периодичностью, определенной требованиями
ГОСТ 12.1.005.
6.3. Жидкие ароматизаторы относят к легковоспламеняющимся (ЛВЖ), горючим (ГЖ) или негорючим жидкостям, сухие - к горючим материалам в соответствии с
ГОСТ 12.1.044. Показатель пожаровзрывоопасности жидких ароматизаторов - температуру вспышки - приводят в документе, в соответствии с которым изготавливают ароматизатор конкретного наименования.
6.4. При отборе проб, проведении анализов, хранении и применении ароматизаторов соблюдают правила охраны труда и правила пожарной безопасности, принятые при работе с легковоспламеняющимися, горючими (
ГОСТ 12.1.004 и правила пожарной безопасности, действующие на территории государства принявшего стандарт), вредными веществами
(ГОСТ 12.1.007).
6.5. Средства пожаротушения: распыленная вода, воздушно-механическая пена, порошки, для малых очагов загорания - кошма, порошковые огнетушители.
6.6. При попадании ароматизатора на кожу его следует смыть водой, промыть с мылом, при попадании в глаза - промыть большим количеством воды.
При случайном проглатывании ароматизатора следует вызвать рвоту, провести промывание желудка и обратиться за медицинской помощью.
6.7. При хранении и транспортировании ароматизаторов защиту окружающей среды обеспечивают герметизацией тары. При ее нарушении и попадании ароматизатора в окружающую среду его необходимо собрать и утилизировать.
6.8. При хранении, транспортировании, применении и утилизации ароматизаторов для предупреждения нанесения вреда окружающей природной среде, здоровью и генетическому фонду человека не допускается загрязнение почвы, поверхностных и грунтовых вод.
7.1. Ароматизаторы принимают партиями.
Партией считают определенное количество ароматизатора одного наименования, полученное за один технологический цикл, в одинаковой упаковке, произведенное одним изготовителем по одному нормативному документу, сопровождаемое товаросопроводительной документацией, обеспечивающей прослеживаемость продукции.
7.2. Для контроля качества и приемки ароматизаторов устанавливают следующие категории испытаний:
- приемо-сдаточные;
- периодические.
7.2.1. Приемо-сдаточные испытания проводят для каждой партии ароматизатора по качеству упаковки и маркировки, органолептическим и физико-химическим показателям с применением выборочного контроля. Для этого произвольно отбирают от партии 10% упаковочных единиц, но не менее трех. При числе единиц упаковки менее трех контролю подвергается каждая единица упаковки.
Для проведения испытаний из упаковочных единиц, попавших в выборку, отбирают мгновенные, суммарную, лабораторную пробы и пробы для анализа в соответствии с
разделом 8.
7.2.2. Результаты приемо-сдаточных испытаний оформляют протоколом испытаний по форме, принятой у изготовителя, или отражают в журнале.
7.2.3. При отрицательных результатах приемо-сдаточных испытаний хотя бы по одному показателю качества, по этому показателю проводят повторные испытания на удвоенной выборке от этой же партии. Результаты повторных испытаний распространяются на всю партию.
7.2.4. При неудовлетворительных результатах повторных испытаний хотя бы по одному показателю вся партия ароматизатора бракуется.
7.3. Порядок и периодичность контроля за содержанием токсичных элементов, бенз(а)пирена, бенз(а)антрацена, биологически активных веществ, а также за микробиологическими показателями устанавливает изготовитель в программе производственного контроля.
7.4. Показатель "запах" ароматизатора по
8.5 контролирует только изготовитель.
7.5. Основанием для принятия решения о приемке партии ароматизатора являются положительные результаты приемо-сдаточных испытаний и предшествующих им периодических испытаний.
8.1. Контроль соответствия упаковки и маркировки ароматизаторов требованиям настоящего стандарта проводят внешним осмотром каждой упаковочной единицы продукции из выборки по
7.2.1.
8.2.1. Для проверки качества ароматизаторов по органолептическим и физико-химическим показателям и для определения токсичных элементов из единиц продукции, попавших в выборку по
7.2.1, отбирают мгновенные пробы, из которых формируют суммарную и лабораторную пробу.
Для проведения микробиологических анализов отбор проб - по
ГОСТ 26668.
8.2.2. Отбор мгновенных проб, получение суммарной пробы и выделение лабораторной пробы и пробы для анализа
8.2.2.1. Мгновенные пробы по объему (массе) должны быть равными. Сумма всех мгновенных проб по объему (массе) должна быть в 1,5 - 2,0 раза больше объема (массы) лабораторной пробы.
Объем (масса) лабораторной пробы и пробы для анализа ароматизатора определяется нормативным документом, в соответствии с которым изготавливают ароматизатор конкретного наименования.
8.2.2.2. Количество мгновенных проб жидкого ароматизатора зависит от занимаемого ароматизатором объема. Отбирают по одной мгновенной пробе по всей высоте слоя ароматизатора, если его объем до 1 дм3 включительно, по две мгновенных пробы на глубину 1/3 и 2/3 от верхнего уровня, если объем больше 1 дм3, но не превышает 10 дм3, по три мгновенных пробы (из верхнего, среднего и нижнего слоев) во всех случаях, когда объем ароматизатора свыше 10 дм3.
8.2.2.3. Мгновенные пробы жидкого ароматизатора отбирают пробоотборной трубкой с оттянутым нижним концом диаметром от 6 до 15 мм и длиной, превышающей на несколько сантиметров высоту тары.
Верхнее отверстие трубки закрывают большим пальцем или пробкой, погружают на требуемую глубину, открывают трубку на короткое время для заполнения, затем опять закрывают и извлекают трубку с пробой.
8.2.2.4. Мгновенные пробы пастообразного ароматизатора отбирают пробоотборной трубкой, которую опускают вертикально до дна емкости, затем наклоняют и медленно извлекают, чтобы содержимое трубки полностью сохранилось.
При использовании щупа его погружают (ввинчивая) на всю глубину тары по вертикальной оси. Затем щуп извлекают.
8.2.2.5. Мгновенные пробы сухого ароматизатора отбирают щупом, погружая его на всю глубину тары по вертикальной оси.
8.2.2.6. Отбор мгновенных проб продукции на стадии сдачи-приемки ее на склад проводят перед укупоркой тары.
8.2.2.7. Все мгновенные пробы помещают в сосуд для проб, тщательно перемешивают и получают суммарную пробу.
8.2.2.8. Лабораторную пробу жидкого и пастообразного ароматизатора получают после тщательного перемешивания суммарной пробы и простого сокращения ее до объема лабораторной пробы.
8.2.2.9. Лабораторную пробу сухого ароматизатора получают путем сокращения суммарной пробы методом квартования.
8.2.2.10. Лабораторной пробой для партий ароматизаторов малых объемов может служить суммарная проба, при этом общий объем или масса мгновенных проб должны быть не менее объема или массы, необходимых для проведения испытаний.
8.3. Маркировка лабораторных проб
Выделенную лабораторную пробу ароматизатора снова тщательно перемешивают, делят на две равные части и помещают в чистые сухие стеклянные сосуды. Сосуды плотно закрывают корковыми или пробками из полимерных материалов и маркируют с указанием:
- наименования ароматизатора;
- наименования изготовителя;
- вида носителя (растворителя, наполнителя, пищевого сырья);
- номера и массы партии;
- даты изготовления;
- даты и места отбора проб;
- фамилии и подписи лица, отобравшего пробу;
- обозначения документа, в соответствии с которым изготавливают ароматизатор конкретного наименования.
Одну лабораторную пробу используют для проведения анализа, вторую опечатывают и хранят в течение установленного изготовителем срока хранения на случай разногласий в оценке качества ароматизатора для повторного анализа.
Для партии жидких ароматизаторов малых объемов допускается оставлять на хранение лабораторную пробу ароматизатора, используемую для испытаний.
Лабораторные пробы хранят в защищенном от света месте при температуре не выше 25 °C (если иное не указано в нормативном документе, в соответствии с которым изготовлен ароматизатор конкретного наименования), лабораторные пробы сухих ароматизаторов - при относительной влажности не более 75%.
8.4. Определение внешнего вида и цвета ароматизаторов
8.4.1. Внешний вид и цвет жидкого и пастообразного ароматизатора определяют просмотром пробы для анализа в количестве от 30 до 50 см3 в стакане В-1(2)-50(100) по
ГОСТ 25336 на фоне листа белой бумаги в проходящем или отраженном свете.
8.4.2. Внешний вид и цвет сухого ароматизатора определяют просмотром пробы для анализа массой от 30 до 50 г, помещенной на лист белой фильтровальной бумаги по
ГОСТ 12026, при рассеянном дневном освещении или при свете люминесцентных ламп типа ЛД по
ГОСТ 6825.
8.4.3. Ароматизатор считают соответствующим требованиям настоящего стандарта, если внешний вид и цвет пробы для анализа соответствуют требованиям
5.1.3.
Метод заключается в органолептическом сравнении пробы для анализа ароматизатора с контрольным образцом ароматизатора данного наименования.
За контрольный образец принимают образец ароматизатора данного наименования, запах которого одобрен дегустационным советом изготовителя.
Для контрольного образца отбирают лабораторную пробу объемом (массой) не менее 250 см3 (г) ароматизатора, изготовленного в производственных условиях. Контрольный образец хранят в герметично закрытой таре в течение срока хранения, установленного изготовителем.
8.5.1. Определение запаха жидкого ароматизатора
Полоски фильтровальной бумаги 10 x 160 мм по
ГОСТ 12026 одновременно смачивают (приблизительно на 3 см) в контрольном образце и пробе для анализа и сравнивают их запах.
Ароматизатор считают соответствующим требованиям настоящего стандарта, если запах "влажных" полосок пробы для анализа и контрольного образца одинаков.
8.5.2. Определение запаха сухого и пастообразного ароматизатора
Пробу для анализа ароматизатора и контрольного образца массой от 30 до 50 г помещают на листе белой фильтровальной бумаги по
ГОСТ 12026 и оценивают их запах.
Ароматизатор считают соответствующим требованиям настоящего стандарта, если запах пробы для анализа и контрольного образца одинаков.
8.6. Определение показателя преломления жидких ароматизаторов - по ГОСТ 14618.10 (раздел 4).
8.7. Определение плотности жидких ароматизаторов - по ГОСТ 14618.10 (раздел 2 или раздел 3).
8.8. Определение объемной доли этилового спирта в жидких спиртосодержащих ароматизаторах проводят по методике, изложенной в
Приложении А.
8.9. Определение массовой доли влаги в сухих и пастообразных ароматизаторах - по ГОСТ 14618.6 (раздел 3 или раздел 4) или по методике, изложенной в
Приложении Б.
При возникновении разногласий в качестве арбитражного метода применяют метод по ГОСТ 14618.6 (раздел 3).
8.10. Определение микробиологических показателей ароматизаторов:
- количество мезофильных аэробных и факультативно-анаэробных микроорганизмов - по
ГОСТ 10444.15;
- количество бактерий группы кишечных палочек (колиформных бактерий) - по
ГОСТ 31747;
- количество сульфитредуцирующих клостридий - по
ГОСТ 29185.
8.11. Определение содержания токсичных элементов:
- ртути - по
ГОСТ 26927 и по нормативному документу, действующему на территории государства, принявшего стандарт.
8.12. Определение металломагнитных примесей - по
ГОСТ 15113.2.
8.13. Определение бенз(а)пирена, бенз(а)антрацена и потенциально опасных биологически активных веществ - по нормативному документу, действующему на территории государства, принявшего стандарт.
8.15. Определение объемной доли 1,2-пропиленгликоля в жидких ароматизаторах - по
Приложению В.
9. Транспортирование и хранение
9.1. Ароматизаторы транспортируют всеми видами транспорта в соответствии с правилами перевозок грузов, действующими на соответствующем виде транспорта.
9.2. Жидкие и пастообразные ароматизаторы хранят в закрытых и затемненных помещениях при температуре не выше 25 °C, если иное не установлено изготовителем.
Примечания. 1. При хранении жидких ароматизаторов допускаются опалесценция и выпадение осадка, если это предусмотрено изготовителем.
2. При хранении пастообразных ароматизаторов допускается расслоение (отделение жидкой фазы), если это предусмотрено изготовителем.
3. Перед применением ароматизаторы необходимо перемешать до получения однородной массы.
9.3. Сухие ароматизаторы хранят в сухих хорошо проветриваемых помещениях при температуре не выше 25 °C и относительной влажности не более 75%, если иное не установлено изготовителем.
Примечание. При хранении сухих ароматизаторов допускается наличие неплотно слежавшихся комочков (легко рассыпающихся).
9.4. Не допускается транспортирование и хранение ароматизаторов совместно с химикатами и резко пахнущими продуктами и материалами.
9.5. Срок годности ароматизаторов устанавливает изготовитель.
10. Указания по применению
Область применения и максимальные дозировки ароматизаторов должны соответствовать требованиям, установленным
[2] или нормативными правовыми актами, действующими на территории государства, принявшего стандарт, и устанавливаются изготовителем.
(рекомендуемое)
ОПРЕДЕЛЕНИЕ ОБЪЕМНОЙ ДОЛИ ЭТИЛОВОГО СПИРТА
В ЖИДКИХ АРОМАТИЗАТОРАХ
Настоящий хроматографический метод предназначен для определения объемной доли этилового спирта в жидких ароматизаторах, с использованием насадочной колонки и пламенно-ионизационного детектора.
Диапазон измерений объемной доли этилового спирта от 1,0% до 85,0% включительно.
А.1. Сущность метода
Метод основан на хроматографическом разделении компонентов ароматизатора и этилового спирта на полиароматическом макропористом сорбенте при использовании "холодного" ввода пробы (при температуре ниже температуры кипения анализируемого вещества) и последующем детектировании этилового спирта пламенно-ионизационным детектором.
А.2. Требования безопасности
А.2.1. При работе на газовом хроматографе необходимо соблюдать требования охраны труда и правила безопасности в соответствии с инструкцией по эксплуатации прибора.
А.2.2. При выполнении анализа необходимо соблюдать требования техники безопасности при работе с химическими реактивами по
ГОСТ 12.1.007 и
ГОСТ 12.4.103.
А.2.3. Помещение, в котором проводят измерения, должно быть оборудовано общей приточно-вытяжной вентиляцией по
ГОСТ 12.4.021.
А.2.5. Организация обучения работающих безопасности труда - по
ГОСТ 12.0.004.
А.2.6. Помещение лаборатории должно соответствовать требованиям пожарной безопасности по
ГОСТ 12.1.004 и иметь средства пожаротушения по
ГОСТ 12.4.009.
А.2.7. Содержание вредных веществ в воздухе рабочей зоны не должно превышать норм, установленных
ГОСТ 12.1.005.
А.3. Средства измерений, вспомогательное оборудование, посуда, реактивы и материалы
Хроматограф газовый, оснащенный пламенно-ионизационным детектором с чувствительностью по нонану не менее

.
Компьютер или интегратор, имеющий программное обеспечение для базового набора операций по автоматизации хроматографии.
Секундомер 2 класса точности с емкостью шкалы счетчика 30 мин, ценой деления 0,20 с, погрешностью +/- 0,60 с.
Микрошприц вместимостью 0,5 мм3.
Колбы мерные с пришлифованной пробкой вместимостью 100 см3 1-го класса точности по
ГОСТ 1770.
Пипетки 2-1-5, 2-1-10, 2-1-20, 2-1-25 по
ГОСТ 29227.
Пипетки с одной меткой вместимостью 25, 50 см3 1-го класса точности по
ГОСТ 29169.
Колонка хроматографическая насадочная из нержавеющей стали, длиной 1 м и внутренним диаметром 3 мм, заполненная полиароматическим макропористым сорбентом - сополимером стирола (60%) и дивинилбензола (40%) (Полисорб 1), с размером частиц от 0,25 до 0,50 мм. Допускается использование колонки большей длины и повышение температуры термостата колонок при условии увеличения времени анализа. Использование других сорбентов не допускается.
Флаконы стеклянные вместимостью от 5 до 15 см3 с пробками из силиконовой резины.
Водород технический марки А - по
ГОСТ 3022. Допускается использование генератора водорода.
Воздух сжатый по
ГОСТ 17433. Допускается использовать воздушный компрессор любого типа, обеспечивающий необходимое давление и чистоту воздуха в соответствии с инструкцией по эксплуатации газового хроматографа.
Спирт этиловый ректификованный по нормативному документу, действующему на территории государства, принявшего стандарт.
Допускается применение аналогичных средств измерения, материалов и реактивов с метрологическими характеристиками и по качеству не ниже указанных.
А.4. Подготовка к выполнению измерений
А.4.1. Условия измерения
При подготовке к измерению и при проведении измерения необходимо соблюдать следующие условия:
температура окружающего воздуха . . . . . . . . . . от 20 °C до 25 °C;
атмосферное давление. . . . . . . . . . . . . . . от 95,0 до 106,7 кПа
(от 720 до 800 мм рт. ст.);
относительная влажность воздуха . . . . . . . . . . . . от 40% до 90%;
напряжение в электросети. . . . . . . . . . . . . . . . . .

;
частота тока в электросети. . . . . . . . . . . . . . . от 49 до 51 Гц.
А.4.2. Подготовка хроматографической колонки
Хроматографическую колонку промывают последовательно водой, этиловым спиртом, ацетоном, высушивают в токе воздуха и заполняют сорбентом.
Заполненную колонку помещают в термостат хроматографа, подключают к испарителю, не присоединяя к детектору, затем колонку продувают газом-носителем (азотом) со скоростью 40 см3/мин в режиме программирования температуры: увеличивая температуру до 170 °C со скоростью от 4 °C/мин до 6 °C/мин, затем при температуре 170 °C в течение от 0,5 до 1,0 ч. Подготовленную колонку подсоединяют к детектору и проверяют стабильность нулевой линии при рабочей температуре термостата колонок по
А.7.
А.4.3. Подготовка измерительной аппаратуры
Подготовку хроматографа к работе проводят в соответствии с инструкцией по его эксплуатации.
Прибор градуируют по градуировочным растворам в соответствии с
А.5.2.
А.4.4. Приготовление градуировочных растворов
В качестве градуировочных растворов используют растворы этилового спирта в дистиллированной воде с объемными долями (об. %), близкими к заданному диапазону измерений.
Перед приготовлением растворов определяют содержание основного вещества в используемом этиловом спирте по
ГОСТ 3639. Для градуировки прибора готовят не менее семи градуировочных растворов.
В каждую из семи мерных колб с пришлифованной пробкой вместимостью 100 см3 вносят по 10 см3 дистиллированной воды и необходимое количество этилового спирта в соответствии с
таблицей А.1. Содержимое колб перемешивают и доводят объемы растворов до метки дистиллированной водой (градуировочные растворы N 1 - 7).
Градуировочные растворы хранят при температуре от 0 °C до 10 °C в герметичной таре в течение 6 мес.
Таблица А.1
Состав градуировочных растворов
Номер градуировочной смеси | Объем этилового спирта в градуировочном растворе, см3 |
1 | 1 |
2 | 5 |
3 | 10 |
4 | 15 |
5 | 25 |
6 | 50 |
7 | 85 |
Объемную долю этилового спирта

, %, в градуировочных растворах определяют по плотности после выдержки растворов в течение от 2 до 3 ч пикнометром по ГОСТ 3639
(раздел 3) с последующим переводом значений плотности водно-спиртового раствора на содержание спирта в процентах (по объему).
А.5. Выполнение измерений
А.5.1. Измерения выполняют при следующих режимных параметрах хроматографа:
температура термостата колонки . . . . . . . . . . 80 °C;
температура испарителя (инжектора) . . . . . . . . от 45 °C до 55 °C;
температура переходной камеры. . . . . . . . . . . 80 °C;
скорость потока газа-носителя (азота). . . . . . . от 30 до 40 см3/мин;
скорость потока водорода . . . . . . . . . . . . . 30 см3/мин;
скорость потока воздуха. . . . . . . . . . . . . . 300 см3/мин;
объем пробы для анализа. . . . . . . . . . . . . . 0,2 мм3.
После проведения анализа 20 - 30 проб повышают температуру испарителя, термостата колонки и переходной камеры до 150 °C и поддерживают ее в течение от 30 до 40 мин для очистки хроматографической системы от высококипящих соединений.
А.5.2. Установление градуировочной характеристики
Градуировку пламенно-ионизационного детектора хроматографа выполняют методом абсолютной градуировки.
Для определения градуировочного коэффициента необходимо хроматографировать не менее четырех градуировочных растворов с содержанием этилового спирта, соответствующему всему диапазону измерений. Каждую градуировочную смесь анализируют не менее трех раз.
Зависимость объемной доли этилового спирта в анализируемой пробе от площади пика выражается уравнением
Q = KA, (А.1)
где Q - объемная доля этилового спирта в анализируемой пробе, % (об.);
A - площадь хроматографического пика, ед. счета;
K - градуировочный коэффициент, % (об.)/ед. счета.
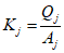
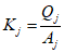
Значение градуировочного коэффициента для каждого j-го градуировочного раствора вычисляют по формуле

, (А.2)

, (А.3)
где

- среднеарифметическое значение трех площадей хроматографических пиков, полученных при анализе j-го градуировочного раствора;

,

,

- площади хроматографических пиков трех анализов j-ого градуировочного раствора, ед. счета;

- объемная доля этилового спирта в j-ом градуировочном растворе, % (об.).
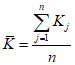
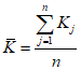
Рассчитывают среднее значение

по формуле

, (А.4)
где n - количество градуировочных растворов.
Процедуру градуировки проводят периодически не менее одного раза в неделю, при постановке методики на хроматограф, после ремонта хроматографа.
А.5.3. Анализ пробы
После установления рабочих параметров, включения системы автоматизации анализа для записи хроматограмм и обработки полученных данных, стабильной нулевой линии на рабочей шкале детектора приступают к анализу.
Для определения объемной доли этилового спирта в анализируемой пробе ароматизатора используют лабораторную пробу по
8.2.
В испаритель (инжектор) вводят микрошприцем 0,2 мм3 пробы и выполняют хроматографический анализ в условиях
А.5.1. Регистрируют пик в области времени удерживания, соответствующего этиловому спирту. Анализ повторяют не менее двух раз.
При градуировке и анализе обязательно использование одного и того же микрошприца.
А.6. Обработка результатов
А.6.1. Обработку результатов выполняют, используя программное обеспечение входящих в комплект хроматографа персонального компьютера или интегратора в соответствии с инструкцией по их эксплуатации.
А.6.2. Объемную долю этилового спирта в анализируемой пробе ароматизатора X, % (об.), вычисляют по формуле

, (А.5)
где

- среднеарифметическое значение градуировочного коэффициента этилового спирта, % (об.)/ед. счета;
A - значение площади пика этилового спирта, ед. счета.
А.6.3. Результат определения объемной доли этилового спирта, % (об.) в ароматизаторе представляют в виде

, (А.6)
где X - объемная доля этилового спирта в ароматизаторе, % (об.);

- относительная погрешность определения объемной доли этилового спирта, % (об.).
За окончательный результат определений принимают среднеарифметическое значение двух параллельных определений

, %, округленное до первого десятичного знака, если выполняются условия приемлемости: абсолютное значение разности между результатами двух определений, полученными в условиях повторяемости при P = 0,95%, не превышает предела повторяемости r = 10,00%.
Абсолютное значение разности между результатами двух определений, полученными в условиях воспроизводимости при P = 0,95%, не превышает предела воспроизводимости R = 15,00%.
Границы относительной погрешности метода определения объемной доли этилового спирта +/- 15,0% при P = 0,95%.
А.7. Контроль стабильности нулевой линии хроматографа
Контроль осуществляют постоянно в процессе анализа ароматизаторов. Положительный дрейф нулевой линии, определяемый как наибольшее смещение сигнала нулевой линии за 20 мин от начала анализа, не должен превышать 20% от высоты пика, соответствующего объемной доле этилового спирта 1% (градуировочный раствор N 1). При превышении указанного значения или появлении побочных пиков необходимо поднять температуру колонки, испарителя и переходной камеры до 150 °C и поддерживать ее в течение от 30 до 40 мин для ускоренного элюирования высококипящих компонентов анализируемых смесей.
(рекомендуемое)
ОПРЕДЕЛЕНИЕ МАССОВОЙ ДОЛИ ВЛАГИ В АРОМАТИЗАТОРАХ
Настоящий метод предназначен для измерения массовой доли влаги в ароматизаторах, растворенных в жидкостях, не взаимодействующих с реактивом Фишера.
Метод обеспечивает выполнение измерений в диапазоне массовой доли влаги от 0,8% до 50% включительно.
Б.1. Сущность метода
Метод основан на взаимодействии йода с оксидом серы (IV) и водой в среде метанола и пиридина в процессе титрования анализируемой пробы реактивом Фишера. Точку эквивалентности определяют электрометрически по возникновению тока между двумя электродами с появлением в растворе свободного йода.
Б.2. Требования безопасности
Б.2.1. При работе на титриметрическом автоматическом анализаторе для электрометрического титрования влаги по методу К. Фишера необходимо соблюдать требования охраны труда и правила безопасности в соответствии с инструкцией по эксплуатации прибора.
Б.2.2. При выполнении анализа необходимо соблюдать требования техники безопасности при работе с химическими реактивами по
ГОСТ 12.1.007 и
ГОСТ 12.4.103.
Б.2.3. Помещение, в котором проводят измерения, должно быть оборудовано общей приточно-вытяжной вентиляцией по
ГОСТ 12.4.021.
Б.2.4. Электробезопасность при работе с электроустановками - по
ГОСТ 12.2.007.0 и нормативным документам, действующим на территории государства, принявшего стандарт.
Б.2.5. Организация обучения работающих безопасности труда - по
ГОСТ 12.0.004.
Б.2.6. Помещение лаборатории должно соответствовать требованиям пожарной безопасности по
ГОСТ 12.1.004 и иметь средства пожаротушения по
ГОСТ 12.4.009.
Б.2.7. Содержание вредных веществ в воздухе рабочей зоны не должно превышать норм, установленных
ГОСТ 12.1.005.
Б.2.8. Все операции с реактивом Фишера следует проводить в вытяжном шкафу.
Б.3. Средства измерений, вспомогательное оборудование, посуда, реактивы и материалы
Весы по нормативным документам, действующим на территории государства, принявшего стандарт, со значением среднего квадратического отклонения (СКО), не превышающим 0,3 мг, и погрешностью от нелинейности не более +/- 0,6 мг.
Анализатор титриметрический автоматический для электрометрического титрования влаги по методу К. Фишера с диапазоном измерений массовой доли влаги от 0,5% до 50,0% и пределом СКО относительной погрешности измерения +/- 0,4% (при 25 мг влаги).
Колбы конические Кн-1-500-40 ТС, Кн-1-500-40 ТХС со шлифом, вместимостью 500 см3 по
ГОСТ 25336.
Микрошприц вместимостью 0,01 см3.
Реактив Фишера N 1 (диоксид серы в метаноле), ч.д.а. по
ГОСТ 14870.
Реактив Фишера N 2 (йод в метаноле), ч.д.а. по
ГОСТ 14870.
Метанол-яд (спирт метиловый), х.ч. по
ГОСТ 6995.
Допускается применение других средств измерения, материалов и реактивов с метрологическими характеристиками и по качеству не ниже указанных.
Б.4. Подготовка к выполнению измерений
Б.4.1. Условия выполнения измерений
При выполнении измерений в лаборатории должны быть соблюдены следующие условия:
- температура окружающего воздуха . . . . . . . . от 10 °C до 35 °C;
- атмосферное давление. . . . . . . . . . . . . . от 84,0 до 106,7 кПа
(от 630 до 800 мм рт. ст.);
- относительная влажность воздуха . . . . . . . . не более 80%;
- напряжение в сети . . . . . . . . . . . . . . .

.
Б.4.2. Отбор проб - по 8.2.
Б.4.3. Подготовку автоматического титриметрического анализатора проводят в соответствии с инструкцией по его эксплуатации.
Б.4.4. Приготовление рабочего раствора реактива Фишера
В коническую колбу вместимостью 500 см3 последовательно отмеряют по 100 см3 реактива Фишера N 1 и реактива Фишера N 2, закрывают пробкой и перемешивают. Полученный рабочий раствор выливают в бутыль с маркировкой "Реактив Фишера", которая соединена с насосом блока титрования автоматического титриметрического анализатора, не допуская образования пузырей, и выдерживают в течение 24 ч.
Б.4.5. Метанол-яд выливают в бутыль с маркировкой "Метанол-яд", которая соединена с насосом блока титрования автоматического титриметрического анализатора.
Примечание. Подсоединяя бутыли с готовыми реактивами к насосу блока титрования автоматического титриметрического анализатора, следует убедиться, что все крышки прилегают плотно, а поплавок в бутыли для слива свободно перемещается в вертикальной плоскости.
Б.4.6. Поднимают до упора крышку насоса блока титрования и смещают до упора держатель реакционного сосуда с целью полной изоляции емкости.
Б.4.7. Проводят градуировку автоматического титриметрического анализатора титрованием заданного объема дистиллированной воды (V = 0,01 см3) ежедневно, перед проведением измерений в соответствии с инструкцией по эксплуатации прибора. Градуировка считается выполненной, если коэффициент вариации для трех результатов из десяти не превышает нормы, установленной в инструкции по эксплуатации прибора.
Б.4.8. Подготовка пробы
В стакане вместимостью 50 см3 взвешивают от 0,2 до 0,3 г сухого ароматизатора или от 0,2 до 1,0 г пастообразного ароматизатора, или от 0,5 до 1,0 г жидкого ароматизатора с записью результата взвешивания до третьего десятичного знака.
Б.5. Выполнение измерений
Б.5.1. Пробу ароматизатора вносят в реакционный сосуд автоматического титриметрического анализатора, при этом операция должна выполняться как можно быстрее, чтобы минимизировать попадание влаги из воздуха.
Примечание. Если в течение 60 с анализируемая проба не будет внесена в реакционный сосуд, прибор вернется в режим кондиционирования.
Б.5.2. Проводят измерения в соответствии с инструкцией по эксплуатации автоматического титриметрического анализатора с записью результата до второго десятичного знака.
Б.6. Обработка результатов
Численное значение окончательного результата измерений и значение границ абсолютной погрешности измерений выражают не более, чем двумя значащими цифрами.
За окончательный результат определения принимают среднеарифметическое значение

, %, результатов двух параллельных определений, если выполняется условие приемлемости

, (Б.1)
где

,

- результаты анализов результатов двух параллельных определений массовой доли влаги, выполненных в условиях повторяемости, %;

- среднеарифметическое значение результатов двух параллельных определений массовой доли влаги, выполненных в условиях повторяемости, %;
r - значение предела повторяемости, %, приведенное в
таблице Б.1.
Результат анализа представляют в виде:

, при P = 0,95, (Б.2)
где

- среднеарифметическое значение результатов двух параллельных определений массовой доли влаги, признанных приемлемыми, %;

- границы относительной погрешности измерений, %.
Предел повторяемости r и воспроизводимости R, а также показатель точности,

, измерений массовой доли влаги в ароматизаторах приведены в таблице Б.1.
Диапазон измерений массовой доли влаги в ароматизаторах, % | Предел повторяемости r, % отн. при P = 0,95, n = 2 | Предел воспроизводимости R, % отн. при P = 0,95, m = 2 | Показатель точности (границы относительной погрешности)  , %, при P = 0,95 |
0,8 - 50,0 | 0,5 | 1,0 | 0,5 |
(рекомендуемое)
ОПРЕДЕЛЕНИЕ ОБЪЕМНОЙ ДОЛИ 1,2-ПРОПИЛЕНГЛИКОЛЯ
В ЖИДКИХ АРОМАТИЗАТОРАХ
Определение объемной доли 1,2-пропиленгликоля в жидких ароматизаторах выполняют хроматографическим методом.
Диапазон измеряемых объемных долей 1,2-пропиленгликоля от 1,0% до 92,0% включительно.
В.1. Сущность метода
Метод основан на газохроматографическом разделении компонентов ароматизаторов на приборе с пламенно-ионизационным детектором и использования двух вариантов хроматографии: газоадсорбционной и газожидкостной.
В.2. Средства измерений, вспомогательное оборудование, посуда, материалы и реактивы
Весы со значением среднего квадратического отклонения (СКО), не превышающим 0,3 мг, и с погрешностью от нелинейности не более +/- 0,6 мг.
Секундомер 2 класса точности с емкостью шкалы счетчика 30 мин, ценой деления 0,20 с, погрешностью +/- 0,60 с.
Термометр ТЛ-31-А, пределы измерения температуры от 0 °C до 250 °C по
ГОСТ 28498.
Хроматограф газовый, оснащенный пламенно-ионизационным детектором с чувствительностью по нонану не менее

.
Компьютер или интегратор, имеющий программное обеспечение для базового набора операций по автоматизации хроматографии.
Колонка хроматографическая насадочная из нержавеющей стали, длиной 1 м и внутренним диаметром 3 мм. При необходимости допускается использование колонки большей длины и повышение температуры термостата колонок при увеличении времени анализа.
Микрошприц вместимостью 0,5 мм3.
Пипетки 2-1-5, 2-1-10, 2-1-20, 2-1-25, 4-2-1 по
ГОСТ 29227.
Флаконы стеклянные вместимостью от 5 до 15 см3 с пробками из силиконовой резины.
Азот газообразный особой чистоты по
ГОСТ 9293.
Водород технический марки А по
ГОСТ 3022. Допускается использование генератора водорода.
Воздух сжатый по
ГОСТ 17433. Допускается использовать компрессоры любого типа, обеспечивающие необходимое давление и чистоту воздуха.
Полиароматический макропористый сорбент - сополимер стирола (60%) и дивинилбензола (40%) (Полисорб 1), с размером частиц от 0,25 до 0,50 мм. Использование других сорбентов не допускается.
Сорбент на основе гидратированного микроаморфного кремнезема, обработанного гексаметилдисилазаном (типа Хроматон N-AW HMDS), и полиэтиленгликоля 20000 (типа Карбовакс) в количестве 15%, с размером частиц от 0,20 до 0,36 мм.
Спирт этиловый ректификованный по нормативным документам, действующим на территории государства, принявшего стандарт.
Допускается применение аналогичных средств измерения, материалов и реактивов с метрологическими характеристиками и по качеству не ниже указанных.
В.3. Подготовка к выполнению измерений
В.3.1. Условия измерения
При подготовке к измерению и при проведении измерения необходимо соблюдать следующие условия:
- температура окружающего воздуха . . . . . . . . .(20 +/- 2) °C;
- атмосферное давление. . . . . . . . . . . . . . .от 95,0 до 106,7 кПа
(от 720 до 800 мм рт. ст.);
- относительная влажность воздуха . . . . . . . . .от 20% до 90%;
- напряжение в электросети. . . . . . . . . . . . .(220 +/- 20) В;
- частота в электросети . . . . . . . . . . . . . .(50 +/- 2) Гц.
В.3.2. Подготовка хроматографической колонки
Хроматографические колонки промывают последовательно водой, этиловым спиртом, ацетоном, высушивают в токе воздуха и заполняют насадкой.
Заполненные колонки помещают в термостат хроматографа, подключают к испарителю, не присоединяя к детектору. Колонку кондиционируют с газом-носителем (азотом) со скоростью 40 см3/мин в режиме программирования температуры со скоростью от 4 °C/мин до 6 °C/мин до 170 °C и выдерживают в течение от 0,5 до 1,0 ч при этой температуре.
После охлаждения выходной конец колонок подсоединяют к детектору и проверяют стабильность нулевой линии при рабочей температуре термостата колонок.
В.3.3. Подготовка измерительной аппаратуры
Подготовку хроматографа к работе проводят в соответствии с инструкцией по эксплуатации, прилагаемой к прибору.
Прибор градуируют по градуировочным растворам.
В.3.4. Приготовление градуировочных растворов
В качестве градуировочных растворов используют растворы 1,2-пропиленгликоля в дистиллированной воде с объемными долями (об. %), близкими к заданному диапазону измерений.
Растворы готовят, используя 1,2-пропиленгликоль с объемной долей основного вещества не менее 99,0%.
В восемь мерных колб с пришлифованной пробкой вместимостью 50 см3 наливают от 20 до 30 см3 дистиллированной воды, вносят последовательно пипетками по 0,5; 5,0; 10,0; 20,0 см3 и цилиндрами 30; 40; 46 см3 1,2-пропиленгликоля. Содержимое колб перемешивают и доводят объемы растворов до метки дистиллированной водой (градуировочные растворы N 1 - N 8).
Объемную долю 1,2-пропиленгликоля, %, в градуировочных растворах определяют по формуле

, (В.1)
где

- аликвотная доля 1,2-пропиленгликоля, см3;

- объемная доля основного вещества в 1,2-пропиленгликоле, %;
50 - объем градуировочного раствора, см3.
В.4. Выполнение измерений
В.4.1. Измерения выполняют при следующих режимных параметрах хроматографа
для газоадсорбционной хроматографии:
- температура термостата колонки . . . . . . . . . 170 °C;
- температура испарителя (инжектора) . . . . . . . (170 +/- 5) °C;
- температура переходной камеры. . . . . . . . . . 170 °C;
- расход газа-носителя азота . . . . . . . . . . . от 30 до 40 см3/мин;
- расход водорода. . . . . . . . . . . . . . . . . 30 см3/мин;
- расход воздуха . . . . . . . . . . . . . . . . . 300 см3/мин;
- объем пробы. . . . . . . . . . . . . . . . . . . от 0,1 до 0,5 мм3;
для газожидкостной хроматографии:
- температура термостата колонки . . . . . . . . . 150 °C;
- температура испарителя (инжектора) . . . . . . . (200 +/- 5) °C;
- температура переходной камеры. . . . . . . . . . 150 °C;
- расход газа-носителя азота . . . . . . . . . . . от 30 до 40 см3/мин;
- расход водорода. . . . . . . . . . . . . . . . . 30 см3/мин;
- расход воздуха . . . . . . . . . . . . . . . . . 300 см3/мин;
- объем пробы. . . . . . . . . . . . . . . . . . . от 0,1 до 0,5 мм3.
В.4.2. Установление градуировочной характеристики
Градуировку пламенно-ионизационного детектора хроматографа выполняют методом абсолютной градуировки.
Для определения градуировочного коэффициента необходимо хроматографировать не менее четырех градуировочных растворов с содержанием 1,2-пропиленгликоля, соответствующему рабочему диапазону измерений.
Микрошприцем вместимостью 1,0 мм3, промытым 8 - 10 раз анализируемым градуировочным раствором 1,2-пропиленгликоля, отбирают от 0,1 до 0,5 мм3 пробы и вводят ее в испаритель хроматографа.
Каждую градуировочную смесь анализируют не менее трех раз.
Зависимость объемной доли 1,2-пропиленгликоля от площади пика выражается уравнением
Q = KA, (В.2)
где Q - объемная доля 1,2-пропиленгликоля в пробе, %;
K - градуировочный коэффициент, %/ед. счета;
A - площадь хроматографического пика, ед. счета.
Значение градуировочного коэффициента для каждого j-го градуировочного раствора вычисляют по формуле

, (В.3)

, (В.4)
где

,

,

- площади хроматографических пиков трех параллельных измерений j-ого градуировочного раствора, ед. счета;

- объемная доля 1,2-пропиленгликоля в j-ой пробе, %.
Среднее значение градуировочного коэффициента рассчитывают по формуле

, (В.5)
где n - количество градуировочных растворов.
Процедуру градуировки проводят при постановке методики на хроматограф, после ремонта хроматографа, после отрицательного результата контроля.
Периодический контроль градуировочных коэффициентов проводят в соответствии с
В.5.4.
Проверку градуировочной характеристики по одной из точек диапазона измеряемых концентраций проводят ежедневно в соответствии с
В.6.5.
В.4.3. Газохроматографический анализ пробы ароматизатора
При градуировке и анализе обязательно использование одного и того же шприца. После установления рабочих параметров, включения системы автоматизации анализа для записи хроматограмм и обработки полученных данных, стабильной нулевой линии на рабочей шкале детектора приступают к проведению анализа.
Для определения объемной доли 1,2-пропиленгликоля в анализируемой пробе вводят в испаритель хроматографа микрошприцем трижды от 0,1 до 0,5 мм3 анализируемого пищевого ароматизатора, используя хроматографическую колонку, обеспечивающую оптимальное отделение 1,2-пропиленгликоля от других компонентов ароматизатора. По полученным хроматограммам анализируемой пробы измеряют площади пиков и вычисляют среднее значение площади пика 1,2-пропиленгликоля.
В.5. Обработка результатов
В.5.1. Обработку результатов выполняют, используя программное обеспечение входящих в комплект хроматографа персонального компьютера или интегратора в соответствии с инструкцией по их эксплуатации.
В.5.2. Объемную долю 1,2-пропиленгликоля в анализируемой пробе ароматизатора X, %, вычисляют по формуле

, (В.6)
где K - среднеарифметическое значение градуировочного коэффициента 1,2-пропиленгликоля, %/ед. счета;

- среднее значение площади пика 1,2-пропиленгликоля трех параллельных определений пробы ароматизатора, ед. счета.
В.5.3. Результат измерений объемной доли 1,2-пропиленгликоля в ароматизаторе представляют в виде

, (В.7)
где X - объемная доля 1,2-пропиленгликоля в ароматизаторе, %;

- относительная погрешность измерения объемной доли 1,2-пропиленгликоля, %.
В.5.4. Относительная погрешность

измерения объемной доли 1,2-пропиленгликоля в ароматизаторах при доверительной вероятности P = 0,95 составляет для ароматизаторов с объемной долей 1,2-пропиленгликоля:
- от 1% до 15% включительно. . . . . . . . . . . . . . . . . . +/- 15%;
- св. 15% до 92% включительно. . . . . . . . . . . . . . . . . +/- 8%.
В.6. Контроль точности результатов измерений
При проведении контроля точности измерения по данной методике выполняют следующие операции:
В.6.1. Контроль стабильности нулевой линии хроматографа
Контроль осуществляется постоянно в процессе анализа пищевых ароматизаторов. Положительный дрейф нулевой линии, определяемый как наибольшее смещение сигнала нулевой линии за 20 мин от начала анализа, не должен превышать 20% от высоты пика, соответствующего объемной доле 1,2-пропиленгликоля 1% (градуировочный раствор N 1). При превышении указанного значения или появлении побочных пиков требуется поднять температуру колонки, испарителя и переходной камеры до 200 °C и поддерживать в течение от 30 до 40 мин для ускоренного элюирования высококипящих компонентов анализируемых смесей.
В.6.2. Контроль сходимости выходных сигналов хроматографа
Контролируемым параметром является относительный размах выходных сигналов хроматографа. Контроль осуществляется при проведении градуировки и при периодическом контроле градуировочных коэффициентов. Результат контроля признается положительным при выполнении условия

, (В.8)
где

- максимальная площадь хроматографического пика, ед. счета;

- минимальная площадь хроматографического пика, ед. счета;

- среднеарифметическое значение площадей пиков, полученных при параллельных вводах проб, ед. счета;
M - относительный размах выходного сигнала хроматографа, %.
Значения величины M в зависимости от значения объемной доли 1,2-пропиленгликоля приведены в таблице В.1.
В процентах
Объемная доля 1,2-пропиленгликоля | Значения контролируемых параметров |
M | B | L | N |
От 1 до 15 включ. | 10 | 12 | 9 | 12 |
Св. 15 до 92 включ. | 7 | 10 | 5 | 7 |
В.6.3. Контроль правильности построения градуировочной характеристики
Контролируемым параметром является размах градуировочных коэффициентов относительно среднего значения.
Качество градуировки считают удовлетворительным при выполнении условия

, (В.9)
где

- максимальное значение градуировочного коэффициента 1,2-пропиленгликоля в диапазоне анализируемых объемных долей, %/ед. счета;

- минимальное значение градуировочного коэффициента 1,2-пропиленгликоля в диапазоне анализируемых объемных долей, %/ед. счета;

- среднее значение градуировочного коэффициента 1,2-пропиленгликоля, %/ед. счета;
B - размах градуировочного коэффициента, %.
Значения величины B в зависимости от значения объемной доли 1,2-пропиленгликоля приведены в
таблице В.1.
Контроль проводят каждый раз при построении градуировочной зависимости. Если условие
(В.9) не выполняется, то проводят повторную градуировку прибора.
В.6.4. Контроль стабильности градуировочной характеристики
Контроль проводят не реже одного раза в квартал, а также при смене колонки, промывке детектора и т.п. Частота контроля может быть увеличена при большей интенсивности работы прибора. Контроль проводят по свежеприготовленным градуировочным растворам по
В.3.4. Используется три раствора в начале, середине и конце рабочего диапазона измерений. Ввод проб в хроматограф осуществляется микрошприцем.
Результаты контроля считают положительными при выполнении условия

, (В.10)
где K - ранее установленное значение градуировочного коэффициента;

- среднее значение градуировочного коэффициента, вычисленное по формуле
(В.5);
L - норматив периодического контроля стабильности градуировочной характеристики, %.
Значения величины L в зависимости от значения объемной доли 1,2-пропиленгликоля приведены в
таблице В.1.
При отрицательных результатах контроля необходимо провести градуировку прибора в соответствии с
В.4.2.
В.6.5. Ежедневный контроль стабильности градуировочной характеристики
Контроль проводят ежедневно в начале рабочего дня по градуировочному раствору, близкому по значению определяемой доли 1,2-пропиленгликоля. Ввод пробы в хроматограф осуществляется микрошприцем. Результаты контроля считают положительными при выполнении условия

, (В.11)
где K - градуировочный коэффициент, установленный ранее, %/ед. счета;

- градуировочный коэффициент i-го градуировочного контролируемого раствора, %/ед. счета, вычисляемый по формуле

, (В.12)
где

- объемная доля 1,2-пропиленгликоля в i-ой пробе, %;

- площадь хроматографического пика 1,2-пропиленгликоля в пробе, ед. счета;
N - норматив ежедневного контроля стабильности градуировочной характеристики, %.
Значения величины N в зависимости от объемной доли 1,2-пропиленгликоля приведены в
таблице В.1.
При отрицательных результатах контроля необходимо провести градуировку прибора в соответствии с
В.4.2.
В.7. Требования безопасности
В.7.1. При работе на газовом хроматографе необходимо соблюдать требования охраны труда и правила безопасности в соответствии с инструкцией по эксплуатации прибора.
В.7.2. Помещение, в котором проводится измерение, должно быть оборудовано общей приточно-вытяжной вентиляцией.
| Технический регламент Таможенного союза ТР ТС 021/2011 "О безопасности пищевой продукции" |
| Технический регламент Таможенного союза ТР ТС 029/2012 "Требования безопасности пищевых добавок, ароматизаторов и технологических вспомогательных средств" |
| Технический регламент Таможенного союза ТР ТС 005/2011 "О безопасности упаковки" |
| Технический регламент Таможенного союза ТР ТС 022/2011 "Пищевая продукция в части ее маркировки" |