Главная // Актуальные документы // ГОСТ (Государственный стандарт)СПРАВКА
Источник публикации
М.: Стандартинформ, 2016
Примечание к документу
Документ
введен в действие с 1 января 2018 года.
Название документа
"ГОСТ 33822-2016. Межгосударственный стандарт. Средства лекарственные для ветеринарного применения. Вакцина против листериоза сельскохозяйственных животных живая. Технические условия"
(введен в действие Приказом Росстандарта от 06.09.2016 N 1064-ст)
"ГОСТ 33822-2016. Межгосударственный стандарт. Средства лекарственные для ветеринарного применения. Вакцина против листериоза сельскохозяйственных животных живая. Технические условия"
(введен в действие Приказом Росстандарта от 06.09.2016 N 1064-ст)
Введен в действие
по техническому регулированию
и метрологии
от 6 сентября 2016 г. N 1064-ст
МЕЖГОСУДАРСТВЕННЫЙ СТАНДАРТ
СРЕДСТВА ЛЕКАРСТВЕННЫЕ ДЛЯ ВЕТЕРИНАРНОГО ПРИМЕНЕНИЯ
ВАКЦИНА ПРОТИВ ЛИСТЕРИОЗА СЕЛЬСКОХОЗЯЙСТВЕННЫХ
ЖИВОТНЫХ ЖИВАЯ
ТЕХНИЧЕСКИЕ УСЛОВИЯ
Medicine remedies for veterinary use. Vaccine
against Listeriosis of agricultural animals. Specifications
ГОСТ 33822-2016
Дата введения
1 января 2018 года
Цели, основные принципы и основной порядок проведения работ по межгосударственной стандартизации установлены в
ГОСТ 1.0-2015 "Межгосударственная система стандартизации. Основные положения" и
ГОСТ 1.2-2015 "Межгосударственная система стандартизации. Стандарты межгосударственные, правила и рекомендации по межгосударственной стандартизации. Правила разработки, принятия, обновления и отмены"
1 РАЗРАБОТАН Федеральным государственным бюджетным учреждением "Всероссийский государственный Центр качества и стандартизации лекарственных средств для животных и кормов" (ФГБУ "ВГНКИ") и Федеральным казенным предприятием "Ставропольская биофабрика" (ФКП "Ставропольская биофабрика")
2 ВНЕСЕН Федеральным агентством по техническому регулированию и метрологии Российской Федерации
3 ПРИНЯТ Межгосударственным советом по стандартизации, метрологии и сертификации (протокол от 28 июня 2016 г. N 49)
За принятие проголосовали:
Краткое наименование страны по МК (ИСО 3166) 004-97 | Код страны по МК (ИСО 3166) 004-97 | Сокращенное наименование национального органа по стандартизации |
Армения | AM | Минэкономики Республики Армения |
Беларусь | BY | Госстандарт Республики Беларусь |
Киргизия | KG | Кыргызстандарт |
Россия | RU | Росстандарт |
Таджикистан | TJ | Таджикстандарт |
4
Приказом Федерального агентства по техническому регулированию и метрологии от 6 сентября 2016 г. N 1064-ст межгосударственный стандарт ГОСТ 33822-2016 введен в действие в качестве национального стандарта Российской Федерации с 1 января 2018 г.
5 ВВЕДЕН ВПЕРВЫЕ
Информация об изменениях к настоящему стандарту публикуется в ежегодном информационном указателе "Национальные стандарты", а текст изменений и поправок - в ежемесячном информационном указателе "Национальные стандарты". В случае пересмотра (замены) или отмены настоящего стандарта соответствующее уведомление будет опубликовано в ежемесячном информационном указателе "Национальные стандарты". Соответствующая информация, уведомление и тексты размещаются также в информационной системе общего пользования - на официальном сайте Федерального агентства по техническому регулированию и метрологии в сети Интернет (www.gost.ru)
Настоящий стандарт распространяется на живую вакцину против листериоза сельскохозяйственных животных (далее - вакцина) для специфической профилактики листериоза.
В настоящем стандарте использованы нормативные ссылки на следующие межгосударственные стандарты:
ГОСТ 12.0.004-90 Система стандартов безопасности труда. Организация обучения безопасности труда. Общие положения
ГОСТ 12.1.005-88 Система стандартов безопасности труда. Общие санитарно-гигиенические требования к воздуху рабочей зоны
ГОСТ 12.1.008-76 Система стандартов безопасности труда. Биологическая безопасность. Общие требования
ГОСТ 12.4.011-89 Система стандартов безопасности труда. Средства защиты работающих. Общие требования и классификация
ГОСТ 17.2.3.02-2014 Правила установления допустимых выбросов загрязняющих веществ промышленными предприятиями
ГОСТ 975-88 Глюкоза кристаллическая гидратная. Технические условия
ГОСТ 4233-77 Реактивы. Натрий хлористый. Технические условия
ГОСТ 6672-75 Стекла покровные для микропрепаратов. Технические условия
ГОСТ ISO 7218-2015 Микробиология пищевых продуктов и кормов для животных. Общие требования и рекомендации по микробиологическим исследованиям
ГОСТ ISO 7886-1-2011 Шприцы инъекционные однократного применения стерильные. Часть 1. Шприцы для ручного использования
ГОСТ 9142-2014 Ящики из гофрированного картона. Общие технические условия
ГОСТ 9284-75 Стекла предметные для микропрепаратов. Технические условия
ГОСТ 9293-74 (ИСО 2435-73) Азот газообразный и жидкий. Технические условия
ГОСТ 12301-2006 Коробки из картона, бумаги и комбинированных материалов. Общие технические условия
ГОСТ 12303-80 Пачки из картона, бумаги и комбинированных материалов. Общие технические условия
ГОСТ 17768-90 Средства лекарственные. Упаковка, маркировка, транспортирование и хранение
ГОСТ 18300-87 <*> Спирт этиловый ректификованный технический. Технические условия
--------------------------------
<*> В Российской Федерации действует
ГОСТ Р 55878-2013 "Спирт этиловый технический гидролизный ректификованный. Технические условия".
ГОСТ 20730-75 Питательные среды. Бульон мясо-пептонный (для ветеринарных целей). Технические условия
ГОСТ 22967-90 Шприцы медицинские инъекционные многократного применения. Общие технические требования и методы испытаний
ГОСТ 23350-98 Часы наручные и карманные электронные. Общие технические условия
ГОСТ 24061-2012 Средства лекарственные биологические лиофилизированные для ветеринарного применения. Метод определения массовой доли влаги
ГОСТ 25336-82 Посуда и оборудование лабораторные стеклянные. Типы, основные параметры и размеры
ГОСТ 25377-2015 Иглы инъекционные многократного применения. Технические условия
ГОСТ 28085-2013 Средства лекарственные биологические для ветеринарного применения. Метод бактериологического контроля стерильности
ГОСТ 29112-91 Среды питательные плотные (для ветеринарных целей). Общие технические условия
ГОСТ 29230-91 (ИСО 835-4-81) Посуда лабораторная стеклянная. Пипетки градуированные. Часть 4. Пипетки выдувные
ГОСТ 31926-2013 Средства лекарственные для ветеринарного применения. Методы определения безвредности
ГОСТ 31929-2013 Средства лекарственные для ветеринарного применения. Правила приемки, методы отбора проб
Примечание - При пользовании настоящим стандартом целесообразно проверить действие ссылочных стандартов в информационной системе общего пользования - на официальном сайте Федерального агентства по техническому регулированию и метрологии в сети Интернет или по ежегодному информационному указателю "Национальные стандарты", который опубликован по состоянию на 1 января текущего года, и по выпускам ежемесячного информационного указателя "Национальные стандарты" за текущий год. Если ссылочный стандарт заменен (изменен), то при пользовании настоящим стандартом следует руководствоваться заменяющим (измененным) стандартом. Если ссылочный стандарт отменен без замены, то положение, в котором дана ссылка на него, применяется в части, не затрагивающей эту ссылку.
3 Требования безопасности
3.1 По биологической безопасности производство должно соответствовать требованиям
ГОСТ 12.1.008.
3.2 Требования к обучению персонала безопасности труда - по
ГОСТ 12.0.004.
3.4 Контроль допустимых выбросов вредных веществ в атмосферу - по
ГОСТ 17.2.3.02.
3.5 Вакцину, не выдержавшую контрольные испытания, с истекшим сроком годности, а также вакцину, оставшуюся во флаконах после испытаний, обеззараживают автоклавированием в течение 1 ч при температуре (126 +/- 2) °C и давлении 1,5 атм (151,99 кПа или 1,5 кгс/см
2) и утилизируют.
4.1 Вакцина представляет собой лиофилизированную с защитной средой культуру вакцинного штамма листерий.
4.2 Вакцина должна соответствовать требованиям настоящего стандарта и производиться по технологическому регламенту, утвержденному организацией-производителем в порядке, действующем на территории государства, принявшего стандарт.
4.3 По показателям качества вакцина должна соответствовать характеристикам и нормам, указанным в
таблице 1.
Наименование показателя | Характеристика и норма |
Внешний вид, цвет | Сухая однородная масса пористой структуры, светло-желтого или белого цвета с сероватым оттенком |
Наличие механической примеси, трещин флакона, нарушение маркировки | Не допускается |
Время ресуспензирования, мин, не более | 5 |
Массовая доля влаги, % | От 1,0 до 4,0 |
Контаминация микробной и грибной микрофлорой | Не допускается |
Типичность роста | Должны расти колонии в S-форме |
Концентрация живых листерий в 1,0 см3 вакцины, млрд, не менее | 16,0 |
Безвредность в тест-дозе на кроликах 2,0 см3 | Должна быть безвредной |
Иммуногенная активность | Должна быть иммуногенной |
4.4 Фасование и лиофилизация
4.4.1 Вакцину расфасовывают по 4,0 см3 в стерильные стеклянные ампулы или в стерильные стеклянные флаконы по 4,0 - 10,0 см3.
Примечание - Допускается расфасовка вакцины в полимерные ампулы, флаконы, а также изменение объемов расфасовки по согласованию с потребителем.
4.4.2 Погрешность фасования в зависимости от объема составляет:
- для одной упаковки, содержащей 4 см3, +/- 8%;
- для десяти упаковок, содержащих 4 см3, +/- 2,5%;
- для одной упаковки, содержащей свыше 4 до 10 см3 включительно, +/- 5%;
- для десяти упаковок, содержащих свыше 4 до 10 см3 включительно, +/- 1,6%.
4.4.3 Расфасованную вакцину замораживают и лиофилизируют. После лиофилизации ампулы и флаконы заполняют инертным газом (азотом по
ГОСТ 9293 или аргоном по
ГОСТ 10157) или стерильным осушенным воздухом. Ампулы запаивают, флаконы плотно закрывают резиновыми пробками и обкатывают алюминиевыми колпачками.
4.5 Упаковка
4.5.1 Флаконы (ампулы) с вакциной упаковывают в картонные коробки по
ГОСТ 12301 или полистироловые коробки или пачки по
ГОСТ 12303 с разделительными перегородками, обеспечивающими сохранность вакцины при транспортировании. В каждую коробку вкладывают инструкцию по применению вакцины.
Примечания
1 Допускается использование других видов упаковки, обеспечивающих сохранность вакцины.
2 Вакцина может быть упакована в комплекте с разбавителем, в объеме, соответствующем числу доз вакцины в ампулах (флаконах).
4.5.2 Коробки (пачки) с вакциной упаковывают в ящики из гофрированного картона по
ГОСТ 9142 или другие, обеспечивающие сохранность вакцины при транспортировании. В каждый ящик вкладывают упаковочный лист с указанием:
- наименования организации-производителя;
- наименования вакцины;
- числа коробок (пачек) в ящике;
- номера серии;
- номера или фамилии упаковщика;
- даты упаковки.
Масса брутто ящиков с вакциной - не более 15 кг.
Примечания
1 Допускается не вкладывать упаковочный лист в транспортную упаковку.
2 Допускается отпуск вакцины потребителю в коробках (пачках).
4.6 Маркировка
4.6.1 На каждую упаковочную единицу должна быть нанесена маркировка, характеризующая вакцину и отвечающая требованиям нормативных документов, действующих на территории государства, принявшего стандарт.
4.6.2 На ампулы (флаконы) с вакциной наклеивают этикетку с указанием:
- наименования и/или товарного знака организации-производителя;
- наименования вакцины;
- объема вакцины в ампуле (флаконе), см3;
- числа доз вакцины в ампуле (флаконе);
- лекарственной формы;
- номера серии;
- даты выпуска (месяца и года);
- срока годности (месяца и года);
- надписи "Для ветеринарного применения".
Примечание - На этикетку может быть нанесена дополнительная информация.
4.6.3 На коробки (пачки) с вакциной наносят информацию с указанием:
- наименования организации-производителя, ее адреса и товарного знака;
- наименования вакцины;
- объема вакцины в ампуле (флаконе), см3;
- числа доз вакцины в ампуле (флаконе);
- лекарственной формы;
- номера серии;
- даты выпуска (месяца и года);
- срока годности (месяца и года);
- обозначения настоящего стандарта;
- номера регистрационного удостоверения;
- способа применения;
- числа ампул (флаконов) в коробке (пачке);
- условий отпуска;
- условий хранения;
- штрихового кода (при наличии);
- информации о подтверждении соответствия;
- надписи "Для ветеринарного применения".
4.6.4 На ящики с вакциной (транспортную упаковку) наклеивают этикетку, на которой указывают:
- наименование и/или товарный знак организации-производителя, ее адрес (в том числе страну);
- наименование вакцины;
- номер серии;
- дату выпуска (месяц и год);
- срок годности (месяц и год);
- число коробок (пачек) в ящике;
- условия хранения и транспортирования;
- надпись "Для ветеринарного применения".
4.6.5 На каждый ящик (транспортная упаковка) наносят транспортную маркировку по
ГОСТ 14192 с указанием манипуляционных знаков: "Хрупкое. Осторожно", "Пределы температуры", "Верх".
4.6.6 Нанесение транспортной маркировки и маркировки, характеризующей упакованную продукцию, на одной стороне транспортной упаковки не допускается.
5.1 Каждая серия вакцины должна быть принята (проверена) в организации-производителе отделом, отвечающим за контроль качества продукции, в соответствии с
ГОСТ 31929.
5.2 Серией вакцины считают определенное количество вакцины, произведенное за один технологический цикл и оформленное одним документом о качестве.
5.3 В документе о качестве указывают:
- наименование и адрес организации-производителя;
- наименование вакцины;
- номер серии;
- номер контроля;
- дату производства (месяц, год);
- объем серии в единицах объема или штуках;
- результаты испытания по показателям качества;
- срок годности (месяц и год);
- условия хранения;
- обозначение настоящего стандарта;
- номер и дату выдачи документа о качестве;
- заключение и личную подпись уполномоченного лица, выдавшего документ о качестве.
5.4 Для контроля качества вакцины от каждой серии отбирают выборку в соответствии с
ГОСТ 31929. Из выборки выделяют среднюю пробу в количестве 40 флаконов (ампул). 20 флаконов (ампул) с вакциной используют для проведения испытания по показателям качества, указанным в
таблице 1, а 20 флаконов (ампул) после получения положительных результатов испытания по показателям качества направляют в архив отдела, отвечающего за контроль качества готовой продукции организации-производителя. Пробы хранят в архиве в течение срока годности.
5.5 Архивные пробы маркируют надписью "Архив" и снабжают документом с указанием:
- наименования организации-производителя;
- наименования вакцины;
- номера серии;
- даты выпуска (месяца и года);
- даты отбора проб;
- объема серии в единицах объема или штуках;
- числа отобранных проб;
- должности и личной подписи лица, отобравшего пробы;
- срока годности (месяца и года);
- обозначения настоящего стандарта.
5.6 При неудовлетворительных результатах испытаний хотя бы по одному из показателей проводят повторные испытания по этому показателю на удвоенном количестве проб вакцины, взятых от той же серии, и на удвоенном количестве материалов и животных. Результаты повторного испытания считают окончательными и распространяют на всю серию.
5.7 В случае неудовлетворительных результатов повторного испытания серию вакцины считают не соответствующей требованиям настоящего стандарта, ее бракуют и уничтожают в соответствии с
3.5.
6.1 Условия проведения испытаний
К проведению испытаний допускаются квалифицированные сотрудники, имеющие опыт работы с микроорганизмами III - IV групп патогенности, изучившие методики микробиологических работ.
6.2 Аппаратура, посуда, материалы, реактивы, животные
Пипетки стеклянные градуированные вместимостью 1, 5 и 10 см
3 по
ГОСТ 29230.
Флаконы стеклянные различной вместимости.
Спирт этиловый технический ректификованный по
ГОСТ 18300.
Штативы для пробирок.
Стекла покровные для микропрепаратов по
ГОСТ 6672.
Пипетки Пастера.
Оптический стандарт мутности, эквивалентный 10 международным единицам.
Раствор натрия хлорида 0,9%-ный изотонический с pH (7,0 +/- 0,2) ед. pH.
Агар мясо-пептонный (МПА) по ГОСТ 29112.
Бульон мясо-пептонный печеночный под вазелиновым маслом (МППБ) (Среда Китт-Тароци).
Сыворотка крови крупного рогатого скота.
Морские свинки массой 350 - 400 г.
Кролики массой 2,0 - 2,5 кг.
Вирулентный штамм листерий.
6.3 Определение внешнего вида
Для определения внешнего вида все флаконы (ампулы) с вакциной из выборки по
5.4 просматривают визуально. Наличие механической примеси и других посторонних включений проверяют в ресуспензированной вакцине по
6.4.1. Флаконы (ампулы) с ресуспензированной вакциной встряхивают и просматривают в проходящем свете. Одновременно проверяют прочность укупорки флаконов, целостность флаконов (ампул), правильность маркировки.
6.4 Определение времени ресуспензирования
6.4.1 Проведение испытания
Для испытания используют три флакона (ампулы) с вакциной. В каждый флакон (ампулу) добавляют дистиллированную воду, в объеме, равном объему вакцины до высушивания, и встряхивают до полного ресуспензирования содержимого, фиксируя время с помощью часов по
ГОСТ 23350.
6.4.2 Обработка результатов
Содержимое флаконов (ампул) должно ресуспензироваться в течение не более 5 мин с образованием гомогенной взвеси без осадка.
6.5 Определение массовой доли влаги
Массовую долю влаги определяют согласно
ГОСТ 24061.
6.6 Определение наличия контаминации посторонней микробной и грибной микрофлорой
Наличие контаминации вакцины посторонней микрофлорой проверяют согласно
ГОСТ 28085.
6.7 Типичность роста
6.7.1 Типичность роста вакцинного штамма проверяют на МПА и МПБ, и МППБ. Одновременно проводят микроскопию мазков из суспензии вакцины, окрашенных по Граму, по методике, описанной в
ГОСТ ISO 7218.
6.7.2 Обработка результатов
При посевах на МПА через 24 - 48 ч вакцинный штамм должен расти с образованием мелких полупрозрачных голубых колоний S-формы; на МПБ должно быть равномерное помутнение с последующим образованием осадка; на МППБ под вазелиновым маслом - равномерное помутнение без газообразования. В мазках должны быть мелкие, прямые или слегка изогнутые полиморфные палочки, окрашенные грамположительно.
6.8 Определение концентрации живых листерий
6.8.1 Подготовка к испытанию
Вакцину в трех флаконах (ампулах) разводят до объема вакцины до высушивания и готовят десятикратные разведения от 10-1 до 10-9. Для ресуспензирования и приготовления разведений используют МПБ с pH от 7,2 до 7,4 ед. pH, содержащий по объему 0,5% - 1,0% глюкозы. В среду добавляют 15% - 20% сыворотки крови крупного рогатого скота, инактивированной при температуре 58 °C - 60 °C в течение 30 мин. Пробы вакцины перед приготовлением разведений выдерживают в течение 20 - 30 мин при температуре (20 +/- 2) °C.
6.8.2 Проведение испытания
Для испытания используют два разведения вакцины: 10-8 и 10-9. Из каждого разведения проводят посевы по 0,1 см3 на поверхность пяти чашек Петри с МПА. Посевы инкубируют при температуре (36 +/- 1) °C в течение 72 ч, после чего подсчитывают количество выросших колоний в чашках по каждому разведению. Чашки с зонами сплошного роста культуры учету не подлежат.
6.8.3 Обработка результатов
6.8.3.1 Определяют среднеарифметические числа колоний, выросших на чашках Петри по
формулам (1) и
(2)

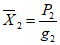
, (1)
где P1 - число колоний во всех чашках из разведения 10-8;
g1 - число чашек с разведением 10-8;

, (2)
где P2 - число колоний во всех чашках из разведения 10-9;
g2 - число чашек с разведением 10-9.
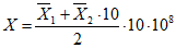
Концентрацию живых бактерий в 1 см
3 вакцины, млрд, определяют по
формуле (3)

, (3)
где X1, X2 - среднеарифметические числа колоний, выросших на чашках из разведений 10-8 и 10-9; 10 (в числителе) - пересчет на разведение 10-8;
10 - коэффициент пересчета на 1 см3;
108 - степень разведения.
6.8.3.2 Число доз вакцины в 1 см3 устанавливают путем деления концентрации живых листерий в 1 см3 на 7,5 млрд (иммунизирующая доза).
6.8.3.3 Число доз вакцины во флаконе (ампуле) устанавливают путем умножения показателя числа доз вакцины в 1,0 см3 на объем вакцины во флаконе (ампуле).
6.9 Определение безвредности
6.9.1 Общие принципы определения безвредности по
ГОСТ 31926.
6.9.2 Подготовка к испытанию
Для испытания готовят объединенную пробу из трех флаконов (ампул) с вакциной. Содержимое каждого флакона (ампулы) ресуспензируют в стерильном 0,9%-ном растворе натрия хлорида, объем которого соответствует объему вакцины до высушивания. Затем суспензию вакцины переносят в один стерильный флакон и разводят стерильным 0,9%-ным раствором натрия хлорида до концентрации 10 млрд живых листерий в 1 см
3, исходя из полученной по
6.8 концентрации живых листерий в 1 см
3.
6.9.3 Проведение испытания
Подготовленную по
6.9.2 пробу вакцины вводят внутримышечно в области внутренней поверхности бедра трем кроликам в дозе 20 млрд живых листерий в объеме 2,0 см
3. Все животные находятся под наблюдением в течение 10 сут.
6.9.4 Обработка результатов
Вакцину считают безвредной, если все животные остаются живыми и клинически здоровыми в течение срока наблюдения.
6.10 Определение иммуногенной активности
6.10.1 Подготовка к испытанию
6.10.1.1 Подготовка вакцины
Вакцину, приготовленную по
6.9.2, разводят в соотношении 1:1 стерильным 0,9%-ным раствором натрия хлорида до содержания 5 млрд/см
3 живых листерий.
6.10.1.2 Подготовка вирулентного штамма листерий для заражения морских свинок
Определение ЛД50 вирулентного штамма проводят один раз в шесть месяцев.
Примечание - ЛД50 - доза вирулентного штамма, вызывающая гибель половины животных испытуемой группы.
Морских свинок заражают внутрибрюшинно дозами 0,5; 1,0; 2,0; 3,0; 4,0; 5,0 млрд/см3 микробных клеток по оптическому стандарту мутности в объеме 2,0 см3. Каждой дозой заражают по четыре морские свинки. Срок наблюдения за зараженными животными 10 сут. Дозой для заражения считают дозу, при введении которой погибли две морские свинки.
6.10.2 Проведение испытания
Вакцину вводят 10 морским свинкам внутрибрюшинно в дозе 10 млрд микробных клеток в объеме 2,0 см
3. Через 11 - 12 сут 10 вакцинированных и 10 контрольных морских свинок заражают внутрибрюшинно вирулентным штаммом листерий в дозе, установленной по
6.10.1.2.
6.10.3 Обработка результатов
Срок наблюдения за животными - 10 сут. В течение срока наблюдения не менее семи контрольных животных должны погибнуть, а из десяти иммунизированных морских свинок не менее семи остаться живыми.
7 Транспортирование и хранение
7.1 Вакцину транспортируют всеми видами транспорта в соответствии с
ГОСТ 17768.
7.2 Вакцину хранят при температуре от 2 °C до 8 °C в пределах срока годности.
7.3 Срок годности вакцины - 12 мес с даты выпуска. Датой выпуска вакцины считают дату подписания документа о качестве.