Главная // Актуальные документы // ГОСТ (Государственный стандарт)СПРАВКА
Источник публикации
М.: ФГБУ "РСТ", 2022
Примечание к документу
Текст данного документа приведен с учетом
поправки, введенной в действие с 15.10.2022, опубликованной в "ИУС", N 12, 2022.
Документ
введен в действие с 01.12.2022.
Название документа
"ГОСТ 34784-2021. Межгосударственный стандарт. Приборы наружного освещения и световой сигнализации железнодорожного подвижного состава. Технические требования и методы контроля"
(введен в действие Приказом Росстандарта от 10.12.2021 N 1759-ст)
"ГОСТ 34784-2021. Межгосударственный стандарт. Приборы наружного освещения и световой сигнализации железнодорожного подвижного состава. Технические требования и методы контроля"
(введен в действие Приказом Росстандарта от 10.12.2021 N 1759-ст)
агентства по техническому
регулированию и метрологии
от 10 декабря 2021 г. N 1759-ст
МЕЖГОСУДАРСТВЕННЫЙ СТАНДАРТ
ПРИБОРЫ НАРУЖНОГО ОСВЕЩЕНИЯ И СВЕТОВОЙ СИГНАЛИЗАЦИИ
ЖЕЛЕЗНОДОРОЖНОГО ПОДВИЖНОГО СОСТАВА
ТЕХНИЧЕСКИЕ ТРЕБОВАНИЯ И МЕТОДЫ КОНТРОЛЯ
External lighting and light-signalling devices for railway
rolling stock. Technical requirements and control methods
ГОСТ 34784-2021
Дата введения
1 декабря 2022 года
Цели, основные принципы и общие правила проведения работ по межгосударственной стандартизации установлены
ГОСТ 1.0 "Межгосударственная система стандартизации. Основные положения" и
ГОСТ 1.2 "Межгосударственная система стандартизации. Стандарты межгосударственные, правила и рекомендации по межгосударственной стандартизации. Правила разработки, принятия, обновления и отмены"
1 РАЗРАБОТАН Акционерным обществом "Научно-исследовательский институт железнодорожного транспорта" (АО "ВНИИЖТ")
2 ВНЕСЕН Межгосударственным техническим комитетом по стандартизации МТК 524 "Железнодорожный транспорт"
3 ПРИНЯТ Межгосударственным советом по стандартизации, метрологии и сертификации (протокол от 22 октября 2021 г. N 144-П)
За принятие проголосовали:
Краткое наименование страны по МК (ИСО 3166) 004-97 | Код страны по МК (ИСО 3166) 004-97 | Сокращенное наименование национального органа по стандартизации |
Армения | AM | ЗАО "Национальный орган по стандартизации и метрологии" Республики Армения |
Беларусь | BY | Госстандарт Республики Беларусь |
Киргизия | KG | Кыргызстандарт |
Россия | RU | Росстандарт |
Узбекистан | UZ | Узстандарт |
Украина | UA | Минэкономики Украины |
4
Приказом Федерального агентства по техническому регулированию и метрологии от 10 декабря 2021 г. N 1759-ст межгосударственный стандарт ГОСТ 34784-2021 введен в действие в качестве национального стандарта Российской Федерации с 1 декабря 2022 г.
5 ВВЕДЕН ВПЕРВЫЕ
Информация о введении в действие (прекращении действия) настоящего стандарта и изменений к нему на территории указанных выше государств публикуется в указателях национальных стандартов, издаваемых в этих государствах, а также в сети Интернет на сайтах соответствующих национальных органов по стандартизации.
В случае пересмотра, изменения или отмены настоящего стандарта соответствующая информация будет опубликована на официальном интернет-сайте Межгосударственного совета по стандартизации, метрологии и сертификации в каталоге "Межгосударственные стандарты"
Настоящий стандарт распространяется на наружные осветительные и светосигнальные приборы железнодорожного подвижного состава (прожекторы, буферные фонари белого и красного цвета, хвостовые сигнальные фонари, сигнальные фонари желтого цвета, светильники для освещения ходовых частей локомотивов) и устанавливает технические требования к ним, а также методы их контроля. Необходимость установки тех или иных приборов на железнодорожном подвижном составе регламентируют в стандартах технических требований на железнодорожный подвижной состав конкретного типа.
Настоящий стандарт не распространяется на наружные осветительные приборы специального железнодорожного подвижного состава, предназначенные для освещения мест производства ремонтно-путевых работ.
Настоящий стандарт распространяется на наружные осветительные и светосигнальные приборы, предназначенные для установки на вновь проектируемый и модернизируемый железнодорожный подвижной состав.
В настоящем стандарте использованы нормативные ссылки на следующие межгосударственные стандарты:
ГОСТ 8.332 Государственная система обеспечения единства измерений. Световые измерения. Значения относительной спектральной световой эффективности монохроматического излучения для дневного зрения. Общие положения
ГОСТ 8.654 Государственная система обеспечения единства измерений. Фотометрия. Термины и определения
ГОСТ 12.1.044 (ИСО 4589-84) Система стандартов безопасности труда. Пожаровзрывоопасность веществ и материалов. Номенклатура показателей и методы их определения
ГОСТ 20.57.406 Комплексная система контроля качества. Изделия электронной техники, квантовой электроники и электротехнические. Методы испытаний
ГОСТ 27.410 <1> Надежность в технике. Методы контроля показателей надежности и планы контрольных испытаний на надежность
--------------------------------
<1> В Российской Федерации действует
ГОСТ Р 27.403-2009 "Надежность в технике. Планы испытаний для контроля вероятности безотказной работы".
ГОСТ 10771 Лампы накаливания светоизмерительные рабочие. Технические условия
ГОСТ 14254-2015 (IEC 60529:2013) Степени защиты, обеспечиваемые оболочками (код IP)
ГОСТ 15150-69 Машины, приборы и другие технические изделия. Исполнения для различных климатических районов. Категории, условия эксплуатации, хранения и транспортирования в части воздействия климатических факторов внешней среды
ГОСТ 16703
<1> Приборы и комплексы световые. Термины и определения
--------------------------------
<1> В Российской Федерации действует
ГОСТ Р 55392-2012 "Приборы и комплексы осветительные. Термины и определения".
ГОСТ 17516.1 Изделия электротехнические. Общие требования в части стойкости к механическим внешним воздействующим факторам
ГОСТ 17616
<2> Лампы электрические. Методы измерения электрических и световых параметров
--------------------------------
<2> В Российской Федерации действует
ГОСТ Р 55702-2020 "Источники света электрические. Методы измерений электрических и световых параметров".
ГОСТ 17677 (МЭК 598-1-86, МЭК 598-2-1-79, МЭК 598-2-2-79, МЭК 598-2-4-79, МЭК 598-2-19-81)
<3> Светильники. Общие технические условия
--------------------------------
<3> В Российской Федерации действует
ГОСТ Р 54350-2015 "Приборы осветительные. Светотехнические требования и методы испытаний".
ГОСТ 23216 Изделия электротехнические. Хранение, транспортирование, временная противокоррозионная защита, упаковка. Общие требования и методы испытаний
ГОСТ 26883 Внешние воздействующие факторы. Термины и определения
ГОСТ 32192 Надежность в железнодорожной технике. Основные понятия. Термины и определения
ГОСТ 32565 Стекло безопасное для наземного транспорта. Общие технические условия
ГОСТ IEC 61140-2012 <4> Защита от поражения электрическим током. Общие положения безопасности установок и оборудования
--------------------------------
<4> В Российской Федерации действует
ГОСТ Р 58698-2019 (МЭК 61140:2016) "Защита от поражения электрическим током. Общие положения для электроустановок и электрооборудования".
ГОСТ 33436.1 (IEC 62236-1:2008) Совместимость технических средств электромагнитная. Системы и оборудование железнодорожного транспорта. Часть 1. Общие положения
ГОСТ 33436.3-2 (IEC 62236-3-2:2008) Совместимость технических средств электромагнитная. Системы и оборудование железнодорожного транспорта. Часть 3-2. Железнодорожный подвижной состав. Аппаратура и оборудование. Требования и методы испытаний
ГОСТ 34707-2021 Элементы оптические для световых сигнальных приборов железнодорожного транспорта. Технические условия
Примечание - При пользовании настоящим стандартом целесообразно проверить действие ссылочных стандартов на официальном интернет-сайте Межгосударственного совета по стандартизации, метрологии и сертификации (www.easc.by) или по указателям национальных стандартов, издаваемым в государствах, указанных в предисловии, или на официальных сайтах соответствующих национальных органов по стандартизации. Если на документ дана недатированная ссылка, то следует использовать документ, действующий на текущий момент, с учетом всех внесенных в него изменений. Если заменен ссылочный документ, на который дана датированная ссылка, то следует использовать указанную версию этого документа. Если после принятия настоящего стандарта в ссылочный документ, на который дана датированная ссылка, внесено изменение, затрагивающее положение, на которое дана ссылка, то это положение применяется без учета данного изменения. Если ссылочный документ отменен без замены, то положение, в котором дана ссылка на него, применяется в части, не затрагивающей эту ссылку.
--------------------------------
<5> В Российской Федерации действует
ГОСТ Р 55392-2012 "Приборы и комплексы осветительные. Термины и определения".
3.1 прожектор железнодорожного подвижного состава (прожектор): Осветительный и светосигнальный прибор, устанавливаемый на лобовой и/или торцевой части тягового железнодорожного подвижного состава, предназначенный для освещения железнодорожного пути и контактного провода, а также для обозначения тягового железнодорожного подвижного состава.
3.2 буферный фонарь: Светосигнальный прибор, устанавливаемый внизу на лобовой и/или торцевой части тягового железнодорожного подвижного состава, предназначенный для обозначения сигнальными огнями локомотивов, моторвагонного подвижного состава, дизель-поездов, автомотрис, специального самоходного подвижного состава и др.
Примечание - Может иметь другое название, например: "фонарь у буферного бруса"
<1>.
--------------------------------
<1> В соответствии с действующими в Российской Федерации
Правилами технической эксплуатации железных дорог Российской Федерации, утвержденными приказом Министерства транспорта Российской Федерации от 21 декабря 2010 г. N 286.
3.3 сигнальный фонарь желтого цвета: Светосигнальный прибор, устанавливаемый на специальном самоходном подвижном составе и на некоторых типах локомотивов, предназначенный для обозначения подвижного состава.
3.4 хвостовой сигнальный фонарь: Светосигнальный прибор, устанавливаемый на торцевой части пассажирских вагонов, а также сверху на лобовых частях головных вагонов моторвагонного подвижного состава, дизель-поездов, автомотрис и др., предназначенный для обозначения сигнальными огнями хвоста поезда.
3.5 выходное световое отверстие: Окно в корпусе светового прибора, предназначенное для выхода света в окружающее пространство, соответствующее размеру видимой светящейся поверхности прибора.
3.6 сила света: Физическая величина, определяемая отношением светового потока, распространяющегося от источника света внутри малого телесного угла, содержащего рассматриваемое направление, к этому углу.
3.7 осевая сила света: Сила света по оптической оси, проходящей через центр светового отверстия.
3.8 угол излучения: Плоский угол, отсчитываемый от оптической оси, в пределах которого сила света светового прибора соответствует заданным значениям.
3.9 угол рассеяния прожектора: Угол излучения в конкретной плоскости, в пределах которого сила света снижается до 10% от осевой силы света.
3.10 координаты цветности: Отношение каждой из трех координат цвета к их сумме.
3.11 координаты цвета: Три числа, указывающие, в каких количествах следует смешивать излучения, отвечающие основным единичным цветам выбранной системы, чтобы получить колориметрическое равенство с измеряемым цветом.
3.12 коэффициент запаса: Коэффициент, учитывающий снижение светового потока осветительного или светосигнального прибора в процессе эксплуатации, равный отношению светового потока перед началом эксплуатации к световому потоку в конце срока службы прибора.
4 Классификация и общие требования
4.1 К приборам световой сигнализации (светосигнальным приборам) железнодорожного подвижного состава (далее - подвижного состава) относят буферные фонари, хвостовые сигнальные фонари и сигнальные фонари желтого цвета.
К приборам наружного освещения подвижного состава относят светильники для освещения ходовых частей локомотивов, устанавливаемые под их кузовом.
Прожекторы относят к приборам наружного освещения и световой сигнализации подвижного состава.
4.2 Приборы наружного освещения и световой сигнализации (далее - приборы) должны иметь климатическое исполнение, соответствующее эксплуатации в условиях с умеренным климатом (У) или с умеренным и холодным климатом (УХЛ) по
ГОСТ 15150 или в иных условиях по согласованию между заказчиком и изготовителем.
Категория размещения должна соответствовать:
- 1 - для приборов, устанавливаемых снаружи кузова;
- 2 - для приборов, устанавливаемых внутри кузова;
- 3 - для приборов, устанавливаемых в кабине машиниста.
Приборы должны быть работоспособны при эксплуатации на высоте до 1400 м над уровнем моря.
4.3 Приборы должны соответствовать группе механического исполнения М25 по
ГОСТ 17516.1.
4.4 Степень защиты приборов оболочками от внешних воздействий по
ГОСТ 14254 должна быть не ниже:
а) IP 65:
- у прожектора и светосигнальных приборов при установке их снаружи кузова подвижного состава,
- прожектора и светосигнальных приборов со стороны выходного светового отверстия (наружной линзы или защитного стекла) при установке их внутри кузова подвижного состава, но при отсутствии дополнительного защитного стекла, являющегося частью кузова подвижного состава,
- светильников для освещения ходовых частей локомотивов;
б) IP 53:
- у прожектора и светосигнальных приборов, источниками света в которых являются светодиоды (далее - светодиодных приборов), при установке их внутри кузова подвижного состава.
4.5 Питание приборов и/или их блоков питания и управления должно осуществляться постоянным током с номинальным напряжением 24, 50, 75 или 110 В в зависимости от конкретного типа подвижного состава, на который они должны быть установлены. Электрические параметры питания приборов и их отклонения должны соответствовать параметрам питания цепей управления конкретного подвижного состава и должны быть установлены в технических условиях на приборы.
4.6 Материалы для изготовления приборов должны быть негорючими или трудногорючими по
ГОСТ 12.1.044.
4.7 Для прожекторов, источниками света в которых являются светодиоды, должны быть приняты меры, исключающие замерзание, образование инея и конденсата на защитном стекле и оптических элементах, например электрический обогрев стекла, при установке их снаружи кузова подвижного состава и при отсутствии дополнительного защитного стекла, являющегося частью кузова подвижного состава.
4.8 В приборах не допускается видимое мерцание света.
5 Требования к конструкции и светотехническим характеристикам
5.1 Прожектор
5.1.1 Прожектор должен работать в двух режимах: "яркий свет" и "тусклый свет".
Осевая сила света прожектора, источником света в котором является лампа накаливания или разрядная лампа, с учетом коэффициента пропускания защитного стекла подвижного состава, на котором он будет установлен, в диапазоне напряжений питания +/- 5% от номинального значения по
4.5 должна быть в пределах, кд:
от

до

........................... в режиме "яркий свет";
от

до

......................... в режиме "тусклый свет".
Осевая сила света светодиодного прожектора с учетом коэффициента пропускания защитного стекла (при его наличии) подвижного состава, на котором он будет установлен, в диапазоне напряжений питания +/- 5% от номинального значения по
4.5 и в диапазоне температур окружающей среды по
6.1, должна быть в пределах, кд:
от

до

........................... в режиме "яркий свет";
от

до

.......................... в режиме "тусклый свет".
5.1.2 Угол рассеяния прожектора, в пределах которого сила света составляет 10% и более от осевой силы света, в горизонтальной плоскости должен быть в пределах от +/- 3° до +/- 6°, в вертикальной плоскости - не менее +/- 3°.
5.1.3 Для светодиодного прожектора значения координат цветности излучения в режимах "яркий свет" и "тусклый свет" в диапазоне напряжений питания +/- 5% от номинального значения по
4.5 и в диапазоне температур по
6.1 должны находиться на графике цветностей колориметрической системы Международной комиссии по освещению (МКО) 1931 г. (XYZ) в пределах области с координатами угловых точек, указанными в
таблице 1 и
приложении А.
Таблица 1
Область цветности излучения светодиодного прожектора
Обозначение координат | Значения координат угловых точек допустимой области цветности |
1 | 2 | 3 | 4 | 5 |
x | 0,285 | 0,480 | 0,480 | 0,453 | 0,285 |
y | 0,264 | 0,388 | 0,440 | 0,440 | 0,332 |
5.1.4 Диаметр проекции выходного светового отверстия прожектора на вертикальную плоскость должен быть в диапазоне от 0,25 до 0,40 м. Допускается по согласованию с заказчиком устанавливать диаметр светового отверстия меньшего размера, но не менее 0,17 м.
Для прожектора, имеющего форму выходного светового отверстия отличную от круга, площадь проекции выходного светового отверстия должна быть в диапазоне от 0,05 до 0,16 м2 и отношение максимального и минимального отрезков прямых, соединяющих точки контура светового отверстия и проходящих через центр светового отверстия, не должно превышать 3:1.
Примечание - Требование введено с целью недопустимости проектирования прожектора со световым отверстием, имеющим вытянутую узкую форму.
5.1.5 Конструкция прожектора должна обеспечивать возможность его регулировки в вертикальной и горизонтальной плоскости в пределах угла не менее +/- 5°.
Примечание - Регулировку осуществляют из кабины машиниста, за исключением локомотивов капотного типа, специального подвижного состава и подвижного состава, на котором предусмотрено наличие резервного прожектора.
5.1.6 Конструкция прожектора должна обеспечивать возможность восстановления его функционирования после отказа при движении поезда в условиях эксплуатации подвижного состава, за исключением прожектора для локомотивов капотного типа, специального подвижного состава и подвижного состава, на котором предусмотрено наличие резервного прожектора.
В прожекторе могут быть предусмотрены замена или резервирование источников света или блоков питания.
Если для светодиодного прожектора предусмотрено питание светодиодов по группам от отдельных источников питания, то должно быть исключено снижение силы света менее минимально нормируемого значения (6,4·105 кд в режиме "яркий свет" и 0,7·105 кд в режиме "тусклый свет") при выходе из строя как минимум одного источника питания или одной группы светодиодов.
5.1.7 Расстояние фотометрирования прожектора, при котором выполняется закон "обратных квадратов" по
ГОСТ 8.654, должно быть указано в технических условиях на прибор. Рекомендуемое расстояние фотометрирования - не более 20 м. При его значении более 20 м должна быть приведена зависимость величины осевой силы света от расстояния, на котором проводят измерение силы света, в диапазоне от 20 м до фактического значения расстояния фотометрирования.
5.2 Буферные фонари
5.2.1 Буферные фонари должны быть белого и красного цвета.
Допускается изготовление в одном корпусе буферных фонарей обоих цветов, включаемых раздельно.
Примечание - Буферные фонари белого цвета могут называться "прозрачно-белыми"
<1>.
--------------------------------
<1> В соответствии с действующими в Российской Федерации
Правилами технической эксплуатации железных дорог Российской Федерации, утвержденными приказом Министерства транспорта Российской Федерации от 21 декабря 2010 г. N 286.
5.2.2 Требуемое распределение силы света буферных фонарей белого и красного цвета в диапазоне напряжений питания +/- 5% от номинального значения по
4.5, а для светодиодных фонарей - в диапазоне напряжений питания и в диапазоне температур окружающей среды по
6.1, приведено в
таблице 2.
Таблица 2
Распределение силы света буферных фонарей
белого и красного цвета
В канделах
Угол излучения в горизонтальной плоскости | Минимальное значение силы света при цвете сигнального огня и угле излучения в вертикальной плоскости | Максимальное значение силы света при цвете сигнального огня |
Белый | Красный | Белый | Красный |
0° | +/- 2,5° | 0° | +/- 2,5° |
0° | 530 | 270 | 160 | 80 | 2000 | 650 |
+/- 5° | 500 | - | 150 | - |
+/- 10° | 420 | - | 125 | - |
+/- 15° | 330 | - | 100 | - |
+/- 20° | 310 | - | 95 | - |
+/- 25° | 290 | - | 90 | - |
+/- 30° | 280 | - | 85 | - |
+/- 35° | 270 | - | 80 | - |
При разработке и изготовлении буферных фонарей для компенсации уменьшения силы света в процессе эксплуатации рекомендуется учесть коэффициент запаса, равный 1,3, для минимальных значений силы света, приведенных в
таблице 2, либо иные способы компенсации снижения силы света в течение срока службы.
Примечание - Рекомендуется учитывать, что на подвижном составе возможна установка буферных фонарей за защитным стеклом, являющимся частью подвижного состава.
5.2.3 Координаты цветности излучения буферных фонарей белого и красного цвета в диапазоне напряжений питания +/- 5% от номинального значения по
4.5, а для светодиодных фонарей - в диапазоне напряжений питания и в диапазоне температур окружающей среды по
6.1, должны находиться на графике цветностей колориметрической системы МКО 1931 г. в пределах областей с координатами угловых точек, указанными в
таблице 3 и
приложении А.
Таблица 3
Области цветности излучения буферных фонарей
белого и красного цвета
Цвет сигнального огня | Обозначение координат | Значения координат угловых точек допустимых областей цветности |
1 | 2 | 3 | 4 | 5 |
Белый | x | 0,285 | 0,480 | 0,480 | 0,453 | 0,285 |
y | 0,264 | 0,388 | 0,440 | 0,440 | 0,332 |
Красный | x | 0,735 | 0,703 | 0,704 | 0,725 | - |
y | 0,265 | 0,297 | 0,290 | 0,267 | - |
5.2.4 Для буферного фонаря, имеющего форму круга, диаметр проекции выходного светового отверстия на вертикальную плоскость должен быть в диапазоне от 0,15 до 0,25 м.
Для буферного фонаря, имеющего форму выходного светового отверстия, отличную от круга, площадь проекции выходного светового отверстия должна быть в диапазоне от 0,017 до 0,050 м2. При этом отношение максимального и минимального отрезков прямых, соединяющих точки контура светового отверстия и проходящих через центр светового отверстия, не должно превышать 3:1, и размер максимального отрезка должен быть не более 0,35 м.
Примечание - Требование введено с целью недопустимости проектирования приборов со световым отверстием, имеющим вытянутую узкую форму.
Допускается по согласованию с заказчиком устанавливать диаметр светового отверстия меньшего размера, но не менее 0,11 м, и площадь не менее 0,0095 м2.
5.3 Хвостовые сигнальные фонари
5.3.1 Хвостовые сигнальные фонари должны быть красного цвета.
5.3.2 Требуемое распределение силы света хвостовых сигнальных фонарей в диапазоне напряжений питания +/- 5% от номинального значения по
4.5, а для светодиодных фонарей - в диапазоне напряжений питания и в диапазоне температур окружающей среды по
6.1, приведено в
таблице 4.
Таблица 4
Распределение силы света хвостовых сигнальных фонарей
красного цвета
В канделах
Угол излучения в горизонтальной плоскости | Минимальное значение силы света с углом излучения в вертикальной плоскости | Максимальное значение силы света |
0° | +/- 2,5° |
0° | 130 | 70 | 650 |
+/- 5° | 90 | - |
+/- 10° | 50 | - |
+/- 15° | 10 | - |
+/- 20° | 9,5 | - |
+/- 25° | 9 | - |
+/- 30° | 8,5 | - |
+/- 35° | 8 | - |
При разработке и изготовлении хвостовых сигнальных фонарей для компенсации уменьшения силы света в процессе эксплуатации рекомендуется учесть коэффициент запаса, равный 1,3, для минимальных значений силы света, приведенных в
таблице 4, либо иные способы компенсации снижения силы света в течение срока службы.
Примечание - Рекомендуется учитывать, что на подвижном составе возможна установка хвостовых сигнальных фонарей за защитным стеклом, являющимся частью подвижного состава.
5.3.3 Координаты цветности излучения хвостовых сигнальных фонарей в диапазоне напряжений питания +/- 5% от номинального значения по
4.5, а для светодиодных фонарей - в диапазоне напряжений питания и в диапазоне температур окружающей среды по
6.1, должны находиться на графике цветностей колориметрической системы МКО 1931 г. в пределах области с координатами угловых точек, указанными в
таблице 5 и
приложении А.
Таблица 5
Область цветности излучения хвостовых сигнальных фонарей
красного цвета
Обозначение координат | Значения координат угловых точек допустимой области цветности |
1 | 2 | 3 | 4 |
x | 0,735 | 0,703 | 0,704 | 0,725 |
y | 0,265 | 0,297 | 0,290 | 0,267 |
5.3.4 Площадь проекции выходного светового отверстия хвостового сигнального фонаря на вертикальную плоскость должна быть в диапазоне от 0,004 до 0,050 м
2. При этом не рекомендуется изготавливать хвостовые сигнальные фонари с площадью выходного светового отверстия менее 0,008 м
2.
5.3.5 Для моторвагонного подвижного состава рекомендуется применение хвостовых фонарей с распределением силы света как у буферных фонарей красного цвета. Допускается применение буферных фонарей красного цвета в качестве хвостовых фонарей, устанавливаемых в верхней части лобовой стенки головного вагона.
5.4 Сигнальные фонари желтого цвета
5.4.1 Требуемое распределение силы света сигнальных фонарей желтого цвета в диапазоне напряжений питания +/- 5% от номинального значения по
4.5, а для светодиодных фонарей - в диапазоне напряжений питания и в диапазоне температур окружающей среды по
6.1, приведено в
таблице 6.
Таблица 6
Распределение силы света сигнальных фонарей желтого цвета
В канделах
Угол излучения в горизонтальной плоскости | Минимальное значение силы света с углом излучения в вертикальной плоскости | Максимальное значение силы света |
0° | +/- 2,5° |
0° | 30 | 30 | 300 |
+/- 5° | 30 | - |
+/- 10° | 29 | - |
+/- 15° | 28 | - |
+/- 20° | 27 | - |
+/- 25° | 26 | - |
+/- 30° | 25 | - |
+/- 35° | 24 | - |
При разработке и изготовлении сигнальных фонарей для компенсации уменьшения силы света в процессе эксплуатации рекомендуется учесть коэффициент запаса, равный 1,3, для минимальных значений силы света, приведенных в
таблице 6.
Примечание - Рекомендуется учитывать, что на подвижном составе возможна установка сигнальных фонарей за защитным стеклом, являющимся частью подвижного состава.
5.4.2 Координаты цветности излучения сигнальных фонарей желтого цвета в диапазоне напряжений питания +/- 5% от номинального значения по
4.5, а для светодиодных фонарей - в диапазоне напряжений питания и в диапазоне температур окружающей среды по
6.1, должны быть на графике цветностей колориметрической системы МКО 1931 г. в пределах областей с координатами угловых точек, указанными в
таблице 7 и
приложении А. Для сигнальных фонарей желтого цвета при воздействии верхнего и нижнего значения рабочих температур допускается расширение области цветности до границы, обозначенной точками 2' и 3'.
Таблица 7
Область цветности излучения сигнальных фонарей
желтого цвета
Обозначение координат | Значения координат угловых точек допустимой области цветности |
1 | 2 (2') | 3 (3') | 4 |
x | 0,617 | 0,561 (0,535) | 0,545 (0,522) | 0,604 |
y | 0,383 | 0,439 (0,464) | 0,427 (0,455) | 0,383 |
5.5 Светильники для освещения ходовых частей локомотивов
5.5.1 Светильник для освещения ходовых частей локомотивов, устанавливаемый под кузовом локомотивов, должен создавать освещенность по оптической оси не менее 50 лк на расстоянии 0,5 м от светильника. При разработке и изготовлении рекомендуется учесть коэффициент запаса, равный 1,5.
5.5.2 Рекомендуемый тип кривой силы света светильников - широкая, полуширокая или косинусная по
ГОСТ 17677 <1>, в зависимости от их конкретного расположения относительно освещаемых поверхностей. Технические условия на светильники для подвижного состава конкретного типа должны содержать требования к световым параметрам светильников, которые зависят от типа подвижного состава.
--------------------------------
<1> В Российской Федерации действует ГОСТ Р 54350-2015 "Приборы осветительные. Светотехнические требования и методы испытаний"
(пункт 5.1.1).
5.5.3 Коррелированная цветовая температура излучения светодиодных светильников должна соответствовать одному из номинальных значений цветовой температуры, указанных в
таблице 8.
Таблица 8
Номинальные значения и область допустимых значений
коррелированной цветовой температуры излучения
светодиодных светильников
В кельвинах
Номинальное значение цветовой температуры | Область допустимых значений коррелированной цветовой температуры |
2700 | 2725 +/- 145 |
3000 | 3045 +/- 175 |
3500 | 3465 +/- 245 |
4000 | 3985 +/- 275 |
4500 | 4503 +/- 243 |
5000 | 5028 +/- 282 |
5700 | 5665 +/- 355 |
6500 | 6530 +/- 510 |
6 Требования стойкости к внешним воздействующим факторам
6.1 Приборы должны быть стойкими к воздействию следующих климатических внешних воздействующих факторов:
- изменения температуры от нижнего значения предельной рабочей температуры до верхнего значения предельной рабочей температуры в соответствии с
таблицей 9;
- верхнего значения рабочей температуры в соответствии с
таблицей 9;
- нижнего значения рабочей температуры в соответствии с
таблицей 9;
- верхнего значения относительной влажности воздуха 100% при температуре 25 °C;
- инея и росы;
- абразивной пыли (за исключением приборов, предназначенных для установки внутри кузова подвижного состава при наличии дополнительного защитного стекла, являющегося частью кузова подвижного состава);
- солнечного излучения (для наружных элементов, выполненных из органических материалов, за исключением приборов, предназначенных для установки внутри кузова подвижного состава при наличии дополнительного защитного стекла, являющегося частью кузова подвижного состава).
Таблица 9
Температура окружающего воздуха
в зависимости от климатического исполнения прибора
Вид климатического исполнения | Температура воздуха, °C |
Рабочее значение | Предельное рабочее значение |
Верхнее | Нижнее | Верхнее | Нижнее |
У1, У2, У3 | +50 | -50 | | -50 |
УХЛ1, УХЛ2, УХЛ3 | +50 | -60 | | -60 |
<1> Допускается по согласованию с заказчиком устанавливать более низкое верхнее предельное рабочее значение температуры с учетом требований ГОСТ 15150-69 ( пункты 3.2, 5.4 перечисления а), и)). Примечание - Допускается в соответствии с ГОСТ 15150-69 (пункт 5.2) по согласованию с заказчиком устанавливать более узкий диапазон значений температур в тех случаях, когда приборы по своим конструктивным или физическим параметрам не могут эксплуатироваться во всем диапазоне заданных значений температур, но при этом должны быть предусмотрены дополнительные меры на подвижном составе (например, обогрев или охлаждение), обеспечивающие возможность эксплуатации приборов во всем диапазоне заданных значений температур. |
При этом световые параметры (сила света, световой поток, координаты цветности, цветовая температура) приборов должны соответствовать нормируемым значениям в диапазоне температур от 50 °C до минус 50 °C для климатических исполнений У и УХЛ или в диапазоне рабочих значений температур для других климатических исполнений по
ГОСТ 15150.
В диапазоне рабочих значений температур по
таблице 9 осевая сила света прожектора и светосигнальных приборов должна быть не менее минимально допустимых значений (для светосигнальных приборов - без коэффициента запаса). При предельных рабочих значениях температур световые параметры не нормируются.
6.2 Номинальные рабочие значения механических внешних воздействующих факторов - по
ГОСТ 17516.1 для группы механического исполнения М25.
6.3 Светильники для освещения ходовых частей локомотивов должны иметь достаточную механическую прочность и выдерживать энергию удара 6,5 Н·м.
7 Требования электромагнитной совместимости
7.2 Прожекторы, буферные фонари, хвостовые сигнальные фонари, сигнальные фонари желтого цвета должны устойчиво функционировать с критерием качества "A" в соответствии с
ГОСТ 33436.1 во время и после воздействия помех, виды которых устанавливают в технических условиях на приборы конкретного типа согласно
ГОСТ 33436.3-2; светильники для освещения ходовых частей - с критерием качества "B".
Примечание - При воздействии наносекундных и микросекундных импульсных помех допускается изменение силы света в момент воздействия помехи.
7.3 Не допускается свечение приборов в выключенном состоянии при воздействии помех по
7.2 (за исключением светильников для освещения ходовых частей).
8 Требования электробезопасности
8.1 По способу защиты человека от поражения электрическим током приборы должны соответствовать классу I по
ГОСТ IEC 61140 <1>.
--------------------------------
<1> В Российской Федерации действует
ГОСТ Р 58698-2019 (МЭК 61140:2016) "Защита от поражения электрическим током. Общие положения для электроустановок и электрооборудования".
8.2 Электрическая изоляция приборов должна выдерживать испытательное напряжение переменного тока частотой 50 Гц в течение 1 мин в нормальных климатических условиях (НКУ) по
ГОСТ 15150:
- 750 В - для номинального напряжения 24 В;
- 1500 В - для номинальных напряжений 50, 75 и 110 В.
Электрическая изоляция приборов должна выдерживать испытательное напряжение переменного тока частотой 50 Гц в размере 60% от нормированного значения в НКУ в течение 1 мин при верхнем значении относительной влажности воздуха 100% при температуре окружающей среды 25 °C.
8.3 Электрическое сопротивление изоляции приборов должно быть:
- не менее 3 МОм при воздействии верхнего значения рабочей температуры окружающей среды;
- не менее 0,5 МОм при верхнем значении относительной влажности воздуха 100% при температуре окружающей среды 25 °C.
9.1 Срок службы приборов должен быть установлен в конструкторской документации и составлять не менее 10 лет.
Средняя наработка на отказ светодиодных приборов - не менее 50 000 ч.
Приборы должны сохранять работоспособное состояние в течение срока службы во всех заданных условиях и режимах эксплуатации при условии выполнения технического обслуживания в соответствии с инструкциями по эксплуатации.
9.2 Критериями отказа приборов являются:
- несоответствие осевой силы света или светового потока (у светильников для освещения ходовых частей);
- несоответствие сопротивления изоляции;
- повреждение узлов и деталей, влияющих на работоспособное состояние прибора.
Дополнительно критерием отказа светодиодных приборов (за исключением светильников для освещения ходовых частей) является несоответствие координат цветности.
9.3 Критериями предельного состояния приборов являются:
- для прожектора - снижение осевой силы света до значения менее 6,4·105 кд в режиме "яркий свет" и несоответствие осевой силы света диапазону (0,7·105 - 1,2·105) кд в режиме "тусклый свет";
- для светосигнальных приборов - несоответствие осевой силы света минимальному нормируемому значению;
- для светильников - несоответствие освещенности на заданном расстоянии.
10 Требования к маркировке, упаковке, транспортированию и хранению
10.1 Приборы должны иметь маркировку по
ГОСТ 18620, включающую:
- товарный знак или наименование завода-изготовителя;
- наименование или условное обозначение;
- единый знак обращения на рынке
<1>;
- заводской номер;
- дату изготовления.
--------------------------------
<1> Для приборов, предназначенных для обращения на рынке государств - членов Евразийского экономического союза.
Дополнительно в паспорте или на этикетке должны быть указаны следующие характеристики приборов:
- климатическое исполнение и категория размещения;
- степень защиты IP;
- номинальные электрические параметры (напряжение питания);
- осевая сила света при номинальных значениях напряжения (для прожекторов и светосигнальных фонарей);
- цвет сигнала (для светосигнальных фонарей);
- расстояние фотометрирования (для прожекторов).
На приборах с некруглосимметричным светораспределением должно быть указано, как их ориентировать при установке на подвижном составе (например, указать, где находится "верх" прибора).
10.2 Маркировка транспортной тары - по
ГОСТ 14192.
10.3 Маркировку на приборы наносят любым способом, обеспечивающим ее сохранность и различимость в течение всего периода эксплуатации.
Маркировку на транспортную тару наносят любым способом, обеспечивающим ее сохранность в условиях транспортирования и хранения.
10.4 Упаковка и транспортная тара приборов - по
ГОСТ 23216. Приборы, упакованные в транспортную тару, должны быть стойкими к воздействиям механических нагрузок и климатических факторов при транспортировании и хранении.
Условия транспортирования должны соответствовать в части воздействия:
- механических факторов - группе "Ж" по
ГОСТ 23216;
- климатических факторов - группе 5 (ОЖ4) по
ГОСТ 15150.
Условия хранения должны соответствовать в части воздействия климатических факторов группе 5 (ОЖ4) по
ГОСТ 15150.
11.1 Общие положения
11.1.1 Испытания проводят в НКУ по
ГОСТ 15150, если иное не установлено методом испытаний. Измерения световых характеристик приборов в НКУ проводят при температуре окружающей среды (25 +/- 2) °C.
11.1.2 Испытательное оборудование должно быть аттестовано, средства измерений должны быть поверены или откалиброваны (в зависимости от вида испытаний).
11.1.3 Измерения световых характеристик проводят при отсутствии внешних засветок в затемненном помещении, стены, пол и потолок которого должны быть диффузно отражающими. Допускается использование экранов, диафрагм и тубусов в качестве средств защиты от засветки отражающих поверхностей.
11.1.4 При оценке результатов испытаний критерием одинаковости значений световых параметров является отличие измеренных значений параметров до и после испытаний:
- на 10% - при измерении силы света;
- на 0,005 - при определении координат цветности.
11.2 Контроль осевой силы света и распределения силы света
11.2.1 Измерение осевой силы света и распределения силы света приборов (
5.1.1,
5.2.2,
5.3.2,
5.4.1) в НКУ проводят на фотометрической установке. Установка содержит гониометр и фотоприемное устройство (ФПУ).
--------------------------------
<1> В Российской Федерации действует ГОСТ Р 54350-2015 "Приборы осветительные. Светотехнические требования и методы испытаний"
(подраздел 10.2).
11.2.2 Относительная спектральная чувствительность приемника ФПУ с помощью корригирующих светофильтров должна быть приведена к функции относительной спектральной световой эффективности монохроматического излучения для дневного зрения по
ГОСТ 8.332.
Погрешность установки угла поворота гониометра должна быть не более 0,1°.
Суммарная относительная погрешность измерения силы света не должна превышать 10%.
11.2.3 При необходимости измерения проводят на приборах совместно с образцом защитного стекла, за которым устанавливают приборы на подвижном составе.
При невозможности использования защитного стекла необходимо учесть его фактический световой коэффициент пропускания, значение которого, например, для лобового стекла кабины машиниста согласно
ГОСТ 32565 не должно быть менее 0,7.
11.2.4 Для контроля выходного напряжения источника питания параллельно его выходным контактам должен быть подключен вольтметр, а для контроля потребляемого тока (при необходимости) последовательно в цепь прибора и источника питания должен быть включен амперметр. Основная относительная погрешность электроизмерительных приборов не должна превышать 0,5%.
11.2.5 Измерение силы света проводят методом прямых измерений с помощью фотометрических головок с установленными при калибровке коэффициентами преобразования в силу света или методом сравнения со значением силы света рабочих эталонов (светоизмерительных ламп накаливания по
ГОСТ 10771 или светодиодных излучателей соответствующего цвета).
Примечание - Эталонный светодиодный излучатель должен состоять из светодиодов, которые предварительно отбирают и отжигают в течение 500 ч или более при номинальных значениях электрических параметров со стабилизацией по току и контролем напряжения, должен иметь систему контроля температуры и иметь возможность постоянного регулирования тока для обеспечения постоянного светового потока.
11.2.6 В приборы, источником света в которых являются лампы накаливания или разрядные, для выполнения измерений необходимо устанавливать измерительные (контрольные) лампы по ГОСТ 17616
<2>.
--------------------------------
<2> В Российской Федерации действует
ГОСТ Р 55702-2020 "Источники света электрические. Методы измерений электрических и световых параметров".
11.2.7 Прибор устанавливают на гониометре так, чтобы его оптическая ось была совмещена с оптической осью фотометрической установки. ФПУ располагают так, чтобы его приемная поверхность была перпендикулярна оптической оси установки.
Расстояние от гониометра до ФПУ должно быть не менее расстояния фотометрирования для прожектора или не менее десятикратного значения максимального размера светового отверстия для светосигнальных приборов. Если расстояние фотометрирования прожектора превышает 20 м, то для проведения измерений на расстоянии менее расстояния фотометрирования допускается использовать коэффициенты пересчета силы света, полученные в
11.2.8. При измерениях расстояние от гониометра до ФПУ должно быть постоянным.
11.2.8 Для определения или проверки расстояния фотометрирования прожектор устанавливают в положение, при котором его оптическая ось параллельна горизонтальной плоскости, и измеряют вертикальную освещенность
E на площадке, обращенной к прожектору перпендикулярно оптической оси, последовательно увеличивая расстояние
l от прожектора. Расстояние
l, начиная с которого произведение
E·
l2 остается постоянным в пределах 1%, принимают за расстояние фотометрирования.
Если измеренное расстояние превышает 20 м, то необходимо определить коэффициенты пересчета силы света по формуле

(1)
где Eф и lф - измеренное значение освещенности, лк, на расстоянии фотометрирования, м, на котором выполняется закон "обратных квадратов";
Ei и li - измеренное значение освещенности, лк, на расстоянии, м, которое менее расстояния фотометрирования и на котором проводят измерения.
В диапазоне от 20 м до 30 м (или до расстояния фотометрирования, если оно менее 30 м) должно быть определено не менее трех значений коэффициента пересчета силы света.
11.2.9 На прибор подают номинальное напряжение питания и выдерживают во включенном состоянии до стабилизации параметров излучения, затем проводят измерение осевой силы света и измерение сил света под углами (светораспределение) в горизонтальной и вертикальной плоскости.
Примечание - Выдержку во включенном состоянии для стабилизации параметров излучения приборов, источником света в которых является лампа, проводят в течение не менее 5 мин - для ламп накаливания и не менее 15 мин - для разрядных ламп. Для определения момента стабилизации параметров светодиодных приборов проводят измерение силы света (или другого светового параметра, пропорционального силе света) через интервалы времени не менее 10 мин от момента включения прибора. Состояние стабилизации считают достигнутым, если разница между двумя последовательно измеренными значениями не превышает 1%.
11.2.10 Измерение силы света проводят при минимальном, номинальном и максимальном значениях напряжения питания (в диапазоне +/- 5% от номинального). При изменении параметров электропитания измерения проводят после стабилизации световых характеристик в течение не менее 5 мин.
11.2.11 Для измерения распределения силы света в вертикальной плоскости возможна установка прибора на гониометре с поворотом на 90° вокруг оптической оси.
11.2.12 Результаты считают удовлетворительными, если значения силы света в заданных диапазонах напряжений питания соответствуют заданным требованиям; для светодиодных приборов - с учетом температурных коэффициентов изменения силы света (
K+ и
K-), полученных при испытаниях на воздействие верхнего и нижнего значения рабочей температуры по
11.7.3 и
11.7.4.
11.3 Контроль углов рассеяния прожектора, углов регулировки и возможности восстановления функционирования прожектора
11.3.1 Контроль углов рассеяния прожектора
11.3.1.1 Измерение углов рассеяния прожектора в горизонтальной и вертикальной плоскости
(5.1.2) проводят на фотометрической установке, состоящей из гониометра и ФПУ. Измерения выполняют при номинальном напряжении питания и совмещают при необходимости с измерениями по
11.2.
11.3.1.2 Угол рассеяния относительно оптической оси прожектора принимают равным углу, при котором значение силы света составляет 10% от значения осевой силы света.
Если предварительно были измерены светораспределения в горизонтальной и вертикальной плоскости, то угол рассеяния определяют по графику светораспределения в точках, где значение силы света равно 10% от значения осевой силы света.
11.3.1.3 Для измерения угла рассеяния в вертикальной плоскости возможна установка прожектора на гониометре с поворотом на 90° вокруг оптической оси.
11.3.1.4 Результаты считают удовлетворительными, если значения углов рассеяния прожектора соответствуют заданным требованиям.
11.3.2 Контроль углов регулировки прожектора
11.3.2.1 Для измерения углов регулировки прожектора
(5.1.5) его закрепляют в эксплуатационном положении как на подвижном составе. Перед прожектором устанавливают экран перпендикулярно его оптической оси на расстоянии не менее 2 м.
11.3.2.2 На прожекторе закрепляют лазерное устройство, луч которого направлен на экран по нормали. Лазерное устройство закрепляют на оси, перпендикулярной оси вращения прожектора в горизонтальной или вертикальной плоскости в зависимости от определяемого угла.
11.3.2.3 На экране отмечают начальное положение лазерного луча, после этого поворачивают прожектор в крайние положения по горизонтали и вертикали и отмечают на экране положение лазерного луча в этих точках. Проводят измерение расстояний между начальным положением лазерного луча и положением в крайних точках.
Углы регулировки прожектора

рассчитывают по формуле

(2)
где ai - расстояние между начальным положением лазерного луча и положением в одной из крайних точек, м;
R - расстояние между экраном и прожектором, м.
11.3.2.4 Результаты считают удовлетворительными, если прожектор имеет возможность регулировки в вертикальной и горизонтальной плоскости в пределах заданных углов.
11.3.3 Проверка возможности восстановления функционирования прожектора
11.3.3.1 Для оценки возможности восстановления функционирования прожектора после его отказа
(5.1.6) проверяют возможность замены или резервирования источника света в прожекторе или блоков питания прожектора.
11.3.3.2 Если прожектор светодиодный и в нем предусмотрено питание светодиодов по группам от отдельных источников питания, то проводят измерение осевой силы света прожектора при отключении по очереди по одному источнику или по одной группе светодиодов. Измерение силы света проводят на фотометрической установке как в
11.2 в режимах "яркий свет" и "тусклый свет".
11.3.3.3 Результаты считают удовлетворительными, если прожектор имеет возможность замены или резервирования источника света в прожекторе или блоков питания прожектора, а также если сила света прожектора, светодиоды в котором питаются по группам от отдельных источников питания, при отключении каждого источника питания (каждой группы светодиодов) в режиме "яркий свет" равна не менее 6,4·105 кд и в режиме "тусклый свет" - не менее 0,7·105 кд.
11.4 Контроль цветности излучения
11.4.1 Определение координат цветности и коррелированной цветовой температуры излучения испытываемых приборов (
5.1.3,
5.2.3,
5.3.3,
5.4.2,
5.5.3) выполняют методом фотоэлектрической колориметрии или спектрорадиометрическим методом с помощью спектральных приборов при номинальном напряжении питания во всех режимах работы.
11.4.2 Измерение координат цветности и коррелированной цветовой температуры выполняют по оптической оси, если не указано иное в технических условиях на приборы конкретного типа.
Погрешность измерения координат цветности не должна превышать +/- 0,005, коррелированной цветовой температуры - (+/- 100 К).
11.4.3 Измерение координат цветности светосигнальных приборов, источником света в которых является лампа накаливания или разрядная, допускается не проводить. В этом случае проводят измерение координат цветности светофильтров, входящих в состав светосигнального прибора, по ГОСТ 34707-2021
(пункт 8.2.6).
11.4.4 Результаты считают удовлетворительными, если значения координат цветности или коррелированной цветовой температуры соответствуют заданным требованиям. Выводы о соответствии заданным требованиям для светодиодных приборов делают после испытаний на воздействие верхнего и нижнего значения рабочей температуры по
11.7.3 и
11.7.4.
11.5 Контроль светового потока, светораспределения и освещенности, создаваемой светильниками
--------------------------------
<1> В Российской Федерации действует ГОСТ Р 54350-2015 "Приборы осветительные. Светотехнические требования и методы испытаний" (
подразделы 10.2,
10.3).
11.5.2 Измерение освещенности, создаваемой светильником, проводят при помощи люксметра по оптической оси светильника на расстоянии 0,5 м. Фотоприемник люксметра располагают перпендикулярно оптической оси светильника.
11.5.3 Погрешность измерения светового потока, светораспределения и освещенности не должна превышать 10%.
11.5.4 Результаты считают удовлетворительными, если значения измеряемых световых параметров соответствуют заданным требованиям.
11.6 Контроль размеров выходного светового отверстия
11.6.1 Проверку размеров выходного светового отверстия (
5.1.4,
5.2.4,
5.3.4) проводят путем измерения диаметра или линейных размеров проекции светящегося отверстия прибора на вертикальную плоскость, перпендикулярную оптической оси прибора, линейкой, рулеткой или штангенциркулем с последующим вычислением его площади.
11.6.2 Погрешность измерительного инструмента должна быть не более 1 мм.
11.6.3 Результаты считают удовлетворительными, если значения измеряемых размеров и вычисляемой площади соответствуют заданным требованиям.
11.7 Испытания на стойкость к воздействию климатических факторов
11.7.1 Общие требования
11.7.1.1 При проведении испытаний время стабилизации, выдержки в режиме испытаний и восстановления в НКУ выбирают в зависимости от массы прибора по
таблице 10.
Таблица 10
Время стабилизации, выдержки и восстановления
при климатических испытаниях
Масса прибора, кг | Время стабилизации, выдержки в режиме испытаний и восстановления в НКУ, ч |
До 2 включ. | 2 |
Св. 2 " 10 " | 3 |
" 10 " 20 " | 4 |
" 20 " 50 " | 6 |
Время повышения или понижения температуры в климатической камере не включают в длительность выдержки.
11.7.1.2 Измерения силы света и координат цветности при испытаниях на стойкость к воздействию верхнего и нижнего значений температуры (
11.7.3,
11.7.4) проводят при отсутствии посторонней засветки.
11.7.2 Испытания на стойкость к изменению температуры
11.7.2.1 Испытания на стойкость к изменению температуры от нижнего до верхнего значения предельной рабочей температуры
(6.1) проводят по ГОСТ 20.57.406
(метод 205-2).
11.7.2.2 Испытания проводят в камере тепла и холода.
Нормы испытательных режимов:
- пониженная температура - нижнее значение предельной рабочей температуры в соответствии с
таблицей 9;
- повышенная температура - верхнее значение предельной рабочей температуры в соответствии с
таблицей 9;
- скорость охлаждения/нагрева камер - от (1 +/- 0,2) до (5 +/- 0,2) °C/мин;
- число циклов испытания - 2.
11.7.2.3 Прибор помещают в камеру тепла и холода в выключенном состоянии. После испытания и восстановления в НКУ в течение времени, указанного в
таблице 10, проводят визуальный осмотр и проверку работоспособности прибора (наличие свечения всех источников света). До и после испытания (после восстановления в НКУ) измеряют осевую силу света прибора по
11.2.
11.7.2.4 Результаты испытаний считают удовлетворительными, если не произошло изменений внешнего вида прибора, значения силы света до и после испытаний одинаковы и результаты проверки работоспособности положительны.
11.7.3 Испытание на воздействие верхнего значения рабочей температуры
11.7.3.1 Испытание на воздействие верхнего значения рабочей температуры окружающей среды
(6.1) проводят по ГОСТ 20.57.406
(метод 201-2.1) в камере тепла. Испытание может быть совмещено с испытанием на воздействие повышенной предельной температуры окружающей среды по ГОСТ 20.57.406
(метод 202-1).
Испытания проводят на приборах под электрической нагрузкой.
11.7.3.2 Для приборов, источником света в которых является лампа накаливания или разрядная (не светодиоды), по окончании выдержки прибора в камере при верхнем значении рабочей и предельной температур окружающей среды в течение времени, указанного в
таблице 10, проводят измерение осевой силы света в НКУ на фотометрической установке по
11.2.
11.7.3.3 Для светодиодных приборов во время испытаний проводят контроль силы света и координат цветности излучения, например, через прозрачное окно камеры из бесцветного стекла. Предварительно необходимо убедиться, что стекло камеры бесцветное, в противном случае надо ввести поправку в значения измеренных координат цветности, равную разнице координат цветности, измеренных через стекло окна камеры и без стекла.
11.7.3.4 Светодиодный прибор устанавливают в испытательную камеру так, чтобы свет от него был направлен в сторону окна камеры. Перед окном камеры устанавливают ФПУ для контроля изменения силы света и спектроколориметр для измерения координат цветности излучения. Во время испытания перемещение ФПУ не допускается.
11.7.3.5 Перед испытанием прибор выдерживают при температуре (25 +/- 2) °C, время выдержки определяют по
таблице 10. Затем прибор включают и устанавливают номинальные параметры питания. Через не менее чем 30 мин после включения (после стабилизации световых характеристик), через окно камеры измеряют координаты цветности и величину, пропорциональную силе света,
N+25.
Затем повышают температуру в камере до (50 +/- 2) °C и выдерживают прибор в камере в течение времени, указанного в
таблице 10. По истечении времени выдержки через окно камеры проводят повторное измерение координат цветности и величины, пропорциональной силе света,
N+50.
Затем, не извлекая прибор из камеры и не выключая ее, температуру повышают до верхнего значения предельной рабочей температуры, выдерживают прибор в течение времени, указанного в
таблице 10, во время испытания контролируют свечение прибора.
После этого температуру в камере понижают до (25 +/- 2) °C, выдерживают прибор при этой температуре в течение времени, указанного в
таблице 10, и через окно камеры проводят измерение координат цветности и величины, пропорциональной силе света.
11.7.3.6 После испытаний рассчитывают значение температурного коэффициента изменения силы света
K+50, используемого при оценке соответствия силы света нормируемым значениям при испытаниях в
11.2, по формуле

(3)
и значение осевой силы света I+50 при воздействии верхнего значения рабочей температуры при минимальном, номинальном и максимальном значении параметров питания каждого режима работы по формуле
I+50 = I+25·K+50, (4)
где
I+25 - значение осевой силы света, измеренное в НКУ в
11.2 при минимальном, номинальном и максимальном значении напряжения или тока питания каждого режима работы, кд.
11.7.3.7 Результаты считают удовлетворительными, если при испытании не наблюдалось мерцания и погасания излучения прибора, значения силы света до и после испытаний одинаковы и соответствуют заданным требованиям, а также для светодиодного прибора - если измеренные значения осевой силы света и координат цветности излучения во время испытаний соответствуют заданным требованиям.
11.7.4 Испытание на воздействие нижнего значения рабочей температуры
11.7.4.1 Испытание на воздействие нижнего значения рабочей температуры окружающей среды
(6.1) проводят по ГОСТ 20.57.406
(метод 203-1) в камере холода.
Испытания проводят на приборах без электрической нагрузки. Приборы включают только в конце испытаний для измерения световых параметров.
11.7.4.2 Для приборов, источником света в которых является лампа накаливания или разрядная (не светодиоды), по окончании выдержки в камере при нижнем значении рабочей температуры окружающей среды в течение времени, указанного в
таблице 10, проводят измерение осевой силы света в НКУ на фотометрической установке.
11.7.4.3 Для светодиодных приборов в конце испытаний, не извлекая прибор из камеры и не выключая ее, проводят контроль силы света и координат цветности излучения.
11.7.4.4 Последовательность испытаний и измерений светодиодных приборов при температуре (25 +/- 2) °C аналогична
11.7.3. Затем прибор выключают, понижают температуру в камере до минус (50 +/- 2) °C для климатических исполнений У и УХЛ (или до нижнего рабочего значения температуры для другого климатического исполнения по
ГОСТ 15150) и выдерживают прибор в камере в течение времени, указанного в
таблице 10.
По истечении времени выдержки прибор включают при номинальном режиме питания и, не открывая камеру, через окно проводят два измерения координат цветности и величины, пропорциональной силе света:
- первое - N-50/1 в течение от 1 до 3 мин после включения;
- второе - N-50/2 через 30 мин после включения.
Затем, не извлекая прибор из камеры и не выключая ее, температуру понижают до нижнего значения предельной рабочей температуры, выдерживают прибор в выключенном состоянии в течение времени, указанного в
таблице 10, после этого прибор включают и в течение 30 мин контролируют свечение прибора.
В конце испытаний, не извлекая прибор из камеры и не выключая ее, температуру повышают до (25 +/- 2) °C, выдерживают прибор при этой температуре в течение времени, указанного в
таблице 10, и через окно камеры проводят измерение координат цветности и величины, пропорциональной силе света.
11.7.4.5 После испытаний рассчитывают значение температурного коэффициента изменения силы света
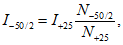
K-50, используемого при оценке соответствия силы света нормируемым значениям при испытаниях в
11.2, по формуле

(5)
и значения осевой силы света прибора I-50/1 и I-50/2 при воздействии нижнего значения температуры по формулам
I-50/1 = I+25·K-50, (6)

(7)
где
I+25 - значение осевой силы света, измеренное в НКУ в
11.2 при минимальном, номинальном и максимальном значении напряжения или тока питания каждого режима работы, кд.
11.7.4.6 Результаты считают удовлетворительными, если при испытании не наблюдалось мерцания и погасания излучения прибора, значения силы света до и после испытаний одинаковы и соответствуют заданным требованиям, а также для светодиодного прибора - если измеренные значения осевой силы света и координат цветности излучения во время испытаний соответствуют заданным требованиям.
11.7.5 Испытание на стойкость к воздействию верхнего значения относительной влажности воздуха
11.7.5.1 Испытание на стойкость к воздействию верхнего значения относительной влажности воздуха
(6.1) проводят по ГОСТ 20.57.406 (
метод 207-1 или
207-3).
Испытания проводят в камере тепла и влаги, при верхнем значении температуры (40 +/- 2) °C и числе циклов испытаний - 4.
11.7.5.2 Перед испытанием приборы выдерживают при температуре (25 +/- 3) °C в течение времени стабилизации, установленном в
таблице 10, и проводят внешний осмотр защитных и лакокрасочных покрытий. Прибор помещают в камеру тепла и влаги в выключенном состоянии.
11.7.5.3 Если требуется проведение испытаний прочности электрической изоляции повышенным напряжением
(8.2) и измерение сопротивления изоляции
(8.3) при воздействии верхнего значения влажности воздуха, то их проводят в соответствии с
11.11.2 и
11.11.3 в последнем цикле испытаний или после извлечения прибора из камеры в течение не более 3 мин.
После завершения последнего цикла прибор включают при номинальном режиме питания и проводят проверку работоспособности.
11.7.5.4 После испытания проводят внешний осмотр прибора и его защитных и лакокрасочных покрытий.
11.7.5.5 Результаты считают удовлетворительными, если при испытании не наблюдалось мерцания и погасания излучения прибора, не произошло пробоя или поверхностного перекрытия изоляции при номинальном режиме питания; отсутствуют вздутие, отслоение и изменение цвета защитных и лакокрасочных покрытий.
11.7.6 Испытание на стойкость к воздействию инея и росы
11.7.6.1 Испытание на стойкость к воздействию инея и росы
(6.1) проводят по ГОСТ 20.57.406
(метод 206-1).
Допускается проводить испытание после испытания на воздействие пониженной рабочей температуры, предварительно установив в камере температуру минус (25 +/- 3) °C и выдержав в ней выключенный прибор в течение 2 ч.
11.7.6.2 В процессе проведения испытания контролируют свечение прибора в течение времени восстановления в НКУ, определенного по
таблице 10.
11.7.6.3 Результаты считают удовлетворительными, если не произошло пробоя или поверхностного перекрытия изоляции при номинальном режиме питания и не наблюдалось мерцания и погасания излучения прибора.
11.7.7 Испытание на стойкость к воздействию солнечного излучения
11.7.7.1 Испытание на стойкость к воздействию солнечного излучения
(6.1) проводят по ГОСТ 20.57.406
(метод 211-1) в камере солнечной радиации.
11.7.7.2 До и после проведения испытаний измеряют осевую силу света по
11.2 и координаты цветности по
11.4.
11.7.7.3 Результаты считают удовлетворительными, если не произошло изменений внешнего вида прибора, измеренные значения осевой силы света и координат цветности после испытаний не отличаются от значений, измеренных до испытаний.
11.8 Испытания на стойкость к воздействию механических нагрузок
11.8.1 Испытание на стойкость к воздействию вибрации
11.8.1.1 Испытание приборов на стойкость (устойчивость и прочность) к воздействию вибрации
(6.2) проводят по ГОСТ 20.57.406 (
методы 102-1 и
103-1.1 соответственно) на вибрационной установке, создающей синусоидальную вибрацию.
Испытания проводят при воздействии вибрации в вертикальном направлении.
Испытание на виброустойчивость проводят после окончания испытаний на вибропрочность в том же диапазоне частот. При испытании допускаются перерывы, но при этом общая продолжительность воздействия вибрации должна быть сохранена.
11.8.1.2 Нормы испытательных режимов:
а) для испытаний на виброустойчивость:
частота вибрации ..................................... от 10 до 100 Гц;
амплитуда ускорения ..................................... 10 м/с2 (1g);
амплитуда перемещения ......................................... 0,5 мм;
частота перехода ............................................... 22 Гц;
б) для испытаний на вибропрочность:
частота вибрации ..................................... от 10 до 100 Гц;
амплитуда ускорения ................................... 15 м/с2 (1,5g);
амплитуда перемещения ......................................... 0,5 мм;
частота перехода ............................................... 28 Гц;
расчетное время цикла качания .................................. 7 мин;
число циклов качания ............................................. 687;
общая продолжительность воздействия вибрации .................... 80 ч.
11.8.1.3 Прибор закрепляют на вибрационной установке в рабочем положении.
Испытания проводят на приборе во включенном состоянии при номинальном напряжении питания.
В процессе испытаний контролируют свечение прибора. До начала и после окончания испытаний проводят внешний осмотр прибора.
11.8.1.4 Результаты считают удовлетворительными, если в ходе испытаний не наблюдалось мерцания и погасания излучения прибора, после испытаний отсутствуют повреждения, ослабление креплений и нарушение покрытий.
11.8.2 Испытание на стойкость к воздействию одиночных ударов
11.8.2.1 Испытание на стойкость к воздействию одиночных ударов
(6.2) проводят на ударном стенде по ГОСТ 20.57.406
(метод 106-1) путем воздействия механических ударов одиночного действия с полусинусоидальной формой импульса ударного ускорения.
11.8.2.2 Нормы испытательных режимов:
значение пикового ударного ускорения .................... 30 м/с2 (3g);
длительность действия ударного ускорения ............... от 2 до 20 мс;
число ударов в каждом направлении .................................. 3.
Направления удара - горизонтальные, совпадающие с направлениями движения подвижного состава.
11.8.2.3 Прибор фиксируют на столе ударного стенда в рабочем положении.
Испытания проводят на приборе во включенном состоянии при номинальном напряжении питания.
В процессе испытания контролируют свечение прибора. До начала и после окончания испытаний проводят внешний осмотр прибора.
11.8.2.4 Результаты считают удовлетворительными, если в ходе испытания не наблюдалось мерцания и погасания излучения прибора, после испытаний отсутствуют повреждения, ослабление креплений и нарушение покрытий.
11.8.3 Испытание на механическую прочность светильников
11.8.3.1 Испытания на механическую прочность светильников для освещения ходовых частей локомотивов
(6.3) проводят на трех образцах.
11.8.3.2 Каждый образец должен быть подвергнут трем одиночным ударам в разные точки светопропускающей оболочки (защитного стекла). Образец должен быть без лампы (или ламп) (за исключением неразборных светильников со светодиодами) и установлен на жесткую опору.
11.8.3.3 Перед испытаниями образцы охлаждают до температуры минус (5 +/- 2) °C в течение 3 ч.
Затем на каждый охлажденный образец наносят три удара стальным шаром диаметром 50 мм и массой 0,51 кг, сбрасывая его с высоты 1,3 м, что обеспечивает энергию удара 6,5 Н·м.
После испытания проводят визуальный осмотр и проверку работоспособности светильников.
11.8.3.4 Результаты считают удовлетворительными, если при внешнем осмотре светильников не обнаружены повреждения, снижающие безопасность и препятствующие их дальнейшему использованию, если светопропускающая оболочка (защитное стекло) светильников не имеет повреждений и результаты проверки работоспособности положительны.
11.9 Испытания степени защиты оболочками
11.9.1 Испытание защиты от попадания внешних твердых предметов
11.9.1.1 Испытания защиты прибора от попадания внешних твердых предметов
(4.4) и на стойкость к воздействию абразивной пыли
(6.1) проводят по ГОСТ 14254-2015
(раздел 13) в зависимости от значения первой характеристической цифры.
Для первых характеристических цифр 5 и 6 проводят испытания в среде абразивной непроводящей пыли для категории оболочки 2.
11.9.1.2 До испытаний проводят внешний осмотр и измерение осевой силы света по
11.2. Прибор размещают в камере пыли в рабочем положении в выключенном состоянии.
11.9.1.3 После испытания проводят внешний осмотр защитных и лакокрасочных покрытий, измеряют осевую силу света прибора по
11.2 при номинальном напряжении питания после очистки поверхности наружных оптических элементов от пыли.
11.9.1.4 Оценку результатов испытаний проводят по ГОСТ 14254-2015 (
пункты 13.5.2,
13.6.2). Результаты испытаний считают удовлетворительными, если после испытания отсутствуют вздутие, отслоение и изменение цвета защитных и лакокрасочных покрытий, изменения внешнего вида поверхности защитных покрытий, измеренные значения осевой силы света после испытаний не отличаются от значений, измеренных до испытаний.
11.9.2 Испытание защиты от проникновения воды
11.9.2.1 Испытание защиты прибора от проникновения воды
(4.4) проводят по ГОСТ 14254-2015
(раздел 14) в зависимости от значения второй характеристической цифры.
11.9.2.2 Испытание проводят на приборе в выключенном состоянии.
11.9.2.3 Прибор устанавливают на столе в рабочем положении.
После испытаний проверяют наличие влаги внутри корпуса прибора, качество защитных и лакокрасочных покрытий. При удовлетворительном результате проверки на наличие влаги прибор включают при номинальном режиме питания и проводят проверку работоспособности.
11.9.2.4 Результаты считают удовлетворительными, если внутри корпуса прибора отсутствует влага на частях, находящихся под напряжением, отсутствует накопление воды на электроизоляционных частях и кабельных вводах, отсутствует вздутие, отслоение и изменение цвета защитных и лакокрасочных покрытий, не изменился внешний вид поверхности защитных покрытий, при проверке работоспособности не наблюдалось мерцания и погасания прибора.
11.10 Испытания на электромагнитную совместимость
Результаты считают удовлетворительными, если во время испытаний свечение прибора неизменно по отношению к первоначальному, выполняются требования
7.3 и значения сопротивления изоляции после воздействий отличаются от измеренных до начала испытаний не более чем на 10%.
11.11 Проверка электробезопасности
11.11.1 Соответствие конструкции приборов требованиям защиты от поражения электрическим током
(8.1) определяют проверкой наличия комплекса конструктивных мер, применяемых к приборам, в соответствии с ГОСТ IEC 61140-2012
<1> (подраздел 7.2), которые направлены на защиту человека от поражения электрическим током.
--------------------------------
<1> В Российской Федерации действует ГОСТ Р 58698-2019 (МЭК 61140:2016) "Защита от поражения электрическим током. Общие положения для электроустановок и электрооборудования"
(подраздел 7.3).
11.11.2 Испытания электрической прочности изоляции прибора
(8.2) проводят на испытательной установке мощностью 0,5 кВА.
Для испытания объединяют все контакты цепей питания прибора (за исключением контактов, соединенных с корпусом). Испытательную установку подключают между точкой объединения контактов и корпусом прибора.
Испытательное напряжение переменного тока практически синусоидальной формы частотой 50 Гц плавно повышают от нуля до заданных в
8.2 значений. Выдерживают в течение 1 мин при заданном испытательном напряжении и затем плавно снижают напряжение до нуля.
Испытания электрической прочности изоляции в условиях воздействия верхнего значения относительной влажности воздуха в соответствии с
ГОСТ 20.57.406 можно проводить при испытаниях на стойкость к воздействию верхнего значения относительной влажности воздуха
(11.7.5).
Результаты считают удовлетворительными, если во время испытания не произошло пробоя или поверхностного перекрытия изоляции.
11.11.3 Сопротивление изоляции прибора
(8.3) измеряют мегаомметром при значении испытательного напряжения в зависимости от номинального напряжения прибора:
- 100 В при номинальном напряжении 24 В;
- 250 В при номинальном напряжении 50 В;
- 500 В при номинальном напряжении 75 и 110 В.
Для измерения объединяют все контакты цепей питания прибора (за исключением контактов, соединенных с корпусом), подключают мегаомметр к проверяемой цепи, отсчет значений электрического сопротивления изоляции проводят по истечении 1 мин с момента приложения испытательного напряжения к прибору.
Измерение сопротивления изоляции следует проводить между всеми соединенными между собой токоведущими частями и частями, к которым при обслуживании возможны прикосновения, а также между каждой электрически независимой частью и заземленными металлическими частями изделия.
Измерения выполняют в НКУ, при верхнем значении рабочей температуры и при верхнем значении относительной влажности воздуха. Измерения можно проводить при испытаниях на стойкость к воздействию верхнего значения рабочей температуры
(11.7.3) и относительной влажности воздуха
(11.7.5).
Результаты считают удовлетворительными, если сопротивление изоляции прибора соответствует нормируемым значениям.
11.12 Проверка требований надежности
Проверку требований надежности
(раздел 9) проводят по методикам предприятия - изготовителя приборов, разработанным в соответствии с требованиями
ГОСТ 27.410 <1>.
--------------------------------
<1> В Российской Федерации действует
ГОСТ Р 27.403-2009 "Надежность в технике. Планы испытаний для контроля вероятности безотказной работы".
11.13 Проверка маркировки и упаковки
11.13.1 Содержание маркировки приборов и транспортной тары, размещение маркировки и способ ее выполнения (
10.1,
10.2) проверяют визуально сличением с конструкторской документацией.
11.13.2 Испытания стойкости маркировки к истиранию
(10.3) проводят пятикратным протиранием без нажима ватным или марлевым тампоном, смоченным спирто-бензиновой смесью в соотношении 1:1.
Результаты считают удовлетворительными, если после протирания маркировка не отслаивается, не осыпается, не расплывается и не выцветает.
После испытаний приборы распаковывают, проводят внешний осмотр и проверяют их работоспособность при номинальном напряжении питания (наличие свечения, отсутствие частичного или полного погасания и мерцания излучения).
Результаты считают удовлетворительными, если при внешнем осмотре не обнаружены повреждения, ослабление креплений, нарушение покрытий и результаты проверки работоспособности положительны.
12 Правила оформления результатов контроля
После проведения испытаний и проверок оформляют протокол испытаний, форма которого установлена организацией или испытательным центром, проводившими испытания.
Протокол испытаний должен содержать:
- наименование организации, проводившей испытания;
- сведения о виде и цели испытаний;
- наименование объекта испытаний с указанием заводских номеров, даты изготовления, завода-изготовителя;
- дату проведения испытаний;
- место проведения испытаний;
- условия проведения испытаний;
- сведения о методах испытаний;
- сведения о средствах измерений и испытательном оборудовании;
- наименования определяемых при испытаниях параметров, нормируемые значения параметров;
- измеренные значения параметров;
- выводы и/или заключение.
(обязательное)
ОБЛАСТИ ЦВЕТНОСТИ ИЗЛУЧЕНИЯ ПРИБОРОВ НАРУЖНОГО ОСВЕЩЕНИЯ
И СВЕТОВОЙ СИГНАЛИЗАЦИИ ЖЕЛЕЗНОДОРОЖНОГО ПОДВИЖНОГО СОСТАВА
НА ГРАФИКЕ ЦВЕТНОСТЕЙ КОЛОРИМЕТРИЧЕСКОЙ СИСТЕМЫ МКО 1931 Г.
... 
- угловые точки
допустимой области цветности
Рисунок А.1 - График координат цветности x, y с областями
цветностей излучения белого, красного и желтого цвета
УДК 629.4.066 656.057.87 | |
Ключевые слова: железнодорожный подвижной состав, светосигнальный прибор, прожектор, буферный фонарь, хвостовой сигнальный фонарь, светильник для освещения ходовых частей локомотивов, технические требования, методы контроля |