Главная // Актуальные документы // ГОСТ (Государственный стандарт)СПРАВКА
Источник публикации
В данном виде документ опубликован не был.
Первоначальный текст документа опубликован в издании
М.: Издательство стандартов, 1988.
Информацию о публикации документов, создающих данную редакцию, см. в справке к этим документам.
Примечание к документу
Документ утратил силу с 1 сентября 2010 года на территории Российской Федерации в связи с изданием
Приказа Ростехрегулирования от 15.12.2009 N 1246-ст. Взамен введен в действие
ГОСТ Р 27.403-2009.
С 1 июля 2003 года до вступления в силу технических регламентов акты федеральных органов исполнительной власти в сфере технического регулирования носят рекомендательный характер и подлежат обязательному исполнению только в части, соответствующей целям, указанным в
пункте 1 статьи 46 Федерального закона от 27.12.2002 N 184-ФЗ.
Текст документа приведен с учетом
поправки, опубликованной в "ИУС", N 2, 1989.
Изменения, внесенные ГОСТ 27.301-95, введенным в действие Постановлением Госстандарта РФ от 26.06.1996 N 430, введены в действие с 1 января 1997 года.
Название документа
"ГОСТ 27.410-87. Надежность в технике. Методы контроля показателей надежности и планы контрольных испытаний на надежность"
(утв. Постановлением Госстандарта СССР от 24.12.1987 N 4889)
(ред. от 26.06.1996)
"ГОСТ 27.410-87. Надежность в технике. Методы контроля показателей надежности и планы контрольных испытаний на надежность"
(утв. Постановлением Госстандарта СССР от 24.12.1987 N 4889)
(ред. от 26.06.1996)
Утвержден и введен в действие
Постановлением Госстандарта СССР
от 24 декабря 1987 г. N 4889
ГОСУДАРСТВЕННЫЙ СТАНДАРТ СОЮЗА ССР
НАДЕЖНОСТЬ В ТЕХНИКЕ
МЕТОДЫ КОНТРОЛЯ ПОКАЗАТЕЛЕЙ НАДЕЖНОСТИ
И ПЛАНЫ КОНТРОЛЬНЫХ ИСПЫТАНИЙ НА НАДЕЖНОСТЬ
Industrial product dependability.
Inspection methods of reliability indices
and plans of check tests on reliability
ГОСТ 27.410-87
| | Список изменяющих документов Постановлением Госстандарта СССР от 26.06.1996 N 430) | |
Группа Т59
ОКСТУ 0027
Дата введения
1 января 1989 года
1. Разработан Министерством автомобильной промышленности СССР, Государственным комитетом СССР по стандартам.
Исполнители: Е.И. Бурдасов, канд. техн. наук; А.И. Кубарев, канд. техн. наук (руководители темы); С.Ф. Безверхий, канд. техн. наук; В.А. Резниченко, канд. техн. наук; В.П. Антипцев, канд. техн. наук; Р.А. Розов, канд. техн. наук; В.П. Шалдыкин, канд. техн. наук; Н.Н. Дворникова; М.П. Кузнецова; В.Л. Соболев, канд. техн. наук; И.З. Аронов, канд. техн. наук; А.А. Фортунин; Т.Н. Шаманова; Н.И. Федорова; М.В. Журцев; И.Л. Белкин, канд. техн. наук; В.Н. Дымчишин, канд. техн. наук; М.Д. Мишина; В.П. Важдаев, канд. техн. наук; С.Г. Стопалов, канд. техн. наук; О.Н. Шейнина; С.С. Дмитриченко, д-р техн. наук; Р.Д. Берштин, канд. техн. наук; М.Б. Фарберман; В.А. Лесли; Э.В. Дзиркал, канд. техн. наук; М.И. Розно; В.А. Лапидус, канд. техн. наук; Н.Е. Ярлыков, канд. техн. наук; С.А. Платонов; В.В. Баринова; В.П. Стрельников, канд. техн. наук; В.В. Садовой; И.А. Кроль, канд. техн. наук; Э.Ф. Капанец, канд. техн. наук; Г.И. Передкова, канд. техн. наук; А.Л. Раскин, канд. техн. наук; Н.О. Демидович, канд. техн. наук; Т.М. Костюкова.
2. Внесен Министерством автомобильной промышленности СССР. Зам. министра А.В. Бутузов.
3. Утвержден и введен в действие Постановлением Государственного комитета СССР по стандартам от 24.12.1987 N 4889.
4. Срок первой проверки 1993 г., периодичность проверки 5 лет.
5. Стандарт соответствует СТ СЭВ 4492-84, СТ СЭВ 5041-85, СТ СЭВ 1193-78 в части, указанной в
Приложении 11.
6. Введен впервые.
Настоящий стандарт распространяется на изделия, к которым в нормативно-технической и конструкторской документации предъявляют требования надежности, и устанавливает методы контроля показателей надежности и планы контрольных испытаний на надежность.
1.1. Контроль нормируемых показателей надежности должен включать:
получение и математическую обработку исходных данных;
принятие решения о соответствии или несоответствии изделий установленным требованиям;
анализ причин и последствий отказов с целью разработки мероприятий по повышению надежности изделий.
1.2. В зависимости от способа получения исходных данных методы контроля показателей надежности подразделяют на расчетные, экспериментальные и расчетно-экспериментальные.
1.3. Расчетные методы основаны на вычислении показателей надежности изделия по справочным данным о надежности его составных частей с учетом функциональной структуры изделия и видов разрушения, по данным о надежности изделий-аналогов, по результатам экспертной оценки надежности, по данным о свойствах материалов, элементов изделий и нагрузках на них, механизме отказа и по другой информации, имеющейся к моменту расчета надежности.
1.4. Экспериментальные методы основаны на использовании статистических данных, получаемых при испытаниях изделий на надежность, или данных опытной или подконтрольной эксплуатации.
План контроля показателей надежности должен содержать число испытуемых образцов, стратегию проведения испытаний с восстановлением и (или) заменой отказавших изделий, без восстановления и (или) замены отказавших изделий, правила прекращения испытаний, число независимых наблюдений и отрицательных исходов этих наблюдений, позволяющих принять решение о соответствии или несоответствии изделий заданным требованиям к уровню надежности, а также правила принятия решения.
При испытаниях на надежность наблюдением может быть время безотказной работы изделия, продолжительность его восстановления и т.п., отрицательным исходом наблюдения - наступление отказа (предельного состояния), невозможность восстановления в течение заданного времени и т.п.
При контроле надежности невосстанавливаемых изделий объем выборки (число испытуемых образцов) равен необходимому числу наблюдений. Для восстанавливаемых изделий объем выборки может быть уменьшен (до одного образца), если независимость наблюдений обеспечена к началу очередного наблюдения.
1.5. Расчетно-экспериментальные методы основаны на вычислении показателей надежности по исходным данным, определяемым экспериментальными методами. Исходными данными для расчетно-экспериментального метода служат:
информация о надежности изделия, полученная в ходе предшествующих испытаний, эксплуатации;
экспериментальные значения единичных показателей надежности, определяющих контролируемый комплексный показатель надежности;
экспериментальные значения показателей надежности составных частей изделия, полученные при их автономных (поэлементных) испытаниях, а также в составе другого изделия;
экспериментальные значения параметров нагрузки, износостойкости и прочности изделия и его составных частей;
экспериментальные данные об изменении параметров, характеризующих работоспособное состояние изделий.
1.6. Метод контроля показателей надежности изделий выбирают с учетом:
видов работ на стадиях жизненного цикла изделия;
заданной номенклатуры и норм показателей надежности;
требований к достоверности контроля показателей надежности;
особенностей конструкций и функционирования изделия;
характеристики условий и режимов эксплуатации;
предполагаемого вида законов распределения наработки до отказа (между отказами) и (или) до предельного состояния, продолжительности восстановления и т.п.;
возможности выделения необходимого числа образцов для испытаний на надежность;
технических возможностей и оснащенности испытательной базы;
ограничений по продолжительности и стоимости испытаний на надежность.
1.7. Допускается по согласованию с потребителем (заказчиком) испытания на надежность опытных образцов и серийных изделий выделять в самостоятельные испытания. Порядок контроля надежности по результатам самостоятельных испытаний устанавливают по согласованию между разработчиком и потребителем (заказчиком) в программе и методике испытаний.
1.8. Запрещается проводить контроль показателей надежности изделия в целом только по результатам автономных контрольных испытаний его составных частей, кроме отдельных случаев, когда в составе изделия проводить контрольные испытания невозможно, и для комплексов народно-хозяйственного назначения при наличии технико-экономического обоснования и по согласованию с потребителем (заказчиком).
1.9. Исходными данными для выбора плана контроля служат риск поставщика (изготовителя)

, риск потребителя (заказчика)

(далее - риск поставщика и риск потребителя, соответственно), браковочный уровень надежности

и приемочный уровень надежности

. При этом вероятность приемки изделий с приемочным уровнем надежности

равна

, а вероятность приемки изделий с браковочным уровнем надежности

равна

.
При установлении интервала [

,

] в качестве

служит значение показателя, заданное в стандарте или технических условиях на изделие.
В экономически обоснованных случаях допускается размещать интервал [

,

] относительно R, заданного в стандарте или технических условиях на изделие, по согласованию между изготовителем и потребителем.
1.10. При использовании расчетных методов контроля показателей надежности принимают решение о соответствии показателя надежности изделия установленным нормам, ограниченным снизу, если выдерживается соотношение

,
где

- расчетное значение показателя надежности;
R - требуемое значение показателя надежности.
Для норм, ограниченных сверху, соотношение имеет вид

.
1.11. При использовании экспериментальных и расчетно-экспериментальных методов контроля показателей надежности принятие решения о соответствии или несоответствии изделия (совокупности изделий) заданным требованиям надежности осуществляют по двум уровням (приемочному и браковочному) на основе решающих правил, приведенных в
Приложении 7.
При контроле надежности по доверительным границам используют результаты определительных испытаний на надежность.
В обоснованных случаях допускается контроль по одному браковочному уровню

с использованием риска потребителя

. В этом случае при контроле по доверительным границам применяют следующее решающее правило:
решение о соответствии показателя надежности изделия установленным нормам, ограниченным снизу, принимают, если выдерживается соотношение

,
где

- нижняя граница одностороннего доверительного интервала уровня

;

- браковочный уровень показателя надежности;

- риск потребителя.
Для норм, ограниченных сверху, соотношение имеет вид

,
где

- верхняя граница одностороннего доверительного интервала уровня

.
В противном случае принимают решение о несоответствии показателя надежности изделия установленным нормам.
1.12. Решение о соответствии или несоответствии надежности изделия установленным требованиям принимают на основе решений, принятых по отдельным показателям надежности. Решение о соответствии принимают при положительных решениях по всем показателям надежности, решение о несоответствии - при наличии хотя бы одного отрицательного решения.
2. ТРЕБОВАНИЯ К РАСЧЕТНЫМ МЕТОДАМ КОНТРОЛЯ
ПОКАЗАТЕЛЕЙ НАДЕЖНОСТИ
Раздел 2 исключен с 1 января 1997 года. -
ГОСТ 27.301-95, введенный в действие Постановлением Госстандарта СССР от 26.06.1996 N 430.
3. ТРЕБОВАНИЯ К ЭКСПЕРИМЕНТАЛЬНЫМ МЕТОДАМ КОНТРОЛЯ
ПОКАЗАТЕЛЕЙ НАДЕЖНОСТИ
3.1. Экспериментальные методы являются основными для контроля показателей надежности во всех случаях, кроме указанных в
пп. 2.1 и
4.1.
3.2. Число невосстанавливаемых объектов для испытаний устанавливают в соответствии с
Приложением 7.
Число восстанавливаемых объектов для испытаний устанавливают с учетом условия получения за время испытаний наработки, достаточной для контроля показателей надежности с заданными точностью и достоверностью.
3.3. При контроле конкретных показателей надежности все отказы изделий, зафиксированные при испытании или эксплуатации, подразделяют на учитываемые и неучитываемые, при этом не учитывают отказы:
зависимые, возникшие одновременно с независимыми;
вызванные воздействием внешних факторов, не предусмотренных в ТЗ и ТУ на изделие;
вызванные нарушением обслуживающим персоналом инструкций по эксплуатации, техническому обслуживанию и ремонту.
При необходимости проводят предварительную обработку данных испытаний для выявления выпадающих значений, проверки однородности, независимости и вида распределения.
Обработка данных контрольных испытаний должна обеспечивать определение соответствия продукции требованиям нормативно-технических документов с указанием вероятностей ошибок при принятии решения о соответствии или несоответствии испытуемых изделий указанным требованиям.
3.4. Испытания на надежность опытных образцов
3.4.1. Испытания на надежность опытных образцов изделий проводят в составе предварительных и (или) приемочных испытаний.
3.4.2. Испытания на надежность проводят по ускоренному методу, если определены:
принцип и метод ускорения испытаний;
режимы ускоренных испытаний;
расчетные формулы и (или) коэффициенты, позволяющие привести данные и результаты ускоренных испытаний к нормальным условиям испытаний.
3.4.3. Испытания на надежность проводят по программам и методикам, утвержденным (методикам - аттестованным) в установленном порядке.
3.4.4. Программы испытаний на надежность разрабатывают на основе технического задания и конструкторской документации в соответствии с требованиями настоящего стандарта, типовых программ испытаний на надежность (при наличии) и других нормативно-технических документов по организации и проведению испытаний.
Типовые программы испытаний на надежность составляют на основе анализа опыта разработки, испытаний и эксплуатации групп однородной продукции в соответствии с требованиями настоящего стандарта и нормативно-технических документов по организации и проведению испытаний.
3.4.5. Программы испытаний на надежность должны содержать условия, определяющие готовность к проведению испытаний, порядок завершения отдельных этапов и условия перехода к каждому последующему этапу испытаний на надежность.
Программы испытаний на надежность не должны содержать положения, разрешающие выполнение в процессе проведения испытаний наладочных, настроечных, регулировочных и т.п. работ, не предусмотренных эксплуатационной документацией, а также не должны допускать упрощения, приводящие к снижению достоверности результатов.
3.4.6. Методики испытаний разрабатывают на основе технического задания и конструкторской документации, типовых методик испытаний на надежность (при наличии) с учетом особенностей изделия, условий проведения испытаний, свойств конкретных типов или экземпляров средств измерений и испытательного оборудования и других факторов, обеспечивающих в совокупности необходимую точность, воспроизводимость и (или) достоверность результатов.
Типовые методики испытаний на надежность разрабатывают на основе опыта разработки, испытаний и эксплуатации групп однородной продукции в соответствии с требованиями настоящего стандарта.
3.4.7. Примерное содержание разделов программ и методик испытаний на надежность приведено в
Приложениях 3 и
5.
3.4.8. Требования к оформлению программ и методик испытаний на надежность приведены в
Приложении 6.
3.4.9. По согласованию между потребителем (заказчиком) и разработчиком изделий допускается совмещать испытания на надежность с другими видами испытаний. При этом специальные образцы для испытаний на надежность не выделяют и учитывают для контроля надежности данные о наработках и отказах изделий в процессе всех испытаний, предусмотренных в программе испытаний.
3.4.10. Техническое обслуживание и ремонт испытуемых опытных образцов должен проводить в соответствии с требованиями эксплуатационной и ремонтной документации персонал, прошедший предварительную подготовку и назначенный на эти работы.
Если в процессе испытаний на надежность выявлены недостатки или некомплектность эксплуатационной и ремонтной документации, то разработчик устраняет недостатки и согласовывает изменения в установленном порядке.
3.4.11. Результаты испытаний оформляют и утверждают в установленном порядке протоколом (актом), в который включают:
наименование продукции;
код продукции по классификатору СЭВ;
код продукции по национальному классификатору;
наименование предприятия-изготовителя, адрес (страна, город, почтовый индекс и др.);
сведения о продукции (тип, марка, основные параметры и т.п.);
цель испытаний;
число испытанных образцов (номер изделия, номер партии, дата изготовления);
наименование предъявителя образцов для испытаний (наименование органа, номер и дата сопроводительного письма, документа и др.);
ссылку на программу и методику испытаний;
перечень наблюдавшихся отказов и их классификацию;
выявленные причины отказов (с указанием методов анализа) и нетехнологичность при техническом обслуживании и ремонте;
обработанные результаты испытаний;
выводы о соответствии опытных образцов изделий заданным требованиям и значения достигнутых показателей;
выводы о правильности и достаточности номенклатуры критериев отказа и предельного состояния;
рекомендации по доработке изделий с целью повышения или достижения заданного уровня надежности.
3.5. Испытания на надежность установочной серии изделий
3.5.1. На этапе постановки изделий на производство проводят контрольные испытания на надежность установочной серии изделий или первой промышленности партии.
3.5.2. Программа и методика испытаний на надежность должны содержать данные, указанные в
пп. 3.4.3 -
3.4.8.
3.5.3. Протокол испытаний (акт) должен содержать данные, указанные в
п. 3.4.11.
3.6. Испытания изделий на надежность на этапе серийного производства
3.6.1. Испытания на надежность серийных изделий проводят в составе периодических и типовых испытаний.
3.6.2. Контрольные испытания на надежность проводят по методике, содержащейся в технических условиях (в разделах "Методы испытаний" и "Приемка"), или по отдельным методикам.
3.6.3. В методику проведения контрольных испытаний на надежность в составе периодических испытаний дополнительно к данным по
п. 3.4.7 должны быть включены:
периодичность проведения испытаний;
метод и планы испытаний;
число испытуемых изделий;
правила отбора изделий в выборку для испытаний;
режимы испытаний;
перечень контролируемых параметров и периодичность их проверки;
перечень необходимого испытательного и контрольного измерительного оборудования;
номенклатура и значения параметров для решения о принятии или отбраковки испытуемых изделий;
порядок учета и статистического анализа отказов (предельных состояний);
порядок выявления причин отказов;
порядок проведения технического обслуживания и ремонта испытуемых изделий.
3.6.4. Периодичность контрольных испытаний на надежность устанавливают в зависимости от контролируемых показателей и числа выпускаемых изделий, с учетом возможности завершения предыдущего цикла испытаний к началу очередного цикла и необходимого резерва времени для технического обслуживания и ремонта испытательного оборудования.
3.6.5. Число серийных изделий, выделяемых для контрольных испытаний на надежность, определяют в соответствии с
п. 3.2.
3.6.6. Если периодичность контрольных испытаний на надежность установлена более одного года или постановка на испытания требуемого числа образцов невозможна по техническим или экономическим причинам, то допускается в обоснованных случаях (по согласованию с потребителем (заказчиком) контролировать надежность по результатам объединения информации, получаемой при испытаниях, с данными эксплуатации.
Критерии перехода к такому порядку контроля надежности конкретных видов изделий должны быть приведены в нормативно-технических документах на указанные изделия.
3.6.7. Протокол испытаний (акт) должен содержать данные, указанные в
п. 3.4.11.
4. ТРЕБОВАНИЯ К РАСЧЕТНО-ЭКСПЕРИМЕНТАЛЬНЫМ МЕТОДАМ
КОНТРОЛЯ ПОКАЗАТЕЛЕЙ НАДЕЖНОСТИ
4.1. Расчетно-экспериментальные методы применяют, если по техническим, экономическим или организационным причинам невозможно или нецелесообразно применять для этой цели экспериментальные методы, например:
для контроля комплексных показателей надежности, если объем испытаний не позволит проконтролировать указанные показатели экспериментальными методами с заданными точностью и достоверностью (рисками);
для контроля надежности изделий, размеры и особенности функционирования которых или требования безопасности не позволяют испытывать их в полном составе;
для контроля надежности уникальных изделий.
Отнесение изделий к уникальным определяют в отраслевой документации.
Расчетно-экспериментальные методы также применяют во всех случаях, когда это позволяет существенно сократить необходимый объем испытаний (например, для резервированных систем, при наличии дополнительных данных о надежности изделий и т.п.).
Применение расчетно-экспериментальных методов должно быть обосновано и согласовано с потребителем (заказчиком).
4.2. В качестве дополнительных данных используют разнородную информацию о надежности изделия, накапливаемую в процессе разработки, производства, испытаний и эксплуатации изделия.
Рекомендуемые источники дополнительной информации, в зависимости от стадии жизненного цикла изделия, приведены в табл. 1.
Таблица 1
Источники экспериментальной информации о надежности
на различных стадиях жизненного цикла изделия
Стадия жизненного цикла изделия | Источник основной информации | Источник дополнительной информации |
Исследование и обоснование разработки, разработка | Предварительные испытания | Испытания и (или) эксплуатация изделия-прототипа. Испытания и (или) эксплуатация изделий-аналогов |
Приемочные испытания | Исследовательские испытания изделия. Испытания и (или) эксплуатация изделия-прототипа. Испытания и (или) эксплуатация изделий-аналогов. Испытания изделия в процессе отработки (доводочные испытания) |
Производство | Квалификационные, периодические, типовые и самостоятельные испытания | Предыдущие приемосдаточные и приемочные испытания изделия. Типовые испытания изделия или его модернизированных составных частей. Эксплуатация изделия. Испытания и (или) эксплуатация изделия-прототипа |
Эксплуатация | Эксплуатационные испытания | Испытания и (или) эксплуатация изделия-прототипа. Испытания и (или) эксплуатация изделий-аналогов |
4.3. Контроль показателей надежности проводят по методикам, включающим:
номенклатуру и число составных частей, проходящих автономные испытания;
требования к точности и достоверности контроля показателей надежности составных частей;
методику автономных испытаний составных частей;
цели, задачи и объем испытаний изделий (если предполагается их проведение), условия и режимы их проведения, перечень и требования к точности контроля параметров изделия при испытаниях;
расчетную схему надежности изделия и принятые при ее составлении допущения;
предполагаемый вид законов распределения наработки до отказа (между отказами) и (или) до предельного состояния, продолжительности восстановления и т.п. составных частей, при необходимости;
порядок и правила использования информации, имеющейся на этапе разработки (производства) изделий, в том числе данных эксплуатации и ремонта и т.д.;
формулы или машинные алгоритмы и программы для расчета показателей надежности;
правила принятия решения о соответствии или несоответствии изделий (совокупности изделий) установленным требованиям к надежности;
правила оформления результатов контроля надежности.
4.4. В отчете (протоколе, акте) о результатах контроля показателей надежности изделий проводят:
выводы о соответствии или несоответствии изделия требованиям к надежности и значения достигнутых показателей;
перечень и характеристику отказов составных частей, наблюдавшихся в процессе их автономных или комплексных испытаний;
анализ причин отказов и принятые меры по их устранению;
рекомендации по доработке изделия и его составных частей с целью повышения или достижения заданного уровня надежности, предложения по уточнению состава ЗИП и норм расхода запасных частей.
Справочное
ОБОЗНАЧЕНИЯ, ПРИНЯТЫЕ В СТАНДАРТЕ
R - требуемое значение показателя надежности

- расчетное значение показателя надежности

- нижняя граница одностороннего доверительного интервала уровня


- браковочный уровень показателя надежности

- риск потребителя (заказчика)

- верхняя граница одностороннего доверительного интервала уровня


- верхняя граница одностороннего доверительного интервала уровня


- приемочный уровень показателя надежности

- риск поставщика (изготовителя)

- нижняя граница одностороннего доверительного интервала уровня

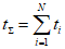
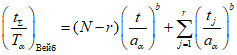
t - наработка, измеряемая в часах, циклах, километрах пробега и других единицах
v - коэффициент вариации

- продолжительность испытаний, измеряемая в единицах наработки

- браковочное значение контролируемого показателя

- приемочное значение контролируемого показателя

- предельное число отказов или отказавших объектов

- предельная суммарная наработка

- суммарная наработка
r - число отказов или число отказавших объектов

- наработка j-го из r отказавших изделий, отсчитанная от начала испытаний

- суммарная наработка i-го изделия за время испытаний

- средняя наработка на отказ
a - тангенс угла наклона линий соответствия или несоответствия на графике последовательного контроля

- точка пересечения линии несоответствия с осью ординат

- длительность восстановления работоспособного состояния после j-го из r отказов или длительность замены j-го из r отказавших образцов новым
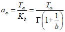
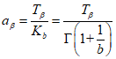
b - параметр формы распределения Вейбулла
P(t) - вероятность безотказной работы

- вероятность восстановления работоспособного состояния

- приемочный уровень вероятности безотказной работы

- браковочный уровень вероятности безотказной работы

- функция нормированного (и центрированного) нормального распределения
x - число успешных исходов испытаний

- средняя наработка до отказа

- среднее квадратическое отклонение

- гамма-процентная наработка до отказа

- квантиль нормированного (и центрированного) нормального распределения, соответствующая заданной доверительной вероятности


- ожидаемая суммарная наработка до принятия решения
n - число независимых наблюдений

- приемочное число

- точка пересечения линии соответствия с осью абсцисс

- предельное число независимых наблюдений при усеченном последовательном контроле

- предельное число отрицательных исходов при усеченном последовательном контроле

- интенсивность отказов

- обратное отношение Миллса

- коэффициент готовности

- среднее время восстановления работоспособного состояния

- браковочный уровень среднего времени восстановления

- приемочный уровень среднего времени восстановления

- браковочный уровень коэффициента готовности

- приемочный уровень коэффициента готовности

- односторонняя доверительная вероятность

- двусторонняя доверительная вероятность

- наблюдаемый риск потребителя

- наблюдаемый риск поставщика
N - объем выборки

- относительная погрешность

- квантиль

распределения

- гамма-процент

- норма показателя надежности типа T

- средний ресурс
Обязательное
ТЕРМИНЫ И ОПРЕДЕЛЕНИЯ ПЛАНОВ ИСПЫТАНИЙ НА НАДЕЖНОСТЬ
Таблица 2
──────────────────────────────┬───────────────────────────────────
Термин │ Определение
──────────────────────────────┼───────────────────────────────────
1. План испытаний [NUT]
<*> │ План испытаний, согласно которому
План [NUT] │одновременно испытывают N объектов,
│отказавшие во время испытаний
│объекты не восстанавливают и
│не заменяют, испытания прекращают
│по истечении времени испытаний или
│наработки T для каждого
│неотказавшего объекта
2. План испытаний [NUr] │ План испытаний, согласно которому
План [NUr] │испытывают одновременно N объектов,
│отказавшие во время испытаний
│объекты не восстанавливают и не
│заменяют, испытания прекращают,
│когда число отказавших объектов
│достигло r.
│ Примечание. При r = N имеем
│план [NUN]
│
3. План испытаний [NU (r, T)]│ План испытаний, согласно которому
План [NU (r, T)] │одновременно испытывают N объектов,
│отказавшие во время испытаний
│объекты не восстанавливают и не
│заменяют, испытания прекращают,
│когда число отказавших объектов
│достигло r или при истечении
│времени испытаний или наработки
│T каждого неотказавшего объекта в
│зависимости от того, какое из этих
│условий выполнено ранее
4. План испытаний [NRT] │ План испытаний, согласно которому
План [NRT] │одновременно начинают испытания N
│объектов, отказавшие во время
│испытаний объекты заменяют новыми,
│испытания прекращают при истечении
│времени испытаний или наработки
│T для каждой из N позиций.
│ Примечание. Каждый из N
│объектов занимает определенную
│позицию (стенд, испытательную
│площадку и т.д.), применительно
│к которой в дальнейшем исчисляется
│продолжительность испытаний T
│независимо от замен объектов,
│отказавших на данной позиции
│
5. План испытаний [NRr] │ План испытаний, согласно которому
План [NRr] │одновременно начинают испытания
│N объектов, отказавшие во время
│испытаний объекты заменяют новыми,
│испытания прекращают, когда число
│отказавших объектов, суммарное по
│всем позициям, достигло r
6. План испытаний [NR (r, T)]│ План испытаний, согласно которому
План (NR (r, T)] │одновременно начинают испытания
│N объектов, отказавшие во время
│испытания объекты заменяют новыми,
│испытания прекращают, когда число
│отказавших объектов, суммарное по
│всем позициям, достигло r или при
│истечении времени испытаний, или
│наработки T в каждой позиции в
│зависимости от того, какое из этих
│условий выполнено ранее
7. План испытаний [NMT] │ План испытаний, согласно которому
План [NMT] │одновременно испытывают N объектов,
│после каждого отказа объект
│восстанавливают, каждый объект
│испытывают до истечения времени
│испытаний или наработки T
8. План испытаний [NMT ] │ План испытаний, согласно которому
сумма │одновременно испытывают N объектов,
План [NMT ] │после каждого отказа объект
сумма │восстанавливают, испытания
│прекращают при истечении суммарного
│по всем объектам времени испытаний
│или наработки T
│ сумма
9. План испытаний [NMr] │ План испытаний, согласно которому
План [NMr] │одновременно испытывают N объектов,
│после каждого отказа объект
│восстанавливают, испытания
│прекращают, когда суммарное по всем
│объектам число отказов достигло r
10. План испытаний │ План испытаний, согласно которому
[NM (r, T )] │одновременно испытывают N объектов,
сумма │после каждого отказа объект
План [NM (r, T )] │восстанавливают, испытания
сумма │прекращают, когда суммарное по всем
│объектам число отказов достигло r
│или при истечении суммарного по
│всем объектам времени испытаний
│или наработка T в зависимости
│ сумма
│от того, какое из этих условий
│выполнено ранее
11. План испытаний │ План испытаний, согласно которому
[NU (r , n ), (r , n ) ... │одновременно испытывают N объектов,
1 1 2 2 │отказавшие во время испытаний
(r , n ), r ] │объекты не восстанавливают и не
к-1 к-1 к │заменяют, после возникновения r
План │ 1
[NU (r , n ), (r , n ) ... │отказов с испытаний снимают n
1 1 2 2 │ 1
(r , n ), r ] │неотказавших объектов, после
к-1 к-1 к │возникновения r отказов с
│ 2
│испытаний снимают n неотказавших
│ 2
│объектов и т.д., испытания
│прекращают после возникновения
│r отказов
│ к
12. План испытаний │ План испытаний, согласно которому
[NU (T , n ), (T , n ) ... │одновременно испытывают N объектов,
1 1 2 2 │отказавшие во время испытаний
(T , n ), T ] │объекты не восстанавливают и не
к-1 к-1 к │заменяют, при истечении времени или
План │наработки T с испытаний снимают
[NU (T , n ), (T , n ) ... │ 1
1 1 2 2 │n неотказавших объектов (если
(T , n ), T ] │ 1
к-1 к-1 к │число неотказавших объектов больше
│n , в противном случае испытания
│ 1
│прекращают) и т.д. испытания
│прекращают при истечении времени
│или наработки T
│ к
13. План испытаний [NUz] │ План испытаний, согласно которому
План [NUz] │одновременно испытывают N объектов;
│отказавшие во время испытаний
│объекты не восстанавливают и не
│заменяют, каждый объект испытывают
│в течение наработки z , где
│ i
│z = min (t тау )
│ i i i
│Здесь i = 1, 2 ... N;
│ t - наработка до отказа i-го
│ i
│объекта;
│ тау - наработка до снятия с
│ i
│испытаний работоспособного i-го
│объекта
14. План испытаний [NUS] │ План испытаний, согласно которому
План [NUS] │последовательно или одновременно
│испытывают N объектов; отказавшие
│во время испытаний объекты не
│восстанавливают и не заменяют; по
│суммарному времени испытаний или
│наработке и числу отказов в любой
│момент принимают решение о приемке,
│браковке или продолжении испытаний.
│Испытания прекращают решением
│о приемке или браковке
15. План испытаний [NRS] │ План испытаний, согласно которому
План [NRS] │последовательно или одновременно
│испытывают N объектов, отказавшие
│во время испытаний объекты заменяют
│новыми; по суммарному времени
│испытаний или наработке и числу
│отказов в любой момент принимают
│решение о приемке, браковке или
│продолжении испытаний; испытания
│прекращают решением о приемке или
│браковке
16. План испытаний [NMS] │ План испытаний, согласно которому
План [NMS] │последовательно или одновременно
│испытывают N объектов; после
│каждого отказа объект
│восстанавливают; по суммарному
│времени испытаний или наработке
│и числу отказов в любой момент
│принимают решение о приемке,
│браковке или продолжении испытаний;
│испытания прекращают решением
│о приемке или браковке
--------------------------------
<*> Буквы U, R, M в обозначениях планов испытаний указывают степень и характер восстановления объектов.
U - невосстанавливаемые и незаменяемые при испытаниях в случае отказа;
R - восстанавливаемые, но заменяемые при испытаниях в случае отказа;
M - восстанавливаемые при испытаниях в случае отказа;
N - объем выборки;
T - время испытаний или наработка;
r - число отказов или отказавших объектов;

- суммарное время испытаний или суммарная наработка;
S - принятие решения при последовательных испытаниях.
Рекомендуемое
ПРИМЕРНОЕ СОДЕРЖАНИЕ ПРОГРАММЫ ИСПЫТАНИЙ НА НАДЕЖНОСТЬ
1. Типовые программы испытаний на надежность содержат вводную часть, которая заменяет раздел "Объект испытаний" и не имеет ни заголовка, ни нумерации. Во вводной части указывают область распространения программы испытаний на надежность, особенности функционирования и испытаний данной группы однородной продукции, возможные ограничения по применению типовой программы испытаний на надежность.
2. В разделе "Объект испытаний" программы испытаний на надежность указывают:
полное наименование изделия, его индекс и обозначение по чертежу, а также стадию разработки;
число испытуемых объектов и порядок их отбора;
изготовителя объектов;
комплектность испытуемых объектов;
наработку объектов до начала испытаний;
перечень составных частей, замена которых предусмотрена в процессе испытаний.
3. В разделе "Цель испытаний" указывают конкретные цели и задачи, которые должны быть достигнуты и решены в процессе испытаний на надежность.
4. В разделе "Общие положения" указывают:
перечень руководящих документов, на основании которых проводят испытания;
периодичность, место и продолжительность проведения испытаний;
организации (предприятия), участвующие в испытаниях;
перечень ранее проведенных испытаний, включающих испытания на надежность;
перечень представляемых на испытания документов, откорректированных по результатам ранее проведенных испытаний и характеризующих степень отработки изделия.
5. В разделе "Объем испытаний" указывают:
перечень этапов испытаний и проверок, номенклатуру и значения показателей надежности, подлежащих контролю;
виды испытаний для контроля каждого показателя, последовательность их проведения и режимы испытаний;
исходные данные для планирования испытаний каждого вида или непосредственно планы контроля показателей (тип плана, объем выборки, правила принятия решения);
перечень видов и операций технического обслуживания и ремонта;
перечень и критерии отказов (предельных состояний) изделий, учитываемых при контроле показателей надежности;
содержание и порядок подготовки изделий к испытаниям;
требования к наработке испытуемых образцов в процессе испытаний. При проведении испытаний нескольких образцов (партии образцов) должно быть указано их распределение по видам испытаний, а для изделий многократного применения - число циклов функционирования на каждом виде и режиме испытаний;
перечень работ, проводимых после завершения испытаний, требования к ним, объем и порядок проведения, в том числе:
осмотр (без разборки или с разборкой) и описание состояния испытуемых образцов;
фотографирование, при необходимости, образцов, их узлов, деталей, мест коррозии, а также характерных повреждений и поломок.
В разделе могут быть даны рекомендации по использованию образцов после испытаний (уничтожение, возможность или ограничение по дальнейшему использованию, использование в качестве экспоната и т.п.). В типовых программах испытаний на надежность приводят типовой перечень проверок, подлежащих включению в программы испытаний на надежность.
Перечень видов и операций при техническом обслуживании и текущем ремонте устанавливается в соответствии с инструкциями (правилами) по техническому обслуживанию и текущему ремонту.
Перечень операций неплановых текущих ремонтов определяется перечнем возможных отказов, приведенных в эксплуатационной документации, с учетом опыта эксплуатации изделий, их аналогов и прототипов, и перечнем запасных частей, прилагаемых в ЗИП данного изделия.
Перечень операций при ремонте определяется ремонтной документацией, разрабатываемой в соответствии с требованиями нормативно-технической документации при условии его проведения на основе замены дефектных деталей и сборочных единиц на новые или восстановленные без учета работ на их восстановление.
Учет объема работ по восстановлению деталей и сборочных единиц для определения значений показателей ремонтопригодности допускается только в том случае, когда их восстановление осуществляется по стандартизованной документации, согласованной с разработчиком (изготовителем).
6. В разделе "Условия и порядок проведения испытаний" указывают: условия проведения испытаний (характеристика места испытаний, время года и суток, температура окружающей среды, температурный градиент, давление и влажность окружающей среды, скорость ветра, запыленность, уровень радиации и вибрации и т.д.) с оценкой, при необходимости, степени их приближения к условиям эксплуатации, заданным в техническом задании и нормативно-технической документации, а также допустимые значения отклонения условий испытаний от заданных:
условия начала и завершения отдельных этапов испытаний;
ограничения на условия проведения испытаний;
порядок и правила контроля показателей надежности, указанные в виде ссылок на нормативно-техническую документацию, регламентирующие методы испытаний на надежность изделий конкретного вида;
требования к техническому обслуживанию и ремонту образцов в процессе испытаний, периодичность и место проведения;
перечень средств технологического оснащения, используемых при испытаниях, и порядок их подготовки к применению;
меры, обеспечивающие безопасность и безаварийность проведения испытаний, включая использование средств оперативной технической диагностики и аварийной защиты объекта испытаний;
порядок взаимодействия организаций (предприятий), участвующих в испытаниях;
порядок привлечения экспертов для исследования отказов испытуемых образцов в процессе проведения испытаний;
требования к квалификации, опыту по уровню ознакомления с изделием и численности персонала, проводящего испытания, техническое обслуживание и ремонт, порядок его допуска к испытаниям, при необходимости. Меры, обеспечивающие безопасность и безаварийность проведения испытаний, рекомендуется оформлять в виде подраздела "Требования безопасности труда", в котором указывают основные требования к обеспечению безопасности труда в соответствии с требованиями конструкторской документации, стандартов системы безопасности труда и другой нормативно-технической документации по технике безопасности.
7. В разделе "Материально-техническое обеспечение испытаний" указывают конкретные виды материально-технического обеспечения с распределением задач и обязанностей организаций (предприятий), участвующих в испытаниях, по видам обеспечения, а также устанавливают сроки готовности материально-технического обеспечения. В разделе могут быть выделены подразделы: материально-техническое, математическое, бытовое обеспечение; обеспечение секретности, обеспечение документацией.
В зависимости от сложности испытуемых объектов в обоснованных случаях данный раздел может быть представлен несколькими разделами по видам обеспечения испытаний или вынесен в приложение к программе испытаний.
8. В разделе "Метрологическое обеспечение испытаний" проводят перечень мероприятий по метрологическому обеспечению испытаний с распределением задач и ответственности организаций (предприятий), участвующих в испытаниях, за выполнение соответствующих мероприятий.
9. В разделе "Отчетность" указывают:
перечень отчетных документов, которые должны оформлять в процессе испытаний и по их завершении, с указанием организаций и предприятий, разрабатывающих, согласующих и утверждающих их, и сроки оформления этих документов;
перечень организаций для рассылки отчетной документации;
порядок, место и сроки хранения первичных материалов испытаний.
К числу отчетных документов относят протокол и отчет о результатах испытаний, акт технического состояния объектов после испытаний, материалы первичной документации по усмотрению комиссии, акт на списание материальной части, при необходимости.
10. В разделе "Приложения" указывают перечень методик испытаний, математических и комплексных моделей, применяемых для контроля характеристик объектов испытаний.
Рекомендуемое
ПРИМЕНЯЕМОСТЬ ИСПЫТАНИЙ НА НАДЕЖНОСТЬ
Таблица 3
─────────┬────────────────────────────────────────────────────────
Контро- │ Контроль при испытаниях
лируемое ├─────────┬─────────┬─────────┬────────┬────────┬────────
свойство │предва- │приемоч- │квалифи- │приемо- │периоди-│типовых
надеж- │рительных│ных │кационных│сдаточ- │ческих │
ности │ │ │ │ных │ │
─────────┼─────────┼─────────┼─────────┼────────┼────────┼────────
Безот- │Проводят │Проводят │Проводят │Проводят│Проводят│Проводят
казность │(нормаль-│(нормаль-│(нормаль-│
<**> │(нор- │(нор-
│ные или │ные или │ные или │(нор- │мальные │мальные
│ускорен- │ускорен- │ускорен- │мальные)│или ус- │или ус-
│ные) │ные) │ные) │ │корен- │корен-
│ │ │ │ │ные) │ные)
─────────┼─────────┼─────────┼─────────┼────────┼────────┼────────
Ремон- │Проводят │Проводят │Проводят │Не │Проводят│Проводят
топри- │(ускорен-│(ускорен-│(ускорен-│проводят│(уско- │(уско-
годность │ные) │ные) │ные) │ │ренные) │ренные)
│ │ │ │ │по тре- │
│ │ │ │ │бованию │
│ │ │ │ │заказ- │
│ │ │ │ │чика │
─────────┼─────────┴─────────┼─────────┼────────┼────────┴────────
Долго- │ Проводят │Не │Не │ Проводят
вечность │ самостоятельные │проводят │проводят│ самостоятельные
Сохра- │ (ускоренные или │
<*> │ │ (ускоренные или
няемость │ нормальные) │ │ │ нормальные)
─────────┼─────────┬─────────┼─────────┼────────┼────────┬────────
Несколь-│Проводят │Проводят │Проводят │Не │Проводят│Проводят
ко │ │ │ │проводят│ │
свойств │ │ │ │ │ │
--------------------------------
<*> По требованию заказчика допускается проводить испытания установочной серии изделий на долговечность и сохраняемость как самостоятельные испытания (ускоренные или нормальные).
<**> Только для изделий кратковременного действия.
Рекомендуемое
ПРИМЕРНОЕ СОДЕРЖАНИЕ МЕТОДИКИ ИСПЫТАНИЙ НА НАДЕЖНОСТЬ
1. Типовые методики испытаний на надежность содержат вводную часть, которая заменяет раздел "Объект испытаний" и не имеет ни заголовка, ни нумерации. Во вводной части указывают область распространения методики испытаний, особенности функционирования данной группы однородной продукции, возможные ограничения по применению методики испытаний.
2. В разделе "Объект испытаний" методики испытаний указывают наименование, индекс и состав объекта испытаний, а также особенности его функционирования, существенные для применения методики.
3. В разделе "Цель испытаний" указывают конечную цель проверки показателей надежности и перечень заключений, которые могут явиться результатами испытаний.
4. В разделе "Общие положения" должны быть проведены:
определения контролируемых показателей надежности, если они не определены в стандарте или другой нормативно-технической документации, регламентирующей терминологию;
обоснование избранного метода испытаний;
поясняющие сведения, относящиеся к объекту испытаний.
5. В разделе "Контролируемые показатели и расчетные соотношения" должны быть приведены:
перечень показателей надежности, подлежащих контролю;
критерии отказа и предельного состояния;
планы испытаний для каждого контролируемого показателя надежности, предусмотренного в программе испытаний;
расчетные соотношения и формулы (математическая модель), по которым рассчитывают контролируемые показатели. Соотношения и формулы должны быть приведены в конечном виде (без выводов) с объяснениями символов, обозначений и коэффициентов;
в методике проведения контрольных испытаний на надежность должны быть приведены правила принятия решений о соответствии или несоответствии показателей надежности заданным в техническом задании или технических условиях.
При наличии качественной характеристики указывают метод ее оценки.
6. В разделе "Условия и порядок проведения испытаний" должны быть указаны:
условия проведения испытаний на надежность (продолжительность, периодичность, цикличность испытаний и последовательность воспроизведения внешних воздействий);
требования к квалификации обслуживающего персонала;
требования техники безопасности;
особенности функционирования испытуемых и привлекаемых к испытаниям средств, порядок их взаимодействия;
порядок учета наработки объектов испытаний и времени их проверки;
условия содержания, технического обслуживания, диагностирования и режимы работы испытуемых образцов;
технологическая документация на проведение каждого вида технического обслуживания и ремонта, подготовленная разработчиком (изготовителем) изделия или согласованная с ним, предусматривающая последовательность выполнения операций технического обслуживания и ремонта и сетевые графики их проведения;
перечень и характеристика средств технического обслуживания и ремонта, оборудования, оснастки, приспособлений, инструмента, используемых при испытаниях на ремонтопригодность из перечня рекомендуемых разработчиком (изготовителем) и прилагаемых к изделиям, а также потребных дополнительно;
характеристика условий проведения испытаний на ремонтопригодность и ремонтная документация, при необходимости;
наработка каждого образца в различных режимах работы и (или) суммарная наработка образцов в процессе испытаний;
методы контроля объекта испытаний (внешний осмотр, проведение измерений и др.);
последовательность выполнения операций при проверках с указанием контрольных точек, способов и числа измерений, используемых средств измерений и описанием выполняемых регулировок, операций с переключателями, схем расположения и включения приборов.
Если в процессе испытаний используют метод моделирования, то должны быть указаны принцип моделирования, порядок применения результатов моделирования, принцип и метод проверки совместимости результатов моделирования с результатами натурных экспериментов. Например, при использовании методов испытаний с создаваемой или предполагаемой необходимостью проведения технического обслуживания и ремонта указывают способ подготовки изделий к испытаниям и внесения повреждений.
7. В разделе "Обработка, анализ и оценка результатов испытаний" должны быть указаны:
источники и порядок применения статистических данных, накопленных до начала испытаний;
объем обрабатываемой информации;
методы статистической обработки результатов испытаний, применяемые в методике;
способы обработки информации с указанием их места в процессе обработки;
требования к виду обработанной информации;
требования к точности обработки информации (доверительные вероятности, допускаемые относительные погрешности, риски поставщика и потребителя, браковочные и приемочные уровни контролируемых показателей);
порядок и последовательность проведения анализа результатов, полученных на выходе системы обработки, а также экспресс-анализа;
объем исходных данных с требованиями, заданными в программе испытаний;
критерии соответствия (несоответствия) изделий заданным требованиям к надежности;
критерии достаточности объема испытаний.
8. В разделе "Материально-техническое и метрологическое обеспечение испытаний" для обеспечения выполнения конкретного пункта программы испытаний указывают:
состав технических средств с указанием их наименований и шифров;
перечень средств измерений и регистрации с указанием наименований, шифров, число экземпляров по видам;
перечень необходимой конструкторской и другой технической документации;
состав имитирующих и моделирующих средств с указанием наименований, шифров и числа;
перечень и количество материалов, в том числе расходных, необходимых для проведения испытаний;
состав привлекаемых транспортных средств и другие виды материально-технического обеспечения, при необходимости;
порядок подготовки и использования материально-технических средств в процессе испытаний.
9. В разделе "Отчетность" приводят требования к объему сведений, подлежащих отражению в протоколе (
п. 3.4.11) по каждому пункту программы испытаний.
Рекомендуемое
ПРАВИЛА РАЗРАБОТКИ И ОФОРМЛЕНИЯ ПРОГРАММЫ
И МЕТОДИК ИСПЫТАНИЙ НА НАДЕЖНОСТЬ
1. Типовые программы и методики испытаний на надежность разрабатывают для групп однородной продукции с целью унификации и повышения научно-технического уровня разрабатываемых программ и методик испытаний на надежность, а также сокращения сроков создания и трудозатрат на их разработку. Типовые программы и методики испытаний должны содержать общие для группы однородной продукции требования к проведению испытаний на надежность и устанавливать общие требования к содержанию программ и методик испытаний на надежность.
2. Рабочие программы и методики испытаний на надежность разрабатывают для испытаний определенных видов продукции и отдельных изделий, а также для групп продукции, специфика проведений испытаний на надежность которых зависит только от общих свойств групп продукции. Для проведений испытаний на надежность применяют программу и методику, которую разрабатывают вне зависимости от наличия или отсутствия типовой программы и методики испытаний на надежность.
3. Программы и методики, регламентируемые настоящим стандартом, применяют для:
самостоятельно проводимых испытаний, являющихся частью испытаний другого вида (например, предварительных, приемочных, периодических, типовых и т.п.);
контрольных испытаний;
испытаний, проводимых в контролируемых условиях (лабораторные, стендовые, полигонные испытания) или в неконтролируемых, но известных условиях (эксплуатационные испытания).
4. Программы и методики испытаний должны предусматривать применение прогрессивных, экономически обоснованных методов проведения испытаний с использованием результатов теоретических и экспериментальных работ по созданию опытного образца моделирования процессов испытаний для наиболее эффективной и достоверной оценки соответствия испытуемых образцов требованиям к надежности, заданным в техническом задании и технических условиях, результатов эксплуатации и методов ускоренных испытаний (в технически обоснованных случаях) при проведении испытаний, имеющих большую продолжительность (испытания на долговечность и сохраняемость).
5. В зависимости от специфики изделий, числа и объема проверок программа и методика испытаний на надежность могут являться составной частью программы и методики испытаний другого вида, быть оформлены в виде единого документа, состоящего из двух частей: "Типовая программа испытаний на надежность" и "Типовая методика (методики) испытаний на надежность", или как самостоятельные документы.
Допускается оформлять методику испытаний на надежность как приложение к программе испытаний.
6. При оформлении программы и методики испытаний в виде единого документа в методике испытаний допускается исключать вопросы, дублирующие аналогичные разделы (пункты) программы испытаний.
7. При проведении испытаний на надежность в несколько этапов программы испытаний должны быть оформлены в виде единого документа. Если одну часть испытаний проводит разработчик (изготовитель) в своей организации, а другую часть - в организации заказчика (потребителя), то допускается оформлять программы испытаний в организации заказчика как самостоятельные части единых программ.
Когда цели и задачи этапов испытаний на надежность существенно различаются и сроки их проведения не совпадают по времени, допускается составлять самостоятельные программы испытаний для каждого из этапов.
8. Программы испытаний изделий (систем) могут включать программы испытаний составных частей, испытуемых в составе изделий (систем).
9. Программы и методики испытаний на надежность выполняют машинописным или типографским способом и оформляют в соответствии с общими требованиями к текстовым конструкторским документам.
Номера листов (страниц) следует проставлять в верхней части листа (над текстом).
10. Программы и методики испытаний на надежность должны оформлять в виде отдельных брошюр или книг. При этом порядок их компоновки должен быть следующим:
обложка (переплет);
титульный лист (первый лист документа);
содержание;
основной текст документа;
приложения.
11. Обложку применяют в документах, имеющих объем до 50 листов. При объеме более 50 листов следует переплетать документы.
На обложке (переплете) должны быть указаны организация, выпустившая документ, его наименование и год выпуска.
12. Наименование типовой программы и методики испытаний должно состоять из заголовка, дающего общее определение группы однородной продукции, на которые распространяется документ, и подзаголовка с указанием вида испытаний. Например: "Автомобили легковые. Типовая программа и методика ресурсных испытаний", "Автобусы. Типовая программа испытаний на надежность", "Автомобили грузовые. Типовая методика испытаний на безотказность".
13. Наименование программы и методики испытаний должно состоять из заголовка, содержащего полное наименование изделия, его индекса и подзаголовка с указанием вида испытаний. Например: "Автобус ПАЗ-672. Рабочая программа ресурсных испытаний", "Автомобиль ВАЗ-2121. Рабочая методика испытаний на надежность".
14. Утверждающие и согласующие подписи помещают на титульном листе: подписи потребителя (заказчика) и его организаций - слева, а организаций (предприятий) разработчиков (изготовителей) - справа.
Расположение согласующих подписей должно соответствовать уровням утверждающих и подписывающих должностных лиц. Если не все согласующие подписи можно поместить на титульном листе, допускается их располагать на отдельном листе, следующем за титульным листом и являющемся его продолжением. При этом на втором листе в верхнем правом углу указывают: "Продолжение титульного листа".
___________________________________________________________________________
наименование документа
15. Подписи разработчиков программ и методик испытаний помещают на последнем листе основного текста документа. Визы должностных лиц, если они необходимы, помещают на поле подшивки этого листа.
16. Титульный лист второй и последующих частей (книг) оформляют в соответствии с требованиями
п. 14. Ниже наименования документа помещают текст:
"Часть __________________". Утверждающие и согласующие подписи не
номер части
проставляют.
17. При разработке отдельных частей (книг) программ и методик испытаний на надежность соисполнителями по поручению разработчика документа соисполнители подписывают последний лист этой части (книги).
Обязательное
ПЛАНЫ КОНТРОЛЬНЫХ ИСПЫТАНИЙ
Выбор плана контрольных испытаний определяется:
видом контролируемых показателей надежности, в том числе показателей типа T (наработка, ресурс, срок службы, срок сохраняемости, срок хранения, время восстановления и т.п.); показателей типа P (вероятность безотказной работы, безотказного хранения, восстановления за заданное время, гамма-процент для заданного значения показателей типа T и т.п.); комплексных показателей;
составом исходных данных (знание предполагаемого закона распределения наработок до отказа или предельного состояния, риска потребителя, риска поставщика, нормы, браковочного и приемочного значений показателя надежности, предполагаемого коэффициента вариации наработок до отказа или предельного состояния и т.п.);
принятым методом контроля (одноступенчатый контроль, последовательный контроль для восстанавливаемых и невосстанавливаемых изделий, контроль при помощи доверительных границ).
Одноступенчатым методом целесообразно пользоваться при жестком ограничении времени, отводимого на испытания.
Последовательным методом целесообразно пользоваться при ограниченном числе изделий, выделяемых для испытаний. Этот метод наиболее эффективен при испытаниях восстанавливаемых изделий.
Метод доверительных интервалов рекомендуется применять при использовании данных эксплуатационных наблюдений, а также для уточнения достоверности принятого решения после одноступенчатого контроля.
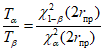
1. Контроль показателей надежности типа средняя наработка до отказа, средний ресурс, средний срок службы, средняя наработка на отказ
Исходные данные:
норма показателя -

;
предполагаемый закон распределения наработок;
риск потребителя -

;
риск поставщика -

;
браковочное значение контролируемого показателя -

;
приемочное значение контролируемого показателя -

.
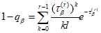
1.1. Экспоненциальное распределение
1.1.1. Одноступенчатый контроль
1.1.1.1. Параметры плана испытаний определяют по табл. 4.
Таблица 4
Планы контроля средних показателей надежности
по одноступенчатому методу
для экспоненциального распределения
──────────────────────────────────────────────────────────┬───────
альфа = бета │ r
──────────────────┬───────────────────┬───────────────────┤ пр
0,05 │ 0,10 │ 0,20 │
────────┬─────────┼─────────┬─────────┼─────────┬─────────┤
T │ t │ T │ t │ T │ t │
альфа │ max │ альфа │ max │ альфа │ max │
------ │ ------ │ ------ │ ------ │ ------ │ ------ │
T │ T │ T │ T │ T │ T │
бета │ альфа │ бета │ альфа │ бета │ альфа │
────────┼─────────┼─────────┼─────────┼─────────┼─────────┼───────
58,820 │ 0,052 │ 21,740 │ 0,105 │ 7,246 │ 0,223 │ 1
13,330 │ 0,356 │ 7,299 │ 0,532 │ 3,636 │ 0,824 │ 2
7,692 │ 0,817 │ 4,831 │ 1,102 │ 2,785 │ 1,535 │ 3
5,682 │ 1,366 │ 3,831 │ 1,745 │ 2,404 │ 2,297 │ 4
4,651 │ 1,970 │ 3,289 │ 2,432 │ 2,174 │ 3,089 │ 5
4,032 │ 2,613 │ 2,941 │ 3,152 │ 2,024 │ 3,903 │ 6
3,646 │ 3,285 │ 2,703 │ 3,895 │ 1,919 │ 4,733 │ 7
3,350 │ 3,981 │ 2,525 │ 4,656 │ 1,835 │ 5,576 │ 8
3,077 │ 4,695 │ 2,392 │ 5,432 │ 1,770 │ 6,428 │ 9
2,898 │ 5,425 │ 2,283 │ 6,221 │ 1,718 │ 7,289 │ 10
2,747 │ 6,169 │ 2,193 │ 7,020 │ 1,675 │ 8,157 │ 11
2,631 │ 6,924 │ 2,118 │ 7,829 │ 1,636 │ 9,031 │ 12
2,531 │ 7,689 │ 2,057 │ 8,646 │ 1,605 │ 9,910 │ 13
2,445 │ 8,464 │ 2,004 │ 9,469 │ 1,577 │ 10,790 │ 14
2,369 │ 9,246 │ 1,953 │ 10,300 │ 1,553 │ 11,680 │ 15
2,096 │ 13,200 │ 1,792 │ 14,520 │ 1,460 │ 16,170 │ 20
1,942 │ 17,300 │ 1,672 │ 18,840 │ 1,398 │ 20,720 │ 25
1,835 │ 21,500 │ 1,602 │ 23,230 │ 1,362 │ 25,320 │ 30
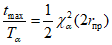
Испытания прекращают как только будет достигнуто одно из значений:

или

.
При испытаниях без восстановления или без замены изделий новыми объем выборки должен быть не меньше предельного числа отказов (предельных состояний).
При испытаниях с восстановлением или заменой объем выборки не регламентируют. Допускается уменьшать (увеличивать) продолжительность испытаний при пропорциональном увеличении (уменьшении) числа испытуемых образцов при условии обеспечения требуемой суммарной наработки

.
Если продолжительность испытаний

задана, все образцы испытывают одновременно, а отказавшие заменяют (или полностью восстанавливают), то необходимое число образцов можно подсчитать по формуле

.
1.1.1.2. Если отказавшие изделия не заменяют и не восстанавливают, число образцов до достижения той же суммарной наработки при той же общей продолжительности испытаний вычисляют по формуле

.
1.1.1.3. В ходе испытаний определяют суммарную наработку

.
При испытаниях без восстановления или без замены

,
где

- наработка j-го из r отказавших изделий, отсчитанная от начала испытаний.
При испытаниях с восстановлением или заменой

,
где

- суммарная наработка i-го изделия за время испытаний.
1.1.1.4. Если первым достигается предельное число отказов

при

, принимают решение о несоответствии требованиям к показателю надежности.
Если первым достигается

при

, принимают решение о соответствии требованиям к показателю надежности.
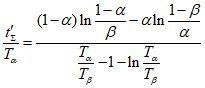
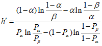
1.1.2. Последовательный контроль
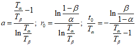
1.1.2.1. Параметры плана испытаний определяют по
табл. 5. По ним в прямоугольной системе координат (
черт. 1) строят наклонные линии:

- несоответствия,

- соответствия.
Таблица 5
Планы контроля средних показателей надежности
по последовательному методу
для экспоненциального распределения
────────────┬────────┬────────┬────────┬──────────┬───────────────
T /T │ a │ r │ r │t /T │t' /T
альфа бета│ │ 0 │ ус │ 0 альфа │ сумма альфа
────────────┴────────┴────────┴────────┴──────────┴───────────────
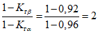
альфа = бета = 0,05
58,80 │ 14,20 │ 0,72 │ 1 │ 0,049 │ 0,049
13,30 │ 4,76 │ 1,14 │ 2 │ 0,239 │ 0,272
7,69 │ 3,28 │ 1,44 │ 3 │ 0,440 │ 0,570
5,68 │ 2,69 │ 1,70 │ 4 │ 0,629 │ 0,900
5,00 │ 2,49 │ 1,83 │ 5 │ 0,736 │ 1,110
4,65 │ 2,38 │ 1,92 │ 5 │ 0,806 │ 1,250
4,03 │ 2,17 │ 2,11 │ 6 │ 0,971 │ 1,620
4,00 │ 2,16 │ 2,12 │ 6 │ 0,981 │ 1,640
3,64 │ 2,04 │ 2,28 │ 7 │ 1,120 │ 1,970
3,50 │ 2,00 │ 2,35 │ 8 │ 1,180 │ 2,120
3,30 │ 1,93 │ 2,47 │ 8 │ 1,280 │ 2,400
3,08 │ 1,85 │ 2,62 │ 9 │ 1,420 │ 2,780
3,00 │ 1,82 │ 2,68 │ 9 │ 1,470 │ 2,940
2,90 │ 1,78 │ 2,77 │ 10 │ 1,550 │ 3,180
2,75 │ 1,73 │ 2,91 │ 11 │ 1,690 │ 3,600
2,63 │ 1,69 │ 3,04 │ 12 │ 1,810 │ 3,990
2,53 │ 1,65 │ 3,14 │ 13 │ 1,920 │ 4,400
2,50 │ 1,64 │ 3,21 │ 14 │ 1,960 │ 4,540
2,45 │ 1,62 │ 3,29 │ 14 │ 2,040 │ 4,810
2,37 │ 1,59 │ 3,41 │ 15 │ 2,150 │ 5,230
2,10 │ 1,48 │ 3,98 │ 20 │ 2,690 │ 7,440
2,00 │ 1,44 │ 4,25 │ 25 │ 2,940 │ 8,640
1,94 │ 1,42 │ 4,44 │ 25 │ 3,130 │ 9,640
1,84 │ 1,38 │ 4,85 │ 30 │ 3,530 │ 11,600
1,50 │ 1,23 │ 7,26 │ 40 │ 5,890 │ 28,000
альфа = бета = 0,10
21,70 │ 6,74 │ 0,713 │ 1 │ 0,106 │ 0,099
7,30 │ 3,17 │ 1,110 │ 2 │ 0,349 │ 0,408
5,00 │ 2,49 │ 1,370 │ 3 │ 0,549 │ 0,735
4,83 │ 2,43 │ 1,400 │ 3 │ 0,574 │ 0,780
4,00 │ 2,16 │ 1,590 │ 4 │ 0,732 │ 1,090
3,83 │ 2,11 │ 1,640 │ 4 │ 0,776 │ 1,180
3,50 │ 2,00 │ 1,750 │ 5 │ 0,879 │ 1,410
3,29 │ 1,92 │ 1,850 │ 5 │ 0,960 │ 1,600
3,00 │ 1,82 │ 2,000 │ 6 │ 1,100 │ 1,960
2,94 │ 1,80 │ 2,040 │ 6 │ 1,130 │ 2,040
2,70 │ 1,71 │ 2,210 │ 7 │ 1,290 │ 2,480
2,53 │ 1,65 │ 2,380 │ 8 │ 1,440 │ 2,940
2,50 │ 1,64 │ 2,400 │ 9 │ 1,460 │ 3,010
2,39 │ 1,60 │ 2,520 │ 9 │ 1,580 │ 3,380
2,28 │ 1,55 │ 2,660 │ 10 │ 1,710 │ 3,840
2,19 │ 1,52 │ 2,810 │ 11 │ 1,840 │ 4,310
2,12 │ 1,49 │ 2,930 │ 12 │ 1,970 │ 4,780
2,06 │ 1,47 │ 3,050 │ 13 │ 2,080 │ 5,240
2,00 │ 1,44 │ 3,160 │ 15 │ 2,190 │ 5,690
1,96 │ 1,42 │ 3,280 │ 15 │ 2,310 │ 6,200
1,79 │ 1,36 │ 3,770 │ 20 │ 2,770 │ 8,420
1,67 │ 1,31 │ 4,270 │ 25 │ 3,270 │ 11,100
1,60 │ 1,28 │ 4,660 │ 30 │ 3,650 │ 13,400
1,50 │ 1,23 │ 5,420 │ 40 │ 4,390 │ 18,600
альфа = бета = 0,20
7,25 │ 3,15 │ 0,700 │ 1 │ 0,222 │ 0,195
5,00 │ 2,49 │ 0,712 │ 1 │ 0,347 │ 0,348
4,00 │ 2,16 │ 1,000 │ 2 │ 0,462 │ 0,515
3,64 │ 2,04 │ 1,070 │ 2 │ 0,526 │ 0,613
3,50 │ 2,00 │ 1,110 │ 2 │ 0,555 │ 0,667
3,00 │ 1,82 │ 1,260 │ 2 │ 0,693 │ 0,923
2,79 │ 1,74 │ 1,350 │ 3 │ 0,777 │ 1,090
2,50 │ 1,64 │ 1,510 │ 4 │ 0,924 │ 1,420
2,40 │ 1,60 │ 1,580 │ 4 │ 0,987 │ 1,580
2,17 │ 1,51 │ 1,790 │ 5 │ 1,180 │ 2,090
2,02 │ 1,45 │ 1,970 │ 6 │ 1,350 │ 2,610
2,00 │ 1,44 │ 2,000 │ 7 │ 1,390 │ 2,710
1,92 │ 1,43 │ 2,130 │ 7 │ 1,510 │ 3,110
1,84 │ 1,38 │ 2,280 │ 8 │ 1,660 │ 3,650
1,77 │ 1,35 │ 2,430 │ 9 │ 1,800 │ 4,180
1,72 │ 1,33 │ 2,560 │ 10 │ 1,930 │ 4,700
1,68 │ 1,31 │ 2,690 │ 11 │ 2,050 │ 5,230
1,64 │ 1,29 │ 2,815 │ 12 │ 3,180 │ 5,790
1,61 │ 1,28 │ 2,930 │ 13 │ 2,290 │ 6,310
1,58 │ 1,27 │ 3,040 │ 14 │ 2,400 │ 6,850
1,55 │ 1,26 │ 3,150 │ 15 │ 2,510 │ 7,860
1,50 │ 1,23 │ 3,42 │ 18 │ 2,77 │ 8,80
1,46 │ 1,22 │ 3,66 │ 20 │ 3,01 │ 10,20
1,40 │ 1,19 │ 4,13 │ 25 │ 3,48 │ 13,20
1,36 │ 1,17 │ 4,48 │ 30 │ 3,83 │ 15,70
График последовательных испытаний
1 - линия несоответствия; 2 - линия соответствия
Усечение испытаний по числу отказов следует производить при

, по суммарной наработке - при

.
При испытаниях без восстановления или без замены минимальный объем выборки

.
При необходимости завершить испытания в течение заданной продолжительности

объем выборки N определяют по табл. 6 в зависимости от требуемого отношения

для каждого из планов
табл. 5.
Таблица 6
Значения относительной продолжительности
последовательных испытаний

(для экспоненциального распределения)
или

(для распределения Вейбулла)
────────────┬─────────────────────────────────────────────────────────────────
T /T │ Число испытуемых изделий N
альфа бета├─────┬─────┬─────┬─────┬─────┬─────┬─────┬─────┬─────┬─────┬─────
│ 5 │ 10 │ 15 │ 20 │ 30 │ 40 │ 50 │ 75 │ 100 │ 150 │ 200
────────────┴─────┴─────┴─────┴─────┴─────┴─────┴─────┴─────┴─────┴─────┴─────
альфа = бета = 0,05
┌─────┬─────┬─────┬─────┬─────┬─────┬─────
58,80 │0,575│0,287│0,189│0,144│0,091│0,072│0,052│0,033│0,026│0,013│0,013
│ │ │ │ ├─────┼─────┤ │ │ │ │
13,30 │1,250│0,590│0,384│0,276│0,179│0,140│0,109│0,072│0,055│0,037│0,027
7,69 │1,630│0,687│0,446│0,300│0,208│0,150│0,116│0,077│0,057│0,038│0,028
│ │ │ │ │ │ ├─────┤ │ │ │
5,68 │2,397│0,903│0,577│0,420│0,272│0,201│0,160│0,105│0,079│0,052│0,039
│ │ │ │ │ │ │ ├─────┤ │ │
5,00 │ │1,185│0,736│0,533│0,342│0,251│0,200│0,132│0,098│0,063│0,047
4,65 │ │1,200│0,719│0,525│0,338│0,250│0,198│0,130│0,097│0,065│0,045
4,03 │ │1,447│0,870│0,610│0,384│0,292│0,219│0,140│0,105│0,069│0,055
4,00 │ │1,460│0,832│0,616│0,394│0,289│0,228│0,150│0,102│0,072│0,050
3,64 │ │1,798│0,997│0,684│0,431│0,320│0,248│0,162│0,118│0,078│0,059
│ │ │ │ │ │ │ │ ├─────┤ │
3,50 │ │2,205│1,144│0,788│0,490│0,352│0,273│0,180│0,133│0,087│0,065
3,30 │ │2,181│1,152│0,795│0,488│0,354│0,275│0,178│0,132│0,087│0,065
3,08 │ │ │1,352│0,909│0,552│0,390│0,310│0,201│0,149│0,097│0,073
3,00 │ │ │1,341│0,900│0,545│0,395│0,309│0,200│0,148│0,097│0,072
2,90 │ │ │1,583│1,038│0,618│0,440│0,343│0,224│0,164│0,109│0,077
2,75 │ │ │1,818│1,116│0,669│0,490│0,380│0,232│0,179│0,116│0,087
│ │ │ │ │ │ │ │ │ ├─────┤
2,63 │ │ │2,078│1,281│0,740│0,535│0,412│0,257│0,185│0,127│0,092
2,53 │ │ │2,484│1,437│0,812│0,557│0,434│0,275│0,205│0,130│0,097
2,50 │ │ │2,997│1,595│0,875│0,609│0,464│0,294│0,215│0,139│0,104
2,45 │ │ │ │1,612│0,880│0,614│0,474│0,300│0,214│0,139│0,103
2,37 │ │ │ │1,811│0,957│0,648│0,500│0,314│0,229│0,149│0,111
│ │ │ │ │ │ │ │ │ │ ├─────
2,10 │ │ │ │ │1,420│0,922│0,688│0,421│0,304│0,194│0,142
2,00 │ │ │ │ │2,136│1,226│0,900│0,530│0,370│0,236│0,176
1,94 │ │ │ │ │2,153│1,242│0,898│0,528│0,374│0,240│0,175
1,84 │ │ │ │ │ │1,671│1,146│0,644│0,459│0,285│0,208
1,50 │ │ │ │ │ │ │ │0,897│0,606│0,372│0,269
альфа = бета = 0,1
21,70 │0,458│0,229│0,152│0,113│0,075│0,055│0,046│0,029│0,022│0,014│0,010
7,30 │1,032│0,486│0,317│0,236│0,156│0,114│0,092│0,058│0,045│0,030│0,023
5,00 │1,253│0,538│0,353│0,261│0,163│0,121│0,097│0,064│0,048│0,032│0,023
4,83 │1,227│0,539│0,370│0,291│0,164│0,132│0,101│0,068│0,048│0,032│0,024
4,00 │2,019│0,769│0,490│0,353│0,231│0,171│0,136│0,090│0,067│0,044│0,033
3,83 │2,068│0,774│0,488│0,352│0,231│0,170│0,135│0,089│0,067│0,044│0,033
3,50 │3,262│1,015│0,619│0,459│0,292│0,217│0,171│0,108│0,083│0,056│0,042
3,29 │ │1,036│0,632│0,452│0,291│0,216│0,170│0,113│0,084│0,054│0,039
3,00 │ │1,287│0,740│0,522│0,329│0,236│0,187│0,125│0,091│0,061│0,044
2,94 │ │1,288│0,742│0,522│0,333│0,250│0,186│0,124│0,092│0,062│0,044
2,70 │ │1,563│0,886│0,613│0,373│0,268│0,212│0,140│0,104│0,069│0,049
2,53 │ │1,978│0,999│0,692│0,420│0,311│0,241│0,157│0,117│0,077│0,057
2,50 │ │2,402│1,172│0,777│0,479│0,348│0,269│0,174│0,132│0,087│0,061
2,39 │ │2,564│1,164│0,800│0,481│0,347│0,272│0,178│0,131│0,086│0,063
2,28 │ │ │1,391│0,910│0,549│0,378│0,308│0,196│0,142│0,092│0,072
2,19 │ │ │1,614│1,029│0,597│0,432│0,340│0,212│0,149│0,102│0,075
2,12 │ │ │1,891│1,153│0,680│0,480│0,362│0,227│0,168│0,109│0,081
2,06 │ │ │2,245│1,314│0,729│0,507│0,389│0,249│0,178│0,117│0,087
2,00 │ │ │3,354│1,622│0,853│0,584│0,455│0,284│0,203│0,134│0,100
1,96 │ │ │3,632│1,674│0,875│0,603│0,457│0,288│0,210│0,137│0,100
1,79 │ │ │ │3,639│1,301│0,826│0,624│0,376│0,279│0,175│0,129
1,67 │ │ │ │ │1,967│1,146│0,820│0,483│0,346│0,222│0,159
1,60 │ │ │ │ │3,645│1,554│1,053│0,596│0,421│0,266│0,192
1,50 │ │ │ │ │ │3,808│1,764│0,876│0,584│0,357│0,260
альфа = бета = 0,2
┌─────┬─────┬─────┬─────┬─────
7,25 │0,321│0,160│0,107│0,080│0,053│0,039│0,031│0,021│0,015│0,010│0,007
│ │ │ │ │ │ ├─────┤ │ │ │
5,00 │0,347│0,173│0,116│0,087│0,058│0,043│0,034│0,023│0,017│0,011│0,008
│ │ │ │ │ │ │ ├─────┼─────┤ │
4,00 │0,823│0,392│0,242│0,173│0,125│0,088│0,074│0,044│0,033│0,024│0,014
3,64 │0,811│0,375│0,245│0,182│0,121│0,090│0,070│0,048│0,036│0,023│0,017
3,50 │0,792│0,367│0,242│0,179│0,119│0,088│0,070│0,047│0,035│0,023│0,016
3,00 │0,735│0,347│0,228│0,168│0,111│0,083│0,066│0,044│0,033│0,022│0,016
2,79 │1,049│0,425│0,273│0,202│0,139│0,096│0,077│0,051│0,039│0,025│0,019
│ │ │ │ │ │ │ │ │ ├─────┤
2,50 │1,575│0,620│0,393│0,288│0,186│0,138│0,110│0,072│0,054│0,036│0,027
2,40 │1,594│0,616│0,393│0,290│0,187│0,138│0,110│0,073│0,054│0,036│0,027
│ │ │ │ │ │ │ │ │ │ ├─────
2,17 │2,704│0,834│0,513│0,373│0,238│0,172│0,142│0,090│0,070│0,045│0,033
2,02 │ │1,042│0,611│0,429│0,264│0,198│0,153│0,104│0,076│0,049│0,037
2,00 │ │1,216│0,720│0,482│0,313│0,227│0,177│0,115│0,085│0,056│0,042
1,92 │ │1,290│0,734│0,513│0,310│0,233│0,184│0,114│0,086│0,057│0,042
1,84 │ │1,639│0,872│0,593│0,363│0,263│0,208│0,135│0,100│0,066│0,049
1,77 │ │2,168│1,027│0,689│0,418│0,302│0,237│0,151│0,114│0,075│0,055
1,72 │ │2,866│1,197│0,797│0,474│0,346│0,262│0,169│0,126│0,084│0,062
1,68 │ │ │1,374│0,895│0,532│0,382│0,282│0,186│0,132│0,089│0,066
1,64 │ │ │1,653│1,004│0,577│0,404│0,316│0,197│0,148│0,096│0,070
1,61 │ │ │2,000│1,108│0,626│0,443│0,340│0,217│0,159│0,104│0,077
1,58 │ │ │2,367│1,275│0,705│0,477│0,370│0,232│0,172│0,112│0,083
1,55 │ │ │3,007│1,469│0,753│0,530│0,402│0,251│0,184│0,121│0,089
1,50 │ │ │ │2,172│0,995│0,636│0,501│0,306│0,219│0,140│0,103
1,46 │ │ │ │3,200│1,183│0,751│0,569│0,340│0,244│0,158│0,117
1,40 │ │ │ │ │1,813│1,063│0,741│0,444│0,311│0,203│0,145
1,36 │ │ │ │ │3,290│1,427│0,960│0,544│0,385│0,245│0,178
Для проведения испытаний могут быть выбраны числа испытываемых изделий N, для которых приведенные в
табл. 6 отношения

не больше требуемого.
1.1.2.2. При наличии отказов графиком последовательных испытаний является ступенчатая линия, сумма отрезков которой, параллельных оси

, равна отношению суммарной наработки образцов в момент времени t к значению

, а сумма отрезков, параллельных оси r, равна числу отказов к моменту t.
При отсутствии отказов графиком последовательных испытаний является прямая линия с началом в точке 0, совпадающая с осью

. При этом

.
1.1.2.3. При испытаниях с восстановлением или заменой суммарную наработку образцов

в момент t вычисляют по формуле

,
где

- длительность восстановления работоспособного состояния после j-го из r отказов или длительность замены j-го из r отказавших образцов новым.
При испытаниях без восстановления или без замены суммарную наработку образцов в момент t вычисляют по формуле

,
где

- наработка до отказа j-го из r отказавших образцов.
1.1.2.4. Решение о соответствии требованиям к показателю надежности принимают при пересечении графиком последовательных испытаний одной из линий соответствия. Решение о несоответствии - при пересечении одной из линий несоответствия.
1.1.2.5. Для обеспечения равенства истинных рисков с запланированными рекомендуется применять планы контроля, приведенные в табл. 7 -
30.
Таблица 7
────────────┬─────────────────────────┬───────────────────────────
r │ t /T │ t /T
│ сумма альфа альфа │ сумма бета альфа
────────────┼─────────────────────────┼───────────────────────────
0 │ 3,489 │ -
1 │ 4,904 │ 0,004
2 │ 6,128 │ 0,089
3 │ 7,260 │ 0,304
4 │ 8,333 │ 0,119
5 │ 9,370 │ 1,006
6 │ 10,372 │ 1,446
7 │ 11,352 │ 1,930
8 │ 12,313 │ 2,447
9 │ 13,255 │ 2,992
10 │ 14,188 │ 3,563
11 │ 15,107 │ 4,152
12 │ 16,016 │ 4,762
13 │ 16,914 │ 5,383
14 │ 17,807 │ 6,023
15 │ 18,688 │ 6,672
16 │ 19,565 │ 7,332
17 │ 20,438 │ 8,004
18 │ 21,302 │ 8,688
19 │ 22,161 │ 9,375
20 │ 23,016 │ 10,074
21 │ 23,865 │ 10,781
22 │ 24,714 │ 11,492
23 │ 25,557 │ 12,211
24 │ 26,396 │ 12,938
25 │ 27,229 │ 13,664
26 │ 28,063 │ 14,402
27 │ 28,981 │ 15,141
28 │ 29,719 │ 15,891
29 │ 30,542 │ 16,641
30 │ 31,365 │ 17,391
31 │ 32,177 │ 18,148
32 │ 32,995 │ 18,914
33 │ 33,813 │ 19,680
34 │ 34,625 │ 20,445
35 │ 35,432 │ 21,219
36 │ 36,240 │ 21,992
37 │ 37,042 │ 22,773
38 │ 37,849 │ 23,555
39 │ 38,651 │ 24,344
40 │ 39,453 │ 25,125
41 │ 40,250 │ 25,922
42 │ 41,047 │ 26,711
43 │ 41,844 │ 27,508
44 │ 42,635 │ 28,305
45 │ 43,432 │ 29,102
46 │ 44,219 │ 29,906
47 │ 45,010 │ 30,711
48 │ 45,802 │ 31,516
49 │ 46,589 │ 32,320
50 │ 47,375 │ 33,134
51 │ 48,161 │ 33,945
52 │ 48,948 │ 34,758
53 │ 49,729 │ 35,578
54 │ 50,510 │ 36,391
55 │ 51,292 │ 37,211
56 │ 52,073 │ 38,031
57 │ 52,854 │ 38,852
58 │ 53,625 │ 39,680
59 │ 54,406 │ 40,500
60 │ 55,182 │ 41,328
61 │ 55,958 │ 42,156
62 │ 56,720 │ 42,984
63 │ 57,505 │ 43,813
64 │ 58,281 │ 44,648
65 │ 59,052 │ 45,484
66 │ 59,823 │ 46,320
67 │ 60,394 │ 47,156
68 │ 61,359 │ 47,992
69 │ 62,125 │ 48,828
70 │ 62,896 │ 49,672
71 │ 63,667 │ 50,516
72 │ 64,427 │ 51,352
73 │ 65,198 │ 52,195
74 │ 65,958 │ 53,039
75 │ 66,729 │ 53,891
76 │ 67,490 │ 54,734
77 │ 68,250 │ 55,578
78 │ 69,021 │ 56,422
79 │ 69,781 │ 57,281
80 │ 70,542 │ 58,125
81 │ 71,302 │ 58,977
82 │ 72,063 │ 59,828
83 │ 72,823 │ 60,688
84 │ 73,533 │ 61,531
85 │ 74,344 │ 62,391
86 │ 75,344 │ 63,250
87 │ 75,854 │ 64,102
88 │ 76,615 │ 64,953
89 │ 77,370 │ 65,813
90 │ 78,125 │ 66,672
91 │ 78,885 │ 67,531
92 │ 79,635 │ 68,391
93 │ 80,396 │ 69,250
94 │ 81,146 │ 70,117
95 │ 81,896 │ 70,984
96 │ 82,656 │ 71,844
97 │ 83,406 │ 72,703
98 │ 84,156 │ 73,578
99 │ 84,906 │ 74,438
100 │ 85,661 │ 75,297
101 │ 86,417 │ 76,417
102 │ 87,167 │ 77,031
103 │ 87,917 │ 77,906
104 │ 88,661 │ 78,781
105 │ 89,417 │ 79,641
106 │ 90,167 │ 80,516
107 │ 90,906 │ 81,391
108 │ 91,656 │ 82,250
109 │ 92,406 │ 83,125
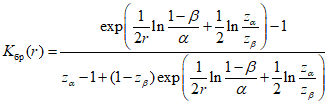
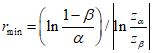
110 │ 93,156 │ 83,992
111 │ 93,906 │ 84,875
112 │ 94,646 │ 85,750
113 │ 95,396 │ 86,625
114 │ 96,146 │ 87,500
115 │ 96,885 │ 88,375
116 │ 97,635 │ 89,250
117 │ 98,375 │ 90,125
118 │ 99,125 │ 90,992
119 │ 99,865 │ 91,875
120 │ 100,616 │ 92,742
121 │ 101,360 │ 93,620
122 │ 102,103 │ 94,499
123 │ 102,847 │ 95,378
124 │ 103,589 │ 96,257
125 │ 104,332 │ 97,138
126 │ 105,074 │ 98,018
127 │ 105,816 │ 98,900
128 │ 106,558 │ 99,781
129 │ 107,300 │ 100,663
130 │ 108,041 │ 101,546
131 │ 108,782 │ 102,429
132 │ 109,522 │ 103,312
133 │ 110,263 │ 104,196
134 │ 111,003 │ 105,080
135 │ 111,742 │ 105,965
136 │ 112,482 │ 106,850
137 │ 113,221 │ 107,736
138 │ 113,960 │ 108,622
139 │ 114,699 │ 109,508
140 │ 115,437 │ 110,395
141 │ 116,175 │ 111,282
142 │ 116,913 │ 112,170
143 │ 117,651 │ 113,058
144 │ 118,389 │ 113,947
145 │ 119,126 │ 114,835
146 │ 119,863 │ 115,724
147 │ 120,599 │ 116,614
148 │ 121,336 │ 117,502
149 │ 122,072 │ 118,394
150 │ 122,808 │ 119,285
151 │ 123,544 │ 120,176
152 │ 124,280 │ 121,067
153 │ 125,015 │ 121,059
154 │ 125,750 │ 122,851
155 │ 126,485 │ 123,744
156 │ 127,220 │ 124,630
157 │ 127,954 │ 125,530
158 │ 128,688 │ 126,423
159 │ 129,422 │ 127,317
160 │ 130,156 │ 128,211
161 │ 130,890 │ 129,106
162 │ 131,623 │ 130,000
163 │ 132,357 │ 130,896
164 │ 133,090 │ 131,791
165 │ 133,822 │ 132,687
166 │ 134,555 │ 133,583
167 │ 135,287 │ 134,479
168 │ - │ 135,287
Таблица 8
─────────────┬─────────────────────────┬──────────────────────────
r │ t /T │ t /T
│ сумма альфа альфа │ сумма бета альфа
─────────────┼─────────────────────────┼──────────────────────────
0 │ 2,412 │ 0,000
1 │ 3,445 │ 0,005
2 │ 4,341 │ 0,108
3 │ 5,171 │ 0,348
4 │ 5,960 │ 0,688
5 │ 6,721 │ 1,099
6 │ 7,459 │ 1,563
7 │ 8,182 │ 2,067
8 │ 8,889 │ 2,605
9 │ 9,586 │ 3,172
10 │ 10,273 │ 3,760
11 │ 10,951 │ 4,367
12 │ 11,623 │ 4,994
13 │ 12,287 │ 5,635
14 │ 12,945 │ 6,289
15 │ 13,600 │ 6,953
16 │ 14,248 │ 7,631
17 │ 14,893 │ 8,316
18 │ 15,533 │ 9,014
19 │ 16,170 │ 9,719
20 │ 16,803 │ 10,430
21 │ 17,434 │ 11,148
22 │ 18,061 │ 11,875
23 │ 18,684 │ 12,605
24 │ 19,307 │ 13,344
25 │ 19,926 │ 14,086
26 │ 20,543 │ 14,832
27 │ 21,158 │ 15,586
28 │ 21,770 │ 16,344
29 │ 22,383 │ 17,105
30 │ 22,992 │ 17,871
31 │ 23,598 │ 18,641
32 │ 24,203 │ 19,414
33 │ 24,809 │ 20,188
34 │ 25,410 │ 20,969
35 │ 26,012 │ 21,750
36 │ 26,613 │ 22,539
37 │ 27,211 │ 23,328
38 │ 27,809 │ 24,117
39 │ 28,402 │ 24,914
40 │ 28,998 │ 25,711
41 │ 29,592 │ 26,508
42 │ 30,184 │ 27,313
43 │ 30,777 │ 28,117
44 │ 31,367 │ 28,922
45 │ 31,955 │ 29,734
46 │ 32,543 │ 30,547
47 │ 33,133 │ 31,359
48 │ 33,719 │ 32,172
49 │ 34,305 │ 32,992
50 │ 34,887 │ 33,809
51 │ 35,473 │ 34,633
52 │ 36,055 │ 35,453
53 │ - │ 36,055
Таблица 9
─────────────┬─────────────────────────┬──────────────────────────
r │ t /T │ t /T
│ сумма альфа альфа │ сумма бета альфа
─────────────┼─────────────────────────┼──────────────────────────
0 │ 1,833 │ -
1 │ 2,645 │ 0,007
2 │ 3,351 │ 0,122
3 │ 4,005 │ 0,378
4 │ 4,628 │ 0,735
5 │ 5,230 │ 1,163
6 │ 5,814 │ 1,642
7 │ 6,384 │ 2,162
8 │ 6,945 │ 2,714
9 │ 7,497 │ 3,293
10 │ 8,041 │ 3,894
11 │ 8,578 │ 4,514
12 │ 9,111 │ 5,150
13 │ 9,638 │ 5,803
14 │ 10,159 │ 6,467
15 │ 10,678 │ 7,145
16 │ 11,192 │ 7,832
17 │ 11,703 │ 8,527
18 │ 12,213 │ 9,232
19 │ 12,717 │ 9,945
20 │ 13,220 │ 10,668
21 │ 13,720 │ 11,395
22 │ 14,219 │ 12,129
23 │ 14,714 │ 12,869
24 │ 15,208 │ 13,613
25 │ 15,700 │ 14,367
26 │ 16,191 │ 15,121
27 │ 16,678 │ 15,883
28 │ 17,166 │ 16,648
29 │ - │ 17,166
Таблица 10
─────────────┬─────────────────────────┬──────────────────────────
r │ t /T │ t /T
│ сумма альфа альфа │ сумма бета альфа
─────────────┼─────────────────────────┼──────────────────────────
0 │ 1,471 │ 0,000
1 │ 2,139 │ 0,008
2 │ 2,721 │ 0,133
3 │ 3,260 │ 0,403
4 │ 3,775 │ 0,772
5 │ 4,271 │ 1,212
6 │ 4,754 │ 1,703
7 │ 5,226 │ 2,234
8 │ 5,689 │ 2,797
9 │ 6,146 │ 3,385
10 │ 6,596 │ 3,996
11 │ 7,040 │ 4,625
12 │ 7,480 │ 5,271
13 │ 7,917 │ 5,930
14 │ 8,350 │ 6,604
15 │ 8,779 │ 7,287
16 │ 9,205 │ 7,982
17 │ 9,629 │ 8,686
18 │ 10,049 │ 9,398
19 │ - │ 10,049
Таблица 11
─────────────┬─────────────────────────┬──────────────────────────
r │ t /T │ t /T
│ сумма альфа альфа │ сумма бета альфа
─────────────┼─────────────────────────┼──────────────────────────
0 │ 1,066 │ -
1 │ 1,538 │ 0,010
2 │ 1,968 │ 0,151
3 │ 2,366 │ 0,441
4 │ 2,747 │ 0,831
5 │ 3,114 │ 1,289
6 │ 3,472 │ 1,797
7 │ 3,822 │ 2,344
8 │ 4,166 │ 2,922
9 │ 4,504 │ 3,524
10 │ 4,639 │ 4,149
11 │ 5,169 │ 4,792
12 │ - │ 5,169
Таблица 12
─────────────┬─────────────────────────┬──────────────────────────
r │ t /T │ t /T
│ сумма альфа альфа │ сумма бета альфа
─────────────┼─────────────────────────┼──────────────────────────
0 │ 0,806 │ 0,000
1 │ 1,195 │ 0,012
2 │ 1,534 │ 0,166
3 │ 1,850 │ 0,471
4 │ 2,152 │ 0,875
5 │ 2,443 │ 1,347
6 │ 2,727 │ 1,868
7 │ 3,005 │ 2,428
8 │ - │ 3,005
Таблица 13
─────────────┬─────────────────────────┬──────────────────────────
r │ t /T │ t /T
│ сумма альфа альфа │ сумма бета альфа
─────────────┼─────────────────────────┼──────────────────────────
0 │ 0,547 │ -
1 │ 0,820 │ 0,016
2 │ 1,059 │ 0,189
3 │ 1,282 │ 0,517
4 │ 1,494 │ 0,943
5 │ 1,700 │ 1,436
6 │ - │ 1,700
Таблица 14
─────────────┬─────────────────────────┬──────────────────────────
r │ t /T │ t /T
│ сумма альфа альфа │ сумма бета альфа
─────────────┼─────────────────────────┼──────────────────────────
0 │ 0,336 │ -
1 │ 0,553 │ 0,020
2 │ 0,718 │ 0,216
3 │ 0,872 │ 0,570
4 │ - │ 0,872
Таблица 15
─────────────┬─────────────────────────┬──────────────────────────
r │ t /T │ t /T
│ сумма альфа альфа │ сумма бета альфа
─────────────┼─────────────────────────┼──────────────────────────
0 │ 2,892 │ -
1 │ 4,220 │ 0,004
2 │ 5,376 │ 0,092
3 │ 6,452 │ 0,312
4 │ 7,475 │ 0,630
5 │ 8,464 │ 1,021
6 │ 9,426 │ 1,466
7 │ 10,366 │ 1,953
8 │ 11,289 │ 2,475
9 │ 12,199 │ 3,023
10 │ 13,096 │ 3,596
11 │ 13,984 │ 4,189
12 │ 14,862 │ 4,801
13 │ 15,732 │ 5,426
14 │ 16,594 │ 6,066
15 │ 17,449 │ 6,719
16 │ 18,299 │ 7,383
17 │ 19,143 │ 8,059
18 │ 19,984 │ 8,742
19 │ 20,819 │ 9,434
20 │ 21,651 │ 10,137
21 │ 22,477 │ 10,844
22 │ 23,299 │ 11,559
23 │ 24,120 │ 12,277
24 │ 24,938 │ 13,008
25 │ 25,753 │ 13,738
26 │ 26,563 │ 14,477
27 │ 27,370 │ 15,219
28 │ 28,177 │ 15,969
29 │ 28,979 │ 16,719
30 │ 29,781 │ 17,477
31 │ 30,581 │ 18,234
32 │ 31,378 │ 18,996
33 │ 32,172 │ 19,766
34 │ 32,966 │ 20,539
35 │ 33,758 │ 21,313
36 │ 34,547 │ 22,086
37 │ 35,336 │ 22,867
38 │ 36,120 │ 23,656
39 │ 36,906 │ 24,438
40 │ 37,690 │ 25,227
41 │ 38,471 │ 26,023
42 │ 39,253 │ 26,813
43 │ 40,031 │ 27,609
44 │ 40,810 │ 28,406
45 │ 41,586 │ 29,211
46 │ 42,362 │ 30,016
47 │ 43,135 │ 30,820
48 │ 32,909 │ 31,625
49 │ 44,682 │ 32,438
50 │ 45,453 │ 33,250
51 │ 46,224 │ 34,063
52 │ 46,992 │ 34,875
53 │ 47,760 │ 35,695
54 │ 48,526 │ 36,516
55 │ 49,294 │ 37,336
56 │ 50,057 │ 38,156
57 │ 50,823 │ 38,984
58 │ 51,589 │ 39,805
59 │ 52,349 │ 40,633
60 │ 53,112 │ 41,461
61 │ 53,875 │ 42,289
62 │ 54,635 │ 43,125
63 │ 55,393 │ 43,953
64 │ 56,151 │ 44,781
65 │ 56,911 │ 45,625
66 │ 57,669 │ 46,453
67 │ 58,427 │ 47,297
68 │ 59,182 │ 48,133
69 │ 59,938 │ 48,969
70 │ 60,693 │ 49,813
71 │ 61,448 │ 50,656
72 │ 62,203 │ 51,500
73 │ 62,953 │ 52,344
74 │ 63,708 │ 53,188
75 │ 64,458 │ 54,031
76 │ 65,211 │ 54,883
77 │ 65,964 │ 55,734
78 │ 66,714 │ 56,578
79 │ 67,464 │ 57,430
80 │ 68,211 │ 58,281
Таблица 16
─────────────┬─────────────────────────┬──────────────────────────
r │ t /T │ t /T
│ сумма альфа альфа │ сумма бета альфа
─────────────┼─────────────────────────┼──────────────────────────
0 │ 2,85 │ 0,04
1 │ 4,16 │ 0,12
2 │ 5,32 │ 0,43
3 │ 6,39 │ 0,60
4 │ 7,41 │ 1,28
5 │ 8,40 │ 1,78
6 │ 9,35 │ 2,33
7 │ 10,29 │ 1,94
8 │ 11,22 │ 3,51
9 │ 12,25 │ 4,13
10 │ 13,01 │ 4,45
11 │ 13,90 │ 5,42
12 │ 14,78 │ 6,09
13 │ 15,64 │ 6,78
14 │ 16,50 │ 7,48
15 │ 17,35 │ 8,18
16 │ 18,11 │ 8,89
17 │ 18,97 │ 9,61
18 │ 19,9 │ 10,33
19 │ 20,72 │ 11,07
20 │ 21,57 │ 11,80
21 │ 22,28 │ 12,57
22 │ 23,21 │ 13,31
23 │ 24,00 │ 14,08
24 │ 24,84 │ 14,84
25 │ 25,60 │ 15,58
26 │ 26,47 │ 16,39
27 │ 27,26 │ 17,16
28 │ 28,06 │ 17,95
29 │ 28,88 │ 18,82
30 │ 29,68 │ 19,52
35 │ 32,81 │ 22,00
40 │ 36,72 │ 26,11
45 │ 40,61 │ 30,22
50 │ 44,47 │ 34,39
55 │ 48,13 │ 38,59
60 │ 51,79 │ 42,83
65 │ 56,17 │ 46,74
70 │ 59,42 │ 51,30
75 │ 63,91 │ 55,15
80 │ 67,44 │ 60,10
85 │ 70,93 │ 64,43
90 │ 74,66 │ 68,81
95 │ 78,37 │ 73,21
100 │ 82,07 │ 77,62
105 │ 85,77 │ 82,05
110 │ 89,45 │ 86,49
115 │ 93,13 │ 90,95
120 │ 96,80 │ 95,41
125 │ 100,46 │ 99,89
126 │ 101,20 │ 100,89
127 │ 101,92 │ 101,68
128 │ 102,66 │ 102,38
129 │ - │ 102,66
Таблица 17
─────────────┬─────────────────────────┬──────────────────────────
r │ t /T │ t /T
│ сумма альфа альфа │ сумма бета альфа
─────────────┼─────────────────────────┼──────────────────────────
0 │ 1,907 │ -
1 │ 2,860 │ 0,015
2 │ 3,695 │ 0,183
3 │ 4,473 │ 0,507
4 │ 5,217 │ 0,929
5 │ 5,936 │ 1,417
6 │ 6,636 │ 1,953
7 │ 7,322 │ 2,525
8 │ 7,997 │ 3,128
9 │ 8,660 │ 3,755
10 │ 9,319 │ 4,401
11 │ 9,969 │ 5,065
12 │ 10,612 │ 5,744
13 │ 11,251 │ 6,436
14 │ 11,884 │ 7,140
15 │ 12,513 │ 7,854
16 │ 13,137 │ 8,577
17 │ 13,758 │ 9,309
18 │ 14,376 │ 10,049
19 │ 14,990 │ 10,796
20 │ 15,602 │ 11,549
21 │ 16,211 │ 12,309
22 │ 16,817 │ 13,074
23 │ 17,422 │ 13,846
24 │ 18,023 │ 14,621
25 │ 18,624 │ 15,400
26 │ 19,223 │ 16,186
27 │ 19,818 │ 16,975
28 │ 20,413 │ 17,766
29 │ 21,006 │ 18,563
30 │ 21,598 │ 19,363
31 │ 22,188 │ 20,166
32 │ 22,775 │ 20,973
33 │ 23,363 │ 21,781
34 │ 23,949 │ 22,594
35 │ 24,533 │ 23,408
36 │ 25,117 │ 24,227
37 │ 25,699 │ 25,045
38 │ - │ 25,699
Таблица 18
─────────────┬─────────────────────────┬──────────────────────────
r │ t /T │ t /T
│ сумма альфа альфа │ сумма бета альфа
─────────────┼─────────────────────────┼──────────────────────────
0 │ 1,426 │ -
1 │ 2,170 │ 0,019
2 │ 2,825 │ 0,209
3 │ 3,436 │ 0,557
4 │ 4,021 │ 1,002
5 │ 4,587 │ 1,511
6 │ 5,139 │ 2,067
7 │ 5,681 │ 2,658
8 │ 6,213 │ 3,278
9 │ 6,738 │ 3,921
10 │ 7,257 │ 4,583
11 │ 7,771 │ 5,262
12 │ 8,280 │ 5,955
13 │ 8,784 │ 6,661
14 │ 9,285 │ 7,378
15 │ 9,783 │ 8,104
16 │ 10,277 │ 8,841
17 │ 10,769 │ 9,585
18 │ 11,259 │ 10,336
19 │ 11,745 │ 11,095
20 │ - │ 11,745
─────────────┬─────────────────────────┬──────────────────────────
r │ t /T │ t /T
│ сумма альфа альфа │ сумма бета альфа
─────────────┼─────────────────────────┼──────────────────────────
0 │ 1,131 │ -
1 │ 1,741 │ 0,023
2 │ 2,278 │ 0,231
3 │ 2,781 │ 0,598
4 │ 3,262 │ 1,061
5 │ 3,728 │ 1,566
6 │ 4,184 │ 2,157
7 │ 4,630 │ 2,763
8 │ 5,070 │ 3,396
9 │ 5,503 │ 4,051
10 │ 5,932 │ 4,726
11 │ 6,356 │ 5,416
12 │ 6,766 │ 6,120
13 │ - │ 6,766
Таблица 20
─────────────┬─────────────────────────┬──────────────────────────
r │ t /T │ t /T
│ сумма альфа альфа │ сумма бета альфа
─────────────┼─────────────────────────┼──────────────────────────
0 │ 0,791 │ -
1 │ 1,237 │ 0,030
2 │ 1,631 │ 0,267
3 │ 2,001 │ 0,664
4 │ 3,356 │ 1,154
5 │ 2,700 │ 1,705
6 │ 3,036 │ 2,299
7 │ 3,366 │ 2,926
8 │ - │ 3,366
Таблица 21
─────────────┬─────────────────────────┬──────────────────────────
r │ t /T │ t /T
│ сумма альфа альфа │ сумма бета альфа
─────────────┼─────────────────────────┼──────────────────────────
0 │ 0,602 │ -
1 │ 0,952 │ 0,037
2 │ 1,263 │ 0,297
3 │ 1,555 │ 0,717
4 │ 1,836 │ 1,228
5 │ 2,108 │ 1,797
6 │ - │ 2,108
Таблица 22
─────────────┬─────────────────────────┬──────────────────────────
r │ t /T │ t /T
│ сумма альфа альфа │ сумма бета альфа
─────────────┼─────────────────────────┼──────────────────────────
0 │ 0,402 │ -
1 │ 0,646 │ 0,049
2 │ 0,864 │ 0,347
Таблица 23
─────────────┬─────────────────────────┬──────────────────────────
r │ t /T │ t /T
│ сумма альфа альфа │ сумма бета альфа
─────────────┼─────────────────────────┼──────────────────────────
0 │ 0,263 │ -
1 │ 0,430 │ 0,065
2 │ 0,579 │ 0,406
Таблица 24
─────────────┬─────────────────────────┬──────────────────────────
r │ t /T │ t /T
│ сумма альфа альфа │ сумма бета альфа
─────────────┼─────────────────────────┼──────────────────────────
0 │ 2,045 │ -
1 │ 3,220 │ 0,033
2 │ 4,262 │ 0,279
3 │ 5,240 │ 0,685
4 │ 6,179 │ 1,184
5 │ 7,090 │ 1,742
6 │ 7,981 │ 2,343
7 │ 8,855 │ 2,977
8 │ 9,717 │ 3,637
9 │ 10,568 │ 4,317
10 │ 11,410 │ 5,015
11 │ 12,243 │ 5,728
12 │ 13,070 │ 6,454
13 │ 13,890 │ 7,190
14 │ 14,705 │ 7,938
15 │ 15,515 │ 8,694
16 │ 16,321 │ 9,458
17 │ 17,122 │ 10,229
18 │ 17,920 │ 11,008
19 │ 18,714 │ 11,792
20 │ 19,505 │ 12,582
21 │ 20,293 │ 13,377
22 │ 21,079 │ 14,177
23 │ 21,861 │ 14,981
24 │ 22,642 │ 15,790
25 │ 23,420 │ 16,604
26 │ 24,195 │ 17,420
27 │ 24,969 │ 18,239
28 │ 25,742 │ 19,063
29 │ 26,512 │ 19,890
30 │ 27,280 │ 20,719
31 │ 28,047 │ 21,551
32 │ 28,813 │ 22,387
33 │ 29,576 │ 23,224
34 │ 30,339 │ 24,063
35 │ 31,099 │ 24,906
36 │ 31,859 │ 25,751
37 │ 32,617 │ 26,598
38 │ 33,374 │ 27,446
39 │ 34,130 │ 28,297
40 │ 34,885 │ 29,150
41 │ 35,639 │ 30,004
42 │ 36,392 │ 30,861
43 │ 37,143 │ 31,719
44 │ 37,895 │ 32,578
45 │ 38,645 │ 33,439
46 │ 39,393 │ 34,303
47 │ 40,141 │ 35,167
48 │ 40,888 │ 36,033
49 │ 41,635 │ 36,900
50 │ 42,380 │ 37,768
51 │ 43,125 │ 38,639
52 │ 43,870 │ 39,510
53 │ 44,613 │ 40,381
54 │ 45,355 │ 41,255
55 │ 46,098 │ 42,129
56 │ 46,839 │ 43,006
57 │ 47,579 │ 43,883
58 │ 48,319 │ 44,760
59 │ 49,059 │ 45,639
60 │ 49,798 │ 46,520
61 │ 50,535 │ 47,400
62 │ 51,273 │ 48,283
63 │ 52,010 │ 49,166
64 │ 52,747 │ 50,049
65 │ 53,483 │ 50,483
66 │ 54,219 │ 51,820
67 │ 54,953 │ 52,707
68 │ 55,688 │ 53,594
69 │ 56,422 │ 54,482
70 │ 57,155 │ 55,371
71 │ 57,888 │ 56,262
72 │ 58,620 │ 57,152
73 │ 59,353 │ 58,043
74 │ 60,085 │ 58,936
75 │ 60,815 │ 59,828
76 │ 61,546 │ 60,723
77 │ - │ 61,546
Таблица 25
─────────────┬─────────────────────────┬──────────────────────────
r │ t /T │ t /T
│ сумма альфа альфа │ сумма бета альфа
─────────────┼─────────────────────────┼──────────────────────────
0 │ 1,313 │ -
1 │ 2,145 │ 0,051
2 │ 2,892 │ 0,356
3 │ 3,595 │ 0,819
4 │ 4,273 │ 1,367
5 │ 4,933 │ 1,972
6 │ 5,579 │ 2,615
7 │ 6,215 │ 3,287
8 │ 6,842 │ 3,983
9 │ 7,462 │ 4,698
10 │ 8,076 │ 5,428
11 │ 8,685 │ 6,172
12 │ 9,290 │ 6,927
13 │ 9,890 │ 7,693
14 │ 10,486 │ 8,467
15 │ 11,080 │ 9,250
16 │ 11,670 │ 10,040
17 │ 12,258 │ 10,836
18 │ 12,844 │ 11,638
19 │ 13,427 │ 12,446
20 │ 14,008 │ 13,259
21 │ - │ 14,008
Таблица 26
─────────────┬─────────────────────────┬──────────────────────────
r │ t /T │ t /T
│ сумма альфа альфа │ сумма бета альфа
─────────────┼─────────────────────────┼──────────────────────────
0 │ 0,949 │ -
1 │ 1,590 │ 0,069
2 │ 2,169 │ 0,419
3 │ 2,716 │ 0,923
4 │ 3,245 │ 1,508
5 │ 3,761 │ 2,145
6 │ 4,267 │ 2,818
7 │ 4,765 │ 3,518
8 │ 5,258 │ 4,998
9 │ 5,745 │ 4,978
10 │ 6,227 │ 5,731
11 │ - │ 6,227
Таблица 27
─────────────┬─────────────────────────┬──────────────────────────
r │ t /T │ t /T
│ сумма альфа альфа │ сумма бета альфа
─────────────┼─────────────────────────┼──────────────────────────
0 │ 0,733 │ -
1 │ 1,253 │ 0,086
2 │ 1,724 │ 0,475
3 │ 2,171 │ 1,013
4 │ 2,604 │ 1,628
5 │ 3,026 │ 2,291
6 │ 3,442 │ 2,988
7 │ - │ 3,442
Таблица 28
─────────────┬─────────────────────────┬──────────────────────────
r │ t /T │ t /T
│ сумма альфа альфа │ сумма бета альфа
─────────────┼─────────────────────────┼──────────────────────────
0 │ 0,493 │ -
1 │ 0,867 │ 0,121
2 │ 1,209 │ 0,577
3 │ 1,534 │ 1,171
4 │ - │ 1,534
Таблица 29
─────────────┬─────────────────────────┬──────────────────────────
r │ t /T │ t /T
│ сумма альфа альфа │ сумма бета альфа
─────────────┼─────────────────────────┼──────────────────────────
0 │ 0,363 │ -
1 │ 0,655 │ 0,161
2 │ - │ 0,656
─────────────┬─────────────────────────┬──────────────────────────
r │ t /T │ t /T
│ сумма альфа альфа │ сумма бета альфа
─────────────┼─────────────────────────┼──────────────────────────
0 │ 0,233 │ -
1 │ 0,432 │ 0,221
2 │ - │ 0,432
В процессе испытаний суммарную наработку в момент очередного отказа сравнивают с табличным нормативом. Решение о соответствии принимают в случае, когда суммарная наработка равна или больше норматива. Решение о несоответствии принимают как только суммарная наработка к моменту очередного отказа окажется ниже нормативной.
1.2. Распределение Вейбулла (испытания без восстановления)
1.2.1. Одноступенчатый контроль
Планирование и испытания проводят в соответствии с
пп. 1.1.1 или
2.
В первом случае вместо

следует использовать

, а вместо относительной суммарной наработки фиксировать сумму

,
где

.
Во втором случае наработки следует пересчитать на вероятность, используя соотношения:

и

,
где

.
1.2.2. Последовательный контроль
Планирование контроля и испытания проводят в соответствии с
п. 1.1.2, используя вместо относительной суммарной наработки сумму отношений

. Уравнения наклонных прямых имеют вид:

- линия несоответствия;

- линия соответствия.
Значения a,

,

и

определяют по
табл. 5, используя вместо

величину

. В
табл. 6 вместо

следует использовать величину

.
1.2.3. При неизвестном параметре формы рекомендуется использовать методику, изложенную в пп. 1.2.3.1 -
1.2.3.4.
1.2.3.1. Испытывают N образцов (N

3) до отказа или достижения относительной суммарной наработки

.
В последнем случае испытания прекращают и принимают решение о соответствии заданным требованиям. В противном случае переходят к следующему этапу.
1.2.3.2. На основе данных испытаний N образцов определяют оценку максимального правдоподобия параметра формы и устраняют ее смещение умножением на коэффициент B(N):
N | 3 | 4 | 5 | 6 | 7 | 8 | 9 | 10 |
B(N) | 0,488 | 0,593 | 0,669 | 0,752 | 0,792 | 0,820 | 0,842 | 0,859 |
1.2.3.3. Применяют полученную несмещенную оценку параметра формы к имеющимся данным (
п. 1.2.2). Если данных достаточно для принятия решения, испытания прекращают. В противном случае переходят к следующему этапу.
1.2.3.4. Испытывают дополнительный образец до отказа или до принятия решения. Решение о соответствии может быть принято в любой момент до отказа, о несоответствии - в момент отказа. Если решение принято, испытания прекращают. В противном случае возвращаются к
п. 1.2.3.2, используя несмещенную оценку в качестве первого приближения для итеративного оценивания параметра формы.
1.3. Нормальное распределение, усеченное слева
1.3.1. Одноступенчатый контроль
Параметры плана контроля определяют по
п. 2 после пересчета наработки на вероятность при помощи формул:

,
если нормируют

, а продолжительность испытаний

;

,
если нормируют

, а

;

,
если нормируют

, а

.
Здесь

есть решение уравнения

.
1.3.2. Последовательный контроль
1.3.2.1. График последовательных испытаний имеет вид, показанный на
черт. 2. Уравнения наклонных прямых:

- линия несоответствия;

- линия соответствия,
где

;

;

;

.
График последовательных испытаний
1 - линия несоответствия: 2 - линия соответствия
Усечение испытаний по числу отказов следует проводить по методу одноступенчатого контроля (
п. 1.3.1), по суммарной наработке - при

.
1.3.2.2. Ожидаемую суммарную наработку до принятия решения при

подсчитывают по формуле

,
где

- ожидаемое число отказов до принятия решения.
1.3.2.3. Задаваясь продолжительностью испытаний

и полагая, что все образцы испытываются одновременно, а отказавшие заменяются (или полностью восстанавливаются), необходимое количество образцов определяют по формуле

.
Если отказавшие изделия не заменяются и не восстанавливаются, количество образцов для достижения той же суммарной наработки при той же продолжительности испытаний следует увеличить до

.
Испытания проводят до пересечения одной из линий несоответствия или соответствия, причем возможна постановка на испытания дополнительных образцов для достижения суммарной наработки.
1.4. Логарифмически нормальное распределение
Параметры плана контроля определяют по
п. 1.3 с заменой наработки на логарифм наработки.
1.5. Диффузионное распределение
Исходные данные для планирования испытаний включают перечень данных по
п. 1 настоящего приложения и дополнительно ожидаемое значение коэффициента вариации v.
Параметры плана контроля определяют по табл. 31 и
32.
Таблица 31
Планы испытаний для контроля средних показателей надежности
по одноступенчатому методу (план [NUT])
при диффузионном распределении
────────┬───────┬──────┬──────────────────────────────────────────
альфа, │T │t /T │ v
бета │ альфа │ и ср├─────────┬──────────┬──────────┬──────────
│------ │ │ 0,5 │ 0,7 │ 1,0 │ 1,5
│T │ ├────┬────┼─────┬────┼─────┬────┼─────┬────
│ бета │ │ r │ N │ r │ N │ r │ N │ r │ N
│ │ │ пр│ │ пр │ │ пр │ │ пр │
────────┼───────┼──────┼────┼────┼─────┼────┼─────┼────┼─────┼────
0,05 │ 3,0 │ 0,3 │ 0 │ 20 │ 0 │ 12 │ 2 │ 16 │ 5 │ 17
│ │ 0,5 │ 0 │ 12 │ 1 │ 7 │ 3 │ 10 │ 9 │ 19
│ │ 0,7 │ 1 │ 5 │ 2 │ 6 │ 5 │ 11 │ 11 │ 19
│ │ 0,9 │ 1 │ 4 │ 3 │ 7 │ 6 │ 11 │ 16 │ 24
├───────┼──────┼────┼────┼─────┼────┼─────┼────┼─────┼────
│ 2,5 │ 0,3 │ 0 │ 32 │ 1 │ 22 │ 3 │ 23 │ 8 │ 26
│ │ 0,5 │ 1 │ 10 │ 2 │ 12 │ 5 │ 16 │ 13 │ 27
│ │ 0,7 │ 1 │ 5 │ 3 │ 9 │ 8 │ 16 │ 17 │ 29
│ │ 0,9 │ 2 │ 5 │ 5 │ 10 │ 11 │ 19 │ 23 │ 34
├───────┼──────┼────┼────┼─────┼────┼─────┼────┼─────┼────
│ 2,0 │ 0,3 │ 0 │ 53 │ 1 │ 29 │ 5 │ 35 │ 14 │ 44
│ │ 0,5 │ 1 │ 13 │ 3 │ 16 │ 9 │ 27 │ 23 │ 47
│ │ 0,7 │ 2 │ 9 │ 5 │ 14 │ 14 │ 29 │ 27 │ 46
│ │ 0,9 │ 4 │ 9 │ 8 │ 16 │ 19 │ 32 │ 36 │ 52
├───────┼──────┼────┼────┼─────┼────┼─────┼────┼─────┼────
│ 1,5 │ 0,3 │ 0 │106 │ 4 │ 84 │ 12 │ 73 │ 28 │ 90
│ │ 0,5 │ 4 │ 41 │ 11 │ 51 │ 27 │ 80 │ 54 │105
│ │ 0,7 │ 7 │ 25 │ 17 │ 43 │ 38 │ 78 │ 65 │104
│ │ 0,9 │11 │ 23 │ 23 │ 42 │ 45 │ 76 │ 73 │110
────────┼───────┼──────┼────┼────┼─────┼────┼─────┼────┼─────┼────
0,10 │ 3,0 │ 0,3 │ 0 │ 18 │ 0 │ 10 │ 1 │ 11 │ 3 │ 11
│ │ 0,5 │ 0 │ 10 │ 0 │ 6 │ 2 │ 7 │ 6 │ 13
│ │ 0,7 │ 0 │ 5 │ 1 │ 4 │ 3 │ 7 │ 8 │ 14
│ │ 0,9 │ 1 │ 4 │ 2 │ 5 │ 4 │ 8 │ 9 │ 14
├───────┼──────┼────┼────┼─────┼────┼─────┼────┼─────┼────
│ 2,5 │ 0,3 │ 0 │ 25 │ 0 │ 13 │ 1 │ 10 │ 4 │ 14
│ │ 0,5 │ 0 │ 16 │ 1 │ 8 │ 3 │ 10 │ 8 │ 17
│ │ 0,7 │ 1 │ 6 │ 1 │ 4 │ 4 │ 9 │ 11 │ 19
│ │ 0,9 │ 1 │ 4 │ 2 │ 5 │ 6 │ 11 │ 14 │ 21
├───────┼──────┼────┼────┼─────┼────┼─────┼────┼─────┼────
│ 2,0 │ 0,3 │ 0 │ 40 │ 1 │ 25 │ 3 │ 22 │ 8 │ 26
│ │ 0,5 │ 1 │ 11 │ 2 │ 11 │ 5 │ 16 │ 14 │ 29
│ │ 0,7 │ 1 │ 5 │ 3 │ 9 │ 9 │ 19 │ 19 │ 32
│ │ 0,9 │ 2 │ 6 │ 5 │ 10 │ 11 │ 19 │ 20 │ 30
├───────┼──────┼────┼────┼─────┼────┼─────┼────┼─────┼────
│ 1,5 │ 0,3 │ 0 │ 65 │ 3 │ 49 │ 8 │ 53 │ 18 │ 58
│ │ 0,5 │ 2 │ 23 │ 6 │ 29 │ 17 │ 49 │ 28 │ 58
│ │ 0,7 │ 4 │ 15 │ 10 │ 26 │ 24 │ 48 │ 35 │ 57
│ │ 0,9 │ 6 │ 13 │ 16 │ 30 │ 33 │ 54 │ 41 │ 60
────────┼───────┼──────┼────┼────┼─────┼────┼─────┼────┼─────┼────
0,20 │ 3,0 │ 0,3 │ 0 │ 15 │ 0 │ 8 │ 0 │ 5 │ 1 │ 6
│ │ 0,5 │ 0 │ 8 │ 0 │ 5 │ 1 │ 5 │ 2 │ 6
│ │ 0,7 │ 0 │ 4 │ 1 │ 5 │ 1 │ 3 │ 3 │ 6
│ │ 0,9 │ 0 │ 2 │ 1 │ 4 │ 2 │ 4 │ 4 │ 7
├───────┼──────┼────┼────┼─────┼────┼─────┼────┼─────┼────
│ 2,5 │ 0,3 │ 0 │ 20 │ 0 │ 12 │ 0 │ 6 │ 1 │ 5
│ │ 0,5 │ 0 │ 13 │ 0 │ 6 │ 1 │ 5 │ 3 │ 7
│ │ 0,7 │ 0 │ 6 │ 1 │ 4 │ 2 │ 5 │ 4 │ 8
│ │ 0,9 │ 0 │ 3 │ 1 │ 3 │ 3 │ 6 │ 5 │ 8
├───────┼──────┼────┼────┼─────┼────┼─────┼────┼─────┼────
│ 2,0 │ 0,3 │ 0 │ 28 │ 0 │ 10 │ 1 │ 9 │ 3 │ 11
│ │ 0,5 │ 0 │ 15 │ 1 │ 6 │ 2 │ 7 │ 5 │ 11
│ │ 0,7 │ 0 │ 8 │ 1 │ 4 │ 3 │ 7 │ 8 │ 14
│ │ 0,9 │ 1 │ 3 │ 2 │ 5 │ 5 │ 9 │ 9 │ 14
├───────┼──────┼────┼────┼─────┼────┼─────┼────┼─────┼────
│ 1,5 │ 0,3 │ 0 │ 58 │ 1 │ 13 │ 3 │ 22 │ 8 │ 27
│ │ 0,5 │ 1 │ 13 │ 2 │ 12 │ 7 │ 21 │ 17 │ 35
│ │ 0,7 │ 2 │ 8 │ 5 │ 14 │ 12 │ 24 │ 21 │ 36
│ │ 0,9 │ 3 │ 7 │ 7 │ 14 │ 15 │ 25 │ 26 │ 38
Таблица 32
Планы испытаний для контроля средних показателей надежности
по одноступенчатому методу (план [NUr])
при диффузионном распределении
──────┬───┬─────────────────────────────────────────────────────────────────────
альфа,│r │ v
бета │ пр├─────────────┬─────────────┬─────────────┬─────────────┬─────────────
│ │ 0,3 │ 0,5 │ 0,7 │ 1,0 │ 1,5
│ ├──────┬──────┼──────┬──────┼──────┬──────┼──────┬──────┼──────┬──────
│ │T │ t │T │ t │T │ t │T │ t │T │ t
│ │ альфа│ max │ альфа│ max │ альфа│ max │ альфа│ max │ альфа│ max
│ │------│------│------│------│------│------│------│------│------│------
│ │T │T │T │T │T │T │T │T │T │T
│ │ бета │ альфа│ бета │ альфа│ бета │ альфа│ бета │ альфа│ бета │ альфа
──────┼───┼──────┼──────┼──────┼──────┼──────┼──────┼──────┼──────┼──────┼──────
0,05 │ 1 │2,657 │0,587 │4,962 │0,399 │8,950 │0,268 │20,097│0,149 │63,409│0,059
│ 2 │2,003 │1,382 │3,150 │1,061 │4,887 │0,806 │9,133 │0,529 │23,402│0,265
│ 3 │1,765 │2,225 │2,563 │1,799 │3,692 │1,443 │6,262 │1,028 │14,166│0,580
│ 4 │1,636 │3,092 │2,263 │2,578 │3,115 │2,136 │4,962 │1,596 │10,308│0,972
│ 5 │1,553 │3,976 │2,078 │3,384 │2,770 │2,864 │4,221 │2,212 │8,232 │1,423
│ 6 │1,495 │4,870 │1,951 │4,208 │2,539 │3,618 │3,740 │2,864 │6,945 │1,917
│ 7 │1,451 │5,773 │1,858 │5,046 │2,372 │4,391 │3,402 │3,542 │6,071 │2,448
│ 8 │1,417 │6,683 │1,785 │5,895 │2,245 │5,181 │3,150 │4,242 │5,440 │3,007
│ 9 │1,389 │7,598 │1,727 │6,754 │2,145 │5,983 │2,955 │4,960 │4,962 │3,591
│10 │1,366 │8,518 │1,680 │7,620 │2,063 │6,795 │2,798 │5,693 │4,588 │4,196
│11 │1,346 │9,442 │1,640 │8,493 │1,996 │7,617 │2,670 │6,439 │4,287 │4,820
│12 │1,329 │10,369│1,606 │9,371 │1,938 │8,447 │2,563 │7,196 │4,039 │5,459
│13 │1,315 │11,299│1,577 │10,255│1,889 │9,284 │2,471 │7,963 │3,832 │6,112
│14 │1,302 │12,232│1,551 │11,143│1,846 │10,127│2,393 │8,739 │3,655 │6,778
│15 │1,290 │13,167│1,528 │12,035│1,808 │10,975│2,324 │9,522 │3,503 │7,455
│20 │1,247 │17,871│1,444 │16,541│1,671 │15,284│2,078 │13,535│3,974 │10,979
│25 │1,218 │22,611│1,389 │21,106│1,583 │19,675│1,925 │17,664│2,657 │14,676
│30 │1,197 │27,375│1,350 │25,713│1,522 │24,124│1,819 │21,877│2,444 │18,497
0,10 │ 1 │2,148 │0,653 │3,528 │0,473 │5,692 │0,337 │11,180│0,199 │30,414│0,085
│ 2 │1,720 │1,492 │2,456 │1,201 │3,485 │0,954 │5,787 │0,665 │12,729│0,359
│ 3 │1,558 │2,368 │2,087 │1,993 │2,786 │1,662 │4,255 │1,247 │8,326 │0,756
│ 4 │1,468 │3,265 │1,893 │2,819 │2,435 │2,416 │3,528 │1,893 │6,394 │1,235
│ 5 │1,410 │4,173 │1,770 │3,666 │2,219 │3,200 │3,100 │2,582 │5,315 │1,770
│ 6 │1,368 │5,091 │1,685 │4,528 │2,072 │4,005 │2,815 │3,301 │4,628 │2,349
│ 7 │1,337 │6,015 │1,621 │5,401 │1,964 │4,826 │2,611 │4,043 │4,150 │2,960
│ 8 │1,312 │6,945 │1,572 │6,283 │1,881 │5,660 │2,456 │4,804 │3,798 │3,599
│ 9 │1,292 │7,879 │1,532 │7,172 │1,815 │6,504 │2,335 │5,580 │3,528 │4,259
│10 │1,275 │8,816 │1,499 │8,068 │1,760 │7,357 │2,237 │6,368 │3,313 │4,938
│11 │1,261 │9,757 │1,471 │8,968 │1,715 │8,217 │2,156 │7,166 │3,138 │5,633
│12 │1,248 │10,700│1,447 │9,873 │1,676 │9,083 │2,087 │7,974 │2,993 │6,342
│13 │1,238 │11,645│1,426 │10,782│1,643 │9,955 │2,028 │8,790 │2,870 │7,063
│14 │1,228 │12,593│1,408 │11,694│1,614 │10,832│1,977 │9,613 │2,764 │7,795
│15 │1,220 │13,542│1,392 │12,610│1,588 │11,713│1,933 │10,442│2,672 │8,536
│20 │1,188 │18,312│1,332 │17,224│1,493 │16,172│1,770 │14,664│2,347 │12,359
│25 │1,166 │23,108│1,292 │21,885│1,431 │20,696│1,667 │18,981│2,148 │16,325
│30 │1,151 │27,925│1,263 │26,579│1,387 │25,266│1,595 │23,364│2,011 │20,392
0,20 │ 1 │1,655 │0,744 │2,306 │0,585 │3,196 │0,449 │5,141 │0,294 │10,825│0,143
│ 2 │1,429 │1,637 │1,809 │1,399 │2,287 │1,178 │3,233 │0,890 │6,646 │0,539
│ 3 │1,338 │2,555 │1,624 │2,260 │1,968 │1,977 │2,618 │1,589 │4,168 │1,069
│ 4 │1,287 │3,487 │1,522 │3,144 │1,799 │2,810 │2,306 │2,341 │3,464 │1,677
│ 5 │1,253 │4,427 │1,456 │4,042 │1,691 │3,665 │2,114 │3,126 │3,049 │2,338
│ 6 │1,229 │5,372 │1,409 │4,951 │1,616 │4,535 │1,982 │3,934 │2,773 │3,034
│ 7 │1,210 │6,322 │1,374 │5,867 │1,560 │5,416 │1,884 │4,759 │2,574 │3,759
│ 8 │1,195 │7,276 │1,346 │6,789 │1,516 │6,305 │1,809 │5,597 │2,424 │4,505
│ 9 │1,183 │8,233 │1,324 │7,716 │1,480 │7,201 │1,749 │6,446 │2,306 │5,268
│10 │1,173 │9,191 │1,305 │8,647 │1,451 │8,104 │1,700 │7,304 │2,211 │6,046
│11 │1,164 │10,152│1,289 │9,581 │1,426 │9,011 │1,659 │9,169 │2,131 │6,835
│12 │1,157 │11,115│1,275 │10,518│1,405 │9,923 │1,624 │9,040 │2,065 │7,636
│13 │1,150 │12,079│1,263 │11,458│1,386 │10,838│1,593 │9,917 │2,007 │8,445
│14 │1,144 │13,045│1,252 │12,401│1,370 │11,756│1,567 │10,799│1,958 │9,262
│15 │1,139 │14,011│1,243 │13,345│1,355 │12,678│1,543 │11,686│1,914 │10,086
│20 │1,120 │18,860│1,207 │18,091│1,301 │17,321│1,456 │16,169│1,756 │14,291
│25 │1,106 │23,726│1,183 │22,868│1,266 │22,007│1,400 │20,717│1,655 │18,597
│30 │1,097 │28,606│1,166 │27,666│1,240 │26,724│1,359 │25,309│1,584 │22,974
2. Контроль показателей надежности типа вероятность безотказной работы, вероятность восстановления за заданное время, гамма-процент для заданного значения показателей типа T.
2.1. Одноступенчатый контроль
Параметры плана контроля определяют по табл. 33 -
35 в зависимости от браковочного

и приемочного

уровней и рисков поставщика

и потребителя

.
Таблица 33
Планы контроля показателей надежности
типа вероятность безотказной работы
по одноступенчатому методу (

)
───────────────────────────────────────────┬──────────────────────
Характеристика плана │ Истинный риск
───────────┬──────────┬─────────┬──────────┼──────────┬───────────
P (t) │P (t) │ C │ N │ бета' │ альфа'
бета │ альфа │ альфа │ │ │
───────────┼──────────┼─────────┼──────────┼──────────┼───────────
0,998 │ 0,999 │ 22 │ 15654 │ 0,050 │ 0,057
───────────┼──────────┼─────────┼──────────┼──────────┼───────────
0,997 │ 0,999 │ 9 │ 5233 │ 0,050 │ 0,044
───────────┼──────────┼─────────┼──────────┼──────────┼───────────
0,996 │ 0,999 │ 5 │ 2625 │ 0,050 │ 0,052
│ 0,998 │ 22 │ 7843 │ 0,050 │ 0,066
───────────┼──────────┼─────────┼──────────┼──────────┼───────────
0,995 │ 0,999 │ 4 │ 1829 │ 0,050 │ 0,040
│ 0,998 │ 12 │ 3886 │ 0,050 │ 0,062
───────────┼──────────┼─────────┼──────────┼──────────┼───────────
0,994 │ 0,999 │ 3 │ 1290 │ 0,050 │ 0,043
│ 0,998 │ 8 │ 2402 │ 0,050 │ 0,061
│ 0,997 │ 22 │ 5230 │ 0,050 │ 0,048
───────────┼──────────┼─────────┼──────────┼──────────┼───────────
0,993 │ 0,999 │ 2 │ 897 │ 0,050 │ 0,063
│ 0,998 │ 6 │ 1688 │ 0,050 │ 0,060
│ 0,997 │ 15 │ 3294 │ 0,050 │ 0,044
───────────┼──────────┼─────────┼──────────┼──────────┼───────────
0,992 │ 0,999 │ 2 │ 785 │ 0,050 │ 0,046
│ 0,998 │ 5 │ 1312 │ 0,050 │ 0,053
│ 0,997 │ 11 │ 2273 │ 0,050 │ 0,045
│ 0,996 │ 22 │ 3923 │ 0,050 │ 0,053
───────────┼──────────┼─────────┼──────────┼──────────┼───────────
0,991 │ 0,999 │ 2 │ 698 │ 0,050 │ 0,034
│ 0,998 │ 4 │ 1015 │ 0,050 │ 0,057
│ 0,997 │ 8 │ 1600 │ 0,050 │ 0,055
│ 0,996 │ 16 │ 2694 │ 0,050 │ 0,050
│ 0,995 │ 31 │ 4640 │ 0,050 │ 0,046
───────────┼──────────┼─────────┼──────────┼──────────┼───────────
0,990 │ 0,999 │ 2 │ 628 │ 0,050 │ 0,026
│ 0,998 │ 4 │ 913 │ 0,050 │ 0,040
│ 0,997 │ 7 │ 1312 │ 0,050 │ 0,047
│ 0,996 │ 12 │ 1940 │ 0,050 │ 0,055
│ 0,995 │ 22 │ 3135 │ 0,050 │ 0,048
───────────┼──────────┼─────────┼──────────┼──────────┼───────────
0,980 │ 0,999 │ 1 │ 236 │ 0,049 │ 0,024
│ 0,998 │ 2 │ 313 │ 0,050 │ 0,026
│ 0,997 │ 3 │ 386 │ 0,050 │ 0,030
│ 0,996 │ 4 │ 455 │ 0,050 │ 0,038
│ 0,995 │ 5 │ 523 │ 0,050 │ 0,050
│ 0,994 │ 7 │ 655 │ 0,050 │ 0,047
│ 0,993 │ 8 │ 719 │ 0,050 │ 0,071
│ 0,992 │ 12 │ 969 │ 0,050 │ 0,051
│ 0,991 │ 16 │ 1212 │ 0,049 │ 0,054
│ 0,990 │ 22 │ 1566 │ 0,050 │ 0,050
───────────┼──────────┼─────────┼──────────┼──────────┼───────────
0,970 │ 0,999 │ 1 │ 157 │ 0,049 │ 0,011
│ 0,998 │ 1 │ 157 │ 0,049 │ 0,040
│ 0,997 │ 2 │ 208 │ 0,050 │ 0,025
│ 0,996 │ 2 │ 208 │ 0,050 │ 0,052
│ 0,995 │ 3 │ 256 │ 0,050 │ 0,041
│ 0,994 │ 4 │ 303 │ 0,050 │ 0,037
│ 0,993 │ 5 │ 348 │ 0,050 │ 0,038
│ 0,992 │ 6 │ 393 │ 0,049 │ 0,040
│ 0,991 │ 7 │ 440 │ 0,046 │ 0,049
│ 0,990 │ 8 │ 480 │ 0,048 │ 0,056
───────────┼──────────┼─────────┼──────────┼──────────┼───────────
0,960 │ 0,998 │ 1 │ 117 │ 0,050 │ 0,024
│ 0,997 │ 1 │ 117 │ 0,049 │ 0,049
│ 0,996 │ 1 │ 42 │ 0,050 │ 0,012
│ 0,995 │ 2 │ 156 │ 0,049 │ 0,044
│ 0,994 │ 3 │ 192 │ 0,049 │ 0,029
│ 0,993 │ 3 │ 192 │ 0,049 │ 0,047
│ 0,992 │ 4 │ 227 │ 0,049 │ 0,037
│ 0,991 │ 4 │ 227 │ 0,049 │ 0,056
│ 0,990 │ 5 │ 261 │ 0,049 │ 0,049
│ 0,980 │ 22 │ 783 │ 0,048 │ 0,048
───────────┼──────────┼─────────┼──────────┼──────────┼───────────
0,950 │ 0,997 │ 1 │ 93 │ 0,050 │ 0,032
│ 0,996 │ 1 │ 34 │ 0,049 │ 0,083
│ 0,995 │ 2 │ 124 │ 0,050 │ 0,025
│ 0,994 │ 2 │ 124 │ 0,050 │ 0,039
│ 0,993 │ 2 │ 124 │ 0,050 │ 0,057
│ 0,992 │ 3 │ 155 │ 0,046 │ 0,037
│ 0,991 │ 3 │ 155 │ 0,046 │ 0,053
│ 0,990 │ 4 │ 182 │ 0,049 │ 0,037
│ 0,980 │ 12 │ 386 │ 0,049 │ 0,050
───────────┼──────────┼─────────┼──────────┼──────────┼───────────
0,940 │ 0,996 │ 1 │ 28 │ 0,049 │ 0,056
│ 0,995 │ 1 │ 78 │ 0,048 │ 0,058
│ 0,994 │ 2 │ 103 │ 0,050 │ 0,025
│ 0,993 │ 2 │ 103 │ 0,049 │ 0,036
│ 0,992 │ 2 │ 105 │ 0,045 │ 0,053
│ 0,991 │ 3 │ 127 │ 0,050 │ 0,029
│ 0,990 │ 3 │ 128 │ 0,048 │ 0,041
│ 0,980 │ 8 │ 238 │ 0,049 │ 0,050
│ 0,970 │ 22 │ 520 │ 0,049 │ 0,044
───────────┼──────────┼─────────┼──────────┼──────────┼───────────
0,930 │ 0,995 │ 1 │ 66 │ 0,050 │ 0,043
│ 0,994 │ 1 │ 66 │ 0,050 │ 0,060
│ 0,993 │ 2 │ 88 │ 0,049 │ 0,024
│ 0,992 │ 2 │ 90 │ 0,044 │ 0,036
│ 0,991 │ 2 │ 88 │ 0,049 │ 0,046
│ 0,990 │ 2 │ 88 │ 0,049 │ 0,059
│ 0,980 │ 6 │ 167 │ 0,048 │ 0,051
│ 0,970 │ 15 │ 326 │ 0,050 │ 0,039
───────────┼──────────┼─────────┼──────────┼──────────┼───────────
0,920 │ 0,994 │ 1 │ 58 │ 0,048 │ 0,048
│ 0,993 │ 1 │ 58 │ 0,048 │ 0,063
│ 0,992 │ 2 │ 80 │ 0,040 │ 0,027
│ 0,991 │ 2 │ 78 │ 0,046 │ 0,034
│ 0,990 │ 2 │ 77 │ 0,049 │ 0,043
│ 0,980 │ 5 │ 129 │ 0,049 │ 0,046
│ 0,970 │ 11 │ 225 │ 0,048 │ 0,040
│ 0,960 │ 22 │ 388 │ 0,050 │ 0,042
───────────┼──────────┼─────────┼──────────┼──────────┼───────────
0,910 │ 0,993 │ 1 │ 51 │ 0,049 │ 0,050
│ 0,992 │ 1 │ 51 │ 0,049 │ 0,063
│ 0,991 │ 2 │ 68 │ 0,049 │ 0,024
│ 0,990 │ 2 │ 69 │ 0,046 │ 0,032
│ 0,980 │ 4 │ 100 │ 0,047 │ 0,051
│ 0,970 │ 8 │ 158 │ 0,048 │ 0,050
│ 0,960 │ 16 │ 268 │ 0,046 │ 0,043
│ 0,950 │ 31 │ 463 │ 0,045 │ 0,042
───────────┼──────────┼─────────┼──────────┼──────────┼───────────
0,900 │ 0,992 │ 1 │ 46 │ 0,048 │ 0,052
│ 0,991 │ 1 │ 46 │ 0,048 │ 0,065
│ 0,990 │ 2 │ 61 │ 0,049 │ 0,024
│ 0,980 │ 4 │ 89 │ 0,050 │ 0,034
│ 0,970 │ 7 │ 130 │ 0,046 │ 0,043
│ 0,960 │ 12 │ 192 │ 0,047 │ 0,046
│ 0,950 │ 22 │ 312 │ 0,045 │ 0,042
───────────┼──────────┼─────────┼──────────┼──────────┼───────────
0,890 │ 0,991 │ 1 │ 42 │ 0,046 │ 0,055
│ 0,990 │ 1 │ 42 │ 0,046 │ 0,066
│ 0,980 │ 3 │ 69 │ 0,047 │ 0,050
│ 0,970 │ 6 │ 105 │ 0,049 │ 0,039
│ 0,960 │ 10 │ 152 │ 0,046 │ 0,043
│ 0,950 │ 17 │ 230 │ 0,046 │ 0,041
│ 0,940 │ 29 │ 359 │ 0,043 │ 0,043
───────────┼──────────┼─────────┼──────────┼──────────┼───────────
0,880 │ 0,990 │ 1 │ 38 │ 0,048 │ 0,056
│ 0,980 │ 3 │ 63 │ 0,047 │ 0,038
│ 0,970 │ 5 │ 85 │ 0,049 │ 0,043
│ 0,960 │ 8 │ 117 │ 0,050 │ 0,046
│ 0,950 │ 14 │ 180 │ 0,046 │ 0,037
│ 0,940 │ 22 │ 260 │ 0,044 │ 0,042
───────────┼──────────┼─────────┼──────────┼──────────┼───────────
0,870 │ 0,980 │ 3 │ 58 │ 0,047 │ 0,029
│ 0,970 │ 4 │ 68 │ 0,049 │ 0,054
│ 0,960 │ 7 │ 98 │ 0,050 │ 0,043
│ 0,950 │ 11 │ 138 │ 0,045 │ 0,044
│ 0,940 │ 18 │ 202 │ 0,047 │ 0,036
│ 0,930 │ 28 │ 291 │ 0,048 │ 0,036
───────────┼──────────┼─────────┼──────────┼──────────┼───────────
0,860 │ 0,980 │ 2 │ 43 │ 0,049 │ 0,055
│ 0,970 │ 4 │ 63 │ 0,049 │ 0,041
│ 0,960 │ 7 │ 92 │ 0,045 │ 0,031
│ 0,950 │ 10 │ 120 │ 0,042 │ 0,038
│ 0,940 │ 15 │ 162 │ 0,047 │ 0,035
│ 0,930 │ 22 │ 222 │ 0,044 │ 0,039
│ 0,920 │ 34 │ 319 │ 0,047 │ 0,036
───────────┼──────────┼─────────┼──────────┼──────────┼───────────
0,850 │ 0,980 │ 2 │ 40 │ 0,049 │ 0,046
│ 0,970 │ 4 │ 59 │ 0,047 │ 0,032
│ 0,960 │ 6 │ 76 │ 0,050 │ 0,033
│ 0,950 │ 8 │ 93 │ 0,050 │ 0,043
│ 0,940 │ 12 │ 126 │ 0,049 │ 0,040
│ 0,930 │ 18 │ 174 │ 0,048 │ 0,037
│ 0,920 │ 23 │ 213 │ 0,048 │ 0,056
───────────┼──────────┼─────────┼──────────┼──────────┼───────────
0,800 │ 0,980 │ 1 │ 22 │ 0,048 │ 0,070
│ 0,970 │ 2 │ 30 │ 0,044 │ 0,060
│ 0,960 │ 4 │ 44 │ 0,044 │ 0,031
│ 0,950 │ 5 │ 50 │ 0,042 │ 0,038
│ 0,940 │ 7 │ 63 │ 0,047 │ 0,034
│ 0,930 │ 9 │ 76 │ 0,045 │ 0,039
│ 0,920 │ 12 │ 94 │ 0,047 │ 0,037
│ 0,910 │ 16 │ 118 │ 0,046 │ 0,036
│ 0,900 │ 22 │ 153 │ 0,047 │ 0,031
│ 0,890 │ 31 │ 204 │ 0,048 │ 0,026
│ 0,880 │ 38 │ 245 │ 0,043 │ 0,041
───────────┼──────────┼─────────┼──────────┼──────────┼───────────
0,750 │ 0,980 │ 1 │ 17 │ 0,050 │ 0,045
│ 0,970 │ 2 │ 23 │ 0,048 │ 0,031
│ 0,960 │ 2 │ 23 │ 0,049 │ 0,062
│ 0,950 │ 4 │ 35 │ 0,041 │ 0,029
│ 0,940 │ 5 │ 40 │ 0,047 │ 0,031
│ 0,930 │ 6 │ 45 │ 0,045 │ 0,036
│ 0,920 │ 6 │ 45 │ 0,045 │ 0,065
│ 0,910 │ 10 │ 65 │ 0,045 │ 0,030
│ 0,900 │ 12 │ 75 │ 0,043 │ 0,034
│ 0,890 │ 16 │ 97 │ 0,030 │ 0,035
│ 0,880 │ 20 │ 114 │ 0,047 │ 0,030
│ 0,870 │ 14 │ 133 │ 0,037 │ 0,037
│ 0,860 │ 31 │ 162 │ 0,048 │ 0,027
│ 0,850 │ 40 │ 203 │ 0,046 │ 0,028
───────────┼──────────┼─────────┼──────────┼──────────┼───────────
0,700 │ 0,970 │ 1 │ 14 │ 0,048 │ 0,065
│ 0,960 │ 2 │ 19 │ 0,046 │ 0,038
│ 0,950 │ 3 │ 24 │ 0,042 │ 0,030
│ 0,940 │ 3 │ 24 │ 0,042 │ 0,053
│ 0,930 │ 5 │ 33 │ 0,041 │ 0,025
│ 0,920 │ 6 │ 37 │ 0,044 │ 0,026
│ 0,910 │ 7 │ 41 │ 0,046 │ 0,028
│ 0,900 │ 8 │ 45 │ 0,047 │ 0,032
│ 0,890 │ 10 │ 53 │ 0,048 │ 0,028
│ 0,880 │ 11 │ 57 │ 0,049 │ 0,036
Таблица 34
Планы контроля показателей надежности
типа вероятность безотказной работы
по одноступенчатому методу (

)
───────────────────────────────────────────┬──────────────────────
Характеристика плана │ Истинный риск
───────────┬──────────┬─────────┬──────────┼──────────┬───────────
P (t) │P (t) │ C │ N │ бета' │ альфа'
бета │ альфа │ альфа │ │ │
───────────┼──────────┼─────────┼──────────┼──────────┼───────────
0,998 │ 0,999 │ 13 │ 9448 │ 0,100 │ 0,104
───────────┼──────────┼─────────┼──────────┼──────────┼───────────
0,997 │ 0,999 │ 5 │ 3090 │ 0,100 │ 0,095
───────────┼──────────┼─────────┼──────────┼──────────┼───────────
0,996 │ 0,999 │ 3 │ 1668 │ 0,100 │ 0,099
│ 0,998 │ 13 │ 4737 │ 0,099 │ 0,110
───────────┼──────────┼─────────┼──────────┼──────────┼───────────
0,995 │ 0,999 │ 2 │ 1061 │ 0,100 │ 0,093
│ 0,998 │ 7 │ 2375 │ 0,100 │ 0,109
───────────┼──────────┼─────────┼──────────┼──────────┼───────────
0,994 │ 0,999 │ 1 │ 646 │ 0,100 │ 0,138
│ 0,998 │ 5 │ 1546 │ 0,099 │ 0,097
│ 0,997 │ 13 │ 2833 │ 0,099 │ 0,099
───────────┼──────────┼─────────┼──────────┼──────────┼───────────
0,993 │ 0,999 │ 1 │ 554 │ 0,100 │ 0,107
│ 0,998 │ 4 │ 1140 │ 0,100 │ 0,084
│ 0,997 │ 8 │ 1853 │ 0,100 │ 0,110
───────────┼──────────┼─────────┼──────────┼──────────┼───────────
0,992 │ 0,999 │ 1 │ 486 │ 0,100 │ 0,086
│ 0,998 │ 3 │ 834 │ 0,100 │ 0,090
│ 0,997 │ 6 │ 1315 │ 0,100 │ 0,104
│ 0,996 │ 13 │ 2370 │ 0,099 │ 0,103
───────────┼──────────┼─────────┼──────────┼──────────┼───────────
0,991 │ 0,999 │ 1 │ 431 │ 0,100 │ 0,070
│ 0,998 │ 2 │ 590 │ 0,100 │ 0,118
│ 0,997 │ 5 │ 1028 │ 0,100 │ 0,092
│ 0,996 │ 9 │ 1576 │ 0,100 │ 0,108
│ 0,995 │ 18 │ 2744 │ 0,100 │ 0,101
───────────┼──────────┼─────────┼──────────┼──────────┼───────────
0,990 │ 0,999 │ 0 │ 229 │ 0,100 │ 0,205
│ 0,998 │ 2 │ 530 │ 0,100 │ 0,093
│ 0,997 │ 4 │ 798 │ 0,100 │ 0,095
│ 0,996 │ 7 │ 1173 │ 0,100 │ 0,104
│ 0,995 │ 13 │ 1891 │ 0,100 │ 0,098
───────────┼──────────┼─────────┼──────────┼──────────┼───────────
0,980 │ 0,999 │ 0 │ 114 │ 0,100 │ 0,108
│ 0,998 │ 0 │ 114 │ 0,100 │ 0,204
│ 0,997 │ 1 │ 192 │ 0,100 │ 0,114
│ 0,996 │ 2 │ 265 │ 0,099 │ 0,092
│ 0,995 │ 3 │ 332 │ 0,100 │ 0,087
│ 0,994 │ 4 │ 398 │ 0,099 │ 0,094
│ 0,993 │ 4 │ 398 │ 0,100 │ 0,150
│ 0,992 │ 7 │ 586 │ 0,100 │ 0,102
│ 0,991 │ 10 │ 767 │ 0,100 │ 0,092
│ 0,990 │ 13 │ 945 │ 0,100 │ 0,099
───────────┼──────────┼─────────┼──────────┼──────────┼───────────
0,970 │ 0,999 │ 0 │ 76 │ 0,099 │ 0,073
│ 0,998 │ 0 │ 76 │ 0,099 │ 0,142
│ 0,997 │ 0 │ 76 │ 0,099 │ 0,204
│ 0,996 │ 1 │ 128 │ 0,100 │ 0,094
│ 0,995 │ 1 │ 128 │ 0,100 │ 0,137
│ 0,994 │ 2 │ 176 │ 0,099 │ 0,091
│ 0,993 │ 2 │ 176 │ 0,099 │ 0,127
│ 0,992 │ 3 │ 221 │ 0,102 │ 0,103
│ 0,991 │ 4 │ 265 │ 0,099 │ 0,102
│ 0,990 │ 5 │ 307 │ 0,100 │ 0,091
───────────┼──────────┼─────────┼──────────┼──────────┼───────────
0,960 │ 0,998 │ 0 │ 57 │ 0,098 │ 0,108
│ 0,997 │ 0 │ 56 │ 0,100 │ 0,155
│ 0,996 │ 0 │ 57 │ 0,098 │ 0,204
│ 0,995 │ 1 │ 96 │ 0,099 │ 0,084
│ 0,994 │ 1 │ 96 │ 0,099 │ 0,114
│ 0,993 │ 1 │ 96 │ 0,099 │ 0,145
│ 0,992 │ 2 │ 132 │ 0,098 │ 0,090
│ 0,991 │ 2 │ 132 │ 0,098 │ 0,115
│ 0,990 │ 3 │ 165 │ 0,100 │ 0,085
│ 0,980 │ 13 │ 471 │ 0,100 │ 0,096
───────────┼──────────┼─────────┼──────────┼──────────┼───────────
0,950 │ 0,997 │ 0 │ 45 │ 0,099 │ 0,126
│ 0,996 │ 0 │ 44 │ 0,099 │ 0,162
│ 0,995 │ 0 │ 45 │ 0,099 │ 0,202
│ 0,994 │ 1 │ 77 │ 0,097 │ 0,078
│ 0,993 │ 1 │ 77 │ 0,097 │ 0,102
│ 0,992 │ 1 │ 77 │ 0,097 │ 0,124
│ 0,991 │ 1 │ 77 │ 0,097 │ 0,150
│ 0,990 │ 2 │ 105 │ 0,099 │ 0,089
│ 0,980 │ 7 │ 233 │ 0,100 │ 0,099
───────────┼──────────┼─────────┼──────────┼──────────┼───────────
0,940 │ 0,996 │ 0 │ 38 │ 0,095 │ 0,141
│ 0,995 │ 0 │ 38 │ 0,095 │ 0,169
│ 0,994 │ 0 │ 37 │ 0,095 │ 0,204
│ 0,993 │ 1 │ 64 │ 0,097 │ 0,074
│ 0,992 │ 1 │ 64 │ 0,097 │ 0,093
│ 0,991 │ 1 │ 64 │ 0,097 │ 0,111
│ 0,990 │ 1 │ 64 │ 0,097 │ 0,135
│ 0,980 │ 5 │ 153 │ 0,098 │ 0,088
│ 0,970 │ 12 │ 294 │ 0,099 │ 0,108
───────────┼──────────┼─────────┼──────────┼──────────┼───────────
0,930 │ 0,995 │ 0 │ 32 │ 0,098 │ 0,148
│ 0,994 │ 0 │ 32 │ 0,098 │ 0,175
│ 0,993 │ 0 │ 32 │ 0,098 │ 0,201
│ 0,992 │ 1 │ 55 │ 0,095 │ 0,070
│ 0,991 │ 1 │ 55 │ 0,095 │ 0,088
│ 0,990 │ 1 │ 55 │ 0,095 │ 0,105
│ 0,980 │ 1 │ 55 │ 0,095 │ 0,301
│ 0,970 │ 8 │ 183 │ 0,100 │ 0,101
───────────┼──────────┼─────────┼──────────┼──────────┼───────────
0,920 │ 0,994 │ 4 │ 398 │ 0,099 │ 0,094
│ 0,993 │ 0 │ 28 │ 0,097 │ 0,173
│ 0,992 │ 0 │ 28 │ 0,097 │ 0,201
│ 0,991 │ 1 │ 48 │ 0,095 │ 0,070
│ 0,990 │ 1 │ 48 │ 0,095 │ 0,084
│ 0,980 │ 1 │ 48 │ 0,095 │ 0,301
│ 0,970 │ 6 │ 150 │ 0,097 │ 0,097
│ 0,960 │ 12 │ 220 │ 0,098 │ 0,106
───────────┼──────────┼─────────┼──────────┼──────────┼───────────
0,910 │ 0,993 │ 0 │ 25 │ 0,095 │ 0,161
│ 0,992 │ 0 │ 25 │ 0,095 │ 0,182
│ 0,991 │ 0 │ 25 │ 0,095 │ 0,208
│ 0,990 │ 1 │ 42 │ 0,098 │ 0,066
│ 0,980 │ 1 │ 42 │ 0,098 │ 0,205
│ 0,970 │ 4 │ 87 │ 0,099 │ 0,121
│ 0,960 │ 9 │ 156 │ 0,097 │ 0,097
│ 0,950 │ 18 │ 272 │ 0,099 │ 0,091
───────────┼──────────┼─────────┼──────────┼──────────┼───────────
0,900 │ 0,992 │ 0 │ 22 │ 0,098 │ 0,162
│ 0,991 │ 0 │ 22 │ 0,098 │ 0,180
│ 0,990 │ 0 │ 22 │ 0,098 │ 0,198
│ 0,980 │ 1 │ 38 │ 0,095 │ 0,169
│ 0,970 │ 4 │ 78 │ 0,099 │ 0,085
│ 0,960 │ 7 │ 116 │ 0,096 │ 0,094
│ 0,950 │ 12 │ 175 │ 0,099 │ 0,101
───────────┼──────────┼─────────┼──────────┼──────────┼───────────
0,890 │ 0,991 │ 0 │ 20 │ 0,097 │ 0,158
│ 0,990 │ 0 │ 20 │ 0,097 │ 0,182
│ 0,980 │ 1 │ 34 │ 0,099 │ 0,148
│ 0,970 │ 3 │ 59 │ 0,099 │ 0,101
│ 0,960 │ 5 │ 83 │ 0,095 │ 0,115
│ 0,950 │ 9 │ 127 │ 0,097 │ 0,104
│ 0,940 │ 16 │ 201 │ 0,099 │ 0,098
───────────┼──────────┼─────────┼──────────┼──────────┼───────────
0,880 │ 0,990 │ 0 │ 18 │ 0,100 │ 0,166
│ 0,980 │ 1 │ 31 │ 0,099 │ 0,127
│ 0,970 │ 3 │ 54 │ 0,098 │ 0,079
│ 0,960 │ 4 │ 65 │ 0,097 │ 0,119
│ 0,950 │ 7 │ 96 │ 0,098 │ 0,108
│ 0,940 │ 12 │ 145 │ 0,101 │ 0,097
───────────┼──────────┼─────────┼──────────┼──────────┼───────────
0,870 │ 0,980 │ 1 │ 29 │ 0,094 │ 0,114
│ 0,970 │ 2 │ 40 │ 0,093 │ 0,118
│ 0,960 │ 4 │ 60 │ 0,096 │ 0,092
│ 0,950 │ 6 │ 79 │ 0,098 │ 0,100
│ 0,940 │ 9 │ 107 │ 0,097 │ 0,109
───────────┼──────────┼─────────┼──────────┼──────────┼───────────
0,860 │ 0,980 │ 1 │ 27 │ 0,092 │ 0,101
│ 0,970 │ 2 │ 37 │ 0,093 │ 0,099
│ 0,960 │ 3 │ 46 │ 0,098 │ 0,111
│ 0,950 │ 5 │ 64 │ 0,100 │ 0,100
│ 0,940 │ 8 │ 91 │ 0,095 │ 0,096
│ 0,930 │ 11 │ 116 │ 0,098 │ 0,113
│ 0,920 │ 18 │ 174 │ 0,097 │ 0,104
───────────┼──────────┼─────────┼──────────┼──────────┼───────────
0,850 │ 0,980 │ 0 │ 15 │ 0,87 │ 0,241
│ 0,970 │ 2 │ 34 │ 0,097 │ 0,089
│ 0,960 │ 3 │ 43 │ 0,096 │ 0,092
│ 0,950 │ 4 │ 52 │ 0,093 │ 0,117
│ 0,940 │ 7 │ 77 │ 0,093 │ 0,091
│ 0,930 │ 9 │ 92 │ 0,100 │ 0,110
│ 0,920 │ 14 │ 131 │ 0,100 │ 0,102
───────────┼──────────┼─────────┼──────────┼──────────┼───────────
0,800 │ 0,980 │ 0 │ 11 │ 0,086 │ 0,199
│ 0,970 │ 1 │ 18 │ 0,099 │ 0,100
│ 0,960 │ 2 │ 25 │ 0,098 │ 0,077
│ 0,950 │ 2 │ 25 │ 0,098 │ 0,127
│ 0,940 │ 3 │ 32 │ 0,093 │ 0,123
│ 0,930 │ 5 │ 45 │ 0,090 │ 0,092
│ 0,920 │ 6 │ 51 │ 0,092 │ 0,110
│ 0,910 │ 8 │ 63 │ 0,094 │ 0,110
│ 0,900 │ 11 │ 81 │ 0,092 │ 0,108
│ 0,890 │ 15 │ 104 │ 0,093 │ 0,105
│ 0,880 │ 18 │ 120 │ 0,102 │ 0,127
───────────┼──────────┼─────────┼──────────┼──────────┼───────────
0,750 │ 0,980 │ 0 │ 8 │ 0,100 │ 0,149
│ 0,970 │ 1 │ 14 │ 0,101 │ 0,064
│ 0,960 │ 1 │ 15 │ 0,080 │ 0,119
│ 0,950 │ 2 │ 20 │ 0,091 │ 0,075
│ 0,940 │ 2 │ 20 │ 0,091 │ 0,115
│ 0,930 │ 3 │ 25 │ 0,096 │ 0,094
│ 0,920 │ 4 │ 30 │ 0,098 │ 0,087
│ 0,910 │ 5 │ 35 │ 0,098 │ 0,090
│ 0,900 │ 6 │ 40 │ 0,096 │ 0,099
│ 0,890 │ 8 │ 50 │ 0,092 │ 0,094
│ 0,880 │ 9 │ 54 │ 0,101 │ 0,107
│ 0,870 │ 12 │ 68 │ 0,101 │ 0,098
│ 0,860 │ 15 │ 82 │ 0,098 │ 0,104
│ 0,850 │ 18 │ 95 │ 0,104 │ 0,113
───────────┼──────────┼─────────┼──────────┼──────────┼───────────
0,700 │ 0,970 │ 0 │ 7 │ 0,082 │ 0,192
│ 0,960 │ 1 │ 12 │ 0,085 │ 0,069
│ 0,950 │ 1 │ 12 │ 0,085 │ 0,118
│ 0,940 │ 1 │ 12 │ 0,085 │ 0,160
│ 0,930 │ 2 │ 16 │ 0,099 │ 0,097
│ 0,920 │ 3 │ 21 │ 0,086 │ 0,092
│ 0,910 │ 3 │ 21 │ 0,086 │ 0,114
│ 0,900 │ 4 │ 25 │ 0,090 │ 0,098
│ 0,890 │ 5 │ 29 │ 0,093 │ 0,092
│ 0,880 │ 6 │ 33 │ 0,094 │ 0,093
│ 0,870 │ 7 │ 37 │ 0,095 │ 0,099
Таблица 35
Планы контроля показателей надежности
типа вероятность безотказной работы
по одноступенчатому методу (

)
───────────────────────────────────────────┬──────────────────────
Характеристика плана │ Истинный риск
───────────┬──────────┬─────────┬──────────┼──────────┬───────────
P (t) │P (t) │ C │ N │ бета' │ альфа'
бета │ альфа │ альфа │ │ │
───────────┼──────────┼─────────┼──────────┼──────────┼───────────
0,997 │ 0,999 │ 2 │ 1426 │ 0,200 │ 0,174
│ 0,998 │ 17 │ 7160 │ 0,200 │ 0,209
───────────┼──────────┼─────────┼──────────┼──────────┼───────────
0,996 │ 0,999 │ 1 │ 787 │ 0,177 │ 0,187
│ 0,998 │ 5 │ 1972 │ 0,200 │ 0,210
───────────┼──────────┼─────────┼──────────┼──────────┼───────────
0,995 │ 0,999 │ 0 │ 321 │ 0,200 │ 0,275
│ 0,998 │ 3 │ 1126 │ 0,190 │ 0,193
│ 0,997 │ 10 │ 2727 │ 0,200 │ 0,202
───────────┼──────────┼─────────┼──────────┼──────────┼───────────
0,994 │ 0,999 │ 0 │ 267 │ 0,200 │ 0,235
│ 0,998 │ 2 │ 742 │ 0,178 │ 0,188
│ 0,997 │ 5 │ 1316 │ 0,200 │ 0,206
│ 0,996 │ 16 │ 3385 │ 0,500 │ 0,208
───────────┼──────────┼─────────┼──────────┼──────────┼───────────
0,993 │ 0,999 │ 0 │ 229 │ 0,200 │ 0,205
│ 0,998 │ 1 │ 427 │ 0,200 │ 0,211
│ 0,997 │ 2 │ 610 │ 0,200 │ 0,277
│ 0,996 │ 7 │ 1457 │ 0,200 │ 0,233
───────────┼──────────┼─────────┼──────────┼──────────┼───────────
0,992 │ 0,998 │ 1 │ 375 │ 0,200 │ 0,174
│ 0,997 │ 2 │ 535 │ 0,200 │ 0,218
│ 0,996 │ 5 │ 990 │ 0,200 │ 0,209
│ 0,995 │ 11 │ 1845 │ 0,200 │ 0,219
───────────┼──────────┼─────────┼──────────┼──────────┼───────────
0,991 │ 0,998 │ 1 │ 333 │ 0,200 │ 0,145
│ 0,997 │ 2 │ 475 │ 0,200 │ 0,172
│ 0,996 │ 4 │ 750 │ 0,196 │ 0,185
│ 0,995 │ 7 │ 1136 │ 0,200 │ 0,213
│ 0,994 │ 16 │ 9256 │ 0,200 │ 0,206
───────────┼──────────┼─────────┼──────────┼──────────┼───────────
0,990 │ 0,998 │ 0 │ 160 │ 0,200 │ 0,274
│ 0,997 │ 1 │ 298 │ 0,200 │ 0,225
│ 0,996 │ 3 │ 550 │ 0,200 │ 0,181
│ 0,995 │ 5 │ 791 │ 0,200 │ 0,207
│ 0,994 │ 10 │ 1362 │ 0,200 │ 0,202
│ 0,993 │ 14 │ 1810 │ 0,200 │ 0,294
───────────┼──────────┼─────────┼──────────┼──────────┼───────────
0,980 │ 0,998 │ 0 │ 80 │ 0,200 │ 0,148
│ 0,997 │ 0 │ 80 │ 0,200 │ 0,214
│ 0,996 │ 1 │ 149 │ 0,200 │ 0,120
│ 0,995 │ 1 │ 149 │ 0,200 │ 0,171
│ 0,994 │ 1 │ 149 │ 0,200 │ 0,225
│ 0,993 │ 2 │ 213 │ 0,200 │ 0,190
│ 0,992 │ 3 │ 275 │ 0,200 │ 0,180
│ 0,991 │ 4 │ 335 │ 0,200 │ 0,190
│ 0,990 │ 5 │ 394 │ 0,200 │ 0,205
───────────┼──────────┼─────────┼──────────┼──────────┼───────────
0,970 │ 0,998 │ 0 │ 53 │ 0,200 │ 0,100
│ 0,997 │ 0 │ 53 │ 0,200 │ 0,147
│ 0,996 │ 0 │ 53 │ 0,200 │ 0,191
│ 0,995 │ 0 │ 53 │ 0,200 │ 0,233
│ 0,994 │ 0 │ 53 │ 0,200 │ 0,273
│ 0,993 │ 1 │ 99 │ 0,200 │ 0,153
│ 0,992 │ 1 │ 99 │ 0,200 │ 0,190
│ 0,991 │ 2 │ 142 │ 0,200 │ 0,137
│ 0,990 │ 2 │ 142 │ 0,200 │ 0,170
│ 0,980 │ 16 │ 676 │ 0,200 │ 0,203
───────────┼──────────┼─────────┼──────────┼──────────┼───────────
0,960 │ 0,997 │ 0 │ 40 │ 0,200 │ 0,113
│ 0,996 │ 0 │ 40 │ 0,195 │ 0,148
│ 0,995 │ 0 │ 40 │ 0,195 │ 0,182
│ 0,994 │ 0 │ 40 │ 0,195 │ 0,214
│ 0,993 │ 0 │ 40 │ 0,195 │ 0,245
│ 0,992 │ 0 │ 40 │ 0,195 │ 0,275
│ 0,991 │ 1 │ 74 │ 0,200 │ 0,144
│ 0,990 │ 1 │ 74 │ 0,200 │ 0,170
│ 0,980 │ 5 │ 196 │ 0,200 │ 0,201
───────────┼──────────┼─────────┼──────────┼──────────┼───────────
0,950 │ 0,996 │ 0 │ 32 │ 0,194 │ 0,120
│ 0,995 │ 0 │ 32 │ 0,194 │ 0,148
│ 0,994 │ 0 │ 32 │ 0,194 │ 0,175
│ 0,993 │ 0 │ 32 │ 0,194 │ 0,201
│ 0,992 │ 0 │ 32 │ 0,194 │ 0,227
│ 0,991 │ 0 │ 32 │ 0,194 │ 0,251
│ 0,990 │ 0 │ 32 │ 0,194 │ 0,275
│ 0,980 │ 3 │ 109 │ 0,200 │ 0,175
│ 0,970 │ 14 │ 362 │ 0,200 │ 0,130
───────────┼──────────┼─────────┼──────────┼──────────┼───────────
0,940 │ 0,995 │ 0 │ 26 │ 0,200 │ 0,122
│ 0,994 │ 0 │ 26 │ 0,200 │ 0,145
│ 0,993 │ 0 │ 26 │ 0,200 │ 0,200
│ 0,992 │ 0 │ 26 │ 0,200 │ 0,190
│ 0,991 │ 0 │ 26 │ 0,200 │ 0,210
│ 0,990 │ 0 │ 26 │ 0,200 │ 0,230
│ 0,980 │ 2 │ 71 │ 0,194 │ 0,170
│ 0,970 │ 5 │ 131 │ 0,200 │ 0,201
│ 0,960 │ 18 │ 374 │ 0,200 │ 0,174
───────────┼──────────┼─────────┼──────────┼──────────┼───────────
0,930 │ 0,990 │ 0 │ 23 │ 0,190 │ 0,206
│ 0,980 │ 1 │ 42 │ 0,200 │ 0,205
│ 0,970 │ 3 │ 78 │ 0,200 │ 0,207
│ 0,960 │ 8 │ 161 │ 0,200 │ 0,200
───────────┼──────────┼─────────┼──────────┼──────────┼───────────
0,920 │ 0,980 │ 1 │ 37 │ 0,193 │ 0,170
│ 0,970 │ 2 │ 53 │ 0,192 │ 0,212
│ 0,960 │ 5 │ 98 │ 0,200 │ 0,200
│ 0,950 │ 11 │ 183 │ 0,200 │ 0,207
───────────┼──────────┼─────────┼──────────┼──────────┼───────────
0,910 │ 0,980 │ 1 │ 33 │ 0,190 │ 0,140
│ 0,970 │ 2 │ 47 │ 0,193 │ 0,167
│ 0,960 │ 3 │ 60 │ 0,200 │ 0,219
│ 0,950 │ 7 │ 112 │ 0,200 │ 0,200
│ 0,940 │ 17 │ 236 │ 0,200 │ 0,180
───────────┼──────────┼─────────┼──────────┼──────────┼───────────
0,900 │ 0,980 │ 0 │ 16 │ 0,185 │ 0,280
│ 0,970 │ 1 │ 29 │ 0,200 │ 0,216
│ 0,960 │ 2 │ 42 │ 0,200 │ 0,236
│ 0,950 │ 5 │ 78 │ 0,200 │ 0,200
│ 0,940 │ 11 │ 146 │ 0,200 │ 0,170
│ 0,930 │ 18 │ 223 │ 0,200 │ 0,219
───────────┼──────────┼─────────┼──────────┼──────────┼───────────
0,890 │ 0,980 │ 0 │ 14 │ 0,200 │ 0,246
│ 0,970 │ 1 │ 27 │ 0,190 │ 0,194
│ 0,960 │ 2 │ 38 │ 0,200 │ 0,194
│ 0,950 │ 3 │ 49 │ 0,200 │ 0,229
│ 0,940 │ 6 │ 81 │ 0,200 │ 0,213
│ 0,930 │ 12 │ 143 │ 0,200 │ 0,202
│ 0,920 │ 18 │ 203 │ 0,200 │ 0,270
───────────┼──────────┼─────────┼──────────┼──────────┼───────────
0,880 │ 0,980 │ 0 │ 13 │ 0,190 │ 0,231
│ 0,970 │ 1 │ 26 │ 0,164 │ 0,183
│ 0,960 │ 1 │ 24 │ 0,200 │ 0,250
│ 0,950 │ 3 │ 45 │ 0,195 │ 0,187
│ 0,940 │ 5 │ 65 │ 0,193 │ 0,194
│ 0,930 │ 8 │ 93 │ 0,201 │ 0,203
│ 0,920 │ 15 │ 158 │ 0,200 │ 0,200
───────────┼──────────┼─────────┼──────────┼──────────┼───────────
0,870 │ 0,970 │ 1 │ 22 │ 0,200 │ 0,140
│ 0,960 │ 1 │ 22 │ 0,200 │ 0,219
│ 0,950 │ 2 │ 32 │ 0,200 │ 0,213
│ 0,940 │ 4 │ 51 │ 0,190 │ 0,190
│ 0,930 │ 6 │ 69 │ 0,191 │ 0,207
│ 0,920 │ 10 │ 103 │ 0,201 │ 0,200
│ 0,910 │ 18 │ 171 │ 0,200 │ 0,200
───────────┼──────────┼─────────┼──────────┼──────────┼───────────
0,860 │ 0,970 │ 1 │ 21 │ 0,190 │ 0,130
│ 0,960 │ 1 │ 21 │ 0,190 │ 0,204
│ 0,950 │ 2 │ 30 │ 0,190 │ 0,190
│ 0,940 │ 3 │ 39 │ 0,185 │ 0,205
│ 0,930 │ 5 │ 55 │ 0,200 │ 0,190
│ 0,920 │ 8 │ 80 │ 0,200 │ 0,190
│ 0,910 │ 12 │ 112 │ 0,200 │ 0,207
│ 0,900 │ 18 │ 159 │ 0,200 │ 0,240
───────────┼──────────┼─────────┼──────────┼──────────┼───────────
0,850 │ 0,970 │ 0 │ 10 │ 0,200 │ 0,263
│ 0,960 │ 1 │ 19 │ 0,200 │ 0,175
│ 0,950 │ 1 │ 19 │ 0,200 │ 0,245
│ 0,940 │ 2 │ 28 │ 0,190 │ 0,235
│ 0,930 │ 4 │ 44 │ 0,190 │ 0,192
│ 0,920 │ 6 │ 59 │ 0,200 │ 0,191
│ 0,910 │ 9 │ 82 │ 0,200 │ 0,201
│ 0,900 │ 15 │ 126 │ 0,200 │ 0,191
│ 0,890 │ 18 │ 148 │ 0,200 │ 0,270
───────────┼──────────┼─────────┼──────────┼──────────┼───────────
0,800 │ 0,970 │ 0 │ 8 │ 0,170 │ 0,216
│ 0,960 │ 0 │ 8 │ 0,170 │ 0,280
│ 0,950 │ 1 │ 14 │ 0,200 │ 0,153
│ 0,940 │ 1 │ 14 │ 0,200 │ 0,204
│ 0,930 │ 2 │ 21 │ 0,180 │ 0,180
│ 0,920 │ 3 │ 27 │ 0,182 │ 0,166
│ 0,910 │ 4 │ 33 │ 0,182 │ 0,171
│ 0,900 │ 5 │ 40 │ 0,200 │ 0,175
│ 0,890 │ 6 │ 44 │ 0,200 │ 0,205
│ 0,880 │ 9 │ 61 │ 0,200 │ 0,191
│ 0,870 │ 12 │ 78 │ 0,192 │ 0,209
│ 0,860 │ 18 │ 111 │ 0,191 │ 0,206
───────────┼──────────┼─────────┼──────────┼──────────┼───────────
0,750 │ 0,960 │ 0 │ 6 │ 0,180 │ 0,217
│ 0,950 │ 0 │ 6 │ 0,180 │ 0,265
│ 0,940 │ 0 │ 6 │ 0,180 │ 0,310
│ 0,930 │ 1 │ 11 │ 0,200 │ 0,180
│ 0,920 │ 1 │ 11 │ 0,200 │ 0,218
│ 0,910 │ 2 │ 16 │ 0,200 │ 0,170
│ 0,900 │ 2 │ 16 │ 0,200 │ 0,211
│ 0,890 │ 3 │ 21 │ 0,192 │ 0,194
│ 0,880 │ 4 │ 26 │ 0,184 │ 0,200
│ 0,870 │ 5 │ 30 │ 0,203 │ 0,190
│ 0,860 │ 6 │ 35 │ 0,192 │ 0,211
│ 0,850 │ 8 │ 44 │ 0,194 │ 0,206
───────────┼──────────┼─────────┼──────────┼──────────┼───────────
0,700 │ 0,960 │ 0 │ 5 │ 0,170 │ 0,185
│ 0,950 │ 0 │ 5 │ 0,170 │ 0,226
│ 0,940 │ 0 │ 5 │ 0,170 │ 0,270
│ 0,930 │ 0 │ 5 │ 0,170 │ 0,304
│ 0,920 │ 1 │ 9 │ 0,200 │ 0,160
│ 0,910 │ 1 │ 9 │ 0,200 │ 0,191
│ 0,900 │ 1 │ 9 │ 0,200 │ 0,225
│ 0,890 │ 2 │ 14 │ 0,161 │ 0,194
│ 0,880 │ 3 │ 21 │ 0,192 │ 0,240
│ 0,870 │ 3 │ 17 │ 0,202 │ 0,171
│ 0,860 │ 3 │ 17 │ 0,202 │ 0,207
│ 0,850 │ 4 │ 21 │ 0,200 │ 0,200
│ 0,800 │ 18 │ 73 │ 0,194 │ 0,128
───────────┼──────────┼─────────┼──────────┼──────────┼───────────
0,650 │ 0,940 │ 0 │ 4 │ 0,180 │ 0,219
│ 0,930 │ 0 │ 4 │ 0,180 │ 0,252
│ 0,920 │ 0 │ 4 │ 0,180 │ 0,284
│ 0,910 │ 1 │ 8 │ 0,170 │ 0,160
Для контроля организуется n независимых наблюдений, продолжительность каждого из которых равна наработке, для которой задана вероятность безотказной работы, и в каждом наблюдении фиксируют результат: наличие или отсутствие отказа. После n-го наблюдения принимают решение о соответствии безотказности заданным требованиям, если число отказов не больше приемочного числа

. Решение о несоответствии принимают в случае, если число отказов больше приемочного числа.
Испытания могут быть прекращены с принятием решения о несоответствии, если число отказов превысит

.
2.2. Последовательный контроль
2.2.1. Параметры планов контроля определяют по табл. 36 -
38. По ним в прямоугольной системе координат (
черт. 3) строят график последовательных испытаний.
Таблица 36
Планы контроля показателей надежности
типа вероятность безотказной работы
по последовательному методу (

)
──────────┬──────────┬─────────┬─────────┬────────┬───────┬───────
P (t) │P (t) │ a │ r │ r │ n │ n'
бета │ альфа │ │ 0 │ ус │ 0 │
──────────┼──────────┼─────────┼─────────┼────────┼───────┼───────
0,998 │ 0,999 │ 0,00144 │ 4,24 │ 23 │ 2940 │ 8620
──────────┼──────────┼─────────┼─────────┼────────┼───────┼───────
0,997 │ 0,999 │ 0,00182 │ 2,68 │ 10 │ 1470 │ 2930
──────────┼──────────┼─────────┼─────────┼────────┼───────┼───────
0,986 │ 0,999 │ 0,00216 │ 2,12 │ 6 │ 980 │ 1640
│ 0,998 │ 0,00289 │ 4,24 │ 23 │ 1470 │ 4300
──────────┼──────────┼─────────┼─────────┼────────┼───────┼───────
0,995 │ 0,999 │ 0,00249 │ 1,82 │ 5 │ 730 │ 1110
──────────┼──────────┼─────────┼─────────┼────────┼───────┼───────
0,994 │ 0,998 │ 0,00364 │ 2,67 │ 9 │ 733 │ 1460
│ 0,997 │ 0,00433 │ 4,23 │ 23 │ 977 │ 2870
──────────┼──────────┼─────────┼─────────┼────────┼───────┼───────
0,992 │ 0,998 │ 0,00432 │ 2,12 │ 6 │ 488 │ 816
│ 0,996 │ 0,00577 │ 4,22 │ 23 │ 732 │ 2140
──────────┼──────────┼─────────┼─────────┼────────┼───────┼───────
0,991 │ 0,997 │ 0,00546 │ 2,66 │ 9 │ 488 │ 973
──────────┼──────────┼─────────┼─────────┼────────┼───────┼───────
0,990 │ 0,998 │ 0,00495 │ 1,82 │ 5 │ 366 │ 550
│ 0,995 │ 0,00722 │ 4,22 │ 23 │ 584 │ 1710
──────────┼──────────┼─────────┼─────────┼────────┼───────┼───────
0,988 │ 0,997 │ 0,00647 │ 2,11 │ 8 │ 325 │ 543
│ 0,996 │ 0,00729 │ 2,66 │ 12 │ 370 │ 728
│ 0,994 │ 0,00866 │ 4,21 │ 23 │ 990 │ 1430
──────────┼──────────┼─────────┼─────────┼────────┼───────┼───────
0,985 │ 0,997 │ 0,00746 │ 1,82 │ 6 │ 243 │ 366
│ 0,995 │ 0,00906 │ 2,66 │ 9 │ 290 │ 581
──────────┼──────────┼─────────┼─────────┼────────┼───────┼───────
0,986 │ 0,993 │ 0,0101 │ 4,21 │ 23 │ 420 │ 1220
──────────┼──────────┼─────────┼─────────┼────────┼───────┼───────
0,984 │ 0,996 │ 0,00865 │ 2,10 │ 8 │ 240 │ 406
│ 0,992 │ 0,0115 │ 4,20 │ 23 │ 370 │ 1060
──────────┼──────────┼─────────┼─────────┼────────┼───────┼───────
0,982 │ 0,994 │ 0,0109 │ 2,65 │ 9 │ 240 │ 483
│ 0,991 │ 0,0129 │ 4,19 │ 23 │ 320 │ 945
──────────┼──────────┼─────────┼─────────┼────────┼───────┼───────
0,980 │ 0,996 │ 0,00996 │ 1,81 │ 5 │ 180 │ 273
│ 0,995 │ 0,0108 │ 2,10 │ 6 │ 190 │ 324
│ 0,990 │ 0,0144 │ 4,19 │ 23 │ 390 │ 850
──────────┼──────────┼─────────┼─────────┼────────┼───────┼───────
0,976 │ 0,994 │ 0,01308 │ 2,10 │ 6 │ 160 │ 269
│ 0,992 │ 0,0146 │ 2,64 │ 10 │ 180 │ 361
──────────┼──────────┼─────────┼─────────┼────────┼───────┼───────
0,975 │ 0,995 │ 0,0124 │ 1,81 │ 5 │ 150 │ 218
──────────┼──────────┼─────────┼─────────┼────────┼───────┼───────
0,973 │ 0,991 │ 0,0164 │ 2,64 │ 9 │ 160 │ 820
──────────┼──────────┼─────────┼─────────┼────────┼───────┼───────
0,972 │ 0,993 │ 0,0152 │ 2,09 │ 6 │ 140 │ 230
──────────┼──────────┼─────────┼─────────┼────────┼───────┼───────
0,970 │ 0,994 │ 0,0150 │ 1,80 │ 5 │ 120 │ 181
│ 0,990 │ 0,0182 │ 2,63 │ 9 │ 140 │ 287
──────────┼──────────┼─────────┼─────────┼────────┼───────┼───────
0,979 │ 0,993 │ 0,0128 │ 2,64 │ 9 │ 210 │ 413
──────────┼──────────┼─────────┼─────────┼────────┼───────┼───────
0,968 │ 0,992 │ 0,0173 │ 209 │ 6 │ 120 │ 201
──────────┼──────────┼─────────┼─────────┼────────┼───────┼───────
0,965 │ 0,993 │ 0,0175 │ 1,80 │ 5 │ 100 │ 155
──────────┼──────────┼─────────┼─────────┼────────┼───────┼───────
0,964 │ 0,991 │ 0,0196 │ 208 │ 6 │ 110 │ 178
──────────┼──────────┼─────────┼─────────┼────────┼───────┼───────
0,960 │ 0,992 │ 0,0200 │ 1,79 │ 5 │ 898 │ 135
│ 0,990 │ 0,0217 │ 2,08 │ 6 │ 100 │ 160
│ 0,980 │ 0,0289 │ 4,12 │ 23 │ 143 │ 418
──────────┼──────────┼─────────┼─────────┼────────┼───────┼───────
0,955 │ 0,991 │ 0,0225 │ 1,79 │ 5 │ 79,6 │ 119
──────────┼──────────┼─────────┼─────────┼────────┼───────┼───────
0,950 │ 0,990 │ 0,0250 │ 1,78 │ 5 │ 714 │ 107
──────────┼──────────┼─────────┼─────────┼────────┼───────┼───────
0,940 │ 0,980 │ 0,0365 │ 2,58 │ 9 │ 70,7 │ 140
│ 0,970 │ 0,0434 │ 4,06 │ 23 │ 93,7 │ 274
──────────┼──────────┼─────────┼─────────┼────────┼───────┼───────
0,920 │ 0,980 │ 0,0436 │ 2,03 │ 6 │ 46,6 │ 78
│ 0,960 │ 0,0578 │ 4,00 │ 23 │ 69,2 │ 202
──────────┼──────────┼─────────┼─────────┼────────┼───────┼───────
0,900 │ 0,980 │ 0,0502 │ 1,74 │ 5 │ 34,6 │ 52
│ 0,950 │ 0,0723 │ 3,94 │ 23 │ 54,5 │ 159
──────────┼──────────┼─────────┼─────────┼────────┼───────┼───────
0,910 │ 0,970 │ 0,0550 │ 2,53 │ 9 │ 46,1 │ 91
──────────┼──────────┼─────────┼─────────┼────────┼───────┼───────
0,880 │ 0,970 │ 0,0656 │ 1,98 │ 6 │ 30,2 │ 50,1
│ 0,960 │ 0,0734 │ 2,48 │ 9 │ 33,8 │ 66,9
│ 0,940 │ 0,0869 │ 3,88 │ 23 │ 44,6 │ 130
──────────┼──────────┼─────────┼─────────┼────────┼───────┼───────
0,860 │ 0,930 │ 0,101 │ 3,82 │ 23 │ 37,6 │ 109
──────────┼──────────┼─────────┼─────────┼────────┼───────┼───────
0,850 │ 0,970 │ 0,0758 │ 1,69 │ 5 │ 22,3 │ 33,2
│ 0,950 │ 0,0919 │ 2,43 │ 9 │ 20,4 │ 52,2
──────────┼──────────┼─────────┼─────────┼────────┼───────┼───────
0,840 │ 0,960 │ 0,0878 │ 1,94 │ 6 │ 22,1 │ 36,4
│ 0,920 │ 0,116 │ 3,76 │ 23 │ 32,4 │ 93,8
──────────┼──────────┼─────────┼─────────┼────────┼───────┼───────
0,820 │ 0,940 │ 0,1116 │ 2,38 │ 10 │ 21,6 │ 42,4
│ 0,910 │ 0,1310 │ 3,69 │ 23 │ 28,3 │ 81,8
──────────┼──────────┼─────────┼─────────┼────────┼───────┼───────
0,800 │ 0,960 │ 0,1027 │ 1,64 │ 5 │ 16,1 │ 23,9
│ 0,950 │ 0,1100 │ 1,89 │ 6 │ 17,1 │ 28,2
│ 0,900 │ 0,1450 │ 3,63 │ 23 │ 25,0 │ 72,0
──────────┼──────────┼─────────┼─────────┼────────┼───────┼───────
0,790 │ 0,930 │ 0,1290 │ 2,33 │ 9 │ 18,0 │ 35,4
──────────┼──────────┼─────────┼─────────┼────────┼───────┼───────
0,780 │ 0,890 │ 0,1600 │ 3,57 │ 23 │ 22,3 │ 64,4
──────────┼──────────┼─────────┼─────────┼────────┼───────┼───────
0,760 │ 0,940 │ 0,1338 │ 1,84 │ 6 │ 13,9 │ 22,7
│ 0,920 │ 0,1480 │ 2,28 │ 8 │ 15,4 │ 30,2
│ 0,880 │ 0,1750 │ 3,51 │ 21 │ 20,1 │ 57,8
──────────┼──────────┼─────────┼─────────┼────────┼───────┼───────
0,750 │ 0,950 │ 0,1280 │ 1,60 │ 5 │ 12,5 │ 18,4
──────────┼──────────┼─────────┼─────────┼────────┼───────┼───────
0,740 │ 0,870 │ 0,1890 │ 3,44 │ 20 │ 18,2 │ 52,3
──────────┼──────────┼─────────┼─────────┼────────┼───────┼───────
0,730 │ 0,910 │ 0,1670 │ 2,23 │ 9 │ 13,4 │ 26,1
──────────┼──────────┼─────────┼─────────┼────────┼───────┼───────
0,720 │ 0,930 │ 0,1560 │ 1,79 │ 6 │ 11,5 │ 18,8
│ 0,860 │ 0,2040 │ 3,40 │ 20 │ 16,6 │ 47,5
──────────┼──────────┼─────────┼─────────┼────────┼───────┼───────
0,700 │ 0,940 │ 0,1550 │ 1,55 │ 4 │ 10,0 │ 14,7
│ 0,900 │ 0,1860 │ 2,18 │ 9 │ 11,7 │ 23,0
│ 0,850 │ 0,2190 │ 3,32 │ 22 │ 15,2 │ 43,3
Таблица 37
Планы контроля показателей надежности
типа вероятность безотказной работы
по последовательному методу (

)
──────────┬──────────┬─────────┬─────────┬────────┬───────┬───────
P (t) │P (t) │ a │ r │ r │ n │ n'
бета │ альфа │ │ 0 │ ус │ 0 │
──────────┼──────────┼─────────┼─────────┼────────┼───────┼───────
0,998 │ 0,999 │ 0,00144 │ 3,16 │ 14 │ 2190 │ 5730
──────────┼──────────┼─────────┼─────────┼────────┼───────┼───────
0,997 │ 0,999 │ 0,00182 │ 2,00 │ 6 │ 1100 │ 1950
──────────┼──────────┼─────────┼─────────┼────────┼───────┼───────
0,996 │ 0,999 │ 0,00216 │ 1,58 │ 4 │ 730 │ 1090
│ 0,998 │ 0,00289 │ 3,16 │ 14 │ 1110 │ 2860
──────────┼──────────┼─────────┼─────────┼────────┼───────┼───────
0,995 │ 0,999 │ 0,00249 │ 1,36 │ 3 │ 550 │ 734
──────────┼──────────┼─────────┼─────────┼────────┼───────┼───────
0,994 │ 0,998 │ 0,00364 │ 2,00 │ 6 │ 550 │ 972
│ 0,997 │ 0,00433 │ 3,16 │ 14 │ 730 │ 1900
──────────┼──────────┼─────────┼─────────┼────────┼───────┼───────
0,992 │ 0,998 │ 0,00432 │ 1,58 │ 4 │ 360 │ 542
│ 0,996 │ 0,00577 │ 3,15 │ 14 │ 546 │ 1420
──────────┼──────────┼─────────┼─────────┼────────┼───────┼───────
0,990 │ 0,998 │ 0,00495 │ 1,36 │ 3 │ 273 │ 366
│ 0,995 │ 0,00722 │ 3,15 │ 14 │ 440 │ 1140
──────────┼──────────┼─────────┼─────────┼────────┼───────┼───────
0,991 │ 0,997 │ 0,00545 │ 1,99 │ 6 │ 364 │ 646
──────────┼──────────┼─────────┼─────────┼────────┼───────┼───────
0,988 │ 0,997 │ 0,00647 │ 1,57 │ 5 │ 242 │ 360
│ 0,994 │ 0,00866 │ 3,14 │ 14 │ 363 │ 947
│ 0,996 │ 0,00729 │ 1,98 │ 8 │ 270 │ 484
──────────┼──────────┼─────────┼─────────┼────────┼───────┼───────
0,985 │ 0,997 │ 0,00746 │ 1,36 │ 3 │ 180 │ 243
│ 0,995 │ 0,00906 │ 1,98 │ 8 │ 220 │ 386
──────────┼──────────┼─────────┼─────────┼────────┼───────┼───────
0,984 │ 0,996 │ 0,00865 │ 1,57 │ 5 │ 180 │ 270
│ 0,992 │ 0,0115 │ 3,13 │ 14 │ 270 │ 708
──────────┼──────────┼─────────┼─────────┼────────┼───────┼───────
0,980 │ 0,996 │ 0,00996 │ 1,35 │ 3 │ 136 │ 182
│ 0,995 │ 0,0108 │ 1,57 │ 4 │ 145 │ 215
│ 0,990 │ 0,0144 │ 3,12 │ 14 │ 216 │ 564
──────────┼──────────┼─────────┼─────────┼────────┼───────┼───────
0,976 │ 0,995 │ 0,0124 │ 1,35 │ 3 │ 108 │ 145
│ 0,994 │ 0,0130 │ 1,56 │ 4 │ 120 │ 179
│ 0,992 │ 0,0146 │ 1,97 │ 7 │ 135 │ 240
──────────┼──────────┼─────────┼─────────┼────────┼───────┼───────
0,982 │ 0,994 │ 0,00866 │ 3,14 │ 14 │ 363 │ 947
│ 0,991 │ 0,0129 │ 3,13 │ 14 │ 240 │ 628
──────────┼──────────┼─────────┼─────────┼────────┼───────┼───────
0,970 │ 0,994 │ 0,0150 │ 1,34 │ 3 │ 89,90 │ 120
│ 0,990 │ 0,0182 │ 1,96 │ 7 │ 108 │ 191
──────────┼──────────┼─────────┼─────────┼────────┼───────┼───────
0,986 │ 0,993 │ 0,0101 │ 3,14 │ 14 │ 310 │ 810
──────────┼──────────┼─────────┼─────────┼────────┼───────┼───────
0,979 │ 0,993 │ 0,0128 │ 1,97 │ 5 │ 155 │ 275
──────────┼──────────┼─────────┼─────────┼────────┼───────┼───────
0,972 │ 0,993 │ 0,6152 │ 1,56 │ 3 │ 103 │ 153
──────────┼──────────┼─────────┼─────────┼────────┼───────┼───────
0,965 │ 0,993 │ 0,0175 │ 1,34 │ 3 │ 76,80 │ 103
──────────┼──────────┼─────────┼─────────┼────────┼───────┼───────
0,968 │ 0,992 │ 0,0174 │ 1,56 │ 4 │ 89,70 │ 133
──────────┼──────────┼─────────┼─────────┼────────┼───────┼───────
0,960 │ 0,992 │ 0,0200 │ 1,34 │ 3 │ 67,20 │ 89,60
│ 0,990 │ 0,0217 │ 1,55 │ 5 │ 71,60 │ 106
│ 0,980 │ 0,0289 │ 3,08 │ 14 │ 107 │ 277
──────────┼──────────┼─────────┼─────────┼────────┼───────┼───────
0,973 │ 0,991 │ 0,0164 │ 1,97 │ 7 │ 120 │ 213
──────────┼──────────┼─────────┼─────────┼────────┼───────┼───────
0,964 │ 0,991 │ 0,0195 │ 1,55 │ 5 │ 79,80 │ 118
──────────┼──────────┼─────────┼─────────┼────────┼───────┼───────
0,955 │ 0,991 │ 0,0225 │ 1,33 │ 3 │ 59,70 │ 79,30
──────────┼──────────┼─────────┼─────────┼────────┼───────┼───────
0,950 │ 0,990 │ 0,0250 │ 1,33 │ 3 │ 53,30 │ 71,20
──────────┼──────────┼─────────┼─────────┼────────┼───────┼───────
0,940 │ 0,980 │ 0,0365 │ 1,93 │ 6 │ 52,70 │ 93,30
│ 0,970 │ 0,0434 │ 3,03 │ 13 │ 69,90 │ 182
──────────┼──────────┼─────────┼─────────┼────────┼───────┼───────
0,920 │ 0,980 │ 0,0436 │ 1,52 │ 4 │ 34,80 │ 51,50
│ 0,960 │ 0,0578 │ 2,99 │ 13 │ 51,60 │ 134
──────────┼──────────┼─────────┼─────────┼────────┼───────┼───────
0,900 │ 0,980 │ 0,0502 │ 1,30 │ 3 │ 25,80 │ 34,30
│ 0,950 │ 0,0723 │ 2,94 │ 13 │ 40,70 │ 105
──────────┼──────────┼─────────┼─────────┼────────┼───────┼───────
0,910 │ 0,970 │ 0,0550 │ 1,89 │ 7 │ 34,40 │ 60,70
──────────┼──────────┼─────────┼─────────┼────────┼───────┼───────
0,880 │ 0,970 │ 0,0656 │ 1,48 │ 4 │ 22,60 │ 33,30
│ 0,960 │ 0,0734 │ 1,85 │ 6 │ 25,20 │ 44,50
│ 0,940 │ 0,0869 │ 2,89 │ 13 │ 33,30 │ 86,20
──────────┼──────────┼─────────┼─────────┼────────┼───────┼───────
0,850 │ 0,970 │ 0,0758 │ 1,26 │ 3 │ 16,60 │ 21,10
│ 0,950 │ 0,0919 │ 1,82 │ 6 │ 19,70 │ 34,70
──────────┼──────────┼─────────┼─────────┼────────┼───────┼───────
0,840 │ 0,960 │ 0,0878 │ 1,45 │ 4 │ 16,50 │ 24,20
│ 0,920 │ 0,1160 │ 2,80 │ 12 │ 24,20 │ 62,20
──────────┼──────────┼─────────┼─────────┼────────┼───────┼───────
0,800 │ 0,960 │ 0,1027 │ 1,23 │ 3 │ 12,10 │ 15,90
──────────┼──────────┼─────────┼─────────┼────────┼───────┼───────
0,820 │ 0,940 │ 0,1110 │ 1,78 │ 6 │ 16,10 │ 28,10
│ 0,910 │ 0,1310 │ 2,76 │ 12 │ 21,10 │ 54,30
──────────┼──────────┼─────────┼─────────┼────────┼───────┼───────
6,800 │ 0,960 │ 0,1027 │ 1,23 │ 3 │ 12,10 │ 15,90
│ 0,950 │ 0,1100 │ 1,41 │ 4 │ 12,80 │ 18,70
│ 0,900 │ 0,1450 │ 2,71 │ 12 │ 18,60 │ 47,80
──────────┼──────────┼─────────┼─────────┼────────┼───────┼───────
0,790 │ 0,930 │ 0,1290 │ 1,74 │ 6 │ 13,40 │ 23,50
──────────┼──────────┼─────────┼─────────┼────────┼───────┼───────
0,780 │ 0,890 │ 0,1600 │ 2,66 │ 12 │ 16,70 │ 42,70
──────────┼──────────┼─────────┼─────────┼────────┼───────┼───────
0,760 │ 0,940 │ 0,1330 │ 1,37 │ 3 │ 10,40 │ 15,10
│ 0,920 │ 0,1480 │ 1,70 │ 5 │ 11,50 │ 20,00
│ 0,880 │ 0,1750 │ 2,62 │ 12 │ 15,00 │ 38,30
──────────┼──────────┼─────────┼─────────┼────────┼───────┼───────
0,730 │ 0,910 │ 0,1670 │ 1,67 │ 5 │ 9,97 │ 17,30
──────────┼──────────┼─────────┼─────────┼────────┼───────┼───────
0,720 │ 0,930 │ 0,1560 │ 1,34 │ 3 │ 8,58 │ 12,50
│ 0,860 │ 0,2040 │ 2,52 │ 11 │ 12,40 │ 31,50
──────────┼──────────┼─────────┼─────────┼────────┼───────┼───────
0,700 │ 0,940 │ 0,1450 │ 1,15 │ 2 │ 7,46 │ 9,75
│ 0,900 │ 0,1860 │ 1,63 │ 5 │ 8,74 │ 15,30
│ 0,850 │ 0,2190 │ 2,48 │ 12 │ 11,30 │ 29,80
Таблица 38
Планы контроля показателей надежности
типа вероятность безотказной работы
по последовательному методу (

)
──────────┬──────────┬─────────┬─────────┬────────┬───────┬───────
P (t) │P (t) │ a │ r │ r │ n │ n'
бета │ альфа │ │ 0 │ ус │ 0 │
──────────┼──────────┼─────────┼─────────┼────────┼───────┼───────
0,998 │ 0,999 │ 0,00144 │ 2,00 │ 7 │ 1380 │ 2710
──────────┼──────────┼─────────┼─────────┼────────┼───────┼───────
0,997 │ 0,999 │ 0,00182 │ 1,26 │ 3 │ 692 │ 920
──────────┼──────────┼─────────┼─────────┼────────┼───────┼───────
0,996 │ 0,999 │ 0,00216 │ 1,00 │ 2 │ 460 │ 515
│ 0,998 │ 0,00289 │ 1,99 │ 6 │ 691 │ 1350
──────────┼──────────┼─────────┼─────────┼────────┼───────┼───────
0,995 │ 0,999 │ 0,00249 │ 0,86 │ 1 │ 346 │ 347
──────────┼──────────┼─────────┼─────────┼────────┼───────┼───────
0,994 │ 0,998 │ 0,00364 │ 1,26 │ 3 │ 345 │ 459
──────────┼──────────┼─────────┼─────────┼────────┼───────┼───────
0,992 │ 0,998 │ 0,00432 │ 1,00 │ 2 │ 230 │ 256
│ 0,996 │ 0,00577 │ 1,99 │ │ 344 │ 673
──────────┼──────────┼─────────┼─────────┼────────┼───────┼───────
0,990 │ 0,998 │ 0,00495 │ 0,86 │ 1 │ 112 │ 173
│ 0,995 │ 0,00722 │ 1,99 │ 6 │ 215 │ 538
──────────┼──────────┼─────────┼─────────┼────────┼───────┼───────
0,994 │ 0,997 │ 0,00433 │ 1,99 │ 6 │ 460 │ 899
──────────┼──────────┼─────────┼─────────┼────────┼───────┼───────
0,991 │ 0,997 │ 0,00545 │ 1,26 │ 3 │ 230 │ 306
──────────┼──────────┼─────────┼─────────┼────────┼───────┼───────
0,988 │ 0,997 │ 0,00647 │ 0,99 │ 2 │ 153 │ 170
│ 0,996 │ 0,00729 │ 1,25 │ 4 │ 172 │ 229
│ 0,994 │ 0,00866 │ 1,98 │ 8 │ 230 │ 447
──────────┼──────────┼─────────┼─────────┼────────┼───────┼───────
0,984 │ 0,996 │ 0,00865 │ 0,99 │ 3 │ 114 │ 127
──────────┼──────────┼─────────┼─────────┼────────┼───────┼───────
0,980 │ 0,996 │ 0,00996 │ 0,85 │ 3 │ 85,70 │ 85,80
│ 0,990 │ 0,0144 │ 1,97 │ 6 │ 137 │ 267
│ 0,995 │ 0,0108 │ 0,99 │ 2 │ 91,80 │ 102
──────────┼──────────┼─────────┼─────────┼────────┼───────┼───────
0,985 │ 0,995 │ 0,00906 │ 1,25 │ 4 │ 137 │ 183
──────────┼──────────┼─────────┼─────────┼────────┼───────┼───────
0,975 │ 0,995 │ 0,0124 │ 0,85 │ 2 │ 68,30 │ 68,40
──────────┼──────────┼─────────┼─────────┼────────┼───────┼───────
0,982 │ 0,994 │ 0,0109 │ 1,25 │ 4 │ 114 │ 152
│ 0,991 │ 0,0129 │ 1,97 │ 6 │ 152 │ 297
──────────┼──────────┼─────────┼─────────┼────────┼───────┼───────
0,976 │ 0,994 │ 0,0130 │ 0,99 │ 2 │ 75 │ 84,50
──────────┼──────────┼─────────┼─────────┼────────┼───────┼───────
0,976 │ 0,992 │ 0,0146 │ 1,24 │ 3 │ 85,20 │ 113
──────────┼──────────┼─────────┼─────────┼────────┼───────┼───────
0,960 │ 0,992 │ 0,0174 │ 0,98 │ 2 │ 56,50 │ 63,0
──────────┼──────────┼─────────┼─────────┼────────┼───────┼───────
0,973 │ 0,991 │ 0,0164 │ 1,24 │ 3 │ 75,80 │100,00
──────────┼──────────┼─────────┼─────────┼────────┼───────┼───────
0,970 │ 0,990 │ 0,0182 │ 1,23 │ 2 │ 67,80 │ 90,20
──────────┼──────────┼─────────┼─────────┼────────┼───────┼───────
0,964 │ 0,991 │ 0,0195 │ 0,98 │ 2 │ 50,40 │ 55,80
──────────┼──────────┼─────────┼─────────┼────────┼───────┼───────
0,960 │ 0,992 │ 0,0199 │ 0,84 │ 1 │ 42,40 │ 42,30
│ 0,990 │ 0,0217 │ 0,98 │ 2 │ 43,20 │ 50,10
│ 0,980 │ 0,0289 │ 1,94 │ 6 │ 66,90 │131,00
──────────┼──────────┼─────────┼─────────┼────────┼───────┼───────
0,955 │ 0,991 │ 0,0225 │ 0,84 │ 1 │ 37,70 │ 37,50
──────────┼──────────┼─────────┼─────────┼────────┼───────┼───────
0,950 │ 0,990 │ 0,0250 │ 0,34 │ 1 │ 33,40 │ 33,60
──────────┼──────────┼─────────┼─────────┼────────┼───────┼───────
0,940 │ 0,980 │ 0,0365 │ 1,22 │ 3 │ 33,40 │ 44,10
│ 0,970 │ 0,0434 │ 1,91 │ 6 │ 44,30 │ 86,00
│ 0,960 │ 0,0878 │ 0,91 │ 2 │ 10,40 │ 11,40
──────────┼──────────┼─────────┼─────────┼────────┼───────┼───────
0,920 │ 0,980 │ 0,0436 │ 0,96 │ 2 │ 22,10 │ 24,30
│ 0,960 │ 0,0578 │ 1,88 │ 6 │ 32,60 │ 63,40
──────────┼──────────┼─────────┼─────────┼────────┼───────┼───────
0,910 │ 0,970 │ 0,0550 │ 1,19 │ 3 │ 21,70 │ 28,70
──────────┼──────────┼─────────┼─────────┼────────┼───────┼───────
0,900 │ 0,980 │ 0,0502 │ 0,82 │ 1 │ 16,50 │ 16,20
│ 0,950 │ 0,0723 │ 1,88 │ 6 │ 25,70 │ 49,80
──────────┼──────────┼─────────┼─────────┼────────┼───────┼───────
0,880 │ 0,970 │ 0,0656 │ 0,93 │ 2 │ 14,10 │ 15,70
│ 0,960 │ 0,0734 │ 1,17 │ 2 │ 15,90 │ 21,00
│ 0,940 │ 0,0869 │ 1,83 │ 6 │ 21,00 │ 40,80
──────────┼──────────┼─────────┼─────────┼────────┼───────┼───────
0,860 │ 0,930 │ 0,1000 │ 1,80 │ 6 │ 17,70 │ 34,30
──────────┼──────────┼─────────┼─────────┼────────┼───────┼───────
0,850 │ 0,970 │ 0,0758 │ 0,80 │ 1 │ 10,40 │ 10,40
│ 0,950 │ 0,0919 │ 1,15 │ 2 │ 12,40 │ 16,40
──────────┼──────────┼─────────┼─────────┼────────┼───────┼───────
0,840 │ 0,920 │ 0,1160 │ 1,77 │ 6 │ 15,30 │ 34,30
──────────┼──────────┼─────────┼─────────┼────────┼───────┼───────
0,820 │ 0,940 │ 0,1110 │ 1,12 │ 2 │ 10,20 │ 13,30
│ 0,910 │ 0,1310 │ 1,74 │ 7 │ 13,30 │ 25,70
──────────┼──────────┼─────────┼─────────┼────────┼───────┼───────
0,800 │ 0,960 │ 0,1020 │ 0,77 │ 1 │ 7,58 │ 7,52
│ 0,950 │ 0,1100 │ 0,89 │ 2 │ 8,05 │ 8,86
│ 0,900 │ 0,1450 │ 1,71 │ 6 │ 11,80 │ 22,70
──────────┼──────────┼─────────┼─────────┼────────┼───────┼───────
0,790 │ 0,930 │ 0,1300 │ 1,10 │ 3 │ 8,47 │ 11,10
──────────┼──────────┼─────────┼─────────┼────────┼───────┼───────
0,780 │ 0,890 │ 0,1600 │ 1,68 │ 6 │ 10,50 │ 20,20
──────────┼──────────┼─────────┼─────────┼────────┼───────┼───────
0,760 │ 0,940 │ 0,1330 │ 0,87 │ 1 │ 6,54 │ 7,13
│ 0,920 │ 0,1480 │ 1,07 │ 2 │ 7,25 │ 8,20
│ 0,880 │ 0,1740 │ 1,65 │ 5 │ 9,46 │ 18,20
──────────┼──────────┼─────────┼─────────┼────────┼───────┼───────
0,750 │ 0,950 │ 0,1280 │ 0,75 │ 1 │ 5,39 │ 5,77
──────────┼──────────┼─────────┼─────────┼────────┼───────┼───────
0,740 │ 0,870 │ 0,1890 │ 1,62 │ 6 │ 8,57 │ 16,40
──────────┼──────────┼─────────┼─────────┼────────┼───────┼───────
0,730 │ 0,910 │ 0,1670 │ 1,05 │ 3 │ 6,31 │ 8,18
──────────┼──────────┼─────────┼─────────┼────────┼───────┼───────
0,720 │ 0,930 │ 0,1560 │ 0,84 │ 1 │ 5,41 │ 5,90
│ 0,860 │ 0,2040 │ 1,59 │ 5 │ 7,82 │ 14,90
──────────┼──────────┼─────────┼─────────┼────────┼───────┼───────
0,700 │ 0,940 │ 0,1550 │ 0,73 │ 1 │ 4,71 │ 4,61
│ 0,900 │ 0,1860 │ 1,03 │ 2 │ 5,51 │ 7,15
│ 0,850 │ 0,2190 │ 1,56 │ 3 │ 7,16 │ 13,60
График последовательных испытаний
1 - линия несоответствия; 2 - линия соответствия
Уравнения наклонных прямых:

- линия несоответствия;

- линия соответствия.
Усечение испытаний по числу отказов следует производить при

, по числу наблюдений - при

.
2.2.2. При контроле из партии изделий извлекают выборку объема

и ставят на испытания последовательно каждое изделие или группы изделий. Для сокращения продолжительности испытаний рекомендуется начинать с группы объемом n'. По мере окончания наблюдений подсчитывают число отказов и на график последовательных испытаний (
черт. 3) наносят точки с координатами (n, r), по которым строится ступенчатая линия.
2.2.3. Испытания прекращают в момент пересечения ступенчатой линией одного из отрезков линий соответствия или несоответствия. Решение о соответствии принимают при пересечении одной из линий соответствия. При пересечении одной из линий несоответствия принимается решение о несоответствии безотказности изделия заданным требованиям.
2.2.4. В результате усечения испытаний по вышеприведенным планам истинные риски отличаются от запланированных. Для обеспечения равенства истинных рисков запланированным рекомендуется применять планы, приведенные в табл. 39 -
85.
Таблица 39
────────────────────┬──────────────────────┬──────────────────────
r │ n │ n
│ альфа │ бета
────────────────────┼──────────────────────┼──────────────────────
0 │ 187 │ -
1 │ 281 │ -
2 │ 364 │ 21
3 │ 441 │ 55
4 │ 515 │ 100
5 │ 587 │ 151
6 │ 636 │ 207
7 │ 725 │ 266
8 │ 792 │ 328
9 │ 828 │ 392
10 │ 923 │ 458
11 │ 988 │ 526
12 │ 1052 │ 595
13 │ 1116 │ 666
14 │ 1179 │ 738
15 │ 1241 │ 810
16 │ 1304 │ 884
17 │ 1365 │ 958
18 │ 1427 │ 1034
19 │ 1488 │ 1109
20 │ 1549 │ 1186
21 │ 1610 │ 1263
22 │ 1670 │ 1341
23 │ 1730 │ 1419
24 │ 1790 │ 1497
25 │ 1850 │ 1576
26 │ 1910 │ 1655
27 │ 1969 │ 1736
28 │ 2029 │ 1816
29 │ 2088 │ 1896
30 │ 2147 │ 1977
31 │ 2196 │ 2058
32 │ - │ 2196
Таблица 40
────────────────────┬──────────────────────┬──────────────────────
r │ n │ n
│ альфа │ бета
────────────────────┼──────────────────────┼──────────────────────
0 │ 110 │ -
1 │ 171 │ -
2 │ 224 │ 27
3 │ 274 │ 68
4 │ 321 │ 117
5 │ 368 │ 173
6 │ 413 │ 233
7 │ 457 │ 296
8 │ 501 │ 362
9 │ 544 │ 430
10 │ 586 │ 499
11 │ - │ 586
Таблица 41
────────────────────┬──────────────────────┬──────────────────────
r │ n │ n
│ альфа │ бета
────────────────────┼──────────────────────┼──────────────────────
0 │ 77 │ -
1 │ 121 │ -
2 │ 160 │ 33
3 │ 197 │ 78
4 │ 232 │ 132
5 │ 266 │ 191
6 │ 300 │ 254
7 │ - │ 300
Таблица 42
────────────────────┬──────────────────────┬──────────────────────
r │ n │ n
│ альфа │ бета
────────────────────┼──────────────────────┼──────────────────────
0 │ 92 │ -
1 │ 139 │ -
2 │ 181 │ 10
3 │ 219 │ 28
4 │ 256 │ 51
5 │ 291 │ 77
6 │ 326 │ 105
7 │ 360 │ 134
8 │ 394 │ 166
9 │ 427 │ 198
10 │ 459 │ 231
11 │ 491 │ 265
12 │ 523 │ 300
13 │ 555 │ 336
14 │ 586 │ 372
15 │ 618 │ 408
16 │ 649 │ 445
17 │ 680 │ 483
18 │ 710 │ 520
19 │ 741 │ 558
20 │ 771 │ 597
21 │ 801 │ 635
22 │ 832 │ 674
23 │ 862 │ 714
24 │ 892 │ 753
25 │ 921 │ 793
26 │ 951 │ 832
27 │ 981 │ 872
28 │ 1010 │ 913
29 │ 1040 │ 953
30 │ 1069 │ 994
31 │ 1087 │ 1034
────────────────────┬──────────────────────┬──────────────────────
r │ n │ n
│ альфа │ бета
────────────────────┼──────────────────────┼──────────────────────
0 │ 54 │ -
1 │ 84 │ -
2 │ 140 │ 14
3 │ 135 │ 34
4 │ 159 │ 59
5 │ 182 │ 88
6 │ 204 │ 118
7 │ 226 │ 150
8 │ 248 │ 183
9 │ 269 │ 217
10 │ 291 │ 252
11 │ 312 │ 288
12 │ - │ 312
Таблица 44
────────────────────┬──────────────────────┬──────────────────────
r │ n │ n
│ альфа │ бета
────────────────────┼──────────────────────┼──────────────────────
0 │ 37 │ -
1 │ 59 │ -
2 │ 78 │ 17
3 │ 97 │ 39
4 │ 114 │ 66
5 │ 131 │ 96
6 │ 131 │ 96
7 │ - │ 131
Таблица 45
────────────────────┬──────────────────────┬──────────────────────
r │ n │ n
│ альфа │ бета
────────────────────┼──────────────────────┼──────────────────────
0 │ 61 │ -
1 │ 92 │ -
2 │ 120 │ 7
3 │ 145 │ 19
4 │ 170 │ 34
5 │ 193 │ 51
6 │ 216 │ 69
7 │ 239 │ 89
8 │ 261 │ 110
9 │ 283 │ 132
10 │ 305 │ 154
11 │ 326 │ 177
12 │ 348 │ 200
13 │ 369 │ 223
14 │ 390 │ 247
15 │ 416 │ 272
16 │ 431 │ 296
17 │ 451 │ 321
18 │ 472 │ 346
19 │ 492 │ 372
20 │ 512 │ 397
21 │ 533 │ 433
22 │ 553 │ 449
23 │ 573 │ 475
24 │ 593 │ 501
25 │ 612 │ 528
26 │ 632 │ 554
27 │ 652 │ 581
28 │ 672 │ 608
29 │ 691 │ 635
30 │ 711 │ 662
31 │ 717 │ 689
Таблица 46
────────────────────┬──────────────────────┬──────────────────────
r │ n │ n
│ альфа │ бета
────────────────────┼──────────────────────┼──────────────────────
0 │ 36 │ -
1 │ 55 │ -
2 │ 73 │ 9
3 │ 89 │ 23
4 │ 105 │ 40
5 │ 120 │ 59
6 │ 135 │ 79
7 │ 150 │ 101
8 │ 164 │ 123
9 │ 179 │ 146
10 │ 193 │ 169
11 │ - │ 193
Таблица 47
────────────────────┬──────────────────────┬──────────────────────
r │ n │ n
│ альфа │ бета
────────────────────┼──────────────────────┼──────────────────────
0 │ 24 │ -
1 │ 39 │ -
2 │ 51 │ 11
3 │ 63 │ 27
4 │ 75 │ 45
5 │ 86 │ 66
6 │ │ 86
Таблица 48
────────────────────┬──────────────────────┬──────────────────────
r │ n │ n
│ альфа │ бета
────────────────────┼──────────────────────┼──────────────────────
0 │ 36 │ -
1 │ 54 │ -
2 │ 70 │ 4
3 │ 86 │ 12
4 │ 100 │ 21
5 │ 114 │ 31
6 │ 128 │ 43
7 │ 141 │ 55
8 │ 155 │ 68
9 │ 168 │ 81
10 │ 181 │ 94
11 │ 194 │ 108
12 │ 206 │ 122
13 │ 219 │ 137
14 │ 231 │ 151
15 │ 244 │ 166
16 │ 256 │ 181
17 │ 268 │ 196
18 │ 280 │ 211
19 │ 292 │ 220
20 │ 305 │ 242
21 │ 317 │ 257
22 │ 329 │ 273
23 │ 341 │ 289
24 │ 352 │ 305
25 │ 364 │ 321
26 │ 376 │ 337
27 │ 388 │ 353
28 │ 400 │ 369
29 │ 411 │ 385
30 │ 422 │ 402
Таблица 49
────────────────────┬──────────────────────┬──────────────────────
r │ n │ n
│ альфа │ бета
────────────────────┼──────────────────────┼──────────────────────
0 │ 21 │ -
1 │ 32 │ -
2 │ 42 │ 6
3 │ 52 │ 14
4 │ 62 │ 25
5 │ 71 │ 36
6 │ 79 │ 48
7 │ 88 │ 61
8 │ 97 │ 75
9 │ 105 │ 89
10 │ 113 │ 103
11 │ - │ 113
Таблица 50
────────────────────┬──────────────────────┬──────────────────────
r │ n │ n
│ альфа │ бета
────────────────────┼──────────────────────┼──────────────────────
0 │ 14 │ -
1 │ 22 │ -
2 │ 30 │ 7
3 │ 37 │ 16
4 │ 44 │ 28
5 │ 51 │ 40
6 │ - │ 51
Таблица 51
────────────────────┬──────────────────────┬──────────────────────
r │ n │ n
│ альфа │ бета
────────────────────┼──────────────────────┼──────────────────────
0 │ 23 │ -
1 │ 35 │ -
2 │ 46 │ 3
3 │ 56 │ 8
4 │ 65 │ 14
5 │ 73 │ 22
6 │ 84 │ 29
7 │ 93 │ 38
8 │ 101 │ 46
9 │ 110 │ 55
10 │ 119 │ 64
11 │ 127 │ 74
12 │ 135 │ 83
13 │ 144 │ 93
14 │ 152 │ 102
15 │ 160 │ 112
16 │ 168 │ 122
17 │ 176 │ 133
18 │ 184 │ 143
19 │ 192 │ 153
20 │ 200 │ 163
21 │ 208 │ 174
22 │ 216 │ 184
23 │ 224 │ 195
24 │ 232 │ 206
25 │ 240 │ 216
26 │ 248 │ 227
27 │ 256 │ 238
28 │ 263 │ 249
29 │ 271 │ 260
Таблица 52
────────────────────┬──────────────────────┬──────────────────────
r │ n │ n
│ альфа │ бета
────────────────────┼──────────────────────┼──────────────────────
0 │ 13 │ -
1 │ 21 │ -
2 │ 27 │ 4
3 │ 34 │ 10
4 │ 40 │ 17
5 │ 46 │ 25
6 │ 51 │ 33
7 │ 57 │ 42
8 │ 63 │ 51
9 │ 68 │ 61
10 │ - │ 68
Таблица 53
────────────────────┬──────────────────────┬──────────────────────
r │ n │ n
│ альфа │ бета
────────────────────┼──────────────────────┼──────────────────────
0 │ 17 │ -
1 │ 26 │ -
2 │ 34 │ 2
3 │ 41 │ 6
4 │ 48 │ 11
5 │ 55 │ 17
6 │ 62 │ 23
7 │ 68 │ 29
8 │ 75 │ 36
9 │ 81 │ 42
10 │ 88 │ 49
11 │ 94 │ 57
12 │ 100 │ 64
13 │ 106 │ 71
14 │ 113 │ 79
15 │ 119 │ 86
16 │ 125 │ 94
17 │ 131 │ 101
18 │ 137 │ 109
19 │ 143 │ 117
20 │ 149 │ 125
21 │ 155 │ 133
22 │ 161 │ 141
23 │ 166 │ 149
24 │ 172 │ 157
25 │ 178 │ 165
26 │ 184 │ 173
27 │ 190 │ 181
28 │ 196 │ 189
29 │ - │ 196
Таблица 54
────────────────────┬──────────────────────┬──────────────────────
r │ n │ n
│ альфа │ бета
────────────────────┼──────────────────────┼──────────────────────
0 │ 9 │ -
1 │ 15 │ -
2 │ 20 │ 3
3 │ 24 │ 8
4 │ 29 │ 13
5 │ 33 │ 26
6 │ 37 │ 26
7 │ 42 │ 33
8 │ 46 │ 40
9 │ - │ 46
Таблица 55
────────────────────┬──────────────────────┬──────────────────────
r │ n │ n
│ альфа │ бета
────────────────────┼──────────────────────┼──────────────────────
0 │ 6 │ -
1 │ 10 │ -
2 │ 13 │ 4
3 │ 17 │ 9
4 │ 20 │ 15
5 │ - │ 20
Таблица 56
────────────────────┬──────────────────────┬──────────────────────
r │ n │ n
│ альфа │ бета
────────────────────┼──────────────────────┼──────────────────────
0 │ 76 │ -
1 │ 120 │ -
2 │ 159 │ 15
3 │ 196 │ 37
4 │ 231 │ 63
5 │ 265 │ 92
6 │ 298 │ 122
7 │ 331 │ 155
8 │ 363 │ 189
9 │ 395 │ 224
10 │ 426 │ 259
11 │ 457 │ 295
12 │ 488 │ 332
13 │ 519 │ 370
14 │ 550 │ 408
15 │ 580 │ 446
16 │ 610 │ 485
17 │ 640 │ 524
18 │ 670 │ 563
19 │ 700 │ 603
20 │ 729 │ 643
21 │ 759 │ 683
22 │ 788 │ 724
23 │ 817 │ 765
24 │ 847 │ 805
25 │ - │ 847
Таблица 57
────────────────────┬──────────────────────┬──────────────────────
r │ n │ n
│ альфа │ бета
────────────────────┼──────────────────────┼──────────────────────
0 │ 89 │ -
1 │ 145 │ -
2 │ 194 │ 42
3 │ 242 │ 92
4 │ 287 │ 151
5 │ 331 │ 215
6 │ 374 │ 283
7 │ 416 │ 353
8 │ - │ 416
Таблица 58
────────────────────┬──────────────────────┬──────────────────────
r │ n │ n
│ альфа │ бета
────────────────────┼──────────────────────┼──────────────────────
0 │ 60 │ -
1 │ 100 │ -
2 │ 136 │ 55
3 │ 170 │ 113
4 │ - │ 170
Таблица 59
────────────────────┬──────────────────────┬──────────────────────
r │ n │ n
│ альфа │ бета
────────────────────┼──────────────────────┼──────────────────────
0 │ 43 │ -
1 │ 71 │ -
2 │ 95 │ 21
3 │ 119 │ 47
4 │ 141 │ 77
5 │ 163 │ 109
6 │ 184 │ 143
7 │ 206 │ 178
8 │ - │ 206
Таблица 60
────────────────────┬──────────────────────┬──────────────────────
r │ n │ n
│ альфа │ бета
────────────────────┼──────────────────────┼──────────────────────
0 │ 29 │ -
1 │ 49 │ -
2 │ 67 │ 27
3 │ 84 │ 57
4 │ - │ 84
Таблица 61
────────────────────┬──────────────────────┬──────────────────────
r │ n │ n
│ альфа │ бета
────────────────────┼──────────────────────┼──────────────────────
0 │ 50 │ -
1 │ 79 │ -
2 │ 105 │ 10
3 │ 129 │ 25
4 │ 153 │ 42
5 │ 175 │ 62
6 │ 197 │ 83
7 │ 219 │ 105
8 │ 240 │ 127
9 │ 262 │ 151
10 │ 282 │ 174
11 │ 303 │ 199
12 │ 324 │ 223
13 │ 344 │ 249
14 │ 364 │ 274
15 │ 385 │ 300
16 │ 405 │ 326
17 │ 425 │ 352
18 │ 444 │ 378
19 │ 464 │ 405
20 │ 484 │ 432
21 │ 503 │ 458
22 │ 523 │ 486
23 │ 543 │ 513
24 │ 562 │ 540
25 │ - │ 562
Таблица 62
────────────────────┬──────────────────────┬──────────────────────
r │ n │ n
│ альфа │ бета
────────────────────┼──────────────────────┼──────────────────────
0 │ 28 │ -
1 │ 47 │ -
2 │ 63 │ 14
3 │ 78 │ 32
4 │ 93 │ 52
5 │ 108 │ 73
6 │ 122 │ 96
7 │ 136 │ 120
8 │ - │ 136
Таблица 63
────────────────────┬──────────────────────┬──────────────────────
r │ n │ n
│ альфа │ бета
────────────────────┼──────────────────────┼──────────────────────
0 │ 16 │ -
1 │ 27 │ -
2 │ 37 │ 9
3 │ 46 │ 19
4 │ 55 │ 32
5 │ 63 │ 45
6 │ 72 │ 59
7 │ - │ 72
Таблица 64
────────────────────┬──────────────────────┬──────────────────────
r │ n │ n
│ альфа │ бета
────────────────────┼──────────────────────┼──────────────────────
0 │ 11 │ -
1 │ 19 │ -
2 │ 26 │ 11
3 │ 32 │ 23
4 │ - │ 32
Таблица 65
────────────────────┬──────────────────────┬──────────────────────
r │ n │ n
│ альфа │ бета
────────────────────┼──────────────────────┼──────────────────────
0 │ 10 │ -
1 │ 17 │ -
2 │ 24 │ 6
3 │ 30 │ 13
4 │ 36 │ 22
5 │ 41 │ 31
6 │ 47 │ 40
7 │ - │ 47
Таблица 66
────────────────────┬──────────────────────┬──────────────────────
r │ n │ n
│ альфа │ бета
────────────────────┼──────────────────────┼──────────────────────
0 │ 7 │ -
1 │ 12 │ -
2 │ 16 │ 8
3 │ - │ 16
Таблица 67
────────────────────┬──────────────────────┬──────────────────────
r │ n │ n
│ альфа │ бета
────────────────────┼──────────────────────┼──────────────────────
0 │ 7 │ -
1 │ 12 │ -
2 │ 17 │ 5
3 │ 21 │ 11
4 │ 25 │ 18
5 │ - │ 25
Таблица 68
────────────────────┬──────────────────────┬──────────────────────
r │ n │ n
│ альфа │ бета
────────────────────┼──────────────────────┼──────────────────────
0 │ 128 │ -
1 │ 211 │ -
2 │ 284 │ 42
3 │ 354 │ 93
4 │ 422 │ 151
5 │ 487 │ 215
6 │ 551 │ 283
7 │ 615 │ 353
8 │ 677 │ 425
9 │ 739 │ 499
10 │ 800 │ 575
11 │ 860 │ 652
12 │ 920 │ 730
13 │ 980 │ 808
14 │ 1040 │ 888
15 │ 1099 │ 968
16 │ 1158 │ 1049
17 │ 1216 │ 1130
18 │ 1274 │ 1213
Таблица 69
────────────────────┬──────────────────────┬──────────────────────
r │ n │ n
│ альфа │ бета
────────────────────┼──────────────────────┼──────────────────────
0 │ 71 │ -
1 │ 122 │ -
2 │ 169 │ 64
3 │ 213 │ 127
4 │ 256 │ 196
5 │ - │ 256
Таблица 70
────────────────────┬──────────────────────┬──────────────────────
r │ n │ n
│ альфа │ бета
────────────────────┼──────────────────────┼──────────────────────
0 │ 48 │ -
1 │ 85 │ -
2 │ 119 │ 92
Таблица 71
────────────────────┬──────────────────────┬──────────────────────
r │ n │ n
│ альфа │ бета
────────────────────┼──────────────────────┼──────────────────────
0 │ 63 │ -
1 │ 104 │ -
2 │ 141 │ 21
3 │ 175 │ 47
4 │ 209 │ 77
5 │ 242 │ 109
6 │ 274 │ 144
7 │ 305 │ 179
8 │ 336 │ 215
9 │ 367 │ 253
10 │ 397 │ 291
11 │ 427 │ 329
12 │ 457 │ 368
13 │ 487 │ 408
14 │ 517 │ 448
15 │ 546 │ 488
16 │ 576 │ 529
17 │ 605 │ 570
18 │ - │ 605
Таблица 72
────────────────────┬──────────────────────┬──────────────────────
r │ n │ n
│ альфа │ бета
────────────────────┼──────────────────────┼──────────────────────
0 │ 35 │ -
1 │ 60 │ -
2 │ 83 │ 32
3 │ 105 │ 64
4 │ 127 │ 99
5 │ - │ 127
Таблица 73
────────────────────┬──────────────────────┬──────────────────────
r │ n │ n
│ альфа │ бета
────────────────────┼──────────────────────┼──────────────────────
0 │ 24 │ -
1 │ 42 │ -
2 │ 59 │ 48
Таблица 74
────────────────────┬──────────────────────┬──────────────────────
r │ n │ n
│ альфа │ бета
────────────────────┼──────────────────────┼──────────────────────
0 │ 42 │ -
1 │ 69 │ -
2 │ 93 │ 14
3 │ 117 │ 32
4 │ 139 │ 52
5 │ 161 │ 73
6 │ 182 │ 96
7 │ 203 │ 120
8 │ 233 │ 144
9 │ 244 │ 169
10 │ 264 │ 195
11 │ 284 │ 220
12 │ 304 │ 247
13 │ 342 │ 273
14 │ 344 │ 300
15 │ 363 │ 327
16 │ 383 │ 354
17 │ 402 │ 381
18 │ - │ 402
Таблица 75
────────────────────┬──────────────────────┬──────────────────────
r │ n │ n
│ альфа │ бета
────────────────────┼──────────────────────┼──────────────────────
0 │ 23 │ -
1 │ 39 │ -
2 │ 55 │ 21
3 │ 69 │ 43
4 │ 83 │ 66
5 │ - │ 83
Таблица 76
────────────────────┬──────────────────────┬──────────────────────
r │ n │ n
│ альфа │ бета
────────────────────┼──────────────────────┼──────────────────────
0 │ 16 │ -
1 │ 28 │ -
2 │ 39 │ 38
Таблица 77
────────────────────┬──────────────────────┬──────────────────────
r │ n │ n
│ альфа │ бета
────────────────────┼──────────────────────┼──────────────────────
0 │ 24 │ -
1 │ 40 │ -
2 │ 55 │ 9
3 │ 69 │ 19
4 │ 82 │ 32
5 │ 95 │ 45
6 │ 107 │ 59
7 │ 120 │ 73
8 │ 132 │ 88
9 │ 114 │ 103
10 │ 157 │ 118
11 │ 169 │ 134
12 │ 180 │ 150
13 │ 192 │ 166
14 │ 204 │ 182
15 │ 216 │ 198
16 │ 227 │ 214
17 │ - │ 227
Таблица 78
────────────────────┬──────────────────────┬──────────────────────
r │ n │ n
│ альфа │ бета
────────────────────┼──────────────────────┼──────────────────────
0 │ 9 │ -
1 │ 16 │ -
2 │ 23 │ 26
Таблица 79
────────────────────┬──────────────────────┬──────────────────────
r │ n │ n
│ альфа │ бета
────────────────────┼──────────────────────┼──────────────────────
0 │ 13 │ -
1 │ 23 │ -
2 │ 32 │ 13
3 │ 41 │ 26
4 │ 49 │ 40
5 │ - │ 49
Таблица 80
────────────────────┬──────────────────────┬──────────────────────
r │ n │ n
│ альфа │ бета
────────────────────┼──────────────────────┼──────────────────────
0 │ 16 │ -
1 │ 26 │ -
2 │ 36 │ 6
3 │ 45 │ 13
4 │ 54 │ 21
5 │ 62 │ 30
6 │ 70 │ 40
7 │ 79 │ 49
8 │ 87 │ 59
9 │ 95 │ 70
10 │ 103 │ 80
11 │ 111 │ 90
12 │ 112 │ 101
13 │ 127 │ 112
14 │ 134 │ 123
Таблица 81
────────────────────┬──────────────────────┬──────────────────────
r │ n │ n
│ альфа │ бета
────────────────────┼──────────────────────┼──────────────────────
0 │ 8 │ -
1 │ 15 │ -
2 │ 21 │ 9
3 │ 27 │ 17
4 │ - │ 27
Таблица 82
────────────────────┬──────────────────────┬──────────────────────
r │ n │ n
│ альфа │ бета
────────────────────┼──────────────────────┼──────────────────────
0 │ 6 │ -
1 │ 10 │ -
2 │ 14 │ 19
Таблица 83
────────────────────┬──────────────────────┬──────────────────────
r │ n │ n
│ альфа │ бета
────────────────────┼──────────────────────┼──────────────────────
0 │ 12 │ -
1 │ 19 │ -
2 │ 26 │ 4
3 │ 33 │ 10
4 │ 40 │ 16
5 │ 46 │ 23
6 │ 52 │ 30
7 │ 58 │ 38
8 │ 65 │ 45
9 │ 71 │ 53
10 │ 77 │ 61
11 │ 82 │ 69
12 │ 88 │ 77
13 │ 94 │ 85
14 │ 100 │ 93
Таблица 84
────────────────────┬──────────────────────┬──────────────────────
r │ n │ n
│ альфа │ бета
────────────────────┼──────────────────────┼──────────────────────
0 │ 6 │ -
1 │ 11 │ -
2 │ 15 │ 7
3 │ 19 │ 14
4 │ - │ 19
────────────────────┬──────────────────────┬──────────────────────
r │ n │ n
│ альфа │ бета
────────────────────┼──────────────────────┼──────────────────────
0 │ 4 │ -
1 │ 7 │ -
2 │ 10 │ 13
В процессе контроля фиксируют суммарное число испытанных образцов к моменту получения очередного отказа. Решение принимают после сопоставления суммарного числа проверенных образцов с нормативами, указанными в планах для соответствующего числа отказов. Решение о соответствии принимают в случае, если суммарное число проверенных образцов окажется равным или больше нормативных значений, указанных в таблице плана для соответствующего числа отказов. Решение о несоответствии принимают в случае, если суммарное число проверенных образцов окажется меньше нормативных значений, указанных в таблице плана для соответствующего числа отказов.
3. Контроль интенсивности отказов
Для планирования испытаний необходим пересчет требований к интенсивности отказов на требования к вероятности безотказной работы.
3.1. Нормальное распределение
Пересчет интенсивности отказов на соответствующую ей вероятность безотказной работы проводят по
табл. 86, в которой приведены значения

,
где

,

,

- обратное отношение Миллса.
Таблица 86
Значения

при нормальном распределении
────────────┬──────┬───────────┬──────────────────────────────────
(1 - P)100% │ u │лямбда(u ) │ Коэффициент вариации v
│ р │ р ├──────┬──────┬──────┬──────┬──────
│ │ │ 0,10 │ 0,15 │ 0,20 │ 0,25 │ 0,30
────────────┼──────┼───────────┼──────┼──────┼──────┼──────┼──────
0,010 │-3,72 │ 0,0004 │0,0025│0,0012│0,0005│0,0001│
0,015 │-3,62 │ 0,0006 │0,0038│0,0018│0,0008│0,0002│
0,025 │-3,48 │ 0,0009 │0,0059│0,0029│0,0014│0,0005│
0,040 │-3,35 │ 0,0015 │0,0099│0,0049│0,0025│0,0010│
0,065 │-3,22 │ 0,0021 │0,0142│0,0072│0,0037│0,0016│0,0002
0,100 │-3,10 │ 0,0033 │0,0228│0,0118│0,0063│0,0030│0,0008
0,150 │-2,968│ 0,0040 │0,0281│0,0148│0,0081│0,0041│0,0014
0,250 │-2,807│ 0,0077 │0,0554│0,0297│0,0169│0,0092│0,0040
0,400 │-2,653│ 0,0120 │0,0882│0,0482│0,0282│0,0162│0,0081
0,650 │-2,484│ 0,0170 │0,1278│0,0712│0,0428│0,0258│0,0144
1,000 │-2,327│ 0,0268 │0,2056│0,1164│0,0716│0,0448│0,0269
1,500 │-2,170│ 0,0387 │0,3030│0,1741│0,1095│0,0708│0,0449
2,500 │-1,960│ 0,0602 │0,4840│0,2835│0,1830│1,1228│0,0825
4,000 │-1,751│ 0,0900 │0,7424│0,4427│0,2924│0,2024│0,1421
6,500 │-1,514│ 0,136 │1,1540│0,7012│0,4741│0,3381│0,2469
10,000 │-1,282│ 0,196 │1,7087│1,0560│0,7287│0,5327│0,4014
3.2. Распределение Вейбулла (экспоненциальное распределение при b = 1)

.
Для облегчения расчетов в табл. 87 приведены значения 100

.
Таблица 87
Значения 100

в зависимости от (1 - P)100%
и параметра b при распределении Вейбулла
───────┬──────────────────────────────────────────────────────────────
(1 - P)│ b
100% ├──────┬──────┬──────┬─────┬─────┬─────┬─────┬─────┬─────┬─────
│ 1/3 │ 1/2 │ 2/3 │ 1 │1 1/3│1 2/3│ 2 │2 1/2│3 1/3│ 4
───────┼──────┼──────┼──────┼─────┼─────┼─────┼─────┼─────┼─────┼─────
0,010 │0,0033│0,0055│0,0067│0,010│0,013│0,017│0,020│0,025│0,033│0,040
0,015 │0,0050│0,0075│0,0100│0,015│0,020│0,025│0,030│0,038│0,050│0,060
0,025 │0,0083│0,0120│0,0170│0,025│0,033│0,042│0,050│0,063│0,083│0,100
0,040 │0,0130│0,0200│0,270 │0,040│0,053│0,067│0,080│0,100│0,130│0,160
0,065 │0,0220│0,0320│0,0430│0,065│0,087│0,110│0,130│0,160│0,220│0,260
0,100 │0,330 │0,0500│0,0670│0,100│0,130│0,170│0,200│0,250│0,330│0,400
0,150 │0,0500│0,0750│0,100 │0,150│0,200│0,250│0,300│0,380│0,500│0,600
0,250 │0,83 │0,130 │0,170 │0,250│0,330│0,420│0,500│0,630│0,830│1,000
0,650 │0,220 │0,330 │0,440 │0,650│0,870│1,090│1,300│1,630│2,170│2,618
1,00 │0,340 │0,500 │0,670 │1,010│1,340│1,680│2,010│2,510│3,350│4,020
1,50 │0,500 │0,760 │1,010 │1,510│2,020│2,520│3,020│3,780│5,040│6,040
2,50 │0,840 │1,270 │1,690 │2,530│2,380│4,220│5,060│6,830│8,440│10,10
4,0 │1,360 │2,040 │2,720 │4,080│5,440│6,800│8,160│10,20│13,60│16,30
6,5 │2,240 │3,360 │4,480 │6,720│8,960│11,20│13,40│16,80│22,40│26,90
10,0 │3,510 │5,270 │7,020 │10,50│14,0 │17,60│21,10│26,30│35,10│42,10
Пересчет на меньшую продолжительность испытаний производят по
табл. 88, где подсчитаны значения

в зависимости от отношения

при различных значениях b. Эту таблицу можно использовать и для пересчета вероятности отказа, используя зависимость

.
Таблица 88
Отношение

для различных комбинаций

и b при распределении Вейбулла
────┬─────────────────────────────────────────────────────────────
t │ b
-- ├─────┬─────┬─────┬─────┬─────┬──────┬─────┬─────┬─────┬──────
t │ 1/3 │ 1/2 │ 2/3 │ 1 │1 1/3│1 2/3 │ 2 │2 1/2│3 1/3│ 4
и │ │ │ │ │ │ │ │ │ │
────┼─────┼─────┼─────┼─────┼─────┼──────┼─────┼─────┼─────┼──────
1,25│0,862│0,894│0,928│1,00 │1,08 │ 1,16 │1,25 │1,40 │1,68 │ 2,95
1,50│0,763│0,816│0,873│1,00 │1,14 │ 1,31 │1,50 │1,84 │2,57 │ 3,38
1,75│0,689│0,756│0,823│1,00 │1,21 │ 1,45 │1,75 │2,32 │3,69 │ 5,36
2,00│0,630│0,707│0,794│1,00 │1,26 │ 1,59 │2,00 │2,83 │5,04 │ 8,00
2,25│0,583│0,667│0,763│1,00 │1,31 │ 1,72 │2,25 │2,38 │6,64 │ 11,4
2,50│0,543│0,632│0,734│1,00 │1,36 │ 1,84 │2,50 │3,95 │8,49 │ 15,6
2,75│0,510│0,603│0,714│1,00 │1,40 │ 1,96 │2,75 │4,56 │10,6 │ 20,8
3,00│0,481│0,577│0,694│1,00 │1,44 │ 2,08 │3,00 │5,20 │13,0 │ 27,0
3,25│0,456│0,555│0,675│1,00 │4,48 │ 2,19 │3,25 │5,86 │15,6 │ 34,3
3,50│0,434│0,534│0,659│1,00 │1,52 │ 2,30 │3,50 │6,55 │18,4 │ 42,9
4,00│0,397│0,500│0,630│1,00 │1,59 │ 2,52 │4,00 │8,00 │25,4 │ 64,0
4,25│0,381│0,485│0,617│1,00 │1,62 │ 2,62 │4,25 │8,76 │29,3 │ 76,8
4,50│0,367│0,472│0,606│1,00 │1,65 │ 2,73 │4,50 │9,54 │33,4 │ 91,1
4,75│0,354│0,459│0,595│1,00 │1,68 │ 2,83 │4,75 │10,4 │37,9 │ 107
5,00│0,342│0,447│0,585│1,00 │1,71 │ 2,92 │5,00 │11,2 │42,8 │ 125
4. Контроль среднего времени восстановления
Для контроля среднего времени восстановления применяют планы
п. 1, заменяя

на

. Испытания продолжают до получения r отказов. Решение о соответствии требованиям принимают при условии

.
5. Контроль комплексных показателей надежности
5.1. Планы контроля
п. 2 применимы для комплексных показателей вероятностного типа (коэффициенты готовности, оперативной готовности, технического использования, сохранения эффективности и т.п.), когда они могут быть представлены в виде частости некоторого события (работоспособности в тот или иной момент времени, несрыва выполнения задания из-за отказов и др.). В процессе испытаний фиксируют число опытов, в которых это событие могло осуществиться (n), и число опытов, в которых оно фактически имело место (n - r). Таким образом, контролю подвергают показатель вида "вероятность" с точечной оценкой

.
5.2. Контроль коэффициента готовности в случае, когда наработка между отказами и время восстановления распределены экспоненциально.
5.2.1. Одноступенчатый контроль
Параметры плана контроля определяют по
табл. 89 и
90. Испытания ведут до получения числа отказов и восстановлений, равного запланированному числу r. Решение о соответствии принимают при

, в противном случае принимают решение о несоответствии. Значение

вычисляют по формуле

,
где

;

;

и

- i-е интервалы безотказной работы и восстановления, соответственно.
Таблица 89
Планы контроля (число отказов r и оценочный норматив

)
коэффициента готовности при

───────────┬──────────────────────────────────────────────────────
K │ 1 - K /1 - K
г альфа │ г бета г альфа
├──────────┬──────────┬──────────┬──────────┬──────────
│ 2,0 │ 2,5 │ 3,0 │ 4,0 │ 5,0
├──┬───────┼──┬───────┼──┬───────┼──┬───────┼──┬───────
│r │ K │r │ K │r │ K │r │ K │r │ K
│ │ гс │ │ гс │ │ гс │ │ гс │ │ гс
───────────┼──┼───────┼──┼───────┼──┼───────┼──┼───────┼──┼───────
0,9 │33│0,857 │18│0,839 │12│0,822 │- │ - │- │ -
0,95 │39│0,929 │22│0,920 │14│0,914 │9 │0,898 │7 │0,882
0,96 │40│0,943 │23│0,936 │16│0,930 │9 │0,920 │7 │0,906
0,97 │41│0,958 │24│0,952 │16│0,948 │10│0,940 │8 │0,930
0,98 │42│0,972 │25│0,968 │17│0,965 │11│0,959 │8 │0,955
0,99 │44│0,986 │25│0,984 │18│0,982 │11│0,980 │8 │0,978
0,995 │44│0,993 │26│0,9921 │18│0,9913 │11│0,9901 │9 │0,9885
0,998 │45│0,9972 │26│0,9968 │18│0,9965 │12│0,9959 │9 │0,9954
0,999 │45│0,9986 │26│0,9984 │18│0,9983 │12│0,9980 │9 │0,9977
0,9995 │45│0,99929│26│0,99921│18│0,99914│12│0,99900│9 │0,99890
0,9999 │45│0,99986│26│0,99984│18│0,99983│12│0,99980│9 │0,99977
Таблица 90
Планы контроля (число отказов r и оценочный норматив

)
коэффициента готовности при

───────────┬──────────────────────────────────────────────────────
K │ 1 - K /1 - K
г альфа │ г бета г альфа
├──────────┬──────────┬──────────┬──────────┬──────────
│ 2,0 │ 2,5 │ 3,0 │ 4,0 │ 5,0
├──┬───────┼──┬───────┼──┬───────┼──┬───────┼──┬───────
│r │ K │r │ K │r │ K │r │ K │r │ K
│ │ гс │ │ гс │ │ гс │ │ гс │ │ гс
───────────┼──┼───────┼──┼───────┼──┼───────┼──┼───────┼──┼───────
0,9 │20│0,857 │11│0,840 │ 8│0,818 │- │ - │- │ -
0,95 │25│0,928 │14│0,920 │ 9│0,913 │6 │0,986 │4 │0,886
0,96 │25│0,943 │14│0,936 │10│0,929 │6 │0,918 │5 │0,903
0,97 │25│0,958 │15│0,952 │10│0,948 │6 │0,940 │5 │0,929
0,98 │25│0,972 │15│0,968 │11│0,965 │7 │0,959 │5 │0,954
0,99 │27│0,986 │16│0,984 │11│0,983 │7 │0,980 │5 │0,978
0,995 │27│0,993 │16│0,992 │11│0,9913 │7 │0,990 │5 │0,989
0,998 │28│0,9972 │16│0,9968 │11│0,9965 │7 │0,9963 │5 │0,9957
0,999 │28│0,9986 │16│0,9984 │11│0,9983 │7 │0,9980 │5 │0,9978
0,9995 │28│0,99929│16│0,99921│11│0,99914│7 │0,9990 │5 │0,9989
0,9999 │28│0,99986│16│0,99084│11│0,99983│7 │0,99980│5 │0,99978
5.2.2. Последовательный контроль
Зоны приемки и браковки для ряда значений

и

при рисках

и

, а также среднее число отказов до принятия решения r' приведены на
черт. 4 -
11. Испытаниям подвергают одно или несколько изделий. Оценку

проводят после каждого r-го восстановления. Если изделий несколько, то статистика суммируется по всем изделиям, но по каждому только до последнего восстановления включительно.
Черт. 5
Черт. 6
Черт. 7
Черт. 8
Черт. 9
Черт. 10
На каждом r-м шаге процесса вычисляют точечную оценку коэффициента готовности

по формулам
п. 5.2.1.
При

, где

- граница зоны приемки, контроль прекращают и выносят решение о соответствии изделия требованиям по коэффициенту готовности.
При

, где

- граница зоны браковки, контроль прекращают и выносят решение о несоответствии изделия требованиям по коэффициенту готовности.
При

контроль продолжается до следующего восстановления.
6. Контроль любых показателей надежности при помощи доверительных границ
Правила принятия решения с использованием доверительных границ применимы как при наличии, так и при отсутствии предварительного планирования испытаний. Метод позволяет принять решение о соответствии изделия требованиям к надежности и при этом указать условную вероятность ошибочности решения - наблюдаемый риск поставщика или потребителя.
Объем наблюдений n (число опытов, суммарная наработка и т.п.) фиксируется, как указано в
пп. 6.1 или
6.2. Предполагается, что известен способ определения верхней и нижней доверительных границ

и

для контролируемого показателя с выбранными вероятностями

и

как функций объема наблюдений n и статистики

. Такой статистикой может быть число успешных опытов, число отказов и т.п. либо вычисленная по этим данным точечная оценка контролируемого показателя. Если образцов изделия несколько, то вопрос объединения данных решается при вычислении

и

.
Приводимые ниже формулы относятся к показателям, ограниченным снизу. Для показателей, ограниченных сверху, знаки неравенств должны быть соответственно изменены.
6.1. Контроль при помощи доверительных границ без предварительного планирования испытаний
6.1.1. Объем испытаний определяется организационно-техническими соображениями (используются все имеющиеся экспериментальные данные) и может быть неизвестен заранее. Так, на испытаниях опытных образцов изделий контроль надежности может совмещаться с проверками других показателей и проводиться по данным, накопленным в ходе этих проверок; при контроле надежности в ходе эксплуатации изделий используется случайная величина - наработка подконтрольных образцов за отчетный период (квартал, год).
6.1.2. По окончании наблюдений с результатом (накопленной статистикой)

определяют доверительный интервал [

]. При этом значения

и

подбирают так, чтобы выполнялось одно из условий:

(1)
или

. (2)
Меняя

и

, следует соблюдать заранее выбранное соотношение между ними (рекомендуется

). При увеличении

и

доверительный интервал сужается, а при уменьшении расширяется (с обеих сторон). Если при некоторых

и

выполняется
условие (1), то выносят решение о соответствии изделия заданным требованиям (черт. 12).
1 - условие соответствия; 2 - условие несоответствия
Черт. 12
Затем определяют наблюдаемый риск потребителя

, т.е. условную вероятность результата

, который не хуже реально полученного

, при условии, что истинный показатель надежности изделия соответствует уровню


. (3)
Если выполняется
условие (2), то выносят решение о несоответствии и определяют наблюдаемый риск поставщика, т.е. условную вероятность результата наблюдений

, который не лучше реально полученного

, при условии, что истинный показатель надежности изделия соответствует уровню


. (4)
В каждом конкретном случае при согласованном изменении

и

выполняется одно и только одно из условий (
1,
2).
6.1.3. При подборе значений

и

допускается нестрогое совмещение границ заданного и доверительного интервалов. Необходимо лишь их смещение (полное перекрытие одного интервала другим должно быть исключено), при этом
формулы (3) -
(4) переходят в неравенства:
6.2. Планируемый контроль при помощи доверительных границ
6.2.1. Планирование контроля при помощи доверительных границ позволяет обеспечить наблюдаемые риски

(или

), не превосходящие заданных значений (планируемых рисков)

и

.
Применение доверительных границ не меняет необходимого объема наблюдений и принимаемых решений по сравнению с обычным одноступенчатым контролем. Оценочный норматив также сохраняется, приняв форму условий п. 6.2.2.
6.2.2. Планирование контроля сводится к решению системы уравнений относительно двух неизвестных

и n:

,
где

и

- функции, определяющие доверительные границы.
Решение указанной системы определяет требуемый объем наблюдений n* и критическое значение статистики R*, которое можно использовать как оценочный норматив. Условия соответствия и несоответствия применяют в
форме (1),
(2) или любого из приводимых ниже неравенств.
Условие соответствия:
или

,
или

.
Условие несоответствия:

,
или

,
или

.
Для уточнения вероятности ошибочности решения определяют наблюдаемый риск поставщика

или потребителя

согласно
п. 6.1.2.
6.2.3. Если известны формулы или таблицы планов обычного одноступенчатого контроля, рекомендуется использовать их для определения требуемого объема наблюдений для контроля по доверительным границам, не решая системы уравнений
п. 6.2.2.
Обязательное
КОНТРОЛЬНЫЕ ИСПЫТАНИЯ НА РЕМОНТОПРИГОДНОСТЬ (РП)
1. Методы и планы контроля, изложенные в
разд. 1,
3,
4 и
Приложении 7, применяют для испытаний на РП; при этом под отрицательным исходом наблюдений следует понимать события, когда продолжительность восстановления превышает заданную, под P - вероятность восстановления за заданное время, под T - среднее время восстановления. При выборе плана испытаний для контроля среднего времени восстановления отношение

заменяют на отношение

.
2. Испытания изделий на РП заключаются в выполнении на испытуемых образцах операций технического обслуживания (ТО) и ремонтов в соответствии с требованиями эксплуатационной и ремонтной документации, регистрации значений всех величин, необходимых для определения и контроля показателей РП и оценки совершенства указанной документации по полноте и порядку изложения.
3. Цели испытаний на РП:
определение значений количественных показателей РП;
контроль соответствия требованиям по РП, заданным в нормативно-технической документации (НТД) на изделия;
выявление конструктивных недостатков, снижающих РП, и разработка мероприятий по их устранению;
оценка полноты и качества эксплуатационной и ремонтной документации;
выявление схемно-конструктивных недостатков, снижающих уровень РП, и разработка рекомендаций по их устранению.
4. Контроль изделий осуществляется в составе испытаний:
предварительных;
приемочных;
квалификационных;
периодических (по требованию заказчика);
типовых.
Испытания на РП проводят, как правило, экспериментальными методами. При наличии технико-экономического обоснования, невозможности или нецелесообразности применения экспериментальных методов допускается по согласованию с заказчиком (потребителем) проводить контроль на РП расчетно-экспериментальными методами (РЭМ).
На приемочных испытаниях по согласованию могут быть использованы данные предварительных испытаний на РП. В этом случае (и во всех случаях применения РЭМ) возможность использования априорной информации для контроля показателей РП и ее источники должны быть согласованы до начала контроля и указаны в программе (методике) испытаний.
5. Типовые испытания РП изделия проводят на серийном образце в случаях:
реализации конструкторско-технологических мероприятий, вызывающих изменение показателей РП;
применения новых прогрессивных средств для проведения ремонта, в том числе диагностирования;
применения новых прогрессивных технологических процессов восстановления (текущего ремонта).
6. Испытания изделия на РП проводят по программам и методикам, составляемым организацией, проводящей испытания, и подлежащим согласованию с разработчиком (изготовителем), заказчиком (основным потребителем) и утверждению в установленном порядке.
7. Испытания на РП могут проводиться отдельно или совместно с другими испытаниями.
8. При испытании изделий на РП применяют методы:
испытания с возникающей необходимостью восстановления;
испытания с моделированием отказов;
комбинированные испытания.
8.1. Метод испытания на ремонтопригодность с возникающей необходимостью восстановления заключается в том, что изделия подвергают нормальным или ускоренным испытаниям на безотказность и долговечность в условиях и объеме, установленных программой испытаний, а необходимую для оценки ремонтопригодности информацию получают при выполнении операций технического обслуживания и плановых ремонтов, предусмотренных эксплуатационной и ремонтной документацией, а также неплановых ремонтов по выявлению и устранению отказов и повреждений, возникающих в процессе испытаний.
8.2. Метод испытания на РП с моделированием отказов заключается в том, что отказы изделия имитируют или преднамеренно создают в соответствии с программой испытаний, а информацию получают в соответствии с
п. 8.1.
8.3. Метод комбинированных испытаний на РП заключается в использовании перечисленных выше методов в любом их сочетании, установленном в методиках испытаний.
9. При контроле РП используют источники информации:
данные хронометрических наблюдений за выполнением всех операций по ремонту изделий;
данные о затратах времени, труда и средств, установленные при проведении подобных операций на аналогах или прототипах;
результаты анализа выявленных конструктивных недостатков, ухудшающих РП, и принятых по ним мероприятий.
Справочное
ПРИМЕРЫ ПЛАНИРОВАНИЯ КОНТРОЛЬНЫХ ИСПЫТАНИЙ
1. Для контроля надежности гальванических элементов заданы два уровня вероятности безотказной работы P(t), t = 20 ч;

= 0,98 и

= 0,96, а также риски

. Определить план контроля по одноступенчатому методу.
Решение. По
табл. 34 Приложения 7 для заданных

,

,

и

находим n = 471,

= 13. Это означает, что для контроля необходимо организовать 471 цикл работы изделия длительностью 20 ч каждый. Испытания прекращают либо при возникновении 14-го отказа с отрицательным результатом, либо по окончании 471-го цикла с положительным результатом, если к этому моменту число зафиксированных отказов было меньше 14. Истинные риски составляют

= 0,096;

= 0,1. Поскольку элемент, отработавший 20 ч, не может считаться новым, для контроля необходим 471 элемент.
2. Для исходных данных
примера 1 определить план контроля по последовательному методу.
Решение. По
табл. 37 Приложения 7 для заданных

,

,

и

находят

= 0,0289;

= 3,08;

= 14;

= 107;

= 277 и подсчитывают

= 14/0,0289 = 485. На основании этих данных строят график последовательного контроля (
черт. 13). Для контроля необходимо организовать 277 циклов работы изделия длительностью 20 ч каждый. По мере завершения каждого цикла подсчитывают накопленное число законченных циклов n и накопленное число отрицательных исходов r, а на
черт. 13 наносят точки с координатами (r, n), по которым строят ступенчатую линию. На
черт. 13 представлены некоторые из возможных реализаций испытаний. Реализация I означает положительный результат испытаний, реализация II - отрицательный. В случае реализации III понадобилось поставить на испытания дополнительно 208 изделий; результат положителен.
1 - линия несоответствия; 2 - линия соответствия
3. В технических условиях на изделие заданы два уровня средней наработки на отказ

= 2000 ч и

= 1000 ч, а также риски

и параметр формы распределения Вейбулла b = 2. Определить план контроля по последовательному методу.
Решение. Подсчитывают

.
По
табл. 5 Приложения 7 для

при

находят

= 2,16;

= 1,59;

= 4;

= 0,732;

= 1,09. Далее подсчитывают

= 4/2,16 = 1,85.
4. В технических условиях на изделие заданы:

;

;

.
Наработка до отказа распределена по закону Вейбулла с параметром формы b = 2/3.
Определить план контроля по одноступенчатому методу.
Решение. Проводят пересчет интенсивности отказов в вероятность безотказной работы. С этой целью подсчитывают:

;

.
По
табл. 87 Приложения 7 при b = 2/3 находят:

;

.
По
табл. 34 Приложения 7 находят план контроля:

= 1; n = 64; истинные риски

= 0,135;

= 0,097.
5. Для условий
примера 4 определить план контроля по одноступенчатому методу, если наработка до отказа распределена по нормальному закону с коэффициентом вариации v = 0,2.
Решение. Подсчитывают:

;

.

;

.
По
табл. 34 Приложения 7 находят план контроля:

= 1; n = 646; истинные риски

= 0,138;

= 0,1.
6. В технических условиях задано:

.
Определить план контроля коэффициента готовности по одноступенчатому методу.
Решение. Подсчитывают

.

= 25;

= 0,943.
7. Испытан один образец восстанавливаемого изделия с экспоненциальным распределением наработки между отказами. Установлены два уровня наработки на отказ

и

. Вероятности ошибок должны быть одинаковыми, т.е.

. Наработка

за время испытаний составила

, число отказов r = 2. Требуется решить вопрос о соответствии или несоответствии изделия заданным требованиям к наработке на отказ и указать наблюдаемый риск как меру ошибочности принятого решения.
Решение. Запишем условия
п. 6.1.2 Приложения 7 в виде уравнений:
Условие (1):

или

.
Условие (2):

или

.
| | ИС МЕГАНОРМ: примечание. Текст приведен в соответствии с официальным текстом документа. | |
Пользуясь таблицей

, легко видеть, что в условиях данного примера удовлетворяется
условие (1), причем

= 0,985:

;

.
| | ИС МЕГАНОРМ: примечание. Текст приведен в соответствии с официальным текстом документа. | |
Таким образом выносят решение о соответствии изделий; наблюдаемый риск потребителя

= = 0,015.
8. Для контроля надежности ампульных батарей заданы два уровня вероятности безотказной работы P(t), t = 2 ч:

и

.
Требуется организовать последовательный контроль по методу Ярлыкова.
Решение. В
Приложении 7 находим, что указанным данным отвечает план в
табл. 43. Из нее получим:

= 93,92;

= 67,13; максимальное число образцов 312. Организуем последовательные циклы наблюдений и фиксируем число проверенных образцов к моменту обнаружения каждого очередного отказа. Испытания заканчиваются с положительным результатом, если после проверки 54 образцов не обнаружат отказов или к моменту обнаружения первого, второго и т.д. одиннадцатого отказа будет проверено 84, 110 и т.д. 312 изделий. Результаты испытаний признают отрицательными, если к моменту обнаружения второго, третьего и т.д. двенадцатого отказа будет проверено не больше 14,34 и т.д. 312 изделий.
9. Для контроля надежности электропроигрывателей заданы два уровня средней наработки на отказ:

= 3000 ч и

= 1000 ч, а также риски

. Определить план контроля по методу Ярлыкова в предположении экспоненциальности распределения.
Решение. В
Приложении 7 находим, что указанным исходным данным соответствует план в
табл. 19. Из таблицы этого плана следует, что

= 2,0;

= 1,47. Максимальная наработка соответствует значению

= 6,766. В ходе испытаний непрерывно подсчитывают суммарную наработку к моменту обнаружения каждого очередного отказа. Результаты испытаний признают положительными, если при отсутствии отказов или к моменту обнаружения первого, второго и т.д. двенадцатого отказа относительная суммарная наработка окажется не меньше соответственно 1,131; 1,741; 2,278 и т.д. 6,766. Результаты испытаний признаются отрицательными, если к моменту обнаружения первого, второго и т.д. тринадцатого отказа относительная суммарная наработка окажется не больше соответственно 0,023; 0,231 и т.д. 6,766.
10. Определить планы последовательного контроля с рисками

и диапазоны чисел испытуемых изделий N по каждому плану, позволяющие завершить за один агросезон эксплуатационные испытания модернизированных кронштейнов хлопкоуборочной машины с экспоненциальным распределением ресурса, если заданы требуемый средний ресурс кронштейна

= 2000 ч и наработка хлопкоуборочной машины за агросезон

= 240 ч.
Решение. На основании
п. 1.9 принимаем

. Найдем

и по
табл. 6 определим искомые планы и диапазоны чисел испытуемых изделий. Зона значений

представляет собой решение задачи и обведена в
табл. 6 пунктирной линией.
11. Определить, по каким планам последовательного контроля с рисками

и при каких числах испытуемых изделий N можно завершить за два агросезона испытания конструктивных элементов хлопкоуборочной машины, ресурс которых распределен по закону Вейбулла с параметром формы b = 1,3, если требуемая вероятность безотказной работы конструктивного элемента за срок службы машины

и отношение наработки хлопкоуборочных машин за сезон испытаний к наработке за сезон в условиях рядовой эксплуатации равно 1,6. Срок службы хлопкоуборочных машин составляет 8 лет.
Решение. На основании
п. 1.9 принимаем

. Отношение наработки машины за время испытаний к наработке за срок службы

. Перейдем от

к требуемой вероятности безотказной работы конструктивного элемента за время испытаний

:

.
С другой стороны для распределения Вейбулла справедливо соотношение

.
Таким образом

.
Из
табл. 6 определим искомые планы и диапазоны чисел испытываемых изделий, отвечающие условию

. Зона, представляющая решение задачи, обведена в
табл. 6 сплошной линией.
Справочное
Требование приравнивания нормы показателя надежности (установленной в стандартах и технических условиях) браковочному уровню надежности

направлено на максимальное удовлетворение интересов потребителя. В тех случаях, когда это обходится слишком дорого, допускается отступать от этого принципа в пользу изготовителя по согласованию между изготовителем и потребителем.
Отношения

, приведенные в
табл. 4, подсчитаны по формуле

,
где

и

- квантили уровней

и

распределения хи-квадрат с

степенями свободы.
Значения

подсчитаны по формуле

.
Значения параметров плана подсчитаны по формулам:

;

.
Усечение плана осуществлено по одноступенчатому методу.
Продолжительность последовательных испытаний зависит от параметров плана испытаний, фактического значения контролируемого показателя надежности и объема выборки невосстанавливаемых изделий и является величиной случайной. В работе
[1] при помощи статистического моделирования исследовано распределение этой величины и установлены для каждого из планов
табл. 5 максимальные значения продолжительности испытаний, отнесенные к браковочному уровню контролируемой величины, при которых испытания завершаются принятием решения не менее чем с 80%-ной вероятностью. Результаты моделирования приведены в
табл. 6, которая позволяет в условиях заданной продолжительности испытаний определить необходимый объем выборки.
Вариант последовательных испытаний с неизвестным параметром формы предложен Хартером и Муром
[2].
Математической основой для расчета планов [NUT] одноступенчатого контроля (
табл. 31) является система уравнений:
где

,
q = F(t; 1, v) - диффузионное распределение.
Основой для расчета планов [NUr] (
табл. 32) послужило выражение

,
где

.
Значения N и

, приведенные в
табл. 33 -
35, определены путем решения системы из двух уравнений:

;

,
причем определение N осуществлено таким образом, что обеспечиваются истинные риски

и

, также приведенные в
табл. 33 -
35.
Здесь и далее в пояснениях для упрощения записей переменная t при P опущена, т.е. P = P(t),
Значения параметров планов контроля, приведенные в
табл. 36 -
38, подсчитаны по формулам:

.
Ожидаемое число наблюдений до принятия решения при


.
Решение об окончании контроля при помощи последовательных планов Ярлыкова принимают на основании результатов сопоставления общего числа испытанных образцов

или относительной суммарной наработки

к моменту появления r-го отказа с оценочными уровнями при приемке

или

и забраковании

или

.
При этом принимают решение о соответствии установленным требованиям, если к моменту появления r-го отказа окажется, что

или

и решение о несоответствии установленным требованиям, если окажется, что

или

.
В отличие от планов Вальда последовательная процедура при планах Ярлыкова имеет верхнюю границу для числа наблюдений n. Это позволяет исключить необходимость планирования усечения, обязательного для планов Вальда, что упрощает организацию контроля и гарантирует заданную достоверность в отличие от вальдовских усеченных планов. В этом случае при

испытания завершаются с вероятностью, равной единице.
Оценочные уровни для последовательных планов Ярлыкова найдены при помощи известных выражений для нижних и верхних q-процентных доверительных пределов при соответствующих законах распределения, а также общих выражений для рисков поставщика

и потребителя

.
В частности, значения оценочных уровней

и

для контроля показателей типа "вероятность" найдены решением относительно

и

следующей системы уравнений:

;

;

;

.
В этих формулах, помимо упомянутых величин, использована величина

вероятности достижения величиной

соответствующей области принятия решения; s = r, начиная с которого возможно забракование.
Значения оценочных уровней

и

для контроля показателей типа "наработка" при экспоненциальном распределении найдены решением относительно

и

следующей системы уравнений:

;

;

;

,
где

- вероятность достижения величиной

области принятия решения;
s = r, начиная с которого возможно забракование.
Необходимое число отказов r определяют решением уравнения

,
где

- квантили F-распределения с числом степеней свободы (2r, 2r) и уровнями

и

соответственно.
Оценочный норматив

определяют по формуле
или

.
Границы зон приемки и браковки определяют по заданным приемочному в браковочному уровням

и рискам поставщика и потребителя

и

по формулам:

;

,
где

.
Минимальное число отказов, при котором может быть вынесено решение о соответствии или несоответствии изделия требованиям, определяют по формуле

.
Контроль по данным эксплуатационных наблюдений обычно проводят при помощи доверительных границ. Применение доверительных границ позволяет после принятия решения определить наблюдаемые риски поставщика

или потребителя

вместо задаваемых рисков

и

, применяемых для планирования наблюдений. Использование

и

позволяет охарактеризовать вероятность ошибочности принятого решения с учетом не только плана, но и результата наблюдений, что, как правило, увеличивает уверенность в правильности этих решений (поскольку

). Величина

позволяет различать лучшие и худшие изделия среди прошедших контроль, разделять их по сортам и т.п. Величина

позволяет потребителю обоснованно предъявлять поставщику претензии (рекламации) по уровню надежности на этапе эксплуатации изделий. Контроль по доверительным границам применим для любых показателей, в том числе комплексных показателей - функций многих переменных
[3].
Справочное
ИНФОРМАЦИОННЫЕ ДАННЫЕ О СООТВЕТСТВИИ
─────────────────────────────────┬────────────────────────────────
ГОСТ 27.410-87 │ СТ СЭВ 4492-84
───────────────┬─────────────────┼──────────────┬─────────────────
пункт │ содержание │ пункт │ содержание
│ требований │ │ требований
───────────────┼─────────────────┼──────────────┼─────────────────
1.2 │ Соответствует │ 1.2 │ Соответствует
│полностью │ │полностью
3.1 │ То же │ 3.1 │ То же
────────────────────────────────┬─────────────────────────────────
ГОСТ 27.410-87 │ СТ СЭВ 5041-85
──────────────┬─────────────────┼───────────────┬─────────────────
пункт │ содержание │ пункт │ содержание
│ требований │ │ требований
──────────────┼─────────────────┼───────────────┼─────────────────
1 -
16 │ Соответствует │ 1 - 9, 12 - 18│ Соответствует
Приложения 2 │полностью │табл. 1 │полностью
─────────────────────────────────┬────────────────────────────────
ГОСТ 27.410-87 │ СТ СЭВ 1193-78
──────────────┬──────────────────┼──────────────┬─────────────────
пункт │ содержание │ пункт │ содержание
│ требований │ │ требований
──────────────┼──────────────────┼──────────────┼─────────────────
Табл. 87 и
88│ Соответствуют │ Табл. 2 и 4 │ Соответствуют
Приложения 7 │полностью │ │полностью
1. М.Б. Фарберман, Р.Д. Берштин, С.С. Дмитриченко "Планирование объемов последовательных испытаний деталей машин на долговечность". Вестник машиностроения, N 8, 1987, С. 3 - 6.
2. Harter H.L., Moore A.H. An Evaluation of Exponential and Weibull Test Plans IEEE Transactions on Reliability, Vol. R-25, N 2, June 1976, p. 100 - 104.
3. Надежность технических систем: Спр. Ю.К. Беляев, В.А. Богатырев, В.В. Болотин и др. Под ред. И.А. Ушакова. М.: Радио и связь, 1985.