Главная // Актуальные документы // ГОСТ (Государственный стандарт)СПРАВКА
Источник публикации
М.: Стандартинформ, 2016
Примечание к документу
Текст данного документа приведен с учетом
поправки, опубликованной в "ИУС", N 12, 2021.
Документ
введен в действие с 01.07.2017.
Взамен ГОСТ 26148-84.
Название документа
"ГОСТ 8.654-2016. Межгосударственный стандарт. Государственная система обеспечения единства измерений. Фотометрия. Термины и определения"
(введен в действие Приказом Росстандарта от 13.10.2016 N 1393-ст)
"ГОСТ 8.654-2016. Межгосударственный стандарт. Государственная система обеспечения единства измерений. Фотометрия. Термины и определения"
(введен в действие Приказом Росстандарта от 13.10.2016 N 1393-ст)
по техническому регулированию
и метрологии
от 13 октября 2016 г. N 1393-ст
МЕЖГОСУДАРСТВЕННЫЙ СТАНДАРТ
ГОСУДАРСТВЕННАЯ СИСТЕМА ОБЕСПЕЧЕНИЯ ЕДИНСТВА ИЗМЕРЕНИЙ
ФОТОМЕТРИЯ
ТЕРМИНЫ И ОПРЕДЕЛЕНИЯ
State system for ensuring the uniformity
of measurements. Photometry. Terms and definitions
ГОСТ 8.654-2016
Дата введения
1 июля 2017 года
Цели, основные принципы и порядок проведения работ по межгосударственной стандартизации установлены в
ГОСТ 1.0-2015 "Межгосударственная система стандартизации. Основные положения" и
ГОСТ 1.2-2015 "Межгосударственная система стандартизации. Стандарты межгосударственные, правила, рекомендации по межгосударственной стандартизации. Правила разработки, принятия, обновления и отмены"
1 РАЗРАБОТАН Федеральным государственным унитарным предприятием "Всероссийский научно-исследовательский институт оптико-физических измерений" (ФГУП "ВНИИОФИ")
2 ВНЕСЕН Федеральным агентством по техническому регулированию и метрологии
3 ПРИНЯТ Межгосударственным советом по стандартизации, метрологии и сертификации по переписке (протокол от 29 февраля 2016 г. N 85-П)
За принятие проголосовали:
Краткое наименование страны по МК (ИСО 3166) 004-97 | Код страны по МК (ИСО 3166) 004-97 | Сокращенное наименование национального органа по стандартизации |
Армения | AM | Минэкономики Республики Армения |
Беларусь | BY | Госстандарт Республики Беларусь |
Казахстан | KZ | Госстандарт Республики Казахстан |
Киргизия | KG | Кыргызстандарт |
Россия | RU | Росстандарт |
Туркмения | TM | Главгосслужба "Туркменстандартлары" |
Узбекистан | UZ | Узстандарт |
4
Приказом Федерального агентства по техническому регулированию и метрологии от 13 октября 2016 г. N 1393-ст межгосударственный стандарт ГОСТ 8.654-2016 введен в действие в качестве национального стандарта Российской Федерации с 1 июля 2017 г.
5 ВЗАМЕН ГОСТ 26148-84
Информация об изменениях к настоящему стандарту публикуется в ежегодном информационном указателе "Национальные стандарты", а текст изменений и поправок - в ежемесячном информационном указателе "Национальные стандарты". В случае пересмотра (замены) или отмены настоящего стандарта соответствующая информация будет опубликована в ежемесячном информационном указателе "Национальные стандарты". Соответствующая информация, уведомление и тексты размещаются также в информационной системе общего пользования - на официальном сайте Федерального агентства по техническому регулированию и метрологии в сети Интернет
Настоящий стандарт распространяется на термины и определения понятий в области фотометрии.
2.1 Основные понятия
2.1.1 фотометрия
X: Измерение величин, характеризующих излучение в соответствии с принятой функцией относительной спектральной световой эффективности, либо фотопической

, либо скотопической

.
Примечание - В научной литературе термин "фотометрия" иногда применяют в более широком смысле - наука об измерениях оптического излучения (радиометрия), но такое использование термина не рекомендуется.
2.1.2 фотометрия физическая: Фотометрия, в области которой для проведения измерений используют физические приемники.
2.1.3 радиометрия: Измерение величин, связанных с энергией излучения.
2.1.4 спектральная линия: Монохроматическое излучение, испускаемое или поглощаемое при переходе между двумя энергетическими уровнями.
Примечание - Спектральная линия является отображением данного энергетического перехода в спектре.
2.1.5 спектральное распределение

;

, Вт·м
-1, лм·м
-1, м
-1: Отношение энергетической, световой или фотонной величины

, взятой в малом спектральном интервале

, содержащем данную длину волны

, к этому интервалу

.
Примечание - Термину спектральное распределение отдается предпочтение, когда имеют дело с функцией

в широком диапазоне длин волн, а не на определенной длине волны.
2.1.6 относительное спектральное распределение [относительной, световой или фотонной величины

],

: Отношение данного спектрального распределения

величины

к постоянной опорной величине
R, которая может быть средним значением, максимальным значением или произвольно выбранным значением данного спектрального распределения

.
2.1.7 равноэнергетический спектр: Спектр излучения, спектральная плотность энергетической величины которого постоянна для всех длин волн видимой области спектра

.
Примечание - Излучение равноэнергетического спектра иногда рассматривается как излучение с определенным спектральным составом (иллюминант), в этом случае данная величина обозначается символом "E".
2.1.8 спектральная плотность энергетической яркости (отнесенная к малому спектральному интервалу в данном направлении в заданной точке)

, Вт·м
-2·м
-1·ср
-1: Отношение спектральной мощности излучения

, проходящей через бесконечно малую площадь, содержащую эту точку и распространяющуюся внутри телесного угла

в заданном направлении, к произведению интервала длин волн

и площади сечения этого луча на плоскости, перпендикулярной этому направлению

, содержащему данную точку, и к телесному углу


.
2.1.9 относительная спектральная световая эффективность (монохроматического излучения с длиной волны

): Отношение двух потоков излучения соответственно с длинами волн

и

(

выбирают так, чтобы максимальное значение этого отношения равнялось единице), вызывающих в точно определенных фотометрических условиях зрительные ощущения одинаковой силы:

- для дневного зрения;

- для ночного зрения.
Примечания
1 Для дневного зрения значения относительной спектральной световой эффективности монохроматического излучения определены МКО в 1924 г. (Труды 6-й сессии, с. 67), дополнены путем интерполяции и экстраполяции (ISO 23539:2005(E)/CIE S 010/E:2004) и рекомендованы Международным комитетом мер и весов (CIPM) в 1972 г.
Для ночного зрения в 1951 г. МКО были приняты значения для лиц молодого возраста (Труды 12-й сессии МКО, том 3, с. 37; стандарт ИСО/МКО (ISO 23539:2005(E)/CIE S 010/E:2004), окончательно ратифицированы Международным комитетом мер и весов в 1976 г.
Для условий адаптации в сумерках МКО рекомендует использовать публикацию МКО: 191:2010.
2 Для применения в научных направлениях, связанных со зрением, МКО рекомендует использовать модифицированную функцию относительной спектральной световой эффективности дневного видения,

(см. МКО: 86-1990) и функцию

для угла наблюдения 10° (см. МКО: 165:2005).
2.1.10 закон обратных квадратов: Закон, связывающий освещенность
E на поверхности и силу света
I освещающего точечного источника излучения следующим соотношением:

,
где

- угол между нормалью к поверхности и направлением освещения;
d - расстояние между источником и поверхностью.
Примечание - Этот закон применим строго только для точечных источников. Однако он может применяться для неточечных источников при достаточно больших расстояниях, и в данном случае степень аппроксимации для выбранного расстояния должна быть подтверждена измерениями.
2.1.11 свет: 1 Характеристика всех ощущений и восприятий, которые характерны для зрения. 2 Видимое излучение, которое рассматривается с точки зрения возбуждающего воздействия на зрительную систему.
Примечание - Этот термин подразумевает два смысловых варианта: воспринимаемый свет и видимое излучение.
2.1.12 оптическое излучение: Электромагнитное излучение с длинами волн, лежащими в пределах между областью перехода к рентгеновским лучам

и областью перехода к радиоволнам

.
2.1.13 монохроматическое излучение: Излучение, характеризуемое одной частотой.
Примечание - На практике это излучение очень малого диапазона частот, которое может быть охарактеризовано указанием одной частоты.
2.1.14 когерентное излучение: Монохроматическое излучение, у которого при распространении сохраняется разность фаз электромагнитных колебаний между разными точками.
2.1.15 поляризованное излучение: Излучение, у которого поперечные векторы напряженности электромагнитного поля ориентированы в определенных направлениях.
Примечание - Поляризация может быть линейной, эллиптической или циркулярной (круговой).
2.1.16 неполяризованное излучение: Излучение, у которого нет преимущественного направленного свойства в плоскости, перпендикулярной к направлению его распространения, при этом направление и фаза вектора электрического поля распространяются беспорядочно.
Примечание - Луч неполяризованного излучения можно рассматривать в виде двух компонент с равными амплитудами, но с ортогональной поляризацией, две несвязанные по фазе компоненты.
2.1.17 инфракрасное излучение: Оптическое излучение, у которого длины волн монохроматических составляющих больше длин волн видимого излучения и лежат в диапазоне от 780 нм до 1 мм.
Примечание - Диапазон длин волн инфракрасного излучения обычно подразделяют на поддиапазоны: ИК-A: 780 - 1400 нм; ИК-B: 1,4 - 3 мкм; ИК-C: 3 мкм - 1 мм.
2.1.18 ультрафиолетовое излучение: Оптическое излучение, у которого длины волн монохроматических составляющих меньше длин волн видимого излучения и лежат в диапазоне от 100 до 400 нм.
Примечание - Диапазон длин волн ультрафиолетового излучения обычно подразделяют на поддиапазоны: УФ-A: 315 - 400 нм; УФ-B: 280 - 315 нм; УФ-C: 100 - 280 нм.
2.1.19 излучатель: Излучающий свет объект.
2.1.20 точечный источник: Источник излучения, размерами которого можно пренебречь по сравнению с расстоянием до облучаемой поверхности.
Примечание - Точечный источник, излучающий равномерно во всех направлениях, называется изотропным или равномерным точечным источником.
2.1.21 облучение: Воздействие оптического излучения на материал, объект или окружающую среду.
2.1.22 сферическая облученность (в точке)
Ee, o, Вт·м
-2: Величина, определяемая по формуле

,
где

- телесный угол элементарного пучка лучей, проходящего через данную точку;
Le - энергетическая яркость пучка лучей.
2.1.23 пространственная облученность: Отношение всего потока излучения, падающего на внешнюю поверхность бесконечно малой сферы с центром в данной точке, к площади диаметрального сечения этой сферы.
2.1.24 цветовая температура
Tц,
К: Температура излучателя Планка (черного тела), при которой его излучение имеет ту же цветность, что и рассматриваемое излучение.
2.1.25 коррелированная цветовая температура
Tкцт,
К: Температура излучателя Планка, имеющего координаты цветности, близкие к координатам цветности, ассоциируемым с данным спектральным распределением на диаграмме (на основе МКО 1931 стандартного наблюдателя), где кривая температур излучателя Планка и температура тестируемых стимулов отображены в координатах
u',

.
2.1.26 яркостная температура (теплового излучателя для определенной длины волны)
К: Температура черного тела, при которой для данной длины волны оно имеет ту же спектральную плотность энергетической яркости, что и рассматриваемый тепловой излучатель.
2.1.27 геометрия освещения (образца): Угловое распределение излучения, падающего на измеряемый образец по отношению к центру апертуры образца.
Примечание - Геометрия освещения образца и геометрия входа излучения в приемник вместе определяют специфику геометрии измерений отражения и пропускания образцов материалов и сред.
2.1.28 световой поток Ф
V; Ф, лм: Величина, образуемая от потока излучения Ф
e при оценке излучения по его действию на стандартного фотометрического наблюдателя МКО.
Примечание - Для дневного зрения

,
где

- спектральная плотность потока излучения;

- относительная спектральная световая эффективность излучения.
2.1.29 полный световой поток (источника): Суммарный поток источника в телесном угле

стерадианов, единица измерения - лм.
2.1.30 сила света (источника в данном направлении)
Iv;
I, кд = лм·ср
-1: Отношение светового потока
dФ
v, исходящего от источника и распространяющегося внутри малого телесного угла

, содержащего данное направление, к этому телесному углу

.
Примечание - Определение справедливо только для точечного источника.
2.1.31 средняя сферическая сила света (источника света)
Is, кд: Среднее значение силы света источника во всех направлениях, равное отношению его светового потока к телесному углу

стерадианов.
2.1.32 пространственное распределение силы света (источника света): Представление с помощью кривых или таблиц значений силы света источника света в зависимости от направления в пространстве.
2.1.33 освещенность (в точке поверхности)
Ev;
E, лк = лм·м
-2: Отношение светового потока
dФ
v, падающего на элемент поверхности, содержащий рассматриваемую точку, к площади
dA этого элемента.
2.1.34 горизонтальная освещенность
Ev,h;
Eh: Освещенность на горизонтальной плоскости, единица измерения - лк = лм·м
-2.
2.1.35 средняя освещенность (на поверхности)
Eср;

, лк = лм·м
-2: Освещенность, усредненная по заданной поверхности.
Примечание - На практике она может быть аппроксимирована средним значением освещенностей регламентированного количества точек на поверхности, при этом должен быть указан вид освещенности в этих точках поверхности (горизонтальная, вертикальная, сферическая, цилиндрическая или полуцилиндрическая).
2.1.36 сферическая освещенность (в точке)
Ev, o;
Eo, лк: Отношение всего светового потока, падающего на внешнюю поверхность бесконечно малой сферы с центром в данной точке, к площади поверхности этой сферы.
Примечание - Данному определению также соответствует термин "пространственная освещенность".
2.1.37 яркость (в данном направлении, в данной точке реальной или воображаемой поверхности)
Lv;
L, кд·м
-2 = лм·м
-2·ср
-1: Величина, определяемая по формуле

,
где
dФ
V - световой поток, переносимый в элементарном пучке лучей, проходящем через данную точку и распространяющемся в телесном угле

, содержащем данное направление;
dA - площадь сечения данного пучка, проходящего через данную точку;

- угол между нормалью к данному сечению и направлением пучка лучей.
2.1.38 средняя яркость (поверхности)
Lср: Яркость, усредненная по заданной поверхности, единица измерения - кд·м
-2.
Примечание - На практике она может быть аппроксимирована средним значением яркостей регламентированного количества точек на поверхности.
2.1.39 эквивалентная яркость (поля определенной формы и размера при произвольном относительном спектральном распределении излучения)
Leq, кд·м
-2: Яркость поля сравнения, в котором излучение с частотой 540·10
12 Гц (что соответствует длине волны 555,016 нм) имеет ту же светлоту, что и рассматриваемое поле при определенных условиях визуального фотометрирования; это поле сравнения должно иметь определенные размеры и форму, которые могут быть отличными от размеров и формы рассматриваемого поля, единица.
2.1.40 энергетическая яркость (яркость излучения) (в данном направлении, в данной точке реальной или воображаемой поверхности)
Le, Вт·м
-2·ср
-1: Величина, определяемая по формуле

,
где
dФ
e - поток излучения, переносимый в элементарном пучке лучей, проходящем через данную точку и распространяющемся в телесном угле

, содержащем данное направление;
dA - площадь сечения данного пучка, проходящего через данную точку;

- угол между нормалью к данному сечению и направлением пучка лучей.
2.1.41 показатель энергетической яркости (элемента поверхности среды в заданном направлении при определенных условиях облучения)
qe, стер
-1: Частное от деления энергетической яркости элемента поверхности в заданном направлении на энергетическую освещенность этого элемента.
2.1.42 яркостная доза излучения (в заданном направлении и точке реальной или воображаемой поверхности)
Lt, Дж·м
-2·ср
-2: Величина, определяемая выражением

,
где
dQe - энергия излучения, переносимая элементарным пучком лучей, проходящим через данную точку и распространяющимся в телесном угле

, содержащем данную точку;
dA - площадь сечения элементарного пучка лучей, содержащая данную точку;

- угол между нормалью к этому сечению и направлением элементарного пучка лучей.
2.1.43 светимость (в точке поверхности)
Mv;
M, лм·м
-2: Отношение светового потока
dФ
V, исходящего от элемента поверхности, который содержит данную точку, к площади этого элемента
dA.
2.1.44 энергетическая светимость (в точке поверхности)
Me, Вт·м
-2: Отношение потока излучения
dФ
e, исходящего от элемента поверхности, который содержит данную точку, к площади этого элемента
dA.
2.1.45 коэффициент излучения (полусферический)

;

: Отношение энергетической светимости излучателя к энергетической светимости имеющего ту же температуру черного тела.
2.1.46 экспозиция (в точке поверхности для данной длительности)
Hv;
H, лк·с = лм·с·м
-2: Интеграл по времени от облученности
Ee в данной точке за данную длительность

.
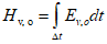
2.1.47 сферическая экспозиция (в точке для заданной длительности экспозиции)
Hv,o;
Ho, лк·с = лк·с·м
-2: Интеграл по времени от пространственной освещенности
Ev,o в данной точке для интервала времени


.
2.1.48 энергетическая экспозиция (в точке поверхности для данной длительности)
He, Дж·м
-2 = Вт·с·м
-2: Отношение энергии излучения
dQe, падающей на элемент поверхности, содержащей данную точку, в течение заданной длительности времени, к площади
dA этого элемента.
2.1.49 энергетическая сферическая экспозиция (в точке за данную длительность)
He,o, Дж·м
-2 = Вт·с·м
-2: Интеграл по времени от пространственной облученности
Ee,o в данной точке для интервала времени


.
2.1.50 энергетическая освещенность, облученность (в точке поверхности)
Ee, Вт·м
-2: Отношение потока излучения
dФ
e, падающего на элемент поверхности, содержащий рассматриваемую точку, к площади
dA этого элемента.
2.2 Фотометрические величины
2.2.1 кандела, кд = лм·ср
-1: Сила света в заданном направлении источника монохроматического излучения с частотой 540·10
12 Гц, сила излучения которого в этом направлении составляет 1/683 Вт·ср
-1, - основная единица измерения в международной системе единиц (СИ) для фотометрии.
2.2.2 люмен, лм: Световой поток, излучаемый в единичном телесном угле (стерадиан) равномерным точечным источником с силой света 1 кандела - единица измерения светового потока в международной системе единиц (СИ).
2.2.3 люкс, лк = лм·м
-2: Освещенность, создаваемая световым потоком в 1 лм, равномерно распределенным по поверхности, площадь которой равна 1 м
2 - единица измерения освещенности в международной системе единиц (СИ).
2.2.4 кандела на квадратный метр, кд·м
-2: Единица измерения яркости в международной системе единиц (СИ).
2.3 Фотометрические параметры и характеристики веществ, сред и тел
2.3.1 преломление: Изменение направления распространения излучения вследствие изменения скорости его распространения в оптически неоднородной среде или при переходе границы, разделяющей разные среды.
2.3.2 комплексный показатель преломления (изотропного светопоглощающего материала)

: Величина, определяемая по формуле

,
где

- спектральный показатель преломления;

- спектральный показатель поглощения;

.
2.3.3 поглощение: Превращение энергии излучения в другую форму энергии в результате взаимодействия с веществом.
2.3.4 коэффициент поглощения

: Отношение поглощенного потока излучения или светового потока к падающему (при определенных условиях).
2.3.5 отражение: Возвращение излучения определенной поверхностью или средой без изменения частот его монохроматических составляющих.
2.3.6 коэффициент отражения (для падающего излучения с заданными спектральным составом, поляризацией и пространственным распределением)

: Отношение отраженного потока излучения или светового потока к падающему потоку при заданных условиях.
Примечание - Коэффициент отражения

представляет собой сумму коэффициента зеркального отражения

и коэффициента диффузного отражения

:

.
2.3.7 диффузное отражение: Обусловленное отражением рассеяние излучения, при котором на макроскопическом уровне отсутствует зеркальное отражение.
2.3.8 изотропное диффузное отражение: Диффузное отражение, при котором пространственное распределение отраженного излучения таково, что его энергетическая яркость или яркость одинаковы во всех направлениях в пределах полусферы, в которую отражается это излучение.
2.3.9 смешанное отражение: Частично зеркальное, частично диффузное отражение.
2.3.10 коэффициент диффузного отражения
rd: Отношение диффузно отраженной части (полного) отраженного потока к падающему потоку.
2.3.11 оптическая плотность по отражению

: Десятичный логарифм величины, обратной коэффициенту отражения

:

.
2.3.12 оптическая плотность по фактору коэффициента отражения
DR: Десятичный логарифм величины, обратной частному коэффициенту отражения
R:
DR = -log
10R.
2.3.13 пропускание: Прохождение излучения сквозь среду без изменения частот его монохроматических составляющих.
2.3.14 коэффициент пропускания (для падающего излучения с заданными спектральным составом, поляризацией и пространственным распределением)

: Отношение прошедшего потока излучения или светового потока к падающему при заданных условиях.
Примечание - Коэффициент пропускания

представляет собой сумму коэффициента направленного пропускания

и коэффициента диффузного пропускания

:

.
2.3.15 коэффициент пропускания (образца в оптической системе) T: Отношение потока, пропущенного расположенным в заданной оптической системе образцом, к потоку, пропущенному при отсутствии образца.
2.3.16 направленное пропускание: Пропускание без рассеяния в соответствии с законами геометрической оптики.
2.3.17 коэффициент направленного пропускания

: Отношение направленно пропущенной части (полного) пропущенного потока к падающему потоку.
2.3.18 диффузное пропускание: Обусловленное пропусканием рассеяние излучения, при котором на макроскопическом уровне отсутствует направленное пропускание.
2.3.19 изотропное диффузное пропускание: Диффузное пропускание, при котором пространственное распределение прошедшего излучения таково, что его энергетическая яркость или яркость одинаковы во всех направлениях в пределах полусферы, в которую проходит это излучение.
2.3.20 смешанное пропускание: Частично направленное, частично диффузное пропускание.
2.3.21 коэффициент диффузного пропускания
td: Отношение диффузно пропущенной части (полного) пропущенного потока к падающему потоку.
2.3.22 оптическая плотность по пропусканию
Dt: Десятичный логарифм величины, обратной коэффициенту пропускания

:

.
2.3.23 зеркальное отражение: Отражение без рассеяния в соответствии с законами геометрической оптики.
2.3.24 коэффициент зеркального отражения

: Отношение зеркально отраженной части (полного) отраженного потока к падающему потоку.
2.3.25 световозвращение: Отражение, при котором отраженные лучи возвращаются преимущественно в направлениях, близких к направлению, противоположному их падению, и это свойство сохраняется в широком диапазоне изменения направления падения лучей.
2.3.26 коэффициент световозвращения: Отношение отраженного потока излучения или светового потока к падающему при жестко ограниченных условиях падения и отражения.
2.3.27 рассеяние: Изменение пространственного распределения пучка лучей, отклоняемых во множестве направлений поверхностью или средой без изменения частот их монохроматических составляющих.
Примечание - В зависимости от того, изменяются характеристики рассеяния с длиной волны падающего излучения или нет, различают соответственно "селективное рассеяние" и "неселективное рассеяние".
2.4 Основные характеристики фотометров
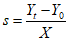
2.4.1 чувствительность (приемника)
s: Отношение величины
Y на выходе приемника к величине
X на его входе

.
Примечание - Если при отсутствии определенного сигнала на входе, на выходе приемника получаем величину
Y0 и величину
Yt при входной величине
X, чувствительность приемника определяют по формуле

.
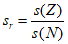
2.4.2 относительная чувствительность (приемника)
sr: Отношение чувствительности
s(
Z) при облучении приемника излучением
Z к значению чувствительности приемника
s(
N), при облучении его стандартным излучением
N

.
2.4.3 спектральная чувствительность (приемника)

. Отношение величины на выходе приемника

к величине на входе приемника монохроматического излучения

, в интервале длин волн

, как функция от длины волны


.
2.4.4 относительная спектральная чувствительность (приемника)

: Отношение спектральной чувствительности

приемника на длине волны

к некоторому опорному значению
sm:

.
Примечание - Это опорное значение может быть средним значением, максимальным значением либо произвольно выбранным значением спектральной чувствительности

.
2.4.5 коэффициент спектральной коррекции (фотометра, фотометрической головки)
F*: Коэффициент, на который умножается показание физического фотометра для коррекции погрешности, связанной с различием между относительной спектральной чувствительностью фотометра и функцией фотометрического наблюдателя (относительной спектральной световой эффективностью), когда фотометр используют в измерениях источника света, имеющего относительное спектральное распределение, отличное от источника света, применяемого при калибровке фотометра.
Примечание - Большую часть фотометров разрабатывают с коррекцией под

функцию и калибруют с помощью источника МКО типа А. Для такого фотометра коэффициент коррекции имеет вид

,
где

- относительная спектральная чувствительность фотометра;

и

- относительное спектральное распределение измеряемого источника света и стандартного источника МКО типа А.
2.5 Фотометрические приборы и источники излучения
2.5.1 фотоэлектронный приемник: Приемник оптического излучения, в котором используется взаимодействие между излучением и веществом, приводящее к поглощению фотонов и последующему выходу электронов из равновесного состояния, что создает электрический потенциал, или ток, или изменение электрического сопротивления, исключая электрические явления, приводящие к изменению температуры.
2.5.2 фотометр: Прибор для измерения световых величин.
2.5.3 люксметр: Прибор для измерения освещенности.
2.5.4 яркомер: Прибор для измерения яркости.
2.5.5 радиометр: Прибор, предназначенный для измерения радиометрических величин.
2.5.6 рефлектометр: Прибор для измерения величин, характеризующих отражение.
2.5.7 гониофотометр: Фотометр для измерения углового распределения световых характеристик источников, светильников, сред или поверхностей.
2.5.8 гониорадиометр: Радиометр для измерения углового распределения радиометрических характеристик источников света, светильников, сред или поверхностей.
2.5.9 спектрофотометр: Прибор для измерения отношения двух значений радиометрической величины для одной и той же длины волны.
2.5.10 спектрорадиометр: Прибор для измерения радиометрических величин в узких интервалах длин волн данного спектрального диапазона.
2.5.11 интегрирующая сфера, фотометрический шар (эквивалентные термины: фотометрический шар, сфера Ульбрихта): Полый шар с внутренней поверхностью, которая в большинстве случаев представляет собой практически неселективный и пространственно однородный диффузный отражатель, имеющий отверстие, в которое помещается физический приемник; экран, расположенный внутри шара, защищает отверстие от прямых лучей источника.
Примечание - Благодаря внутренним отражениям в сфере освещенность любой части ее внутренней поверхности, на которую попадает прямой поток, теоретически пропорциональна световому потоку, входящему в сферу или испускаемому внутри сферы лампой.
2.5.12 интегрирующий фотометр: Фотометр для измерения светового потока, обычно включающий в себя фотометрический шар.
2.5.13 черное тело (излучатель Планка): Идеальный тепловой излучатель, который полностью поглощает все попадающее на него излучение независимо от длины волны, направления падения и состояния поляризации этого излучения и имеет при заданной температуре для всех длин волн максимальную спектральную плотность энергетической яркости.
2.5.14 серое тело: Неселективный тепловой излучатель, коэффициент излучения которого меньше единицы.
2.5.15 лампа: Устройство для получения оптического излучения, обычно видимого.
2.5.16 лампа накаливания (электрическая): Лампа, в которой свет излучается телом, раскаленным в результате прохождения через него электрического тока.
2.5.17 спектральная лампа: Разрядная лампа, излучение которой имеет вполне определенный линейчатый спектр и которую в сочетании со светофильтрами можно использовать для получения монохроматического излучения.
2.5.18 светоизлучающий диод: Полупроводниковый прибор с
p-
n-переходом, испускающим оптическое излучение при возбуждении электрическим током.
АЛФАВИТНЫЙ УКАЗАТЕЛЬ НА РУССКОМ ЯЗЫКЕ
геометрия освещения (образца) | |
гониорадиометр | |
гониофотометр | |
диод светоизлучающий | |
доза излучения яркостная (в заданном направлении и точке реальной или воображаемой поверхности) | |
закон обратных квадратов | |
излучатель | |
излучение инфракрасное | |
излучение когерентное | |
излучение монохроматическое | |
излучение неполяризованное | |
излучение оптическое | |
излучение поляризованное | |
излучение ультрафиолетовое | |
источник точечный | |
кандела | |
кандела на квадратный метр | |
коэффициент диффузного отражения | |
коэффициент диффузного пропускания | |
коэффициент зеркального отражения | |
коэффициент излучения (полусферический) | |
коэффициент направленного пропускания | |
коэффициент отражения | |
коэффициент поглощения | |
коэффициент пропускания (для падающего излучения с заданными спектральным составом, поляризацией и пространственным распределением) | |
коэффициент пропускания (образца в оптической системе) | |
коэффициент световозвращения | |
коэффициент спектральной коррекции (фотометра, фотометрической головки) | |
лампа | |
лампа накаливания (электрическая) | |
лампа спектральная | |
линия спектральная | |
люкс | |
люмен | |
люксметр | |
облучение | |
облученность сферическая (в точке) | |
освещенность (в точке поверхности) | |
освещенность горизонтальная | |
освещенность, облученность энергетическая (в точке поверхности) | |
освещенность средняя (на поверхности) | |
освещенность сферическая (в точке) | |
отражение | |
отражение диффузное | |
отражение зеркальное | |
отражение изотропное диффузное | |
отражение смешанное | |
плотность оптическая по отражению | |
плотность оптическая по пропусканию | |
плотность оптическая по фактору коэффициента отражения | |
поглощение | |
показатель преломления комплексный (изотропного светопоглощающего материала) | |
показатель энергетической яркости (элемента поверхности среды в заданном направлении при определенных условиях облучения) | |
поток световой | |
поток световой полный (источника) | |
преломление | |
приемник фотоэлектронный | |
пропускание | |
пропускание диффузное | |
пропускание изотропное диффузное | |
пропускание направленное | |
пропускание смешанное | |
пространственная облученность | |
радиометр | |
радиометрия | |
распределение силы света пространственное (источника света) | |
распределение спектральное | |
распределение спектральное относительное [относительной, световой или фотонной величины  ] | |
рассеяние | |
рефлектометр | |
свет | |
светимость (в точке поверхности) | |
светимость энергетическая (в точке поверхности) | |
световозвращение | |
сила света (источника в данном направлении) | |
сила света сферическая средняя (источника света) | |
спектр равноэнергетический | |
спектрорадиометр | |
спектрофотометр | |
сфера интегрирующая, шар фотометрический (эквивалентные термины: фотометрический шар, сфера Ульбрихта) | |
тело серое | |
тело черное (излучатель Планка) | |
температура цветовая | |
температура цветовая коррелированная | |
температура яркостная (теплового излучателя для определенной длины волны) | |
фотометр | |
фотометр интегрирующий | |
фотометрия | |
фотометрия физическая | |
чувствительность (приемника) | |
чувствительность относительная (приемника) | |
чувствительность относительная спектральная (приемника) | |
чувствительность спектральная (приемника) | |
экспозиция (в точке поверхности для данной длительности) | |
экспозиция сферическая (в точке для заданной длительности экспозиции) | |
экспозиция сферическая энергетическая (в точке за данную длительность) | |
экспозиция энергетическая (в точке поверхности для данной длительности) | |
эффективность световая относительная спектральная (монохроматического излучения с длиной волны  ) | |
яркомер | |
яркости энергетической спектральная плотность (отнесенная к малому спектральному интервалу в данном направлении в заданной точке) | |
яркость (в данном направлении, в данной точке реальной или воображаемой поверхности) | |
яркость средняя (поверхности) | |
яркость эквивалентная (поля определенной формы и размера при произвольном относительном спектральном распределении излучения) | |
яркость энергетическая (яркость излучения) (в данном направлении, в данной точке реальной или воображаемой поверхности) | |