Главная // Актуальные документы // ГОСТ Р (Государственный стандарт)СПРАВКА
Источник публикации
М.: ФГБУ "РСТ", 2022
Примечание к документу
По сведениям, размещенным на Информационном портале Росстандарта по адресу http://standard.gost.ru/, дата введения в действие перенесена на 01.09.2023 Приказом Росстандарта от 14.11.2022 N 1273-ст.
По сведениям, размещенным на Информационном портале Росстандарта по адресу http://standard.gost.ru/, дата введения в действие перенесена на 01.01.2025 Приказом Росстандарта от 19.10.2022 N 1152-ст.
Документ
вводился в действие с 01.01.2023.
Название документа
"ГОСТ Р 70337-2022. Национальный стандарт Российской Федерации. Шоколад. Общие технические условия"
(утв. и введен в действие Приказом Росстандарта от 06.09.2022 N 884-ст)
"ГОСТ Р 70337-2022. Национальный стандарт Российской Федерации. Шоколад. Общие технические условия"
(утв. и введен в действие Приказом Росстандарта от 06.09.2022 N 884-ст)
Утвержден и введен в действие
по техническому регулированию
и метрологии
от 6 сентября 2022 г. N 884-ст
НАЦИОНАЛЬНЫЙ СТАНДАРТ РОССИЙСКОЙ ФЕДЕРАЦИИ
ШОКОЛАД
ОБЩИЕ ТЕХНИЧЕСКИЕ УСЛОВИЯ
Chocolate. General specifications
ГОСТ Р 70337-2022
| | По сведениям, размещенным на Информационном портале Росстандарта по адресу http://standard.gost.ru/, дата введения в действие перенесена на 01.09.2023 Приказом Росстандарта от 14.11.2022 N 1273-ст. | |
Дата введения
1 января 2023 года
1 РАЗРАБОТАН Всероссийским научно-исследовательским институтом кондитерской промышленности - филиалом Федерального государственного бюджетного научного учреждения "Федеральный научный центр пищевых систем им. В.М. Горбатова" РАН (ВНИИКП - филиал ФГБНУ "ФНЦ пищевых систем им. В.М. Горбатова" РАН)
2 ВНЕСЕН Техническим комитетом по стандартизации ТК 149 "Кондитерские изделия"
3 УТВЕРЖДЕН И ВВЕДЕН В ДЕЙСТВИЕ
Приказом Федерального агентства по техническому регулированию и метрологии от 6 сентября 2022 г. N 884-ст
4 ВВЕДЕН ВПЕРВЫЕ
Правила применения настоящего стандарта установлены в статье 26 Федерального закона от 29 июня 2015 г. N 162-ФЗ "О стандартизации в Российской Федерации". Информация об изменениях к настоящему стандарту публикуется в ежегодном (по состоянию на 1 января текущего года) информационном указателе "Национальные стандарты", а официальный текст изменений и поправок - в ежемесячном информационном указателе "Национальные стандарты". В случае пересмотра (замены) или отмены настоящего стандарта соответствующее уведомление будет опубликовано в ближайшем выпуске ежемесячного информационного указателя "Национальные стандарты". Соответствующая информация, уведомление и тексты размещаются также в информационной системе общего пользования - на официальном сайте Федерального агентства по техническому регулированию и метрологии в сети Интернет (www.rst.gov.ru)
Настоящий стандарт распространяется на шоколад, представляющий собой кондитерское изделие, полученное на основе какао-продуктов, с добавлением или без добавления других компонентов (пищевых ингредиентов) (далее - шоколад), предназначенный для реализации и (или) промышленной переработки.
В настоящем стандарте использованы нормативные ссылки на следующие стандарты:
ГОСТ 8.579 Государственная система обеспечения единства измерений. Требования к количеству фасованных товаров при их производстве, фасовании, продаже и импорте
ГОСТ 5897 Изделия кондитерские. Методы определения органолептических показателей качества, размеров, массы нетто и составных частей
ГОСТ 5900 Изделия кондитерские. Методы определения влаги и сухих веществ
ГОСТ 5901 Изделия кондитерские. Методы определения массовой доли золы и металломагнитной примеси
ГОСТ 5902 Изделия кондитерские. Методы определения степени измельчения и плотности пористых изделий
ГОСТ 5903 Изделия кондитерские. Методы определения сахара
ГОСТ 5904 Изделия кондитерские. Правила приемки и методы отбора проб
ГОСТ 10444.12 Микробиология пищевых продуктов и кормов для животных. Методы выявления и подсчета количества дрожжей и плесневых грибов
ГОСТ 10444.15 Продукты пищевые. Методы определения количества мезофильных аэробных и факультативно-анаэробных микроорганизмов
ГОСТ ISO 11053 Растительные жиры и масла. Определение эквивалентов какао-масла в молочном шоколаде
ГОСТ 13586.6 Зерно. Методы определения зараженности вредителями
ГОСТ 15846 Продукция, отправляемая в районы Крайнего Севера и приравненные к ним местности. Упаковка, маркировка, транспортирование и хранение
ГОСТ ИСО 21569 Продукты пищевые. Методы анализа для обнаружения генетически модифицированных организмов и производных продуктов. Методы качественного обнаружения на основе анализа нуклеиновых кислот
ГОСТ 26669 Продукты пищевые и вкусовые. Подготовка проб для микробиологических анализов
ГОСТ 26670 Продукты пищевые. Методы культивирования микроорганизмов
ГОСТ 26927 Сырье и продукты пищевые. Методы определения ртути
ГОСТ 26929 Сырье и продукты пищевые. Подготовка проб. Минерализация для определения содержания токсичных элементов
ГОСТ 26930 Сырье и продукты пищевые. Метод определения мышьяка
ГОСТ 26932 Сырье и продукты пищевые. Методы определения свинца
ГОСТ 26933 Сырье и продукты пищевые. Методы определения кадмия
ГОСТ 30178 Сырье и продукты пищевые. Атомно-абсорбционный метод определения токсичных элементов
ГОСТ 30538 Продукты пищевые. Методика определения токсичных элементов атомно-эмиссионным методом
ГОСТ 30711 Продукты пищевые. Методы выявления и определения содержания афлатоксинов B
1 и M
1
ГОСТ 31628 Продукты пищевые и продовольственное сырье. Инверсионно-вольтамперометрический метод определения массовой концентрации мышьяка
ГОСТ 31659 (ISO 6579:2002) Продукты пищевые. Метод выявления бактерий рода
Salmonella
ГОСТ 31681 Изделия кондитерские. Методы определения содержания сухого обезжиренного остатка молока в шоколадных изделиях с молоком
ГОСТ 31682 Изделия кондитерские. Методы определения содержания общего сухого остатка какао в шоколадных изделиях
ГОСТ 31722 Изделия кондитерские. Методы определения содержания молочного жира в шоколадных изделиях
ГОСТ 31723 Изделия кондитерские. Метод определения содержания сухого обезжиренного остатка какао в шоколадных изделиях
ГОСТ 31747 Продукты пищевые. Методы выявления и определения количества бактерий группы кишечных палочек (колиформных бактерий)
ГОСТ 31902 Изделия кондитерские. Методы определения массовой доли жира
ГОСТ 32689.1 Продукция пищевая растительного происхождения. Мультиметоды для газохроматографического определения остатков пестицидов.
ГОСТ 32689.2 Продукция пищевая растительного происхождения. Мультиметоды для газохроматографического определения остатков пестицидов.
ГОСТ 32689.3 Продукция пищевая растительного происхождения. Мультиметоды для газохроматографического определения остатков пестицидов.
ГОСТ 32751 Изделия кондитерские. Методы отбора проб для микробиологических анализов
ГОСТ 33536 Изделия кондитерские. Метод определения количества мезофильных аэробных и факультативно-анаэробных микроорганизмов
ГОСТ 34140 Продукты пищевые, корма, продовольственное сырье. Метод определения микотоксинов с помощью высокоэффективной жидкостной хроматографии с масс-спектрометрическим детектированием
ГОСТ Р 52173 Метод идентификации генетически модифицированных источников (ГМИ) растительного происхождения
ГОСТ Р 52174 Биологическая безопасность. Сырье и продукты пищевые. Метод идентификации генетически модифицированных источников (ГМИ) растительного происхождения с применением биологического микрочипа
ГОСТ Р ИСО 23275-1 Жиры и масла животные и растительные. Эквиваленты масла какао в масле какао и шоколаде. Часть 1. Определение наличия эквивалентов масла какао
ГОСТ Р ИСО 23275-2 Жиры и масла животные и растительные. Эквиваленты масла какао в масле какао и шоколаде. Часть 2. Количественное определение эквивалентов масла какао
Примечание - При пользовании настоящим стандартом целесообразно проверить действие ссылочных стандартов в информационной системе общего пользования - на официальном сайте Федерального агентства по техническому регулированию и метрологии в сети Интернет или по ежегодному информационному указателю "Национальные стандарты", который опубликован по состоянию на 1 января текущего года, и по выпускам ежемесячного информационного указателя "Национальные стандарты" за текущий год. Если заменен ссылочный стандарт, на который дана недатированная ссылка, то рекомендуется использовать действующую версию этого стандарта с учетом всех внесенных в данную версию изменений. Если заменен ссылочный стандарт, на который дана датированная ссылка, то рекомендуется использовать версию этого стандарта с указанным выше годом утверждения (принятия). Если после утверждения настоящего стандарта в ссылочный стандарт, на который дана датированная ссылка, внесено изменение, затрагивающее положение, на которое дана ссылка, то это положение рекомендуется применять без учета данного изменения. Если ссылочный стандарт отменен без замены, то положение, в котором дана ссылка на него, рекомендуется применять в части, не затрагивающей эту ссылку.
В настоящем стандарте применены следующие термины с соответствующими определениями:
3.1 шоколад: Кондитерское изделие, полученное на основе какао-продуктов, с добавлением или без добавления других компонентов (пищевых ингредиентов).
Примечание - К шоколаду относится: обыкновенный шоколад (или шоколад), молочный шоколад, экстрамолочный шоколад, горький (или черный) шоколад, темный шоколад, сладкий шоколад, белый шоколад, шоколад с начинкой, шоколад в порошке.
3.2
(обыкновенный) шоколад: Шоколад, содержащий 35% и более общего сухого остатка какао, в том числе 18% и более масла какао и 14% и более обезжиренного сухого остатка какао.
3.3 молочный шоколад: шоколад, содержащий 25% и более общего сухого остатка какао, в том числе 2,5% и более обезжиренного сухого остатка какао, 12% и более сухого молочного остатка, в том числе 2,5% и более молочного жира, при содержании общего жира 25% и более.
3.4 экстрамолочный шоколад: Шоколад, содержащий 20% и более общего сухого остатка какао, в том числе 2,5% и более обезжиренного сухого остатка какао, 20% и более сухого молочного остатка, в том числе 5% и более молочного жира, при содержании общего жира 25% и более.
3.5 горький [черный] шоколад: Шоколад, содержащий 55% и более общего сухого остатка какао, в том числе 33% и более масла какао. Если указанное количество масла какао обеспечено за счет какао тертого, то горький (или черный) шоколад может быть произведен без дополнительного добавления масла какао.
3.6 темный шоколад: Шоколад, содержащий 40% и более общего сухого остатка какао, в том числе 20% и более масла какао. Если указанное количество масла какао обеспечено за счет какао тертого, то темный шоколад может быть произведен без дополнительного добавления масла какао.
3.7 сладкий шоколад: Шоколад, содержащий 30% и более общего сухого остатка какао, в том числе 18% и более масла какао и 12% и более обезжиренного сухого остатка какао.
3.8
белый шоколад: Шоколад, содержащий 20% и более масла какао и 14% и более сухого молочного остатка, в том числе 2,5% и более молочного жира. Белый шоколад не должен содержать какао тертого или какао-порошка.
3.9
шоколад в порошке: Шоколад, изготовленный на основе какао-порошка и сахара, имеющий вид тонкоизмельченного порошка, содержащий 29% и более общего сухого остатка какао, в том числе 15% и более масла какао.
3.10 пористый шоколад: Шоколад, имеющий ячеистую структуру.
3.11
шоколад с начинкой: Шоколад, содержащий 25% и более отделяемой от начинки наружной части шоколада.
Примечание - К шоколаду с начинкой не относятся хлебобулочные (в том числе сдобные хлебобулочные) изделия, мучные кондитерские изделия и мороженое, покрытые шоколадом.
4.1 В зависимости от идентификационных признаков, указанных в
3.2 -
3.11 и
таблице 2, шоколад подразделяют на следующие виды:
- обыкновенный шоколад (или шоколад),
- молочный шоколад,
- экстрамолочный шоколад,
- горький (или черный) шоколад,
- темный шоколад,
- сладкий шоколад,
- белый шоколад;
- шоколад в порошке;
- из двух (или более) видов шоколада.
4.2 В зависимости от рецептуры и технологии производства шоколад подразделяют на следующие виды:
- с начинкой, без начинки;
- с добавлениями, без добавлений;
- пористый.
4.3 Шоколад может быть изготовлен в любой комбинации из
4.1 и
4.2.
5.1.1 Шоколад должен быть изготовлен в соответствии с требованиями настоящего стандарта по рецептурам и (или) другим документам изготовителя с соблюдением требований
[1] и технических регламентов Евразийского экономического союза на отдельные виды пищевой продукции.
5.1.2 По органолептическим показателям шоколад должен соответствовать требованиям, указанным в
таблице 1.
Наименование показателя | Характеристика |
Внешний вид | Лицевая поверхность с рисунком или без него, блестящая. Допускается матовая, и (или) неровная и (или) шероховатая поверхность - в шоколаде с добавлениями продуктов переработки молока, шоколаде с добавлениями в виде целых или дробленых орехов, арахиса, цукатов, изюма, воздушных круп и (или) других компонентов (пищевых ингредиентов); в весовом шоколаде; в шоколаде, формуемом в фольгу или специальные формы с шероховатой поверхностью; в пористом шоколаде. Допускается поседение поверхности - для шоколада с добавлением целых и (или) дробленых компонентов (пищевых ингредиентов), содержащих растительные жиры, отличные от масла какао [в натуральном виде или в качестве добавленного компонента (пищевого ингредиента) в составе составного компонента (состоящего из двух и более компонентов)]; для шоколада с начинками, содержащего растительные жиры, отличные от масла какао [в натуральном виде или в качестве добавленного ингредиента в составе составного компонента (состоящего из двух и более компонентов)]. Допускается поседение шоколада, предназначенного для промышленной переработки. Допускается незначительное комкование для шоколада в порошке. Допускается не более 5% лома, размер которого не превышает 1/3 площади поверхности шоколада, лом более мелкого размера не должен превышать 3% - для весового незавернутого шоколада. Допускается надломанный шоколад - не более 2%, для шоколада с начинками - не более 4%. Не допускается зараженность вредителями |
Вкус и запах | Свойственные для конкретного вида шоколада с учетом используемых компонентов (пищевых ингредиентов), без постороннего привкуса и запаха |
Форма | В соответствии с рецептурой и (или) другими документами изготовителя, без деформации для всех видов шоколада, кроме весового и шоколада в порошке |
Консистенция | Для шоколада без начинки и шоколада без добавлений, предусмотренными 5.1.17, - твердая. Для шоколада с начинками и шоколада с добавлениями, предусмотренными 5.1.17, - в соответствии с рецептурой и (или) другими документами изготовителя. Для шоколада в порошке - сыпучая |
Текстура (структура) | Для шоколада без начинки и шоколада без добавлений, шоколада в порошке - однородная. Для шоколада с начинками и шоколада с добавлениями, предусмотренными 5.1.17, - в соответствии с рецептурой и (или) другими документами изготовителя. Для пористого шоколада - ячеистая |
Примечания 1 Допускаются незначительные дефекты, не портящие общий внешний вид лицевой поверхности шоколада, такие как крошка, пузырьки, царапины, сколы, проникание жидкой фазы начинки и фруктов (других крупных добавлений) на поверхность. 2 Не допускается поседение поверхности шоколада, полностью меняющее структуру поверхности шоколада и приводящее к затвердеванию поверхности и выделению на ней кристаллов сахара. 3 К компонентам (пищевым ингредиентам), содержащим растительные жиры в натуральном виде, относят: орехи, кокос, арахис, авокадо и другие компоненты (пищевые ингредиенты), а также продукты их переработки. К составным компонентам (состоящим из двух и более компонентов), содержащим растительные жиры в качестве добавленного компонента (пищевого ингредиента), относят сушеные фрукты и ягоды [обработанные растительным маслом (маслами)], кусочки ириса, мягкую карамель, компоненты (пищевые ингредиенты) на основе переработки злаков (зерновые шарики, кусочки вафли печенья и т.д.) и другие компоненты (пищевые ингредиенты). Компоненты (пищевые ингредиенты) и начинки могут находиться как внутри шоколада, так и на поверхности в качестве декорирования. 4 Для шоколада с добавлениями, предусмотренными 5.1.17, и шоколада с начинками показатели консистенции текстуры (структуры) должны быть установлены в рецептурах и (или) в других документах изготовителя. |
5.1.3 По идентификационным признакам шоколад [за вычетом добавленных в соответствии с
5.1.17 компонентов (пищевых ингредиентов)], должен соответствовать требованиям, указанным в
таблице 2.
Наименование показателя | Шоколад обыкновенный | Шоколад молочный | Шоколад экстрамолочный | Шоколад белый | Шоколад горький (черный) | Шоколад темный | Шоколад сладкий | Шоколад с начинкой | Шоколад в порошке |
Массовая доля общего сухого остатка какао, %, не менее | 35 | 25 | 20 | - | 55 | 40 | 30 | - | 29 |
Массовая доля масла какао, %, не менее | 18 | - | - | 20 | 33 | 20 | 18 | - | 15 |
Массовая доля общего жира, %, не менее | - | 25 | 25 | - | - | - | - | - | - |
Массовая доля сухого обезжиренного остатка какао, %, не менее | 14 | 2,5 | 2,5 | - | - | - | 12 | - | - |
Массовая доля сухого молочного остатка, %, не менее | - | 12 | 20 | 14 | - | - | - | - | - |
Массовая доля молочного жира, %, не менее | - | 2,5 | 5 | 2,5 | - | - | - | - | - |
Массовая доля отделяемой от начинки наружной части шоколада, %, не менее | - | - | - | - | - | - | - | 25 | - |
5.1.4 По физико-химическим показателям шоколад должен соответствовать требованиям, указанным в
таблице 3.
Наименование показателя | Шоколад молочный | Шоколад экстрамолочный | Шоколад обыкновенный | Шоколад белый | Шоколад горький (черный) | Шоколад темный | Шоколад сладкий | Шоколад с начинкой | Шоколад в порошке |
Массовая доля золы, нерастворимой в растворе соляной кислоты с массовой долей 10%, не более | 0,1 |
Массовая доля жира, %, не менее | В соответствии с конкретными значениями, установленными в рецептуре и (или) других документах изготовителя |
Массовая доля общего сахара в пересчете на сахарозу и (или) массовая доля добавленной сахарозы, % | В соответствии с конкретными значениями, установленными в рецептуре и (или) других документах изготовителя |
Массовая доля влаги, % | В соответствии с конкретными значениями, установленными в рецептуре и (или) других документах изготовителя |
5.1.5 Допустимые отклонения по физико-химическим показателям допускается указывать в рецептурах и (или) других документах изготовителя.
5.1.6 Шоколад может изготавливаться с добавлением или без добавления сахаров (моно- и дисахаридов) и (или) подсластителей.
5.1.7 Массовую долю общего сахара в пересчете на сахарозу не определяют в шоколаде, изготовленном без добавления сахаров (моно- и дисахаридов).
5.1.8 Идентификационные признаки шоколада, предусмотренные
3.2 -
3.9 и
таблицей 2, - в соответствии с расчетным содержанием по рецептуре, без учета начинки и добавлений, предусмотренных
5.1.17.
5.1.9 Общий сухой остаток какао в шоколаде обеспечивается сухими веществами какао тертого, масла какао, какао-порошка, какао-крупки, а обезжиренный сухой остаток какао - сухими обезжиренными веществами какао тертого, какао-порошка.
5.1.10 Сухой молочный остаток в шоколаде обеспечивается составными частями молока, за исключением воды. К составным частям молока относятся сухие вещества [молочный жир, молочный белок, молочный сахар (лактоза), ферменты, витамины, минеральные вещества], вода.
5.1.11 Содержание токсичных элементов, микотоксинов, пестицидов в шоколаде не должно превышать норм, установленных
[1].
5.1.12 Микробиологические показатели шоколада должны соответствовать требованиям, установленным
[1].
5.1.13 Конкретное наименование шоколада, включая придуманное название, характеристики органолептических и значения физико-химических показателей, расход компонентов (пищевых ингредиентов), пищевая ценность, срок годности для каждого наименования шоколада должны быть указаны в рецептуре и (или) других документах изготовителя.
5.1.14 Для производства шоколада не допускается использовать растительные масла (жиры), отличные от масла какао, и масложировую продукцию, за исключением случаев, указанных в
5.1.15 и
5.1.16.
5.1.15 Для производства шоколада допускается использовать, не уменьшая указанные в
3.2 -
3.8 минимальные значения содержания масла какао и общего сухого остатка какао, эквиваленты масла какао и (или) улучшители масла какао SOS-типа, суммарная массовая доля которых в указанных видах шоколада без учета добавленных в соответствии с
5.1.17 компонентов (пищевых ингредиентов) не должна превышать 5%.
5.1.16 Для производства шоколада не допускается использовать животные жиры, за исключением молочного жира.
5.1.17 Добавление в шоколад компонентов (пищевых ингредиентов), за исключением сахаров (моно- и дисахаридов), подсластителей и компонентов (пищевых ингредиентов), которые определяют идентификационные признаки шоколада, предусмотренные
3.2 -
3.9 и
таблицей 2, допускается в количестве 40% и менее от массы шоколада.
5.1.18 Для производства шоколада не допускается использовать ароматизаторы, которые имитируют вкус и (или) аромат шоколада и какао-продуктов.
Примечание - Для производства молочного, экстрамолочного и белого шоколада не допускается использовать ароматизаторы, которые имитируют вкус и (или) аромат молока или сливок, молочного жира.
5.1.19 Для производства шоколада не допускается использовать красители, за исключением использования красителей для декорирования поверхности шоколада в соответствии с
[2].
Примечание - К красителям не относится пищевая продукция, обладающая вторичным красящим эффектом [например, растительные экстракты, концентраты соков и другие компоненты (пищевые ингредиенты)].
5.1.20 Требования
5.1.14 -
5.1.16,
5.1.18 -
5.1.19 не распространяются на компоненты (пищевые ингредиенты), используемые для изготовления начинок, и (или) добавления, предусмотренные
5.1.17.
5.1.21 Рекомендуемая степень измельчения шоколада приведена в
приложении Б.
5.2.1 Перечень компонентов (пищевых ингредиентов) и технологических вспомогательных средств, применяемых при производстве шоколада, должен быть указан в рецептурах и (или) других документах изготовителя.
5.2.2 Компоненты (пищевые ингредиенты) и технологические вспомогательные средства, применяемые для изготовления шоколада, должны быть разрешены к применению в пищевой промышленности и соответствовать требованиям безопасности, указанным в
[1] и (или) в технических регламентах Евразийского экономического союза на отдельные виды пищевой продукции.
5.2.3 Применение пищевых добавок, ароматизаторов и технологических вспомогательных средств - в соответствии с требованиями
[2].
5.3.1 Маркировка шоколада должна соответствовать требованиям
[3].
5.3.2 Допускается дополнять наименование шоколада термином "десертный" при степени измельчения не менее 96%.
5.3.3 Допускается не указывать в наименовании шоколада обыкновенного термин "обыкновенный".
5.3.4 В маркировке шоколада допускается дополнять наименование вида шоколада словом, характеризующим его цвет, если в состав шоколада входят компоненты (пищевые ингредиенты), обладающие вторичным красящим эффектом.
5.3.5 В маркировке шоколада с начинкой и (или) шоколада с добавлениями, предусмотренными
5.1.17, сведения о составе шоколада допускается формировать таким образом, чтобы дать ясное представление о том, какие компоненты (пищевые ингредиенты) входят в состав начинки и (или) добавлений.
5.3.6 В маркировке всех видов шоколада указывается содержание общего сухого остатка какао в шоколаде (без учета начинки и добавлений, предусмотренных
5.1.17).
5.3.7 В маркировке шоколада, состоящего из нескольких видов шоколада, содержание общего сухого остатка какао указывают отдельно для каждого вида шоколада.
5.3.8 В маркировке молочного, экстрамолочного, белого шоколада по усмотрению изготовителя может быть дополнительно указано содержание сухого молочного остатка в шоколаде (без учета начинки и добавлений, предусмотренных
5.1.17).
5.3.9 В маркировке шоколада, содержащего в своем составе эквиваленты масла какао и (или) улучшители масла какао SOS-типа, должна быть приведена информация об этом. Эта надпись должна быть размещена в том же поле зрения, что и состав продукта, с четким разделением от этого перечня.
5.3.10 Транспортная маркировка должна соответствовать
[3].
5.3.11 Шоколад, отправляемый в районы Крайнего Севера и приравненные к ним местности, маркируют по
ГОСТ 15846.
5.3.12 Примеры указания в маркировке шоколада информации о содержании общего сухого остатка какао, сухого молочного остатка и эквивалентов масла какао и (или) улучшителей масла какао SOS-типа приведены в
приложении А.
5.4.1 Упаковочные материалы и упаковка, используемые для упаковывания шоколада, должны соответствовать требованиям
[4] и обеспечивать сохранение качества и безопасности продукции при ее транспортировании, хранении и реализации.
5.4.2 Шоколад изготавливают:
- незавернутым или завернутым;
- упакованным или весовым;
- в потребительской или транспортной упаковке;
- в их комбинациях.
5.4.3 Масса шоколада в одной упаковочной единице должна соответствовать номинальной массе, указанной в маркировке потребительской упаковки, с учетом допускаемых отклонений.
Пределы допускаемых отрицательных отклонений массы шоколада в потребительской упаковке или транспортной упаковке (для шоколада, помещенного непосредственно в транспортную упаковку) от номинальной массы - по
ГОСТ 8.579.
6.2 Контроль органолептических, физико-химических показателей, идентификационных признаков и показателей безопасности на предприятии изготовителя осуществляют в соответствии с порядком, установленным изготовителем продукции с учетом требований
[1].
7.1 Отбор и подготовка проб - по
ГОСТ 5904, минерализация проб для определения токсичных элементов - по
ГОСТ 26929, отбор проб для микробиологических анализов - по
ГОСТ 32751, подготовка проб для микробиологических анализов - по
ГОСТ 26669, методы культивирования микроорганизмов - по
ГОСТ 26670.
7.2 Определение органолептических показателей - по
ГОСТ 5897.
Вкус и запах, внешний вид, форму, консистенцию и структуру (текстуру) шоколада определяют при температуре (18 +/- 5) °C.
7.3 Метод определения размеров, составных частей и массы нетто в упаковочной единице - по
ГОСТ 5897.
7.4 Определение массовой доли влаги - по
ГОСТ 5900.
7.5 Определение степени измельчения - по
ГОСТ 5902.
7.6 Определение массовой доли золы, нерастворимой в растворе соляной кислоты массовой долей 10%, - по
ГОСТ 5901.
7.7 Определение массовой доли общего сахара в пересчете на сахарозу - по
ГОСТ 5903.
7.8 Определение массовой доли жира - по
ГОСТ 31902.
7.9 Определение массовой доли сухого молочного остатка. Сухой молочный остаток определяется суммой сухого обезжиренного остатка молока по
ГОСТ 31681 и молочного жира по
ГОСТ 31722, без учета добавленных в соответствии с
5.1.17 компонентов (пищевых ингредиентов). Пример расчета массовой доли сухого молочного остатка указан в
приложении В.
7.10 Определение массовой доли молочного жира - по
ГОСТ 31722, без учета добавленных в соответствии с
5.1.17 компонентов (пищевых ингредиентов). Пример расчета указан в
приложении В.
7.11 Определение массовой доли сухого обезжиренного остатка какао - по
ГОСТ 31723 без учета добавленных в соответствии с
5.1.17 компонентов (пищевых ингредиентов). Пример расчета указан в
приложении В.
7.12 Определение массовой доли общего сухого остатка какао - по
ГОСТ 31682, без учета добавленных в соответствии с
5.1.17 компонентов (пищевых ингредиентов). Пример расчета указан в
приложении В.
7.13 Определение эквивалентов какао-масла в молочном шоколаде - по
ГОСТ ISO 11053, без учета добавленных в соответствии с
5.1.17 компонентов (пищевых ингредиентов). Пример расчета указан в
приложении В.
7.14 Определение зараженности вредителями - по
ГОСТ 13586.6.
7.15 Определение токсичных элементов:
7.20 Допускается контроль физико-химических показателей и идентификационных признаков шоколада изготовителем по закладке и (или) рецептуре.
7.21 Идентификационные признаки шоколада, предусмотренные
пунктами 3.2 -
3.9 и
таблицей 2, контролируют без учета начинки и добавлений, предусмотренных
5.1.17, по закладке и (или) по рецептуре или с применением аналитических методов без учета, добавленных в соответствии с
5.1.17, компонентов (пищевых ингредиентов). Пример расчета указан в
приложении В.
7.22 Определение массовой доли добавленной сахарозы - по закладке и (или) рецептуре.
7.23 Допускается проведение испытаний по нормативным правовым актам, документам по стандартизации и другим документам.
8 Транспортирование и хранение
8.1 Срок годности и условия хранения шоколада устанавливает изготовитель в соответствии с требованиями
[1].
8.2 Шоколад следует хранить в чистых, сухих, хорошо вентилируемых помещениях, не зараженных вредителями.
Шоколад не должен подвергаться воздействию прямого солнечного света и атмосферных осадков.
8.3 Шоколад транспортируют транспортными средствами в соответствии с требованиями
[1] и с учетом условий перевозок, установленных изготовителем и (или) действующих на определенном виде транспорта.
8.4 Рекомендуемые сроки годности и условия хранения шоколада приведены в
приложении Г.
(справочное)
ПРИМЕРЫ УКАЗАНИЯ ОТДЕЛЬНЫХ СВЕДЕНИЙ В МАРКИРОВКЕ ШОКОЛАДА
А.1 Примеры указания наименования шоколада в маркировке
1 Молочный шоколад десертный.
2 Шоколад "Вечер".
3 Шоколад горький 65%.
4 Белый шоколад "Розовый".
5 Белый шоколад "Зеленый".
6 Шоколад темный 40% какао.
А.2 Примеры указания общего сухого остатка какао в маркировке шоколада
1 Общий сухой остаток какао - 25%.
2 Общий сухой остаток какао - не менее 25%.
3 Содержание общего сухого остатка какао - 25%.
4 Содержание общего сухого остатка какао - не менее 25%.
5 Содержание общего сухого остатка какао в шоколаде - не менее 25%.
6 Молочный шоколад содержит: общий сухой остаток какао - не менее 25%.
7 Массовая доля общего сухого остатка какао - 25%.
Примечания
1 В маркировке шоколада слова "общий сухой остаток какао" могут заменяться словами "какао-продукты", например: "какао-продукты - не менее 25%, "содержание какао-продуктов - 70%", "молочный шоколад содержит: какао-продуктов - 25%".
2 В маркировке белого шоколада слова "общий сухой остаток какао" могут заменяться словами "масло какао", например: "масло какао - не менее 20%, "содержание масла какао - 20%", "белый шоколад содержит: масло какао - 20%".
3 Допускается использовать иные аналогичные по смыслу фразы.
А.3 Примеры указания сухого молочного остатка в маркировке шоколада
1 Сухой молочный остаток - 20%.
2 Сухой молочный остаток - не менее 12%.
3 Содержание сухого молочного остатка - 20%.
4 Содержание сухого молочного остатка - не менее 12%.
Примечания
1 В маркировке шоколада слова "сухой молочный остаток" может заменяться словами "молоко и продукты его переработки", например: "молоко и продукты его переработки - не менее 12%", "содержание молока и продуктов его переработки - 16%", "молочный шоколад содержит: молоко и продукты его переработки - не менее 12%".
2 Допускается использовать иные аналогичные по смыслу фразы.
А.4 Примеры указания общего сухого остатка какао и сухого молочного остатка в маркировке шоколада
1 Молочный шоколад содержит: общий сухой остаток какао - 25%; сухой молочный остаток - 12%.
2 Молочный шоколад содержит: общий сухой остаток какао - не менее 25%; сухой молочный остаток - не менее 12%.
3 Минимальное содержание общего сухого остатка какао - не менее 25%. Минимальное содержание сухого молочного остатка - не менее 12%.
4 Массовая доля общего сухого остатка какао - 25%. Массовая доля сухого молочного остатка - 12%.
5 Белый шоколад содержит: общий сухой остаток какао - не менее 20%, сухой молочный остаток - не менее 14%.
6 Белый шоколад содержит: какао масла - 25%, молоко и продукты его переработки - 20%.
7 Белый шоколад содержит: какао продуктов - не менее 20%, молоко и продукты его переработки - не менее 14%.
Примечание - Допускается использовать иные аналогичные по смыслу фразы.
А.5 Примеры указания информации о наличии эквивалентов масла какао и (или) улучшителей масла какао SOS-типа в маркировке шоколада
1 Шоколад содержит до 5% эквивалентов масла какао в дополнение к маслу какао.
2 Содержит не более 5% эквивалентов масла какао в дополнение к маслу какао.
3 Шоколад содержит не более 5% эквивалентов какао масла.
4 Шоколад содержит не более 5% улучшителей масла какао в дополнение к маслу какао.
Примечание - Допускается использовать иные аналогичные по смыслу фразы.
А.6 Приведенные в настоящем приложении примеры касаются гипотетических продуктов и иллюстрируют примеры отдельных сведений в маркировке шоколада
(справочное)
РЕКОМЕНДУЕМАЯ СТЕПЕНЬ ИЗМЕЛЬЧЕНИЯ ШОКОЛАДА
Б.1 Степень измельчения шоколада устанавливает изготовитель и указывает в рецептуре и (или) других документах изготовителя.
Б.2 Рекомендуемая степень измельчения шоколада - не менее 92%.
(справочное)
ПРИМЕРЫ РАСЧЕТА ИДЕНТИФИКАЦИОННЫХ ПРИЗНАКОВ ШОКОЛАДА
И СОДЕРЖАНИЯ ЭКВИВАЛЕНТОВ МАСЛА КАКАО
В ШОКОЛАДЕ ПРИ КОНТРОЛЕ
В.1 Расчетный метод
Таблица В.1
Компонент (пищевой ингредиент) | Идентификационные признаки шоколада |
Наименование | Массовая доля, % | Содержание в шоколаде |
влаги | жира | сухих веществ | общее, % | за вычетом добавленных в соответствии с 5.1.17 компонентов, % | общий сухой остаток какао, % | сухой обезжиренный остаток какао, % | сухой молочный остаток, % | молочный жир, % | масло какао, % | общий жир, % |
Сахар | 0,1 | 0 | 99,9 | 47,5 | 49,02 | - | - | - | - | - | - |
Какао тертое | 2,2 | 55,0 | 97,8 | 13,94 | 14,39 | 14,07 | 6,48 | - | - | 7,91 | 7,91 |
Масло какао | 0,1 | 99,9 | 99,9 | 10,61 | 10,95 | 10,94 | 0,01 | - | - | 10,94 | 10,94 |
Молоко сухое цельное | 4,0 | 26,0 | 96,0 | 24,85 | 25,64 | - | - | 24,61 | 6,67 | - | 6,67 |
Кофе натуральный | - | - | - | 2,59 | - | - |
Лецитин соевый | - | - | - | 0,39 |
Ароматизатор натуральный (эссенция кофейная) | - | - | - | 0,12 |
Общее содержание в шоколаде: | - | 100,00 | 100,00 | 25,01 | 6,49 | 24,61 | 6,67 | 18,85 | 25,52 |
Содержание добавленных в соответствии с
5.1.17 компонентов в шоколаде рассчитывают по формуле

,
где СiДК + СjДК +.... + СnДК - содержание добавленных компонентов в шоколаде, %.
Пример - СДК = 2,59 + 0,39 + 0,12 = 3,1 (%).
Общее содержание компонентов в шоколаде без учета добавленных в соответствии с
5.1.17 компонентов рассчитывают по формуле

,
где С
iК + С
jК +.... + С
nК - содержание компонентов в шоколаде без учета добавленных в соответствии с
5.1.17 компонентов, %.
Пример - СК = 47,5 + 13,94 + 10,61 + 24,85 = 96,9 (%).
Содержание компонента в шоколаде без учета добавленных в соответствии с
5.1.17 компонентов рассчитывают по формуле

,
где С
iК - содержание компонента в шоколаде без учета добавленных в соответствии с
5.1.17 компонентов, %;
МiК - массовая доля компонента в шоколаде, %;
С
К - общее содержание компонентов в шоколаде без учета добавленных в соответствии с
5.1.17 компонентов, %.
Пример - Содержание в шоколаде сахара без учета добавленных в соответствии с 5.1.17 компонентов, %
.
Общий сухой остаток какао в шоколаде без учета добавленных в соответствии с
5.1.17 компонентов рассчитывают по формуле

,
где МКП - общий сухой остаток какао, %;
С
iКП, С
jКП, ..., С
nКП - содержание какао-продукта в шоколаде без учета добавленных в соответствии с
5.1.17 компонентов, %;
Мi С.В.КП, Мj С.В.КП, ..., Мn С.В.КП - массовая доля сухого веществ в какао-продукте, %.
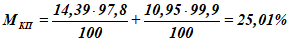
Пример -
.
Сухой обезжиренный остаток какао в шоколаде без учета добавленных в соответствии с
5.1.17 компонентов рассчитывают по формуле

,
где МОКП - сухой обезжиренный остаток какао, %;
С
iКП, С
jКП, ..., С
nКП - содержание какао-продукта в шоколаде без учета добавленных в соответствии с
5.1.17 компонентов, %;
МiЖ, МjЖ, ..., МnЖ - массовая доля жира какао-продукта, %.
Пример -
.
Содержание молочного жира в шоколаде без учета добавленных в соответствии с
5.1.17 компонентов рассчитывают по формуле

,
где СМЖ - содержание молочного жира в шоколаде, %;
С
iМК, С
jМК, ..., С
nМК - содержание молока или продукта переработки молока без учета добавленных в соответствии с
5.1.17 компонентов, %;
МiЖ, МjЖ, ..., МnЖ - массовая доля жира в молоке или продукте его переработки, %.
Пример -
.
Содержание сухого молочного остатка в шоколаде без учета добавленных в соответствии с
5.1.17 компонентов рассчитывают по формуле

,
где ССМО - содержание сухого молочного остатка в шоколаде, %;
С
iМК, С
jМК, ..., С
nМК - содержание молока или продукта переработки молока без учета добавленных в соответствии с
5.1.17 компонентов, %;
МiС.В.МК, МjС.В.МК, ..., МnС.В.МК - массовая доля сухих веществ в молоке или продукте его переработки, %.
Пример -
.
Содержание какао-масла в шоколаде без учета добавленных в соответствии с
5.1.17 компонентов рассчитывают по формуле

,
где СКМ - содержание какао-масла в шоколаде, %;
С
iКП, С
jКП, ..., С
nКП - содержание какао-продукта в шоколаде без учета добавленных в соответствии с
5.1.17 компонентов, %;
МiЖ, МjЖ, ..., МnЖ - массовая доля жира в какао-продукте, %.
Пример -
.
Содержание общего жира в шоколаде без учета добавленных в соответствии с
5.1.17 компонентов рассчитывают по формуле

,
где СОЖ - содержание общего жира в шоколаде, %;
С
iК, С
jК, ..., С
nК - содержание компонента, содержащего жиры, в шоколаде без учета добавленных в соответствии с
5.1.17 компонентов, %;
МiЖ, МjЖ, ..., МnЖ - массовая доля жира в компоненте, %.
Пример -
.
Таблица В.2
Компонент (пищевой ингредиент) | Идентификационные признаки шоколада |
Наименование | Массовая доля, % | Содержание в шоколаде | |
влаги | жира | сухих веществ | общее, % | за вычетом добавленных в соответствии с 5.1.17 компонентов, % | общий сухой остаток какао, % | сухой обезжиренный остаток какао, % | сухой молочный остаток, % | молочный жир, % | масло какао, % | масло какао и молочный жир, % |
Сахар | 0,1 | 0 | 99,9 | 42,5 | 43,86 | - | - | - | - | - | - |
Какао тертое | 2,2 | 55 | 97,8 | 20,05 | 20,69 | 20,24 | 9,02 | - | - | 11,38 | 11,38 |
Масло какао | 0,1 | 99,9 | 99,9 | 7,72 | 7,97 | 7,96 | 0,01 | - | - | 7,96 | 7,96 |
Молоко сухое цельное | 4 | 26 | 96 | 22,13 | 22,84 | - | - | 21,92 | 5,94 | - | 5,94 |
Эквивалент масла какао | 0,1 | 99,9 | 99,9 | 4,5 | 4,64 | - | - | - | - | - | |
Кофе натуральный | - | - | - | 2,59 | - | - |
Лецитин соевый | - | - | - | 0,39 |
Ароматизатор натуральный (эссенция кофейная) | - | - | - | 0,12 |
Общее содержание в шоколаде: | - | 100 | 100 | 28,20 | 9,03 | 21,92 | 5,94 | 19,34 | 25,28 |
Содержание эквивалента масла какао в шоколаде без учета добавленных в соответствии с
5.1.17 компонентов рассчитывают по формуле

,
где С
ЭМК - содержание эквивалента масла какао в шоколаде без учета добавленных в соответствии с
5.1.17 компонентов, %;
МiЭМК, МjЭМК, ..., МnЭМК - массовая доля эквивалентов масла какао в шоколаде, %;
С
К - общее содержание компонентов в шоколаде без учета добавленных в соответствии с
5.1.17 компонентов, %.
Пример -
.
В.2 Аналитический метод
Таблица В.3
Компонент (пищевой ингредиент) | | Значение идентификационного признака шоколада, полученное аналитическим методом |
Наименование | Содержание в шоколаде, % | общий сухой остаток какао, % | сухой обезжиренный остаток какао, % | сухой обезжиренный молочный остаток, % | молочный жир, % | сухой молочный остаток, % | масло какао, % | Общий жир, % |
Сахар | 47,5 | 96,9 | 24,23 | 6,28 | 17,39 | 6,46 | - | 18,27 | 24,73 |
Какао тертое | 13,94 |
Масло какао | 10,61 |
Молоко сухое цельное | 24,85 |
Кофе натуральный | 2,59 | |
Лецитин соевый | 0,39 |
Ароматизатор натуральный (эссенция кофейная) | 0,12 |
Содержание в шоколаде за вычетом добавленных в соответствии с 5.1.17 компонентов, % | - | - | 25,01 | 6,48 | 17,95 | 6,67 | 24,62 (расчетный) | 18,85 | 25,52 |
<*> Общее содержание добавленных в соответствии с 5.1.17 компонентов (пищевых ингредиентов) предоставляется изготовителем шоколада. |
Идентификационной признак шоколада за вычетом добавленных в соответствии с
5.1.17 компонентов (пищевых ингредиентов) рассчитывают по формуле

,
где И.П. - идентификационный признак шоколада, %;
ЗИ.П. - значение идентификационного признака шоколада в %, полученное аналитическим методом, %;
С
К - общее содержание компонентов в шоколаде без учета добавленных в соответствии с
5.1.17 компонентов, %.
Пример -
.
Сухой молочный остаток определяется суммой сухого обезжиренного остатка молока и молочного жира без учета добавленных в соответствии с
5.1.17 компонентов (пищевых ингредиентов). Сухой молочный остаток в шоколаде рассчитывают по формуле
ССМО = ССООМ + СМЖ,
где ССМО - сухой молочный остаток, %;
ССООМ - сухой обезжиренный остаток молока, %;
СМЖ - содержание молочного жира, %.
Пример - ССМО = 17,95% + 6,67% = 24,62%.
(справочное)
РЕКОМЕНДУЕМЫЙ СРОК ГОДНОСТИ ШОКОЛАДА
И УСЛОВИЯ ХРАНЕНИЯ ШОКОЛАДА
Г.1 Срок годности и условия хранения устанавливает изготовитель в соответствии с требованиями
[1].
Г.2 Срок годности и условия хранения для шоколада должны быть указаны в рецептуре и (или) других документах изготовителя.
Г.3 Рекомендуемый срок годности шоколада при температуре от 5 °C до 22 °C и относительной влажности воздуха не более 75%, считая от даты изготовления:
- 12 мес: обыкновенный (или шоколад), молочный, экстрамолочный, горький (черный), темный, сладкий, белый, шоколад в порошке;
- 9 мес: шоколад с начинкой.
Г.4 Изготовитель вправе установить свой срок годности и условия хранения шоколада, отличные от указанных в
Г.3.
| | О безопасности пищевой продукции |
| | Требования безопасности пищевых добавок, ароматизаторов и технологических вспомогательных средств |
| | Пищевая продукция в части ее маркировки |
| | О безопасности упаковки |
| М 04-32-2004 | Методика выполнения измерений массовой доли афлатоксина B1 в пробах пищевых продуктов, продовольственного сырья, комбикормах и сырье для их производства методом ВЭЖХ с использованием анализатора жидкости "Флюорат-02" в качестве флуориметрического детектора |
УДК 663.918.4:006.354 | |
Ключевые слова: шоколад, общие технические требования, упаковка, маркировка, правила приемки, транспортирование, хранение |