Главная // Актуальные документы // ГОСТ (Государственный стандарт)СПРАВКА
Источник публикации
В данном виде документ опубликован не был.
Первоначальный текст документа опубликован в издании
М.: Стандартинформ, 2014.
Информацию о публикации документов, создающих данную редакцию, см. в справке к этим документам.
Примечание к документу
Текст данного документа приведен с учетом
поправки, введенной в действие с 23.08.2021, опубликованной в "ИУС", N 1, 2022.
Название документа
"ГОСТ 31902-2012. Межгосударственный стандарт. Изделия кондитерские. Методы определения массовой доли жира"
(введен в действие Приказом Росстандарта от 27.06.2013 N 256-ст)
(ред. от 29.07.2015)
"ГОСТ 31902-2012. Межгосударственный стандарт. Изделия кондитерские. Методы определения массовой доли жира"
(введен в действие Приказом Росстандарта от 27.06.2013 N 256-ст)
(ред. от 29.07.2015)
агентства по техническому
регулированию и метрологии
от 27 июня 2013 г. N 256-ст
МЕЖГОСУДАРСТВЕННЫЙ СТАНДАРТ
ИЗДЕЛИЯ КОНДИТЕРСКИЕ
МЕТОДЫ ОПРЕДЕЛЕНИЯ МАССОВОЙ ДОЛИ ЖИРА
Confectionery.
Methods of determination of fat weight fraction
ГОСТ 31902-2012
| | Список изменяющих документов Росстандарта от 29.07.2015 N 1000-ст) | |
Дата введения
1 января 2014 года
Цели, основные принципы и основной порядок проведения работ по межгосударственной стандартизации установлены
ГОСТ 1.0-92 "Межгосударственная система стандартизации. Основные положения" и
ГОСТ 1.2-2009 "Межгосударственная система стандартизации. Стандарты межгосударственные, правила и рекомендации по межгосударственной стандартизации. Правила разработки, принятия, применения, обновления и отмены".
1. Подготовлен Государственным научным учреждением "Научно-исследовательский институт кондитерской промышленности" Российской академии сельскохозяйственных наук (ГНУ НИИ КП Россельхозакадемии).
2. Внесен Федеральным агентством по техническому регулированию и метрологии (Росстандарт).
3. Принят Межгосударственным советом по стандартизации, метрологии и сертификации (Протокол от 3 декабря 2012 г. N 54-П).
За принятие проголосовали:
Краткое наименование страны по МК (ИСО 3166) 004-97 | Код страны по МК (ИСО 3166) 004-97 | Сокращенное наименование национального органа по стандартизации |
Азербайджан | AZ | Азстандарт |
Армения | AM | Минэкономики Республики Армения |
Казахстан | KZ | Госстандарт Республики Казахстан |
Киргизия | KG | Кыргызстандарт |
Молдова | MD | Молдова-Стандарт |
Россия | RU | Росстандарт |
Таджикистан | TJ | Таджикстандарт |
Узбекистан | UZ | Узстандарт |
Украина | UA | Минэкономразвития Украины |
4.
Приказом Федерального агентства по техническому регулированию и метрологии от 27 июня 2013 г. N 256-ст межгосударственный стандарт ГОСТ 31902-2012 введен в действие в качестве национального стандарта Российской Федерации с 1 января 2014 г.
6. Введен впервые.
Информация об изменениях к настоящему стандарту публикуется в ежегодном информационном указателе "Национальные стандарты", а текст изменений и поправок - в ежемесячном информационном указателе "Национальные стандарты". В случае пересмотра (замены) или отмены настоящего стандарта соответствующее уведомление будет опубликовано в ежемесячном информационном указателе "Национальные стандарты". Соответствующая информация, уведомление и тексты размещаются также в информационной системе общего пользования - на официальном сайте Федерального агентства по техническому регулированию и метрологии в сети Интернет.
Настоящий стандарт распространяется на кондитерские изделия и полуфабрикаты и устанавливает экстракционно-весовые и рефрактометрические методы определения массовой доли жира.
В настоящем стандарте использованы нормативные ссылки на следующие межгосударственные стандарты:
ГОСТ 12.1.007-76. Система стандартов безопасности труда. Вредные вещества. Классификация и общие требования безопасности
ГОСТ 12.1.018-93. Система стандартов безопасности труда. Пожаровзрывобезопасность статического электричества. Общие требования
ГОСТ 12.1.019-79. Система стандартов безопасности труда. Электробезопасность. Общие требования и номенклатура видов защиты <*>
(в ред.
Изменения N 1, введенного Приказом Росстандарта от 29.07.2015 N 1000-ст)
--------------------------------
<*> На территории Российской Федерации действует
ГОСТ Р 12.1.019-2009 "Система стандартов безопасности труда. Электробезопасность. Общие требования и номенклатура видов защиты".
(сноска введена
Изменением N 1, введенным Приказом Росстандарта от 29.07.2015 N 1000-ст)
ГОСТ 61-75. Реактивы. Кислота уксусная. Технические условия
ГОСТ 83-79. Реактивы. Натрий углекислый. Технические условия
ГОСТ 1277-75. Реактивы. Серебро азотнокислое. Технические условия
ГОСТ 1770-74 (ИСО 1042-83, ИСО 4788-80). Посуда мерная лабораторная стеклянная. Цилиндры, мензурки, колбы, пробирки. Общие технические условия
Ссылка исключена с 1 января 2016 года. -
Изменение N 1, введенное Приказом Росстандарта от 29.07.2015 N 1000-ст.
ГОСТ 3118-77. Реактивы. Кислота соляная. Технические условия
ГОСТ 4919.1-77. Реактивы и особо чистые вещества. Методы приготовления растворов индикаторов
ГОСТ 5556-81. Вата медицинская гигроскопическая. Технические условия
ГОСТ 5900-73. Изделия кондитерские. Методы определения влаги и сухих веществ
ГОСТ 5904-82. Изделия кондитерские. Правила приемки, методы отбора и подготовки проб
ГОСТ 9147-80. Посуда и оборудование лабораторные фарфоровые. Технические условия
ГОСТ 12026-76. Бумага фильтровальная лабораторная. Технические условия
ГОСТ 14919-83. Электроплиты, электроплитки и жарочные электрошкафы бытовые. Общие технические условия
ГОСТ 18300-87. Спирт этиловый ректификованный технический. Технические условия <**>
(в ред.
Изменения N 1, введенного Приказом Росстандарта от 29.07.2015 N 1000-ст)
--------------------------------
<**> На территории Российской Федерации действует
ГОСТ Р 55878-2013 "Спирт этиловый технический гидролизный ректификованный. Технические условия".
(сноска введена
Изменением N 1, введенным Приказом Росстандарта от 29.07.2015 N 1000-ст)
ГОСТ 20288-74. Реактивы. Углерод четыреххлористый. Технические условия
ГОСТ 25336-82. Посуда и оборудование лабораторные стеклянные. Типы, основные параметры и размеры
ГОСТ 28498-90. Термометры жидкостные стеклянные. Общие технические требования. Методы испытаний
ГОСТ 29227-91 (ИСО 835-1-81). Посуда лабораторная стеклянная. Пипетки градуированные. Часть 1. Общие требования
ГОСТ OIML R 76-1-2011 Государственная система обеспечения единства измерений. Весы неавтоматического действия. Часть 1. Метрологические и технические требования. Испытания.
(ссылка введена
Изменением N 1, введенным Приказом Росстандарта от 29.07.2015 N 1000-ст)
Примечание. При пользовании настоящим стандартом целесообразно проверить действие ссылочных стандартов в информационной системе общего пользования - на официальном сайте Федерального агентства по техническому регулированию и метрологии в сети Интернет или по ежегодному информационному указателю "Национальные стандарты", который опубликован по состоянию на 1 января текущего года, и по выпускам ежемесячного информационного указателя "Национальные стандарты" за текущий год. Если ссылочный стандарт заменен (изменен), то при пользовании настоящим стандартом следует руководствоваться заменяющим (измененным) стандартом. Если ссылочный стандарт отменен без замены, то положение, в котором дана ссылка на него, применяется в части, не затрагивающей эту ссылку.
3. Условия проведения измерений
При подготовке и проведении измерений должны быть соблюдены следующие условия:
- температура окружающего воздуха ...................... (18 +/- 5) °C;
- атмосферное давление .........................

;
- влажность воздуха ..................................... не более 75%;
- напряжение в сети ................................... (220 +/- 10) В.
4. Требования безопасности
При выполнении измерений необходимо соблюдать требования безопасности при работе с химическими реактивами по
ГОСТ 12.1.007, пожаробезопасности по
ГОСТ 12.1.018, электробезопасности по
ГОСТ 12.1.019, а также требования, изложенные в нормативных документах на применяемые средства измерений и вспомогательное оборудование.
5. Требования к квалификации оператора
К выполнению измерений и обработке результатов допускается специалист, имеющий опыт работы в химической лаборатории, освоивший методы и прошедший инструктаж по технике безопасности при работе с вредными веществами и пожарной безопасности.
6. Отбор и подготовка проб
Отбор и подготовка проб для проведения измерений - по
ГОСТ 5904.
7. Экстракционно-весовой метод определения
массовой доли жира в мучных и сахаристых
кондитерских изделиях и полуфабрикатах
7.1. Сущность метода
Метод основан на экстракции жира из анализируемой пробы изделия растворителем и определении массовой доли жира после удаления растворителя.
7.2. Средства измерений, вспомогательное оборудование, посуда, реактивы и материалы
Весы неавтоматического действия по
ГОСТ OIML R 76-1 с пределами допускаемой погрешности не более +/- 0,001 г.
(в ред.
Изменения N 1, введенного Приказом Росстандарта от 29.07.2015 N 1000-ст)
Термометр жидкостный с диапазоном измерений от 0 °C до 100 °C и ценой деления 1 °C по
ГОСТ 28498.
Шкаф сушильный лабораторный электрический с терморегулятором, обеспечивающим поддержание температуры в рабочей камере (100 +/- 2) °C.
Центрифуга лабораторная с числом оборотов в минуту не менее 3000 и центрифужными термостойкими пробирками с крышками вместимостью 50 см3.
Плитка электрическая закрытого типа, обеспечивающая нагрев в диапазоне температуры от 80 °C до 200 °C, по
ГОСТ 14919.
Баня водяная, обеспечивающая поддержание температуры до 100 °C.
Аппарат Сокслета, состоящий из:
Стекло часовое.
Колбы Кн-1-100(250)-14/23 ТХС, Кн-2-100(250)-14/23 по
ГОСТ 25336.
Вата медицинская гигроскопическая по
ГОСТ 5556.
Абзац исключен с 1 января 2016 года. -
Изменение N 1, введенное Приказом Росстандарта от 29.07.2015 N 1000-ст.
Эфир петролейный с температурой кипения 40 °C - 70 °C и плотностью 0,64 - 0,65 г/см3.
(абзац введен
Изменением N 1, введенным Приказом Росстандарта от 29.07.2015 N 1000-ст)
Допускается применение других средств измерений и вспомогательного оборудования с метрологическими и техническими характеристиками и реактивов по качеству не ниже указанных.
7.3. Приготовление растворов
7.3.1. Приготовление раствора соляной кислоты молярной концентрации c (HCl) = 8 моль/дм3 (8 н.)
В мерную колбу вместимостью 1000 см3 помещают 200 - 250 см3 дистиллированной воды. Добавляют 609 см3 концентрированной соляной кислоты плотностью 1,198 г/см3. Объем раствора доводят до метки дистиллированной водой.
7.3.2. Приготовление раствора серной кислоты массовой долей 5,0%
В мерную колбу вместимостью 1000 см3 помещают 400 - 500 см3 дистиллированной воды. Добавляют 27,2 см3 концентрированной серной кислоты плотностью 1,84 г/см3. Объем раствора доводят до метки дистиллированной водой.
7.3.3. Приготовление раствора соляной кислоты массовой долей 1,5%
В мерную колбу вместимостью 1000 см3 помещают 400 - 500 см3 дистиллированной воды. Добавляют 34,8 см3 концентрированной соляной кислоты плотностью 1,198 г/см3. Объем раствора доводят до метки дистиллированной водой.
Срок хранения растворов соляной и серной кислот в плотно закрытой стеклянной посуде в вытяжном шкафу при комнатной температуре - не более двух недель.
7.3.4. Приготовление раствора нитрата серебра молярной концентрации c (AgNO3) = 0,1 моль/дм3 (0,1 н.)
В мерную колбу вместимостью 1000 см3 помещают 16,99 г нитрата серебра, добавляют 400 - 500 см3 дистиллированной воды. Объем раствора доводят до метки дистиллированной водой.
Раствор должен быть свежеприготовленным.
7.3.5. Приготовление спиртового раствора фенолфталеина массовой долей 1%
В мерную колбу вместимостью 100 см3 помещают 1,0 г фенолфталеина, добавляют 40 - 50 см3 этилового спирта и тщательно перемешивают до полного растворения. Объем раствора доводят до метки дистиллированной водой.
Раствор хранят в стеклянной таре при комнатной температуре.
7.4. Выполнение измерений
7.4.1. Определение массовой доли жира с предварительным гидролизом продукта и экстракцией хлороформом
3 - 5 г измельченной анализируемой пробы взвешивают с записью результата до третьего десятичного знака, помещают в коническую колбу вместимостью 250 см3, приливают 100 см3 1,5%-ной соляной кислоты (или 100 см3 5%-ной серной кислоты), кипятят в колбе с обратным холодильником на слабом огне 30 мин. Затем колбу охлаждают водой до комнатной температуры, вносят 50 см3 хлороформа, плотно закрывают хорошо пригнанной пробкой, энергично взбалтывают в течение 15 мин, выливают содержимое в центрифужные пробирки и центрифугируют в течение 2 - 3 мин со скоростью 3000 об/мин. В пробирке образуется три слоя. Верхний водный слой удаляют с помощью делительной воронки.
Также расслаивание может происходить следующим способом. После гидролиза в охлажденную колбу добавляют 5 см3 раствора аммиака плотностью 910,0 кг/м3, 50 см3 хлороформа. Содержимое колбы взбалтывают в течение 15 мин и оставляют на 1 ч для отстаивания. За это время полностью отделяется и становится четко видимым нижний хлороформный слой. Если расслаивания не произойдет, добавляют еще 2 - 3 см3 аммиака, следя за тем, чтобы реакция по фенолфталеину оставалась кислой.
Пипеткой, снабженной резиновой грушей, отбирают хлороформный раствор жира и фильтруют его в сухую колбу через небольшой ватный тампон, вложенный в узкую часть воронки, причем кончик пипетки должен при этом касаться ваты.
20 см3 фильтрата помещают в предварительно доведенную до постоянной массы (разница между двумя последовательными взвешиваниями не должна превышать 0,001 г) и взвешенную колбу вместимостью примерно 100 см3. Результат взвешивания записывают с точностью до второго десятичного знака.
(в ред.
Изменения N 1, введенного Приказом Росстандарта от 29.07.2015 N 1000-ст)
Фильтрацию и отбор следует проводить в течение 2 мин, хлороформ из колбы отгоняют на горячей бане, пользуясь холодильником с прямой трубкой. Оставшийся в колбе жир сушат до постоянной массы (разница между двумя последовательными взвешиваниями не должна превышать 0,001 г) 1,0 - 1,5 ч при температуре 100 °C, затем охлаждают в эксикаторе 20 мин и взвешивают колбу. Результат взвешивания записывают с точностью до второго десятичного знака.
(в ред.
Изменения N 1, введенного Приказом Росстандарта от 29.07.2015 N 1000-ст)
Проводят два параллельных определения и рассчитывают массовую долю жира по
формуле (1а), приведенной в
7.5.1а.
(в ред.
Изменения N 1, введенного Приказом Росстандарта от 29.07.2015 N 1000-ст)
7.4.2. Определение массовой доли жира путем предварительного гидролиза продукта и экстракции петролейным эфиром
10 - 15 г подготовленной пробы с записью результата взвешивания до третьего десятичного знака помещают в стеклянный стакан и медленно при постоянном перемешивании приливают в него 45 см3 дистиллированной воды с температурой 60 °C - 70 °C до получения однородной суспензии. Затем добавляют 55 см3 соляной кислоты молярной концентрации c (HCl) = 8 моль/дм3 (8 н.) и перемешивают. Накрывают часовым стеклом, затем медленно доводят до кипения и кипятят в течение 15 мин.
Ополаскивают часовое стекло 100 см3 дистиллированной воды и фильтруют содержимое стакана через бумажный фильтр, ополаскивая стакан дистиллированной водой.
Осадок на фильтре промывают дистиллированной водой до полного отсутствия ионов Cl- в фильтрате, которое подтверждается отсутствием помутнения при добавлении в фильтрат раствора нитрата серебра молярной концентрации c (AgNO3) = 0,1 моль/дм3 (0,1 н.) и перемешивании полученной смеси.
Фильтр с осадком сушат в стеклянном стакане в сушильном шкафу при температуре 100 °C.
Высушенный фильтр с осадком помещают в бумажный патрон и экстрагируют жир петролейным эфиром в аппарате Сокслета, используя в качестве приемника жира предварительно обезжиренную коническую колбу вместимостью 250 см3, высушенную в течение 1 ч при температуре 100 °C и взвешенную с записью результата взвешивания до третьего десятичного знака. Ополаскивают стакан для гидролиза, часовое стекло (предварительно высушенные) и стакан для сушки тремя порциями петролейного эфира по 50 см3 и добавляют в колбу аппарата Сокслета. Экстрагируют жир в течение 4 ч. Отделяют колбу от аппарата Сокслета и медленно выпаривают растворитель на водяной бане в вытяжном шкафу.
Колбу с полученным жиром высушивают в сушильном шкафу при температуре 100 °C до постоянной массы (разница между двумя последовательными взвешиваниями не должна превышать 0,001 г), затем охлаждают в эксикаторе 20 мин. Результат взвешивания записывают с точностью до второго десятичного знака.
Проводят два параллельных определения и рассчитывают массовую долю жира по
формуле (1), приведенной в
7.5.1.
7.5. Обработка результатов
7.5.1а. Массовую долю жира с предварительным гидролизом продукта и экстракцией хлороформом Y
м,с, %, в мучных и сахаристых кондитерских изделиях и полуфабрикатах вычисляют по формуле

, (1а)
где m1 - масса пустой колбы, г;
m2 - масса колбы с полученным жиром, г;
50 - объем хлороформа, взятый для растворения жира, см3;
m - масса анализируемой пробы, г;
20 - объем фильтрата, взятый для отгона, см3.
Вычисления проводят до второго десятичного знака с последующим округлением до первого десятичного знака.
За окончательный результат определения массовой доли жира с предварительным гидролизом продукта и экстракцией хлороформом в мучных и сахаристых кондитерских изделиях и полуфабрикатах принимают среднеарифметическое значение результатов двух параллельных определений, выполненных в условиях повторяемости, если выполняется условие приемлемости по
формуле (2), приведенной в
7.5.1.
(п. 7.5.1а введен
Изменением N 1, введенным Приказом Росстандарта от 29.07.2015 N 1000-ст)
7.5.1. Массовую долю жира с предварительным гидролизом продукта и экстракцией петролейным эфиром Y
м,с, %, в мучных и сахаристых кондитерских изделиях и полуфабрикатах вычисляют по формуле
(в ред.
Изменения N 1, введенного Приказом Росстандарта от 29.07.2015 N 1000-ст)

, (1)
где m1 - масса пустой колбы, г;
m2 - масса колбы с полученным жиром, г;
m - масса анализируемой пробы, г.
Вычисления проводят до второго десятичного знака с последующим округлением до первого десятичного знака.
За окончательный результат определения массовой доли жира в мучных и сахаристых кондитерских изделиях и полуфабрикатах принимают среднеарифметическое значение результатов двух параллельных определений, выполненных в условиях повторяемости, если выполняется условие приемлемости

, (2)
где Y1 и Y2 - результаты двух параллельных определений, %;
r - предел повторяемости (сходимости) двух параллельных определений, приведенный в таблице 1, %.
7.5.2. Характеристики погрешности определения массовой доли жира в мучных и сахаристых кондитерских изделиях и полуфабрикатах при доверительной вероятности P = 0,95 приведены в таблице 1.
Таблица 1
Наименование показателя | Диапазон измерений массовой доли, % | Предел повторяемости (сходимости) r, % | Предел воспроизводимости R, % | Показатель точности (границы абсолютной погрешности)  , % |
Массовая доля жира | От 2 до 60 | 0,8 | 1,1 | 0,8 |
(в ред. Изменения N 1, введенного Приказом Росстандарта от 29.07.2015 N 1000-ст) |
8. Экстракционно-весовой метод определения массовой доли
жира в кондитерских изделиях и полуфабрикатах
8.1. Сущность метода
Метод основан на извлечении жира растворителем непосредственно из анализируемой пробы или из анализируемой пробы, предварительно обработанной соляной кислотой. После отгонки растворителя из полученного экстракта остаток высушивают и взвешивают.
Метод применяется для определения массовой доли жира в кондитерских изделиях и полуфабрикатах при возникновении разногласий.
8.2. Средства измерений, вспомогательное оборудование, посуда, реактивы и материалы
Весы неавтоматического действия по
ГОСТ OIML R 76-1 с пределами допускаемой погрешности не более +/- 0,001 г.
(в ред.
Изменения N 1, введенного Приказом Росстандарта от 29.07.2015 N 1000-ст)
Шкаф сушильный лабораторный электрический с терморегулятором, обеспечивающим поддержание температуры в рабочей камере (100 +/- 2) °C.
Плитка электрическая закрытого типа, обеспечивающая нагрев в диапазоне температуры от 80 °C до 200 °C, по
ГОСТ 14919.
Баня водяная, обеспечивающая поддержание температуры (100 +/- 2) °C.
Аппарат Сокслета, состоящий из:
Вата медицинская гигроскопическая по
ГОСТ 5556.
Воронки лабораторные диаметром 50 - 70 мм по
ГОСТ 25336.
Цилиндр исполнения 1 по
ГОСТ 1770, вместимостью 25 см
3.
Стекло часовое.
Эфир этиловый (серный), ч.д.а.
Термометр жидкостный с диапазоном измерений от 0 °C до 100 °C и ценой деления 1 °C по
ГОСТ 28498.
(абзац введен
Изменением N 1, введенным Приказом Росстандарта от 29.07.2015 N 1000-ст)
(абзац введен
Изменением N 1, введенным Приказом Росстандарта от 29.07.2015 N 1000-ст)
(абзац введен
Изменением N 1, введенным Приказом Росстандарта от 29.07.2015 N 1000-ст)
Допускается применение других средств измерений и вспомогательного оборудования с метрологическими и техническими характеристиками и реактивов по качеству не ниже указанных.
8.3. Подготовка к выполнению измерений
5 - 10 г измельченной анализируемой пробы рассчитывают так, чтобы она содержала 1 - 2 г жира, взвешивают. Результат взвешивания записывают с точностью до второго десятичного знака.
Кондитерские изделия, технологические процессы производства которых предусматривают термообработку сырья и полуфабрикатов выше 70 °C, подвергают следующей обработке. В стакан с анализируемой пробой приливают 15 - 20 см3 дистиллированной воды и 20 см3 концентрированной соляной кислоты, перемешивают содержимое стеклянной палочкой, закрывают стакан часовым стеклом, нагревают содержимое на кипящей водяной бане 5 мин. Затем часовое стекло ополаскивают горячей дистиллированной водой над стаканом.
Подготавливают воронку с фильтром, смачивают фильтр дистиллированной водой, переносят содержимое стакана на фильтр, дают жидкости стечь и не менее четырех раз промывают остаток на фильтре дистиллированной водой с температурой 60 °C - 70 °C, не допуская высыхания фильтра. Промытый фильтр вынимают из воронки, помещают в бюксу и высушивают в сушильном шкафу при температуре 105 °C до постоянной массы (разница между двумя последовательными взвешиваниями не должна превышать 0,001 г).
Кондитерские изделия, такие как шоколад, халва и другие, технологические процессы производства которых не предусматривают термообработку свыше 70 °C, допускается не обрабатывать соляной кислотой.
8.4. Выполнение измерений
Анализируемую пробу измельченного продукта или высушенный фильтр с анализируемой пробой, обработанной кислотой, помещают в бумажный патрон, на дно которого предварительно помещен кусочек ваты и который уплотнен так, чтобы закрыть щели на дне. Патрон сверху также плотно закрывают ватой. Патрон вкладывают в экстрактор, присоединяют к экстрактору холодильник и приемную колбу. Приемную колбу предварительно высушивают в сушильном шкафу до постоянной массы при температуре 105 °C, охлаждают в эксикаторе до комнатной температуры и взвешивают. Результат взвешивания записывают с точностью до второго десятичного знака.
Поместив патрон в прибор Сокслета, приливают растворитель (углерод четыреххлористый, или хлороформ, или эфир этиловый), предварительно ополоснув им бюксу, в которой подсушивали фильтр с анализируемой пробой. Количество растворителя должно в 1,5 раза превышать объем экстрактора при заполнении его до верхнего колена сифона.
Экстрагирование ведут не менее 5 ч из анализируемой пробы, не обработанной соляной кислотой, и не менее 3,5 ч из анализируемой пробы, обработанной соляной кислотой.
Для определения момента окончания процесса из экстрактора отбирают 1 - 2 см3 жидкости, наносят на сухое часовое стекло и помещают его в вытяжной шкаф до полного испарения растворителя. Если после испарения растворителя стекло будет прозрачным, экстракция закончена.
По окончании процесса колбу с экстрактом охлаждают, отсоединяют холодильник и экстрактор. Затем присоединяют приемную колбу к прямому холодильнику и отгоняют растворитель. После этого колбу помещают в кипящую водяную баню и отгоняют остатки растворителя.
Остатки растворителя и влаги отгоняют в сушильном шкафу при температуре 105 °C в течение 1 ч, затем охлаждают в эксикаторе и взвешивают. Результат взвешивания записывают с точностью до второго десятичного знака.
8.5. Обработка результатов измерений
8.5.1. Массовую долю жира Yк,п, %, в кондитерских изделиях и полуфабрикатах вычисляют по формуле

, (3)
где m1 - масса пустой колбы, г;
m2 - масса колбы с полученным жиром, г;
m - масса анализируемой пробы, г.
Вычисления проводят до второго десятичного знака с последующим округлением до первого десятичного знака.
За окончательный результат определения массовой доли жира в кондитерских изделиях и полуфабрикатах принимают среднеарифметическое значение результатов двух параллельных определений, выполненных в условиях повторяемости, если выполняется условие приемлемости

, (4)
где Y1 и Y2 - результаты двух параллельных определений, %;
r - предел повторяемости (сходимости) двух параллельных определений, приведенный в таблице 2, %.
8.5.2. Характеристики погрешности определения массовой доли жира в кондитерских изделиях и полуфабрикатах при доверительной вероятности P = 0,95 приведены в таблице 2.
Таблица 2
Наименование показателя | Диапазон измерений массовой доли, % | Предел повторяемости (сходимости) r, % | Предел воспроизводимости R, % | Показатель точности (границы абсолютной погрешности)  , % |
Массовая доля жира | От 2 до 60 | 0,5 | 0,7 | 0,5 |
(в ред. Изменения N 1, введенного Приказом Росстандарта от 29.07.2015 N 1000-ст) |
9. Рефрактометрический метод определения массовой
доли жира в кондитерских изделиях и полуфабрикатах
9.1. Сущность метода
Метод основан на извлечении жира из анализируемой пробы монобром- или монохлорнафталином и определении показателя преломления растворителя и раствора жира.
9.2. Средства измерений, вспомогательное оборудование, посуда, реактивы и материалы
Весы неавтоматического действия по
ГОСТ OIML R 76-1 с пределами допускаемой погрешности не более +/- 0,001 г.
(в ред.
Изменения N 1, введенного Приказом Росстандарта от 29.07.2015 N 1000-ст)
Рефрактометр с предельным показателем преломления от 1,3 до 1,7 и погрешностью не более 1·10-4.
Шкаф сушильный лабораторный электрический с терморегулятором, обеспечивающим поддержание температуры в рабочей камере (100 +/- 2) °C.
Термометр жидкостный диапазоном измерений от 0 °C до 100 °C и ценой деления 0,1 °C по
ГОСТ 28498.
(в ред.
Изменения N 1, введенного Приказом Росстандарта от 29.07.2015 N 1000-ст)
Часы песочные на 1, 2, 3 мин.
Пикнометр типа ПЖ2 с горловиной диаметром 6 мм, вместимостью 25, 50 см
3 по
ГОСТ 22524.
Ступка фарфоровая диаметром не более 70 мм с пестиком по
ГОСТ 9147 или чаша выпаривательная 1, 2 или 3 по
ГОСТ 9147.
Растворитель

(монобромнафталин; 1-бромнафталин реактивный) с показателем преломления около 1,66 или

(монохлорнафталин) с показателем преломления около 1,63.
Эфир этиловый (серный), ч.д.а.
Спирт этиловый технический (гидролизный) по
ГОСТ 17299 или спирт этиловый ректификованный технический по
ГОСТ 18300.
Баня водяная или водяной термостат, обеспечивающие поддержание температуры от 20 °C до 100 °C.
(абзац введен
Изменением N 1, введенным Приказом Росстандарта от 29.07.2015 N 1000-ст)
Допускается применение других средств измерений и вспомогательного оборудования с метрологическими и техническими характеристиками и реактивов по качеству не ниже указанных.
9.3. Подготовка к выполнению измерений
9.3.1. Проверка нулевой точки рефрактометра
Перед началом работы с рефрактометром проверяют нулевую точку прибора при помощи дистиллированной воды. Для этого 1 - 2 капли дистиллированной воды при температуре (20,0 +/- 0,1) °C помещают между призмами, затем окуляр шкалы и окуляр зрительной трубы устанавливают на резкость так, чтобы поле зрения и визирные линии были четко видны.
Визирную линию окуляра шкалы устанавливают на 1,333 (показатель преломления дистиллированной воды при температуре 20 °C) и в зрительную трубу наблюдают границу светотени по отношению к точке пересечения двух взаимно перпендикулярных визирных линий.
Если граница светотени проходит через точку пересечения визирных линий, то прибор установлен на нуль. Если этого нет, то при помощи специального ключа и винта устанавливают границу светотени на точку пересечения визирных линий.
Проверку прибора необходимо проводить при температуре призм, равной 20 °C. Температуру измеряют термометром, специально укрепленным у призм рефрактометра. Температуру призмы обеспечивает пропущенная через нее вода температурой 20 °C.
9.3.2. Определение показателя преломления растворителя
В каждой партии поступающего для анализа монобром- или монохлорнафталина определяют показатель преломления с погрешностью не более 0,0001 путем нанесения на призму рефрактометра одной - двух капель этого растворителя при температуре (20,0 +/- 0,1) °C.
9.3.3. Определение плотности растворителя
Высушенный при температуре 100 °C - 105 °C до постоянной массы и охлажденный в эксикаторе до температуры (20,0 +/- 0,1) °C пикнометр взвешивают, заполняют при помощи маленькой воронки дистиллированной водой немного выше метки.
(в ред.
Изменения N 1, введенного Приказом Росстандарта от 29.07.2015 N 1000-ст)
Пикнометр закрывают пробкой и выдерживают 20 мин в водяном термостате или водяной бане при температуре воды (20,0 +/- 0,1) °C. При этой температуре уровень воды в пикнометре доводят до метки при помощи капиллярной трубки или свернутой в трубку полоски фильтровальной бумаги. Пикнометр снова закрывают пробкой и выдерживают в термостате или водяной бане еще 10 мин, проверяя положение мениска по отношению к метке. Затем пикнометр вынимают из термостата или водяной бани, вытирают снаружи мягкой тканью досуха, оставляют в футляре аналитических весов в течение 20 мин и взвешивают.
(в ред.
Изменения N 1, введенного Приказом Росстандарта от 29.07.2015 N 1000-ст)
Затем его освобождают от воды, споласкивают последовательно этиловым спиртом и эфиром, высушивают, как указано выше, охлаждают в эксикаторе до комнатной температуры и заполняют растворителем, после чего проводят те же операции, что и с дистиллированной водой.
Наполнение пикнометра водой (или растворителем), установку мениска и взвешивание повторяют три раза. Расхождения между параллельными взвешиваниями не должны быть более 0,005 г. Для вычисления берут среднеарифметическое значение.
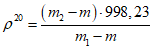
Плотность растворителя

, кг/м
3, вычисляют по формуле

, (5)
где m2 - масса пикнометра с растворителем, г;
m - масса пустого пикнометра, г;
998,23 - значение плотности воды при температуре 20 °C, кг/м3;
m1 - масса пикнометра с дистиллированной водой, г.
Плотность растворителя вычисляют до третьего десятичного знака и округляют до второго десятичного знака.
9.3.4. Калибровка пипетки по растворителю
Калибровку проводят для каждой вновь применяемой пипетки.
Пипетку вместимостью 2 см3 калибруют по растворителю, отмеривая ею соответствующий объем монобром- или монохлорнафталина и взвешивая его в предварительно взвешенной колбе с притертой пробкой или стаканчике для взвешивания. Расхождение между параллельными взвешиваниями должно быть не более 0,005 г. Взвешивание проводят три раза. Для расчета берут среднеарифметическое значение.
(в ред.
Изменения N 1, введенного Приказом Росстандарта от 29.07.2015 N 1000-ст)
Вместимость пипетки Vр, см3, вычисляют по формуле

, (6)
где m3 - масса растворителя, соответствующая вместимости взятой пипетки, г;

- плотность растворителя при температуре 20 °C, определенная по
9.3.3, кг/м
3.
9.3.4.1. Результат вычисляют с точностью до четвертого десятичного знака. Окончательный результат округляют до третьего десятичного знака.
9.4. Выполнение измерений
Пробу измельченного анализируемого продукта взвешивают с записью результата взвешивания до третьего десятичного знака.
(в ред.
Изменения N 1, введенного Приказом Росстандарта от 29.07.2015 N 1000-ст)
Массу анализируемой пробы определяют по таблице 3.
Таблица 3
Росстандарта от 29.07.2015 N 1000-ст)
Предполагаемая массовая доля жира, % | Масса анализируемой пробы анализируемого продукта, г |
Более 30 | Не менее 0,5 |
Св. 20 до 30 включ. | От 0,6 до 0,8 включ. |
От 10 до 20 включ. | Св. 0,8 до 1,2 включ. |
Менее 10 | Св. 1,2 до 1,7 включ. |
Пробу продукта помещают в фарфоровую ступку или фарфоровую чашку, растирают пестиком 2 - 3 мин, затем приливают 2 см
3 растворителя предварительно откалиброванной пипеткой по
9.3.4 и вновь все растирают в течение 3 мин, фильтруют содержимое через бумажный фильтр в маленький стаканчик или другую лабораторную посуду. Фильтрат перемешивают стеклянной палочкой.
Две капли фильтрата наносят на призму рефрактометра при температуре (20,0 +/- 0,1) °C и отсчитывают показатель преломления.
Показатель преломления определяют не менее трех раз и за результат определений принимают среднеарифметическое значение результатов измерений.
Во избежание испарения растворителя продолжительность фильтрации и определение показателя преломления не должны превышать 30 мин.
Если определение показателя преломления проводилось не при температуре 20 °C, то вносят поправку. Если при проведении определения показателя преломления температура призм рефрактометра будет 15 °C - 20 °C, то от значения показателя преломления следует отнимать поправку, если определение будет проведено при температуре 20 °C - 35 °C, то к найденному показателю преломления следует прибавить соответствующую поправку согласно
Приложению А.
9.5. Обработка результатов измерений
9.5.1. Массовую долю жира X, %, вычисляют по формуле
| | ИС МЕГАНОРМ: примечание. Формула дана в соответствии с официальным текстом документа. | |

, (7)
где Vр - объем растворителя, взятый для извлечения жира, см3;

- плотность жира при 20 °C, кг/м
3;
m - масса анализируемой пробы, г;
Пр - показатель преломления растворителя;
Пр.ж - показатель преломления раствора жира в растворителе;
Пж - показатель преломления жира.
9.5.2. Массовую долю жира X1, % в пересчете на сухое вещество, вычисляют по формуле

, (8)
где X - массовая доля жира, %;
W - массовая доля влаги в анализируемом продукте по
ГОСТ 5900, %.
9.5.3. Вычисления проводят до второго десятичного знака с последующим округлением до первого десятичного знака.
За окончательный результат определения массовой доли жира в кондитерских изделиях и полуфабрикатах принимают среднеарифметическое значение результатов двух параллельных определений, выполненных в условиях повторяемости, если выполняется условие приемлемости

, (9)
где Y1 и Y2 - результаты двух параллельных определений, %;
r - предел повторяемости (сходимости) двух параллельных определений, %, приведенный в таблице 4.
9.5.4. Характеристики погрешности определения массовой доли жира в кондитерских изделиях и полуфабрикатах при доверительной вероятности P = 0,95 приведены в таблице 4.
Таблица 4
Наименование показателя | Диапазон измерений массовой доли, % | Предел повторяемости (сходимости) rотн., % | Предел воспроизводимости Rотн., % | Показатель точности (границы абсолютной погрешности)  , % |
Массовая доля жира | От 2 до 60 | 0,3 | 0,5 | 0,4 |
(в ред. Изменения N 1, введенного Приказом Росстандарта от 29.07.2015 N 1000-ст) |
Примечания. 1. При вычислении массовой доли жира используют показатели преломления и плотности жиров, приведенные в
Приложении Б.
2. Если в анализируемом продукте находится смесь жиров (например, масло какао в шоколаде с молоком, ореховое масло, масло какао и кондитерский жир в корпусах конфет и т.п.), показатель преломления и плотность допускается определять расчетным путем (см.
Приложение Г).
Показатель преломления смеси жиров допускается также определять экстрагированием жира из анализируемого продукта следующим образом: 5 - 10 г измельченного продукта смешивают с 15 - 20 см
3 этилового или петролейного эфира, хлороформа или четыреххлористого углерода, взбалтывают в течение 10 мин, вытяжку профильтровывают в колбу, растворитель полностью отгоняют, остаток подсушивают в сушильном шкафу при температуре 105 °C в течение 30 мин и определяют показатель преломления смеси жиров по
9.4 с учетом поправки на температуру согласно
Приложению В.
3. Для неизвестных жира и смеси жиров плотность принимают равной 930 кг/м3.
4. Если анализируемый продукт содержит более 5% воды, то ступку с анализируемой пробой помещают в сушильный шкаф и подсушивают пробу при температуре 100 °C - 105 °C в течение 30 мин, затем в ступку, после ее охлаждения до комнатной температуры, приливают микропипеткой растворитель.
5. При хорошем растирании пробы с растворителем в ступке, когда смесь перенесена на фильтр, разрешается стекающие из воронки капли раствора жира в растворителе наносить на призму рефрактометра, не дожидаясь, когда профильтруется вся смесь.
10. Рефрактометрический метод определения
массовой доли жира в кондитерских изделиях,
содержащих молоко и продукты его переработки
10.1. Сущность метода
Метод основан на извлечении жира из анализируемой пробы монобром- или монохлорнафталином после предварительной обработки ее уксусной кислотой. Показатель преломления определяют после высушивания вытяжки углекислым безводным натрием.
10.2. Средства измерений, вспомогательное оборудование, посуда, реактивы и материалы
10.2.1. Средства измерений, вспомогательное оборудование, реактивы и материалы по
9.2 со следующим дополнением.
Кислота уксусная, х.ч., по
ГОСТ 61.
Натрий углекислый безводный, х.ч., по
ГОСТ 83.
Песок речной чистый.
Допускается применение других средств измерений и вспомогательного оборудования с метрологическими и техническими характеристиками и реактивов по качеству не ниже указанных.
10.3. Приготовление раствора уксусной кислоты массовой долей 80%
В мерную колбу вместимостью 1000 см3 помещают 763 см3 концентрированной уксусной кислоты плотностью 1,049 г/см3. Объем раствора доводят до метки дистиллированной водой.
10.4. Подготовка к выполнению измерений
10.4.1. Проверка рефрактометра - по
9.3.1.
10.4.2. Определение показателя преломления растворителя - по
9.3.2.
10.4.3. Определение плотности растворителя - по
9.3.3.
10.4.4. Калибровка пипетки по растворителю - по
9.3.4.
10.5. Выполнение измерений
Анализируемую пробу измельченного продукта в количестве около 1,5 г взвешивают с записью результата взвешивания до третьего десятичного знака, помещают в фарфоровую ступку или фарфоровую чашку.
(в ред.
Изменения N 1, введенного Приказом Росстандарта от 29.07.2015 N 1000-ст)
При определении жира в кондитерских изделиях с массовой долей влаги не более 9% (типа ирис) прибавляют к пробе 1 см3 воды, для кондитерских изделий с массовой долей влаги не менее 9% (типа конфет из молочной массы) - 0,5 см3 воды. Анализируемую пробу полностью растворяют на горячей водяной бане, затем охлаждают до комнатной температуры, прибавляют около 1 г чистого речного сухого песка и 1 см3 уксусной кислоты с массовой долей 80%, все тщательно растирают в течение 2 мин, после чего добавляют 2 см3 монобром- или монохлорнафталина и растирают в течение 3 мин. При массовой доле влаги в кондитерском изделии не более 9% вносят 2 г безводного углекислого натрия, не менее 9% - 1 г; тщательно перемешивают около 1 мин и фильтруют содержимое через бумажный фильтр в маленький стаканчик. Фильтрат перемешивают стеклянной палочкой.
Две капли фильтрата наносят на призму рефрактометра при температуре (20,0 +/- 0,1) °C и определяют показатель преломления.
Показатель преломления определяют не менее трех раз и за результат определения берут среднеарифметическое значение результатов измерений.
Если определение проводилось не при температуре 20 °C, то следует внести поправку по
9.4 (см.
Приложение А).
10.6. Обработка результатов
10.6.1. Обработку результатов проводят по
9.5.
10.6.2. За окончательный результат определения массовой доли жира в кондитерских изделиях, содержащих молоко и продукты его переработки, принимают среднеарифметическое значение результатов двух параллельных определений, выполненных в условиях повторяемости, если выполняется условие приемлемости

, (10)
где X1 и X2 - результаты двух параллельных определений, %;
r - предел повторяемости (сходимости) двух параллельных определений, %, приведенный в таблице 5.
10.6.3. Характеристики погрешности определения массовой доли жира в кондитерских изделиях, содержащих молоко и продукты его переработки, при доверительной вероятности P = 0,95 приведены в таблице 5.
Таблица 5
Наименование показателя | Диапазон измерений массовой доли, % | Предел повторяемости (сходимости) r, % | Предел воспроизводимости R, % | Показатель точности (границы абсолютной погрешности)  , % |
Массовая доля жира | От 2 до 60 | 0,5 | 0,8 | 0,6 |
(в ред. Изменения N 1, введенного Приказом Росстандарта от 29.07.2015 N 1000-ст) |
(обязательное)
ПОПРАВКИ ПРИ РЕФРАКТОМЕТРИЧЕСКОМ
ОПРЕДЕЛЕНИИ ПОКАЗАТЕЛЕЙ ПРЕЛОМЛЕНИЯ РАСТВОРА ЖИРА
И СМЕСИ ЖИРОВ В РАСТВОРИТЕЛЕ ПРИ ТЕМПЕРАТУРЕ
ОТ 15 °C ДО 35 °C
А.1. Поправки при рефрактометрическом определении показателей преломления раствора жира и смеси жиров в растворителе при температуре от 15 °C до 35 °C приведены в таблице А.1.
Таблица А.1
Температура, °C | Поправка |
От найденного показателя преломления отнять |
15,0 | 0,0022 |
15,5 | 0,0019 |
16,0 | 0,0017 |
16,5 | 0,0015 |
17,0 | 0,0013 |
17,5 | 0,0011 |
18,0 | 0,0009 |
18,5 | 0,0007 |
19,0 | 0,0004 |
19,5 | 0,0002 |
К найденному показателю преломления прибавить |
20,5 | 0,0002 |
21,0 | 0,0004 |
21,5 | 0,0006 |
22,0 | 0,0009 |
22,5 | 0,0011 |
23,0 | 0,0013 |
23,5 | 0,0015 |
24,0 | 0,0017 |
24,5 | 0,0019 |
25,0 | 0,0022 |
25,5 | 0,0024 |
26,0 | 0,0026 |
26,5 | 0,0028 |
27,0 | 0,0030 |
27,5 | 0,0033 |
28,0 | 0,0035 |
28,5 | 0,0037 |
29,0 | 0,0039 |
29,5 | 0,0041 |
30,0 | 0,0043 |
30,5 | 0,0045 |
31,0 | 0,0048 |
31,5 | 0,0050 |
32,0 | 0,0052 |
32,5 | 0,0055 |
33,0 | 0,0057 |
33,5 | 0,0059 |
34,0 | 0,0061 |
34,5 | 0,0063 |
35,0 | 0,0066 |
(обязательное)
ПОКАЗАТЕЛИ ПРЕЛОМЛЕНИЯ И ПЛОТНОСТИ ЖИРОВ
ПРИ ТЕМПЕРАТУРЕ 20 °C
Б.1. Показатели преломления и плотности жиров при 20 °C приведены в таблице Б.1.
Таблица Б.1
Наименование жира | Плотность, кг/м3 | Показатель преломления |
Масло какао | 937,0 | 1,4647 |
Жир специального назначения - кондитерский жир | 928,0 | 1,4674 |
Маргарин | 928,0 | 1,4690 |
Соевое масло | 922,0 | 1,4756 |
Подсолнечное масло | 924,0 | 1,4736 |
Молочный жир | 930,0 | 1,4637 |
Кукурузное масло | 920,0 | 1,4745 |
Кокосовое масло | 928,0 | 1,4567 |
Кунжутное масло | 918,0 | 1,4730 |
Концентраты фосфатидные | 922,0 | 1,4746 |
Эквивалент масла какао | | |
Улучшитель масла какао SOS-типа | | |
Заменитель масла какао нетемперируемый нелауринового типа | | |
Заменитель масла какао нетемперируемый лауринового типа | | |
Заменитель масла какао POP-типа | | |
Масло орехов: | | |
кешью | 912,0 | 1,4692 |
миндаля | 912,0 | 1,4707 |
фундука | 912,0 | 1,4706 |
Масло арахиса | 914,0 | 1,4704 |
Масло ядра абрикосовой косточки | 918,0 | 1,4715 |
Жир свиной топленый | 917,0 | 1,4712 |
<*> Значение показателя устанавливается конкретным изготовителем. |
Примечание. Значения показателей других видов жиров может устанавливать изготовитель. |
(обязательное)
ПОПРАВКИ ПРИ РЕФРАКТОМЕТРИЧЕСКОМ
ОПРЕДЕЛЕНИИ ПОКАЗАТЕЛЯ ПРЕЛОМЛЕНИЯ ЖИРА И СМЕСИ
ЖИРОВ ПРИ ТЕМПЕРАТУРЕ ОТ 15 °C ДО 35 °C
В.1. Поправки при рефрактометрическом определении показателя преломления жира и смеси жиров при температуре от 15 °C до 35 °C приведены в таблице В.1.
Таблица В.1
Температура, °C | Поправка |
От найденного показателя преломления отнять |
15,0 | 0,0017 |
15,5 | 0,0015 |
16,0 | 0,0014 |
16,5 | 0,0012 |
17,0 | 0,0010 |
17,5 | 0,0008 |
18,0 | 0,0007 |
18,5 | 0,0005 |
19,0 | 0,0003 |
19,5 | 0,0002 |
К найденному показателю преломления прибавить |
20,5 | 0,0002 |
21,0 | 0,0004 |
21,5 | 0,0005 |
22,0 | 0,0007 |
22,5 | 0,0009 |
23,0 | 0,0011 |
23,5 | 0,0012 |
24,0 | 0,0014 |
24,5 | 0,0016 |
25,0 | 0,0018 |
25,5 | 0,0019 |
26,0 | 0,0021 |
26,5 | 0,0023 |
27,0 | 0,0024 |
27,5 | 0,0026 |
28,0 | 0,0028 |
28,5 | 0,0030 |
29,0 | 0,0031 |
29,5 | 0,0033 |
30,0 | 0,0035 |
30,5 | 0,0037 |
31,0 | 0,0038 |
31,5 | 0,0040 |
32,0 | 0,0042 |
32,5 | 0,0043 |
33,0 | 0,0045 |
33,5 | 0,0047 |
34,0 | 0,0049 |
34,5 | 0,0050 |
35,0 | 0,0052 |
(справочное)
ПРИМЕР РАСЧЕТА ПОКАЗАТЕЛЯ ПРЕЛОМЛЕНИЯ И ПЛОТНОСТИ
СМЕСИ ЖИРОВ В КОНДИТЕРСКИХ ИЗДЕЛИЯХ
Г.1. Расчет показателя преломления и плотности смеси жиров на примере рецептуры конфет "Кара-Кум" приведен в таблице Г.1.
Таблица Г.1
Наименование сырья | Массовая доля сухих веществ, % | Общий расход сырья на 1 т незавернутых конфет, кг | Массовая доля жира  | Коэффициент преломления жира при температуре 20 °C  | | Плотность жира при температуре 20 °C  | |
в натуре | в сухом веществе | % | |
Шоколадная глазурь | 99,10 | 303,20 | 300,50 | 35,90 | 108,80 | 1,4647 | 159,3594 | 937 | 101945,6 |
Сахарный песок | 99,85 | 194,10 | 193,80 | - | - | - | - | - | - |
Сахарная пудра | 99,85 | 191,00 | 190,70 | - | - | - | - | - | - |
Ядро миндаля жареное | 97,50 | 97,00 | 94,60 | 55,00 | 53,30 | 1,4707 | 78,3883 | 912 | 48609,6 |
Какао тертое | 97,40 | 96,10 | 93,60 | 54,00 | 51,90 | 1,4647 | 76,0179 | 937 | 48630,3 |
Масло сливочное | 84,00 | 28,10 | 23,60 | 82,50 | 23,20 | 1,4637 | 33,9578 | 930 | 21576,0 |
Масло какао | 100,00 | 76,30 | 76,30 | 100,00 | 76,30 | 1,4647 | 111,7566 | 937 | 71493,1 |
Вафли | 95,50 | 45,70 | 43,60 | - | - | - | - | - | - |
Ванилин | - | 0,19 | - | - | - | - | - | - | - |
Разжижитель (СФК) | 98,50 | 0,13 | 0,13 | 98,50 | 0,13 | 1,4746 | 0,1917 | 922 | 119,86 |
ИТОГО | - | 1031,82 | 1016,83 | - | 313,63 | - | 459,6717 | - | 292374,46 |
Примечания. 1. Для расчета коэффициента преломления смеси жиров следует полученную сумму произведений масс жира на коэффициент преломления (графа 8) отнести к сумме масс жира (графа 6) . |
2. Для расчета плотности смеси жиров следует полученную сумму произведений масс жира на плотность жира (графа 10) отнести к сумме масс жира (графа 6) . |