Главная // Актуальные документы // ГОСТ (Государственный стандарт)СПРАВКА
Источник публикации
М.: ИПК Издательство стандартов, 1997
Примечание к документу
Документ утратил силу на территории Российской Федерации с 1 января 2012 года в части
раздела 3 в связи с изданием
Приказа Росстандарта от 30.11.2010 N 670-ст. Взамен введен в действие
ГОСТ Р 54052-2010.
Документ включен в
Перечень стандартов, содержащих правила и методы исследований (испытаний) и измерений, в том числе правила отбора образцов, необходимые для применения и исполнения требований технического
регламента Таможенного союза "О безопасности пищевой продукции" (ТР ТС 021/2011) и осуществления оценки (подтверждения) соответствия продукции (
Решение Комиссии Таможенного союза от 09.12.2011 N 880).
Документ был включен в
Перечень используемых в Республике Казахстан документов в области стандартизации, а также документов, содержащих правила и методы исследований (испытаний) и измерений, в том числе правила отбора образцов, необходимых для применения и исполнения обязательных требований, предусмотренных
перечнем, утв.
Постановлением Правительства РФ от 09.03.2010 N 132, и осуществления оценки соответствия в отношении отдельных видов продукции и связанных с требованиями к ней процессов (
Приказ Ростехрегулирования от 26.03.2010 N 867).
С 1 июля 2003 года до вступления в силу технических регламентов акты федеральных органов исполнительной власти в сфере технического регулирования носят рекомендательный характер и подлежат обязательному исполнению только в части, соответствующей целям, указанным в
пункте 1 статьи 46 Федерального закона от 27.12.2002 N 184-ФЗ.
Текст данного документа приведен с учетом
поправки, опубликованной в "ИУС", N 10, 2014.
Документ
введен в действие с 1 января 1981 года.
Взамен ГОСТ 5902-58.
Название документа
"ГОСТ 5902-80. Государственный стандарт Союза ССР. Изделия кондитерские. Методы определения степени измельчения и плотности пористых изделий"
(введен Постановлением Госстандарта СССР от 31.01.1980 N 495)
(ред. от 01.07.1985)
"ГОСТ 5902-80. Государственный стандарт Союза ССР. Изделия кондитерские. Методы определения степени измельчения и плотности пористых изделий"
(введен Постановлением Госстандарта СССР от 31.01.1980 N 495)
(ред. от 01.07.1985)
Введен
Постановлением Государственного
комитета СССР по стандартам
от 31 января 1980 г. N 495
ГОСУДАРСТВЕННЫЙ СТАНДАРТ СОЮЗА ССР
ИЗДЕЛИЯ КОНДИТЕРСКИЕ
МЕТОДЫ ОПРЕДЕЛЕНИЯ СТЕПЕНИ ИЗМЕЛЬЧЕНИЯ И ПЛОТНОСТИ
ПОРИСТЫХ ИЗДЕЛИЙ
Confectionery.
Determination methods of pounding degree
and density of porous products
ГОСТ 5902-80
| | Список изменяющих документов (в ред. Изменения N 1, утв. в июле 1985 г.) | |
Взамен
ГОСТ 5902-58
Постановлением Государственного комитета СССР по стандартам от 31 января 1980 г. N 495 дата введения установлена
1 января 1981 года
Ограничение срока действия снято по протоколу N 5-94 Межгосударственного Совета по стандартизации, метрологии и сертификации (ИУС 11-12-94)
* Переиздание (июль 1997 г.) с Изменением N 1, утвержденным в июле 1985 г. (ИУС 10-85).
Настоящий стандарт распространяется на кондитерские изделия и полуфабрикаты и устанавливает методы определения степени измельчения шоколада, шоколадной глазури, какао тертого, полуфабриката на жировой основе, жировой глазури, шоколада в порошке, какао-порошка, какао-напитков, какаовеллы молотой и методы определения плотности пастильных изделий, сбивных и кремовых конфетных масс.
2. ОПРЕДЕЛЕНИЕ СТЕПЕНИ ИЗМЕЛЬЧЕНИЯ ШОКОЛАДА,
ШОКОЛАДНОЙ ГЛАЗУРИ, КАКАО ТЕРТОГО, ПОЛУФАБРИКАТА
НА ЖИРОВОЙ ОСНОВЕ, ЖИРОВОЙ ГЛАЗУРИ И ШОКОЛАДА В ПОРОШКЕ
2.1. Сущность метода
Метод основан на определении массы осадка, выпадающего за определенное время из суспензии исследуемых продуктов в керосине на диск, подвешенный к весам и погруженный в керосин. Величина, характеризующая степень измельчения, зависит от размеров частиц. Чем меньше масса частиц, выпавших из суспензии на диск, тем выше степень измельчения продукта.
2.2. Аппаратура и реактивы
Часы песочные двухминутные.
Керосин.
Весы лабораторные общего назначения по ГОСТ 24104-88, не ниже 2-го класса точности с наибольшим пределом взвешивания до 200 г или любые другие весы, отвечающие указанным требованиям по своим метрологическим характеристикам.
Весы лабораторные общего назначения по ГОСТ 24104-88 не ниже 3-го класса точности с наибольшим пределом взвешивания по 1 кг или любые другие весы, отвечающие указанным требованиям по своим метрологическим характеристикам.
Весы приспосабливают таким образом, чтобы при повороте арретира коромысло весов осталось неподвижным. Кроме проверки нулевого положения устанавливают чувствительность весов такую, чтобы от нагрузки 10 мг стрелка отклонялась от нуля на 10 делений шкалы с абсолютной погрешностью +/- 1 деление.
Правую чашку снимают с весов и, вынув из-под нее останавливающий диск арретира, вставляют вместо него подставку
А для стакана
(черт. 1). На подставке устанавливают стакан
Б и опускают в него подвешенный к весам диск со стержнем
В. Масса диска со стержнем должна равняться массе снятой чашки, что достигается путем добавления в верхний цилиндр стержня дроби или кварцевого песка (черт. 1).
Части к аналитическим весам
для определения степени измельчения
Подвешенный диск должен находиться в центре стакана. Центрирование стакана достигается изменением положения подставки после ослабления винта а на подставке А.
2.3. Подготовка к анализу
Перед анализом проводят градуировку шкалы весов и определяют цену деления, для чего наливают в стеклянный стакан 250 см3 керосина с температурой 20 °C и помещают стакан на подставку весов.
Опускают в стакан стержень с диском и подвешивают его к коромыслу весов. При этом круговая черта б на стержне В (на расстоянии 55 мм от диска) должна совпадать с уровнем керосина. Если этого нет, то указанное положение круговой черты устанавливают вращением стержня в винтовой нарезке с цилиндра с грузом К.
Так как при погружении стержня с диском в керосин последний потеряет часть веса, то на крючок коромысла весов, на котором подвешен стержень с диском, помещают проволочку массой около 1 г и понемногу укорачивая ее, добиваются восстановления равновесия, нарушенного от потери веса стержня, погруженного в керосин. После достигнутого равновесия проволочку снимают с коромысла весов и помещают в цилиндр стержня. В дальнейшем точное равновесие регулируют обычным рейтером.
Отметив положение рейтера при нулевом положении стрелки весов, сдвигают рейтер на несколько миллиграммов и отсчитывают, на сколько делений отклонилась стрелка весов, после чего вычисляют цену деления Д, мг, по формуле

,
где a - положение рейтера на коромысле весов при нулевом положении стрелки, мг;
b - положение рейтера на коромысле весов после перемещения рейтера, мг;
n - число делений шкалы, на которое отклонялась стрелка весов.
Определение проводят семь-десять раз при различном положении рейтера. За окончательный результат принимают среднее арифметическое результатов всех определений.
Цену деления прибора определяют не менее одного раза в год.
Для определения степени измельчения могут быть также приспособлены весы типов АДВ-200, ВЛА-200 и другие, цену деления на которых не определяют.
2.4. Проведение анализа
Навеску исследуемого продукта берут с погрешностью не более 0,01 г массой 2,5 г, а для анализа шоколада в порошке добавляют дополнительно 2,0 - 3,0 г застывшего какао-масла.
В сухой стеклянный стакан помещают навеску, добавляют около 5 см3 керосина. Поставив в ванну с водой, нагревают до температуры 60 - 70 °C и перемешивают содержимое стеклянной палочкой до полного исчезновения комочков.
При анализе шоколада в порошке стакан с содержимым помещают на 5 - 7 с в ванну с водой, нагретой до температуры 60 - 70 °C, чтобы слегка подогреть дно стакана. Вынув стакан из ванны, тщательно перемешивают стеклянной палочкой шоколад в порошке с какао-маслом в течение 10 мин. следя за тем, чтобы какао-масло не расплавлялось, а медленно, в размягченном состоянии распределялось в шоколадной массе. После размешивания стакан с шоколадной массой помещают в ванну с водой, нагретой до температуры 60 - 70 °C, добавляют 5 см3 керосина и перемешивают содержимое стеклянной палочкой до полного исчезновения комочков.
Вынув стакан из ванны и обтерев его дно, вливают в него 2/3 объема керосина, хорошо перемешивают и вынимают из стакана стеклянную палочку, смыв с нее керосином частицы твердой фазы продукта.
В стакан помещают термометр, погружают стакан в холодную воду и доводят температуру до (20 +/- 1) °C, удаляют термометр, смыв с него твердые частицы керосином.
Стакан ставят на подставку весов, оставляют в течение 4 - 5 мин в покое, после чего аккуратно подвешивают диск со стержнем к коромыслу весов и доливают керосином содержимое стакана (из пипетки) до круговой черты на стержне, чтобы она совпадала с уровнем керосина в стакане, и дополнительно корректируют нулевую точку.
Диск снимают с коромысла, хорошо перемешивают им содержимое в стакане и, не вынимая его из керосина, быстро подвешивают к коромыслу весов, одновременно переворачивая двухминутные песочные часы.
После этого примерно через 1 мин медленно опускают арретир, наблюдая и отмечая положение стрелки весов. Если стрелка отклонится далее третьего деления, то, подняв арретир, кладут на левую чашку весов разновес 10 мг, после этого повторяют снова все операции, с момента перемешивания диском содержимого в стакане. Через 1 мин опускают арретир и наблюдают положение стрелки весов. Если при этом стрелка покажет опять более трех делений, кладут на чашку весов еще 10 мг или более, чтобы при повторном взвешивании стрелка весов была возможно ближе к нулевому делению шкалы. Если стрелка не отклонится далее третьего деления, то через 2 мин отсчитывают, на сколько делений отклонилась стрелка.
Повторное определение делают в этом же стакане два-три раза.
Затем вычисляют массу осадка G, мг, по формуле
G = m1 + nД,
где m1 - масса разновесов, мг;
n - число делений шкалы, на которое отклонилась стрелка весов;
Д - цена делений шкалы, мг.
Степень измельчения X1, %, массовую долю частиц размером менее 35 мкм, вычисляют по формуле

,
где G - масса осадка, мг;
F - массовая доля жира в шоколаде (без учета навески какао-масла 2,0 - 3,0 г), %;
K1 - коэффициент для пересчета массы осадка, который в зависимости от плотности керосина определяют по таблице.
Плотность керосина, г/см3 | Коэффициент K1, мг-1 |
0,805 - 0,790 | 17 |
0,789 - 0,781 | 15 |
0,780 - 0,775 | 13 |
0,832 - 0,838 | 40 |
При уплотнении керосина в процессе работы за счет наличия какао-масла допускается разведение керосина более легким до указанных в таблице значений.
2.5. За результат анализа принимают среднее арифметическое результатов двух параллельных определений, допускаемые расхождения между которыми по абсолютной величине не должны превышать 0,5%.
2.2 - 2.5. (Измененная редакция, Изм. N 1).
3. ОПРЕДЕЛЕНИЕ СТЕПЕНИ ИЗМЕЛЬЧЕНИЯ КАКАО-ПОРОШКА
И КАКАОВЕЛЛЫ МОЛОТОЙ
3.1. Сущность метода
Метод основан на просеивании через сито навески продукта и взвешивании остатка на сите.
3.2. Аппаратура и материалы
Сита с обечайками высотой 30 см
3 и диаметром 50 см
3 с сеткой проволочной N 0315 и 016 по
ГОСТ 6613-86 или с сеткой из ткани шелковой N 38 и 23 по
ГОСТ 4403-91. Сетка должна быть закреплена на расстоянии не менее 5 мм от нижнего края обечайки.
Весы лабораторные общего назначения по ГОСТ 24104-88, не ниже 3-го класса точности с наибольшим пределом взвешивания до 1 кг или любые другие весы, отвечающие указанным требованиям по своим метрологическим характеристикам.
Кисточка для рисования (мягкая).
Лист белой бумаги.
(Измененная редакция, Изм. N 1).
3.3. Проведение анализа
Навеску исследуемого продукта массой 5 г, взятую с погрешностью не более 0,01 г, просеивают, слегка встряхивая и помогая рисовальной кисточкой, через сито до тех пор, пока на листе белой бумаги не будет видно темных частичек.
По окончании просеивания сито с остатком и кисточкой взвешивают.
Степень измельчения X2, %, вычисляют по формуле

,
где m1 - масса сита с кисточкой и остатком исследуемого продукта, г;
m0 - масса сита с кисточкой, г;
m - масса навески исследуемого продукта, г.
3.4. За результат анализа принимают среднее арифметическое результатов двух параллельных определений, допускаемые расхождения между которыми по абсолютной величине не должны превышать 0,4%.
(Измененная редакция, Изм. N 1).
4. МЕТОД ОПРЕДЕЛЕНИЯ СТЕПЕНИ ИЗМЕЛЬЧЕНИЯ
КАКАО-ПОРОШКА И КАКАО-НАПИТКОВ
4.1. Сущность метода
Метод основан на промывании через сито продукта горячей водой, высушивании остатка и взвешивании его.
Метод применяется при возникновении разногласий в оценке качества.
4.2. Аппаратура и материалы
Сита с обечайками высотой 30 см
3 и диаметром 50 см
3 с сеткой проволочной N 016 по
ГОСТ 6613-86 или с сеткой из ткани шелковой N 38 по
ГОСТ 4403-91. Сетка должна быть закреплена на расстоянии не менее 5 мм от нижнего края обечайки.
Весы лабораторные общего назначения по ГОСТ 24104-88, не ниже 3-го класса точности с наибольшим пределом взвешивания до 1 кг или любые другие весы, отвечающие требованиям по своим метрологическим характеристикам.
Стеклянная палочка с оплавленным концом.
Мягкая кисточка.
4.3. Проведение анализа
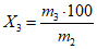
5 г какао-порошка или 10 г какао-напитка взвешивают с погрешностью не более 0,01 г и переносят в стеклянный стакан. К навеске добавляют две-четыре чайные ложки холодной воды, хорошо размешивают до получения однородной массы, затем постепенно добавляют 250 см3 горячей воды, тщательно перемешивают и сливают содержимое через сито. После этого остаток на сите промывают в течение 5 мин струей горячей воды (температура 50 - 60 °C), не допуская разбрызгивания частиц, и остаток на сите высушивают в сушильном шкафу в течение 1 ч при температуре (103 +/- 2) °C.
После охлаждения остаток на сите дополнительно просеивают до тех пор, пока на листе белой бумаги не будет видно темных частичек. Затем остаток на сите взвешивают.
Степень измельчения X3, %, вычисляют по формуле

,
где m3 - масса остатка на сите, г;
m2 - масса навески, г.
За результат анализа принимают среднее арифметическое результатов двух определений, допускаемые расхождения между которыми по абсолютной величине не должны превышать 0,2%.
4.2, 4.3. (Измененная редакция, Изм. N 1).
5. ОПРЕДЕЛЕНИЕ ПЛОТНОСТИ ПАСТИЛЬНЫХ ИЗДЕЛИЙ,
СБИВНЫХ И КРЕМОВЫХ КОНФЕТНЫХ МАСС
5.1. Сущность метода
Метод основан на измерении объема жидкости, вытесненной изделием, погруженным в жидкость.
При возникновении разногласий в оценке качества анализ проводится с применением в качестве жидкости скипидара, керосина, толуола, ксилола или четыреххлористого углерода.
5.2. Аппаратура и реактивы
Прибор Сосновского, который состоит из стеклянного цилиндра 1, высотой около 400 мм и диаметром около 75 мм с приваренной к верхней части бюреткой 2 на 25 - 30 см3 с краном. Цилиндр закрепляется сверху пластмассовой или металлической крышкой 3, через середину которой проходит плунжер 4, закрепляемый винтом на нужной высоте (черт. 2).
Прибор Сосновского
Черт. 2
Керосин.
Весы лабораторные общего назначения по ГОСТ 24104-88, не ниже 3-го класса точности с наибольшим пределом взвешивания до 1 кг или любые другие весы, отвечающие требованиям по своим метрологическим характеристикам.
(Измененная редакция, Изм. N 1).
5.3. Проведение анализа
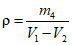
Наполняют цилиндр прибора, сняв крышку с плунжером, например скипидаром так, чтобы часть жидкости перелилась в бюретку. Затем спускают жидкость из бюретки до черты отсчета. После этого, закрепив плунжер в крышке на высоте, равной, примерно, половине высоты цилиндра, погружают плунжер в жидкость и отмечают по бюретке значение объема вытесненной жидкости.
Вынув плунжер из цилиндра, снова доливают жидкость до ее переливания в бюретку. Устанавливают уровень жидкости в бюретке на начальной черте отсчета и осторожно погружают в цилиндр изделие, взвешенное на весах с погрешностью не более 0,01 г. Если изделие не тонет, то его погружают в жидкость плунжером.
Вытесненный объем жидкости отмечают по бюретке. Отмеченный объем представляет собой сумму объемов изделия и погруженной части плунжера. При использовании в качестве жидкости воды определение должно проводиться в течение 30 с.
Объем жидкости в бюретке отмечают с точностью до 0,1 см
3 и вычисляют плотность

изделия с точностью до 0,01 г/см
3 по формуле

,
где V1 - объем жидкости, вытесненный изделием и плунжером, см3;
V2 - объем жидкости, вытесненный плунжером, см3;
m4 - масса навески изделия, г.
5.4. За результат анализа принимают среднее арифметическое результатов двух параллельных определений, допускаемые расхождения между которыми по абсолютной величине не должны превышать 0,03 г/см3.
(Измененная редакция, Изм. N 1).