Главная // Актуальные документы // ГОСТ Р (Государственный стандарт)СПРАВКА
Источник публикации
М.: Стандартинформ, 2018
Примечание к документу
Документ
введен в действие с 1 июля 2019 года.
Название документа
"ГОСТ Р 58282-2018. Национальный стандарт Российской Федерации. Эфир метил-трет-бутиловый. Технические условия"
(утв. и введен в действие Приказом Росстандарта от 14.11.2018 N 997-ст)
"ГОСТ Р 58282-2018. Национальный стандарт Российской Федерации. Эфир метил-трет-бутиловый. Технические условия"
(утв. и введен в действие Приказом Росстандарта от 14.11.2018 N 997-ст)
Утвержден и введен в действие
по техническому регулированию
и метрологии
от 14 ноября 2018 г. N 997-ст
НАЦИОНАЛЬНЫЙ СТАНДАРТ РОССИЙСКОЙ ФЕДЕРАЦИИ
ЭФИР МЕТИЛ-ТРЕТ-БУТИЛОВЫЙ
ТЕХНИЧЕСКИЕ УСЛОВИЯ
Methyl tert-butyl ether. Specifications
ГОСТ Р 58282-2018
Дата введения
1 июля 2019 года
1 РАЗРАБОТАН Федеральным государственным унитарным предприятием "Всероссийский научно-исследовательский институт стандартизации материалов и технологий" (ФГУП "ВНИИ СМТ") и Открытым акционерным обществом научно-исследовательский институт "Ярсинтез" (ОАО НИИ "Ярсинтез")
2 ВНЕСЕН Техническим комитетом по стандартизации ТК 60 "Химия"
3 УТВЕРЖДЕН И ВВЕДЕН В ДЕЙСТВИЕ
Приказом Федерального агентства по техническому регулированию и метрологии от 14 ноября 2018 г. N 997-ст
4 ВВЕДЕН ВПЕРВЫЕ
Правила применения настоящего стандарта установлены в статье 26 Федерального закона от 29 июня 2015 г. N 162-ФЗ "О стандартизации в Российской Федерации". Информация об изменениях к настоящему стандарту публикуется в ежегодном (по состоянию на 1 января текущего года) информационном указателе "Национальные стандарты", а официальный текст изменений и поправок - в ежемесячном информационном указателе "Национальные стандарты". В случае пересмотра (замены) или отмены настоящего стандарта соответствующее уведомление будет опубликовано в ближайшем выпуске ежемесячного информационного указателя "Национальные стандарты". Соответствующая информация, уведомление и тексты размещаются также в информационной системе общего пользования - на официальном сайте федерального органа исполнительной власти в сфере стандартизации в сети Интернет (www.gost.ru)
Настоящий стандарт распространяется на метил-трет-бутиловый эфир (МТБЭ, 2-метил-2-метоксипропан, трет-бутоксиметан) (далее - МТБЭ), получаемый по реакции взаимодействия метанола с изобутиленом в присутствии катализатора и предназначенный для использования в качестве высокооктанового компонента автомобильных бензинов.
Формулы:
эмпирическая C5H12O
структурная

Относительная молекулярная масса (по международным атомным массам 2013 г.) - 88,096
<*>.
--------------------------------
<*> В соответствии с международными атомными массами 2013 г., опубликованными Международным союзом теоретической и прикладной химии (IUPAC), стандартные атомные массы некоторых элементов представлены в виде диапазонов. При расчете относительной атомной массы соединения взято значение из диапазона.
В настоящем стандарте использованы нормативные ссылки на следующие стандарты:
ГОСТ 8.579-2002 Государственная система обеспечения единства измерений. Требования к количеству фасованных товаров в упаковках любого вида при их производстве, расфасовке, продаже и импорте
ГОСТ 12.0.004 Система стандартов безопасности труда. Организация обучения безопасности труда. Общие положения
ГОСТ 12.1.004 Система стандартов безопасности труда. Пожарная безопасность. Общие требования
ГОСТ 12.1.005-88 Система стандартов безопасности труда. Общие санитарно-гигиенические требования к воздуху рабочей зоны
ГОСТ 12.1.007 Система стандартов безопасности труда. Вредные вещества. Классификация и общие требования безопасности
ГОСТ 12.1.018 Система стандартов безопасности труда. Пожаровзрывобезопасность статического электричества. Общие требования
ГОСТ 12.1.044 (ИСО 4589-84) Система стандартов безопасности труда. Пожаровзрывоопасность веществ и материалов. Номенклатура показателей и методы их определения
ГОСТ 12.4.011 Система стандартов безопасности труда. Средства защиты работающих. Общие требования и классификация
ГОСТ 12.4.021 Система стандартов безопасности труда. Системы вентиляционные. Общие требования
ГОСТ 17.2.3.02 Правила установления допустимых выбросов загрязняющих веществ промышленными предприятиями
ГОСТ 701 Кислота азотная концентрированная. Технические условия
ГОСТ 1510-84 Нефть и нефтепродукты. Маркировка, упаковка, транспортирование и хранение
ГОСТ 1770 (ИСО 1042-83, ИСО 4788-80) Посуда мерная лабораторная стеклянная. Цилиндры, мензурки, колбы, пробирки. Общие технические условия
ГОСТ 2517 Нефть и нефтепродукты. Методы отбора проб
ГОСТ 2694 Изделия пенодиатомитовые и диатомитовые теплоизоляционные. Технические условия
ГОСТ 2768 Ацетон технический. Технические условия
ГОСТ 3022 Водород технический. Технические условия
ГОСТ 6247 Бочки стальные сварные с обручами катания на корпусе. Технические условия
ГОСТ 6370 Нефть, нефтепродукты и присадки. Метод определения механических примесей
ГОСТ 6709 Вода дистиллированная. Технические условия
ГОСТ 6995 Реактивы. Метанол-яд. Технические условия
ГОСТ 9147 Посуда и оборудование лабораторные фарфоровые. Технические условия
ГОСТ 9293 (ИСО 2435-73) Азот газообразный и жидкий. Технические условия
ГОСТ 14919 Электроплиты, электроплитки и жарочные электрошкафы бытовые. Общие технические условия
ГОСТ 17433 Промышленная чистота. Сжатый воздух. Классы загрязненности
ГОСТ 19433 Грузы опасные. Классификация и маркировка
ГОСТ 21650 Средства скрепления тарно-штучных грузов в транспортных пакетах. Общие требования
ГОСТ 22235 Вагоны грузовые магистральных железных дорог колеи 1520 мм. Общие требования по обеспечению сохранности при производстве погрузочно-разгрузочных и маневровых работ
ГОСТ 24597 Пакеты тарно-штучных грузов. Основные параметры и размеры
ГОСТ 24614 Жидкости и газы, не взаимодействующие с реактивом Фишера. Кулонометрический метод определения воды
ГОСТ 25336 Посуда и оборудование лабораторные стеклянные. Типы, основные параметры и размеры
ГОСТ 26663 Пакеты транспортные. Формирование с применением средств пакетирования. Общие технические требования
ГОСТ 29131 Продукты жидкие химические. Метод измерения цвета в единицах Хазена (платинокобальтовая шкала)
ГОСТ 30852.19 (МЭК 60079-20:1996) Электрооборудование взрывозащищенное. Часть 20. Данные по горючим газам и парам, относящиеся к эксплуатации электрооборудования
ГОСТ 31340 Предупредительная маркировка химической продукции. Общие требования
ГОСТ 33757 Поддоны плоские деревянные. Технические условия
ГОСТ Р 53228 Весы неавтоматического действия. Часть 1. Метрологические и технические требования. Испытания
ГОСТ Р 56340 Жидкости органические. Определение воды кулонометрическим титрованием по Карлу Фишеру
Примечание - При пользовании настоящим стандартом целесообразно проверить действие ссылочных стандартов в информационной системе общего пользования - на официальном сайте федерального органа исполнительной власти в сфере стандартизации в сети Интернет или по ежегодному информационному указателю "Национальные стандарты", который опубликован по состоянию на 1 января текущего года, и по выпускам ежемесячного информационного указателя "Национальные стандарты" за текущий год. Если заменен ссылочный стандарт, на который дана недатированная ссылка, то рекомендуется использовать действующую версию этого стандарта с учетом всех внесенных в данную версию изменений. Если заменен ссылочный стандарт, на который дана датированная ссылка, то рекомендуется использовать версию стандарта с указанным выше годом утверждения (принятия). Если после утверждения настоящего стандарта в ссылочный стандарт, на который дана датированная ссылка, внесено изменение, затрагивающее положение, на которое дана ссылка, то это положение рекомендуется применять без учета данного изменения. Если ссылочный стандарт отменен без замены, то положение, в котором дана ссылка на него, рекомендуется применять в части, не затрагивающей эту ссылку.
МТБЭ должен быть изготовлен в соответствии с требованиями настоящего стандарта, по технологическому регламенту, утвержденному в установленном порядке.
3.1 Характеристики
По физико-химическим показателям МТБЭ должен соответствовать требованиям и нормам, указанным в
таблице 1.
Таблица 1
Физико-химические показатели метил-
трет-бутилового эфира
Наименование показателя | Значение | Метод испытания |
Высший сорт | Первый сорт | Второй сорт |
1 Внешний вид | Прозрачная жидкость, не содержащая механических примесей | |
2 Массовая доля МТБЭ, %, не менее | 98,0 | 96,0 | 94,0 | По 7.4 или по нормативному документу <*> |
3 Массовая доля спиртов (метанола и трет-бутанола), %, не более | 1,5 | 2,5 | 4,0 | По 7.4 или по нормативному документу <*> |
в т.ч. массовая доля метанола, %, не более | 1,0 |
4 Массовая доля углеводородов C 4 и C 8, %, не более | 1,5 | 1,5 | 3,0 | По 7.4 или по нормативному документу <*> |
5 Массовая доля воды, %, не более | 0,10 | |
6 Механические примеси | Отсутствие | |
7 Цветность, единицы Хазена, не более | 70 | |
Примечание - Массовая доля всех компонентов по показателям 2 - 4 приведена без учета углеводородов C 5. |
--------------------------------
3.2 Маркировка
3.2.1 Транспортная маркировка - по
ГОСТ 14192 с нанесением манипуляционных знаков "Беречь от солнечных лучей" и "Герметичная упаковка", а также в соответствии с правилами перевозок грузов, действующими на соответствующем виде транспорта.
Маркировка, характеризующая опасность груза, - в соответствии с
правилами перевозки опасных грузов по железной дороге
[2]. Продукт как опасный груз классифицируют следующим образом:
- класс опасности - 3;
- знак опасности - чертеж 3;
- классификационный шифр - 3012;
- код опасности - 33 (при перевозках в вагонах, контейнерах);
- классификационный код - F1;
- номер аварийной карточки - 301;
- номер ООН - 2398;
- транспортное наименование: "эфир метил-трет-бутиловый";
- группа упаковки - II.
3.2.3 Транспортная маркировка продукции, транспортируемой автомобильным транспортом, - в соответствии с правилами
[3],
[4].
3.2.4 Транспортная маркировка должна быть нанесена на каждое грузовое место непосредственно на тару или на картонные, фанерные, металлические и другие ярлыки. Маркировку наносят типографским, литографским способами, окраской по трафарету, штампованием или другим способом по
ГОСТ 14192.
Способ нанесения маркировки: непосредственно на тару маркировочными машинами; наклейка бумажных этикеток, липких аппликаций и ярлыков; прикрепление ярлыков. Ярлыки должны крепить к транспортной таре в удобном, хорошо просматриваемом месте.
3.2.5 Предупредительная маркировка - по
ГОСТ 31340.
3.2.6 Маркировка, характеризующая упакованную продукцию, должна содержать:
- наименование предприятия-изготовителя, его товарный знак и юридический адрес;
- наименование продукта и его сорт;
- массу нетто;
- номер партии;
- дату изготовления (месяц, год);
- обозначение настоящего стандарта.
3.3 Упаковка
3.3.1 МТБЭ упаковывают в чистые, сухие, герметично закрывающиеся стальные бочки типа I по
ГОСТ 6247 номинальной вместимостью 100, 200, 275 дм
3, соответствующие
ГОСТ 26319 и имеющие сертификат соответствия упаковки требованиям международных и национальных регламентов по перевозке опасных грузов, выданный в установленном порядке компетентным органом.
Бочки должны быть герметично укупорены и опломбированы металлической пломбой. Степень заполнения бочек рассчитывают с учетом полного использования вместимости (грузоподъемности) и объемного расширения продукта при возможном перепаде температур в пути следования. Максимальная степень наполнения - не более 95% (по объему).
3.3.2 Допускаемое отрицательное отклонение содержимого нетто от номинального количества МТБЭ в упаковке должно соответствовать требованиям ГОСТ 8.579-2002
(таблица А.2).
4 Требования безопасности
4.1 По степени воздействия на организм МТБЭ относится к малоопасным веществам (4-й класс опасности по
ГОСТ 12.1.007).
4.2 Предельно допустимая концентрация (ПДК) МТБЭ в воздухе рабочей зоны составляет: максимальная разовая - 300 мг/м
3, среднесменная - 100 мг/м
3 [5].
При превышении ПДК пары МТБЭ вызывают раздражение слизистых оболочек глаз и дыхательных путей. Действует угнетающе на центральную нервную систему, вызывая головокружение, головную боль, тошноту, нарушение координации движений. Действие обратимое.
При попадании на кожу местного раздражающего действия не оказывает, через кожу не проникает.
4.3 Меры первой помощи:
- при ингаляционном воздействии - свежий воздух, покой, тепло;
- затрудненном дыхании - кислород;
- резком ослаблении или остановке дыхания - искусственное дыхание;
- попадании в глаза - промыть проточной водой;
- воздействии на кожу - смыть проточной водой с мылом.
После оказания первой помощи - обратиться к врачу.
4.4 Пожарная безопасность производства должна быть обеспечена системами противопожарной защиты и организационно-техническими мероприятиями по
ГОСТ 12.1.004.
При работе с МТБЭ должны применять герметичные аппараты, оборудование и герметичная транспортная тара.
Помещения, в которых проводят работы с МТБЭ, должны быть оборудованы приточно-вытяжной вентиляцией по
ГОСТ 12.4.021, обеспечивающей содержание вредных веществ в концентрации, не выше предельно допустимой.
4.5 Производственный контроль за соблюдением санитарных правил и выполнением санитарно-противоэпидемиологических мероприятий осуществляют в соответствии с требованиями санитарных правил
[6],
[7]. Периодичность контроля воздуха рабочей зоны - в соответствии с ГОСТ 12.1.005-88,
п. 4.2.5.
4.6 МТБЭ в соответствии с
ГОСТ 12.1.044 представляет собой легковоспламеняющуюся жидкость. Пары образуют с воздухом взрывоопасные смеси. Показатели пожарной опасности МТБЭ:
- группа горючести - горючие;
- температура вспышки в закрытом тигле - минус 27 °C;
- температура воспламенения - минус 8 °C;
- температура самовоспламенения - 440 °C;
- температурные пределы распространения пламени, °C:
- нижний - минус 30 °C;
- верхний - минус 12 °C.
4.7 При возникновении пожара применяют тонкораспыленную воду, воздушно-механическую пену на основе пленкообразующих фторсодержащих пенообразователей, огнетушащие порошковые составы. При небольших возгораниях пользуются кошмой и песком.
4.8 При работе с МТБЭ не допускается применять инструменты, дающие при ударе искру. Емкости и трубопроводы, предназначенные для хранения и транспортирования МТБЭ, должны быть защищены от статического электричества по
ГОСТ 12.1.018.
В помещениях для хранения и использования МТБЭ запрещается обращение с открытым огнем; электрооборудование, электрические сети и искусственное освещение должны быть взрывобезопасного исполнения.
При разливе МТБЭ засыпают песком, затем собирают совком, изготовленным из материала, не дающего искры, выносят в безопасное место и место разлива промывают водой.
4.9 При работе с МТБЭ применяют средства индивидуальной защиты согласно
ГОСТ 12.4.011 и типовым отраслевым нормам, утвержденным в установленном порядке.
4.10 Все работающие с МТБЭ должны проходить предварительные (при приеме на работу) и периодические медицинские осмотры в соответствии с действующим российским законодательством.
4.11 Все работающие с МТБЭ должны проходить обучение и проверку знаний по безопасности труда по
ГОСТ 12.0.004.
5 Требования охраны окружающей среды
5.1 Основным видом опасного воздействия на окружающую среду является загрязнение атмосферного воздуха населенных мест и водоемов в результате утечек, аварийных ситуаций, нарушения правил транспортирования и хранения продуктов производства, неорганизованного размещения и утилизации отходов.
5.2 Защита окружающей среды при изготовлении, транспортировании и хранении МТБЭ обеспечена:
- соблюдением норм технологического режима, автоматизацией технологических процессов и содержанием в исправном состоянии технологического оборудования, трубопроводов, запирающих и регулирующих устройств;
- исключением случаев сброса продуктов производства в атмосферу и сточные воды;
- использованием для хранения герметичной упаковки.
5.3 Максимальная разовая предельно допустимая концентрация (ПДК) МТБЭ в атмосферном воздухе населенных мест - 0,5 мг/м
3, лимитирующий показатель вредности - рефлекторный, класс опасности - 4
[8].
5.4 Правила установления допустимых выбросов в атмосферу - по
ГОСТ 17.2.3.02.
5.5 ПДК МТБЭ в воде водоемов хозяйственно-питьевого и культурно-бытового водопользования принята по аналогии с диэтиловым эфиром и составляет 0,3 мг/дм
3, лимитирующий показатель вредности - органолептический (придает воде привкус), 4-й класс опасности
[9].
5.6 ПДК МТБЭ для воды рыбохозяйственных водоемов составляет 0,001 мг/дм
3, 3-й класс опасности, лимитирующий показатель вредности - токсикологический
[10].
5.7 Контроль за содержанием МТБЭ в сточных водах и воздушном бассейне осуществляют хроматографическим методом, обеспечивающим определение МТБЭ при его концентрациях в этих средах ниже ПДК. Периодичность контроля - в соответствии с требованиями законодательства.
5.8 МТБЭ при взаимодействии с объектами внешней среды вторичных опасных продуктов не образует.
5.9 Для защиты почвы и водоемов разливы продуктов производства необходимо засыпать инертным материалом (песком, землей, опилками), собрать в отдельную тару и отправить на переработку или утилизацию согласно требованиям к размещению и обезвреживанию отходов производства
[11].
6.1 Метил-трет-бутиловый эфир принимают партиями. Партией считают любое количество продукта, изготовленного в ходе непрерывного технологического процесса, однородного по компонентному составу и показателям качества и сопровождаемого одним документом о качестве.
6.2 Документ о качестве должен содержать как минимум следующую информацию:
- наименование предприятия-изготовителя, его товарный знак и юридический адрес;
- наименование продукта и его сорт;
- номер партии;
- количество мест в партии;
- массу нетто;
- дату изготовления;
- результаты проведенных испытаний;
- обозначение настоящего стандарта;
- подпись лица, выдавшего документ о качестве, или запись о формировании документа в автоматической системе с указанием ФИО ответственного за испытания.
6.3 Объем выборки МТБЭ, упакованного в бочки, - 5% упаковочных единиц, но не менее двух единиц, если партия состоит менее чем из 40 единиц.
При отгрузке МТБЭ в железнодорожных и автомобильных цистернах проверке подвергают каждую четвертую цистерну партии. Если партия состоит из трех цистерн, проверке подвергают две цистерны. Допускается изготовителю отбирать пробу из товарного резервуара.
6.4 При получении неудовлетворительных результатов анализа как минимум по одному из показателей, по нему проводят повторный анализ на удвоенной выборке или вновь отобранной пробе из цистерн или товарного резервуара той же партии.
Результаты повторного анализа распространяются на всю партию.
7.1 Отбор проб
Отбор проб - по
ГОСТ 2517. Объем объединенной пробы должен быть не менее 0,5 дм
3.
7.2 Общие указания
7.2.1 Допускается применение других средств измерений с метрологическими характеристиками и оборудования с техническими характеристиками не хуже, а также реактивов, по качеству не ниже указанных в настоящем стандарте.
Все применяемые средства измерений должны быть поверены, испытательное оборудование - аттестовано.
7.2.3 Результаты определения в документе о качестве округляют до того количества значащих цифр, которому соответствует норма по данному показателю.
7.3 Определение внешнего вида
Внешний вид продукта оценивают визуально при естественном или люминесцентном освещении без применения увеличительных приборов. Анализируемый продукт наливают в пробирку П1-14-120 ХС по
ГОСТ 25336 до высоты от 50 до 60 мм и рассматривают в проходящем свете. Продукт должен быть прозрачным и не содержать взвешенных и осевших на дно посторонних примесей.
7.4 Определение массовой доли метил-трет-бутилового эфира, спиртов (метанола и трет-бутанола) и углеводородов C4 и C8
Метод основан на газохроматографическом разделении компонентов смеси с их последующей регистрацией детектором по теплопроводности. Массовую долю компонентов определяют методом нормирования (внутренней нормализации).
7.4.1 Аппаратура, материалы, реактивы
Хроматограф газовый с детектором по теплопроводности или аппаратно-хроматографический комплекс, оснащенный блоком управления хроматографом и блоком обработки хроматографической информации с программным обеспечением.
Колонка насадочная из нержавеющей стали диаметром от 2 до 3 мм и длиной 3 м.
Хроматографические колонки могут входить в комплект поставки и устанавливаться непосредственно в хроматограф на предприятии-изготовителе.
ГСО состава метил-трет-бутилового эфира с относительной погрешностью аттестованного значения, не превышающей +/- 1%, при доверительной вероятности P = 0,95.
Допускается использовать аттестованные смеси состава метил-
трет-бутилового эфира, приготовленные согласно
приложению А.
Весы лабораторные высокого (II) и среднего (III) классов точности с наибольшими пределами взвешивания 200 и 500 г соответственно по
ГОСТ Р 53228.
Микрошприц МШ-10. Допускается использовать микрошприц М-10.
Набор сит с размером сторон ячеек от 0,16 до 0,25 мм.
Вибратор любой конструкции.
Колба круглодонная К-1-250-29/32 ТС или К-1-500-29/32 ТС по
ГОСТ 25336 с насадкой от склянки СН-2 по
ГОСТ 25336 с соответствующей длиной трубки.
Флакон стеклянный вместимостью от 10 до 50 см3 с резиновой медицинской пробкой.
Баня водяная лабораторная.
Плитка электрическая с электроконфоркой любого типа и регулируемой мощностью нагрева по
ГОСТ 14919.
Шкаф сушильный, обеспечивающий поддержание температуры 150 °C.
Печь муфельная с термопарой, обеспечивающая поддержание температуры от 1100 °C до 1300 °C.
Ампулы кварцевые.
Носитель твердый - кирпич инзенский ИНЗ-600, фракция от 0,16 до 0,25 мм, или кирпич диатомитовый марки Д-600 по
ГОСТ 2694, фракция от 0,16 до 0,25 мм.
Фаза жидкая - ТВИН-60.
Метиловый оранжевый (индикатор) по
[12].
Кислота азотная концентрированная по
ГОСТ 701.
Гелий особой или высокой чистоты по
[13] или водород технический марки А по
ГОСТ 3022.
Воздух сжатый для питания контрольно-измерительных приборов по
ГОСТ 17433, класс загрязненности 0.
7.4.2 Подготовка к измерениям
7.4.2.1 Приготовление неподвижной фазы
Твердый носитель размалывают, просеивают, отбирая фракцию от 0,16 до 0,25 мм, которую помещают в выпарительную чашку, заливают концентрированной азотной кислотой и выдерживают в течение 3 ч. Кислоту сливают, утилизируют, носитель промывают дистиллированной водой до нейтральной реакции промывных вод по метиловому оранжевому, сушат 2 ч при температуре 150 °C и прокаливают 4 ч в муфельной печи при температуре от 1100 °C до 1200 °C в кварцевых ампулах. После охлаждения до температуры окружающей среды носитель снова просеивают через сита.
Предупреждение - При работе с концентрированной азотной кислотой следует соблюдать требования безопасности, для защиты глаз и кожи рук оператора - применять соответствующие средства защиты.
Взвешивают 30 г подготовленного твердого носителя и 3 г ТВИН-60 (навеска жидкой фазы должна составлять 10% от массы твердого носителя). Результат взвешивания, выраженный в граммах, записывают с точностью до второго десятичного знака. Навеску ТВИН-60 помещают в круглодонную колбу и растворяют в объеме от 50 до 60 см3 хлороформа или ацетона. В полученный раствор высыпают твердый носитель. Содержимое колбы перемешивают вращением и выдерживают в течение 10 мин при температуре окружающей среды. Затем колбу закрывают насадкой и удаляют хлороформ или ацетон на водяной бане с температурой от 50 до 60 °C с одновременной продувкой слабым током азота до сыпучего состояния неподвижной фазы.
7.4.2.2 Заполнение колонки
Хроматографическую колонку промывают ацетоном, продувают воздухом в течение от 20 до 30 мин и заполняют неподвижной фазой с помощью мини-воронки и водоструйного насоса, подсоединенного к одному из концов колонки, предварительно закрытому тампоном из стекловолокна или стекловаты. Носитель уплотняют с помощью вибратора или постукиванием деревянной палочкой. Плотность набивки должна быть от 7 до 8 см3/м.
Неподвижную фазу в колонке фиксируют тампоном из стекловолокна или стекловаты. Колонку помещают в термостат прибора, продувают газом-носителем с объемной скоростью от 20 до 30 см3/мин, программируют повышение температуры со скоростью от 1 до 2 °C/мин до достижения температуры 100 °C и выдерживают при этой температуре в течение 6 ч. При этом колонку не подсоединяют к детектору.
Затем колонку охлаждают до комнатной температуры, присоединяют к детектору, устанавливают требуемый расход газа-носителя и выводят хроматограф на рабочий режим.
7.4.2.3 Подготовка прибора к работе
Включение прибора проводят в соответствии с инструкцией по монтажу и эксплуатации хроматографа, прилагаемой к прибору. Вывод прибора на режим проводят согласно условиям, приведенным ниже:
- температура испарителя, °C ............................................................. | 150; |
- температура детектора, °C ................................................................ | 150; |
- ток детектора, мА ............................................................................... | 120; |
- температура термостата колонок, °C ............................................... | 60; |
- объем вводимой пробы, мм3 ............................................................ | 1 - 2; |
- объемный расход газа-носителя, см3/мин ....................................... | 60; |
- скорость движения ленты потенциометра, мм/ч ............................ | 1800. |
После стабилизации нулевой линии приступают к измерению.
При использовании хроматографов других типов условия проведения измерений должны быть подобраны с учетом особенностей прибора. При этом степень разделения компонентов должна быть не хуже, чем на типовой хроматограмме.
7.4.3 Проведение измерений
Хроматограф выводят на режим по
7.4.2.3. Отбирают пробу из контейнера охлажденным микрошприцем, вводят в испаритель хроматографа и записывают хроматограмму.
Идентификацию компонентов проводят по приведенным относительным временам удерживания

в соответствии с
таблицей 2. Типовая хроматограмма МТБЭ приведена на
рисунке 1.
Таблица 2
Наименование компонента | Относительный поправочный коэффициент компонента Ki | Приведенное относительное время удерживания  |
Углеводороды C4 | 0,93 | 0,08 - 0,10 |
Углеводороды C5 | 0,97 | 0,21 - 0,55 |
МТБЭ | 1,00 | 1,00 |
Метил-втор-бутениловый эфир | 1,00 | 1,15 |
Метил-втор-бутиловый эфир | 1,00 | 1,17 |
Углеводороды C8 (димеры изобутилена) | 0,97 | 2,12 - 2,33 |
Метанол | 0,79 | 2,98 |
Трет-бутанол | 1,05 | 3,98 |
1 - воздух, 2 - углеводороды C4, 3, 4 - углеводороды C5,
5 - МТБЭ, 6 - метил-втор-бутениловый эфир;
7 - метил-втор-бутиловый эфир, 8, 9 - димеры изобутилена;
10 - метанол; 11 - трет-бутанол
Рисунок 1 - Хроматограмма метил-
трет-бутилового эфира
на колонке с ТВИН-60
7.4.4 Обработка результатов
7.4.4.1 Идентификацию хроматографических пиков и вычисление содержания МТБЭ и других примесей проводят с использованием программы сбора и обработки хроматографической информации согласно инструкции прибора.
7.4.4.2 При отсутствии аналитического программного обеспечения в хроматографическом комплексе обработку хроматограммы и вычисление массовых долей основного продукта и примесей проводят вручную.
7.4.4.3 Площадь хроматографического пика Si, мм2, вычисляют по формуле
Si = hibiM, (1)
где hi - высота пика, мм;
bi - ширина пика на половине его высоты, мм;
M - масштаб.
Ширину пика на половине его высоты измеряют при помощи лупы от внешнего контура линии одной стороны до внутреннего контура линии другой стороны с погрешностью не более 0,05 мм. Высоту пика измеряют линейкой от вершины до основания с погрешностью не более 0,5 мм.
Не полностью разделенные пики, находящиеся "на хвосте" основного компонента, вычисляют с учетом продления контура основного компонента до основания, а получившуюся площадь пика вещества с малой концентрацией - приведением его к правильной геометрической фигуре (треугольнику).
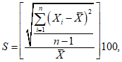
7.4.4.4 Массовую долю каждого компонента Xi, %, вычисляют по формуле

, (2)
где Si - площадь пика определяемого компонента, мм2;
Ki - относительный поправочный коэффициент определяемого компонента, приведенный в
таблице 2;

- сумма площадей всех пиков с учетом поправочных коэффициентов, мм
2;
X - массовая доля воды, определяемая по
7.5.4.
Углеводороды C5 идентифицируются на хроматограмме, но не учитываются в 100% при вычислении компонентного состава.
7.4.5 Метрологические характеристики
7.4.5.1 Методика обеспечивает получение результатов измерений с метрологическими характеристиками, не превышающими значений, приведенных в
таблице 3 (при доверительной вероятности
P = 0,95).
Таблица 3
Показатели качества результатов измерений
Наименование компонента | Диапазон определения массовой доли компонента, % масс. | Граница расширенной неопределенности +/- U, % масс. | Показатель повторяемости (относительное СКО)  , % масс. | Показатель воспроизводимости (относительное СКО)  , % масс. | Граница систематической погрешности  , % масс. |
Сумма углеводородов C4 | От 0,05 до 5,00 включ. | 0,1X | 0,03X | 0,045X | 0,02X |
Димеры изобутилена (углеводороды C8) | От 0,05 до 2,00 включ. | 0,20X + 0,01 | 0,070X + 0,007 | 0,10X + 0,01 | 0,06X |
трет-Бутанол | От 0,10 до 4,00 включ. | 0,5X | 0,2X | 0,4X | 0,1X |
Метанол | От 0,05 до 10,00 включ. | 0,1X + 0,1 | 0,05X + 0,005 | 0,075X + 0,007 | 0,03X |
МТБЭ | От 90,0 до 99,9 включ. | 2,00 - 0,01X | 1,450 - 0,014X | 2,20 - 0,02X | 0,01X |
Примечание - X - среднеарифметическое значение результатов определения массовой доли i-го компонента, %. |
7.4.5.2 Контроль повторяемости
При каждом определении проводят контроль повторяемости.
Повторяемость признают удовлетворительной при выполнении условия
|Xi1 - Xi2| <= r, (3)
где Xi1, Xi2 - значения результатов определения массовой доли компонента, полученных в условиях повторяемости, % масс.;
r - предел повторяемости, приведенный в
таблице 4, в зависимости от среднеарифметического значения результатов двух единичных определений, полученных в условиях повторяемости, % масс.
Таблица 4
Пределы повторяемости и воспроизводимости
Наименование компонента | Диапазон определений массовой доли компонента, % масс. | Предел повторяемости r, % масс, (n = 2, P = 0,95) | Предел воспроизводимости R, % масс, (m = 2, P = 0,95) |
Сумма углеводородов C4 - C5 | От 0,05 до 5,00 включ. | 0,09X | 0,12X |
Димеры изобутилена (углеводороды C8) | От 0,05 до 2,00 включ. | 0,20X + 0,02 | 0,30X + 0,03 |
трет-Бутанол | От 0,10 до 4,00 включ. | 0,55X | 1,0X |
Метанол | От 0,05 до 10,00 включ. | 0,140X + 0,004 | 0,2X + 0,01 |
МТБЭ | От 90,0 до 99,9 включ. | 4,10 - 0,04X | 6,10 - 0,06X |
Примечание - X - среднеарифметическое значение результатов определения массовой доли i-го компонента, % масс. |
Пределы повторяемости r рассчитывают в зависимости от среднеарифметического значения результатов двух единичных определений (X, % масс.), выполненных в условиях повторяемости.
Пределы воспроизводимости R рассчитывают в зависимости от среднеарифметического значения результатов двух определений (X, % масс.), выполненных в двух лабораториях.
7.4.5.3 Проверка приемлемости результатов определения
При положительном заключении о пределе повторяемости результаты единичных определений, полученных в условиях повторяемости, признают приемлемыми.
За результат анализа принимают среднеарифметическое значение результатов единичных определений массовой доли i-го компонента, полученных в условиях повторяемости.
При отрицательном заключении о пределе повторяемости дополнительно проводят еще одно определение.
Если разность между максимальным и минимальным значениями в ряду полученных результатов менее или равна критической разности CR0,95(3), %, то за результат принимают среднеарифметическое значение результатов трех измерений.
Критическую разность для результатов трех измерений CR0,95(3), %, вычисляют по формуле

, (4)
где

- СКО повторяемости
i-го компонента, приведенное в
таблице 3, % масс.
Если разность максимального и минимального значений для трех полученных результатов превышает критическую разность CR0,95(3), за результат измерения принимают медиану трех измерений, т.е. второй результат в расположенном по возрастанию ряду результатов определения i-го компонента.
Результат измерения массовой доли компонентов округляют и записывают с точностью до первого десятичного знака.
7.4.5.4 Контроль правильности результатов
Контроль правильности проводят с использованием стандартного образца (СО) состава МТБЭ.
Предел контроля правильности определяют с использованием СО состава МТБЭ.
Проводят анализ СО в соответствии с
7.4.3,
7.4.4. Результат контроля правильности признают удовлетворительным, если выполняется следующее условие
LCL < Xк < UCL, (5)
где
LCL, UCL - нижний и верхний пределы контроля правильности, приведенные в
таблице 5, в виде уравнения зависимости от принятого опорного значения массовой доли МТБЭ в СО, %;
Xк - значение результата контрольного определения, %.
Таблица 5
Предел контроля правильности
Наименование компонента | Предел контроля правильности результатов анализа (P = 0,90) - интервальная оценка |
Нижний LCL, % | Верхний UCL, % |
МТБЭ | CRM - (1,7 - 0,0085 CRM) | CRM + (1,7 - 0,0085 CRM) |
Примечание - CRM - принятое опорное значение массовой доли МТБЭ в СО состава, % масс. |
При получении отрицательного результата предела контроля правильности выясняют причины, приводящие к неудовлетворительным результатам контроля, и устраняют их.
7.4.5.5 Предел контроля воспроизводимости
Предел контроля воспроизводимости вычисляют с использованием проб МТБЭ одной партии. Анализ проб проводят в соответствии с настоящей методикой, получая два результата в условиях воспроизводимости (в двух разных лабораториях или в лабораториях поставщика и заказчика).
Результат контрольной процедуры считают удовлетворительным при выполнении условия

, (6)
где

и

- значения результатов определения массовой доли
i-го компонента, полученных в условиях воспроизводимости, % масс.;
R - предел контроля воспроизводимости, приведенный в
таблице 4 в виде зависимости от среднеарифметического значения результатов двух измерений, полученных в условиях воспроизводимости, % масс.
При превышении предела контроля воспроизводимости анализ повторяют. При повторном превышении выясняют причины, приводящие к неудовлетворительным результатам контроля, и устраняют их.
7.5 Определение массовой доли воды
Метод заключается во взаимодействии йода с сернистым ангидридом в присутствии воды с образованием йодистоводородной кислоты и серного ангидрида в среде метанола и пиридина.
7.5.1 Аппаратура, посуда, реактивы и растворы
Титратор автоматический для определения воды волюмометрическим методом с реактивом Фишера.
Весы лабораторные электронные высокого (II) класса точности с наибольшим пределом взвешивания 200 г по
ГОСТ Р 53228.
Шприцы инъекционные однократного применения типа "Луер" вместимостью 10 и 25 см3 или шприцы Hamilton вместимостью 1 и 10 см3.
Бутыль из темного стекла вместимостью 1 дм3 с завинчивающейся крышкой.
Реактив Фишера (раствор I и раствор II) по
[14].
7.5.2 Подготовка к испытанию
7.5.2.1 Подготовка титратора
Титратор готовят к работе в соответствии с руководством по эксплуатации.
7.5.2.2 Приготовление реактива Фишера
В бутыль из темного стекла с помощью цилиндров вносят растворы I и II реактива Фишера в объемном соотношении 1:2,17. Полученную смесь оставляют в темном месте на 24 ч, затем устанавливают титр смеси, значение которого должно составлять приблизительно 4 мг/см3.
7.5.2.3 Установка титра реактива Фишера по навеске воды.
Обезвоживание метанола (предтитрование).
Ячейку для титрования заполняют метанолом до минимальной отметки и титруют приготовленным реактивом Фишера, т.е. проводят стадию предтитрования. По окончании предтитрования прибор переходит в режим ожидания, после чего можно переходить к титрованию навески воды.
Примечание - Если предтитрование продолжается более установленного времени, указанного в руководстве по эксплуатации автоматического титратора, необходимо проверить соединения всех узлов ячейки для титрования с целью исключения попадания влаги из воздуха или качество метанола. Если массовая доля воды в метаноле превышает 0,05%, то необходимо проводить обезвоживание метанола по ГОСТ 14870-77 (приложение 1,
п. 1.2.1).
Титрование навески воды.
Отмеривают 0,2 см3 воды шприцем вместимостью 1 см3 и взвешивают. В обезвоженный метанол через герметизирующую прокладку в ячейку для титрования вводят одну каплю воды (приблизительно 0,01 г) и снова взвешивают (результаты взвешивания, выраженные в граммах, записывают с точностью до четвертого десятичного знака). По разности масс вычисляют массу навески воды. Автоматически титруют реактивом Фишера.
Вычисляют титр реактива Фишера T, мг H2O/см3, по формуле

, (7)
где m - масса навески воды, г;
V - объем реактива Фишера, израсходованный на титрование, см3.
За результат определения титра принимают среднеарифметическое значение двух параллельных испытаний, абсолютное расхождение между которыми не превышает 0,3 мг/см3.
Титр реактива Фишера проверяют не менее чем через каждые 48 ч. При хранении титр реактива Фишера уменьшается, если титр становится менее 2 мг/см3, его заменяют свежеприготовленным.
7.5.3 Проведение испытаний
Пробу анализируемого продукта тщательно перемешивают и шприцем отбирают от 5 до 10 см3 продукта. Шприц с пробой взвешивают. После введения пробы шприц снова взвешивают и вычисляют массу навески пробы. Результаты взвешивания, выраженные в граммах, записывают с точностью до четвертого десятичного знака. Вводят пробу через герметизирующую прокладку в ячейку для титрования и запускают автоматический титратор с реактивом Фишера.
7.5.4 Обработка результатов
Массовую долю воды X, %, вычисляют по формуле

, (8)
где V - объем реактива Фишера, израсходованного на титрование, см3;
T - титр реактива Фишера, мг/см3;
m1 - масса навески анализируемого продукта, г.
За результат испытания принимают среднеарифметическое значение результатов двух параллельных определений, относительное расхождение между которыми не должно превышать предела повторяемости.
Значения предела повторяемости
r и предела воспроизводимости
R для двух результатов параллельных определений приведены в
таблице 6.
Таблица 6
Пределы повторяемости и воспроизводимости
В процентах
Диапазон определения массовой доли воды | Предел повторяемости r (n = 2, P = 0,95) | Предел воспроизводимости R (m = 2, P = 0,95) |
От 0,01 до 0,10 | 10 | 15 |
7.5.5 Допускается определять массовую доли воды по
ГОСТ 14870 или по
ГОСТ 24614. При разногласиях в оценке массовой доли воды определение проводят с использованием автоматического титратора.
7.6 Определение механических примесей
Механические примеси определяют визуально. МТБЭ наливают в стеклянный цилиндр 4-50-2 по
ГОСТ 1770 и просматривают в проходящем свете. Продукт должен быть прозрачным и не содержать взвешенных и осевших на дно цилиндра посторонних примесей.
При разногласиях в оценке наличия механических примесей определение проводят весовым методом в соответствии с
ГОСТ 6370.
8 Транспортирование и хранение
8.1 МТБЭ, упакованный в бочки, транспортируют железнодорожным и автомобильным транспортом в соответствии с правилами перевозок опасных грузов, действующими на данном виде транспорта,
[2] -
[4].
МТБЭ, упакованный в бочки, транспортируют железнодорожным транспортом в универсальных крытых вагонах (КВ) и в универсальных контейнерах.
При перевозках по железным дорогам вид отправок - повагонная, контейнерная.
Род подвижного состава - КР.
Размещение и крепление бочек в вагонах и контейнерах производят в соответствии с
[15] и
ГОСТ 22235. Пакетирование - по
ГОСТ 26663.
8.2 МТБЭ наливом транспортируют в железнодорожных вагонах-цистернах грузоотправителя (грузополучателя) или арендованных (вид отправок - повагонная). По согласованию с потребителем допускается транспортирование МТБЭ в автомобильных цистернах.
8.3 Вагоны-цистерны должны соответствовать правилам
[2],
[15] и отвечать следующим требованиям:
- материал котла - низколегированная или нержавеющая сталь;
- устройство для слива - универсальный сливной прибор;
- испытательное давление - не менее 0,4 МПа;
- устройство для сброса давления - предохранительно-впускной клапан.
Код вагонов-цистерн - LGBF или другой в соответствии с
приложением 2 к правилам
[2] (СМГС).
Степень наполнения котлов вагонов-цистерн устанавливается в соответствии с
[14] и не должна превышать грузоподъемность вагона-цистерны. Максимальная степень наполнения - 95% (по объему).
8.4 МТБЭ, упакованный в бочки, транспортируют железнодорожным и автомобильным транспортом в крытых транспортных средствах.
По железной дороге продукт транспортируют повагонными или мелкими отправками. Упакованный в бочки МТБЭ формируют в транспортные пакеты на поддонах по
ГОСТ 33757 с использованием средств скрепления груза по
ГОСТ 21650. Габаритные размеры и масса брутто транспортного пакета должны соответствовать
ГОСТ 24597.
8.5 Подготовку вагонов-цистерн перед наливом МТБЭ производят по
ГОСТ 1510 (в соответствии с требованиями, установленными для бензинов автомобильных неэтилированных).
8.6 МТБЭ хранят в металлических бочках в крытых складских помещениях или в резервуарах в соответствии с
ГОСТ 1510 (в соответствии с требованиями, установленными для бензинов автомобильных неэтилированных). При хранении МТБЭ, получаемого из бутилен-дивинильной фракции пиролиза (БДФ), необходимо исключить доступ воздуха к продукту.
9.1 Изготовитель гарантирует соответствие МТБЭ требованиям настоящего стандарта при соблюдении условий транспортирования и хранения.
9.2 Гарантийный срок хранения МТБЭ - один год с даты изготовления.
(обязательное)
УСТАНОВЛЕНИЕ ОПОРНОГО ЗНАЧЕНИЯ МАССОВОЙ ДОЛИ МТБЭ
В АТТЕСТОВАННОЙ СМЕСИ ЕГО СОСТАВА
Методика устанавливает определение принятого опорного значения массовой доли МТБЭ в аттестованной смеси его состава.
А.1 Метрологические характеристики
Принятое опорное значение МТБЭ в аттестованной смеси вычисляют в соответствии с
А.4. Стандартная неопределенность принятого опорного значения МТБЭ не превышает 5% при доверительной вероятности
P = 0,95.
А.2 Аппаратура, реактивы, материалы
Для проведения эксперимента используют МТБЭ с массовой долей основного вещества от 97 до 99%.
Аппаратура, реактивы и материалы должны соответствовать указанным в
7.4.1.
А.3 Получение экспериментальных данных для установления опорного значения массовой доли МТБЭ
Подготовка и проведение определения - в соответствии с
7.4.2,
7.4.3. Проводят не менее пяти определений в условиях повторяемости.
Аттестованную смесь маркируют этикеткой с указанием даты приготовления и срока годности образца. Аттестованную смесь хранят при температуре от 4 до 8 °C в течение 6 мес.
А.4 Расчет метрологических характеристик
Вычисляют значение массовой доли МТБЭ для каждого определения по
формуле (2), приведенной в 7.4.4.4.
Опорное значение массовой доли МТБЭ в аттестованной смеси CRM, % масс., вычисляют по формуле

(А.1)
где Xi - значение i-го результата определения массовой доли МТБЭ, % масс.;
n - количество определений.
Относительное значение среднеквадратического отклонения (СКО) принятого опорного значения массовой доли МТБЭ в аттестованной смеси S, %, вычисляют по формуле

(А.2)
где Xi - значение i-го результата определения массовой доли МТБЭ, % масс.;

- среднеарифметическое значение результатов определения массовой доли МТБЭ, % масс.;
n - количество определений.
Характеристикой стандартной неопределенности принятого опорного значения массовой доли МТБЭ является СКО. Значение СКО при установлении принятого опорного значения не должно превышать 5%.
| АСТМ Д5441-98(2017) | Стандартный метод испытаний для анализа метил-трет-бутилового эфира (МТБЭ) с помощью газовой хроматографии |
ASTM D5441-98(2017) | Standard Test Method for Analysis of Methyl Tert-Butyl Ether (MTBE) by Gas Chromatography |
| Правила перевозки опасных грузов по железным дорогам. Утверждены Советом по железнодорожному транспорту государств - участников Содружества, Протокол от 5 апреля 1996 г. N 15 с изменениями и дополнениями от 23 ноября 2007 г., 30 мая 2008 г., 22 мая 2009 г., 5 ноября 2015 г.; в ред. протоколов от 14 мая 2010 г., от 21 октября 2010 г. с изменениями и дополнениями, от 18 мая 2012 г., от 17 октября 2012 г., от 7 мая 2013 г., от 20 ноября 2013 г., от 7 мая 2014 г., от 22 октября 2014 г., от 21 мая 2015 г., от 5 ноября 2015 г., от 19 мая 2017 г. |
| Правила перевозки грузов автомобильным транспортом, утвержденные Постановлением Правительства Российской Федерации от 15 апреля 2011 г. N 272 (ред. от 9 января 2014 г.) |
| Европейское соглашение о международной дорожной перевозке опасных грузов (ДОПОГ). ООН, Нью-Йорк и Женева, 2016 г. |
| | Предельно допустимые концентрации (ПДК) вредных веществ в воздухе рабочей зоны |
| | Организация и проведение производственного контроля за соблюдением санитарных правил и выполнением санитарно-противоэпидемиологических (профилактических) мероприятий |
| | Организация и проведение производственного контроля за соблюдением санитарных правил и выполнением санитарно-противоэпидемических (профилактических) мероприятий. Изменения и дополнения N 1 к СП 1.1.1058-01 |
| | Предельно допустимые концентрации (ПДК) загрязняющих веществ в атмосферном воздухе городских и сельских поселений |
| | Предельно допустимые концентрации (ПДК) химических веществ в воде водных объектов хозяйственно-питьевого и культурно-бытового водопользования |
| Нормативы качества воды водных объектов рыбохозяйственного значения, в том числе нормативы предельно допустимых концентраций вредных веществ в водах водных объектов рыбохозяйственного значения. Утверждены Приказом Минсельхоза России от 13 декабря 2016 г. N 552 |
| | Гигиенические требования к размещению и обезвреживанию отходов производства и потребления |
| Технические условия ТУ 6-09-5171-84 | Метиловый оранжевый, индикатор (парадиметиламиноазобензолсульфокислый натрий) чистый для анализа |
| Технические условия. ТУ 0271-135-31323949-2005 | Гелий газообразный (сжатый) |
| Технические условия ТУ 6-09-02-539-94 | Реактив Фишера ЧДА |
| Правила перевозок жидких грузов наливом в вагонах-цистернах и вагонах бункерного типа для перевозки нефтебитума (утверждены Советом по железнодорожному транспорту государств - участников Содружества, протокол от 21 - 22 мая 2009 г. N 50) |