Скачать ГОСТ Р 51871-2002 Устройства водоочистные. Общие требования к эффективности и методы ее определения

Дата актуализации: 01.01.2021

ГОСТ Р 51871-2002

Устройства водоочистные. Общие требования к эффективности и методы ее определения

Обозначение: ГОСТ Р 51871-2002
Обозначение англ: GOST R 51871-2002
Статус:отменен
Название рус.:Устройства водоочистные. Общие требования к эффективности и методы ее определения
Название англ.:Water treatment units. General requirements and methods of efficiency determination
Дата добавления в базу:01.09.2013
Дата актуализации:01.01.2021
Дата введения:01.07.2003
Дата окончания срока действия:15.02.2015
Область применения:Стандарт распространяется на устройства для доочистки (дообеззараживания) воды централизованных систем и нецентрализованного питьевого водоснабжения, а также очистки (обеззараживания) воды поверхностных и подземных источников водоснабжения, для которых суточный объем очищаемой воды не выше 5 м3/сут. Стандарт устанавливает общие требования к эффективности водоочистных устройств и методы ее определения. Стандарт не распространяется на водоочистные устройства, предназначенные для очистки воды от радиоактивных загрязняющих компонентов, а также на бытовые водоочистные устройства, предназначенные для очистки (обеззараживания) воды поверхностных источников, качество которой не соответствует требования СанПиН 2.1.5.980.
Оглавление:1 Область применения
2 Нормативные ссылки
3 Определения
4 Общие требования
5 Методы определения эффективности
   5.1 Сущность методов
   5.2 Средства измерений, вспомогательное оборудование, реактивы
   5.3 Отбор образцов
   5.4 Подготовка к испытаниям
   5.5 Проведение испытаний
   5.6 Обработка результатов испытаний
Приложение А (обязательное) Номенклатура показателей, определяемых при оценке эффективности водоочистных устройств, и методы испытаний
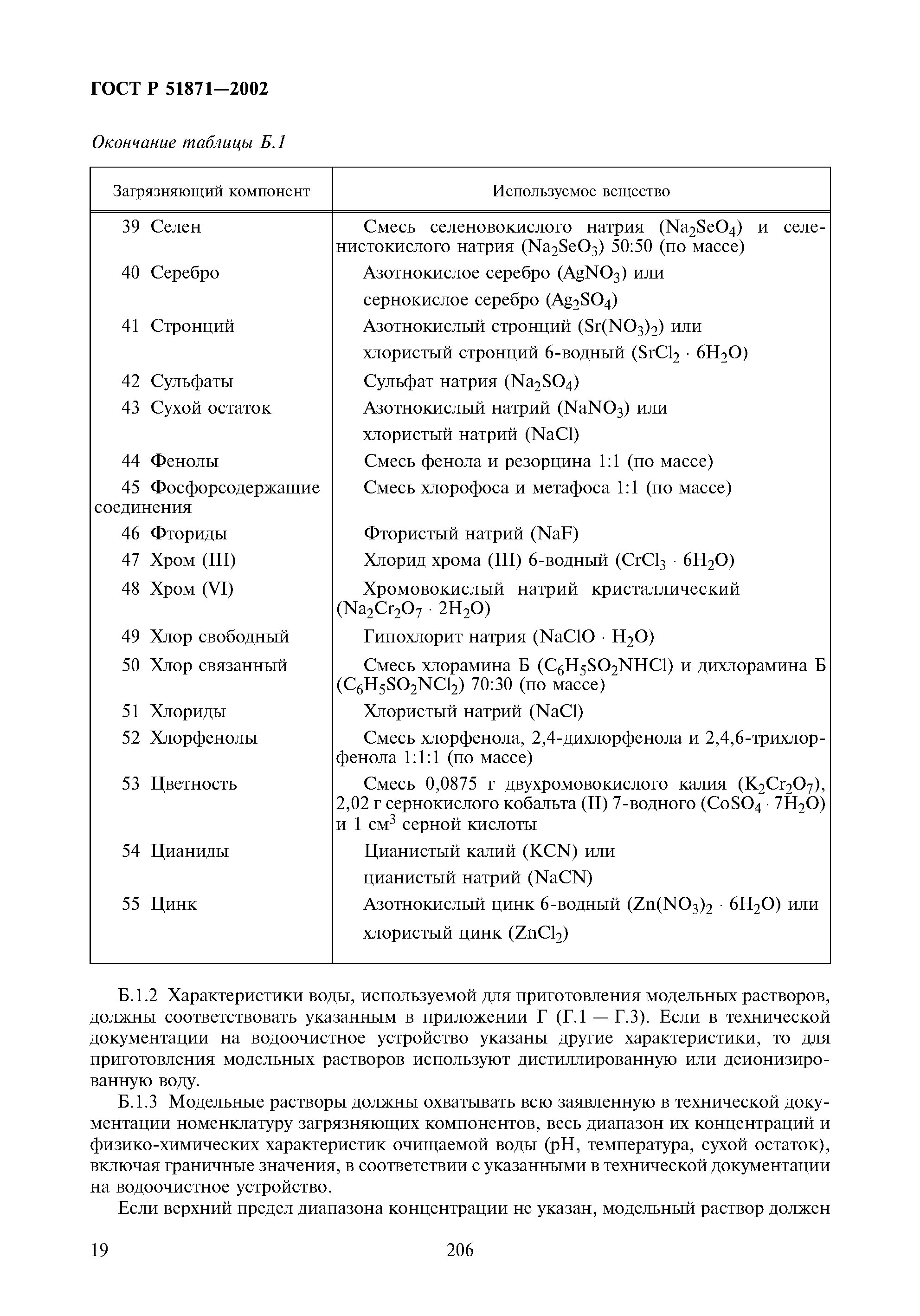
Приложение Б (обязательно) Правила приготовления модельных растворов
Приложение В (обязательное) Сведения, которые должны быть представлены в технической документации на водоочистное устройство
Приложение Г (обязательное) Характеристика воды, используемой для испытаний
Приложение Д (рекомендуемое) Протокол испытаний
Приложение Е (обязательное) Метод ускоренных испытаний водоочистных устройств
Приложение Ж (справочное) Библиография
Разработан: ТК 343 Качество воды
ГУП ВНИИС
НИИ экологии человека и гигиены окружающей среды им. А.М.Сысина
Закрытое Акционерное Общество МЕТТЭМ - технологии
ИЦ ОАО НИИ комунального водоснабжения и очистки воды
Испытательная лаборатория Чистая вода МИФИ
Испытательный лабораторный центр Противочумной станции Медсанчасти № 164
Утверждён:18.02.2002 Госстандарт России (Russian Federation Gosstandart 64-ст)
Издан: ИПК Издательство стандартов (2002 г. )
ИПК Издательство стандартов (2003 г. )
Нормативные ссылки:
ГОСТ Р 51871-2002ГОСТ Р 51871-2002ГОСТ Р 51871-2002ГОСТ Р 51871-2002ГОСТ Р 51871-2002ГОСТ Р 51871-2002ГОСТ Р 51871-2002ГОСТ Р 51871-2002ГОСТ Р 51871-2002ГОСТ Р 51871-2002ГОСТ Р 51871-2002ГОСТ Р 51871-2002ГОСТ Р 51871-2002ГОСТ Р 51871-2002ГОСТ Р 51871-2002ГОСТ Р 51871-2002ГОСТ Р 51871-2002ГОСТ Р 51871-2002ГОСТ Р 51871-2002ГОСТ Р 51871-2002ГОСТ Р 51871-2002ГОСТ Р 51871-2002ГОСТ Р 51871-2002ГОСТ Р 51871-2002ГОСТ Р 51871-2002ГОСТ Р 51871-2002ГОСТ Р 51871-2002ГОСТ Р 51871-2002ГОСТ Р 51871-2002ГОСТ Р 51871-2002ГОСТ Р 51871-2002ГОСТ Р 51871-2002ГОСТ Р 51871-2002ГОСТ Р 51871-2002ГОСТ Р 51871-2002