Скачать ГОСТ Р 51494-99 Филе из океанических и морских рыб мороженое. Технические условия

Дата актуализации: 01.01.2021

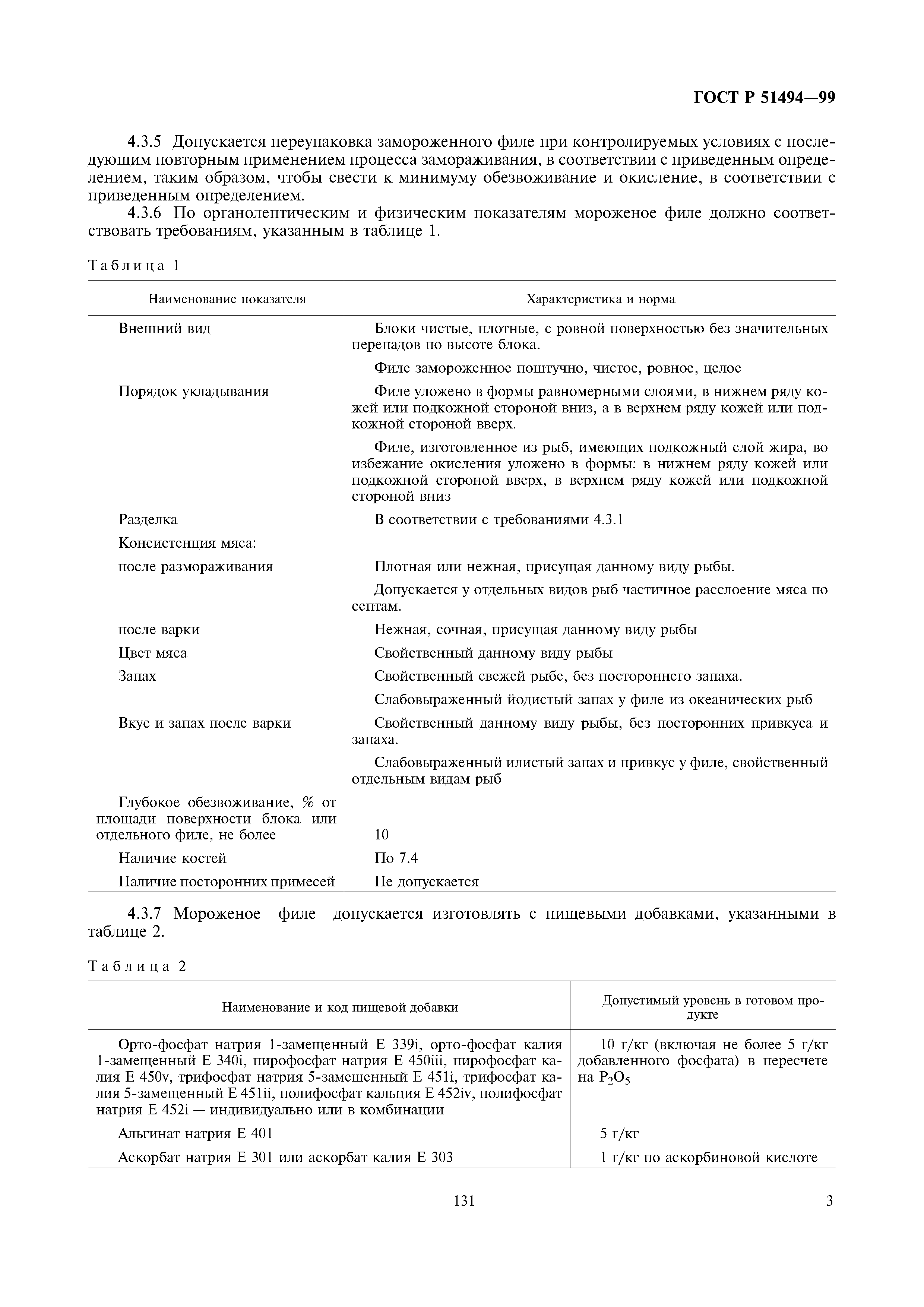
ГОСТ Р 51494-99

Филе из океанических и морских рыб мороженое. Технические условия

Обозначение: ГОСТ Р 51494-99
Обозначение англ: GOST R 51494-99
Статус:введен впервые
Название рус.:Филе из океанических и морских рыб мороженое. Технические условия
Название англ.:Frozen fillets of oceanic and marine fish. Specifications
Дата добавления в базу:01.09.2013
Дата актуализации:01.01.2021
Дата введения:01.01.2001
Область применения:Стандарт распространяется на филе из океанических и морских рыб мороженое (кроме филе из рыб семейства осетровых) для экспорта и импорта.
Оглавление:1 Область применения
2 Нормативные ссылки
3 Определения
4 Технические требования
5 Правила приемки
6 Методы контроля
7 Классификация (определение) дефектов
8 Транспортирование и хранение
Приложение А (справочное) Перечень международных стандартов
Приложение Б (справочное) Последовательность органолептического и физического контроля
Приложение В (справочное) Библиография
Разработан: ТК 300 Рыбные продукты пищевые, кормовые, технические и упаковка
Утверждён:22.12.1999 Госстандарт России (Russian Federation Gosstandart 650-ст)
Издан: ИПК Издательство стандартов (2000 г. )
ИПК Издательство стандартов (2001 г. )
ИПК Издательство стандартов (1999 г. )
Стандартинформ (2010 г. )
Нормативные ссылки:
ГОСТ Р 51494-99ГОСТ Р 51494-99ГОСТ Р 51494-99ГОСТ Р 51494-99ГОСТ Р 51494-99ГОСТ Р 51494-99ГОСТ Р 51494-99ГОСТ Р 51494-99ГОСТ Р 51494-99ГОСТ Р 51494-99