Скачать ГОСТ 1639-2009 Лом и отходы цветных металлов и сплавов. Общие технические условия

Дата актуализации: 01.01.2021

ГОСТ 1639-2009

Лом и отходы цветных металлов и сплавов. Общие технические условия

Обозначение: ГОСТ 1639-2009
Обозначение англ: GOST 1639-2009
Статус:отменен в рф
Название рус.:Лом и отходы цветных металлов и сплавов. Общие технические условия
Название англ.:Non-ferrous metals and alloys scrap and waste. General specifications
Дата добавления в базу:01.09.2013
Дата актуализации:01.01.2021
Дата введения:01.01.2011
Дата окончания срока действия:01.04.2017
Область применения:Стандарт распространяется на лом и отходы цветных металлов и сплавов, предназначенные для дальнейшей механической и металлургической переработки.
Оглавление:1 Область применения
2 Нормативные ссылки
3 Термины и определения
4 Обозначение
5 Информация, которую заказчик предоставляет поставщику при запросе и (или) заказе
6 Поставки по контракту
7 Технические требования
   7.1 Классификация
   7.2 Основные показатели и характеристики
8 Требования безопасности
   8.1 Общие положения
   8.2 Требования по радиационной безопасности
   8.3 Требования по химической безопасности
   8.4 Требования по обеспечению взрывобезопасности
9 Требования охраны окружающей природной среды
10 Маркировка
11 Упаковка
12 Правила транспортирования и хранения
   12.1 Правила транспортирования
   12.2 Правила хранения
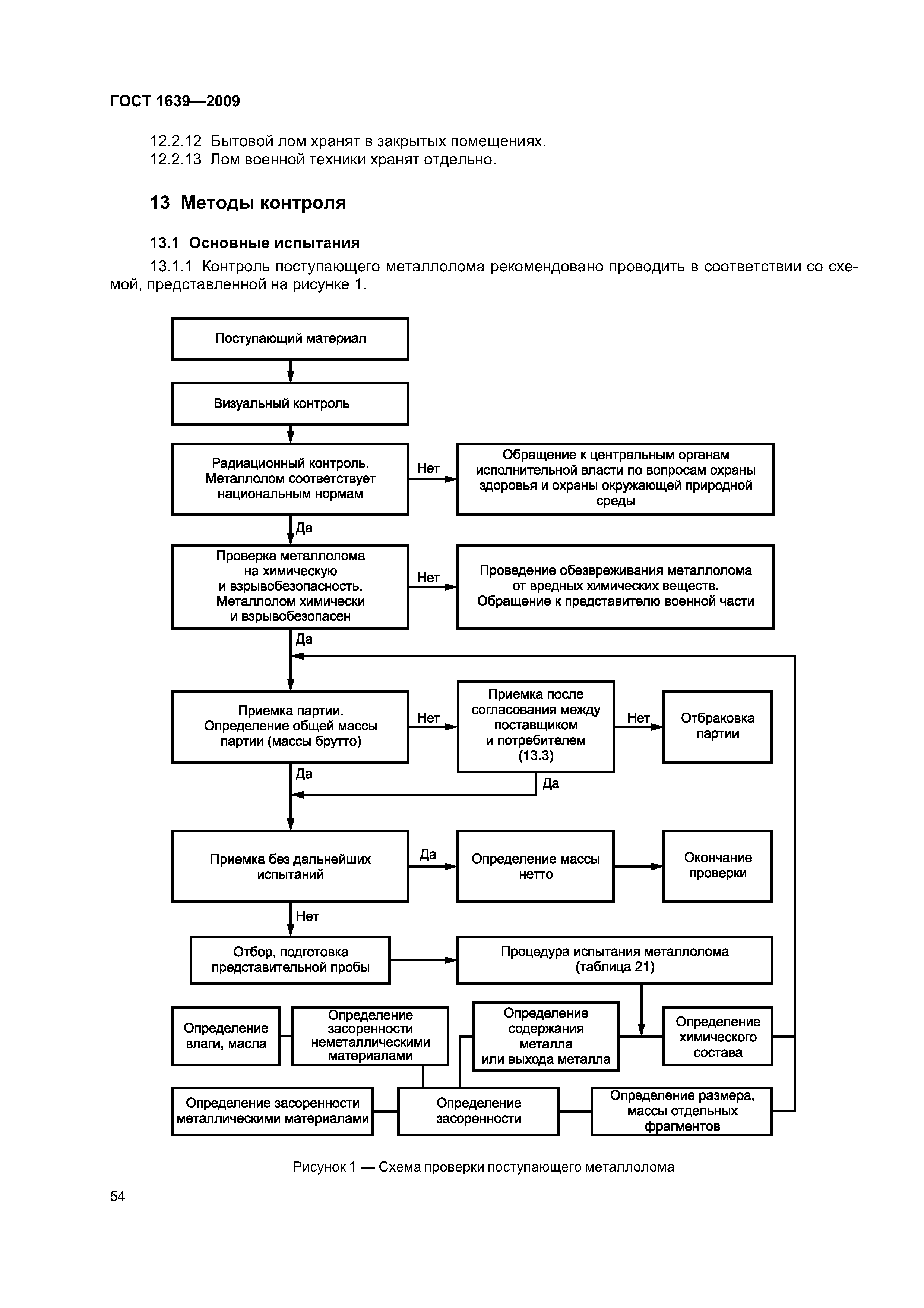
13 Методы контроля
   13.1 Основные испытания
   13.2 Повторные испытания
   13.3 Сроки проведения испытаний
   13.4 Округление результатов
14 Правила приемки
Приложение А (обязательное) Форма удостоверения о радиационной и взрывобезопасности лома и отходов цветных металлов и сплавов
Приложение Б (обязательное) Форма наряда-допуска на выполнение работ по разделке лома и отходов цветных металлов и сплавов
Приложение В (обязательное) Форма акта об обнаружении радиационно, химически и взрывоопасных предметов (веществ)
Приложение Г (обязательное) Форма книги учета поступивших необезвреженных взрывоопасных предметов
Приложение Д (обязательное) Форма паспорта
Приложение Е (обязательное) Форма удостоверения о дезактивации (обезвреживании от вредных веществ) лома (отходов) цветных металлов и сплавов
Библиография
Разработан: Донецкий государственный институт цветных металлов
Технический комитет по стандартизации Украины ТК 11 Цветные металлы и сплавы
Утверждён:11.06.2009 Межгосударственный Совет по стандартизации, метрологии и сертификации (Inter-Governmental Council on Standardization, Metrology, and Certification 35)
09.07.2010 Федеральное агентство по техническому регулированию и метрологии (175-ст)
Издан: Стандартинформ (2011 г. )
Заменяет собой:
Нормативные ссылки:
ГОСТ 1639-2009ГОСТ 1639-2009ГОСТ 1639-2009ГОСТ 1639-2009ГОСТ 1639-2009ГОСТ 1639-2009ГОСТ 1639-2009ГОСТ 1639-2009ГОСТ 1639-2009ГОСТ 1639-2009ГОСТ 1639-2009ГОСТ 1639-2009ГОСТ 1639-2009ГОСТ 1639-2009ГОСТ 1639-2009ГОСТ 1639-2009ГОСТ 1639-2009ГОСТ 1639-2009ГОСТ 1639-2009ГОСТ 1639-2009ГОСТ 1639-2009ГОСТ 1639-2009ГОСТ 1639-2009ГОСТ 1639-2009ГОСТ 1639-2009ГОСТ 1639-2009ГОСТ 1639-2009ГОСТ 1639-2009ГОСТ 1639-2009ГОСТ 1639-2009ГОСТ 1639-2009ГОСТ 1639-2009ГОСТ 1639-2009ГОСТ 1639-2009ГОСТ 1639-2009ГОСТ 1639-2009ГОСТ 1639-2009ГОСТ 1639-2009ГОСТ 1639-2009ГОСТ 1639-2009ГОСТ 1639-2009ГОСТ 1639-2009ГОСТ 1639-2009ГОСТ 1639-2009ГОСТ 1639-2009ГОСТ 1639-2009ГОСТ 1639-2009ГОСТ 1639-2009ГОСТ 1639-2009ГОСТ 1639-2009ГОСТ 1639-2009ГОСТ 1639-2009ГОСТ 1639-2009ГОСТ 1639-2009ГОСТ 1639-2009ГОСТ 1639-2009ГОСТ 1639-2009ГОСТ 1639-2009ГОСТ 1639-2009ГОСТ 1639-2009ГОСТ 1639-2009ГОСТ 1639-2009ГОСТ 1639-2009ГОСТ 1639-2009ГОСТ 1639-2009ГОСТ 1639-2009ГОСТ 1639-2009ГОСТ 1639-2009ГОСТ 1639-2009