Скачать СП 439.1325800.2018 Здания и сооружения. Правила проектирования аварийного освещения

Дата актуализации: 01.01.2021

СП 439.1325800.2018

Здания и сооружения. Правила проектирования аварийного освещения

Обозначение: СП 439.1325800.2018
Обозначение англ: SP 439.1325800.2018
Статус:введен впервые
Название рус.:Здания и сооружения. Правила проектирования аварийного освещения
Название англ.:Buildings and structures. Emergency lighting design
Дата добавления в базу:01.02.2020
Дата актуализации:01.01.2021
Дата введения:27.05.2019
Область применения:Свод правил распространяется на проектирование систем аварийного освещения производственных, общественных и жилых зданий и сооружений, а также мест производства работ вне зданий. Требования свода правил не распространяются на аварийное освещение подземных выработок, морских и речных портов, аэродромов, железнодорожных станций, метрополитенов.
Оглавление:1 Область применения
2 Нормативные ссылки
3 Термины и определения
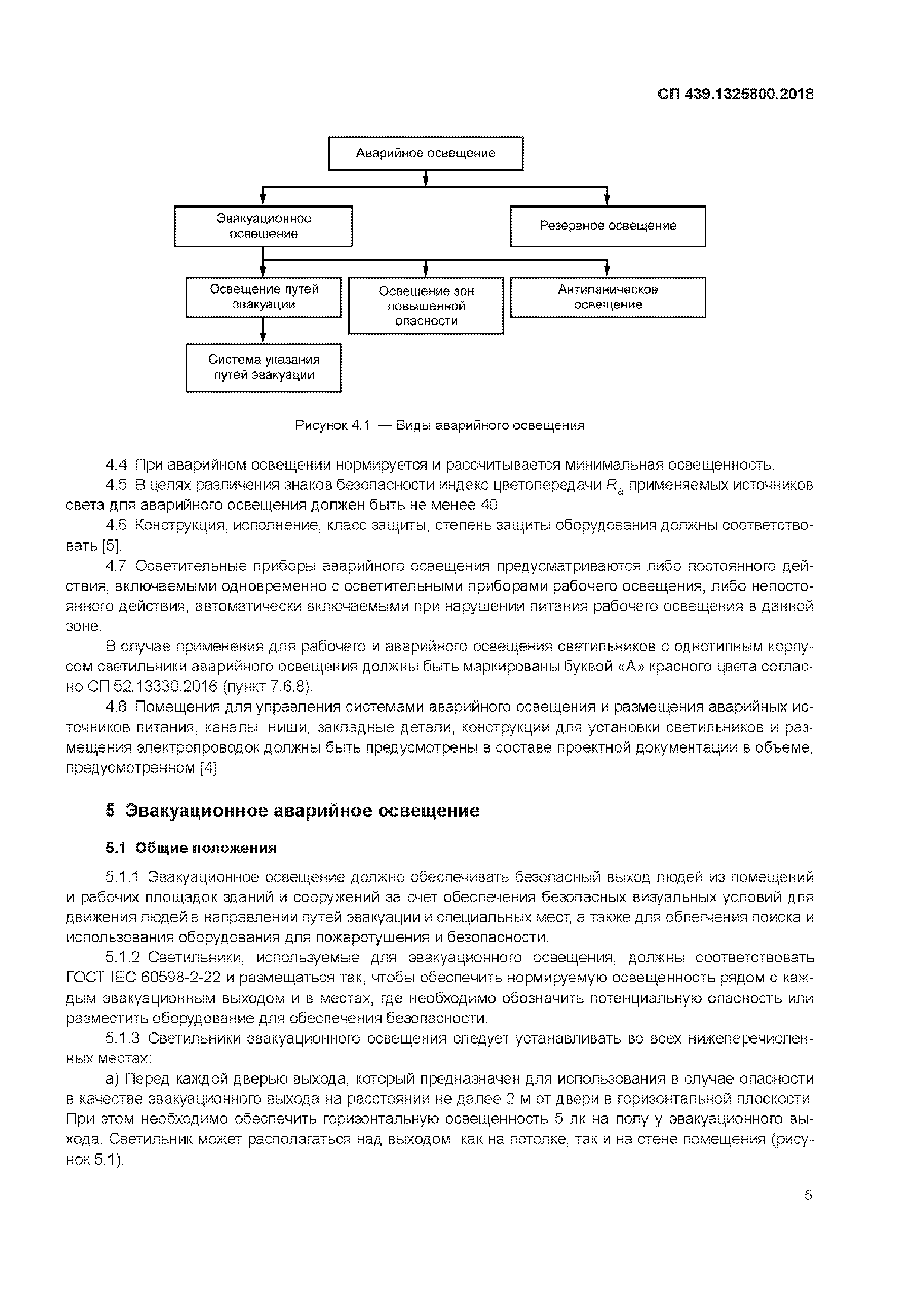
4 Общие положения
5 Эвакуационное аварийное освещение
   5.1 Общие положения
   5.2 Освещение путей эвакуации
   5.3 Антипаническое аварийное освещение
   5.4 Аварийное освещение зон повышенной опасности
6 Резервное аварийное освещение
7 Знаки безопасности
8 Влияние дыма на аварийное освещение
9 Применение систем аварийного освещения в помещениях зданий и сооружений
  9.1 Аварийное освещение зрелищных учреждений
  9.2 Аварийное освещение на предприятиях общественного питания
   9.3 Аварийное освещение торговых помещений
   9.4 Аварийное освещение спортивных сооружений
   9.5 Аварийное освещение бассейнов для плавания
   9.6 Аварийное освещение гостиниц
   9.7 Аварийное освещение жилых домов
   9.8 Аварийное освещение высотных зданий
   9.9 Аварийное освещение зданий и помещений медицинских организаций
   9.10 Аварийное освещение общеобразовательных организаций и дошкольных образовательных организаций
   9.11 Аварийное освещение стоянок автомобилей
   9.12 Аварийное освещение производственных зданий, помещений и зон
   9.13 Аварийное освещение автотранспортных тоннелей
10 Электрооборудование систем аварийного освещения
   10.1 Общие требования
   10.2 Сети аварийного освещения
   10.3 Управление и устройства защиты
Библиография
Разработан: НИИСФ РААСН
ООО ЦЕРЕРА-ЭКСПЕРТ
Утверждён:26.11.2018 Министерство строительства и жилищно-коммунального хозяйства Российской Федерации (747/пр)
Издан: Стандартинформ (2019 г. )
Нормативные ссылки:
СП 439.1325800.2018СП 439.1325800.2018СП 439.1325800.2018СП 439.1325800.2018СП 439.1325800.2018СП 439.1325800.2018СП 439.1325800.2018СП 439.1325800.2018СП 439.1325800.2018СП 439.1325800.2018СП 439.1325800.2018СП 439.1325800.2018СП 439.1325800.2018СП 439.1325800.2018СП 439.1325800.2018СП 439.1325800.2018СП 439.1325800.2018СП 439.1325800.2018СП 439.1325800.2018СП 439.1325800.2018СП 439.1325800.2018СП 439.1325800.2018СП 439.1325800.2018СП 439.1325800.2018СП 439.1325800.2018СП 439.1325800.2018СП 439.1325800.2018СП 439.1325800.2018СП 439.1325800.2018СП 439.1325800.2018СП 439.1325800.2018СП 439.1325800.2018СП 439.1325800.2018СП 439.1325800.2018СП 439.1325800.2018СП 439.1325800.2018СП 439.1325800.2018СП 439.1325800.2018СП 439.1325800.2018СП 439.1325800.2018