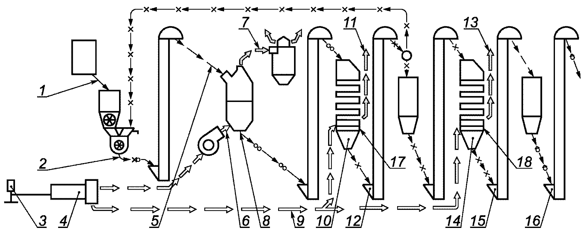
Главная // Актуальные документы // Ведомость (форма)СПРАВКА
Источник публикации
М.: Стандартинформ, 2015
Примечание к документу
Документ
введен в действие с 1 января 2014 года.
Название документа
"ГОСТ Р 55262-2012. Национальный стандарт Российской Федерации. Сушильные машины и установки сельскохозяйственного назначения. Методы испытаний"
(утв. и введен в действие Приказом Росстандарта от 29.11.2012 N 1359-ст)
"ГОСТ Р 55262-2012. Национальный стандарт Российской Федерации. Сушильные машины и установки сельскохозяйственного назначения. Методы испытаний"
(утв. и введен в действие Приказом Росстандарта от 29.11.2012 N 1359-ст)
Утвержден и введен в действие
по техническому регулированию
и метрологии
от 29 ноября 2012 г. N 1359-ст
НАЦИОНАЛЬНЫЙ СТАНДАРТ РОССИЙСКОЙ ФЕДЕРАЦИИ
СУШИЛЬНЫЕ МАШИНЫ И УСТАНОВКИ СЕЛЬСКОХОЗЯЙСТВЕННОГО
НАЗНАЧЕНИЯ
МЕТОДЫ ИСПЫТАНИЙ
Drying machines and installations for agricultural
purposes. Test methods
ГОСТ Р 55262-2012
Дата введения
1 января 2014 года
1. Разработан Новокубанским филиалом Федерального государственного бюджетного научного учреждения "Российский научно-исследовательский институт информации и технико-экономических исследований по инженерно-техническому обеспечению агропромышленного комплекса" (КубНИИТиМ),
Федеральным государственным бюджетным учреждением "Кировская зональная машиноиспытательная станция",
Федеральным государственным бюджетным учреждением "Калининская зональная машиноиспытательная станция",
Федеральным государственным бюджетным учреждением "Центрально-Черноземная зональная машиноиспытательная станция",
Федеральным государственным бюджетным учреждением "Алтайская зональная машиноиспытательная станция".
2. Внесен Техническим комитетом по стандартизации ТК 284 "Тракторы и машины сельскохозяйственные".
3. Утвержден и введен в действие
Приказом Федерального агентства по техническому регулированию и метрологии от 29 ноября 2012 г. N 1359-ст.
4. Введен впервые.
Правила применения настоящего стандарта установлены в ГОСТ Р 1.0-2012
(раздел 8). Информация об изменениях к настоящему стандарту публикуется в ежегодном (по состоянию на 1 января текущего года) информационном указателе "Национальные стандарты", а официальный текст изменений и поправок - в ежемесячном указателе "Национальные стандарты". В случае пересмотра (замены) или отмены настоящего стандарта соответствующее уведомление будет опубликовано в ближайшем выпуске ежемесячного информационного указателя "Национальные стандарты". Соответствующая информация, уведомление и тексты размещаются также в информационной системе общего пользования - на официальном сайте Федерального агентства по техническому регулированию и метрологии в сети Интернет (gost.ru).
Настоящий стандарт распространяется на сушильные машины, предназначенные для сушки семян, продовольственного и фуражного зерна, зерновых, зернобобовых, крупяных, технических и масличных культур, семян трав и овощных культур, вороха льна и хлопка, метелок сорго, початков кукурузы, а также на установки для сушки зеленого корма и корнеклубнеплодов, приготовления травяной муки (в дальнейшем - материала), и устанавливает методы их испытаний.
В настоящем стандарте использованы нормативные ссылки на следующие стандарты:
ГОСТ Р 8.719-2010 Государственная система обеспечения единства измерений. Тахометры. Методика поверки
ГОСТ Р 15.201-2000 Система разработки и постановки продукции на производство. Продукция производственно-технического назначения. Порядок разработки и постановки продукции на производство
ГОСТ Р ИСО 14122-4-2009 Безопасность машин. Средства доступа к машинам стационарные. Часть 4. Лестницы вертикальные
| | ИС МЕГАНОРМ: примечание. ГОСТ Р 52777-2007 утратил силу с 15.03.2021 в связи с введением в действие ГОСТ 34631-2019 (Приказ Росстандарта от 11.08.2020 N 479-ст). | |
ГОСТ Р 52777-2007 Техника сельскохозяйственная. Методы энергетической оценки
ГОСТ Р 52778-2007 Испытания сельскохозяйственной техники. Методы эксплуатационно-технологической оценки
ГОСТ Р 52921-2008 Термометры медицинские максимальные стеклянные. Общие технические условия
| | ИС МЕГАНОРМ: примечание. ГОСТ Р 53055-2008 утратил силу с 1 января 2018 года в связи с введением в действие ГОСТ 33738-2016 (Приказ Росстандарта от 22.03.2017 N 174-ст). | |
ГОСТ Р 53055-2008 Машины сельскохозяйственные и лесохозяйственные с электроприводом. Общие требования безопасности
| | ИС МЕГАНОРМ: примечание. ГОСТ Р 53056-2008 утратил силу с 1 сентября 2019 года в связи с изданием Приказа Росстандарта от 07.12.2018 N 1081-ст. Взамен введен в действие ГОСТ 34393-2018. | |
ГОСТ Р 53056-2008 Техника сельскохозяйственная. Методы экономической оценки
ГОСТ Р 53228-2008 Весы неавтоматического действия. Часть 1. Метрологические и технические требования. Испытания
ГОСТ Р 54784-2011 Испытания сельскохозяйственной техники. Методы оценки технических параметров
ГОСТ 12.1.003-83 Система стандартов безопасности труда. Шум. Общие требования безопасности
ГОСТ 12.1.004-91 Система стандартов безопасности труда. Пожарная безопасность. Общие требования
ГОСТ 12.1.005-88 Система стандартов безопасности труда. Общие санитарно-гигиенические требования к воздуху рабочей зоны
ГОСТ 12.1.012-2004 Система стандартов безопасности труда. Вибрационная безопасность. Общие требования
ГОСТ 12.2.002-91 Система стандартов безопасности труда. Техника сельскохозяйственная. Методы оценки безопасности
ГОСТ 12.2.003-91 Система стандартов безопасности труда. Оборудование производственное. Общие требования безопасности
ГОСТ 12.2.007.0-75 Система стандартов безопасности труда. Изделия электротехнические. Общие требования безопасности
ГОСТ 427-75 Линейки измерительные металлические. Технические условия
ГОСТ 6376-74 Анемометры ручные со счетным механизмом. Технические условия
ГОСТ 7193-74 Анемометр ручной индукционный. Технические условия
ГОСТ 7502-98 Рулетки измерительные металлические. Технические условия
ГОСТ 9147-80 Посуда и оборудование лабораторные фарфоровые. Технические условия
ГОСТ 9679.1-78 Хлопок-сырец. Методы определения влажности
ГОСТ 12036-85 Семена сельскохозяйственных культур. Правила приемки и методы отбора проб
ГОСТ 12037-81 Семена сельскохозяйственных культур. Методы определения чистоты и отхода семян
ГОСТ 12038-84 Семена сельскохозяйственных культур. Методы определения всхожести
ГОСТ 12041-82 Семена сельскохозяйственных культур. Метод определения влажности
ГОСТ 13496.8-72 Комбикорма. Методы определения крупности размола и содержания неразмолотых семян культурных и дикорастущих растений
ГОСТ 13586.1-68 Зерно. Методы определения количества и качества клейковины в пшенице
ГОСТ 18691-88 Корма травяные искусственно высушенные. Технические условия
| | ИС МЕГАНОРМ: примечание. ГОСТ 20915-75 утратил силу с 1 января 2013 года в связи с введением в действие ГОСТ 20915-2011 (Приказ Росстандарта от 03.07.2012 N 148-ст). | |
ГОСТ 20915-75 Сельскохозяйственная техника. Методы определения условий испытаний
ГОСТ 21241-89 Пинцеты медицинские. Общие технические требования и методы испытаний
ГОСТ 21623-76 Система технического обслуживания и ремонта техники. Показатели для оценки ремонтопригодности. Термины и определения
ГОСТ 23932-90 Посуда и оборудование лабораторные стеклянные. Общие технические условия
ГОСТ 25706-83 Лупы. Типы, основные параметры. Общие технические требования
ГОСТ 26026-83 Машины и тракторы сельскохозяйственные и лесные. Методы оценки приспособленности к техническому обслуживанию
ГОСТ 27388-87 Эксплуатационные документы сельскохозяйственной техники
ГОСТ 28498-90 Термометры жидкостные стеклянные. Общие технические требования. Методы испытаний
ГОСТ 28561-90 Продукты переработки плодов и овощей. Методы определения сухих веществ или влаги
Примечание. При пользовании настоящим стандартом целесообразно проверить действие ссылочных стандартов в информационной системе общего пользования - на официальном сайте Федерального агентства по техническому регулированию и метрологии в сети Интернет или по ежегодному информационному указателю "Национальные стандарты", который опубликован по состоянию на 1 января текущего года, и по выпускам ежемесячного информационного указателя "Национальные стандарты" за текущий год. Если заменен ссылочный стандарт, на который дана недатированная ссылка, то рекомендуется использовать действующую версию этого стандарта с учетом всех внесенных в данную версию изменений. Если заменен ссылочный стандарт, на который дана датированная ссылка, то рекомендуется использовать версию этого стандарта с указанным выше годом утверждения (принятия). Если после утверждения настоящего стандарта в ссылочный стандарт, на который дана датированная ссылка, внесено изменение, затрагивающее положение, на которое дана ссылка, то это положение рекомендуется применять без учета данного изменения. Если ссылочный стандарт отменен без замены, то положение, в котором дана ссылка на него, рекомендуется применять в части, не затрагивающей эту ссылку.
В настоящем стандарте применены следующие термины с соответствующими определениями:
3.1. агент сушки (теплоноситель): Подогретый воздух (или его смесь с топочными газами), совершающий термодинамическую работу на испарение влаги из материала.
3.2. ворох: Смесь убранной продукции с примесями, сопутствующими ее уборке.
3.3. сушка сельскохозяйственной продукции: Снижение влажности материала до требуемого уровня.
3.4. неравномерность сушки: Предельные отклонения влажности материала от ее средней величины.
3.5. неравномерность нагрева: Предельные отклонения температуры нагрева материала от ее средней величины.
3.6. экспозиция сушки: Продолжительность пребывания материала в сушильном устройстве под воздействием агента сушки.
3.7. рециркуляция: Многократное полное или частичное возвращение потока материала в технологический процесс для увеличения выхода сухого материала при заданных ограничениях температуры агента сушки.
3.8. коэффициент рециркуляции: Отношение массы рециркулирующего материала к массе сырого, поступающего в сушилку.
4.1. Цели и задачи испытаний сушильных машин и установок сельскохозяйственного назначения - по
ГОСТ Р 15.201.
4.2. Порядок предоставления машин на испытания и их подготовка к испытаниям - по
ГОСТ Р 54783.
4.3. Проверка комплектности, полноты и качества изложения эксплуатационной документации - согласно требованиям ГОСТ 27388.
4.4. Типовая программа испытаний включает виды оценок в соответствии с таблицей 1.
Таблица 1
Вид оценки | Вид испытаний |
Приемочные, типовые | Периодические, квалификационные |
Технических параметров | + | + |
Агротехническая | + | - |
Энергетическая | + | |
Безопасности и эргономичности конструкции | + | + |
Надежности | + | + |
Эксплуатационно-технологическая | + | + |
Экономическая | + | - |
<*> Оценку электропривода проводят по действующей нормативной документации (НД) [1]. Примечание. Знак "+" означает, что оценку проводят, знак "-" - не проводят. |
Для каждой конкретной машины (изделия) составляют рабочую программу - методику испытаний, в которой указывают перечень определяемых показателей по каждому виду оценки.
4.5. Монтаж сушильных машин и установок проводят согласно руководству по их монтажу.
4.6. Оценку качества выполнения технологического процесса сушки материала проводят в условиях, характерных для данных сушильных машин и установок. Параметры, характеризующие условия работы машин при испытаниях, должны находиться в пределах, соответствующих техническому заданию (ТЗ) или техническим условиям (ТУ) на испытуемую машину.
Сравнительную оценку машин проводят в сопоставимых условиях.
4.7. Перед испытаниями регулируют рабочие органы согласно руководству по эксплуатации в зависимости от условий проведения испытаний и в соответствии с требованиями к качеству выполнения технологического процесса сушки сельскохозяйственного материала.
4.8. При испытаниях сушилки в технологической линии оценивают ее увязку по производительности со вспомогательным оборудованием. Производительность машин по подготовке исходного и переработке высушенного материала не должна быть ниже производительности сушилки.
4.9. Оценку функциональных показателей проводят на основании результатов лабораторно-хозяйственных опытов при агротехнической и эксплуатационно-технологической оценках.
4.10. Применяемые средства измерений должны быть поверены до начала испытаний
[2].
4.11. Нестандартные и единичные средства измерений подлежат аттестации, проводимой в установленном порядке.
5. Оценка технических параметров
5.1. Технические параметры сушильных машин и установок сельскохозяйственного назначения определяют по ГОСТ Р 54784.
5.2. Оценку технических параметров проводят сопоставлением результатов испытаний сданными ТЗ, ТУ или эксплуатационной документации.
5.3. Перечень технических параметров, характеризующих конструкцию машин, приведен в
форме А.1 (Приложение А).
6. Агротехническая оценка
6.1. Номенклатура функциональных показателей и качества выполнения технологического процесса
Номенклатура показателей условий проведения испытаний и качества выполнения технологического процесса при агротехнической оценке приведена в
формах А.2 -
А.14 (Приложение А).
6.2. Подготовка машины (установки) к испытаниям и порядок их проведения
6.2.1. Агротехнические и теплотехнические показатели определяют при проведении лабораторно-хозяйственных опытов.
6.2.2. Испытания сушильных машин и установок проводят на естественном однородном исходном материале, имеющем характеристику по влажности и засоренности, соответствующую ТЗ (ТУ) на разработку испытуемой машины.
При отсутствии в зоне такого фона допускается оценку проводить в реальных условиях на имеющемся материале. Полученные при этом показатели качества работы испытуемой машины, установки сравнивают только с показателями ТЗ (ТУ) и показателями качества работы машины-аналога при ее наличии.
6.2.3. Количество исходного материала, необходимого для лабораторно-хозяйственных опытов, устанавливают в зависимости от производительности испытуемых машин, числа и продолжительности опытов с учетом проведения регулировочных опытов из расчета не менее пяти часов работы машины на каждой культуре. Для рециркуляционных сушилок учитывают и способ движения зерна.
6.2.4. В зависимости от назначения сушилки опыты проводят при испытании:
- зерносушилок не менее чем на двух культурах (на зерне пшеницы обязательно); на зерне каждой культуры - четыре опыта: два на семенном и два на продовольственном режимах при разной исходной влажности в каждом из двух опытов;
- льносушилок - не менее двух опытов на исходном материале, отличающемся по влажности;
- сушилок для семян трав - на семенах двух культур (бобовых и злаковых), на каждой культуре не менее двух опытов;
- установок для сушки зеленого корма - не менее трех опытов: два - на основной культуре при разной исходной влажности и один - на любой другой культуре;
- установок для сушки метелок сорго - не менее двух опытов на материале, отличающемся по влажности.
6.2.4.1. Опыты проводят на установившемся режиме, который характеризуется стабильностью регулируемых параметров (температуры, расхода агента сушки и расхода материала).
Опыт начинают после работы сушилки в установившемся режиме в течение времени не менее экспозиции сушки с отбора проб исходного материала.
6.2.4.2. Продолжительность опыта для сушилок непрерывного действия должна быть не менее суммы времени сушки и охлаждения и времени отбора проб на выходе из сушилки. При испытании сушилок периодического действия длительность опыта соответствует продолжительности сушки партии материала.
6.2.4.3. При работе сушилок с двумя и более сушильными и охладительными устройствами пробы на качество материала (влажность, дробление, обрушивание, микроповреждение) отбирают от каждого сушильного и охладительного устройства.
6.2.4.4. Результаты лабораторно-хозяйственных опытов записывают в формы
Приложения Б.
6.2.5. Перед проведением лабораторно-хозяйственных испытаний намечают и оборудуют места отбора проб и измерений показателей
(Приложение В), обучают обслуживающий персонал, готовят приборы, инструмент и материал, обкатывают и регулируют машину или установку согласно руководству по эксплуатации и включают в работу для проверки работоспособности узлов и механизмов, надежности соединений и устойчивости технологического процесса: сушилки непрерывного действия - на 4 - 5 ч; на сушилках (установках) периодического действия проводят пробную сушку материала.
6.2.6. Режим работы устанавливают в соответствии с руководством по эксплуатации машины при соблюдении требований ТЗ (ТУ).
6.2.7. Перед опытом измеряют температуру агента сушки и устанавливают режимную температуру в зависимости от нагрева материала в сушильном устройстве в соответствии с рекомендациями, предусмотренными руководством по эксплуатации машины. Выбранные регулировки по каждому опыту записывают в журнал испытаний.
6.2.8. Перед каждым зачетным опытом определяют производительность в тоннах в час, экспозицию сушки и охлаждения (для сушилок непрерывного действия) с целью составления графика отбора проб.
Для рециркуляционных сушилок определяют соотношение исходного (сырого) и рециркулирующего материала в зависимости от режима сушки.
6.2.9. Для определения общего количества воздуха, подаваемого в бункеры отделений временного хранения (ОВХ), диффузоры оборудуют дополнительными воздуховодами до и после вентилятора с длиной прямолинейного участка не менее пяти диаметров.
6.2.10. Режим и условия работы ОВХ и отделения вентилируемых бункеров (ОВБ) при временной консервации зерна выбирают исходя из требуемой длительности его безопасного хранения, исходной влажности и температуры в соответствии с руководством по эксплуатации.
6.2.11. При установившемся режиме работы машины начинают опыт, в течение которого измеряют параметры и отбирают пробы для определения показателей, указанных в
формах А.2 -
А.14 (Приложение А).
Во время опытов не допускается изменять режим сушки.
6.2.12. При испытании сушилок непрерывного действия пробы для определения температуры, влажности и качества материала отбирают в следующей последовательности:
- от исходного материала;
- по окончании времени, равного экспозиции сушки, на выходе из сушильного устройства для прямоточных сушилок;
- после выхода не менее 90% первоначально загруженного в сушилку материала (для рециркуляционных сушилок);
- по окончании времени, равного экспозиции охлаждения, на выходе из охладительного устройства.
6.2.13. При испытании сушилок периодического действия пробы для определения влажности, энергии прорастания, всхожести, чистоты, состава вороха и температуры материала отбирают в процессе загрузки и выгрузки.
После загрузки сушилки определяют толщину слоя материала в соответствующих точках.
6.3. Определение показателей условий испытаний
6.3.1. Температуру наружного воздуха измеряют через каждые 10 мин цикла. Погрешность измерения +/- 1 °C. Результаты записывают в
форму Б.1 (Приложение Б).
6.3.2. Относительную влажность наружного воздуха измеряют через каждые 10 - 15 мин в течение измерительного цикла по показаниям психрометра, который помещают вблизи мест непосредственного потребления воздуха, при этом учитывают необходимость предохранения его от влияния лучистой энергии топок и солнца. Погрешность измерений +/- 1,5%. Результаты записывают в
форму Б.1 (Приложение Б).
6.3.3. Барометрическое давление наружного воздуха измеряют барометром. Погрешность измерения +/- 0,1 МПа.
6.3.4. Определение влажности материала
| | ИС МЕГАНОРМ: примечание. ГОСТ 20915-75 утратил силу с 1 января 2013 года в связи с введением в действие ГОСТ 20915-2011 (Приказ Росстандарта от 03.07.2012 N 148-ст). | |
6.3.4.1. Влажность материала зерновых культур до сушки определяют по ГОСТ 20915.
6.3.4.2. Влажность вороха льна определяют по ГОСТ 20915, хлопка-сырца - по ГОСТ 9679.1. Данные записывают в
форму Б.2 (Приложение Б).
6.3.4.3. Влажность зерна кукурузы и стержней определяют по
ГОСТ 12041. Данные записывают в
форму Б.2 (Приложение Б).
6.3.4.4. При проведении регулировочных опытов допускается определять влажность электровлагомером. По данным измерений определяют среднюю влажность за опыт, предельное и стандартное отклонения. Погрешность измерений не более 0,5%. Вычисления проводят с округлением до первого десятичного знака.
6.3.4.5. Влажность измельченного зеленого корма и корнеклубнеплодов, поступающих на сушку, определяют не менее чем по пяти пробам, отбираемым периодически в течение 1 ч с транспортера при загрузке сушилки.
Пробы зеленого корма с длиной частиц более 10 мм дополнительно измельчают. От каждой пробы отбирают не менее двух навесок по 20 г каждая. Влажность определяют высушиванием навесок в сушильном шкафу в металлических стаканчиках в течение 5 ч при температуре (115 +/- 2) °C, затем 40 мин - при 130 °C.
Влажность зеленого корма

, вычисляют по формуле

, (1)
где mв - масса стаканчика с навеской перед высушиванием, г;
mс - масса стаканчика с навеской после высушивания, г;
mп - масса пустого стаканчика, г.
Взвешивание навесок для определения влажности проводят сразу после отбора проб исходного материала. Результаты измерений записывают в
форму Б.2 (Приложение Б).
6.3.4.6. Влажность корнеклубнеплодов определяют по пробам, измельченным на мелкие частицы. От каждой пробы берут две навески по 20 г измельченного сырья и высушивают в сушильном шкафу при температуре 60 °C в течение 1 ч, несколько раз перемешивая стеклянной палочкой, чтобы избежать образования корки. Подсушенную пробу сушат до получения постоянной массы при температуре (105 +/- 2) °C, расхождение между навесками по влажности не должно превышать 1%. Высушенную пробу взвешивают. Вычисление влажности проводят по
формуле (1). Результаты записывают в
форму Б.2 (Приложение Б).
6.3.5. Определение температуры материала до сушки
6.3.5.1. Для измерения температуры зернового материала пробы отбирают в специальные деревянные ящики (с отверстием в крышке для термометра) вместимостью не менее 1 дм
3 одновременно с отбором проб на влажность. В течение 6 - 8 мин измеряют температуру максимальным термометром, который передвигают через каждые 2 - 3 мин. При этом следят, чтобы ртутный шарик термометра не касался стенок ящика. Данные снимают при максимальном показании термометра. Измерения проводят с погрешностью +/- 1 °C. Результаты записывают в
форму Б.3 (Приложение Б), вычисляют среднее арифметическое значение температуры за опыт и предельные отклонения от среднего с округлением до первого десятичного знака.
6.3.5.2. Температуру вороха льна и вороха клещевины определяют непосредственно в слое вороха по окончании его загрузки (для сушилок периодического действия) при помощи специальных термоштанг. Результаты записывают в
форму Б.4 (Приложение Б), вычисляют среднее арифметическое значение температуры материала и предельное отклонение от среднего с округлением до первого десятичного знака.
6.3.5.3. Температуру исходного материала зеленого корма определяют два-три раза за время каждой повторности опыта непосредственно в ворохе измельченного корма с помощью специальных термоштанг или по пробам, отобранным с загрузочного транспортера в специальные ящики вместимостью не менее 1 дм
3. Измерение температуры проводят по методике, изложенной в
6.3.5.1.
Результаты записывают в
форму Б.4 (Приложение Б), вычисляют среднее арифметическое значение температуры за опыт и предельное отклонение от среднего с округлением до первого десятичного знака.
6.3.6. Анализ зерна на чистоту содержания семян основной культуры проводят по
ГОСТ 12036 и
ГОСТ 12037. Пробы для определения качества материала отбирают одновременно с пробами для определения влажности и температуры массой не менее 1 кг каждая в лабораторные сумочки и снабжают этикетками
формы Б.5 (Приложение Б). Данные записывают в
форму Б.6 или
Б.7 (Приложение Б) в зависимости от назначения материала.
6.3.7. Содержание дробленого и обрушенного зерна (для пленчатых культур), сорной примеси (минеральной и соломистой), в том числе длиной до 50 и свыше 50 мм, определяют одновременно с анализом зерна на чистоту по
ГОСТ 12036 и
ГОСТ 12037. Данные записывают в
форму Б.6 или
Б.7 (Приложение Б).
6.3.8. Микроповреждения определяют по действующей НД
[3].
6.3.9. Натуру зерна определяют по
ГОСТ 10840 по пробам, отобранным для анализа зерна на чистоту. Определение натуры проводят литровой пуркой с падающим грузом. Погрешность измерений +/- 4 г. Данные записывают в
форму Б.7 (Приложение Б).
6.3.10. Энергию прорастания и всхожесть семян определяют по
ГОСТ 12038.
6.3.11. Всхожесть семян кукурузы определяют методом холодного проращивания, для этого используют почву, наиболее типичную для района и зоны возделывания этой культуры. Подготовленную почву насыпают в растильни слоем 1,5 см и увлажняют до 60% от полной влагоемкости. Затем из средней пробы, отобранной для определения качества материала, отсчитывают четыре пробы (по 50 шт.) и закладывают в растильни (по две пробы в каждую). Семена засыпают слоем 1 см, увлажняют и присыпают сухой почвой или песком во избежание образования почвенной корки. Растильни на семь суток ставят в помещение с температурой от 8 °C до 10 °C или в холодный шкаф, затем их переносят в термостат, где проращивание продолжается при температуре от 18 °C до 20 °C. Подсчет всходов начинают на второй день после появления единичных всходов. Через трое суток делают второй подсчет при обнаружении в этот день всходов, появившихся только у поверхности почвы, а через двое суток проводят дополнительный подсчет. Данные записывают в
форму Б.8 (Приложение Б).
6.3.12. Количество и качество сырой клейковины определяют по
ГОСТ 13586.1. Данные записывают в
форму Б.9 (Приложение Б).
6.3.13. Содержание золы и веществ, нерастворимых в 10%-ной соляной кислоте, определяют по
ГОСТ Р 51418. Данные записывают в
форму Б.10 (Приложение Б).
6.3.14. Содержание каротина в исходном материале зеленого корма определяют по
ГОСТ 13496.17 по пяти пробам массой не менее 300 г каждая, отбираемым через определенные промежутки времени в банки с плотно закрывающейся крышкой в течение всех повторностей опыта. В лаборатории массу всех проб тщательно перемешивают и выделяют три средние пробы для немедленного определения каротина. Результаты записывают в
форму Б.11 (Приложение Б) и вычисляют среднее арифметическое значение его содержания с округлением до первого десятичного знака.
6.3.15. Степень клейкования крахмала (для картофеля) определяют методом измерения поглощения воды. В мензурку емкостью 200 см
3 помещают пробу высушенного картофеля массой 50 г и измеряют ее объем, затем заливают водой, взбалтывают и через 1 ч вновь измеряют его. Повторность трехкратная. Клейкование крахмала K
k, %, вычисляют по формуле

, (2)
где V1 - объем пробы высушенного материала, см3;
V2 - объем пробы после набухания в воде, см3.
Результаты записывают в
форму Б.12 (Приложение Б).
6.3.16. Определение состава вороха материала по массе
6.3.16.1. Для определения состава вороха льна по массе все отобранные при загрузке сушилки пробы объединяют и методом крестообразного деления выделяют среднюю пробу массой не менее 5 кг для анализа. В лаборатории на стеллажах в естественных условиях или в лабораторных сушилках с продувкой холодным воздухом ее доводят до воздушно-сухого состояния и разделяют на две фракции: семенную и путанинную. Их массу взвешивают с погрешностью +/- 50 г и вычисляют массовую долю каждой фракции от массы средней пробы с округлением до первого десятичного знака. Затем пропорционально массе каждой фракции составляют три навески массой по 300 г для последующего анализа.
Навески разбирают на фракции согласно
форме Б.13 (Приложение Б).
Пример. В отобранной средней пробе массой 5 кг семенная часть весит 4 кг (80% к массе всей пробы), путанина - 1 кг (20% к массе пробы). При составлении навесок вороха льна для анализа следует включать 240 г семенной части и 60 г путанины.
6.3.16.2. Для определения состава вороха хлопка из средней пробы (2 кг) методом крестообразного деления выделяют три навески по 300 г и пропускают каждую через лабораторную машину. Выделенные примеси взвешивают с погрешностью +/- 0,02 г и определяют их массовую долю от массы навески. Результаты записывают в
форму Б.14 (Приложение Б) и вычисляют среднее арифметическое значение содержания примесей с округлением до первого десятичного знака.
6.3.17. Для определения морфологического состава вороха хлопка отбирают среднюю пробу массой не менее 2 кг, методом крестообразного деления выделяют из нее три навески массой по 300 г каждая и анализируют в соответствии с
формой Б.14 (Приложение Б).
Массу каждой фракции взвешивают с погрешностью +/- 5,0 г и вычисляют ее массовую долю от массы навески. Вычисления проводят до 0,1%.
6.3.18. Для определения спелости льна из общей пробы без выбора отсчитывают 300 коробочек, раздавливают их и по цвету семян разделяют на группы. Результаты записывают в
форму Б.15 (Приложение Б) и вычисляют количественную долю содержания коробочек в каждой группе.
6.3.19. Ботанический состав зеленого корма определяют разбором пяти проб, отобранных в пяти местах по диагонали участка, с которого скашивают траву для сушки. С каждой из пяти площадок размером 0,5 x 0,5 м срезают все растения на уровне высоты среза, установленной исходными требованиями. Каждую пробу растений разбирают по видам трав (бобовые, злаковые и разнотравье) и взвешивают с погрешностью +/- 1,0 г. Результаты записывают в
форму Б.16 (Приложение Б) и вычисляют массовую долю каждого вида с округлением до первого десятичного знака.
6.3.20. Для определения степени измельчения исходного материала из средней пробы отбирают для анализа по три навески массой 100 г для зеленых кормов и массой 500 г каждая для корнеклубнеплодов.
Пробы исходного материала массой 0,5 кг (для зеленых кормов) и 1 кг (для корнеклубнеплодов) отбирают через каждые 10 мин с транспортера, дозирующего материал в сушильный барабан.
Объединенные пробы являются общей пробой, из которой выделяют среднюю для анализа исходного материала. Пробы следует поместить в свето- и влагонепроницаемую упаковку. Температура их хранения не должна превышать 4 °C, время хранения - не более 12 ч. Степень измельчения зеленого корма и корнеклубнеплодов определяют как массовую долю отдельных фракций частиц в следующих интервалах:
- для зеленых кормов длина сечки, мм: до 30 включ.
св. 30 " 100 "
" 100
- для корнеклубнеплодов
масса частиц, г: или толщина, мм:
до 2 включ. до 2 включ.
св. 2 " 10 " св. 2 " 4 "
" 10 " 20 " " 4 " 7 "
" 20 " 7.
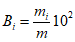
Массовую долю каждого интервала длин сечки, массы или толщины частиц Bi, %, вычисляют по формуле

, (3)
где mi - масса сечки (частиц) в i-м интервале длины (массы или толщины), г;
m - общая масса пробы, принятой для испытаний, г.
Результаты записывают в
форму Б.17 (Приложение Б).
6.3.21. Содержание металлических примесей в зеленом корме, травяной муке учитывают методом извлечения их электромагнитом грузоподъемностью не менее 2 кг согласно
ГОСТ 13496.9. Для этого 1 кг зеленого корма, травяной муки, отобранных из средних проб после определения степени размола, рассыпают ровным слоем толщиной около 0,5 см на стекле и полюсами магнита медленно проводят вдоль и поперек исследуемого материала. Периодически с магнита снимают частицы металла. Извлечение металлических примесей повторяют трижды, перед этим каждый раз испытуемый материал перемешивают и разравнивают. Из металлических примесей выделяют частицы размером более 2 мм с острыми краями.
Собранную металлическую примесь взвешивают с погрешностью +/- 0,01 г. Результаты записывают в
форму Б.18 (Приложение Б), вычисляют среднее арифметическое значение из трех повторностей и выражают в миллиграммах на 1 кг зеленого корма.
6.3.22. Вид топлива применяют в соответствии с ТЗ (ТУ) и руководством по эксплуатации.
6.3.23. Толщину слоя материала определяют после его загрузки в сушилку периодического действия в точках в соответствии с
рисунками В.5,
В.6 (Приложение В). Погрешность измерений +/- 1 см. Результаты записывают в
форму Б.19 (Приложение Б) и вычисляют среднее арифметическое значение с округлением до целого числа.
6.3.24. Теплотворную способность топлива определяют по сертификату или таблицам
(Приложение Г).
6.3.25. Показатели условий проведения испытаний записывают в
формы А.2 -
А.7 (Приложение А).
6.4. Определение показателей качества выполнения технологического процесса
6.4.1. Определение влажности материала в процессе и после сушки
6.4.1.1. Влажность в процессе и после сушки, охлаждения зерновых и зернобобовых культур, вороха льна, кукурузы и корнеклубнеплодов определяют согласно
6.3.4.1 -
6.3.4.3. Результаты записывают в
формы Б.2 и
Б.20 (Приложение Б). Точки отбора проб - в соответствии с
Приложением В.
6.4.1.2. Влажность зеленого корма после сушки определяют по истечении времени, равного ее экспозиции, не менее чем по пяти пробам, отбираемым через равные промежутки времени в течение каждой повторности опыта на выходе из сушилки перед дробилкой и из нее после системы отвода муки. Влажность определяют высушиванием в сушильном шкафу в течение 40 мин при температуре 130 °C. Результаты записывают в
форму Б.21 (Приложение Б), вычисляют среднее арифметическое значение влажности, предельные отклонения от среднего значения и стандартное отклонение, характеризующее неравномерность сушки, с округлением до первого десятичного знака.
6.4.1.3. Влажность корнеклубнеплодов после сушки определяют по
ГОСТ 28561.
6.4.2. Определение неравномерности сушки материала
6.4.2.1. Неравномерность сушки для всех сушилок непрерывного действия определяют по времени. Пробы на влажность отбирают в процессе работы сушилки зерна, выходящего из нее в соответствии со схемами
Приложения В. Влажность определяют по
6.4.1. Результаты записывают в
форму Б.22 (Приложение Б), вычисляют среднее арифметическое значение влажности, предельное отклонение от среднего и стандартное отклонение с округлением до первого десятичного знака.
6.4.2.2. При испытании вентилируемых бункеров в режиме сушки пробы на неравномерность сушки отбирают по высоте в трех поперечных сечениях при помощи щупа. В каждом из указанных сечений места взятия проб должны быть в точках, прилегающих к наружному и внутреннему цилиндрам, и примерно в середине между ними согласно
рисунку В.4 (Приложение В). В каждой точке отбирают одну пробу. Влажность зерна определяют по
6.4.1.
Данные записывают в
форму Б.23 (Приложение Б), вычисляют среднее арифметическое значение, предельное отклонение от среднего и стандартное отклонение с округлением до первого десятичного знака.
6.4.2.3. При испытании установок периодического действия для сушки вороха льна, клещевины, хлопка и метелок сорго неравномерность сушки определяют по:
- площади - как отклонение средней влажности в отдельных точках от средней влажности вороха;
- толщине слоя - как отклонение средней влажности в слоях насыпи от средней влажности вороха;
- всей установке - как стандартное отклонение.
Пробы отбирают по площади насыпи вороха в девяти равномерно расположенных точках согласно
рисунку В.5 (Приложение В) и по высоте насыпи в тех же точках каждого слоя (в верхнем, среднем и нижнем). Влажность определяют методом высушивания до постоянной массы при температуре 105 °C. Вычисления проводят до первого десятичного знака.
6.4.2.4. Для определения неравномерности сушки початков кукурузы отбирают их пробы в трех сечениях, в трех слоях каждого сечения по высоте (сверху, в середине и внизу) и не менее чем в двух точках каждого слоя согласно
рисунку В.6 (Приложение В). Из каждой точки отбирают не менее 10 початков и обмолачивают их, выделяя пробы для определения влажности зерна и стержней. Отбор проб и определение влажности проводят по
6.3.4.3. Результаты записывают в
форму Б.25 (Приложение Б) и вычисляют среднее арифметическое значение, предельное отклонение от среднего значения по площади и по толщине слоя.
Для более полной оценки сравниваемых машин по неравномерности сушки определяют стандартное отклонение при обработке всех данных по влажности. Пример расчета приведен в
Приложении Д.
6.4.3. Температуру зерна после сушки определяют ртутными термометрами по пробам, отобранным на выходе из сушильного устройства в специальные ящики вместимостью не менее 1 дм
3. Измерение температуры проводят в соответствии с
6.3.5.1. Данные измерений записывают в
форму Б.3 (Приложение Б).
6.4.4. Определение неравномерности нагрева материала
6.4.4.1. Пробы на неравномерность нагрева материала в сушилке непрерывного действия отбирают при ее полной остановке с помощью пробоотборника один раз в конце опыта из зоны максимального нагрева, указанной в руководстве по эксплуатации.
При невозможности прямого отбора проб из этой зоны отключают основные вентиляторы и выпускают зерно из сушилки. По истечении времени, равного экспозиции охлаждения, через каждые 3 - 5 мин отбирают не менее шести проб на нагрев выходящего зерна.
При обработке полученных данных рассчитывают неравномерность нагрева материала по времени.
При испытании шахтных зерносушилок эту неравномерность определяют по горизонтальному сечению шахты со стороны подачи агента сушки на выходе зерна из сушильной или охладительной камеры (если охладительная камера является продолжением сушильной) не менее чем в шести-девяти точках по горизонтальному сечению камеры, используя лотки, разделенные на отсеки. Лотки должны перекрывать все сечения непосредственно под выпускным устройством. Во время отбора проб работу всех механизмов сушилки приостанавливают и зерно сбрасывают в лотки прокручиванием привода выгрузного устройства. Отсеки нумеруют. Пробы отбирают из каждого отсека лотка.
Измерение температуры материала проводят в соответствии с
6.3.5.1. Результаты записывают в
форму Б.26 (Приложение Б), вычисляют среднее арифметическое значение температуры материала и предельные отклонения от среднего значения (неравномерность нагрева) с округлением до первого десятичного знака.
6.4.4.2. Неравномерность нагрева в барабанных, колонковых, бункерных, рециркуляционных сушилках определяют по пробам, отбираемым одновременно с пробами на неравномерность сушки через равные промежутки времени (10 - 15 мин) после выхода материала из камер нагрева согласно
рисункам В.2 -
В.4 (Приложение В). Число проб должно быть не менее шести. Пробы отбирают в специальные ящики и измеряют температуру максимальным ртутным термометром. Результаты записывают в
форму Б.27 (Приложение Б), вычисляют среднее арифметическое значение температуры и предельные отклонения от него с округлением до первого десятичного знака.
6.4.4.3. Неравномерность нагрева при испытании сушилок периодического действия определяют на установках для сушки:
- вороха льна, клещевины, сорго, семян трав и вороха хлопка - по пробам, отбираемым в соответствии с
6.4.2.3 одновременно с отбором проб на неравномерность сушки. Результаты записывают в
форму Б.28 (Приложение Б), вычисляют среднее арифметическое значение и предельное отклонение, характеризующее неравномерность нагрева по установке, с округлением до первого десятичного знака;
- початков кукурузы при помощи термоштанг, установленных в местах отбора проб, на неравномерность сушки согласно
6.4.2.4. Результаты записывают в
форму Б.28 (Приложение Б).
6.4.5. Коэффициент устойчивости процесса сушки к изменению исходной влажности

вычисляют по формуле

, (4)
где

- стандартное отклонение влажности материала на входе в сушилку до сушки, %;

- стандартное отклонение влажности материала на выходе из сушилки после сушки, %.
6.4.6. Снижение влажности материала в сушильном

, охладительном

устройствах и общее в сушилке

, вычисляют по формулам:

, (5)

, (6)

, (7)
где

- влажность материала до сушки, %;

- влажность материала после сушильного устройства, %;

- влажность материала после охладительного устройства, %.
6.4.7. Качество материала после сушки определяют согласно
6.3.6.
6.4.8. Содержание дробленого и обрушенного зерна после сушки определяют согласно
6.3.7.
6.4.9. Содержание зерна с микроповреждениями определяют у пшеницы, кукурузы семенного назначения, риса семенного и продовольственного по действующей НД
[3]. Результаты записывают в
форму Б.29 (Приложение Б).
6.4.10. Дробление, обрушивание и микроповреждение определяют по разности содержания дробленого, обрушенного зерна с микроповреждениями после сушки, охлаждения и в исходном материале.
6.4.11. Энергию прорастания и всхожесть семян определяют согласно
6.3.10 -
6.3.11.
6.4.12. Натуру зерна после сушки определяют согласно
6.3.9.
6.4.13. Количество и качество сырой клейковины после сушки определяют согласно
6.3.12.
6.4.14. Содержание каротина в травяной муке и сечке определяют не менее чем по пяти пробам массой не менее 200 г каждая, отбираемым в банки с плотно закрывающимися крышками через определенный промежуток времени в течение каждой повторности опыта на месте затаривания муки. В лаборатории массу всех проб перемешивают и выделяют три средние для немедленного определения каротина по
ГОСТ 13496.17.
Результаты записывают в
форму Б.11 (Приложение Б) и вычисляют среднее арифметическое значение с округлением до первого десятичного знака.
Потери каротина в процессе сушки определяют по разности его содержания в исходном материале и травяной муке и выражают в процентах.
6.4.15. Степень размола травяной муки устанавливают по
ГОСТ 13496.8 - по средним пробам, отбираемым в лабораторные сумочки одновременно с отбором проб на содержание каротина. Средняя проба в конце каждой повторности опыта должна быть не менее 1,5 кг, из которой выделяют не менее трех навесок массой по 100 г каждая.
Каждую навеску травяной муки в течение 5 мин просеивают через набор из трех штампованных сит с круглыми отверстиями диаметром 1, 2 и 3 мм. Затем каждую фракцию взвешивают с погрешностью +/- 0,1 г. Результаты записывают в
форму Б.30 (Приложение Б) и вычисляют массовую долю каждой фракции от массы навески с округлением до первого десятичного знака.
6.4.16. Содержание золы и веществ, нерастворимых в 10%-ной соляной кислоте, определяют согласно
6.3.13.
6.4.17. Содержание металлических примесей в травяной муке определяют согласно
6.3.21.
6.4.18. Показатели травяной муки (внешний вид, цвет, запах) определяют органолептическим методом.
6.4.19. Экспозицию сушки и охлаждения материала в сушилках непрерывного действия - время его пребывания в сушильном и охладительном устройствах TЭ, мин, вычисляют по формуле

, (8)
где MС - масса сухого материала в сушильной или охладительной камере, т (определяют взвешиванием при выпуске зерна после остановки сушилки);
G3 - производительность сушилки по сухому материалу, т/ч.
Для шахтных сушилок, у которых охладительная камера является продолжением сушильной и раздельный выпуск материала невозможен, определяют суммарную экспозицию его сушки и охлаждения.
6.4.20. Массу материала до и после сушки для сушилок периодического действия определяют взвешиванием с погрешностью +/- 1,0%. Результаты взвешивания каждой партии материала, поступающей на полную загрузку после выгрузки сушилки, записывают в
форму Б.31 (Приложение Б).
6.4.21. Степень клейкования крахмала после сушки картофеля определяют по
6.3.15.
6.4.22. Определение производительности и количества испаренной влаги
6.4.22.1. Производительность сушилки непрерывного действия по сухому материалу в физических единицах (т/ч) определяют отношением массы просушенного в течение опыта материала к основному времени работы сушилки.
Допускается определение производительности по массе порций материала, взятых по отсечкам в течение 5 мин каждая.
Число порций должно быть не менее пяти. В течение отсечки зерно отводят в специальную тару или автомашину. Производительность сушилки по сухому материалу G3, т/ч, вычисляют по формуле

, (9)
где n - число порций;
Mi - масса i-й порции, кг;
Ti - время отбора i-й порции, мин.
Производительность сушилки по массе порций материала определяют в период отбора проб на качество зерна после сушки.
Продолжительность отсечки должна быть кратной продолжительности полного цикла работы выпускного устройства.
Производительность сушилки непрерывного действия по сухому материалу G3, т/ч, вычисляют по формуле

, (10)
где G1 - производительность сушилки по сырому материалу, т/ч;

- количество испаренной влаги, т/ч.
Вычисления проводят до первого десятичного знака.
6.4.22.2. Производительность сушилки по сырому материалу G1, т/ч, вычисляют по формуле

. (11)
Вычисления проводят до первого десятичного знака.
6.4.22.3. Производительность сушилки периодического действия по сырому материалу G1, т/ч, вычисляют по формуле

, (12)
где Mобщ - масса загруженного материала, т;
Tс - продолжительность сушки, ч.
6.4.23. Количество испаренной влаги

, вычисляют по следующим формулам

, (13)

, (14)

, (15)
где

- количество влаги, испаренной в сушильном устройстве или камере нагрева, кг/ч;

- количество влаги, испаренной в охладительном устройстве, кг/ч;

- общее количество влаги, испаренной в сушилке, кг/ч.
Вычисления количества испаренной влаги проводят до первого десятичного знака.
6.4.24. Для сравнительной оценки работы зерносушилок непрерывного действия, работающих в различных условиях (по влажности) и на разных культурах, их производительность рекомендуется выражать в плановых тоннах - пл. т/ч. Плановой тонне в час соответствует производительность сушилки в одну тонну в час (по сырому зерну пшеницы) при работе на продовольственном режиме при снижении влажности на 6% (с 20% до 14%).
6.4.24.1. Для определения производительности сушилок в плановых тоннах Wп.т, пл. т/ч, производительность сушилки по сырому зерну в тоннах в час умножают на переводные коэффициенты, соответствующие начальной и конечной влажности, культуре и ее назначению. Вычисления проводят по формуле
Wп.т = G1KвKк, (16)
где K
в - коэффициент пересчета массы просушенного зерна в плановые тонны в зависимости от влажности до и после сушки для всех культур, кроме подсолнечника -
таблица Е.1 (Приложение Е);
K
к - коэффициент пересчета просушенного зерна в зависимости от культуры -
таблица Е.2 (Приложение Е).
Для семян подсолнечника продовольственного назначения общий коэффициент пересчета (K
в·K
к) в зависимости от влажности семян культуры берут из
таблицы Е.3 (Приложение Е).
Примечание. Поскольку в
Приложении Е влажность зерна округлена до 0,5%, то десятые доли процента влажности до и после сушки 0,1 и 0,2 отбрасывают; 0,3, 0,4, 0,5, 0,6, 0,7 принимают за 0,5, 0,8; 0,9 - за целый процент.
Например, влажность снижена с 19,3% до 13,9%, в таблице необходимо найти коэффициенты по влажности от 19,5% до 14%.
При сушке семян коэффициенты перевода производительности в плановые тонны по влажности умножают на два.
6.4.24.2. Производительность сушилки в тонно-процентах в час выражают произведением массы высушенного материала в тоннах на снижение влажности в процентах:
- по сырому материалу W1, т%/ч, вычисляют по формуле

; (17)
- по сухому материалу W2, т%/ч, вычисляют по формуле

. (18)
6.4.24.3. Приведенную производительность установок для сушки зеленых кормов Wпр.з, т/ч, при условии снижения влажности зеленого корма с 75% до 10% вычисляют по формуле
Wпр.з = G2Kт, (19)
где G2 - производительность установки по сухому корму, т/ч;
K
т - коэффициент пересчета производительности на условие снижения влажности зеленого корма с 75% до 10% -
таблица Е.4 (Приложение Е).
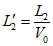
6.4.24.4. Приведенную производительность по сухому вороху льна в пересчете на снижение влажности на 33% Wпр.л, т/ч, вычисляют по формуле

, (20)
где

- влажность вороха до сушки, %;

- влажность вороха после сушки, %;
33 - условный коэффициент снижения влажности, %.
6.4.24.5 Производительность сушилки для сушки вороха льна, приведенную к паспортным данным, вычисляют по формулам:
а) по сухому материалу

,

, (21)
где

,

- паспортные значения влажности вороха до и после сушки, %;
б) по сырому материалу

,

. (22)
6.4.25. Определение параметров агента сушки и наружного воздуха
6.4.25.1. В период опыта температуру агента сушки измеряют через каждые 10 - 15 мин (проводят не менее шести измерений), используя ртутные термометры и термометры сопротивления.
При высокой температуре агента сушки при установке термометров применяют асбестовую прокладку.
6.4.25.2. При установке ртутных термометров необходимо соблюдать следующие условия: они должны располагаться вертикально (по шкале) - допускается отклонение от вертикали на угол от 20...° до 30...°, а ртутный шарик - находиться в точке среднего значения температурного поля потока, температуру которого измеряют. Место установки термометра должно быть удобным для наблюдения - глаз оператора при снятии показаний должен находиться на уровне мениска ртутного столбика. Цена деления термометров со шкалой до 300 °C не должна превышать 2 °C, а со шкалой выше 300 °C - 5 °C.
При диаметре трубопровода свыше 300 мм температуру измеряют в двух взаимно перпендикулярных плоскостях (проводят не менее трех измерений), затем определяют среднее арифметическое значение.
6.4.25.3. Стабильность поддержания заданного режима характеризуют предельными отклонениями температуры агента сушки от ее средней величины, которые должны быть +/- 3 °C.
6.4.25.4. При наличии разветвляющихся воздухопроводов температуру измеряют в каждой ветви, за режимную температуру принимают среднее арифметическое значение температуры из полученных данных за опыт. При отсутствии трубопровода температуру агента сушки измеряют в месте, предусмотренном руководством по эксплуатации. Результаты записывают в
форму Б.32 (Приложение Б), вычисляют среднее арифметическое значение и предельное отклонение от среднего.
6.4.25.5. Температуру и относительную влажность отработанных агента сушки и охлаждающего воздуха измеряют психрометрами с интервалом 10 - 15 мин.
Для определения относительной влажности отработанного агента сушки психрометр устанавливают в общей вытяжной трубе.
При наличии нескольких вытяжных труб измерения проводят в каждой трубе.
Для определения относительной влажности наружного воздуха психрометр помещают вблизи мест непосредственного потребления воздуха, при этом учитывают необходимость предохранения его от влияния лучистой энергии топок и солнца.
Параметры отработанных агента сушки и охлаждающего воздуха записывают в
форму Б.32 (Приложение Б).
Относительную влажность отработанного агента сушки и наружного воздуха определяют по показаниям психрометров с использованием психрометрических таблиц
(Приложение Ж).
6.4.26. Определение расхода агента сушки
6.4.26.1. Расход агента сушки L
1, м
3/ч, или

, проходящего в единицу времени через поперечное сечение трубопровода, вычисляют один раз по каждому опыту по формулам:

, (23)

, (24)
где

- скорость агента сушки в трубопроводе, м/с;
F - площадь поперечного сечения трубопровода, м2;

- плотность агента сушки, кг/м
3.
6.4.26.2. Плотность агента сушки

, вычисляют по формуле

, (25)
где Pб - барометрическое давление, Па;
t - температура агента сушки, °C;
d - влагосодержание агента сушки, г/кгсух.воз.
При барометрическом давлении 99308 Па (745 мм рт. ст.) и влагосодержании агента сушки до 20 г/кг его плотность

, вычисляют по приближенной формуле

. (26)
6.4.26.3. Динамический напор (давление) измеряют микроманометром и пневмометрическими трубками (Прандтля, Пито и др.). Схема присоединения микроманометра к пневмометрической трубке показана на
рисунке 1.
hd - динамический напор (давление);
hст - статический напор (давление);
hполн - полное давление;
I - всасывающая сеть;
II - нагнетательная сеть
Рисунок 1. Схема присоединения микроманометра
к пневмометрической трубке
Вследствие неравномерности распределения напора по поперечному сечению трубопровода для получения средних величин измерения необходимо проводить в ряде точек. Для их нахождения сечение трубопровода разбивают на ряд зон с равновеликими площадями.
Поперечное сечение трубопровода круглого сечения разбивают на ряд равновеликих концентрических площадей и измеряют динамический напор по двум взаимно перпендикулярным диаметрам этого сечения
(рисунок 2).
а - трубопровод круглого сечения
б - трубопровод прямоугольного сечения
Рисунок 2. Разбивка сечения воздуховода
на равновеликие площади
Число площадей принимают равным в зависимости от диаметра трубопровода:
до 300 мм | - | 3 |
св. 300 до 500 мм | - | 5 |
св. 500 мм | - | 8 |
Расстояние точки измерения от внутренней стенки трубопровода круглого сечения вычисляют умножением радиуса трубопровода на коэффициенты, приведенные в
Приложении Л. Когда длина прямого отрезка трубопровода круглого сечения меньше трех диаметров или когда трубопровод переменного сечения, следует увеличить число точек измерения динамического давления в местах, где это обосновано распределением поля динамического давления по сечению трубопровода.
Поперечное сечение трубопровода прямоугольного сечения разбивают на ряд равновеликих по площади прямоугольников или квадратов
(рисунок 2).
Число равновеликих по площади прямоугольников или квадратов определяют из следующего расчета: при площади поперечного сечения до 0,35 м2 - не менее 16; при площади поперечного сечения более 0,35 м2 площадь одного прямоугольника или квадрата принимают равной 0,025 - 0,03 м2.
Динамическое давление измеряют в центре каждого прямоугольника. Данные записывают в
форму Б.33 (Приложение Б).
При измерении динамического давления пневмотрубку устанавливают строго перпендикулярно оси трубы носиком навстречу движению воздуха. Отклонение оси наконечника от оси потока не должно превышать 5...°.
6.4.26.4. Среднее динамическое давление Pср.д, Па, вычисляют по формуле

, (27)
где

- динамическое давление в i-й точке, мм вод. ст.;
K - общий показатель микроманометра (учитывающий наклон трубки и плотность спирта);
n - число точек измерения.
6.4.26.5. Скорость агента сушки в трубопроводах определяют по среднему динамическому давлению или чашечными и крыльчатыми анемометрами.
По среднему динамическому давлению среднюю скорость агента сушки в сечении трубопровода

, вычисляют по формуле

, (28)
где Kтр - коэффициент пневмотрубки.
6.4.26.6. Скорость агента сушки в открытых концах трубопроводов, а также в закрытых каналах рекомендуется измерять анемометрами. Точки измерений определяют в соответствии с
6.4.26.3. Результаты записывают в
форму Б.34 или
Б.35 (Приложение Б).
Анемометры применяют при температуре до 50 °C: крыльчатый - для измерения скорости воздушного потока от 0,1 до 15 м/с, чашечный - от 0,5 до 50 м/с. При определении средней скорости агента сушки в сечении анемометр через некоторое время (15 - 20 с) последовательно перемещают в каждую точку, не извлекая его из потока. Отмечают общее время измерения и разность показаний прибора в начале и конце измерения.
При измерении скорости воздушного потока цифровым анемометром, показывающим ее на световом индикаторе, результаты записывают в
форму Б.35 (Приложение Б).
6.4.26.7. Скорость агента сушки

, вычисляют по показаниям анемометра и секундомера по формуле

, (29)
где t' - время работы счетчика анемометра в потоке, с;
a - разность показаний анемометра за время t';
c - переводной множитель (из паспорта анемометра в зависимости от величины a/t').
При определении поля скоростей в сечении измерения анемометром проводят в каждой точке отдельно.
6.4.27. Расход охлаждающего воздуха определяют по методике, изложенной в
6.4.26.
6.4.28. Неравномерность воздухораспределения для напольных установок определяют измерением скорости воздушного потока над слоем материала в точках 1, 2, 3, 4, 5, 6, 7, 8, 9 согласно
рисунку В.6 (Приложение В). Измерения проводят анемометром по
6.4.26.6: в каждой точке проводят не менее трех измерений, по результатам которых определяют среднее значение скорости воздушного потока в каждой точке. Неравномерность воздухораспределения по площади

, вычисляют по формуле

, (30)
где

- стандартное отклонение скорости воздушного потока, м/с;

- среднее арифметическое значение скорости воздушного потока, м/с.
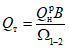
6.4.29. Фактический расход тепла на 1 кг испаренной влаги qф, кДж/кгисп.вл, вычисляют по формуле

, (31)
где B - расход топлива, кг/ч;

- теплотворная способность топлива, кДж/кг;

- количество испаренной влаги, кг/ч.
Теплотворную способность топлива устанавливают по его марке и сертификату или по таблицам
(Приложение Г).
Часовой расход топлива B, кг/ч, вычисляют по формуле

, (32)
где Gт - масса топлива, израсходованного за опыт, кг;
T - длительность опыта, ч.
Расход топлива измеряют с момента начала опыта при установившихся режимной температуре и расходе агента сушки до его окончания взвешиванием или расходомерами с погрешностью измерения +/- 0,1 кг. Результаты записывают в
форму Б.36 (Приложение Б).
6.4.29.1. Расход топлива на 1 кг испаренной влаги в установках для сушки зеленых кормов определяют по данным опытов, в которых влажность травы до сушки составляет не менее 75%.
6.4.30. Приведенный расход тепла на 1 кг испаренной влаги qпр, кДж/кгисп.вл, вычисляют по формуле
qпр = qф - qн.в. - qм, (33)
где qф - фактический расход тепла на 1 кг испаренной влаги в сушилке, кДж/кгисп.вл;
qн.в. - расход тепла на нагрев наружного воздуха, кДж/кгисп.вл;
qм - расход тепла на нагрев материала в сушилке, кДж/кгисп.вл.
6.4.30.1. Дополнительный расход тепла на нагрев наружного воздуха qн.в., кДж/кгисп.вл, вычисляют по формуле

, (34)
где

- температура наружного воздуха, °C;
Cw - теплоемкость наружного воздуха, кДж/кг·°C;
l - удельный расход агента сушки на 1 кг испаренной влаги, кг/кгисп.вл.
Теплоемкость наружного воздуха принимают равной Cw = 1,01.
Удельный расход сухого воздуха l, кг/кгсух.воз, вычисляют по формуле

, (35)
где

- расход сухого воздуха в отработанном агенте сушки, кг/ч, - вычисляют по формуле

, (36)
где L2 - расход отработанного агента сушки, м3/ч;
V
0 - объем влажного воздуха на 1 кг сухого воздуха, м
3/кг (определяют по
таблице М.1 (Приложение М) в зависимости от относительной влажности и температуры отработанного агента сушки).
6.4.30.2. Расход тепла на нагрев материала q
м, кДж/кг
исп.вл, при температуре

вычисляют по формуле

, (37)
где C
1 - теплоемкость при влажности

;

- температура исходного материала, °C.
Теплоемкость материала C1, кДж/кг·°C, вычисляют по формуле

, (38)
где Cв - теплоемкость воды, кДж/кг·°C; Cв = 4,19 кДж/кг·°C;
Cс.м - теплоемкость сухого материала, кДж/кг·°C; Cс.м = 1,55 - для зерна; Cс.м = 2,3 - для зеленого корма.
При температуре материала ниже

и при условии, что 50% влаги в материале находится в виде переохлажденной жидкости и 50% в виде льда, расход тепла на нагрев материала q
м, кДж/кг, вычисляют по формуле

, (39)
где 334 - скрытая теплота плавления льда, кДж/кг;
2,1 - теплоемкость льда, кДж/кг·°C.
Сравнение теплотехнических качеств сушилок проводят по приведенным затратам тепла на испарение 1 кг влаги. Для этого его фактический расход приводят к стандартным условиям - температуре наружного воздуха и материала 5 °C и атмосферному давлению 99085 Па (745 мм рт. ст.), учитывают расход тепла на нагрев наружного воздуха, идущего на смешивание с топочными газами и на нагрев материала.
6.4.30.3. В формулы определения q
н.в. (34) и q
м (37) подставляют алгебраические значения

и

(со своим знаком), поэтому расходы тепла могут иметь положительные или отрицательные величины.
6.4.30.4. Показатели топочных устройств определяют по действующей НД
[4].
6.4.31. Для сравнения энергетических затрат при сушке материала вычисляют интегральный расход энергии qин.э, кДж/кгисп.вл, по формуле
qин.э = Kэqэ + qпр, (40)
где Kэ - коэффициент тепловой эквивалентности, учитывающий затраты на производство и транспортирование электроэнергии к потребителю, кДж/кВт·ч (Kэ = 10137 кДж/кВт·ч);
qэ - удельный расход электроэнергии, кВт·ч/кгисп.вл.
Коэффициент тепловой эквивалентности Kэ, кДж/кВт·ч, вычисляют по формуле

, (41)
где B - удельный расход условного топлива на производство электроэнергии, г/кВт·ч (B = 0,318 кг/кВт·ч);
Qу - теплотворная способность условного топлива кДж/кгу.т (Qу = 7000·4,19 = 29330 кДж/кгу.т);

- коэффициент, учитывающий потери электроэнергии при ее транспортировании к потребителю

.
6.4.32. Невязку теплового баланса

, вычисляют по формуле

, (42)
где qт - количество тепла, получаемого от сжигания топлива, кДж/кгисп.вл;
q1 - количество тепла, затраченное на испарение 1 кг влаги, кДж/кгисп.вл;
q2 - количество тепла, уходящее с отработанным агентом сушки, кДж/кгисп.вл;
q3 - количество тепла, затраченное на нагрев материала в сушильном устройстве, кДж/кгисп.вл;
q0 - потери тепла в окружающую среду (q0 ~ 6% - 8%).
6.4.32.1. Статьи расхода тепла вычисляют по следующим формулам:

, (43)

, (44)

, (45)

, (46)
где t2 - температура отработанного агента сушки, °C;
t0 - температура наружного воздуха, °C;
C
2 - теплоемкость материала при влажности

;

- температура материала после сушильного устройства, °C.
Теплоемкость материала C2, кДж/кг·°C, вычисляют по формуле

, (47)
где Cв = 4,19 кДж/кг·°C.
6.4.32.2. Значение

не должно превышать 15%.
Превышение этой величины указывает на недостаточную точность измерений, и опыты необходимо повторить.
6.4.33. Особенности испытания рециркуляционных зерносушилок
6.4.33.1. При испытании рециркуляционных сушилок дозатором-смесителем устанавливают соотношение сырого G1 и рециркуляционного Gр зерна в зависимости от влажности исходного материала и режима сушки и пускают на поток.
Во время опыта желательно сохранять соотношение G1 и Gр.
6.4.33.2. Коэффициент рециркуляции Kр вычисляют по формуле

, (48)
где Gр - масса рециркулирующего зерна (возвращаемого из сушилки для смешивания с сырым зерном), кг/ч;
G1 - пропускная способность сушилки по сырому зерну, кг/ч.
Если определение массы рециркулирующего зерна трудоемко, то Kр допускается вычислять по формуле

, (49)
где

- влажность сырого зерна, поступающего на сушилку, %;

- влажность смеси зерна, поступающего в камеру нагрева (сырого плюс рециркулирующего), %;

- влажность рециркулирующего зерна, %.
Вычисляют коэффициент рециркуляции в течение каждой повторности опыта и его среднее значение.
6.4.33.3. Места взятия проб и точки определения параметров температуры и влажности зерна устанавливают согласно
рисунку В.3 (Приложение В).
6.4.34. После обработки первичных данных показатели качества выполнения технологического процесса сушильных машин и установок записывают в
формы А.8 -
А.14 (Приложение А).
6.5. Обработка и анализ результатов испытаний
6.5.1. Обработку результатов испытаний сушильных машин и установок сельскохозяйственного назначения выполняют по программе, разработанной для данного типа машин.
6.5.2. Исходными для проведения расчетов служат данные рабочих ведомостей
форм Б.1 -
Б.36 (Приложение Б).
6.5.3. После обработки исходных данных по 6.5.2 формируют и выдают на печать результаты испытаний в соответствии с
формами А.8 -
А.14 (Приложение А).
6.5.4. Полученные результаты используют для анализа их соответствия требованиям ТЗ (ТУ) и сопоставления с показателями сравниваемой машины.
6.5.5. На основании анализа полученных значений делают выводы о качестве работы испытуемой машины при выполнении заданного технологического процесса.
6.6. Средства измерений и оборудование, применяемые при определении функциональных показателей
Перечень средств измерений и оборудования, применяемых при определении функциональных показателей, приведен в
Приложении Н.
| | ИС МЕГАНОРМ: примечание. ГОСТ Р 52777-2007 утратил силу с 15.03.2021 в связи с введением в действие ГОСТ 34631-2019 (Приказ Росстандарта от 11.08.2020 N 479-ст). | |
7.1. Энергетическую оценку сушильных машин и установок сельскохозяйственного назначения проводят в соответствии с ГОСТ Р 52777 и действующей НД
[1].
7.2. Результаты энергетической оценки сушильных машин и установок сельскохозяйственного назначения оформляют в соответствии с ГОСТ Р 52777 и записывают в
форму А.15 (Приложение А).
8. Оценка безопасности и эргономичности конструкции
| | ИС МЕГАНОРМ: примечание. ГОСТ Р 53055-2008 утратил силу с 1 января 2018 года в связи с введением в действие ГОСТ 33738-2016 (Приказ Росстандарта от 22.03.2017 N 174-ст). | |
8.2. При приемке сушильных машин и установок сельскохозяйственного назначения на испытания проводят предварительную оценку безопасности конструкции и делают заключение о возможности допуска к ним.
8.3. К продолжению испытаний не допускают (до устранения соответствующего недостатка) сушильные машины и установки сельскохозяйственного назначения с конструкционными недостатками, представляющими реальную опасность травмирования оператора.
8.4. Показатели безопасности записывают в
форму А.16 (Приложение А).
9.1. При проведении испытаний на надежность в зависимости от их целей в рабочую программу-методику включают показатели, регламентированные НД.
9.2. Оценку надежности сушильных машин и установок сельскохозяйственного назначения проводят по НД
[5] с определением показателей по
форме А.17 (Приложение А) и других показателей, установленных НД на испытуемую машину.
9.3. Оценку надежности сушильных машин и установок сельскохозяйственного назначения осуществляют по результатам испытаний в условиях, предусмотренных ТЗ (ТУ) и руководством по эксплуатации. Допускается оценка надежности серийно выпускаемых машин по результатам наблюдений или разовых обследований в условиях реальной эксплуатации.
9.4. Сушильные машины и установки сельскохозяйственного назначения испытывают на культурах и режимах работ, предусмотренных ТЗ (ТУ).
9.5. Наработку сушильных машин и установок сельскохозяйственного назначения измеряют в часах основного времени работы, а также в тоннах высушенного материала. Для учета наработки в часах основного времени работы проводят сплошной хронометраж.
Допускается определять наработку в часах основной работы расчетом в физических единицах за весь период испытаний и производительности по результатам эксплуатационно-технологической оценки.
9.6. В течение всего периода испытаний ведут учет выявленных отказов и повреждений.
9.7. Определение затрат времени и труда на отыскание и устранение отказов осуществляют пооперационным хронометражем. Погрешность измерения продолжительности операции +/- 5 с.
9.7.1. Классификацию элементов времени занятости каждого исполнителя при ремонте машин проводят по
ГОСТ 21623.
9.7.2. Трудоемкость выполнения отдельных ремонтных операций определяют суммированием времени, затраченного на выполнение технологической операции каждым исполнителем.
9.8. Затраты времени и труда на отыскание и устранение отказов в течение всего периода испытаний суммируют и учитывают при расчете показателей надежности.
9.9. Техническое состояние сушильных машин и установок сельскохозяйственного назначения и замененных (восстановленных) деталей и узлов оценивают при проведении заключительной технической экспертизы.
9.10. Информацию по операциям технического обслуживания собирают и обрабатывают по ГОСТ 26026.
9.11. Показатели надежности сушильных машин, установок сельскохозяйственного назначения и их агрегатов определяют по наработке, измеряемой временем основной работы, и оценивают сопоставлением фактических показателей с нормативными значениями или показателями изделия-аналога (сравниваемой машины). Отклонение наработок сравниваемых машин не должно быть более 20%.
9.12. Показатели надежности записывают в
форму А.17 (Приложение А).
10. Эксплуатационно-технологическая оценка
10.1. Эксплуатационно-технологическую оценку сушильных машин и установок сельскохозяйственного назначения проводят в соответствии с
ГОСТ Р 52778.
10.2. Эксплуатационно-технологическую оценку опытных сушильных машин и установок сельскохозяйственного назначения проводят на культурах и в режимах работ, предусмотренных ТЗ (ТУ).
10.3. Испытания проводят в оптимальном режиме работы, определенном по результатам агротехнической оценки для опытных машин и указанном в ТУ - для серийных.
Во время испытаний контролируют соблюдение заданного режима работы и качество выполнения технологического процесса.
10.4. Сбор информации для эксплуатационно-технологической оценки проводят во время контрольных смен методом сплошной хронографии или поэлементного хронометража. Элементы времени определяют в соответствии с
ГОСТ Р 52778.
10.4.1. Условия испытаний, режим работы и показатели качества выполнения технологического процесса определяют один раз за время контрольных смен в соответствии с
разделом 6.
10.4.2. Сбор информации о нарушениях технологического процесса, отказах и проведении регулировок проводят в течение всего периода наблюдений.
10.4.3. Результаты эксплуатационно-технологической оценки оформляют по формам
ГОСТ Р 52778 и
формам А.2 -
А.14 (Приложение А) в зависимости от назначения сушилки.
| | ИС МЕГАНОРМ: примечание. ГОСТ Р 53056-2008 утратил силу с 1 сентября 2019 года в связи с изданием Приказа Росстандарта от 07.12.2018 N 1081-ст. Взамен введен в действие ГОСТ 34393-2018. | |
11.1. Экономическую оценку сушильных машин и установок сельскохозяйственного назначения проводят по ГОСТ Р 53056 с учетом следующих особенностей.
11.1.1. В период проведения хозяйственных испытаний фиксируют количество высушенного материала.
11.1.2. Производительность сушильных машин и установок для экономических расчетов вычисляют в физических тоннах за 1 ч технологического времени.
11.1.3. Цена агрегатов сушильных машин и установок сельскохозяйственного назначения Бс, руб., состоит из: цены сушильной машины с учетом стоимости машины предварительной очистки, цены металлоконструкций и стоимости строительной части

, (50)
где Бм - цена металлоконструкций, руб.;
Сс - стоимость строительной части (сметная), руб.;
Бj - цена j-й машины, установленной в технологической линии сушильного агрегата, руб.;
nj - число j-го вида машин, установленных в технологической линии сушильного агрегата, шт.
11.1.4. Производительность сушильных машин и установок вычисляют с учетом действующих ограничений по кондиционной влажности, дифференцированных по группам культур.
11.1.4.1. При испытании установок для сушки зеленого корма экономические показатели дополнительно рассчитывают по производительности, полученной перерасчетом сырья на номинальную начальную влажность 75%.
11.1.5. Совокупные затраты Ис.з, руб./т, с учетом количества и качества продукции вычисляют по формуле

, (51)
где Z - часовая ставка механика, руб./ч;
Wсм, Wэк - производительность за час сменного и эксплуатационного времени, т/ч;
Цэ - цена электроэнергии, руб./кВт·ч;
Цт - цена топлива, руб./кг;
gэ - расход электроэнергии, кВт/ч;
gт - расход топлива, кг/ч;
Tф - фактическая загрузка сушилки, ч;
Rск - коэффициент отчислений на капитальный ремонт строительной части;
Rj - коэффициент отчислений на текущий ремонт j-й машины;
Rм - коэффициент отчислений на текущий ремонт металлоконструкций;
Rс - коэффициент отчислений на текущий ремонт строительной части;
aj - коэффициент отчислений на реновацию j-й машины;
aм - коэффициент отчислений на реновацию металлоконструкций;
aс - коэффициент отчислений на реновацию строительной части;
Tф - фактическая годовая загрузка, ч;

- дробление зерна машинами сушильного агрегата, %;

- обрушивание зерна машинами сушильного агрегата, %;

- влажность материала после сушки, %;

- кондиционная влажность по стандарту на соответствующую культуру, %;
Цз - закупочная цена культуры, установленная для данной зоны, руб./т;
Цм - цена зерна после сушки с учетом его фактически полученного качества, руб./т;
Цд, Цо - цена дробленого и обрушенного зерна, руб./т;
Цк - стоимость зерна первого класса, руб./т;

- коэффициент, учитывающий потери дохода от влажности (определяют расчетом по каждой культуре), руб.
Коэффициент потерь дохода от влажности вычисляют по формуле

, (52)
где Цi - цена зерна i-й культуры, руб./т.
При работе на сушке продовольственного зерна для расчета

принимают

, при работе на сушке семян

.
Примечание. Определение классности семян проводят только по влажности

и всхожести.
Последнее слагаемое в
формуле (51) учитывают при сравнительных испытаниях и разном влиянии сравниваемых сушилок на классность семян.
11.2. Годовой экономический эффект Эг, руб., от внедрения в производство испытуемой машины для сушки сельскохозяйственных продуктов в сравнении с базовой вычисляют по формуле

, (53)
где Ибп - совокупные затраты при сушке продовольственного зерна базовой сушилкой;
Ибс - совокупные затраты при сушке семенного зерна базовой сушилкой;
Инп - совокупные затраты при сушке продовольственного зерна новой сушилкой, руб./т;
Инс - совокупные затраты при сушке семенного зерна новой сушилкой, руб./т;

- удельный вес высушенного продовольственного зерна;

- удельный вес высушенного семенного зерна;
Ви - общий объем высушенного зерна, т.
| | ИС МЕГАНОРМ: примечание. ГОСТ Р 53056-2008 утратил силу с 1 сентября 2019 года в связи с изданием Приказа Росстандарта от 07.12.2018 N 1081-ст. Взамен введен в действие ГОСТ 34393-2018. | |
11.3. Результаты оформляют по ГОСТ Р 53056 и записывают в
форму А.18 (Приложение А).
(рекомендуемое)
ОФОРМЛЕНИЕ РЕЗУЛЬТАТОВ ИСПЫТАНИЙ
Техническая характеристика
Наименование показателя | Значение показателя |
Тип машины или установки Марка Вид потребляемой энергии Производительность за час основного времени: а) на продовольственном режиме (с указанием культуры): в плановых тоннах (пл. т/ч) в физических тоннах (т/ч) (с указанием процента снижения влажности) б) на семенном режиме: в плановых тоннах (пл. т/ч) в физических тоннах (т/ч) (с указанием процента снижения влажности) Установленная мощность, кВт Габаритные размеры, мм: - длина - ширина - высота Масса машины или установки, кг Удельная материалоемкость, кг·ч/пл. т Масса основных узлов, кг: а) ___________________________________ б) ___________________________________ в) ___________________________________ Вид топлива Расход топлива (с указанием режима), кг/ч Продолжительность сушки, ч (для установок периодического действия) Уровень автоматизации технологического процесса (перечень систем контроля сигнализации и автоматизации) Число обслуживающего персонала, чел.: а) ___________________________________ б) ___________________________________ Трудоемкость монтажа: а) число рабочих, чел. б) время, ч в) применяемое оборудование Удельный расход топлива, кг/пл·т Приведенный расход тепла на единицу испаренной влаги, кДж/·кгисп.вл Удельный расход электроэнергии, кВт/ч/пл·т Интегральный расход энергии, кДж/кг исп.вл Топочное устройство Тип: - топочного устройства - форсунки Пределы регулирования температуры агента сушки,°C Габаритные размеры, мм: - длина - ширина - высота Сушильная камера: - тип - число, шт. - вместимость, т (с указанием культуры) - полезная площадь, м2 (для лотковых, ленточных сушилок и установок активного вентилирования) - толщина слоя материала, м (для ленточных, лотковых сушилок и напольных установок активного вентилирования) - габаритные размеры, мм: длина ширина высота - число коробов <*>, шт.: подводящих отводящих - площадь поперечного сечения короба <*>, мм 2по вертикали по горизонтали - частота вращения барабана <**>, об/мин - диаметр барабана <**>, мм - длина барабана <**>, мм Вентиляторы сушильных устройств: - марка - число, шт. - тип Разгрузочное устройство сушильных камер: - тип - привод Охладительная камера: - тип - число, шт. - вместимость, т - тип вентилятора - габаритные размеры, мм: длина ширина высота Разгрузочное устройство охладительных камер: - тип - привод Транспортирующие устройства: - марка - тип - производительность, т/ч - электродвигатель (тип, марка, мощность, частота вращения) Камера нагрева (для рециркуляционных сушилок): - тип - число, шт. - габаритные размеры, мм: длина ширина высота Камера тепловлагообмена (для рециркуляционных сушилок): - вместимость, т - габаритные размеры, мм длина ширина высота Загрузочное устройство камер нагрева (для рециркуляционных сушилок): - тип - пределы изменения числа рециркуляций Вентилируемые бункеры: - вместимость, т (с указанием культуры) - диаметр наружного цилиндра, мм - высота наружного цилиндра вместе с тумбой, м - диаметр центральной трубы, м - высота центральной трубы, м - установленная мощность, кВт: с подогревом без подогрева - вентилятор тип электродвигатель вентилятора (тип, марка, мощность, частота вращения) Расход воздуха, м3/ч | |
<*> Определяют для шахтных сушилок. <**> Определяют для барабанных сушилок. |
Характеристика условий испытаний зерносушилок
при агротехнической и эксплуатационно-технологической
оценках
Наименование показателя | Значение показателя |
Вид оценки |
Агротехническая | Эксплуатационно-технологическая |
Дата | + | + |
Культура, сорт | + | + |
Режим сушки (семенной, продовольственный) | + | + |
Температура, °C: - наружного воздуха - поступающего агента сушки | + | + |
Относительная влажность наружного воздуха, % | + | + |
Барометрическое давление наружного воздуха, МПа | + | - |
Количество и качество сырой клейковины (для продовольственного сырья), % | + | - |
Вид топлива | + | + |
Теплотворная способность топлива, кДж/кг | + | + |
Влажность исходного материала, % | + | + |
Чистота исходного материала, % | + | + |
Содержание дробленого и обрушенного зерна (для пленчатых культур), % | + | + |
Микроповреждение, % | + | + |
Натура зерна, г/л | + | - |
Энергия прорастания, % | + | - |
Всхожесть семян, % | + | - |
Толщина слоя материала (для сушилок периодического действия), м | + | + |
Содержание примесей, %: - минеральных - соломистых: в том числе длиной, мм: до 50 св. 50 | + | + |
Характеристика условий испытаний бункеров активного
вентилирования при агротехнической и эксплуатационно-
технологической оценках
Наименование показателя | Значение показателя |
Вид оценки |
Агротехническая | Эксплуатационно-технологическая |
Дата | + | + |
Культура, сорт | + | + |
Режим (семенной, продовольственный) | + | + |
Средняя температура, °C: - поступающего агента сушки - наружного воздуха | + | + |
Средняя относительная влажность, %: - поступающего агента сушки - наружного воздуха | + | + |
Барометрическое давление, Па | + | - |
Чистота исходного материала, % | + | + |
Характеристика условий испытаний установок для сушки вороха
льна при агротехнической и эксплуатационно-технологической
оценках
Наименование показателя | Значение показателя |
Вид оценки |
Агротехническая | Эксплуатационно-технологическая |
Дата | + | + |
Сорт | + | + |
Средняя температура, °C: - поступающего агента сушки - наружного воздуха - материала | + | + |
Относительная влажность, %: - поступающего агента сушки - наружного воздуха | + | + |
Барометрическое давление, Па | + | - |
Влажность исходного материала до сушки, % | + | + |
Характеристика вороха льна по массе, %: - семенные коробочки (целые и разрушенные) в том числе семена из них: - свободные - путанина (стебли льна) - сорняки - прочие примеси | + | + |
Общее содержание семян в ворохе, % | + | + |
Спелость льна по цвету семян в коробочках, %: - зеленых - желтых - бурых | + | + |
Масса материала, кг | + | + |
Толщина слоя материала, м | + | + |
Вид топлива | + | + |
Теплотворная способность топлива, кДж/кг | + | + |
Энергия прорастания, % | + | - |
Всхожесть семян, % | + | - |
Характеристика условий испытаний установок для активного
вентилирования початков кукурузы при агротехнической
и эксплуатационно-технологической оценках
Наименование показателя | Значение показателя |
Вид оценки |
Агротехническая | Эксплуатационно-технологическая |
Дата | + | + |
Сорт | + | + |
Режим | + | + |
Средняя температура, °C: - поступающего агента сушки - наружного воздуха | + | + |
Относительная влажность, %: - поступающего агента сушки - наружного воздуха | + | + |
Барометрическое давление, Па | + | - |
Энергия прорастания, % | + | - |
Всхожесть семян, % | + | - |
Микроповреждение, % | + | + |
Влажность исходного материала, % | + | + |
Толщина слоя материала, м | + | + |
Вид топлива | + | + |
Теплотворная способность, кДж/кг | + | + |
Масса партии материала, кг | + | + |
Характеристика условий испытаний установок для сушки
вороха хлопка при агротехнической и эксплуатационно-
технологической оценках
Наименование показателя | Значение показателя |
Вид оценки |
Агротехническая | Эксплуатационно-технологическая |
Дата | + | + |
Наименование вороха, сорт | + | + |
Средняя температура, °C: - поступающего агента сушки - наружного воздуха | + | + |
Относительная влажность, %: - поступающего агента сушки - наружного воздуха | + | + |
Барометрическое давление, Па | + | - |
Характеристика вороха, %: морфологический состав: - свободный хлопок-сырец - открытые коробочки - полураскрытые коробочки - закрытые коробочки - стебли - створки коробочек - мелкий сор и другие примеси | + | + |
Толщина слоя материала, м | + | + |
Вид топлива | + | + |
Теплотворная способность топлива, кДж/кг | + | + |
Масса партии материала, кг | + | + |
Энергия прорастания, % | + | - |
Всхожесть семян, % | + | - |
Влажность исходного материала, % | + | + |
Характеристика условий испытаний установок для сушки
зеленых кормов, корнеклубнеплодов при агротехнической
и эксплуатационно-технологической оценках
Наименование показателя | Значение показателя |
Вид оценки |
Агротехническая | Эксплуатационно-технологическая |
Дата | + | + |
Температура наружного воздуха, °C | + | + |
Относительная влажность наружного воздуха, % | + | + |
Барометрическое давление, Па | + | - |
Вид топлива | + | + |
Теплотворная способность топлива, кДж/кг | + | + |
Вид травы | + | + |
Ботанический состав травы (по массе), %: - бобовые - злаковые - разнотравье | + | + |
Степень измельчения зеленого корма, корнеклубнеплодов, % | + | + |
Степень клейкования крахмала (для картофеля), % | + | - |
Частота вращения барабана, об/мин | + | - |
Диаметр отверстий решета дробилки, мм | + | + |
Влажность исходного материала, % | + | + |
Содержание каротина в зеленом корме (до сушки), мг/кг | + | - |
Содержание золы и веществ, нерастворимых в 10%-ной соляной кислоте | + | - |
Содержание металлических примесей в исходном материале, мг/кг | + | - |
Примечание. Знак "+" означает, что показатель определяют, знак "-" - не определяют. |
Показатели качества выполнения технологического процесса
зерносушилок при агротехнической и эксплуатационно-
технологической оценках
Наименование показателя | Значение показателя |
Вид оценки |
Агротехническая | Эксплуатационно-технологическая |
Производительность, пл. т/ч: - по сырому материалу - по сухому материалу (с указанием процента снижения влаги) | + | + |
Производительность по сырому материалу, т%/ч: - основного времени - сменного времени | + | + |
Производительность по сухому материалу, т%/ч: - основного времени - сменного времени | + | - |
Влажность материала, %: | | |
- до сушки: | + | + |
среднее арифметическое значение | + | + |
стандартное отклонение, +/- % | + | + |
- после сушки: | + | + |
среднее арифметическое значение | + | + |
стандартное отклонение, +/- % | + | + |
- после охлаждения: | + | + |
среднее арифметическое значение | + | + |
стандартное отклонение, +/- % | + | - |
Коэффициент устойчивости процесса сушки | + | - |
Неравномерность сушки, +/- %: - предельное отклонение от среднего - стандартное отклонение | + | + |
Температура материала, °C: - до сушки - после сушки - после охлаждения | + | + |
Неравномерность нагрева зерна, +/- °C | + | - |
Чистота зерна после сушки, % | + | + |
Массовая доля поджаренных, распаренных и обугленных зерен, % | + | + |
Содержание дробленого зерна, %: - до сушки - после сушки | + | + |
Дробление, % | + | + |
Содержание обрушенного зерна, %: - до сушки - после сушки | + | + |
Обрушивание, % | + | + |
Содержание зерна с микроповреждениями (для пшеницы и кукурузы на семенном режиме), %: - до сушки - после сушки | + | - |
Микроповреждение, % | + | - |
Энергия прорастания семян, %: - до сушки свежеубранных после двух месяцев хранения - после сушки свежеубранных после двух месяцев хранения | + | - |
Всхожесть семян, %: - до сушки свежеубранных после двух месяцев хранения - после сушки свежеубранных после двух месяцев хранения | + | - |
Натура зерна после сушки, г/л | + | - |
Масса материала после сушки, т | + | - |
Количество сырой клейковины (для пшеницы продовольственного назначения), %: - до сушки - после сушки | + | - |
Качество сырой клейковины: - до сушки цвет группа - после сушки: цвет группа | + | - |
Снижение влажности (экспозиция сушки и охлаждения материала), %: | | |
- в сушилке | + | + |
- в сушильном устройстве | + | - |
- в охладительном устройстве | + | - |
Количество испаренной влаги, кг/ч | + | - |
Расход топлива, кг/ч | + | + |
Удельный расход топлива, кг/пл. т | + | + |
Удельный расход электроэнергии, кВт/пл. т | + | + |
Температура поступающего агента сушки, °C | + | + |
Расход тепла на 1 кг испаренной влаги, кДж/кг: - фактический - приведенный | + | - |
Интегральный расход энергии, кДж/кгисп.вл | + | - |
Расход отработанного агента сушки, м3/ч | + | - |
Параметры отработанного агента сушки: - температура, °C - относительная влажность, % | + | + |
Параметры отработанного охлаждающего воздуха: | | |
- температура, °C | + | + |
- относительная влажность, % | + | - |
Примечание. Знак "+" означает, что показатель определяют, знак "-" - не определяют. |
Показатели качества выполнения технологического процесса
рециркуляционных зерносушилок при агротехнической
и эксплуатационно-технологической оценках
Наименование показателя | Значение показателя |
Вид оценки |
Агротехническая | Эксплуатационно-технологическая |
Производительность, пл. т/ч: - по сухому материалу (с указанием процента снижения влажности) - по сырому материалу | + | + |
Производительность, т/ч: - по сухому материалу - по сырому материалу | + | + |
Влажность материала, %: - до сушки | | |
среднее арифметическое значение | + | + |
стандартное отклонение, +/- % | + | + |
- смеси до камеры нагрева | + | - |
- смеси после камеры нагрева | + | - |
- материала после зоны тепломассообмена | + | - |
- рециркулирующего зерна после сушки: среднее арифметическое значение стандартное отклонение, +/- % | + | - |
Неравномерность сушки, +/- %: - предельное отклонение от среднего - стандартное отклонение | + | - |
Коэффициент устойчивости процесса сушки | + | - |
Температура, °C: - исходного материала - смеси до камеры нагрева - смеси после камеры нагрева - материала после камеры тепломассообмена - рециркулирующего зерна - высушенного зерна | + | - |
Коэффициент рециркуляции | + | + |
Чистота зерна после сушки, % | + | + |
Содержание поджаренных, распаренных и обугленных зерен, % | + | - |
Содержание дробленых зерен, %: - до сушки - после сушки | + | + |
Дробление, % | + | + |
Содержание обрушенных зерен, %: - до сушки - после сушки | + | + |
Обрушивание, % | + | + |
Содержание зерна с микроповреждениями (для пшеницы и кукурузы на семенном режиме): - до сушки - после сушки | + | - |
Микроповреждение, % | + | - |
Всхожесть семян, %: - до сушки: свежеубранных после двух месяцев хранения - после сушки: свежеубранных после двух месяцев хранения | + | - |
Энергия прорастания семян, %: - до сушки: свежеубранных после двух месяцев хранения - после сушки: свежеубранных после двух месяцев хранения | + | - |
Количество сырой клейковины, %: - до сушки - после сушки | + | - |
Качество сырой клейковины: - до сушки: цвет группа - после сушки: цвет группа | + | - |
Снижение влажности, % | + | + |
Количество испаренной влаги, кг/ч | + | - |
Расход топлива, кг/ч | + | + |
Удельный расход топлива, кг/пл. т | + | + |
Удельный расход электроэнергии, кВт·ч/пл. т | + | + |
Расход тепла на 1 кг испаренной влаги, кДж/кгисп.вл: - фактический - приведенный | + | - |
Интегральный расход энергии, кДж/кгисп.вл | + | - |
Расход отработанного агента сушки, м3/ч | + | - |
Относительная влажность отработанного агента сушки, %: - на выходе из камеры нагрева | + | - |
Относительная влажность охлаждающего воздуха, % | + | - |
Температура отработанного агента сушки, °C | + | - |
Примечание. Знак "+" означает, что показатель определяют, знак "-" - не определяют. |
Показатели качества выполнения технологического процесса
бункеров активного вентилирования при агротехнической
и эксплуатационно-технологической оценках
Наименование показателя | Значение показателя |
Вид оценки |
Агротехническая | Эксплуатационно-технологическая |
Производительность по сухому материалу (с указанием процента снижения влажности), т/ч: - основного времени - сменного времени | + | + |
Производительность по сырому материалу, т/ч: - основного времени - сменного времени | + | + |
Влажность материала, %: - до сушки: среднее арифметическое значение стандартное отклонение, +/- % - после сушки: среднее арифметическое значение стандартное отклонение, +/- % | + | + |
Неравномерность сушки по всему бункеру: - стандартное отклонение, +/- % | + | - |
Температура материала, °C: - до сушки - после сушки | + | - |
Неравномерность нагрева, +/- °C | + | - |
Чистота материала после сушки, % | + | + |
Содержание дробленого зерна, %: - до сушки - после сушки | + | + |
Дробление, % | + | + |
Содержание обрушенного зерна, %: - до сушки - после сушки | + | + |
Обрушивание, % | + | + |
Энергия прорастания семян, %: - до сушки свежеубранных - после сушки: свежеубранных после двух месяцев хранения | + | - |
Всхожесть семян, %: - до сушки свежеубранных - после сушки: свежеубранных после двух месяцев хранения | + | - |
Масса материала в бункере, т: - до сушки - после сушки | + | + |
Длительность вентилирования, ч | + | + |
Снижение влажности материала, % | + | + |
Количество испаренной влаги, кг/ч | + | - |
Удельный расход агента сушки, м3ч/т | + | - |
Удельный расход электроэнергии, кВт·ч/т | + | + |
Примечание. Знак "+" означает, что показатель определяют, знак "-" - не определяют. |
Показатели качества выполнения технологического процесса
установок для сушки вороха льна при агротехнической
и эксплуатационно-технологической оценках
Наименование показателя | Значение показателя |
Вид оценки |
Агротехническая | Эксплуатационно-технологическая |
Приведенная производительность, т/ч | + | + |
Удельный расход топлива, кг/т | + | + |
Влажность вороха, %: - до сушки: среднее арифметическое значение стандартное отклонение, +/- % - после сушки: среднее арифметическое значение стандартное отклонение, +/- % | + | + |
Влажность семян после сушки, % | + | + |
Неравномерность сушки вороха (в сушилках периодического действия), +/- %: - по толщине слоя: при отклонении от среднего стандартное отклонение - по площади: при отклонении от среднего стандартное отклонение | + | - |
Неравномерность сушки по всей сушилке: - стандартное отклонение, +/- % | + | + |
Температура вороха, °C: - до сушки: среднее арифметическое значение предельные отклонения от среднего, +/- °C - после сушки: среднее арифметическое значение предельные отклонения от среднего, +/- °C | + | - |
Неравномерность нагрева вороха, +/- °C: - предельное отклонение от среднего: - по толщине слоя - по площади | + | - |
Неравномерность нагрева по всей установке, +/- °C | + | + |
Повреждение семян, % - до сушки: в процессе загрузки после сушки и выгрузки вороха льна | + | - |
Всхожесть семян, %: - из вороха, высушенного на сушилке - из вороха, высушенного на стеллажах | + | - |
Энергия прорастания, %: - из вороха, высушенного на сушилке - из вороха, высушенного на стеллажах | + | - |
Снижение всхожести семян после сушки, % | + | - |
Всхожесть семян после двух месяцев хранения, %: - из вороха, высушенного на сушилке - из вороха, высушенного на стеллажах | + | - |
Энергия прорастания семян после двух месяцев хранения, %: - из вороха, высушенного на сушилке - из вороха, высушенного на стеллажах | + | - |
Масса материала, т: - до сушки - после сушки | + | + |
Продолжительность сушки, ч | + | + |
Общее снижение влажности, % | + | + |
Количество испаренной влаги, кг/ч | + | - |
Расход отработанного агента сушки, м3/ч | + | - |
Расход тепла, кДж/кгисп.вл: - фактический - приведенный | + | - |
Интегральный расход энергии, кДж/кгисп.вл | + | - |
Примечание. Знак "+" означает, что показатель определяют, знак "-" - не определяют. |
Показатели качества выполнения технологического процесса
установок для активного вентилирования початков кукурузы
при агротехнической и эксплуатационно-технологической
оценках
Наименование показателя | Значение показателя |
Вид оценки |
Агротехническая | Эксплуатационно-технологическая |
Производительность, т/ч: - по сухому материалу - по сырому материалу | + | + |
Расход топлива, кг/ч | + | + |
Влажность материала, %: - до сушки зерна: среднее арифметическое значение стандартное отклонение, +/- % - стержней: среднее арифметическое значение стандартное отклонение, +/- % - после сушки зерна: среднее арифметическое значение стандартное отклонение, +/- % - стержней: среднее арифметическое значение стандартное отклонение, +/- % | + | + |
Неравномерность сушки зерна, +/- %: - по толщине слоя - по площади | + | - |
Неравномерность сушки вороха: - стандартное отклонение, +/- % | + | + |
Температура материала, °C: - до сушки (средняя) - после сушки (средняя) | + | - |
Неравномерность нагрева материала (предельное отклонение от среднего), +/- °C: - по толщине слоя - по площади | + | - |
Неравномерность нагрева установки, +/- °C | + | - |
Всхожесть семян, % - до сушки свежеубранных - после сушки: свежеубранных после двух месяцев хранения | + | - |
Энергия прорастания семян, %: - до сушки свежеубранных - после сушки: свежеубранных после двух месяцев хранения | + | - |
Содержание зерна с микроповреждениями, %: - до сушки - после сушки | + | - |
Масса материала, т: - до сушки - после сушки | + | + |
Продолжительность сушки (вентилирования), ч | + | + |
Снижение влажности, % | + | + |
Количество испаренной влаги, кг/ч | + | - |
Расход отработанного агента сушки, м3/ч | + | - |
Расход тепла на 1 кг испаренной влаги, кДж/кгисп.вл: - фактический - приведенный | + | - |
Интегральный расход энергии, кДж/кгисп.вл | + | - |
Удельный расход топлива, кг/т | + | + |
Примечание. Знак "+" означает, что показатель определяют, знак "-" - не определяют. |
Показатели качества выполнения технологического процесса
установок для сушки вороха хлопка при агротехнической
и эксплуатационно-технологической оценках
Наименование показателя | Значение показателя |
Вид оценки |
Агротехническая | Эксплуатационно-технологическая |
Производительность, т/ч: - по сухому материалу - по сырому материалу | + | + |
Влажность вороха, %: - до сушки: среднее арифметическое значение стандартное отклонение, +/- % - после сушки: среднее арифметическое значение стандартное отклонение, +/- % | + | + |
Неравномерность сушки вороха (предельное отклонение от среднего), +/- %: - по толщине слоя - по площади | + | - |
Неравномерность сушки установки: - стандартное отклонение, +/- % | + | + |
Температура материала, °C: - до сушки - после сушки - стандартное отклонение, +/- °C | + | - |
Засоренность вороха, % - до сушки - после сушки | + | - |
Разрывное усилие (крепость волокна), %: - после естественной сушки - после сушилки | + | - |
Масса материала, т: - до сушки - после сушки | + | + |
Продолжительность сушки, ч | + | + |
Снижение влажности, % | + | + |
Количество испаренной влаги, кг/ч | + | - |
Расход агента сушки, м3/ч | + | - |
Расход тепла, кДж/кгисп. вл: - фактический - приведенный | + | - |
Интегральный расход энергии, кДж/кгисп.вл | + | - |
Неравномерность нагрева, +/- °C | + | - |
Удельный расход топлива, кг/т | + | + |
Примечание. Знак "+" означает, что показатель определяют, знак "-" - не определяют. |
Показатели качества выполнения технологического процесса
установок для сушки зеленого корма, корнеклубнеплодов
при агротехнической и эксплуатационно-технологической
оценках
Наименование показателя | Значение показателя |
Вид оценки |
Агротехническая | Эксплуатационно-технологическая |
Производительность, т/ч: - по сухому материалу - по сырому материалу | + | + |
Влажность материала, %: - до сушки: среднее арифметическое значение стандартное отклонение, +/- % - после сушки (перед дробилкой) - травяной муки | + | + |
Неравномерность сушки, +/- %: - предельное отклонение от средней влажности травяной муки, сечки - стандартное отклонение | + | - |
Снижение влажности, %: | | |
- в сушильном устройстве | + | - |
- по всей сушилке | + | + |
Количество испаренной влаги, кг/ч: - в сушильном устройстве - по всей сушилке | + | - |
Температура материала, °C: - до сушки (измельченной массы) - после сушки (перед дробилкой) - травяной муки | + | - |
Неравномерность нагрева материала (предельное отклонение от среднего), +/- °C | + | - |
Содержание каротина в материале до сушки, мг/кг: - в зеленом корме - в травяной муке (сечке) | + | - |
Содержание золы и веществ, нерастворимых в 10%-ной соляной кислоте, %: - до сушки - после сушки | + | - |
Качество травяной муки: | | |
- внешний вид | + | - |
- цвет | + | - |
- запах - крупность размола (остаток на сите с отверстиями 3 мм), % - металлические примеси размером до 2 мм с неострыми краями, мг/кг - металлические примеси размером более 2 мм с острыми краями, мг/кг | + | - |
Насыпная плотность травяной муки, сечки, кг/м3 | + | + |
Степень клейкования крахмала (для картофеля): - до сушки - после сушки | + | - |
Расход топлива: | | |
- часовой, кг/ч | + | + |
- удельный, кг/тмуки: | + | + |
фактический | + | - |
приведенный | + | - |
Удельный расход тепла на испарение влаги, кДж/кгисп.вл: - фактический - приведенный | + | - |
Интегральный расход энергии, кДж/кгисп.вл: | + | - |
Температура агента сушки, °C: - поступающего - отработанного | + | + |
Расход отработанного агента сушки, м3/ч | + | - |
Влагонапряжение сушильной камеры (сушильного барабана), кг/м3 | + | - |
Расход электроэнергии, кВт·ч/кгисп.вл | + | - |
Примечание. Знак "+" означает, что показатель определяют, знак "-" - не определяют. |
Энергетические показатели по сушильной машине, установке
Наименование показателя | Значение показателя |
Дата проведения испытаний Производительность за час основного времени, т/ч Количество активной энергии, затраченное на выполнение технологического процесса, кВт·ч Количество реактивной энергии, затраченное на выполнение технологического процесса, квар·ч Удельный расход электроэнергии, кВт·ч/пл. т Удельные энергозатраты за час основного времени на физическую единицу наработки, МДж/кг Средний коэффициент мощности,  Установленная мощность, кВт: в т.ч. электродвигателей | |
_________________________________________ (наименование механизма, привод и т.д.) _________________________________________ | |
Потребляемая из сети активная мощность, кВт, в т.ч. электродвигателями: _________________________________________ _________________________________________ Коэффициент загрузки электродвигателя | |
Показатели безопасности и эргономичности конструкции
Наименование показателя | Значение показателя |
Общие требования безопасности к конструкции узлов и агрегатов, специфические требования к машине Показатели обеспечения безопасности при монтаже, транспортировании и хранении Цвета сигнальные и знаки безопасности Требования к средствам доступа на рабочее место Наличие предупреждающих надписей и знаков безопасности Требования к системе символов для обозначения органов управления и средств отображения информации Требования к наличию и конструкции защитных ограждений Требования к системе блокировки и предупредительной сигнализации Требования к обеспечению безопасности операций по очистке Требования к исключению возможности самопроизвольного включения (выключения) рабочих органов Требования к обзорности зон наблюдения Электробезопасность Радиопомехи Пожаробезопасность Требования к освещенности рабочих зон Рабочее пространство для оператора Размеры и расположение органов управления Силы сопротивления перемещению органов управления и регулирования Температура воздуха на рабочем месте оператора Относительная влажность воздуха на рабочем месте оператора Концентрация пыли в зоне дыхания оператора Концентрация окиси углерода в зоне дыхания оператора Уровень звука, шума на рабочем месте оператора Локальная вибрация на рабочем месте оператора | |
Наименование показателя | Значение показателя |
Наработка, ч Число отказов I, II, III групп сложности Наработка на отказ, ч Наработка на отказ I, II, III групп сложности, ч Трудоемкость ежесменного технического обслуживания (оперативная трудоемкость ежесменного технического обслуживания), чел.-ч Удельная суммарная трудоемкость технических обслуживаний (удельная суммарная оперативная трудоемкость технических обслуживаний), чел.-ч/ч Удельная суммарная трудоемкость текущих ремонтов (удельная суммарная оперативная трудоемкость текущих ремонтов), чел.-ч/ч Коэффициент готовности: - с учетом организационного времени - по оперативному времени Коэффициент технического использования | |
Показатели сравнительной экономической эффективности
Наименование показателя | Значение показателя |
Совокупные затраты денежных средств, руб./т Затраты труда, чел.-ч/т Удельный расход топлива, кг/т Годовой экономический эффект, тыс. руб. Капитальные вложения, млн руб. Срок окупаемости дополнительных капитальных вложений, лет Верхний предел цены новой техники, руб. Цена техники по данным предприятия-изготовителя, руб. | |
(рекомендуемое)
ФОРМЫ РАБОЧИХ ВЕДОМОСТЕЙ РЕЗУЛЬТАТОВ ИСПЫТАНИЙ
Ведомость характеристики поступающего агента сушки
и наружного воздуха
Марка машины ______________________________________________________________
Место испытаний ___________________________________________________________
Культура, сорт ____________________________________________________________
Дата ______________________________________________________________________
Опыт ______________________________________________________________________
Средства измерений ________________________________________________________
Время измерения | Температура поступающего агента сушки, °C | Параметры наружного воздуха | Температура t наружного воздуха, °C |
в точках | среднее арифметическое значение | температура tс сухого термометра, °C | температура tм смоченного термометра, °C | психрометрическая разница,  | относительная влажность  | перед топочным блоком (устройством) | перед охладительным вентилятором |
1 | 2 | 3 |
| | | | | | | | | | |
Сумма | | | | | | | | | | |
Среднее арифметическое значение, °C | | | | | | | | | | |
Предельное отклонение от среднего, +/- °C | | | | | | | | | | |
Исполнитель __________________ ___________________ ____________________
должность личная подпись инициалы, фамилия
Ведомость определения влажности материала до сушки
(после сушки)
Марка машины ______________________________________________________________
Место испытаний ___________________________________________________________
Культура, сорт ____________________________________________________________
Дата ______________________________________________________________________
Средства измерений ________________________________________________________
Номер навески | Масса навески до сушки в сушильном шкафу, г | Масса навески после сушки в сушильном шкафу, г | Содержание влаги в навеске, % | Примечание |
1 2 3 ... n | | | | |
Сумма | | | | |
Среднее арифметическое значение | | | | |
Предельное отклонение, +/- % | - | - | | |
Стандартное отклонение, +/- % | - | - | | |
Исполнитель __________________ ___________________ ____________________
должность личная подпись инициалы, фамилия
Ведомость определения температуры материала
Марка машины ______________________________________________________________
Место испытаний ___________________________________________________________
Культура, сорт ____________________________________________________________
Режим _____________________________________________________________________
Опыт _____________________________________ Дата ___________________________
Средства измерений ________________________________________________________
Время начала отбора пробы | Номер пробы | Температура зерна, °C |
до сушки | после сушки | после охлаждения, если охладительное устройство отделено от сушильного |
сушильное устройство | охладительное устройство |
1 | 2 | 1 | 2 |
| 1 2 3 4 n(5) | | | | | |
Среднее арифметическое значение | | | | | |
Предельные отклонения от среднего, +/- °C | | | | | |
Исполнитель __________________ ___________________ ____________________
должность личная подпись инициалы, фамилия
Ведомость результатов измерения температуры материала
в сушилках периодического действия
Марка машины ______________________________________________________________
Место испытаний ___________________________________________________________
Культура, сорт ____________________________________________________________
Опыт _____________________________________ Дата ___________________________
Средства измерений ________________________________________________________
Время отбора пробы | Номер пробы | Температура материала, °C |
до сушки | после сушки |
| 1 2 3 ... n | | |
Среднее арифметическое значение | | |
Предельное отклонение от среднего, +/- °C | | |
Исполнитель __________________ ___________________ ____________________
должность личная подпись инициалы, фамилия
Марка машины ______________________________________________________________
Место испытаний ___________________________________________________________
Режим (семенной, продовольственный) _______________________________________
Культура, сорт ____________________________________________________________
Опыт _____________________________ Повторность ____________________________
Вид анализа _______________________________________________________________
Наименование фракции, пробы _______________________________________________
Дата ____________________ Время начала отбора проб ________________________
Исполнитель __________________ ___________________ ____________________
должность личная подпись инициалы, фамилия
Марка машины ______________________________________________________________
Место испытаний ___________________________________________________________
Культура, сорт ____________________________ Опыт __________________________
Наименование материала _______________________________ Дата _______________
(до или после сушки)
Средства измерений ________________________________________________________
Наименование показателя | Навеска |
1 | 2 | Среднее арифметическое значение, % |
г (%) | г (%) |
Семена основной культуры, в том числе обрушенные Отход основной культуры, в том числе семена: - дробленые - распаренные - поджаренные - обугленные Сорная примесь, в том числе: - минеральная из них длиной, мм: до 50 св. 50 Масса 1000 семян | | | | | |
<*> Определяют при испытании шахтных зерносушилок. |
Исполнитель __________________ ___________________ ____________________
должность личная подпись инициалы, фамилия
Ведомость анализа продовольственного зерна
Марка машины ______________________________________________________________
Место испытаний ___________________________________________________________
Культура, сорт ____________________________ Опыт __________________________
Наименование материала _______________________________ Дата _______________
(до или после сушки)
Средства измерений ________________________________________________________
Наименование показателя | Навеска |
1 | 2 | Среднее арифметическое значение, % |
г (%) | г (%) |
Зерно основной культуры Зерновая примесь, всего в том числе зерно: - дробленое - обрушенное (для пленчатых) - распаренное - поджаренное - обугленное Сорная примесь, всего в том числе: - минеральная из них длиной, мм: до 50 св. 50 Натура зерна, г/л Количество сырой клейковины, % Качество сырой клейковины | | | | | |
<*> Определяют при испытании шахтных зерносушилок. |
Исполнитель __________________ ___________________ ____________________
должность личная подпись инициалы, фамилия
Ведомость определения энергии прорастания семян и всхожести
Марка машины ______________________________________________________________
Место испытаний ___________________________________________________________
Режим ____________________________ Культура, сорт _________________________
Дата ____________________________________ Опыт ____________________________
Средства измерений ________________________________________________________
Наименование показателя | Проба | Среднее арифметическое значение, |
1 | 2 | 3 | 4 | шт. (%) |
Прорастание семян, шт.: | | | | | | |
- за 2 дня - за 5 дней - за 7 дней Остаток, шт., всего в том числе: - загнивших при подсчете всхожести - проросших ненормально | | | | | | |
Исполнитель __________________ ___________________ ____________________
должность личная подпись инициалы, фамилия
Ведомость определения количества и качества сырой
клейковины
Марка машины ______________________________________________________________
Место испытаний ___________________________________________________________
Режим _____________________________________________________________________
Культура, сорт ____________________________________________________________
Дата _________________________________ Опыт _______________________________
Средства измерений ________________________________________________________
Наименование показателя | До сушки | После сушки |
Количество сырой клейковины, % Качество сырой клейковины: - цвет - группа | | |
Исполнитель __________________ ___________________ ____________________
должность личная подпись инициалы, фамилия
Ведомость определения массовой доли золы, нерастворимой
в соляной кислоте
Марка машины _____________________________ Дата ___________________________
Место испытаний __________________________ Опыт ___________________________
Культура, сорт ____________________________________________________________
Вид исходного материала ___________________________________________________
Средства измерений ________________________________________________________
Повторность | Масса тигля, г | Масса тигля с исходной пробой, г | Масса исходной пробы, г | Масса тигля с фильтром, г | Масса тигля с фильтром и золой, г | Массовая доля золы, нерастворимой в соляной кислоте, % |
до прокаливания | после прокаливания |
первого | второго | ...n |
1 2 3 | | | | | | | | | |
Среднее арифметическое значение | | | | | | | | | |
Исполнитель __________________ ___________________ ____________________
должность личная подпись инициалы, фамилия
Ведомость определения содержания каротина в зеленом корме,
травяной муке
Марка машины _____________________________ Дата ___________________________
Место испытаний __________________________ Опыт ___________________________
Вид пробы _________________________________________________________________
(исходный материал или после сушки)
Средства измерений ________________________________________________________
Проба | Масса навески, г | Высота слоя, см | Объем, м3 | Масса каротина в 1 кг, мг | Потери каротина, % |
стандартного | исследуемого |
исходного материала | травяной муки (сечки) | исходного материала | травяной муки (сечки) | исходного материала | травяной муки (сечки) | исходного материала | травяной муки (сечки) | исходного материала | травяной муки (сечки) |
1 2 3 | | | | | | | | | | | |
Среднее арифметическое значение | | | | | | | | | | | |
Исполнитель __________________ ___________________ ____________________
должность личная подпись инициалы, фамилия
Ведомость определения клейкования крахмала (для картофеля)
Марка машины _____________________________ Дата ___________________________
Место испытаний __________________________ Опыт ___________________________
Сорт ______________________________________________________________________
Повторность _______________________________________________________________
Средства измерений ________________________________________________________
Повторность | Масса пробы высушенного материала, г | Объем пробы высушенного материала, см3 | Объем пробы после набухания, см3 | Степень клейкования крахмала (для картофеля), % |
1 2 3 | | | | |
Сумма | | | | |
Среднее арифметическое значение | | | | |
Исполнитель __________________ ___________________ ____________________
должность личная подпись инициалы, фамилия
Ведомость определения состава исходного материала
вороха льна
Марка машины _____________________________ Дата ___________________________
Место испытаний __________________________ Опыт ___________________________
Сорт ______________________________________________________________________
Средства измерений ________________________________________________________
Наименование показателя | Навеска, г (%) | Сумма, г (%) | Среднее арифметическое значение, % |
1 | 2 | 3 |
Общая масса пробы, в том числе: - семенная часть - путанина Масса навески Состав навески: - семенные коробочки (целые и разрушенные) в том числе семена: из них свободные: в том числе - поврежденные и битые - путанина (стебли льна) - сорняки (трава) - прочие примеси Общее содержание семян в ворохе | | | | | | | | |
Исполнитель __________________ ___________________ ____________________
должность личная подпись инициалы, фамилия
Ведомость определения состава вороха хлопка
Марка машины ______________________________ Сорт __________________________
Место испытаний ________________________ Номер сбора ______________________
Вид пробы _________________________________ Дата __________________________
Средства измерений ________________________________________________________
Наименование показателя | Навеска, г (%) | Сумма, г (%) | Среднее арифметическое значение, % | Массовая доля, % |
1 | 2 | 3 |
Масса навески Масса примесей (засоренность вороха) Морфологический состав: - свободный хлопок-сырец - открытые коробочки - полураскрытые коробочки - закрытые коробочки - стебли - створки коробочек - мелкий сор - другие примеси | | | | | | | | | | |
Исполнитель __________________ ___________________ ____________________
должность личная подпись инициалы, фамилия
Ведомость определения спелости вороха льна
Марка машины ____________________________ Опыт ____________________________
Сорт ______________________________________________________________________
Место испытаний _________________________ Дата ____________________________
Средства измерений ________________________________________________________
Фаза спелости по цвету семян в коробочках | Число коробочек, шт. | Количественная доля коробочек, % |
Зеленые Желтые Бурые | | |
Сумма | | |
Исполнитель __________________ ___________________ ____________________
должность личная подпись инициалы, фамилия
Ведомость определения ботанического состава зеленого корма
Марка машины ______________________________ Дата __________________________
Место испытаний __________________________ Вид травы ______________________
Опыт ______________________________________________________________________
Средства измерений ________________________________________________________
Вид травы | Масса пробы, г | Сумма, г | Среднее арифметическое значение, г | Массовая доля, % |
1 | 2 | 3 | 4 | 5 |
Злаковые Бобовые Разнотравье | | | | | | | | |
Сумма | | | | | | | | |
Исполнитель __________________ ___________________ ____________________
должность личная подпись инициалы, фамилия
Ведомость определения степени измельчения зеленого корма
и корнеклубнеплодов
Марка машины ______________________________ Опыт __________________________
Место испытаний __________________________ Повторность ____________________
Дата _____________________________________ Вид травы ______________________
Средства измерений ________________________________________________________
Размер частиц, мм (масса или толщина) | Навеска | Сумма | Общая масса пробы, г | Массовая доля каждой фракции, % |
1 | 2 | 3 |
| | | | | | |
Исполнитель __________________ ___________________ ____________________
должность личная подпись инициалы, фамилия
Ведомость определения металлических примесей
в травяной муке
Марка машины __________________________________ Опыт ______________________
Место испытаний _______________________________ Дата ______________________
Вид материала _____________________________________________________________
(зеленый корм, травяная мука)
Средства измерений ________________________________________________________
Наименование показателя | Масса металлических примесей, мг | Сумма | Среднее арифметическое значение, мг/кг |
Повторность |
1 | 2 | 3 |
Металлические примеси размером до 2 мм с неострыми краями | | | | | |
Металлические примеси размером св. 2 мм с острыми краями | | | | | |
Исполнитель __________________ ___________________ ____________________
должность личная подпись инициалы, фамилия
Ведомость определения толщины слоя материала
Марка машины ___________________________________ Опыт _____________________
Место испытаний ________________________________ Дата _____________________
Культура, сорт ____________________________________________________________
Режим _____________________________________________________________________
Средства измерений ________________________________________________________
Номер точки | Толщина слоя материала, см |
1 2 3 ... n | |
Сумма | |
Среднее арифметическое значение | |
Исполнитель __________________ ___________________ ____________________
должность личная подпись инициалы, фамилия
Ведомость определения влажности в процессе сушки
Марка машины ______________________________ Режим _________________________
Место испытаний ___________________________ Опыт __________________________
Культура __________________________________ Сорт __________________________
Средства измерений ________________________________________________________
Дата | Время отбора пробы | | Влажность кукурузы, % |
зерна | стержня |
| | | | |
| | | | |
| | | | |
| | | | |
Сумма | | | | |
Среднее арифметическое значение | | | | |
Исполнитель __________________ ___________________ ____________________
должность личная подпись инициалы, фамилия
Ведомость определения влажности зеленого корма,
травяной муки
Марка машины __________________________________ Опыт ______________________
Место испытаний _____________________________ Вид травы ___________________
Средства измерений ________________________________________________________
Дата наблюдения | Проба | Влажность, % |
зеленого корма | снижение влажности | травяной муки |
до сушки | после сушки (перед дробилкой) |
| 1 2 3 ... n (5) | | | | |
Среднее арифметическое значение влажности | | | | |
Неравномерность сушки, +/- %: | | | | |
- предельное отклонение от среднего значения | | | | |
- стандартное отклонение | | | | |
Исполнитель __________________ ___________________ ____________________
должность личная подпись инициалы, фамилия
Ведомость определения влажности и неравномерности сушки
материала для сушилок непрерывного действия
Марка машины ___________________________ Культура, сорт ___________________
Место испытаний ________________________ Режим ____________________________
(семенной, продовольственный)
Опыт ___________________________________ Дата _____________________________
Средства измерений ________________________________________________________
Номер пробы | Повторность | Влажность, % |
до сушки | после сушильного устройства | после охладительного устройства |
1 2 3 ... n | | | | |
Среднее арифметическое значение влажности, % | | | | |
Неравномерность сушки, +/- %: - предельное отклонение от среднего значения - стандартное отклонение | | | | |
Исполнитель __________________ ___________________ ____________________
должность личная подпись инициалы, фамилия
Ведомость определения неравномерности сушки зерна
в вентилируемых бункерах
Марка машины _________________ Режим _______________ Культура _____________
Место испытаний ___________________________ Опыт __________________________
Начало опыта __________________________ Конец опыта _______________________
Средства измерений ________________________________________________________
Дата | Опыт | Время отбора проб | Влажность в точках отбора проб по сечениям, % | Среднее по бункеру | Неравномерность сушки по толщине слоя, +/- % |
верхнему | среднему | нижнему |
a | b | c | средняя | неравномерность сушки, +/- % | a' | b' | c' | средняя | неравномерность сушки, +/- % | a'' | b'' | c'' | средняя | неравномерность сушки, +/- % |
предельные отклонения | стандартное отклонение | предельные отклонения от средней | стандартное отклонение | предельные отклонения от средней | стандартное отклонение | предельные отклонения от среднего по бункеру | стандартное отклонение |
Окончание формы Б.23
Влажность в точках отбора проб по высоте, % |
у наружной стенки цилиндра | в средней части | у внутренней стенки цилиндра |
c | c' | c'' | средняя | неравномерность сушки, +/- % | b | b' | b'' | средняя | неравномерность сушки, +/- % | a | a' | a'' | средняя | неравномерность сушки, +/- % |
предельные отклонения от средней | стандартное отклонение | предельные отклонения от средней | стандартное отклонение | предельные отклонения от средней | стандартное отклонение |
Исполнитель __________________ ___________________ ____________________
должность личная подпись инициалы, фамилия
Ведомость определения влажности вороха льна, клещевины,
хлопка, метелок сорго (для сушилок периодического действия)
Марка машины __________________________ Место испытаний ____________________________
Опыт _____________ Вид вороха _____________ Продолжительность опыта ________________
Культура ___________________________________________________________________________
Средства измерений _________________________________________________________________
Дата | Время отбора проб, повторность | Точка отбора проб | Влажность в точках отбора проб по слоям, % | Предельные отклонения от средней (неравномерность сушки по площади), +/- % | Стандартное отклонение, +/- % |
Верхний | Средний | Нижний | Сумма | Среднее арифметическое значение |
| | 1 2 3 ... n (9) | | | | | | | |
| | Сумма | + | + | + | + | + | + | + |
| | Среднее арифметическое значение, % | + | + | + | + | + | + | + |
| | Отклонение от средней по слоям (неравномерность сушки по толщине слоя), +/-% | + | + | + | - | - | - | - |
| | Неравномерность сушки по установке, +/- % | - | - | - | - | - | - | + |
Исполнитель _____________________ ______________________ _______________________
должность личная подпись инициалы, фамилия
Ведомость определения неравномерности сушки початков
кукурузы
Марка машины __________________________ Место испытаний ___________________
Опыт ____________________ Дата __________________ Режим ___________________
Средства измерений ________________________________________________________
Время отбора проб | Точка отбора пробы | Влажность стержня, % | Влажность зерна, % | Предельные отклонения от среднего (неравномерность сушки по площади), +/- % | Стандартное отклонение (неравномерность сушки по установке), +/- % |
слой | Сумма | Среднее арифметическое значение | слой | Сумма | Среднее арифметическое значение |
верхний | средний | нижний | верхний | средний | нижний |
| 1 2 3 ... n | | | | | | | | | | | | |
Сумма | | | | | | | | | | | | |
Среднее арифметическое значение | | | | | | | | | | | | |
Предельные отклонения от среднего значения (неравномерность сушки по толщине слоя, +/- %) | | | | | | | | | | | | |
Исполнитель __________________ ___________________ ____________________
должность личная подпись инициалы, фамилия
Ведомость определения температуры и неравномерности нагрева
материала при испытании шахтных сушилок
Марка машины ____________________________ Дата ____________________________
Место испытаний _____________________ Культура, сорт ______________________
Режим ___________________________________ Опыт ____________________________
(семенной, продовольственный)
Средства измерений ________________________________________________________
Время измерения | Сушильная камера |
Температура нагрева со стороны подачи агента сушки в местах отбора проб, °C |
Левый короб | Средний короб | Правый короб | Среднее арифметическое значение | Неравномерность нагрева, +/- °C |
a | b | c | a | b | c | a | b | c |
| | | | | | | | | | | |
Исполнитель __________________ ___________________ ____________________
должность личная подпись инициалы, фамилия
Ведомость определения температуры и неравномерности нагрева
материала при испытании барабанных, карусельных,
колонковых, рециркуляционных сушилок
Марка машины ____________________________ Дата ____________________________
Место испытаний _____________________ Культура, сорт ______________________
Режим ___________________________________ Опыт ____________________________
(семенной, продовольственный)
Средства измерений ________________________________________________________
Время измерения | Температура зерна, °C | Сумма | Среднее арифметическое значение температуры, °C | Предельные отклонения, +/- °C | Неравномерность нагрева, +/- °C |
Проба |
1 | 2 | 3 | 4 | 5 | 6 |
| | | | | | | | | | |
Исполнитель __________________ ___________________ ____________________
должность личная подпись инициалы, фамилия
Ведомость определения температуры и неравномерности нагрева
материала в ворохе (для сушилок периодического действия)
Марка машины ____________________________ Дата ____________________________
Место испытаний _____________ Культура, сорт ____________ Опыт ____________
Средства измерений ________________________________________________________
Точка отбора проб | Температура нагрева, °C | Среднее арифметическое значение, °C | Отклонение от среднего (неравномерность нагрева по площади), +/- °C |
Верхний слой | Средний слой | Нижний слой | Сумма |
1 2 3 ... n | | | | | | |
Сумма | | | | | | |
Среднее арифметическое значение | | | | | | |
Отклонение от среднего (неравно мерность нагрева по толщине вороха), +/- °C | | | | | | |
Примечание. Температуру измеряют в конце опыта при выключенном воздухоподогревателе. |
Исполнитель __________________ ___________________ ____________________
должность личная подпись инициалы, фамилия
Ведомость определения микроповреждений семян
Марка машины ____________________________ Дата ____________________________
Место испытаний ______________________ Культура, сорт _____________________
Опыт _________________________________ Повторность ________________________
Наименование материала ____________________________________________________
(до и после сушки)
Средства измерений ________________________________________________________
Проба | Число семян с микроповреждениями, шт. | Целые семена образца, шт. | Общее число семян в пробе, шт. |
Повреждение эндосперма | Дробление под пленкой | Повреждена оболочка зародыша | Поврежден зародыш | Выбит зародыш | Всего |
1 2 3 4 | | | | | | | | |
Сумма, шт. | | | | | | | | |
Количественная доля, % | | | | | | | | |
Примечания 1. Показатель графы 2 определяют для риса, кукурузы, пшеницы. 2. Показатель графы 3 определяют только для риса. |
Исполнитель __________________ ___________________ ____________________
должность личная подпись инициалы, фамилия
Ведомость определения степени размола травяной муки
Марка машины ______________________________ Опыт __________________________
Место испытаний ___________________________ Дата __________________________
Вид травы _________________________________________________________________
Средства измерений ________________________________________________________
Навеска | Размер решета (фракции) и величина схода с него | Масса исходной навески, г |
| | |
Масса фракции, г | Массовая доля, % | Масса фракции, г | Массовая доля, % | Масса фракции, г | Массовая доля, % |
1 2 3 ... n | | | | | | | |
Сумма | | | | | | | |
Среднее арифметическое значение | | | | | | | |
Исполнитель __________________ ___________________ ____________________
должность личная подпись инициалы, фамилия
Ведомость учета массы материала до и после сушки
при испытании сушилок периодического действия
Марка машины ____________________________ Дата ____________________________
Место испытаний _________________________ Опыт ____________________________
Средства измерений ________________________________________________________
Время взвешивания | Номер партии | Масса, кг |
до сушки | после сушки |
1 2 3 ... n | | | |
Общая масса | | | |
Исполнитель __________________ ___________________ ____________________
должность личная подпись инициалы, фамилия
Ведомость параметров отработанных агента сушки
и охлаждающего воздуха
Марка машины ________________________________ Дата ________________________
Место испытаний ____________ Культура, сорт ____________ Опыт _____________
Средства измерений ________________________________________________________
Время измерения | Параметры отработанного агента сушки | Параметры отработанного охлаждающего воздуха |
Температура термометра, °C | Психрометрическая разница, °C | Относительная влажность, % | Температура термометра, °C | Психрометрическая разница, °C | Относительная влажность, % |
сухого | смоченного | сухого | смоченного |
| | | | | | | | |
Сумма | | | | | | | | |
Среднее арифметическое значение | | | | | | | | |
Предельное отклонение от среднего значения, +/- °C | | | | | | | | |
Исполнитель __________________ ___________________ ____________________
должность личная подпись инициалы, фамилия
Ведомость измерений динамического давления
Марка машины ______________________________________________________________
Место испытания __________________________ Опыт ___________________________
Культура, сорт ___________________________ Дата ___________________________
Давление окружающего воздуха, Па __________________________________________
Температура окружающей среды, °C __________________________________________
Показатель микроманометра _________________________________________________
3
Плотность спирта, г/см ___________________________________________________
Место измерения ___________________________________________________________
Средства измерений ________________________________________________________
Повторность | Трубопровод круглого сечения | Трубопровод прямоугольного сечения |
Горизонтальное направление | Вертикальное направление | Номер точки |
Номер точки | Номер точки |
1 | 2 | 3 | 4 | ...n | 1 | 2 | 3 | 4 | ...n | 1 | 2 | 3 | 4 | ...n |
1 | | | | | | | | | | | | | | | |
2 | | | | | | | | | | | | | | | |
3 ... n | | | | | | | | | | | | | | | |
Среднее арифметическое значение | | | | | | | | | | | | | | | |
Исполнитель __________________ ___________________ ____________________
должность личная подпись инициалы, фамилия
Ведомость измерений скорости воздушного потока анемометром
Марка машины ______________________________________________________________
Место испытания __________________________ Режим __________________________
Культура, сорт ___________________________ Дата ___________________________
Место измерения ___________________________________________________________
Тип, марка и N прибора ____________________________________________________
Средства измерений ________________________________________________________
Опыт | Повторность | Продолжительность работы счетчика анемометра, с | Показание анемометра | Разность показаний анемометра a | Число показаний в секунду  | Значение переводного множителя (по паспорту анемометра) c | Скорость воздушного потока  |
начальное | конечное |
1 2 3 ... n | | | | | | | | |
Среднее арифметическое значение скорости воздушного потока, м/с | | | | | | | | |
Стандартное отклонение, +/- м/с | | | | | | | | |
Коэффициент вариации, % | | | | | | | | |
Исполнитель __________________ ___________________ ____________________
должность личная подпись инициалы, фамилия
Ведомость измерения скорости воздушного потока цифровым
анемометром
Марка машины ________________________ Место измерения _____________________
Место испытаний _____________________ Культура, сорт ______________________
Дата ________________________________ Режим _______________________________
Средства измерений ________________________________________________________
Точка измерений | Повторность | Средняя скорость воздушного потока по точкам измерений, м/с |
1 | 2 | 3 |
1 2 3 ... 50 | | | | |
Средняя скорость воздушного потока, м/с | | | | |
Стандартное отклонение, +/- м/с | | | | |
Коэффициент вариации, % | | | | |
Исполнитель __________________ ___________________ ____________________
должность личная подпись инициалы, фамилия
Ведомость измерений расхода топлива
Марка машины _____________________________ Режим __________________________
Место испытаний ____________________ Культура, сорт _______________________
Опыт ________________________________ Вид топлива _________________________
Начало опыта ________________________ Конец опыта _________________________
Средства измерений ________________________________________________________
Время измерения | Показания весов, расходомера | Масса топлива, израсходованного за опыт, кг | Продолжительность опыта, ч | Расход топлива, кг/ч | Примечание |
до опыта | после опыта |
| | | | | | |
Исполнитель __________________ ___________________ ____________________
должность личная подпись инициалы, фамилия
(рекомендуемое)
СХЕМЫ МЕСТ ИЗМЕРЕНИЙ ПОКАЗАТЕЛЕЙ И ОТБОРА ПРОБ
ПРИ ИСПЫТАНИИ СУШИЛЬНЫХ МАШИН И УСТАНОВОК

- атмосферный воздух;

- отработанный воздух;

- топливо;

- отработанный агент сушки;

- движение зерна;

- поступающий агент сушки
1 - место отбора топочных газов; 2 - место измерения
температуры поступающего агента сушки; 3 - место измерения
скорости движения поступающего агента сушки; 4 - место
отбора проб материала для определения качества (чистоты,
всхожести и т.д.) до сушки; 5 - место отбора проб материала
для определения влажности и температуры зерна до сушки; 6 -
место измерений параметров отработанного агента сушки; 7 -
место отбора проб материала для определения неравномерности
сушки и нагрева; 8 - место отбора проб материала
для определения влажности и температуры зерна после сушки;
9 - место отбора проб для определения показателей качества
(влажности и температуры зерна после охлаждения); 10 -
место измерения расхода топлива; 11 - место определения
пропускной способности
Рисунок В.1. Схема мест измерений и отбора проб
при испытании сушилок шахтного типа

- атмосферный воздух;

- отработанный воздух;

- топливо;

- отработанный агент сушки;

- движение зерна;

- поступающий агент сушки
1 - место отбора проб топочных газов; 2 - место измерения
температуры поступающего агента сушки; 3 - место измерения
скорости движения поступающего агента сушки; 4 - место
отбора проб материала для определения показателей качества
до сушки; 5 - место отбора проб материала для определения
влажности и температуры зерна до сушки; 6 - место измерений
параметров отработанного агента сушки; 7 - место отбора
проб для определения неравномерности сушки, температуры
и влажности зерна после сушки; 8 - место отбора проб
для определения неравномерности нагрева; 9 - место отбора
проб материала для определения показателей качества,
температуры и влажности после охлаждения; 10 - место
измерения расхода топлива
Рисунок В.2. Схема мест измерений и отбора проб
при испытании сушилок барабанного типа

- влажное зерно;

- частично высушенное в 1-й шахте подогретое зерно;

- смесь влажного и частично высушенного подогретого
зерна;

- смесь зерна после подогревательной колонки;

- сухое подогретое зерно;

- сухое охлажденное зерно;

- агент сушки для шахт сушилки;

- агент сушки для подогревательной колонки;

- отработанный агент сушки
1 - место отбора проб материала для определения
его качества, влажности и температуры до сушки;
2 - место определения производительности дозатора-
смесителя; 3 - место измерения расхода топлива;
4 - место отбора топочных газов; 5 - место определения
температуры и влажности зерновой смеси (сырое зерно +
рециркуляционное); 6 - место определения температуры агента
сушки подогревательной колонки; 7 - место определения
температуры и относительной влажности отработанного агента
сушки и скорости потока воздуха подогревательной колонки;
8 - место отбора проб материала для определения температуры
нагрева и влажности; 9 - место определения температуры
и скорости потока агента сушки, поступающего в шахты сушки;
10 - место определения пропускной способности шахты;
11 - место определения температуры, относительной влажности
и скорости потока отработавшего в 1-й шахте агента сушки;
12 - место отбора проб материала для определения
его температуры и влажности после 1-й шахты; 13 - место
определения температуры, относительной влажности и скорости
потока отработанного во 2-й шахте агента сушки; 14 - место
определения пропускной способности 2-й шахты; 15 - место
отбора проб материала для определения температуры
и влажности; 16 - место отбора проб для определения
температуры и влажности материала; 17, 18 - место отбора
проб материала для определения равномерности сушки
и нагрева
Рисунок В.3. Схема мест измерений и отбора проб
при испытании рециркуляционных зерносушилок
1 - место измерения температуры поступающего агента сушки;
2 - место измерения скорости поступающего агента сушки,
наружного воздуха; 3 - место отбора проб исходного
материала; 4 - места отбора проб материала для определения
его влажности и температуры; 5 - место отбора проб
для определения влажности, температуры и качества материала
после вентилирования (сушки)
Рисунок В.4. Схема мест измерений и отбора проб
при испытании бункеров активного вентилирования
1, 1', 1'', ...9, 9', 9'' - точки отбора проб
для определения влажности, неравномерности сушки
и нагрева материала; 10 и 11 - места измерений параметров
отработанного агента сушки; 12 - вход агента сушки
Рисунок В.5. Схема мест измерений, отбора проб материала
и определения показателей при сушке в слое (вороха льна,
хлопка и др.)

- атмосферный воздух;

- продукты сгорания;

- подогретый воздух;

- смесь продуктов сгорания с подогретым воздухом
1 - место для отбора проб топочных газов и измерения
температуры уходящих газов; 2 - место измерения температуры
поступающего агента сушки; 3 - место измерения скорости
поступающего агента сушки (при стендовых испытаниях
воздухоподогревателя); 4 - место измерения динамического
напора скорости поступающего агента сушки
при лабораторно-хозяйственных испытаниях; 5 - место отбора
проб материала до и после сушки для определения влажности
температуры, показателей качества, неравномерности сушки
в трех сечениях (I, II, III); 6 - место измерения расхода
топлива; 7 - место отбора топочных газов при работе
на смеси атмосферного воздуха с продуктами сгорания
Рисунок В.6. Схема мест измерений и отбора проб
при испытании воздухоподогревателей с напольной установкой

- движение вороха льна;

- поступающий агент сушки;

- отработанный агент сушки
1 - место отбора проб вороха льна до сушки; 2 - место
отбора проб вороха льна после сушки; 3 - место измерения
температуры поступающего агента сушки; 4 - количество
поступающего агента сушки; 5 - расход топлива
Рисунок В.7. Схема мест измерений и отбора проб
при испытании сушилок вороха льна карусельного типа
(справочное)
Таблица Г.1
Характеристика твердого и жидкого топлива
Вид топлива и район месторождения | Наименование месторождения | Марка и сорт | Рабочая масса топлива | Низшая теплотворная способность  | | RO2max, % | Vо, нм3/кг |
Состав, % |
Wр | Aр | | Cр | Hр | Nр | Oр |
Ископаемые угли: | | | | | | | | | | | | | |
Кузнецкий бассейн | Кемеровское | К-ПС-СС | 9,0 | 15,5 | 0,5 | 64,9 | 3,8 | 1,5 | 4,8 | 5990 | 0,118 | 18,78 | 6,64 |
То же | Ленинское | Г | 9,0 | 10,0 | 0,6 | 66,1 | 4,6 | 2,2 | 6,6 | 6240 | 0,137 | 18,47 | 6,9 |
" | Прокопьевско-Киселевское | СС | 6,0 | 10,3 | 0,4 | 73,2 | 3,9 | 1,8 | 4,4 | 6770 | 0,110 | 18,92 | 7,41 |
" | Араличевское | Т | 7,0 | 16,7 | 0,6 | 68,3 | 3,1 | 1,5 | 2,8 | 6130 | 0,096 | 19,16 | 6,82 |
Карагандинский бассейн | - | Б | 26,0 | 17,0 | 0,6 | 41,9 | 2,7 | 0,5 | 11,3 | 3620 | 0,072 | 19,59 | 4,09 |
Подмосковный бассейн | - | Б | 33,0 | 23,5 | 2,9 | 29,1 | 2,2 | 0,6 | 8,7 | 2510 | 0,087 | 19,32 | 2,98 |
Печорский бассейн | - | Д | 11,0 | 24,9 | 2,5 | 47,4 | 3,2 | 1,3 | 9,7 | 4340 | 0,099 | 19,11 | 4,82 |
Урал | Челябинское | Б | 17,0 | 24,9 | 1,2 | 41,8 | 3,0 | 1,0 | 11,1 | 3770 | 0,091 | 19,25 | 4,18 |
" | Егоршинское | А | 5,0 | 20,9 | 0,4 | 66,7 | 2,7 | 1,0 | 3,3 | 5880 | 0,081 | 19,43 | 6,55 |
Казахстан | Иртышское | СС | 8,0 | 36,8 | 0,8 | 44,2 | 2,9 | 0,8 | 6,5 | 4050 | 0,110 | 18,92 | 4,61 |
" | Ленгеровское | Б | 27,0 | 14,6 | 2,1 | 44,4 | 2,6 | 0,4 | 8,9 | 3850 | 0,077 | 19,50 | 4,41 |
Красноярский край | Канское | Б | 32,0 | 10,2 | 0,5 | 41,6 | 2,9 | 0,8 | 12,0 | 3570 | 0,080 | 19,44 | 4,09 |
Хакасская автономная область | Минусинское | Д | 13,0 | 10,4 | 0,6 | 67,9 | 4,8 | 1,9 | 1,4 | 6340 | 0,162 | 18,07 | 7,28 |
Иркутская область | Черемховское | Д | 14,0 | 21,5 | 1,0 | 50,0 | 3,7 | 1,0 | 8,8 | 4660 | 0,123 | 18,70 | 5,17 |
Читинская область | Тарбагатайское | Б | 25,0 | 13,5 | 3,7 | 45,5 | 3,1 | 0,8 | 8,4 | 4050 | 0,104 | 19,02 | 4,71 |
Хабаровский край | Райчихинское | Б | 37,0 | 9,5 | 0,2 | 37,8 | 2,3 | 0,5 | 12,7 | 3070 | 0,045 | 20,10 | 3,56 |
Приморский край | Суганское | Т | 6,0 | 23,5 | 0,4 | 63,5 | 2,8 | 0,7 | 3,1 | 5720 | 0,090 | 19,27 | 6,3 |
Торф | - | Кусковой | 40,0 | 6,6 | 0,2 | 30,9 | 3,2 | 1,3 | 17,8 | 2560 | 0,076 | 19,52 | 3,00 |
- | Фрезерный | 50,0 | 5,5 | 0,1 | 25,7 | 2,7 | 1,1 | 14,9 | 2030 | 0,078 | 19,48 | 2,51 |
Дрова | - | - | 40,0 | 0,6 | - | 30,3 | 3,6 | 0,4 | 25,1 | 2440 | 0,035 | 20,29 | 2,91 |
Керосин | - | - | 0 | 0 | 0,2 | 86,0 | 13,7 | 0,1 | 10260 | 0,374 | 15,28 | 11,28 |
Дизельное автотракторное | - | - | Следы | | 0,3 | 86,3 | 13,3 | 0,1 | 10180 | 0,361 | 15,43 | 11,20 |
Соляровое масло | - | - | - | 0,02 | 0,3 | 86,5 | 12,8 | 0,4 | 10110 | 0,346 | 15,60 | 11,08 |
Моторное топливо | - | - | 1,5 | 0,05 | 0,39 | 85,16 | 12,41 | 0,49 | 9880 | 0,340 | 15,67 | 10,85 |
Таблица Г.2
Характеристика газообразного топлива
Месторождение природного газа | Состав газа по объему, % | Низшая теплотворная способность, Qн, ккал/нм3 | Вес нормального кубометра, кг/нм3 | RO2 | | Vо, нм3/кг |
H2S | CO2 | O2 | CO | H2 | CH4 | C2H6 | C3H8 | C4H10 | C5H12 | N2 |
Бугуруславское | 1,0 | 0,2 | - | - | - | 76,7 | 4,5 | 1,7 | 0,8 | 0,6 | 14,5 | 8109 | 0,884 | 11,97 | 0,754 | 10,19 |
Елшанское | Следы | 0,2 | - | - | - | 94,0 | 1,2 | 0,7 | 0,4 | 0,2 | 3,3 | 8560 | 0,765 | 11,93 | 0,760 | 12,44 |
Ставропольское | " | 0,1 | | - | - | 98,0 | 0,4 | 0,2 | - | - | 1,3 | 8489 | 0,730 | 11,80 | 0,780 | 12,97 |
(справочное)
ПРИМЕРЫ МАТЕМАТИЧЕСКОЙ ОБРАБОТКИ ДАННЫХ
ПО НЕРАВНОМЕРНОСТИ СУШКИ
Таблица Д.1
Для сушилок непрерывного действия
Пробы определения влажности | Зерносушилка 1 | Зерносушилка 2 |
влажность, %, | отклонение от средней  | квадрат отклонения  | влажность, %, | отклонение от средней  | квадрат отклонения  |
1 | 13,0 | -1,2 | 1,4 | 15,0 | 0,8 | 0,6 |
2 | 13,7 | -0,5 | 0,3 | 14,5 | 0,3 | 0,1 |
3 | 15,8 | 1,6 | 2,6 | 13,3 | -0,9 | 0,8 |
4 | 14,2 | 0,0 | 0,0 | 13,8 | 0,4 | 0,2 |
5 | 13,8 | -0,4 | 0,2 | 14,0 | -0,2 | 0,0 |
6 | 14,6 | 0,4 | 0,2 | 13,3 | -0,9 | 0,8 |
7 | 14,0 | -0,2 | 0,0 | 14,6 | 0,4 | 0,2 |
8 | 13,9 | -0,3 | 0,1 | 14,4 | 0,2 | 0,0 |
9 | 14,0 | -0,2 | 0,0 | 13,0 | -1,2 | 1,4 |
10 | 13,7 | -0,5 | 0,3 | 15,8 | 1,6 | 2,6 |
11 | 14,8 | 0,6 | 0,4 | 14,1 | -0,1 | 0,0 |
12 | 14,5 | 0,3 | 0,1 | 14,2 | 0,0 | 0,0 |
Сумма | 170,0 | | 5,6 | 170,0 | | 6,7 |
| |
Предельные отклонения по 1-й зерносушилке +1,6; -1,2 | Предельные отклонения по 2-й зерносушилке +1,6; -1,2 |
| |
Таблица Д.2
Для сушилок периодического действия
Точки отбора проб | Влажность в точках отбора проб, % | Отклонение от средней (неравномерность сушки по площади), +/- %, | Квадрат отклонения  |
слой | сумма  | средняя  |
верхний  | средний  | нижний  |
1 | 15 | 13 | 12 | 40 | 13,3 | +1,6 | 2,6 |
2 | 14 | 11 | 10 | 35 | 11,7 | 0 | 0 |
3 | 12 | 10 | 10 | 32 | 10,7 | -1 | 1 |
4 | 13 | 12 | 11 | 36 | 12,0 | +0,3 | 0,1 |
5 | 11 | 10 | 9 | 30 | 10,0 | -1,7 | 2,7 |
6 | 12 | 11 | 10 | 33 | 11,0 | -0,7 | 0,5 |
7 | 13 | 13 | 12 | 38 | 12,6 | +0,9 | 0,8 |
8 | 14 | 10 | 11 | 35 | 11,7 | 0 | 0 |
9 | 15 | 12 | 9 | 36 | 12,0 | +0,3 | 0,1 |
Сумма | 119 | 102 | 94 | 315 | 105,0 | - | 7,8 |
Среднее арифметическое значение | 13,2 | 11,3 | 10,4 | 35 | 11,7 | - | |
Отклонение от средней по слоям (неравномерность сушки по толщине слоя), +/- % | 1,5 | -0,4 | -1,3 | - | - | - | |
Неравномерность сушки по установке | | | | | |
(справочное)
Таблица Е.1
Коэффициент K
в пересчета массы просушенного зерна
в плановые единицы в зависимости от его влажности до
и после сушки
Влажность зерна после сушки, % | Влажность зерна до сушки, % |
13,5 | 14,0 | 14,5 | 15,0 | 15,5 | 16,0 | 16,5 | 17,0 | 17,5 | 18,0 | 18,5 | 19,0 | 19,5 | 20,0 | 20,5 | 21,0 | 21,5 | 22,0 |
12,0 | 0,57 | 0,68 | 0,75 | 0,82 | 0,89 | 0,96 | 1,01 | 1,08 | 1,13 | 1,17 | 1,23 | 1,29 | 1,32 | 1,37 | 1,42 | | | |
12,5 | | 0,54 | 0,64 | 0,70 | 0,78 | 0,85 | 0,92 | 0,97 | 1,03 | 1,08 | 1,12 | 1,20 | 1,22 | 1,27 | 1,33 | | | |
13,0 | | | 0,51 | 0,60 | 0,66 | 0,74 | 0,80 | 0,87 | 0,93 | 1,00 | 1,05 | 1,08 | 1,12 | 1,15 | | 1,24 | | 1,34 |
13,5 | | | | 0,47 | 0,57 | 0,62 | 0,70 | 0,76 | 0,84 | 0,88 | 0,96 | 1,00 | 1,05 | 1,08 | 1,12 | 1,17 | 1,22 | 1,27 |
14,0 | | | | | | 0,54 | 0,60 | 0,67 | 0,73 | 0,80 | 0,86 | 0,92 | 0,97 | 1,00 | 1,03 | 1,10 | 1,15 | 1,20 |
14,5 | | | | | | 0,42 | 0,52 | 0,57 | 0,64 | 0,70 | 0,78 | 0,84 | 0,89 | 0,93 | 0,99 | 1,03 | 1,08 | 1,13 |
15,0 | | | | | | | | 0,49 | 0,55 | 0,62 | 0,68 | 0,74 | 0,80 | 0,87 | 0,93 | 0,97 | 1,01 | 1,08 |
15,5 | | | | | | | | 0,38 | 0,47 | 0,53 | 0,59 | 0,66 | 0,73 | 0,79 | 0,86 | 0,92 | 0,96 | 1,01 |
16,0 | | | | | | | | | | 0,46 | 0,50 | 0,57 | 0,64 | 0,72 | 0,78 | 0,85 | 0,91 | 0,96 |
16,5 | | | | | | | | | | 0,35 | 0,44 | 0,49 | 0,56 | 0,62 | 0,70 | 0,77 | 0,84 | 0,89 |
17,0 | | | | | | | | | | | | 0,42 | 0,46 | 0,54 | 0,61 | 0,69 | 0,76 | 0,82 |
17,5 | | | | | | | | | | | | | 0,42 | 0,47 | 0,53 | 0,60 | 0,68 | 0,75 |
18,0 | | | | | | | | | | | | | | 0,41 | 0,43 | 0,52 | 0,59 | 0,68 |
18,5 | | | | | | | | | | | | | | | 0,39 | | 0,52 | 0,58 |
19,0 | | | | | | | | | | | | | | | | | | 0,51 |
Продолжение таблицы Е.1
Влажность зерна после сушки, % | Влажность зерна до сушки, % |
22,5 | 23,0 | 23,5 | 24,0 | 24,5 | 25,0 | 25,5 | 26,0 | 26,5 | 27,0 | 27,5 | 28,0 | 28,5 | 29,0 | 29,5 | 30,0 | 30,5 |
12,0 | | | | | | | | | | | | | | | | | |
12,5 | | | | | | | | | | | | | | | | | |
13,0 | | 1,49 | | | | | | | | | | | | | | | |
13,5 | 1,31 | 1,43 | 1,46 | | | | | | | | | | | | | | |
14,0 | 1,27 | 1,31 | 1,39 | 1,46 | 1,50 | 1,54 | 1,58 | 1,63 | 1,69 | 1,75 | 1,81 | 1,88 | 1,95 | 2,01 | 2,07 | 2,14 | 2,20 |
14,5 | 1,17 | 1,24 | 1,29 | 1,37 | 1,43 | 1,47 | 1,52 | 1,57 | 1,62 | 1,69 | 1,75 | 1,82 | 1,88 | 1,94 | 2,01 | 2,07 | 2,14 |
15,0 | 1,12 | 1,17 | 1,22 | 1,29 | 1,37 | 1,43 | 1,45 | 1,50 | 1,56 | 1,62 | 1,69 | 1,75 | 1,82 | 1,88 | 1,94 | 2,01 | 2,07 |
15,5 | 1,07 | 1,12 | 1,15 | 1,22 | 1,27 | 1,34 | 1,40 | 1,44 | 1,50 | 1,56 | 1,62 | 1,69 | 1,75 | 1,82 | 1,89 | 1,94 | 2,01 |
16,0 | 1,00 | 1,05 | 1,10 | 1,15 | 1,22 | 1,28 | 1,34 | 1,39 | 1,43 | 1,50 | 1,56 | 1,63 | 1,68 | 1,75 | 1,81 | 1,87 | 1,94 |
16,5 | 0,95 | 0,99 | 1,03 | 1,08 | 1,13 | 1,20 | 1,24 | 1,34 | 1,37 | 1,45 | 1,50 | 1,56 | 1,62 | 1,69 | 1,74 | 1,81 | 1,87 |
17,0 | 0,88 | 0,93 | 0,97 | 1,01 | 1,08 | 1,13 | 1,20 | 1,27 | 1,31 | 1,39 | 1,44 | 1,50 | 1,55 | 1,62 | 1,68 | 1,74 | 1,81 |
17,5 | 0,82 | 0,87 | 0,92 | 0,96 | 1,00 | 1,07 | 1,12 | 1,17 | 1,24 | 1,31 | 1,37 | 1,43 | 1,49 | 1,57 | 1,61 | 1,68 | 1,74 |
18,0 | 0,74 | 0,80 | 0,86 | 0,91 | 0,96 | 1,00 | 1,07 | 1,13 | 1,17 | 1,24 | 1,29 | 1,37 | 1,42 | 1,49 | 1,54 | 1,61 | 1,68 |
18,5 | 0,67 | 0,74 | 0,80 | 0,86 | 0,89 | 0,95 | 0,99 | 1,05 | 1,12 | 1,17 | 1,22 | 1,29 | 1,34 | 1,43 | 1,48 | 1,54 | 1,61 |
19,0 | 0,58 | 0,66 | 0,73 | 0,80 | 0,85 | 0,89 | 0,93 | 0,99 | 1,05 | 1,12 | 1,17 | 1,24 | 1,29 | 1,37 | 1,42 | 1,48 | 1,54 |
19,5 | | 0,57 | 0,66 | 0,72 | 0,79 | 0,84 | 0,88 | 0,93 | 0,97 | 1,05 | 1,10 | 1,17 | 1,22 | 1,29 | 1,34 | 1,42 | 1,48 |
20,0 | | | | 0,65 | 0,71 | 0,78 | 0,82 | 0,88 | 0,93 | 0,99 | 1,03 | 1,12 | 1,17 | 1,24 | 1,29 | 1,37 | 1,42 |
20,5 | | | | 0,56 | 0,64 | 0,70 | 0,77 | 0,82 | 0,87 | 0,92 | 0,97 | 1,03 | 1,10 | 1,17 | 1,22 | 1,29 | 1,34 |
21,0 | | | | 0,49 | 0,56 | 0,64 | 0,70 | 0,77 | 0,82 | 0,87 | 0,92 | 0,97 | 1,03 | 1,10 | 1,17 | 1,22 | 1,29 |
21,5 | | | | 0,42 | 0,48 | 0,54 | 0,63 | 0,70 | 0,76 | 0,82 | 0,86 | 0,92 | 0,96 | 1,03 | 1,08 | 1,15 | 1,20 |
22,0 | | | | | | | | 0,62 | 0,69 | 0,76 | 0,82 | 0,86 | 0,92 | 0,97 | 1,03 | 1,10 | 1,15 |
22,5 | | | | | | | | 0,54 | 0,62 | 0,69 | 0,75 | 0,82 | 0,85 | 0,92 | 0,96 | 1,03 | 1,08 |
23,0 | | | | | | | | | | | | 0,75 | 0,80 | 0,85 | 0,91 | 0,97 | 1,03 |
23,5 | | | | | | | | | | | | 0,68 | 0,74 | 0,80 | 0,84 | 0,91 | 0,96 |
24,0 | | | | | | | | | | | | 0,62 | 0,68 | 0,74 | 0,80 | 0,85 | 0,91 |
24,5 | | | | | | | | | | | | | | 0,68 | 0,74 | 0,80 | 0,84 |
25,0 | | | | | | | | | | | | | | 0,62 | 0,68 | 0,74 | 0,80 |
25,5 | | | | | | | | | | | | | | | 0,61 | | 0,74 |
Продолжение таблицы Е.1
Влажность зерна после сушки, % | Влажность зерна до сушки, % |
31,0 | 31,5 | 32,0 | 32,5 | 33,0 | 33,5 | 34,0 | 34,5 | 35,0 | 35,5 | 36,0 | 36,5 | 37,0 | 37,5 | 38,0 | 38,5 | 39,0 | 39,5 | 40,0 |
12,0 | | | | | | | | | | | | | | | | | | | |
12,5 | | | | | | | | | | | | | | | | | | | |
13,0 | | | | | | | | | | | | | | | | | | | |
13,5 | | | | | | | | | | | | | | | | | | | |
14,0 | 2,26 | 2,32 | 2,39 | 2,45 | 2,52 | 2,58 | 2,64 | 2,70 | 2,77 | 2,83 | 2,90 | 2,95 | 3,02 | 3,08 | 3,14 | 3,20 | 3,28 | 3,33 | 3,40 |
14,5 | 2,20 | 2,25 | 2,33 | 2,39 | 2,46 | 2,52 | 2,58 | 2,64 | 2,71 | 2,77 | 2,84 | 2,90 | 2,96 | 3,02 | 3,08 | 3,14 | 3,21 | 3,28 | 3,34 |
15,0 | 2,13 | 2,20 | 2,26 | 2,33 | 2,40 | 2,46 | 2,52 | 2,57 | 2,64 | 2,71 | 2,77 | 2,83 | 2,89 | 2,96 | 3,02 | 3,08 | 3,15 | 3,21 | 3,28 |
15,5 | 2,07 | 2,13 | 2,19 | 2,26 | 2,33 | 2,39 | 2,45 | 2,51 | 2,58 | 2,64 | 2,71 | 2,77 | 2,83 | 2,89 | 2,96 | 3,02 | 3,09 | 3,15 | 3,21 |
16,0 | 2,00 | 2,07 | 2,14 | 2,19 | 2,27 | 2,33 | 2,39 | 2,45 | 2,52 | 2,58 | 2,64 | 2,70 | 2,77 | 2,83 | 2,89 | 2,96 | 3,02 | 3,09 | 3,15 |
16,5 | 1,94 | 2,00 | 2,07 | 2,13 | 2,20 | 2,27 | 2,32 | 2,38 | 2,45 | 2,51 | 2,58 | 2,64 | 2,70 | 2,76 | 2,83 | 2,89 | 2,96 | 3,02 | 3,08 |
17,0 | 1,87 | 1,94 | 2,00 | 2,07 | 2,14 | 2,20 | 2,26 | 2,32 | 2,39 | 2,45 | 2,51 | 2,58 | 2,64 | 2,70 | 2,77 | 2,83 | 2,90 | 2,96 | 3,02 |
17,5 | 1,81 | 1,87 | 1,94 | 2,00 | 2,07 | 2,14 | 2,20 | 2,25 | 2,32 | 2,38 | 2,46 | 2,51 | 2,57 | 2,64 | 2,70 | 2,77 | 2,83 | 2,90 | 2,96 |
18,0 | 1,74 | 1,80 | 1,87 | 1,94 | 2,01 | 2,07 | 2,13 | 2,19 | 2,26 | 2,32 | 2,39 | 2,45 | 2,51 | 2,57 | 2,64 | 2,70 | 2,77 | 2,83 | 2,90 |
18,5 | 1,68 | 1,74 | 1,81 | 1,87 | 1,94 | 2,01 | 2,07 | 2,13 | 2,20 | 2,26 | 2,32 | 2,39 | 2,45 | 2,51 | 2,57 | 2,64 | 2,71 | 2,77 | 2,83 |
19,0 | 1,61 | 1,68 | 1,74 | 1,81 | 1,88 | 1,94 | 2,00 | 2,07 | 2,13 | 2,20 | 2,26 | 2,32 | 2,39 | 2,45 | 2,51 | 2,57 | 2,64 | 2,70 | 2,77 |
19,5 | 1,55 | 1,61 | 1,68 | 1,74 | 1,82 | 1,88 | 1,94 | 2,00 | 2,07 | 2,13 | 2,19 | 2,26 | 2,32 | 2,38 | 2,45 | 2,51 | 2,58 | 2,64 | 2,71 |
20,0 | 1,48 | 1,55 | 1,61 | 1,68 | 1,74 | 1,82 | 1,87 | 1,93 | 2,00 | 2,07 | 2,13 | 2,19 | 2,26 | 2,32 | 2,38 | 2,45 | 2,52 | 2,58 | 2,64 |
20,5 | 1,42 | 1,48 | 1,55 | 1,61 | 1,69 | 1,74 | 1,81 | 1,87 | 1,94 | 2,00 | 2,07 | 2,13 | 2,19 | 2,25 | 2,32 | 2,38 | 2,45 | 2,52 | 2,58 |
21,0 | 1,37 | 1,41 | 1,49 | 1,55 | 1,63 | 1,69 | 1,74 | 1,81 | 1,87 | 1,94 | 2,00 | 2,06 | 2,13 | 2,19 | 2,25 | 2,32 | 2,39 | 2,45 | 2,51 |
21,5 | 1,29 | 1,34 | 1,42 | 1,49 | 1,55 | 1,62 | 1,68 | 1,74 | 1,81 | 1,87 | 1,94 | 2,00 | 2,06 | 2,13 | 2,18 | 2,25 | 2,32 | 2,39 | 2,45 |
22,0 | 1,22 | 1,29 | 1,37 | 1,42 | 1,49 | 1,55 | 1,62 | 1,68 | 1,75 | 1,81 | 1,87 | 1,93 | 2,00 | 2,06 | 2,12 | 2,18 | 2,26 | 2,32 | 2,39 |
22,5 | 1,15 | 1,20 | 1,29 | 1,34 | 1,43 | 1,49 | 1,55 | 1,61 | 1,68 | 1,74 | 1,81 | 1,87 | 1,93 | 1,99 | 2,06 | 2,12 | 2,20 | 2,25 | 2,32 |
23,0 | 1,10 | 1,15 | 1,22 | 1,29 | 1,37 | 1,43 | 1,49 | 1,55 | 1,62 | 1,67 | 1,74 | 1,80 | 1,87 | 1,93 | 1,99 | 2,06 | 2,13 | 2,19 | 2,26 |
23,5 | 1,03 | 1,08 | 1,15 | 1,20 | 1,29 | 1,34 | 1,42 | 1,48 | 1,55 | 1,61 | 1,68 | 1,74 | 1,81 | 1,87 | 1,93 | 1,99 | 2,06 | 2,13 | 2,19 |
24,0 | 0,97 | 1,03 | 1,10 | 1,15 | 1,22 | 1,29 | 1,37 | 1,42 | 1,49 | 1,55 | 1,62 | 1,68 | 1,75 | 1,81 | 1,87 | 1,93 | 2,00 | 2,06 | 2,13 |
24,5 | 0,91 | 0,96 | 1,03 | 1,08 | 1,15 | 1,20 | 1,29 | 1,34 | 1,42 | 1,49 | 1,55 | 1,62 | 1,68 | 1,74 | 1,80 | 1,87 | 1,94 | 2,00 | 2,07 |
25,0 | 0,85 | 0,91 | 0,97 | 1,03 | 1,10 | 1,15 | 1,22 | 1,29 | 1,37 | 1,42 | 1,49 | 1,55 | 1,61 | 1,67 | 1,74 | 1,80 | 1,87 | 1,94 | 2,00 |
25,5 | 0,80 | 0,84 | 0,91 | 0,96 | 1,03 | 1,08 | 1,15 | 1,20 | 1,29 | 1,34 | 1,42 | 1,49 | 1,55 | 1,61 | 1,67 | 1,74 | 1,81 | 1,87 | 1,94 |
26,0 | 0,74 | 0,80 | 0,85 | 0,91 | 0,97 | 1,03 | 1,10 | 1,15 | 1,22 | 1,29 | 1,37 | 1,42 | 1,48 | 1,55 | 1,61 | 1,67 | 1,75 | 1,81 | 1,88 |
26,5 | | 0,74 | 0,80 | 0,84 | 0,91 | 0,96 | 1,03 | 1,08 | 1,15 | 1,20 | 1,29 | 1,34 | 1,42 | 1,48 | 1,55 | 1,61 | 1,68 | 1,75 | 1,81 |
27,0 | | | 0,74 | 0,80 | 0,85 | 0,91 | 0,97 | 1,03 | 1,10 | 1,15 | 1,22 | 1,29 | 1,37 | 1,42 | 1,48 | 1,55 | 1,62 | 1,68 | 1,75 |
27,5 | | | | 0,74 | 0,80 | 0,84 | 0,91 | 0,96 | 1,03 | 1,08 | 1,15 | 1,20 | 1,29 | 1,34 | 1,42 | 1,48 | 1,55 | 1,62 | 1,68 |
28,0 | | | | | 0,74 | 0,80 | 0,85 | 0,91 | 0,97 | 1,03 | 1,10 | 1,15 | 1,22 | 1,29 | 1,37 | 1,42 | 1,49 | 1,55 | 1,62 |
28,5 | | | | | | 0,74 | 0,80 | 0,84 | 0,91 | 0,96 | 1,03 | 1,08 | 1,15 | 1,20 | 1,29 | 1,34 | 1,42 | 1,49 | 1,55 |
29,0 | | | | | | | 0,74 | 0,80 | 0,85 | 0,91 | 0,97 | 1,03 | 1,10 | 1,15 | 1,22 | 1,29 | 1,37 | 1,42 | 1,49 |
29,5 | | | | | | | | 0,74 | 0,80 | 0,84 | 0,91 | 0,96 | 1,03 | 1,08 | 1,15 | 1,20 | 1,29 | 1,34 | 1,43 |
30,0 | | | | | | | | | 0,74 | 0,80 | 0,85 | 0,91 | 0,97 | 1,03 | 1,10 | 1,15 | 1,22 | 1,29 | 1,37 |
30,5 | | | | | | | | | | 0,74 | 0,80 | 0,84 | 0,91 | 0,96 | 1,03 | 1,08 | 1,15 | 1,20 | 1,29 |
31,0 | | | | | | | | | | | 0,74 | 0,80 | 0,85 | 0,91 | 0,97 | 1,03 | 1,10 | 1,15 | 1,22 |
31,5 | | | | | | | | | | | | 0,74 | 0,80 | 0,84 | 0,91 | 0,96 | 1,03 | 1,08 | 1,15 |
32,0 | | | | | | | | | | | | | 0,74 | 0,80 | 0,85 | 0,91 | 0,97 | 1,03 | 1,10 |
32,5 | | | | | | | | | | | | | | 0,74 | 0,80 | 0,84 | 0,91 | 0,96 | 1,03 |
33,0 | | | | | | | | | | | | | | | 0,74 | 0,80 | 0,85 | 0,91 | 0,97 |
33,5 | | | | | | | | | | | | | | | | 0,74 | 0,80 | 0,84 | 0,91 |
34,0 | | | | | | | | | | | | | | | | | 0,74 | 0,80 | 0,85 |
34,5 | | | | | | | | | | | | | | | | | | 0,74 | 0,80 |
35,0 | | | | | | | | | | | | | | | | | | | 0,74 |
Таблица Е.2
Коэффициент K
к пересчета массы просушенного зерна
в плановые единицы при сушке различных культур
Культура, назначение зерна | Kк |
Пшеница продовольственная, овес и ячмень продовольственные и кормовые | 1,00 |
Пшеница сильная, твердая и ценных сортов | 1,25 |
Ячмень пивоваренный | 1,66 |
Рожь | 0,91 |
Просо | 1,25 |
Горох | 2,00 |
Гречиха | 0,80 |
Кукуруза: | |
- для крахмалопаточной промышленности | 1,82 |
- для пищеконцентратной промышленности | 3,08 |
- кормовая | 1,54 |
Рис | 2,50 |
Таблица Е.3
Коэффициент (K
в·K
к) пересчета массы просушенного
подсолнечника в плановые единицы в зависимости от влажности
семян до и после сушки
Влажность после сушки, % | Влажность до сушки, % |
12,0 | 12,5 | 13,0 | 13,5 | 14,0 | 14,5 | 15,0 | 15,5 | 16,0 | 16,5 | 17,0 | 17,5 | 18,0 | 18,5 | 19,0 | 19,5 | 20,0 | 20,5 | 21,0 | 21,5 |
6,5 | 2,12 | 2,16 | 2,21 | 2,25 | 2,30 | 2,35 | 2,41 | 2,47 | 2,53 | 2,59 | 2,65 | 2,71 | 2,78 | 2,86 | 2,94 | 3,02 | 3,11 | 3,20 | 3,30 | 3,39 |
7,0 | При | 2,08 | 2,13 | 2,17 | 2,22 | 2,27 | 2,31 | 2,35 | 2,42 | 2,49 | 2,55 | 2,61 | 2,69 | 2,77 | 2,85 | 2,92 | 3,01 | 3,09 | 3,18 |
7,5 | данном сочетании | 2,04 | 2,08 | 2,12 | 2,16 | 2,19 | 2,26 | 2,33 | 2,38 | 2,43 | 2,51 | 2,58 | 2,65 | 2,72 | 2,79 | 2,87 | 2,96 |
8,0 | влажности семени подсолнечника производительность | 2,04 | 2,10 | 2,16 | 2,21 | 2,26 | 2,33 | 2,39 | 2,46 | 2,53 | 2,60 | 2,67 | 2,74 |
8,5 | сушилки ограничена пропускной способностью очистительных машин | 2,08 | 2,15 | 2,21 | 2,27 | 2,33 | 2,39 | 2,45 | 2,52 |
9,0 | и транспортных коммуникаций, коэффициент пересчета (Kв·Kк) принимать равным 2 | 2,02 | 2,07 | 2,13 | 2,18 | 2,23 | 2,30 |
9,5 | | 2,01 | 2,07 |
Окончание таблицы Е.3
Влажность после сушки, % | Влажность до сушки, % |
22,0 | 22,5 | 23,0 | 23,5 | 24,0 | 24,5 | 25,0 | 25,5 | 26,0 | 26,5 | 27,0 | 27,5 | 28,0 | 28,5 | 29,0 | 29,5 | 30,0 |
6,5 | 3,49 | 3,59 | 3,69 | 3,79 | 3,90 | 4,00 | 4,11 | 4,22 | 4,33 | 4,44 | 4,56 | 4,67 | 4,79 | 4,90 | 5,02 | 5,14 | 5,25 |
7,0 | 3,27 | 3,38 | 3,48 | 3,58 | 3,67 | 3,77 | 3,86 | 3,97 | 4,08 | 4,18 | 4,29 | 4,40 | 4,51 | 4,62 | 4,74 | 4,83 | 4,96 |
7,5 | 3,04 | 3,14 | 3,24 | 3,33 | 3,42 | 3,52 | 3,61 | 3,71 | 3,81 | 3,92 | 4,02 | 4,13 | 4,23 | 4,35 | 4,46 | 4,55 | 4,66 |
8,0 | 2,82 | 2,91 | 3,00 | 3,09 | 3,17 | 3,26 | 3,35 | 3,45 | 3,55 | 3,66 | 3,76 | 3,86 | 3,96 | 4,06 | 4,17 | 4,27 | 4,37 |
8,5 | 2,60 | 2,68 | 2,76 | 2,84 | 2,91 | 3,00 | 3,09 | 3,19 | 3,29 | 3,39 | 3,48 | 3,58 | 3,68 | 3,79 | 3,89 | 3,98 | 4,07 |
9,0 | 2,37 | 2,44 | 2,52 | 2,59 | 2,67 | 2,75 | 2,84 | 2,93 | 3,02 | 3,12 | 3,22 | 3,31 | 3,40 | 3,50 | 3,60 | 3,69 | 3,78 |
9,5 | 2,14 | 2,20 | 2,27 | 2,34 | 2,42 | 2,50 | 2,58 | 2,67 | 2,76 | 2,85 | 2,95 | 3,04 | 3,13 | 3,22 | 3,31 | 3,39 | 3,48 |
10,0 | | | 2,03 | 2,10 | 2,17 | 2,24 | 2,32 | 2,40 | 2,49 | 2,58 | 2,67 | 2,76 | 2,85 | 2,93 | 3,02 | 3,10 | 3,19 |
Таблица Е.4
Коэффициент K
т пересчета производительности установки
для сушки зеленого корма в зависимости от влажности травы
до и после сушки
Влажность после сушки, % | Влажность до сушки, % |
60 | 61 | 62 | 63 | 64 | 65 | 66 | 67 | 68 | 69 | 70 | 71 | 72 | 73 | 74 | 75 | 76 | 77 | 78 | 79 | 80 | 81 | 82 | 83 | 84 | 85 | 86 | 87 | 88 | 89 | 90 |
5 | 0,88 | 0,88 | 0,88 | 0,89 | 0,89 | 0,90 | 0,91 | 0,92 | 0,94 | 0,95 | 0,96 | 0,98 | 1,00 | 1,02 | 1,05 | 1,08 | 1,14 | 1,20 | 1,28 | 1,36 | 1,44 | 1,54 | 1,65 | 1,77 | 1,90 | 2,05 | 2,23 | 2,43 | 2,66 | 6,94 | 3,27 |
6 | 0,86 | 0,86 | 0,87 | 0,87 | 0,88 | 0,89 | 0,89 | 0,91 | 0,93 | 0,93 | 0,95 | 0,97 | 0,99 | 1,01 | 1,04 | 1,06 | 1,12 | 1,19 | 1,26 | 1,34 | 1,42 | 1,52 | 1,62 | 1,74 | 1,88 | 2,03 | 2,20 | 2,40 | 2,63 | 2,90 | 3,21 |
7 | 0,85 | 0,85 | 0,85 | 0,86 | 0,86 | 0,87 | 0,88 | 0,89 | 0,91 | 0,92 | 0,93 | 0,95 | 0,97 | 0,99 | 1,02 | 1,05 | 1,11 | 1,17 | 1,24 | 1,32 | 1,40 | 1,50 | 1,60 | 1,72 | 1,85 | 2,00 | 2,17 | 2,37 | 2,60 | 2,87 | 3,19 |
8 | 0,83 | 0,83 | 0,84 | 0,84 | 0,85 | 0,85 | 0,86 | 0,88 | 0,90 | 0,90 | 0,92 | 0,94 | 0,96 | 0,98 | 1,00 | 1,03 | 1,09 | 1,15 | 1,22 | 1,30 | 1,39 | 1,48 | 1,58 | 1,70 | 1,83 | 1,97 | 2,14 | 2,34 | 2,56 | 2,83 | 3,15 |
9 | 0,82 | 0,82 | 0,82 | 0,83 | 0,83 | 0,84 | 0,85 | 0,86 | 0,88 | 0,89 | 0,91 | 0,92 | 0,94 | 0,97 | 0,99 | 1,02 | 1,07 | 1,14 | 1,21 | 1,28 | 1,37 | 1,46 | 1,56 | 1,67 | 1,80 | 1,95 | 2,12 | 2,31 | 2,53 | 2,80 | 3,12 |
10 | 0,80 | 0,80 | 0,81 | 0,81 | 0,82 | 0,82 | 0,83 | 0,85 | 0,86 | 0,87 | 0,89 | 0,91 | 0,93 | 0,95 | 0,97 | 1,00 | 1,06 | 1,12 | 1,19 | 1,26 | 1,35 | 1,44 | 1,54 | 1,65 | 1,78 | 1,92 | 2,09 | 2,28 | 2,50 | 2,76 | 3,08 |
11 | 0,78 | 0,79 | 0,79 | 0,80 | 0,80 | 0,81 | 0,82 | 0,83 | 0,85 | 0,86 | 0,88 | 0,89 | 0,91 | 0,93 | 0,96 | 0,99 | 1,04 | 1,10 | 1,17 | 1,25 | 1,33 | 1,42 | 1,52 | 1,63 | 1,76 | 1,90 | 2,06 | 2,25 | 2,47 | 2,73 | 3,04 |
12 | 0,77 | 0,77 | 0,77 | 0,78 | 0,79 | 0,80 | 0,81 | 0,82 | 0,84 | 0,84 | 0,86 | 0,88 | 0,90 | 0,92 | 0,94 | 0,97 | 1,03 | 1,09 | 1,15 | 1,23 | 1,31 | 1,40 | 1,50 | 1,61 | 1,73 | 1,87 | 2,03 | 2,22 | 2,44 | 2,69 | 3,00 |
13 | 0,75 | 0,75 | 0,76 | 0,76 | 0,77 | 0,78 | 0,79 | 0,80 | 0,82 | 0,83 | 0,85 | 0,86 | 0,88 | 0,91 | 0,93 | 0,95 | 1,01 | 1,07 | 1,14 | 1,21 | 1,29 | 1,38 | 1,47 | 1,58 | 1,71 | 1,85 | 2,01 | 2,19 | 2,41 | 2,66 | 2,96 |
14 | 0,73 | 0,74 | 0,74 | 0,75 | 0,76 | 0,76 | 0,78 | 0,79 | 0,81 | 0,82 | 0,83 | 0,85 | 0,87 | 0,89 | 0,91 | 0,94 | 0,99 | 1,05 | 1,12 | 1,19 | 1,27 | 1,36 | 1,45 | 1,56 | 1,68 | 1,82 | 1,98 | 2,16 | 2,37 | 2,62 | 2,92 |
15 | 0,72 | 0,72 | 0,73 | 0,73 | 0,74 | 0,75 | 0,76 | 0,77 | 0,79 | 0,80 | 0,82 | 0,83 | 0,85 | 0,87 | 0,90 | 0,92 | 0,98 | 1,04 | 1,10 | 1,17 | 1,25 | 1,34 | 1,43 | 1,54 | 1,66 | 1,80 | 1,95 | 2,13 | 2,34 | 2,59 | 2,89 |
(справочное)
ПСИХРОМЕТРИЧЕСКИЕ ТАБЛИЦЫ
Таблица Ж.1
Определение температуры воздуха, движущегося со скоростью
до 0,5 м/с
Психрометрическая разница, °C | Температура сухого термометра, °C | Психрометрическая разница, °C | Температура сухого термометра, °C |
-10 | -8 | -6 | -4 | -2 | 0 | +2 | +4 | +6 | +8 | +10 | +12 | +14 | +16 | +18 | +20 | +22 | +24 | +26 | +28 | +30 | +32 | +34 | +36 | +38 | +40 |
0 | 85 | 87 | 89 | 91 | 92 | 100 | 100 | 100 | 100 | 100 | 100 | 100 | 100 | 100 | 100 | 100 | 0 | 100 | 100 | 100 | 100 | 100 | 100 | 100 | 100 | 100 | 100 |
0,1 | 81 | 83 | 86 | 87 | 89 | 97 | 98 | 98 | 98 | 98 | 98 | 98 | 99 | 99 | 99 | 99 | - | - | - | - | - | - | - | - | - | - | - |
0,2 | 76 | 80 | 82 | 84 | 86 | 95 | 95 | 96 | 96 | 96 | 97 | 97 | 97 | 97 | 98 | 98 | 0,2 | 98 | 98 | 98 | 98 | 98 | 98 | 99 | 99 | 99 | 99 |
0,3 | 72 | 76 | 79 | 81 | 84 | 92 | 93 | 94 | 94 | 95 | 95 | 96 | 96 | 96 | 96 | 97 | 0,4 | 96 | 96 | 96 | 97 | 97 | 97 | 97 | 97 | 97 | 97 |
0,4 | 67 | 72 | 75 | 78 | 81 | 89 | 90 | 91 | 92 | 93 | 94 | 94 | 95 | 95 | 95 | 96 | 0,6 | 94 | 94 | 94 | 95 | 95 | 95 | 95 | 96 | 96 | 96 |
0,5 | 63 | 68 | 72 | 75 | 78 | 87 | 88 | 89 | 90 | 91 | 92 | 92 | 93 | 93 | 94 | 94 | 0,8 | 91 | 92 | 93 | 93 | 93 | 93 | 94 | 94 | 94 | 95 |
0,6 | 58 | 64 | 68 | 72 | 75 | 84 | 86 | 87 | 88 | 89 | 90 | 91 | 92 | 92 | 93 | 93 | 1,0 | 89 | 90 | 91 | 91 | 92 | 92 | 92 | 93 | 93 | 93 |
0,7 | 54 | 60 | 65 | 69 | 73 | 81 | 83 | 85 | 86 | 88 | 89 | 89 | 90 | 91 | 92 | 92 | 1,2 | 87 | 88 | 89 | 89 | 90 | 90 | 91 | 91 | 92 | 92 |
0,8 | 49 | 56 | 61 | 66 | 70 | 78 | 81 | 83 | 84 | 86 | 87 | 88 | 89 | 90 | 90 | 91 | 1,4 | 85 | 86 | 87 | 88 | 88 | 89 | 89 | 90 | 90 | 91 |
0,9 | 45 | 52 | 58 | 63 | 67 | 76 | 79 | 81 | 82 | 84 | 85 | 86 | 87 | 88 | 89 | 90 | 1,6 | 83 | 84 | 84 | 86 | 87 | 87 | 88 | 88 | 89 | 89 |
1,0 | 40 | 48 | 55 | 60 | 65 | 73 | 76 | 78 | 80 | 82 | 84 | 85 | 86 | 87 | 88 | 89 | 1,8 | 81 | 82 | 83 | 84 | 85 | 86 | 86 | 87 | 87 | 88 |
1,1 | 36 | 44 | 51 | 57 | 62 | 70 | 73 | 76 | 78 | 80 | 82 | 83 | 85 | 86 | 87 | 88 | 2,0 | 79 | 80 | 82 | 83 | 83 | 84 | 85 | 85 | 86 | 87 |
1,2 | - | 40 | 48 | 54 | 59 | 68 | 71 | 74 | 76 | 78 | 80 | 82 | 83 | 85 | 86 | 87 | 2,2 | 77 | 79 | 80 | 81 | 82 | 83 | 83 | 84 | 85 | 86 |
1,3 | - | 36 | 44 | 51 | 56 | 65 | 69 | 72 | 74 | 77 | 79 | 80 | 82 | 83 | 84 | 86 | 2,4 | 75 | 77 | 78 | 79 | 80 | 81 | 82 | 83 | 83 | 84 |
1,4 | - | - | 41 | 48 | 54 | 63 | 66 | 70 | 73 | 75 | 77 | 79 | 81 | 82 | 83 | 84 | 2,6 | 73 | 75 | 76 | 77 | 79 | 80 | 80 | 81 | 82 | 83 |
1,5 | - | - | 37 | 45 | 51 | 60 | 64 | 68 | 71 | 73 | 76 | 78 | 79 | 80 | 82 | 83 | 2,8 | 71 | 73 | 74 | 76 | 77 | 78 | 79 | 80 | 81 | 81 |
1,6 | - | - | - | 42 | 48 | 57 | 62 | 65 | 69 | 72 | 74 | 76 | 78 | 79 | 81 | 82 | 3,0 | 69 | 71 | 73 | 74 | 75 | 77 | 78 | 78 | 79 | 80 |
1,7 | - | - | - | 39 | 46 | 55 | 59 | 63 | 67 | 70 | 72 | 75 | 77 | 78 | 80 | 81 | 3,2 | 67 | 69 | 71 | 72 | 74 | 75 | 76 | 77 | 78 | 79 |
1,8 | - | - | - | - | 43 | 52 | 57 | 61 | 65 | 68 | 71 | 73 | 75 | 77 | 79 | 80 | 3,4 | 65 | 67 | 69 | 71 | 72 | 74 | 75 | 76 | 77 | 78 |
1,9 | - | - | - | - | 40 | 50 | 55 | 59 | 63 | 66 | 69 | 72 | 74 | 76 | 77 | 79 | 3,6 | 63 | 66 | 68 | 69 | 71 | 72 | 73 | 74 | 75 | 76 |
2,0 | - | - | - | - | 37 | 47 | 52 | 57 | 61 | 65 | 68 | 70 | 73 | 74 | 76 | 78 | 3,8 | 62 | 64 | 66 | 68 | 69 | 71 | 72 | 73 | 73 | 75 |
2,1 | - | - | - | - | - | 44 | 50 | 55 | 59 | 63 | 66 | 69 | 71 | 73 | 75 | 77 | 4,0 | 60 | 62 | 64 | 66 | 68 | 69 | 71 | 72 | 72 | 74 |
2,2 | - | - | - | - | - | 39 | 48 | 53 | 57 | 61 | 65 | 67 | 70 | 72 | 74 | 76 | 4,2 | 58 | 60 | 62 | 65 | 67 | 68 | 70 | 71 | 71 | 73 |
2,3 | - | - | - | - | - | - | 45 | 51 | 55 | 59 | 63 | 66 | 68 | 71 | 73 | 75 | 4,4 | 56 | 58 | 61 | 64 | 65 | 67 | 68 | 69 | 70 | 72 |
2,4 | - | - | - | - | - | - | 43 | 48 | 53 | 58 | 61 | 64 | 67 | 70 | 72 | 74 | 4,6 | 54 | 57 | 60 | 62 | 64 | 65 | 67 | 68 | 68 | 70 |
2,5 | - | - | - | - | - | - | 41 | 46 | 52 | 56 | 60 | 63 | 66 | 68 | 71 | 73 | 4,8 | 52 | 55 | 58 | 60 | 62 | 64 | 65 | 67 | 67 | 69 |
2,6 | - | - | - | - | - | - | 38 | 44 | 50 | 54 | 58 | 62 | 65 | 67 | 69 | 71 | 5,0 | 50 | 53 | 56 | 58 | 60 | 62 | 64 | 65 | 65 | 68 |
2,7 | - | - | - | - | - | - | - | 42 | 48 | 52 | 57 | 60 | 63 | 66 | 68 | 70 | 5,2 | 49 | 51 | 54 | 57 | 59 | 61 | 62 | 64 | 64 | 66 |
2,8 | - | - | - | - | - | - | - | 40 | 46 | 51 | 55 | 59 | 62 | 65 | 67 | 69 | 5,4 | 46 | 49 | 52 | 55 | 58 | 60 | 61 | 63 | 63 | 65 |
2,9 | - | - | - | - | - | - | - | 38 | 44 | 49 | 54 | 57 | 61 | 64 | 66 | 68 | 5,6 | 45 | 48 | 51 | 54 | 56 | 58 | 60 | 62 | 62 | 64 |
3,0 | - | - | - | - | - | - | - | - | 42 | 47 | 52 | 56 | 59 | 62 | 65 | 67 | 5,8 | 43 | 46 | 49 | 52 | 54 | 57 | 59 | 60 | 61 | 63 |
3,1 | - | - | - | - | - | - | - | - | 40 | 46 | 50 | 54 | 58 | 61 | 64 | 66 | 6,0 | 41 | 45 | 48 | 51 | 53 | 55 | 57 | 59 | 59 | 62 |
3,2 | - | - | - | - | - | - | - | - | 38 | 44 | 49 | 53 | 57 | 60 | 63 | 65 | 6,2 | 39 | 43 | 46 | 49 | 51 | 54 | 56 | 58 | 58 | 61 |
3,3 | - | - | - | - | - | - | - | - | - | 42 | 47 | 52 | 55 | 59 | 62 | 64 | 6,4 | 37 | 41 | 45 | 47 | 50 | 53 | 55 | 57 | 57 | 60 |
3,4 | - | - | - | - | - | - | - | - | - | 41 | 46 | 50 | 54 | 58 | 60 | 63 | 6,6 | - | 40 | 43 | 46 | 49 | 51 | 53 | 55 | 56 | 59 |
3,5 | - | - | - | - | - | - | - | - | - | 39 | 44 | 49 | 53 | 56 | 59 | 62 | 6,8 | - | 38 | 41 | 44 | 47 | 50 | 52 | 54 | 55 | 58 |
3,6 | - | - | - | - | - | - | - | - | - | - | 43 | 47 | 52 | 55 | 58 | 61 | 7,0 | - | - | 40 | 43 | 46 | 49 | 51 | 53 | 54 | 57 |
3,7 | - | - | - | - | - | - | - | - | - | - | 41 | 46 | 50 | 54 | 57 | 60 | 7,2 | - | - | 38 | 41 | 45 | 48 | 49 | 52 | 52 | 55 |
3,8 | - | - | - | - | - | - | - | - | - | - | 40 | 45 | 49 | 53 | 56 | 59 | 7,4 | - | - | - | 40 | 43 | 47 | 48 | 51 | 51 | 54 |
3,9 | - | - | - | - | - | - | - | - | - | - | 38 | 43 | 48 | 52 | 55 | 58 | 7,6 | - | - | - | 39 | 42 | 45 | 47 | 50 | 50 | 53 |
4,0 | - | - | - | - | - | - | - | - | - | - | - | 42 | 46 | 50 | 54 | 57 | 7,8 | - | - | - | - | 40 | 44 | 46 | 48 | 49 | 52 |
4,2 | - | - | - | - | - | - | - | - | - | - | - | 39 | 44 | 48 | 49 | 53 | 8,0 | - | - | - | - | 39 | 42 | 45 | 47 | 48 | 51 |
4,4 | - | - | - | - | - | - | - | - | - | - | - | - | 41 | 46 | 52 | 55 | 8,2 | - | - | - | - | - | 41 | 43 | 46 | 47 | 50 |
4,6 | - | - | - | - | - | - | - | - | - | - | - | - | 39 | 43 | 47 | 51 | 8,4 | - | - | - | - | - | 40 | 42 | 44 | 46 | 49 |
4,8 | - | - | - | - | - | - | - | - | - | - | - | - | - | 41 | 45 | 49 | 8,6 | - | - | - | - | - | 38 | 41 | 43 | 45 | 48 |
5,0 | - | - | - | - | - | - | - | - | - | - | - | - | - | 39 | 43 | 47 | 8,8 | - | - | - | - | - | - | 40 | 42 | 44 | 47 |
5,2 | - | - | - | - | - | - | - | - | - | - | - | - | - | - | 41 | 45 | 9,0 | - | - | - | - | - | - | 39 | 41 | 43 | 46 |
5,4 | - | - | - | - | - | - | - | - | - | - | - | - | - | - | 39 | 43 | 9,2 | - | - | - | - | - | - | - | 40 | 42 | 45 |
5,6 | - | - | - | - | - | - | - | - | - | - | - | - | - | - | - | 41 | 9,4 | - | - | - | - | - | - | - | 39 | 41 | 44 |
5,8 | - | - | - | - | - | - | - | - | - | - | - | - | - | - | - | 39 | 9,6 | - | - | - | - | - | - | - | - | 40 | 43 |
- | - | - | - | - | - | - | - | - | - | - | - | - | - | - | - | - | 9,8 | - | - | - | - | - | - | - | - | 39 | 42 |
- | - | - | - | - | - | - | - | - | - | - | - | - | - | - | - | - | 10,0 | - | - | - | - | - | - | - | - | - | 41 |
- | - | - | - | - | - | - | - | - | - | - | - | - | - | - | - | - | 10,2 | - | - | - | - | - | - | - | - | - | 39 |
- | - | - | - | - | - | - | - | - | - | - | - | - | - | - | - | - | 10,4 | - | - | - | - | - | - | - | - | - | 39 |
Продолжение таблицы Ж.1
Психрометрическая разница, °C | Температура сухого термометра, °C |
+40 | +42 | +44 | +46 | +48 | +50 | +52 | +54 | +56 | +58 | +60 | +62 | +64 | +66 | +68 | +70 | +72 | +74 | +76 | +78 | +80 | +82 | +84 | +86 | +88 | +90 |
0 | 100 | 100 | 100 | 100 | 100 | 100 | 100 | 100 | 100 | 100 | 100 | 100 | 100 | 100 | 100 | 100 | 100 | 100 | 100 | 100 | 100 | 100 | 100 | 100 | 100 | 100 |
0,5 | 97 | 97 | 97 | 97 | 97 | 97 | 97 | 97 | 97 | 97 | 97 | 97 | 97 | 97 | 97 | 97 | 97 | 97 | 97 | 97 | 97 | 97 | 97 | 97 | 97 | 98 |
1,0 | 93 | 93 | 93 | 94 | 94 | 94 | 94 | 94 | 95 | 95 | 95 | 95 | 95 | 95 | 96 | 96 | 96 | 96 | 96 | 96 | 96 | 96 | 96 | 96 | 96 | 96 |
1,5 | 90 | 90 | 90 | 91 | 91 | 91 | 92 | 92 | 92 | 92 | 92 | 92 | 93 | 93 | 93 | 93 | 93 | 93 | 94 | 94 | 94 | 94 | 94 | 94 | 94 | 94 |
2,0 | 87 | 87 | 87 | 88 | 88 | 88 | 89 | 89 | 89 | 90 | 90 | 90 | 90 | 91 | 91 | 91 | 91 | 91 | 91 | 91 | 91 | 92 | 92 | 92 | 92 | 92 |
2,5 | 83 | 84 | 84 | 85 | 85 | 86 | 86 | 87 | 87 | 88 | 88 | 88 | 88 | 89 | 89 | 89 | 89 | 89 | 89 | 89 | 90 | 90 | 90 | 90 | 90 | 90 |
3,0 | 80 | 81 | 81 | 82 | 82 | 83 | 83 | 84 | 84 | 85 | 85 | 85 | 86 | 86 | 86 | 87 | 87 | 87 | 87 | 87 | 88 | 88 | 88 | 88 | 88 | 88 |
3,5 | 77 | 78 | 78 | 78 | 79 | 80 | 80 | 81 | 81 | 82 | 82 | 83 | 83 | 84 | 84 | 84 | 85 | 85 | 85 | 85 | 86 | 86 | 86 | 86 | 86 | 87 |
4,0 | 74 | 75 | 75 | 76 | 77 | 78 | 78 | 79 | 79 | 80 | 80 | 81 | 81 | 82 | 82 | 82 | 83 | 83 | 83 | 84 | 84 | 84 | 84 | 84 | 85 | 85 |
4,5 | 71 | 72 | 73 | 74 | 74 | 75 | 75 | 76 | 77 | 77 | 78 | 79 | 79 | 80 | 80 | 80 | 81 | 81 | 81 | 82 | 82 | 82 | 83 | 83 | 83 | 84 |
5,0 | 68 | 69 | 70 | 71 | 72 | 73 | 73 | 74 | 74 | 75 | 75 | 76 | 76 | 77 | 77 | 78 | 78 | 79 | 79 | 80 | 80 | 80 | 81 | 81 | 81 | 82 |
5,5 | 65 | 66 | 67 | 68 | 69 | 70 | 71 | 72 | 72 | 73 | 73 | 74 | 74 | 75 | 75 | 76 | 76 | 77 | 77 | 78 | 78 | 79 | 79 | 79 | 79 | 80 |
6,0 | 62 | 63 | 64 | 66 | 67 | 68 | 68 | 69 | 70 | 71 | 71 | 72 | 73 | 73 | 73 | 74 | 74 | 75 | 75 | 76 | 76 | 77 | 77 | 78 | 78 | 78 |
6,5 | 60 | 61 | 62 | 63 | 64 | 65 | 66 | 67 | 68 | 69 | 69 | 70 | 70 | 71 | 71 | 72 | 72 | 73 | 73 | 74 | 74 | 75 | 75 | 76 | 76 | 77 |
7,0 | 57 | 58 | 59 | 61 | 62 | 63 | 64 | 65 | 66 | 67 | 68 | 69 | 69 | 70 | 71 | 71 | 72 | 72 | 73 | 73 | 74 | 74 | 74 | 75 | 75 | 75 |
7,5 | 54 | 55 | 56 | 58 | 59 | 61 | 62 | 63 | 64 | 65 | 65 | 66 | 67 | 67 | 68 | 68 | 69 | 69 | 70 | 70 | 71 | 71 | 72 | 72 | 73 | 73 |
8,0 | 51 | 53 | 54 | 56 | 57 | 59 | 60 | 61 | 62 | 63 | 63 | 63 | 65 | 65 | 66 | 66 | 67 | 67 | 68 | 68 | 69 | 69 | 70 | 70 | 71 | 71 |
8,5 | 48 | 50 | 52 | 53 | 55 | 56 | 58 | 59 | 60 | 61 | 61 | 62 | 63 | 64 | 64 | 65 | 65 | 66 | 66 | 67 | 67 | 68 | 68 | 69 | 69 | 70 |
9,0 | 46 | 48 | 50 | 51 | 53 | 54 | 55 | 56 | 57 | 58 | 59 | 60 | 61 | 62 | 62 | 63 | 64 | 65 | 65 | 66 | 66 | 67 | 67 | 68 | 68 | 69 |
9,5 | 44 | 46 | 48 | 49 | 51 | 52 | 53 | 54 | 55 | 57 | 58 | 59 | 60 | 60 | 61 | 62 | 62 | 63 | 64 | 64 | 65 | 65 | 66 | 66 | 67 | 67 |
10,0 | 41 | 43 | 45 | 47 | 49 | 50 | 51 | 52 | 53 | 55 | 56 | 57 | 58 | 58 | 59 | 60 | 60 | 61 | 62 | 63 | 63 | 64 | 64 | 65 | 66 | 66 |
10,5 | - | 41 | 43 | 45 | 47 | 48 | 49 | 50 | 51 | 53 | 54 | 55 | 56 | 57 | 58 | 58 | 59 | 60 | 61 | 61 | 62 | 62 | 63 | 63 | 64 | 65 |
11,0 | - | - | 40 | 42 | 44 | 46 | 48 | 49 | 50 | 51 | 52 | 53 | 54 | 55 | 56 | 57 | 58 | 58 | 59 | 60 | 60 | 61 | 61 | 62 | 62 | 63 |
11,5 | - | - | - | 40 | 42 | 44 | 46 | 47 | 48 | 49 | 50 | 52 | 53 | 53 | 54 | 55 | 56 | 57 | 57 | 58 | 59 | 59 | 60 | 60 | 61 | 61 |
12,0 | - | - | - | - | 40 | 42 | 43 | 45 | 46 | 47 | 48 | 49 | 50 | 51 | 52 | 54 | 54 | 55 | 56 | 56 | 57 | 58 | 58 | 59 | 59 | 60 |
12,5 | - | - | - | - | - | 40 | 42 | 43 | 45 | 46 | 47 | 48 | 49 | 50 | 51 | 52 | 53 | 54 | 55 | 55 | 56 | 56 | 57 | 57 | 58 | 58 |
13,0 | - | - | - | - | - | - | - | 41 | 43 | 44 | 45 | 46 | 47 | 48 | 49 | 50 | 51 | 52 | 54 | 54 | 55 | 55 | 56 | 56 | 57 | 57 |
13,5 | - | - | - | - | - | - | - | - | 41 | 42 | 43 | 45 | 45 | 46 | 47 | 48 | 50 | 50 | 51 | 52 | 53 | 54 | 54 | 55 | 56 | 56 |
14,0 | - | - | - | - | - | - | - | - | - | 41 | 42 | 43 | 44 | 45 | 46 | 47 | 48 | 49 | 50 | 50 | 51 | 52 | 53 | 53 | 54 | 55 |
14,5 | - | - | - | - | - | - | - | - | - | - | 41 | 42 | 43 | 44 | 45 | 46 | 47 | 48 | 49 | 49 | 50 | 51 | 51 | 52 | 53 | 54 |
15,0 | - | - | - | - | - | - | - | - | - | - | - | 40 | 41 | 42 | 43 | 44 | 45 | 46 | 47 | 48 | 49 | 50 | 50 | 51 | 52 | 53 |
15,5 | - | - | - | - | - | - | - | - | - | - | - | - | 40 | 41 | 42 | 43 | 44 | 45 | 46 | 47 | 48 | 48 | 49 | 50 | 50 | 51 |
16,0 | - | - | - | - | - | - | - | - | - | - | - | - | - | 40 | 41 | 42 | 43 | 44 | 45 | 46 | 47 | 47 | 48 | 49 | 49 | 50 |
16,5 | - | - | - | - | - | - | - | - | - | - | - | - | - | - | 40 | 41 | 42 | 43 | 43 | 44 | 45 | 46 | 47 | 48 | 48 | 49 |
17,0 | - | - | - | - | - | - | - | - | - | - | - | - | - | - | - | 39 | 40 | 41 | 42 | 43 | 44 | 45 | 46 | 46 | 47 | 48 |
17,5 | - | - | - | - | - | - | - | - | - | - | - | - | - | - | - | - | 39 | 40 | 41 | 42 | 43 | 44 | 45 | 45 | 46 | 47 |
18,0 | - | - | - | - | - | - | - | - | - | - | - | - | - | - | - | - | - | 39 | 40 | 41 | 42 | 42 | 43 | 44 | 45 | 45 |
18,5 | - | - | - | - | - | - | - | - | - | - | - | - | - | - | - | - | - | - | 38 | 40 | 41 | 41 | 42 | 43 | 44 | 44 |
19,0 | - | - | - | - | - | - | - | - | - | - | - | - | - | - | - | - | - | - | - | 39 | 39 | 40 | 41 | 42 | 43 | 43 |
19,5 | - | - | - | - | - | - | - | - | - | - | - | - | - | - | - | - | - | - | - | - | 38 | 39 | 40 | 41 | 41 | 42 |
20,0 | - | - | - | - | - | - | - | - | - | - | - | - | - | - | - | - | - | - | - | - | - | 38 | 39 | 40 | 40 | 41 |
20,5 | - | - | - | - | - | - | - | - | - | - | - | - | - | - | - | - | - | - | - | - | - | - | 38 | 39 | 39 | 40 |
21,0 | - | - | - | - | - | - | - | - | - | - | - | - | - | - | - | - | - | - | - | - | - | - | - | 38 | 38 | 39 |
Пример. Температура сухого термометра .............. 60 °C
Относительная влажность 71%.
Психрометрическая разница ........................... 6 °C
Таблица Ж.2
Определение относительной влажности воздуха, движущегося
со скоростью 2,5 м/с и выше
Психрометрическая разница, °C | Температура сухого термометра, °C | Психрометрическая разница, °C | Температура сухого термометра, °C |
-10 | -8 | -6 | -4 | -2 | 0 | +2 | +4 | +6 | +8 | +10 | +12 | +14 | +16 | +18 | +20 | +22 | +24 | +26 | +28 | +30 | +32 | +34 | +36 | +38 | +40 |
0 | 95 | 96 | 97 | 97 | 98 | 98 | 100 | 100 | 100 | 100 | 100 | 100 | 100 | 100 | 100 | 100 | 0 | 100 | 100 | 100 | 100 | 100 | 100 | 100 | 100 | 100 | 100 |
0,1 | 92 | 93 | 95 | 96 | 97 | 97 | 98 | 98 | 99 | 99 | 99 | 99 | 99 | 99 | 99 | 99 | 0,2 | 98 | 99 | 99 | 99 | 99 | 99 | 99 | 99 | 99 | 99 |
0,2 | 90 | 91 | 93 | 94 | 96 | 96 | 97 | 97 | 98 | 98 | 98 | 98 | 98 | 99 | 99 | 99 | 0,4 | 96 | 97 | 97 | 97 | 97 | 97 | 97 | 97 | 98 | 98 |
0,3 | 87 | 88 | 90 | 92 | 94 | 94 | 95 | 95 | 96 | 96 | 96 | 97 | 97 | 98 | 98 | 98 | 0,6 | 95 | 95 | 95 | 95 | 95 | 95 | 95 | 95 | 96 | 96 |
0,4 | 84 | 85 | 87 | 90 | 92 | 92 | 94 | 94 | 95 | 95 | 95 | 96 | 96 | 97 | 97 | 97 | 0,8 | 92 | 94 | 94 | 94 | 94 | 94 | 94 | 94 | 95 | 95 |
0,5 | 82 | 83 | 85 | 88 | 90 | 91 | 93 | 93 | 94 | 94 | 94 | 95 | 95 | 96 | 96 | 96 | 1,0 | 91 | 92 | 92 | 93 | 93 | 93 | 93 | 93 | 94 | 94 |
0,6 | 79 | 80 | 82 | 85 | 88 | 89 | 91 | 92 | 92 | 92 | 92 | 93 | 94 | 95 | 95 | 95 | 1,2 | 89 | 90 | 91 | 91 | 91 | 91 | 92 | 92 | 93 | 93 |
0,7 | 76 | 78 | 80 | 83 | 86 | 87 | 89 | 91 | 91 | 91 | 91 | 92 | 93 | 94 | 94 | 94 | 1,4 | 88 | 89 | 89 | 89 | 89 | 89 | 90 | 90 | 92 | 92 |
0,8 | 73 | 75 | 77 | 81 | 84 | 85 | 86 | 89 | 89 | 89 | 90 | 91 | 92 | 93 | 93 | 93 | 1,6 | 86 | 87 | 87 | 87 | 88 | 88 | 89 | 89 | 91 | 91 |
0,9 | 70 | 72 | 75 | 79 | 82 | 83 | 85 | 87 | 87 | 88 | 89 | 90 | 91 | 92 | 92 | 92 | 1,8 | 85 | 85 | 85 | 86 | 87 | 87 | 88 | 88 | 89 | 89 |
1,0 | 67 | 70 | 73 | 77 | 80 | 82 | 84 | 85 | 86 | 87 | 88 | 89 | 90 | 91 | 91 | 91 | 2,0 | 83 | 84 | 84 | 85 | 86 | 86 | 87 | 87 | 88 | 88 |
1,1 | 64 | 67 | 70 | 76 | 78 | 80 | 82 | 84 | 85 | 86 | 87 | 88 | 89 | 90 | 90 | 90 | 2,2 | 81 | 82 | 83 | 83 | 84 | 85 | 86 | 86 | 87 | 87 |
1,2 | 61 | 64 | 68 | 73 | 76 | 78 | 80 | 83 | 83 | 84 | 85 | 87 | 88 | 89 | 89 | 90 | 2,4 | 80 | 81 | 81 | 82 | 83 | 84 | 85 | 85 | 85 | 85 |
1,3 | 57 | 62 | 66 | 71 | 74 | 76 | 79 | 82 | 82 | 83 | 84 | 86 | 87 | 88 | 88 | 89 | 2,6 | 79 | 80 | 80 | 81 | 82 | 82 | 84 | 84 | 84 | 84 |
1,4 | 54 | 59 | 64 | 69 | 72 | 74 | 77 | 80 | 80 | 81 | 83 | 85 | 86 | 87 | 87 | 88 | 2,8 | 77 | 78 | 78 | 79 | 80 | 81 | 82 | 82 | 83 | 83 |
1,5 | 51 | 57 | 62 | 67 | 71 | 73 | 76 | 78 | 79 | 80 | 82 | 84 | 85 | 86 | 86 | 87 | 3,0 | 75 | 76 | 77 | 78 | 79 | 80 | 81 | 81 | 82 | 82 |
1,6 | 48 | 54 | 59 | 65 | 69 | 71 | 75 | 77 | 78 | 79 | 80 | 82 | 84 | 85 | 85 | 86 | 3,2 | 74 | 74 | 75 | 76 | 78 | 79 | 80 | 80 | 81 | 81 |
1,7 | 45 | 52 | 57 | 63 | 67 | 70 | 73 | 75 | 76 | 78 | 79 | 81 | 83 | 84 | 84 | 85 | 3,4 | 72 | 73 | 74 | 75 | 76 | 77 | 79 | 79 | 80 | 80 |
1,8 | 39 | 49 | 55 | 61 | 65 | 68 | 72 | 74 | 75 | 77 | 78 | 80 | 82 | 83 | 83 | 84 | 3,6 | 71 | 71 | 72 | 73 | 75 | 76 | 78 | 78 | 78 | 78 |
1,9 | 38 | 47 | 53 | 59 | 63 | 66 | 70 | 73 | 74 | 76 | 77 | 79 | 81 | 82 | 82 | 83 | 3,8 | 69 | 70 | 71 | 72 | 74 | 75 | 76 | 77 | 77 | 77 |
2,0 | 35 | 45 | 51 | 57 | 62 | 65 | 68 | 71 | 73 | 75 | 76 | 78 | 80 | 81 | 81 | 82 | 4,0 | 68 | 69 | 70 | 71 | 72 | 74 | 75 | 75 | 76 | 76 |
2,1 | 32 | 43 | 49 | 55 | 60 | 63 | 66 | 70 | 71 | 73 | 75 | 77 | 79 | 80 | 81 | 82 | 4,2 | 66 | 68 | 69 | 70 | 71 | 73 | 74 | 74 | 75 | 76 |
2,2 | 29 | 41 | 47 | 53 | 58 | 61 | 64 | 68 | 70 | 72 | 74 | 76 | 78 | 79 | 80 | 81 | 4,4 | 65 | 66 | 67 | 68 | 69 | 71 | 73 | 73 | 74 | 75 |
2,3 | 26 | 39 | 45 | 51 | 57 | 59 | 63 | 67 | 69 | 71 | 73 | 75 | 77 | 78 | 79 | 80 | 4,6 | 63 | 65 | 66 | 67 | 68 | 70 | 71 | 71 | 72 | 73 |
2,4 | 23 | 37 | 43 | 49 | 55 | 57 | 61 | 65 | 67 | 70 | 72 | 74 | 76 | 77 | 78 | 80 | 4,8 | 62 | 63 | 65 | 66 | 67 | 69 | 70 | 70 | 71 | 72 |
2,5 | 20 | 35 | 41 | 47 | 53 | 56 | 60 | 64 | 66 | 69 | 71 | 73 | 75 | 77 | 78 | 79 | 5,0 | 60 | 62 | 64 | 65 | 66 | 68 | 69 | 69 | 70 | 71 |
2,6 | 18 | 32 | 39 | 45 | 51 | 54 | 59 | 63 | 65 | 68 | 70 | 72 | 74 | 76 | 77 | 78 | 5,2 | 59 | 61 | 62 | 63 | 65 | 66 | 67 | 68 | 69 | 70 |
2,7 | 15 | 30 | 37 | 43 | 49 | 52 | 57 | 61 | 63 | 66 | 68 | 71 | 73 | 75 | 76 | 77 | 5,4 | 58 | 59 | 61 | 62 | 64 | 65 | 66 | 67 | 68 | 69 |
2,8 | 12 | 27 | 35 | 41 | 47 | 51 | 56 | 60 | 62 | 65 | 67 | 70 | 72 | 74 | 75 | 76 | 5,6 | 56 | 58 | 60 | 61 | 63 | 64 | 65 | 66 | 67 | 68 |
2,9 | 10 | 24 | 33 | 39 | 45 | 49 | 55 | 59 | 61 | 64 | 66 | 69 | 71 | 73 | 74 | 75 | 5,8 | 55 | 57 | 59 | 60 | 62 | 63 | 64 | 65 | 66 | 67 |
3,0 | - | 22 | 32 | 38 | 44 | 48 | 53 | 58 | 60 | 63 | 65 | 68 | 70 | 72 | 73 | 74 | 6,0 | 54 | 56 | 58 | 59 | 61 | 62 | 63 | 64 | 65 | 66 |
3,1 | - | 20 | 30 | 36 | 42 | 46 | 51 | 56 | 58 | 61 | 64 | 67 | 69 | 71 | 72 | 73 | 6,2 | 52 | 54 | 56 | 58 | 60 | 61 | 62 | 63 | 64 | 65 |
3,2 | - | 18 | 28 | 34 | 41 | 45 | 49 | 54 | 57 | 60 | 63 | 66 | 68 | 70 | 72 | 72 | 6,4 | 51 | 53 | 55 | 56 | 58 | 60 | 61 | 62 | 63 | 64 |
3,3 | - | 16 | 26 | 32 | 39 | 43 | 48 | 53 | 55 | 59 | 62 | 65 | 67 | 69 | 71 | 71 | 6,6 | 49 | 51 | 53 | 55 | 57 | 59 | 60 | 61 | 62 | 63 |
3,4 | - | 14 | 24 | 30 | 37 | 42 | 47 | 52 | 54 | 58 | 61 | 64 | 66 | 68 | 70 | 70 | 6,8 | 48 | 50 | 52 | 54 | 56 | 58 | 59 | 60 | 61 | 62 |
3,5 | - | 12 | 23 | 29 | 36 | 41 | 46 | 50 | 53 | 57 | 60 | 63 | 65 | 67 | 69 | 70 | 7,0 | 46 | 49 | 51 | 53 | 55 | 57 | 58 | 59 | 60 | 61 |
3,6 | - | - | 21 | 27 | 34 | 39 | 44 | 48 | 52 | 55 | 59 | 62 | 64 | 66 | 68 | 69 | 7,2 | 45 | 47 | 50 | 52 | 54 | 56 | 57 | 58 | 59 | 60 |
3,7 | - | - | 20 | 26 | 33 | 38 | 43 | 47 | 51 | 54 | 58 | 61 | 63 | 65 | 67 | 68 | 7,4 | 44 | 46 | 49 | 51 | 53 | 55 | 56 | 57 | 58 | 59 |
3,8 | - | - | 18 | 24 | 31 | 36 | 41 | 46 | 50 | 53 | 57 | 60 | 62 | 64 | 66 | 68 | 7,6 | 42 | 45 | 48 | 50 | 52 | 54 | 55 | 56 | 57 | 58 |
3,9 | - | - | 16 | 23 | 30 | 35 | 40 | 44 | 48 | 52 | 56 | 59 | 61 | 63 | 65 | 67 | 7,8 | 41 | 44 | 47 | 49 | 51 | 53 | 54 | 55 | 56 | 57 |
4,0 | - | - | 15 | 22 | 29 | 33 | 39 | 43 | 47 | 51 | 54 | 57 | 60 | 62 | 64 | 66 | 8,0 | 40 | 43 | 45 | 47 | 50 | 52 | 53 | 54 | 55 | 56 |
4,2 | - | - | - | 19 | 26 | 30 | 36 | 41 | 45 | 48 | 52 | 55 | 58 | 61 | 62 | 64 | 8,2 | 38 | 41 | 44 | 46 | 49 | 51 | 52 | 53 | 54 | 55 |
4,4 | - | - | - | 16 | 24 | 27 | 33 | 39 | 42 | 46 | 50 | 53 | 56 | 58 | 60 | 63 | 8,4 | 37 | 40 | 43 | 45 | 48 | 50 | 51 | 52 | 53 | 54 |
4,6 | - | - | - | 13 | 21 | 25 | 31 | 36 | 40 | 44 | 48 | 51 | 54 | 57 | 59 | 61 | 8,6 | 36 | 39 | 42 | 44 | 46 | 48 | 50 | 51 | 52 | 53 |
4,8 | - | - | - | 11 | 19 | 22 | 28 | 33 | 38 | 42 | 46 | 50 | 53 | 55 | 58 | 60 | 8,8 | 35 | 38 | 41 | 43 | 45 | 47 | 49 | 50 | 51 | 52 |
5,0 | - | - | - | 9 | 17 | 20 | 25 | 31 | 36 | 40 | 44 | 48 | 51 | 54 | 56 | 58 | 9,0 | 34 | 37 | 40 | 42 | 44 | 46 | 48 | 49 | 50 | 51 |
5,2 | - | - | - | - | - | - | 22 | 28 | 34 | 38 | 42 | 46 | 50 | 52 | 54 | 56 | 9,2 | 33 | 36 | 39 | 41 | 43 | 45 | 47 | 48 | 49 | 50 |
5,4 | - | - | - | - | - | - | 19 | 26 | 31 | 36 | 40 | 44 | 48 | 50 | 52 | 55 | 9,4 | 31 | 34 | 37 | 40 | 42 | 44 | 46 | 48 | 49 | 50 |
5,6 | - | - | - | - | - | - | 17 | 23 | 29 | 34 | 38 | 42 | 46 | 48 | 50 | 53 | 9,6 | 30 | 33 | 36 | 39 | 41 | 43 | 45 | 47 | 48 | 49 |
5,8 | - | - | - | - | - | - | 14 | 20 | 27 | 32 | 36 | 40 | 44 | 47 | 49 | 52 | 9,8 | 29 | 32 | 35 | 38 | 40 | 42 | 44 | 46 | 47 | 48 |
6,0 | - | - | - | - | - | - | 12 | 18 | 25 | 30 | 34 | 38 | 42 | 46 | 48 | 51 | 10,0 | 28 | 31 | 34 | 37 | 40 | 42 | 44 | 45 | 46 | 47 |
6,2 | - | - | - | - | - | - | - | 16 | 23 | 28 | 32 | 36 | 41 | 44 | 47 | 49 | 10,2 | 27 | 30 | 33 | 36 | 39 | 41 | 43 | 44 | 45 | 46 |
6,4 | - | - | - | - | - | - | - | 13 | 21 | 26 | 30 | 34 | 39 | 42 | 45 | 47 | 10,4 | 26 | 29 | 32 | 35 | 38 | 40 | 42 | 43 | 44 | 45 |
6,6 | - | - | - | - | - | - | - | 11 | 18 | 24 | 28 | 32 | 37 | 41 | 44 | 46 | 10,6 | 25 | 28 | 31 | 34 | 37 | 39 | 41 | 42 | 43 | 44 |
6,8 | - | - | - | - | - | - | - | 9 | 16 | 22 | 26 | 31 | 36 | 40 | 43 | 45 | 10,8 | 24 | 27 | 30 | 33 | 36 | 38 | 40 | 41 | 42 | 44 |
7,0 | - | - | - | - | - | - | - | 7 | 14 | 20 | 24 | 29 | 34 | 38 | 41 | 44 | 11,0 | 22 | 26 | 29 | 32 | 35 | 37 | 39 | 40 | 42 | 43 |
7,2 | - | - | - | - | - | - | - | - | 12 | 18 | 22 | 27 | 33 | 36 | 39 | 42 | 11,2 | 21 | 25 | 28 | 31 | 34 | 36 | 38 | 39 | 41 | 43 |
7,4 | - | - | - | - | - | - | - | - | 10 | 16 | 20 | 25 | 31 | 34 | 37 | 40 | 11,4 | 20 | 23 | 27 | 30 | 33 | 35 | 37 | 38 | 40 | 42 |
7,6 | - | - | - | - | - | - | - | - | 8 | 14 | 18 | 24 | 29 | 33 | 36 | 39 | 11,6 | 19 | 22 | 26 | 29 | 32 | 34 | 36 | 38 | 40 | 42 |
7,8 | - | - | - | - | - | - | - | - | 6 | 12 | 16 | 22 | 27 | 31 | 35 | 38 | 11,8 | 17 | 21 | 25 | 28 | 31 | 33 | 35 | 37 | 39 | 41 |
8,0 | - | - | - | - | - | - | - | - | 4 | 10 | 15 | 20 | 25 | 30 | 34 | 36 | 12,0 | 16 | 20 | 24 | 27 | 30 | 32 | 34 | 36 | 38 | 40 |
8,2 | - | - | - | - | - | - | - | - | - | - | 12 | 18 | 24 | 28 | 32 | 35 | 12,2 | 15 | 19 | 23 | 26 | 29 | 31 | 33 | 35 | 37 | 39 |
8,4 | - | - | - | - | - | - | - | - | - | - | 10 | 16 | 23 | 27 | 31 | 33 | 12,4 | 13 | 18 | 22 | 25 | 28 | 30 | 32 | 34 | 36 | 38 |
8,6 | - | - | - | - | - | - | - | - | - | - | - | 14 | 21 | 25 | 30 | 32 | 12,6 | 12 | 17 | 21 | 24 | 27 | 29 | 31 | 33 | 35 | 37 |
8,8 | - | - | - | - | - | - | - | - | - | - | - | 12 | 19 | 24 | 29 | 31 | 12,8 | 10 | 16 | 20 | 23 | 26 | 28 | 31 | 33 | 35 | 37 |
9,0 | - | - | - | - | - | - | - | - | - | - | - | 11 | 18 | 23 | 27 | 30 | 13,0 | 9 | 15 | 19 | 22 | 25 | 27 | 30 | 32 | 34 | 36 |
9,2 | - | - | - | - | - | - | - | - | - | - | - | - | 16 | 21 | 26 | 29 | 13,2 | - | 14 | 18 | 21 | 24 | 26 | 29 | 31 | 33 | 35 |
9,4 | - | - | - | - | - | - | - | - | - | - | - | - | 14 | 20 | 24 | 27 | 13,4 | - | 13 | 17 | 20 | 23 | 26 | 28 | 30 | 32 | 34 |
9,6 | - | - | - | - | - | - | - | - | - | - | - | - | 13 | 18 | 23 | 26 | 13,6 | - | 12 | 16 | 19 | 22 | 25 | 28 | 30 | 32 | 33 |
9,8 | - | - | - | - | - | - | - | - | - | - | - | - | 11 | 17 | 21 | 25 | 13,8 | - | 11 | 15 | 18 | 21 | 24 | 27 | 29 | 31 | 32 |
10,0 | - | - | - | - | - | - | - | - | - | - | - | - | 10 | 16 | 20 | 24 | 14,0 | - | 10 | 14 | 17 | 20 | 23 | 26 | 28 | 30 | 32 |
10,2 | - | - | - | - | - | - | - | - | - | - | - | - | - | 14 | 18 | 22 | 14,2 | - | - | - | 16 | 19 | 22 | 26 | 27 | 29 | 31 |
10,4 | - | - | - | - | - | - | - | - | - | - | - | - | - | 13 | 17 | 21 | 14,4 | - | - | - | 15 | 18 | 21 | 24 | 26 | 28 | 30 |
10,6 | - | - | - | - | - | - | - | - | - | - | - | - | - | 11 | 15 | 19 | 14,6 | - | - | - | 14 | 17 | 20 | 23 | 26 | 28 | 30 |
10,8 | - | - | - | - | - | - | - | - | - | - | - | - | - | 10 | 14 | 18 | 14,8 | - | - | - | 13 | 17 | 20 | 23 | 25 | 27 | 29 |
11,0 | - | - | - | - | - | - | - | - | - | - | - | - | - | 8 | 13 | 17 | 15,0 | - | - | - | 12 | 16 | 19 | 22 | 24 | 26 | 28 |
11,2 | - | - | - | - | - | - | - | - | - | - | - | - | - | - | 11 | 16 | 15,2 | - | - | - | - | 16 | 19 | 21 | 23 | 25 | 27 |
11,4 | - | - | - | - | - | - | - | - | - | - | - | - | - | - | 10 | 15 | 15,4 | - | - | - | - | 15 | 18 | 20 | 23 | 25 | 27 |
11,6 | - | - | - | - | - | - | - | - | - | - | - | - | - | - | 9 | 14 | 15,6 | - | - | - | - | 15 | 17 | 20 | 22 | 24 | 26 |
11,8 | - | - | - | - | - | - | - | - | - | - | - | - | - | - | 8 | 13 | 15,8 | - | - | - | - | 14 | 17 | 19 | 22 | 24 | 26 |
12,0 | - | - | - | - | - | - | - | - | - | - | - | - | - | - | 6 | 11 | 16,0 | - | - | - | - | 13 | 16 | 19 | 21 | 23 | 25 |
- | - | - | - | - | - | - | - | - | - | - | - | - | - | - | - | - | 16,5 | - | - | - | - | - | 14 | 17 | 19 | 21 | 23 |
- | - | - | - | - | - | - | - | - | - | - | - | - | - | - | - | - | 17,0 | - | - | - | - | - | 12 | 15 | 17 | 20 | 22 |
- | - | - | - | - | - | - | - | - | - | - | - | - | - | - | - | - | 17,5 | - | - | - | - | - | - | 13 | 15 | 18 | 20 |
- | - | - | - | - | - | - | - | - | - | - | - | - | - | - | - | - | 18,0 | - | - | - | - | - | - | 12 | 14 | 17 | 18 |
Продолжение таблицы Ж.2
Психрометрическая разница, °C | Температура сухого термометра, °C |
+40 | +42 | +44 | +46 | +48 | +50 | +52 | +54 | +56 | +58 | +60 | +62 | +64 | +66 | +68 | +70 | +72 | +74 | +76 | +78 | +80 | +82 | +84 | +86 | +88 | +90 |
0 | 100 | 100 | 100 | 100 | 100 | 100 | 100 | 100 | 100 | 100 | 100 | 100 | 100 | 100 | 100 | 100 | 100 | 100 | 100 | 100 | 100 | 100 | 100 | 100 | 100 | 100 |
0,5 | 97 | 97 | 97 | 97 | 97 | 97 | 97 | 97 | 97 | 97 | 97 | 97 | 97 | 97 | 97 | 97 | 97 | 97 | 98 | 98 | 98 | 98 | 98 | 98 | 98 | 98 |
1,0 | 94 | 94 | 95 | 95 | 95 | 95 | 95 | 95 | 95 | 95 | 95 | 95 | 95 | 95 | 95 | 95 | 95 | 95 | 96 | 96 | 96 | 96 | 96 | 96 | 96 | 96 |
1,5 | 91 | 91 | 92 | 92 | 92 | 92 | 92 | 92 | 92 | 92 | 92 | 92 | 93 | 93 | 93 | 93 | 93 | 93 | 94 | 94 | 94 | 94 | 94 | 94 | 94 | 94 |
2,0 | 88 | 89 | 90 | 90 | 90 | 90 | 90 | 90 | 90 | 90 | 90 | 90 | 91 | 91 | 91 | 91 | 91 | 91 | 92 | 92 | 92 | 92 | 92 | 92 | 92 | 92 |
2,5 | 85 | 86 | 87 | 87 | 87 | 87 | 87 | 87 | 87 | 87 | 87 | 88 | 88 | 88 | 88 | 88 | 88 | 88 | 90 | 90 | 90 | 90 | 90 | 90 | 90 | 90 |
3,0 | 82 | 83 | 84 | 84 | 84 | 84 | 84 | 84 | 85 | 85 | 85 | 86 | 86 | 86 | 86 | 86 | 86 | 86 | 88 | 88 | 88 | 88 | 88 | 88 | 88 | 88 |
3,5 | 79 | 80 | 81 | 81 | 81 | 82 | 82 | 82 | 83 | 83 | 83 | 84 | 84 | 84 | 84 | 84 | 84 | 85 | 86 | 86 | 86 | 86 | 86 | 86 | 86 | 86 |
4,0 | 77 | 78 | 79 | 79 | 79 | 79 | 80 | 80 | 81 | 81 | 81 | 82 | 82 | 82 | 82 | 82 | 83 | 84 | 84 | 84 | 84 | 84 | 84 | 84 | 85 | 85 |
4,5 | 74 | 75 | 76 | 76 | 76 | 76 | 77 | 78 | 79 | 79 | 79 | 80 | 80 | 80 | 80 | 80 | 81 | 82 | 82 | 82 | 82 | 82 | 82 | 82 | 83 | 83 |
5,0 | 71 | 72 | 73 | 74 | 74 | 74 | 75 | 76 | 77 | 77 | 77 | 78 | 78 | 78 | 78 | 78 | 79 | 80 | 80 | 80 | 80 | 80 | 80 | 80 | 81 | 81 |
5,5 | 69 | 70 | 71 | 72 | 72 | 72 | 73 | 74 | 75 | 75 | 75 | 76 | 76 | 76 | 76 | 76 | 77 | 78 | 78 | 78 | 78 | 78 | 78 | 79 | 79 | 80 |
6,0 | 66 | 68 | 68 | 70 | 70 | 70 | 71 | 72 | 73 | 73 | 73 | 74 | 74 | 75 | 75 | 75 | 76 | 76 | 77 | 77 | 77 | 77 | 77 | 78 | 78 | 79 |
6,5 | 64 | 65 | 66 | 67 | 68 | 68 | 69 | 70 | 70 | 71 | 71 | 72 | 72 | 73 | 73 | 73 | 74 | 74 | 75 | 75 | 75 | 75 | 75 | 76 | 76 | 77 |
7,0 | 61 | 62 | 63 | 64 | 65 | 66 | 67 | 68 | 68 | 69 | 69 | 70 | 70 | 71 | 71 | 71 | 72 | 72 | 73 | 73 | 73 | 74 | 74 | 74 | 75 | 75 |
7,5 | 59 | 60 | 61 | 62 | 62 | 64 | 65 | 66 | 66 | 67 | 67 | 68 | 68 | 69 | 69 | 69 | 70 | 70 | 71 | 71 | 71 | 72 | 72 | 73 | 73 | 73 |
8,0 | 56 | 58 | 59 | 60 | 60 | 62 | 63 | 64 | 64 | 65 | 65 | 66 | 67 | 67 | 68 | 68 | 69 | 69 | 70 | 70 | 70 | 71 | 71 | 72 | 72 | 72 |
8,5 | 54 | 55 | 56 | 57 | 58 | 60 | 61 | 62 | 62 | 63 | 63 | 64 | 65 | 65 | 66 | 66 | 67 | 67 | 68 | 68 | 68 | 69 | 69 | 70 | 70 | 70 |
9,0 | 52 | 53 | 54 | 55 | 56 | 58 | 59 | 60 | 60 | 61 | 61 | 62 | 63 | 63 | 64 | 64 | 65 | 65 | 66 | 66 | 66 | 67 | 67 | 68 | 69 | 69 |
9,5 | 50 | 51 | 52 | 53 | 54 | 56 | 57 | 58 | 58 | 59 | 59 | 60 | 61 | 62 | 62 | 62 | 63 | 64 | 65 | 65 | 65 | 66 | 66 | 67 | 67 | 67 |
10,0 | 48 | 49 | 50 | 51 | 52 | 54 | 55 | 56 | 57 | 58 | 58 | 59 | 60 | 61 | 61 | 61 | 62 | 63 | 64 | 64 | 64 | 65 | 65 | 66 | 66 | 66 |
10,5 | 46 | 47 | 48 | 49 | 50 | 52 | 53 | 54 | 55 | 56 | 56 | 57 | 58 | 59 | 59 | 59 | 60 | 61 | 62 | 62 | 62 | 63 | 63 | 64 | 64 | 64 |
11,0 | 44 | 45 | 46 | 47 | 48 | 50 | 51 | 52 | 53 | 54 | 55 | 56 | 57 | 57 | 58 | 58 | 59 | 59 | 61 | 61 | 61 | 62 | 62 | 63 | 63 | 63 |
11,5 | 42 | 43 | 44 | 46 | 47 | 48 | 49 | 50 | 51 | 52 | 53 | 54 | 55 | 55 | 56 | 56 | 57 | 57 | 59 | 59 | 59 | 60 | 60 | 61 | 61 | 62 |
12,0 | 40 | 42 | 43 | 45 | 46 | 47 | 48 | 49 | 50 | 51 | 52 | 53 | 54 | 54 | 55 | 55 | 56 | 57 | 58 | 58 | 58 | 59 | 59 | 60 | 60 | 61 |
12,5 | 38 | 40 | 41 | 43 | 44 | 45 | 46 | 47 | 48 | 49 | 50 | 51 | 52 | 53 | 53 | 53 | 54 | 55 | 56 | 57 | 57 | 57 | 58 | 58 | 58 | 59 |
13,0 | 36 | 38 | 39 | 41 | 42 | 44 | 45 | 46 | 47 | 48 | 49 | 50 | 51 | 52 | 52 | 52 | 53 | 53 | 54 | 55 | 55 | 56 | 56 | 57 | 57 | 58 |
13,5 | 34 | 36 | 37 | 39 | 40 | 42 | 43 | 44 | 45 | 46 | 47 | 48 | 49 | 50 | 50 | 50 | 51 | 52 | 53 | 54 | 54 | 55 | 55 | 56 | 56 | 57 |
14,0 | 32 | 35 | 36 | 38 | 39 | 41 | 42 | 43 | 44 | 45 | 46 | 47 | 48 | 49 | 49 | 49 | 50 | 51 | 52 | 53 | 53 | 54 | 54 | 55 | 55 | 56 |
14,5 | 31 | 33 | 34 | 36 | 37 | 39 | 40 | 41 | 42 | 43 | 44 | 45 | 46 | 47 | 47 | 47 | 48 | 49 | 50 | 51 | 51 | 52 | 52 | 53 | 53 | 54 |
15,0 | 29 | 31 | 33 | 34 | 36 | 37 | 38 | 39 | 41 | 42 | 43 | 44 | 45 | 46 | 46 | 46 | 47 | 48 | 49 | 50 | 50 | 51 | 51 | 52 | 52 | 53 |
15,5 | 27 | 29 | 31 | 32 | 34 | 35 | 38 | 38 | 39 | 40 | 41 | 42 | 43 | 44 | 45 | 45 | 46 | 47 | 48 | 49 | 49 | 50 | 50 | 51 | 51 | 52 |
16,0 | 25 | 28 | 30 | 31 | 33 | 34 | 36 | 37 | 38 | 39 | 40 | 41 | 42 | 43 | 44 | 44 | 45 | 46 | 47 | 48 | 48 | 49 | 49 | 50 | 50 | 51 |
16,5 | 24 | 26 | 28 | 29 | 31 | 32 | 34 | 35 | 36 | 37 | 38 | 39 | 40 | 41 | 42 | 42 | 43 | 44 | 45 | 46 | 46 | 47 | 47 | 48 | 49 | 50 |
17,0 | 23 | 25 | 27 | 28 | 30 | 31 | 33 | 34 | 35 | 36 | 37 | 38 | 39 | 40 | 41 | 41 | 42 | 43 | 44 | 45 | 45 | 46 | 46 | 47 | 48 | 49 |
17,5 | 21 | 23 | 25 | 26 | 28 | 30 | 31 | 33 | 34 | 35 | 36 | 37 | 38 | 38 | 40 | 40 | 41 | 42 | 43 | 44 | 44 | 45 | 45 | 46 | 47 | 48 |
18,0 | 19 | 22 | 24 | 25 | 27 | 29 | 30 | 32 | 33 | 34 | 35 | 36 | 37 | 38 | 39 | 39 | 40 | 41 | 42 | 43 | 43 | 44 | 44 | 45 | 46 | 47 |
18,5 | 18 | 20 | 22 | 23 | 25 | 28 | 28 | 30 | 31 | 33 | 33 | 34 | 35 | 36 | 37 | 38 | 39 | 40 | 41 | 41 | 43 | 43 | 43 | 44 | 45 | 46 |
19,0 | 17 | 19 | 21 | 22 | 24 | 26 | 27 | 29 | 30 | 31 | 32 | 33 | 34 | 35 | 36 | 37 | 38 | 39 | 40 | 40 | 41 | 42 | 42 | 43 | 44 | 45 |
19,5 | 15 | 17 | 19 | 21 | 23 | 25 | 26 | 28 | 29 | 30 | 31 | 32 | 33 | 34 | 35 | 36 | 37 | 38 | 39 | 39 | 40 | 41 | 41 | 42 | 43 | 44 |
20,0 | 14 | 16 | 18 | 20 | 22 | 24 | 25 | 27 | 28 | 29 | 30 | 31 | 32 | 33 | 34 | 35 | 36 | 37 | 38 | 38 | 39 | 40 | 40 | 41 | 42 | 43 |
20,5 | 12 | 14 | 16 | 18 | 20 | 22 | 23 | 25 | 27 | 28 | 29 | 30 | 31 | 32 | 33 | 34 | 35 | 36 | 37 | 37 | 38 | 39 | 39 | 40 | 41 | 42 |
21,0 | 11 | 13 | 15 | 17 | 19 | 21 | 22 | 24 | 25 | 27 | 28 | 29 | 30 | 31 | 32 | 33 | 34 | 35 | 36 | 36 | 37 | 38 | 38 | 39 | 40 | 41 |
21,5 | 9 | 12 | 14 | 16 | 18 | 20 | 21 | 23 | 24 | 26 | 27 | 28 | 29 | 30 | 31 | 32 | 33 | 34 | 35 | 35 | 36 | 37 | 38 | 38 | 39 | 40 |
22,0 | 8 | 11 | 13 | 15 | 17 | 19 | 20 | 22 | 23 | 25 | 26 | 27 | 28 | 29 | 30 | 31 | 32 | 33 | 34 | 34 | 35 | 36 | 36 | 37 | 38 | 39 |
22,5 | - | - | 9 | 13 | 15 | 17 | 19 | 21 | 22 | 23 | 25 | 26 | 27 | 28 | 29 | 30 | 31 | 32 | 33 | 33 | 34 | 35 | 36 | 36 | 37 | 38 |
23,0 | - | - | 8 | 12 | 14 | 16 | 18 | 20 | 21 | 22 | 24 | 25 | 26 | 27 | 28 | 29 | 30 | 31 | 32 | 32 | 33 | 34 | 34 | 35 | 36 | 37 |
23,5 | - | - | - | 11 | 13 | 15 | 17 | 19 | 20 | 21 | 23 | 24 | 25 | 26 | 27 | 28 | 29 | 30 | 31 | 31 | 32 | 33 | 33 | 34 | 35 | 36 |
24,0 | - | - | - | 10 | 12 | 14 | 16 | 18 | 19 | 20 | 22 | 23 | 24 | 25 | 26 | 27 | 28 | 29 | 30 | 31 | 31 | 32 | 32 | 33 | 34 | 35 |
24,5 | - | - | - | - | 11 | 13 | 15 | 17 | 18 | 19 | 21 | 22 | 23 | 24 | 25 | 26 | 27 | 28 | 29 | 30 | 30 | 31 | 31 | 32 | 33 | 34 |
25,0 | - | - | - | - | 10 | 12 | 14 | 16 | 17 | 18 | 20 | 21 | 22 | 23 | 24 | 25 | 26 | 27 | 28 | 29 | 29 | 30 | 30 | 31 | 32 | 33 |
26,0 | - | - | - | - | 8 | 10 | 12 | 14 | 15 | 17 | 18 | 19 | 20 | 22 | 23 | 23 | 25 | 25 | 26 | 27 | 28 | 29 | 29 | 30 | 31 | 32 |
27,0 | - | - | - | - | - | - | 10 | 12 | 13 | 15 | 16 | 17 | 18 | 20 | 21 | 21 | 23 | 23 | 24 | 25 | 26 | 27 | 27 | 28 | 29 | 30 |
28,0 | - | - | - | - | - | - | 8 | 10 | 12 | 13 | 14 | 16 | 17 | 18 | 19 | 20 | 21 | 22 | 23 | 24 | 25 | 26 | 26 | 27 | 28 | 29 |
29,0 | - | - | - | - | - | - | - | 8 | 10 | 11 | 12 | 14 | 15 | 16 | 17 | 18 | 19 | 20 | 21 | 22 | 23 | 24 | 24 | 25 | 26 | 27 |
30,0 | - | - | - | - | - | - | - | 7 | 8 | 9 | 11 | 13 | 14 | 15 | 16 | 17 | 18 | 19 | 20 | 21 | 22 | 23 | 23 | 24 | 25 | 26 |
31,0 | - | - | - | - | - | - | - | - | - | - | 9 | 11 | 12 | 13 | 14 | 15 | 16 | 17 | 18 | 19 | 20 | 21 | 21 | 22 | 23 | 24 |
32,0 | - | - | - | - | - | - | - | - | - | - | 8 | 10 | 11 | 12 | 13 | 14 | 15 | 16 | 17 | 18 | 19 | 20 | 20 | 21 | 22 | 23 |
33,0 | - | - | - | - | - | - | - | - | - | - | - | - | - | 11 | 12 | 13 | 14 | 15 | 16 | 16 | 17 | 18 | 19 | 20 | 20 | 21 |
34,0 | - | - | - | - | - | - | - | - | - | - | - | - | - | 10 | 11 | 12 | 13 | 14 | 15 | 15 | 16 | 17 | 18 | 18 | 19 | 20 |
35,0 | - | - | - | - | - | - | - | - | - | - | - | - | - | - | - | 10 | 11 | 12 | 13 | 14 | 15 | 16 | 16 | 17 | 18 | 19 |
36,0 | - | - | - | - | - | - | - | - | - | - | - | - | - | - | - | 9 | 10 | 11 | 12 | 13 | 14 | 15 | 15 | 16 | 17 | 18 |
37,0 | - | - | - | - | - | - | - | - | - | - | - | - | - | - | - | - | - | - | - | 12 | 13 | 14 | 14 | 15 | 16 | 17 |
38,0 | - | - | - | - | - | - | - | - | - | - | - | - | - | - | - | - | - | - | - | 11 | 12 | 13 | 13 | 14 | 15 | 16 |
39,0 | - | - | - | - | - | - | - | - | - | - | - | - | - | - | - | - | - | - | - | - | - | 12 | 12 | 13 | 14 | 15 |
40,0 | - | - | - | - | - | - | - | - | - | - | - | - | - | - | - | - | - | - | - | - | - | 11 | 11 | 12 | 13 | 14 |
(справочное)
ДИАГРАММА ВЛАЖНОГО ВОЗДУХА
Рисунок И.1. I-d диаграмма влажного воздуха
при 745 мм рт. ст. на 1 кг содержащегося в нем сухого
воздуха (для температуры до 200 °C)
Рисунок И.2. I-d диаграмма влажного воздуха
при 745 мм рт. ст. на 1 кг содержащегося в нем сухого
воздуха (для температуры до 250 °C)
Рисунок И.3. I-d диаграмма влажного воздуха
при 745 мм рт. ст. на 1 кг содержащегося в нем сухого
воздуха
(справочное)
ТАБЛИЦА ДЛЯ ВЛАЖНОГО ВОЗДУХА
Теплосодержание

Влагосодержание d = г/кг сух. возд. P = 745 мм рт. ст.
Таблица К.1
t, °C | |
100 | 90 | 80 | 70 | 60 |
I | d | I | d | I | d | I | d | I | d |
-15 | -2,98 | 1,04 | -3,04 | 0,94 | -3,10 | 0,83 | -3,16 | 0,73 | -3,23 | 0,62 |
-10 | -1,43 | 1,63 | -1,53 | 1,47 | -1,63 | 1,30 | -1,73 | 1,14 | -1,82 | 0,98 |
-5 | +0,30 | 2,52 | +0,15 | 2,27 | 0 | 2,02 | -0,15 | 1,76 | -0,30 | 1,51 |
0 | 2,30 | 3,85 | 2,06 | 3,46 | 1,83 | 3,07 | 1,61 | 2,69 | 1,37 | 2,30 |
5 | 4,50 | 5,51 | 4,16 | 4,95 | 3,83 | 4,40 | 3,50 | 3,85 | 3,17 | 3,29 |
10 | 7,03 | 7,78 | 6,60 | 7,00 | 6,13 | 6,21 | 5,66 | 5,43 | 5,19 | 4,65 |
15 | 10,15 | 10,86 | 9,48 | 9,76 | 8,82 | 8,66 | 8,16 | 7,56 | 7,50 | 6,47 |
20 | 13,88 | 15,00 | 12,95 | 13,46 | 12,02 | 11,94 | 11,10 | 10,42 | 10,19 | 8,01 |
25 | 18,45 | 20,50 | 17,17 | 18,39 | 15,89 | 16,29 | 14,63 | 14,21 | 13,37 | 12,14 |
30 | 24,14 | 27,78 | 22,38 | 24,89 | 20,63 | 22,03 | 13,90 | 19,19 | 17,18 | 16,37 |
35 | 31,27 | 37,37 | 28,86 | 33,43 | 26,48 | 29,54 | 24,13 | 25,70 | 21,80 | 21,90 |
40 | 40,31 | 49,98 | 37,02 | 44,62 | 33,78 | 39,35 | 30,59 | 34,16 | 27,45 | 29,05 |
45 | 51,86 | 66,57 | 47,36 | 59,28 | 42,96 | 52,14 | 38,65 | 45,15 | 34,43 | 38,31 |
50 | 66,74 | 88,42 | 60,58 | 78,47 | 54,59 | 68,79 | 47,76 | 59,38 | 43,08 | 50,21 |
55 | 86,18 | 117,60 | 77,69 | 103,80 | 69,49 | 90,60 | 61,58 | 77,86 | 53,94 | 65,57 |
60 | 112,05 | 156,64 | 100,15 | 137,54 | 88,82 | 119,35 | 78,01 | 102,00 | 67,68 | 85,44 |
65 | 147,15 | 210,31 | 130,19 | 183,15 | 114,27 | 157,69 | 99,32 | 133,77 | 85,24 | 111,26 |
70 | 196,30 | 285,99 | 171,37 | 246,12 | 148,49 | 209,73 | 127,43 | 176,15 | 107,98 | 145,16 |
75 | 268,20 | 397,29 | 229,89 | 336,37 | 195,84 | 282,25 | 165,37 | 233,85 | 137,95 | 190,31 |
80 | 380,22 | 571,34 | 317,27 | 471,60 | 263,90 | 387,06 | 218,09 | 314,53 | 178,35 | 251,62 |
85 | 574,83 | 874,65 | 459,03 | 691,72 | 368,15 | 548,25 | 294,96 | 432,75 | 234,77 | 337,78 |
90 | 981,06 | 1508,05 | 719,78 | 1097,51 | 542,29 | 818,24 | 413,93 | 616,33 | 316,82 | 463,62 |
95 | 2320,34 | 3601,74 | 1344,84 | 2071,68 | 886,03 | 1352,19 | 619,45 | 934,27 | 445,27 | 661,27 |
99,4 | - | - | 3710,31 | 5761,26 | 1660,04 | 2555,95 | 977,28 | 1488,73 | 636,11 | 955,60 |
100 | - | - | 3707,78 | 5754,47 | 1659,81 | 2554,20 | 977,26 | 1487,82 | 636,18 | 955,06 |
110 | - | - | 3726,23 | 5736,61 | 1669,34 | 2546,41 | 983,95 | 1483,54 | 641,39 | 952,42 |
120 | - | - | 3745,45 | 5720,56 | 1679,54 | 2539,86 | 990,95 | 1479,85 | 646,79 | 950,17 |
130 | - | - | 3765,41 | 5706,03 | 1690,05 | 2533,97 | 998,12 | 1476,53 | 652,37 | 948,23 |
140 | - | - | 3787,61 | 5695,28 | 1700,86 | 2528,65 | 1005,63 | 1473,79 | 658,06 | 946,50 |
150 | - | - | 3810,11 | 5685,22 | 1712,08 | 2524,09 | 1013,22 | 1471,23 | 663,87 | 944,98 |
160 | - | - | 3831,64 | 5674,02 | 1723,57 | 2520,04 | 1021,08 | 1469,69 | 669,80 | 943,67 |
170 | - | - | 3855,23 | 5665,95 | 1735,53 | 2516,71 | 1029,01 | 1467,12 | 675,79 | 942,47 |
180 | - | - | 3879,05 | 5658,49 | 1747,61 | 2513,67 | 1037,10 | 1465,44 | 681,90 | 941,47 |
190 | - | - | 3903,26 | 5651,63 | 1759,85 | 2510,86 | 1045,30 | 1463,90 | 688,26 | 940,55 |
200 | - | - | 3929,18 | 5647,35 | 1772,22 | 2508,29 | 1053,56 | 1462,47 | 694,58 | 939,70 |
Продолжение таблицы К.1
t, °C | |
50 | 40 | 30 | 20 | 10 | 5 | 0 |
I | d | I | d | I | d | I | d | I | d | I | d | I | d |
-15 | -3,29 | 0,52 | -3,35 | 0,42 | -3,41 | 0,31 | -3,47 | 0,21 | -3,53 | 0,10 | -3,56 | 0,05 | -3,59 | 0 |
-10 | -1,91 | 0,82 | -2,01 | 0,65 | -2,11 | 0,49 | -2,20 | 0,33 | -2,30 | 0,16 | -2,35 | 0,08 | -2,39 | 0 |
-5 | -0,45 | 1,26 | -0,60 | 1,01 | -0,75 | 0,75 | -0,90 | 0,50 | -1,05 | 0,25 | -1,12 | 0,13 | -1,20 | 0 |
0 | 1,15 | 1,92 | 0,91 | 1,53 | 0,69 | 1,15 | 0,46 | 0,77 | 0,23 | 0,38 | 0,11 | 0,19 | 0 | 0 |
5 | 2,84 | 2,74 | 2,51 | 2,19 | 2,18 | 1,64 | 1,85 | 1,09 | 1,53 | 0,55 | 1,36 | 0,27 | 1,20 | 0 |
10 | 4,72 | 3,87 | 4,25 | 3,09 | 3,78 | 2,31 | 3,32 | 1,54 | 2,86 | 0,77 | 2,62 | 0,38 | 2,39 | 0 |
15 | 6,84 | 5,38 | 6,19 | 4,30 | 5,54 | 3,22 | 4,88 | 2,14 | 4,24 | 1,07 | 3,91 | 0,53 | 3,59 | 0 |
20 | 9,28 | 7,41 | 8,37 | 5,91 | 7,47 | 4,42 | 6,57 | 2,94 | 5,68 | 1,47 | 5,23 | 0,73 | 4,79 | 0 |
25 | 12,12 | 10,08 | 10,88 | 8,04 | 9,64 | 6,01 | 8,42 | 3,99 | 7,20 | 1,99 | 6,59 | 0,99 | 5,99 | 0 |
30 | 15,48 | 13,59 | 13,79 | 10,82 | 12,12 | 8,08 | 10,46 | 5,36 | 8,82 | 2,67 | 8,00 | 1,33 | 7,19 | 0 |
35 | 19,50 | 18,14 | 17,23 | 14,43 | 14,98 | 10,76 | 12,76 | 7,13 | 10,56 | 3,55 | 9,47 | 1,77 | 8,39 | 0 |
40 | 24,36 | 24,03 | 21,31 | 19,07 | 18,32 | 14,20 | 15,37 | 9,40 | 12,45 | 4,66 | 11,01 | 2,32 | 9,58 | 0 |
45 | 30,29 | 31,60 | 26,23 | 25,03 | 22,25 | 18,58 | 18,36 | 12,27 | 14,52 | 6,07 | 12,65 | 3,02 | 10,78 | 0 |
50 | 37,56 | 41,29 | 32,18 | 32,60 | 26,93 | 24,13 | 21,82 | 15,88 | 16,84 | 7,84 | 14,40 | 3,90 | 11,98 | 0 |
55 | 46,57 | 53,70 | 39,45 | 42,24 | 32,55 | 31,15 | 25,89 | 20,43 | 19,43 | 10,05 | 16,28 | 4,98 | 13,18 | 0 |
60 | 57,81 | 69,61 | 48,38 | 54,48 | 39,33 | 39,93 | 30,67 | 26,10 | 22,36 | 12,78 | 18,33 | 6,33 | 14,38 | 0 |
65 | 71,90 | 89,95 | 59,43 | 70,02 | 47,58 | 51,08 | 36,35 | 33,15 | 25,70 | 16,14 | 20,58 | 7,97 | 15,58 | 0 |
70 | 89,88 | 116,33 | 73,24 | 89,83 | 57,66 | 65,03 | 43,13 | 41,90 | 29,53 | 20,27 | 23,05 | 9,97 | 16,78 | 0 |
75 | 113,17 | 150,96 | 90,64 | 115,21 | 70,09 | 82,60 | 51,26 | 52,74 | 33,95 | 25,30 | 25,81 | 12,40 | 17,99 | 0 |
80 | 143,54 | 196,55 | 112,82 | 147,96 | 85,51 | 104,77 | 61,07 | 66,15 | 39,08 | 31,41 | 28,89 | 15,32 | 19,19 | 0 |
85 | 184,40 | 258,35 | 141,65 | 190,95 | 104,92 | 133,07 | 73,02 | 82,83 | 45,07 | 38,84 | 32,36 | 18,83 | 20,39 | 0 |
90 | 240,80 | 344,13 | 179,69 | 248,12 | 129,53 | 169,34 | 87,61 | 103,54 | 52,09 | 17,81 | 36,28 | 23,02 | 21,59 | 0 |
95 | 322,62 | 469,12 | 231,61 | 326,60 | 161,43 | 216,75 | 105,69 | 129,55 | 60,35 | 58,68 | 40,73 | 28,02 | 22,79 | 0 |
99,4 | 431,56 | 636,07 | 295,35 | 423,39 | 198,19 | 271,75 | 125,31 | 158,08 | 68,94 | 70,23 | 45,20 | 33,24 | 23,85 | 0 |
100 | 431,68 | 635,76 | 295,50 | 423,21 | 198,35 | 271,66 | 125,59 | 158,23 | 69,10 | 70,22 | 45,35 | 33,24 | 24,00 | 0 |
110 | 436,01 | 634,12 | 299,22 | 422,19 | 201,62 | 271,05 | 128,51 | 157,90 | 71,74 | 70,09 | 47,87 | 33,18 | 26,40 | 0 |
120 | 440,40 | 632,71 | 303,02 | 421,31 | 204,94 | 270,53 | 131,47 | 157,62 | 74,39 | 69,97 | 50,40 | 33,13 | 28,81 | 0 |
130 | 445,01 | 631,48 | 306,88 | 420,55 | 208,30 | 270,07 | 134,43 | 157,37 | 77,06 | 69,87 | 52,99 | 33,08 | 31,28 | 0 |
140 | 449,66 | 630,42 | 310,79 | 419,88 | 211,69 | 269,67 | 137,43 | 157,16 | 79,73 | 69,78 | 55,46 | 33,04 | 33,71 | 0 |
150 | 454,36 | 629,47 | 314,76 | 419,29 | 215,11 | 269,32 | 140,44 | 156,97 | 82,41 | 69,71 | 58,10 | 33,01 | 36,15 | 0 |
160 | 459,14 | 628,64 | 318,77 | 418,78 | 218,66 | 269,01 | 143,55 | 156,79 | 85,20 | 69,64 | 60,68 | 32,97 | 38,59 | 0 |
170 | 463,97 | 627,90 | 322,81 | 418,32 | 222,23 | 268,74 | 146,70 | 156,66 | 87,97 | 69,58 | 63,28 | 32,95 | 41,04 | 0 |
180 | 468,85 | 627,26 | 326,88 | 417,92 | 225,68 | 268,50 | 149,74 | 156,53 | 90,68 | 69,52 | 65,83 | 32,92 | 43,49 | 0 |
190 | 473,78 | 626,67 | 331,30 | 417,62 | 229,30 | 268,28 | 152,80 | 156,41 | 93,44 | 69,48 | 68,44 | 32,90 | 45,94 | 0 |
200 | 478,75 | 626,15 | 335,11 | 417,22 | 232,70 | 268,08 | 155,66 | 155,30 | 96,19 | 69,43 | 71,00 | 32,88 | 48,40 | 0 |
(справочное)
ГЛУБИНА ВВОДА ПНЕВМОТРУБКИ
Таблица Л.1
Номер точки замера | Число площадей |
1 | 2 | 3 | 4 | 5 | 6 | 7 | 8 |
1 | 0,293 | 0,134 | 0,086 | 0,065 | 0,051 | 0,043 | 0,036 | 0,032 |
2 | 1,707 | 0,500 | 0,293 | 0,209 | 0,163 | 0,134 | 0,114 | 0,099 |
3 | - | 1,500 | 0,591 | 0,388 | 0,293 | 0,236 | 0,198 | 0,171 |
4 | - | 1,866 | 1,409 | 0,646 | 0,452 | 0,355 | 0,293 | 0,250 |
5 | - | - | 1,707 | 1,354 | 0,684 | 0,500 | 0,402 | 0,339 |
6 | - | - | 1,914 | 1,612 | 1,316 | 0,711 | 0,537 | 0,441 |
7 | - | - | - | 1,791 | 1,548 | 1,289 | 0,713 | 0,567 |
8 | - | - | - | 1,935 | 1,707 | 1,500 | 1,267 | 0,750 |
9 | - | - | - | - | 1,837 | 1,645 | 1,463 | 1,250 |
10 | - | - | - | - | 1,949 | 1,764 | 1,598 | 1,433 |
11 | - | - | - | - | - | 1,866 | 1,707 | 1,559 |
12 | - | - | - | - | - | 1,967 | 1,802 | 1,661 |
13 | - | - | - | - | - | - | 1,886 | 1,750 |
14 | - | - | - | - | - | - | 1,964 | 1,829 |
15 | - | - | - | - | - | - | - | 1,901 |
16 | - | - | - | - | - | - | - | 1,968 |
(справочное)
ОБЪЕМ ВЛАЖНОГО ВОЗДУХА НА 1 кг СУХОГО ВОЗДУХА (Vо - м3/кг,
P = 745 мм Hg)
t, °C | | t, °C |
100 | 90 | 80 | 70 | 60 | 50 | 40 | 30 | 20 | 10 | 5 | 0 |
-15 | 0,7472 | 0,7470 | 0,7469 | 0,7468 | 0,7467 | 0,7465 | 0,7464 | 0,7463 | 0,7462 | 0,7460 | 0,7460 | 0,7459 | -15 |
-10 | 0,7624 | 0,7622 | 0,7620 | 0,7618 | 0,7616 | 0,7614 | 0,7612 | 0,7610 | 0,7608 | 0,7606 | 0,7605 | 0,7604 | -10 |
-5 | 0,7780 | 0,7776 | 0,7773 | 0,7770 | 0,7767 | 0,7764 | 0,7761 | 0,7758 | 0,7754 | 0,7751 | 0,7750 | 0,7748 | -5 |
0 | 0,7941 | 0,7937 | 0,7932 | 0,7927 | 0,7922 | 0,7925 | 0,7912 | 0,7907 | 0,7902 | 0,7897 | 0,7895 | 0,7893 | 0 |
5 | 0,8108 | 0,8101 | 0,8094 | 0,8087 | 0,8080 | 0,8073 | 0,8065 | 0,8058 | 0,8051 | 0,8044 | 0,8041 | 0,8037 | 5 |
10 | 0,8284 | 0,8274 | 0,8263 | 0,8253 | 0,8243 | 0,8233 | 0,8222 | 0,8212 | 0,8202 | 0,8192 | 0,8187 | 0,8182 | 10 |
15 | 0,8472 | 0,8457 | 0,8442 | 0,8427 | 0,8413 | 0,8398 | 0,8384 | 0,8369 | 0,8355 | 0,8340 | 0,8333 | 0,8326 | 15 |
20 | 0,8675 | 0,8654 | 0,8633 | 0,8613 | 0,8592 | 0,8572 | 0,8551 | 0,8531 | 0,8511 | 0,8491 | 0,8481 | 0,8471 | 20 |
25 | 0,8899 | 0,8870 | 0,8841 | 0,8812 | 0,8783 | 0,8755 | 0,8727 | 0,8698 | 0,8670 | 0,8643 | 0,8629 | 0,8615 | 25 |
30 | 0,9151 | 0,9110 | 0,9070 | 0,9030 | 0,8990 | 0,8951 | 0,8912 | 0,8873 | 0,8835 | 0,8797 | 0,8778 | 0,8760 | 30 |
35 | 0,9438 | 0,9382 | 0,9327 | 0,9272 | 0,9217 | 0,9164 | 0,9111 | 0,9058 | 0,9006 | 0,8955 | 0,8929 | 0,8904 | 35 |
40 | 0,9775 | 0,9697 | 0,9620 | 0,9545 | 0,9471 | 0,9398 | 0,9326 | 0,9255 | 0,9189 | 0,9116 | 0,9082 | 0,9049 | 40 |
45 | 1,0175 | 1,0068 | 0,9963 | 0,9860 | 0,9759 | 0,9660 | 0,9563 | 0,9468 | 0,9375 | 0,9283 | 0,9238 | 0,9193 | 45 |
50 | 1,0062 | 1,0513 | 1,0368 | 1,0228 | 1,0090 | 0,9957 | 0,9827 | 0,9700 | 0,9576 | 0,9455 | 0,9396 | 0,9338 | 50 |
55 | 1,1268 | 1,1060 | 1,0860 | 1,0667 | 1,0480 | 1,0300 | 1,0135 | 0,9957 | 0,9794 | 0,9635 | 0,9558 | 0,9482 | 55 |
60 | 1,2041 | 1,1748 | 1,1468 | 1,1201 | 1,0946 | 1,0702 | 1,0469 | 1,0245 | 1,0030 | 0,9824 | 0,9725 | 0,9627 | 60 |
65 | 1,3059 | 1,2636 | 1,2239 | 1,1866 | 1,1514 | 1,1170 | 1,0870 | 1,0573 | 1,0292 | 1,0025 | 0,9896 | 0,9771 | 65 |
70 | 1,4448 | 1,3820 | 1,3244 | 1,2743 | 1,2222 | 1,1754 | 1,1345 | 1,0951 | 1,0583 | 1,0239 | 1,0075 | 0,9916 | 70 |
75 | 1,6441 | 1,5466 | 1,4600 | 1,3824 | 1,3126 | 1,2494 | 1,1919 | 1,1394 | 1,0912 | 1,0469 | 1,0261 | 1,0080 | 75 |
80 | 1,9500 | 1,7885 | 1,6513 | 1,5336 | 1,4313 | 1,3417 | 1,2625 | 1,1920 | 1,1289 | 1,0720 | 1,0456 | 1,0205 | 80 |
85 | 2,4762 | 2,1759 | 1,9401 | 1,7502 | 1,5938 | 1,4628 | 1,3515 | 1,2558 | 1,1725 | 1,0995 | 1,0662 | 1,0349 | 85 |
90 | 3,5664 | 2,8824 | 2,4176 | 2,0812 | 1,8264 | 1,6268 | 1,4662 | 1,3342 | 1,2237 | 1,1300 | 1,0882 | 1,0494 | 90 |
95 | 7,1448 | 4,5662 | 3,3529 | 2,6476 | 2,1863 | 1,8612 | 1,6197 | 1,4332 | 1,2894 | 1,1641 | 1,1117 | 1,0638 | 95 |
99,4 | 7,1448 | 10,9192 | 5,4498 | 3,6277 | 2,7167 | 2,1700 | 1,8055 | 1,5451 | 1,3482 | 1,1980 | 1,1341 | 1,0765 | 99,4 |
100 | 7,1448 | 10,9251 | 5,4554 | 3,6310 | 2,7198 | 2,1726 | 1,8078 | 1,5473 | 1,3519 | 1,1999 | 1,1359 | 1,0783 | 100 |
110 | 7,1448 | 11,2026 | 5,5943 | 3,7248 | 2,7899 | 2,2290 | 1,8550 | 1,5880 | 1,3876 | 1,2318 | 1,1662 | 1,1072 | 110 |
120 | 7,1448 | 11,4801 | 5,7342 | 3,8183 | 2,8602 | 2,2855 | 1,9024 | 1,6287 | 1,4234 | 1,2638 | 1,1966 | 1,1361 | 120 |
130 | 7,1448 | 11,7576 | 5,8741 | 3,9117 | 2,9308 | 2,3422 | 1,9498 | 1,6695 | 1,4593 | 1,2958 | 1,2269 | 1,1650 | 130 |
140 | 7,1448 | 12,0403 | 6,0140 | 4,0059 | 3,0055 | 2,8990 | 1,9972 | 1,7103 | 1,4951 | 1,3278 | 1,2573 | 1,1939 | 140 |
150 | 7,1448 | 12,3224 | 6,1547 | 4,0999 | 3,0723 | 2,4558 | 2,0448 | 1,7512 | 1,5310 | 1,3598 | 1,2877 | 1,2228 | 150 |
160 | 7,1448 | 12,6000 | 6,2956 | 4,1944 | 3,1433 | 2,5128 | 2,0924 | 1,7921 | 1,5667 | 1,2918 | 1,3180 | 1,2517 | 160 |
170 | 7,1448 | 12,8828 | 6,4376 | 4,2889 | 3,2144 | 2,5698 | 2,1401 | 1,8331 | 1,6029 | 1,4138 | 1,3484 | 1,2806 | 170 |
180 | 7,1448 | 13,1655 | 6,5796 | 4,3838 | 3,2858 | 2,6270 | 2,1878 | 1,8741 | 1,6388 | 1,4559 | 1,3788 | 1,3095 | 180 |
190 | 7,1448 | 13,4483 | 6,7416 | 4,4787 | 3,3571 | 2,6582 | 2,2359 | 1,9151 | 1,6748 | 1,4879 | 1,4092 | 1,3384 | 190 |
200 | 7,1448 | 13,7361 | 6,8636 | 4,5735 | 3,4285 | 2,7414 | 2,2833 | 1,9562 | 1,7108 | 1,5199 | 1,4396 | 1,3673 | 200 |
210 | 7,1448 | 14,0189 | 7,0066 | 4,6687 | 3,5000 | 2,7987 | 2,3312 | 1,9973 | 1,7468 | 1,5520 | 1,4700 | 1,3962 | 210 |
220 | 7,1448 | 14,3023 | 7,1488 | 4,7641 | 3,5716 | 2,8561 | 2,3790 | 2,0384 | 1,7828 | 1,5841 | 1,5004 | 1,4251 | 220 |
230 | 7,1448 | 14,5902 | 7,2918 | 4,8593 | 3,6432 | 2,9134 | 2,4269 | 2,0794 | 1,8188 | 1,6161 | 1,5308 | 1,4540 | 230 |
240 | 7,1448 | 14,8730 | 7,4348 | 4,9549 | 3,7148 | 2,9708 | 2,4749 | 2,1206 | 1,8549 | 1,6482 | 1,5612 | 1,4829 | 240 |
250 | 7,1448 | 15,1609 | 7,5778 | 5,0504 | 3,7865 | 3,0283 | 2,5228 | 2,1617 | 1,8909 | 1,6803 | 1,5916 | 1,5118 | 250 |
260 | 7,1448 | 15,4441 | 7,7210 | 5,1458 | 3,8583 | 3,0858 | 2,5707 | 2,2028 | 1,9269 | 1,7123 | 1,6220 | 1,5407 | 260 |
270 | 7,1448 | 15,7321 | 7,8640 | 5,2413 | 3,9801 | 3,1432 | 2,6187 | 2,2440 | 1,9630 | 1,7444 | 1,6524 | 1,5696 | 270 |
280 | 7,1448 | 16,0199 | 8,0070 | 5,3372 | 4,0019 | 3,2007 | 2,6636 | 2,2852 | 1,9990 | 1,7765 | 1,6828 | 1,5985 | 280 |
290 | 7,1448 | 16,3033 | 8,1513 | 5,4329 | 4,0738 | 3,2583 | 2,7146 | 2,3263 | 2,0351 | 1,8086 | 1,7132 | 1,6274 | 290 |
300 | 7,1448 | 16,5911 | 8,2943 | 5,5285 | 4,1456 | 3,3158 | 2,7624 | 2,3675 | 2,0712 | 1,8407 | 1,7436 | 1,6563 | 300 |
350 | 7,1448 | 18,0290 | 9,0132 | 6,0081 | 4,5055 | 3,6039 | 3,0028 | 2,5735 | 2,2515 | 2,0011 | 1,8957 | 1,8008 | 350 |
400 | 7,1448 | 19,4680 | 9,7330 | 6,4881 | 4,8657 | 3,8922 | 3,2432 | 2,7797 | 2,4320 | 2,1616 | 2,0477 | 1,9453 | 400 |
450 | 7,1448 | 20,9084 | 10,4536 | 6,9686 | 5,2262 | 4,1807 | 3,4837 | 2,9859 | 2,6125 | 2,3221 | 2,1998 | 2,0898 | 450 |
500 | 7,1448 | 22,3499 | 11,1746 | 7,4496 | 5,5869 | 4,4693 | 7,7243 | 3,1922 | 2,7930 | 2,4826 | 2,3519 | 2,2343 | 500 |
550 | 7,1448 | 23,7931 | 11,8960 | 7,9305 | 5,9478 | 4,7581 | 3,9660 | 3,3985 | 2,9736 | 2,6431 | 2,5040 | 2,3788 | 550 |
600 | 7,1448 | 25,2364 | 12,6173 | 8,4118 | 6,3088 | 5,0469 | 4,2057 | 3,6048 | 3,1542 | 2,8037 | 2,6561 | 2,5233 | 600 |
650 | 7,1448 | 26,6798 | 13,3396 | 8,8930 | 6,6697 | 5,3357 | 4,4464 | 3,8112 | 3,3348 | 2,9642 | 2,8082 | 2,6678 | 650 |
700 | 7,1448 | 28,1235 | 14,0615 | 9,3714 | 7,0308 | 5,6246 | 4,6871 | 4,0176 | 3,5154 | 3,1247 | 2,9603 | 2,8123 | 700 |
750 | 7,1448 | 29,5674 | 14,7836 | 9,8558 | 7,3919 | 5,9135 | 4,9279 | 4,2239 | 3,6959 | 3,2853 | 3,1124 | 2,9563 | 750 |
800 | 7,1448 | 31,0118 | 15,5058 | 10,3373 | 7,7530 | 6,2024 | 5,1687 | 4,4303 | 3,8766 | 3,4458 | 3,2645 | 3,1013 | 800 |
(рекомендуемое)
ПЕРЕЧЕНЬ СРЕДСТВ ИЗМЕРЕНИЙ И ОБОРУДОВАНИЯ, ПРИМЕНЯЕМЫХ
ПРИ ОПРЕДЕЛЕНИИ ФУНКЦИОНАЛЬНЫХ ПОКАЗАТЕЛЕЙ
Анемометры ручные со счетным механизмом по
ГОСТ 6376 с основной погрешностью измерения не более, м/с:

- крыльчатого;

- чашечного,
(где

- измеряемая скорость воздушного потока).
Анемометр ручной индукционный по ГОСТ 7193 с погрешностью измерения

(где

- измеряемая скорость воздушного потока).
Банки стеклянные с притертыми пробками с погрешностью измерения +/- 0,1 Па по
ГОСТ 23932.
Барометр-анероид.
Весы платформенные с погрешностью измерения +/- 100 г по
ГОСТ Р 53228.
Весы технические до 1 кг с погрешностью измерения +/- 40 г.
Весы электрические с погрешностью измерения +/- 20 мг по
ГОСТ Р 53228.
Влагомер зерна ИВЗ-М1 с погрешностью измерения от +/- 1,0% до +/- 1,5%.
Влагомер (типа ВЗПК-1, ВЛК-01) с погрешностью измерения от +/- 1,0% до +/- 2,0%.
Доски разборные.
Емкости (банки) для отбора проб.
Измеритель деформации клейковины лабораторный типа ИДК-1 с погрешностью измерения +/- 2,5 усл. ед.
Линейка измерительная металлическая с погрешностью измерения +/- 1 мм по
ГОСТ 427.
Мельница лабораторная электрическая.
Микроманометр ММН-240(5) с погрешностью измерения кл. 1,0.
Пневмотрубки Пито, Прандтля.
Психрометр аспирационный с погрешностью измерения +/- 2,0% , +/- 2 °C.
Пурка литровая с падающим грузом ПХ-1 с погрешностью измерения от 0 до 4 г.
Растильни.
Рулетка ЗПКЗ-20/АУТ, Р20-УЗК с погрешностью измерения +/- 1 мм по
ГОСТ 7502.
Секундомер с погрешностью измерения +/- 1 с.
Совочки металлические.
Сумочки лабораторные размером 20 x 12 см.
Тара для проб.
Тахометр с погрешностью измерения +/- 0,05% по
ГОСТ Р 8.719.
Термометры жидкостные стеклянные по
ГОСТ 28498 с погрешностью измерения +/- 1 °C.
Термометры максимальные ртутные по ГОСТ Р 52921 с погрешностью измерения +/- 1 °C.
Термопара до 1500 °C с погрешностью измерения +/- 1 °C.
Термостат для проращивания семян с погрешностью измерения +/- 1 °C.
Трубки для измерения статического давления.
Шкаф сушильный.
Шпатели.
Щуп для отбора проб.
Эксикаторы.
Электромагнит грузоподъемностью не менее 2 кг.
Электропсихрометр.
Примечание. Допускается применять средства измерений других типов, обеспечивающие требуемую точность измерений.
| СТО АИСТ 2.3-2009 | Испытания сельскохозяйственной техники. Асинхронный электропривод. Методы оценки |
| | Государственная система обеспечения единства измерений. Порядок проведения поверки средств измерений |
| СТО АИСТ 10.2-2010 | Испытания сельскохозяйственной техники. Зерноочистительные машины и агрегаты, зерноочистительно-сушильные комплексы. Методы оценки функциональных показателей |
| СТО АИСТ 31.6-2010 | Испытания сельскохозяйственной техники. Теплогенераторы. Методы оценки функциональных показателей |
| СТО АИСТ 2.8-2010 | Испытания сельскохозяйственной техники. Надежность. Методы оценки показателей |