Главная // Актуальные документы // ПравилаСПРАВКА
Источник публикации
М., 2020
Примечание к документу
Документ включен в
Перечень документов в области стандартизации, в результате применения которых на добровольной основе обеспечивается соблюдение требований Федерального
закона от 30.12.2009 N 384-ФЗ "Технический регламент о безопасности зданий и сооружений" (
Приказ Росстандарта от 02.04.2020 N 687).
Текст документа приведен в соответствии с публикацией на сайте https://minstroyrf.gov.ru/ по состоянию на 24.03.2021.
Документ
вводился в действие с 01.07.2021.
Распоряжением Правительства РФ от 06.04.2021 N 887-р дата введения в действие данного документа установлена с 08.04.2021.
Название документа
"СП 495.1325800.2020. Свод правил. Резервуары изотермические для хранения сжиженных газов. Правила проектирования"
(утв. и введен в действие Приказом Минстроя России от 30.12.2020 N 916/пр)
"СП 495.1325800.2020. Свод правил. Резервуары изотермические для хранения сжиженных газов. Правила проектирования"
(утв. и введен в действие Приказом Минстроя России от 30.12.2020 N 916/пр)
Утвержден и введен в действие
и жилищно-коммунального хозяйства
Российской Федерации
от 30 декабря 2020 г. N 916/пр
СВОД ПРАВИЛ
РЕЗЕРВУАРЫ ИЗОТЕРМИЧЕСКИЕ ДЛЯ ХРАНЕНИЯ СЖИЖЕННЫХ ГАЗОВ
ПРАВИЛА ПРОЕКТИРОВАНИЯ
Isothermal tanks for storage of liquefied gases.
Design rules
СП 495.1325800.2020
| | Распоряжением Правительства РФ от 06.04.2021 N 887-р дата введения в действие данного документа установлена с 08.04.2021. | |
Дата введения
1 июля 2021 года
Сведения о своде правил
1 ИСПОЛНИТЕЛЬ - Общество с ограниченной ответственностью "НПК Изотермик" (ООО "НПК Изотермик")
2 ВНЕСЕН Техническим комитетом по стандартизации ТК 465 "Строительство"
3 ПОДГОТОВЛЕН к утверждению Департаментом градостроительной деятельности и архитектуры Министерства строительства и жилищно-коммунального хозяйства Российской Федерации (Минстрой России)
4 УТВЕРЖДЕН
приказом Министерства строительства и жилищно-коммунального хозяйства Российской Федерации от 30 декабря 2020 г. N 916/пр и введен в действие с 1 июля 2021 г.
5 ЗАРЕГИСТРИРОВАН Федеральным агентством по техническому регулированию и метрологии (Росстандарт)
6 ВВЕДЕН ВПЕРВЫЕ
В случае пересмотра (замены) или отмены настоящего свода правил соответствующее уведомление будет опубликовано в установленном порядке. Соответствующая информация, уведомление и тексты размещаются также в информационной системе общего пользования - на официальном сайте разработчика (Минстрой России) в сети Интернет
Настоящий свод правил разработан в целях обеспечения соблюдения требований Федерального
закона от 30 декабря 2009 г. N 384-ФЗ "Технический регламент о безопасности зданий и сооружений".
Свод правил разработан в развитие положений
СП 16.13330.2017 "СНиП II-23-81* Стальные конструкции",
СП 20.13330.2016 "СНиП 2.01.07-85* Нагрузки и воздействия",
СП 43.13330.2012 "СНиП 2.09.03-85 Сооружения промышленных предприятий",
ГОСТ 27751-2014 Надежность строительных конструкций и оснований и содержит требования к расчету и проектированию стальных изотермических резервуаров.
Свод правил выполнен авторским коллективом ООО "НПК Изотермик" (д-р техн. наук Х.М. Ханухов, канд. физ.-мат. наук А.В. Алипов, Н.В. Четвертухин, А.Р. Чернобров, А.В. Коломыцев, Д.С. Горбовский).
1.1 Настоящий свод правил распространяется на проектирование конструкций резервуаров изотермических стальных вертикальных объемом менее 60 000 м3 для хранения сжиженных газов при температурах до минус 165 °C и давлении, близком к атмосферному, в наземном или надземном исполнениях.
1.2 Требования настоящего свода правил не распространяются на проектирование резервуаров, располагаемых в районах с сейсмическими воздействиями интенсивностью более 5 баллов по шкале MSK-64, и резервуаров заводского изготовления, поставляемых на площадку строительства в готовом виде.
В настоящем своде правил использованы нормативные ссылки на следующие документы:
ГОСТ 9.104-2018 Единая система защиты от коррозии и старения. Покрытия лакокрасочные. Группы условий эксплуатации
ГОСТ 9.402-2004 Единая система защиты от коррозии и старения. Покрытия лакокрасочные. Подготовка металлических поверхностей к окрашиванию
ГОСТ 7350-77 Сталь толстолистовая коррозионно-стойкая, жаростойкая и жаропрочная. Технические условия
ГОСТ 7512-82 Контроль неразрушающий. Соединения сварные. Радиографический метод
ГОСТ 10499-95 Изделия теплоизоляционные из стеклянного штапельного волокна. Технические условия
ГОСТ 21631-2019 Листы из алюминия и алюминиевых сплавов. Технические условия
ГОСТ 21880-2011 Маты из минеральной ваты прошивные теплоизоляционные. Технические условия
ГОСТ 27751-2014 Надежность строительных конструкций и оснований. Основные положения
ГОСТ 27772-2015 Прокат для строительных стальных конструкций. Общие технические условия
ГОСТ 33949-2016 Изделия из пеностекла теплоизоляционные для зданий и сооружений. Технические условия
ГОСТ 34233.2-2017 Сосуды и аппараты. Нормы и методы расчета на прочность. Расчет цилиндрических и конических обечаек, выпуклых и плоских днищ и крышек
ГОСТ 34337-2017 Стекловолокно. Маты. Общие технические требования и методы испытаний
ГОСТ Р ИСО 17637-2014 Контроль неразрушающий. Визуальный контроль соединений, выполненных сваркой плавлением
СП 20.13330.2016 "СНиП 2.01.07-85* Нагрузки и воздействия" (с изменениями N 1, N 2)
СП 22.13330.2016 "СНиП 2.02.01-83* Основания зданий и сооружений" (с изменениями N 1, N 2, N 3)
СП 24.13330.2011 "СНиП 2.02.03-85 Свайные фундаменты" (с изменениями N 1, N 2, N 3)
СП 25.13330.2012 "СНиП 2.02.04-88 Основания и фундаменты на вечномерзлых грунтах" (с изменениями N 1, N 2, N 3, N 4)
СП 28.13330.2017 "СНиП 2.03.11-85 Защита строительных конструкций от коррозии" (с изменениями N 1, N 2)
СП 43.13330.2012 "СНиП 2.09.03-85 Сооружения промышленных предприятий" (с изменениями N 1, N 2)
СП 61.13330.2012 "СНиП 41-03-2003 Тепловая изоляция оборудования и трубопроводов" (с изменением N 1)
Примечание - При пользовании настоящим сводом правил целесообразно проверить действие ссылочных документов в информационной системе общего пользования - на официальном сайте федерального органа исполнительной власти в сфере стандартизации в сети Интернет или по ежегодному информационному указателю "Национальные стандарты", который опубликован по состоянию на 1 января текущего года, и по выпускам ежемесячно издаваемого информационного указателя "Национальные стандарты" за текущий год. Если заменен ссылочный документ, на который дана недатированная ссылка, то рекомендуется использовать действующую версию этого документа с учетом всех внесенных в данную версию изменений. Если заменен ссылочный документ, на который дана датированная ссылка, то рекомендуется использовать версию этого документа с указанным выше годом утверждения (принятия). Если после утверждения настоящего свода правил в ссылочный документ, на который дана датированная ссылка, внесено изменение, затрагивающее положение, на которое дана ссылка, то это положение рекомендуется применять без учета данного изменения. Если ссылочный документ отменен без замены, то положение, в котором дана ссылка на него, рекомендуется применять в части, не затрагивающей эту ссылку. Сведения о действии сводов правил можно проверить в Федеральном информационном фонде стандартов.
3 Термины, определения и сокращения
3.1 В настоящем своде правил применены следующие термины с соответствующими определениями:
3.1.1 аварийный разлив продукта: Поступление продукта в межстенное пространство резервуара при повреждении внутреннего корпуса.
3.1.2 внутренний корпус изотермического резервуара: Герметичный вертикальный цилиндрический стальной корпус или негерметичный вертикальный цилиндрический стальной корпус-стакан, концентрически расположенный внутри наружного корпуса изотермического резервуара.
3.1.3 герметичность: Способность оболочки (корпуса), отдельных ее элементов и соединений препятствовать газовому или жидкостному обмену между средами, разделенными этой оболочкой.
3.1.4 захолаживание: Процесс контролируемого охлаждения резервуара перед его вводом в эксплуатацию.
3.1.5 изотермический резервуар: Резервуар для хранения сжиженных газов при температуре кипения и давлении, близком к атмосферному, состоящий из концентрически расположенных внутреннего и наружного стальных корпусов.
3.1.6 межстенное пространство: Пространство между стенками внутреннего и наружного корпусов изотермического резервуара.
3.1.7 наружный корпус изотермического резервуара: Герметичный вертикальный цилиндрический стальной корпус, расположенный снаружи внутреннего корпуса изотермического резервуара.
3.1.8 наружная крыша: Стационарный каркасный сферический купол наружного корпуса резервуара с герметичным покрытием.
3.1.9 подвесная крыша: Конструктивная часть изотермического резервуара полного сдерживания, представляющая собой паропроницаемую металлическую конструкцию с системой ребер жесткости, подвешенную к наружной крыше над внутренним корпусом-стаканом.
3.1.10 рабочее избыточное давление газа: Максимальное внутреннее избыточное давление в резервуаре, образующееся при испарении сжиженного газа при нормальном протекании рабочего процесса, включающем предусмотренный проектом темп отбора газа на повторное сжижение или на факел.
3.1.11 рабочий объем резервуара: Объем продукта между минимальным и максимальным уровнями залива при эксплуатации резервуара.
3.1.12 разгерметизация резервуара: Нарушение герметичности, приводящее к проникновению газа или жидкости из изотермического резервуара в окружающее пространство.
3.1.13 расчетная температура: Температура, при которой должны определяться физико-механические характеристики металла корпуса резервуара для расчета на прочность.
3.1.14 расчетное избыточное давление: Давление, при котором должен проводиться расчет резервуара на прочность.
3.1.15 риск аварии: Мера опасности, характеризующая возможность возникновения аварии на опасном производственном объекте и тяжесть ее последствий.
3.1.16 соседний объект: Объект, находящийся на удалении от изотермического резервуара, достаточном для теплового воздействия от него, в случае пожара.
3.1.17 хлопун: Местное отклонение начальной формы стенки, днища или других элементов конструкции, обращенное выпуклостью наружу, образовавшееся в результате воздействия монтажно-сварочных напряжений.
3.2 Сокращения
ИР - изотермический резервуар;
КИПиА - контрольно-измерительные приборы и автоматика;
МКЭ - метод конечных элементов;
НДС - напряженно-деформированное состояние;
ПАЗ - противоаварийная автоматическая защита;
ППР - проект производства работ;
СПГ - сжиженный природный газ.
4 Классификация изотермических резервуаров
4.1 Изотермические резервуары для хранения сжиженных газов при температуре кипения и давлении, близком к атмосферному, классифицируют по объему хранимого продукта, по количеству контуров сдерживания аварийного разлива хранимого продукта (преград для свободного разлива жидкого продукта) и по конструктивному исполнению крыши внутреннего корпуса.
4.2 По объему (вместимости) хранимого продукта ИР подразделяют на три основных типа:
- малотоннажные - объем продукта менее 5 000 м3;
- среднетоннажные - объем продукта от 5 000 м3, но менее 60 000 м3;
- крупнотоннажные - от 60 000 м3 и выше.
4.3 По количеству контуров сдерживания возможного аварийного разлива продукта ИР подразделяют на три основных типа:
- "одинарного сдерживания", включает:
- внутренний силовой корпус, рассчитанный на сдерживание
гидростатического давления жидкости;
- наружный герметичный корпус, рассчитанный на сдерживание
избыточного давления газа над жидкостью, но не рассчитанный на
аварийный разлив продукта;
- "двойного сдерживания", включает:
- силовой корпус;
- открытую защитную ограждающую стенку (или закрытую навесом от
попадания атмосферных осадков), рассчитанную на сдерживание аварийного
разлива продукта по территории предприятия;
- "полного сдерживания", включает два силовых корпуса, концентрически расположенных один в другом, каждый из которых предназначен для сдерживания гидростатического давления жидкости:
- наружный корпус герметичен и рассчитан на сдерживание
давления газа;
- внутренний корпус может быть, как герметичным, т.е. иметь
собственную герметичную стационарную крышу, так и негерметичным и
изготавливаться с паропроницаемой подвесной крышей, закрепленной на
подвесках к крыше наружного корпуса ИР.
4.4 ИР по конструктивному исполнению крыши внутреннего корпуса подразделяют на два основных типа:
- с купольной самонесущей герметичной крышей внутреннего корпуса;
- с подвесной паропроницаемой крышей внутреннего корпуса.
4.5 Соотношение между высотой стенки и диаметром внутреннего корпуса ИР рекомендуется выбирать от 0,7 до 1,0.
5.1 Расчетные формулы
5.1.1 Расчетную толщину листовых элементов конструкций t определяют по формулам либо численным расчетом в программном комплексе, допущенном к применению в порядке, установленном действующим законодательством Российской Федерации. Исполнительная (проектная) толщина tисп назначается проектировщиком, исходя из расчетной толщины с учетом припуска на коррозию c1, минусового предельного отклонения по толщине проката c2, технологических операций c3 и округления в большую сторону до стандартной толщины выпускаемого проката. При расчетах толщин необходимо принимать условие
tисп >= t + c1 + c2 + c3. (5.1)
Для основных листовых конструкций ИР из материалов типа IV (9% никелевая сталь) и типа VI (высокомарганцовистая сталь с содержанием марганца 15% - 35%) следует tисп принимать не менее 8,0 мм.
Припуск на коррозию, технологические операции и минусовое предельное отклонение по толщине проката не учтены в расчетных формулах.
5.1.2 Для подтверждения прочности и устойчивости конструкций ИР могут быть использованы:
- расчет по формулам, приведенным в настоящем своде правил;
- численный расчет НДС и устойчивости конструкции, выполненный в программном комплексе, с введением в полученные результаты корректирующих множителей, согласующих численное решение и коэффициенты запаса (надежности), принятые в расчетных формулах.
Расчет по формулам и численный расчет могут быть использованы как по отдельности, так и совместно, для получения наиболее надежных результатов.
Численное моделирование может осуществляться с использованием как условно упругой, так и упруго-пластической модели деформирования материала.
5.1.3 При расчете на устойчивость допускаемые нагрузки определяют по верхним критическим напряжениям.
5.1.4 Значения параметров конструкций, полученные по формулам, основанным на безмоментной теории оболочек, достаточны для обеспечения прочности конструкции. Данные значения могут быть скорректированы при численном расчете. Численный расчет НДС, применение критериев прочности и устойчивости, изложенные в настоящем своде правил, учет коэффициентов надежности определяют необходимые и достаточные значения параметров конструкции.
5.2 Избыточное давление
5.2.1 Расчетное внутреннее избыточное давление
pр.изб определяют через рабочее давление
pраб. Для режима эксплуатации
pр.изб = 1,2
pраб, для режима пневмоиспытания
pр.изб = 1,25
pраб.
5.2.2 В задании на проектирование ИР указывают как рабочее, так и расчетное давление. Если в задании указано только рабочее давление, то расчетное определяют по
5.2.1. Если значение расчетного давления выше давления, определенного по
5.2.1, то дополнительно умножать его на коэффициент надежности по нагрузке 1,2 или 1,25 не требуется.
5.3 Расчетная температура
5.3.1 Расчетную температуру используют:
- при определении прочностных характеристик материалов;
- расчете изменения размеров конструкций;
- захолаживании/расхолаживании ИР;
- расчете на прочность с учетом температурных воздействий;
- теплотехнических расчетах.
5.3.2 Расчетную температуру внутри ИР принимают равной температуре хранения (кипения сжиженного газа) или пониженной по сравнению с этой температурой, в соответствии с техническим заданием на проектирование ИР.
5.3.3 При выполнении прочностных и теплотехнических расчетов для ИР как для холодосберегающего оборудования базовую расчетную температуру окружающего воздуха
tew принимают равной средней максимальной температуре наиболее теплого месяца для района строительства согласно данным метеорологических изысканий, а при отсутствии - по
СП 131.13330.
5.3.4 Расчеты могут проводиться и для других значений температуры окружающей среды (абсолютной максимальной летней температуры, среднегодовой температуры, средней минимальной зимней температуры и т.п.), если это необходимо для проектирования дополнительного оборудования ИР и указано в задании на проектирование ИР.
5.3.5 При выполнении прочностных расчетов температуру окружающей среды учитывают при вычислении температурной деформации внутреннего корпуса ИР при захолаживании (расхолаживании).
При выполнении теплотехнических расчетов температуру окружающей среды учитывают при вычислении тепловых потоков через элементы конструкции ИР: стенку, крышу и днище.
5.3.6 Расчетную среднесуточную температуру воздуха определяют по формуле

(5.2)
где

- приращения температуры, °C, (среднесуточные колебания температуры), принимают по
таблице 13.2 СП 20.13330.2016;

- добавка к расчетной температуре за счет влияния солнечной радиации, °C, вычисляют по формуле

(5.3)
где

- коэффициент поглощения солнечной радиации наружной поверхностью резервуара, для металлических поверхностей,

;
Smax - максимальное количество солнечной радиации, Вт·ч/м2;
k - коэффициент для металлических поверхностей, k = 0,7.
5.3.7 Значение
Smax принимают по данным метеорологических изысканий для района строительства, а при их отсутствии по
таблицам 13.4 и
13.5 СП 20.13330.2016, раздельно для горизонтальных поверхностей, к которым относят крышу ИР, и вертикальных поверхностей - стенки резервуара. Значение
Smax для вертикальных поверхностей зависит от ориентации поверхности по сторонам света. Следует принимать максимальное значение
Smax.
5.3.8 При расчете тепловых потоков через днище резервуара на грунтовом основании без системы подогрева учитывают поправку на нагревание грунта согласно
пункту 13.4 СП 20.13330.2016. Для резервуара на свайном проветриваемом фундаменте температурная поправка

при расчете тепловых потоков через днище не вводится.
5.3.9 Коэффициент надежности по нагрузке

для температурной поправки

и расчетного перепада температур принимают равным 1,1.
5.3.10 Радиальную температурную деформацию стенки внутреннего корпуса в условиях аварийного вывода ИР из эксплуатации следует определять исходя из разницы расчетной летней температуры окружающего воздуха и рабочей температуры хранимого продукта.
6 Оценка риска при выборе конструкции резервуара
6.1 Факторы риска аварии ИР могут быть внутренними - связанные с наличием скрытых дефектов резервуара, и внешними - связанные с внешними причинами.
Внутренние факторы риска связаны с наличием скрытых дефектов и повреждений сварных соединений, коррозионным состоянием конструкций, наличием межкристаллитной коррозии и возможностью хрупкого разрушения и т.п.
6.2 К внешним факторам риска относят:
- нарушение условий эксплуатации (технологического режима приема, хранения или отгрузки продукта), которое может привести к отклонению нагрузок от проектных значений, например, к резкому возрастанию внутреннего давления, угрожающему разрушением конструкции;
- нарушения в работе сопутствующего оборудования (компрессоров, насосов, предохранительных клапанов, элементов факельной системы), которые могут привести к отклонению нагрузок от проектных значений и разрушению конструкции ИР;
- аварийные внешние воздействия: тепловое воздействие при пожаре на соседних объектах, действие воздушной ударной волны, падение твердых предметов на поверхность ИР при взрыве на соседних объектах и другие возможные воздействия согласно
СП 296.1325800.
6.3 При необходимости оценки риска при проектировании ИР, анализ риска аварии разбивают на следующие этапы:
- идентификация опасностей и количественная оценка риска аварий ИР с учетом воздействия поражающих факторов на персонал, население, имущество и окружающую среду;
- обоснование оптимальных вариантов размещения ИР с учетом расположения объектов производственной и транспортной инфраструктуры, особенностей окружающей местности, территориальных зон (охранных, санитарно-защитных, жилых, общественно-деловых, рекреационных);
- определение степени опасности аварий для выбора наиболее безопасных проектных решений;
- обоснование, корректировка и модернизация организационных и технических мер безопасности;
- разработка мер по снижению риска аварий.
6.4 При идентификации опасностей, эксплуатацию резервуара при максимальных значениях проектных нагрузок (максимальном уровне налива хранимого продукта, максимальном избыточном давлении), а также циклический режим работы (налив-слив продукта в пределах расчетного количества циклов) не следует рассматривать в качестве опасностей аварии. При предусмотренном проектом режиме работы резервуара риск аварии минимален.
6.5 Оценку риска аварий ИР сжиженных газов следует выполнять по
[1]. При расчете риска аварий ИР различных типов частоту разгерметизации с проливом содержимого во внешнюю среду определяют по таблице 6.1.
Таблица 6.1
Частота разгерметизации резервуаров
с проливом содержимого во внешнюю среду
Тип резервуара | Частота разгерметизации, год-1 |
Полное разрушение | Частичное разрушение |
Мгновенный выброс всего объема продукта в окружающую среду | Мгновенный выброс всего объема продукта в межстенное пространство | Продолжительный выброс в окружающую среду через отверстие диаметром 10 мм | Продолжительный выброс в межстенное пространство через отверстие диаметром 10 мм |
ИР одинарного сдерживания жидкости | От 5·10-6 до 1·10-5 | - | 5·10-7 | - |
ИР двойного сдерживания жидкости | 5·10-7 | 5·10-7 | - | 1·10-4 |
Резервуар полного сдерживания с двумя купольными крышами | 5·10-8 | 5·10-7 | - | 1·10-4 |
Резервуар полного сдерживания с купольной наружной и подвесной внутренней крышами | 1·10-8 | - | - | - |
6.6 Наиболее опасной для конструкции резервуара и наиболее вероятной причиной аварии, связанной с нарушением режима эксплуатации, является аварийное повышение внутреннего давления в ИР. К нарушениям режима эксплуатации относят несоблюдение технологических режимов приема, хранения и отгрузки продукта, неисправность компрессорного оборудования, неисправность предохранительных клапанов.
6.7 Наиболее безопасной конструкцией является ИР полного сдерживания с подвесной внутренней крышей. Такая конструкция исключает воздействие внутреннего давления газа на внутренний корпус ИР и практически исключает возможность разрушения внутреннего корпуса ИР, не имеющего дефектов монтажа.
При разрушении наружного корпуса ИР по причине аварийного повышения внутреннего давления или внешней причине сжиженный газ остается во внутреннем корпусе ИР. Такая конструкция является наиболее безопасной и при внешнем воздействии (внешний взрыв, ударная нагрузка от аварийного падения оборудования, локальный пожар снаружи и т.п.).
6.8 Коэффициент заполнения резервуара следует назначать равным 0,85 - 0,95.
7 Требования к материалам и конструкциям
7.1 При проектировании и расчетах ИР, предназначенных для хранения сжиженных газов, конструкционные материалы следует выбирать в соответствии с требованиями нормативных документов, с учетом условий их поставки.
7.2 Материал основных листовых конструкций для ИР подразделяют на следующие пять типов:
- I - низколегированная кремний-марганцевая сталь;
- II - низколегированная кремний-марганцевая сталь для работы при низких температурах;
- III - никелевая сталь с содержанием никеля 3,5% - 7,5%;
- IV - 9% никелевая сталь;
- V - аустенитная нержавеющая сталь.
Соответствие между хранимым в ИР продуктом и типом стали определяют по таблице 7.1.
Таблица 7.1
Соответствие между хранимым в ИР продуктом и типом стали
Продукт | Тип стали | Температура хранимого продукта, °C | Минимальная рабочая температура стали, °C |
ИР одинарного сдерживания | ИР двойного или полного сдерживания |
Бутан | II | I | Минус 10 | Минус 35 |
Аммиак | II | II | Минус 35 | Минус 80 |
Пропан/пропилен | III | II III | Минус 50 | Минус 80 |
Этан/этилен | IV V | III IV V | Минус 104 | Минус 104 |
СПГ | IV V | IV V | Минус 163 | Минус 165 |
7.2.1 Сталь типа I - углеродистая, низколегированная, кремний-марганцевая, пригодная для работы при температуре до минус 35 °C и сталь типа II - углеродистая, низколегированная, кремний-марганцевая, пригодная для работы при температуре до минус 80 °C, соответствуют следующим требованиям:
1) горячекатаная сталь в термически обработанном или в термомеханически обработанном состоянии (состояние поставки определяет заказчик и указывает в спецификации);
2) содержание углерода не более 0,20%; углеродный эквивалент стали Cэкв не должен превышать 0,43, определяется по формуле

(7.1)
7.2.2 Сталь типа III - хладостойкая, легированная никелем с содержанием никеля 3,5% - 7,5%, пригодная для работы при температуре до минус 104 °C. Химический состав стали типа III по анализу промышленной выплавки должен соответствовать параметрам, указанным в таблице 7.2.
Таблица 7.2
Массовая доля элементов стали
типа III по анализу промышленной выплавки
Элементы | C, % макс. | Si, % макс. | Mn, % | P, % макс. | S, % макс. | Mo, % макс. | Ni, % | V, % макс. |
Содержание | 0,10 | 0,35 | 0,30 - 0,80 | 0,015 | 0,005 | 0,10 | 3,5 - 7,0 | 0,01 |
Примечания 1 Для изготовления ИР допускается использовать прокат из стали марки 0Н6Б (тип III) согласно техническим характеристикам, установленным в ГОСТ Р 58915. 2 Содержание химических элементов, не указанных в таблице, не нормируется. |
7.2.3 Сталь типа IV - хладостойкая, 9%-ная никелевая сталь (с содержанием никеля 8,5% - 10%), пригодная для работы при температуре до минус 165 °C. Химический состав стали типа IV по анализу промышленной выплавки должен соответствовать параметрам, указанным в таблице 7.3.
Таблица 7.3
Массовая доля элементов стали
типа IV по анализу промышленной выплавки
Элементы | C, % макс. | Si, % макс. | Mn, % | P, % макс. | S, % макс. | Mo, % макс. | Ni, % | V, % макс. |
Содержание | 0,10 | 0,35 | 0,30 - 0,80 | 0,015 | 0,005 | 0,10 | 8,5 - 10,0 | 0,01 |
Примечания 1 Для изготовления ИР допускается использовать прокат из стали марки 0Н9 (тип IV) согласно техническим характеристикам, установленным в ГОСТ Р 58915. 2 Содержание химических элементов, не указанных в настоящей таблице, не нормируется. |
7.2.4 Требования к определению значений ударной вязкости сталей приведены в таблице 7.4.
Таблица 7.4
Требования к определению значений ударной вязкости сталей
Тип стали | Ударная вязкость KCV, Дж/см2, не менее | Температура испытаний на ударную вязкость KCV, °C |
| 27 | Минус 35 |
| 27 | Минус 80 |
| 27 | Минус 104 |
| 80 | Минус 196 |
V | Аустенитная нержавеющая сталь, соответствующая требованиям, установленным в ГОСТ 7350-77 (таблица 2), группа сталей 12Х18Н9 - 08Х18Н12Т |
<1> Для проката из стали классов С355 - С590 (тип I и II) допускается определять значения KCV согласно ГОСТ 27772-2015 (таблица 4) при температурах испытаний ниже указанных в таблице 7.4 (минус 40 °C и минус 60 °C) и для проката категории 20 из стали марок 09Г2С и 09Г2С-1 (тип II) - согласно ГОСТ 19281-2014 (приложение Б, пункт Б.18). <2> Для проката из стали марки 0Н6Б (тип III) допускается определять значения норм работы удара KV, Дж, согласно ГОСТ Р 58915-2020 (таблица 3). <3> Для проката из стали марки 0Н9 (тип IV) допускается определять значения норм работы удара KV, Дж, согласно ГОСТ Р 58915-2020 (таблица 3). |
7.3 Требования для материала стального каркаса купольного покрытия аналогичны требованиям к материалам основных листовых конструкций.
7.4 Требования к материалам подвесной крыши
Ограждающую конструкцию подвесной крыши следует выполнять из стали типов II - V или из алюминиевого сплава по
ГОСТ 21631, соответствующего следующим требованиям:
- условный предел текучести должен быть не менее 125 МПа;
- временное сопротивление должно превышать условный предел текучести не менее чем в 1,45 раза;
- относительное удлинение после разрыва стандартного образца должно быть не менее 15%.
Минимальная расчетная температура материала подвесной крыши должна быть не выше расчетной температуры хранимого продукта.
7.5 Требования к материалам закладных деталей и вставок
Закладные детали и вставки необходимо выполнять из углеродистой или хладостойкой стали в зависимости от типа стали присоединяемой конструкции. При использовании одной закладной детали для конструкций из углеродистой и хладостойкой стали, закладную деталь следует изготавливать из хладостойкой стали.
7.6 Требования к материалам анкерных креплений
Анкеры предназначены для исключения подъема окрайки днища резервуара под действием внутреннего давления, ветра и сейсмического воздействия.
Допускаемое растягивающее напряжение в анкерах Ra, МПа, определяют через расчетное сопротивление материала анкеров по пределу текучести Ry, кПа. Для нормальной эксплуатации Ra = 0,5Ry, для режима испытаний Ra = 0,85Ry.
7.7 Требования к сварочным материалам
Для сварки хладостойкой стали типов III и IV применяют сварочные материалы на никелевой основе, обеспечивающие заданные ниже требования.
Величина энергии разрушения металла сварного шва и зоны термического влияния при температуре минус 196 °C, средняя по трем стандартным поперечным образцам, должна быть не менее 55 Дж.
Три образца из каждого комплекта должны быть испытаны на ударную вязкость.
Прочностные характеристики металла шва и зоны термического влияния должны быть не менее 70% от требуемых характеристик для основного металла, что необходимо учитывать при расчетах.
Для сварки углеродистых сталей должны применяться сварочные материалы, имеющие характеристики не менее требуемых для основного металла по пределу текучести, временному сопротивлению и ударной вязкости.
8 Требования к сварке и контролю качества при изготовлении и строительстве изотермических резервуаров
8.1 Требования к сварке металлоконструкций изотермических резервуаров
8.1.1 При проектировании металлических конструкций ИР необходимо определить требования к механическим свойствам сварных соединений и назначить объем контроля физическими методами в соответствии с
ГОСТ 3242,
ГОСТ 7512,
ГОСТ Р ИСО 17637,
ГОСТ Р 55724.
8.1.2 Технологические процессы заводской и монтажной сварки должны обеспечивать получение сварных соединений, удовлетворяющих требованиям проекта, соответствующих нормам по предельно допустимым размерам и видам дефектов с учетом коэффициентов концентрации напряжений.
8.1.3 Применяемые способы и технология сварки металлоконструкций резервуара должны быть указаны в ППР и обеспечивать:
- высокую производительность и экономическую эффективность сварочных процессов с учетом объемов выполнения сварки;
- высокий уровень однородности и сплошности металла сварных соединений с учетом конкретных условий и требуемого уровня комплекса механических свойств: прочности, пластичности, твердости, ударной вязкости и хладостойкости;
- минимальный уровень деформаций свариваемых металлоконструкций резервуара.
8.1.4 В ППР необходимо предусмотреть мероприятия, обеспечивающие:
- требуемую геометрическую точность металлоконструкций резервуара, включая меры по компенсации или подавлению термодеформационных процессов усадки сварных швов, которые могут привести к потере устойчивости тонкостенной оболочки корпуса резервуара и образованию вмятин и выпуклостей его поверхности;
- требуемую точность сборки элементов;
- пространственную неизменяемость конструкций в процессе их укрупнительной сборки и установки в проектное положение;
- требуемое качество подготовки и сборки под сварку свариваемых кромок.
8.1.5 До начала сварочных работ любые соединения металлоконструкций ИР следует контролировать и принимать под сварку по следующим конструктивным и технологическим критериям:
- геометрические параметры кромок элементов, подготовленных под сварку (значение угла скоса кромок, зазор в стыке, значение притупления, смещение кромок), должны укладываться в поле допусков, предусмотренных проектом;
- поверхность кромок, и прилегающие к ним зоны шириной 20 мм необходимо зачищать от любых загрязнений;
- сборочные приспособления, закрепляющие кромки свариваемых элементов, должны обеспечивать достаточную прочность и жесткость и исключать чрезмерную усадку швов и перемещения свариваемых элементов.
8.1.6 Последовательность выполнения всех сварных соединений металлоконструкций ИР и схему выполнения каждого сварного шва в отдельности следует определять в соответствии с ППР, при условии обеспечения минимальных сварочных деформаций и перемещений элементов металлоконструкций резервуара.
8.1.7 После сварки швы и прилегающие зоны должны быть очищены от шлака и брызг металла.
8.1.8 Стенки внутреннего и наружного корпусов ИР должны быть смонтированы полистовым методом.
8.1.9 Сборку каркасов стационарных крыш, секций опорных элементов жесткости (утор), производят в кондукторах.
8.1.10 Сварку конструкций ИР выполняют специалисты сварочного производства, аттестованные в установленном порядке, в соответствии с
[2], с применением аттестованных технологий сварки, сварочного оборудования и материалов.
8.2 Требования к контролю качества при изготовлении и строительстве
8.2.1 Обработку металлопроката для резервуаров следует выполнять на оборудовании, обеспечивающем получение деталей с размерами, формой, чистотой поверхности и предельными отклонениями, установленными в проекте. Кромки деталей после обработки не должны иметь неровностей, заусенцев и завалов, размеры которых превышают 1,0 мм.
8.2.2 При выполнении такелажных и транспортных операций должны быть предусмотрены мероприятия, исключающие возможность деформирования конструкций, повреждения поверхности и кромок элементов, подлежащих сварке.
8.2.3 При хранении на открытых площадках конструкции резервуаров не должны соприкасаться с грунтом, на них не должна застаиваться вода. Пространственное положение и схема закрепления ИР должны исключать изменение проектной геометрической формы.
8.2.4 Отклонения геометрических параметров элементов конструкции резервуаров не должны превышать указанных в таблице 8.1.
Таблица 8.1
Предельные отклонения геометрических параметров
элементов конструкции
Наименование показателей | Значение предельного отклонения |
Стенки |
Отклонение величин радиусов внутренней и наружной стенок резервуара на уровне днища | +/- 20 мм |
Отклонение высоты стенок резервуара от проектной высоты | +/- 20 мм |
Местные плавные отклонения от радиусов, перегибы в кольцевом направлении в зонах вертикальных швов стенок резервуара <*> | +/- 20 мм |
Днища |
Отклонения от горизонтали наружных контуров готовых днищ незаполненного резервуара <**>: | |
- разность отметок смежных точек контуров днищ на расстоянии 6 м по периметру; | 20 мм |
- любых других точек | 50 мм |
Купольная крыша |
Разность отметок поверхности балок аналогичных узлов в кольцевом направлении | 60 мм |
<*> Замеры должны проводиться до залива резервуара водой. <**> Концентрические вмятины в районе окрайки не допускаются. |
8.2.5 Методы сварки, объем контроля качества сварных соединений и методы неразрушающего контроля должны быть установлены при проектировании.
8.2.6 Для контроля качества сварных соединений должны применяться следующие методы неразрушающего контроля:
- визуально-измерительный контроль всех сварных соединений резервуара;
- контроль герметичности (непроницаемости) сварных швов;
- капиллярный метод (цветная дефектоскопия), магнитопорошковая дефектоскопия для выявления поверхностных дефектов с малым раскрытием;
- физические методы для выявления наличия внутренних дефектов: радиография или ультразвуковая дефектоскопия;
- гидравлические и пневматические прочностные испытания конструкции резервуара.
8.2.7 Монтаж металлических конструкций ИР следует выполнять в соответствии с ППР. Особое внимание должно быть уделено:
- мероприятиям по обеспечению прочности и устойчивости конструкций в процессе монтажа;
- качеству сборочно-сварочных работ;
- видам и объемам пооперационного контроля качества работ;
- безопасности и охраны труда;
- охране окружающей среды.
8.2.8 Локальные отклонения высотных отметок точек днища от горизонтальной плоскости (в том числе хлопуны) должны быть сведены к минимуму путем выбора оптимальной последовательности сварки листов днища, установки временных ребер жесткости. Высота хлопунов не должна превышать 75 мм на любом участке длиной 3 м и менее. При высоте хлопуна на днище 50 мм его площадь должна быть не менее 2 м2. Предельно допускаемая высота хлопуна - 150 мм, при этом его площадь должна быть не менее 5 м2 (т.е. без резких изгибов днища).
8.2.9 После сборки и приварки первых поясов стенок к днищам, отклонения внутренних радиусов стенок резервуара, измеренных на высоте 300 мм над днищем, не должны выходить за предельные отклонения, указанные в таблице 8.2. Измерения должны проводиться от центра каждого листа стенок.
Таблица 8.2
Предельные отклонения радиусов стенок
(внутреннего или наружного корпуса) ИР
Внутренний диаметр стенки резервуара D, м | Предельные отклонения радиуса, мм |
D <= 12 | +/- 12 |
12 < D <= 45 | +/- 19 |
45 < D <= 70 | +/- 25 |
70 < D | +/- 30 |
8.2.10 Овальность - относительная разность между максимальным и минимальным диаметром внутренней или наружной стенки ИР на любой высоте, не должна превышать минимальной из величин: 1% диаметра или 300 мм.
8.2.11 Местные прогибы листов внутренней или наружной стенки должны быть проверены прямой линейкой длиной 1 м по вертикали и шаблоном длиной 1 м по окружности. Кривизна шаблона для измерений по окружности должна соответствовать проектному радиусу стенки. Максимальные отклонения фактического профиля стенок от проектного не должны превышать значений, указанных в таблице 8.3.
Таблица 8.3
Предельные отклонения профиля стенок
(внутреннего или наружного корпуса) ИР
Толщина листа e, мм | Предельные отклонения, мм |
e <= 12,5 | 16 |
12,5 < e <= 25 | 13 |
25 < e | 10 |
8.2.12 Местные деформации в зоне сварного соединения (угловатость), направленные как к центру, так и от центра резервуара должны подчиняться единым требованиям. Угловатость должна быть измерена металлическим шаблоном с радиусом кривизны, равным проектному радиусу измеряемой цилиндрической оболочки и полубазой 350 мм. Предельные допускаемые значения угловатости приведены в таблице 8.4.
Таблица 8.4
Предельная угловатость в местах сварки
Толщина листа e, мм | Предельные отклонения, мм |
e <= 12,5 | 12 |
12,5 < e <= 25 | 9 |
25 < e | 6 |
8.2.13 Максимальное отклонение от вертикали верха стенки резервуара относительно уровня днища не должно превышать 1/200 высоты стенки. Такой же допуск применяют к каждому из поясов стенки.
8.2.14 Депланация (смещение плоскостей, кромок) листов стенки в местах вертикальных сварных соединений не должна превышать величин, приведенных в таблице 8.5.
Таблица 8.5
Предельная депланация в вертикальных сварных соединениях
Толщина листа e, мм | Предельные отклонения, мм |
e <= 15 | 1,5 |
15 < e <= 30 | 10% от e |
30 < e | 3 |
8.2.15 Депланация листов стенки в местах горизонтальных сварных швов не должна превышать 20% толщины верхнего листа, но не более 3 мм.
8.2.16 Для крыш двойной кривизны поверхность не должна отклоняться от проектной формы наружу более чем на 1,25% диаметра резервуара и внутрь более чем на 0,6% диаметра.
8.2.17 При заполнении межстенного пространства перлитом должно быть обеспечено сохранение максимально равномерного уровня перлита. Засыпка перлита должна сопровождаться его виброуплотнением не менее чем на 10%.
8.2.18 Слои блоков из пеностекла должны быть уложены таким образом, чтобы вертикальные швы располагались в шахматном порядке.
8.2.19 Изоляция днища должна быть такой, чтобы укладка и сварка листов днища внутреннего корпуса ИР могла выполняться без повреждения элементов изоляции.
9 Основные расчетные положения
9.1 Методы расчета и коэффициенты надежности
9.1.1 Расчет конструкций ИР следует выполнять по предельным состояниям в соответствии с
ГОСТ 27751.
9.1.2 Дополнительно, для ИР, как для объекта повышенного уровня ответственности класса КС-3, при расчетах по первой группе предельных состояний должен быть учтен коэффициент надежности по ответственности

, значение которого принимают в соответствии с
ГОСТ 27751.
9.1.3 Расчет металлоконструкций ИР должен проводиться для всех наиболее неблагоприятных, т.е. вызывающих максимальные напряжения и деформации сочетаний нагрузок в соответствии с
СП 20.13330 и
ГОСТ 27751.
Расчеты должны проводиться для режимов монтажа, гидропневмоиспытаний, эксплуатации и вывода из эксплуатации. Для режима вывода из эксплуатации проводят расчет на устойчивость внутренней стенки ИР с засыпной теплоизоляцией с учетом увеличения давления сыпучей среды и компенсационных матов при расхолаживании ИР.
9.1.4 Классификацию видов нагрузок (постоянные, длительные, кратковременные, особые, аварийные), значения коэффициентов надежности по нагрузкам и коэффициентов сочетаний нагрузок следует принимать в соответствии с
СП 20.13330 и
ГОСТ 27751.
9.1.5 Коэффициенты условий работы элементов металлоконструкций ИР следует принимать в соответствии с
СП 16.13330 и
СП 43.13330.
9.2 Нагрузки и воздействия
9.2.1 Перечень возможных сочетаний нагрузок приведен в таблице 9.1.
Таблица 9.1
Возможные расчетные сочетания нагрузок
Сочетание нагрузок | Нагрузки |
Постоянная нагрузка | Гидроиспытания | Пневмоиспытания | Гидростатическое давление продукта | Внутреннее давление | | Временная нагрузка на крышу | Снеговая нагрузка | Ветровая нагрузка |
Нагрузки при строительстве | X | - | - | - | - | - | X | X | X |
Нагрузки при выводе из эксплуатации | X | - | - | - | - | - | - | X | X |
Нагрузки при испытаниях | X | X | X | - | - | - | - | - | - |
Эксплуатационные нагрузки (внутренний корпус ИР пустой) | X | - | - | - | X | X | X | X | - |
Эксплуатационные нагрузки (внутренний корпус ИР полный) | X | - | - | X | X | X | X | X | - |
Эксплуатационные нагрузки + ветер | X | - | - | X | X | X | X | X | X |
Условные обозначения: "X" - нагрузку учитывают; "-" - нагрузку не учитывают. -------------------------------- <*> Вакуум не действует одновременно с внутренним давлением, т.е. рассматривается или внутреннее давление, или вакуум. |
9.2.2 К особым и аварийным нагрузкам относят:
- воздействие на стенку резервуара плоской воздушной ударной волны от внешнего взрыва;
- воздействие температуры от пожара на соседнем объекте (существующем трубопроводе горючего газа);
- тепловое воздействие при утечке продукта из внутреннего корпуса ИР;
- исключение из работы любой из подвесок подвесной крыши.
9.2.3 Параметры воздушной ударной волны и теплового воздействия при пожаре должны быть приведены в техническом задании на проектирование ИР.
9.3 Нагрузки при расчете стенок изотермического резервуара на прочность и устойчивость
9.3.1 При расчете внутренней стенки ИР с перлитовой тепловой изоляцией на прочность и устойчивость необходимо учитывать следующие нагрузки:
1) гидростатическое давление при эксплуатации;
2) гидростатическое давление при гидроиспытании;
3) вес стенки;
4) вес колец жесткости на стенке;
5) вес перлита в резервном пространстве над стенкой;
6) вес компенсирующих матов;
7) сила трения перлита о стенку;
8) боковое давление перлита.
9.3.2 Коэффициенты надежности и условий работы для расчетов стенки резервуара на прочность приведены в таблице 9.2.
Таблица 9.2
Коэффициенты надежности и условий работы
Наименование | Обозначение | Значение | Нормативный документ |
1 Коэффициент надежности по ответственности сооружения | | - | |
2 Коэффициент надежности по нагрузке для определения расчетного веса металлоконструкций | | 1,05 | |
3 Коэффициент надежности по материалу для стали | | 1,05 | |
4 Коэффициент надежности по нагрузке для определения расчетного веса сыпучих материалов | | 1,3 | |
5 Коэффициент надежности по нагрузке для реактивного бокового давления перлита | | 1,5 | - |
6 Коэффициент надежности по нагрузке для угла внутреннего трения сыпучих материалов <*> | | 1,1 | - |
<*> Расчетный угол внутреннего трения определяют делением нормативного угла на коэффициент надежности по нагрузке (СП 20.13330). |
9.3.3 Значения коэффициентов в расчетных сочетаниях нагрузок на внутренний корпус ИР приведены в таблице 9.3.
Таблица 9.3
Сочетания нагрузок на внутренний корпус ИР
Сочетание нагрузок | Постоянная нагрузка | Вес компенсирующих матов | Сила трения перлита | Внешнее давление перлита | Гидроиспытания | Пневмоиспытания | Продукт |
1 Нагрузки при испытании | | - | - | - | 1 | - | - |
2 Эксплуатационные нагрузки | 1 | 0,95 | 0,95 | 0,95 | - | - | 1 |
<*> Коэффициенты сочетаний нагрузок. |
9.3.4 Сочетания нагрузок на наружный корпус ИР приведены в таблице 9.4.
Таблица 9.4
Сочетания нагрузок на наружный корпус ИР
Сочетание нагрузок | Виды нагрузок |
Постоянная нагрузка | Температурные воздействия при эксплуатации | Гидроиспытания | Пневмоиспытания | Продукт | Внутреннее давление | Вакуум | Временная нагрузка на крышу | Снеговая нагрузка | Ветровая нагрузка | Утечка продукта | Взрывная волна |
Строительство | X | - | - | - | - | - | - | - | - | - | - | - |
Испытания | X | - | X | X | - | - | - | - | - | - | - | - |
Эксплуатационные нагрузки (внутренний корпус ИР полный) | X | X | - | - | X | X | X | X | X | - | - | - |
Эксплуатационные нагрузки + ветер | X | X | - | - | X | X | X | X | X | X | - | - |
Вывод из эксплуатации | X | - | - | - | - | - | - | - | X | X | - | - |
Утечка (все уровни) | X | X | - | - | - | X | - | - | - | X | X | - |
Эксплуатационные нагрузки (внутренний корпус ИР пустой) + взрывная волна | X | X | - | - | - | X | X | - | X | X | - | X |
Эксплуатационные нагрузки (внутренний корпус ИР полный) + взрывная волна | X | X | - | - | X | X | X | - | X | X | - | X |
Условные обозначения: "X" - нагрузку учитывают; "-" - нагрузку не учитывают. |
9.4 Нагрузки на подвесную крышу
9.4.1 Подвесная крыша должна проектироваться на следующие виды нагрузок:
- собственный вес подвесной крыши и теплоизоляции на ней;
- нагрузки от оборудования и патрубков;
- нагрузки от трубопроводов, поддерживаемых подвесной крышей;
- нагрузки при строительстве.
9.4.2 Конструкция подвесной крыши должна гарантировать, что теплоизоляция не попадет в хранимый во внутреннем корпусе ИР продукт.
9.5 Активное давление на стенки резервуара от перлитовой засыпки
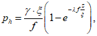
9.5.1 Нормативное значение активного горизонтального давления на стенки резервуара ph, кПа, образующегося при засыпке перлита в межстенное пространство, следует вычислять по формуле

(9.1)
где

- удельный вес перлита

;
g - ускорение свободного падения (
g = 9,81 м/с
2);

- плотность перлита, т/м
3;

- гидравлический радиус;
f - коэффициент трения перлита;
e - основание натурального логарифма, e = 2,71828;

- коэффициент бокового давления перлита;
z - расстояние от верха засыпки до расчетного уровня, м.
Гидравлический радиус

для ИР, в котором сыпучий материал находится между двумя стенками, вычисляют по формуле

(9.2)
где F - площадь поперечного сечения засыпки, м2;
O - периметр наружной стенки, м;
o - периметр внутренней поверхности засыпки, м;
R - внутренний радиус наружной стенки, м;
r - радиус внешней поверхности матов с учетом деформации, м, вычисляют по формуле
r = R0 + t1 + tm, (9.3)
где R0 - внутренний радиус внутренней стенки, м;
t1 - толщина первого пояса стенки, м;
tm - толщина матов с учетом деформации после засыпки перлита, м.
9.5.2 Нормативное вертикальное давление перлита pv, кПа, определяют по формуле

(9.4)
9.5.3 При отсутствии значений, для конкретной марки перлита допускается принимать

,
f = 0,58.
9.5.4 Засыпка перлита должна сопровождаться его виброуплотнением не менее чем на 10%, при этом толщина уплотняемого слоя должна быть не более 4 м.
9.5.5 Расчетную плотность уплотненного перлита для расчета активного давления по
формуле (9.1) принимают с коэффициентом надежности по нагрузке

к его максимальной для данной марки перлита насыпной плотности.
9.5.6 Условие равновесия массы перлита в межстенном пространстве над расчетным уровнем:
Pперл = Fтр нар + Fтр вн + Qдавл. (9.5)
Силы трения перлита о внутреннюю Fтр вн и наружную Fтр нар стенки и ИР, кН, определяют по формулам:

(9.6)

(9.7)
где R2 - радиус наружной поверхности перлита, м;
R1 - радиус внутренней поверхности перлита, м.
Равнодействующую силу вертикального давления перлита на уровне низа рассматриваемой секции Qдавл, кН, определяют по формуле

(9.8)
где pv - вертикальное давление перлита, кПа.
Вес перлита в межстенном пространстве над расчетным уровнем Pперл, кН, вычисляют по формуле

(9.9)
где Hперл - высота перлитной засыпки от уровня низа рассматриваемой секции до верха массы перлита, м.
9.6 Требования к компенсационным матам
9.6.1 При захолаживании ИР, колебании уровня жидкости, изменении климатической температуры, остановке ИР на обследование или техническое обслуживание происходит температурная деформация внутреннего или наружного корпусов ИР и, как следствие, изменение расстояния между внутренней и наружной стенками. Для уменьшения давления теплоизоляционного сыпучего материала на стенки резервуара, при сокращении межстенного расстояния, следует предусмотреть компенсационный слой в виде упругих стекловолокнистых матов по
ГОСТ 34337,
ГОСТ 21880 и
ГОСТ 10499. Компенсационные маты размещают на наружной поверхности стенки внутреннего корпуса ИР. При уплотнении перлита в процессе засыпки до максимальной плотности (не менее чем на 10%) дальнейшего уплотнения его не происходит, и впоследствии при температурной или силовой деформации стенок резервуара упруго деформируются только маты.
9.6.2 Коэффициент упругости матов kмат определяют как разность деформаций kмат = A - B, где A - полусумма деформаций при трехкратном нагружении до давления p1 = 1,676 кПа и разгрузке образца матов, а B - полусумма деформаций при трехкратном нагружении до значения давления p2 = 0,239 кПа и разгрузке.
9.6.3 Модуль упругости материала матов определяют по формуле

(9.10)
Коэффициент упругости матов должен быть не менее 0,44.
Для значения kмат = 0,44 модуль упругости Eмат = 3,266 кПа.
9.6.4 Необходимую расчетную первоначальную толщину матов
L0мат =
x и значение их первоначального сжатия при засыпке перлита

определяют из решения системы нелинейных уравнений

(9.11)

(9.12)
где LМС - ширина межстенного пространства до захолаживания, м;
p1 - давление матов на стенку резервуара при выводе ИР из эксплуатации, кПа;

- изменение радиуса внутреннего резервуара при захолаживании, м.
Толщина матов должна быть не менее расчетной. Маты могут состоять из нескольких слоев.
9.6.5 Давление
p1 - параметр, указанный в техническом задании, или определяется проектировщиком ИР. Давление
p1 не должно быть ниже удвоенного значения активного значения перлита, определенного по
формуле (9.1).
Давление
p1, умноженное на коэффициент надежности

, не должно превышать верхнее давление испытаний матов 1,68 кПа (или другое верхнее значение давления испытаний конкретной марки матов). Рекомендуемое значение давления
p1 от 1,0 до 1,2 кПа.
На давление
p1 с коэффициентом надежности по нагрузке

должен проводиться расчет на устойчивость внутренней стенки ИР.
9.6.6 При засыпке перлита маты, имеющие первоначально толщину
L0мат, под действием давления перлита
p0 деформируются, и толщина их сокращается на величину

.
При захолаживании ИР радиус внутреннего корпуса уменьшается на величину

, где

- коэффициент линейного расширения металла корпуса;

- изменение температуры, °C. При этом освободившееся межстенное пространство заполняется перлитом из резервного запаса, но его давление на стенку при этом не изменяется.
При выводе ИР из эксплуатации для технического обслуживания, обследования или при аварийной ситуации радиус внутреннего корпуса увеличивается, и межстенное расстояние сокращается на величину
.
Уплотненный перлит не деформируется, деформируются только упругие маты, их толщина сокращается также на величину
. При этом давление матов на перлит
p1, кПа, определяют по формуле

(9.13)
9.6.7 При выборе взаимосвязанных параметров - давления p1 и толщины матов L0мат следует руководствоваться условием, что толщина матов не должна превышать 40% ширины межстенного пространства, и деформация матов не должна превышать 33%. При несоблюдении этих условий следует назначить новое значение p1 и произвести повторный расчет толщины матов и их деформации при засыпке.
9.6.8 За температуру внутри резервуара после расхолаживания допускается принимать среднюю максимальную температуру наиболее теплого месяца, согласно СП 131.13330.2018
(таблица 4.1).
9.6.9 При наливе хранимого продукта радиальное перемещение i-го пояса стенки резервуара wi, м, под действием гидростатического и избыточного давления составит:

(9.14)
где

- плотность хранимого продукта, т/м
3;
H - высота налива, м;
zi - расстояние от днища до нижней кромки i-го пояса, м;
n2 - коэффициент надежности по нагрузке для избыточного давления газа, для режима эксплуатации n2 = 1,2, для режима гидроиспытаний n2 = 1,25;
pр.изб - расчетное внутреннее избыточное давление газа в пространстве под кровлей резервуара, кПа;
R - радиус стенки резервуара, м;
Ec - модуль упругости стали при температуре хранения продукта, кПа;
ti - толщина i-го пояса стенки, м.
9.6.10 После назначения проектной толщины матов
LМ расчет их радиального перемещения
w под нагрузкой можно проводить с использованием жесткости матов как пружины

.
9.7 Требования к проектированию цилиндрических стенок изотермических резервуаров
9.7.1 Расчет на прочность стенки внутреннего корпуса изотермического резервуара
9.7.1.1 При расчетах на прочность стенки внутреннего корпуса ИР учитывают следующие нагрузки:
- гидростатическое давление;
- внешнее давление перлита;
- весовые нагрузки;
- сила трения перлита о стенку.
Стенка внутреннего корпуса должна удовлетворять как критериям прочности при всех видах воздействий, так и критериям устойчивости.
9.7.1.2 Толщину i-го пояса стенки ti, м, достаточную для обеспечения прочности при действии гидростатического и внутреннего избыточного давлений, рассчитывают для каждого пояса стенки резервуара по формуле

(9.15)
где

- коэффициент надежности по ответственности сооружения;

- коэффициент условий работы:
- для режима хранения продукта,

- для первого пояса;

- для остальных поясов;
- для режима гидроиспытаний

для всех поясов в соответствии с
СП 43.13330;
Sy - расчетное сопротивление материала по пределу текучести, кПа.
9.7.1.3 Толщина верхнего n-го пояса как для резервуара со стационарной крышей, так и для резервуара, не имеющего стационарной крыши, принимается равной не менее 40% толщины первого пояса tn >= 0,4t1. Минимальная толщина любого пояса стенки ИР независимо от объема составляет 6 мм.
9.7.1.4 Толщина каждого
i-го пояса:
i =
n - 1,
n - 2 и т.д. сверху вниз назначается не менее толщины следующего за ним сверху
i + 1-го пояса, но так, чтобы выполнялось
требование прочности (9.16).
9.7.1.5 Для проверки правильности назначения толщин нижних поясов стенки резервуара и их возможной корректировки рекомендуется провести расчет НДС резервуара численным методом под действием всей совокупности действующих нагрузок. Используют следующую расчетную схему:
1) стенка резервуара переменной толщины с кольцами жесткости, опирающаяся на днище или окрайку днища;
2) резервуар в сборе, т.е. стенка, днище и крыша.
9.7.1.6 Численный расчет стенки и днища, включающий расчет подъема окрайки днища под действием внутреннего давления газа, находящегося над жидкостью, следует выполнять с учетом геометрической нелинейности.
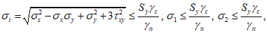
9.7.1.7 Критерий прочности стенки резервуара: интенсивность напряжений

, кПа, и абсолютные значения главных напряжений,

и

, кПа, не должны превышать расчетного сопротивления материала стенки по пределу текучести
Sy с учетом коэффициента условий работы и коэффициента надежности:

(9.16)
где
- осевое напряжение, кПа;

- кольцевое напряжение, кПа;

- коэффициент условий работы;

- коэффициент надежности по ответственности сооружения.
Главными напряжениями в данном случае являются осевые и кольцевые напряжения, так как

.
9.7.2 Расчет стенки внутреннего корпуса изотермического резервуара на устойчивость
9.7.2.1 Устойчивость стенки внутреннего корпуса обеспечена при выполнении условия:

(9.17)

(9.18)

(9.19)

(9.20)

(9.21)
где
- параметр устойчивости (стенка устойчива, если

);

- коэффициент надежности по ответственности сооружения;

- расчетное осевое напряжение для
i-го пояса стенки, кПа;

- критическое осевое напряжение, кПа;
pр - расчетное внешнее давление, кПа;
pкр - критическое внешнее давление, кПа;
Pверт - расчетная суммарная вертикальная сжимающая нагрузка, кН, составляет сумму снеговой, весовых нагрузок, силы трения перлита и т.п.;
R - радиус стенки резервуара, м;
ti - толщина i-го пояса стенки резервуара, м;
Ci - коэффициент, рассчитывают по формулам (
9.22 -
9.24);
E - модуль упругости материала стенки резервуара, кПа;
Hэкв - высота цилиндрической оболочки однородной толщины, эквивалентная по устойчивости под действием внешнего давления (по величине критического давления);
tmin - толщина самого тонкого пояса стенки резервуара, м;
hi - толщина i-го пояса стенки резервуара, м.
Коэффициент C вычисляют по формулам

(9.22)

(9.23)

(9.24)
9.7.2.2 Расчетное внешнее давление pвв, кПа, при расчете на устойчивость стенки внутреннего корпуса вычисляют по формуле

(9.25)
где

- коэффициент надежности по нагрузке;
p1 - давление, возникающее при выводе ИР из эксплуатации, кПа.
Если внутренний корпус ИР проектируется с собственной стационарной крышей, то к давлению перлита добавляют расчетный вакуум с коэффициентом надежности

:
pвв = 1,3p1 + 1,2pвак, (9.26)
где pвак - расчетный вакуум, кПа.
9.7.2.3 Расчетное внешнее давление pвн, кПа, при расчете на устойчивость стенки наружного корпуса вычисляют по формуле
pвн = 1,2pвак + 1,4·0,5·pветр, (9.27)
где pветр - давление ветра, кПа;
1,2 и 1,4 - коэффициенты надежности по нагрузке к вакууму и давлению ветра;
0,5 - коэффициент приведения давления ветра к эквивалентному вакууму.
9.7.2.4 При невыполнении критерия устойчивости следует провести анализ причин. При значении параметра устойчивости

в пределах

следует либо увеличить толщину поясов стенки резервуара, либо добавить одно или несколько колец жесткости в зависимости от следующих условий:
1) если невыполнение критерия устойчивости обусловлено вертикальными нагрузками, требуется увеличение толщины верхних поясов стенки резервуара, для которых отношение

близко к 1 (0,8 и более);
2) если невыполнение критерия устойчивости обусловлено внешним давлением, т.е. отношение

близко к 1 (0,8 и более), требуется установка промежуточных колец жесткости (дополнительно, кроме верхнего ветрового кольца).
При

рекомендуется как увеличение толщины верхних поясов стенки резервуара, так и установка колец жесткости.
9.7.2.5 После размещения на стенке резервуара колец жесткости и определения их сечений в соответствии с
9.8 следует произвести поверочный расчет на устойчивость стенки внутреннего корпуса ИР под действием внутреннего давления и осевой силы по приведенным выше формулам. Расчет производят по секциям. Под секцией понимают часть цилиндрической оболочки, заключенной между парой колец жесткости (или днищем и кольцом жесткости). Дополнительными осевыми нагрузками в этом случае являются вес вышерасположенных секций и сила трения перлита о расположенную выше данной секции часть стенки внутреннего корпуса.
9.7.2.6
Формула (9.20) для расчета внешнего критического давления применима для оболочек средней длины (или секций оболочки при расчете по секциям), для которых высота оболочки или высота секции оболочки между кольцами жесткости больше половины радиуса оболочки.
Для коротких оболочек при невыполнении этого условия расчет верхнего критического давления следует проводить по общей формуле

(9.28)
где n - число волн в окружном направлении;

- коэффициент Пуассона.
Выбирают значение n, при котором давление достигает минимума.
9.7.2.7
Формулы расчета верхнего критического давления (9.20),
(9.28) применяют для цилиндрических оболочек с шарнирным закреплением торцов. Для стенки резервуара, у которой нижний торец опирается на окрайку днища, а верхний торец подкреплен ветровым кольцом, и, кроме того, имеются дополнительные кольца жесткости, применение указанных формул обеспечивает дополнительный запас устойчивости до 15%. Для учета условий закрепления торцов секций оболочки допускается в расчет эквивалентной высоты вводить дополнительный корректирующий множитель

, где
Hэкв вычисляют по
формуле (9.21).
9.7.2.8 Расчет верхней критической нагрузки внутреннего корпуса ИР выполняют численными методами в программе, основанной на линейной теории устойчивости оболочек. Критические параметры потери устойчивости следует находить раздельно:
1) при загружении только осевой силой - напряжение

.
2) при нагружении только внешним давлением - критическое давление p0.
Критерий устойчивости

в этом случае вычисляют по формуле

(9.29)
где
k1,
k2 - коэффициенты согласования численного решения задачи устойчивости по Эйлеру (бифуркации) и экспериментальных значений критических нагрузок, учитывающие несовершенства формы оболочки,
k1 =
C/0,605,
k2 = 0,6;
C - коэффициент, вычисляемый по
формулам (9.22) -
(9.24).
9.8 Расчет сечений промежуточных колец жесткости
9.8.1 Сечения промежуточных кольцевых ребер жесткости определяют расчетом колец на устойчивость под действием внешнего давления.
9.8.2 Для обеспечения устойчивости кольца необходимо, чтобы момент инерции сечения кольца J, м4, удовлетворял условию

(9.30)
где pр - расчетное внешнее давление, кПа (МПа);
R - радиус стенки резервуара, м;
Hэквmax - эквивалентная высота оболочки толщиной tmin, максимальная сверху или снизу, м;
n - число волн в кольцевом направлении при потере устойчивости;
E - модуль упругости материала, кПа (МПа).
При вычислении момента инерции в сечение кольца допускается включать части оболочки, расположенные выше и ниже кольца на высоту 16t в каждую сторону, где t - толщина стенки обечайки в месте расположения кольца. Момент инерции находится относительно нейтральной оси такого сечения.
9.8.3 Расчетное число волн в кольцевом направлении,
n, определяют из условия:

.
Число волн n* определяют по формуле

(9.31)
где R - радиус стенки резервуара, м;
H - высота налива, м;
t - средняя толщина обечайки (секции обечайки), м.
9.8.4 Минимально допускаемое сечение кольца жесткости - равнополочный уголок 65 x 6 мм.
9.9 Требования к проектированию днищ резервуаров
9.9.1 Днища резервуаров для хранения сжиженных газов следует проектировать плоскими.
9.9.2 Днища должны выступать наружу за стенку резервуара, ширина выступающей части - не менее 50 мм.
9.9.3 Днища внутреннего и наружного корпусов ИР должны состоять из центральной части и утолщенной кольцевой окрайки.
9.9.4 Толщина центральной части днищ tb должна быть не менее 5 мм без учета припуска на коррозию.
9.9.5 Толщину кольцевой окрайки ta без учета припуска на коррозию определяют при условии: 0,77t1 <= ta < t1, где t1 - толщина первого пояса стенки резервуара, при этом ta должна быть не менее 8,0 мм.
9.9.6 Необходимую ширину окрайки днища La, м, вычисляют по формуле

(9.32)
где ta - толщина окрайки, м;
Sy - расчетное сопротивление материала окрайки днища по пределу текучести, кПа;

- плотность жидкости, т/м
3;
g = 9,81 м/с2 - ускорение свободного падения;
H - высота налива жидкого продукта, м.
9.9.7 Ширина окрайки днищ La должна удовлетворять условию
0,5 м <= La <= 0,035D, (9.33)
где D - диаметр резервуара, м.
9.10 Расчет пеностекла
9.10.1 При расчетах на прочность допускается считать пеностекло упругим изотропным материалом.
9.10.2 При отсутствии конкретных значений, допускается принимать модуль упругости пеностекла
E = 900 МПа, коэффициент Пуассона

.
9.10.3 Критерий прочности пеностекла:
p <= 0,9
Rbпс. Давление
p, оказываемое на пеностекло, не должно превышать предел прочности пеностекла на сжатие
Rbпс, умноженный на коэффициент условий работы

.
9.11 Требования к проектированию стационарной крыши
9.11.1 Кроме веса металлоконструкций, снеговой и ветровой нагрузки дополнительно необходимо учесть следующие нагрузки на крышу, которые следует отнести к кратковременным:
- равномерно распределенная нагрузка 1,2 кН/м2 на расчетную площадь неподвижной крыши, воздействующая на крышу наружного корпуса ИР; эта нагрузка не должна сочетаться со снеговой нагрузкой и нагрузкой от внутреннего отрицательного давления;
- равномерно распределенная нагрузка 2,4 кН/м2, воздействующая на платформы и переходные лестницы снаружи ИР;
- равномерно распределенная нагрузка 0,5 кН/м2, воздействующая на подвесную крышу и платформы и переходные лестницы внутри корпуса ИР во время монтажа и обслуживания;
- сосредоточенная нагрузка 5 кН, на площадь 300 x 300 мм, прилагаемая к платформам и переходным лестницам снаружи ИР; сосредоточенная нагрузка не сочетается с равномерно распределенной;
- сосредоточенная нагрузка 1,5 кН, на площадь 300 x 300 мм, прилагаемая к подвесной крыше, платформам и переходным лестницам внутри корпуса ИР во время монтажа и обслуживания; сосредоточенная нагрузка не сочетается с равномерно распределенной нагрузкой.
9.11.2 Стационарную крышу ИР проектируют в виде самонесущей или подкрепленной каркасом оболочки одной из следующих форм:
- конусная;
- сферическая купольная двоякой кривизны;
- сферический ребристо-кольцевой купол типа "зонт".
9.11.3 Конусная крыша допускается для резервуаров диаметром не более 20 м. Угол наклона конусной крыши к горизонту

должен лежать в диапазоне

(9.34)
9.11.4 Радиус кривизны сферической купольной крыши Rкр (в т.ч. ребристо-кольцевого купола) рекомендуют выбирать в диапазоне
0,8D <= Rкр <= 1,2D, (9.35)
где D - диаметр резервуара, м.
9.11.5 Ребристо-кольцевой купол состоит из ряда одинаковых секторов, образованных путем изгиба плоских листов металла по цилиндрической поверхности радиусом Rкр.
9.11.6 Для резервуаров, диаметр которых не превышает 12 м, допускается бескаркасная - самонесущая крыша, у которой оболочка без каркаса может нести нагрузки. Допускается также "полукаркасная" крыша, каркас которой состоит только из набора кольцевых ребер жесткости - шпангоутов.
9.11.7 Бескаркасную самонесущую крышу резервуара рассчитывают на прочность и устойчивость под действием внешних нагрузок и внутреннего давления, согласно
ГОСТ 34233.2. Параметры "полукаркасной" крыши определяют численным расчетом. Необходимое число шпангоутов и расстояния между ними должны быть определены из расчета на устойчивость под действием собственного веса, веса дополнительного оборудования, переходов, рабочих площадок, трубопроводов, снеговой и ветровой нагрузок.
9.11.8 Крыша ИР диаметром больше 12 м должна иметь каркас, состоящий из набора радиальных и кольцевых ребер жесткости. При расчете крыши должна быть учтена совместная работа каркаса и покрытия. Расчет НДС элементов крыши следует выполнить МКЭ. Расчетная схема должна содержать стержневые элементы каркаса и оболочечные или пластинчатые элементы покрытия. Каркас крыши ИР проектируют по общим правилам проектирования стержневых металлических конструкций, согласно
СП 16.13330.
9.11.9 Для ИР максимальной по абсолютной величине нагрузкой на крышу является избыточное внутреннее давление газа.
Минимальную толщину покрытия конусной крыши ИР вычисляют по формуле

(9.36)
где pр.изб - расчетное внутреннее избыточное давление, кПа;
R - номинальный радиус стенки резервуара, м;

- угол конусности крыши от горизонта;
Sy - расчетное сопротивление материала по пределу текучести, кПа;

- коэффициент прочности сварного шва:
- для одностороннего шва с усилением (валиком) при сварке только сверху

;
- для шва с валиками при сварке с обеих сторон

;
- для стыкового шва с полным проплавлением с подкладным листом или без него

;
- для стыкового шва с полным проплавлением и выборочным радиографическим контролем

;
- для стыкового шва с полным проплавлением и 100% радиографическим контролем

.
9.11.10 Минимальную толщину покрытия самонесущей купольной крыши t, м, вычисляют по формуле

(9.37)
где

- коэффициент формы:
- для сферической крыши двоякой кривизны

;
- для ребристо-кольцевого купола типа "зонт", состоящего из набора секторов одинарной кривизны,

;
RR - радиус кривизны крыши, м.
9.11.11 Узел стыка конусной или купольной сферической крыши и стенки резервуара выполняют в соответствии со схемами, приведенными на
рисунках 9.1,
9.2. На
рисунке 9.3 показаны недопустимые варианты исполнения опорного узла крыши резервуара.
Wh - эффективная ширина крыши (участок, включенный
в расчет), мм; Wc - эффективная ширина стенки (участок,
включенный в расчет), мм; L - величина свеса крыши,
мм; t - толщина элементов, мм
Рисунок 9.1 - Варианты исполнения
опорного узла крыши резервуара
Wh - эффективная ширина крыши (участок, включенный
в расчет), мм; Wc - эффективная ширина стенки (участок,
включенный в расчет), мм; t - толщина элементов, мм
Рисунок 9.2 - Варианты исполнения опорного узла крыши
резервуара при толщине листа крыши <= 6 мм
Рисунок 9.3 - Недопустимые варианты исполнения
опорного узла крыши резервуара
9.11.12 При действии внутреннего давления (
рисунки 9.1,
9.2) в опорном кольце на контуре бескаркасной купольной крыши возникает сжимающее напряжение,

, кПа, определяемое по формуле

(9.38)
где Rкр - радиус кривизны крыши, м;
r - радиус стенки резервуара, м;
F - площадь сечения опорного кольца крыши, м2.
На удалении от края крыши напряжение в покрытии становится равным безмоментному напряжению в сферической оболочке. Безмоментное напряжение

, кПа, определяют по формуле

(9.39)
9.11.13 Из
формулы (9.38) следует, что для обеспечения прочности, площадь сечения опорного кольца
F, м
2, должна быть

(9.40)
где

- коэффициент условий работы.
В площадь сечения опорного кольца
F допускается включать часть крыши длиной

и часть стенки резервуара общей длиной

(
рисунки 9.1,
9.2).
9.11.14 За предельное состояние принимают ситуацию, когда напряжение в кольце жесткости достигнет предела текучести. Аварийное давление pf, кПа, при котором достигается предельное состояние верхнего кольца жесткости, рассчитывают по формуле

(9.41)
где p - расчетное давление, кПа;
PLR - вес стенки, крыши и всех прочих элементов (рабочих площадок, люков, теплоизоляции и т.п.), передающийся на днище через стенку, кН.
10 Требования к теплоизоляционным конструкциям и материалам тепловой изоляции
10.1 Тепловая изоляция резервуаров для хранения сжиженных газов должна обеспечивать:
- допустимый расчетный уровень интенсивности испарения сжиженного газа за счет внешнего теплопритока;
- защиту частей (материалов резервуара), не являющихся низкотемпературными, посредством поддержания у этих частей уровня допустимых температур;
- предупреждение образования льда на внешних поверхностях резервуара в любое время года.
10.2 Основной проектный параметр для расчета теплоизоляционных конструкций - потери на испарение продукта от притока тепла извне. Данный параметр указывают в задании на проектирование в виде максимально допускаемого количества тепла, расходуемого на испарение в единицу времени (кВт), или в виде максимального процента испаряемой массы хранимого продукта в единицу времени (год, сутки).
10.3 Расчет тепловой изоляции конструкции проводят согласно СП 61.13330.2012
(приложение В).
10.4 При проектировании системы тепловой изоляции ИР должна быть обеспечена механическая прочность материалов, из которых она состоит.
10.5 В качестве основных элементов системы тепловой изоляции резервуаров хранения сжиженных газов должны применяться материалы и изделия, указанные в таблице 10.1.
Таблица 10.1
Тепловая изоляция ИР
Изолируемая конструкция | Материал, изделие |
Стенка резервуара | Песок перлитовый вспученный; Блоки из пеностекла; Пенополиуретан |
Компенсационный слой | Длинномерные маты из стеклянного волокна в обкладке стеклотканью |
Подвесная крыша | Маты из стеклянного волокна |
Днище внутреннего корпуса (основная часть) | Блоки из пеностекла |
Днище внутреннего корпуса (под стенкой) | Блоки из пеностекла повышенной плотности |
10.6 Применяемые материалы и изделия тепловой изоляции должны быть совместимы с хранимым продуктом и его парами, и разрешены для применения на территории Российской Федерации.
10.7 Для уменьшения радиального давления сыпучей тепловой изоляции межстенного пространства на стенку внутреннего корпуса ИР на его внешней поверхности должен быть предусмотрен компенсационный слой из теплоизолирующих матов.
10.8 По физическим и механическим характеристикам маты компенсационного слоя должны удовлетворять требованиям
ГОСТ 21880.
10.9 Конструкция и система крепления матов компенсационного слоя к стенке резервуара должна обеспечивать необходимую прочность матов на разрыв под действием вертикальной растягивающей нагрузки, вызываемой трением перлитного песка.
10.10 Маты компенсационного слоя должны быть закрыты слоем стеклоткани, предназначенным для защиты от проникновения засыпной изоляции в компенсационный слой.
10.11 В качестве засыпной тепловой изоляции межстенного пространства должен быть использован песок перлитовый вспученный марки не выше М75, отвечающий требованиям
ГОСТ 10832.
10.12 Над кольцевым межстенным пространством необходимо предусмотреть дополнительный объем сыпучего теплоизоляционного материала для компенсации усадки засыпной тепловой изоляции в ходе заполнения, захолаживания и эксплуатации ИР. Данный объем должен быть отделен от пространства над подвесной крышей специальным барьером. Также должна быть предусмотрена возможность добавки сыпучего теплоизоляционного материала в межстенное пространство в процессе работы резервуара без вывода его из эксплуатации.
10.13 Техническое решение тепловой изоляции подвесной крыши должно учитывать сжатие матов под собственным весом.
10.14 Детали герметизации пространства между подвесной крышей и внутренней стенкой должны учитывать разницу в перемещениях конструкций подвесной крыши и внутреннего корпуса ИР. Уплотняющие устройства должны обеспечить предотвращение попадания перлита во внутренний корпус.
10.15 Патрубки трубопроводов, которые проходят через купольное покрытие наружного корпуса ИР и предназначены для криогенных или низкотемпературных жидкостей (газов), должны быть снабжены тепловой изоляцией, в виде теплоизолирующей вставки, представляющей собой систему "труба в трубе" с расположенными внутри стекломатами или другими видами теплоизоляции. Теплоизолирующая вставка не должна допускать прямого воздействия низкотемпературного продукта на покрытие купольной крыши ИР.
10.16 Внутренние трубопроводы, которые предназначены для криогенных или низкотемпературных жидкостей (газов), должны быть снабжены теплоизоляцией на участке от теплоизолирующей вставки до покрытия подвесной крыши.
10.17 Конструкция тепловой изоляции днища ИР должна включать следующие основные элементы:
- теплоизоляционный слой из блоков пеностекла (по
ГОСТ 33949), уложенных в несколько рядов по высоте;
- дополнительные слои сверху и снизу теплоизоляционного слоя, предназначенные для выравнивания поверхности до и после монтажа теплоизоляционных блоков из пеностекла;
- гидроизоляция теплоизоляционного слоя, исключающая попадание влаги в теплоизоляционные конструкции для обеспечения заданных теплоизоляционных свойств и предотвращения промерзания;
- температурные швы;
- опорные конструкции под стенкой внутреннего корпуса, предназначенные для распределения и передачи усилий от внутренней стенки резервуара на теплоизоляцию или наружное днище резервуара.
Опорные конструкции должны обеспечивать допустимый уровень давления на тепловую изоляцию днища.
10.18 При расчете тепловой изоляции должны быть учтены теплопритоки для стен, купольного покрытия и днища с учетом коэффициентов дополнительных тепловых потерь через арматуру и теплопроводные включения.
11 Требования к проектированию оснований и фундаментов изотермических резервуаров
11.1 Требования к анкерным креплениям резервуара
11.1.1 Анкерные крепления стенки резервуара к фундаменту используют в тех случаях, когда возникает возможность отрыва стенки резервуара и окрайки днища от основания под действием внутреннего давления или опрокидывание резервуара под действием опрокидывающего момента от ветровой или сейсмической нагрузки, т.е. в тех случаях, когда возникает подъемная сила U > 0.
11.1.2 При действии равномерной по контуру стенки резервуара подъемной силы от внутреннего давления U, кН, нагрузка на анкера распределяется равномерно - на каждый анкер действует растягивающая сила FaU, кН, которую определяют по формуле

(11.1)
где N - количество анкеров.
11.1.3 При действии опрокидывающего момента M, кН·м, погонную нагрузку q, кН/м, на 1 м контура стенки резервуара вычисляют по формуле

(11.2)

(11.3)
где qmax - максимальное значение погонной нагрузки, кН/м;

- угол между направлением ветра и направлением на расчетную точку из центра координат на плане резервуара, град.;
R - радиус наружного корпуса ИР, м;
D - диаметр наружного корпуса ИР, м.
Максимальную и минимальную нагрузку на анкеры Q, кН/м, вычисляют по формуле

(11.4)
11.1.4 Подъемную силу U, кН, при действии ветровой нагрузки и избыточного давления вычисляют по формуле

(11.5)
где pр.изб - расчетное внутреннее избыточное давление, кПа;
pwR - давление ветра на крышу изнутри резервуара - "ветровой отсос", кПа, принимают согласно
СП 20.13330;
Mw - момент ветровой нагрузки на стенку резервуара, где плечо силы давления ветра - половина высоты стенки; ветровую нагрузку вычисляют согласно
СП 20.13330;
W1 - вес крыши, стенки и дополнительного оборудования, установленного на крыше и стенке, с учетом коэффициентов надежности по нагрузке для каждой из составляющих веса.
При расчете веса W1 из номинальной толщины элементов резервуара вычитается припуск на коррозию. Вес днища и снеговую нагрузку не учитывают.
11.1.5 Анкерные крепления изготавливают в виде анкерных болтов или анкерных пластин. Анкерные крепления должны располагаться равномерно по периметру стенки. Расстояние между анкерами при отсутствии сейсмичности не должно превышать 3 м.
11.1.6 Расчет анкерного крепления необходимо выполнять таким образом, чтобы при чрезмерных нагрузках на резервуар, превышающих расчетные, происходило разрушение анкерного болта или анкерной пластины, но не опорного столика и швов его соединения со стенкой резервуара.
11.1.7 Допускаемое значение растягивающего напряжения в анкерном болте или анкерной пластине не должно превышать 42% (5/12) расчетного сопротивления материала болта или пластины по пределу текучести.
11.1.8 Диаметр анкерных болтов вычисляют согласно правилам расчета болтовых соединений по
СП 16.13330. Диаметр анкерных болтов должен быть не менее 24 мм.
11.1.9 Количество анкерных болтов рекомендуется назначать кратным четырем.
11.1.10 Анкеровка внутреннего корпуса ИР с открытым верхом и подвесной крышей не требуется.
11.2 Требования к фундаменту резервуара
11.2.2 К качеству изготовления фундамента ИР, выполненного в виде железобетонного ростверка, предъявляют следующие требования:
- в пределах кольца, ограниченного радиусами 300 мм внутрь стенки внутреннего корпуса и 300 мм наружу от стенки внутреннего корпуса, отклонения верхней поверхности ростверка от средней высотной отметки между любыми точками не должны превышать +/- 6 мм;
- в тех же пределах отклонения от средней высотной отметки между точками, удаленными друг от друга на расстояние 10 м, не должны превышать +/- 3 мм;
- на всей площади ростверка любые отклонения от горизонтальной плоскости не должны превышать 15 мм.
11.2.3 Отклонения в плане размещения анкерных гнезд не должны превышать 10 мм.
11.2.4 В проекте конструкций металлических ИР должны быть указаны нагрузки на фундамент при всех основных воздействиях.
12 Требования к лестницам и площадкам
12.1 ИР оснащают наружными и внутренними лестницами, площадками для обслуживания оборудования, арматуры, КИПиА.
12.2 На вновь проектируемых ИР наружных лестниц должно быть не менее двух, при этом одна из них должна быть шахтной или маршевой.
12.3 Лестницы и площадки должны быть рассчитаны на следующие нагрузки:
- равномерно распределенная нагрузка 2,4 кН/м2;
- концентрированная нагрузка 5 кН, на площадь 300 x 300 мм, прилагаемая в любом месте к площадкам и лестницам.
13 Требования к защите конструкций изотермического резервуара от атмосферной коррозии
13.1 Подготовку поверхности для нанесения лакокрасочного покрытия выполняют в соответствии с
СП 28.13330 и
ГОСТ 9.402.
14 Требования к системам молниезащиты и заземления
14.1 Конструкции ИР должны быть заземлены и оборудованы устройством молниезащиты согласно
[3] и
[4].
14.2 Все контрольно-измерительные приборы, установленные на верхней части ИР, должны быть заземлены для обеспечения молниезащиты.
15 Требования к системам безопасности изотермического резервуара
15.1 Для обеспечения безопасной эксплуатации ИР необходимо выполнение следующих требований:
- оснащение оборудования ИР системами контроля, автоматического регулирования и управления, ПАЗ, связи и оповещения об аварийных ситуациях;
- оснащение системой обеспечения пожарной безопасности;
- нанесение знаков безопасности и применение сигнальных цветов.
15.2 ИР должен быть оснащен системами контроля температуры, давления и утечек продукта, аварийного сброса давления, недопущения вакуума и перелива, обнаружения пожара.
15.3 Все электротехническое оборудование резервуара должно иметь исполнение, соответствующее условиям его эксплуатации. При возможности образования взрывопожароопасных смесей, электрооборудование резервуара, проводка и распределительные щитки должны быть выполнены во взрывопожарозащищенном исполнении.
[1]
Руководство по безопасности "Методические основы по проведению анализа опасностей и оценки риска аварий на опасных производственных объектах"
[2]
РД 03-495-02 Технологический регламент проведения аттестации сварщиков и специалистов сварочного производства
[3] ПУЭ Правила устройства электроустановок (6-е, 7-е изд.)
[4]
СО 153-34.21.122-2003 Инструкция по устройству молниезащиты зданий, сооружений и промышленных коммуникаций