Главная // Актуальные документы // ГОСТ (Государственный стандарт)СПРАВКА
Источник публикации
М.: Стандартинформ, 2011
Примечание к документу
Введен в действие с 1 января 2011 года.
Название документа
"ГОСТ 10832-2009. Межгосударственный стандарт. Песок и щебень перлитовые вспученные. Технические условия"
(введен в действие Приказом Росстандарта от 28.09.2010 N 268-ст)
"ГОСТ 10832-2009. Межгосударственный стандарт. Песок и щебень перлитовые вспученные. Технические условия"
(введен в действие Приказом Росстандарта от 28.09.2010 N 268-ст)
Введен в действие
от 28 сентября 2010 г. N 268-ст
МЕЖГОСУДАРСТВЕННЫЙ СТАНДАРТ
ПЕСОК И ЩЕБЕНЬ ПЕРЛИТОВЫЕ ВСПУЧЕННЫЕ
ТЕХНИЧЕСКИЕ УСЛОВИЯ
Perlite expanded sand and crushed stone. Specifications
ГОСТ 10832-2009
Дата введения
1 января 2011 года
Цели, основные принципы и основной порядок проведения работ по межгосударственной стандартизации установлены
ГОСТ 1.0-92 "Межгосударственная система стандартизации. Основные положения" и МСН 1.01-01-96 "Система межгосударственных нормативных документов в строительстве. Основные положения".
1. Разработан Государственным предприятием "Украинский научно-исследовательский и проектно-конструкторский институт строительных материалов и изделий (ГП "НИИСМИ").
2. Внесен Министерством регионального развития и строительства Украины.
3. Принят Межгосударственной научно-технической комиссией по стандартизации, техническому нормированию и сертификации в строительстве (МНТКС) (Протокол N 36 от 21 октября 2009 г.).
За принятие стандарта проголосовали:
┌────────────────────┬────────────────────┬───────────────────────────────┐
│Краткое наименование│ Код страны по │Сокращенное наименование органа│
│ страны по │МК (ИСО 3166) 004-97│ государственного управления │
│МК (ИСО 3166) 004-97│ │ строительством │
├────────────────────┼────────────────────┼───────────────────────────────┤
│Азербайджан │ AZ │Госстрой │
│Армения │ AM │Министерство градостроительства│
│Киргизия │ KZ │Госстрой │
│Молдова │ MD │Министерство строительства │
│ │ │и регионального развития │
│Российская Федерация│ RU │Министерство регионального │
│ │ │развития │
│Таджикистан │ TJ │Агентство по строительству │
│ │ │и архитектуре при Правительстве│
│Узбекистан │ UZ │Госархитектстрой │
│Украина │ UA │Министерство регионального │
│ │ │развития и строительства │
└────────────────────┴────────────────────┴───────────────────────────────┘
4.
Приказом Федерального агентства по техническому регулированию и метрологии от 28 сентября 2010 г. N 268-ст введен в действие в качестве национального стандарта Российской Федерации с 1 января 2011 г.
5. В настоящем стандарте учтены основные нормативные положения следующих европейских стандартов: ЕН 932-1:1997 "Испытания по определению общих свойств заполнителей - Часть 1: Методы отбора проб" (EN 932-1:1996 "Tests for general properties of agregates - Part 1: Methods for sampling"); ЕН 933-1:1997 "Испытания по определению общих свойств заполнителей - Часть 1: Определение гранулометрического состава - Метод просеивания" (EN 933-1:1997 "Tests for general properties of agregates - Part 1: Determination of particle size distribution - Sieving method"); ЕН 1097-3:1998 "Испытания по определению механических и физических свойств заполнителей - Часть 3: Определение насыпной плотности и пустотности" (EN 1097-3:1998 "Test of mechanical and physical properties of agregates - Part 3. Determination of loose bulk density and voids").
Информация о введении в действие (прекращении действия) настоящего стандарта на территории указанных выше государств публикуется в указателях национальных (государственных) стандартов, издаваемых в этих государствах.
Информация об изменениях к настоящему стандарту публикуется в указателе "Национальные стандарты", а текст изменений - в информационных указателях "Национальные стандарты". В случае пересмотра или отмены настоящего стандарта соответствующая информация будет опубликована в информационном указателе "Национальные стандарты".
Настоящий стандарт распространяется на песок и щебень перлитовые вспученные (далее - вспученный песок, вспученный щебень), получаемые путем термической обработки природного перлитового сырья из вулканических стекловатых водосодержащих пород кислого состава.
Вспученный песок используют при изготовлении легких бетонов, тепло- и звукоизоляционных материалов и изделий, штукатурных растворов, сухих строительных смесей, а также в качестве теплоизоляционных засыпок при температуре изолируемых поверхностей от минус 200 °C до плюс 875 °C. Вспученный щебень используют в качестве заполнителя при изготовлении легких бетонов.
В настоящем стандарте использованы ссылки на следующие стандарты:
ГОСТ 12.1.005-88. Система стандартов безопасности труда. Общие санитарно-гигиенические требования к воздуху рабочей зоны
ГОСТ 12.3.009-76. Система стандартов безопасности труда. Работы погрузочно-разгрузочные. Общие требования безопасности
ГОСТ 12.4.013-85 <*>. Система стандартов безопасности труда. Очки защитные. Общие технические условия
--------------------------------
ГОСТ 12.4.041-2001. Система стандартов безопасности труда. Средства индивидуальной защиты органов дыхания фильтрующие. Общие технические требования
ГОСТ 427-75. Линейки измерительные металлические. Технические условия
ГОСТ 2226-88 (ИСО 6590-1-83, ИСО 7023-83) <**>. Мешки бумажные. Технические условия
--------------------------------
ГОСТ 6613-86. Сетки проволочные тканые с квадратными ячейками. Технические условия
ГОСТ 7076-99. Материалы и изделия строительные. Метод определения теплопроводности и термического сопротивления при стационарном тепловом режиме
ГОСТ 8735-88. Песок для строительных работ. Методы испытаний
ГОСТ 9758-86. Заполнители пористые неорганические для строительных работ. Методы испытаний
ГОСТ 17811-78. Мешки полиэтиленовые для химической продукции. Технические условия
--------------------------------
ГОСТ 25226-96. Щебень и песок перлитовые для производства вспученного перлита. Технические условия
ГОСТ 25336-82. Посуда и оборудование лабораторные стеклянные. Типы, основные параметры и размеры
ГОСТ 28840-90. Машины для испытания материалов на растяжение, сжатие и изгиб. Общие технические требования
ГОСТ 29329-92. Весы для статического взвешивания. Общие технические требования
ГОСТ 30108-94. Материалы и изделия строительные. Определение удельной эффективной активности естественных радионуклидов.
Примечание. При пользовании настоящим стандартом целесообразно проверить действие ссылочных стандартов по указателю "Национальные стандарты", составленному по состоянию на 1 января текущего года, и по соответствующим информационным указателям, опубликованным в текущем году. Если ссылочный стандарт заменен (изменен), то при пользовании настоящим стандартом следует руководствоваться заменяющим (измененным) стандартом. Если ссылочный стандарт отменен без замены, то положение, в котором дана ссылка на него, применяется в части, не затрагивающей эту ссылку.
В настоящем стандарте применены следующие термины с соответствующими определениями:
3.1. Перлитовое сырье: вулканическая стекловатая водосодержащая порода кислого состава.
3.2. Вспученный перлит: вспученные перлитовые песок и щебень, получаемые при термической обработке перлитового сырья.
3.3. Насыпная плотность: масса единицы объема материала с порами и пустотами.
3.4. Марка по насыпной плотности: максимальное значение насыпной плотности материала в интервале, установленном в настоящем стандарте.
3.5. Прочность при сдавливании в цилиндре: способность сыпучего материала противодействовать усилиям, возникающим при сдавливании материала в цилиндре при погружении пуансона в слой испытываемой пробы на заданную глубину.
3.6. Коэффициент уплотнения: отношение объемов материала до и после транспортирования, характеризующее степень его уплотнения при транспортировании.
3.7. Морозостойкость: способность материала выдерживать при конкретных условиях заданное число циклов попеременного замораживания и оттаивания.
3.8. Водопоглощение: свойство материала поглощать и задерживать воду, определяемое отношением количества поглощенной воды к массе сухого материала.
3.9. Влажность: содержание в материале свободной воды.
4.1. Вспученный перлит, применяемый в строительстве, изготавливают в виде песка и щебня.
4.2. Вспученный перлитовый песок в зависимости от зернового состава подразделяют на группы:
ВПР - вспученный песок рядовой;
ВПК - вспученный песок крупный;
ВПС - вспученный песок средний;
ВПМ - вспученный песок мелкий;
ВПП - вспученный песок очень мелкий (вспученный перлитовый порошок).
4.3. Вспученный щебень в зависимости от зернового состава подразделяют на группы:
ВПЩК - вспученный щебень крупный;
ВПЩМ - вспученный щебень мелкий.
4.4. Вспученный песок в зависимости от насыпной плотности подразделяют на марки: М75, М100, М150, М200, М250, М300, М350, М400, М500; вспученный щебень - М200, М250, М300, М350, М400, М500.
Примечание. Допускается по согласованию изготовителя с потребителем при технико-экономическом обосновании изготовление вспученного песка марки по насыпной плотности М600 (насыпная плотность свыше 500 до 600 кг/м3, прочность при сдавливании в цилиндре - не менее 1,0 МПа), вспученного щебня, предназначенного для легких конструкционных бетонов, - марок по насыпной плотности М600 (насыпная плотность свыше 500 до 600 кг/м3, прочность при сдавливании в цилиндре - не менее 1,2 МПа), М700 (насыпная плотность свыше 600 до 700 кг/м3, прочность при сдавливании в цилиндре - не менее 1,8 МПа).
4.5. Вспученный щебень в зависимости от прочности при сдавливании в цилиндре подразделяют на марки: П15, П25, П35, П50, П75, П125, П100, П150.
4.6. Условное обозначение вспученных песка и щебня должно состоять из наименования продукции (вспученный перлитовый песок или вспученный перлитовый щебень), торговой марки производителя (при ее наличии), зарегистрированной в установленном порядке, обозначения группы вспученного песка или вспученного щебня по
4.2,
4.3, обозначения марки по насыпной плотности вспученного песка или вспученного щебня по
4.4, марки по прочности при сдавливании в цилиндре (для вспученного щебня) по
4.5 и обозначения настоящего стандарта.
Примечание. При заказе вспученных песка и щебня, не относящихся к группам, приведенным в
4.2,
4.3, в условном обозначении должен быть указан размер фракций.
Примеры условных обозначений:
- вспученного песка группы по зерновому составу ВПС, марки по насыпной плотности М100:
Вспученный перлитовый песок "(торговая марка производителя)" ВПС, М100 ГОСТ 10832-2009;
- вспученного щебня группы по зерновому составу ВПЩК, марки по насыпной плотности М400, марки по прочности П50:
Вспученный перлитовый щебень "(торговая марка производителя)" ВПЩК, М400, П50 ГОСТ 10832-2009.
5. Технические требования
Вспученные песок и щебень должны соответствовать требованиям настоящего стандарта и изготавливаться в соответствии с технологическим регламентом, утвержденным предприятием-изготовителем.
5.1. Основные параметры и размеры
5.1.1. Зерновой состав вспученного песка должен быть для групп:
ВПР - от 0,16 до 5,0 мм;
ВПК - от 1,25 до 5,0 мм;
ВПС - от 0,16 до 2,5 мм;
ВПМ - от 0,16 до 1,25 мм;
ВПП - до 0,16 мм.
5.1.2. Во вспученном песке каждой группы, приведенной в
5.1.1, содержание зерен крупнее наибольшего и мельче наименьшего номинального размера не должно быть более 15% по объему. Содержание зерен размером менее 0,16 мм во вспученном песке группы ВПР, применяемом для изготовления легких бетонов, должно быть не более 10% по объему.
5.1.3. По согласованию изготовителя с потребителем допускается изготовление вспученного песка с зерновым составом, указанным потребителем.
5.1.4. Зерновой состав вспученного щебня должен быть для групп:
ВПЩМ - от 5 до 10 мм;
ВПЩК - свыше 10 до 20 мм.
5.1.5. Содержание зерен наибольшего и наименьшего размеров во вспученном щебне каждой группы, приведенной в
5.1.4, должно соответствовать требованиям, приведенным в таблице 1.
Таблица 1
Содержание зерен наибольшего и наименьшего размеров
во вспученном щебне
Диаметр отверстий контрольных сит, мм | d | D | 2D |
Полный остаток на сите, % по массе | От 85 до 100 | До 10 | Не допускается |
Примечание. D и d - наибольший и наименьший номинальные диаметры отверстий контрольных сит соответственно. |
5.1.6. По согласованию изготовителя с потребителем допускается изготовление смеси вспученных песка и щебня фракции от 2,5 до 10 мм и смеси фракций вспученного щебня от 5 до 20 мм, при этом содержание зерен размером свыше 5 до 10 мм должно быть от 30% до 45% по массе.
5.2. Характеристики
5.2.1. Насыпная плотность вспученного песка и вспученного щебня в зависимости от марки по насыпной плотности должна соответствовать требованиям, приведенным в таблице 2.
Таблица 2
Насыпная плотность в зависимости от марки
по насыпной плотности
Марка по насыпной плотности | Насыпная плотность, кг/м3 |
М75 | До 75 включ. |
М100 | Св. 75 до 100 включ. |
М150 | Св. 100 до 150 включ. |
М200 | Св. 150 до 200 включ. |
М250 | Св. 200 до 250 включ. |
М300 | Св. 250 до 300 включ. |
М350 | Св. 300 до 350 включ. |
М400 | Св. 350 до 400 включ. |
М500 | Св. 400 до 500 включ. |
5.2.2. Физико-механические показатели вспученного песка должны соответствовать требованиям, приведенным в таблице 3.
Таблица 3
Физико-механические показатели вспученного песка
Наименование показателя | Значение показателя для вспученного песка марки по насыпной плотности |
М75 | М100 | М150 | М200 | М250 | М300 | М350 | М400 | М500 |
Теплопроводность при температуре (25 +/- 5) °C, Вт/(м x °C), не более | 0,043 | 0,052 | 0,058 | 0,064 | 0,070 | 0,076 | 0,079 | 0,081 | 0,093 |
Прочность при сдавливании в цилиндре, МПа, не менее | Не нормируется | 0,10 | 0,15 | 0,30 | 0,35 | 0,40 | 0,60 |
Примечание. Прочность при сдавливании в цилиндре определяют на вспученном песке с размером зерен от 1,25 до 2,5 мм, применяемом для изготовления легких бетонов. |
5.2.3. Прочность при сдавливании в цилиндре вспученного щебня в зависимости от марки по прочности и марки по насыпной плотности должна соответствовать требованиям, приведенным в таблице 4.
Таблица 4
Прочность при сдавливании в цилиндре вспученного щебня
Марка по насыпной плотности | Марка по прочности | Прочность при сдавливании в цилиндре, МПа |
М200 | П15 | До 0,3 |
М250 | П25 | Св. 0,3 до 0,5 включ. |
М300 | П35 | Св. 0,5 до 0,6 включ. |
М350 | П45 | Св. 0,6 до 0,7 включ. |
М400 | П50 | Св. 0,7 до 0,9 включ. |
М500 | П75 | Св. 0,9 до 1,2 включ. |
М600 | П100 | Св. 1,2 до 1,5 включ. |
М700 | П150 | Св. 1,5 до 2,0 включ. |
Примечание. Соотношение между маркой по прочности и прочностью при сдавливании в цилиндре вспученного щебня допускается уточнять по результатам испытаний в бетоне в соответствии с ГОСТ 9758, раздел 21. |
5.2.4. Водопоглощение вспученного щебня в зависимости от марки по насыпной плотности должно соответствовать требованиям, приведенным в таблице 5.
Таблица 5
Водопоглощение вспученного щебня
Наименование показателя | Значение показателя для вспученного щебня марки по насыпной плотности |
М200 | М250 | М300 | М350 | М400 | М500 | М600 | М700 |
Водопоглощение, % по массе, не более | 125 | 100 | 75 | 65 | 50 | 30 | 25 | 10 |
5.2.5. Вспученный щебень при испытании на морозостойкость должен выдерживать не менее 15 циклов попеременного замораживания и оттаивания, при этом потеря массы вспученного щебня после испытания на морозостойкость не должна превышать 8%.
5.2.6. Влажность при отгрузке вспученных песка и щебня должна быть не более 2% по массе.
5.2.7. Суммарная удельная эффективная активность естественных радионуклидов

во вспученном песке и щебне в зависимости от условий применения должна быть не более:
370 Бк/кг - для вспученных песка и щебня, применяемых для всех видов строительства без ограничений;
740 Бк/кг - для вспученных песка и щебня, применяемых для промышленного строительства.
5.3. Требования к сырьевым материалам
Для изготовления вспученных песка и щебня используют природное перлитовое сырье из вулканических стекловатых водосодержащих пород кислого состава по
ГОСТ 25226.
Допускается использовать фракции перлитового сырья, отличающиеся от требований ГОСТ 25226,
пункт 3.1, при условии соблюдения требований, приведенных в
3.2 и
3.3 данного стандарта.
5.4. Маркировка
5.4.1. Маркировка должна быть нанесена на каждую упаковочную единицу со вспученным песком или вспученным щебнем. Допускается по согласованию с потребителем наносить маркировку выборочно (не на каждую упаковочную единицу).
5.4.2. В случае перевозки одной партии вспученного песка или вспученного щебня прямым железнодорожным сообщением (без перегрузки в другие транспортные средства) допускается наличие маркировки не менее чем на восьми упаковочных единицах в каждом вагоне. При этом упаковочные единицы с маркировкой должны быть расположены по четыре с каждой стороны от дверей вагона.
5.4.3. Маркировка должна быть нанесена штемпелеванием или несмываемой краской по трафарету непосредственно на средство упаковки или на ярлык из фанеры или картона, или на бумажную этикетку печатанием типографским способом.
5.4.4. Этикетка должна быть приклеена, прикреплена степлером или пришита к средству упаковки. Ярлык должен быть надежно прикреплен к средству упаковки проволокой или шпагатом.
5.4.5. Маркировка должна содержать следующую информацию:
- наименование предприятия-изготовителя, его товарный знак (при наличии) и адрес;
- условное обозначение по
4.6;
- номер партии и дату изготовления;
- количество вспученного песка или щебня в одной упаковочной единице, м3 (или кг);
- знак соответствия для вспученных песка и щебня, которые сертифицированы по требованию потребителя.
5.4.6. Маркировка должна быть выполнена на языке страны-производителя. В случае отгрузки вспученного песка или вспученного щебня за пределы страны-производителя маркировку дополнительно выполняют на языке, указанном в контракте на поставку, при этом дополнительно должна быть нанесена надпись с указанием страны-производителя [например, "Произведено в (наименование страны)"].
5.5. Упаковка
5.5.1. Вспученные песок и щебень поставляют в соответствии с условиями договора на поставку в запакованном виде или в специализированных транспортных средствах.
5.5.2. Вспученные песок и щебень упаковывают в бумажные многослойные мешки по
ГОСТ 2226, полиэтиленовые по
ГОСТ 17811, полипропиленовые и тканевые по
ГОСТ 30090, другие средства упаковки с закрытой (с клапаном) и открытой горловиной и другими способами герметизации упаковки, установленными между изготовителем и потребителем в договоре на поставку.
5.5.3. Для упаковки вспученных песка и щебня могут использоваться мягкие и специализированные контейнеры, изготавливаемые в соответствии с действующими нормативными или техническими документами.
5.5.4. Из мешков со вспученным песком или вспученным щебнем могут быть сформированы транспортные пакеты с использованием в качестве средства пакетирования деревянных поддонов по
ГОСТ 9078 с последующей обвязкой транспортного пакета скрепляющими средствами, обеспечивающими сохранность транспортного пакета.
5.5.5. Допускается использовать другие средства упаковки, обеспечивающие целостность упаковки и сохранность количества и качества вспученного песка или вспученного щебня во время погрузочно-разгрузочных работ, а также на протяжении всего времени транспортирования и хранения. Нарушение целостности упаковки не допускается.
6. Требования безопасности и охраны
окружающей среды, утилизация
6.1. Вспученный песок и вспученный щебень являются нетоксичными, негорючими, пожаровзрывобезопасными материалами и относятся к классу опасности III "Ф" в соответствии с
ГОСТ 12.1.005. Предельно допустимая концентрация (ПДК) перлитовой пыли в воздухе рабочей зоны производственных помещений не должна превышать 4,0 мг/м3.
6.2. При работе со вспученным песком и/или вспученным щебнем должны применяться средства индивидуальной защиты в соответствии с требованиями системы стандартов безопасности труда, в том числе ГОСТ 12.4.013,
ГОСТ 12.4.041.
При проведении погрузочно-разгрузочных работ должны выполняться требования безопасности в соответствии с
ГОСТ 12.3.009.
6.3. Радиологический контроль вспученных песка и щебня должен осуществляться в соответствии с требованиями действующих нормативных документов.
6.4. При производстве вспученных песка и щебня образуются твердые отходы, которые возвращают в технологический цикл для повторной переработки. Отходы производства, не пригодные для повторной переработки, подлежат утилизации в соответствии с установленными правилами.
7.1. Вспученные песок и щебень должны быть приняты техническим контролем предприятия-изготовителя.
7.2. Вспученный песок и щебень принимают партиями. Каждая партия должна состоять из вспученного песка или вспученного щебня, изготовленных из сырья одного качества за одни сутки на одной технологической линии, при этом вспученный песок должен быть одной группы по зерновому составу и марки по насыпной плотности, вспученный щебень - одной группы по зерновому составу и одной марки по насыпной плотности и прочности.
7.3. Предприятие - изготовитель вспученного песка и/или вспученного щебня проводит входной контроль сырьевого материала в соответствии с требованиями
ГОСТ 24297 и по технологической документации предприятия-изготовителя.
7.4. Соответствие качества вспученного песка и вспученного щебня требованиям настоящего стандарта устанавливают по результатам операционного и приемочного контроля.
7.5. Результаты операционного и приемочного контроля должны быть внесены в журналы лаборатории и службы технического контроля.
7.6. Порядок проведения и объем операционного контроля устанавливают в технологической документации предприятия-изготовителя.
7.7. Приемочный контроль вспученного песка и/или вспученного щебня предприятие-изготовитель проводит в соответствии с требованиями настоящего стандарта путем проведения приемо-сдаточных и периодических испытаний.
7.8. При приемо-сдаточных испытаниях определяют:
- зерновой состав вспученных песка и щебня;
- насыпную плотность вспученных песка и щебня;
- влажность вспученных песка и щебня;
- прочность при сдавливании в цилиндре вспученного щебня;
- качество упаковки и маркировки.
7.9. При периодических испытаниях определяют:
- морозостойкость вспученного щебня - один раз в полугодие;
- теплопроводность вспученного песка - один раз в год;
- водопоглощение вспученного щебня - один раз в месяц;
- прочность при сдавливании в цилиндре вспученного песка - по просьбе потребителя.
Суммарную удельную эффективную активность естественных радионуклидов во вспученных песке и щебне определяют один раз в год, а также каждый раз при изменении месторождения, разновидностей перлитового сырья и отсутствии данных поставщиков перлитового сырья.
7.10. Для проведения испытаний из потока материала во время загрузки в специализированные транспортные средства и средства упаковки (мешки, контейнеры) через равные промежутки времени отбирают не менее пяти точечных проб, в каждой из которых определяют насыпную плотность в соответствии с
8.1. Объем одной точечной пробы должен быть от 4 до 16 л. Насыпная плотность каждой точечной пробы не должна превышать максимального значения, установленного для данной марки, более чем на 5%.
Точечные пробы перемешивают для получения объединенной пробы.
7.11. Объединенную пробу тщательно перемешивают, разравнивают и делят методом квартования на четыре части. Две любые противоположные четверти берут в сокращенную пробу. Последовательным квартованием пробу сокращают до получения лабораторной пробы (количество материала, необходимое для определения всех показателей качества для данной фракции вспученного песка или вспученного щебня, см. таблицу 6).
Таблица 6
Объем аналитической пробы
Наименование показателя | Объем аналитической пробы, л, для испытания вспученного песка и вспученного щебня фракций размером, мм |
0 - 5 | 5 - 10 | 10 - 20 |
Насыпная плотность | 5 | 10 | 20 |
Теплопроводность вспученного песка | 5 | - | - |
Влажность | 2 | 3 | 3 |
Водопоглощение вспученного щебня | - | 2 | 3 |
Зерновой состав | 2 | 5 | 10 |
Прочность при сдавливании в цилиндре | 6 | 6 | 6 |
Морозостойкость вспученного щебня | - | 2 | 2 |
Объем объединенной пробы должен не менее чем в четыре раза превышать объем лабораторной пробы.
7.12. Для определения конкретного показателя для данной фракции вспученного песка или вспученного щебня из лабораторной пробы методом квартования готовят аналитическую пробу. Объем аналитической пробы для определения каждого показателя должен быть не менее указанного в
таблице 6. Из аналитической пробы отбирают навески в соответствии с методикой испытаний.
Допускается использование одной и той же аналитической пробы для проведения нескольких испытаний, если в процессе предшествующих испытаний свойства материала не подвергаются изменению.
7.13. Вспученные песок и щебень считают принятыми по результатам приемо-сдаточных и периодических испытаний, если все показатели качества соответствуют всем требованиям настоящего стандарта. При несоответствии вспученных песка и щебня требованиям настоящего стандарта хотя бы по одному показателю партию не принимают.
7.14. Потребитель имеет право проводить проверку качества вспученных песка и щебня в соответствии с требованиями и методами, установленными в настоящем стандарте.
При проверке качества вспученного песка и щебня потребитель должен применять следующий порядок отбора точечных проб:
- при поставке в мешках - не менее чем из пяти мешков, отобранных методом случайного отбора, с помощью совка или пробоотборника отбирают по одной пробе из каждого мешка с глубины 0,2 м;
- при разгрузке специализированных железнодорожных вагонов - из трубопроводов с помощью пневмотранспортных средств (вентиляторов, камерных насосов и т.п.) из одного вагона, отобранного методом случайного отбора, отбирают не менее пяти точечных проб через равные интервалы времени;
- при разгрузке специализированных автомобилей - из трубопроводов с помощью пневмотранспортных средств (вентиляторов, камерных насосов и т.п.) точечные пробы отбирают через равные интервалы времени, но не менее трех точечных проб;
- из мягких и специализированных контейнеров - с помощью совка или пробоотборника с глубины 0,5 м не менее чем из трех контейнеров, отобранных методом случайного отбора, отбирают по две точечные пробы из каждого контейнера.
7.15. Количество поставляемого вспученного песка или вспученного щебня определяют по объему. Методом случайного отбора от партии отбирают три упаковочные единицы. Количество вспученного песка или вспученного щебня в одной упаковочной единице объемом более 100 л измеряют емкостями вместимостью 10 л, в упаковке 100 л и менее - емкостями вместимостью 1 - 5 л.
Вспученный щебень высыпают в мерную емкость совком с высоты не более 100 мм, вспученный песок - через воронку (см. рисунок 1) до образования конуса над верхом емкости, который снимают металлической линейкой вровень с краями сосуда без уплотнения.
1 - воронка; 2 - опоры; 3 - заслонка
Рисунок 1. Воронка для определения насыпной плотности
вспученного песка
За результат принимают среднеарифметическое значение результатов определений объемов вспученного песка или вспученного щебня трех упаковочных единиц. Допускается предельное отклонение количества материала в одной упаковочной единице +/- 3% объема упаковки.
Полученный объем принимают за количество поставляемого вспученного песка или вспученного щебня в одной упаковочной единице.
Потребитель определяет объем поставленного вспученного песка или вспученного щебня после транспортирования в одной упаковочной единице

, м3, с учетом коэффициента уплотнения по формуле

, (1)
где

- объем вспученного песка или вспученного щебня в одной упаковочной единице до транспортирования, м3;

- коэффициент уплотнения.
Коэффициент уплотнения

должен быть не более 1,15. По согласованию изготовителя с потребителем допускается в зависимости от дальности транспортирования и высоты загрузки транспортных средств, а также для специализированных контейнеров высотой более 1 м устанавливать коэффициент уплотнения

более 1,15.
При поставках вспученного песка или вспученного щебня в специальных автомобилях, контейнерах и железнодорожных вагонах коэффициент уплотнения

устанавливают по договоренности между изготовителем и потребителем.
По договоренности между изготовителем и потребителем допускается отгрузка вспученного песка или вспученного щебня по массе.
Пересчет количества вспученного песка или вспученного щебня из весовых единиц в объемные

, м3, проводят по формуле

, (2)
где

- количество вспученного песка или вспученного щебня в весовых единицах, кг;

- насыпная плотность вспученного песка или вспученного щебня, кг/м3.
7.16. Каждая партия вспученного песка или вспученного щебня, поставляемых одному потребителю, должна сопровождаться документом о качестве, в котором указывают:
- наименование предприятия-изготовителя, его товарный знак (при наличии) и адрес;
- условное обозначение продукции;
- номер партии и дату изготовления (число, месяц, год);
- количество продукции в партии, м3 (или кг в случае отгрузки по массе);
- результаты испытаний;
- протокол радиационного исследования вспученных песка и щебня на содержание естественных радионуклидов;
- знак соответствия (по требованию потребителя) согласно действующим нормативным документам для вспученных песка и щебня, которые прошли сертификацию.
7.17. Сертификационные испытания и оформление результатов испытаний следует проводить согласно действующим нормативным документам.
7.18. Требования безопасности, приведенные в
разделе 6, контролируют при подготовке и организации производства вспученных песка и щебня, а также по требованию органов государственного санитарного надзора.
8.1. Определение насыпной плотности
8.1.1. Сущность метода
Определяют массу единицы объема высушенной пробы вспученного песка или вспученного щебня в мерном сосуде.
8.1.2. Средства испытания
Весы для статического взвешивания с ценой деления не более 1 г по
ГОСТ 29329.
Мерные цилиндрические сосуды вместимостью 1; 2 и 5 л (см. таблицу 7).
Таблица 7
Размер мерного сосуда и объем пробы
Наибольшая крупность зерен вспученного песка и вспученного щебня, мм | Объем мерного сосуда, л | Размер сосуда, мм | Объем пробы, л |
Диаметр | Высота |
5 | 1 | 108 | 108,5 | 1,5 |
10 | 2 | 137 | 136,5 | 3,0 |
20 | 5 | 185 | 186,5 | 6,5 |
Сушильный электрошкаф, обеспечивающий поддержание температуры до 200 °C (473 К).
Совок.
Воронка для засыпки вспученного песка в мерный сосуд (см.
рисунок 1).
8.1.3. Подготовка к испытанию
Из лабораторной пробы вспученного песка или вспученного щебня испытываемой фракции (смеси фракций) в соответствии с
7.12 отбирают аналитическую пробу объемом, указанным в
таблице 6, и высушивают до постоянной массы при температуре (105 +/- 5) °C. Массу пробы считают постоянной, если разность между результатами двух последовательных взвешиваний не превышает 0,1%.
8.1.4. Высушенный вспученный песок или вспученный щебень насыпают в предварительно взвешенный мерный сосуд до образования конуса над верхом сосуда, который удаляют металлической линейкой вровень с краями сосуда (без уплотнения) и взвешивают. Вспученный щебень насыпают в сосуд совком с высоты 100 мм над его верхним краем, вспученный песок - через воронку (см.
рисунок 1).
Для определения насыпной плотности вспученного песка или вспученного щебня каждый раз используют новую пробу.
Размер мерного сосуда и объем пробы для определения насыпной плотности в зависимости от наибольшей крупности зерен вспученных песка и щебня приведены в
таблице 7.
8.1.5. Обработка результатов
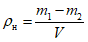
Насыпную плотность вспученного песка или вспученного щебня

, кг/м3, определяют по формуле

, (3)
где

- масса мерного сосуда со вспученным песком или вспученным щебнем, кг;

- масса мерного сосуда, кг;
V - объем мерного сосуда, м3.
Насыпную плотность вспученного песка марки по насыпной плотности более М250 и вспученного щебня вычисляют с точностью до 10 кг/м3, насыпную плотность вспученного песка марок по насыпной плотности М250 и менее вычисляют с точностью до 1 кг/м3.
Насыпную плотность вспученного песка или вспученного щебня вычисляют как среднеарифметическое значение результатов двух параллельных испытаний.
Насыпную плотность вспученного песка марок по насыпной плотности М250 и менее вычисляют как среднеарифметическое значение результатов трех параллельных испытаний.
8.1.6. Если необходимо, насыпную плотность вспученного песка и вспученного щебня в партии определяют в состоянии естественной влажности и вычисляют как среднеарифметическое значение результатов трех параллельных испытаний.
Для определения насыпной плотности вспученного песка и вспученного щебня в состоянии естественной влажности каждый раз используют новую пробу, отобранную из объединенной пробы.
8.2. Определение зернового состава
8.2.1. Сущность метода
Сущность метода заключается в рассеве через набор стандартных сит предварительно высушенной пробы вспученного песка или вспученного щебня.
8.2.2. Средства испытания
Сушильный электрошкаф, обеспечивающий поддержание температуры до 200 °C (473 К).
Мерные цилиндрические сосуды вместимостью 1; 2; 5; 10 и 20 л.
Мерный стеклянный сосуд вместимостью 1 л.
Сита из сеток с размером стороны ячеек в свету 0,160; 0,315; 0,630; 1,250; 2,500 мм по
ГОСТ 6613; сита с круглыми отверстиями диаметром 5; 10; 20; 40 мм.
Из лабораторной пробы вспученного песка или вспученного щебня испытываемой фракции (смеси фракций) в соответствии с
7.12 отбирают аналитическую пробу объемом, указанным в
таблице 6, и высушивают при температуре (105 +/- 5) °C до постоянной массы

. Массу пробы считают постоянной, если разность между результатами двух последовательных взвешиваний не превышает 0,1%.
8.2.4. Проведение испытания
Зерновой состав вспученного щебня определяют путем рассева аналитической пробы, высушенной в соответствии с
8.2.3, на контрольных ситах с диаметром отверстий, соответствующих удвоенному наибольшему размеру 2D, наибольшему D и наименьшему d номинальным размерам зерен фракции с использованием сит с размерами отверстий 5; 10; 20; 40 мм.
Для определения зернового состава вспученного песка от аналитической пробы вспученного песка, высушенной в соответствии с
8.2.3, отбирают три навески по 100 г и взвешивают с погрешностью +/- 0,1 г. Зерновой состав вспученного песка определяют путем рассева навесок на ситах с размерами отверстий, равными наибольшему D и наименьшему d номинальным размерам зерен фракций.
Пробу (навеску) просеивают небольшими порциями (частями) механическим или ручным способом, при этом толщина слоя вспученного песка или вспученного щебня на сите должна быть не более 1/3 высоты борта сита.
Просеивание продолжают до тех пор, пока при контрольном интенсивном ручном встряхивании через каждое сито за время, равное 1 мин, будет проходить не более 0,1% просеиваемой массы пробы. При механическом просеивании продолжительность просеивания для используемого прибора устанавливают в процессе испытания.
Остатки на ситах и поддоне

,

,

,

, г, взвешивают с погрешностью +/- 0,1 г, определяя частные остатки на каждом сите и поддоне. Рассчитывают сумму частных остатков

по формуле

. (4)
Если

отличается от массы исходной пробы более чем на 2%, то испытание повторяют на новой пробе.
8.2.5. Обработка результатов
8.2.5.1. По результатам просеивания определяют частные остатки

, % по массе, на каждом сите стандартного набора с точностью до 0,1% по формуле

, (5)
где

- масса частного остатка на соответствующем сите, г;

- масса исходной пробы, г.
8.2.5.2. Определяют полные остатки на каждом сите

, % по массе, по формуле

, (6)
где

,

,

,...,

- частные остатки на i-м сите в стандартном наборе сит, г;
i, i + 1, i + 2,..., n - порядковые номера сит стандартного набора.
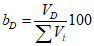
8.2.5.3. Для определения частных и полных остатков по объему

,

,

,

, см3, полученные значения частных остатков по массе

на каждом сите и поддоне делят на соответствующие значения насыпной плотности

каждого частного остатка, г/см3, полученных на ситах с диаметром отверстий 2D, D, d и поддоне:

; (7)

; (8)

; (9)

, (10)
где

,

,

,

- частные остатки на ситах по массе с размерами отверстий соответственно 2D, D, d и поддоне, г;

,

,

,

- насыпные плотности частных остатков на ситах с размерами отверстий соответственно 2D, D, d и поддоне, г/см3.
Насыпную плотность

частных остатков определяют в соответствии с
8.1. В случае, если количество частного остатка вспученного песка или вспученного щебня окажется недостаточным для определения насыпной плотности, допускается определять насыпную плотность щебня в мерных сосудах меньшего объема (но не менее 1 л при предельной крупности 20 мм), а для вспученного песка - непосредственно измерять объемы в мерном стеклянном сосуде вместимостью 1000 мл.
Определяют суммарный объем пробы

, см3, по формуле

. (11)
Определяют частные остатки

, % по объему, с точностью до 0,1% по формулам:

; (12)

; (13)

; (14)

. (15)
Вычисляют полные остатки на каждом сите

, % по объему, по формуле

, (16)
где

,

,

,...,

- частные остатки по объему на i-м сите, см3;
i, i + 1, i + 2,..., n - порядковые номера сит стандартного набора.
Содержание зерен наибольшего и наименьшего размеров по массе для щебня и крупнее наибольшего и мельче наименьшего номинальных размеров по объему для песка вычисляют как среднеарифметическое значение результатов трех параллельных испытаний с точностью до 1%.
Примечание. По результатам испытаний в случае заказа определяют модуль крупности вспученного песка по ГОСТ 8735,
раздел 3.
8.3. Определение влажности
8.3.1. Сущность метода
Сущность метода заключается в определении влажности по разности масс навески до и после высушивания.
8.3.2. Средства испытания
Сушильный электрошкаф, обеспечивающий поддержание температуры до 200 °C (473 К).
Мерные цилиндрические сосуды вместимостью 1 и 2 л (см.
таблицу 7).
Совок.
Противень.
8.3.3. Подготовка пробы
Аналитическую пробу вспученного песка или вспученного щебня объемом 2 или 3 л в зависимости от размера фракции (см.
таблицу 6), взятую из лабораторной пробы непосредственно перед определением влажности, делят на навески.
8.3.4. Проведение испытания
Каждую навеску вспученного песка или вспученного щебня немедленно высыпают в предварительно высушенный до постоянной массы и взвешенный противень, взвешивают с погрешностью +/- 0,1 г, а затем высушивают до постоянной массы при температуре (105 +/- 5) °C и взвешивают еще раз. Массу навески считают постоянной, если разность между результатами двух последовательных взвешиваний не превышает 0,1%.
Вспученный песок марок по насыпной плотности М250 и менее после высушивания охлаждают в эксикаторе до комнатной температуры.
8.3.5. Обработка результатов
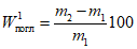
8.3.5.1. Влажность вспученного песка или вспученного щебня W, % по массе, определяют по формуле

, (17)
где

- масса навески в состоянии естественной влажности, вычисленная по разности массы противня с навеской и без нее, г;

- масса навески в сухом состоянии, вычисленная по разности массы противня с высушенной до постоянной массы навеской и без нее, г.
8.3.5.2. Влажность вспученного песка или вспученного щебня вычисляют с точностью до 0,1% как среднеарифметическое значение результатов двух параллельных испытаний. Для вспученного песка марок по насыпной плотности М250 и менее вычисление проводят по результатам трех испытаний.
8.4. Определение водопоглощения вспученного щебня
8.4.1. Сущность метода
Сущность метода заключается в определении разности масс навески вспученного щебня до и после насыщения ее водой.
8.4.2. Средства испытания
Сушильный электрошкаф, обеспечивающий поддержание температуры до 200 °C (473 К).
Мерные цилиндрические сосуды вместимостью 1, 2 л.
Сито с отверстиями диаметром 5 мм из стандартного набора.
Контейнер с перфорированным дном и крышкой для насыщения вспученного щебня водой (см. рисунок 2).
1 - нижняя часть контейнера; 2 - крышка; 3 - две шпильки
диаметром 4 мм и длиной 2 мм; 4 - отверстия диаметром 4 мм
с шагом 8 мм на нижней части контейнера и крышке;
5 - кольцо диаметром 10 мм
Рисунок 2. Контейнер для насыщения вспученного щебня водой
8.4.3. Подготовка пробы
Аналитическую пробу вспученного щебня испытываемой фракции объемом 2 или 3 л в зависимости от крупности зерен (см.
таблицу 6) высушивают до постоянной массы при температуре (105 +/- 5) °C и отсеивают частицы мельче 5 мм на сите с отверстиями диаметром 5 мм в течение 2 - 3 мин, после чего пробу делят пополам на две навески и взвешивают каждую навеску с погрешностью +/- 0,1 г.
Массу пробы считают постоянной, если разность между результатами двух последовательных взвешиваний не превышает 0,1%.
8.4.4. Проведение испытания
Навеску вспученного щебня помещают в контейнер, закрывают крышкой, медленно погружают в воду и встряхивают для удаления пузырьков воздуха из щебня. Контейнер с навеской выдерживают в воде в течение 1 ч, после чего вынимают, подвешивают за кольцо и дают избыточной воде стечь в течение 10 мин. Далее пробу вынимают из контейнера и немедленно взвешивают с погрешностью +/- 0,1 г.
8.4.5. Обработка результатов
Водопоглощение вспученного щебня

, % по массе, определяют по формуле

, (18)
где

- масса сухой пробы, г;

- масса пробы, насыщенной водой, г.
За результат испытания принимают среднеарифметическое значение результатов двух параллельных испытаний.
Примечание. Водопоглощение

, % по объему, определяют, используя предварительно установленное значение средней плотности зерен вспученного щебня по формуле

, (19)
где

- водопоглощение вспученного щебня за 1 ч, %;

- средняя плотность зерен вспученного щебня, г/см3;

- плотность воды, равная 1 г/см3.
Среднюю плотность зерен вспученного щебня определяют по ГОСТ 9758,
раздел 4.
8.5. Определение прочности при сдавливании в цилиндре
8.5.1. Сущность метода
Сущность метода заключается в определении нагрузки, необходимой для погружения пуансона на глубину 20 мм в слой испытываемой пробы вспученного песка или вспученного щебня.
Прочность при сдавливании в цилиндре вспученного щебня определяют для фракций от 5 до 10 мм, свыше 10 до 20 мм, вспученного песка - для зерен размером от 1,25 до 2,5 мм.
8.5.2. Средства испытания
Гидравлический пресс с максимальным усилием 50 - 250 кН (5 - 25 тс) по
ГОСТ 28840.
Стальной составной цилиндр (см. рисунок 3).
1 - поддон; 2 - цилиндр; 3 - приставка; 4 - пуансон
Рисунок 3. Стальной составной цилиндр
Сушильный электрошкаф, обеспечивающий поддержание температуры до 200 °C (473 К).
Совок.
8.5.3. Подготовка пробы
Аналитическую пробу вспученного песка или вспученного щебня испытываемой фракции, на которой определялась насыпная плотность, высушивают до постоянной массы при температуре (105 +/- 5) °C в сушильном электрошкафу.
Массу пробы считают постоянной, если разность между результатами двух последовательных взвешиваний не превышает 0,1%.
8.5.4. Проведение испытания
8.5.4.1. Из высушенной аналитической пробы вспученного щебня или вспученного песка отбирают навеску объемом 2 л.
Вспученный щебень или вспученный песок насыпают в стальной цилиндр с поддоном так, чтобы после разравнивания металлической линейкой уровень щебня или песка находился на уровне верхнего края цилиндра. Вспученный щебень насыпают в цилиндр совком с высоты 100 мм, вспученный песок - через воронку, см.
рисунок 1. Затем на цилиндр надевают приставку и в нее вставляют пуансон. Нижняя риска пуансона должна совпадать с верхним краем приставки.
Остаток вспученного песка или вспученного щебня, не вошедший в цилиндр, взвешивают и по разности масс взятой навески и остатка определяют массу вспученного песка или вспученного щебня в цилиндре. Определяют насыпную плотность вспученного песка или вспученного щебня в цилиндре делением полученной массы на его объем в цилиндре (1770 см3).
8.5.4.2. В случае, если насыпная плотность вспученного песка или вспученного щебня в цилиндре не отличается от насыпной плотности, определенной по
8.1 (разница должна находиться в пределах допустимого разброса, см.
8.1.5), проводят испытание вспученного песка или вспученного щебня на прочность при сдавливании в цилиндре.
Если отклонения полученных значений насыпной плотности от насыпной плотности испытываемой фракции, определенной по
8.1, выходят за пределы интервала от минус 4% до плюс 2% для вспученного песка с размером зерен от 1,25 до 2,5 мм и для вспученного щебня фракций от 5 до 10 мм, свыше 10 до 20 мм, то повторно определяют насыпную плотность в цилиндре на другой навеске вспученного песка или вспученного щебня.
Цилиндр с пуансоном помещают на подушку гидравлического пресса, сдавливают вспученный песок или вспученный щебень до погружения пуансона на 20 мм (до верхней риски) и отмечают показание стрелки манометра.
8.5.4.3. Вдавливание пуансона должно проводиться без перекоса со скоростью 0,5 - 1,0 мм/с.
8.5.5. Обработка результатов
8.5.5.1. Прочность при сдавливании в цилиндре вспученного песка или вспученного щебня

, МПа (кгс/см2), определяют по формуле

, (20)
где P - нагрузка при сдавливании песка или щебня, соответствующая погружению пуансона до верхней риски (на глубину 20 мм), Н (кгс);
F - площадь поперечного сечения цилиндра, равная 0,0177 м2 (177 см2).
8.5.5.2. Прочность отдельной фракции при сдавливании в цилиндре вычисляют как среднеарифметическое значение результатов двух параллельных испытаний каждой фракции.
8.6. Определение морозостойкости вспученного щебня
8.6.1. Сущность метода
Сущность метода заключается в определении потери массы пробы вспученного щебня до и после проведения ряда циклов попеременного замораживания и оттаивания пробы в увлажненном состоянии.
8.6.2. Средства испытания
Морозильная камера, обеспечивающая заданную температуру и ее поддержание. Погрешность измерения температуры - +/- 1 °C.
Сушильный электрошкаф, обеспечивающий поддержание температуры до 200 °C (473 К).
Мерные цилиндрические сосуды вместимостью 2 и 4 л.
Сита с отверстиями 5; 10; 20 и 40 мм из стандартного набора.
Эмалированная ванна.
Контейнеры для навесок с перфорированным дном и крышкой (по числу испытываемых навесок).
8.6.3. Подготовка пробы
Аналитическую пробу испытываемой фракции вспученного щебня высушивают при температуре (105 +/- 5) °C до постоянной массы, просеивают через сита с отверстиями, соответствующими наибольшему и наименьшему размеру зерен фракции вспученного щебня, и делят пополам на две навески.
Массу пробы считают постоянной, если разность между результатами двух последовательных взвешиваний не превышает 0,1%.
8.6.4. Проведение испытания
Каждую навеску вспученного щебня высыпают в отдельный контейнер с перфорированным дном и крышкой и помещают на 48 ч в ванну с водой температурой (20 +/- 3) °C. Через 48 ч контейнеры с навесками вынимают из ванны, дают воде стечь, после чего контейнеры с навесками помещают в морозильную камеру, внутри которой температуру доводят до минус (15 +/- 5) °C.
Продолжительность выдержки навесок в камере при установленной температуре должна быть не менее 4 ч. Затем контейнеры с навесками помещают в ванну с водой температурой (20 +/- 3) °C и выдерживают в ней не менее 4 ч.
После проведения установленного в
5.2.5 числа циклов попеременного замораживания и оттаивания навески высушивают до постоянной массы и просеивают на сите с отверстиями, соответствующими минимальному размеру испытуемой фракции. Остаток каждой навески на сите взвешивают с погрешностью +/- 0,1 г.
8.6.5. Обработка результатов
Потерю массы навески вспученного щебня

, %, вычисляют по формуле

, (21)
где

- масса навески до испытания, г;

- масса остатка на сите после испытания, г.
Потерю массы определяют как среднеарифметическое значение результатов двух параллельных испытаний каждой фракции вспученного щебня.
8.7. Теплопроводность вспученного песка определяют по
ГОСТ 7076.
8.8. Суммарную удельную эффективную активность естественных радионуклидов во вспученных песке и щебне определяют гамма-спектрометрическим методом по
ГОСТ 30108.
8.9. Качество упаковки и маркировки при отгрузке вспученного песка и вспученного щебня в запакованном виде контролируют внешним осмотром отобранных для контроля пяти единиц упаковок.
9. Транспортирование и хранение
9.1. Вспученный песок транспортируют в запакованном виде в железнодорожных вагонах или автомобилях или насыпью в специализированных железнодорожных вагонах или в специализированных автомобилях.
9.2. Вспученный щебень транспортируют насыпью или в запакованном виде в железнодорожных вагонах или в автомобилях.
9.3. Транспортирование вспученного песка и вспученного щебня осуществляют в соответствии с правилами перевозки грузов, действующими на транспорте конкретного вида.
9.4. При транспортировании вспученного песка и вспученного щебня должны быть приняты меры по защите их от увлажнения и загрязнения.
9.5. Вспученный песок и вспученный щебень хранят в закрытых складских помещениях или на открытой площадке под навесом отдельно по группам и маркам.
9.6. При хранении вспученного песка и вспученного щебня должны быть приняты меры по их защите от увлажнения и загрязнения.
10. Указания по применению
Вспученные песок и щебень применяют в соответствии с
разделом 1. Область применения вспученного песка и вспученного щебня может быть согласована между потребителем и изготовителем.
11. Гарантии изготовителя
11.1. Изготовитель гарантирует соответствие производимых вспученных песка и щебня требованиям настоящего стандарта при соблюдении правил транспортирования, хранения и применения.
11.2. При условии соблюдения правил транспортирования, хранения и применения гарантийный срок хранения и применения вспученных песка и щебня не ограничивается.