Главная // Актуальные документы // ГОСТ Р (Государственный стандарт)СПРАВКА
Источник публикации
М.: Стандартинформ, 2007
Примечание к документу
Документ утратил силу с 1 июня 2014 года в связи с изданием
Приказа Росстандарта от 30.12.2013 N 2428-ст. Взамен введен в действие
ГОСТ 12.4.253-2013.
Текст документа приведен с учетом
поправки, опубликованной в "ИУС", N 7, 2009.
Введен в действие с 1 июля 2008 года.
Название документа
"ГОСТ Р 12.4.230.1-2007 (ЕН 166-2002). Система стандартов безопасности труда. Средства индивидуальной защиты глаз. Общие технические требования"
(утв. Приказом Ростехрегулирования от 15.05.2007 N 90-ст)
"ГОСТ Р 12.4.230.1-2007 (ЕН 166-2002). Система стандартов безопасности труда. Средства индивидуальной защиты глаз. Общие технические требования"
(утв. Приказом Ростехрегулирования от 15.05.2007 N 90-ст)
Утвержден и введен в действие
от 15 мая 2007 г. N 90-ст
НАЦИОНАЛЬНЫЙ СТАНДАРТ РОССИЙСКОЙ ФЕДЕРАЦИИ
СИСТЕМА СТАНДАРТОВ БЕЗОПАСНОСТИ ТРУДА
СРЕДСТВА ИНДИВИДУАЛЬНОЙ ЗАЩИТЫ ГЛАЗ
ОБЩИЕ ТЕХНИЧЕСКИЕ ТРЕБОВАНИЯ
Occupational safety standards system. Personal eyes
protection means. General technical requirements
EN 166-2002
Personal eyes protection. General specifications
(MOD)
ГОСТ Р 12.4.230.1-2007
(ЕН 166-2002)
ОКП 94 4266
Дата введения
1 июля 2008 года
Цели и принципы стандартизации в Российской Федерации установлены Федеральным
законом от 27 декабря 2002 г. N 184-ФЗ "О техническом регулировании", а правила применения национальных стандартов Российской Федерации -
ГОСТ Р 1.0-2004 "Стандартизация в Российской Федерации. Основные положения".
1. Подготовлен Открытым акционерным обществом "ТКС - оптика" совместно с подкомитетом ПК 9 "Средства индивидуальной защиты глаз" Технического комитета по стандартизации ТК 320 "Средства индивидуальной защиты".
2. Внесен Управлением технического регулирования и стандартизации Федерального агентства по техническому регулированию и метрологии.
3. Утвержден и введен в действие
Приказом Федерального агентства по техническому регулированию и метрологии от 15 мая 2007 г. N 90-ст.
| | ИС МЕГАНОРМ: примечание. Структурные элементы, выделенные вертикальной линией в официальном тексте документа, в электронной версии документа отмечены знаком "#". | |
4. Настоящий стандарт является модифицированным по отношению к международному стандарту ЕН 166:2002 "Средства индивидуальной защиты глаз. Общие технические требования" ("Personal eyes protection - General specifications") путем изменения содержания отдельных структурных элементов, которые выделены вертикальной линией, расположенной слева от текста.
Наименование настоящего стандарта изменено относительно наименования указанного международного (регионального) стандарта для приведения в соответствие с ГОСТ Р 1.5-2004 (
подраздел 3.5).
5. Введен впервые.
Стандарт распространяется на все типы средств индивидуальной защиты глаз (далее - СИЗ глаз) от различных видов опасности, встречающихся в промышленности, научных лабораториях, учебных учреждениях, бытовой деятельности и т.д., которые могут повредить или ухудшить органы зрения.
Стандарт не распространяется на СИЗ глаз от ядерной радиации, рентгеновского излучения, радиоизлучения, излучения лазера, излучения от низкотемпературных ИК-источников, а также на солнцезащитные очки для общего пользования.
Стандарт устанавливает базовые, специальные и дополнительные требования для СИЗ глаз.
Варианты применения типов СИЗ глаз в зависимости от функции СИЗ в обеспечении защиты приведены в
Приложении А.
В настоящем стандарте использованы ссылки на следующие стандарты:
ГОСТ Р 12.4.230.2-2007. Система стандартов безопасности труда. Индивидуальная защита глаз. Методы измерений оптических и неоптических параметров
ГОСТ Р 51854-2001. Линзы очковые солнцезащитные. Технические требования. Методы испытаний
ГОСТ 8.332-78. Государственная система измерений. Световые измерения. Значения относительной спектральной световой эффективности монохроматического излучения для дневного зрения
ГОСТ 12.4.001-80. Система стандартов безопасности труда. Очки защитные. Термины и определения
ГОСТ 12.4.023-84. Система стандартов безопасности труда. Щитки защитные лицевые. Общие технические требования и методы контроля
ГОСТ 12.4.035-78. Система стандартов безопасности труда. Щитки защитные лицевые для электросварщиков. Технические условия
ГОСТ 2991-85. Ящики дощатые неразборные для грузов массой до 500 кг. Общие технические условия
ГОСТ 5959-80. Ящики из листовых древесных материалов неразборные для грузов массой до 200 кг. Общие технические условия
ГОСТ 8828-89. Бумага-основа и бумага двухслойная водонепроницаемая упаковочная. Технические условия
ГОСТ 9142-90. Ящики из гофрированного картона. Общие технические условия
ГОСТ 15150-69. Машины, приборы и другие технические изделия. Исполнения для различных климатических районов. Категории, условия эксплуатации, хранения и транспортирования в части воздействия климатических факторов внешней среды.
Примечание. При пользовании настоящим стандартом целесообразно проверить действие ссылочных стандартов в информационной системе общего пользования - на официальном сайте Федерального агентства по техническому регулированию и метрологии в сети Интернет или по ежегодно издаваемому информационному указателю "Национальные стандарты", который опубликован по состоянию на 1 января текущего года, и по соответствующим ежемесячно издаваемым информационным указателям, опубликованным в текущем году. Если ссылочный стандарт заменен (изменен), то при пользовании настоящим стандартом следует руководствоваться заменяющим (измененным) стандартом. Если ссылочный стандарт отменен без замены, то положение, в котором дана ссылка на него, применяется в части, не затрагивающей эту ссылку.
В настоящем стандарте применены термины по
ГОСТ 12.4.001, а также следующие термины с соответствующими определениями:
3.1. Астигматизм: максимальная разность рефракций между двумя главными меридианами, перпендикулярными друг к другу и проходящими через оптическую ось.
3.2. Базовые требования к СИЗ глаз: обязательные требования к СИЗ глаз, общие для всех типов СИЗ глаз.
3.3. Геометрический центр: точка пересечения диагоналей наименьшего прямоугольника, очерченного вокруг очкового стекла.
3.4. Главные меридиональные сечения: перпендикулярные сечения линзы, которые содержат оптическую ось и в которых рефракция принимает максимальное и минимальное значения.
3.5. Грубодисперсные аэрозоли: аэрозоли с радиусом частиц r более 5 мкм.
3.6. Дополнительные требования к СИЗ глаз: обязательные требования к СИЗ глаз, характеризующие их защитные свойства, связанные с особенностями их применения (эксплуатации).
3.7. Защитное очковое стекло (очковое стекло): конструктивный элемент защитных очков, предназначенный для обзора и защиты глаз в зависимости от вида опасности.
3.8. Зрительный центр: точка на очковом стекле, соответствующая пересечению горизонтальной и вертикальной осей, проходящих через зрачок используемого макета головы человека.
3.9. Капля: небольшой объем жидкости, ограниченный в состоянии равновесия поверхностью вращения.
Примечание. Форма капли определяется действием сил поверхностного натяжения и внешних сил. Капли образуются при стекании жидкости с края поверхности или из малых отверстий, а также при конденсации пара на твердой несмачиваемой поверхности на центрах конденсации.
3.10. Контрольный макет головы человека: средний или малый размер макета головы, предназначенный для испытаний характеристик (параметров) СИЗ глаз.
Примечание. Требования к контрольному макету головы и основные размеры - по ГОСТ Р 12.4.230.2,
приложение А.
3.11. Корригирующий эффект: действительное (фактическое, измеренное) значение рефракции очкового стекла с нулевым номинальным значением рефракции.
3.12. Коэффициент пропускания (спектральный)

: величина, определяемая отношением прошедшего (спектрального) потока излучения к падающему (спектральному) потоку излучения, измеренному на данной длине волны

.
3.13. Ламинированное очковое стекло: очковое стекло, изготовленное из нескольких скрепленных связующим веществом слоев.
3.14. Межзрачковое расстояние l, мм: расстояние между центрами двух зрачков в случае, когда субъект смотрит прямо перед собой на бесконечно удаленный предмет.
3.15. Мелкодисперсные аэрозоли: аэрозоли с радиусом частиц r менее 5 мкм.
3.16. Оптическая ось: прямая линия, проходящая через центры кривизны оптических поверхностей.
3.17. Оптический центр: точка пересечения оптической оси с поверхностью линзы.
3.18. Приведенный коэффициент яркости

: величина, определяемая по формуле:

,
где

- светорассеяние;

- световой коэффициент пропускания;
E - освещенность.
3.19. Призматическое действие: отклонение светового луча от первоначального направления при прохождении через заданную точку на линзе. Единицей измерения призматического действия является призменная диоптрия (прдптр).
3.20. Рефракция

,

: величина, обратная фокусному расстоянию очковой линзы, измеренному в метрах.
Примечание. Единицей рефракции является диоптрия (дптр), которая выражается в обратных метрах (

).
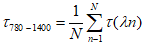
3.21. Световой коэффициент пропускания

: величина

, определяемая по формуле:

,
где

- относительное спектральное распределение потока излучения стандартного источника излучения

;

- относительная спектральная световая эффективность монохроматического излучения для дневного зрения.
Примечания. 1. Спектральные функции для расчета светового коэффициента пропускания (

) приведены в
Приложении Б.
2. Значения

в диапазоне длин волн от 380 до 780 нм должны соответствовать значениям, приведенным в таблице 1 ГОСТ 8.332.
3.22. Специальные требования к СИЗ глаз: обязательные требования к СИЗ глаз, характеризующие их защитные свойства, в зависимости от вида опасности, от которой они предназначены защищать.
3.23. Средство индивидуальной защиты глаз; СИЗ глаз: любая форма устройства для защиты глаз, защищающего, как минимум, область глаз.
3.24. Щиток защитный лицевой: СИЗ глаз, защищающее все лицо или его значительную часть.
3.25. Экран лицевой: оптическая и/или неоптическая деталь защитного лицевого щитка.
3.26. Экстремальная температура: температура выдержки СИЗ глаз при плюс (55 +/- 2) °C и минус (5 +/- 2) °C.
4.1. Функции СИЗ глаз заключаются в обеспечении защиты от следующих видов опасности:
- механических воздействий;
- воздействия агрессивных химических средств;
- оптического излучения;
- частиц расплавленного металла и горячих твердых частиц;
- капель и брызг жидкостей;
- грубодисперсных аэрозолей (пыли);
- газов и мелкодисперсных аэрозолей;
- теплового излучения;
- или любой комбинации этих факторов.
4.2. В зависимости от конструктивного исполнения СИЗ глаз установлены следующие типы:
- открытые защитные очки с боковой защитой;
- открытые защитные очки без боковой защиты;
- закрытые защитные очки;
- защитные лицевые щитки;
- лицевой экран.
#4.3. Очковые стекла, применяемые в СИЗ глаз, в зависимости от технологии изготовления и химического состава материала подразделяют на следующие типы:#
- бесцветное очковое стекло;
- упрочненное очковое стекло;
- органическое очковое стекло (пластмассовое);
- ламинированное очковое стекло;
- химически стойкое очковое стекло.
Примечания. 1. Очковое стекло СИЗ глаз может быть изготовлено с корригирующим эффектом и без него.
2. Для повышения дополнительных требований к СИЗ глаз применяют очковые стекла с покрытием-фильтром.
#4.4. Очковые стекла без корригирующего эффекта в зависимости от допускаемых отклонений значений рефракции, возникающих в результате производственных процессов, подразделяют на три оптических класса согласно таблицам 1,
2.
Примечание. Очковые стекла с оптическим классом 3 не рекомендуются для длительного применения.#
Таблица 1
Допустимые отклонения значений рефракции для очковых стекол
без оправ для одного глаза без корригирующего эффекта
┌─────────────────┬──────────────┬──────────────┬────────────────┐
│Оптический класс │ Сферическая │ Астигматизм │ Призматическое │
│ очковых стекол │ рефракция │ |D + D |, │ действие, │
│ │ (D + D )/2, │ 1 2 │ прдптр │
│ │ 1 2 │ дптр │ │
│ │ дптр │ │ │
├─────────────────┼──────────────┼──────────────┼────────────────┤
│ 1 │ +/- 0,06 │ 0,06 │ 0,12 │
├─────────────────┼──────────────┼──────────────┼────────────────┤
│ 2 │ +/- 0,12 │ 0,12 │ 0,12 │
├─────────────────┴──────────────┴──────────────┴────────────────┤
│ Примечания. 1. D и D - значения рефракции по двум главным│
│ 1 2 │
│меридиональным сечениям. │
│ 2. Значения рефракции следует измерять в геометрическом│
│центре очкового стекла. │
└────────────────────────────────────────────────────────────────┘
Таблица 2
Допустимые отклонения значений рефракции очковых стекол
без корригирующего эффекта в оправе
и без оправы для двух глаз
┌──────────┬────────────┬───────────┬────────────────────────────┐
│Оптический│Сферическая │Астигматизм│ Разность значений │
│ класс │ рефракция │ |D - D |,│ призматического действия, │
│ очковых │(D + D )/2,│ 1 2 │ прдптр │
│ стекол │ 1 2 │ дптр ├─────────────────────┬──────┤
│ │ дптр │ │ в горизонтальной │в вер-│
│ │ │ │ плоскости │ти- │
│ │ │ ├──────────┬──────────┤каль- │
│ │ │ │ призма │ призма │ной │
│ │ │ │основанием│основанием│плос- │
│ │ │ │ к виску │ к носу │кости │
├──────────┼────────────┼───────────┼──────────┼──────────┼──────┤
│ 1 │ +/- 0,06 │ 0,06 │ 0,75 │ 0,25 │ 0,25 │
├──────────┼────────────┼───────────┼──────────┼──────────┼──────┤
│ 2 │ +/- 0,12 │ 0,12 │ 1,00 │ 0,25 │ 0,25 │
├──────────┼────────────┼───────────┼──────────┼──────────┼──────┤
│ 3 │ +/- 0,12 │ 0,25 │ 1,00 │ 0,25 │ 0,25 │
│ │ -0,25 │ │ │ │ │
├──────────┴────────────┴───────────┴──────────┴──────────┴──────┤
│ Примечания. 1. D и D - значения рефракции по двум главным│
│ 1 2 │
│меридиональным сечениям. Для оптического класса 3 оси главных│
│меридиональных сечений должны быть параллельны с точностью│
│+/- 10°. │
│ 2. Значения рефракции следует измерять в геометрическом│
│центре очкового стекла. │
│ 3. Разница отклонений в значениях призматического действия│
│для очковых стекол в оправе зависит не только от значения│
│призматической рефракции каждого очкового стекла, но и от формы│
│оправы. В оправах следует использовать сменные стекла, разница в│
│призматическом действии для которых остается в допустимых│
│пределах. │
└────────────────────────────────────────────────────────────────┘
4.5. Требования к номенклатуре, коэффициентам пропускания и обозначению светофильтров приведены в
В.1 (Приложение В).
5. Общие технические требования
5.1.1. СИЗ глаз поставляют в климатическом исполнении V для категории размещения 1.1 по
ГОСТ 15150.
5.1.2. Установленные настоящим стандартом требования к СИЗ глаз подразделяют на базовые (см.
5.2), специальные (см.
5.3) и дополнительные (см.
5.4).
5.2. Базовые требования к СИЗ глаз
5.2.1. Требования к конструкции СИЗ глаз и применяемым материалам
5.2.1.1. СИЗ глаз не должны иметь выступающих частей, острых кромок или других дефектов, которые могут вызывать дискомфорт или наносить вред при эксплуатации.
5.2.1.2. СИЗ глаз, находящиеся в контакте с кожей человека, следует изготовлять из материалов, не вызывающих раздражение кожи и разрешенных органами Роспотребнадзора, что должно быть подтверждено санитарно-эпидемиологическим заключением, выдаваемым в установленном порядке.
5.2.1.3. Наголовная лента, используемая в качестве средства крепления, должна иметь ширину не менее 10 мм по всей длине, имеющей контакт с головой человека.
5.2.1.4. Наголовная лента должна иметь возможность регулирования длины или быть саморегулирующейся.
5.2.2. Требования к полю зрения
5.2.2.1. Размер поля зрения следует определять в соответствии с типоразмером испытуемого контрольного макета головы, выбираемым испытателем для конкретного типа СИЗ глаз. Правильность выбора макета головы подтверждает Сертификационный орган.
5.2.2.2. Минимальное допустимое поле зрения СИЗ глаз определяют двумя эллипсами согласно рисунку 1 при их расположении и центрировке на расстоянии 25 мм от поверхности глаз используемого контрольного макета головы. Горизонтальная ось должна быть параллельна поверхности глаз и на 0,7 мм ниже линии, соединяющей центры двух зрачков.
Рисунок 1. Определение поля зрения
Горизонтальная длина эллипсов равна 22,0 мм, вертикальная ширина эллипсов - 20,0 мм. Расстояние между центрами двух эллипсов должно равняться d = l + 6 мм (l - межзрачковое расстояние).
5.2.3. Требования к оптическим параметрам и характеристикам очковых, покровных стекол и светофильтрам СИЗ глаз
5.2.3.1. Допустимые отклонения значений рефракции, астигматизма и призматического действия очковых стекол с корригирующим эффектом - по
ГОСТ Р 51044.
5.2.3.2. Допустимые отклонения значений рефракции для очковых стекол без оправ для одного глаза без корригирующего эффекта должны соответствовать приведенным в
таблице 1.
5.2.3.3. Допустимые отклонения значений рефракции очковых стекол без корригирующего эффекта в оправе и без оправы для двух глаз должны соответствовать приведенным в
таблице 2.
5.2.3.4. Допустимые отклонения значений рефракции покровных стекол должны соответствовать допустимым отклонениям для очковых стекол класса 1, приведенным в
таблицах 1 и
2.
5.2.3.5. Бесцветные и химически стойкие очковые стекла, предназначенные для использования в СИЗ глаз, должны иметь световой коэффициент пропускания свыше 74,4% при проведении измерений с использованием источника типа A с цветовой температурой

= 2856 °К.
5.2.3.6. Закрытые защитные очки, предназначенные для защиты от оптического излучения, должны обеспечивать тот же уровень защиты от оптического излучения, что и заявленный производителем или поставщиком светофильтр защитных очков с любым градационным шифром.
Примечание. Определение градационного шифра - по
В.1 (Приложение В).
5.2.3.7. Допускаемое относительное отклонение значений светового коэффициента пропускания светофильтров без корригирующего эффекта вокруг центра

(правый глаз) и

(левый глаз) не должно превышать значений, приведенных в таблице 3.
Таблица 3
Допускаемое отклонение значений светового коэффициента
пропускания светофильтра без корригирующего эффекта
Световой коэффициент пропускания светофильтра, % | Допускаемое относительное отклонение значений светового коэффициента пропускания, % |
не более | не менее |
100 | 17,8 | +/- 5 |
17,8 | 0,44 | +/- 10 |
0,44 | 0,023 | +/- 15 |
0,023 | 0,0012 | +/- 20 |
0,0012 | 0,000023 | +/- 30 |
Относительная разность значений светового коэффициента пропускания между левым и правым глазами (

) не должна превышать значений, приведенных в
таблице 3, или 20% - в случае их превышения.
5.2.3.8. Корригирующие светофильтры защитных очков должны отвечать требованиям
5.2.3.7 при условии, что световой коэффициент пропускания в любой точке на их поверхности не должен отличаться более чем в 2,68 раза от его значения в оптическом центре светофильтра.
Световые коэффициенты пропускания в ИК- и УФ-областях должны соответствовать требованиям к заданному градационному шифру в каждой точке светофильтра.
5.2.3.9. Максимальное значение приведенного коэффициента яркости

, кд/м2 лк, должно быть для:
- светофильтров для сварки и других тепловых
процессов ................................................. 1,00;
- очковых стекол, используемых для защиты
от воздействия высокоскоростных частиц .................... 0,75;
- всех остальных очковых стекол ....................... 0,50.
5.2.4. Требования к качеству материала и поверхности очкового стекла СИЗ глаз
5.2.4.1. Очковые стекла не должны содержать никаких значительных дефектов, ухудшающих видимость, а именно: пузырей, царапин, посторонних включений, затемнений, точек, следов зачистки, выбоин.
Допускаются дефекты в приграничных областях очкового стекла шириной 5 мм.
5.2.5. Требования к минимальной прочности покровных стекол и светофильтров СИЗ глаз
5.2.5.1. Требования к минимальной прочности покровных стекол и светофильтров не требуют оценки в случае, если они предназначены соответствовать требованиям к повышенной прочности (см.
5.2.6) или требованиям к защите от высокоскоростных частиц (см.
5.3.2).
5.2.5.2. Покровные стекла и светофильтры отвечают требованиям по минимальной прочности, если при испытаниях они выдерживают воздействие стального шарика с номинальным диаметром 22 мм усилием (100 +/- 2) Н.
5.2.5.3. При испытаниях очковых стекол на прочность не допускаются их разрушение или деформация.
Очковое стекло считают разрушенным, если:
- оно раскололось на две или более частей;
- более 5 мг материала стекла отделилось от него после контакта с шариком;
- шарик прошел сквозь очковое стекло.
Очковое стекло считают деформированным, если появляется отметка на белой бумаге со стороны, противоположной направлению приложения усилия.
5.2.6. Требования к повышенной прочности очковых стекол и укомплектованных СИЗ глаз
5.2.6.1. Очковое стекло при испытаниях должно выдерживать удар стальным шариком с номинальным диаметром 22 мм и минимальной массой 43 г, наносимый со среднестатистической скоростью 5,1 м/с. Энергия удара при этом - не более 0,6 Дж.
При проведении испытаний очкового стекла не допускаются дефекты по
5.2.5.3.
5.2.6.2. Укомплектованные СИЗ глаз должны выдерживать боковой и фронтальный удары, нанесенные стальным шариком с заданной скоростью.
Требования к повышенной прочности укомплектованных СИЗ глаз соответствуют приведенным в таблице 4.
Таблица 4
Требования к повышенной прочности укомплектованных СИЗ глаз
Параметры стального шарика | Защитные очки | Защитные лицевые щитки |
открытые | закрытые |
фронталь- ный удар | боковой удар | фронталь- ный удар | боковой удар |
Стальной шарик с номинальным диаметром 22 мм, минимальной массой 43 г, среднестатис- тическим значением скорости 5,1 м/с (не более 0,60 Дж) | + | + | + | + | + |
5.2.6.3. Нанесение удара с помощью шарика на защитные очки с боковой защитой в соответствии с требованиями
5.2.6.2 не должно приводить к сквозному пробиванию боковой защиты в точке нанесения удара.
5.2.6.4. При проведении испытаний очкового стекла не допускаются дефекты по
5.2.5.3 и следующие:
а) разрушение корпуса очкового стекла или оправы. Корпус очкового стекла или оправу считают разрушенными, если:
1) они разделились на две или более частей;
2) они не могут более поддерживать очковое стекло
в заданном положении;
3) если неразрушенное очковое стекло не удерживается
в оправе;
4) шарик прошел насквозь через корпус или оправу;
б) повреждение боковой защиты. Боковую защиту считают поврежденной, если:
1) она распалась по всей толщине на две или более частей;
2) одна или более ее частиц отделилось от поверхности
на некотором расстоянии от точки нанесения удара;
3) она не препятствовала полному проникновению шарика;
4) она частично или полностью отделилась от защитных очков
или отделились ее компоненты.
5.2.7. Требования устойчивости очковых стекол и СИЗ глаз к старению и внешним воздействующим факторам
#5.2.7.1. Покровные стекла, упрочненные, химически стойкие, бесцветные и органические очковые стекла не подлежат проверке требованиям на старение и воздействие внешних факторов.#
Проверке на старение и воздействие внешних факторов подлежат очковые стекла с покрытием-фильтром, светофильтры и ламинированные очковые стекла.
5.2.7.2. Укомплектованное СИЗ глаз должно быть стойким к повышенной температуре (55 +/- 2) °C. После проведения испытаний на стойкость к повышенной температуре СИЗ глаз не должно иметь видимых невооруженным глазом дефектов.
5.2.7.3. Очковые стекла должны быть стойкими к УФ-излучению длин волн не менее 313 нм. После проведения испытаний очковые стекла должны отвечать следующим требованиям:
а) допустимое относительное изменение светового коэффициента пропускания не должно быть больше значений, указанных в таблице 5;
б) максимальные значения понижения яркости не должны быть больше значений, приведенных в
5.2.3.9.
Таблица 5
Допустимое относительное изменение светового
коэффициента пропускания после проведения испытаний
на стойкость к УФ-излучению
Световой коэффициент пропускания, % | Допустимое относительное изменение светового коэффициента пропускания, % |
не менее | не более |
100 | 17,8 | +/- 5 |
17,8 | 0,44 | +/- 10 |
0,44 | 0,023 | +/- 15 |
0,023 | 0,0012 | +/- 20 |
0,0012 | 0,000023 | +/- 30 |
5.2.8. Требования устойчивости СИЗ глаз к коррозии
СИЗ глаз должны быть устойчивы к коррозии. После проведения испытаний на устойчивость к коррозии все металлические части СИЗ глаз должны иметь гладкие поверхности без следов коррозии.
5.2.9. Требования устойчивости СИЗ глаз к воспламенению
СИЗ глаз считают устойчивым к воспламенению, если после проведения испытаний на устойчивость к воспламенению ни одна деталь не горит или не продолжает тлеть после удаления стального стержня, нагретого на длину не менее 30 мм до температуры (650 +/- 20) °C.
5.3. Специальные требования к СИЗ глаз
5.3.1. Требования устойчивости СИЗ глаз к оптическому излучению
#5.3.1.1. Требования к номенклатуре светофильтров, применяемых для защиты СИЗ глаз от различных видов оптического излучения, должны соответствовать установленным в
В.1 (Приложение В) коэффициентам пропускания светофильтров - по
таблицам В.2 -
В.7 (Приложение В).#
5.3.2. Требования устойчивости СИЗ глаз к воздействию высокоскоростных частиц
5.3.2.1. СИЗ глаз, предназначенные для обеспечения защиты от высокоскоростных частиц, должны выдерживать удар стального шарика с номинальным диаметром 6 мм и минимальной массой 0,86 г об очковое стекло и боковую защиту со скоростью, заданной в таблице 6.
Таблица 6
Требования по защите от высокоскоростных частиц
┌───────────────┬────────────────────────────────────────────────┐
│ Тип СИЗ глаз │ Скорость удара шарика │
│ ├───────────────┬───────────────┬────────────────┤
│ │низкоэнергети- │среднеэнергети-│высокоэнергети- │
│ │ческий удар │ческий удар │ческий удар │
│ │ +1,5 │ +3 │ +5 │
│ │(F) 45 , │(B) 120 , │(A) 190 , │
│ │м/с (0,84 Дж) │м/с (5,90 Дж) │м/с (14,90 Дж) │
├───────────────┼───────────────┼───────────────┼────────────────┤
│ Открытые очки │ + │ Не применимо │ Не применимо │
├───────────────┼───────────────┼───────────────┼────────────────┤
│ Закрытые очки │ + │ + │ Не применимо │
├───────────────┼───────────────┼───────────────┼────────────────┤
│ Защитные │ + │ + │ + │
│лицевые щитки │ │ │ │
└───────────────┴───────────────┴───────────────┴────────────────┘
СИЗ глаз, предназначенные для обеспечения защиты от высокоскоростных частиц, должны также отвечать специальным требованиям к повышенной прочности, заданным в
5.2.6.
Шарик не должен пробивать боковую защиту в точке нанесения удара без ее предварительного разрушения.
При проведении испытаний не должны иметь место дефекты по
5.2.6.4.
Примечание. СИЗ глаз, предназначенные для защиты от высокоскоростных частиц, должны обеспечивать боковую защиту.
5.3.3. Требования устойчивости СИЗ глаз к адгезии расплавленных металлов и проникновению горячих твердых тел
СИЗ глаз (закрытые очки и защитные щитки лицевые) обеспечивают защиту от адгезии расплавленного металла и проникновения горячих твердых тел, если:
а) вертикальная центральная линия минимальной зоны обзора смотрового стекла в оправе лицевого щитка равна 150 мм;
б) защитные лицевые щитки закрывают прямоугольную область глаз контрольного макета головы;
в) СИЗ глаз отвечает одному из трех требований по энергии удара, заданных в
5.3.2 (таблица 6);
г) при испытаниях и оценке на отсутствие адгезии расплавленных металлов защитные лицевые щитки предотвращают сцепление расплавленного металла с той областью СИЗ глаз, которая обеспечивает предохранение прямоугольной области глаз контрольного макета головы;
д) при испытаниях на устойчивость к проникновению горячих твердых тел в течение не менее 7 с не происходит полного их проникновения в очковые стекла закрытых очков, а также всех типов оправ;
е) в течение не менее 5 с не происходит полного проникновения в смотровые стекла защитных лицевых щитков.
5.3.4. Требования к защите СИЗ глаз от капель и брызг жидкостей
5.3.4.1. Закрытые защитные очки должны иметь защиту глаз от капель, а защитные лицевые щитки - от брызг жидкости. Результаты испытаний считают положительными, если:
- не появляется никакой розовой или темно-красной окраски в области очковых стекол, определяемой двумя окружностями, при проведении оценки закрытых очков на макете головы. Во внимание не принимается подобная окраска в диапазоне до 6 мм вовнутрь от краев защитных очков;
- защитные лицевые щитки закрывают прямоугольную область глаз контрольного макета головы.
5.3.4.2. Защитные лицевые щитки для защиты от брызг жидкостей должны иметь минимальную зону обзора с вертикальной линии центра 150 мм.
5.3.5. Требования устойчивости СИЗ глаз к грубодисперсным аэрозолям (пыли)
СИЗ глаз считают прошедшими испытания на защиту от грубодисперсных аэрозолей, если отражательная способность после испытаний составляет более 80% ее значения до испытаний по требованиям устойчивости к газам и мелкодисперсным аэрозолям по 5.3.6.
5.3.6. Требования устойчивости СИЗ глаз к газам и мелкодисперсным аэрозолям
СИЗ глаз считают прошедшими испытания на защиту от газов и мелкодисперсных аэрозолей, если после испытаний не появляется розовой или темно-красной окраски на макете головы в области закрытой части СИЗ глаз. Допускается окраска в диапазоне до 6 мм вовнутрь от краев СИЗ глаз.
5.3.7. Требования к защите СИЗ глаз от прямых излучений дуги короткого замыкания и других тепловых процессов
Требования к защите от прямых излучений дуги короткого замыкания и других тепловых процессов предъявляются только к защитным лицевым щиткам.
Смотровые стекла должны иметь толщину не менее 1,4 мм и градационный шифр, равный 2-1,2 или 3-1,2.
Примечание. Минимальная толщина смотрового стекла защитных щитков в 1,4 мм является результатом испытаний ряда материалов, включая поликарбонат, ацетат целлюлозы и пропинат целлюлозы, проводившихся в Германии. Номинальное расстояние между материалом и дугой короткого замыкания во время испытаний составляло 300 мм. Характеристики дуги короткого замыкания: максимальный ток - 12 кА, напряжение питания - от 380 до 400 В, частота тока - 50 Гц, максимальная длительность - 1 с.
5.3.8. Требования к боковой защите СИЗ глаз
Боковая защита СИЗ глаз в процессе испытания должна предотвращать касание концом стержня области удара, обозначенной на контрольном макете головы.
5.4. Дополнительные требования к СИЗ глаз, покровным и очковым стеклам с покрытием-фильтром
5.4.1. Требования к покровным очковым стеклам СИЗ глаз на сопротивление поверхности разрушению мелкодисперсными аэрозолями
5.4.1.1. Покровные очковые стекла, применяемые производителем в СИЗ глаз, должны иметь приведенный коэффициент яркости не более 5 кд/м2 x лк.
Примечание. Данное требование не относится к оценке качества поверхности очкового стекла.
5.4.2. Требования устойчивости к запотеванию очковых стекол СИЗ глаз
При испытаниях очковые стекла, заявленные производителями незапотевающими для использования в СИЗ глаз, должны оставаться незапотевшими не менее 8 с.
Примечание. Это требование не распространяется на оценку стойкости к запотеванию укомплектованных СИЗ глаз.
5.4.3. Требования к очковым стеклам с покрытием-фильтром и смотровым стеклам с повышенной отражательной способностью в ИК-области спектра
Очковые стекла с покрытием-фильтром и смотровые стекла, заявленные производителем как имеющие повышенную отражательную способность в ИК-области спектра, должны иметь среднее значение коэффициента спектрального отражения свыше 60% в пределах диапазона длин волн от 780 до 2000 нм.
5.4.4. Требования к защите СИЗ глаз к воздействию высокоскоростных частиц при экстремальных температурах
5.4.4.1. СИЗ глаз, предназначенные для защиты от высокоскоростных частиц при экстремальных температурах, должны выдерживать удар стального шарика с номинальным диаметром 6 мм и минимальной массой 0,86 г, ударяющего очковые стекла и боковую защиту с одной из скоростей по
таблице 6. Удары производят после выдерживания СИЗ глаз при экстремальных температурах.
5.4.4.2. Боковую защиту считают поврежденной, если она:
- распалась по всей толщине на две или более частей;
- не препятствовала полному проникновению шарика;
- частично или полностью отделилась от средства защиты глаз или отделились ее компоненты;
- одна или более частей отделилась от ее поверхности на некотором расстоянии от точки нанесения удара.
6. Требования к маркировке
6.1.1. Вся маркировка должна быть понятной и стойкой.
6.1.2. Маркировка должна быть полностью видна на собранных укомплектованных средствах защиты глаз и не должна закрывать минимально допустимое поле зрения. Вне этой области маркировка не должна препятствовать видимости при пользовании СИЗ глаз.
6.1.3. Номер настоящего стандарта должен быть нанесен на оправу и корпус, но не на очковое стекло.
6.1.4. Оправа и очковое стекло должны быть маркированы отдельно. Если очковое стекло и оправа являются единым блоком, то на оправу наносят полную маркировку (см.
6.4).
6.2. Маркировка очкового стекла
Маркировка очковых стекол должна содержать соответствующую техническую информацию, представленную в следующем виде:
2- X 1(2,3) S 8 9 K N R 0(V)
Градационный шифр (только │ │ │ │ │ │ │ │ │ │
для очковых стекол с УФ- │ │ │ │ │ │ │ │ │ │
и ИК-светофильтрами) │ │ │ │ │ │ │ │ │ │
────────────────────────────┘ │ │ │ │ │ │ │ │ │
Идентификация изготовителя │ │ │ │ │ │ │ │ │
─────────────────────────────────┘ │ │ │ │ │ │ │ │
Оптический класс (кроме покровных │ │ │ │ │ │ │ │
стекол) │ │ │ │ │ │ │ │
──────────────────────────────────────┘ │ │ │ │ │ │ │
Символ механической прочности │ │ │ │ │ │ │
(где требуется) │ │ │ │ │ │ │
────────────────────────────────────────────┘ │ │ │ │ │ │
Символ устойчивости к излучению дуги │ │ │ │ │ │
короткого замыкания и других тепловых │ │ │ │ │ │
процессов (где требуется) │ │ │ │ │ │
───────────────────────────────────────────────┘ │ │ │ │ │
Символ адгезии расплавленного металла │ │ │ │ │
и сопротивления проникновению горячих частиц │ │ │ │ │
(где требуется) │ │ │ │ │
──────────────────────────────────────────────────┘ │ │ │ │
Символ сопротивляемости поверхностному разрушению │ │ │ │
мелкодисперсными аэрозолями (где требуется) │ │ │ │
─────────────────────────────────────────────────────┘ │ │ │
Символ устойчивости к запотеванию очковых стекол │ │ │
(где требуется) │ │ │
────────────────────────────────────────────────────────┘ │ │
Символ повышенного отражения (где требуется) │ │
───────────────────────────────────────────────────────────┘ │
Символ исходного (замененного) очкового стекла │
(дополнительно) │
───────────────────────────────────────────────────────────────┘
Маркировка очкового стекла дополнительно может включать знак, помогающий правильно вставить ламинированное очковое стекло (см.
6.2.11).
6.2.1. Градационный шифр
Градационный шифр проставляют в соответствии с
таблицей В.1 (Приложение В).
6.2.2. Идентификация изготовителя
Идентификационная метка изготовителя должна состоять из одного и/или более элементов, идентифицирующих изготовителя.
6.2.3. Оптический класс
Один из трех оптических классов, определенных в
5.2.3, должен быть включен в маркировку по
6.2, за исключением покровных стекол, которые всегда должны быть класса 1.
6.2.4. Механическая прочность
Символы, относящиеся к очковым стеклам, подвергнутым различным механическим испытаниям, должны быть включены в маркировку. В таблице 7 представлена идентификация символов.
Таблица 7
Идентификационные символы по механической прочности
Символ | Требование по механической прочности |
Без символа | Минимальная прочность (см. 5.2.5) |
S | Повышенная прочность (см. 5.2.6) |
F | Низкоэнергетический удар (см. 5.3.2) |
B | Среднеэнергетический удар (см. 5.3.2) |
A | Высокоэнергетический удар (см. 5.3.2) |
6.2.5. Устойчивость к излучению дуги короткого замыкания и других тепловых процессов
Очковые стекла, отвечающие требованиям
5.3.7, должны иметь маркировку цифрой 8.
6.2.6. Адгезия расплавленного металла и стойкость к проникновению горячих частиц
Очковые стекла, отвечающие требованиям
5.3.5, должны иметь маркировку цифрой 9.
6.2.7. Устойчивость к поверхностному разрушению мелкодисперсными аэрозолями (пыли)
Очковые стекла, отвечающие требованиям
5.4.1, должны иметь маркировку символом K.
6.2.8. Устойчивость к запотеванию очковых стекол
Очковые стекла, отвечающие требованиям
5.4.2, должны иметь маркировку символом N.
6.2.9. Оригиналы/замененные очковые стекла
Для того чтобы указать, вставлены оригинальные очковые стекла или произведена замена, изготовитель может использовать символ "O" (оригиналы) или "V" (замена).
6.2.10. Устойчивость к воздействию высокоскоростных частиц при экстремальных температурах
Очковые стекла, отвечающие требованиям
5.4.4, должны иметь маркировку одним из символов, связанных с ударом, за которым следует буква T, например FT, BT или AT.
6.2.11. Маркировка ламинированных очковых стекол
Некоторые типы плоских ламинированных очковых стекол могут нуждаться в специальной ориентации в оправе таким образом, чтобы опасное расслаивание было обращено наружу от глаз. Такие очковые стекла маркируют соответствующим знаком на краю, обращенном к носу, на передней поверхности таким образом, чтобы предотвратить неправильное расположение в оправе.
Примеры маркировки очковых стекол
1. Светофильтры для сварки и других тепловых процессов
12 X 1
Градационный шифр │ │ │
───────────────────────────────────────────────────┘ │ │
Идентификация изготовителя │ │
──────────────────────────────────────────────────────────┘ │
Оптический класс │
─────────────────────────────────────────────────────────────────┘
2. Светофильтры с функцией механической прочности для сварки и других тепловых процессов
5 X 2 S
Градационный шифр │ │ │ │
───────────────────────────────────────────────┘ │ │ │
Идентификация изготовителя │ │ │
─────────────────────────────────────────────────────┘ │ │
Оптический класс │ │
───────────────────────────────────────────────────────────┘ │
Символ повышенной прочности │
─────────────────────────────────────────────────────────────────┘
3. УФ-светофильтры
3- 1,7 X 1
Код УФ-светофильтра с хорошей цветопередачей │ │ │ │
─────────────────────────────────────────────────┘ │ │ │
Градационный шифр │ │ │
───────────────────────────────────────────────────────┘ │ │
Идентификация изготовителя │ │
────────────────────────────────────────────────────────────┘ │
Оптический класс │
─────────────────────────────────────────────────────────────────┘
4. УФ-светофильтры с функциями механической прочности и устойчивости к излучению дуги короткого замыкания и других тепловых процессов
2- 1,2 X 2 F 8
Код для УФ-светофильтра │ │ │ │ │ │
──────────────────────────────────────────┤ │ │ │ │ │
Цветопередача │ │ │ │ │ │
──────────────────────────────────────────┘ │ │ │ │ │
Градационный шифр │ │ │ │ │
────────────────────────────────────────────────┘ │ │ │ │
Идентификация изготовителя │ │ │ │
─────────────────────────────────────────────────────┘ │ │ │
Оптический класс │ │ │
─────────────────────────────────────────────────────────┘ │ │
Символ низкоэнергетического удара │ │
─────────────────────────────────────────────────────────────┘ │
Символ устойчивости к излучению дуги короткого замыкания │
─────────────────────────────────────────────────────────────────┘
5. ИК-светофильтры
4- 4 X 1
Код ИК-светофильтров │ │ │ │
────────────────────────────────────────────────────┘ │ │ │
Градационный шифр │ │ │
─────────────────────────────────────────────────────────┘ │ │
Идентификация изготовителя │ │
─────────────────────────────────────────────────────────────┘ │
Оптический класс │
─────────────────────────────────────────────────────────────────┘
6. ИК-светофильтры с функциями механической прочности к адгезии расплавленного металла и устойчивости к проникновению горячих тел
4- 5 X 2 F 9
Код ИК-светофильтра │ │ │ │ │ │
────────────────────────────────────────────┘ │ │ │ │ │
Градационный шифр │ │ │ │ │
─────────────────────────────────────────────────┘ │ │ │ │
Идентификация изготовителя │ │ │ │
─────────────────────────────────────────────────────┘ │ │ │
Оптический класс │ │ │
─────────────────────────────────────────────────────────┘ │ │
Символ низкоэнергетического удара │ │
─────────────────────────────────────────────────────────────┘ │
Символ адгезии расплавленного металла и устойчивости │
к проникновению горячих тел │
─────────────────────────────────────────────────────────────────┘
7. Светофильтры для сварки и других тепловых процессов с усиленным отражением
11 X 1 R
Градационный шифр │ │ │ │
─────────────────────────────────────────────────────┘ │ │ │
Идентификация изготовителя │ │ │
─────────────────────────────────────────────────────────┘ │ │
Оптический класс │ │
─────────────────────────────────────────────────────────────┘ │
Символ усиленного отражения │
─────────────────────────────────────────────────────────────────┘
8. Солнцезащитные светофильтры с функцией механической прочности, оригинальные очковые стекла
6- 2 X 2 S O
Код солнцезащитного светофильтра │ │ │ │ │ │
с ИК требованиями │ │ │ │ │ │
────────────────────────────────────────────┘ │ │ │ │ │
Градационный шифр │ │ │ │ │
─────────────────────────────────────────────────┘ │ │ │ │
Идентификация изготовителя │ │ │ │
─────────────────────────────────────────────────────┘ │ │ │
Оптический класс │ │ │
─────────────────────────────────────────────────────────┘ │ │
Символ повышенной прочности │ │
─────────────────────────────────────────────────────────────┘ │
Оригинальное очковое стекло │
─────────────────────────────────────────────────────────────────┘
9. Защитное очковое стекло без фильтрующего эффекта, замененное очковое стекло
X 1 S V
Идентификация изготовителя │ │ │ │
─────────────────────────────────────────────────────┘ │ │ │
Оптический класс │ │ │
─────────────────────────────────────────────────────────┘ │ │
Символ повышенной прочности │ │
─────────────────────────────────────────────────────────────┘ │
Замена очкового стекла │
─────────────────────────────────────────────────────────────────┘
10. Защитное очковое стекло без фильтрующего эффекта и самым высоким значением механической прочности при экстремальных температурах
X 3 AT
Идентификация изготовителя │ │ │
────────────────────────────────────────────────────┘ │ │
Оптический класс │ │
──────────────────────────────────────────────────────────┘ │
Символ высокоэнергетического удара при экстремальных │
температурах │
─────────────────────────────────────────────────────────────────┘
11. Светофильтр для сварки с функциями механической прочности и устойчивости к поверхностному разрушению мелкодисперсными аэрозолями
1,7 X 2 F K
Градационный шифр │ │ │ │ │
────────────────────────────────────────────────┘ │ │ │ │
Идентификация изготовителя │ │ │ │
─────────────────────────────────────────────────────┘ │ │ │
Оптический класс │ │ │
─────────────────────────────────────────────────────────┘ │ │
Символ низкоэнергетического удара │ │
─────────────────────────────────────────────────────────────┘ │
Символ устойчивости к поверхностному разрушению │
мелкодисперсными аэрозолями │
─────────────────────────────────────────────────────────────────┘
12. Защитное очковое стекло с функцией механической прочности, устойчивости к адгезии расплавленного металла, устойчивости к проникновению горячих тел и запотеванию
X 3 B 9 N
Идентификация изготовителя │ │ │ │ │
─────────────────────────────────────────────────┘ │ │ │ │
Оптический класс │ │ │ │
─────────────────────────────────────────────────────┘ │ │ │
Символ удара средней энергии │ │ │
─────────────────────────────────────────────────────────┘ │ │
Символ устойчивости к адгезии расплавленного металла │ │
и к проникновению горячих тел │ │
─────────────────────────────────────────────────────────────┘ │
Символ устойчивости к запотеванию │
─────────────────────────────────────────────────────────────────┘
13. УФ-светофильтр с функцией механической прочности, устойчивый к поверхностному разрушению мелкодисперсными аэрозолями и запотеванию
3- 2,5 X 1 S K N
Код УФ-светофильтра с хорошей │ │ │ │ │ │ │
цветопередачей │ │ │ │ │ │ │
──────────────────────────────────────┘ │ │ │ │ │ │
Градационный шифр │ │ │ │ │ │
────────────────────────────────────────────┘ │ │ │ │ │
Идентификация изготовителя │ │ │ │ │
─────────────────────────────────────────────────┘ │ │ │ │
Оптический класс │ │ │ │
─────────────────────────────────────────────────────┘ │ │ │
Символ повышенной прочности │ │ │
─────────────────────────────────────────────────────────┘ │ │
Символ устойчивости к поверхностному разрушению │ │
мелкодисперсными аэрозолями │ │
─────────────────────────────────────────────────────────────┘ │
Символ устойчивости к запотеванию │
─────────────────────────────────────────────────────────────────┘
14. Покровное стекло
X
Идентификация изготовителя │
────────────────────────────────────────────────┘
15. Покровное стекло, устойчивое к поверхностному разрушению мелкодисперсными аэрозолями
X K
Идентификация изготовителя │ │
─────────────────────────────────────────────────────────┘ │
Символ устойчивости к поверхностному разрушению │
мелкодисперсными аэрозолями │
─────────────────────────────────────────────────────────────────┘
Маркировка оправ (корпуса) должна содержать техническую информацию, представляемую в следующем виде:
Идентификация изготовителя │ │ │ │ │ │
──────────────────────────────────────────────┘ │ │ │ │ │
Обозначение настоящего стандарта │ │ │ │ │
──────────────────────────────────────────────────┘ │ │ │ │
Область применения (где требуется) │ │ │ │
──────────────────────────────────────────────────────┘ │ │ │
Символ повышенной устойчивости к воздействию │ │ │
высокоскоростных частиц при экстремальных температурах │ │ │
(где требуется) │ │ │
──────────────────────────────────────────────────────────┘ │ │
Символ предназначения СИЗ глаз для головы малого размера │ │
(где требуется) │ │
──────────────────────────────────────────────────────────────┘ │
Наибольший(е) градационный(е) шифр(ы), совместимый(е) с оправой │
(где требуется) │
──────────────────────────────────────────────────────────────────┘
6.3.1. Идентификация изготовителя
Идентификационная отметка изготовителя должна быть включена в представленную маркировку и может состоять из одного или нескольких элементов.
6.3.2. Обозначение настоящего стандарта
Обозначение настоящего стандарта должно быть включено в маркировку в указанном месте и включать четыре цифры: 230.1.
6.3.3. Область применения
Оправы (корпуса) должны иметь маркировку, указывающую область применения. Символ маркировки должен включать одиночный цифровой номер, как показано в таблице 8. Если СИЗ глаз предназначено более чем для одной области применения, то соответствующие номера должны быть расположены последовательно на оправе в порядке возрастания.
Таблица 8
Символы для областей применения
Символ | Обозначение | Описание области применения |
Нет символа | Основное применение | Механические опасности и опасности, возникающие от УФ-, видимого, ИК- и солнечного излучений |
3 | Жидкости | Жидкости (капли или брызги) |
4 | Грубодисперсные аэрозоли | Размер частицы более 5 мкм |
5 | Газ и мелкодисперсные аэрозоли | Частицы газа, пара, спрея, дыма с размером частицы менее 5 мкм |
8 | Дуга короткого замыкания | Тепловое излучение, возникающее при коротком замыкании в электрооборудовании |
9 | Расплавленные металлы и горячие твердые тела | Брызги расплавленного металла и адгезия горячих тел |
6.3.4. Повышенная прочность и устойчивость к воздействию высокоскоростных частиц
Оправы (корпуса), отвечающие требованиям
5.2.6 и
5.3.2, должны иметь маркировку соответствующими символами, представленными в таблице 9.
Таблица 9
Символы для маркировки оправ с повышенной прочностью
и воздействию высокоскоростных частиц
┌──────────────────────┬─────────────────────────────────────────┐
│ Символ │ Описание уровня удара │
├──────────────────────┼─────────────────────────────────────────┤
│ S │ Повышенная прочность │
├──────────────────────┼─────────────────────────────────────────┤
│ F │ Низкоэнергетический удар │
├──────────────────────┼─────────────────────────────────────────┤
│ B │ Среднеэнергетический удар │
├──────────────────────┼─────────────────────────────────────────┤
│ A │ Высокоэнергетический удар │
├──────────────────────┴─────────────────────────────────────────┤
│ Примечания. 1. Символы S и F допускается применять для всех│
│типов средств защиты глаз. │
│ 2. Символ B допускается применять только для закрытых очков│
│и защитных лицевых щитков. │
│ 3. Символ A допускается применять только для защитных│
│лицевых щитков. │
└────────────────────────────────────────────────────────────────┘
6.3.5. Стойкость к высокоскоростным частицам при экстремальной температуре
Оправы (корпуса), отвечающие требованиям
5.4.4, должны иметь маркировку одним из символов, относящимся к удару, за которым следует буква T, например FT, BT или AT.
6.3.6. Оправы (корпуса), сконструированные для головы малого размера
Если оправа (корпус) сконструирована для головы малого размера, она должна иметь маркировку буквой H.
6.3.7. Наивысший градационный шифр очкового стекла
Оправы (корпуса), предназначенные для защиты от оптического излучения, должны иметь маркировку с максимальным градационным шифром светофильтра, совместимого с оправой.
Примеры оправ (корпуса)
1. Маркировка оправы (корпуса) для защиты от жидкостей (капель или брызг)
X ZZ 3 S
Идентификация изготовителя │ │ │ │
────────────────────────────────────────────────────┘ │ │ │
Обозначение настоящего стандарта │ │ │
─────────────────────────────────────────────────────────┘ │ │
Символ для жидкости │ │
─────────────────────────────────────────────────────────────┘ │
Символ повышенной устойчивости │
─────────────────────────────────────────────────────────────────┘
2. Маркировка оправы (корпуса) для защиты от грубодисперсных аэрозолей
X ZZ 4 S
Идентификация изготовителя │ │ │ │
────────────────────────────────────────────────────┘ │ │ │
Обозначение настоящего стандарта │ │ │
─────────────────────────────────────────────────────────┘ │ │
Символ для грубодисперсных аэрозолей │ │
─────────────────────────────────────────────────────────────┘ │
Символ повышенной устойчивости │
─────────────────────────────────────────────────────────────────┘
Примечание. На месте символов 3 и 4 в вышеприведенных примерах должны использоваться символы для обозначения оправ (корпусов) с защитой от газа и мелкодисперсных аэрозолей - 5, дуги короткого замыкания - 8 и расплавленного металла и горячих тел - 9.
3. Маркировка оправы (корпуса) для защиты от солнечного излучения и сконструированной для головы малого размера
X ZZ S H
Идентификация изготовителя │ │ │ │
────────────────────────────────────────────────────┘ │ │ │
Обозначение настоящего стандарта │ │ │
─────────────────────────────────────────────────────────┘ │ │
Символ повышенной устойчивости │ │
─────────────────────────────────────────────────────────────┘ │
Символ головы малого размера │
─────────────────────────────────────────────────────────────────┘
Примечание. Пример маркировки, представленный выше, также применим к оправам (корпусам) основного применения и очковым оправам для защиты от УФ- и/или ИК-излучений.
4. Маркировка оправы (корпуса) для защиты от УФ-излучения
X ZZ S 2,5/3,5
Идентификация изготовителя │ │ │ │
──────────────────────────────────────────────┘ │ │ │
Обозначение настоящего стандарта │ │ │
───────────────────────────────────────────────────┘ │ │
Символ повышенной устойчивости │ │
───────────────────────────────────────────────────────┘ │
Наивысший градационный шифр очкового стекла, │
совместимого с этой оправой (корпусом) │
──────────────────────────────────────────────────────────────┘
Примечание. Эта маркировка применима к закрытым очкам или оправам (корпусам), защитным лицевым щиткам, предназначенным для использования с УФ-светофильтром (с хорошей цветопередачей или без хорошей цветопередачи) до градационного числа 2,5 или 3,5.
5. Маркировка оправы (корпуса) для защиты от высокоскоростных частиц
X ZZ F
Идентификация изготовителя │ │ │
────────────────────────────────────────────────────┘ │ │
Обозначение настоящего стандарта │ │
───────────────────────────────────────────────────────────┘ │
Символ низкоэнергетического удара │
─────────────────────────────────────────────────────────────────┘
Примечание. На месте символа F в вышеприведенном примере символ B применим для маркировки оправы (корпуса), используемой для защиты от высокоскоростных частиц со средней энергией удара, а символ A для маркировки оправы, используемой для защиты от высокоскоростных частиц с высокой энергией удара. Кроме того, если оправа (корпус) предназначена для защиты от высокоскоростных частиц при экстремальных температурах, за символом удара следует буква T, т.е. FT, BT или AT.
6. Маркировка оправы (корпуса), предназначенной для нескольких областей применения
Оправы средств защиты глаз могут быть промаркированы таким образом, чтобы показать несколько областей применения и указать защиту от высокоскоростных частиц. Следующий пример представляет маркировку оправы для защиты от жидкостей, грубодисперсных аэрозолей, расплавленного металла и горячих тел, высокоскоростных частиц со среднеэнергетическим ударом при экстремальной температуре.
X ZZ 3 4 9 BT
Идентификация изготовителя │ │ │ │ │ │
───────────────────────────────────────────┘ │ │ │ │ │
Обозначение настоящего стандарта │ │ │ │ │
────────────────────────────────────────────────┘ │ │ │ │
Символ для жидкости │ │ │ │
────────────────────────────────────────────────────┘ │ │ │
Символ грубодисперсных аэрозолей │ │ │
────────────────────────────────────────────────────────┘ │ │
Символ расплавленного металла и горячих частиц │ │
────────────────────────────────────────────────────────────┘ │
Символ для среднеэнергетического удара при экстремальных │
температурах │
─────────────────────────────────────────────────────────────────┘
6.4. Маркировка средств защиты глаз для случая, когда оправа и очковое стекло представляют единый блок
На СИЗ глаз, в которых оправа и очковое стекло образуют единый блок, маркировку наносят на оправе.
Маркировка должна включать полную маркировку очкового стекла, дефис, номер настоящего стандарта и затем символ, соответствующий области применения и уровню удара.
Пример. Обозначение единого блока защитных очков с ИК-светофильтром, устойчивому к низкоэнергетическому удару, адгезии расплавленного металла и проникновению горячих тел, с оправой, обеспечивающей защиту от жидкости, расплавленных металлов и горячих тел, устойчивой к низкоэнергетическому удару.
4- 4 X 2 F 9 -ZZ 3 9 F
Код для ИК-светофильтров │ │ │ │ │ │ │ │ │ │
───────────────────────────┘ │ │ │ │ │ │ │ │ │
Градационный шифр │ │ │ │ │ │ │ │ │
────────────────────────────────┘ │ │ │ │ │ │ │ │
Идентификация изготовителя │ │ │ │ │ │ │ │
───────────────────────────────────┘ │ │ │ │ │ │ │
Оптический класс │ │ │ │ │ │ │
───────────────────────────────────────┘ │ │ │ │ │ │
Символ для низкоэнергетического удара │ │ │ │ │ │
───────────────────────────────────────────┘ │ │ │ │ │
Символ для расплавленных частиц и горячих │ │ │ │ │
твердых частиц │ │ │ │ │
───────────────────────────────────────────────┘ │ │ │ │
Обозначение настоящего стандарта │ │ │ │
────────────────────────────────────────────────────┘ │ │ │
Символ для жидкостей │ │ │
─────────────────────────────────────────────────────────┘ │ │
Символ для расплавленных металлов и горячих твердых частиц │ │
─────────────────────────────────────────────────────────────┘ │
Символ для низкоэнергетического удара │
─────────────────────────────────────────────────────────────────┘
7.1. СИЗ глаз следует укладывать в полиэтиленовый пакет, пластмассовую или картонную коробку или футляр вместе с информацией, поставляемой изготовителем по
разделу 9.
7.2. СИЗ глаз в пакетах, коробках или футлярах следует укладывать в упаковочную единицу, на этикетке которой необходимо указывать:
- товарный знак предприятия-изготовителя;
- наименование типа СИЗ глаз;
- обозначение настоящего стандарта;
- год и месяц выпуска.
7.3. Упаковочные единицы с защитными очками и/или защитными щитками следует укладывать в ящики из гофрированного картона по
ГОСТ 9142.
Примечание. При упаковке в ящики из гофрированного картона по
ГОСТ 9142 допускается укладывать защитные очки и/или щитки в пластмассовые или картонные коробки и футляры непосредственно в ящик (без упаковочной единицы).
Допускается укладывать в древесно-волокнистые или дощатые ящики по
ГОСТ 2991,
ГОСТ 5959. Деревянные ящики следует выкладывать внутри влагонепроницаемой бумагой по
ГОСТ 8828. Масса брутто не должна превышать 50 кг.
7.4. Допускается применение тары, изготовленной по технической документации предприятия - изготовителя СИЗ глаз.
7.5. В каждый ящик вкладывают упаковочный лист с указанием наименований изделий, количества упакованных изделий, даты упаковки, а также условного номера упаковщика.
8. Требования к транспортированию и хранению
8.1. Маркировка транспортной тары - по
ГОСТ 14192 с нанесением манипуляционных знаков "Осторожно! Хрупкое".
Способ нанесения манипуляционных знаков, шрифт надписей и знаков устанавливает предприятие - изготовитель СИЗ глаз.
8.2. Продукция транспортируется всеми видами транспорта в соответствии с правилами перевозки грузов, действующими на каждом виде транспорта.
Транспортирование СИЗ глаз - по группе условий хранения 5(ОЖ4) (
ГОСТ 15150), при этом ящики из гофрированного картона транспортируют только в контейнерах.
8.3. Хранение СИЗ глаз - по группе условий хранения 1(Л) (
ГОСТ 15150). Не допускается хранить СИЗ глаз в одном помещении с веществами, вызывающими коррозию металлических, порчу резиновых или пластмассовых конструктивных элементов СИЗ глаз.
9. Требования к информации, поставляемой изготовителем
Изготовитель должен предоставлять с каждым СИЗ глаз, сменным очковым стеклом и сменной оправой следующую информацию:
а) наименование и адрес изготовителя;
б) обозначение настоящего стандарта;
в) обозначение модели СИЗ глаз;
г) инструкции по хранению, использованию и уходу;
д) специальные инструкции для чистки и дезинфекции;
е) подробную область применения, способы защиты и рабочие характеристики;
ж) описание принадлежностей и запасных частей. Инструкции по сборке следует прикладывать к СИЗ глаз и/или запасным частям и принадлежностям;
и) окончание срока годности (или долговечности, при необходимости) для укомплектованных СИЗ глаз и/или его компонентов;
к) тип упаковки для транспортирования, указание манипуляционных знаков (при необходимости);
л) важность маркировки на оправе или очковом стекле;
м) предупреждение о том, что оптический класс очковых стекол 3 не предназначен для долгосрочного применения, по необходимости;
н) предупреждение о соответствии маркировки (см.
А.2 -
А.5, Приложение А);
п) предупреждение о том, что материалы, контактирующие с кожей человека, могут вызывать аллергическую реакцию при индивидуальной чувствительности;
р) предупреждение о том, что очковые стекла с царапинами и повреждениями подлежат замене;
с) предупреждение о том, что очки защитные от высокоскоростных частиц, одетые поверх стандартных корригирующих очков, могут передать удар, вызвав опасность для человека;
т) примечание о том, что в случае необходимости защиты от высокоскоростных частиц при экстремальных температурах выбранные защитные очки должны иметь маркировку с буквой T, следующей сразу же после буквы, обозначающей удар, например FT, BT или AT. Если за буквой, обозначающей удар, не следует буква T, то эти защитные очки предназначены только для защиты от частиц, движущихся с большой скоростью при комнатной температуре.
(справочное)
ПРИМЕНЕНИЕ ТИПОВ СИЗ ГЛАЗ В ЗАВИСИМОСТИ
ОТ ФУНКЦИИ СИЗ ГЛАЗ В ОБЕСПЕЧЕНИИ ЗАЩИТЫ
А.1. Применение типов СИЗ глаз в зависимости от функции СИЗ глаз в обеспечении защиты показано в таблице А.1.
Таблица А.1
Применение типов СИЗ глаз в зависимости
от функции СИЗ глаз в обеспечении защиты
┌───────────────────┬────────┬─────────┬─────────────────────────┐
│ Функция СИЗ глаз │ Символ │Номер │ Тип СИЗ глаз │
│ в обеспечении │ │пункта │ │
│ защиты │ │настояще-├────────┬────────┬───────┤
│ │ │го стан- │открытые│закрытые│лицевые│
│ │ │дарта │ очки │ очки │ очки │
├───────────────────┼────────┼─────────┼────────┼────────┼───────┤
│Основное применение│ Без │ │ + │ + │ + │
│ │символа │ │ │ │ │
├───────────────────┼────────┼─────────┼────────┼────────┼───────┤
│ Повышенная │ S │
5.2.6 │ + │ + │ + │
│ прочность │ │ │ │ │ │
├───────────────────┼────────┼─────────┼────────┼────────┼───────┤
│ Оптическое │ b │
5.3.1 │ + │ + │ + │
│ излучение │ │ │ │ │ │
├──────────┬────────┼────────┼─────────┼────────┼────────┼───────┤
│Высоко- │Низко- │ F │
5.3.2 │ + │ + │ + │
│скоростные│энерге- │ │ │ │ │ │
│частицы │тический│ │ │ │ │ │
│ │удар │ │ │ │ │ │
│ ├────────┼────────┼─────────┼────────┼────────┼───────┤
│ │Средне- │ B │
5.3.2 │ 0 │ + │ + │
│ │энерге- │ │ │ │ │ │
│ │тический│ │ │ │ │ │
│ │удар │ │ │ │ │ │
│ ├────────┼────────┼─────────┼────────┼────────┼───────┤
│ │Высоко- │ A │
5.3.2 │ 0 │ 0 │ + │
│ │энерге- │ │ │ │ │ │
│ │тический│ │ │ │ │ │
│ │удар │ │ │ │ │ │
├──────────┴────────┼────────┼─────────┼────────┼────────┼───────┤
│ Капли жидкости │ 3 │
5.3.4.1 │ 0 │ + │ 0 │
├───────────────────┼────────┼─────────┼────────┼────────┼───────┤
│ Брызги жидкости │ 3 │
5.3.4.2 │ 0 │ 0 │ + │
├───────────────────┼────────┼─────────┼────────┼────────┼───────┤
│ Грубодисперсные │ 4 │
5.3.5 │ 0 │ + │ 0 │
│ аэрозоли │ │ │ │ │ │
├───────────────────┼────────┼─────────┼────────┼────────┼───────┤
│Газ и мелкодиспер- │ 5 │
5.3.6 │ 0 │ + │ 0 │
│сные аэрозоли │ │ │ │ │ │
├───────────────────┼────────┼─────────┼────────┼────────┼───────┤
│ Излучение дуги │ 8 │
5.3.7 │ 0 │ 0 │ + │
│короткого замыкания│ │ │ │ │ │
│ и других тепловых │ │ │ │ │ │
│ процессов │ │ │ │ │ │
├───────────────────┼────────┼─────────┼────────┼────────┼───────┤
│ Расплавленный │ 9 │
5.3.3 │ 0 │ + │ + │
│ металл и горячие │ │ │ │ │ │
│ частицы │ │ │ │ │ │
├───────────────────┼────────┼─────────┼────────┼────────┼───────┤
│ Высокоскоростные │ T │
5.4.4 │ g │ g │ g │
│ частицы при │ │ │ │ │ │
│ экстремальных │ │ │ │ │ │
│ температурах │ │ │ │ │ │
├───────────────────┴────────┴─────────┴────────┴────────┴───────┤
│ Примечание. Знак "+" означает, что применение разрешено,│
│"0" - применение запрещено; "g" - символ T используется вместе│
│с одним из символов F, B или A для того, чтобы показать, что│
│данные СИЗ глаз и лица соответствуют требованиям для│
│высокоскоростных частиц при экстремальных температурах. │
└────────────────────────────────────────────────────────────────┘
А.2. Символ оптического излучения b состоит из градационного шифра, определенного в
Приложении В для различных типов светофильтров (сварочных, УФ-, ИК- и солнцезащитных), и наносится на очковое стекло. Если защита от оптического излучения является единственным требованием по применению, то от оправы требуется только соответствие требованиям по основному применению. Оправы (корпуса), по применению, следует маркировать максимально.
А.3. Если символы F, B и A не являются общими для очкового стекла и оправы, то для укомплектованного СИЗ глаз назначают самое низкое значение.
А.4. Для того, чтобы лицевой щиток соответствовал области применения с символом 8, его следует снабжать светофильтром с градационным шифром 2-1,2 или 3-1,2 и минимальная толщина должна быть 1,4 мм.
А.5. Для того, чтобы СИЗ глаз соответствовали области применения с символом 9, и оправа (корпус), и очковое стекло должны иметь маркировку с этим символом и одним из символов F, B или A.
(обязательное)
СПЕКТРАЛЬНЫЕ ФУНКЦИИ ДЛЯ РАСЧЕТА
СВЕТОВОГО КОЭФФИЦИЕНТА ПРОПУСКАНИЯ

#Таблица Б.1
Спектральные функции для расчета
светового коэффициента пропускания

#
┌────────────────────────────────┬───────────────────────────────┐
│ │ D │
│ │ 65 │
│ Длина волны лямбда, нм │ Фи (лямбда)V(лямбда) │
│ │ лямбда │
├────────────────────────────────┼───────────────────────────────┤
│ 380 │ 0 │
├────────────────────────────────┼───────────────────────────────┤
│ 390 │ 0,0005 │
├────────────────────────────────┼───────────────────────────────┤
│ 400 │ 0,0031 │
├────────────────────────────────┼───────────────────────────────┤
│ 410 │ 0,0104 │
├────────────────────────────────┼───────────────────────────────┤
│ 420 │ 0,0354 │
├────────────────────────────────┼───────────────────────────────┤
│ 430 │ 0,0952 │
├────────────────────────────────┼───────────────────────────────┤
│ 440 │ 0,2283 │
├────────────────────────────────┼───────────────────────────────┤
│ 450 │ 0,4207 │
├────────────────────────────────┼───────────────────────────────┤
│ 460 │ 0,6688 │
├────────────────────────────────┼───────────────────────────────┤
│ 470 │ 0,9894 │
├────────────────────────────────┼───────────────────────────────┤
│ 480 │ 1,5245 │
├────────────────────────────────┼───────────────────────────────┤
│ 490 │ 2,1415 │
├────────────────────────────────┼───────────────────────────────┤
│ 500 │ 3,3438 │
├────────────────────────────────┼───────────────────────────────┤
│ 510 │ 5,1311 │
├────────────────────────────────┼───────────────────────────────┤
│ 520 │ 7,0412 │
├────────────────────────────────┼───────────────────────────────┤
│ 530 │ 8,7851 │
├────────────────────────────────┼───────────────────────────────┤
│ 540 │ 9,4248 │
├────────────────────────────────┼───────────────────────────────┤
│ 550 │ 9,7922 │
├────────────────────────────────┼───────────────────────────────┤
│ 560 │ 9,4156 │
├────────────────────────────────┼───────────────────────────────┤
│ 570 │ 8,6754 │
├────────────────────────────────┼───────────────────────────────┤
│ 580 │ 7,8870 │
├────────────────────────────────┼───────────────────────────────┤
│ 590 │ 6,3540 │
├────────────────────────────────┼───────────────────────────────┤
│ 600 │ 5,3740 │
├────────────────────────────────┼───────────────────────────────┤
│ 610 │ 4,2648 │
├────────────────────────────────┼───────────────────────────────┤
│ 620 │ 3,1619 │
├────────────────────────────────┼───────────────────────────────┤
│ 630 │ 2,0889 │
├────────────────────────────────┼───────────────────────────────┤
│ 640 │ 1,3861 │
├────────────────────────────────┼───────────────────────────────┤
│ 650 │ 0,8100 │
├────────────────────────────────┼───────────────────────────────┤
│ 660 │ 0,4629 │
├────────────────────────────────┼───────────────────────────────┤
│ 670 │ 0,2492 │
├────────────────────────────────┼───────────────────────────────┤
│ 680 │ 0,1260 │
├────────────────────────────────┼───────────────────────────────┤
│ 690 │ 0,0541 │
├────────────────────────────────┼───────────────────────────────┤
│ 700 │ 0,0278 │
├────────────────────────────────┼───────────────────────────────┤
│ 710 │ 0,0148 │
├────────────────────────────────┼───────────────────────────────┤
│ 720 │ 0,0058 │
├────────────────────────────────┼───────────────────────────────┤
│ 730 │ 0,0033 │
├────────────────────────────────┼───────────────────────────────┤
│ 740 │ 0,0014 │
├────────────────────────────────┼───────────────────────────────┤
│ 750 │ 0,0006 │
├────────────────────────────────┼───────────────────────────────┤
│ 760 │ 0,0004 │
├────────────────────────────────┼───────────────────────────────┤
│ 770 │ 0 │
├────────────────────────────────┼───────────────────────────────┤
│ 780 │ 0 │
├────────────────────────────────┼───────────────────────────────┤
│ Сумма │ 100 │
└────────────────────────────────┴───────────────────────────────┘
(обязательное)
ТРЕБОВАНИЯ К НОМЕНКЛАТУРЕ, КОЭФФИЦИЕНТАМ ПРОПУСКАНИЯ
И ОБОЗНАЧЕНИЮ СВЕТОФИЛЬТРОВ
В.1. Характеристики пропускания светофильтров представлены градационным шифром. Градационный шифр - это комбинация шкального номера и класса защиты (номера затенения), объединенных тире, где:
- шкальный номер обозначает тип светофильтра, за исключением светофильтров для сварки, для которых шкальный номер не предусмотрен;
- класс защиты (градационный шифр) вычисляют по формуле

, (В.1)
где

- световой коэффициент пропускания.
В таблице В.1 представлена номенклатура светофильтров и их градационные шифры.
Таблица В.1
Номенклатура светофильтров и их градационные шифры
┌─────────────┬────────────────────┬─────────┬───────────────────┐
│Светофильтры │ УФ-светофильтры │ИК-свето-│ Солнцезащитные │
│ для сварки │ │фильтр │ светофильтры │
├─────────────┼─────────┬──────────┼─────────┼──────────┬────────┤
│ - │шкальный │ шкальный │шкальный │ шкальный │шкальный│
│ │ номер 2 │ номер 3 │ номер 4 │ номер 5 │номер 6 │
├─────────────┴─────────┴──────────┴─────────┴──────────┴────────┤
│ градационный шифр │
├─────────────┬─────────┬──────────┬─────────┬──────────┬────────┤
│ 1,2 │ 2-1,2 │ 3-1,2 │ 4-1,2 │ 5-1,1 │ 6-1,1 │
│ 1,4 │ 2-1,4 │ 3-1,4 │ 4-1,4 │ 5-1,4 │ 6-1,4 │
│ 1,7 │ │ 3-1,7 │ 4-1,7 │ 5-1,7 │ 6-1,7 │
│ 2 │ │ 3-2 │ 4-2 │ 5-2 │ 6-2 │
│ 2,5 │ │ 3-2,5 │ 4-2,5 │ 5-2,5 │ 6-2,5 │
│ 3 │ │ 3-3 │ 4-3 │ 5-3,1 │ 6-3,1 │
│ 4 │ │ 3-4 │ 4-4 │ 5-4,1 │ 6-4,1 │
│ 4а │ │ │ │ │ │
│ 5 │ │ 3-5 │ 4-5 │ │ │
│ 5а │ │ │ │ │ │
│ 6 │ │ │ 4-6 │ │ │
│ 6а │ │ │ │ │ │
│ 7 │ │ │ 4-7 │ │ │
│ 7а │ │ │ │ │ │
│ 8 │ │ │ 4-8 │ │ │
│ 9 │ │ │ 4-9 │ │ │
│ 10 │ │ │ 4-10 │ │ │
│ 11 │ │ │ │ │ │
│ 12 │ │ │ │ │ │
│ 13 │ │ │ │ │ │
│ 14 │ │ │ │ │ │
│ 15 │ │ │ │ │ │
│ 16 │ │ │ │ │ │
├─────────────┴─────────┴──────────┴─────────┴──────────┴────────┤
│ Примечание. Характеристики светофильтров: │
│ без шкального номера - сварочные светофильтры; │
│ шкальный номер 2 - УФ-светофильтр, передача цвета может быть│
│искажена; │
│ шкальный номер 3 - УФ-светофильтр, хорошая передача цвета; │
│ шкальный номер 4 - ИК-светофильтр; │
│ шкальный номер 5 - солнцезащитный светофильтр без│
│нормирования требований к ИК-излучению; │
│ шкальный номер 6 - солнцезащитный светофильтр с│
│нормированием требований по ИК-излучению. │
└────────────────────────────────────────────────────────────────┘
#В.2. Специальные и дополнительные требования к пропусканию светофильтров для сварки и других тепловых процессов
В.2.1. Коэффициенты пропускания светофильтров, используемых в СИЗ глаз для защиты от излучения при сварочных и других тепловых процессах, должны соответствовать специальным требованиям, приведенным в таблицах В.2,
В.7, и дополнительным требованиям по
В.2.2.
Таблица В.2
Требования к коэффициентам пропускания светофильтров
для сварки и других тепловых процессов
┌─────┬────────────────────────────────┬─────────────────┬───────┐
│Гра- │ Максимальное значение │Значение свето- │Макси- │
│да- │ спектрального коэффициента │вого коэффициента│мальное│
│цион-│пропускания в УФ-области спектра│пропускания │среднее│
│ный │ тау , % │тау , % │пропус-│
│шифр │ лямбда │ ню │кание в│
│ │ │ │ИК-об- │
│ │ │ │ласти │
│ │ │ │спект- │
│ │ │ │ра, % │
│ ├────────────────┬───────────────┼────────┬────────┼───────┤
│ │лямбда = 313 нм │лямбда = 365 нм│не более│не менее│лямбда │
│ │ │ │ │ │от 780 │
│ │ │ │ │ │ до │
│ │ │ │ │ │1400 нм│
│ │ │ │ │ │включ. │
├─────┼────────────────┼───────────────┼────────┼────────┼───────┤
│ 1,2 │ 0,0003 │ 50 │ 100 │ 74,4 │ 69 │
├─────┼────────────────┼───────────────┼────────┼────────┼───────┤
│ 1,4 │ 0,0003 │ 35 │ 74,4 │ 58,1 │ 52 │
├─────┼────────────────┼───────────────┼────────┼────────┼───────┤
│ 1,7 │ 0,0003 │ 22 │ 58,1 │ 43,2 │ 40 │
├─────┼────────────────┼───────────────┼────────┼────────┼───────┤
│ 2,0 │ 0,0003 │ 14 │ 43,2 │ 29,1 │ 28 │
├─────┼────────────────┼───────────────┼────────┼────────┼───────┤
│ 2,5 │ 0,0003 │ 6,1 │ 29,1 │ 17,8 │ 15 │
├─────┼────────────────┼───────────────┼────────┼────────┼───────┤
│ 3 │ 0,0003 │ 2,8 │ 17,8 │ 8,5 │ 12 │
├─────┼────────────────┼───────────────┼────────┼────────┼───────┤
│ 4 │ 0,0003 │ 0,95 │ 8,5 │ 3,2 │ 6,4 │
├─────┼────────────────┼───────────────┼────────┼────────┼───────┤
│ 5 │ 0,0003 │ 0,30 │ 3,2 │ 1,2 │ 3,2 │
├─────┼────────────────┼───────────────┼────────┼────────┼───────┤
│ 6 │ 0,0003 │ 0,10 │ 1,2 │ 0,44 │ 1,7 │
├─────┼────────────────┼───────────────┼────────┼────────┼───────┤
│ 7 │ 0,0003 │ 0,05 │ 0,44 │ 0,16 │ 0,81 │
├─────┼────────────────┼───────────────┼────────┼────────┼───────┤
│ 8 │ 0,0003 │ 0,025 │ 0,16 │ 0,061 │ 0,43 │
├─────┼────────────────┼───────────────┼────────┼────────┼───────┤
│ 9 │ 0,0003 │ 0,012 │ 0,061 │ 0,023 │ 0,20 │
├─────┼────────────────┼───────────────┼────────┼────────┼───────┤
│ 10 │ 0,0003 │ 0,006 │ 0,023 │ 0,0085 │ 0,10 │
├─────┼────────────────┼───────────────┼────────┼────────┼───────┤
│ 11 │ 0,0003 │ 0,0032 │ 0,0085 │ 0,0032 │ 0,05 │
├─────┼────────────────┼───────────────┼────────┼────────┼───────┤
│ 12 │ 0,0003 │ 0,0012 │ 0,0032 │ 0,0012 │ 0,027 │
├─────┼────────────────┼───────────────┼────────┼────────┼───────┤
│ 13 │ 0,0003 │ 0,00044 │ 0,0012 │0,00041 │ 0,014 │
├─────┼────────────────┼───────────────┼────────┼────────┼───────┤
│ 14 │ 0,00016 │ 0,00016 │0,00041 │0,00016 │ 0,007 │
├─────┼────────────────┼───────────────┼────────┼────────┼───────┤
│ 15 │ 0,000061 │ 0,000061 │0,00016 │0,000061│ 0,003 │
├─────┼────────────────┼───────────────┼────────┼────────┼───────┤
│ 16 │ 0,000023 │ 0,000023 │0,000061│0,000023│ 0,003 │
├─────┴────────────────┴───────────────┴────────┴────────┴───────┤
│ Примечания. 1. лямбда - длина волны, нм. │
│ 2. Спектральный коэффициент пропускания тау приведен│
│ лямбда │
│для источника типа A с T = 2856 °К. │
│ с │
│ 3. Пропускание для ИК-области спектра определяют│
│интегрированием спектральных данных. │
└────────────────────────────────────────────────────────────────┘
В.2.2. Коэффициенты пропускания светофильтров для сварки и других тепловых процессов должны соответствовать следующим дополнительным требованиям:
- спектральный коэффициент пропускания

для длин волн от 210 до 313 нм должен быть не более значений

, указанных в
таблице В.2 для

= 313 нм;
- спектральный коэффициент пропускания

для длин волн от 313 до 365 нм должен быть не более значений

, указанных в
таблице В.2 для

= 365 нм;
- спектральный коэффициент пропускания

для длин волн от 365 до 400 нм должен быть не более значений

, указанных в
таблице В.2;
- спектральный коэффициент пропускания

для длин волн от 400 до 480 нм должен быть не более значений

, указанных в
таблице В.2.
В.3. Специальные и дополнительные требования к пропусканию светофильтров для защиты от УФ-излучения
В.3.1. Коэффициенты пропускания УФ-светофильтров, используемых в СИЗ глаз для защиты от УФ-излучения, должны соответствовать специальным требованиям, приведенным в таблице В.3, и дополнительным требованиям по
В.3.2.
Таблица В.3
Требования к коэффициентам пропускания УФ-светофильтров
┌─────┬────────────────────────────────┬─────────────────┬───────┐
│Гра- │ Максимальное значение │Значение свето- │Пропус-│
│да- │ спектрального коэффициента │вого коэффициента│кание в│
│цион-│пропускания в УФ-области спектра│пропускания │ИК-об- │
│ный │ тау , % │тау , % │ласти │
│шифр │ лямбда │ ню │спект- │
│ ├────────────────┬───────────────┼────────┬────────┤ра, % │
│ │лямбда = 313 нм │лямбда = 365 нм│не более│не менее│ │
├─────┼────────────────┼───────────────┼────────┼────────┼───────┤
│2-1,2│ 0,0003 │ 10 │ 100 │ 74,4 │Не оп- │
├─────┼────────────────┼───────────────┼────────┼────────┤реде- │
│2-1,4│ 0,0003 │ 9 │ 74,4 │ 58,1 │лено │
├─────┼────────────────┼───────────────┼────────┼────────┤ │
│2-1,7│ 0,0003 │ 7 │ 58,1 │ 43,2 │ │
├─────┼────────────────┼───────────────┼────────┼────────┤ │
│ 2-2 │ 0,0003 │ 5 │ 43,2 │ 29,1 │ │
├─────┼────────────────┼───────────────┼────────┼────────┤ │
│2-2,5│ 0,0003 │ 3 │ 29,1 │ 17,8 │ │
├─────┼────────────────┼───────────────┼────────┼────────┤ │
│ 2-3 │ 0,0003 │ 2 │ 17,8 │ 8,5 │ │
├─────┼────────────────┼───────────────┼────────┼────────┤ │
│ 2-4 │ 0,0003 │ 0,8 │ 8,5 │ 3,2 │ │
├─────┼────────────────┼───────────────┼────────┼────────┤ │
│ 2-5 │ 0,0003 │ 0,3 │ 3,2 │ 1,2 │ │
├─────┴────────────────┴───────────────┴────────┴────────┴───────┤
│ Примечания. 1. лямбда - длина волны излучения, нм. │
│ 2. Спектральный коэффициент пропускания тау приведен│
│ лямбда │
│для источника типа A с T = 2856 °К. │
│ с │
└────────────────────────────────────────────────────────────────┘
В.3.2. Коэффициенты пропускания УФ-светофильтров должны соответствовать следующим дополнительным требованиям:
- спектральный коэффициент пропускания

для длин волн от 210 до 313 нм должен быть не более значений

, указанных в
таблице В.3 для

= 313 м;
- спектральный коэффициент пропускания

для длин волн от 313 до 365 нм должен быть не более значений

, указанных в
таблице В.3 для

= 365 нм;
- спектральный коэффициент пропускания

для длин волн от 365 до 405 нм должен быть не более значений

, указанных в
таблице В.3.
В.4. Специальные и дополнительные требования к пропусканию светофильтров для защиты от ИК-излучения
В.4.1. Коэффициенты пропускания ИК-светофильтров, используемых в СИЗ глаз для защиты от ИК-излучения, должны соответствовать специальным требованиям, приведенным в таблицах В.4,
В.8, и дополнительным требованиям
В.4.2.
Таблица В.4
Требования к коэффициентам пропускания ИК-светофильтров
┌──────────┬─────────────────┬───────────────────────────────────┐
│Градацион-│Значение свето- │ Максимальное среднее значение │
│ный шифр │вого коэффициента│ спектрального коэффициента │
│ │пропускания │ пропускания в ИК-области спектра │
│ │тау , % │ тау , % │
│ │ ню │ A │
│ ├────────┬────────┼─────────────────┬─────────────────┤
│ │не более│не менее│лямбда от 780 до │лямбда от 780 до │
│ │ │ │ 1400 нм включ. │ 2000 нм включ. │
├──────────┼────────┼────────┼─────────────────┼─────────────────┤
│ 4-1,2 │ 100 │ 74,4 │ 5,5 │ 52,9 │
├──────────┼────────┼────────┼─────────────────┼─────────────────┤
│ 4-1,4 │ 74,4 │ 58,1 │ 4,8 │ 47,2 │
├──────────┼────────┼────────┼─────────────────┼─────────────────┤
│ 4-1,7 │ 58,1 │ 43,2 │ 4,1 │ 42,2 │
├──────────┼────────┼────────┼─────────────────┼─────────────────┤
│ 4-2,0 │ 43,2 │ 29,1 │ 3,6 │ 37,9 │
├──────────┼────────┼────────┼─────────────────┼─────────────────┤
│ 4-2,5 │ 29,1 │ 17,8 │ 2,9 │ 32,3 │
├──────────┼────────┼────────┼─────────────────┼─────────────────┤
│ 4-3 │ 17,8 │ 8,5 │ 1,9 │ 22,9 │
├──────────┼────────┼────────┼─────────────────┼─────────────────┤
│ 4-4 │ 8,5 │ 3,2 │ 1,2 │ 15,9 │
├──────────┼────────┼────────┼─────────────────┼─────────────────┤
│ 4-5 │ 3,2 │ 1,2 │ 0,71 │ 10,6 │
├──────────┼────────┼────────┼─────────────────┼─────────────────┤
│ 4-6 │ 1,2 │ 0,44 │ 0,43 │ 7,1 │
├──────────┼────────┼────────┼─────────────────┼─────────────────┤
│ 4-7 │ 0,44 │ 0,16 │ 0,23 │ 4,4 │
├──────────┼────────┼────────┼─────────────────┼─────────────────┤
│ 4-8 │ 0,16 │ 0,061 │ 0,14 │ 2,9 │
├──────────┼────────┼────────┼─────────────────┼─────────────────┤
│ 4-9 │ 0,061 │ 0,023 │ 0,075 │ 1,8 │
├──────────┼────────┼────────┼─────────────────┼─────────────────┤
│ 4-10 │ 0,023 │ 0,0085 │ 0,050 │ 1,3 │
└──────────┴────────┴────────┴─────────────────┴─────────────────┘
В.4.2. Коэффициенты пропускания ИК-светофильтров должны соответствовать следующим дополнительным требованиям:
- световой коэффициент пропускания

для длин волн от 500 до 650 нм должен быть не менее чем 0,2

для очковых стекол с улучшенной цветопередачей.
Светофильтры, отвечающие этому требованию, могут иметь дополнительную маркировку: "4С-класс защиты";
- очковые стекла с повышенным коэффициентом отражения в ИК-области спектра должны иметь среднее значение коэффициента отражения свыше 60% для длин волн от 480 до 2000 нм.
Светофильтры, отвечающие этому требованию, могут иметь дополнительную маркировку: "обозначение класса-R".
В.5. Специальные и дополнительные требования к пропусканию солнцезащитных светофильтров
В.5.1. Специальные требования к коэффициенту пропускания солнцезащитных светофильтров, применяемых для коррекции зрения и защиты глаз от солнечного излучения в видимой, УФ- и ИК-областях спектра, должны соответствовать приведенным в
ГОСТ Р 51854.
В.5.2. Допустимые значения коэффициентов пропускания для солнцезащитных светофильтров без требования к защите от ИК-излучения должны соответствовать приведенным в таблице В.5.
Таблица В.5
Требования к коэффициентам пропускания солнцезащитных
светофильтров без требования к защите от ИК-излучения
┌──────┬─────────────────────────────────────────┬───────────────┐
│Града-│ УФ-спектральный диапазон │ Световой │
│цион- ├───────────────────────────┬─────────────┤ коэффициент │
│ный │ максимальное значение │максимальное │ пропускания │
│шифр │спектрального коэффициента │ среднее │тау в видимом│
│ │ пропускания тау , % │ значение │ ню │
│ │ лямбда │спектрального│ спектральном │
│ │ │коэффициента │ диапазоне, % │
│ │ │ пропускания │ │
│ ├─────────────┬─────────────┼─────────────┤ │
│ │ лямбда от │лямбда свыше │лямбда от 315│ │
│ │280 до 315 нм│315 до 350 нм│ до 380 нм │ │
├──────┼─────────────┼─────────────┼─────────────┼───────────────┤
│5-1,1 │ 0,1 тау │ тау │ тау │От 100 до 80,0 │
├──────┤ ню │ ню │ ню ├───────────────┤
│5-1,4 │ │ │ │От 80,0 до 58,1│
├──────┤ │ │ ├───────────────┤
│5-1,7 │ │ │ │От 58,1 до 43,2│
├──────┤ │ │ ├───────────────┤
│ 5-2 │ │ │ │От 43,2 до 29,1│
├──────┤ │ │ ├───────────────┤
│5-2,5 │ │ │ │От 29,1 до 17,8│
├──────┼─────────────┼─────────────┼─────────────┼───────────────┤
│5-3,1 │ 0,01 тау │ 0,5 тау │ 0,5 тау │От 17,8 до 8,0 │
├──────┤ ню │ ню │ ню ├───────────────┤
│5-4,1 │ │ │ │От 8,0 до 3,0 │
└──────┴─────────────┴─────────────┴─────────────┴───────────────┘
В.5.3. Допустимые значения коэффициентов пропускания для солнцезащитных светофильтров с требованиями к защите от ИК-излучения должны соответствовать приведенным в таблице В.6.
Таблица В.6
Требования к коэффициентам пропускания солнцезащитных
светофильтров с требованиями к защите от ИК-излучения
┌─────┬─────────────────────────────────┬────────────┬───────────┐
│Гра- │ УФ-спектральный диапазон │Видимый │ИК-спект- │
│да- │ │спектральный│ральный │
│цион-│ │ диапазон │диапазон │
│ный ├────────────────────┬────────────┼────────────┼───────────┤
│шифр │ максимальное │максимальное│ диапазон │максималь- │
│ │ значение │среднее зна-│ значений │ное значе- │
│ │ спектрального │чение спект-│ светового │ние коэффи-│
│ │ коэффициента │рального │коэффициента│циента │
│ │ пропускания │коэффициента│ пропускания│пропускания│
│ │ тау , % │пропускания │ тау , % │в ИК-облас-│
│ │ лямбда │ │ ню │ти │
│ ├──────────┬─────────┼────────────┤ │тау , % │
│ │ лямбда │ лямбда │ лямбда │ │ SIR │
│ │ от 280 │ свыше │от 315 │ │ │
│ │ до 315 нм│ 315 до │до 380 нм │ │ │
│ │ │ 350 нм │ │ │ │
├─────┼──────────┼─────────┼────────────┼────────────┼───────────┤
│6-1,1│0,1 тау │ тау │ тау │ От 100 │ тау │
│
<*> │ ню │ ню │ ню │ до 80,0 │ ню │
├─────┤ │ │ ├────────────┤ │
│6-1,4│ │ │ │ От 80,0 │ │
│ │ │ │ │ до 58,1 │ │
├─────┤ │ │ ├────────────┤ │
│6-1,7│ │ │ │ От 58,1 │ │
│ │ │ │ │ до 43,2 │ │
├─────┤ │ │ ├────────────┤ │
│ 6-2 │ │ │ │ От 43,2 │ │
│ │ │ │ │ до 29,1 │ │
├─────┤ │ │ ├────────────┤ │
│6-2,5│ │ │ │ От 29,1 │ │
│ │ │ │ │ до 17,8 │ │
├─────┼──────────┼─────────┼────────────┼────────────┤ │
│6-3,1│0,01 тау │0,5 тау │ 0,5 тау │ От 17,8 │ │
│ │ ню│ ню│ ню │ до 8,0 │ │
├─────┤ │ │ ├────────────┤ │
│6-4,1│ │ │ │ От 8,0 │ │
│ │ │ │ │ до 3,0 │ │
├─────┴──────────┴─────────┴────────────┴────────────┴───────────┤
│ <*> Градационный шифр применяют только к некоторым│
│фотохромным солнцезащитным светофильтрам в незатемненном│
│состоянии и к градиентным светофильтрам в диапазоне высоких│
│значений светового коэффициента пропускания. │
└────────────────────────────────────────────────────────────────┘
В.5.4. Для длин волн от 500 до 600 нм спектральный коэффициент пропускания должен быть не менее 0,2

.
В.5.5. По просьбе потребителей временно до 31 декабря 2009 г. допускается применять типы светофильтров для сварки и других тепловых процессов со световым коэффициентом пропускания

, %, спектральным коэффициентом пропускания

, %, в УФ-области спектра и средним коэффициентом пропускания в ИК-области спектра, приведенными в таблицах В.7 и
В.8.
Таблица В.7
Световой коэффициент пропускания светофильтров для сварки,
выпуск которых временно разрешен до 31 декабря 2009 г.,
с отклонениями от требований
таблицы В.2 к коэффициентам
пропускания в УФ- и ИК-областях спектра
┌────────────────────────────────────────────────────────────────┐
│ Характеристики светофильтров с временно допускаемыми │
│ отклонениями от настоящего стандарта │
├─────┬───────┬──────┬──────────────────────┬────────────────────┤
│гра- │тип │марка │значения спектрального│ значение светового │
│да- │свето- │стекла│коэффициента пропуска-│ коэффициента │
│цион-│фильтра│ │ния, тау(лямбда), %, │ пропускания тау , │
│ный │ │ │при длинах волн │ ню │
│шифр │ │ │540
<*>, 550
<**> │ %, для источника A │
│ │ │ │и 570
<***> нм │ │
│ │ │ ├───────────┬──────────┤ │
│ │ │ │ не более │ не менее │ │
├─────┼───────┼──────┼───────────┼──────────┼────────────────────┤
│ 4 │ Г-1 │ ТС-2 │ 7,9 │ 2,5 │ 7,1 - 2,2 │
├─────┼───────┼──────┼───────────┼──────────┼────────────────────┤
│ 5 │ Г-2 │ ТС-2 │ 2,5 │ 0,79 │ 2,2 - 0,66 │
├─────┼───────┼──────┼───────────┼──────────┼────────────────────┤
│ 6 │ П-1 │СС-12 │ 1,3 │ 0,32 │ 1,30 - 0,44 │
│ ├───────┼──────┼───────────┼──────────┼────────────────────┤
│ │ D-1 │СС-14 │ 0,79 │ 0,20 │ 1,3 - 0,58 │
├─────┼───────┼──────┼───────────┼──────────┼────────────────────┤
│ 7 │ Г-3 │ ТС-2 │ 0,79 │ 0,25 │ 0,66 - 0,20 │
│ ├───────┼──────┼───────────┼──────────┼────────────────────┤
│ │ D-2 │СС-14 │ 0,20 │ 0,032 │ 0,58 - 0,24 │
│ ├───────┼──────┼───────────┼──────────┼────────────────────┤
│ │ П-2 │СС-12 │ 0,32 │ 0,079 │ 0,41 - 0,17 │
│ ├───────┼──────┼───────────┼──────────┼────────────────────┤
│ │ С-1 │ ТС-3 │ 0,50 │ 0,22 │ 0,41 - 0,18 │
│ ├───────┼──────┼───────────┼──────────┼────────────────────┤
│ │ Д-3 │СС-14 │ 0,032 │ 0,0050 │ 0,24 - 0,13 │
│ ├───────┼──────┼───────────┼──────────┼────────────────────┤
│ │ П-3 │СС-12 │ 0,079 │ 0,016 │ 0,17 - 0,074 │
├─────┼───────┼──────┼───────────┼──────────┼────────────────────┤
│ 8 │ Г-4 │ ТС-2 │ 0,25 │ 0,079 │ 0,20 - 0,063 │
│ ├───────┼──────┼───────────┼──────────┼────────────────────┤
│ │ П-4 │СС-12 │ 0,016 │ 0,0025 │ 0,074 - 0,035 │
│ ├───────┼──────┼───────────┼──────────┼────────────────────┤
│ │ С-2 │ ТС-3 │ 0,22 │ 0,10 │ 0,18 - 0,079 │
├─────┼───────┼──────┼───────────┼──────────┼────────────────────┤
│ 9 │ С-3 │ ТС-3 │ 0,10 │ 0,045 │ 0,079 - 0,035 │
├─────┼───────┼──────┼───────────┼──────────┼────────────────────┤
│ 10 │ С-4 │ ТС-3 │ 0,045 │ 0,020 │ 0,035 - 0,015 │
│ ├───────┤ ├───────────┼──────────┼────────────────────┤
│ │ С-5 │ │ 0,020 │ 0,0089 │ 0,015 - 0,0068 │
├─────┼───────┼──────┼───────────┼──────────┼────────────────────┤
│ 11 │ С-6 │ ТС-3 │ 0,0089 │ 0,0040 │ 0,0068 - 0,0030 │
├─────┼───────┼──────┼───────────┼──────────┼────────────────────┤
│ 12 │ С-7 │ ТС-3 │ 0,0040 │ 0,0018 │ 0,0030 - 0,00013 │
├─────┼───────┼──────┼───────────┼──────────┼────────────────────┤
│ 13 │ С-8 │ ТС-3 │ 0,0018 │ 0,00079 │ 0,0013 - 0,00059 │
├─────┼───────┼──────┼───────────┼──────────┼────────────────────┤
│ 14 │ С-9 │ ТС-3 │ 0,00079 │ 0,00035 │ 0,00059 - 0,00026 │
├─────┼───────┼──────┼───────────┼──────────┼────────────────────┤
│ 15 │ С-10 │ ТС-3 │ 0,00035 │ 0,00016 │ 0,00026 - 0,00012 │
├─────┼───────┼──────┼───────────┼──────────┼────────────────────┤
│ 16 │ С-11 │ ТС-3 │ 0,00016 │ 0,00007 │ 0,00012 - 0,000053 │
├─────┼───────┤ ├───────────┼──────────┼────────────────────┤
│ - │ С-12 │ │ 0,00007 │ 0,000031 │0,000053 - 0,000024 │
├─────┼───────┼──────┼───────────┼──────────┼────────────────────┤
│ - │ С-13 │ ТС-3 │ 0,000031 │ 0,000014 │0,000024 - 0,000010 │
├─────┴───────┴──────┴───────────┴──────────┴────────────────────┤
│ <*> Для стекол типов П-1 - П-4 и Д-1 - Д-3. │
│ <**> Для стекол типов С-1 - С-13. │
│ <***> Для стекол типов Г-1 - Г-4. │
└────────────────────────────────────────────────────────────────┘
Таблица В.8
Спектральный коэффициент пропускания в УФ-области спектра
и средний коэффициент пропускания в ИК-области спектра
от 780 до 1400 нм светофильтров для сварки,
выпуск которых временно разрешен до 31 декабря 2009 г.
┌────────────────────────────────────────────────────────────────┐
│ Характеристики светофильтров с временно допускаемыми │
│ отклонениями от настоящего стандарта │
├─────┬──────────┬──────┬──────────────────────────┬─────────────┤
│гра- │тип свето-│марка │ максимальные значения │максимальное │
│да- │фильтра │стекла│спектрального коэффициента│ значение │
│цион-│ │ │пропускания тау(лямбда), %│ среднего │
│ный │ │ │ │коэффициента │
│шифр │ │ ├─────────────┬────────────┤пропускания в│
│ │ │ │в УФ-области │в ИК-области│ ИК-области, │
│ │ │ │ при 320 нм │при 1000 нм │%, от 780 до │
│ │ │ │ │ │ 1000 нм
<*> │
├─────┼──────────┼──────┼─────────────┼────────────┼─────────────┤
│ 4 │ Г-1 │ ТС-2 │ 0,32 │ 15,9 │ 25,7 │
├─────┼──────────┼──────┼─────────────┼────────────┼─────────────┤
│ 5 │ Г-2 │ ТС-2 │ 0,10 │ 10,0 │ 15,6 │
├─────┼──────────┼──────┼─────────────┼────────────┼─────────────┤
│ 6 │ П-1 │СС-12 │ 15,9 │ 39,8 │ 5,3 │
│ ├──────────┼──────┼─────────────┼────────────┼─────────────┤
│ │ D-1 │СС-14 │ 0,63 │ 4,0 │ 3,6 │
├─────┼──────────┼──────┼─────────────┼────────────┼─────────────┤
│ 7 │ Г-3 │ ТС-2 │ 0,032 │ 5,0 │ 9,9 │
│ ├──────────┼──────┼─────────────┼────────────┼─────────────┤
│ │ D-2 │СС-14 │ 0,13 │ 1,6 │ 1,5 │
│ ├──────────┼──────┼─────────────┼────────────┼─────────────┤
│ │ П-2 │СС-12 │ 10,0 │ 31,7 │ 2,2 │
│ ├──────────┼──────┼─────────────┼────────────┼─────────────┤
│ │ С-1 │ ТС-3 │ 0,00010 │ 1,3 │ 6,9 │
│ ├──────────┼──────┼─────────────┼────────────┼─────────────┤
│ │ Д-3 │СС-14 │ 0,020 │ 0,50 │ 0,46 │
│ ├──────────┼──────┼─────────────┼────────────┼─────────────┤
│ │ П-3 │СС-12 │ 6,3 │ 25,1 │ 0,94 │
├─────┼──────────┼──────┼─────────────┼────────────┼─────────────┤
│ 8 │ Г-4 │ ТС-2 │ 0,010 │ 3,2 │ 6,5 │
│ ├──────────┼──────┼─────────────┼────────────┼─────────────┤
│ │ П-4 │СС-12 │ 3,2 │ 15,8 │ 0,36 │
│ ├──────────┼──────┼─────────────┼────────────┼─────────────┤
│ │ С-2 │ ТС-3 │ 0,00010 │ 1,1 │ 5,0 │
├─────┼──────────┼──────┼─────────────┼────────────┼─────────────┤
│ 9 │ С-3 │ ТС-3 │ 0,00010 │ 1,0 │ 3,6 │
├─────┼──────────┼──────┼─────────────┼────────────┼─────────────┤
│ 10 │ С-4 │ ТС-3 │ 0,00010 │ 0,73 │ 2,7 │
│ ├──────────┤ ├─────────────┼────────────┼─────────────┤
│ │ С-5 │ │ 0,00010 │ 0,50 │ 2,0 │
├─────┼──────────┼──────┼─────────────┼────────────┼─────────────┤
│ 11 │ С-6 │ ТС-3 │ 0,00010 │ 0,32 │ 1,5 │
├─────┼──────────┼──────┼─────────────┼────────────┼─────────────┤
│ 12 │ С-7 │ ТС-3 │ 0,00010 │ 0,10 │ 1,1 │
├─────┼──────────┼──────┼─────────────┼────────────┼─────────────┤
│ 13 │ С-8 │ ТС-3 │ 0,00010 │ 0,10 │ 0,82 │
├─────┼──────────┼──────┼─────────────┼────────────┼─────────────┤
│ 14 │ С-9 │ ТС-3 │ 0,00010 │ 0,10 │ 0,62 │
├─────┼──────────┼──────┼─────────────┼────────────┼─────────────┤
│ 15 │ С-10 │ ТС-3 │ 0,00010 │ 0,10 │ 0,47 │
├─────┼──────────┼──────┼─────────────┼────────────┼─────────────┤
│ 16 │ С-11 │ ТС-3 │ 0,00010 │ 0,10 │ 0,35 │
├─────┼──────────┤ ├─────────────┼────────────┼─────────────┤
│ - │ С-12 │ │ 0,00010 │ 0,10 │ 0,27 │
├─────┼──────────┼──────┼─────────────┼────────────┼─────────────┤
│ - │ С-13 │ ТС-3 │ 0,00010 │ 0,10 │ 0,21 │
└─────┴──────────┴──────┴─────────────┴────────────┴─────────────┘
--------------------------------
<*> Значения среднего коэффициента пропускания в ИК-области от 780 до 1400 нм включительно рассчитаны по формуле

,
где

- средний коэффициент пропускания, %;

- спектральный коэффициент пропускания при длине волны

;
N - число длин волн от 780 до 1400 нм с шагом 10 нм.#
(справочное)
СООТНОШЕНИЯ ТРЕБОВАНИЙ РАЗРАБОТАННОГО СТАНДАРТА
С ТРЕБОВАНИЯМИ ДИРЕКТИВЫ 89/686/EEC И ЕН 166
Таблица Г.1
EC Директивы 89/686/EEC, приложение II | Положение стандарта ЕН 166 | Положение настоящего стандарта |
1.1. Принципы конструкции | 6.1, 6.2, 6.3 | |
1.1.1. Эргономика | 6.3, 7.1.1 | |
1.1.2. Уровни и классы защиты | 7.1, 7.2, 7.3 | |
1.1.2.1. Самый высокий возможный уровень защиты | 7.1, 7.2, 7.3 | |
1.1.2.2. Классы защиты, соответ- ствующие различным уровням риска | 7.1, 7.2, 7.3 | |
1.2.1.1. Применение материала | 6.2 | |
1.2.1.2. Удовлетворительное состояние поверхности для всех деталей СИЗ глаз и лица, контактирующих с пользователем | 6.1 | |
1.2.1.3. Максимально допустимое физическое отклонение пользователя | 6.3, 7.1.1 | |
1.3. Комфорт и эффективность | 6.3, 7.1.1 | |
1.3.1. Адаптация СИЗ глаз и лица к морфологии пользователя | 6.3, 7.1.1 | |
1.3.2. Легкость и прочность конструкции | 7.1.4, 7.2.2 | |
1.4. Информация, предоставляемая изготовителем | 10 | |
2.1. Системы регулировки, входящие в состав СИЗ глаз и лица | 6.3 | |
2.3. СИЗ для лица, глаз и дыхательных путей | Все | Все |
2.4. Подверженность СИЗ глаз и лица износу | 7.1.5 | |
2.9. СИЗ глаз и лица, включающие компоненты, которые могут регулироваться или удаляться пользователем | 6.3, 9.2.8 | |
2.12. СИЗ, имеющие одну или несколько идентификационных меток, впрямую или косвенно относящихся к здоровью и безопасности | 9 | |
2.14. СИЗ глаз и лица со множественными факторами риска | Все | Все |
3.1. Защита от механического воздействия | 7.1.4, 7.2.2 | |
3.1.1. Удар, вызванный падением или выступающими предметами, или столкновением частей тела с препятствием | 7.1.4, 7.2.2 | |
3.9. Защита от излучения | 7.2.1 | |
(справочное)
СОПОСТАВЛЕНИЕ СТРУКТУРЫ НАСТОЯЩЕГО СТАНДАРТА
СО СТРУКТУРОЙ ПРИМЕНЕННОГО РЕГИОНАЛЬНОГО СТАНДАРТА EH 166
Д.1. Общие положения
Сопоставление структуры настоящего стандарта со структурой примененного в нем регионального стандарта представлено в
таблице Д.1. Указанное в
таблице изменение структуры национального стандарта относительно структуры примененного стандарта ЕН 166 обусловлено приведением в соответствие с требованиями
ГОСТ Р 1.5 и необходимостью разработки отдельного национального стандарта "Методы испытаний, оптических и неоптических параметров", заменяющего в настоящем стандарте ссылки на ЕН 167 и ЕН 168.
Таблица Д.1
Сопоставление структуры настоящего стандарта
со структурой примененного в нем международного стандарта
┌────────────────────────┬───────────────────────────────────────┐
│ Структура ЕН 166 │ Структура настоящего стандарта │
├────────────────────────┼───────────────────────────────────────┤
│ 1. Область распростра- │
1. Область применения │
│нения стандарта │ │
├────────────────────────┼───────────────────────────────────────┤
│ 2. Нормативные ссылки │
2. Нормативные ссылки │
├────────────────────────┼───────────────────────────────────────┤
│ 3. Термины │
3. Термины и определения
<1>. │
│ │Спектральные функции для расчета свето-│
│ │вого коэффициента пропускания тау │
│ │ ню │
├────────────────────────┼───────────────────────────────────────┤
│ 4. Классификация │
4. Классификация │
├────────────────────────┼───────────────────────────────────────┤
│светофильтров │ния к номенклатуре, коэффициентам │
│ │пропускания и обозначению светофильтров│
├────────────────────────┼───────────────────────────────────────┤
│ 6. Требования к конст- │
5. Общие технические требования
<3> │
│рукции и изготовлению │
5.1. Общие требования │
│ 6.1. Общая │
5.2. Базовые требования к СИЗ глаз │
│конструкция │
5.2.1. Требования к конструкции СИЗ│
│ 6.2. Материалы │глаз и применяемым материалам │
│ 6.3. Наголовные │
5.2.2. Требования к полю зрения │
│ленты │
5.2.3. Требования к оптическим │
│ │параметрам и характеристикам очковых, │
│ │покровных стекол и светофильтрам СИЗ │
│ │глаз │
│ │
5.2.4. Требования к качеству │
│ │материала и поверхности очкового стекла│
│ │СИЗ глаз │
│ │
5.2.5. Требования к минимальной │
│ │прочности покровных стекол │
│ │и светофильтров СИЗ глаз │
│ │
5.2.6. Требования к повышенной │
│ │прочности очковых стекол и │
│ │укомплектованных СИЗ глаз │
│ │
5.2.7. Требования устойчивости │
│ │очковых стекол и СИЗ глаз к старению │
│ │и внешним воздействующим факторам │
│ │
5.2.8. Требования устойчивости СИЗ │
│ │глаз к коррозии │
│ │
5.2.9. Требования устойчивости СИЗ │
│ │глаз к воспламенению │
│ │
5.3. Специальные требования к СИЗ │
│ │глаз │
│ │
5.3.1. Требования устойчивости СИЗ │
│ │глаз к оптическому излучению │
│ │
5.3.2. Требования устойчивости СИЗ │
│ │глаз к воздействию высокоскоростных │
│ │частиц │
│ │
5.3.3. Требования устойчивости СИЗ │
│ │глаз к адгезии расплавленных металлов │
│ │и проникновению горячих твердых тел │
│ │
5.3.4. Требования к защите СИЗ глаз│
│ │от капель и брызг жидкостей │
│ │
5.3.5. Требования устойчивости СИЗ │
│ │глаз к грубодисперсным аэрозолям (пыли)│
│ │
5.3.6. Требования устойчивости СИЗ │
│ │глаз к газам и мелкодисперсным │
│ │аэрозолям │
│ │
5.3.7. Требования к защите СИЗ глаз│
│ │от прямых излучений дуги короткого │
│ │замыкания и других тепловых процессов │
│ │
5.3.8. Требования к боковой защите │
│ │СИЗ глаз │
│ │
5.4. Дополнительные требования │
│ │к СИЗ глаз, покровным и очковым стеклам│
│ │с покрытием-фильтром │
│ │
5.4.1. Требования к покровным │
│ │очковым стеклам СИЗ глаз на │
│ │сопротивление поверхности разрушению │
│ │мелкодисперсными аэрозолями │
│ │
5.4.2. Требования устойчивости к │
│ │запотеванию очковых стекол СИЗ глаз │
│ │
5.4.3. Требования к очковым стеклам│
│ │с покрытием-фильтром и смотровым │
│ │стеклам с повышенной отражательной │
│ │способностью в ИК-области спектра │
│ │
5.4.4. Требования к защите СИЗ глаз│
│ │к воздействию высокоскоростных частиц │
│ │при экстремальных температурах │
├────────────────────────┼───────────────────────────────────────┤
│ 7. Базовые, специальные│ Учтено в
разделе 5, подразделы │
│и дополнительные │
5.2 -
5.4 │
│требования │ │
├────────────────────────┼───────────────────────────────────────┤
│требований, план │типов СИЗ глаз в зависимости от функции│
│испытаний и применений │СИЗ глаз в обеспечении защиты │
├────────────────────────┼───────────────────────────────────────┤
│ 9. Маркировка │
6. Требования к маркировке │
│ 9.1. Общие положения│
6.1. Общие положения │
│ 9.2. Маркировка │
6.2. Маркировка очкового стекла │
│очков, стекла │
6.3. Маркировка оправы │
│ 9.3. Маркировка │
6.4. Маркировка средств защиты глаз│
│оправы │для случая, когда оправа и очковое │
│ 9.4. Маркировка │стекло представляют единый блок │
│средств защиты глаз для │ │
│случаев, когда оправы │ │
│и очковое стекло │ │
│представляют единый блок│ │
├────────────────────────┼───────────────────────────────────────┤
│ - │
7. Требование к упаковке
<4> │
├────────────────────────┼───────────────────────────────────────┤
│ - │
8. Требования к транспортированию │
├────────────────────────┼───────────────────────────────────────┤
│ 10. Информация, пред- │
9. Требования к информации, │
│ставляемая изготовителем│поставляемой изготовителем │
├────────────────────────┼───────────────────────────────────────┤
│ │требований разработанного стандарта с │
│ │требованиями Директивы 89/686/EEC и │
│ │EH 166 │
├────────────────────────┼───────────────────────────────────────┤
│ │Сопоставление структуры настоящего │
│ │стандарта со структурой примененного │
│ │регионального стандарта EH 166 │
├────────────────────────┴───────────────────────────────────────┤
│ <1> Данный раздел содержит 26 терминов в связи с введением│
│необходимых для понимания текста стандарта терминов│
│и определений по ЕН 165 "Индивидуальная защита глаз. Словарь". │
│ <2> Включение настоящего приложения в стандарт обусловлено│
│необходимостью учета потребностей национальной экономики│
│Российской Федерации. │
│ <3> Настоящий раздел в нашем стандарте разбит на пункты,│
│подпункты, что обусловлено необходимостью приведения его в│
│спецификой содержания стандарта вида "Общие технические│
│настоящего стандарта полностью идентична структуре разделов 9│
│и 10 регионального стандарта ЕН 166. │
└────────────────────────────────────────────────────────────────┘
(обязательное)
СВЕДЕНИЯ О СООТВЕТСТВИИ ССЫЛОЧНЫХ МЕЖДУНАРОДНЫХ
(РЕГИОНАЛЬНЫХ) СТАНДАРТОВ НАЦИОНАЛЬНЫМ СТАНДАРТАМ
РОССИЙСКОЙ ФЕДЕРАЦИИ, ИСПОЛЬЗОВАННЫМ В НАСТОЯЩЕМ СТАНДАРТЕ
В КАЧЕСТВЕ НОРМАТИВНЫХ ССЫЛОК
Е.1. Сравнение ссылочных стандартов, которые использованы в региональном стандарте EH 166 "Индивидуальная защита глаз. Технические требования" и модифицированном по отношению к нему национальном стандарте Российской Федерации "Средства индивидуальной защиты глаз. Общие технические требования", приведено в таблице Е.1.
Таблица Е.1
┌───────────────────┬────────────────────────────────────────────┐
│Обозначение ссылоч-│Обозначение и наименование ссылочного │
│ного национального │международного (регионального) стандарта │
│стандарта Россий- │и условное обозначение степени его соответ- │
│ской Федерации │ствия ссылочному национальному стандарту │
├───────────────────┼────────────────────────────────────────────┤
│ │Словарь" (NEQ) │
├───────────────────┼────────────────────────────────────────────┤
│ │Оптические методы испытаний" (MOD) │
├───────────────────┼────────────────────────────────────────────┤
│ │Неоптические методы испытаний" (MOD) │
├───────────────────┼────────────────────────────────────────────┤
│ │Средства для защиты глаз и лица во время │
│ │сварки и смежных процессов" (NEQ) │
├───────────────────┼────────────────────────────────────────────┤
│ │Фильтры для сварки и смежных техник. │
│ │Требования к пропусканию и рекомендуемое │
│ │использование" (NEQ) │
├───────────────────┼────────────────────────────────────────────┤
│ │Фильтры от солнечного света для │
│ │промышленного применения" (NEQ) │
├───────────────────┼────────────────────────────────────────────┤
│ │Необрезанные обработанные очковые линзы. │
│ │Часть 1. Технические условия на │
│ │однофокальные и многофокальные линзы" (MOD) │
│ │ ИСО 8980-2:1996 "Офтальмологическая оптика.│
│ │Необрезанные обработанные очковые линзы. │
│ │Часть 2. Технические условия на │
│ │прогрессивные линзы" (MOD) │
│ │ ИСО 8980-3:1999 "Офтальмологическая оптика.│
│ │Необрезанные обработанные очковые линзы. │
│ │Часть 3. Технические условия на пропускание │
│ │и методы тестирования" (MOD) │
├───────────────────┴────────────────────────────────────────────┤
│ Примечание. В настоящей таблице использованы следующие│
│условные обозначения степени соответствия стандартов: │
│ - MOD - модифицированные стандарты; │
│ - NEQ - неэквивалентные стандарты. │
└────────────────────────────────────────────────────────────────┘