Главная // Актуальные документы // ГОСТ (Государственный стандарт)СПРАВКА
Источник публикации
М.: Издательство стандартов, 1989
Примечание к документу
С 1 июля 2003 года до вступления в силу технических регламентов акты федеральных органов исполнительной власти в сфере технического регулирования носят рекомендательный характер и подлежат обязательному исполнению только в части, соответствующей целям, указанным в
пункте 1 статьи 46 Федерального закона от 27.12.2002 N 184-ФЗ.
Ограничение срока действия снято по Протоколу N 4-93 Межгосударственного Совета по стандартизации, метрологии и сертификации ("ИУС", N 4, 1994).
Документ
введен в действие с 01.01.1990.
Взамен ГОСТ 22536.4-77.
Название документа
"ГОСТ 22536.4-88. Государственный стандарт Союза ССР. Сталь углеродистая и чугун нелегированный. Методы определения кремния"
(утв. и введен в действие Постановлением Госстандарта СССР от 25.08.1988 N 3018)
"ГОСТ 22536.4-88. Государственный стандарт Союза ССР. Сталь углеродистая и чугун нелегированный. Методы определения кремния"
(утв. и введен в действие Постановлением Госстандарта СССР от 25.08.1988 N 3018)
Утвержден и введен в действие
Постановлением Государственного
комитета СССР по стандартам
от 25 августа 1988 г. N 3018
ГОСУДАРСТВЕННЫЙ СТАНДАРТ СОЮЗА ССР
СТАЛЬ УГЛЕРОДИСТАЯ И ЧУГУН НЕЛЕГИРОВАННЫЙ
МЕТОДЫ ОПРЕДЕЛЕНИЯ КРЕМНИЯ
Carbon steel and unalloyed cast iron.
Methods for determination of silicon
ГОСТ 22536.4-88
Срок действия
с 1 января 1990 года
до 1 июля 1995 года
1. РАЗРАБОТАН И ВНЕСЕН Министерством черной металлургии СССР
ИСПОЛНИТЕЛИ
Д.К. Нестеров, канд. техн. наук; С.И. Рудюк, канд. техн. наук; С.В. Спирина, канд. хим. наук (руководитель темы); В.Ф. Коваленко, канд. техн. наук; Н.Н. Гриценко, канд. хим. наук; Л.И. Березовая; О.М. Киржнер
2. УТВЕРЖДЕН И ВВЕДЕН В ДЕЙСТВИЕ Постановлением Государственного комитета СССР по стандартам от 25.08.88 N 3018
3. ВЗАМЕН ГОСТ 22536.4-77
4. ССЫЛОЧНЫЕ НОРМАТИВНО-ТЕХНИЧЕСКИЕ ДОКУМЕНТЫ
Обозначение НТД, на который дана ссылка | Номер пункта, подпункта |
| |
| |
| |
| |
| |
| |
| |
| |
| |
| |
| |
| |
| |
| | ИС МЕГАНОРМ: примечание. Взамен ГОСТ 11293-78 Постановлением Госстандарта СССР от 26.12.1989 N 4152 с 01.07.1991 введен в действие ГОСТ 11293-89. | |
|
ГОСТ 11293-78 | |
| |
| |
| |
| |
| |
| |
Настоящий стандарт устанавливает гравиметрический (при массовой доле кремния от 0,1 до 4,0%) и фотометрический (при массовой доле кремния от 0,005 до 1,0%) методы определения кремния.
1.2. Погрешность результата анализа (при доверительной вероятности
P = 0,95) не превышает предела

, приведенного в
табл. 1 при выполнении условий:
расхождение между результатами двух (трех) параллельных измерений не должно превышать (при доверительной вероятности
P = 0,95) значения
d2 (
d3), приведенного в
табл. 1;
воспроизведенное в стандартном образце значение массовой доли кремния не должно отличаться от аттестованного более чем на допускаемое (при доверительной вероятности
P = 0,85) значение

, приведенное в табл. 1.
Массовая доля кремния, % |  , % | Допускаемые расхождения, % |  , % |
dк | d2 | d3 |
От 0,005 до 0,010 включ. | 0,0022 | 0,0028 | 0,0023 | 0,0028 | 0,0014 |
Св. 0,010 " 0,020 " | 0,003 | 0,004 | 0,003 | 0,004 | 0,002 |
" 0,020 " 0,050 " | 0,005 | 0,006 | 0,005 | 0,006 | 0,003 |
" 0,050 " 0,10 " | 0,008 | 0,010 | 0,008 | 0,010 | 0,005 |
" 0,10 " 0,2 " | 0,014 | 0,018 | 0,014 | 0,018 | 0,009 |
" 0,2 " 0,5 " | 0,022 | 0,028 | 0,022 | 0,028 | 0,014 |
" 0,5 " 1,0 " | 0,03 | 0,04 | 0,03 | 0,04 | 0,02 |
" 1,0 " 2,0 " | 0,05 | 0,06 | 0,05 | 0,06 | 0,03 |
" 2,0 " 4,0 " | 0,07 | 0,08 | 0,07 | 0,08 | 0,04 |
При невыполнении одного из вышеуказанных условий проводят повторные измерения массовой доли кремния. Если и при повторных измерениях требования к точности результатов не выполняются, результаты анализа признают неверными, измерения прекращают до выявления и устранения причин, вызвавших нарушение нормального хода анализа.
Расхождение двух средних результатов анализа, выполненных в различных условиях (например, при внутрилабораторном контроле воспроизводимости), не должно превышать (при доверительной вероятности
P = 0,95) значения
dк, приведенного в
табл. 1.
2. ГРАВИМЕТРИЧЕСКИЙ МЕТОД ОПРЕДЕЛЕНИЯ КРЕМНИЯ
Метод основан на выделении кремния в виде полимеризованной кремниевой кислоты из кислого раствора, ее дегидратации и взвешивании полученного диоксида кремния.
2.2. Аппаратура и реактивы
Электропечь сопротивления лабораторная.
Кислота серная по
ГОСТ 4204-77 и разбавленная 1:1, 1:2 и 1:4.
Кислота хлорная, ч.д.а. или х.ч.
Аммоний роданистый по
ГОСТ 19522-74, раствор с массовой концентрацией 50 г/дм
3.
Изделия технические из благородных металлов и сплавов по
ГОСТ 6563-75.
2.3.1. Навеску стали или чугуна в зависимости от массовой доли кремния (см. табл. 2) помещают в стакан вместимостью 250 - 300 см3 и проводят растворение навески и выделение кремниевой кислоты по одному из описанных ниже методов.
Таблица 2
Массовая доля кремния, % | Навеска стали или чугуна, г |
От 0,1 до 0,5 включ. | 2,0 |
Св. 0,5 " 2,0 " | 1,0 |
" 2,0 " 4,0 " | 0,5 |
2.3.2. Сернокислотный метод
В стакан с навеской приливают 15 - 25 см3 серной кислоты (1:4) и нагревают до полного растворения пробы. Добавляют азотную кислоту до прекращения вспенивания раствора и 20 см3 серной кислоты (1:1). Содержимое стакана выпаривают до появления белых паров серной кислоты, которым дают выделиться 5 - 8 мин. Затем стакан снимают с плиты, охлаждают и осторожно по стенкам стакана приливают 10 см3 соляной кислоты, слегка перемешивая содержимое. Через 4 - 5 мин приливают 50 - 70 см3 горячей воды, накрывают стакан часовым стеклом и нагревают при перемешивании до растворения солей. Осадок сразу же отфильтровывают на фильтр "белая лента" с добавлением небольшого количества фильтробумажной массы и промывают горячей соляной кислотой (1:50) до отрицательной реакции промывных вод на железо (проба с раствором роданистого аммония), а затем 3 - 5 раз горячей водой. Фильтр с осадком сохраняют.
Фильтрат вместе с промывными водами переносят в стакан, в котором проводилось растворение, и дополнительно выделяют кремниевую кислоту, проводя операции выпаривания раствора и фильтрования осадка, как приведено выше.
Фильтры с основными и дополнительно выделенными осадками помещают в платиновый тигель, высушивают, озоляют и прокаливают при температуре 1000 - 1100 °C до постоянной массы.
Тигель с осадком охлаждают в эксикаторе и взвешивают. Затем осадок смачивают 3 - 5 каплями воды, приливая ее по стенкам тигля, прибавляют 3 - 5 капель серной кислоты (1:2) и 3 - 5 см3 фтористоводородной кислоты. Содержимое тигля осторожно, не давая кипеть, выпаривают до прекращения выделения белых паров серной кислоты. Затем тигель прокаливают при температуре 1000 - 1100 °C до постоянной массы, охлаждают в эксикаторе и взвешивают. Одновременно с выполнением анализа проводят контрольный опыт на загрязнение реактивов.
2.3.3. Серносолянокислотный метод
В стакан с навеской приливают 30 - 50 см3 соляной кислоты (1:1) и нагревают до растворения пробы, затем добавляют по каплям небольшое количество азотной кислоты до прекращения вспенивания раствора и выпаривают раствор досуха.
Охлажденный сухой остаток смачивают 20 см
3 серной кислоты (1:1) и нагревают до появления белых паров серной кислоты, которым дают выделяться в течение 3 - 5 мин. Стакан снимают с плиты, охлаждают, осторожно приливают по стенкам стакана 15 см
3 соляной кислоты, слегка перемешивая содержимое стакана. Спустя 1 - 2 мин приливают 120 - 130 см
3 горячей воды и нагревают до растворения солей. Далее проводят анализ, как приведено в
п. 2.3.2.
2.3.4. Хлорнокислотный метод
В стакан с навеской приливают 15 - 20 см
3 азотной кислоты (1:2), накрывают стакан стеклом и нагревают до растворения пробы. Если навеска растворяется плохо, следует прибавить 10 - 15 см
3 соляной кислоты. После растворения навески прибавляют 20 - 40 см
3 хлорной кислоты, снова накрывают стакан стеклом и выпаривают до появления белых паров хлорной кислоты, которым дают выделяться в течение 15 - 20 мин. Затем стакан охлаждают, осторожно приливают 15 - 20 см
3 соляной кислоты, 50 - 70 см
3 горячей воды, слегка перемешивая содержимое стакана, и нагревают до растворения солей при 60 - 70 °C (не более 4 - 6 мин). Далее проводят анализ, как указано в
п. 2.3.2.
2.4. Обработка результатов
2.4.1. Массовую долю кремния (X) в процентах вычисляют по формуле

,
где m1 - масса тигля с осадком диоксида кремния, г;
m2 - масса тигля с остатком после обработки фтористоводородной кислотой, г;
m3 - масса тигля с осадком, полученным в контрольном опыте, г;
m4 - масса тигля с остатком, полученным в контрольном опыте после обработки фтористоводородной кислотой, г;
m - масса навески пробы, г;
0,4674 - коэффициент пересчета диоксида кремния на кремний.
2.4.2. Нормы точности и нормативы контроля точности определения массовой доли кремния приведены в
табл. 1.
3. ФОТОМЕТРИЧЕСКИЙ МЕТОД ОПРЕДЕЛЕНИЯ КРЕМНИЯ
(при массовой доле кремния от 0,01 до 0,05%)
Метод основан на образовании кремнемолибденового комплекса в слабокислой среде, восстановлении его аскорбиновой кислотой или тиомочевиной в присутствии сернокислой меди до кремнемолибденовой сини и измерении оптической плотности окрашенного раствора при длине волны 810 нм.
3.2. Аппаратура и реактивы
Фотоэлектроколориметр или спектрофотометр.
Кислота щавелевая по
ГОСТ 22180-76, раствор с массовой концентрацией 80 г/дм
3.
Аммоний молибденовокислый по
ГОСТ 3765-78, перекристаллизованный из спирта, раствор с массовой концентрацией 50 г/дм
3.
Перекристаллизация молибденовокислого аммония: 250 г молибденовокислого аммония растворяют в 400 см3 воды при 70 - 80 °C. Горячий раствор фильтруют через фильтр "синяя лента" в стакан, содержащий 300 см3 этилового спирта. Раствор охлаждают и выдерживают в проточной воде в течение 1 ч. Выпавшие кристаллы отфильтровывают на воронку Бюхнера с фильтром "белая лента". Кристаллы промывают 2 - 3 раза этиловым спиртом порциями по 20 - 30 см3 и высушивают на воздухе.
Кислота аскорбиновая, раствор с массовой концентрацией 50 г/дм3, свежеприготовленный.
Тиомочевина по
ГОСТ 6344-73, раствор с массовой концентрацией 100 г/дм
3.
Медь сернокислая (II) пятиводная по
ГОСТ 4165-78, раствор с массовой концентрацией 4 г/дм
3 в серной кислоте, разбавленной 1:3.
Натрия гидроксид по
ГОСТ 4328-77, раствор с массовой концентрацией 100 г/дм
3.
| | ИС МЕГАНОРМ: примечание. Взамен ГОСТ 11293-78 Постановлением Госстандарта СССР от 26.12.1989 N 4152 с 01.07.1991 введен в действие ГОСТ 11293-89. | |
Желатин по ГОСТ 11293-78, раствор с массовой концентрацией 5 - 10 г/дм3.
Диоксид кремния по
ГОСТ 9428-73, прокаленный при 1000 - 1100 °C.
Остальная аппаратура и реактивы по
п. 2.2.
Стандартные растворы кремния
Раствор А: навеску диоксида кремния массой 0,2140 г сплавляют в платиновом тигле с 2 г безводного углекислого натрия. Плав выщелачивают в горячей воде, добавляют 40 см3 раствора гидроксида натрия с массовой концентрацией 100 г/дм3, переводят раствор в мерную колбу вместимостью 1 дм3, доливают до метки водой и перемешивают.
1 см3 раствора содержит 0,0001 г кремния.
Раствор Б: 50 см3 раствора А помещают в мерную колбу вместимостью 250 см3, доливают до метки водой и перемешивают.
1 см3 раствора Б содержит 0,000020 г кремния.
Растворы хранят в полиэтиленовой посуде.
Установление массовой концентрации стандартного раствора кремния А: 50 см3 стандартного раствора помещают в стакан вместимостью 200 см3, приливают 30 см3 соляной кислоты, выпаривают до влажных солей, добавляют 10 см3 соляной кислоты и вновь выпаривают до влажных солей. Стакан с осадком охлаждают до 50 °C, добавляют 10 см3 соляной кислоты и 1 - 2 см3 раствора желатина. Через 1 мин добавляют еще 2 см3 желатина, перемешивают и дают отстояться 10 мин. Затем добавляют 50 см3 горячей воды, перемешивают, через 10 мин добавляют еще столько же горячей воды и снова перемешивают, после чего фильтруют через фильтр "белая лента" с фильтробумажной массой, промывают 8 - 10 раз соляной кислотой (1:50) и 4 - 5 раз горячей водой.
Фильтр с осадком помещают в платиновый тигель и затем поступают, как указано в
п. 2.3.2, включая обработку полученного осадка диоксида кремния фтористоводородной кислотой.
Массовую концентрацию стандартного раствора кремния (T), выраженную в г/см3, рассчитывают по формуле

,
где V - объем стандартного раствора кремния, взятый для анализа, см3;
m1 - масса тигля с осадком диоксида кремния, г;
m2 - масса тигля с остатком после обработки фтористоводородной кислотой, г;
m3 - масса тигля с осадком, полученным в контрольном опыте, г;
m4 - масса тигля с остатком, полученным в контрольном опыте, после обработки фтористоводородной кислотой, г;
m - масса навески пробы, г;
0,4674 - коэффициент пересчета диоксида кремния на кремний
3.3.1. Навеску стали или чугуна в зависимости от массовой доли кремния (см. табл. 3) помещают в коническую колбу вместимостью 100 см
3, приливают 10 - 15 см
3 серной кислоты (1:8) и нагревают на водяной бане, не допуская кипения раствора.
Массовая доля кремния, % | Навеска стали или чугуна, г | Аликвотная часть |
От 0,01 до 0,05 включ. | 0,5 | 10 |
Св. 0,05 " 0,10 " | 0,3 | 10 |
" 0,10 " 0,5 " | 0,2 | 5 |
" 0,5 " 1,0 " | 0,1 | 5 |
После растворения навески прибавляют по каплям азотную кислоту до прекращения вспенивания раствора и в избыток 1 - 2 капли. Стенки колбы обмывают небольшим количеством воды и раствор продолжают нагревать 3 - 5 мин, не допуская кипения, до удаления оксидов азота. Раствор фильтруют через фильтр "белая лента" в мерную колбу вместимостью 100 см3 и промывают осадок на фильтре 3 - 4 раза небольшими порциями горячей воды, доливают до метки водой и перемешивают.
Две аликвотные части раствора (см.
табл. 3) помещают в мерные колбы вместимостью 50 см
3 (при массовой доле кремния от 0,01 до 0,05% или 100 см
3 (при массовой доле кремния более 0,05%), в одну из них приливают 10 см
3 раствора молибденовокислого аммония, перемешивают и выдерживают 15 мин для образования желтой молибденовокремниевой гетерополикислоты. Затем в колбы приливают строго в указанном порядке, перемешивая после добавления каждого реактива: 10 см
3 серной кислоты (1:3), 5 см
3 раствора щавелевой кислоты, 5 см
3 раствора аскорбиновой кислоты, доливают до метки водой и перемешивают. Через 30 мин измеряют величину оптической плотности окрашенного раствора на спектрофотометре при длине волны 810 нм или на фотоэлектроколориметре со светофильтром, имеющим максимум пропускания в интервале длин волн 600 - 650 нм. В качестве раствора сравнения применяют вторую аликвотную часть раствора анализируемой пробы, в которую добавлены все реактивы за исключением молибденовокислого аммония.
Для восстановления желтой формы молибденовокремниевой гетерополикислоты можно использовать тиомочевину в присутствии сернокислой меди. В этом случае после выдержки раствора в течение 15 мин в колбы приливают 10 см3 раствора сернокислой меди, перемешивают, приливают 5 см3 раствора тиомочевины, доливают до метки водой и перемешивают. Через 3 - 5 мин измеряют величину оптической плотности, как приведено выше. В качестве раствора сравнения применяют вторую аликвотную часть раствора анализируемой пробы, в которую добавлены все реактивы за исключением молибденовокислого аммония.
Одновременно с выполнением анализа проводят контрольный опыт на загрязнение реактивов.
Из значения оптической плотности анализируемого раствора вычитают значение оптической плотности раствора контрольного опыта.
Массу кремния находят по градуировочному графику или методом сравнения со стандартным образцом, близким по составу к анализируемой пробе и проведенным через все стадии анализа.
3.3.2. Построение градуировочного графика
При массовой доле кремния от 0,01 до 0,05%
В семь конических колб вместимостью 100 см3 помещают 0,5 г карбонильного железа. В шесть из них добавляют последовательно 2; 4; 6; 9; 12; 15 см3 стандартного раствора Б, что соответствует 0,000040; 0,000080; 0,000120; 0,000180; 0,000240; 0,000300 г кремния. Седьмая колба служит для проведения контрольного опыта.
В колбы приливают 10 - 15 см
3 раствора серной кислоты (1:8) и далее проводят анализ по
п. 3.3.1.
При массовой доле кремния от 0,05 до 1%
В семь конических колб вместимостью 100 см3 помещают 0,1 - 0,3 г карбонильного железа в зависимости от навески анализируемой пробы. В шесть из них добавляют последовательно 1; 3; 5; 7; 10; 12 см3 стандартного раствора А, что соответствует 0,00010; 0,00030; 0,00050; 0,00070; 0,00100; 0,00120 г кремния. Седьмая колба служит для проведения контрольного опыта.
В колбы приливают 10 - 15 см
3 раствора серной кислоты (1:8) и далее проводят анализ по
п. 3.3.1.
По найденным значениям оптической плотности и соответствующим им значениям массы кремния строят градуировочный график. Допускается построение градуировочного графика в координатах: оптическая плотность - массовая доля кремния.
3.4. Обработка результатов
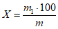
3.4.1. Массовую долю кремния (X) в процентах вычисляют по формуле

,
где m1 - масса кремния в анализируемой пробе, найденная по градуировочному графику, г;
m - масса навески, г.
3.4.2. Нормы и нормативы контроля точности определения массовой доли кремния приведены в
табл. 1.
4. ФОТОМЕТРИЧЕСКИЙ МЕТОД ОПРЕДЕЛЕНИЯ КРЕМНИЯ
В ВИДЕ КРЕМНЕМОЛИБДЕНОВОГО КОМПЛЕКСА
(при массовой доле кремния 0,005 - 0,1%)
Метод основан на образовании кремнемолибденового комплекса и восстановлении его до молибденовой сини железом (II), образовавшимся при растворении навески пробы в слабокислой среде и измерении оптической плотности окрашенного раствора при длине волны 810 нм.
4.2. Аппаратура и реактивы
4.3.1. Навеску стали или чугуна в зависимости от массовой доли кремния (см. табл. 4) помещают в коническую колбу вместимостью 100 см
3, накрывают часовым стеклом и растворяют в 15 - 20 см
3 серной кислоты (1:20) при умеренном нагревании на водяной бане.
Таблица 4
Массовая доля кремния, % | Навеска стали или чугуна, г | Аликвотная часть, см3 |
От 0,005 до 0,03 включ. | 0,50 | 20 |
Св. 0,03 " 0,10 " | 0,25 | 10 |
Во избежании возможного окисления железа до трехвалентного при растворении пробы не следует допускать контакта с окисляющими веществами. После полного растворения навески раствор быстро фильтруют через фильтр "белая лента" в мерную колбу вместимостью 100 см3, охлаждают, доливают до метки водой и перемешивают. Аликвотную часть 10 - 20 см3 (см. табл. 4) помещают в мерную колбу вместимостью 50 см3, медленно приливают 10 см3 раствора молибденовокислого аммония и перемешивают. Через 3 - 5 мин осторожно по стенке колбы приливают 10 см3 серной кислоты (1:4), сразу же доливают до метки водой и перемешивают.
Через 15 - 20 мин измеряют величину оптической плотности раствора на спектрофотометре при длине волны 810 нм или на фотоэлектроколориметре со светофильтром, имеющим максимум пропускания в интервале 600 - 650 нм. В качестве раствора сравнения применяют воду. Одновременно с выполнением анализа проводят контрольный опыт на загрязнение реактивов.
Из значения оптической плотности анализируемого раствора вычитают значение оптической плотности раствора контрольного опыта.
Массу кремния находят по градуировочному графику или методом сравнения со стандартным образцом, близким по составу к анализируемой пробе и проведенным через все стадии анализа.
4.3.2. Построение градуировочного графика
В семь конических колб вместимостью 100 см
3 помещают по 0,25 - 0,5 г карбонильного железа в зависимости от навески анализируемой пробы. В шесть из них приливают последовательно 1; 3; 6; 9; 12; 15 см
3 стандартного раствора Б, что соответствует 0,000020; 0,000060; 0,000120; 0,000180; 0,000240; 0,000300 г кремния. В колбы приливают по 15 - 20 см
3 серной кислоты (1:20) и далее ведут анализ, как приведено в
п. 4.3.1. Седьмая колба служит для приготовления раствора контрольного опыта.
По найденным значениям оптической плотности и соответствующим им значениям массы кремния строят градуировочный график. Допускается построение градуировочного графика в координатах оптическая плотность - массовая доля кремния.
4.4. Обработка результатов
4.4.1. Массовую долю (X) кремния в процентах вычисляют по формуле

,
где m1 - масса кремния в анализируемой пробе, найденная по градуировочному графику;
m - масса навески, г.
4.4.2. Нормы точности и нормативы контроля точности определения массовой доли кремния приведены в
табл. 1.